Главная // Актуальные документы // Актуальные документы (обновление 2025.02.03-2025.03.01) // ГОСТ (Государственный стандарт)СПРАВКА
Источник публикации
М.: ФГБУ "Институт стандартизации", 2025
Примечание к документу
Документ
вводится в действие с 01.12.2025.
Название документа
"ГОСТ ISO 10326-1-2024. Межгосударственный стандарт. Вибрация. Лабораторный метод оценки вибрации сидений транспортных средств. Часть 1. Общие требования"
(введен в действие Приказом Росстандарта от 16.12.2024 N 1905-ст)
"ГОСТ ISO 10326-1-2024. Межгосударственный стандарт. Вибрация. Лабораторный метод оценки вибрации сидений транспортных средств. Часть 1. Общие требования"
(введен в действие Приказом Росстандарта от 16.12.2024 N 1905-ст)
агентства по техническому
регулированию и метрологии
от 16 декабря 2024 г. N 1905-ст
МЕЖГОСУДАРСТВЕННЫЙ СТАНДАРТ
ВИБРАЦИЯ
ЛАБОРАТОРНЫЙ МЕТОД ОЦЕНКИ ВИБРАЦИИ
СИДЕНИЙ ТРАНСПОРТНЫХ СРЕДСТВ
ЧАСТЬ 1
ОБЩИЕ ТРЕБОВАНИЯ
Mechanical vibration. Laboratory method for evaluating
vehicle seat vibration. Part 1. Basic requirements
(ISO 10326-1:2016, IDT)
ГОСТ ISO 10326-1-2024
Дата введения
1 декабря 2025 года
Цели, основные принципы и общие правила проведения работ по межгосударственной стандартизации установлены
ГОСТ 1.0 "Межгосударственная система стандартизации. Основные положения" и
ГОСТ 1.2 "Межгосударственная система стандартизации. Стандарты межгосударственные, правила и рекомендации по межгосударственной стандартизации. Правила разработки, принятия, обновления и отмены"
1 ПОДГОТОВЛЕН Обществом с ограниченной ответственностью "Электронные технологии и метрологические системы" (ООО "ЭТМС") и Закрытым акционерным обществом "Научно-исследовательский центр контроля и диагностики технических систем" (ЗАО "НИЦ КД") на основе собственного перевода на русский язык англоязычной версии стандарта, указанного в
пункте 5
2 ВНЕСЕН Федеральным агентством по техническому регулированию и метрологии
3 ПРИНЯТ Межгосударственным советом по стандартизации, метрологии и сертификации (протокол от 31 октября 2024 г. N 178-П)
За принятие проголосовали:
Краткое наименование страны по МК (ИСО 3166) 004-97 | Код страны по МК (ИСО 3166) 004-97 | Сокращенное наименование национального органа по стандартизации |
Армения | AM | ЗАО "Национальный орган по стандартизации и метрологии" Республики Армения |
Азербайджан | AZ | Азстандарт |
Беларусь | BY | Госстандарт Республики Беларусь |
Киргизия | KG | Кыргызстандарт |
Россия | RU | Росстандарт |
Узбекистан | UZ | Узбекское агентство по техническому регулированию |
4
Приказом Федерального агентства по техническому регулированию и метрологии от 16 декабря 2024 г. N 1905-ст межгосударственный стандарт ГОСТ ISO 10326-1-2024 введен в действие в качестве национального стандарта Российской Федерации с 1 декабря 2025 г.
5 Настоящий стандарт идентичен международному стандарту ISO 10326-1:2016 "Вибрация. Лабораторный метод оценки вибрации сидений транспортных средств. Часть 1. Общие требования" ("Mechanical vibration - Laboratory method for evaluating vehicle seat vibration - Part 1: Basic requirements", IDT).
Международный стандарт разработан Техническим комитетом TC 108 "Вибрация, удар и контроль состояния" подкомитетом 4 "Воздействие на человека вибрации и ударов" Международной организации по стандартизации (ISO).
При применении настоящего стандарта рекомендуется использовать вместо ссылочных международных стандартов соответствующие им межгосударственные стандарты, сведения о которых приведены в дополнительном
приложении ДА
Информация о введении в действие (прекращении действия) настоящего стандарта и изменений к нему на территории указанных выше государств публикуется в указателях национальных стандартов, издаваемых в этих государствах, а также в сети Интернет на сайтах соответствующих национальных органов по стандартизации.
В случае пересмотра, изменения или отмены настоящего стандарта соответствующая информация будет опубликована на официальном интернет-сайте Межгосударственного совета по стандартизации, метрологии и сертификации в каталоге "Межгосударственные стандарты"
Водители, экипаж и пассажиры транспортных средств (наземных, водных, воздушных), а также самоходных машин подвергаются в процессе движения воздействию вибрации, которая влияет на степень их комфорта, эффективность выполнения рабочих операций, а в некоторых случаях - также на безопасность и здоровье. Такие транспортные средства и машины, как правило, снабжены сиденьями, чья конструкция позволяет снизить общую вибрацию.
Способность сидений снижать передаваемую вибрацию подтверждают в ходе испытаний, проводимых в соответствии с испытательными кодами для сидений машин и транспортных средств разных видов согласно
ГОСТ 12.1.012. Настоящий стандарт устанавливает общие требования к таким испытаниям, которые будут использованы при составлении соответствующих испытательных кодов.
Сиденье представляет собой последний элемент механической системы (подвески), призванной ослабить передаваемую вибрацию от источника. Чтобы сиденье могло эффективно выполнять свою работу, оно должно быть сконструировано с учетом динамических характеристик транспортного средства. В соответствии с этим на основе многочисленных исследований установлены критерии эффективности работы сидений. Соответствие сидений этим критериям не гарантирует полную защиту от вибрации, но способствует существенному снижению риска получения травмы - в первую очередь, повреждения позвоночника.
Настоящий стандарт устанавливает общие требования к лабораторным испытаниям на вибрацию, передаваемую через сиденье транспортного средства или самоходной машины (далее - транспортное средство). Методы измерений и анализа вибрации, установленные в настоящем стандарте, позволяют сравнивать результаты, полученные разными испытательными лабораториями.
Стандарт устанавливает требования к измерительному и испытательному оборудованию, метод оценки передаваемой вибрации и порядок представления результатов.
Настоящий стандарт распространяется на испытания сидений всех видов, используемых в различных транспортных средствах.
Требования настоящего стандарта следует использовать при составлении испытательных кодов для сидений транспортных средств разных видов (далее - испытательных кодов) с учетом особенностей входной вибрации, передаваемой транспортным средством на опору сиденья.
Примечание - Примеры испытательных кодов приведены в библиографии.
В настоящем стандарте использованы нормативные ссылки на следующие стандарты [для датированных ссылок применяют только указанное издание ссылочного стандарта, для недатированных - последнее издание (включая все изменения)]:
ISO 2631-1, Mechanical vibration and shock - Evaluation of human exposure to whole-body vibration - Part 1: General requirements (Вибрация и удар. Оценка воздействия общей вибрации на человека. Часть 1. Общие требования)
ISO 5347 (все части), Methods for the calibration of vibration and shock pick-ups (Методы калибровки датчиков вибрации и удара)
ISO 8041
<1>, Human response to vibration - Measuring instrumentation (Воздействие вибрации на человека. Средства измерений)
--------------------------------
<1> Заменен на ISO 8041-1.
ISO 13090-1, Mechanical vibration and shock - Guidance on safety aspects of tests and experiments with people - Part 1: Exposure to whole-body mechanical vibration and repeated shock (Вибрация и удар. Меры безопасности при проведении испытаний и экспериментов с участием людей. Часть 1. Воздействие общей вибрации и повторяющихся ударов)
ISO 16063 (все части), Methods for the calibration of vibration and shock transducers (Методы калибровки преобразователей вибрации и удара)
В настоящем стандарте не приведены термины с соответствующими определениями.
ИСО и МЭК ведут терминологические базы данных для использования в стандартизации по следующим адресам:
- платформа онлайн-просмотра ИСО: доступна на https://www.iso.org/obp;
- Электропедия МЭК: доступна на http://www.electropedia.org/.
Методы измерений, установленные настоящим стандартом, соответствуют требованиям измерений общей вибрации по ISO 2631-1. Средства измерений и частотные коррекции - по ISO 8041.
Основное испытание на воздействие вибрации включает в себя проведение измерений в условиях, имитирующих реальные условия применения транспортного средства. Если движение транспортного средства может сопровождаться ударами по подвеске сиденья со стороны его опоры (особенно при малом ходе подвески, как, например, у машин напольного транспорта и внедорожных машин), то проводят дополнительные испытания, чтобы убедиться, что отклик сиденья на ударные и переходные процессы будет оставаться в допустимых пределах (см.
приложение A). Метод проведения дополнительных испытаний устанавливают в испытательном коде.
5.1 Измерительная система
Измерительная система включает в себя два канала с идентичными характеристиками для измерения ускорений в месте крепления сиденья к платформе вибростенда и в месте передачи вибрации сидящему на нем человеку (или заменяющему его имитатору).
Требования к элементам измерительной системы (акселерометрам, согласующим усилителям, устройствам сбора и анализа данных, включая устройства записи), в том числе в части динамического диапазона измерений, коэффициента преобразования, погрешности измерений, линейности и перегрузки, устанавливают в испытательном коде.
5.2 Установка акселерометров
5.2.1 Общие положения
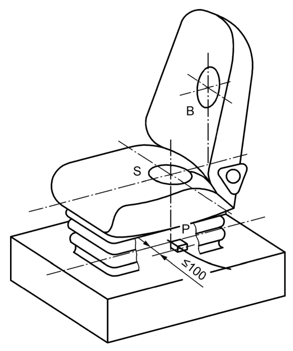
Один из акселерометров устанавливают на платформе вибростенда в месте передачи вибрации на сиденье, другой - на подушке или спинке сиденья в месте его контакта с человеком
(рисунок 1).
P - платформа вибростенда; S - подушка сиденья;
B - спинка сиденья
Рисунок 1 - Расположение акселерометров на платформе
вибростенда, подушке и спинке сиденья
5.2.2 Акселерометр на платформе
Акселерометр на платформе устанавливают в пределах окружности диаметром 200 мм с центром прямо под акселерометром, установленным на сиденье. Направление измерений должно совпадать с направлением движения платформы.
5.2.3 Акселерометр на подушке или спинке сиденья
Для размещения акселерометра на подушке сиденья используют изготовленный из литой резины или пластмассы полужесткий (твердостью 80 - 90 по шкале A Шора) установочный диск диаметром (250 +/- 50) мм симметричной конструкции с внутренней полостью. Толщина диска должна быть минимальной, не превышающей 12 мм. Внутри полости находится металлический диск толщиной (1,5 +/- 0,2) мм и диаметром (75 +/- 5) мм для придания жесткости центру установочного диска и крепления акселерометра посередине диска (см.
рисунок 2).
1 - металлический диск для крепления акселерометра;
2 - акселерометр; 3 - полость для акселерометра
Рисунок 2 - Полужесткий установочный диск
Установочный диск надежно закрепляют на подушке сиденья таким образом, чтобы акселерометр находился посередине между седалищными буграми испытателя, занимающего сиденье. Допуски на положение установочного диска, а также при необходимости другое размещение испытательного диска на подушке сиденья устанавливаются испытательным кодом.
Если испытания проводят в отсутствие испытателя, занимающего сиденье, например при проведении испытания по определению характеристик демпфирования, то диск устанавливают в том же месте, какое бы он занимал в присутствии испытателя.
При проведении измерений на спинке сиденья акселерометр устанавливают в вертикальной плоскости, проходящей через центральную линию сиденья. В испытательном коде определяют высоту установки акселерометра. Измерительные оси должны быть параллельны базицентрической системе координат.
Помимо полужесткого установочного диска, рекомендуемого для мягких или рельефных подушек сиденья, могут применяться жесткие установочные диски с плоской поверхностью или диски специальной формы. Такие диски могут, например, потребоваться при испытании пассажирских сидений рельсового транспорта. Устройство для крепления акселерометра должно быть изготовлено из легкого материала, чтобы резонансная частота установленного акселерометра не менее чем в четыре раза превышала верхнюю границу диапазона частот испытаний.
Ось акселерометра в установочном диске должна совпадать с направлением движения платформы в пределах +/- 15°. При невозможности соблюдения данного условия ускорение измеряют в двух направлениях, после чего векторным суммированием определяют значение ускорения в направлении движения платформы.
Применяемая частотная коррекция - по ISO 8041.
Акселерометры калибруют в соответствии с ISO 16063-1, а также одним из стандартов на методы калибровки серии ISO 5347 или ISO 16063 в зависимости от типа измерительной системы.
Калибровку измерительной цепи в целом проводят по ISO 8041.
Проверку калибровки следует проводить до и после каждой серии измерений.
При необходимости после установки акселерометров в заданное положение выполняют установку нуля усилителя для каждого канала измерительной системы.
6 Испытательное оборудование
Используемый в процессе испытаний вибростенд после установки на его платформу сиденья с испытателем и другим оборудованием должен воспроизводить вибрацию с заданными характеристиками в горизонтальном или вертикальном направлении или в обоих направлениях вместе в зависимости от того, как это определено соответствующим испытательным кодом. Испытательным кодом может быть предусмотрена возможность поворота сиденья на платформе на 90° для создания поочередного возбуждения вдоль осей x и y.
В испытательном коде указывают диапазон частот испытаний и диапазон создаваемых перемещений.
В испытательном коде должны быть также указаны допустимое значение низшей частоты резонанса платформы и допуск на колебания в поперечном направлении с указанием диапазона частот, к которому этот допуск относится.
В испытательном коде должны быть указаны требования к параметрам вибростенда и входящего в его состав оборудования, позволяющие воспроизвести заданное возбуждение в отношении данного объекта испытаний.
Применяемые устройства регулирования испытательного оборудования (рулевое колесо, педали управления и пр.) не должны ухудшать повторяемость результатов испытаний.
Система управления испытаниями должна соответствующим образом компенсировать искажения, связанные с частотной характеристикой вибростенда, чтобы спектральная плотность мощности ускорения и распределение вероятности ускорения на опоре сиденья соответствовали заданному входному воздействию.
7 Требования безопасности
Общие требования безопасности в отношении воздействия на испытателя в ходе испытаний вибрации и повторяющихся ударов - по ISO 13090-1.
Испытательным кодом могут быть предусмотрены дополнительные меры безопасности.
8.1.1 Общие положения
В качестве испытуемого следует выбирать представительный образец данной модели сиденья с точки зрения его конструкции, механических и геометрических характеристик и любых других факторов, способных влиять на результаты испытаний.
Указанные характеристики могут быть разными для разных сидений одного и того же типа. Поэтому рекомендуется проводить испытания на нескольких образцах сидений.
8.1.2 Период приработки для подвески
Подвеска сиденья должна быть подвергнута предварительному воздействию вибрации, чтобы обеспечить свободный ход всех элементов подвески. Период приработки должен быть достаточно продолжительным для достижения стабильного динамического поведения сиденья.
Подача пневматической, гидравлической или электрической энергии к сиденью и ее расход (скорость подачи воздуха или жидкости, электрическое напряжение) должны осуществляться в соответствии с рекомендациями изготовителя. Испытуемое сиденье должно быть нагружено инерционной массой 75 кг +/- 1%, помещенной на подушку сиденья, и отрегулировано в соответствии с инструкциями изготовителя для номинального значения массы испытателя 100 кг.
Примечание - В качестве инерционной массы обычно используют сшитые вместе в форме одеяла плоские мешочки со свинцовой дробью массой примерно 7,5 кг каждый. Десяти таких мешочков достаточно для получения инерционной массы 75 кг.
В период приработки испытуемое сиденье возбуждают на частоте, близкой к частоте собственных колебаний подвески. Амплитуда гармонической вибрации должна составлять 75% амплитуды полного хода подвески сиденья.
В процессе приработки может произойти перегрев амортизатора, поэтому необходимо предусмотреть систему автоматической остановки вибростенда с контролем температуры амортизатора.
Если испытательным кодом предписано проводить испытания с возбуждением вибрации как в вертикальном, так и в горизонтальном направлении, то при смене направления возбуждения приработку сиденья осуществляют заново.
Испытательным кодом могут быть предусмотрены другие условия приработки подвески сиденья.
8.1.3 Определение хода подвески и ее регулировка
Регулировка высоты сиденья может существенно повлиять на результаты испытаний. В связи с этим в испытательном коде должно быть указано, на какую высоту поднимают сиденье для двух разных случаев:
- для сидений, у которых ход подвески зависит от высоты поднятия сиденья или от массы испытателя, включая конструкции, у которых поднятие сиденья сопровождается эквивалентным уменьшением хода подвески (интегральный ход подвески), испытания проводят для сиденья в низшем положении, при котором обеспечивается полный ход подвески, указанный изготовителем;
- для сидений, у которых ход подвески не зависит от высоты поднятия сиденья или от массы испытателя, испытания проводят для сиденья, установленного в среднем положении.
Установление высоты сиденья требует определения положений верхнего и нижнего ограничителей хода подвески. Рекомендуемая процедура зависит от типа подвески:
a) для подвесок с ручной регулировкой под массу испытателя рекомендуется следующая процедура.
Положение верхнего ограничителя определяют при отсутствии нагрузки на сиденье и регулировке подвески под испытателя с большей массой (например, 100 кг).
Нижнюю границу хода подвески (с учетом сжатия нижнего отбойника) определяют с нагрузкой 1500 Н при подвеске, отрегулированной под испытателя с меньшей массой (например, 55 кг);
b) для подвесок с автоматической регулировкой (обычно пневматической) под массу испытателя рекомендуется следующая процедура.
Положение верхней границы хода подвески определяют в ходе динамических испытаний, которые начинают с того, что испытатель с большей массой (например, 100 кг) занимает место на сиденье при высоте сиденья, отрегулированной в среднее положение (для сидений с интегральным ходом подвески - в конструктивно максимально высокое положение). После этого испытатель резко встает с сиденья - так, чтобы подвеска достигла верхнего ограничителя. Наивысшее положение сиденья в ходе данного испытания определяет положение верхнего ограничителя.
Чтобы определить нижнюю границу хода подвески, выбирают ход подвески полностью до соприкосновения с нижним ограничителем (при необходимости для этого добавляют инерционную массу на сиденье). После этого сжимают подвеску дополнительно усилием 1000 Н (или добавлением массы 100 кг). Зафиксированное нижнее положение сиденья соответствует нижней границе хода подвески.
Если конструкция сиденья не позволяет применить рекомендованный метод испытаний, должен быть предложен альтернативный способ определения параметров хода подвески.
В протокол испытаний включают следующую информацию:
- полный рабочий ход подвески (как определено изготовителем);
- измеренный рабочий ход подвески или, в случае интегрального хода подвески, измеренный полный ход подвески;
- положение сиденья во время испытаний на вибрацию (расстояние от нижней границы хода подвески);
- возможности регулировки сиденья по высоте с учетом указанного изготовителем рабочего хода подвески (для подвески с интегральным ходом).
Примечание 1 - Рекомендуется в ходе испытаний на вибрацию осуществлять непрерывный визуальный контроль показателей (электрических или механических) высоты поднятия сиденья (она может изменяться, например, при изменении температуры демпфера подвески) и при необходимости вносить соответствующие поправки. Такой контроль необходим также для определения верхней границы хода подвески при наличии у нее автоматической регулировки под массу испытателя.
Примечание 2 - Контроль высоты поднятия сиденья вместе с использованием возбуждения в виде коротких импульсов с синусоидальным заполнением может снизить погрешность в определении высоты сиденья, появляющуюся из-за трения в системе подвески.
8.1.4 Регулировка наклона спинки
Для сидений с регулируемым положением спинки ее следует устанавливать в почти вертикальное положение с небольшим наклоном назад (в пределах 10° +/- 5°).
Для сидений с подвеской в испытательном коде должны быть указаны массы двух испытателей, соответствующие уровням репрезентативности 5% и 95% всей популяции людей, пользующихся данными сиденьями. Для испытателя с меньшей массой рекомендуемый допуск составляет

, для испытателя с большей массой -

.
Действующие испытательные коды устанавливают требования к массе испытателей, измеренной обычным методом для положения стоя. Однако воспроизводимость результатов испытаний может быть улучшена, если требование устанавливать не к общей массе испытателя, а к той ее части, которая опирается на сиденье и которую можно принять приблизительно равной 75% общей массы. В испытательных кодах
[2],
[5],
[6] массы двух испытателей определены в диапазонах от 52 до 55 кг и от 98 до 103 кг. Тогда масса тела, опирающаяся на сиденье, составит от 39 до 41 кг для испытателя с меньшей массой и от 74 до 77 кг для испытателя с большей массой.
Массу тела, опирающуюся на сиденье, измеряют с помощью твердого плоского сиденья без спинки, установленного на опору весов. Во время измерений испытатель находится на сиденье в позе выпрямившись, а его ноги опираются на ту же поверхность, на которую установлены весы. Руки испытателя должны покоиться на бедрах, находящихся в горизонтальном положении и не соприкасающихся с сиденьем. Положение голеней должно быть близким к вертикальному.
Взвешивание выполняют непосредственно перед каждой серией измерений.
В протоколе испытаний желательно указывать полученные в результате измерений соотношения между общей массой тела и массой тела, опирающейся на сиденье, для каждого испытателя.
Чтобы удовлетворить требованиям по массе испытателей, допускается использовать дополнительные грузы. В целях улучшения воспроизводимости предпочтительно использовать дополнительный груз в виде жесткого диска (или листа из твердого материала), на который садится испытатель. Установочный диск располагают между подушкой сиденья и дополнительным грузом. Масса дополнительного груза не должна превышать 5 кг для испытателя с меньшей массой и 8 кг для испытателя с большей массой. Использование дополнительных грузов и возможностей в отношении условий испытаний (например, проведение испытаний только с одним испытателем) должно быть отражено в испытательном коде.
В испытательном коде должна быть установлена также поза, которую испытатель принимает во время испытаний. Она может быть определена соотношением высоты сиденья и расстояния от сиденья до ступней ног с указанием о наличии или отсутствии рулевого колеса и его положении. Кроме этого следует указывать рекомендуемый метод контроля правильности занятой позы (например, посредством измерения углов сгиба в суставах). Пример позы испытателя и параметров, позволяющих контролировать ее правильность, приведен на
рисунке 3.
1 - спинка сиденья; 2 - подушка сиденья; 3 - установочный
диск с акселерометром на подушке сиденья (S); 4 - подвеска
сиденья; 5 - платформа вибростенда; 6 - акселерометр,
установленный на поверхности платформы (P);
7 - опора сиденья
Рисунок 3 - Поза испытателя
При испытаниях подвески сиденья вибрация на платформе может через ноги испытателя передаваться на подушку сиденья, давая дополнительный вклад в измеряемое на подушке ускорение. Предотвратить это можно, подбирая высоту опоры для ног таким образом, чтобы испытатель, находясь на отрегулированном по высоте сиденье, не ощущал давления на бедра со стороны переднего края сиденья. Это можно проверить по субъективным ощущениям или простыми техническими способами, например, проводя листом бумаги между бедрами и поверхностью сиденья.
Примечание - Обычно удобнее сначала установить высоту сиденья, а потом отрегулировать высоту опоры для ног.
До начала испытаний испытатели должны пройти тренировку, чтобы привыкнуть сохранять неизменным установленное положение тела относительно сиденья в течение длительного времени.
8.3 Другие условия испытаний
В целях безопасности испытательным кодом могут быть предложены условия испытаний без участия в них человека.
В испытательном коде должен быть установлен один или несколько методов испытаний для определения динамических свойств сиденья, по результатам которых принимают решение, соответствует ли сиденье своему назначению. Используемая в этих методах степень жесткости входного возбуждения должна соответствовать обычным (не экстремальным) условиям эксплуатации сиденья. Эксплуатационные свойства сиденья характеризуют результаты измерений вибрации на его поверхности в точке контакта с испытателем при заданном входном возбуждении.
Дополнительно могут быть проведены испытания по определению передаточных характеристик сиденья на разных частотах возбуждения (например, с целью регулировки этих характеристик в зависимости от вида транспортного средства). Данные испытания проводят, возбуждая гармоническую вибрацию в требуемом диапазоне частот (см.
9.4).
Для сидений с подвеской, устанавливаемых на внедорожных машинах, проводят испытания по определению способности подвески гасить кратковременные колебания большой амплитуды или удары. В процессе таких испытаний возбуждают синусоидальную вибрацию на частоте, близкой к резонансной частоте сиденья, и измеряют максимальную вибрацию на поверхности сиденья с нагрузкой, заменяющей человека-испытателя со средними характеристиками (например, с инерционной массой согласно
8.1.2).
В некоторых случаях, например для сидений с коротким ходом подвески (какие обычно используют в напольном транспорте и внедорожных машинах), может потребоваться проведение дополнительных испытаний, чтобы убедиться, что при очень больших колебаниях подвески сиденья ограничители хода подвески работают таким образом, чтобы максимальное ускорение сиденья сохранялось на приемлемом уровне. Общие рекомендации по проведению таких испытаний приведены в
приложении A. В испытательном коде такие испытания могут быть описаны более подробно.
9.2 Моделируемое входное воздействие
Моделируемое входное воздействие должно быть определено в зависимости от вида транспортного средства либо через функцию спектральной плотности мощности ускорения, либо в виде акселерограммы, представляющей собой временную запись типичного реального воздействия вибрации на сиденье в процессе его эксплуатации.
Если входное воздействие определяют через спектральную плотность мощности, форма этой характеристики вместе с границами допуска должна быть определена в соответствующем испытательном коде. Форма спектральной плотности мощности может быть задана комбинацией передаточных функций двух фильтров Баттерворта (нижних и верхних частот), в совокупности составляющих полосовой фильтр. Должны быть указаны частоты среза фильтров и крутизна спадов частотных характеристик.
Если входное воздействие определено посредством акселерограммы, то в испытательном коде должно быть определено число точек в выборке, частота выборки, разрешение по амплитуде и частоте. Кроме того, должны быть определены границы допуска для сигнала.
Испытательным кодом может также быть установлено, что вибрация в месте крепления сиденья на платформе вибростенда подчиняется определенному закону распределения, задаваемому через функцию плотности вероятности.
Для обоих видов входного воздействия в испытательном коде должно быть указано воспроизводимое среднеквадратическое значение ускорения платформы вибростенда awP.
Примечание 1 - Пример входного воздействия, заданного через спектральную плотность мощности ускорения, приведен в
приложении B.
Примечание 2 - Воспроизводимость результатов испытаний можно улучшить, если испытательные лаборатории будут использовать единое входное возбуждение. Запись такого возбуждения может быть приведена в соответствующем испытательном коде.
9.3 Границы допуска для входного воздействия
Для обеспечения воспроизводимости результатов испытаний в испытательном коде должны быть установлены допуски на характеристики входного воздействия следующим образом:
a) среднеквадратичное значение ускорения: допуск устанавливают как на сам сигнал (т.е. в широкой полосе частот от
f1 до
f2 - см.
приложение B), так и на доминирующий пик в спектре вибрации (от
f3 до
f4). Опыт показывает, что данный параметр возбуждения может быть реализован в пределах допуска +/- 5%;
b) плотность распределения значений сигнала: если к тестовому сигналу предъявлено требование нормальности распределения, то его соблюдение подтверждают следующим образом.
Строят гистограмму временного процесса при частоте выборки не менее 50 Гц и интервале каждого класса гистограммы не более 20% среднеквадратичного значения ускорения широкополосного сигнала. В пределах +/- 200% среднеквадратичного значения частоты каждого класса гистограммы не должны отличаться от теоретической кривой более чем на +/- 20%. Кроме того, все точки выборки должны лежать в диапазоне +/- 450% среднеквадратичного значения;
c) спектральная плотность мощности ускорения: при условии, что произведение времени записи сигнала Ts на полосу разрешения по частоте Be удовлетворяет неравенству
2BeTs > 140, (1)
кривая спектральной плотности мощности может быть воспроизведена в пределах допуска +/- 10%. В соответствующем испытательном коде может быть установлен иной допуск, например +/- 10% максимального значения спектральной плотности мощности ускорения.
Примечание - Определение спектральной плотности мощности зависит от способа ее расчета. На практике в большинстве случаев для расчета можно использовать следующие данные:
- частота выборки: 200 Гц

;
- объем одного блока данных: 512 выборочных значений (

, и условие 2
BeTs = 140 выполняется для записи длиной 180 с);
- применяется временное окно Ханна с перекрытием между записями 50%.
Для расчета среднеквадратичного значения согласно перечислению a) частоты
f1,
f2,
f3,
f4 выбирают таким образом, чтобы обеспечить простую интерполяцию по оценкам спектральной плотности мощности. Другой вариант - определение указанных частот по записи, включающей 2048 выборочных значений

.
9.4 Определение передаточной функции сиденья при гармоническом возбуждении
Испытания по определению передаточной функции проводят при участии двух испытателей (см.
8.2). В испытательном коде должны быть указаны зависимость амплитуды и фазы гармонического воздействия от частоты, интервал между частотами возбуждения, время перехода от одной частоты к другой и длительность воздействия на каждой частоте.
9.5 Определение характеристик демпфирования
9.5.1 Сиденья с подвеской
Испытательным кодом должны быть установлены характеристики возбуждения (случайного или гармонического), используемого для оценки демпфирующих свойств сиденья. Гармоническую вибрацию возбуждают на частоте резонанса подвески, которую определяют, подавая на сиденье вибрацию сиденья в диапазоне от половинного до удвоенного значения предполагаемой частоты резонанса. Размах перемещения как при поиске резонанса, так и при испытаниях на резонансе должен быть равен меньшему из двух значений: 40% полного хода подвески или 50 мм. Все испытания проводят при нагрузке сиденья, отрегулированного в соответствии с
8.1.3, инерционной массой (75 +/- 0,75) кг (см.
примечание к 8.1.2).
Для подвески с активным демпфером указанные параметры испытаний могут быть недостижимы. В этом случае может быть снижен уровень входного возбуждения или уменьшена инерционная масса (например, до 60 кг).
9.5.2 Другие виды сидений
В испытательном коде могут быть установлены условия испытаний на демпфирование для сидений других видов аналогично
9.5.1 с внесением необходимых изменений.
Испытуемое сиденье устанавливают на платформу вибростенда и закрепляют на ней согласно требованиям соответствующего испытательного кода. Проводят проверку требований безопасности и калибровку средств измерений. Прежде чем приступать к испытаниям по определению характеристик демпфирования и испытаниям на воздействие вибрации проводят приработку подвески сиденья (см.
8.1.2).
10.2 Испытания с моделируемым входным воздействием
10.2.1 После того как испытатель занял свое место на сиденье, вибростенд должен воспроизвести заданное входное вибрационное воздействие.
В испытательном коде должна быть указана длительность непрерывной вибрации в ходе каждого испытания, достаточная для обеспечения необходимой для анализа длины записи данных.
Испытания повторяют до тех пор, пока в трех последовательных испытаниях не будут получены среднеквадратичные значения корректированного ускорения сиденья aw, лежащие в пределах +/- 5% их среднеарифметического значения. Данное среднеарифметическое значение принимают за среднеквадратичное значение корректированного ускорения сиденья awS.
В процессе каждого испытания спектральная плотность мощности ускорения платформы вибростенда должна быть в пределах допуска согласно
9.2. Среднеарифметическое трех значений
aw, измеренных на платформе, принимается за среднеквадратичное значение корректированного ускорения платформы
awP.
Установлено, что короткий (до 10 мин) период прогрева сиденья с возбуждением вибрации улучшает повторяемость результатов испытаний. В связи с этим указанный прогрев сиденья, нагруженного испытателем или инерционной массой (см.
8.1.2), рекомендуется выполнять непосредственно перед каждой серией измерений.
10.2.2 Если целью испытаний с моделируемым входным воздействием, установленным в испытательном коде, является получение коэффициента SEAT, характеризующего передаточные свойства сиденья, его определяют по формуле

(2)
где
awS и
awP - характеристики, определенные по
10.2.1.
10.2.3 Если целью испытаний с моделируемым воздействием является получение оценки абсолютного значения параметра вибрации, которая будет воздействовать на человека со стороны транспортного средства, полученное значение
awS должно быть скорректировано таким образом, чтобы учесть разницу между параметром входного воздействия
awP и этой же характеристикой в предполагаемых условиях применения транспортного средства

. Корректированное значение

рассчитывают по формуле

(3)
или по формуле

(4)
10.3 Испытания для определения характеристик демпфирования
Сиденье нагружают инерционной массой (75 +/- 0,75) кг (см.
8.1.2).
Основание сиденья возбуждают вибрацией с заданным размахом перемещения на частоте резонанса подвески fr.
Испытания повторяют до тех пор, пока в трех последовательных испытаниях не будут получены среднеквадратичные значения ускорения сиденья, лежащие в пределах +/- 5% их среднеарифметического значения. Среднеарифметическое значение, удовлетворяющее указанному условию, обозначают aS(fr).
Находят соответствующее среднеарифметическое трех среднеквадратичных значений ускорения, измеренных на платформе, aP(fr).
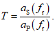
Коэффициент передачи сиденья на резонансе T рассчитывают по формуле

(5)
В испытательном коде должны быть приведены приемочные значения для испытания на воздействие заданной вибрацией и для испытания по определению характеристики демпфирования.
Приемочное значение для испытания на моделируемое воздействие задается либо в виде максимального значения SEAT, либо в виде максимального значения корректированной величины

. Испытания считают успешными, если для каждого испытателя будут получены результаты, не превышающие установленных приемочных значений.
Для испытаний на демпфирующие свойства сиденья приемочное значение должно быть указано в виде допустимого значения коэффициента передачи на резонансе T.
В протоколе испытаний указывают следующие сведения:
a) наименование и адрес предприятия - изготовителя сиденья;
b) модель сиденья, ее заводской номер;
c) дату проведения испытаний;
d) период приработки сиденья в часах;
e) тип измерительного оборудования и сведения об используемом установочном диске (жесткий или полужесткий);
f) характеристики моделируемого входного воздействия;
g) вибрацию, воздействующую на испытателя в процессе испытания с моделируемым воздействием:
- массу испытателя, кг,
- значение SEAT и (или)
- корректированное значение

;
h) коэффициент передачи на резонансе, определенный по результатам испытаний на определение демпфирующих свойств сиденья, и значение частоты резонанса (или, в качестве альтернативного варианта, передаточная функция, полученная при гармоническом возбуждении);
i) лицо, ответственное за проведение испытаний;
j) сведения об испытательной лаборатории, проводившей испытания.
(рекомендуемое)
ИСПЫТАНИЕ ДЛЯ ПОДТВЕРЖДЕНИЯ СПОСОБНОСТИ ПОДВЕСКИ СИДЕНЬЯ
КОМПЕНСИРОВАТЬ УДАРНЫЕ ВОЗДЕЙСТВИЯ
A.1 Общие положения
Настоящее приложение устанавливает лабораторный метод измерений и оценки эффективности подвески сиденья с точки зрения снижения общей вибрации в вертикальном направлении в условиях применения транспортного средства, способных привести к повышенным перемещениям сиденья.
Метод применим к сиденьям оператора следующих транспортных средств:
a) напольного транспорта;
b) землеройных машин (только для классов, указанных в
[5]);
c) сельскохозяйственных тракторов;
d) лесовозных автопоездов.
Это испытание может служить дополнением к испытаниям по
разделу 10, установленным соответствующими испытательными кодами (например,
[2],
[5],
[6]), но не заменяя их.
A.2 Условные обозначения
В настоящем приложении использованы следующие условные обозначения:
aarb - амплитуда ускорения на платформе у основания сиденья, м/с2;
aw - корректированное ускорение, м/с2 (частотная коррекция Wk - по ISO 2631-1);
f - частота, Гц;
t - время, с;
t0 - момент начала возбуждения;
t1 - момент окончания возбуждения;
tM - момент окончания измерения;
VDV - доза вибрации, м/с1,75;
x - перемещение платформы у основания сиденья, м;

- ускорение на платформе у основания сиденья, м/с
2;
L2,5 - доза вибрации испытательного груза, равная 2,5 м/с1,75;
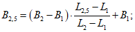
B2,5 - доза вибрации основания сиденья, соответствующая L2,5;
L7,5 - доза вибрации испытательного груза, равная 7,5 м/с1,75;
B7,5 - доза вибрации основания сиденья, соответствующая L7,5;
L1, B1 - дозы вибрации испытательного груза и основания сиденья соответственно при измерениях с VDV испытательного груза от 2,375 до 2,5 м/с1,75;
L2, B2 - дозы вибрации испытательного груза и основания сиденья соответственно при измерениях с VDV испытательного груза от 2,5 до 2,625 м/с1,75;
L3, B3 - дозы вибрации испытательного груза и основания сиденья соответственно при измерениях с VDV испытательного груза от 7,125 до 7,5 м/с1,75;
L4, B4 - дозы вибрации испытательного груза и основания сиденья соответственно при измерениях с VDV испытательного груза от 7,5 до 7,875 м/с1,75;
R - отношение изменения VDV испытательного груза к изменению VDV основания при VDV испытательного груза между 2,5 и 7,5 м/с1,75.
A.3 Условия и процедура испытания
A.3.1 Установка сиденья
Сиденье устанавливают на горизонтальной платформе вибростенда, совершающей движения в вертикальном направлении вдоль оси z, как предписано испытательным кодом. Размеры платформы должны быть достаточными для нормальной установки сиденья.
Вибростенд должен обладать способностью воспроизводить гармоническую вибрацию на частоте 2 Гц с размахом перемещения не менее 60 мм.
A.3.2 Регулировка сиденья
Сиденье должно быть приработано в соответствии с указаниями изготовителя.
Сиденье устанавливают в среднем положении под массу испытателя 98 кг (что соответствует инерционной массе 75 кг) в соответствии с инструкцией изготовителя. При отсутствии такой инструкции сиденье устанавливают таким образом, чтобы его положение соответствовало средней точке характеристики "сила-деформация", построенной в диапазоне от 0 до 1500 Н для заданной конфигурации сиденья.
Примечание - Ряд сидений имеют регулятор настройки под полную массу водителя (оператора), хотя на сиденье воздействует только приблизительно 75% этой массы.
После регулировки положения сиденья его подвергают воздействию низкоуровневого возбуждения (с размахом перемещения на платформе не более 5 мм) на частоте, приблизительно в три раза превышающей частоту резонанса сиденья. Эту процедуру повторяют до тех пор, пока сиденье не займет заданное среднее положение.
Для сидений, у которых ход подвески не зависит от высоты поднятия сиденья или от массы испытателя, испытания проводят для положения сиденья посередине хода подвески. Для остальных сидений испытания проводят в крайних нижнем и верхнем положениях регулировки сидения, при этом результат испытаний будет успешным, если он успешен для каждого из этих положений. Изготовитель сиденья указывает, как различные сочетания высоты сиденья и массы повлияют на ход подвески в процессе испытаний.
Если сиденье способно перемещаться взад-вперед, его устанавливают посередине диапазона перемещений.
Подушка сиденья должна быть расположена горизонтально (при наличии соответствующей регулировки).
При наличии регулировки спинки сиденья она должна быть отклонена назад на угол приблизительно 10° от вертикали.
Если сиденье способно поворачиваться вокруг своей оси, оно должно быть зафиксировано в положении, когда находящийся в нем человек смотрит на панель приборов.
Элементы подвески, конструктивно рассчитанные на движения сиденья, иные, чем поступательное движение в вертикальном направлении, должны быть заблокированы (демонтированы).
A.3.3 Испытательный груз
Испытательный груз представляет собой жесткое тело массой 75 кг. При установке на сиденье центр тяжести массы должен находиться на линии, проходящей через продольную ось сиденья (ось
y), и на расстоянии 40 мм впереди от контрольной точки сиденья (см.
[3]). Площадь контакта груза с поверхностью подушки сиденья - в соответствии с
[3]. Трение груза со спинкой сиденья должно быть сведено к минимуму, например, путем разделения соприкасающихся поверхностей муслиновой тканью или другим аналогичным материалом.
Устройство фиксации груза на сиденье должно предотвращать его падение с сиденья во время испытаний (например, во время соударения с ограничителями), но в то же время не препятствовать перемещениям в вертикальном направлении (вдоль оси z).
Во время испытаний положение груза на сиденье должно контролироваться. При изменении положения груза его следует возвращать в первоначальное положение.
Испытательный груз должен находиться на поверхности сиденья не менее 3 мин, но не более 4 ч перед началом испытаний.
A.3.4 Условия испытания
Испытание проводят при температуре воздуха (20 +/- 8) °C.
Перед началом испытания сиденье должно быть выдержано в заданных климатических условиях испытаний не менее 4 ч.
Во время испытания ни одна часть сиденья не должна нагреваться до температуры более 40 °C.
A.3.5 Входное возбуждение
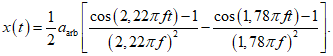
На интервале времени от t0 до t1 длительностью 4,5/f сиденье подвергают воздействию вибрации, определяемой:

(A.1)
b) через перемещение x по формуле

(A.2)
X - время в единицах 4,5/f; Y - ускорение платформы
в единицах aarb
Рисунок A.1 - Сигнал ускорения платформы вибростенда
Частота
f в
формулах (A.1) и
(A.2) - центральная частота спектра сигнала вибрации, применяемого для испытаний сидений данного вида транспортного средства (см.
[2],
[5],
[6]).
A.3.6 Допуск на входное возбуждение
Допуск должен быть задан в виде максимально возможного отклонения от номинальной кривой, показанной на
рисунке A.1.
A.3.7 Средства измерений
A.3.7.1 Преобразователи вибрации
Ускорение на платформе вибростенда измеряют посредством акселерометра, установленного согласно
5.2.2.
Ускорение испытательного груза измеряют посредством акселерометра, жестко закрепленного на грузе максимально близко к поверхности сиденья. Ось чувствительности акселерометра должна проходить через центр тяжести груза.
A.3.7.2 Система сбора данных
Система преобразования и анализа данных - по ISO 8041.
A.3.8 Испытание
В ходе испытания определяют угол наклона прямой между двумя заданными точками на графике зависимости дозы вибрации на испытательном грузе от дозы вибрации на платформе вибростенда. Эти точки определены таким образом, чтобы описать отклик сиденья при больших перемещениях подвески, приводящих к соударению с ограничителем. Данные точки определены в отношении дозы вибрации VDV испытательного груза, и каждая из них должна быть получена в результате интерполяции по двум точкам, полученным в ходе измерений, из которых одна точка соответствует большему значению, а другая - меньшему значению, чем заданная доза вибрации.
Возбуждение заданного вида (см.
рисунок A.1) воспроизводят несколько раз с разными амплитудами
aarb до тех пор, пока не получат два значения дозы вибрации испытательного груза в диапазоне от 2,375 до 2,625 м/с
1,75.
Одно из указанных значений, L1, должно находиться в диапазоне от 2,375 до 2,5 м/с1,75. Ему соответствует доза вибрации на платформе B1. Другое из этих значений, L2, должно находиться в диапазоне от 2,5 до 2,625 м/с1,75. Ему соответствует доза вибрации на платформе B2.
После этого амплитуду входного возбуждения aarb увеличивают, чтобы получить два значения дозы вибрации испытательного груза в диапазоне от 7,125 до 7,875 м/с1,75. Одно из указанных значений, L3, должно находиться в диапазоне от 7,125 до 7,5 м/с1,75. Ему соответствует доза вибрации на платформе B3. Другое из этих значений, L4, должно находиться в диапазоне от 7,5 до 7,875 м/с1,75. Ему соответствует доза вибрации на платформе B4.
Точки, получаемые в соответствии с описанной процедурой, и соответствующие интерполяции показаны на
рисунке A.2.
a) Общий вид зависимости
b) Участок A
c) Участок B
X - VDV для корректированного ускорения на платформе,
м/с1,75; Y - VDV для корректированного ускорения
испытательного груза, м/с1,75
Рисунок A.2 - Пример результатов испытаний
Дозу вибрации VDV, м/с1,75, рассчитывают по формуле

(A.3)
где aw - корректированное ускорение с применением частотной коррекции Wk, м/с2;
tM - момент завершения измерений, tM = t1 + 1 с (т.е. процедура измерений заканчивается на секунду позже завершения процедуры возбуждения).
Испытание должно быть прервано, если максимальное перемещение платформы вибростенда превысит значение, установленное соответствующим испытательным кодом.
Испытание может быть дополнено процедурой, выполняемой до и после испытания, в процессе которой сиденье подвергают некоторому заданному возбуждению с целью убедиться, что характеристики сиденья после проведения испытания остались неизменными.
В случае большого разброса экспериментальных данных линейная интерполяция может быть заменена интерполяцией сглаживающими кривыми.
A.4 Обработка полученных данных
Значения доз вибрации на платформе вибростенда, соответствующие заданным дозам вибрации испытательного груза, получают линейной интерполяцией по формулам:

(A.4)

(A.5)
Конечной измеряемой величиной будет отношение изменения дозы вибрации нагрузки к изменению дозы вибрации платформы при VDV испытательного груза между 2,5 и 7,5 м/с1,75, вычисляемое по формуле

(A.6)
A.5 Приемочное значение
Приемочное значение устанавливают в отношении величины
R, рассчитываемой по
формуле (A.6). Полученное в ходе испытания значение
R не должно превышать предельного значения, установленного соответствующим испытательным кодом.
A.6 Протокол испытаний
Помимо сведений, указанных в
разделе 12, в протоколе испытаний приводят также значения
R,
L2,5 и
L7,5. Протокол можно также дополнить графиком зависимости дозы вибрации испытательного груза от дозы вибрации на платформе вибростенда.
Должны быть указаны границы и среднее значение перемещения сиденья в ходе испытаний вместе с описанием способа получения этих данных.
(справочное)
ПРИМЕР ВХОДНОГО ВОЗДЕЙСТВИЯ, ЗАДАВАЕМОГО ЧЕРЕЗ СПЕКТРАЛЬНУЮ
ПЛОТНОСТЬ МОЩНОСТИ УСКОРЕНИЯ
В данном примере рассматривается ожидаемое низкочастотное возбуждение сиденья водителя вилочного автопогрузчика в жестких, но типичных условиях его работы (спектральный класс вибрационного воздействия IT 1 по
[6]).
Спектральная плотность мощности ускорения имеет вид, как показано на
рисунке B.1.
X - частота, Гц; Y - спектральная плотность мощности
ускорения

, (м/с
2)
2/Гц;
1 - номинальная кривая;
2 - пределы допуска
Рисунок B.1 - Пример сигнала возбуждения
Аналитическое выражение спектральной плотности мощности задается формулой

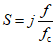
(B.1)
где

;

;

;
j - мнимая единица,

;
f - частота, Гц;
fс - частота среза, Гц (для HP24 fс = 4,5 Гц; для LP12 fс = 5 Гц).
Максимальное значение

равно 0,58 (м/с
2)
2/Гц. Границы допуска

на
рисунке B.1 определены как 10% максимального значения

, т.е.

.
Кривые верхней Gupper(f) и нижней Glower(f) границ допуска имеют вид:

, если

, и
Glower(
f) = 0, если

Диапазоны частот широкополосной вибрации и доминирующего спектрального пика определены граничными значениями:
f1 = 0,89 Гц;
f1 = 17,78 Гц;
f1 = 4,00 Гц;
f1 = 7,00 Гц.
Расчетные среднеквадратичные значения ускорения на платформе вибростенда приведены в
таблице B.1.
Таблица B.1
Расчетные среднеквадратичные значения ускорения на платформе
Диапазон частот | Среднеквадратичное значение ускорения, м/с2 |
без частотной коррекции | с частотной коррекцией |
От f1 до f2 | 1,58 | 1,59 |
От f3 до f4 | 1,20 | 1,25 |
Примечание - Среднеквадратичные значения ускорения на платформе рассчитаны для  и комплексных аналитических функций, приведенных в ISO 2631-1. Другие значения  дадут несколько отличающиеся результаты. |
(справочное)
СВЕДЕНИЯ О СООТВЕТСТВИИ ССЫЛОЧНЫХ МЕЖДУНАРОДНЫХ СТАНДАРТОВ
МЕЖГОСУДАРСТВЕННЫМ СТАНДАРТАМ
Таблица ДА.1
Обозначение ссылочного международного стандарта | Степень соответствия | Обозначение и наименование соответствующего межгосударственного стандарта |
ISO 2631-1 | MOD | ГОСТ 31191.1-2004 "Вибрация и удар. Измерение общей вибрации и оценка ее воздействия на человека. Часть 1. Общие требования" |
ISO 5347 (все части) | - | |
ISO 8041 | IDT | |
ISO 13090-1 | MOD | ГОСТ 31194.1-2004 "Вибрация и удар. Меры безопасности при проведении испытаний с участием людей. Общие требования" |
ISO 16063 (все части) | IDT | |
<*> Соответствующий межгосударственный стандарт отсутствует. До его принятия рекомендуется использовать перевод на русский язык данного международного стандарта. Примечание - В настоящей таблице использованы следующие условные обозначения степени соответствия стандартов: - IDT - идентичные стандарты; - MOD - модифицированные стандарты. |
--------------------------------
<1> В Российской Федерации действует
ГОСТ Р 59701.1-2022 (ИСО 8041-1:2017) "Вибрация. Средства измерений общей и локальной вибрации. Часть 1. Виброметры общего назначения".
<2> Введены также следующие части ISO 16063 по определению коэффициента преобразования преобразователей вибрации и удара:
-
ГОСТ ISO 16063-11-2013 "Вибрация. Методы калибровки датчиков вибрации и удара. Часть 11. Первичная вибрационная калибровка методами лазерной интерферометрии";
-
ГОСТ ISO 16063-12-2013 "Вибрация. Методы калибровки датчиков вибрации и удара. Часть 12. Первичная вибрационная калибровка на основе принципа взаимности";
-
ГОСТ ISO 16063-21-2013 "Вибрация. Методы калибровки датчиков вибрации и удара. Часть 21. Вибрационная калибровка сравнением с эталонным преобразователем".
[1] | ISO 2041 | Mechanical vibration, shock and condition monitoring - Vocabulary (Вибрация. Удар и контроль состояния) |
| ISO 5007 | Agricultural wheeled tractors - Operator's seat - Laboratory measurement of transmitted vibration (Тракторы сельскохозяйственные колесные. Сиденье оператора. Лабораторные измерения передаваемой вибрации) <1> |
| ISO 5353 | Earth-moving machinery, and tractors and machinery for agriculture and forestry - Seat index point (Машины землеройные, тракторы и машины для сельского и лесного хозяйства. Контрольная точка сиденья) |
[4] | ISO 5805 | Mechanical vibration and shock - Human exposure - Vocabulary (Вибрация и удар. Воздействие на человека. Словарь) |
| ISO 7096 | Earth-moving machinery - Laboratory evaluation of operator seat vibration (Машины землеройные. Лабораторная оценка вибрации сиденья оператора) <2> |
| EN 13490+A1 | Mechanical vibration - Industrial trucks - Laboratory evaluation and specification of operator seat vibration (Вибрация. Напольный транспорт. Оценка вибрации сиденья оператора по результатам лабораторных испытаний и требования при приемке) <3> |
[7] | EN 15059+A1 | Snow grooming equipment - Safety requirements (Техника снегоуборочная. Требования безопасности) |
[8] | DIN 45678 | Mechanical vibration - Articulated trucks - Laboratory method for evaluating vehicle seat vibration (Вибрация. Автопоезда. Лабораторный метод оценки вибрации сиденья транспортного средства) |
--------------------------------
<1> Рекомендуется применять гармонизированный стандарт
ГОСТ 31316-2006 "Вибрация. Лабораторный метод оценки вибрации, передаваемой через сиденье оператора машины. Тракторы сельскохозяйственные колесные".
<2> Рекомендуется применять гармонизированный стандарт
ГОСТ ISO 7096-2016 "Машины землеройные. Лабораторная оценка вибрации сиденья оператора".
<3> Рекомендуется применять гармонизированный стандарт
ГОСТ 31318-2006 "Вибрация. Лабораторный метод оценки вибрации, передаваемой через сиденье оператора машины. Напольный транспорт".
УДК 628.5:006.354 | | IDT |
Ключевые слова: вибрация, транспортное средство, сиденье, передаточная характеристика, измерения |