Главная // Актуальные документы // Журнал (форма)СПРАВКА
Источник публикации
М.: Стандартинформ, 2009
Примечание к документу
Введен в действие с 1 января 2010 года.
Название документа
"РМГ 87-2009. Государственная система обеспечения единства измерений. Масса нефти. Методика выполнения измерений в горизонтальных резервуарах в системе магистрального нефтепроводного транспорта. Основные положения"
(введены в действие Приказом Ростехрегулирования от 18.06.2009 N 196-ст)
"РМГ 87-2009. Государственная система обеспечения единства измерений. Масса нефти. Методика выполнения измерений в горизонтальных резервуарах в системе магистрального нефтепроводного транспорта. Основные положения"
(введены в действие Приказом Ростехрегулирования от 18.06.2009 N 196-ст)
от 18 июня 2009 г. N 196-ст
РЕКОМЕНДАЦИИ ПО МЕЖГОСУДАРСТВЕННОЙ СТАНДАРТИЗАЦИИ
ГОСУДАРСТВЕННАЯ СИСТЕМА ОБЕСПЕЧЕНИЯ ЕДИНСТВА ИЗМЕРЕНИЙ
МАССА НЕФТИ.
МЕТОДИКА ВЫПОЛНЕНИЯ ИЗМЕРЕНИЙ В ГОРИЗОНТАЛЬНЫХ РЕЗЕРВУАРАХ
В СИСТЕМЕ МАГИСТРАЛЬНОГО НЕФТЕПРОВОДНОГО ТРАНСПОРТА
ОСНОВНЫЕ ПОЛОЖЕНИЯ
State system for ensuring the uniformity of measurements.
Mass of petroleum. Procedure of measurement in horizontal
tanks in the main petrowire systems. Basic propositions
РМГ 87-2009
Группа Т86.2
Цели, основные принципы и основной порядок проведения работ по межгосударственной стандартизации установлены
ГОСТ 1.0-92 "Межгосударственная система стандартизации. Основные положения" и
ГОСТ 1.2-97 "Межгосударственная система стандартизации. Стандарты межгосударственные, правила и рекомендации по межгосударственной стандартизации. Порядок разработки, применения, обновления и отмены".
1. Разработаны Федеральным государственным унитарным предприятием "Всероссийский научно-исследовательский институт расходометрии" (ФГУП "ВНИИР").
2. Внесены Управлением метрологии Федерального агентства по техническому регулированию и метрологии Российской Федерации.
3. Приняты Межгосударственным советом по стандартизации, метрологии и сертификации (Протокол N 36 от 26 января 2009 г.).
За принятие проголосовали:
┌────────────────────┬────────────────────┬───────────────────────────────┐
│Краткое наименование│ Код страны по │ Сокращенное наименование │
│ страны по │МК (ИСО 3166) 004-97│ национального органа │
│МК (ИСО 3166) 004-97│ │ по стандартизации │
├────────────────────┼────────────────────┼───────────────────────────────┤
│Азербайджан │ AZ │Азстандарт │
│Армения │ AM │Минторгэкономразвития │
│Беларусь │ BY │Госстандарт Республики Беларусь│
│Грузия │ GE │Грузстандарт │
│Казахстан │ KZ │Госстандарт Республики │
│ │ │Казахстан │
│Кыргызстан │ KG │Кыргызстандарт │
│Молдова │ MD │Молдова-стандарт │
│Российская Федерация│ RU │Федеральное агентство по │
│ │ │техническому регулированию │
│ │ │и метрологии │
│Таджикистан │ TJ │Таджикстандарт │
│Узбекистан │ UZ │Узстандарт │
│Украина │ UA │Госпотребстандарт Украины │
└────────────────────┴────────────────────┴───────────────────────────────┘
4.
Приказом Федерального агентства по техническому регулированию и метрологии от 18 июня 2009 г. N 196-ст рекомендации по межгосударственной стандартизации РМГ 87-2009 введены в действие в качестве рекомендаций по метрологии Российской Федерации с 1 января 2010 г.
5. Настоящие рекомендации разработаны на основе рекомендации по метрологии Российской Федерации МИ 2950-2005 "Государственная система обеспечения единства измерений. Масса нефти. Методика выполнения измерений в горизонтальных резервуарах в системе магистрального нефтепроводного транспорта".
6. Введены впервые.
Информация о введении в действие (прекращении действия) настоящих рекомендаций публикуется в указателе "Национальные стандарты".
Информация об изменениях к настоящим рекомендациям публикуется в указателе "Национальные стандарты", а текст изменений - в информационных указателях "Национальные стандарты". В случае пересмотра или отмены настоящих рекомендаций соответствующая информация будет опубликована в информационном указателе "Национальные стандарты".
1.1. Настоящие рекомендации распространяются на горизонтальные стальные цилиндрические резервуары (далее - резервуары) номинальной вместимостью от 3 до 200 м3, эксплуатируемые на объектах нефтетранспортных организаций системы магистрального нефтепроводного транспорта.
1.2. Рекомендации устанавливают методику выполнения измерений массы товарной нефти (далее - нефть) при учете нефти в резервуарах (приеме и отпуске нефти из резервуара) и инвентаризации нефти.
В рекомендациях использованы нормативные ссылки на следующие стандарты:
ГОСТ 8.346-2000. Государственная система обеспечения единства измерений. Резервуары стальные горизонтальные цилиндрические. Методика поверки
ГОСТ 8.570-2000. Государственная система обеспечения единства измерений. Резервуары стальные вертикальные цилиндрические. Методика поверки
ГОСТ 12.1.005-88. Система стандартов безопасности труда. Общие санитарно-гигиенические требования к воздуху рабочей зоны
ГОСТ 12.1.007-76. Система стандартов безопасности труда. Вредные вещества. Классификация и общие требования безопасности
ГОСТ 12.4.124-83. Система стандартов безопасности труда. Средства защиты от статического электричества. Общие технические требования
ГОСТ 400-80. Термометры стеклянные для испытаний нефтепродуктов. Технические условия
ГОСТ 2477-65. Нефть и нефтепродукты. Метод определения содержания воды
ГОСТ 3900-85. Нефть и нефтепродукты. Методы определения плотности
ГОСТ 6370-83. Нефть, нефтепродукты и присадки. Метод определения механических примесей
ГОСТ 7502-98. Рулетки металлические измерительные. Технические условия
ГОСТ 18481-81. Ареометры и цилиндры стеклянные. Общие технические условия
ГОСТ 21534-76. Нефть. Методы определения содержания хлористых солей
ГОСТ 27574-87. Костюмы женские для защиты от общих производственных загрязнений и механических воздействий. Технические условия
ГОСТ 27575-87. Костюмы мужские для защиты от общих производственных загрязнений и механических воздействий. Технические условия
ГОСТ 28498-90. Термометры жидкостные стеклянные. Общие технические требования. Методы испытаний.
Примечание. При пользовании настоящими рекомендациями целесообразно проверить действие ссылочных стандартов по указателю "Национальные стандарты", составленному по состоянию на 1 января текущего года, и по соответствующим информационным указателям, опубликованным в текущем году. Если ссылочный стандарт заменен (изменен), то при пользовании настоящими рекомендациями следует руководствоваться заменяющим (измененным) стандартом. Если ссылочный стандарт отменен без замены, то положение, в котором дана ссылка на него, применяется в части, не затрагивающей эту ссылку.
В настоящих рекомендациях применены следующие термины с соответствующими определениями:
3.1. Методика выполнения измерений массы продукта: совокупность операций и правил, выполнение которых обеспечивает получение результатов измерений массы продукта с установленной погрешностью (неопределенностью).
Примечание. В 3.1 - 3.3,
3.5 термин "продукт" следует понимать как нефть.
3.2. Косвенный метод статических измерений массы продукта: метод, основанный на измерениях плотности и объема продукта в мерах вместимости (мерах полной вместимости).
3.3. Мера вместимости: средство измерений объема продукта, имеющее свидетельство о поверке и утвержденную градуировочную таблицу (резервуары, железнодорожные цистерны, танки наливных судов).
3.4. Базовая высота резервуара: расстояние по вертикали от точки касания днища грузом рулетки до верхнего края измерительного люка или до риски направляющей планки измерительного люка.
3.5. Стандартные условия: условия, соответствующие температуре продукта 15 °C или 20 °C и избыточному давлению, равному нулю.
3.6. Товарная нефть (нефть): нефть, подготовленная к поставке потребителю в соответствии с требованиями
[1].
3.7. Масса брутто нефти: общая масса нефти, включающая массу балласта.
3.8. Масса балласта: общая масса воды, хлористых солей и механических примесей в нефти.
3.9. Масса нетто нефти: разность массы брутто нефти и массы балласта.
4. Характеристики погрешности измерений,
выполняемых по методике измерений
4.1. Пределы допускаемой относительной погрешности измерений, выполняемых в соответствии с настоящими рекомендациями, составляют:
- при массе брутто нефти до 120 т:
+/- 0,65% - при измерениях массы брутто нефти,
+/- 0,75% - при измерениях массы нетто нефти;
- при массе брутто нефти от 120 т и более:
+/- 0,50% - при измерениях массы брутто нефти,
+/- 0,60% - при измерениях массы нетто нефти.
5.1. Для измерения массы нефти в горизонтальных цилиндрических резервуарах применяют косвенный метод статических измерений.
5.2. Массу брутто нефти в резервуаре вычисляют как произведение объема нефти и ее плотности, результат измерений которой приведен к условиям измерения объема, или объема и плотности нефти, результаты измерений которых приведены к стандартным условиям по температуре.
5.3. Масса брутто сданной (принятой) нефти вычисляют как разность массы брутто нефти в резервуаре на момент начала операции сдачи (приема) нефти и после ее окончания.
5.4. Масса нетто сданной (принятой) нефти вычисляют как разность массы брутто сданной (принятой) нефти и массы балласта.
5.5. Массу балласта вычисляют по значениям показателей качества нефти, характеризующих содержание в нефти воды, хлористых солей и механических примесей. Указанные показатели определяют в испытательной (аналитической) лаборатории по результатам испытаний объединенной пробы нефти, отобранной из заполненного резервуара.
6. Средства измерений и вспомогательные устройства
6.1. Резервуар горизонтальный как мера вместимости, поверенный и имеющий утвержденную градуировочную таблицу с пределами допускаемой относительной погрешности не более +/- 0,25% и информационную табличку, прикрепленную к измерительному люку резервуара.
6.2. Рулетка измерительная с грузом 3-го класса точности номинальной длиной 5 м (10 м) по
ГОСТ 7502 или метрошток с пределами допускаемой абсолютной погрешности не более +/- 2 мм.
6.3. Термометр стеклянный по
ГОСТ 28498,
ГОСТ 400 или по
[2] с ценой деления 0,1 °C и пределами допускаемой абсолютной погрешности не более +/- 0,2 °C или преобразователь температуры, входящий в состав переносного электронного измерителя уровня (устройства измерительного) с пределами допускаемой абсолютной погрешности не более +/- 0,2 °C.
6.4. Ареометр для нефти по
ГОСТ 18481 с пределами допускаемой абсолютной погрешности не более +/- 0,5 кг/м3.
6.6. Средства измерений и технические средства, используемые в испытательной (аналитической) лаборатории для определения: объемной доли воды в нефти - по
ГОСТ 2477, концентрации хлористых солей в нефти - по
ГОСТ 21534, массовой доли механических примесей в нефти - по
ГОСТ 6370.
6.7. Допускается применение других средств измерений аналогичного назначения, метрологические характеристики которых не уступают приведенным в данном разделе.
6.8. Средства измерений, применяемые при выполнении измерений, должны быть сертифицированы (аттестованы, внесены в государственный реестр) в стране применения и признаны странами - участниками приемосдаточных операций.
7. Требования к квалификации операторов
7.1. К выполнению измерений допускаются лица, отвечающие следующим требованиям:
- прошедшие обучение, инструктаж на рабочем месте и стажировку по специальности, получившие квалификацию товарного оператора не ниже третьего разряда и имеющие допуск к самостоятельной работе;
- изучившие настоящие рекомендации, эксплуатационную документацию на резервуар (паспорт, технологическая карта) и входящие в состав резервуара и применяемые при выполнении измерений средства измерений и вспомогательные устройства.
8. Требования безопасности
8.1. Резервуары, входящие в состав нефтеперекачивающих станций и перевалочных нефтебаз, относятся к опасным производственным объектам.
8.2. При выполнении измерений массы нефти в резервуарах возможно наличие следующих опасных и вредных производственных факторов:
- образование взрывоопасной среды.
Смесь паров нефти с воздухом по степени взрывоопасности относится к категории IIA, группе T3
[3]:
- загазованность воздуха рабочей зоны.
По степени воздействия на организм человека (токсичности) нефть, в зависимости от содержания в ней сероводорода, относится к 3-му классу опасности вредного вещества ("умеренно опасное") или 2-му классу опасности ("высокоопасное") по
ГОСТ 12.1.007.
8.3. Для обеспечения взрывобезопасности при выполнении измерений применяемые средства измерений и вспомогательные устройства, относящиеся к категории электрооборудования, должны быть сертифицированы на соответствие требованиям к взрывобезопасности.
Переносные средства измерений и технические средства должны быть изготовлены из материалов, исключающих возможность образования искр при контакте с конструкционными элементами резервуаров и их оборудования.
8.4. На обозначенной территории резервуара по графику, утвержденному руководителем структурного подразделения, в установленных точках следует проводить контроль соответствия воздуха рабочей зоны санитарно-гигиеническим требованиям
ГОСТ 12.1.007. Контроль проводят аттестованные работники с помощью переносных газоанализаторов.
Содержание вредных веществ в воздухе рабочей зоны не должно достигать уровня предельно допустимых концентраций, установленных в
ГОСТ 12.1.005.
8.5. В качестве переносных светильников следует применять аккумуляторные фонари напряжением не более 12 В во взрывобезопасном исполнении, включение и выключение которых должно выполняться вне взрывоопасной зоны резервуара (на расстоянии по горизонтали и вертикали более 8 м от резервуара), а при наличии обвалования - вне площади обвалования.
8.6. К выполнению измерений массы нефти в резервуарах допускают лиц не моложе 18 лет, не имеющих медицинских противопоказаний к работе на опасных производственных объектах, отвечающих установленным квалификационным требованиям, прошедших обучение и проверку знаний норм и правил безопасности труда.
8.7. Допущенные к выполнению измерений операторы должны знать схемы коммуникаций резервуаров, требования технологических карт эксплуатации резервуаров и уметь в нормативные сроки безошибочно выполнять необходимые переключения. Схемы и технологические карты эксплуатации резервуаров должны находиться на рабочих местах операторов.
8.8. Операторы должны иметь одежду и обувь, изготовленные из материалов, не накапливающих статическое электричество, в соответствии с требованиями
ГОСТ 12.4.124,
ГОСТ 27574,
ГОСТ 27575. Обувь не должна иметь металлических накладок и гвоздей. Измерения уровня и отбор проб выполняют в резиновых перчатках.
8.9. При открытии измерительных люков, ручном отборе проб и измерениях уровня нефти оператор должен находиться с наветренной стороны (стоять спиной к ветру), а если это невозможно в силу конструкционных особенностей размещения измерительного люка - стоять боком к ветру.
Открытие измерительных люков, ручной отбор проб и измерения уровня необходимо проводить в присутствии наблюдающего (дублера).
Операторам запрещается находиться на технологической площадке резервуара, проводить измерения уровня нефти и отбор проб вручную во время грозы.
8.10. В экстремальных условиях (туман, обледенение) отбор проб, измерения уровня ручным способом на высоте допускается проводить при применении дополнительных мер безопасности (дополнительного освещения, песка для устранения скольжения и других необходимых мер), которые предусматриваются в инструкции по охране труда для операторов при работе на резервуаре.
8.11. Для безопасной доставки проб нефти с резервуара в лабораторию их следует переносить в специальных тканевых сумках, надеваемых через плечо.
8.12. Для операторов, выполняющих измерения в соответствии с настоящими рекомендациями, начальником подразделения должна быть разработана инструкция по охране труда, которую утверждает руководитель структурного подразделения. Рекомендации должны быть доведены до исполнителя под роспись.
9.1. При выполнении измерений соблюдают следующие условия:
- разность значений максимального

и минимального

уровней нефти наполненного и опорожненного резервуара при выполнении измерений массы сданной (принятой) нефти удовлетворяет следующим требованиям:
- при диаметре резервуара до 1650 мм:

- при измерении массы нефти до 120 т,

- при измерении массы нефти от 120 т и более;
- при диаметре резервуара 1650 мм и более:

- при измерении массы нефти до 120 т,

- при измерении массы нефти от 120 т и более;
- нефть по степени подготовки должна соответствовать требованиям
[1].
В случае невыполнения указанных условий оператор должен сообщить о нарушениях начальнику пункта сдачи-приема нефти.
10. Подготовка к выполнению измерений
10.1. При подготовке к выполнению измерений:
- обеспечивают отстой нефти продолжительностью не менее двух часов с момента окончания заполнения резервуара;
- проверяют:
исправность, готовность к работе средств измерений и технических средств, чистоту сосуда для пробы;
целостность пломб и клейм.
11.1. Измерения уровня нефти и подтоварной воды в резервуаре
11.1.1. Уровень нефти измеряют измерительной рулеткой с грузом по
ГОСТ 7502 (метроштоком).
Уровень подтоварной воды измеряют измерительными рулетками при помощи водочувствительной ленты или пасты.
Уровень нефти и подтоварной воды в резервуарах допускается измерять другими техническими средствами, сертифицированными для выполнения данных операций.
11.1.2. Измерения уровня нефти измерительной рулеткой
Ленту рулетки до и после измерений протирают мягкой тряпкой насухо.
Проверяют базовую высоту резервуара как расстояние по вертикали от днища в точке касания груза измерительной рулетки до верхнего края измерительного люка или до риски направляющей планки измерительного люка.
Полученный результат сравнивают с известным (паспортным) значением базовой высоты, нанесенной на резервуаре.
Если базовая высота

отличается от полученного результата не более чем на 0,1%

, то измерение уровня нефти рулеткой осуществляют в следующей последовательности:
Опускают ленту рулетки с грузом медленно до касания лотом днища или опорной плиты (при наличии), не допуская отклонения лота от вертикального положения, не задевая за внутреннее оборудование, сохраняя спокойное состояние поверхности нефти и не допуская волн.
Затем рулетку поднимают строго вертикально, не допуская смещения в сторону, и берут отсчет на месте смоченной части ленты нефтью.
Отсчет по ленте рулетки проводят сразу после появления смоченной части ленты рулетки над измерительным люком с точностью до 1 мм.
Измерения уровня жидкости в каждом резервуаре проводят дважды. Если результаты измерений отличаются не более чем на 1 мм, то в качестве результата измерений уровня принимают их среднее значение.
Если полученное расхождение измерений составляет более 1 мм, то измерения повторяют еще дважды и берут среднее значение из трех наиболее близких измерений.
11.1.3. Если базовая высота

отличается от полученного результата более чем на 0,1%

, выясняют причину изменения базовой высоты и устраняют ее в кратчайшие сроки. Базовую высоту резервуара измеряют не менее чем один раз в год.
На период, необходимый для выяснения и устранения причин изменения базовой высоты, измерения уровня нефти разрешается проводить по высоте пустоты резервуара.
11.1.4. Определение уровня нефти по высоте пустоты резервуара с помощью измерительной рулетки
Опускают ленту рулетки с грузом медленно до погружения груза в нефть, не допуская отклонения лота от вертикального положения, не задевая за внутреннее оборудование, сохраняя спокойное состояние поверхности нефти и не допуская волн.
Первый отсчет (верхний) берут по рулетке на уровне риски планки измерительного люка. Затем рулетку поднимают строго вертикально, не допуская смещения в сторону, и берут отсчет на месте смоченной части ленты нефтью (нижний отсчет).
Отсчет по ленте рулетки проводят сразу после появления смоченной части ленты рулетки над измерительным люком с точностью до 1 мм.
Измерения высоты пустоты в каждом резервуаре проводят дважды. Если результаты измерений отличаются не более чем на 1 мм, то в качестве результата измерений уровня принимают их среднее значение.
Если полученное расхождение измерений составляет более 1 мм, то измерения повторяют еще дважды и берут среднее значение из трех наиболее близких измерений.
Высоту пустоты находят как разность верхнего и нижнего отсчетов по рулетке.
Уровень нефти в резервуаре определяют вычитанием полученного значения высоты пустоты из паспортной величины базовой высоты резервуара.
Измерения уровня подтоварной воды в резервуарах проводят измерительной рулеткой при помощи водочувствительной ленты или пасты в следующей последовательности:
Водочувствительную ленту в натянутом виде прикрепляют к поверхности ленты с двух противоположных сторон.
Водочувствительную пасту наносят тонким слоем (0,2 - 0,3 мм) на поверхность лота полосками с двух противоположных сторон.
Рулетку с грузом с водочувствительной пастой или с прикрепленной водочувствительной лентой при определении уровня подтоварной воды выдерживают в резервуаре неподвижно в течение 2 - 3 мин, когда водочувствительный слой полностью растворится и грань между слоями воды и нефти будет резко выделена.
Измерения уровня подтоварной воды в резервуаре проводят дважды. Если результаты измерений отличаются не более чем на 1 мм, то в качестве результата измерений уровня принимают их среднее значение.
Измерения уровня подтоварной воды повторяют, если на ленте или пасте она обозначена нечетко, косой линией или на неодинаковой высоте с обеих сторон, что указывает на наклонное положение лота при выполнении измерений.
Размытая грань является следствием отсутствия резкой границы раздела между водой и нефтью и свидетельствует о наличии водоэмульсионного слоя. В этом случае измерения повторяют после отстоя и расслоения эмульсии.
11.2. Определение фактического объема нефти в резервуаре
11.2.1. Общий объем нефти в резервуаре и объем подтоварной воды определяют по градуировочной таблице на конкретный резервуар.
Фактический объем нефти в резервуаре вычисляют по формуле

, (1)
где

- объем нефти в резервуаре по градуировочной таблице, м3, вычисляемый по формуле

(

- объем жидкости (нефть и подтоварная вода), определяемый по градуировочной таблице резервуара, составленной при температуре 20 °C по
ГОСТ 8.346, м3;

- объем подтоварной воды в резервуаре, определяемый по градуировочной таблице резервуара, составленной при температуре 20 °C по
ГОСТ 8.346, м3);

- температурный коэффициент линейного расширения материала стенки резервуара, значение которого принимают равным

;

- температурный коэффициент линейного расширения материала средства измерений уровня, значение которого при измерениях уровня рулеткой из нержавеющей стали

принимают равным

. При измерениях уровня нефти рулеткой по высоте пустоты резервуара принимают

;

- температура стенки резервуара, принимаемая равной температуре нефти в резервуаре.
11.2.2. Значение объема нефти в резервуаре, приведенное к стандартным условиям, вычисляют:
- для стандартной температуры 15 °C

- по формуле

, (2)
- для стандартной температуры 20 °C

- по формуле

, (3)
где

и

- поправочные коэффициенты, вычисляемые по формулам:

, (4)

, (5)
где

- коэффициент объемного расширения нефти при температуре 15 °C;

- значение плотности нефти при температуре 15 °C;

- отклонение температуры нефти при измерении объема нефти от стандартной температуры 15 °C.
11.3. Определение плотности нефти в резервуаре
Плотность нефти измеряют плотномером в соответствии с инструкцией по эксплуатации на данный тип или по
ГОСТ 3900 с учетом
[4], или по
[5] с учетом систематической погрешности, определенной по
[4], по объединенной пробе нефти, отобранной из резервуара в соответствии с
ГОСТ 2517. Значения плотности приводят к температуре измерения объема нефти в резервуаре и к стандартным условиям в соответствии с
[4] или
[6].
11.4. Определение температуры нефти в резервуаре
Среднюю температуру нефти в резервуаре определяют с помощью преобразователя температуры в составе электронной рулетки в соответствии с требованиями инструкции по эксплуатации одновременно с измерениями уровня или вручную путем ее измерений при отборе точечных проб.
При отборе точечных проб температуру нефти в пробе определяют в течение 1 - 3 мин после отбора пробы, при этом переносной пробоотборник выдерживают на уровне отбираемой пробы в течение не менее пяти минут. Термометр погружают в нефть на глубину, указанную в техническом паспорте на данный термометр, и выдерживают в пробе до принятия столбиком ртути постоянного положения.
Среднюю температуру нефти рассчитывают по температуре точечных проб, используя соотношение для составления объединенной пробы из точечных по
ГОСТ 2517.
11.5. Определение массы брутто нефти в резервуаре
Массу брутто нефти в тоннах в резервуаре вычисляют по формуле

, (6)
где

- фактический объем нефти в резервуаре, м3, определенный по
формуле (1);

- плотность нефти при температуре измерений объема в резервуаре, кг/м3.
11.6. Определение массы брутто нефти при откачке из резервуара
При откачке нефти из резервуара массу сданной нефти определяют как разность первоначальной массы и массы остатка.
Массу сданной нефти

вычисляют по формуле

, (7)
где

- масса нефти до начала откачки, вычисленная по
формуле (6), т;

- масса остатка нефти, вычисленная после откачки нефти из резервуара по
формуле (6), т.
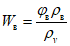
11.7. Определение массы нетто нефти в резервуаре
11.7.1. Массу нетто нефти

, т, вычисляют как разность массы брутто нефти M и массы балласта m по формуле

, (8)
где

- массовая доля воды в нефти, %;

- массовая доля механических примесей в нефти, %;

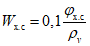
- массовая доля хлористых солей в нефти, %, вычисляемая по формуле

, (9)
где

- концентрация хлористых солей в нефти, мг/дм3;

- плотность нефти при условиях измерений объема нефти, кг/м3.
Если измеряют не массовую, а объемную долю воды в нефти, то массовую долю вычисляют по формуле

, (10)
где

- объемная доля воды в нефти, %;

- плотность воды, кг/м3 (принимают равной 1000 кг/м3).
11.7.2. Показатели качества нефти определяют стандартизованными лабораторными методами в соответствии с требованиями
[1]:
- массовую долю механических примесей по
ГОСТ 6370;
12. Обработка результатов измерений
12.1. Обработку результатов измерений и необходимые расчеты следует выполнять с помощью системы обработки информации автоматически (с учетом данных, введенных оператором вручную). Допускается проводить обработку результатов вручную.
12.2. Алгоритмы и программы обработки данных результатов измерений, разрабатываемые для обработки результатов ручных измерений, должны быть аттестованы в порядке, установленном
[7].
13. Оформление результатов измерений
13.1. Результаты измерений, выполненных ручными средствами измерений, фиксируют в
журнале регистрации результатов измерений по форме, приведенной в Приложении А.
13.2. На основании журналов регистрации результатов измерений оформляют акт приема-сдачи нефти.
14. Обеспечение требований к погрешности измерений
14.1. Средства измерений, применяемые при измерениях, должны иметь сертификат об утверждении типа.
14.2. Средства измерений, применяемые при измерениях, должны быть поверены. Периодичность поверки - не реже одного раза в год.
14.3. Периодическую поверку резервуаров проводят не реже одного раза в пять лет.
(рекомендуемое)
РЕГИСТРАЦИИ РЕЗУЛЬТАТОВ ИЗМЕРЕНИЙ МАССЫ НЕФТИ
В ГОРИЗОНТАЛЬНОМ РЕЗЕРВУАРЕ
┌─────┬────┬─────┬──────────────────────┬─────┬───────────┬──────┬───────────┐
│Номер│Дата│Время│ Проверка базовой │Тем- │Уровень, мм│Объем │ Плотность │
│п.п. │ │ │ высоты │пера-│ │нефти │ нефти, │
│ │ │ │ │тура │ │по │ кг/м3, │
│ │ │ │ │нефти│ │граду-│приведенная│
│ │ │ ├───────┬──────────────┤в ре-├────┬──────┤иро- ├─────┬─────┤
│ │ │ │H ,│дельта H ,│зер- │жид-│под- │вочной│к │к │
│ │ │ │ б.изм │ б.изм │вуа- │кос-│товар-│табли-│усло-│стан-│
│ │ │ │ мм │ % │ре, │ти │ной │це, м3│виям │дарт-│
│ │ │ │ │ │°C │ │воды │ │изме-│ной │
│ │ │ │ │ │ │ │ │ │рения│тем- │
│ │ │ │ │ │ │ │ │ │объе-│пера-│
│ │ │ │ │ │ │ │ │ │ма │туре │
│ │ │ │ │ │ │ │ │ │ │(ука-│
│ │ │ │ │ │ │ │ │ │ │зать)│
├─────┼────┼─────┼───────┼──────────────┼─────┼────┼──────┼──────┼─────┼─────┤
│ 1 │ 2 │ 3 │ 4 │ 5 │ 6 │ 7 │ 8 │ 9 │ 10 │ 11 │
└─────┴────┴─────┴───────┴──────────────┴─────┴────┴──────┴──────┴─────┴─────┘
┌─────────────────────────┬───────────────┬─────────────────────┬────────────┐
│ Масса брутто, т │ Значения │ Масса нетто, т │ Фамилия, │
│ │ показателей │ │ инициалы │
│ │ балласта │ │ оператора, │
├────────┬───────┬────────┼─────┬────┬────┼──────────┬──────────┤ личная │
│в резер-│приня- │сданной │W │W │W │принятой в│сданной из│ подпись │
│вуаре на│той в │из ре- │ м.в │ м.п│ х.с│резервуар │резервуара│ │
│текущий │резер- │зервуа- │ │ │ │ │ │ │
│момент │вуар │ра │ │ │ │ │ │ │
├────────┼───────┼────────┼─────┼────┼────┼──────────┼──────────┼────────────┤
│ 12 │ 13 │ 14 │ 15 │ 16 │ 17 │ 18 │ 19 │ 20 │
└────────┴───────┴────────┴─────┴────┴────┴──────────┴──────────┴────────────┘
(рекомендуемое)
ПРИМЕР ВЫПОЛНЕНИЯ ИЗМЕРЕНИЙ МАССЫ НЕФТИ
Б.1. Измерение уровня нефти и подтоварной воды
Б.1.1. Проверка базовый высоты резервуара
Результат измерения

.
Значение базовой высоты, приведенной в градуировочной таблице резервуара

.
Относительное отклонение полученного результата измерения не превышает 0,1% от значения базовой высоты, приведенного в градуировочной таблице резервуара.
Б.1.2. Измерения уровня жидкости в резервуаре
Результат первого измерения уровня жидкости в резервуаре

.
Результат второго измерения

.
Так как расхождение между результатами двух измерений более 1 мм, измерения повторяют еще два раза.
Результат третьего измерения

.
Результат четвертого измерения

.
Среднеарифметическое значение трех наиболее близких результатов измерений:

.
Б.1.3. Измерение уровня подтоварной воды в резервуаре
Результат измерения уровня подтоварной воды в резервуаре

.
Б.2. Определение фактического объема нефти в резервуаре
Общий объем нефти в резервуаре и объем подтоварной воды определяют по градуировочной таблице на данный резервуар.
Общий объем нефти в резервуаре

.
Объем подтоварной воды в резервуаре

.
Определяем фактический объем нефти в резервуаре

, м3, по
формуле (1), принимая:
- температурный коэффициент линейного расширения материала стенки стального резервуара

;
- температурный коэффициент линейного расширения материала измерительной рулетки из нержавеющей стали

;
- температуру стенки резервуара, равную температуре нефти в резервуаре

,

.
С учетом проведенного округления принимаем

.
Б.3. Определение плотности нефти в резервуаре
По результатам измерений значение плотности нефти, приведенное к условиям измерения объема нефти, составляет

.
Б.4. Определение температуры нефти в резервуаре
Среднюю температуру нефти в резервуаре определяют по температуре точечных проб, используя соотношения для составления объединенной пробы из точечных по
ГОСТ 2517.
Результат измерения

.
Б.5. Определение массы брутто нефти в резервуаре
Определяем массу брутто нефти в резервуаре по
формуле (6), принимая:
- объем нефти в резервуаре

;
- значение плотности нефти в резервуаре, приведенное к условиям измерения объема

.

.
С учетом проведенного округления принимаем

.
Б.6. Определение массы брутто нефти при откачке из резервуара
Массу сданной нефти определяют как разность первоначальной массы и массы остатка.
Выполняются процедуры, описанные в
Б.1 -
Б.5.
Для дальнейшего использования в рассматриваемом примере принимаем, что масса брутто нефти после сдачи нефти из резервуара составляет

.

.
С учетом округления принимаем

.
Б.7. Определение массы нетто нефти в резервуаре
Используя результаты испытаний нефти в объединенной пробе (значение массовой доли воды в нефти

; значение массовой доли механических примесей в нефти

; значение массовой доли хлористых солей в нефти

) по
формуле (9) получаем

.
С учетом проведенного округления принимаем

.
(рекомендуемое)
ОЦЕНКА ПОГРЕШНОСТИ ИЗМЕРЕНИЙ МАССЫ НЕФТИ
Оценка погрешности измерений выполнена при аттестации МВИ с использованием пределов допускаемых погрешностей применяемых средств измерений.
Пределы допускаемой относительной погрешности измерений массы брутто нефти, %, вычисляют по формуле

, (В.1)
где

- предел допускаемой относительной погрешности системы обработки информации или измерительно-вычислительного комплекса, %;

,

,

,

,
где

- относительные погрешности измерений плотности, %;

- относительная погрешность составления градуировочной таблицы резервуара, % (по
ГОСТ 8.570);

- относительные погрешности измерений уровней нефти в резервуаре до отпуска нефти из резервуара и после отпуска нефти из резервуара соответственно, %;

- абсолютные погрешности определений температур нефти в резервуаре

до отпуска нефти из резервуара, °C;

- абсолютные погрешности определений температур нефти в резервуаре

после отпуска нефти из резервуара, °C;

- коэффициенты, вычисляемые по формулам:

, (В.2)
где

- коэффициент объемного расширения нефти 1/°C.

- температуры нефти при измерении ее объема до отпуска нефти из резервуара и после отпуска нефти из резервуара соответственно, °C;

- температуры нефти при измерении ее плотности до отпуска нефти из резервуара и после отпуска нефти из резервуара соответственно, °C.
Относительные погрешности измерений уровней нефти в резервуаре

, %, вычисляют по формулам:

, (В.3)
где

- абсолютная погрешность измерений уровней нефти, мм;

- значения уровней нефти в резервуаре, измеренных до отпуска нефти из резервуара и после отпуска нефти из резервуара соответственно, мм.
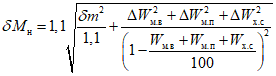
Пределы относительной погрешности измерений массы нетто нефти, %, вычисляют по формуле

, (В.4)
где

- абсолютная погрешность измерения массовой доли воды в нефти, %;

- абсолютная погрешность измерения массовой доли механических примесей в нефти, %;

- абсолютная погрешность измерения массовой доли хлористых солей в нефти, %.
Абсолютные погрешности измерений массовых долей воды, механических примесей и хлористых солей в нефти вычисляют в соответствии с Приложением Г.
(рекомендуемое)
ПОРЯДОК
РАСЧЕТА ПОГРЕШНОСТЕЙ ОПРЕДЕЛЕНИЙ В ЛАБОРАТОРИИ МАССОВЫХ
ДОЛЕЙ ВОДЫ, МЕХАНИЧЕСКИХ ПРИМЕСЕЙ И ХЛОРИСТЫХ СОЛЕЙ
Абсолютные погрешности определений массовых долей воды и механических примесей в процентах вычисляют в соответствии с
[8]. Для доверительной вероятности P = 0,95 и двух измерений соответствующего показателя качества нефти абсолютную погрешность его измерений вычисляют по формуле

, (Г.1)
где R и r - воспроизводимость и сходимость метода определения соответствующего показателя качества нефти, значения которых приведены в
ГОСТ 2477,
ГОСТ 6370,
ГОСТ 21534, выраженные в массовых долях.
Воспроизводимость метода определения концентрации хлористых солей по
ГОСТ 21534 принимают равной удвоенному значению сходимости r. Значение сходимости

, выраженное в
ГОСТ 21534 в мг/дм3, переводят в массовые доли по формуле

, (Г.2)
где

- сходимость метода по
ГОСТ 21534, мг/дм3 (г/м3);

- плотность нефти при температуре измерений массы нефти, кг/м3.
[2] ТУ 25-2021.003-88. Термометры ртутные стеклянные лабораторные. Технические условия
[3] ПУЭ. Правила устройства электроустановок
[4]
МИ 2153-2004. Государственная система обеспечения единства измерений. Плотность нефти. Требования к методике выполнения измерений ареометром при учетных операциях
[5]
ГОСТ Р 51069-97. Нефть и нефтепродукты. Методы определения плотности, относительной плотности и плотности в градусах API ареометров
[6]
МИ 2632-2001. Государственная система обеспечения единства измерений. Плотность нефти и нефтепродуктов и коэффициенты объемного расширения и сжимаемости. Методы и программа расчета
[7]
МИ 2676-2001. Государственная система обеспечения единства измерений. Методика метрологической аттестации алгоритмов и программ обработки данных результатов измерений при определении массы нефти и нефтепродуктов. Общие положения
[8]
ГОСТ Р 8.580-2001. Государственная система обеспечения единства измерений. Определение и применение показателей прецизионности методов испытаний нефтепродуктов.