Главная // Актуальные документы // ВНТП (Ведомственные нормы технологического проектирования)СПРАВКА
Источник публикации
М.: 1986
Примечание к документу
Утратил силу в связи с введением с 1 ноября 2003 года
НТП-АПК 1.10.17.001-03, утв. Минсельхозом РФ 22.09.2003.
Введен в действие с 1 марта 1986 года
Письмом Госагропрома СССР от 25.02.1986 N 09-2/7-14-168.
Взамен ВНТП 01-80.
Название документа
"ВНТП 01-86. Ведомственные нормы технологического проектирования баз и складов снабжения и комплектования"
(утв. Госагропромом СССР 06.02.1986)
"ВНТП 01-86. Ведомственные нормы технологического проектирования баз и складов снабжения и комплектования"
(утв. Госагропромом СССР 06.02.1986)
Госагропромом СССР
6 февраля 1986 года
ВЕДОМСТВЕННЫЕ НОРМЫ
ТЕХНОЛОГИЧЕСКОГО ПРОЕКТИРОВАНИЯ БАЗ И СКЛАДОВ
СНАБЖЕНИЯ И КОМПЛЕКТОВАНИЯ
ВНТП 01-86
Срок введения в действие
1 марта 1986 года
Разработаны Всесоюзным научно-исследовательским и проектным институтом по организации, экономике и технологии материально-технического снабжения (ВНИИМС).
Заместитель директора по научной работе, к.т.н. В.В. Гущин.
Руководитель темы, заведующий лабораторией N 1 Ю.В. Панкратов.
Ответственный исполнитель, младший научный сотрудник лаборатории N 1 Б.И. Шустов.
В разработке принимали участие сотрудники ВНИИМСа: А.С. Гришина, В.И. Шекланов, Л.Н. Кузнецова, И.Я. Блинков, М.А. Гайбарян, Н.С. Шатилов, И.В. Клюев, А.А. Пономарев, В.К. Яшвили, Д.С. Сигалов, В.Н. Дроздов, В.А. Чернышов, В.В. Пронкин, Т.П. Жигунова, Ю.В. Петров.
Подготовлены к утверждению Управлением организации снабжения Главного управления материально-технического снабжения Госагропрома СССР.
Начальник управления Е.Н. Петровский.
Начальник отдела А.А. Илюшечкин.
Внесены Управлением организации снабжения Госагропрома СССР.
Утверждены Госагропромом СССР 6 февраля 1986 г.
Ведомственные нормы технологического проектирования баз и складов снабжения и комплектования разработаны лабораторией технологического проектирования складов и экспертизы проектов ВНИИМСа в соответствии с
п. 4 Постановления Совета Министров СССР "О дальнейшем совершенствовании проектно-сметного дела и повышении роли экспертизы и авторского надзора в строительстве" от 28 января 1985 г. N 96 и утвержденным графиком пересмотра ведомственных норм технологического проектирования.
Нормы предназначены и должны служить единым нормативным документом для научно-исследовательских, проектных и других организаций, связанных с технологическим проектированием складов.
В нормы внесены изменения и дополнения в соответствии с заключениями Главгосэкспертизы Госстроя СССР и Отдела оценки технического уровня отраслей народного хозяйства ГКНТ, институтов Промтрансниипроект Госстроя СССР, ВНИИПО МВД СССР, Гипропромсельстроя и Укргипропромсельстроя.
Нормы согласованы с заместителем Председателя Госстроя СССР Паньковским Д.А. и заместителем Председателя ГКНТ Кудиновым В.М.
1.1. Ведомственные нормы технологического проектирования баз и складов снабжения и комплектования предназначены для применения при разработке проектов на строительство, расширение, реконструкцию, техническое перевооружение складов и баз снабжения и комплектования Госагропрома СССР.
1.2. Ведомственные нормы не распространяются на проектирование складов по хранению грузов, требующих особых условий хранения (газы, ядохимикаты, лакокрасочные материалы, карбид кальция, уголь, пылящие и сыпучие материалы и др.), и складов нефтепродуктов, складов леса.
1.3. При проектировании складов по хранению грузов, требующих особых условий хранения, следует руководствоваться нормами технологического проектирования общезаводских складов машиностроительных заводов, нормами Госснаба СССР и Минхимпрома СССР.
1.4. При проектировании баз снабжения и комплектования, а также специализированных складов и блоков складов следует пользоваться параметрическими рядами, приведенными в таблицах
Приложения 1.
1.5. При проектировании складов и баз следует:
комплексно решать вопросы организации складского хозяйства на всем пути передвижения грузов от поставщика до потребителя;
предусматривать комплексную механизацию складирования грузов в пакетированном виде, а также применение пакетообвязывающих машин, установок и других автоматизированных и роботизированных устройств складского и грузового хозяйства по переработке грузов в контейнерах и пакетированном виде;
выбор технологических схем комплексной механизации и автоматизации производить в соответствии с действующими типовыми технологическими схемами;
учитывать требования действующих строительных норм и правил,
Правил устройства электроустановок и других нормативных документов;
предусматривать решение вопросов по оказанию производственных услуг потребителям;
выбор строительных конструкций и материалов производить с учетом технико-экономической целесообразности применения проектных решений в конкретных условиях строительства;
разрабатывать мероприятия по охране труда и технике безопасности;
предусматривать возможность их расширения в соответствии с перспективой развития;
предусматривать установки автоматического и неавтоматического пожаротушения и пожарно-охранной сигнализации.
1.6. При соответствующих технико-экономических обоснованиях организацию складских работ, планирование и учет продукции следует проводить с учетом необходимости использования электронно-вычислительной техники на основе действующих типовых проектов АСУ МТС.
2. ФОНДЫ ВРЕМЕНИ И РЕЖИМ РАБОТЫ
ПРЕДПРИЯТИЯ, МАШИН, ОБОРУДОВАНИЯ
2.1. Годовой фонд времени рабочих
При типовом проектировании баз и складов номинальный и эффективный годовые фонды времени рабочих определяются по табл. 1 на основании Общесоюзных норм технологического проектирования складов тарно-штучных и длинномерных грузов, разработанных Госснабом СССР в 1985 г.
[1].
─────────────────┬─────────────────┬─────────────┬────────────┬────────────
Продолжительность│Продолжительность│ Номинальный │ Потери от │Эффективный
рабочей недели, ч│ основного │ годовой │номинального│годовой фонд
│ отпуска, дн. │фонд времени,│ фонда, % │ времени
│ │ ч │ │ рабочих, ч
─────────────────┼─────────────────┼─────────────┼────────────┼────────────
41 │ 15 │ 2070 │ 10 │ 1860
41 │ 18 │ 2070 │ 11 │ 1840
41 │ 24 │ 2070 │ 12 │ 1820
36 │ 24 │ 1830 │ 12 │ 1610
36 │ 36 │ 1830 │ 17 │ 1520
Примечание. Продолжительность рабочей недели в 36 часов устанавливается для рабочих, связанных с вредными условиями труда.
число рабочих дней в году по приему грузов - 365;
по приему грузов, прибывающих по железной дороге, - вне сменного графика;
число смен по приему грузов, прибывающих автотранспортом, - 1 - 2;
число рабочих дней по отпуску грузов - 253;
число смен по отпуску грузов - 1.
2.3. Годовой фонд времени работы оборудования
Действительный (расчетный) фонд времени работы оборудования при 41-часовой рабочей неделе определяется на основании Положения о планово-предупредительном ремонте и техническом обслуживании машин и оборудования предприятий системы Госснаба СССР, утвержденного Госснабом СССР 05.05.1985
[2] по табл. 2.
─────────────────────────────────────────────────────┬─────────────────────
Оборудование │ Действительный
│ (расчетный) годовой
│ фонд времени работы
│оборудования в часах
──────────┬──────────────────────────────────────────┼───────┬──────┬──────
Вид │ Наименование │в одну │в две │в три
│ │ смену │смены │смены
──────────┼──────────────────────────────────────────┼───────┼──────┼──────
Подъемно- │Краны мостовые электрические и ручные, │ 2040 │ 4075 │ 6110
транспорт-│краны-штабелеры, тали электрические │ │ │
ное │и ручные, лебедки │ │ │
├──────────────────────────────────────────┼───────┼──────┼──────
│Краны козловые, консольно-поворотные, │ 2040 │ 4090 │ 7400
│автомобильные │ │ │
├──────────────────────────────────────────┼───────┼──────┼──────
│Конвейеры ленточные: │ │ │
│ передвижные длиной │ │ │
│ до 10 м │ 2068 │ 4128 │ 6150
│ до 15 м │ 2064 │ 4120 │ 6167
│ звеньевые длиной: │ │ │
│ до 40 м │ 2056 │ 4095 │ 6117
│ до 80 м │ 2052 │ 4067 │ 6105
│ свыше 200 м │ 2043 │ 4046 │ 6067
├──────────────────────────────────────────┼───────┼──────┼──────
│Автопогрузчики │ 1966 │ 3874 │ 5723
├───────────┬──────────────┬───┬───────┬───┼───────┼──────┼──────
│Электро- │с временем │ 3 │коли- │ 1 │ 1752 │ 2628 │ 4088
│погрузчики,│разряда │ │чество │ 2 │ 1752 │ 3504 │ 5256
│электро- │аккумуляторной│ - │сменных│ - │ 1460 │ 2920 │ 2920
│тележки, │батареи, ч │ │бата- │ 1 │ 2044 │ 3796 │ 5810
│электро- │ │ 5 │рей, │ 2 │ 2044 │ 4088 │ 5810
│штабелеры │ │ │шт. │ │ │ │
──────────┼───────────┴──────────────┴───┴───────┴───┼───────┼──────┼──────
Металлооб-│ │ 2030 │ 4015 │ 5960
рабатываю-│ │ │ │
щее, дере-│ │ │ │
вообраба- │ │ │ │
тывающее │ │ │ │
Примечания. 1. При определении действительного (расчетного) годового фонда времени работы оборудования учтены потери из-за простоев оборудования в ремонте.
2. Расчет фонда времени работы электропогрузчиков, электротележек, электроштабелеров произведен при условии, что время заряда батареи - 6 ч согласно ГОСТ 9484-74.
3. При использовании оборудования, не указанного в таблице, импортного или изготовленного по индивидуальному проекту с соответствующим технико-экономическим обоснованием, фонд времени следует принимать по аналогичному оборудованию.
4. Действительный (расчетный) годовой фонд времени работы технологического складского оборудования следует принимать:
для грузозахватных приспособлений - по подъемно-транспортному оборудованию, с которым они работают;
для передвижных стеллажей всех модификаций, работающих в одну смену - 2040, в две смены - 4075, в три смены - 6110 часов.
3. КЛАССИФИКАЦИЯ ГРУЗОВ БАЗ И СКЛАДОВ СНАБЖЕНИЯ,
ТЕХНОЛОГИЧЕСКИЙ ПРОЦЕСС ИХ ПЕРЕРАБОТКИ
3.1. По товарным группам грузы баз и складов снабжения распределяются в соответствии с табл. 3.
Таблица 3
────────────┬──────────────────────────────────────────────────────────────
Номера групп│ Наименование групп товаров
товаров │
────────────┼──────────────────────────────────────────────────────────────
1 │Автомобили и прицепы к ним
2 │Тракторы и прицепы к ним
3 │Землеройные и строительно-дорожные машины
4 │Сельскохозяйственные машины
5 │Оборудование и электроматериалы
6 │Инструменты
7 │Металлы и метизы
8 │Лесные и строительные материалы
9 │Резинотехнические изделия
10 │Хозтовары, спецодежда и другие товары производственного
│назначения
11 │Запчасти к тракторам
12 │Запчасти к автомобилям
13 │Запчасти к сельхозмашинам
14 │Цепи роликовтулочные
15 │Автотракторное электрооборудование, приборы, резинотехнические
│изделия, изделия из стекла и пластмасс
16 │Подшипники
При распределении грузов по группам товаров следует учитывать, что в настоящих нормах (ввиду небольшой доли в общем товарообороте баз) в группу товаров "Запасные части к тракторам" включены группы "Запасные части к землеройным машинам, стационарным двигателям и запчасти к прочим машинам". Группы товаров "Автотракторное электрооборудование и приборы" и "Резинотехнические и асбестовые изделия, детали из стекла, пластмасс и пробки для автомобилей, тракторов и сельскохозяйственных машин" объединены в одну группу "Автотракторное электрооборудование, приборы, резинотехнические изделия, изделия из стекла и пластмасс".
3.2. Классификация грузов по технологическим признакам однотипности складирования в настоящих нормах принята следующая:
Грузы первой категории - мелкие и средние изделия с габаритными размерами менее 600 x 400 x 350 мм и массой не более 20 кг, хранящиеся распакованными в специальной складской таре или поштучно в мелкоячеистых стеллажах, отпуск которых осуществляется поштучно или мелкими партиями (шестерни и вилки коробок передач, клапаны двигателей, крестовины карданных валов, вкладыши и мелкие пружины и т.д. При больших поставках эти же грузы могут быть отнесены к III категории).
Грузы второй категории - мелкие и средние изделия в заводской упаковке или без нее, хранящиеся на плоских поддонах с размерами в плане 1200 x 800 мм, отпуск которых производится целыми пакетами или отдельными упаковками (радиаторы, гильзы тракторных двигателей, головки блоков, блоки двигателей, баки топливные и т.д. При малых поставках часть этих грузов может быть отнесена к I или III категории).
Грузы третьей категории - мелкие и средние изделия в заводской упаковке или без нее длиной менее 1200 мм, хранение которых невозможно на плоских поддонах из-за недостаточной прочности упаковки (при штабельном хранении) или неустойчивости на плоской поверхности. Хранение таких грузов рекомендовано в стандартных (с размерами в плане 1240 x 835 мм) ящичных или сетчатых поддонах (картеры двигателей, валы рулевого управления, тормозные барабаны, муфты сцепления и т.д.).
Грузы четвертой категории - средние и крупные изделия в различной упаковке (рулоны, бухты, катушки, нестандартные ящики и др.), сложность конфигурации которых, а также особые условия их хранения требуют специальной складской тары.
Грузы этой категории, как правило, хранятся в штабелях и подразделяются на категории

,

,

в соответствии с использованием поддонов, указанных в а), б), в):
а) стандартных стоечных (проволока в бухтах, трубы ребристые, шнеки сельскохозяйственных машин и другие изделия) с размерами в плане 1240 x 835 мм;
б) специальных стоечных (аккумуляторы, стекло оконное, мягкая кровля, линкруст, ветровые стекла кабин автомобилей и тракторов и другие грузы);
в) стандартных плоских или стоечных поддонов с размерами в плане 1600 x 1200 мм (изделия в упаковке или без нее длиной более 1200 мм и др.).
Грузы пятой категории - длинномерные и крупногабаритные изделия, хранение которых осуществляется в специальных стеллажах (с использованием специальных поддонов или без них).
Грузы этой категории подразделяются на категории

,

в соответствии с применением для их хранения стеллажей, указанных в а) и б):
а) консольных (металлические трубки, прутки, резиновые рукава, трубопровода гидросистем тракторов, комбайнов и других машин, клиновые ремни и другие изделия и запасные части);
б) прочих спецстеллажей (барабаны с кабелем, проводом и тросом, мосты автомобилей, тракторов, автотракторные шины и прочие изделия).
Грузы шестой категории - машины и тяжеловесное оборудование (автомобили, тракторы, землеройные и строительно-дорожные машины, сельскохозяйственные машины) подразделяются на категории:

,

,

согласно а), б), в):
а) прибывшие полностью в собранном виде и имеющие колесный ход;
б) прибывшие полностью в собранном виде, но не имеющие колесного хода, а также тяжеловесное оборудование;
в) прибывшие в разобранном виде.
Грузы седьмой категории - длинномерные грузы, хранение которых допускается на открытых площадках, подразделяются на категории:

,

согласно а) и б):
а) прокат черных металлов, трубы;
б) лесоматериалы и другие грузы.
Особую группу представляют грузы, имеющие специфические свойства и требующие особых условий хранения (газы, лакокрасочная продукция, карбид кальция, уголь, пылящие и сыпучие материалы).
3.3. Допустимость совместного хранения грузов принимать по
таблице, указанной в Приложении 2.
3.4. В зависимости от физико-механических и технологических свойств грузы на складах хранятся в закрытом складе (отапливаемый, неотапливаемый), под навесом и на открытой площадке.
При распределении грузов по типам складов следует пользоваться Правилами хранения товаров на базах снабжения и комплектации системы Госкомсельхозтехники СССР, утвержденными Госкомсельхозтехникой СССР 16.09.1985.
3.5. На основе классификации грузов по технологическим признакам однотипности складирования по каждой категории грузов разрабатываются технологические схемы складской переработки грузов.
При выборе технологии складской переработки грузов для разных типов складов следует пользоваться работами ВНИИМСа [
3 -
5].
4. ПАРАМЕТРЫ СКЛАДОВ, ТИПЫ ОБОРУДОВАНИЯ.
ШИРИНА ПРОЕЗДОВ И ПРОХОДОВ В СКЛАДАХ
4.1. Выбор параметров складов
4.1.1. Основой для определения параметров склада и выбора состава оборудования с учетом специализации склада являются: хранимый запас по товарным группам, параметры грузопотоков прибытия и выдачи грузов, количество дней работы склада в году на приеме и выдаче грузов, количество смен работы склада.
При выборе параметров склада необходимо учитывать критерий минимума приведенных затрат.
4.1.2. Объемно-планировочные решения складов, несущие и ограждающие конструкции, размеры проездов и шаг колонн должны соответствовать
СНиП II-90-81.
4.1.3. Объемно-планировочные решения и размеры складов, рампы для загрузки и разгрузки подвижного состава железнодорожного и автомобильного транспорта следует принимать с учетом ГОСТ 23837-79 и
ГОСТ 9238-83.
4.1.4. При проработке технологических планировок складов должно быть обеспечено соблюдение следующих основных условий:
максимально возможная прямолинейность грузопотоков и кратчайшее расстояние перемещения;
удобство транспортирования грузов и транспортная связь приемно-отпускных зон с подъездными путями;
максимальное использование площади и объема складских помещений с учетом применения, при необходимости, технологических стеллажей в качестве несущих конструкций зданий;
количественная и качественная сохранность грузов;
возможность производства работ в любое время суток независимо от погодных условий;
максимальная блокировка складов;
взрывопожарная безопасность и безопасность труда.
4.1.5. Вспомогательные здания и помещения следует проектировать в соответствии с требованиями
СНиП II-92-76.
4.1.6. При разработке транспортных путей и генерального плана базы следует руководствоваться требованиями СНиП II-46-75 и
СНиП II-89-80.
4.1.7. Для определения размеров зоны хранения склада в зависимости от применяемых средств механизации следует руководствоваться данными производительности применяемого подъемно-транспортного оборудования.
Склады товаров снабжения и комплектования должны проектироваться одноэтажными; проектирование многоэтажных складов допускается в исключительных случаях при соответствующих обоснованиях.
4.2.1. Выбор основного подъемно-транспортного оборудования следует производить с учетом специализации склада, высоты хранения грузов, технологических требований переработки грузов, требований ГОСТ 23837-79.
В складских помещениях высотой 9,6 м рекомендуется применять стеллажные и мостовые краны-штабелеры, при высоте 6 м - электропогрузчики и стеллажные краны-штабелеры.
4.2.2. При выборе технологического, подъемно-транспортного оборудования должны быть соблюдены следующие требования:
оборудование должно обеспечивать требуемую производительность работ на каждом участке склада;
выбор типа оборудования должен производиться с учетом минимума перевалочных операций при внутрискладских перемещениях груза;
оборудование не должно приводить к повреждению перерабатываемых грузов и их упаковки;
используемое оборудование должно соответствовать характеру окружающей среды по взрывопожарной и пожарной безопасности;
выбор оборудования должен обеспечивать его прогрессивность по производительности, экономичности, а также возможности его поставки к моменту начала строительства базы, склада.
4.3. Определение ширины проездов и проходов в складах
4.3.1. Размеры проходов и проездов следует принимать по Общесоюзным нормам технологического проектирования складов тарно-штучных и длинномерных грузов, разработанным Госснабом СССР в 1985 г.
[1], в соответствии с которыми следует рассматривать:
главные или транспортные проезды;
рабочие проезды;
смотровые проходы;
эвакуационные проходы.
4.3.2. Главные или транспортные проезды следует проектировать против проемов ворот склада.
Ширина склада проезда в закрытом складе при двустороннем движении напольного транспорта определяется как сумма удвоенной ширины (B) машины плюс 0,9 м: II = 2B + 900 мм, но должна быть не менее ширины ворот.
Ширину главного проезда для открытых складов тарно-штучных грузов (кроме контейнерных площадок) следует принимать в соответствии со
СНиП II-Д.5-72.
4.3.3. Рабочие проезды и проходы - проезды и проходы непосредственно к местам хранения.
Ширину рабочих проездов следует определять по паспортным данным подъемно-транспортных машин и по габаритам хранимой продукции.
Для легковоспламеняющихся и горючих жидкостей ширина рабочего проезда должна быть не менее 1,4 м.
Ширину рабочих проходов между стеллажами и штабелями следует принимать равной 1 м.
Ширину рабочих проходов для строповки грузов между рядами следует принимать равной 1 м.
Ширину рабочего проезда для контейнерных площадок при одностороннем движении без разворота напольного транспорта следует принимать равной ширине груженого транспортного средства плюс 0,6 м.
4.3.4. Смотровые проходы - проходы противопожарные и для обслуживания санитарно-технических систем
При штабельном хранении между штабелем и строительными конструкциями стен смотровые проходы следует принимать равными 0,8 м, кроме тех случаев, когда по условиям хранения требуется расстояние от груза до отопительных приборов не менее 1 м.
Между штабелями через 10 - 12 м следует оставлять смотровые проходы по 1 м.
4.3.5. Смотровые проходы между рядами контейнеров следует принимать не менее 0,7 м, а зазоры между отдельными контейнерами в рядах - в соответствии с конструкцией грузозахватных устройств, но не менее 0,2 м.
4.3.6. Количество эвакуационных проходов и их ширина определяются
СНиП II-90-81.
4.3.7. Грузы, размещаемые вблизи железнодорожных и крановых рельсовых путей, должны быть расположены в соответствии с требованиями
ГОСТ 9238-83 и нормативно-технической документации, утвержденной Госгортехнадзором СССР, а также
ГОСТ 12.3.009-76.
4.3.8. При определении расстояния между машинами и рядами машин при хранении в открытых и закрытых складах учитывать требования ГОСТ 7751-79.
5. НОРМЫ ДЛЯ РАСЧЕТА ХРАНИМОГО ЗАПАСА,
ГРУЗО- И ТОВАРООБОРОТА, ПЛОЩАДЕЙ
5.1. Данные для расчета хранимого запаса грузо- и товарооборота для баз следует принимать по табл. 4.
─────┬─────────────────┬────────────────────┬────────────────────┬─────────
Номер│ Наименование │ Доля групп товаров │ Нормативный срок │Ориенти-
групп│ групп товаров │ в общем хранимом │ хранения, дн. │ровочная
това-│ │ запасе, % │ │стоимость
ров │ ├───────┬──────┬─────┼───────┬──────┬─────┤одной
│ │респуб-│район-│спец-│респуб-│район-│спец-│тонны,
│ │ликанс-│ных, │баз │ликанс-│ных, │баз │руб.
│ │ких, │меж- │ │ких, │меж- │ │
│ │област-│район-│ │област-│район-│ │
│ │ных, │ных │ │ных, │ных │ │
│ │краевых│баз │ │краевых│баз │ │
│ │баз │ │ │баз │ │ │
│ │ │ │ │ │ │ │
─────┼─────────────────┼───────┼──────┼─────┼───────┼──────┼─────┼─────────
1 │Автомобили и │ 1,5 │ 2,8 │ │ 8 │ 10 │ │ 811
│прицепы к ним │ │ │ │ │ │ │
2 │Тракторы и │ 2,8 │ 5,6 │ │ 9 │ 12 │ │ 730
│прицепы к ним │ │ │ │ │ │ │
3 │Землеройные │ 0,5 │ 1,2 │ │ 15 │ 25 │ │ 652
│и строительные │ │ │ │ │ │ │
│машины │ │ │ │ │ │ │
4 │Сельскохозяйст- │ 14,1 │ 23,5 │ │ 30/20 │35/25 │ │ 562
│венные машины │ │ │ │
<*> │
<*> │ │
5 │Оборудование и │ 7,6 │ 10,6 │ │ 39 │ 36 │ │ 953
│электроматериалы │ │ │ │ │ │ │
6 │Инструмент │ 0,6 │ 2,1 │ │ 50 │ 90 │ │ 900
7 │Металлы и метизы │ 1,3 │ 3,0 │ │ 23 │ 35 │ │ 171
8 │Лесные и │ 1,7 │ 4,5 │ │ 25 │ 44 │ │ 219
│строительные │ │ │ │ │ │ │
│материалы │ │ │ │ │ │ │
9 │Резинотехнические│ 4,2 │ 6,8 │ │ 25 │ 27 │ │ 1700
│изделия │ │ │ │ │ │ │
10 │Хозтовары, │ 7,2 │ 14,7 │ │ 40 │ 54 │ │ 1430
│спецодежда │ │ │ │ │ │ │
│и другие товары │ │ │ │ │ │ │
│производственного│ │ │ │ │ │ │
│назначения │ │ │ │ │ │ │
11 │Запасные части │ 23,9 │ 9,3 │32,3 │ 140 │ 36 │ 54 │ 538
│к тракторам │ │ │ │ │ │ │
12 │Запасные части │ 14,7 │ 6,6 │27,7 │ 100 │ 30 │ 54 │ 680
│к автомобилям │ │ │ │ │ │ │
13 │Запасные части │ 12,0 │ 5,9 │25,2 │ 120 │ 40 │ 72 │ 500
│к сельхозмашинам │ │ │ │ │ │ │
14 │Цепи │ 0,6 │ 0,3 │ 1,2 │ 120 │ 40 │ 72 │ 523
│роликовтулочные │ │ │ │ │ │ │
15 │Автотракторное │ 5,9 │ 2,6 │11,1 │ 100 │ 40 │ 54 │ 1349
│электрооборудо- │ │ │ │ │ │ │
│вание, приборы, │ │ │ │ │ │ │
│резинотехнические│ │ │ │ │ │ │
│изделия и изделия│ │ │ │ │ │ │
│из стекла и │ │ │ │ │ │ │
│пластмассы │ │ │ │ │ │ │
16 │Подшипники │ 1,4 │ 0,5 │ 2,5 │ 140 │ 37 │ 72 │ 1349
--------------------------------
<*> В числителе с учетом сборки машин.
Примечания. 1. Ориентировочная стоимость одной тонны грузов приведена в ценах промышленности.
2. При разработке индивидуальных проектов или при привязке типовых проектов допускаются отступления от норм распределения хранимого запаса и сроков хранения грузов по товарным группам. В этом случае данные для проектирования по структуре и срокам хранения грузов принимаются исходя из сложившихся условий в зоне намечаемого строительства и должны быть оговорены в задании на проектирование.
Годовой грузооборот Q определяется по каждой группе товаров по формуле

,
где G - хранимый запас данной группы товаров, т;
n - нормативный срок хранения, дн.
Товарооборот по группам товаров определяется умножением грузооборота по группам товаров на среднюю стоимость одной тонны грузов.
5.2. Для расчета складских площадей заданный хранимый запас распределяется на технологические категории по типам складов и технологическим участкам.
Хранимый запас по категориям грузов определяется умножением хранимого запаса базы (склада), взятого по товарным группам, на коэффициенты распределения по категориям.
Коэффициенты распределения по категориям для баз определяются по
таблице Приложения 3.
5.3. Хранимый запас по типам складов определяется умножением хранимого запаса, распределенного по категориям грузов, на коэффициенты распределения по типам складов.
Коэффициенты распределения по типам складов для баз определяются по
таблице Приложения 4.
5.4. Годовой грузооборот по типам складов, товарным группам и категориям грузов определяется по
формуле п. 5.1, для которой нормативный срок хранения выбирается по
табл. 4.
5.5. Хранимый запас грузов на технологических участках определяется умножением суточного грузооборота по участку на его нормативный срок хранения.
Нормативный срок хранения грузов на участках закрытых складов принимается по
таблице Приложения 5.
Суточный грузооборот по участку принимается с учетом коэффициентов поступления и отпуска грузов, определяемых по
таблице Приложения 6.
5.6. Расчет полезной площади производится по участкам и категориям грузов для стеллажного и штабельного хранения по формуле

,
где

- полезная площадь участка по категориям грузов, м2;
G - хранимый запас участка по категориям грузов, т;
q - нагрузка на 1 м2 полезной площади склада при высоте укладки 1 м (принимается по
таблице Приложения 7), т;

- поправочный коэффициент, учитывающий эффективность использования объемов стеллажей и поддонов на базах различной мощности (принимается по табл. 5);

- коэффициент неравномерности поступления и отпуска грузов (принимается по
табл. 6);
h - высота хранения грузов (без учета неиспользуемых верхней и нижней "мертвых" зон и зоны, занятой горизонтальными огнепреграждающими экранами системы "Каскад" при хранении грузов в стеллажах), м.
Таблица 5
─────────────────────────────────────┬─────────────────────────────────────
Годовой товарооборот, млн. руб. │ Поправочный коэффициент
─────────────────────────────────────┼─────────────────────────────────────
До 20,0 │ не более 1,1
20,1 - 40,0 │ не более 1,05
Свыше 40,0 │ 1,00
Примечание. Таблица предназначена для применения в расчетах складских площадей областных (краевых, республиканских) баз.
───────────────────────────────────────┬───────────────────────────────────
Наименование участка (зоны) │ Коэффициенты неравномерности
├────────────────────┬──────────────
│ для областных, │для районных,
│ краевых, │ межрайонных
│республиканских баз │ баз
───────────────────────────────────────┼────────────────────┼──────────────
Зона хранения │ 1,0 │ 1,0
Участки временного хранения, приемки и │ 1,1 - 1,3 │ 1,2 - 1,5
сортировки, комплектования и накопления│ │
транспортных партий, комплектования │ │
грузов по разовым заявкам │ │
Для штабельного способа хранения высота принимается по технической характеристике используемой тары.
Примечания. 1. При расчетах полезной площади в зоне приемки грузов долю стеллажного хранения принимать 20%, в зоне отправки грузов долю стеллажного хранения принять 60% от объемов I, II, III категорий грузов.
2. Высоту складирования грузов на участке сортировки принять до 3 м, на участках накопления грузов и временного хранения при штабельном способе хранения - 3 - 5 м.
5.7. Общая площадь склада определяется по формуле (суммирование по всем технологическим участкам)

,
где

- общая площадь склада, м2;

- полезная площадь участка, м2;

- коэффициент использования площади участка (принимается по табл. 7).
Таблица 7
─────────────────────────────────────────────────┬─────────────────────────
Производственный участок (зона) │Коэффициент использования
│ площади альфа
─────────────────────────────────────────────────┼─────────────────────────
1. Зона хранения в закрытом складе с применением:│
электропогрузчиков с фронтальным захватом │ 0,27
<*>
электропогрузчиков с поворотными вилами, │ 0,33
<**>
электропогрузчиков ЕВ-416, ЕВ-426 и т.п., а также│
мостовых кранов-штабелеров │
межстеллажных кранов-штабелеров │ 0,40
автоматизированных штабелеров с многоместными │ 0,5 - 0,6
захватами │
2. Участок временного хранения партий грузов: │
вагонных (штабелями, блоками) │ 0,60
мелких (автомобильных, контейнерных) │ 0,27
на стеллажах │
3. Участок приемки и сортировки поступивших │ 0,50
партий грузов │
4. Участок комплектования и накопления │
транспортных партий, отправляемых транспортом: │
автомобильным │ 0,35
железнодорожным │ 0,60
5. Участок комплектования грузов, сформированных │ 0,50
по разовым заявкам │
6. Участок хранения грузов, сформированных │ 0,27
по разовым заявкам │
7. Открытые склады │ 0,33 - 0,39
--------------------------------
<*> Для складов резинотехнических изделий

; для складов хозтоваров

.
<**> Для складов резинотехнических изделий

; для складов хозтоваров

.
5.8. Для обеспечения высокой эффективности использования объема зон хранения при проектировании складов для баз снабжения областного (краевого), республиканского уровней необходимо предусматривать использование Типового рабочего проекта автоматизированной системы обработки данных по размещению грузов на хранение, их поиску и комплектованию для потребителей в складских комплексах баз снабжения Госкомсельхозтехники СССР, утвержденного в качестве типового Госкомсельхозтехникой СССР 14.12.1978.
Внедрение проекта обеспечивается инженерной подготовкой складского комплекса в соответствии с Методическими указаниями по подготовке складских комплексов и внедрению автоматизированной системы обработки данных по размещению грузов на хранение, их поиску и комплектованию для потребителей, утвержденными Госкомсельхозтехникой СССР в 1977 г.
6. НОРМЫ ДЛЯ РАСЧЕТА ПОТРЕБНОСТИ ОБОРУДОВАНИЯ
6.1. Выбор металлической и деревянной тары
Процентное соотношение металлической и деревянной тары в зависимости от категории грузов рекомендуется принимать по табл. 8.
Таблица 8
─────────┬────────────────────────┬────────────────────────────────────────
Категория│ Тара, % │ Примечание
грузов ├──────────┬─────────────┤
│деревянная│металлическая│
─────────┼──────────┼─────────────┼────────────────────────────────────────
I │ - │ 100 │При организации серийного производства
II │ 100 │ - │металлических плоских поддонов
III │ - │ 100 │для грузов II и IVв категорий объем
IVа │ - │ 100 │металлической тары следует увеличить,
IVб │ - │ 100 │а деревянной - уменьшить, что необходимо
IVв │ 100 │ - │указывать в задании на проектирование
6.2. Расчет потребности в стеллажах
6.2.1. Потребное количество стеллажей рассчитывается по каждой категории грузов по формуле

,
где

- потребное количество стеллажей, шт.;

- полезная площадь склада (участка), занятая данной категорией груза, м2;

- ширина стеллажа, м;

- длина стеллажа (секции стеллажа), м.
6.2.2. Общая расчетная длина

стеллажей для рассматриваемой категории груза рассчитывается по формуле

.
Оптимальная длина стеллажей находится в пределах 80 - 100 м.
6.3. Расчет потребности в таре
6.3.1. Потребное количество тары определяется по следующим видам ее применения:
для хранения грузов на участках стеллажного и штабельного хранения;
для доставки грузов потребителям;
тара, находящаяся в стадии движения внутри склада, в ремонте, порожняя тара.
6.3.2. Потребное количество тары для хранения грузов в стеллажах

определяется для всех участков стеллажного хранения и принимается равным количеству ячеек стеллажей по каждой категории грузов.
6.3.3. Потребное количество тары для хранения грузов в штабелях

определяется для всех участков штабельного хранения и рассчитывается по формуле

,
где

- полезная площадь участков штабельного хранения, м2;

- площадь складского места с учетом свисания грузов с поддона и необходимых зазоров между ними (можно принять увеличение габаритных размеров тары на 100 - 200 мм), м2;
Z - количество ярусов хранения складской тары, шт.
6.3.4. Потребное количество тары, находящейся в пути и задержанной потребителем (многооборотная тара), определяется по формуле

,
где

- суточный грузооборот склада по отпуску грузов в таре данного типа, т;

- коэффициент неравномерности отпуска грузов (принимается по
табл. 6);

- средняя грузовместимость принятой единицы тары (рассчитывается делением хранимого запаса по категориям грузов зоны хранения на количество тары, определенной для тех же категорий согласно
пп. 6.3.2 и
6.3.3), т;

- среднее время нахождения тары в пути (принимается 2 - 3 дня), дн.;

- среднее время, в течение которого тара задерживается потребителем, дн.
При проектировании областных баз

принимается 8 - 12 дней, при проектировании районных - 2 - 4 дня.
Примечание. Количество тары, находящейся в зонах комплектования и отправки грузов и предназначенной для перемещения внутри склада или для доставки грузов потребителям (многооборотная тара), учитывается в
пп. 6.3.2 и
6.3.3.
6.3.5. Количество тары, находящейся в стадии ремонта, учитывается с помощью коэффициента

(

для металлической тары;

- для деревянной тары).
Количество тары, находящейся в стадии движения внутри склада, и порожняя тара учитываются с помощью коэффициента

.
Общее количество тары

определяется по формуле

.
6.3.6. Потребное количество контейнеров для централизованной доставки грузов

рассчитывается по формуле

,
где

- суточный грузооборот по отправке в контейнерах (принимается согласно схеме грузопотоков), т;

- полный оборот контейнера (полным оборотом контейнера называется время от одной загрузки на складе отправителя до следующей; для областных, краевых, республиканских баз принимается 10 - 12 дней), дн.;

- грузоподъемность контейнера, т;

- коэффициент использования грузоподъемности контейнера (принимается 0,6 - 0,8, меньшие значения соответствуют более легким грузам);

,

- коэффициенты, учитывающие наличие порожних контейнеров и находящихся в ремонте (принимается согласно
п. 6.3.5).
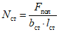
6.4. Расчет потребности подъемно-транспортного оборудования
6.4.1. Потребное количество подъемно-транспортного оборудования

определяется по формуле

,
где

- среднесуточная величина грузопереработки, т;

- время работы машин в сутки, ч;

- часовая производительность машины данного типа, т;

- коэффициент неравномерности поступления (отгрузки) грузов (принимается по
табл. 6).
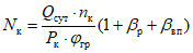
6.4.2. Часовая производительность оборудования

рассчитывается по формуле

,
где

- грузоподъемность механизма (принимается по техническим характеристикам оборудования), т;

- коэффициент использования оборудования по грузоподъемности (принимается по табл. 9);

- коэффициент использования механизма по времени (принимается по
табл. 10);

- длительность рабочего цикла, мин.
Таблица 9
──────────────────────────────────┬────────────────────────────────────────
Наименование операций │ Коэффициент использования оборудования
технологического процесса │ по грузоподъемности
├──────────────────────────┬─────────────
│ электропогрузчики, │ козловые и
│автопогрузчики, напольные │автомобильные
│ электроштабелеры │ краны
──────────────────────────────────┼──────────────────────────┼─────────────
Погрузка и выгрузка грузов │ не менее 0,85 │не менее 0,60
Транспортировка и доставка на │ не менее 0,75 │не менее 0,60
место хранения, доставка к месту │ │
погрузки, комплектовка │ │
────────────────────────────────────┬──────────────────────────────────────
Тип подъемно-транспортного механизма│ Коэффициент использования механизма
│ по времени
────────────────────────────────────┼──────────────────────────────────────
Авто- и электропогрузчики: │
вилочный │ 0,85
с крановой стрелой │ 0,75
со штырем │ 0,8
с безблочной стрелой │ 0,75
со сталкивателем │ 0,85
Краны: │
крюковый │ 0,75 - 0,9
грейферный │ 0,85 - 0,95
кран-штабелер │ 0,8 - 0,9
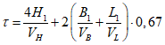
Длительность рабочего цикла определяется по формуле

,
где

- продолжительность цикла, включающая затраты времени, зависящие от дальности транспортирования грузов, мин;

- затраты времени постоянные на данной операции (принимаются по табл. 11), мин.
Таблица 11
──────────────────────────────────────────────────┬────────────────────────
Тип подъемно-транспортного механизма │ Дельта t, с
──────────────────────────────────────────────────┼────────────────────────
Мостовые краны-штабелеры грузоподъемностью, т: │
управляемые с пола от 0,25 до 1,0 │ 40
управляемые из кабины 1,0 │ 45
от 2 до 5 │ 50
Стеллажные краны грузоподъемностью, т: │
до 2,0 │ 45
Электро- и автопогрузчики: │
вилочный │ 110
с крановой стрелой │ 110 - 120
со штырем │ 120
с безблочной стрелой │ 110 - 120
со сталкивателем │ 110
Мостовой кран │ 90 - 120
Грейферный кран │ 30 - 60
Для прочих подъемно-транспортных механизмов значения следует принимать:

< 1 мин - при автоматическом захвате грузов;

= 1 - 3 мин - при ручной строповке грузов.
6.4.3. Расчет

(затраты времени на транспортирование грузов) определяется по формулам:
для мостовых и козловых кранов

;
для мостовых кранов-штабелеров

,
где

;
для стеллажных кранов, перерабатывающих грузы пакетами:
если кран возвращается на исходную позицию после каждого рабочего цикла

;
если кран остается в координатах выполнения команды

,
где

,

;
для стеллажных кранов-штабелеров с автоматическим управлением время рабочего цикла (с учетом совмещения движения вдоль стеллажа с движением вверх) определяется по формуле (по данным общесоюзных норм технологического проектирования складов тарно-штучных и длинномерных грузов Госснаба СССР
[1])

,
где

- средний путь захвата, м;

- скорость передвижения захвата, м/мин;
для авто- и электропогрузчиков

.
Значения скоростей кранов всех типов и скорость подъема авто- и электропогрузчиков принимаются по паспортным данным.
Скорости движения автопогрузчиков принимаются следующие:
на открытых складах и площадках с твердым покрытием - 180 м/мин;
на открытых складах и площадках в стесненных условиях и при отсутствии твердого, ровного покрытия - 150 м/мин.
В приведенных выше формулах приняты следующие обозначения:
L - длина стеллажа или площадки складирования, м;
H - высота стеллажа, м;

- среднее расстояние перемещения груза поперек фронта работы, м;

- расстояние от места загрузки до стеллажа по горизонтали, м;

- среднее расстояние перемещения груза вдоль фронта работ, м;

- средняя высота подъема груза, м;

- скорость перемещения груза вдоль фронта работ, м/мин;

- скорость перемещения груза поперек фронта работ, м/мин;

- скорость подъема груза, м/мин.
6.4.4. Количество консольно-поворотных кранов и приводных рольгангов устанавливается соответственно количеству рабочих мест на этих операциях. Количество и длина приводных транспортеров определяются в соответствии с технологической планировкой склада.
6.5. Расчет длины погрузочно-разгрузочного фронта
6.5.1. Количество транспортных средств, обеспечивающих суточную норму подачи грузов к складу (отгрузку грузов со склада) с учетом неравномерности прибытия или отправления грузов, определяется по формуле

,
где

- количество транспортных средств (вагонов, автомобилей), шт.;
Q - годовой грузооборот базы (склада) по данному типу транспортных средств (определяется распределением грузооборота с применением нормативных данных
таблицы Приложения 6), т;

- коэффициент неравномерности поступления или отпуска (принимается по
табл. 6);
N - число дней поступления или отпуска грузов (принимается согласно исходным данным
п. 2.2), дн.;

- средняя грузоподъемность транспортного средства для рассчитываемого рода грузов, т.
6.5.2. Число транспортных средств в одной подаче рассчитывается по формуле

,
где

- количество транспортных средств для погрузки или выгрузки, одновременно подаваемых к фронту работ, шт.;

- количество транспортных средств за сутки, шт.;
m - количество подач в сутки, шт.
6.5.3. Расчетная длина фронта

погрузочно-разгрузочных работ определяется по формуле

,
где l - длина транспортной единицы, м;

- расстояние между транспортными единицами, принимаемое:
при расцепке состава железнодорожных вагонов равным 1,1 - 1,5 м;
при установке автомобилей торцом - 1,0 м;
при установке автомобилей вдоль фронта работ - 2,5 м.
Длина погрузочно-разгрузочной рампы должна быть не менее расчетного фронта работ.
7. НОРМЫ ДЛЯ РАСЧЕТА ПАКЕТНЫХ ПЕРЕВОЗОК
7.1. Участок формирования пакетов располагается на участке комплектования грузов. В этом случае за счет установки оборудования для формирования пакетов (стол, лентонатяжная машина, мостовой кран с управлением с пола и др.) площадь участка комплектования грузов должна быть увеличена. Площадь для формирования пакетов в зависимости от грузооборота склада следует принимать по табл. 12.
Таблица 12
────────────────────────┬────┬─────┬────┬────┬────┬────┬────┬────┬────┬────
Грузооборот склада, │ 10 │ 13 │ 17 │ 25 │ 34 │ 43 │ 51 │ 60 │ 77 │ 94
тыс. т │ │ │ │ │ │ │ │ │ │
────────────────────────┼────┼─────┼────┼────┼────┼────┼────┼────┼────┼────
Площадь участка │ 15 │ 15 │ 15 │ 24 │ 24 │ 24 │ 36 │ 36 │ 40 │ 50
формирования пакетов, м2│ │ │ │ │ │ │ │ │ │
7.2. Для расчета пакетных перевозок процент пакетируемых грузов в зависимости от их категории следует принимать по данным табл. 13.
Таблица 13
───────────────────────────────────┬───────────────────────────────────────
Категория грузов │ Объем пакетирования, %
───────────────────────────────────┼───────────────────────────────────────
I │ 15 - 20
II │ 33 - 40
III │ 8 - 10
IVа │ 9 - 12
IVб │ 7 - 10
IVв │ 3 - 5
Vа │ 8 - 11
Vб │ 8 - 11
VIа │ 0
VIб │ 1 - 2
VIв │ 3 - 5
VIIа │ 16 - 20
VIIб │ 10 - 14
8. УРОВЕНЬ МЕХАНИЗАЦИИ И АВТОМАТИЗАЦИИ
ПОГРУЗОЧНО-РАЗГРУЗОЧНЫХ И ТРАНСПОРТНО-СКЛАДСКИХ РАБОТ
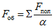
8.1. Уровень механизации ПРТС работ рассчитывается по формуле:

,
где

- объем механизированных работ, т;

- объем немеханизированных (ручных) работ, т.
Для определения значений

и

использовать данные из Методических рекомендаций по определению уровня механизации погрузочно-разгрузочных и складских работ на предприятиях Госкомсельхозтехники СССР, утвержденных Госкомсельхозтехникой СССР 06.01.1984.
Уровень механизации ПРТС работ должен быть:
по закрытым складам не ниже 75%;
по открытым складам не ниже 95%;
в целом по базам не ниже 81%.
8.2. Расчет уровня автоматизации ПРТС работ следует производить по ГОСТ 14.309-74. Уровень автоматизации ПРТС работ должен быть:
для зон хранения с применением стеллажных кранов-штабелеров не менее 0,65;
для операций межоперационного транспортирования не менее 0,8.
Примечание. Приведенные нормы уровней автоматизации ПРТС работ в зоне хранения и межоперационного транспортирования должны применяться при условии использования автоматизированных кранов-штабелеров и транспортно-распределительных систем.
9. НОРМЫ ДЛЯ ПРОЕКТИРОВАНИЯ БАЗ КОМПЛЕКТОВАНИЯ
9.1. При проектировании баз комплектования следует использовать Правила хранения товаров на базах снабжения и комплектации системы Госкомсельхозтехники СССР, утвержденные Госкомсельхозтехникой СССР 16.09.1985.
9.2. Нормативный срок хранения в днях по административно-экономическим районам принимать по табл. 14.
Таблица 14
───────────────────────────────────────────────────┬───────────────────────
Наименование административно-экономического района │ Нормативный срок
│ хранения, дн.
───────────────────────────────────────────────────┼───────────────────────
1. Центральный │ 94
2. Волго-Вятский │ 110
3. Приволжский │ 104
4. Северо-Кавказский │ 90
5. Уральский │ 106
6. Восточно-Сибирский │ 119
7. Центрально-Черноземный │ 90
8. Северо-Западный │ 106
9. Западно-Сибирский │ 102
10. Дальневосточный │ 128
11. Юго-Западный │ 90
12. Донецко-Приднепровский │ 90
13. Южный │ 95
14. Белорусский │ 90
15. Молдавский │ 95
16. Прибалтийский │ 90
17. Закавказский │ 95
18. Среднеазиатский │ 110
19. Казахстанский │ 110
Для типового проектирования без учета административно-экономических районов срок хранения принимать равным 94 дням.
Расчет потребности в складских площадях производить по методике, приведенной в
разделе 5, основные нормативные данные по их расчету принимать по
табл. 1 -
4 Приложения 8.
Примечание. При разработке индивидуальных проектов или при привязке типовых проектов данные
табл. 1 -
4 Приложения 8 принимать исходя из сложившихся условий в зоне намечаемого строительства, они должны быть оговорены заданием на проектирование.
9.3. Расчет потребности в стеллажах, таре, подъемно-транспортном оборудовании производить по методике, приведенной в
разделе 6.
9.4. Численность руководящих, инженерно-технических работников и служащих контор и баз комплектования определяется по нормативам, приведенным в Типовых структурах управления и нормативах численности руководящих, инженерно-технических работников и служащих организаций материально-технического снабжения системы Госкомсельхозтехники СССР, утвержденных Госкомсельхозтехникой СССР 26.10.1978.
10. НОРМЫ РАСЧЕТА ЧИСЛЕННОСТИ РАБОТНИКОВ БАЗ И СКЛАДОВ
10.1. В состав работающих включаются:
основные рабочие;
вспомогательные рабочие;
руководящие, инженерно-технические работники и служащие.
10.2. Перечень профессий рабочих
Профессии рабочих по функциональным группам приведены в табл. 15.
Таблица 15
───────────────────────────────────────┬───────────────────────────────────
Наименование функциональных групп │ Наименование профессий
───────────────────────────────────────┴───────────────────────────────────
Основные рабочие
Механизаторы │Водители погрузчика
│Машинисты крана (крановщики)
│Стропальщики
│Машинисты кранов-штабелеров
│Машинисты-операторы
Рабочие, занятые на погрузочно- │Грузчики
разгрузочных работах и внутрискладской │Кладовщики
переработке грузов │Рабочие складов (на внутрискладской
│переработке грузов)
Вспомогательные рабочие
Рабочие по ремонту погрузочно- │Аккумуляторщики
разгрузочных машин и оборудования │Электросварщики
│Слесари
│Токари
│Газосварщики
│Плотники
Рабочие по обслуживанию электросети, │Электромонтеры
котельной, водоканализационной сети │Машинист (кочегар) котельной
│Слесарь-сантехник
Рабочие по уборке служебных помещений │Уборщики служебных помещений
и охрана │Дворники
│Вахтеры
│Сторожа
10.3. Расчет численности рабочих
Численность грузчиков, механизаторов и рабочих, занятых ремонтом, обслуживанием техники и уборкой служебных помещений, рассчитывается по Методическим рекомендациям по определению численности рабочих баз материально-технического снабжения Госкомсельхозтехники СССР, утвержденным Госкомсельхозтехникой СССР 13.11.1980.
Численный состав рабочих, занятых внутрискладской переработкой грузов на складах, определяется через трудоемкость грузопереработки на основе Нормативов затрат труда по операциям технологического процесса переработки грузов на базах снабжения Госкомсельхозтехники СССР, утвержденных Госкомсельхозтехникой СССР 01.12.1983.
В
разделе 4 приведены нормативы затрат труда на переработку 1 т груза и 1 тыс. руб. складского товарооборота по группам грузов. Численность рабочих определяется делением суммы трудозатрат переработки годового объема грузов на годовой фонд рабочего времени одного рабочего.
10.4. Численность руководящих, инженерно-технических работников и служащих определяется по Типовым структурам управления и нормативам численности руководящих, инженерно-технических работников и служащих организаций материально-технического снабжения системы Госкомсельхозтехники СССР, утвержденным Постановлением N 102 коллегии Госкомсельхозтехники СССР 26.10.1978.
11. НОРМЫ ДЛЯ ПРОЕКТИРОВАНИЯ ВСПОМОГАТЕЛЬНЫХ СЛУЖБ
В состав вспомогательных служб входят:
участок переконсервации, участки ремонта оборудования и тары, зарядная станция и гараж электропогрузчиков.
На районных базах участок переконсервации не предусматривается.
При проектировании вспомогательных служб следует руководствоваться методическими рекомендациями
[6].
Основными технологическими параметрами вспомогательных служб являются следующие показатели:
количество основного оборудования;
расход материалов;
численность работающих;
производственная площадь.
Исходными данными для расчета технологических параметров участков служат:
производственная программа (для гаража и зарядной - количество электропогрузчиков и зарядных мест);
режим работы и фонд времени;
принятый технологический процесс;
температурно-влажностный режим помещений;
требования по охране труда и окружающей среды.
11.1. Участок переконсервации деталей и восстановления защитных покрытий
11.1.1. Расчет годовой производственной программы участка
Годовую программу переконсервации запасных частей рассчитывают по их суммарной поверхности, подлежащей обработке.
Площадь поверхности запасных частей (F), подлежащих обработке в течение года, определяется по формуле
F = 0,01 x M x S,
где M - годовой грузооборот запасных частей, т;
S - поверхность 1 т запасных частей, подлежащих переконсервации, м2;
0,01 - доля запасных частей годового грузооборота, подлежащих переконсервации.
Поверхность 1 т мелких и средних запасных частей, подлежащих переконсервации, рекомендуется принимать 30 м2.
11.1.2. Количество основного оборудования для участка переконсервации изделий определяется по формуле

,
где

- общая масса изделий на годовую программу, кг;

- производительность установки, кг/ч;

- действительный годовой фонд времени работы оборудования, ч.
Производительность установки дается в технических характеристиках оборудования.
Действительный годовой фонд времени работы оборудования определяется по
табл. 2.
Так как объем запасных частей, подлежащих переконсервации на базах снабжения, не превышает 1000 т в год, то РД 451.274-80 рекомендуется применять для обезжиривания, сушки и консервации изделий стационарные ванны типа 16.2597.00.00
[6].
11.1.3. Нормы для расчета потребности основных и вспомогательных материалов, необходимых для переконсервации запасных частей, приведены в табл. 16.
Таблица 16
──────────────────────────┬────────────────┬─────────────────┬─────────────
Наименование материала │ Назначение │ Концентрация, │ Норма
│ │ г/л │расхода, г/м2
──────────────────────────┼────────────────┼─────────────────┼─────────────
ИС МЕГАНОРМ: примечание.
ГОСТ 443-76 утратил силу с 1 июля 1992 года (ИУС "Государственные
стандарты", N 10, 1992).
Растворители по │Протирание │ │ 50 - 75
│маслами, │ │
│растворителями, │ │
│окунание │ │
Тринатрийфосфат │Расконсервация │ 5 - 50 │ 15 - 20
ИС МЕГАНОРМ: примечание.
Взамен ГОСТ 5100-73 Постановлением Госстандарта СССР от 05.03.1985
Сода кальцинированная │Расконсервация │ 10 - 15 │ 15 - 20
по ГОСТ 5100-73 │ │ │
Нитрит натрия │Консервация │загущенные и │ 35
ИС МЕГАНОРМ: примечание.
Взамен ГОСТ 19537-74 Постановлением Госстандарта СССР от 14.12.1983
N 5890 с 1 января 1985 года введен в действие
Смазка пластичная ПВК, │Консервация │ │ 600 - 800
ГОСТ 19537-74 │ │ │
Защитная водно-восковая │Консервация │вязкость условная│ 50
дисперсия ЭВДП-13, │ │по ВЗ-4 при │
ТУ 38-101-716-78 │ │20 °C не более 20│
Салфетки хлопчатобумажные │Протирка │ │ 0,2
11.1.4. Численность рабочих

определяется по формуле

,
где Q - годовая программа переконсервации, т;
g - загрузка сетчатой тары (g = 0,3), т;

- действительный годовой фонд времени рабочих, ч;
1,5 - трудозатраты на переработку одной сетчатой тары (от доставки на переконсервацию до возврата в хранилище), чел.-ч.
11.1.5. Расчет производственной площади участка
Производственная площадь участка определяется по формуле

,
где

- сумма площадей всего оборудования, установленного на участке, м2;

- переходный коэффициент, учитывающий расстояние между оборудованием, от оборудования до строительных конструкций, между рядами оборудования, проезды (проходы) для подвесного и напольного транспорта.
Значение переходных коэффициентов для расчета производственных площадей участков следует принимать по табл. 17.
───────────────────────┬─────────────────────────────────┬─────────────────
Наименование участка │ Перечень оборудования, │ Переходный
│принимаемого для расчета площади │ коэффициент для
│ участка │рабочих мест, K
│ │ п
───────────────────────┼─────────────────────────────────┼─────────────────
Участок консервации │Ванны и установки для консервации│ 3,5
и упаковки изделий │изделий, столы для подготовки │
│и упаковки изделий, подставки │
│под агрегаты │
Отделение по ремонту │Металлорежущие и другие станки, │ 4,5
и техническому │сварочное оборудование, слесарные│
обслуживанию │верстаки, прессы и т.п. │
оборудования │ │
Зарядка электрокаров │Зарядные агрегаты, ванны │ 5,5
и электропогрузчиков │для приготовления электролита, │
│дистилляторы, монтажные столы, │
│стеллажи │
│Электрокары-электропогрузчики, │ 3,0
│электрические тележки │
│Стеллажи и шкафы для зарядки │ 2,5
│аккумуляторных батарей │
11.1.6. Работы по подкраске машин следует производить при их сборке, выполняться они должны рабочими участка переконсервации.
Нормы расход материалов на подкраску приведены в табл. 18.
Таблица 18
──────────────────────────────────────┬────────────────────────────────────
Наименование │ Расход, г/м2
──────────────────────────────────────┼────────────────────────────────────
Автосмывка, ТУ 6-15-732-72 │ 400 - 500
Грунтовка ПФ-020 │ 4,03
Лак ПФ-020, ГОСТ 18186-79 │ 3,04
Салфетки хлопчатобумажные │ 0,2 шт.
11.2. Участок ремонта тары
11.2.1. Количество тары и контейнеров, подлежащих ремонту, определяется на основании
пп. 6.3.5,
6.3.6.
11.2.2. Площадь участка (F) хранения тары, требующей ремонта, определяется по формуле

,
где

- общее количество тары, требующей ремонта, шт.;
S - площадь одной единицы тары, м2;

- количество ярусов, шт.;

- коэффициент использования площади участка.
Данные для расчета площади участка хранения рекомендуется принимать по табл. 19.
Таблица 19
───────────────────────────────────┬───────────────────────────────────────
Наименование │ Рекомендуемая норма для расчета
───────────────────────────────────┼───────────────────────────────────────
Количество ярусов, шт.: │
ящичная тара │ не более 6
плоские поддоны │ 15 - 20
Коэффициент использования площади │ 0,33 - 0,39
участка │
11.2.3. Расчет количества основного оборудования
Количество основного оборудования на участке определяется по формуле

,
где

- общая годовая станкоемкость, станко-ч;

- годовой фонд времени работы оборудования, ч;

- коэффициент загрузки оборудования (0,75 - 0,8).
Годовой фонд времени работы оборудования принимается по
табл. 2.
Нормы станкоемкости и трудоемкости на ремонт деревянной тары приведены в табл. 20, металлической - в
табл. 21.
Таблица 20
| | ИС МЕГАНОРМ: примечание. Взамен ГОСТ 9557-73 Постановлением Госстандарта СССР от 24.08.1992 N 1013 с 1 января 1988 года введен в действие | |
──────────────────────────────────┬────────────────────────────────────────
│ Трудоемкость на 100 условных единиц
├───────────────────┬────────────────────
│ станко-ч │ чел.-ч
──────────────────────────────────┼───────────────────┼────────────────────
Ремонт деревянной тары (поддон, │ 1,8 │ 14,4
ГОСТ 9557-73) │ │
─────────────────────────────┬─────────────────────────────────────────────
Наименование параметра │ Наименование работ
├───────────────┬──────────────┬──────────────
│заготовительные│ сварочные │ слесарные
─────────────────────────────┼───────────────┼──────────────┼──────────────
Трудоемкость, чел.-ч │ 0,1 │ 0,26 │ 0,39
11.2.4. Нормы расхода материалов на ремонт условной деревянной тары (поддон, ГОСТ 9557-73) и условной металлической тары (70.IIА, ГОСТ 14861-71) принимать по табл. 22.
Таблица 22
─────────────────────────────┬─────────────────────────────────────────────
Наименование материала │ Норма на ремонт одной условной единицы тары
─────────────────────────────┴─────────────────────────────────────────────
Деревянная тара
Древесина, м3 │ 0,02
Гвозди, кг │ 0,48
Металлическая тара
Металл, кг │ 18 - 20
Электроды, кг │ 0,5
Эмаль ПФ-115, кг │ 0,30
Грунт ГФ-020, кг │ 0,20
Сольвент А, кг │ 0,1
11.2.5. Расчет численности производственных рабочих следует производить на основании трудоемкости на единицу условной тары (для деревянной тары принимать 0,14 чел.-ч, а для металлической - по
табл. 21) и годового фонда времени одного рабочего (по
табл. 1).
11.2.6. Расчет производственной площади участка ремонта тары производится аналогично расчету производственной площади участка переконсервации
п. 11.1.5.
11.3.1. Количество зарядных мест рассчитывается по формуле, приведенной в методических рекомендациях
[6].
Количество оборудования, оргоснастки, приборов и инструмента для участка зарядки электропогрузчиков определяется по Ведомственным нормам технологического проектирования ремонтных предприятий "Производственные и вспомогательные участки" (ВНТП 04-81. Госкомсельхозтехника СССР).
11.3.2. Нормативы численности аккумуляторщиков для зарядки аккумуляторных батарей в смену приведены в табл. 23.
Таблица 23
────────────────────┬─────┬──────┬─────┬─────┬─────┬─────┬─────┬─────┬─────
Среднее количество │до 5 │6 - 10│11 - │16 - │21 - │26 - │31 - │36 - │41 -
заряжаемых батарей │ │ │ 15│ 20│ 25│ 30│ 35│ 40│ 45
в смену, шт. │ │ │ │ │ │ │ │ │
────────────────────┼─────┼──────┼─────┼─────┼─────┼─────┼─────┼─────┼─────
Численность │ 0,5 │ 0,8 │ 1,2 │ 1,5 │ 1,9 │ 2,1 │ 2,5 │ 2,8 │ 3,0
работающих в смену, │ │ │ │ │ │ │ │ │
чел. │ │ │ │ │ │ │ │ │
────────────────────┴─────┴──────┴─────┴─────┴─────┴─────┴─────┴─────┴─────
11.3.3. Нормы для расчета годовой потребности материалов при эксплуатации электропогрузчиков приведены в табл. 24.
Таблица 24
────────┬──────────────────────────────────────────────────────────────────
Емкость │ Годовой расход на 1 батарею
батареи,├──────────┬────────┬────────────────────────────────┬─────────────
А/час │дистилли- │электро-│ щелочи (едкий калий), кг │ серной
│рованной │лита, л ├─────────────────┬──────────────┤ кислоты пл.
│воды, л │ │для приготовления│ на │1,87 г/см3, л
│ │ │ электролита │подщелачивание│
────────┼──────────┼────────┼─────────────────┼──────────────┼─────────────
300 │ 5230 │ 1046 │ 523 │ 5,23 │ -
400 │ 7032 │ 1406 │ 703 │ 7,03 │ -
300 │ 4175 │ 835 │ 418 │ 4,18 │ -
250 │ 2901 │ 580 │ 299 │ 3,0 │ -
350 │ 5274 │ 1055 │ - │ - │ 247
11.3.4. Расчет производственных площадей зарядной станции
Зарядная станция электрокаров и электропогрузчиков состоит из следующих помещений:
для стоянки машин и зарядки аккумуляторов на машинах или на стеллажах (помостах);
для приготовления электролитов;
для зарядки агрегатов;
для приготовления дистиллированной воды (дистилляторная);
вентиляционной камеры.
Производственная площадь для всех помещений участка определяется по формуле

,
где

- площадь, занятая оборудованием в каждом отделении, м2;

- переходный коэффициент для каждого вида оборудования данного участка (определяется по
табл. 17).
11.4. Участок по ремонту оборудования
11.4.1. Расчет объема работ, выполняемых по ремонту оборудования
Для определения объема работ, выполняемых при ремонтах, следует пользоваться единой единицей ремонтосложности (ЕРС).
11.4.2. Расчет годовой трудоемкости выполняемых ремонтных работ
Трудоемкость определяется как произведение трудоемкости одной единицы ремонтосложности механической или электрической части оборудования на соответствующее количество единиц ремонтосложности механической или электрической части оборудования.
Значения ремонтосложности оборудования и трудоемкость одной единицы ремонтосложности принимаются по положению планово-предупредительного ремонта
[2].
11.4.3. Расчет количества основного оборудования
Общее количество основных станков определяется по формуле

,
где

- общая годовая станкоемкость, станко-ч;

- действительный (расчетный) годовой фонд времени работы станка при соответствующем числе смен работы, ч;

- коэффициент загрузки оборудования.
Годовой (расчетный) фонд времени работы оборудования принимается по
табл. 2. Коэффициент загрузки оборудования принимается по табл. 25.
Таблица 25
───────────────────────────────────────────────┬───────────────────────────
Число обслуживаемого оборудования │ K
│ з
───────────────────────────────────────────────┼───────────────────────────
До 10 │ 0,70
Свыше 10 │ не менее 0,75
11.4.4. Численность рабочих, занятых ремонтом подъемно-транспортного оборудования, электрооборудования, сантехнического оборудования, определяется по нормативам численности, приведенным в Методических рекомендациях по определению численности рабочих баз материально-технического снабжения Госкомсельхозтехники СССР, утвержденных Госкомсельхозтехникой СССР 13.10.1980.
11.4.5. Расход основных материалов на ремонт и межремонтное обслуживание оборудования определяется по формуле

,
где Q - годовой расход основных материалов на ремонт и обслуживание;

- коэффициент, учитывающий расход основных материалов на осмотры и межремонтное обслуживание;

- расход материалов на один капитальный ремонт оборудования на одну единицу ремонтосложности;

- коэффициент, характеризующий соотношение между количеством материала, расходуемым при текущем и капитальном ремонтах;

- сумма единиц ремонтосложности агрегатов, подвергаемых текущему ремонту в течение года (определяется согласно
[2]).
Значение нормативов для расчета расхода основных материалов на ремонт подъемно-транспортного, металло- и деревообрабатывающего оборудования приведены в табл. 26, а для электрооборудования - в
табл. 27.
Таблица 26
──────────────────┬──────┬─────────┬─────────┬─────────┬─────────┬─────────
Оборудование │лямбда│Чугунное │Сталь │Сталь │Стальное │Бронзовое
│ │ литье │углеро- │легиро- │ литье │ литье
│ │ │дистая │ванная │ │
│ ├────┬────┼────┬────┼────┬────┼────┬────┼────┬────
│ │бета│ H ,│бета│ H ,│бета│ H ,│бета│ H ,│бета│ H ,
│ │ │ i │ │ i │ │ i │ │ i │ │ i
│ │ │ кг │ │ кг │ │ кг │ │ кг │ │ кг
──────────────────┼──────┼────┼────┼────┼────┼────┼────┼────┼────┼────┼────
Подъемно- │ 1,15 │0,2 │ 6,3│ 0,2│50,0│ 0,2│6,1 │0,2 │7,5 │0,3 │6,75
транспортное │ │ │ │ │ │ │ │ │ │ │
Металло- │ 1,12 │0,15│ 4,0│ 0,2│14,0│ 0,2│7,0 │0,15│0,25│0,3 │1,3
обрабатывающее │ │ │ │ │ │ │ │ │ │ │
Дерево- │ 1,15 │0,15│ 4,0│ 0,2│10,2│ 0,2│5,5 │0,15│0,28│0,3 │0,38
обрабатывающее │ │ │ │ │ │ │ │ │ │ │
──────────────────┬──────────────────┬──────────────────┬──────────────────
Оборудование │ Латунный прокат │ Припой │ Резина
│ │ │ маслостойкая
├────┬──────┬──────┼────┬──────┬──────┼────┬──────┬──────
│бета│лямбда│H , кг│бета│лямбда│H , кг│бета│лямбда│H , кг
│ │ │ i │ │ │ i │ │ │ i
──────────────────┼────┼──────┼──────┼────┼──────┼──────┼────┼──────┼──────
Электродвигатели │ │ │ 0,25 │ │ │0,005 │ │ │
Магнитные │0,1 │ 1,1 │0,006 │ │ 1,1 │0,003 │ │ │
пускатели │ │ │ │ │ │ │ │ │
Масляные │0,1 │ 1,1 │ 0,33 │ │ │ │ │ │
выключатели │ │ │ │ │ │ │ │ │
Осветительные │0,1 │ 1,1 │ 0,09 │ │ │0,036 │ │ │
щитки │ │ │ │ │ │ │ │ │
Силовые │0,1 │ 1,1 │ 0,4 │ │ │0,008 │0,5 │ 1,1 │ 0,7
трансформаторы │ │ │ │ │ │ │ │ │
Годовую потребность в материалах, определяемых по табл. 28 -
30, следует рассчитывать путем умножения количества единиц оборудования на нормы расхода материалов, приведенных в этих таблицах.
Нормы расхода лакокрасочных материалов на одну ремонтную единицу установленного оборудования приведены в табл. 28.
Таблица 28
──────────────────────────┬────────────────────────────────────────────────
Наименование материала │ Потребное количество материала в год, кг
├──────────────┬────────────────────┬────────────
│металлорежущие│деревообрабатывающие│ подъемно-
│ станки │ станки │транспортное
│ │ │оборудование
──────────────────────────┼──────────────┼────────────────────┼────────────
Грунтовка ГФ-020 │ 0,05 │ 0,05 │ -
Уайт-спирит ГФ-020 │ 0,10 │ 0,01 │ 0,045
Шпатлевка ПФ-00-2 │ 0,10 │ 0,10 │ -
Эмаль НЦ-132 │ 0,085 │ 0,12 │ -
нитроглифталевая │ │ │
Лак N 74 │ 0,005 │ 0,007 │ 0,01
Мел молотый │ 0,01 │ 0,013 │ 0,013
Шпатлевка НЦ-00-8 │ 0,045 │ 0,03 │ -
Нитрорастворитель N 649 │ 0,02 │ 0,005 │ -
Грунт глифталевый N 138 │ - │ - │ 0,025
Масляно-глифталевая эмаль │ - │ - │ 0,03
N 1425 │ │ │
Экстракт N 2 │ - │ - │ 0,003
Нормы расхода керосина в год на одну единицу оборудования даны в табл. 29.
Таблица 29
─────────────────────────────────────────────────────────┬─────────────────
Состояние оборудования │Нормы расхода, г
─────────────────────────────────────────────────────────┼─────────────────
Оборудование, находящееся в эксплуатации │ 350 - 400
Оборудование, подлежащее монтажу или ремонту (разовый │ 300 - 500
расход) │
Оборудование, находящееся в консервации │ 100 - 120
Оборудование, подлежащее межремонтному обслуживанию │ 40
Нормы расхода различных материалов и комплектующих изделий даны в табл. 30.
───────────────────────┬──────────────────────────┬────────────────────────
Наименование материала │Наименование оборудования │ Потребное количество
│ │ материала в год для
│ │ единицы оборудования,
│ │работающего в две смены
───────────────────────┼──────────────────────────┼────────────────────────
Подшипники качения, шт.│Металлорежущие станки │ 5
│Деревообрабатывающие │ 8
│станки │
│Подъемно-транспортное │ 1
Сетка латунная, м2 │Станки всех видов, имеющие│ 0,05
│маслопровод │
Проволока стальная, кг │Все виды оборудования │ 0,5
Электроды, кг │ То же │ 3,0
Крепежные детали, кг │ " │ 1,5
Трубы стальные, кг │ " │ 4,0
11.4.6. Расчет производственной площади ремонтной мастерской производится в порядке, изложенном в
пункте 11.1.5.
11.4.7. Ремонтные материалы для обслуживания и ремонта оборудования базы рекомендуется хранить в специальной кладовой. Специальная кладовая располагается в общем помещении вспомогательных служб.
12. НОРМАТИВЫ ПО ТЕХНИКЕ БЕЗОПАСНОСТИ,
ПРОИЗВОДСТВЕННОЙ САНИТАРИИ И ПОЖАРНОЙ БЕЗОПАСНОСТИ
12.1. При проектировании баз и складов снабжения и комплектования следует руководствоваться действующими нормами, инструкциями и правилами техники безопасности, производственной санитарии и пожаробезопасности.
12.2. Вводимые в эксплуатацию новые и реконструируемые базы и склады должны полностью отвечать требованиям Правил техники безопасности и производственной санитарии для баз снабжения Госкомсельхозтехники СССР, согласованных с ЦК профсоюза работников сельского хозяйства и утвержденных Госкомсельхозтехникой СССР 10.06.1981, Санитарных правил организации технологических процессов и гигиенических требований к производственному оборудованию, утвержденных Минздравом СССР 04.04.1973, ОСТ 70.0003.021-79 "Склады и базы товаров общего назначения Госкомсельхозтехники СССР. Общие требования безопасности".
12.3. Склады легковоспламеняющихся и горючих материалов, газовых баллонов, кислот и других грузов, требующих особых условий хранения, следует размещать в отдельно стоящих зданиях. При проектировании этих складов следует руководствоваться СНиП II-104-76.
12.4. Автомобильные дороги производственных территорий баз и складов должны отвечать требованиям
СНиП II-Д.5-72.
12.5. Места погрузочно-разгрузочных работ должны соответствовать требованиям
ГОСТ 12.3.009-76.
12.6. При проектировании складов для учета противопожарных требований необходимо руководствоваться
СНиП II-2-80, а также
ГОСТ 12.1.004-76. Классы складских помещений по взрыво- и пожароопасности следует определять в соответствии с нормативными материалами "Категории производств и классы помещений по взрывопожарной опасности ремонтно-обслуживающих предприятий, торговых баз и складов системы "Союзсельхозтехника", утвержденными Союзсельхозтехникой 10.07.1974.
12.7. Во взрывопожароопасных помещениях складов должны предусматриваться автоматическая сигнализация, предупреждающая образование в воздушной среде взрывоопасной концентрации паров, и автоматическое включение аварийной вентиляции. Автоматическая пожарная сигнализация устанавливается в складских помещениях в соответствии с перечнем, утвержденным Госстроем СССР и ГУПО МВД СССР 10.09.1976, а также в соответствии со СНиП II-104-76.
При проектировании складов пожарная сигнализация и установки пожаротушения должны быть выполнены в соответствии с требованиями
СНиП 2.04.09-84, Рекомендаций по проектированию автоматических установок пожаротушения в высотных складах тарно-штучных грузов с передвижными стеллажами, утвержденных ГУПО МВД СССР 20.09.1983, Рекомендаций по проектированию автоматических установок пожаротушения в высотных стеллажных складах резинотехнических изделий с высотой складирования до 16 м, утвержденных ГУПО МВД СССР 05.12.1984.
Складские помещения должны обеспечиваться первичными средствами пожаротушения согласно таблицам по типовым правилам пожарной безопасности для объектов сельскохозяйственного производства, утвержденным ГУПО МВД СССР 25.06.1976, и по типовым правилам пожарной безопасности для промышленных предприятий, утвержденным ГУПО МВД СССР 21.08.1971.
| | ИС МЕГАНОРМ: примечание. Взамен ГОСТ 12.1.005-76 Постановлением Госстандарта СССР от 29.09.1988 N 3388 с 1 января 1989 года введен в действие ГОСТ 12.1.005-88. | |
12.8. Метеорологические условия - температуру, относительную влажность и скорость воздуха - в складских помещениях необходимо применять в соответствии с требованиями ГОСТ 12.1.005-76, а также СНиП II-104-76.
12.9. Предельно допустимые концентрации вредных веществ в воздухе рабочей зоны не должны превышать значений, указанных в
ГОСТ 12.1.007-76 или ОСТ 70.0003.021-79.
| | ИС МЕГАНОРМ: примечание. Взамен ГОСТ 12.1.012-78 Постановлением Госстандарта СССР от 13.07.1990 N 2190 с 1 июля 1991 года введен в действие ГОСТ 12.1.012-90. | |
12.10. Уровни шума на рабочих местах, в производственных помещениях и на территории базы, в административных и бытовых помещениях не должны превышать значений, указанных в ГОСТ 12.1.012-78.
12.11. Освещение территории базы, складов, рабочих участков, административных и подсобных помещений должно соответствовать
СНиП II-4-79 и ОСТ 70.0003.021-79.
12.12. Во всех производственных и вспомогательных помещениях должна быть оборудована вентиляция. Вентиляционные установки аккумуляторных и кислотных помещений необходимо проектировать самостоятельными, они не должны быть связаны с установками вентиляции других помещений.
| | ИС МЕГАНОРМ: примечание. Взамен СНиП II-33-75 Постановлением Госстроя СССР от 15.12.1986 N 49 с 1 января 1988 года введены в действие СНиП 2.04.05-86. | |
При проектировании вентиляции необходимо руководствоваться СНиП II-33-75 и
СН 245-71.
Вентиляционные установки не должны создавать шум, превышающий нормы по
ГОСТ 12.1.003-83.
12.13. Базы и склады снабжения и комплектования должны быть обеспечены санитарно-бытовыми помещениями в соответствии со
СНиП II-92-76.
13. НОРМЫ ДЛЯ РАСЧЕТОВ ТЕХНИКО-ЭКОНОМИЧЕСКИХ ПОКАЗАТЕЛЕЙ
13.1. Издержки обращения
Расчет издержек обращения производится по номенклатуре, введенной в действие с 1 января 1979 года
[7].
Номенклатура издержек обращения:
1. Транспортные расходы и наценки уплаченные:
расходы по завозу товаров,
из них автотранспортные перевозки;
погрузочно-разгрузочные работы;
наценки, уплаченные поставщикам.
2. Складские расходы:
заработная плата складского персонала;
расходы на содержание и эксплуатацию складских зданий и сооружений,
из них амортизационные отчисления;
расходы на содержание и эксплуатацию подъемно-транспортных механизмов и складского оборудования,
из них амортизационные отчисления;
расходы по текущему ремонту;
расходы по таре, за вычетом доходов по таре;
потери по таре;
расходы по хранению, подработке, сортировке и упаковке товаров;
проценты за кредит;
расходы на содержание аппарата управления;
прочие расходы.
3. Расходы по доставке товаров до хозяйства-потребителя,
из них расходы, возмещаемые колхозам и совхозам.
4. Непроизводительные расходы:
недостачи и потери товаров в пути и при хранении в пределах норм убыли;
недостачи, хищения, порча и потери (сверх норм убыли) товаров в пути и при хранении;
прочие непроизводительные расходы.
5. Общехозяйственные расходы объединения в части, относящейся к снабженческой деятельности, всего.
13.1.1. Транспортные расходы и наценки уплаченные
13.1.1.1. Расходы по завозу товаров включают:
расходы по оплате тарифов и фрахта всех видов транспорта при завозе товаров на склады снабженческих организаций;
расходы по автомобильным перевозкам товаров со станций и пристаней, станционные и портовые сборы;
расходы по перевозке товаров автотранспортом с республиканских, областных баз снабжения на базы снабжения районных производственных объединений, а также расходы по пересылке почтой
[7].
Расходы по завозу товаров

определяются исходя из грузооборота по группам товаров

и стоимости перевозки единицы груза i-й группы

по формуле

,
где i - номер товарной группы;
n - количество товарных групп.
Примечание. В расчетах не участвуют товары с ценой франко-станция назначения, поскольку транспортные расходы включены в цену товаров.
Стоимость перевозки единицы груза складывается из тарифа (водного фрахта) и различных сборов: за подачу вагонов на подъездные пути и их уборку, уведомление об отправке товара, экспедирование груза и др.
Размер тарифной ставки в зависимости от расстояния перевозки, габаритов товаров, видов отправок, типов вагонов, а также различные сборы рассчитываются по прейскурантам [
8 -
10].
Среднее расстояние перевозок по группам товаров определяется как средневзвешенная величина, исходя из объема поставки от каждого поставщика и расстояния перевозки до станции назначения, определенного по Тарифному руководству N 4
[11].
При отсутствии данных о расстоянии перевозки сумму издержек обращения по завозу товаров рекомендуется определять исходя из их расчетного уровня, приведенного в табл. 31, и объема складского товарооборота путем перемножения этих величин и последующего деления полученного произведения на 100.
Примечания. 1. Уровни, полученные путем умножения плановых значений уровней издержек обращения (на 1982 г.) на среднегодовые темпы снижения (роста) этих показателей за годы одиннадцатой пятилетки.
2. Складской товарооборот включает реализацию товаров на условиях франко-хозяйство потребителя и реализацию товаров со склада.
Таблица 31
─────────────────────────────────────┬─────────────────────────────────────
Союзные республики │ Уровень издержек обращения
│ (к складскому товарообороту), %
─────────────────────────────────────┼─────────────────────────────────────
РСФСР │ 4,04
Украинская ССР │ 1,89
Белорусская ССР │ 1,89
Узбекская ССР │ 3,07
Казахская ССР │ 3,10
Грузинская ССР │ 2,40
Азербайджанская ССР │ 2,83
Литовская ССР │ 2,65
Молдавская ССР │ 2,37
Латвийская ССР │ 3,04
Киргизская ССР │ 3,54
Таджикская ССР │ 6,39
Армянская ССР │ 5,07
Туркменская ССР │ 3,48
Эстонская ССР │ 2,93
13.1.1.2. Погрузочно-разгрузочные работы
Расходы по статье складываются из стоимости погрузки, разгрузки товаров на станциях и пристанях и при отправке их с республиканских, областных баз снабжения
[7].
Сумма расходов

определяется исходя из грузооборота по группам товаров или отдельным товарам

и тарифа [
8 -
10] на выполнение погрузочно-разгрузочных работ за тонно-операцию

по формуле

.
13.1.2. Складские расходы
13.1.2.1. Заработная плата складского персонала определяется без учета заработной платы грузчиков. В частности, она включает основную и дополнительную заработную плату работников списочного состава: заведующих складами, кладовщиков, картотетчиков, учетчиков, рабочих, занятых на укладке товаров, на ремонте механизмов, на подъемно-транспортных механизмах
[7].
Годовой фонд заработной платы по категориям рабочих отделяется по формуле

,
где

- часовая тарифная ставка рабочих по категориям и формам оплаты (сдельная, повременная), руб.;

- численность рабочих по категориям и формам оплаты;

- плановый фонд рабочего времени за год, ч;

- коэффициент, учитывающий различные доплаты (

для рабочих-сдельщиков;

для рабочих-повременщиков).
Годовой фонд заработной платы кладовщиков, труд которых оплачивается по должностным окладам, установленным взамен часовых тарифных ставок, определяется умножением месячного должностного оклада на 12 и на коэффициент, учитывающий различные доплаты (K = 1,4).
Фонд заработной платы служащих (заведующие складами, учетчики) и младшего обслуживающего персонала предприятий, переведенных на новую систему планирования и экономического стимулирования, определяется умножением месячного должностного оклада на 12. Для предприятий, не переведенных на эту систему, применяется коэффициент, учитывающий премию из фонда заработной платы (K = 1,25).
Примечание. Расчет годового фонда заработной платы производится раздельно в зависимости от формы оплаты труда (сдельная, повременная) и категорий (механизаторы, рабочие на внутрискладской переработке грузов, рабочие по ремонту машин и оборудования).
13.1.2.2. Расходы на содержание и эксплуатацию складских зданий и сооружений включают затраты на оснащение, отопление и горячее водоснабжение, а также водоснабжение зданий и сооружений.
Стоимость электроэнергии на наружное и внутреннее освещение складских помещений

определяется по формуле

,
где N - суммарный годовой расход электроэнергии, кВт x ч (принимается по расчету);
Ц - стоимость 1 кВт x ч электроэнергии, руб.
[12].
Расходы на отопление и горячее водоснабжение

определяются по формуле

,
где K - расход тепла на отопление и горячее водоснабжение, Гкал (принимается по расчету);
Ц - стоимость 1 Гкал, руб.
[12].
Расходы на водоснабжение

определяются по формуле

,
где M - расход воды на наружные и внутренние нужды, м3 (принимается по расчету);
Ц - стоимость 1 м3 воды, руб.
Амортизационные отчисления рассчитываются по Нормам амортизационных отчислений по основным фондам народного хозяйства СССР дифференцированно по всем видам зданий и сооружений исходя из их балансовой стоимости
[13].
13.1.2.3. Расходы на содержание и эксплуатацию подъемно-транспортных механизмов и складского оборудования
К этим расходам относятся стоимость материалов, топлива, энергии и воды, израсходованных на содержание и эксплуатацию оборудования, и амортизационные отчисления на подъемно-транспортные механизмы и складское оборудование.
Расходы на топливо включают стоимость горюче-смазочных материалов для работы автопогрузчиков, автокранов и других механизмов, работающих на двигателях внутреннего сгорания, и определяются умножением годового расхода топлива (принимается по расчету) на стоимость его единицы
[14].
Расходы на электроэнергию подъемно-транспортным, вентиляционным, насосно-компрессорным и другими видами оборудования определяются умножением годового расхода силовой электроэнергии (принимается по расчету) на стоимость 1 кВт x ч
[12].
Кроме того, в общие затраты на электроэнергию необходимо включить затраты за установленную мощность трансформаторов
[12]. Если присоединенная мощность до 750 кВА, то электроэнергия рассчитывается по одноставочному тарифу, а если свыше 750 кВА, то по двухставочному тарифу.
Амортизационные отчисления по подъемно-транспортным механизмам и складскому оборудованию определяются дифференцированно исходя из балансовой стоимости оборудования (принятого в проекте) и соответствующих норм амортизации
[13].
13.1.2.4. Расходы по текущему ремонту
Затраты по статье включают стоимость материалов, топлива, энергии и воды, израсходованных на текущий ремонт складских зданий и сооружений, подъемно-транспортных механизмов и складского оборудования.
Отчисления на текущий ремонт зданий и сооружений рекомендуются в размере 1,5% от их сметной стоимости
[15], оборудования - 6,0% от его сметной стоимости при трехсменной работе. При односменной работе принимается коэффициент 0,6, при двухсменной работе - не выше 0,8.
13.1.2.5. Проценты за кредит определяются на основе данных об однодневном складском товарообороте, нормах запасов товаров в днях, нормативе собственных оборотных средств и размере процентных ставок
[16]. Последовательность расчета этого показателя производится по табл. 32.
Таблица 32
──────────────────────────────────────────────────────────────┬────────────
Показатель │Номер строки
──────────────────────────────────────────────────────────────┼────────────
Складской товарооборот, всего (по ценам промышленности), │ 01
тыс. руб. │
Расходы по завозу, тыс. руб. │ 02
Итого: стр. 01 + стр. 02 │ 03
Однодневный оборот (стр. 03: 360 дн.) │ 04
Нормативный срок хранения, дн. │ 05
Норматив оборотных средств в товарных запасах, тыс. руб. │ 06
(стр. 04 x стр. 05) │
Долевое участие банка в покрытии норматива оборотных средств -│ 07
73% │
стр. 06 x 73 │
------------ │
100 │
Процентная ставка
[16] │ 08
Сумма процентов за кредит │ 09
стр. 07 x стр. 08 │
------------------ │
100 │
13.1.3. Расходы по доставке товаров до хозяйства-потребителя складываются из транспортных, погрузочных, экспедиционных и других расходов, связанных с доставкой товаров от складов или станций назначения до колхозов и совхозов на условиях франко-хозяйство потребителя.
Они определяются в соответствии с прейскурантом N 13-01-01 "Единые тарифы на перевозку грузов автомобильным транспортом"
[10], исходя из объемов доставки грузов по классам и расстояний до потребителей (или среднего расстояния по обслуживаемой зоне) по формуле

,
где

- расходы по доставке товаров до хозяйства-потребителя, руб.;

- тариф на перевозку грузов с учетом расстояния (l) и класса груза, руб. за 1 т;
K - поясной поправочный коэффициент;
K' - коэффициент, учитывающий надбавки за перевозку груза в специализированном подвижном составе;
K" - коэффициент, учитывающий расходы по экспедированию;
Т - тариф за погрузку тонны груза, руб.;
О - объем перевозимых грузов, т.
Все перечисленные показатели, кроме K' и K", берутся из указанного прейскуранта без изменения, K' и K" получают делением на 100 приведенных в прейскуранте соответствующих тарифов, выраженных в процентах.
13.1.4. Определение издержек обращения по статьям:
наценки, уплаченные поставщикам;
расходы по таре за вычетом доходов по таре;
потери по таре;
расходы по хранению, подработке, сортировке и упаковке товаров;
расходы на содержание аппарата управления;
прочие расходы;
непроизводительные расходы;
общехозяйственные расходы рекомендуется производить, исходя из их расчетного уровня, приведенного в табл. 33, и объема складского товарооборота (расчетный уровень приводится относительно складского товарооборота).
Примечание. Непроизводительные расходы определяются только по статье недостачи и потери товаров в пути и при хранении в пределах норм убыли.
Таблица 33
───────────────┬────────┬───────┬──────┬─────────┬───────┬────┬──────────┬───────
Союзные │Наценки,│Расходы│Потери│Расходы │Расходы│Про-│Непроиз- │Общехо-
республики │уплачен-│по таре│ по │по │на со- │чие │водитель- │зяйст-
│ные по- │ за │ таре │хранению,│держа- │рас-│ные │венные
│ставщи- │вычетом│ │подработ-│ние ап-│ходы│расходы │расходы
│кам │доходов│ │ке, сор- │парата │ │(недостачи│
│ │по таре│ │тировке и│управ- │ │и потери │
│ │ │ │упаковке │ления │ │товаров в │
│ │ │ │товаров │ │ │пути и при│
│ │ │ │ │ │ │хранении │
│ │ │ │ │ │ │в пределах│
│ │ │ │ │ │ │норм │
│ │ │ │ │ │ │убыли) │
───────────────┼────────┼───────┼──────┼─────────┼───────┼────┼──────────┼───────
РСФСР │ 0,76 │ 0,02 │0,003 │ 0,04 │ 0,54 │0,23│ 0,001 │ 0,26
Украинская ССР │ 0,27 │ 0,02 │0,003 │ 0,02 │ 0,78 │0,19│ 0,001 │ 0,50
Белорусская ССР│ 0,19 │ 0,05 │0,003 │ 0,01 │ 0,28 │0,17│ 0,001 │ 0,62
Узбекская ССР │ 1,12 │ 0,02 │0,003 │ 0,08 │ 0,55 │0,23│ 0,001 │ 0,44
Казахская ССР │ 0,84 │ 0,01 │0,003 │ 0,05 │ 0,47 │0,09│ 0,001 │ 0,23
Грузинская ССР │ 0,98 │ 0,01 │0,003 │ 0,01 │ 0,45 │0,25│ 0,001 │ 0,57
Азербайджанская│ 1,67 │ 0,02 │0,003 │ 0,01 │ 0,55 │0,35│ 0,001 │ 0,67
ССР │ │ │ │ │ │ │ │
Литовская ССР │ 0,16 │ 0,02 │0,003 │ 0,07 │ 0,29 │0,24│ 0,001 │ 0,36
Молдавская ССР │ 0,26 │ 0,01 │0,003 │ 0,01 │ 0,48 │0,18│ 0,001 │ 0,48
Латвийская ССР │ 0,36 │ 0,03 │0,003 │ 0,03 │ 0,77 │0,32│ 0,001 │ 0,30
Киргизская ССР │ 1,77 │ 0,01 │0,003 │ 0,11 │ 0,55 │0,67│ 0,001 │ 0,33
Таджикская ССР │ 0,20 │ 0,04 │0,003 │ 0,01 │ 0,59 │0,93│ 0,001 │ 0,59
Армянская ССР │ 0,20 │ 0,03 │0,003 │ 0,04 │ 0,55 │0,37│ 0,001 │ 0,52
Туркменская ССР│ 0,04 │ 0,01 │0,003 │ 0,03 │ 0,46 │0,34│ 0,001 │ 0,30
Эстонская ССР │ 0,56 │ 0,02 │0,003 │ 0,04 │ 0,54 │0,30│ 0,001 │ 0,32
13.1.5. Общая сумма издержек обращения

по проектируемому объекту определяется по формуле

,
где

- издержки обращения по i-й статье расходов, тыс. руб.;
n - количество статей издержек обращения.
13.2. Себестоимость переработки одной тонны груза (C') является показателем, характеризующим эффективность использования подъемно-транспортных механизмов, рабочей силы, прогрессивность применяемой технологии и объемно-планировочных решений, экономичность строительных конструкций.
Себестоимость определяется по формуле

,
где

- полная сумма годовых эксплуатационных расходов, тыс. руб.;
Q - годовой грузооборот базы (склада), тыс. т.
13.3. Валовой доход определяется умножением действующей наценки (скидки) на товарооборот (грузооборот) <*> по формам реализации и делением полученного произведения на 100.
--------------------------------
<*> Наценка на каменный уголь установлена в руб. на 1 т.
Размеры действующих наценок (скидок), утвержденные Постановлением Госкомцен СССР от 26.05.1981 N 582, приведены в табл. 34 относительно стоимости товаров.
───────────────┬────────────────────┬────────┬─────────┬─────────┬─────────
Союзные │ Наценки для │Наценки │Скидки, │Накидки, │Скидки,
республики │сельскохозяйственных│для не- │предос- │взимаемые│предос-
│ потребителей │сельско-│тавляемые│с сель- │тавляемые
│ (франко-хозяйство │хозяйст-│сельхоз- │хозпотре-│нефтесбы-
│ потребителя) │венных │потреби- │бителей │товыми
├─────────┬──────────┤потреби-│телям при│при реа- │организа-
│каменный │остальные │телей │вывозе │лизации │циями
│ уголь │товары, % │при реа-│ими │товаров │снабжен-
│ (руб. │ │лизации │товаров │по │ческим
│ на 1 т) │ │товаров │собствен-│розничным│организа-
│ │ │со │ным │ценам, % │циям при
│ │ │склада, │транспор-│ │реализа-
│ │ │% │том, % │ │ции авто-
│ │ │ │ │ │%
───────────────┼─────────┼──────────┼────────┼─────────┼─────────┼─────────
1 │ 2 │ 3 │ 4 │ 5 │ 6 │ 7
───────────────┼─────────┼──────────┼────────┼─────────┼─────────┼─────────
РСФСР │ 8,20 │ 13,3 │ 10,6 │ 3,5 │ 2,5 │ -
Украинская ССР │ - │ 12,8 │ 10,0 │ 3,5 │ 2,5 │ 4,2
Белорусская ССР│ - │ 11,0 │ 10,0 │ 3,0 │ 2,5 │ 4,2
Узбекская ССР │ - │ 13,0 │ 11,0 │ 3,0 │ 2,0 │ -
Казахская ССР │ 10,50 │ 14,0 │ 11,0 │ 3,5 │ 2,5 │ -
Грузинская ССР │ - │ 12,3 │ 10,5 │ 3,0 │ 2,0 │ -
Азербайджанская│ - │ 14,5 │ 12,0 │ 3,0 │ 2,0 │ 4,2
ССР │ │ │ │ │ │
Литовская ССР │ 10,00 │ 12,8 │ 11,0 │ 2,5 │ 2,0 │ -
Молдавская ССР │ - │ 11,0 │ 9,0 │ 2,5 │ 2,0 │ -
Латвийская ССР │ - │ 12,6 │ 11,0 │ 2,5 │ 2,0 │ -
Киргизская ССР │ - │ 16,0 │ 13,0 │ 3,5 │ 2,5 │ -
Таджикская ССР │Комби- │ 16,5 │ 14,5 │ 3,5 │ 2,5 │ -
│корма │ │ │ │ │
│ 8,50 │ │ │ │ │
Армянская ССР │ - │ 14,8 │ 13,2 │ 3,0 │ 2,0 │ 6,0
Туркменская ССР│ - │ 12,3 │ 10,0 │ 3,5 │ 2,5 │ -
Эстонская ССР │ - │ 11,7 │ 10,0 │ 2,5 │ 2,0 │ -
--------------------------------
<*> Скидки могут быть дифференцированы государственными комитетами по ценам союзных республик по согласованию с госагропромами республик по 3-м группам хозяйств в зависимости от расстояния от склада до хозяйства.
Структура товарооборота по формам реализации приведена в табл. 35.
Таблица 35
%
───────────────────────────────────────────┬─────────┬───────────┬─────────
Формы реализации товаров │Республи-│ Краевые, │Районные
│канские │областные, │ базы
│базы │межрайонные│
│ │ базы │
───────────────────────────────────────────┼─────────┼───────────┼─────────
Реализация товаров с наценкой франко- │ 26,5 │ 50,0 │ 80,0
хозяйство потребителя │ │ │
В том числе объем реализации товаров, │ 5,0 │ 7,0 │ 7,5
доставленных транспортом хозяйств │ │ │
Реализация товаров со склада │ 70,0 │ 46,0 │ 18,0
(несельскохозяйственным потребителям) │ │ │
Реализация транзитом с участием в расчетах │ 2,5 │ 3,2 │ 1,2
Реализация транзитом без участия в расчетах│ 1,0 │ 0,8 │ 0,8
Итого │ 100,0 │ 100,0 │ 100,0
Уровень внутрисистемных перевозок │ 555,6 │ 113,0 │ 46,0
Примечание. Учитывая, что в общий объем товарооборота величина внутрисистемного отпуска не включается, неправомерно находить его удельный вес в общем объеме товарооборота.
Порядок применения наценок отражен в Инструктивных указаниях о порядке применения наценок снабженческими организациями Госкомсельхозтехники СССР
[17].
Наценка франко-хозяйство потребителя взимается в зависимости от стоимости товаров в оптовых ценах для сельхозпотребителей, которая может быть найдена умножением объемов реализации товаров с наценкой франко-хозяйство потребителя в оптовых ценах для промышленности на коэффициент, учитывающий соотношение оптовых цен промышленности и сельского хозяйства. Ориентировочные значения этих коэффициентов, определенные по сложившемуся соотношению цен в снабженческих организациях Госкомсельхозтехники СССР, приведены в табл. 36.
Таблица 36
──────────────────────────────────────────┬────────────────────────────────
Союзные республики │ Коэффициент
──────────────────────────────────────────┼────────────────────────────────
РСФСР │ 0,834
Украинская ССР │ 0,899
Белорусская ССР │ 0,902
Узбекская ССР │ 0,882
Казахская ССР │ 0,867
Грузинская ССР │ 0,900
Азербайджанская ССР │ 0,934
Литовская ССР │ 0,843
Молдавская ССР │ 0,859
Латвийская ССР │ 0,852
Киргизская ССР │ 0,886
Таджикская ССР │ 0,914
Армянская ССР │ 0,948
Туркменская ССР │ 0,886
Эстонская ССР │ 0,880
Доходы от внутрисистемной реализации товаров исчисляются только межрайонными, областными (краевыми), республиканскими базами снабжения.
С другой стороны, принимая во внимание, что объем валового дохода исчисляется с учетом внутрисистемного отпуска, возникает необходимость привести примерный уровень внутрисистемных перевалок. Указанный уровень представляет отношение внутрисистемного отпуска со склада к складскому товарообороту (всего) в процентах.
Размер внутрисистемной наценки следует принимать по сложившемуся уровню для снабженческих организаций по месту размещения проектируемого объекта. При отсутствии данных размер внутрисистемной наценки принимать на уровне 50% складской наценки, приведенной в графе 4
табл. 34.
13.4. Прибыль определяется по формуле

,
где П - сумма прибыли, тыс. руб.;

- валовой доход, тыс. руб.;

- издержки обращения, тыс. руб.;

- отчисления на строительство складов, тыс. руб.;

- отчисления в фонд уценки товаров, тыс. руб.
Отчисления на строительство складов производятся в размере 1,1% от складского товарооборота (включая реализацию товаров на условиях франко-хозяйство потребителя) в оптовых ценах, установленных для реализации сельскохозяйственным потребителям.
Отчисления в фонд уценки товаров производятся в размере 0,3% товарооборота в ценах, установленных для реализации сельскохозяйственным потребителям.
13.5. Уровень рентабельности рассчитывается по формуле

,
где Р - уровень рентабельности, %;
П - сумма прибыли, тыс. руб.;

- сумма издержек обращения, тыс. руб.
13.6. Срок окупаемости капитальных вложений при новом строительстве

рассчитывается как отношение суммы капитальных вложений (К) к прибыли (П), т.е.:

.
13.7. Производительность определяется отношением товарооборота склада (с учетом внутрисистемного отпуска) к численности работающих.
13.8. Фондовооруженность определяется отношением стоимости основных производственных фондов к численности работающих.
13.9. При расчете сравнительной эффективности капитальных вложений выбор лучших вариантов проектных решений проводится по минимуму приведенных затрат.
По каждому из сравниваемых вариантов приведенные затраты (П) рассчитываются по формуле
П = С + E x К,
где С - себестоимость по каждому варианту, тыс. руб.;
К - капитальные вложения по этому варианту, тыс. руб.;
E - нормативный коэффициент эффективности.
Показатели С и К могут применяться в виде удельных величин.
13.10. Уровни механизации и автоматизации определяются согласно
разделу 8.
Степень механизации определяется по формуле

,
где

- степень механизации, %;

- списочная численность рабочих, занятых на механизмах и машинах, чел.;

- списочная численность рабочих, выполняющих работу вручную, чел.
13.11. Коэффициент использования площади

определяется по формуле

,
где

- полезная площадь склада, определяемая как сумма полезных площадей участков, м2;

- общая площадь склада, м2.
13.12. Коэффициент использования объема склада

определяется (только для закрытых складов) по формуле

,
где

- полезная площадь участка стеллажного или штабельного хранения, м2;
h - высота укладки грузов на участке, м;
H - высота склада от пола до низа конструкций перекрытия, м.
Суммирование в формуле берется по всем участкам стеллажного и штабельного хранения.
Рекомендуемое
ПАРАМЕТРИЧЕСКИЕ РЯДЫ БАЗ И СКЛАДОВ
СНАБЖЕНИЯ И КОМПЛЕКТОВАНИЯ
Таблица 1
─────────────────────────────────────┬─────────────────────────────────────
Наименование баз снабжения │ Хранимый запас, тыс. т
─────────────────────────────────────┼─────────────────────────────────────
Районные (межрайонные) базы │ 0,5
│ 1,0
│ 1,5
│ 2,0
│ 3,0
│ 4,0
│ 4,0
│
Областные (краевые) базы │ 4,0
│ 5,0
│ 6,0
│ 8,0
│ 10,0
│ 15,0
│ 20,0
│ 25,0
│ 30,0
Таблица 2
───────────────────────────────────────────────────────────────────────────
Хранимый запас баз комплектования, тыс. т
─────────────────┬──────────────────┬─────────────────┬────────────────────
1,7 │ 3,4 │ 5,7 │ 8,5
Таблица 3
──────────────────────────┬────────────────────────────────────────────────
Наименование │ Разовая емкость, тыс. т
специализированных складов├─────┬───┬────┬───┬───┬───┬───┬───┬───┬────┬────
│0,25 │0,5│0,7 │1,0│2,0│3,0│4,0│5,0│7,5│10,0│15,0
──────────────────────────┼─────┼───┼────┼───┼───┼───┼───┼───┼───┼────┼────
1. Склады запасных частей │ + │ + │ - │ + │ + │ - │ + │ + │ + │ + │ +
2. Открытые склады для │ - │ + │ - │ + │ + │ + │ - │ + │ + │ - │ -
хранения оборудования, │ │ │ │ │ │ │ │ │ │ │
длинномерных материалов │ │ │ │ │ │ │ │ │ │ │
и других грузов │ │ │ │ │ │ │ │ │ │ │
3. Блок складов │ - │ - │ + │ + │ + │ + │ - │ - │ - │ - │ -
хозтоваров, спецодежды, │ │ │ │ │ │ │ │ │ │ │
резинотехнических изделий │ │ │ │ │ │ │ │ │ │ │
и других материалов │ │ │ │ │ │ │ │ │ │ │
Рекомендуемое
ДОПУСТИМОСТЬ СОВМЕСТНОГО ХРАНЕНИЯ ГРУЗОВ
────────────────┬────┬───────┬──────┬─────┬───────┬────────────┬──────────────────┬────────────────────┬─────┬──────┬──────┬──────
Наименование │Чер-│Цветные│Строи-│Лесо-│Волок- │Легковоспла-│ Химические │ Газы и карбид │Рези-│Элект-│Запас-│Асбес-
материалов │ные │метал- │тель- │мате-│нистые │меняющиеся │ материалы │ кальция │но- │рома- │ные │товые
и изделий │ме- │лы, │ные │риалы│матери-│горючие │ │ │тех- │териа-│части │изде-
│тал-│метизы,│мате- │ │алы: │жидкости │ │ │ни- │лы и │к │лия,
│лы │инст- │риалы:│ │пенька,├──────┬─────┼────┬───┬───┬─────┼────┬────┬─────┬────┤чес- │элект-│трак- │детали
│ │румент,│це- │ │пакля, │спир- │лаки │кис-│ще-│со-│хлор-│кис-│аце-│кар- │хлор│кие │ропри-│торам,│из
│ │обору- │мент, │ │шерсть,│ты, │и │лоты│ло-│ли │ная │ло- │ти- │бид │ │изде-│боры │авто- │стек-
│ │дова- │але- │ │техни- │скипи-│крас-│ │чи │ │из- │род │лен │каль-│ │лия │ │моби- │ла,
│ │ние, │бастр,│ │ческая │дар, │ки, │ │ │ │весть│ │ │ция │ │ │ │лям, │пласт-
│ │приборы│мел, │ │пенька,│нитро-│кроме│ │ │ │ │ │ │ │ │ │ │сель- │масс,
│ │ │из- │ │джуто- │лаки, │нит- │ │ │ │ │ │ │ │ │ │ │хозма-│пробки
│ │ │весть │ │вые из-│нитро-│росо-│ │ │ │ │ │ │ │ │ │ │шинам,│
│ │ │и пр. │ │делия, │краски│еди- │ │ │ │ │ │ │ │ │ │ │цепи, │
│ │ │ │ │ткани │ │нений│ │ │ │ │ │ │ │ │ │ │подши-│
│ │ │ │ │и пр. │ │ │ │ │ │ │ │ │ │ │ │ │пники │
────────────────┼────┼───────┼──────┼─────┼───────┼──────┼─────┼────┼───┼───┼─────┼────┼────┼─────┼────┼─────┼──────┼──────┼──────
1. Черные │ + │ + │ - │ + │ + │ 0 │ 0 │ - │ - │ - │ - │ - │ - │ - │ - │ + │ + │ + │ +
металлы │ │ │ │ │ │ │ │ │ │ │ │ │ │ │ │ │ │ │
2. Цветные │ + │ + │ - │ + │ + │ 0 │ 0 │ - │ - │ - │ - │ - │ - │ - │ - │ + │ + │ + │ +
металлы, метизы,│ │ │ │ │ │ │ │ │ │ │ │ │ │ │ │ │ │ │
инструмент, │ │ │ │ │ │ │ │ │ │ │ │ │ │ │ │ │ │ │
оборудование, │ │ │ │ │ │ │ │ │ │ │ │ │ │ │ │ │ │ │
приборы │ │ │ │ │ │ │ │ │ │ │ │ │ │ │ │ │ │ │
3. Строительные │ - │ - │ + │ - │ - │ - │ - │ - │ - │ - │ - │ - │ - │ - │ - │ - │ - │ - │ -
материалы: │ │ │ │ │ │ │ │ │ │ │ │ │ │ │ │ │ │ │
цемент, │ │ │ │ │ │ │ │ │ │ │ │ │ │ │ │ │ │ │
алебастр, мел, │ │ │ │ │ │ │ │ │ │ │ │ │ │ │ │ │ │ │
известь и пр. │ │ │ │ │ │ │ │ │ │ │ │ │ │ │ │ │ │ │
4. Лесоматериалы│ + │ + │ - │ + │ - │ - │ - │ - │ - │ - │ - │ - │ - │ - │ - │ + │ + │ + │ +
5. Волокнистые │ + │ + │ - │ - │ + │ - │ - │ - │ - │ - │ - │ - │ - │ - │ - │ - │ + │ + │ -
материалы: │ │ │ │ │ │ │ │ │ │ │ │ │ │ │ │ │ │ │
пенька, пакля, │ │ │ │ │ │ │ │ │ │ │ │ │ │ │ │ │ │ │
шерсть, │ │ │ │ │ │ │ │ │ │ │ │ │ │ │ │ │ │ │
техническая │ │ │ │ │ │ │ │ │ │ │ │ │ │ │ │ │ │ │
пенька, джутовые│ │ │ │ │ │ │ │ │ │ │ │ │ │ │ │ │ │ │
изделия, ткани │ │ │ │ │ │ │ │ │ │ │ │ │ │ │ │ │ │ │
и пр. │ │ │ │ │ │ │ │ │ │ │ │ │ │ │ │ │ │ │
6. Легко- │ 0 │ 0 │ - │ - │ - │ + │ - │ - │ - │ - │ - │ - │ - │ - │ - │ - │ - │ - │ -
воспламеняющиеся│ │ │ │ │ │ │ │ │ │ │ │ │ │ │ │ │ │ │
горючие │ │ │ │ │ │ │ │ │ │ │ │ │ │ │ │ │ │ │
жидкости: │ │ │ │ │ │ │ │ │ │ │ │ │ │ │ │ │ │ │
спирты, скипи- │ │ │ │ │ │ │ │ │ │ │ │ │ │ │ │ │ │ │
дар, нитролаки, │ │ │ │ │ │ │ │ │ │ │ │ │ │ │ │ │ │ │
нитрокраски │ │ │ │ │ │ │ │ │ │ │ │ │ │ │ │ │ │ │
7. Лаки и │ 0 │ 0 │ - │ - │ - │ - │ + │ - │ 0 │ 0 │ - │ - │ - │ - │ - │ - │ - │ - │ -
краски, кроме │ │ │ │ │ │ │ │ │ │ │ │ │ │ │ │ │ │ │
нитросоединений │ │ │ │ │ │ │ │ │ │ │ │ │ │ │ │ │ │ │
8. Химические │ │ │ │ │ │ │ │ │ │ │ │ │ │ │ │ │ │ │
материалы: │ │ │ │ │ │ │ │ │ │ │ │ │ │ │ │ │ │ │
кислоты │ - │ - │ - │ - │ - │ - │ - │ + │ - │ - │ - │ - │ - │ - │ - │ - │ - │ - │ -
щелочи │ - │ - │ - │ - │ - │ - │ 0 │ - │ + │ - │ - │ - │ - │ - │ - │ - │ - │ - │ -
соли │ - │ - │ - │ - │ - │ - │ 0 │ - │ - │ + │ - │ - │ - │ - │ - │ - │ - │ - │ -
хлорная известь│ - │ - │ - │ - │ - │ - │ - │ - │ - │ - │ + │ - │ - │ - │ - │ - │ - │ - │ -
9. Газы и карбид│ │ │ │ │ │ │ │ │ │ │ │ │ │ │ │ │ │ │
кальция: │ │ │ │ │ │ │ │ │ │ │ │ │ │ │ │ │ │ │
кислород │ - │ - │ - │ - │ - │ - │ - │ - │ - │ - │ - │ + │ - │ - │ - │ - │ - │ - │ -
ацетилен │ - │ - │ - │ - │ - │ - │ - │ - │ - │ - │ - │ - │ + │ 0 │ - │ - │ - │ - │ -
карбид кальция │ - │ - │ - │ - │ - │ - │ - │ - │ - │ - │ - │ - │ 0 │ + │ - │ - │ - │ - │ -
хлор │ - │ - │ - │ - │ - │ - │ - │ - │ - │ - │ - │ - │ - │ - │ + │ - │ - │ - │ -
10. Резино- │ + │ + │ - │ + │ + │ - │ - │ - │ - │ - │ - │ - │ - │ - │ - │ + │ + │ + │ +
технические │ │ │ │ │ │ │ │ │ │ │ │ │ │ │ │ │ │ │
изделия │ │ │ │ │ │ │ │ │ │ │ │ │ │ │ │ │ │ │
11. Электро- │ + │ + │ - │ + │ + │ - │ - │ - │ - │ - │ - │ - │ - │ - │ - │ + │ + │ + │ +
материалы, │ │ │ │ │ │ │ │ │ │ │ │ │ │ │ │ │ │ │
электроприборы │ │ │ │ │ │ │ │ │ │ │ │ │ │ │ │ │ │ │
12. Запасные │ + │ + │ - │ + │ + │ - │ - │ - │ - │ - │ - │ - │ - │ - │ - │ + │ + │ + │ +
части к │ │ │ │ │ │ │ │ │ │ │ │ │ │ │ │ │ │ │
тракторам, │ │ │ │ │ │ │ │ │ │ │ │ │ │ │ │ │ │ │
автомобилям, │ │ │ │ │ │ │ │ │ │ │ │ │ │ │ │ │ │ │
сельхозмашинам, │ │ │ │ │ │ │ │ │ │ │ │ │ │ │ │ │ │ │
подшипники, цепи│ │ │ │ │ │ │ │ │ │ │ │ │ │ │ │ │ │ │
13. Асбестовые │ + │ + │ - │ + │ + │ - │ - │ - │ - │ - │ - │ - │ - │ - │ - │ + │ + │ + │ +
изделия, детали │ │ │ │ │ │ │ │ │ │ │ │ │ │ │ │ │ │ │
из стекла, │ │ │ │ │ │ │ │ │ │ │ │ │ │ │ │ │ │ │
пластмасс, │ │ │ │ │ │ │ │ │ │ │ │ │ │ │ │ │ │ │
пробки │ │ │ │ │ │ │ │ │ │ │ │ │ │ │ │ │ │ │
Обозначения: + - совместное хранение допускается;
- - совместное хранение не допускается;
О - совместное хранение допускается, но не рекомендуется.
Рекомендуемое
РАСПРЕДЕЛЕНИЕ ГРУЗОВ ПО КАТЕГОРИЯМ
─────────────────┬──────┬────────────────────────────────────────────────────────────────────────────
Наименование │Номера│ Коэффициент распределения грузов по категориям
групп товаров │групп ├────┬────┬────┬──────────────┬───────────┬──────────────┬─────────┬─────────
│това- │ I │ II │III │ IV │ V │ VI │ VII │ Грузы,
│ров │ │ │ ├────┬────┬────┼─────┬─────┼────┬────┬────┼────┬────┤требующие
│ │ │ │ │ а │ б │ в │ а │ б │ а │ б │ в │ а │ б │ особых
│ │ │ │ │ │ │ │ │ │ │ │ │ │ │ условий
│ │ │ │ │ │ │ │ │ │ │ │ │ │ │хранения
─────────────────┼──────┼────┼────┼────┼────┼────┼────┼─────┼─────┼────┼────┼────┼────┼────┼─────────
Автомобили и │ 1 │ - │ - │ - │ - │ - │ - │ - │ - │ 1 │ - │ - │ - │ - │ -
прицепы к ним │ │ │ │ │ │ │ │ │ │ │ │ │ │ │
Тракторы и │ 2 │ - │ - │ - │ - │ - │ - │ - │ - │ 1 │ - │ - │ - │ - │ -
прицепы к ним │ │ │ │ │ │ │ │ │ │ │ │ │ │ │
Землеройные │ 3 │ - │ - │ - │ - │ - │ - │ - │ - │ 1 │ - │ - │ - │ - │ -
и строительно- │ │ │ │ │ │ │ │ │ │ │ │ │ │ │
дорожные машины │ │ │ │ │ │ │ │ │ │ │ │ │ │ │
Сельскохозяй- │ 4 │ - │ - │ - │ - │ - │ - │ - │ - │0,10│0,05│0,85│ - │ - │ -
ственые машины │ │ │ │ │ │ │ │ │ │ │ │ │ │ │
Оборудование и │ 5 │0,02│0,23│0,06│ - │ - │0,01│ - │0,33 │0,08│0,27│ - │ - │ - │ -
электроматериалы │ │ │ │ │ │ │ │ │
<*> │ │ │ │ │ │
Инструмент │ 6 │0,60│0,30│0,10│ - │ - │ - │ - │ - │ - │ - │ - │ - │ - │ -
Металлы и метизы │ 7 │0,02│0,07│ - │0,03│0,04│0,10│0,005│0,015│ - │ - │ - │0,72│ - │ -
Лесные и │ 8 │0,02│0,30│0,10│0,10│0,12│0,03│0,01 │ - │ - │ - │ - │0,07│0,10│ 0,15
строительные │ │ │ │ │ │ │ │ │ │ │ │ │ │ │
материалы │ │ │ │ │ │ │ │ │ │ │ │ │ │ │
Резинотехнические│ 9 │ - │0,13│0,03│ - │0,65│ - │0,07 │0,12 │ - │ - │ - │ - │ - │ -
изделия │ │ │ │ │ │
<**>│ │ │ │ │ │ │ │ │
Хозтовары, │ 10 │0,03│0,50│0,08│0,05│0,02│0,02│ - │ - │ - │ - │ - │ - │ - │ 0,30
спецодежда и │ │ │ │ │ │ │ │ │ │ │ │ │ │ │
другие товары │ │ │ │ │ │ │ │ │ │ │ │ │ │ │
производственного│ │ │ │ │ │ │ │ │ │ │ │ │ │ │
назначения │ │ │ │ │ │ │ │ │ │ │ │ │ │ │
Запасные части │ 11 │0,35│0,30│0,10│0,07│0,05│0,05│0,03 │0,05 │ - │ - │ - │ - │ - │ -
к тракторам │ │ │ │ │ │ │ │ │ │ │ │ │ │ │
Запасные части │ 12 │0,35│0,30│0,10│0,07│0,05│0,05│0,03 │0,05 │ - │ - │ - │ - │ - │ -
к автомобилям │ │ │ │ │ │ │ │ │ │ │ │ │ │ │
Запасные части │ 13 │0,30│0,24│0,15│0,10│0,01│0,05│0,10 │0,05 │ - │ - │ - │ - │ - │ -
к сельхозмашинам │ │ │ │ │ │ │ │ │ │ │ │ │ │ │
Цепи │ 14 │ - │0,60│0,10│0,30│ - │ - │ - │ - │ - │ - │ - │ - │ - │ -
роликовтулочные │ │ │ │ │ │ │ │ │ │ │ │ │ │ │
Автотракторное │ 15 │0,50│0,40│0,05│ - │0,05│ - │ - │ - │ - │ - │ - │ - │ - │ -
электрооборудова-│ │ │ │ │ │ │ │ │ │ │ │ │ │ │
ние, приборы, │ │ │ │ │ │ │ │ │ │ │ │ │ │ │
резинотехнические│ │ │ │ │ │ │ │ │ │ │ │ │ │ │
изделия, изделия │ │ │ │ │ │ │ │ │ │ │ │ │ │ │
из стекла │ │ │ │ │ │ │ │ │ │ │ │ │ │ │
и пластмасс │ │ │ │ │ │ │ │ │ │ │ │ │ │ │
Подшипники │ 16 │0,85│0,15│ - │ - │ - │ - │ - │ - │ - │ - │ - │ - │ - │ -
--------------------------------
<*> При отсутствии или хранении в меньшем количестве кабеля в барабанах допускается уменьшать коэффициент данной категории в общем грузопотоке (хранимом запасе) товарной группы, соответственно пропорционально увеличив коэффициент остальных категорий грузов.
<**> При хранении шин в спецподдонах. При хранении в спецстеллажах ориентировочно для категории IVб и Vб принимаются коэффициенты соответственно 0,1 и 0,67.
Примечания. 1. При разработке типовых проектов межрайонных (районных) баз допускаются отклонения в коэффициентах распределения грузов по категориям с обоснованием принятых отклонений.
Допускается уменьшение доли I категории грузов при больших поставках за счет отнесения их к III категории при хранении в таре с размерами в плане 1240 x 840 мм с установкой делителей для целей хранения в одной таре нескольких видов грузов.
2. При разработке индивидуальных проектов коэффициенты распределения грузов по категориям следует принимать в зависимости от структуры грузов, сложившейся в зоне намеченного строительства.
Рекомендуемое
РАСПРЕДЕЛЕНИЕ ГРУЗОВ ПО ТИПАМ СКЛАДОВ
─────┬──────────────────────────────────┬───────┬──────────────────────────
Кате-│ Наименование групп товаров, │Номера │Коэффициенты распределения
гория│ входящих в категорию │ групп │ по типам складов
гру- │ │товаров├─────────────────┬────────
зов │ │ │ закрытые │открытые
│ │ ├───────┬─────────┤
│ │ │отапли-│неотапли-│
│ │ │ваемые │ваемые │
─────┼──────────────────────────────────┼───────┼───────┼─────────┼────────
I │Оборудование и электроматериалы │ 5 │ 1,0 │ - │ -
│Инструмент │ 6 │ 1,0 │ - │ -
│Металлы и метизы │ 7 │ 1,0 │ - │ -
│Лесные и строительные материалы │ 8 │ 1,0 │ - │ -
│Хозтовары, спецодежда и другие │ 10 │ 1,0 │ - │ -
│товары │ │ │ │
│Запчасти к тракторам │ 11 │ 1,0 │ - │ -
│Запчасти к автомобилям │ 12 │ 1,0 │ - │ -
│Запчасти к сельхозмашинам │ 13 │ 1,0 │ - │ -
│Автотракторное электрооборудование│ 15 │ 1,0 │ - │ -
│и другие товары │ │ │ │
│Подшипники │ 16 │ 1,0 │ - │ -
─────┼──────────────────────────────────┼───────┼───────┼─────────┼────────
II │Оборудование и электроматериалы │ 5 │ 0,5 │ 0,5 │ -
│Инструмент │ 6 │ 1,0 │ - │ -
│Металлы и метизы │ 7 │ - │ 1,0 │ -
│Лесные и строительные материалы │ 8 │ - │ 1,0 │ -
│Резинотехнические изделия │ 9 │ 0,5 │ 0,5 │ -
│Хозтовары, спецодежда и другие │ 10 │ 1,0 │ - │ -
│товары │ │ │ │
│Запасные части к тракторам │ 11 │ 0,60 │ 0,30 │ 0,10
│Запасные части к автомобилям │ 12 │ 0,80 │ 0,15 │ 0,05
│Запасные части к сельхозмашинам │ 13 │ 0,30 │ 0,55 │ 0,15
│Цепи роликовтулочные │ 14 │ - │ 1,0 │ -
│Автотракторное электрооборудование│ 15 │ 1,0 │ - │ -
│и другие товары │ │ │ │
│Подшипники │ 16 │ 1,0 │ - │ -
─────┼──────────────────────────────────┼───────┼───────┼─────────┼────────
III │Оборудование и электроматериалы │ 5 │ 1,0 │ - │ -
│Инструмент │ 6 │ 1,0 │ - │ -
│Лесные и строительные материалы │ 8 │ - │ 1,0 │ -
│Резинотехнические изделия │ 9 │ 1,0 │ - │ -
│Хозтовары, спецодежда и другие │ 10 │ 0,5 │ 0,5 │ -
│товары │ │ │ │
│Запасные части к тракторам │ 11 │ 0,70 │ 0,20 │ 0,10
│Запасные части к автомобилям │ 12 │ 0,80 │ 0,20 │ -
│Запасные части к сельхозмашинам │ 13 │ 0,30 │ 0,55 │ 0,15
│Цепи роликовтулочные │ 14 │ - │ 1,0 │ -
│Автотракторное электрооборудование│ 15 │ 1,0 │ - │ -
│и другие товары │ │ │ │
─────┼──────────────────────────────────┼───────┼───────┼─────────┼────────
IVа │Металлы и метизы │ 7 │ 0,01 │ 0,79 │ 0,20
│Лесные и строительные материалы │ 8 │ - │ - │ 1,0
│Хозтовары, спецодежда и другие │ 10 │ - │ 1,0 │ -
│товары │ │ │ │
│Запасные части к тракторам │ 11 │ 0,70 │ 0,20 │ 0,10
│Запасные части к автомобилям │ 12 │ 0,80 │ 0,20 │ -
│Запасные части к сельхозмашинам │ 13 │ 0,30 │ 0,55 │ 0,15
│Цепи роликовтулочные │ 14 │ - │ 1,0 │ -
─────┼──────────────────────────────────┼───────┼───────┼─────────┼────────
IVб │Металлы и метизы │ 7 │ - │ 1,0 │ -
│Лесные и строительные материалы │ 8 │ 0,30 │ 0,7 │ -
│Резинотехнические изделия │ 9 │ - │ 1,0 │ -
│Хозтовары, спецодежда и другие │ 10 │ 1,0 │ - │ -
│товары │ │ │ │
│Запасные части к тракторам │ 11 │ 0,70 │ 0,30 │ -
│Запасные части к автомобилям │ 12 │ 0,80 │ 0,20 │ -
│Запасные части к сельхозмашинам │ 13 │ 0,30 │ 0,70 │ -
│Автотракторное электрооборудование│ 15 │ 1,0 │ - │ -
│и другие товары │ │ │ │
─────┼──────────────────────────────────┼───────┼───────┼─────────┼────────
IVв │Оборудование и электроматериалы │ 6 │ - │ 1,0 │ -
│Металлы и метизы │ 7 │ - │ 1,0 │ -
│Лесные и строительные материалы │ 8 │ 0,3 │ 0,7 │ -
│Хозтовары, спецодежда и другие │ 10 │ 0,5 │ 0,5 │ -
│товары │ │ │ │
│Запасные части к тракторам │ 11 │ 0,3 │ 0,5 │ 0,2
│Запасные части к автомобилям │ 12 │ 0,5 │ 0,5 │ -
│Запасные части к сельхозмашинам │ 13 │ 0,3 │ 0,5 │ 0,2
─────┼──────────────────────────────────┼───────┼───────┼─────────┼────────
Vа │Металлы и метизы │ 7 │ 0,3 │ 0,7 │ -
│Лесные и строительные материалы │ 8 │ 0,5 │ 0,5 │ -
│Резинотехнические изделия │ 9 │ 0,2 │ 0,8 │ -
│Запасные части к тракторам │ 11 │ - │ 1,0 │ -
│Запасные части к автомобилям │ 12 │ - │ 1,0 │ -
│Запасные части к сельхозмашинам │ 13 │ - │ 1,0 │ -
─────┼──────────────────────────────────┼───────┼───────┼─────────┼────────
Vб │Оборудование и электроматериалы │ 5 │ 0,5 │ 0,5 │ -
│Металлы и метизы │ 7 │ - │ 1,0 │ -
│Резинотехнические изделия │ 9 │ - │ 1,0 │ -
│Запасные части к тракторам │ 11 │ - │ 0,5 │ 0,5
│Запасные части к автомобилям │ 12 │ - │ 0,5 │ 0,5
│Запасные части к сельхозмашинам │ 13 │ - │ 0,3 │ 0,7
─────┼──────────────────────────────────┼───────┼───────┼─────────┼────────
VIа │Автомобили и прицепы к ним │ 1 │ - │ - │ 1,0
│Тракторы и прицепы к ним │ 2 │ - │ - │ 1,0
│Землеройные и строительно-дорожные│ 3 │ - │ - │ 1,0
│машины │ │ │ │
│Сельскохозяйственные машины │ 4 │ - │ - │ 1,0
│Оборудование и электроматериалы │ 5 │ - │ - │ 1,0
─────┼──────────────────────────────────┼───────┼───────┼─────────┼────────
VIб │Сельскохозяйственные машины │ 4 │ - │ - │ 1,0
│Оборудование и электроматериалы │ 5 │ - │ - │ 1,0
─────┼──────────────────────────────────┼───────┼───────┼─────────┼────────
VIв │Сельскохозяйственные машины │ 4 │ - │ 0,2 │ 0,8
─────┼──────────────────────────────────┼───────┼───────┼─────────┼────────
VIIа │Металлы и метизы │ 7 │ - │ - │ 1,0
│Лесные и строительные материалы │ 8 │ - │ - │ 1,0
─────┼──────────────────────────────────┼───────┼───────┼─────────┼────────
VIIб │Лесные и строительные материалы │ 8 │ - │ - │ 1,0
Примечание. При разработке индивидуальных проектов распределение грузов по типам складов необходимо определять исходя из конкретной номенклатуры грузов, сложившейся в зоне намечаемого строительства, и правил хранения товаров на базах снабжения.
Рекомендуемое
НОРМАТИВНЫЙ СРОК ХРАНЕНИЯ ГРУЗОВ
НА УЧАСТКАХ ЗАКРЫТЫХ СКЛАДОВ
──────┬─────────────────┬─────────────────────────────────────────────────────────────────────────────────
Номера│ Наименование │ Нормативный срок хранения, дн.
групп │ групп товаров ├────────────────────────────────────────┬────────────────────────────────────────
това- │ │ Отапливаемый склад │ Неотапливаемый склад
ров │ ├─────┬─────┬──────────────┬──────┬──────┼─────┬─────┬──────────────┬──────┬──────
│ │учас-│учас-│комплектование│комп- │хране-│учас-│учас-│комплектование│комп- │хране-
│ │ток │ток │ и накопление │лекто-│ние │ток │ток │ и накопление │лекто-│ние
│ │вре- │при- │ транспортных │вание │грузов│вре- │при- │ транспортных │вание │грузов
│ │мен- │емки │ партий, │грузов│по ра-│мен- │емки │ партий, │грузов│по ра-
│ │ного │и │ отправляемых │по ра-│зовым │ного │и │ поставляемых │по ра-│зовым
│ │хра- │сор- ├───────┬──────┤зовым │заяв- │хра- │сор- ├───────┬──────┤зовым │заяв-
│ │нения│ти- │автома-│ж.-д. │заяв- │кам │нения│ти- │автома-│ж.-д. │заяв- │кам
│ │ │ровки│шинами │транс-│кам │ │ │ровки│шинами │транс-│кам │
│ │ │ │ │портом│ │ │ │ │ │портом│ │
──────┼─────────────────┼─────┼─────┼───────┼──────┼──────┼──────┼─────┼─────┼───────┼──────┼──────┼──────
5 │Оборудование и │ 4 │ 1 │ 2 │ 3 │ 1 │ 1 │ 4 │ 1 │ 2 │ 3 │ 1 │ 1
│электроматериалы │ │ │ │ │ │ │ │ │ │ │ │
6 │Инструмент │ 4 │ 2 │ 2 │ 4 │ 1 │ 1 │ - │ - │ - │ - │ - │ -
7 │Металлы и метизы │ 2 │ 1 │ 1 │ 2 │ 1 │ 1 │ 2 │ 1 │ 1 │ 2 │ 1 │ 1
8 │Лесные и │ 2 │ 1 │ 1 │ 2 │ 1 │ 1 │ 2 │ 1 │ 1 │ 2 │ 1 │ 1
│строительные │ │ │ │ │ │ │ │ │ │ │ │
│материалы │ │ │ │ │ │ │ │ │ │ │ │
9 │Резинотехнические│ 2 │ 1 │ 1 │ 2 │ 1 │ 1 │ 2 │ 1 │ 1 │ 2 │ 1 │ 1
│изделия │ │ │ │ │ │ │ │ │ │ │ │
10 │Хозтовары, │ 4 │ 1 │ 2 │ 3 │ 1 │ 1 │ 4 │ 1 │ 2 │ 3 │ 1 │ 1
│спецодежда и │ │ │ │ │ │ │ │ │ │ │ │
│другие товары │ │ │ │ │ │ │ │ │ │ │ │
│производственного│ │ │ │ │ │ │ │ │ │ │ │
│назначения │ │ │ │ │ │ │ │ │ │ │ │
11 │Запчасти │ 8 │ 3 │ 3 │ 8 │ 1 │ 2 │ 8 │ 2 │ 3 │ 6 │ 1 │ 2
│к тракторам │ │ │ │ │ │ │ │ │ │ │ │
12 │Запчасти │ 8 │ 3 │ 3 │ 8 │ 1 │ 2 │ 8 │ 2 │ 3 │ 6 │ 1 │ 2
│к автомашинам │ │ │ │ │ │ │ │ │ │ │ │
13 │Запчасти к │ 8 │ 3 │ 3 │ 8 │ 1 │ 2 │ 8 │ 2 │ 3 │ 6 │ 1 │ 2
│сельхозмашинам │ │ │ │ │ │ │ │ │ │ │ │
14 │Цепи ролико- │ - │ - │ - │ - │ - │ - │ 8 │ 1 │ 3 │ 6 │ 1 │ 2
│втулочные │ │ │ │ │ │ │ │ │ │ │ │
15 │Автотракторное │ 8 │ 4 │ 3 │ 8 │ 1 │ 2 │ - │ - │ - │ - │ - │ -
│электрооборудо- │ │ │ │ │ │ │ │ │ │ │ │
│вание, приборы; │ │ │ │ │ │ │ │ │ │ │ │
│резинотехнические│ │ │ │ │ │ │ │ │ │ │ │
│изделия, изделия │ │ │ │ │ │ │ │ │ │ │ │
│из стекла │ │ │ │ │ │ │ │ │ │ │ │
│и пластмасс │ │ │ │ │ │ │ │ │ │ │ │
16 │Подшипники │ 8 │ 3 │ 3 │ 8 │ 1 │ 2 │ - │ - │ - │ - │ - │ -
Примечания. 1. В таблице приведен нормативный срок хранения для областных (краевых, республиканских) баз.
2. Для районных баз нормативный срок хранения для зон приемки и отпуска грузов следует принимать равным двум дням.
3. При типовом проектировании районных баз отпуск грузов железнодорожным транспортом не предусматривается (соответствующие технологические участки исключаются из зоны отправки грузов).
Рекомендуемое
ПОСТУПЛЕНИЕ И ОТПУСК ГРУЗОВ ПО ТИПАМ ТРАНСПОРТА
──────┬─────────────────┬───────────────────────────┬───────────────────────────────────
Номера│ Наименование │ Поступление грузов, % │ Отпуск грузов, %
групп │ групп товаров ├──────┬──────┬─────────────┼──────┬──────┬─────────────┬───────
това- │ │ж.-д. │авто- │контейнерами │ж.-д. │авто- │контейнерами │своим
ров │ │транс-│транс-├──────┬──────┤транс-│транс-├──────┬──────┤ходом и
│ │портом│портом│ж.-д. │авто- │портом│портом│ж.-д. │авто- │букси-
│ │ │ │транс-│транс-│ │ │транс-│транс-│ровкой
│ │ │ │портом│портом│ │ │портом│портом│
──────┴─────────────────┴──────┴──────┴──────┴──────┴──────┴──────┴──────┴──────┴───────
Областные, краевые, республиканские базы
1 │Автомобили и │ 86 │ 14 │ - │ - │ 23 │ 39 │ - │ - │ 38
│прицепы к ним │ │ │ │ │ │ │ │ │
2 │Тракторы и │ 100 │ - │ - │ - │ 36 │ 44 │ - │ - │ 20
│прицепы к ним │ │ │ │ │ │ │ │ │
3 │Землеройные │ 99 │ 2 │ - │ - │ 31 │ 58 │ - │ - │ 11
│и строительно- │ │ │ │ │ │ │ │ │
│дорожные машины │ │ │ │ │ │ │ │ │
4 │Сельскохозяй- │ 99 │ 1 │ - │ - │ 37 │ 58 │ - │ - │ 5
│ственные машины │ │ │ │ │ │ │ │ │
5 │Оборудование и │ 68 │ 7 │ 25 │ - │ 27 │ 58 │ 15 │ - │ -
│электроматериалы │ │ │ │ │ │ │ │ │
6 │Инструмент │ 22 │ 34 │ 44 │ - │ 12 │ 68 │ 20 │ - │ -
7 │Металлы и метизы │ 68 │ 29 │ 3 │ - │ 32 │ 65 │ 3 │ - │ -
8 │Лесные и │ 89 │ 9 │ 2 │ - │ 13 │ 80 │ 7 │ - │ -
│строительные │ │ │ │ │ │ │ │ │
│материалы │ │ │ │ │ │ │ │ │
9 │Резинотехнические│ 82 │ 7 │ 11 │ - │ 30 │ 62 │ 8 │ - │ -
│изделия │ │ │ │ │ │ │ │ │
10 │Хозтовары, │ 36 │ 33 │ 31 │ - │ 13 │ 80 │ 7 │ - │ -
│спецодежда и │ │ │ │ │ │ │ │ │
│другие товары │ │ │ │ │ │ │ │ │
│производственного│ │ │ │ │ │ │ │ │
│назначения │ │ │ │ │ │ │ │ │
11 │Запасные части │ 65 │ 8 │ 24 │ 3 │ 30 │ 49 │ 18 │ 3 │ -
│к тракторам │ │ │ │ │ │ │ │ │
12 │Запасные части │ 53 │ 10 │ 32 │ 5 │ 24 │ 55 │ 18 │ 3 │ -
│к автомашинам │ │ │ │ │ │ │ │ │
13 │Запасные части │ 70 │ 6 │ 20 │ 4 │ 29 │ 50 │ 18 │ 3 │ -
│к сельхозмашинам │ │ │ │ │ │ │ │ │
14 │Цепи │ 35 │ 1 │ 54 │ 10 │ 24 │ 50 │ 24 │ 2 │ -
│роликовтулочные │ │ │ │ │ │ │ │ │
15 │Автотракторное │ 24 │ 7 │ 66 │ 3 │ 16 │ 52 │ 27 │ 5 │ -
│электрооборудо- │ │ │ │ │ │ │ │ │
│вание, приборы, │ │ │ │ │ │ │ │ │
│резинотехнические│ │ │ │ │ │ │ │ │
│изделия и изделия│ │ │ │ │ │ │ │ │
│из стекла │ │ │ │ │ │ │ │ │
│и пластмасс │ │ │ │ │ │ │ │ │
16 │Подшипники │ 15 │ 10 │ 64 │ 11 │ 15 │ 56 │ 26 │ 3 │ -
Районные и межрайонные базы
1 │Автомобили и │ 79 │ 21 │ - │ - │ - │ 33 │ - │ - │ 67
│прицепы к ним │ │ │ │ │ │ │ │ │
2 │Тракторы │ 97 │ 3 │ - │ - │ - │ 39 │ - │ - │ 61
│и прицепы к ним │ │ │ │ │ │ │ │ │
3 │Землеройные │ 97 │ 3 │ - │ - │ - │ 68 │ - │ - │ 32
│и строительно- │ │ │ │ │ │ │ │ │
│дорожные машины │ │ │ │ │ │ │ │ │
4 │Сельскохозяй- │ 93 │ 7 │ - │ - │ - │ 85 │ - │ - │ 15
│ственные машины │ │ │ │ │ │ │ │ │
5 │Оборудование и │ 46 │ 44 │ 7 │ 3 │ - │ 96 │ - │ 4 │ -
│электроматериалы │ │ │ │ │ │ │ │ │
6 │Инструмент │ - │ 52 │ 48 │ - │ - │ 78 │ - │ 22 │ -
7 │Металлы и метизы │ 55 │ 41 │ 4 │ - │ - │ 100 │ - │ - │ -
8 │Лесные и │ 82 │ 17 │ 1 │ - │ - │ 100 │ - │ - │ -
│строительные │ │ │ │ │ │ │ │ │
│материалы │ │ │ │ │ │ │ │ │
9 │Резинотехнические│ 39 │ 43 │ 15 │ 3 │ - │ 100 │ - │ - │ -
│изделия │ │ │ │ │ │ │ │ │
10 │Хозтовары, │ 13 │ 77 │ 10 │ - │ - │ 100 │ - │ - │ -
│спецодежда и │ │ │ │ │ │ │ │ │
│другие товары │ │ │ │ │ │ │ │ │
│производственного│ │ │ │ │ │ │ │ │
│назначения │ │ │ │ │ │ │ │ │
11 │Запчасти │ 26 │ 45 │ 29 │ - │ - │ 82 │ - │ 18 │ -
│к тракторам │ │ │ │ │ │ │ │ │
12 │Запасные части │ 27 │ 50 │ 23 │ - │ - │ 78 │ - │ 22 │ -
│к автомобилям │ │ │ │ │ │ │ │ │
13 │Запасные части │ 34 │ 45 │ 21 │ - │ - │ 82 │ - │ 18 │ -
│к сельхозмашинам │ │ │ │ │ │ │ │ │
14 │Цепи │ 16 │ 55 │ 29 │ - │ - │ 78 │ - │ 22 │ -
│роликовтулочные │ │ │ │ │ │ │ │ │
15 │Автотракторное │ 23 │ 57 │ 20 │ - │ - │ 78 │ - │ 22 │ -
│электрооборудо- │ │ │ │ │ │ │ │ │
│вание, приборы, │ │ │ │ │ │ │ │ │
│резинотехнические│ │ │ │ │ │ │ │ │
│изделия и изделия│ │ │ │ │ │ │ │ │
│из стекла │ │ │ │ │ │ │ │ │
│и пластмасс │ │ │ │ │ │ │ │ │
16 │Подшипники │ 9 │ 71 │ 20 │ - │ - │ 78 │ - │ 22 │ -
Примечание. При разработке индивидуальных проектов доли поступления и отпуска грузов по видам транспорта принимаются исходя из конкретных условий, сложившихся в зоне строительства, и должны быть оговорены в задании на проектирование.
Рекомендуемое
НОРМАТИВНЫЕ НАГРУЗКИ НА 1 м2 ПЛОЩАДИ
СКЛАДА ПРИ ВЫСОТЕ УКЛАДКИ 1 м
─────────────────┬──────┬────────────────────────────────────────────────────────────────
Наименование │Номера│ Нагрузка на 1 м2 полезной площади склада при высоте укладки
групп товаров │групп │ груза в 1 м по категориям грузов, т
│това- ├────┬────┬────┬──────────────┬─────────┬──────────────┬─────────
│ров │ I │ II │III │ IV │ V │ VI │ VII
│ │ │ │ ├────┬────┬────┼────┬────┼────┬────┬────┼────┬────
│ │ │ │ │ а │ б │ в │ а │ б │ а │ б │ в │ а │ б
─────────────────┼──────┼────┼────┼────┼────┼────┼────┼────┼────┼────┼────┼────┼────┼────
Автомобили и │ 1 │ - │ - │ - │ - │ - │ - │ - │ - │0,20│ - │ - │ - │ -
прицепы к ним │ │ │ │ │ │ │ │ │ │ │ │ │ │
Тракторы и │ 2 │ - │ - │ - │ - │ - │ - │ - │ - │0,46│ - │ - │ - │ -
прицепы к ним │ │ │ │ │ │ │ │ │ │ │ │ │ │
Землеройные │ 3 │ - │ - │ - │ - │ - │ - │ - │ - │0,50│ - │ - │ - │ -
и строительно- │ │ │ │ │ │ │ │ │ │ │ │ │ │
дорожные машины │ │ │ │ │ │ │ │ │ │ │ │ │ │
Сельскохозяй- │ 4 │ - │ - │ - │ - │ - │ - │ - │ - │0,15│0,15│0,25│ - │ -
ственные машины │ │ │ │ │ │ │ │ │ │ │ │ │ │
Оборудование и │ 5 │0,30│0,30│0,25│ - │ - │0,55│ - │0,50│0,64│0,70│ - │ - │ -
электроматериалы │ │ │ │ │ │ │ │ │ │ │ │ │ │
Инструмент │ 6 │0,97│0,40│0,60│ - │ - │ - │ - │ - │ - │ - │ - │ - │ -
Металлы и метизы │ 7 │0,90│0,90│ - │0,90│0,90│1,00│1,00│1,30│ - │ - │ - │1,80│ -
Лесные и │ 8 │0,50│0,40│0,50│0,45│0,40│0,40│0,40│ - │ - │ - │ - │1,60│0,40
строительные │ │ │ │ │ │ │ │ │ │ │ │ │ │
материалы │ │ │ │ │ │ │ │ │ │ │ │ │ │
Резинотехнические│ 9 │ - │0,15│0,10│ - │0,13│ - │0,32│0,09│ - │ - │ - │ - │ -
изделия │ │ │ │ │ │ │ │ │ │ │ │ │ │
Хозтовары, │ 10 │0,20│0,27│0,17│0,40│0,17│0,13│ - │ - │ - │ - │ - │ - │ -
спецодежда и │ │ │ │ │ │ │ │ │ │ │ │ │ │
другие товары │ │ │ │ │ │ │ │ │ │ │ │ │ │
производственного│ │ │ │ │ │ │ │ │ │ │ │ │ │
назначения │ │ │ │ │ │ │ │ │ │ │ │ │ │
Запасные части │ 11 │0,70│0,70│0,80│0,40│0,55│0,60│0,50│0,40│ - │ - │ - │ - │ -
к тракторам │ │ │ │ │ │ │ │ │ │ │ │ │ │
Запасные части │ 12 │0,70│0,70│0,80│0,40│0,55│0,70│0,40│0,40│ - │ - │ - │ - │ -
к автомобилям │ │ │ │ │ │ │ │ │ │ │ │ │ │
Запасные части │ 13 │0,70│0,70│0,70│0,40│0,55│0,60│0,40│0,50│ - │ - │ - │ - │ -
к сельхозмашинам │ │ │ │ │ │ │ │ │ │ │ │ │ │
Цепи │ 14 │ - │0,60│0,80│0,70│ - │ - │ - │ - │ - │ - │ - │ - │ -
роликовтулочные │ │ │ │ │ │ │ │ │ │ │ │ │ │
Автотракторное │ 15 │0,70│0,60│0,60│ - │1,00│ - │ - │ - │ - │ - │ - │ - │ -
электрооборудова-│ │ │ │ │ │ │ │ │ │ │ │ │ │
ние, приборы, │ │ │ │ │ │ │ │ │ │ │ │ │ │
резинотехнические│ │ │ │ │ │ │ │ │ │ │ │ │ │
изделия, изделия │ │ │ │ │ │ │ │ │ │ │ │ │ │
из стекла │ │ │ │ │ │ │ │ │ │ │ │ │ │
и пластмасс │ │ │ │ │ │ │ │ │ │ │ │ │ │
Подшипники │ 16 │1,00│1,50│ - │ - │ - │ - │ - │ - │ - │ - │ - │ - │ -
Примечания. 1. Нагрузки рассчитаны по массе единиц изделий (нетто). Масса заводской упаковки, а также складской тары (поддоны, подставки и т.д.) в нагрузках не учтена.
2. По грузам I, II, III, V, VII категорий нормы нагрузок приведены для стеллажного способа хранения.
3. По грузам IV категории нормы нагрузок приведены для штабельного способа хранения.
4. По грузам VI категории нормы нагрузок рассчитаны на допустимую высоту хранения (высота машин и т.д.).
5. При штабельном хранении грузов I, II, III, V категорий нагрузка увеличивается на 15 - 20%.
6. При стеллажном хранении грузов IV категории нагрузка уменьшается на 15 - 20%.
Рекомендуемое
ОСНОВНЫЕ НОРМАТИВНЫЕ ДАННЫЕ
ДЛЯ ПРОЕКТИРОВАНИЯ БАЗ КОМПЛЕКТОВАНИЯ
────────────────────┬───────┬────────┬───────────────────────────┬─────────
Наименование групп │Доля │Доля │ Распределение │Средняя
оборудования │группы │видов │ по товарообороту по типам │стоимость
│в общем│оборудо-│ складов, % │одной
│товаро-│вания по├───────────────┬─────┬─────┤тонны
│обороте│товаро- │закрытые склады│навес│отк- │оборудо-
│баз │обороту ├───────┬───────┤ │рытый│вания,
│комп- │в данной│отапли-│неотап-│ │склад│руб.
│лекто- │группе │ваемый │ливае- │ │ │
│вания, │ │ │мый │ │ │
│% │ │ │ │ │ │
────────────────────┼───────┼────────┼───────┼───────┼─────┼─────┼─────────
Электротехническое │ 16 │ │ │ │ │ │
оборудование │ │ │ │ │ │ │
и материалы │ │ │ │ │ │ │
│ │ │ │ │ │ │
Провода, шнуры │ │ 0,096 │ 35 │ 65 │ - │ - │ 1,27
в бухтах │ │ │ │ │ │ │
Кабельная продукция │ │ 0,111 │ - │ 20 │ 80 │ - │ 1,68
Электродвигатели │ │ 0,114 │ 100 │ - │ - │ - │ 1,5
Высоковольтная │ │ 0,071 │ 100 │ - │ - │ - │ 3,12
аппаратура │ │ │ │ │ │ │
(выключатели │ │ │ │ │ │ │
силовые, │ │ │ │ │ │ │
предохранители, │ │ │ │ │ │ │
разъединители, │ │ │ │ │ │ │
переключатели) │ │ │ │ │ │ │
Изоляторы, ролики, │ │ 0,01 │ - │ 100 │ - │ - │ 0,33
втулки для кабельных│ │ │ │ │ │ │
муфт │ │ │ │ │ │ │
Низковольтная │ │ 0,141 │ 100 │ - │ - │ - │ 3,47
аппаратура │ │ │ │ │ │ │
(рубильники, │ │ │ │ │ │ │
выпрямители, │ │ │ │ │ │ │
магнитные пускатели,│ │ │ │ │ │ │
сопротивления, │ │ │ │ │ │ │
реостаты) │ │ │ │ │ │ │
Распределительные │ │ 0,115 │ 100 │ - │ - │ - │ 2,04
шкафы и щиты │ │ │ │ │ │ │
Трансформаторы, │ │ 0,065 │ 5 │ 90 │ - │ 5 │ 0,635
выпрямители, │ │ │ │ │ │ │
регуляторы │ │ │ │ │ │ │
напряжения │ │ │ │ │ │ │
Электроосветительная│ │ 0,114 │ 60 │ 40 │ - │ - │ 1,45
арматура, │ │ │ │ │ │ │
электрические лампы │ │ │ │ │ │ │
Электроизмерительные│ │ 0,1 │ 100 │ - │ - │ - │ 60,72
приборы, │ │ │ │ │ │ │
радиоаппаратура │ │ │ │ │ │ │
Сварочные агрегаты, │ │ 0,063 │ - │ - │ - │ 100 │ 1,98
силовые подстанции, │ │ │ │ │ │ │
дизель-генераторы │ │ │ │ │ │ │
│ │ │ │ │ │ │
Санитарно- │ 14 │ │ │ │ │ │
техническое │ │ │ │ │ │ │
оборудование │ │ │ │ │ │ │
│ │ │ │ │ │ │
Агрегаты │ │ 0,125 │ - │ 70 │ 25 │ 5 │ 0,74
отопительные, │ │ │ │ │ │ │
калориферы │ │ │ │ │ │ │
Вентиляторы │ │ 0,232 │ - │ 90 │ 10 │ - │ 0,94
Трубопроводная │ │ 0,201 │ - │ 90 │ 10 │ - │ 0,56
промышленная │ │ │ │ │ │ │
арматура и задвижки │ │ │ │ │ │ │
Насосное │ │ 0,216 │ - │ 95 │ 5 │ - │ 1,84
оборудование │ │ │ │ │ │ │
Приборы контроля │ │ 0,078 │ 100 │ - │ - │ - │ 26,4
и регулирования │ │ │ │ │ │ │
технологических │ │ │ │ │ │ │
процессов │ │ │ │ │ │ │
Радиаторы │ │ 0,029 │ - │ - │ 100 │ - │ 0,30
Котлы паровые, │ │ 0,119 │ - │ - │ - │ 100 │ 0,99
компрессоры │ │ │ │ │ │ │
│ │ │ │ │ │ │
Технологическое │ 70 │ │ │ │ │ │
оборудование │ │ │ │ │ │ │
│ │ │ │ │ │ │
Машины и │ │ 0,277 │ - │ 3,1 │ - │96,9 │ 0,87
оборудование для │ │ │ │ │ │ │
механизации ферм │ │ │ │ │ │ │
крупного рогатого │ │ │ │ │ │ │
скота │ │ │ │ │ │ │
Машины и │ │ 0,106 │ 0,3 │ 3,0 │ - │96,7 │ 0,595
оборудование │ │ │ │ │ │ │
для механизации │ │ │ │ │ │ │
свиноводческих ферм │ │ │ │ │ │ │
Машины и │ │ 0,142 │ 0,5 │ 1,0 │ - │98,5 │ 0,865
оборудование для │ │ │ │ │ │ │
птицеводческих ферм │ │ │ │ │ │ │
Машины и │ │ 0,034 │ - │ 8,4 │ - │91,6 │ 1,29
оборудование для │ │ │ │ │ │ │
овцеводческих ферм │ │ │ │ │ │ │
Общефермское │ │ 0,188 │ 1,0 │ 1,1 │ 2,0 │95,9 │ 1,03
оборудование │ │ │ │ │ │ │
Оборудование │ │ 0,046 │ - │ 1,2 │ - │98,8 │ 0,31
для котельных │ │ │ │ │ │ │
Машины и │ │ 0,023 │ - │ 3,0 │ - │97,0 │ 0,39
оборудование │ │ │ │ │ │ │
для водоснабжения │ │ │ │ │ │ │
и ирригации │ │ │ │ │ │ │
Оборудование │ │ 0,093 │ - │ 1,9 │ - │98,1 │ 0,66
для зернотоков, │ │ │ │ │ │ │
зерноскладов │ │ │ │ │ │ │
и зернохранилищ │ │ │ │ │ │ │
Оборудование │ │ 0,015 │ - │ - │ - │ 100 │ 0,74
для овощекартофеле- │ │ │ │ │ │ │
хранилищ │ │ │ │ │ │ │
Оборудование для │ │ 0,076 │ - │ 75 │ 25 │ - │ 2,35
ремонтных заводов, │ │ │ │ │ │ │
ремонтных мастерских│ │ │ │ │ │ │
и пунктов │ │ │ │ │ │ │
технического │ │ │ │ │ │ │
обслуживания │ │ │ │ │ │ │
Таблица 2
───────────────────┬───────────────────────────┬───────────────────────────
Наименование групп │ Поступление грузов, % │ Отпуск грузов, %
товаров ├──────┬──────┬─────────────┼──────┬──────┬─────────────
│по же-│авто- │контейнерами │по же-│авто- │контейнерами
│лезной│транс-├──────┬──────┤лезной│транс-├──────┬──────
│дороге│портом│по же-│авто- │дороге│портом│по же-│авто-
│ │ │лезной│транс-│ │ │лезной│транс-
│ │ │дороге│портом│ │ │дороге│портом
───────────────────┼──────┼──────┼──────┼──────┼──────┼──────┼──────┼──────
Электротехническое │ 65 │ 10 │ 20 │ 5 │ 5 │ 80 │ 5 │ 10
оборудование │ │ │ │ │ │ │ │
и материалы │ │ │ │ │ │ │ │
Санитарно- │ 64 │ 8 │ 25 │ 3 │ 2 │ 85 │ 3 │ 10
техническое │ │ │ │ │ │ │ │
оборудование │ │ │ │ │ │ │ │
Технологическое │ 92 │ 5 │ 3 │ - │ 10 │ 90 │ - │ -
оборудование │ │ │ │ │ │ │ │
Таблица 3
──────────────────────────┬──────────────────────┬─────────────────────────
Наименование групп │ Способ хранения │Нагрузка на 1 м2 площади
оборудования │ │ при высоте укладки 1 м,
│ │ т/м2
──────────────────────────┴──────────────────────┴─────────────────────────
Электротехническое оборудование и материалы
Провода, шнуры в бухтах │Стеллаж полочный │ 0,1 - 0,13
│(на плоских поддонах) │
│Штабель (в сетчатых │ 0,2 - 0,3
│поддонах) │
Кабельная продукция │Стеллаж для барабанов │ 0,2 - 0,5
│с кабелем │ (для барабанов до N 6)
│ │ 1,0 - 1,2
│ │(для барабанов свыше N 6)
│ │
Электродвигатели │Стеллаж полочный │ 0,3 - 0,5
Высоковольтная аппаратура │Стеллаж полочный │ 0,1 - 0,2
(выключатели силовые, │(на плоских поддонах) │
предохранители, │Ящичный поддон │ 0,2 - 0,3
разъединители, │ │
переключатели) │ │
Изоляторы, ролики, втулки │Стеллаж полочный │ 0,1 - 0,2
для кабельных муфт │ │
Низковольтная аппаратура │Стеллаж полочный │ 0,1 - 0,2
(рубильники, выпрямители, │(на плоских поддонах) │
магнитные пускатели, │Ящичный поддон │ 0,2 - 0,3
сопротивления, реостаты) │ │
Распределительные шкафы │Стеллаж полочный │ 0,1 - 0,2
и щиты │Напольный │ 0,2 - 0,3
Трансформаторы, │Стеллаж полочный │ 0,3 - 0,5
выпрямители, регуляторы │Напольный │ 0,7 - 0,9
напряжения │ │
Электроосветительная │Стеллаж полочный │ 0,1 - 0,2
арматура, электрические │ │
лампы │ │
Электроизмерительные │Стеллаж полочный │ 0,2 - 0,4
приборы, радиоаппаратура │ │
Сварочные агрегаты, │Напольный │ 0,6 - 0,9
силовые подстанции, │ │
дизель-генераторы │ │
Санитарно-техническое оборудование
Агрегаты отопительные, │Стеллаж полочный │ 0,20
калориферы │Напольный │ 0,84
Вентиляторы │Стеллаж полочный │ 0,2 - 0,35
Трубопроводная │Стеллаж полочный │ 0,4 - 0,6
промышленная арматура │(на плоских поддонах) │
и задвижки │Ящичный поддон │ 0,5 - 0,7
Насосное оборудование │Стеллаж полочный │ 0,3 - 0,45
Приборы контроля │Стеллаж полочный │ 0,15 - 0,3
и регулирования │ │
технологических процессов │ │
Радиаторы │Стеллаж полочный │ 0,5
│Штабель │ 0,8
Котлы паровые, компрессоры│Напольный │ 0,6 - 0,7
Таблица 4
Нормативная нагрузка для групп технологического
оборудования, хранимого на открытой площадке
──────────────────────────────┬────────────────┬─────────────┬─────────────
Наименование групп │ Нагрузка │ Нагрузка │ Расчетная
оборудования │на 1 м2 площади │при расчетной│ высота
│ при высоте │ высоте │ укладки, м
│ укладки 1 м, │укладки, т/м2│
│ т/м2 │ │
──────────────────────────────┼────────────────┼─────────────┼─────────────
Машины и оборудование для │ 0,41 │ 0,91 │ 2,22
механизации ферм крупного │ │ │
рогатого скота │ │ │
Машины и оборудование для │ 0,43 │ 0,86 │ 2,0
механизации свиноводческих │ │ │
ферм │ │ │
Машины и оборудование │ 0,30 │ 0,84 │ 2,8
для птицеводческих ферм │ │ │
Машины и оборудование │ 0,33 │ 0,7 │ 2,1
для овцеводческих ферм │ │ │
Общефермское оборудование │ 0,29 │ 0,43 │ 1,48
Оборудование для котельных │ 0,24 │ 0,57 │ 2,37
Машины и оборудование для │ 0,21 │ 0,56 │ 2,6
водоснабжения и ирригации │ │ │
Оборудование для зернотоков, │ 0,20 │ 0,36 │ 1,8
зерноскладов и зернохранилищ │ │ │
Оборудование для │ 0,07 │ 0,15 - 0,17 │ 2,14
овощекартофелехранилищ │ │ │
Оборудование для ремонтных │ - │ 0,3 │ не
заводов, ремонтных мастерских │ │ │штабелируется
и пунктов технического │ │ │
обслуживания │ │ │
Примечание. Для технологического оборудования, хранимого в закрытом складе, нагрузка на 1 м2 площади при высоте укладки 1 м для стеллажного хранения принимается 0,35 т/м2, для штабельного - 0,45 т/м2.
ИСПОЛЬЗОВАННАЯ ЛИТЕРАТУРА
| | ИС МЕГАНОРМ: примечание. Постановлением Госснаба СССР от 11.07.1986 N 74 с 1 октября 1986 года введены в действие ОНТП 01-86. Общесоюзные нормы технологического проектирования складов тарно-штучных и длинномерных грузов. | |
1. Общесоюзные нормы технологического проектирования складов тарно-штучных и длинномерных грузов. ОНТП-85. ПКТИСХ "Оргснаб". Горький, 1985.
2. Положение о планово-предупредительном ремонте и техническом обслуживании машин и оборудования предприятий системы Госснаба СССР. ПКТИСХ "Оргснаб". Горький, 1985.
3. Типовая технология грузопереработки товаров на складах и базах Госкомсельхозтехники. Рязань, ВНИИМС, 1983.
4. Рекомендации по размещению и технологии грузопереработки товаров на открытых механизированных складах баз снабжения Госкомсельхозтехники СССР (издание пятое). Рязань, ВНИИМС, 1980.
5. Рекомендации по технологии грузопереработки в зонах приема и комплектования. Рязань, ВНИИМС, 1980.
6. Методические рекомендации по расчету технологических параметров вспомогательных служб баз и складов. Рязань, ВНИИМС, 1985.
7. Письмо Госкомсельхозтехники СССР от 16.01.1979 N 68-04 "О новой номенклатуре издержек обращения".
8. Прейскурант 10-01. Тарифы на грузовые железнодорожные перевозки. М., Прейскурантиздат, 1982.
9. Прейскурант 14-01. Тарифы на перевозку грузов и буксировка плотов речным транспортом. М., Прейскурантиздат, 1973.
10. Прейскурант 13.01.01. Единые тарифы на перевозку грузов автомобильным транспортом. Госкомцен союзной республики, 1982.
11. Тарифное руководство N 4.
Книга 1. Тарифные расстояния между станциями участков и транзита по железным дорогам. Введено в действие с 01.01.1976. М., Транспорт, 1976.
Книга 2. Алфавитный список железнодорожных станций. Введено в действие с 01.01.1976. М., Транспорт, 1985.
Книга 3. Тарифные расстояния между узловыми и маршрутно-транзитными пунктами. Введено в действие с 1976 г. М., Транспорт, 1975.
12. Прейскурант N 09-01. Тарифы на электрическую и тепловую энергию. М., Прейскурантиздат, 1980.
13. Нормы амортизационных отчислений по основным фондам народного хозяйства и Положение о порядке планирования, начисления и использования амортизационных отчислений в народном хозяйстве. М., Экономика, 1974.
14. Прейскурант N 04-02. Оптовые цены промышленности и предприятий на нефтепродукты. М., Прейскурантиздат, 1980.
15. Методические рекомендации по расчету экономической эффективности технологических процессов грузопереработки на базах снабжения Госкомсельхозтехники СССР. Рязань, ВНИИМС, 1980, с. 13 - 14.
16. О процентных ставках за пользование банковским кредитом. Собрание постановлений правительства СССР, 1980, отдел 1, N 13, ст. 89.
17. Инструктивные указания о порядке применения наценок снабженческими организациями системы Госкомсельхозтехники СССР, утвержденные Госкомсельхозтехникой СССР 03.06.1982.
18. Инструкция о порядке разработки новых и пересмотра действующих норм технологического проектирования. М., Стройиздат, 1975.