Главная // Актуальные документы // Актуальные документы (обновление 2025.01.06-2025.02.01) // ПНСТ (Предварительный национальный стандарт)СПРАВКА
Источник публикации
М.: ФГБУ "Институт стандартизации", 2024
Примечание к документу
Документ
вводится в действие с 01.03.2025 на период до 01.03.2028 (
Приказ Росстандарта от 14.10.2024 N 60-пнст).
Название документа
"ПНСТ 947-2024. Предварительный национальный стандарт Российской Федерации. Заполнители пористые для легких бетонов, используемых при строительстве нефтегазовых морских сооружений. Рекомендации по проведению испытаний"
(утв. и введен в действие Приказом Росстандарта от 14.10.2024 N 60-пнст)
"ПНСТ 947-2024. Предварительный национальный стандарт Российской Федерации. Заполнители пористые для легких бетонов, используемых при строительстве нефтегазовых морских сооружений. Рекомендации по проведению испытаний"
(утв. и введен в действие Приказом Росстандарта от 14.10.2024 N 60-пнст)
Утвержден и введен в действие
агентства по техническому
регулированию и метрологии
от 14 октября 2024 г. N 60-пнст
ПРЕДВАРИТЕЛЬНЫЙ НАЦИОНАЛЬНЫЙ СТАНДАРТ РОССИЙСКОЙ ФЕДЕРАЦИИ
ЗАПОЛНИТЕЛИ ПОРИСТЫЕ ДЛЯ ЛЕГКИХ БЕТОНОВ, ИСПОЛЬЗУЕМЫХ
ПРИ СТРОИТЕЛЬСТВЕ НЕФТЕГАЗОВЫХ МОРСКИХ СООРУЖЕНИЙ
РЕКОМЕНДАЦИИ ПО ПРОВЕДЕНИЮ ИСПЫТАНИЙ
Porous aggregates for hydraulic concretes used
in the construction of oil and gas offshore structures.
Recommendations for conducting tests
ПНСТ 947-2024
Срок действия
с 1 марта 2025 года
до 1 марта 2028 года
1 РАЗРАБОТАН Обществом с ограниченной ответственностью "ПСМ-Стандарт" (ООО "ПСМ-Стандарт") совместно с Федеральным государственным бюджетным учреждением "Российский институт стандартизации" (ФГБУ "Институт стандартизации")
2 ВНЕСЕН Техническим комитетом по стандартизации ТК 023 "Нефтяная и газовая промышленность"
3 УТВЕРЖДЕН И ВВЕДЕН В ДЕЙСТВИЕ
Приказом Федерального агентства по техническому регулированию и метрологии от 14 октября 2024 г. N 60-пнст
Правила применения настоящего стандарта и проведения его мониторинга установлены в ГОСТ Р 1.16-2011 (разделы 5 и 6).
Федеральное агентство по техническому регулированию и метрологии собирает сведения о практическом применении настоящего стандарта. Данные сведения, а также замечания и предложения по содержанию стандарта можно направить не позднее чем за 4 мес до истечения срока его действия разработчику настоящего стандарта по адресу: 117418 Москва, Нахимовский проспект, д. 31, к. 2, и/или в Федеральное агентство по техническому регулированию и метрологии по адресу: 123112 Москва, Пресненская набережная, д. 10, стр. 2.
В случае отмены настоящего стандарта соответствующая информация будет опубликована в ежемесячном информационном указателе "Национальные стандарты" и также будет размещена на официальном сайте Федерального агентства по техническому регулированию и метрологии в сети Интернет (www.rst.gov.ru)
Целью разработки настоящего предварительного стандарта (далее - стандарт) является апробация дополнительных рекомендаций по проведению испытаний пористых, предназначенных для изготовления легких бетонов, используемых при строительстве нефтегазовых морских сооружений, направленных на повышение их эксплуатационных свойств и накопление информации, учитывая воздействие агрессивной среды (действие морской воды) в целях обеспечения первичной защиты бетона посредством определения их возможной реакционной способности.
Положения настоящего стандарта могут быть применены на добровольной основе по усмотрению заинтересованных лиц только совместно с
ГОСТ 9758, содержащим арбитражные методы испытаний.
Положения настоящего стандарта предназначены также для накопления информации о дополнительных рекомендациях к проведению ряда испытаний по
ГОСТ 9758, а также дополнительных рекомендаций по обеспечению точности полученных результатов испытаний и не применяются в целях подтверждения соответствия.
Настоящий стандарт распространяется на природные, искусственные (специально приготовляемые) и приготовляемые из отходов промышленности неорганические заполнители, средняя плотность зерен которых составляет менее 2,0 г/см
3, применяемые для производства легких бетонов, используемых в гидротехническом строительстве нефтегазовых морских сооружений, и устанавливает рекомендации по проведению испытаний в дополнение к требованиям, изложенным в
ГОСТ 9758.
Дополнительные рекомендации к отдельным показателям пористых заполнителей изложены в
ПНСТ 946-2024.
В настоящем стандарте использованы нормативные ссылки на следующие стандарты:
ГОСТ 166 (ИСО 3599-76) Штангенциркули. Технические условия
ГОСТ 310.4 Цементы. Методы определения предела прочности при изгибе и сжатии
ГОСТ 427 Линейки измерительные металлические. Технические условия
ГОСТ 6613 Сетки проволочные тканые с квадратными ячейками. Технические условия
ГОСТ 8269.0-97 Щебень и гравий из плотных горных пород и отходов промышленного производства для строительных работ. Методы физико-механических испытаний
ГОСТ 8735 Песок для строительных работ. Методы испытаний
ГОСТ 8736 Песок для строительных работ. Технические условия
ГОСТ 9758-2012 Заполнители пористые неорганические для строительных работ. Методы испытаний
ГОСТ 12026 Бумага фильтровальная лабораторная. Технические условия
ГОСТ 28840 Машины для испытания материалов на растяжение, сжатие и изгиб. Общие технические требования
ГОСТ 30744 Цементы. Методы испытаний с использованием полифракционного песка
ГОСТ 31108 Цементы общестроительные. Технические условия
ГОСТ 32496 Заполнители пористые для легких бетонов. Технические условия
ГОСТ Р 8.568 Государственная система обеспечения единства измерений. Аттестация испытательного оборудования. Основные положения
ГОСТ Р ИСО 5725-2 Точность (правильность и прецизионность) методов и результатов измерений. Часть 2. Основной метод определения повторяемости и воспроизводимости стандартного метода измерений
ГОСТ Р ИСО 5725-6 Точность (правильность и прецизионность) методов и результатов измерений. Часть 6. Использование значений точности на практике
ГОСТ Р 51568 (ИСО 3310-1-90) Сита лабораторные из металлической проволочной сетки. Технические условия
ГОСТ Р 53228 Весы неавтоматического действия. Часть 1. Метрологические и технические требования. Испытания
ПНСТ 946-2024 Заполнители пористые для легких бетонов, используемых при строительстве нефтегазовых морских сооружений. Рекомендации по повышению эксплуатационных свойств
Примечание - При пользовании настоящим стандартом целесообразно проверить действие ссылочных стандартов в информационной системе общего пользования - на официальном сайте федерального органа исполнительной власти в сфере стандартизации в сети Интернет или по ежегодно издаваемому информационному указателю "Национальные стандарты", который опубликован по состоянию на 1 января текущего года, и по выпускам ежемесячно издаваемого информационного указателя "Национальные стандарты" за текущий год. Если заменен ссылочный стандарт, на который дана недатированная ссылка, то рекомендуется использовать действующую версию этого стандарта с учетом всех внесенных в данную версию изменений. Если заменен ссылочный стандарт, на который дана датированная ссылка, то рекомендуется использовать версию этого стандарта с указанным выше годом утверждения (принятия). Если после утверждения настоящего стандарта в ссылочный стандарт, на который дана датированная ссылка, внесено изменение, затрагивающее положение, на которое дана ссылка, то это положение рекомендуется применять без учета данного изменения. Если ссылочный стандарт отменен без замены, то положение, в котором дана ссылка на него, рекомендуется применять в части, не затрагивающей эту ссылку.
4.1 На показатели качества бетона оказывает влияние номенклатура показателей пористых заполнителей, методы испытания которых содержатся в
ГОСТ 9758. При этом рекомендуется учитывать дополнительные рекомендации:
- к средствам измерений, вспомогательному оборудованию и лабораторной посуде, изложенные в
разделе 6.
4.2 При проведении и обработке результатов испытаний соблюдают положения
ГОСТ 9758.
4.3 Ускоренный метод определения реакционной способности крупных и мелких заполнителей, используемых для легких конструкционных и конструкционно-теплоизоляционных бетонов, изложен в
разделе 7.
5 Дополнительные рекомендации к отбору проб
Отбор проб и подготовку проб производят по
ГОСТ 9758. При этом при проверке качества заполнителя у потребителя рекомендуется отбирать не менее пяти точечных проб.
6 Дополнительные рекомендации к средствам измерений, вспомогательному оборудованию и лабораторной посуде
6.1 Основные рекомендации к средствам контроля (измерений), аппаратуре, материалам, реактивам и растворам, а также вспомогательным устройствам установлены в
ГОСТ 9758.
Применяемые для испытаний средства измерений (СИ) должны иметь поверку (калибровку), а испытательное оборудование (ИО) должно быть аттестовано по
ГОСТ Р 8.568.
В случае, если испытание выполняется с целью, на которую распространяется сфера государственного регулирования согласно
[1], должны применяться:
- поверенные СИ утвержденных типов;
- ИО, аттестованные с применением поверенных СИ утвержденных типов.
В настоящем разделе приведены дополнительные рекомендации к отдельным видам используемых средств измерений, аппаратуры, вспомогательных устройств и материалов.
6.2 Определение зернового (гранулометрического) состава заполнителя
Для определения зернового состава заполнителя рекомендуется применять наборы сит:
- набор N 1 - сита с круглыми отверстиями диаметром 20, 10 и 5 мм и сетками с квадратными ячейками с размером стороны 2,5; 1,25; 0,63; 0,16 мм по
ГОСТ Р 51568;
- набор N 2 - сита с квадратными перфорированными отверстиями или сетками с квадратными ячейками с размером стороны 22,4; 16; 11,2; 8; 5,6 мм и сетками с квадратными ячейками с размером стороны 4; 2; 1; 0,5; 0,25; 0,125 мм по
ГОСТ Р 51568.
Дополнительно могут быть применены сита сетками с квадратными ячейками с размером стороны 0,09 мм по
ГОСТ Р 51568, а также сита, изготовленные из сеток с квадратными ячейками высокого класса точности по
ГОСТ 6613.
Зерновой состав крупного заполнителя отдельной фракции или смеси фракций определяют рассевом лабораторной пробы на контрольных ситах по 6.2 с размером отверстий:
- для набора N 1 соответствующим удвоенному наибольшему 2D, наибольшему D и наименьшему d номинальным размерам зерен испытуемой фракции или смеси фракций;
- для набора N 2 соответствующим удвоенному наибольшему 2D, 1,4D наибольшему D, наименьшему d и 1/2d номинальным размерам зерен испытуемой фракции или смеси фракций.
Зерновой состав мелкого заполнителя определяют рассевом лабораторной пробы на ситах по 6.2 из сеток с квадратными ячейками с размером стороны 0,16; 0,315; 0,63; 1,25 и 2,5 мм из набора N 1 или 0,125; 0,25; 0,5; 1 и 2 мм из набора N 2.
6.3 Определение насыпной плотности
Насыпную плотность определяют по ГОСТ 9758-2012
(раздел 6) со следующими дополнениями.
При определении насыпной плотности используют следующие средства проведения испытания:
- весы III среднего класса точности с ценой деления не более 1 г по
ГОСТ Р 53228;
- комплект мерных цилиндрических сосудов с внутренними размерами согласно ГОСТ 9758-2012 (
таблица 2 и
таблица 3);
- сушильный шкаф, обеспечивающий температуру нагрева (105 +/- 5) °C;
- приспособление для среза с ровным краем или линейка металлическая;
- совок;
- воронка (согласно
рисунку 1 ГОСТ 9758-2012 или иной конструкции, оснащенной затвором, с диаметром сбрасывающего отверстия 30 мм и высотой сбрасывания 210 мм), предназначенная для засыпки песка в мерный сосуд.
6.4 Определение средней плотности зерен крупного заполнителя
Среднюю плотность зерен крупного заполнителя определяют по ГОСТ 9758-2012
(раздел 7) со следующими дополнениями.
6.4.1 При определении средней плотности зерен крупного заполнителя используют следующие средства проведения испытания:
- весы III среднего класса точности с ценой деления не более 1 г по
ГОСТ Р 53228 для статического взвешивания;
- весы III среднего класса точности с ценой деления не более 1 г по
ГОСТ Р 53228, оснащенные приспособлениями для гидростатического взвешивания или отдельные приспособления для проведения гидростатического взвешивания (штативы, подвесные устройства и др.);
- сушильный шкаф, обеспечивающий температуру нагрева (105 +/- 5) °C;
- сита по
6.2 для крупного заполнителя с диаметром ячеек размером 5, 10, и 20 мм из набора N 1 или стороной ячеек 4; 5,6; 8; 11,2; 16 и 22,4 мм из набора N 2;
- сосуд для насыщения заполнителя водой со сливом;
- сетчатый (перфорированный) контейнер с крышкой для насыщения заполнителя водой;
- противень;
- совок.
6.4.2 При подготовке проб к испытанию после высушивания до постоянной массы отсеивают зерна крупного заполнителя размером менее 5 мм для фракций по набору N 1 или менее 4 мм для фракций по набору N 2.
6.5 Определение средней плотности зерен песка
Среднюю плотность зерен песка определяют по ГОСТ 9758-2012
(раздел 11) со следующим дополнением: при взвешивании используют весы III среднего класса точности по
ГОСТ Р 53228 с ценой деления не более 1 г.
6.6 Определение истинной плотности
Истинную плотность определяют по ГОСТ 9758-2012
(раздел 8) со следующими дополнениями к средствам проведения испытаний:
- при взвешивании используют весы II высокого класса точности с ценой деления не более 0,01 г;
- для подготовки пробы используют сито с круглым перфорированным отверстием 5 мм и сита с сеткой с квадратными ячейками 1,25 и 0,08 (0,09) мм по
6.2.
6.7 Определение средней плотности зерен заполнителя в цементном тесте
Среднюю плотность зерен заполнителя в цементном тесте определяют по ГОСТ 9758-2012
(раздел 10) со следующими дополнениями.
6.7.1 При определении средней плотности зерен заполнителя в цементном тесте используют следующие средства проведения испытания и вспомогательные материалы:
- при взвешивании используют весы III среднего класса точности с ценой деления не более 1 г по
ГОСТ Р 53228;
- при подготовке пробы заполнителя используют сита по
6.2 для разделения заполнителей на зерна смежных фракций с круглыми отверстиями диаметром 5, 10 и 20 мм из набора N 1 или с квадратными отверстиями 4; 5,6; 8; 11,2; 16 и 22,4 мм из набора N 2;
- при испытаниях используют металлическую линейку по
ГОСТ 427 или штангенциркуль с глубиномером по
ГОСТ 166 и дополнительно секундомер;
- в качестве вспомогательных материалов используют портландцемент по
ГОСТ 31108 типа ЦЕМ 0 или ЦЕМ I класса прочности не ниже 42,5 (или цемент, который применяется при подборе состава легкого бетона) и природный песок с модулем крупности 2 - 2,5 по
ГОСТ 8736 (или песок, который применяется при подборе состава легкого бетона).
6.7.2 При проведении испытания смешивание заполнителя и вспомогательных материалов допускается производить вручную или с применением лабораторного смесителя.
6.8 Определение теплопроводности зерен крупного заполнителя в бетоне
Теплопроводность зерен крупного заполнителя в бетоне определяют по ГОСТ 9758-2012
(раздел 13) со следующими дополнениями к средствам проведения испытаний и вспомогательным материалам:
- при взвешивании используют весы III среднего класса точности с ценой деления не более 1 г по
ГОСТ Р 53228;
- при подготовке пробы заполнителя используют сита по
6.2 с круглыми отверстиями диаметром 5, 10 и 20 мм из набора N 1 или с квадратными отверстиями 4; 5,6; 8; 11,2; 16; 22,4; 31,5 мм из набора N 2;
- при подготовке образцов дополнительно используют форму-конус по
ГОСТ 310.4 и секундомер;
- для изготовления образцов используют портландцемент по
ГОСТ 31108 типа ЦЕМ 0 или ЦЕМ I класса прочности не ниже 42,5.
6.9 Определение содержания стеклофазы в искусственном заполнителе
Содержание стеклофазы в искусственном заполнителе определяют по ГОСТ 9758-2012
(раздел 14) со следующими дополнениями к средствам проведения испытаний:
- для взвешивания используют весы I специального или II высокого класса точности с ценой деления не более 0,001 г по
ГОСТ Р 53228;
- в ходе проведения анализа используют муфельную печь, обеспечивающую температуру нагрева до 700 °C, а также климатическую камеру, обеспечивающую температуру 5 °C.
6.10 Определение влажности
Влажность определяют по ГОСТ 9758-2012
(раздел 15) со следующими дополнениями.
6.10.1 При определении влажности используют следующие средства проведения испытания:
- при взвешивании используют весы III среднего или II высокого класса точности с ценой деления не более 0,1 г по
ГОСТ Р 53228.
6.10.2 При подготовке пробы для проведения испытания аналитическую пробу делят на навески.
6.10.3 При проведении испытания высушенные навески охлаждают до температуры помещения по ГОСТ 9758-2012
(подраздел 4.6).
6.11 Определение водопоглощения крупного заполнителя
Водопоглощение крупного заполнителя определяют по ГОСТ 9758-2012
(раздел 16) со следующими дополнениями.
6.11.1 При определении водопоглощения крупного заполнителя используют следующие средства проведения испытания:
- при взвешивании используют весы III среднего класса точности с ценой деления не более 1 г по
ГОСТ Р 53228;
- при подготовке пробы используют сито по
6.2 с круглым отверстием диаметром 5 мм из набора N 1 или с квадратной ячейкой размером 4 мм из набора N 2.
6.11.2 При подготовке пробы после высушивания крупного заполнителя до постоянной массы отсеивают частицы мельче 5 мм на сите с круглыми отверстиями или мельче 4 мм на сите с квадратной ячейкой.
6.12 Определение содержания дробленых (расколотых) зерен в гравии
Содержание дробленых (расколотых) зерен в гравии определяют по ГОСТ 9758-2012
(раздел 20) со следующими дополнениями к средствам проведения испытаний:
- для взвешивания используют весы III среднего класса точности с ценой деления не более 1 г по
ГОСТ Р 53228;
- дополнительно используют мерные цилиндрические сосуды вместимостью 1 и 2 дм
3 по ГОСТ 9758-2012
(таблица 2).
6.13 Определение содержания невспученных (слабообожженных) зерен
Содержание дробленых (расколотых) зерен в заполнителе определяют по ГОСТ 9758-2012
(раздел 21) со следующими дополнениями к средствам проведения испытаний:
- для взвешивания используют весы II высокого класса точности с ценой деления не более 0,01 г по
ГОСТ Р 53228;
- дополнительно используют секундомер и стеклянную палочку для перемешивания.
6.14 Определение содержания зерен инородных горных пород
Содержание зерен инородных горных пород определяют по ГОСТ 9758-2012
(раздел 22) со следующими дополнениями.
6.14.1 При определении содержания зерен инородных горных пород заполнителя используют следующие средства проведения испытания:
- при взвешивании используют весы III среднего класса точности с ценой деления не более 1 г по
ГОСТ Р 53228 для статического взвешивания;
- при проведении испытания используют сито по
6.2 с круглыми отверстиями диаметром 5 мм из набора N 1 или с размером стороны ячейки 4 мм из набора N 2.
6.14.2 При проведении испытаний аналитическую пробу просеивают через сито с отверстиями диаметром 5 мм или размером стороны ячейки 4 мм.
6.14.3 Результат испытаний рассчитывают с точностью до 1%.
6.15 Определение содержания зерен пластинчатой (лещадной) и игловатой формы в крупном заполнителе методом визуального разбора
Содержание зерен пластинчатой (лещадной) и игловатой формы в крупном заполнителе методом визуального разбора определяют по ГОСТ 9758-2012
(подраздел 23.1) со следующими дополнениями.
6.15.1 При определении содержания зерен пластинчатой (лещадной) и игловатой формы в крупном заполнителе методом визуальной разборки используют следующие средства проведения испытания:
- при взвешивании используют весы III среднего класса точности с ценой деления не более 1 г по
ГОСТ Р 53228;
- для разделения заполнителя на фракции используют сита по
6.2:
из набора N 1 - сита с круглыми отверстиями диаметром 5, 10 и 20 мм;
из набора N 2 - сита с квадратными перфорированными отверстиями или сетками с квадратными ячейками с размером стороны 5,6; 8; 11,2; 16 и 22,4; мм и сетками с квадратными ячейками с размером стороны 4 мм.
6.15.2 При проведении испытания с применением сит из набора N 2 по
6.2 из лабораторной пробы каждой фракции испытуемого крупного заполнителя берут аналитические пробы массой не менее:
0,25 кг - для заполнителя фракций 4 - 5,6; 5,6 - 8; 4 - 8 мм;
1,0 кг - для заполнителя фракций 8 - 11,2; 11,2 - 16; 8 - 16 мм.
6.15.3 Результат определения зерен пластинчатой (лещадной) и игловатой формы Ппл в смеси фракций рассчитывают с точностью до 0,1%.
6.16 Определение содержания зерен пластинчатой (лещадной) и игловатой формы в крупном заполнителе на щелевых ситах
Содержание зерен пластинчатой (лещадной) и игловатой формы в крупном заполнителе на щелевых ситах определяют по ГОСТ 9758-2012
(подраздел 23.2) со следующими дополнениями.
При определении содержания зерен пластинчатой (лещадной) и игловатой формы в крупном заполнителе методом визуальной разборки используют следующие средства проведения испытаний:
- при взвешивании используют весы III среднего класса точности с ценой деления не более 1 г по
ГОСТ Р 53228;
- набор щелевидных сит (см. таблицу 1), используемых для испытания заполнителя, зерновой состав которого определен с применением сит с квадратной формой ячейки (набор N 2 по
6.2).
Таблица 1
Размеры отверстий щелевидных сит
в зависимости от размеров зерен
Номинальные размеры зерен щебня (гравия), мм | Размеры отверстий щелевидных сит, мм |
N набора | наименьший | наибольший | длина | ширина |
Набор N 2 | 4 | 5,6 | Не нормируется | 2,5 +/- 0,15 |
5,6 | 8 | 3,5 +/- 0,15 |
8 | 11,2 | 5 +/- 0,2 |
11,2 | 16 | 7 +/- 0,2 |
16 | 22,4 | 10 +/- 0,2 |
22,4 | 31,5 | 14 +/- 0,4 |
6.17 Определение прочности заполнителя при сдавливании в цилиндре
Прочность при сдавливании в цилиндре определяют по ГОСТ 9758-2012
(раздел 25) со следующими дополнениями.
6.17.1 Прочность при сдавливании в цилиндре определяют для фракций (смесей фракций):
а) крупного заполнителя:
1) 5 - 10 и 10 - 20 мм - при рассеве на ситах по
6.2 из набора N 1;
2) 4 - 5,6; 5,6 - 8; 8 - 11,2; 11,2 - 16 и 16 - 22,4; 4 - 8 и 8 - 16 мм - при рассеве на ситах по
6.2 из набора N 2;
б) мелкого заполнителя (песка):
1) 2,5 - 5 и 1,25 - 2,5 мм - при рассеве на ситах из набора N 1;
2) 2 - 4; 1 - 2 мм - при рассеве на ситах из набора N 2.
6.17.2 При определении прочности при сдавливании в цилиндре используют следующие средства проведения испытания:
| | ИС МЕГАНОРМ: примечание. В официальном тексте документа, видимо, допущена опечатка: п. 20.1.1 отсутствует. | |
- при фракционировании заполнителя используют набор сит по
6.2 с учетом 20.1.1;
- при взвешивании используют весы III среднего класса точности с ценой деления не более 1 г по
ГОСТ Р 53228.
6.17.3 Если отклонения полученных значений насыпной плотности от насыпной плотности испытуемой фракции (при использовании сит из набора N 2 для песка и крупного заполнителя фракций или смеси фракций от 4 до 16 мм), определенной по методике, приведенной в разделе 6, превышают минус 4%, плюс 2%, то повторно определяют насыпную плотность в цилиндре на другой навеске.
6.17.4 Предельное допустимое расхождение между отдельными результатами испытаний должно быть не более +/- 1 процентный пункт от среднего значения.
6.18 Определение марочной прочности крупного заполнителя в бетоне
Марочную прочность крупного заполнителя в бетоне определяют по ГОСТ 9758-2012
(раздел 27) со следующими дополнениями к средствам проведения испытания и вспомогательным материалам:
- при взвешивании используют весы III среднего класса точности с ценой деления не более 1 г по
ГОСТ Р 53228;
- при подготовке заполнителя используют сита по
6.2 для крупного заполнителя с диаметром ячеек размером 5, 10 и 20 мм из набора N 1 или стороной ячеек 4; 5,6; 8; 11,2; 16 и 22,4 мм из набора N 2;
- в ходе проведения испытания дополнительно используют конус для определения подвижности бетонной смеси по
ГОСТ 10181;
- ожидаемое значение разрушающей нагрузки должно быть в диапазоне (10 - 80)% шкалы гидравлического пресса по
ГОСТ 28840;
- при изготовлении образцов применяют портландцемент по
ГОСТ 31108 типа ЦЕМ 0 или ЦЕМ I класса прочности не ниже 42,5.
6.19 Определение пригодности природных заполнителей при испытаниях в бетоне
Пригодность природных заполнителей при испытаниях в бетоне определяют по ГОСТ 9758-2012
(раздел 28) со следующими дополнениями.
6.19.1 При определении пригодности природных заполнителей при испытаниях в бетоне используют следующие средства проведения испытания и вспомогательные материалы:
- при взвешивании используют весы III среднего класса точности с ценой деления не более 1 г по
ГОСТ Р 53228;
- при подготовке пробы крупного заполнителя используют сита по
6.2 для крупного заполнителя с диаметром ячеек размером 5, 10, 20 и 40 мм из набора N 1 или стороной ячеек 4; 5,6; 8; 11,2; 16; 22,4 и 31,5 мм из набора N 2;
- при проведении испытания дополнительно используют лабораторный смеситель, секундомер и конус для определения удобоукладываемости бетонной смеси по
ГОСТ 10181;
- при измерениях используют металлическую линейку длиной 300 (500) мм по
ГОСТ 427;
- для изготовления образцов применяют портландцемент по
ГОСТ 31108 типа ЦЕМ 0 или ЦЕМ I класса прочности не ниже 42,5.
6.19.2 Для испытания используют:
а) лабораторную пробу крупного заполнителя фракций:
5 - 10 мм (при использовании сит из набора N 1) или 4 - 5,6; 5,6 - 8; 4 - 8 мм (при использовании сит из набора N 2);
10 - 20 мм (при использовании сит из набора N 1) или 8 - 11,2; 11,2 - 16; 8 - 16 мм (при использовании сит из набора N 2);
б) лабораторную пробу мелкого заполнителя того же происхождения размером менее 5 мм или менее 4 мм при рассеве на наборе N 1 или наборе N 2 соответственно.
6.19.3 Испытание признают удовлетворительным, если применение испытываемого заполнителя обеспечивает расход цемента не выше рационального.
Остальные показатели применяют для предварительной оценки рациональной области применения испытуемых заполнителей для легких бетонов по
ГОСТ 25820 и сравнения их с другими видами заполнителей.
6.20 Определение морозостойкости крупного заполнителя при попеременном замораживании и оттаивании
Морозостойкость крупного заполнителя при попеременном замораживании и оттаивании определяют по ГОСТ 9758-2012
(раздел 29) со следующими дополнениями.
6.20.1 При определении морозостойкости крупного заполнителя при попеременном замораживании и оттаивании используют следующие средства проведения испытания:
- при взвешивании используют весы III среднего класса точности с ценой деления не более 1 г по
ГОСТ Р 53228;
- в ходе проведения испытания используют морозильную камеру, обеспечивающую температуру охлаждения минус (15 +/- 5) °C, ванну для оттаивания образцов, обеспечивающую температуру (20 +/- 3) °C, и ванну для насыщения образцов;
- сита по
6.2 для крупного заполнителя с диаметром ячеек размером 5, 10 и 20 мм из набора N 1 или стороной ячеек 4; 5,6; 8; 11,2; 16 и 22,4 мм из набора N 2.
6.20.2 Предельное допустимое расхождение между отдельными результатами испытаний должно быть не более +/- 1 процентный пункт от среднего значения.
6.21 Определение морозостойкости крупного заполнителя испытанием в растворе сернокислого натрия
Морозостойкость крупного заполнителя испытанием в растворе сернокислого натрия определяют по ГОСТ 9758-2012
(раздел 30) со следующими дополнениями.
6.21.1 При определении морозостойкости крупного заполнителя испытанием в растворе сернокислого натрия используют следующие средства проведения испытания:
- при взвешивании используют весы III среднего класса точности с ценой деления не более 1 г по
ГОСТ Р 53228;
- при подготовке проб используют сита по
6.2 для крупного заполнителя с диаметром ячеек размером 5, 10, 20 мм из набора N 1 или стороной ячеек 4; 5,6; 8; 11,2; 16 и 22,4 мм из набора N 2.
6.21.2 Предельное допустимое расхождение между отдельными результатами испытаний должно быть не более +/- 1 процентный пункт от среднего значения. При большем расхождении результатов испытание проводят вновь.
6.22 Определение стойкости крупного заполнителя против силикатного распада
Стойкость крупного заполнителя против силикатного распада определяют по ГОСТ 9758-2012
(раздел 31) со следующими дополнениями.
6.22.1 При определении стойкости крупного заполнителя против силикатного распада используют следующие средства проведения испытания:
- при взвешивании используют весы III среднего класса точности с ценой деления не более 1 г по
ГОСТ Р 53228;
- при подготовке пробы используют сита по
6.2 для крупного заполнителя с диаметром ячеек размером 5, 10 и 20 мм из набора N 1 или стороной ячеек 4; 5,6; 8; 11,2; 16 и 22,4 мм из набора N 2.
6.22.2 Предельное допустимое расхождение между отдельными результатами испытаний должно быть не более +/- 1 процентный пункт от среднего значения. При большем расхождении результатов испытание проводят вновь.
6.23 Определение стойкости крупного заполнителя против железистого распада
Стойкость крупного заполнителя против железистого распада определяют по ГОСТ 9758-2012
(раздел 32) со следующими дополнениями.
6.23.1 При определении стойкости крупного заполнителя против железистого распада используют следующие средства проведения испытания:
- при взвешивании используют весы III среднего класса точности с ценой деления не более 1 г по
ГОСТ Р 53228;
- при подготовке пробы заполнителя используют сита по
6.2 для крупного заполнителя с диаметром ячеек размером 5, 10 и 20 мм из набора N 1 или стороной ячеек 4; 5,6; 8; 11,2; 16 и 22,4 мм из набора N 2.
6.23.2 Предельное допустимое расхождение между отдельными результатами испытаний должно быть не более +/- 1 процентный пункт от среднего значения. При большем расхождении результатов испытание проводят вновь.
6.24 Определение потери массы крупного заполнителя при кипячении
Потери массы крупного заполнителя при кипячении определяют по ГОСТ 9758-2012
(раздел 33) со следующими дополнениями.
6.24.1 При определении потерь массы крупного заполнителя при кипячении используют следующие средства проведения испытания:
- при взвешивании используют весы III среднего класса точности с ценой деления не более 1 г по
ГОСТ Р 53228;
- при подготовке пробы заполнителя используют сита по
6.2 для крупного заполнителя с диаметром ячеек размером 5, 10 и 20 мм из набора N 1 или стороной ячеек 4; 5,6; 8; 11,2; 16 и 22,4 мм из набора N 2.
6.24.2 Предельное допустимое расхождение между отдельными результатами испытаний должно быть не более +/- 1 процентный пункт от среднего значения. При большем расхождении результатов испытание проводят вновь.
6.25 Определение содержания водорастворимых сернистых и сернокислых соединений
Содержание водорастворимых сернистых и сернокислых соединений определяют по ГОСТ 9758-2012
(раздел 35) со следующими дополнениями.
6.25.1 При определении содержания водорастворимых сернистых и сернокислых соединений используют следующие средства проведения испытания:
- при взвешивании используют весы I специального или II высокого класса точности с ценой деления не более 0,01 г по
ГОСТ Р 53228;
- при проведении испытания используют муфельную печь, обеспечивающую температуру нагрева до 1100 °C и фильтры диаметром 9 см ("белая лента" и "синяя лента") I типа (для количественного анализа) по
ГОСТ 12026.
6.25.2 Предельное допустимое расхождение между результатами двух испытаний не должно превышать 0,15 процентных пунктов. При большем расхождении результатов испытание проводят вновь.
6.26 Определение коэффициента размягчения крупного заполнителя
Коэффициент размягчения крупного заполнителя определяют по ГОСТ 9758-2012
(раздел 37) со следующими дополнениями к средствам проведения испытания:
- при взвешивании используют весы III среднего класса точности с ценой деления не более 1 г по
ГОСТ Р 53228;
- для заглаживания используют приспособление для среза с ровным краем или линейку металлическую.
7 Ускоренный метод определения реакционной способности заполнителя для легких бетонов с измерением деформаций
7.1 Сущность метода
7.2 Средства проведения испытаний и вспомогательные материалы
Применяются средства контроля и вспомогательное оборудование, указанные в
ГОСТ 8269.0, со следующими дополнениями:
- сита по
6.2 из набора N 1 с круглой ячейкой диаметром 5 мм и сетками с квадратными ячейками с размером стороны 2,5; 1,25; 0,63; 0,16 мм или сетками с квадратными ячейками 4; 2; 1; 0,5; 0,25; 0,125 мм (взамен набора стандартных сит по
ГОСТ 8735, указанного в
ГОСТ 8269.0);
- весы III среднего класса точности с ценой деления не более 1 г по
ГОСТ Р 53228 (взамен весов, указанных в
ГОСТ 8269.0);
- сушильный шкаф, обеспечивающий температуру нагрева (80 +/- 2) °C (взамен электропечи, указанной в
ГОСТ 8269.0);
- допускается применение форм для изготовления контрольных образцов бетона с размерами 25 x 25 x 280 мм;
- портландцемент по
ГОСТ 31108 типа ЦЕМ 0 или ЦЕМ I класса по прочности не ниже 42,5 (взамен указанного в
ГОСТ 8269.0).
7.3 Порядок подготовки к испытанию
Пробу заполнителя отбирают и подготавливают к испытанию по ГОСТ 8269.0-97
(подпункт 4.22.3.2) со следующими дополнениями: крупный заполнитель дробят и при необходимости дополнительно измельчают, после чего промывают, высушивают до постоянной массы и фракционируют для смешивания отдельных фракций в нужных пропорциях. Соотношение фракций, % по массе, принимают по ГОСТ 8269.0-97
(подпункт 4.22.3.2) (при использовании сит из набора N 1) или по таблице 2 (при использовании сит из набора N 2).
Таблица 2
Фракционный состав заполнителя
при использовании набора сит N 2
Размер ячейки сита из набора N 2, мм | Частный остаток, % по массе |
4 | 0 |
2 | 10 |
1 | 25 |
0,5 | 25 |
0,25 | 25 |
0,125 | 15 |
Испытания проводят на образцах-балочках размером 25 x 25 x 254 мм или 25 x 25 x 280 мм, изготовленных из мелкозернистых бетонных смесей состава - цемент, измельченный заполнитель, вода.
Расплыв конуса при испытании на встряхивающем столике по
ГОСТ 310.4 должен составить 140 - 150 мм. Количество воды затворения определяют предварительным подбором.
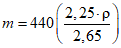
Взвешивают:
- портландцемент 440 г;
- измельченный заполнитель со средней плотностью зерен менее 2,45 г/см3 массой, определенной по формуле

, (1)
где

- средняя плотность зерен заполнителя или средняя плотность зерен заполнителя в цементном тесте для заполнителя, г/см
3.
7.4 Порядок проведения испытания
Испытания проводят по ГОСТ 8269.0-97
(подпункт 4.22.3.3) со следующими дополнениями: емкость с образцами, закрытую крышкой в электропечь на (20 +/- 1) ч.
7.5 Обработка результатов испытания
Относительную деформацию каждого образца

, %, определяют по ГОСТ 8269.0-97
[формула (47)], при этом при использовании форм для изготовления контрольных образцов бетона с размерами 25 x 25 x 280 мм база измерений
l применяется равной 280 мм.
Среднее относительное удлинение образцов

, %, определяют по ГОСТ 8269.0-97
[формула (48)].
| Федеральный закон от 26 июня 2008 г. N 102-ФЗ "Об обеспечении единства измерений" |
УДК 691.22.001.4:624.012.5:006.354 | |
Ключевые слова: заполнители неорганические пористые, легкие бетоны, методы испытаний |