Главная // Актуальные документы // Ведомость (форма)СПРАВКА
Источник публикации
Документ опубликован не был
Примечание к документу
Название документа
"Инструкция по расчету пропускной и провозной способностей железных дорог ОАО "РЖД"
(утв. Распоряжением ОАО "РЖД" от 04.03.2022 N 545/р)
"Инструкция по расчету пропускной и провозной способностей железных дорог ОАО "РЖД"
(утв. Распоряжением ОАО "РЖД" от 04.03.2022 N 545/р)
от 4 марта 2022 г. N 545/р
ИНСТРУКЦИЯ ПО РАСЧЕТУ ПРОПУСКНОЙ И ПРОВОЗНОЙ СПОСОБНОСТЕЙ
ЖЕЛЕЗНЫХ ДОРОГ ОАО "РЖД"
Техническая возможность железных дорог ОАО "РЖД" по обеспечению перевозок пассажиров и грузов определяется пропускной и провозной способностью основных сооружений и устройств (элементов) железнодорожной инфраструктуры.
Инструкцией по расчету пропускной и провозной способностей железных дорог ОАО "РЖД" устанавливается порядок проведения расчетов по определению:
пропускной способности основных элементов инфраструктуры железнодорожного транспорта;
потребной пропускной и провозной способностей инфраструктуры железнодорожного транспорта;
сравнительной оценки пропускной и провозной способностей железнодорожной инфраструктуры с потребной.
Расчеты пропускной и провозной способностей должны базироваться на основе действующих нормативных документов ОАО "РЖД" по использованию технических средств, их паспортных данных, применению прогрессивных технологических процессов выполнения операций, передовых приемов труда.
Настоящая Инструкция предназначена для использования плановыми, проектными, производственными и научными организациями при оценке существующей мощности железнодорожных направлений и определения необходимости их технического развития на долгосрочную и краткосрочную перспективу.
Расчету, в соответствии с настоящей Инструкцией, подлежат значения пропускной и провозной способностей:
потребная (необходимая);
планируемая (проектируемая);
расчетная;
наличная.
Основные характеристики видов значений пропускной способности приведены в
таблице 1.
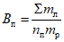
Наименование показателя | Учитываемые факторы | Применение в решении задач |
Потребная пропускная способность. | Структура и мощность транспортных потоков, годовая и внутримесячная неравномерность перевозок. | 1. Развитие железнодорожной инфраструктуры и перевозочных ресурсов при перспективном планировании. 2. Использование железнодорожной инфраструктуры и перевозочных ресурсов в условиях текущей эксплуатации. |
Планируемая (проектируемая) пропускная способность. | Нормативные значения коэффициентов надежности, нормативные значения суточного бюджета времени на текущее содержание инфраструктуры и плановые виды ремонта технических устройств, планируемые мероприятия по совершенствованию технологии работы и технического оснащения, строительства или развития железнодорожных линий, станций и узлов. | Планирование мероприятий по совершенствованию технологии работы и технического оснащения, строительства или развития железнодорожной инфраструктуры. |
Расчетная пропускная способность. | Действующее путевое развитие и техническое оснащение, нормативные значения коэффициентов надежности и суточного бюджета времени на текущее содержание инфраструктуры и плановые виды ремонта технических устройств. | Планирование мероприятий по развитию пропускных и провозных способностей железнодорожной инфраструктуры |
Наличная пропускная способность. | Действующее путевое развитие и техническое оснащение, соотношения размеров движения поездов различных категорий, длительно действующие предупреждения об ограничении скорости, значения коэффициентов надежности и суточного бюджета времени на текущее содержание инфраструктуры и плановые виды ремонта технических устройств на основе актуальных данных расчетного периода. | Планирование мероприятий по ремонту и модернизации устройств железнодорожной инфраструктуры. |
Результирующая пропускная способность расчетного участка (включая станции). | Емкости путевого развития и длины станционных путей, технически допустимые уровни использования мощности устройств при беспрепятственном приеме поездов | 1. Технология перевозочного процесса и управление движением в условиях текущей эксплуатации 2. Доступ к услугам инфраструктуры общего пользования в условиях текущей эксплуатации. |
Результирующая пропускная способность направления (полигона) железнодорожной сети. | Влияние смежных участков (объективные потери из-за несоответствия структуры транспортных потоков и топологии полигонов). | 1. Мониторинг целевых показателей проектов развития железнодорожной сети. 2. Распределение по маршрутам следования поездопотоков и соответствующих мероприятий и инвестиций. |
Потребная провозная и пропускная способности учитывают структуру и мощность потоков грузов и поездов с учетом годовой и внутримесячной неравномерности пассажирских и грузовых перевозок.
Сопоставление расчетов потребной и планируемой пропускных способностей обеспечивает проверку достаточности планируемого развития железнодорожной инфраструктуры.
Сопоставление планируемой и расчетной пропускных способностей обеспечивает проверку необходимости планируемого развития железнодорожной инфраструктуры.
Сопоставление расчетной и наличной пропускных способностей определяет потери пропускной способности из-за несоблюдения проектных параметров технических средств, обеспечивает проверку необходимости работ по устранению инфраструктурных ограничений, вызывающих данные потери.
Разграничение мероприятий по развитию пропускных способностей и мероприятий по ремонту и модернизации устройств железнодорожной инфраструктуры в зависимости от соотношений значений пропускных способностей показано на
рисунке 1.
1) Мероприятия по развитию пропускных и провозных способностей.
2) Мероприятия по ремонту и модернизации железнодорожной инфраструктуры (по программам инфраструктурных хозяйств).
Методология расчета пропускной способности учитывает необходимость использования части суточного бюджета времени для выполнения работ по содержанию технических устройств и плановых видов ремонта устройств железнодорожной инфраструктуры, а также компенсации потерь времени из-за отказов в работе технических средств.
Периодичность подтверждения (пересмотра) нормативных параметров, учитывающих надежность работы, текущее содержание и ремонт сооружений и устройств для различных классов железнодорожных линий устанавливается ОАО "РЖД", исходя из развития конструкций сооружений, устройств и подвижного состава, технологий их обслуживания и ремонта.
При определении пропускной способности, необходимой для условий определенного года эксплуатации, учитываются конкретные объемы предоставляемых технологических "окон" для ремонтов инфраструктуры и для строительно-монтажных работ в конкретные внутригодовые периоды ведения этих работ.
Расчеты пропускной способности железных дорог ОАО "РЖД" сводятся в паспорт пропускной способности железных дорог ОАО "РЖД", разрабатываемый в порядке, установленным ОАО "РЖД".
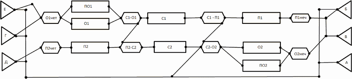
Расчет пропускной способности всех элементов железнодорожной инфраструктуры ведется по выделенным (расчетным) участкам.
Перечень расчетных участков действующей железнодорожной сети утверждается Центральной дирекцией управления движением - филиалом ОАО "РЖД" и является обязательным для всех устройств, влияющих на пропускную способность.
Пропускная способность расчетного участка определяется по следующим элементам железнодорожной инфраструктуры:
перегонам;
станциям (приемоотправочные пути и их стрелочные горловины);
устройствам электроснабжения электрифицированных линий;
по деповским и экипировочным устройствам локомотивного хозяйства.
Результирующая пропускная способность на расчетном участке устанавливается по элементу железнодорожной инфраструктуры, который имеет наименьшую пропускную способность с учетом технически допустимого уровня ее заполнения. По другим основным сооружениям и устройствам проверяется возможность пропуска размеров движения, которые получены расчетом по лимитирующему элементу.
Результирующая пропускная способность направления (полигона) железнодорожной сети устанавливается с учетом сопоставления расчетной результирующей пропускной способности участков и оценки соответствия структуры транспортных потоков и топологии полигонов.
1.2. Термины и определения
Расчетный участок - часть железнодорожной сети с одинаковыми: количеством главных путей - однопутный, однопутно-двухпутный (однопутный с двухпутными вставками и перегонами), двухпутный, многопутный; средствами сигнализации и связи по движению поездов; видом локомотивной тяги и родом тягового электрического тока.
Границы расчетных участков - станции, где предусмотрено выполнение технических операций: расформирование и формирование поездов, смена локомотивов или локомотивных бригад, подготовка составов поездов в рейс, оборот пассажирских поездов дальнего следования и пригородного сообщения; станции или раздельные пункты примыкания одного или нескольких направлений; станции, где изменяются размеры движения грузовых и пассажирских поездов.
Железнодорожный узел - группа взаимодействующих железнодорожных станций, перегонов и соединительных ветвей, связанных взаимной корреспонденцией поездопотоков, расположенных в месте примыкания трех и более железнодорожных линий, либо выполняющих транспортное обслуживание крупного города, агломерации, промышленного центра, порта (независимо от количества примыкающих линий).
Технология перевозочного процесса - график движения поездов, план формирования грузовых поездов, технологические процессы работы станций, единые технологические процессы работы железнодорожных путей необщего пользования и станций примыкания.
Управление движением - техническое нормирование эксплуатационной работы, оперативное планирование поездной и грузовой работой, диспетчерское руководство движением поездов.
Пропускная способность - максимальное число поездов (пар поездов) расчетной категории, которое может быть пропущено по участку за сутки в зависимости от его технического оснащения и установленного порядка организации движения поездов.
Наличная пропускная (провозная) способность - пропускная (провозная) способность участка с учетом действующих предупреждений об ограничении скорости и соотношений размеров движения поездов различных категорий. Значения наличной пропускной способности актуализируются ежегодно в рамках формирования паспортов пропускной способности железных дорог ОАО "РЖД".
Расчетная пропускная (провозная) способность - максимально возможная пропускная (провозная) способность участка при отсутствии действующих предупреждений об ограничении скорости, нормативных значениях надежности технических средств и времени работ по содержанию и плановым ремонтам устройств. Перерасчет производится при изменении технического оснащения инфраструктуры (изменение количества главных путей, замена средств сигнализации и связи по движению поездов, развитие железнодорожных станций и узлов, замена вида тяги и серии локомотива, изменение критических норм массы поездов и станций смены локомотивов и локомотивных бригад).
Потребная (необходимая) пропускная (провозная) способность - пропускная (провозная) способность для обеспечения пропуска грузовых и пассажирских транспортных потоков при планировании перевозок, инвестиций и проектировании строительства или развития железнодорожных линий, станций и узлов.
Проектируемая (планируемая) пропускная (провозная) способность - пропускная (провозная) способность, достигаемая в результате мероприятий по совершенствованию технологии работы и технического оснащения, строительства или развития железнодорожных линий, станций и узлов.
Пропускная способность железнодорожного участка по перегонам - максимальное число поездов (пар поездов) расчетной категории, которое может быть пропущено по перегонам и промежуточным раздельным пунктам участка за сутки в зависимости от его технической оснащенности и принятого способа организации движения поездов.
Пропускная способность железнодорожной станции - наибольшее число грузовых поездов (отдельно без переработки, поступающих в расформирование и своего формирования с дифференциацией по примыкающим к станции подходам) и заданным числом пассажирских поездов, которые могут быть пропущены станцией за сутки по всем примыкающим к ней направлениям при условиях работы, обеспечивающих полное использование имеющихся технических средств.
Пропускная способность пассажирской станции - наибольшее число пассажирских поездов, которые могут быть пропущены станцией за сутки или в часы интенсивного движения по каждому примыкающему направлению.
Перерабатывающая способность станции - наибольшее число грузовых поездов (вагонов), которые могут быть переработаны станцией за расчетный период (сутки) при передовой технологии и наилучшем использовании путевого развития и технического оснащения.
Результирующая пропускная способность - пропускная способность расчетного участка, определяемая по элементу железнодорожной инфраструктуры (перегоны, станции, электроснабжение, деповские и экипировочные устройства локомотивного хозяйства), имеющему наименьшую пропускную способность с учетом технически допустимого уровня ее заполнения.
Резерв пропускной способности - неотрицательное число, характеризующее разность между пропускной способностью участка и проследовавшим или планируемым к следованию по нему поездопотоком, при заданных размерах пассажирского и грузового движения и принятой технологии организации эксплуатационной работы, выражаемое в парах поездов или в поездах по направлениям.
Дефицит пропускной способности - отрицательное число, характеризующее разность между пропускной способностью участка и проследовавшим или планируемым к следованию по нему поездопотоком, при заданных размерах пассажирского и грузового движения и принятой технологии организации эксплуатационной работы, выражаемое в парах поездов или в поездах по направлениям.
Интенсивное пригородное (пригородно-городское, городское) движение - движение, при котором в час по расчетному участку следует в одном направлении не менее четырех пригородных поездов.
Коэффициент съема пропускной способности - среднее значение съема поездов расчетной категории, возникающее при пропуске одного поезда другой скоростной категории (величина, показывающая количество пар поездов расчетной категории, снимаемых с максимального графика движения поездов в связи с пропуском одной пары поездов соответствующей категории).
Коэффициент непарности - отношение числа грузовых поездов в направлении с меньшими размерами движения к числу поездов обратного направления.
Коэффициент пакетности - отношение числа поездов, пропускаемых в пакетах, к общему числу поездов.
Максимальный перегон - перегон с наибольшей суммой времен хода четного и нечетного поездов.
Ограничивающий перегон - перегон, имеющий наименьшую пропускную способность из всех перегонов участка.
Период графика движения поездов - время занятия перегона группой поездов, характерной для принятого типа графика. Период графика движения поездов на однопутном перегоне представляет собой длительность выполнения периодически повторяющегося фрагмента графика движения с заданными значениями коэффициента непарности, коэффициента пакетности и количества поездов в пакетах в четном и нечетном направлениях движения.
Станционный интервал - минимально необходимое время для выполнения операций по приему, отправлению или пропуску поездов через раздельный пункт с путевым развитием (разъезд, обгонный пункт или станцию) или пост без путевого развития, обслуживающий примыкание.
Межпоездной интервал - минимальное время, которым разграничивают поезда при попутном следовании по перегонам на участках, оборудованных автоматической блокировкой или автоматической локомотивной сигнализацией как самостоятельным средством интервального регулирования движения поездов.
Провозная способность - количество миллионов тонн груза, которое может быть перевезено по участку за год в грузовом направлении (направлении следования преобладающего грузопотока) при заданном числе пассажирских поездов.
Тактовый график движения поездов - организованное движение по участку попутно следующих пассажирских поездов (в пригородном, пригородно-городском сообщении или в дальнем следовании) через одинаковые специально установленные интервалы времени (тактовый интервал).
Технология "Виртуальная сцепка" - инновационная технология интервального регулирования движения поездов на основе обмена по цифровому радиоканалу информацией о режиме движения между локомотивами ведущего и ведомого поездов.
Технологическая модель работы станции - комплекс расчетных технологических цепочек, отражающих технологию работы рассматриваемой станции с детализацией "подход - стрелочная горловина - парк - сортировочное устройство".
Технологическая цепочка - последовательность прохождения отдельной группы поездопотоков по расчетным элементам станционной инфраструктуры. В технологическую цепочку объединяется группа поездов, которые проходят по идентичным элементам инфраструктурной модели.
Технологическая карта - набор операций по расчетным элементам станции, регламентирующий время их занятия и маршруты следования по стрелочным горловинам.
Участок определения коэффициента съема пропускной способности - один или несколько последовательно расположенных расчетных участков с одинаковым количеством главных путей - однопутный, однопутно-двухпутный (однопутный с двухпутными вставками и перегонами), двухпутный, многопутный) - по которым поезда следуют без технических операций.
Съем пропускной способности - разность между максимальным числом поездов при параллельном графике движения поездов (пропускной способности участка) и числом поездов той же скоростной категории, которые могут быть проложены при непараллельном графике движения поездов с учетом пропуска по данному участку поездов других скоростных категорий (пассажирских, пригородных, ускоренных грузовых и др.).
1. Федеральный
закон от 10 января 2003 г. N 17-ФЗ "О железнодорожном транспорте в Российской Федерации".
2. Федеральный
закон от 10 января 2003 г. N 18-ФЗ "Устав железнодорожного транспорта Российской Федерации".
3.
Приказ Минтранса России от 21 декабря 2010 г. N 286 "Об утверждении Правил технической эксплуатации железных дорог Российской Федерации".
4.
Приказ Минтранса России от 18 июля 2018 г. N 266 "Об утверждении Методики определения пропускной и провозной способностей инфраструктуры железнодорожного транспорта общего пользования".
5. Инструкция по определению станционных и межпоездных интервалов, утвержденная ОАО "РЖД" 9 декабря 2016 г. N 721.
6.
Распоряжение ОАО "РЖД" от 12 мая 2016 г. N 867р "Об утверждении Правил тяговых расчетов для поездной работы".
7. Распоряжение ОАО "РЖД" от 13 января 2020 г. N 28/р "Об утверждении Методики классификации и специализации железнодорожных линий ОАО "РЖД".
8. Распоряжение ОАО "РЖД" от 9 января 2018 г. N 2/р "Об утверждении Методики проведения исследований проектов развития железнодорожных станций и линий с определением "узких мест", влияния на пропускные и перерабатывающие способности, рациональной технологии и прогнозируемых эксплуатационных показателей с использованием аппарата математического моделирования".
9. Распоряжение ОАО "РЖД" от 18 марта 2019 г. N 503/р "Об утверждении
Методики расчета перерабатывающей способности станции, во взаимоувязке с перерабатывающими возможностями грузовых фронтов, мест общего и необщего пользования, на которых осуществляется грузовая работа".
10.
Распоряжение ОАО "РЖД" от 25 февраля 2019 г. N 348/р "Об утверждении
Инструкции о порядке планирования, разработки, предоставления и использования технологических "окон" для ремонтных и строительно-монтажных работ в ОАО "РЖД".
11. Распоряжение ОАО "РЖД" от 31 декабря 2015 г. N 3201р "Об утверждении Инструкции по разработке графика движения поездов в ОАО "РЖД".
12. Распоряжение ОАО "РЖД" от 15 июля 2020 г. N 1508/р "Об утверждении Методики расчета показателей надежности и безопасности функционирования верхнего строения пути".
13. Методика расчета показателей надежности и безопасности функционирования железнодорожной автоматики и телемеханики ОАО "РЖД", утвержденная ОАО "РЖД" 21 ноября 2015 г.
14.
Распоряжение ОАО "РЖД" от 6 декабря 2019 г. N 2762/р "Об утверждении Методики расчета и нормирования показателей надежности объектов железнодорожного электроснабжения".
15. Распоряжение ОАО "РЖД" от 8 декабря 2017 г. N 2548р "Об утверждении Методики расчета и нормирования показателей надежности участка сети связи".
16. Распоряжение ОАО "РЖД" от 2 ноября 2020 г. N 2421/р "Об утверждении Методики расчета показателей надежности и безопасности функционирования моторвагонного подвижного состава".
17.
Распоряжение ОАО "РЖД" от 29 ноября 2019 г. N 2680/р "Об утверждении Методических рекомендаций по управлению надежностью грузовых вагонов парка ОАО "РЖД".
18. Распоряжение ОАО "РЖД" от 6 ноября 2020 г. N 2451/р "Об утверждении Методики расчета показателей надежности путевых машин парка дирекции по эксплуатации путевых машин".
19. Распоряжение ОАО "РЖД" от 25 ноября 2020 г. N 2603/р "Об утверждении документов в области бюджетного управления".
20. Распоряжение ОАО "РЖД" от 30 декабря 2015 г. N 3146/р "Об утверждении Инструкции по расчету эксплуатационного коэффициента готовности для оценки пропускной способности железнодорожных участков".
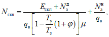
2. Порядок расчета пропускной способности
железнодорожных участков по перегонам
2.1.1. Пропускная способность железнодорожного участка по перегонам рассчитывается в грузовых поездах (парах поездов) унифицированной массы и установленной длины (по вместимости приемоотправочных путей станций, расположенных в границах расчетного участка).
На расчетных участках, где фактическое число обращающихся пассажирских и пригородных поездов превышает 70% от общих размеров движения, пропускная способность рассчитывается в пассажирских поездах. При специализации железнодорожной линии, предусмотренной соответствующими отчетными формами ОАО "РЖД" о классификации и специализации железнодорожных линий, как пассажирской, скоростной или высокоскоростной, пропускная способность должна определяться в пассажирских поездах. Расчет пропускной способности малоинтенсивных линий производится в категории поездов, устанавливаемой в рамках отчетных форм ОАО "РЖД" о классификации и специализации железнодорожных линий.
2.1.2. Исходными данными для расчета пропускной способности являются:
количество главных путей на перегоне;
средства сигнализации и связи по движению поездов;
путевое развитие промежуточных раздельных пунктов;
принятый тип графика движения;
времена хода поездов по перегонам;
станционные и межпоездные интервалы;
особые условия организации движения поездов (подталкивание или двойная тяга поездов, обслуживание примыканий на перегоне, порядок следования по сплетениям путей, распределение поездопотоков по главным путям на многопутных линиях, перегонам с однопутными мостами на двухпутных линиях и др.).
2.1.3. Способ организации движения характеризуется типом применяемого графика движения поездов.
2.1.4. Графики движения поездов классифицируются по следующим типам в зависимости от:
числа главных путей:
однопутные;
однопутно-двухпутные (однопутные участки с двухпутными вставками);
двухпутные;
многопутные;
используемых средств сигнализации и связи при движении поездов:
непакетные (на однопутных линиях);
пакетные и частично-пакетные, когда на перегоне может находиться
несколько поездов попутного направления. Применяются на линиях с
автоматической блокировкой;
пачечные, когда на перегоне может находиться один поезд попутного
направления. Применяются только на линиях, не оборудованных
автоблокировкой;
соотношения времен хода поездов по участку и перегонам:
параллельные (время хода по перегону поездов различных категорий
одинаковое);
непараллельные (неодинаковое время хода поездов по перегонам).
2.1.5. Пропускная способность участка по перегонам при параллельном графике движения поездов определяется с округлением полученного результата до ближайшего целого значения в меньшую сторону. При этом на двухпутных линиях расчет ведется исходя из применения только пакетного графика движения поездов, а на однопутных линиях - при применении обоих типов графика в зависимости от средств сигнализации и связи по движению поездов.
2.1.6. Пропускная способность при параллельном графике движения поездов характеризует возможную мощность линии, которая не зависит от сезонности перевозок. На линиях с большой сезонностью по перевозкам коэффициент заполнения пропускной способности в годовом разрезе может определяться как средневзвешенная величина при расчете пропускной способности при непараллельном графике движения поездов (
подразделе 2.9 настоящей Инструкции).
2.1.7. Пропускная способность по перегонам определяется с учетом исключения для движения поездов части суточного бюджета времени в годовом разрезе, необходимого для выполнения работ по текущему содержанию технических средств и плановых видов ремонта устройств -
tтех, а также компенсации потерь, вызванных отказами в работе технических средств (инфраструктуры и подвижного состава), определяемых коэффициентом надежности железнодорожной инфраструктуры и подвижного состава -

.
2.1.8. Под tтех понимается продолжительность суточного бюджета времени, необходимого для выполнения содержания и плановых ремонтных работ устройств инфраструктуры, которая зависит от технологии ведения работ, количества главных путей и типа применяемых машин и механизмов.
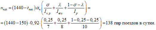
Величина tтех при определении расчетной и планируемой пропускных способностей принимается для однопутных линий равной 75 мин., однопутной линии с двухпутными вставками или двухпутной линии, имеющей отдельные однопутные перегоны - 90 мин. и для двухпутных - 150 мин.
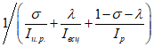
2.1.9. Величина коэффициента надежности железнодорожной инфраструктуры и подвижного состава

определяется в зависимости от вида тяги и средств сигнализации и связи на перегоне. Коэффициент надежности учитывает паспортную надежность технических средств инфраструктуры и вероятные отказы в их работе в процессе эксплуатации. Доля суточного бюджета времени, которая используется для пропуска поездов при наличии отказов в работе постоянных технических устройств (пути, средств сигнализации и связи по движению поездов, устройств энергоснабжения) определяется на основе нормативного коэффициента надежности

, который составляет 0,97. Помимо отказов в работе постоянных технических средств, в процессе эксплуатации возникают отказы в работе подвижного состава.
При определении планируемой и расчетной пропускных способностей суточный бюджет времени, который используется для пропуска поездов, с учетом вероятных отказов в работе технических устройств железнодорожной инфраструктуры и подвижного состава, рассчитывается на основе нормативного коэффициента надежности

, который принимается:
для однопутных электрифицированных железнодорожных линий - 0,93, а для неэлектрифицированных - 0,92;
для двухпутных электрифицированных железнодорожных линий - 0,96, а для не электрифицированных - 0,95;
для однопутных железнодорожных линий, имеющих отдельные двухпутные перегоны или вставки для безостановочного проследования встречных поездов, электрифицированных железнодорожных линий - 0,95, а для не электрифицированных - 0,94.
2.1.10. Условия работы железнодорожных участков в различные календарные периоды могут отличаться от расчетных (в связи с изменениями структуры и размеров поездопотоков, объемов ремонтных и строительных работ, несоблюдения условий содержания устройств и др.). Порядок определения значений

и
tтех для расчетов наличной пропускной способности представлен в
подразделе 6.2 настоящей Инструкции. В условиях автоматизации процессов сбора и обработки данных о проводимых технологических "окнах", участках с просроченным капитальным ремонтом, фактических отказах технических средств и подвижного состава значения

и
tтех для расчетов наличной пропускной способности определяются в соответствии с
приложениями N 8,
9 настоящей Инструкции.
2.1.11. Времена хода по перегонам грузовых поездов унифицированной нормой массы определяются тяговыми расчетами с последующей проверкой опытными поездками. Для расчетов пропускной способности данные о времени хода грузовых поездов принимаются в соответствии с нормативным графиком движения поездов.
Порядок определения станционных и межпоездных интервалов устанавливается Инструкцией по определению станционных и межпоездных интервалов, утвержденной ОАО "РЖД" 9 декабря 2016 г. N 721.
2.2. Расчет пропускной способности однопутных перегонов
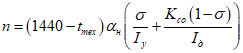
2.2.1. Пропускная способность перегона определяется делением суточного бюджета времени на период графика движения поездов.
2.2.2. Расчет пропускной способности выполняется по каждому перегону, а определение результирующей пропускной способности расчетного участка производится по ограничивающему перегону. Ограничивающий перегон устанавливается следующим образом:
определяется максимальный перегон;
на максимальном перегоне выбирается схема прокладки поездов, обеспечивающая наименьший период графика, а при наличии особых условий пропуска поездов - схема, обеспечивающая их выполнение. Чаще всего встречается четыре варианта схем прокладки
(рисунок 2.1), а именно:
безостановочный пропуск поездов на ограничивающий перегон
(схема 1);
безостановочный пропуск поездов с ограничивающего перегона
(схема 2);
безостановочное проследование раздельных пунктов ограничивающего перегона поездами четного направления
(схема 3);
безостановочное проследование указанных раздельных пунктов поездами нечетного направления
(схема 4).
t'х, t"х - время хода поездов по перегону соответственно в нечетном и четном направлениях без учета их разгонов и замедлений, мин.;
tр, tз - соответственно время разгона и замедления поезда, мин.;

,

- станционные интервалы скрещения и неодновременного прибытия, мин.;
если на участке есть перегоны, близкие по сумме времен хода четных и нечетных поездов к максимальному перегону, но с большими значениями станционных интервалов, то для них также рассчитывается период графика сообразно выбранной схеме прокладки поездов на максимальном перегоне;
ограничивающим будет перегон (из всех рассматриваемых), имеющий наибольший период графика.
На участках, где пропускная способность определяется в парах грузовых поездов, перегоны разграничиваются раздельными пунктами, имеющими приемоотправочные пути вместимостью, обеспечивающей прием грузовых поездов с длиной составов, установленной графиком движения поездов. Если раздельный пункт не имеет приемоотправочных путей соответствующей вместимости, то перегоны, прилегающие к такому раздельному пункту, учитываются при расчете как один перегон в соответствии с порядком, указанным ранее в настоящем пункте.
На участках, где пропускная способность определяется в парах пассажирских (в т.ч. пригородных) поездов, вместимость приемоотправочных путей раздельных пунктов должна обеспечивать прием с остановкой и отправление поездов расчетной категории.
2.2.3. Пропускная способность однопутных участков, не оборудованных автоблокировкой или автоматической локомотивной сигнализацией как самостоятельным средством интервального регулирования движения поездов, а также внутриузловых перегонов без проходных светофоров и "нулевых перегонов" (при расположении входных светофоров соседних станций на одной ординате), расчетный фрагмент графика движения для которых приведен на
рисунке 2.2, определяется в парах поездов по формуле:

(2.2.1)
где Tпер - период графика движения, мин.;
t' +
t" - суммарное время хода пары поездов по ограничивающему перегону с учетом их разгонов и замедлений, предусмотренных схемой пропуска, установленной в соответствии с
пунктом 2.2.2 настоящей Инструкции, мин.;

,

- станционные интервалы по раздельным пунктам соответственно
а и
б, предусмотренные схемой пропуска, установленной в соответствии с
пунктом 2.2.2 настоящей Инструкции, мин.;
tтех - продолжительность суточного бюджета времени, выделяемого для производства работ по содержанию технических устройств и плановых видов ремонта устройств, мин.;

- коэффициент, учитывающий надежность работы технических средств (инфраструктуры и подвижного состава).
2.2.4. На однопутных линиях при наличии на перегоне блок-поста (расчетная схема графика представлена на
рисунке 2.3), пропускная способность определяется при парном графике движения поездов по формуле:

, поездов/сут. (2.2.2)
Здесь

,

;

;
t'п = max {t'1; t'2};
t"п = max {t"1; t"2};
где t', t" - время хода между раздельными пунктами с путевым развитием соответственно четных и нечетных поездов с учетом их разгонов и замедлений;
t'п, t"п - наибольшее время хода поезда между раздельным пунктом с путевым развитием и постом соответственно в четном и нечетном направлении;

,

- интервалы попутного следования поездов соответственно в четном и нечетном направлении.
В
формуле (2.2.4) коэффициент 2 применяется в случае, если путевое развитие раздельных пунктов
"а" и
"б" обеспечивают прием пачек из двух поездов.
2.2.5. На однопутных участках, оборудованных автоблокировкой или автоматической локомотивной сигнализацией как самостоятельным средством интервального регулирования движения поездов, расчет пропускной способности по перегонам ведется при частично-пакетном графике, расчетная схема которого приведена на
рисунке 2.4.
Здесь Iр1 и Iр2 - расчетные интервалы между попутными поездами в пакете соответственно в нечетном и четном направлениях.
При частично-пакетном графике величина пропускной способности существенно зависит от коэффициента пакетности

, представляющего собой отношение числа поездов, пропускаемых в пакетах, к общему числу поездов, а также от количества поездов, пропускаемых в одном пакете, "
К". Оба параметра существенно зависят от количества приемоотправочных путей на каждом промежуточном раздельном пункте. Так, например, реализация графика движения поездов с коэффициентом

возможна только при наличии на каждом раздельном пункте не менее четырех путей.
Максимальная величина коэффициента пакетности зависит от путевого развития промежуточных раздельных пунктов. При расчете пропускной способности в условиях текущей эксплуатации величина

принимается в соответствии с данными, приведенными в
таблице 2.1.
N п/п | Число приемоотправочных путей (включая главный) на раздельных пунктах, ограничивающих перегон | Величина  |
1. | На обоих раздельных пунктах по четыре пути | 1 |
2. | На одном три, на другом четыре | 0,7 |
3. | На обоих раздельных пунктах по три пути | 0,6 |
4. | На одном три, а на втором два | 0,5 |
5. | На обоих по два пути в случае, если соседние станции имеют большее количество путей | 0,4 |
Пропускная способность однопутных перегонов при частично-пакетном графике подсчитывается по формуле:

, пар поездов/сут. (2.2.3)
здесь

- период непакетного графика, мин.;
tx' +
tx" - суммарное время хода пары поездов по ограничивающему перегону с учетом их разгонов и замедлений, предусмотренных схемой пропуска, соответствии с
пунктом 2.2.3 настоящей Инструкции, мин.;

,

- станционные интервалы по раздельным пунктам соответственно
а и
б, предусмотренные схемой пропуска, установленной в соответствии с
пунктом 2.2.3 настоящей Инструкции, мин.
Как правило, в рамках ежегодной паспортизации железнодорожных линий при определении пропускной способности расчет производится при двух поездах в пакете, при

. В этом случае пропускная способность однопутного перегона определяется по формуле:

, пар поездов/сут. (2.2.4)
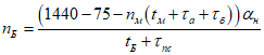
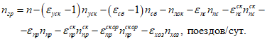
2.2.6. На участках, имеющих устойчивую непарность размеров движения, при которой число грузовых поездов в одном направлении составляет менее 75% числа поездов в другом, пропускная способность определяется по
формулам (2.2.5) -
(2.2.7). Пропускная способность в направлении с меньшими размерами движения:

, поездов/сут. (2.2.5)
где

- суммарные размеры движения по участку в направлении с меньшими размерами движения.
Для обратного направления с

размерами движения:
для участков, не оборудованных автоблокировкой или автоматической локомотивной сигнализацией как самостоятельным средством интервального регулирования движения поездов,
(рисунок 2.5, "а"):

(2.2.6)
для участков, оборудованных автоблокировкой или автоматической локомотивной сигнализацией как самостоятельным средством интервального регулирования движения поездов
(рисунок 2.5, "б"):

(2.2.7)
где nпс, nгр - количество соответственно пассажирских, включая пригородные, и грузовых, включая сборные, поездов, пропускаемых в направлении с меньшими размерами движения;
tпс, tгр - время следования по перегону соответственно пассажирского и грузового поезда, мин.;
kпс, kгр - количество поездов в пакете, соответственно в пассажирском и грузовом движении;
tм - время хода в направлении с меньшими размерами движения, мин.;
tБ - время хода в направлении с большими размерами движения, мин.;

,

- станционные интервалы по раздельным пунктам
"а" и
"б", мин.;

- станционный интервал попутного следования поездов, мин.;
I'р - межпоездной интервал в направлении с меньшими размерами движения, мин.;
I"
р - межпоездной интервал в направлении с

размерами движения, мин.
2.2.7. На однопутных линиях, как при пачечном, так и частично-пакетном графике может применяться, как постоянная мера, организация движения длинносоставных или соединенных поездов. Пропускная способность перегонов при обращении длинносоставных (соединенных) поездов, как система эксплуатации, определяется только при наличии длин путей, как на промежуточных раздельных пунктах, так и станциях, ограничивающих расчетный участок. При этом пропускная способность в парах поездов унифицированной нормой массы и установленной длины определяется по формуле:

(2.2.8)
где Ку, Кд - количество поездов в пакете установленной длины и длинносоставных (соединенных);

- доля грузовых поездов установленной длины составов в общем поездопотоке;
kсост - отношение условной длины длинносоставного (соединенного) поезда к установленной условной длине состава;
Tу, Tд - период графика для поездов установленной длины и длинносоставных (соединенных) поездов;
Iу, Iд - межпоездные интервалы между поездами установленной длины и длинносоставными (соединенными) поездами;

- коэффициент пакетности в соответствии с
пунктом 2.2.6 настоящей Инструкции.
В расчетах необходимо учитывать достаточность путевого развития станций, ограничивающих расчетный участок, по приему, отправлению, формированию и расформированию длинносоставных (соединенных) поездов. Определение величин Tд, Iу, Iд производится на основе путевого развития раздельных пунктов в соответствии с Инструкцией по определению станционных и межпоездных интервалов, утвержденной ОАО "РЖД" 9 декабря 2016 г. N 721.
2.2.8. Пропускная способность однопутных перегонов при наличии на них путевых постов без путевого развития с ответвлениями к железнодорожным путям необщего пользования (схема приведена на
рисунке 2.6) определяется по формуле:

, пар поездов/сут. (2.2.9)
где Tпр - суммарное время занятости перегона в течение суток операциями по обслуживанию примыкания, подачей и уборкой вагонов, мин.;
T - время занятости перегона, отнесенное соответственно на пару или один поезд, следующий по всему перегону, мин.
Время занятости перегона в течение суток операциями по подаче и уборке составов определяется из выражения:
Tпр = Cп(t'пр + t"пр), мин.
Здесь

- время занятости перегона подачей, равное сумме времени хода от станции до примыкания и интервала попутного следования, мин.

- то же при выводе составов с примыкания, мин.
Cп - необходимое количество поездов на примыкание в сутки.
Время занятия перегона, отнесенное на пару поездов, следующих по всему перегону:

, мин.
В тех случаях, когда время хода поезда от станции до поста с учетом интервала попутного следования меньше, чем время хода поезда от поста до следующей станции, расчет пропускной способности перегона производится без учета примыкания, так как имеется возможность осуществить заезд на ответвление в период нахождения поездов обоих направлений между постом и следующей станцией.
В случае, если на месте поста (см.
рисунок 2.6) расположен раздельный пункт, вместимость приемоотправочных путей которого не обеспечивает прием грузовых поездов с длиной составов, установленной графиком движения поездов, пропускная способность однопутных перегонов также рассчитывается в соответствии с пунктом 2.2.8 настоящей Инструкции.
2.2.9. Пропускная способность однопутного перегона, на котором имеется разветвление линий
(рисунок 2.7, схема 1), рассчитывается для участка между станцией и постом, по которому следуют поезда всех направлений, по правилам однопутного перегона с соответствующими средствами сигнализации и связи по движению поездов. При этом по посту принимается безостановочное скрещение поездов, и в расчет периода графика включается интервал безостановочного скрещения

. При наличии двух постов
(рисунок 2.7, схема 2) расчет пропускной способности ведется по участку между постами при условии безостановочного проследования поездов по постам. Полученное по расчету количество пар поездов распределяется между направлениями в зависимости от потребности в перевозках.
Рисунок 2.7
2.3. Расчет пропускной способности однопутных перегонов с двухпутными вставками
2.3.1. Пропускная способность перегонов на однопутных участках, имеющих двухпутные вставки или раздельные пункты продольного типа, позволяющие производить безостановочные скрещения поездов, определяется следующим образом.
Для каждого раздельного пункта предварительно устанавливается положение расчетных осей (р.о.) и оси безостановочного скрещения (о.б.с.) поездов
(рисунок 2.8).
Расчетная ось определяется положением середины поезда, прибывшего с перегона на раздельный пункт, непосредственно после освобождения им стрелочной горловины. Ось безостановочного скрещения располагается, как правило, посередине раздельного пункта продольного типа (двухпутной вставки) на равном удалении по времени хода пары поездов от его расчетных осей.
При организации безостановочного скрещения на одном из раздельных пунктов, ограничивающих перегон
(рисунок 2.8, "а"), при парном непакетном графике пропускная способность в парах поездов рассчитывается по формуле:

, пар поездов/сут. (2.3.1)
где t'одн, t"одн - времена хода нечетного и четного поездов по однопутной части перегона, мин.;

- интервал безостановочного скрещения поездов по расчетной оси, равный полусумме времени хода нечетного и четного поездов по раздельному пункту, мин.;

- станционный интервал по раздельному пункту
"б".
Если положение оси безостановочного скрещения можно изменять, его выбирают так, чтобы обеспечить наибольшую пропускную способность на всем участке. Например, если перегон
"а-
б" на участке является ограничивающим (см.
рисунок 2.8, "а"), ось безостановочного скрещения смещают в направлении к станции
"б".
При организации безостановочного скрещения на обоих раздельных пунктах или двухпутных вставках, ограничивающих перегон
(рисунок 2.8, "б"), при парном графике пропускная способность в парах поездов рассчитывается по формуле:

, пар поездов/сут. (2.3.2)
где

- сумма времени хода нечетного и четного поездов между осями безостановочного скрещения, равная сумме времен хода этих поездов по перегону и интервалов безостановочного скрещения по расчетным осям I и II, мин.
Во временах хода
t'одн,
t"одн при организации безостановочных скрещений на раздельных пунктах должны быть учтены потери времени из-за снижения скоростей поездов, если оно установлено при организации безостановочного скрещения. Если период графика при организации безостановочного скрещения больше периода графика без безостановочного скрещения (выполняется неравенство
Tбо >
T) и раздельные пункты, ограничивающие перегон, имеют приемоотправочные пути для скрещения поездов, пропускная способность рассчитывается в соответствии с
подразделом 2.2 настоящей Инструкции.
При организации безостановочных скрещений на всем участке или его части оси безостановочного скрещения поездов по возможности размещаются на раздельных пунктах таким образом, чтобы обеспечивалась идентичность перегонов между ними.
2.3.2. При наличии на однопутном участке отдельных двухпутных перегонов
(рисунок 2.9), что позволяет осуществлять безостановочное скрещение поездов, пропускная способность подсчитывается по
формуле (2.3.2), в знаменатель которой подставляется больший из периодов:
где
t'а;
t"а;

- время хода соответственно нечетного и четного поезда между станцией
"а" и двухпутной вставкой и интервал безостановочного скрещения по расчетной оси I, мин.;
t'б;
t"б;

- то же между станцией
"б" и двухпутной вставкой, ограниченной расчетной осью II, мин.
2.3.3. Если на участке нескольких двухпутных перегонов, то пропускная способность однопутного перегона, непосредственно примыкающего к двухпутному, рассчитывается из условия обеспечения безостановочного скрещения поездов.
2.3.4. При достаточной протяженности двухпутных вставок на участке может быть организовано скрещение пакета поездов с поездом одиночного следования
(рисунок 2.10, "а") или скрещение пакетов из двух поездов
(рисунок 2.10, "б").
Возможность безостановочного скрещения пакета поездов с поездом одиночного следования на двухпутной вставке "а" и скрещения пакетов из двух поездов "б" определяется неравенствами:
а)  | б)  |
где t'в, t"в - время хода поездов нечетного и четного направлений по вставке, мин.;

,

- минимальные интервалы безостановочного скрещения поездов по расчетным осям
I и
II, мин.;
I'р, I"р - расчетные межпоездные интервалы в пакете, мин.
При возможности осуществления безостановочного скрещения поездов при пакетной прокладке на двухпутных вставках пропускная способность подсчитывается в зависимости от числа пар поездов в периоде и доле поездов, пропускаемых пакетом:
для скрещения пакета поездов с поездом одиночного следования:

(2.3.3)
для скрещения пакетов из двух поездов:

(2.3.4)
где T - максимальный период графика при безостановочном скрещении, который соответствует большему из периодов
2.4. Расчет пропускной способности двухпутных перегонов
2.4.1. Пропускная способность двухпутного перегона определяется отдельно по каждому пути при одностороннем и безостановочном проследовании поездов по промежуточным раздельным пунктам:
при автоматической блокировке и автоматической локомотивной сигнализации как самостоятельном средстве интервального регулирования движения поездов, в том числе с изменяемыми в зависимости от скорости и массы поезда "подвижными" границами блок-участков:

, (2.4.1)
при неполном оснащении тягового подвижного состава автоматической локомотивной сигнализацией, как самостоятельным средством интервального регулирования движения поездов, с изменяемыми в зависимости от скорости и массы поезда "подвижными" границами блок-участков:

(2.4.2)
при полуавтоматической блокировке, а также внутриузловых перегонов без проходных светофоров и "нулевых перегонов":

, (2.4.3)
где Iр - расчетный межпоездной интервал, определяемый в соответствии с Инструкцией по определению станционных и межпоездных интервалов, утвержденной ОАО "РЖД" 9 декабря 2016 г. N 721, при интервальном регулировании движения поездов с фиксированными границами блок-участков;
Iвсц - межпоездной интервал между поездами в режиме движения по технологии "Виртуальная сцепка", мин.;
Iи.р. - расчетный межпоездной интервал между поездами попутного направления при интервальном регулировании движения поездов с изменяемыми в зависимости от скорости и массы поезда "подвижными" границами блок-участков;

- доля интервалов между грузовыми поездами в общем поездопотоке, следующими с локомотивами, оборудованными автоматической локомотивной сигнализацией, как самостоятельным средством интервального регулирования движения поездов, с изменяемыми в зависимости от скорости и массы поезда "подвижными" границами блок-участков;

- доля интервалов между грузовыми поездами в общем поездопотоке, следующими в режиме движения по технологии "Виртуальная сцепка";
tгр - время хода грузового поезда по ограничивающему перегону, мин.;

- станционный интервал попутного следования поездов, мин.
2.4.2. При наличии на двухпутных линиях однопутных мостов или сплетения путей, требующих установления зависимости между поездами обоих направлений
(рисунок 2.11), пропускная способность рассчитывается исходя из условий безостановочного проследования четных и нечетных поездов по отрезку пути, используемому для двухстороннего движения.
Пропускная способность в этом случае подсчитывается по формуле:

(2.4.4)
Здесь

, мин.;
где t'х и t"х - время хода соответственно нечетных и четных поездов по однопутному отрезку пути, мин.;

и

- интервалы безостановочных скрещений по первому и второму постам, мин.
2.4.3. На двухпутных линиях, на которых в отдельные часы суток предусматривается пропуск поездов в обратном направлении, т.е. используется принцип однопутной линии
(рисунок 2.12), расчет пропускной способности производится следующим образом:
для пути, который используется для двустороннего движения:

, поездов/сут. (2.4.5)
где Tд - время суток, в пределах которого осуществляется пропуск поездов обратного направления, мин.,

(2.4.6)
где nпс, nгр - количество соответственно пассажирских, включая пригородные, и грузовых, включая сборные, поездов, пропускаемых в обратном направлении;
tпс, tгр - время следования по ограничивающему перегону соответственно пассажирского и грузового поезда, мин.;

,

- сумма станционных интервалов по раздельным пунктам, примыкающим к ограничивающему перегону, соответственно для пассажирского и грузового поезда, мин.;
kпс, kгр - количество поездов в пакете, соответственно в пассажирском и грузовом движении.
для пути, который используется только для одностороннего пропуска поездов:

, поездов/сут. (2.4.7)
2.4.4. Пропускная способность двухпутных перегонов при обращении длинносоставных (соединенных) поездов по формуле:

(2.4.8)
где

- доля грузовых поездов установленной длины составов в общем поездопотоке;
Kсо - отношение условной длины длинносоставного (соединенного) поезда к установленной условной длине состава;
Iу, Iд - межпоездные интервалы между поездами установленной длины и длинносоставными (соединенными) поездами.
Определение величин Iу, Iд производится на основе путевого развития раздельных пунктов в соответствии с Инструкцией по определению станционных и межпоездных интервалов, утвержденной ОАО "РЖД" 9 декабря 2016 г. N 721.
2.5. Расчет пропускной способности перегонов, на которых применяется подталкивание или двойная (кратная) тяга
2.5.1. Пропускная способность перегонов, на которых применяется подталкивание или кратная тяга, определяется в зависимости от системы эксплуатации подталкивающих локомотивов. Целесообразность применения подталкивания или кратной тяги должна быть обоснована специальными технико-экономическими расчетами. Перечень участков с указанием норм массы поездов, к которым применяется подталкивание или двойная тяга, утверждается приказом Дирекции тяги - филиала ОАО "РЖД". Подталкивание или двойная тяга могут применяться к унифицированным, параллельным и критическим нормам массы грузовых поездов. Подталкивание или двойная тяга оказывают влияние на величину пропускной способности тогда, когда применяются к унифицированной норме массы грузовых поездов (той норме массы, в которой производится расчет пропускной способности), в остальных случаях - на уровень заполнения участка.
2.5.2. Формула расчета пропускной способности на участках, где применяется подталкивание или двойная тяга грузовых поездов, определяется исходя из технологии работы подталкивающего локомотива, которая зависит от следующих условий:
путевое развитие участка работы подталкивающего локомотива:
однопутный;
двухпутный;
средства связи для обеспечения пакетной прокладки поездов:
полуавтоматическая блокировка (не обеспечивает прокладку поездов
пакетами);
автоматическая блокировка или автоматическая локомотивная
сигнализация как самостоятельное средство интервального регулирования
движения поездов, в том числе с изменяемыми в зависимости от скорости
и массы поезда "подвижными" границами блок-участков (обеспечивает
прокладку поездов пакетами);
протяженность участка подталкивания:
от станции до пикета (по части перегона). Для данного варианта
подталкивания характерны одно направление подталкивания; возврат
подталкивающего локомотива одиночно по тому же пути и всегда является
частью периода графика движения поездов;
от станции до станции (по перегону или нескольким перегонам). У
данного варианта подталкивания возможны дополнительные условия в
зависимости от направлений в котором применяется подталкивание и
двойная тяга:
в одном направлении. В данном случае необходимо учитывать способ
возврата подталкивающего локомотива на станцию прицепки:
возврат является частью периода графика движения поездов, то есть
возврат подталкивающего локомотива производится после каждого
применения подталкивания или кратной тяги;
возврат не является частью периода графика движения поездов. и
осуществляется "сплотками" - сцепленными между собой одиночными
локомотивами, накопленными на станции после нескольких циклов
применения подталкивания или двойной тяги;
в обоих направлениях. В данном случае возврат подталкивающего
локомотива на станцию прицепки осуществляется в составе встречного
поезда.
2.5.3. На однопутных перегонах, оборудованных устройствами полуавтоматической блокировки, на которых подталкивание или двойная тяга применяются в одном направлении
(рисунок 2.13), пропускная способность определяется по
формуле (2.2.1) с подстановкой в знаменатель
формулы следующего значения T
пер:

, мин. (2.5.1)
где t', t" - время хода поездов по перегону соответственно в нечетном и четном направлениях с учетом их разгонов и замедлений, мин.;

,

- станционные интервалы по станциям "А" и "Б", мин.;

- интервал попутного следования;
tлок - время возврата подталкивающего локомотива на станцию прицепки, мин.;

- время сверх станционного интервала, необходимое для завершения операции по прицепке подталкивающего локомотива к поезду, мин.
Значение

по станции "Б" рассчитывается по формуле:

, мин. (2.5.2)
где

- время на прицепку подталкивающего локомотива по станции "Б", мин.
Если парк подталкивающих локомотивов, обслуживающих участок подталкивания "А" - "Б", обеспечивает их заблаговременную прицепку и готовность поезда к отправлению, то в
формуле (2.5.1) 
.
Если возврат подталкивающего локомотива не является частью периода графика, пропускная способность определяется по
формуле (2.2.1). При этом возврат подталкивающих локомотивов (включая случаи их возврата сплотками) необходимо учитывать при определении пропускной способности при непараллельном графике движения поездов (
nлок) (см.
подраздел 2.9 настоящей Инструкции).
2.5.4. Пропускная способность однопутных перегонов, оборудованных устройствами полуавтоматической блокировки, на которых подталкивание или двойная тяга применяется в обоих направлениях
(рисунок 2.14), определяется по
формуле (2.2.1) с подстановкой в знаменатель
формулы следующего значения
Tпер:

, мин. (2.5.3)
где

,

- время сверх станционного интервала, необходимое для операции по перецепке подталкивающего локомотива от прибывшего поезда к поезду встречного направления, мин.
Если парк подталкивающих локомотивов, обслуживающих участок подталкивания "А" - "Б", обеспечивает их заблаговременную прицепку и готовность поезда к отправлению, то в
формуле (2.5.3) 
.
2.5.5. Пропускная способность однопутных перегонов, вне зависимости от средств сигнализации и связи, на которых подталкивание или двойная тяга применяется на части перегона
(рисунок 2.15), определяется по
формуле (2.2.1) с подстановкой в знаменатель
формулы следующего значения "
Tпер":
Если время хода поезда по перегону больше времени, необходимого на возврат вспомогательного локомотива на станцию прицепки (t' > tт):

, мин. (2.5.4)
Если время хода поезда по перегону меньше времени, необходимого на возврат вспомогательного локомотива на станцию прицепки (t' < tт):

, мин. (2.5.5)
где tт - время возврата подталкивающего локомотива на станцию прицепки, мин.;

- станционный интервал с учетом времени, необходимого для выдачи ключа-жезла машинисту подталкивающего локомотива.
2.5.6. Пропускная способность однопутных перегонов, оборудованных устройствами автоматической блокировки или автоматической локомотивной сигнализации как самостоятельным средством интервального регулирования движения поездов, в том числе с изменяемыми в зависимости от скорости и массы поезда "подвижными" границами блок-участков, на которых подталкивание или двойная тяга применяются на весь перегон, рассчитывается исходя из применения частично-пакетного графика движения поездов.
Для участков, где подталкивание или двойная тяга применяются в одном направлении
(рисунок 2.16), пропускная способность определяется по
формуле (2.2.3) с учетом в периоде графика времени на возврат подталкивающего локомотива:

, мин. (2.5.6)
Если возврат подталкивающего локомотива не является частью периода графика, пропускная способность участка определяется по
формуле (2.2.3). При этом возврат подталкивающих локомотивов (включая случаи их возврата сплотками) необходимо учитывать при определении пропускной способности при непараллельном графике движения поездов (
nлок) (см.
подраздел 2.9 настоящей Инструкции).
Для участков, где подталкивание или двойная тяга применяются в обоих направлениях
(рисунок 2.17), пропускная способность определяется по
формуле (2.2.3) с добавлением в период графика времени на прицепку подталкивающего локомотива к поезду встречного направления:

(2.5.7)
где

,

- время, необходимое для перецепки подталкивающего локомотива от прибывшего поезда к поезду встречного направления, мин.
При работе на участке толкания двух подталкивающих локомотивов одно из значений

или

принимается равным станционному интервалу в зависимости от схемы работы; при работе более двух подталкивающих локомотивов - оба значения

и

принимаются равными станционным интервалам.
2.5.7. Пропускная способность двухпутных перегонов, оборудованных устройствами автоматической блокировки или автоматической локомотивной сигнализации как самостоятельным средством интервального регулирования движения поездов, на которых подталкивание или двойная тяга применяется на части перегона, определяется по
формуле (2.4.1) с подстановкой в знаменатель
формулы значений "
Iр" для каждого направления:
межпоездной интервал в направлении подталкивания
(рисунок 2.18) будет увеличен в связи с необходимостью возврата подталкивающего локомотива на станцию прицепки по тому же пути:
I' = tв + tприц, мин. (2.5.8)
где tприц - время, необходимое для прицепки подталкивающего локомотива и подготовки к отправлению по раздельному пункту "Б" (включая выдачу ключа-жезла машинисту подталкивающего локомотива);
tв - время работы подталкивающего локомотива на перегоне "А" - "Б" с учетом возврата на станцию прицепки.
Межпоездной интервал для поездов направления, встречного подталкиванию
(рисунок 2.18) равен расчетному межпоездному интервалу.
2.5.8. Пропускная способность двухпутных перегонов, оборудованных устройствами автоматической блокировки, на которых подталкивание или двойная тяга применяются на весь перегон, рассчитывается для каждого направления в отдельности.
Для участков, где подталкивание или двойная тяга применяются в одном направлении
(рисунок 2.19), пропускная способность определяется по
формуле (2.4.1) с подстановкой в знаменатель
формулы значений "
Iр" для каждого направления:
межпоездной интервал в направлении подталкивания (
I'
р) будет равен расчетному межпоездному интервалу (
I'
р =
Iр), при условии, что на станции прицепки имеется достаточное количество подталкивающих локомотивов и приемоотправочных путей
(рисунок 2.19, "а");
межпоездной интервал для поездов направления, встречного подталкиванию (
I"
р), будет увеличен в связи с необходимостью возврата подталкивающих локомотивов на станцию прицепки между поездами
(рисунок 2.19, "б"):
I"р = 2I", мин. (2.5.9)
Если возврат подталкивающих локомотивов осуществляется "сплотками", пропускная способность участка определяется по
формуле (2.4.1). При этом возврат подталкивающих локомотивов необходимо учитывать при определении пропускной способности при непараллельном графике движения поездов (
nлок) (см.
подраздел 2.9 настоящей Инструкции).
При условии применения автоматической локомотивной сигнализации как самостоятельного средства интервального регулирования движения поездов с изменяемыми в зависимости от скорости и массы поезда "подвижными" границами блок-участков или технологии "Виртуальная сцепка" для возврата подталкивающих локомотивов на станцию прицепки межпоездной интервал для поездов направления, встречного подталкиванию, составляет:
I"р = I" + IИР (2.5.10)
где IИР - межпоездной интервал между поездом и вслед идущим одиночным локомотивом, возвращаемым в пункт толкания.
2.5.9. Для двухпутных участков, где подталкивание или двойная тяга применяются в обоих направлениях, пропускная способность определяется по
формуле (2.4.1). Межпоездной интервал в обоих направлениях соответствует расчетному, при условии, что на станциях прицепки имеется достаточное количество подталкивающих локомотивов и приемоотправочных путей для его обеспечения.
2.5.10. Станционные интервалы прибытия и встречного отправления, отправления и встречного прибытия по обоим раздельным пунктам, как величины, входящие составной частью в период графика движения, должны подсчитываться исходя из местных условий. Учет занятия приемоотправочных путей и занятия стрелочных горловин маневровыми передвижениями подталкивающих локомотивов необходимо проводить при расчетах пропускной способности станций, ограничивающих участки подталкивания или двойной тяги (
раздел 3 настоящей Инструкции).
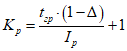
2.6. Расчет пропускной способности в условиях ремонтно-строительных работ железнодорожной инфраструктуры с закрытием главных путей перегонов
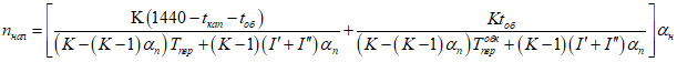
2.6.1. В условиях предоставления технологических "окон" большой продолжительности для проведения работ по капитальному ремонту пути и искусственных сооружений и полном перерыве движения поездов в период технологического "окна" пропускная способность перегонов определяется в зависимости от следующих условий:
при отсутствии ограничений скорости движения поездов после окончания технологического "окна";
при наличии ограничений скоростей движения поездов после окончания технологического "окна".
2.6.2. Для однопутных перегонов, не оборудованных автоблокировкой или автоматической локомотивной сигнализацией как самостоятельным средством интервального регулирования движения поездов, пропускная способность при проведении ремонтно-строительных работ определяется:
при отсутствии ограничений скорости движения поездов после окончания технологического "окна":

(2.6.1)
пропускная способность при наличии ограничений скоростей движения поездов после окончания технологического "окна":

(2.6.2)

- период графика с учетом ограничений скорости для проследования пары поездов (в соответствии с
формулой (2.2.1) с учетом дополнительного времени, приходящегося на ограничение скорости, определяемого проведением тягового расчета);
tкап - продолжительность технологического "окна", выделяемого для ремонта пути, мин.;
tоб - время обкатки пути после завершения технологического "окна".
2.6.3. Для однопутных перегонов, оборудованных устройствами автоматической блокировки или автоматической локомотивной сигнализации как самостоятельным средством интервального регулирования движения поездов, пропускная способность при проведении ремонтно-строительных работ определяется:
пропускная способность при отсутствии ограничений скорости движения поездов после окончания технологического "окна":

(2.6.3)
пропускная способность при наличии ограничений скоростей движения поездов после окончания технологического "окна":

(2.6.4)
где K - число поездов в пакете.
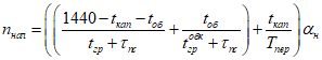
2.6.4. Пропускная способность двухпутных перегонов определяется исходя из порядка проведения капитального ремонта:
при полном перерыве в движении в период технологического "окна";
при закрытии одного из главных путей двухпутного перегона.
2.6.5. Для двухпутных перегонов, не оборудованных устройствами автоматической блокировки или автоматической локомотивной сигнализации как самостоятельным средством интервального регулирования движения поездов, пропускная способность при проведении ремонтно-строительных работ определяется:
при полном перерыве в движении по обоим путям и отсутствии ограничений скорости движения поездов после окончания технологического "окна":

(2.6.5)
при полном перерыве в движении по обоим путям и при наличии ограничений скоростей движения поездов после окончания технологического "окна":

(2.6.6)
при закрытии одного из путей двухпутного перегона и отсутствии ограничений скорости движения поездов после окончания технологического "окна":

(2.6.7)
при закрытии одного из путей двухпутного перегона и при наличии ограничений скоростей движения поездов после окончания технологического "окна":

(2.6.8)
где Tпер - период графика, определенный с учетом безостановочных скрещений на двухпутных участках и ограничений скорости, вызванных ремонтно-путевыми работами по соседнему пути, мин.;
tоб - время обкатки пути после завершения технологического "окна";

- время хода грузового поезда по перегону с учетом ограничений скорости;

- станционный интервал попутного следования поездов, мин.
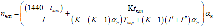
2.6.6. Для двухпутных перегонов, оборудованных устройствами автоматической блокировки или автоматической локомотивной сигнализации как самостоятельным средством интервального регулирования движения поездов, пропускная способность при проведении ремонтно-строительных работ определяется:
при полном перерыве в движении по обоим путям и отсутствии ограничений скорости движения поездов после окончания технологического "окна":

(2.6.9)
при полном перерыве в движении по обоим путям и при наличии ограничений скоростей движения поездов после окончания технологического "окна":

(2.6.10)
при закрытии одного из путей двухпутного перегона и отсутствии ограничений скорости движения поездов после окончания технологического "окна":

(2.6.11)
при закрытии одного из путей двухпутного перегона и при наличии ограничений скоростей движения поездов после окончания технологического "окна":

(2.6.12)
где K - число поездов в пакете;
Tпер - период графика, определенный с учетом безостановочных скрещений на двухпутных участках и ограничений скорости, вызванных ремонтно-путевыми работами по соседнему пути, мин.;
tоб - время обкатки пути после завершения технологического "окна";
Iоб - межпоездной интервал, определенный с учетом ограничения скорости в соответствии с Инструкцией по определению станционных и межпоездных интервалов, утвержденной ОАО "РЖД" 9 декабря 2016 г. N 721.
2.6.7. При закрытии одного из путей двухпутного перегона при достаточном числе путей на станциях участка должен быть организован попеременный пропуск пакетов из нескольких поездов в каждом направлении. Порядок расчета пропускной способности при попеременном пропуске пакетов из нескольких поездов в каждом направлении представлен в
пункте 2.7.4 настоящей Инструкции.
2.6.8. При применении во время ремонтно-строительных работ автоматической локомотивной сигнализации, как самостоятельного средства интервального регулирования движения поездов, с изменяемыми в зависимости от скорости и массы поезда "подвижными" границами блок-участков, в
формулах (2.6.3),
(2.6.4),
(2.6.9) -
(2.6.12) вместо "
I" подставляется:

,
где Iр - расчетный межпоездной интервал, определяемый в соответствии с Инструкцией по определению станционных и межпоездных интервалов, утвержденной ОАО "РЖД" 9 декабря 2016 г. N 721, мин.;
Iвсц - межпоездной интервал между поездами в режиме движения по технологии "Виртуальная сцепка", мин.;
Iи.р. - расчетный межпоездной интервал между поездами попутного направления при интервальном регулировании движения поездов с изменяемыми в зависимости от скорости и массы поезда "подвижными" границами блок-участков, мин.;

- доля интервалов между грузовыми поездами в общем поездопотоке, следующими с локомотивами, оборудованными автоматической локомотивной сигнализацией, как самостоятельным средством интервального регулирования движения поездов, с изменяемыми в зависимости от скорости и массы поезда "подвижными" границами блок-участков;

- доля интервалов между грузовыми поездами в общем поездопотоке, следующими в режиме движения по технологии "Виртуальная сцепка".
2.6.9. Учет съема хозяйственных поездов, следующих к месту проведения путевых работ, проводится при определении пропускной способности при непараллельном графике движения поездов (см.
пункт 2.9.14 настоящей Инструкции).
2.7. Пропускная способность многопутных линий
2.7.1. Пропускная способность многопутных линий определяется в зависимости от принятой системы организации движения поездов по главным путям.
2.7.2. Существует несколько вариантов системы эксплуатации трехпутных линий, различающихся характером использования третьего главного пути. При одностороннем движении поездов по третьему пути, когда два пути используются для пропуска поездов одного направления, а по третьему следуют поезда обратного направления
(рисунок 2.20, "а"), пропускная способность рассчитывается отдельно для каждого главного пути в грузовых поездах по формулам, приведенным в
подразделе 2.4 настоящей Инструкции. В этом случае итоговая пропускная способность направления с двумя главными путями определяется как сумма пропускных способностей каждого из главных путей.

2.7.3. При использовании третьего пути для двустороннего пропуска поездов
(рисунок 2.20, "б") его пропускная способность определяется по формулам
подраздела 2.2 настоящей Инструкции в зависимости от принятого типа графика (непакетный, частично-пакетный, пакетный) и соотношения размеров движения в четном и нечетном направлениях. В этом случае итоговая пропускная способность каждого из направлений рассчитывается как сумма пропускной способности главного пути, специализированного для рассматриваемого направления, и пропускной способности третьего пути в данном направлении. При расчетах пропускной способности третьего пути в значениях станционных интервалов необходимо учитывать враждебность маршрутов по приему и отправлению поездов при съезде или заезде на третий главный путь.
2.7.4. При достаточном числе путей на технических станциях по третьему пути может быть организован попеременный пропуск пакетов из нескольких поездов в каждом направлении.
Работы по текущему содержанию инфраструктуры на перегонах при такой организации движения выполняются во время перерывов в движении, возникающих в момент смены направления следования четного и нечетного пакетов поездов. Продолжительность технологического "окна" при этом равна 0.
Период графика при организации на третьем главном пути попеременного пропуска пакетов из нескольких поездов в каждом направлении по сигналам автоблокировки
(рисунок 2.21):

, (2.7.1)
где T"д, T'д - время, в течение которого отправляются поезда соответственно четного и нечетного направлений, мин.;
T"х, T'х, - время хода поезда по участку в четном и нечетном направлении, мин.;

,

- станционные интервалы, мин.
Пропускная способность третьего пути в каждом направлении подсчитывается из выражения:

, пар поездов (2.7.2)
где Iр - расчетный интервал между поездами в пакете.
2.7.5. Специализация путей четырехпутной линии предусматривает движение по двум парам двухпутных линий
(рисунок 2.22). Пропускная способность четырехпутного участка равна сумме пропускных способностей двухпутных участков.
2.8. Расчет пропускной способности участков с интенсивным пригородным движением
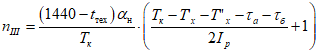
2.8.1. Пропускная способность участков с интенсивным пригородным движением рассчитывается в зависимости от принятой системы организации движения пригородных поездов. К интенсивному пригородному движению относится движение, при котором в час по расчетному участку проследует в одном направлении не менее четырех пригородных поездов. Характерным для пригородного движения является зонное обращение пригородных поездов. Пропускная способность определяется по каждому главному пути.
2.8.2. Для оценки возможности пропуска грузовых поездов линией данного типа в период неинтенсивного пригородного движения суточный бюджет времени делится на две части, а именно: период интенсивного пригородного движения (
Tинт) и остальное время суток. В период интенсивного пригородного движения определяется максимальное количество пригородных поездов, которое может быть пропущено при параллельном графике движения поездов (в час и за период
Tинт). Расчет пропускной способности участка в остальное время суток описывается в
пункте 2.8.8 настоящей Инструкции.
2.8.3. В часы интенсивного движения пригородных поездов пропускная способность определяется при параллельном графике
(рисунок 2.23, "а") по формуле:

, поездов/ч (2.8.1)
где Iтт - расчетный интервал между пригородными поездами - тихоход за тихоходом (имеющими остановки у всех платформ), мин.;

- коэффициент надежности инфраструктуры и подвижного состава, определяемый согласно
пунктов 2.1.9 и
2.1.10 настоящей Инструкции.
Интервал
Iтт должен проверяться тяговыми расчетами с реальной длительностью стоянок на остановочных пунктах. Результирующая пропускная способность пригородного участка принимается с учетом пропускной способности станций оборота пригородных поездов (см.
раздел 3 настоящей Инструкции).
Суммарная пропускная способность за период интенсивного пригородного движения (
Tинт) определяется умножением значения

на количество часов интенсивного движения пригородных поездов за сутки.
2.8.4. Если в час утреннего или вечернего максимума пригородного движения по тем же путям прокладываются ускоренные пригородные, дальние пассажирские и скоростные пассажирские поезда (см.
рисунок 2.23 "б",
"в"), где

- станционный интервал прибытия, то наибольшее число пригородных поездов за этот час составит:

, поездов/ч (2.8.2)
где

- коэффициент съема пригородных поездов поездами
i-той категории (ускоренными пригородными, дальними пассажирскими и скоростными пассажирскими);
ni - число поездов i-той категории (ускоренных пригородных, дальних пассажирских и скоростных пассажирских), пропускаемых по рассчитываемой технической зоне пригородного участка за час.
При скорости следования дальних пассажирских (ускоренных пригородных, скоростных пассажирских) поездов выше, чем пригородных (см.
рисунок 2.23, "б"), коэффициент съема определяется из выражения:

(2.8.3)
где
t'х,

- время хода по рассматриваемой зоне соответственно пригородных поездов-тихоходов и дальних пассажирских (ускоренных пригородных, скоростных пассажирских) поездов, мин.
Если скорость движения пассажирского или другого поезда, прокладываемого в час утреннего или вечернего максимума, меньше, чем пригородного тихохода (см.
рисунок 2.23, "в"), то коэффициент съема определяется по формуле:

(2.8.4)
где t"х - время хода по рассматриваемой зоне пассажирских поездов или поездов другой категории, имеющего скорость ниже, чем пригородного, мин.
При значениях коэффициента съема в результате расчетов по
формулам (2.8.3) и
(2.8.4) менее 1 необходимо принимать коэффициент съема, равный 1.
Условные обозначения
| - пригородные поезда, следующие по расчетному участку со всеми остановками |
| - ускоренные пригородные поезда (пассажирские поезда дальнего следования), следующие по расчетному участку без остановок |
Условные обозначения
| - пригородные поезда, следующие по расчетному участку со всеми остановками |
| - пригородные поезда, следующие по расчетному участку без остановок |
| - пассажирские поезда дальнего следования, следующие по расчетному участку без остановок и с повышенной скоростью |
2.8.5. Коэффициент съема в пригородной зоне существенно зависит от взаимного расположения в графике поездов дальнего и пригородного сообщений. Наиболее целесообразно отправление дальних пассажирских поездов вслед за пригородными поездами, имеющими наименьшее расстояние пробега (первая зона)
(рисунок 2.24).
2.8.6. Пропускная способность в оставшееся время суток определяется в поездах преимущественной категории в соответствии с положениями, изложенными в
подразделах 2.1 -
2.7 настоящей Инструкции. При этом величина суточного бюджета времени (1440 минут) в расчетных формулах заменяется на величину
Tос:
если технологическое "окно" проводится внутри периода интенсивного пригородного движения
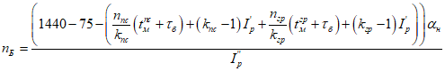
Tос = 1440 - Tинт + tтех; (2.8.5)
если технологическое "окно" проводится в остальное время суток
Tос = 1440 - Tинт, (2.8.6)
где Tинт - величина суточного бюджета времени, относящегося на период интенсивного пригородного движения, мин.;
Tос - величина суточного бюджета времени, оставшегося за пределами периода интенсивного пригородного движения, мин.;
tтех - продолжительность суточного бюджета времени, выделяемого для производства работ по содержанию технических устройств и плановых видов ремонта устройств, мин.
2.8.7. При определении пропускной способности при тактовом движении основное отличие расчета коэффициента съема относительно
пунктов 2.8.1 -
2.8.6 настоящей Инструкции является природа возникновения дополнительного съема, который возникает вследствие некратности установленного межпоездного интервала
Iмп (мин.) и величины такта
S (мин.).
Величина
Iмп задается действующей на перегоне системой СЦБ. На
рисунке 2.25 представлен фрагмент тактового параллельного ГДП. Двойной линией обозначены тактовые поезда, следующие через равные промежутки времени
S. Время внутри промежутка
S, которое невозможно использовать для движения поездов

, обозначено штриховкой.
Рисунок 2.25. Фрагмент тактового параллельного ГДП
Величина неиспользуемого (потерянного на некратности) времени

, приходящаяся на каждый период времени
S, вычисляется по формуле <1>:
--------------------------------
<1> Целая часть числа
x обозначается символом

- округление
x до ближайшего целого в меньшую сторону.

, мин. (2.8.7)
Для вычисления общего количества времени, потерянного из-за некратности величины такта и межпоездного интервала, нужно определить количество циклов тактового движения P, исходя из величины периода времени обращения тактовых поездов на участке или размеров их движения nтакт (пар поездов):
P = [B/S] = nтакт - 1, цикл (2.8.8)
где nтакт - число пропускаемых по пригодной зоне тактовых поездов, пар поездов;
B - длительность периода обращения на участке тактовых поездов в течение суток, минут.
Общее время, потерянное из-за некратности величины такта и межпоездного интервала за период B, вычисляется по формуле:

. (2.8.9)
Величина коэффициента дополнительного съема при параллельном тактовом графике движения поездов:

, (2.8.10)
2.8.8. Съем поездов при тактовом непараллельном графике отображен на
рисунке 2.26. Двойной линией обозначены тактовые поезда, следующие через равные промежутки времени
S. Время внутри промежутка
S, которое отводится на интервал отправления

с раздельного пункта "Б" и интервал прибытия

на раздельный пункт "А", обозначены на
рисунке левой и правой косой штриховкой. Промежуток времени, который невозможно использовать для движения поездов

, обозначен двойной штриховкой.
Рисунок 2.26. Фрагмент ГДП при тактовом
непараллельном графике
Величина коэффициента основного съема для тихоходных поездов определяется отношением суммы времени хода тихоходного поезда
tтих,

(станционный интервал отправления) и

(станционный интервал прибытия) к сумме
tтакт и двух межпоездных интервалов, прилегающих к нитке тактового поезда:

(2.8.11)
Величина коэффициента дополнительного съема для тактового поезда:

(2.8.12)
Значение полного коэффициента съема:

(2.8.13)
Величина неиспользуемого времени внутри цикла при непараллельном графике движения поездов (на
рисунке 2.26 обозначен двойной штриховкой):

, минуты (2.8.14)
где
x - количество межпоездных интервалов между пропускаемыми тихоходными поездами внутри отрезка времени
S. Рассчитывается по
формуле (2.8.15) с округлением в меньшую сторону до целого числа:

(2.8.15)
Количество тихоходных поездов n в течение такта S:
n = x + 1 пар поездов (при x > 0) (2.8.16)
tтакт < tтих. (2.8.17)
Если же внутри такта следуют поезда скоростями выше, чем у поездов следующих в такте,
tтакт > tскрх, (2.8.18)
Общая (суточная) пропускная способность для участка с тактовым движением определяется (с учетом
формулы (2.8.9)):

(2.8.19)

(2.8.20)
Время занятия участка тактовым движением B рассчитывают, исходя из заданных параметров движения тактовых поездов, определенных на основе потребностей в перевозках (размеров движения тактовых поездов и тактового интервала):
B = S * nтакт = D * a (2.8.21)
a + b = 1, (2.8.22)
где
D - суточный бюджет времени на движение всех типов поездов, с учетом коэффициента надежности, мин. Определяется по
формуле (2.8.25);
a - доля занятия суточного бюджета времени участка тактовым движением;
b - доля занятия суточного бюджета времени участка остальными видами движения.
Пропускная способность для участка с тактовым движением в интенсивный час определяется в пригородных поездах. Наибольшее число пригородных поездов за этот час, с учетом съема тактовыми поездами, рассчитывается по формуле:

, (2.8.23)
2.8.9. При наложении нескольких участков тактового движения друг на друга, общая пропускная способность участка (за сутки) с тактовым движением поездов при параллельном графике определяется по формуле:

, (2.8.24)
где

- пропускную способность линии во время движения тактовых поездов (для поездов всех категорий);
lтакт - время работы участка, занятое под организацию тактового движения, мин.

. (2.8.25)
Возможность пропуска заданных размеров движения тактовых поездов по рассматриваемому участку определяется выполнением условия:
D >= lтакт; (2.8.26)

, (2.8.27)
где Qj - количество периодов графика j-го вида. Определяется при эскизном построении ГДП;
Tj - длительность периода графика j-го вида, мин.
Для определения количества и продолжительности периодов графика, внутри которых возможно пропустить поезда других категорий осуществляется эскизное построение фрагментов графика движения поездов, предусматривающее последовательное заполнение листа графика движения поездов нитками тактовых поездов нескольких маршрутов в соответствии с требуемыми параметрами движения на маршруте (количество пар поездов, интервал между таковыми поездами, изменение интервала по временам суток).
Пропускная способность линии во время движения тактовых поездов определяется по формуле (для поездов всех категорий):

(2.8.28)
Число значений

соответствует количеству вариантов периода графика
Tj.
На
рисунке 2.27 представлен фрагмент тактового параллельного графика движения поездов. Соответствующими линиями хода обозначены тактовые поезда, следующие через равные промежутки времени
Sn, где индекс
n обозначает один из видов периода графика между тактовыми поездами одного маршрута. Взаимное расположение тактовых поездов в одном периоде графика
Tj позволяет определить графически значения

, где верхний индекс
j - обозначает принадлежность отрезка времени

к периоду графика
Tj; нижний индекс
m обозначает порядковый номер отрезка времени

внутри периода графика
Tj.
Рисунок 2.27. Фрагмент тактового параллельного графика
движения поездов с наложением двух тактовых маршрутов
Общее неиспользуемое время внутри нескольких (Qj) периодов графика Tj:

. (2.8.29)
Время, которое невозможно использовать для движения поездов из-за некратности периода такта (см.
рисунок 2.25), межпоездного интервала и взаимного расположения поездов в графике (см.
рисунок 2.27), определяется для каждого участка

внутри периода графика
Tj:

, (2.8.30)
где

- отрезок времени внутри периода графика
Tj.
В частном случае, когда обращается только один тактовый маршрут параллельным графиком (см.
рисунок 2.25), период такта
S равен отрезку времени

и периоду графика
Tj:

. (2.8.31)
Возможность по пропуску поездов других категорий во время обращения тактовых поездов в условиях параллельного ГДП:

(2.8.32)
где nr - количество тактовых поездов по маршруту r.
2.9. Расчет пропускной способности при непараллельном графике движения поездов
2.9.1. Практически на всех железнодорожных линиях обращаются поезда различных категорий, а именно пассажирские с разными скоростями следования, пригородные, ускоренные грузовые и грузовые. Поэтому необходимо распределение пропускной способности по видам движения. При этом на участках, где расчет ведется в грузовых поездах, размеры пассажирского движения принимаются как заданные. Следовательно, расчет пропускной способности при непараллельном графике движения сводится к определению числа грузовых поездов, которые могут быть пропущены при заданном количестве пассажирских поездов. На линиях, где расчет ведется в пассажирских поездах, размеры грузового движения принимаются как заданные.
2.9.2. Приведение к единому измерению по использованию пропускной способности поездов различных категорий осуществляется с помощью коэффициента съема пропускной способности, который оценивает влияние пропуска поездов со скоростями и интервалами следования, отличными от скорости движения поездов скоростной категории, по которой определяется пропускная способность.
2.9.3. Для определения коэффициентов съема железнодорожная сеть разделяется на участки, состоящие из одного или нескольких последовательно расположенных расчетных участков, которые должны соответствовать двум основным условиям:
участки определения коэффициентов съема непрерывны между станциями выполнения технических операций;
имеют одинаковое количество главных путей - однопутный, однопутно-двухпутный (однопутный с двухпутными вставками и перегонами), двухпутный, многопутный.
Таким образом, допускается объединение последовательно расположенных расчетных участков пропускной способности в один участок определения коэффициента съема с целью определения корректных значений пропускной способности при непараллельном графике.
2.9.4. Величина коэффициента съема складывается из двух частей. Первая часть характеризуется разностью времен хода по участку пассажирского и грузового поезда (основной съем). Вторая часть обуславливается некратностью интервалов между попутными пассажирскими поездами расчетным межпоездным интервалам (дополнительный съем). Следовательно, коэффициенты съема как на однопутных, так и на двухпутных линиях должны устанавливаться в зависимости от размеров движения пассажирских поездов при условии обгона последними грузовых поездов.
2.9.5. Максимально возможное число грузовых поездов, которое может быть пропущено по расчетному участку в сутки при непараллельном графике движения, определяется из выражения:

(2.9.1)
где n - пропускная способность расчетного участка при параллельном графике;

,

,

,

,

,

,

,

- здесь и далее: коэффициенты съема соответственно для ускоренных грузовых, сборных грузовых, пассажирских (кроме скоростных и пригородных всех категорий, включая следование пассажирских составов в пункты и из пунктов посадки пассажиров), скоростных пассажирских поездов, пригородных, пригородных скорых поездов, пригородных скоростных поездов и хозяйственных поездов регулярного обращения;
nуск,
nсб,
nлок,
nпс,

,
nпр,

,

,
nхоз - здесь и далее: число поездов (пар поездов) соответственно ускоренных грузовых; сборных грузовых; одиночных локомотивов или сплоток локомотивов, предусмотренных технологией работы участка; пассажирских (кроме скоростных и пригородных всех категорий, включая следование пассажирских составов в пункты и из пунктов посадки пассажиров); скоростных пассажирских поездов; пригородных; пригородных скорых поездов; пригородных скоростных поездов и хозяйственных поездов регулярного обращения.
При расчетах пропускной способности участков подталкивания и кратной тяги потребное число ниток графика для обеспечения возврата подталкивающих локомотивов, предусмотренное эксплуатационной технологией работы участка, учитывается величиной
nлок, если возврат подталкивающего локомотива не является частью периода графика (см.
подраздел 2.5 настоящей Инструкции).
При этом для подталкивающих локомотивов, осуществляющих возврат на станцию прицепки на перегонах, оборудованных автоматической локомотивной сигнализации как самостоятельным средством интервального регулирования движения поездов, в том числе с изменяемыми в зависимости от скорости и массы поезда "подвижными" границами блок-участков, число ниток графика, занимаемых возвратом подталкивающих локомотивов и (или) их сплоток, умножается на коэффициент съема

меньше единицы:

(2.9.2)
2.9.6. На участках с преимущественным пассажирским движением (см.
пункт 2.1.1 настоящей Инструкции) максимально возможное число пассажирских поездов, которое может быть пропущено по расчетному участку в сутки, определяется по формуле:

(2.9.3)
При преобладании пригородного движения на расчетном участке, исходя из неравенства nпр > nпс, максимально возможное общее число пригородных поездов (пар поездов), которое может быть пропущено по участку в сутки, определяется по формуле:

(2.9.4)
2.9.7. Время, которое не может быть использовано для пропуска поездов при наличии их различной скоростной категории
(рисунок 2.28), зависит от разности скоростей пропускаемых поездов.
Соотношение

определяется как отношение скорости поезда тихохода к скорости поезда, имеющего более высокую скорость, т.е.

. Скорости можно выразить как частное от деления расстояния на время. После подстановки получим, что

. Таким образом, соотношение

можно подсчитывать как по скорости, так и времени. При расчетах коэффициентов съема грузовых и пассажирских поездов время хода поездов по участку принимается в соответствии с тяговыми расчетами.
2.9.8. На однопутных участках с преимущественным грузовым движением коэффициенты съема для пассажирских и ускоренных поездов, имеющих чистое время хода меньше, чем грузовые поезда, определяются для участка определения коэффициентов съема по следующим формулам:
при автоблокировке и автоматической локомотивной сигнализации как самостоятельном средстве интервального регулирования движения поездов:

(2.9.5)
где t'пс, t"пс - время хода пассажирского поезда по ограничивающему перегону соответственно в нечетном и четном направлениях;
Кобг - количество обгонов грузовых поездов пассажирскими;
Кскр - количество скрещений грузовых поездов с пассажирскими;
Tогр - период графика на ограничивающем перегоне, мин.;
tобг, tскр - средняя продолжительность одной стоянки грузового поезда под обгоном и скрещением соответственно, определяемая в соответствии с Инструкцией по определению станционных и межпоездных интервалов, утвержденной ОАО "РЖД" 9 декабря 2016 г. N 721.

(2.9.6)

(2.9.7)
где Tгр, Tпс - чистое время хода пары грузовых и пары пассажирских поездов по участку определения коэффициента съема, мин.
при полуавтоматической блокировке, электрожезловой системе, телефонных средствах связи:

, (2.9.8)
где Tгр - чистое время хода пары грузовых поездов по участку определения коэффициента съема, мин.;
Tпер - период непакетного графика на ограничивающем перегоне, мин.
При условии

значение коэффициента съема принимается 1,2.
В пределах участка определения коэффициента съема:
ограничивающим принимается перегон с наибольшим периодом графика из входящих в него расчетных участков;
количество обгонов
Кобг по
формуле (2.9.6) и количество скрещений
Кск по
формуле (2.9.7) должны быть не больше количества раздельных пунктов, имеющих приемоотправочные пути вместимостью, обеспечивающей прием грузовых поездов с длиной составов, установленной графиком движения поездов.
2.9.9. Для пассажирских, пригородных или хозяйственных поездов, имеющих чистое время хода по участку, равное или большее, чем грузовых

, коэффициенты съема определяются по формулам:
при автоблокировке и автоматической локомотивной сигнализации как самостоятельном средстве интервального регулирования движения поездов:

; (2.9.9)
при полуавтоматической, блокировке, электрожезловой системе, телефонных средствах связи:

. (2.9.10)
2.9.10. На однопутных участках с преимущественным грузовым движением коэффициент съема для сборных поездов определяется по следующим формулам:
при автоблокировке и автоматической локомотивной сигнализации как самостоятельном средстве интервального регулирования движения поездов:

; (2.9.11)
при полуавтоматической блокировке, электрожезловой системе, телефонной связи:

(2.9.12)
где Ксб - число станций на участке, обслуживаемых сборным поездом;

- коэффициент неидентичности расположения перегонов.
Для определения

средний период графика нужно разделить на период ограничивающего перегона. Средний период графика равен частному от деления суммы периодов по всем перегонам участка определения коэффициента съема на число перегонов.
2.9.11. На однопутных участках с преимущественным пассажирским (пригородным) движением, на которых расчет пропускной способности при параллельном графике в соответствии с
пунктом 2.1.1 настоящей Инструкции производится в пассажирских (пригородных) поездах, коэффициенты съема грузовых

и ускоренных

поездов определяются по
формулам (2.9.9) или
(2.9.10) с подстановкой вместо

величины

- отношения чистого времени хода по участку пары грузовых (ускоренных) поездов к времени хода пары пассажирских поездов.
2.9.12. Коэффициент съема сборных поездов на участках с преимущественным пассажирским (пригородным) движением принимается равным Ксб.
2.9.13. На участках с безостановочным скрещением поездов ввод в обращение поезда скоростной категории, отличной от грузовых, приводит к нарушению расчетной схемы прокладки поездов. В результате сокращается количество безостановочных скрещений. Если сохранить безостановочные скрещения, то

. Если часть поездов, попавших под скрещения, могут быть пропущены с остановками на станциях участка с последующим пропуском пакетами, то в этом случае значение коэффициента съема уменьшается и определяется по формуле:

(2.9.13)
Кп - количество перегонов по которым необходим пакетный пропуск подсчитывается из неравенства между разностью периода графика на максимальном перегоне и суммы времени хода четного и нечетного грузового поезда и расчетным межпоездным интервалом:

(2.9.14)
где

- время хода пары грузовых поездов по перегону.
При определении величины Кп необходимо учитывать путевое развитие раздельных пунктов в части возможности проведения операций остановки и безостановочного скрещения.
Для
формулы (2.9.13) значения
Кск и
Кобг принимаются для каждого направления по отдельности.
Коэффициент съема сборного поезда определяется по формуле:

(2.9.15)
где Кост - количество станций работы сборного поезда на участке (включая станцию конца участка).
При этом должно соблюдаться условие:

.
2.9.14. При идентичности времени хода хозяйственных поездов по участку (путеизмерителей, дефектоскопов) с поездами, в которых рассчитывается пропускная способность значения

в
формулах (2.9.1),
(2.9.3) и
(2.9.4) принимается "1".
При движении хозяйственных поездов по участку (путеизмерителей, дефектоскопов) со скоростями меньшими, чем у поездов, в которых рассчитывается пропускная способность, расчет значений коэффициентов съема в
формулах (2.9.1),
(2.9.3) и
(2.9.4) на однопутных участках производится по
формуле (2.9.8), на двухпутных участках - по формуле:

(2.9.16)
где Tхоз, Tгр - чистое время хода соответственно грузового и хозяйственного поездов по участку определения коэффициента съема, мин.;
Iпр, Iот - станционный интервал соответственно прибытия на конечную станцию участка перед перегоном проведения путевых работ хозяйственного поезда до грузового и отправления с начальной станции участка после грузового поезда, мин.;
Iр - расчетный межпоездной интервал при автоблокировке и автоматической локомотивной сигнализации как самостоятельном средстве интервального регулирования движения поездов.
При этом должно соблюдаться условие:

.
При условии нерегулярного обращения хозяйственных поездов коэффициент съема определяется пропорционально числу дней их работы по участку (Kр) за месяц:

(2.9.17)
2.9.15. На двухпутных линиях при количестве обращающихся пассажирских поездов до 15 пар, т.е. когда не применяется пакетная прокладка пассажирских поездов
(рисунок 2.29), коэффициенты съема для дальних и местных пассажирских, пригородных и ускоренных грузовых поездов, имеющих чистое время хода меньше, чем грузовые поезда, для участка определения коэффициента съема:

(2.9.18)
где Kр - расчетное количество обгонов грузовых поездов пассажирскими, определяемое по формуле:

, (2.9.19)
где tгр - чистое время хода грузового поезда по участку определения коэффициента съема, мин.;
Iр - расчетный межпоездной интервал, мин.;
Kо - фактическое количество обгонов грузовых поездов пассажирскими на участке определения коэффициента съема:

(2.9.20)
где tб - время хода грузового поезда между обгонами, определяемое по формуле:

, мин. (2.9.21)
здесь

- средний интервал прибытия пассажирского поезда за грузовым на станции обгона, мин.;

- время замедления грузового поезда на перегоне перед станцией обгона, мин.

, мин., (2.9.22)
здесь Iпр - расчетный минимальный интервал прибытия пассажирского поезда за грузовым на станции обгона, мин.;

- коэффициент неидентичности расположения перегонов:

(2.9.23)
tср - среднее время хода грузового поезда по перегонам участка определения коэффициента съема;
tмакс - максимальное время хода грузового поезда по ограничивающему перегону участка определения коэффициента съема.
При расчетах должно выполняться следующее неравенство:

; (2.9.24)
при его нарушении необходимо принимать

(2.9.25)
В пределах участка определения коэффициента съема расчетное
Kр и фактическое
Kо количество обгонов по
формулам (2.9.19) и
(2.9.20) должны быть не больше количества раздельных пунктов, имеющих приемоотправочные пути вместимостью, обеспечивающей прием грузовых поездов с длиной составов, установленной графиком движения поездов, при следовании в рассчитываемом (нечетном или четном) направлении.

- дополнительный съем пропускной способности, который обуславливается некратностью интервала между пассажирскими поездами расчетному интервалу между грузовыми поездами. Он может изменяться от
0 до 1. Фактическая величина

носит вероятностный характер и в расчетах принимается 0,5.
2.9.16. На двухпутных линиях с размерами пассажирского движения в диапазоне 16 - 45 пар расчет коэффициента съема производится из условия прокладки двух пассажирских поездов в пакете с расчетным интервалом между ними, равным
Iр, и доле пакетной прокладки, составляющей 70% от общего количества пассажирских поездов
(рисунок 2.30).
Средний коэффициент съема, приходящийся на один пассажирский поезд, определяется по формуле:

, (2.9.26)
Здесь

- доля пассажирских поездов, пропускаемых пакетом (принимается 0,7).
Коэффициент съема, приходящийся на один пассажирский поезд, проложенный в пакете, подсчитывается из выражения:

(2.9.27)
При этом расчетное количество обгонов грузовых поездов для пакета из двух поездов

определяется из выражения:

(2.9.28)
2.9.17. На двухпутных линиях, где размеры пассажирского движения превышают 45 поездов, расчет пропускной способности производится из условия, что 10% поездов пропускаются разрозненно, 60% в пакете из двух поездов и 30% в пакете из трех поездов.
Средний коэффициент съема, приходящийся на один пассажирский поезд, определяется по формуле:

(2.9.29)
Здесь

- доля пассажирских поездов, пропускаемых пакетом из двух поездов (принимается 0,6),

- пропускаемых пакетом из трех поездов (принимается 0,3).
Коэффициент съема, приходящийся на один пассажирский поезд, проложенный в пакете из трех поездов, подсчитывается из выражения:

(2.9.30)
При этом расчетное количество обгонов

для пакета из трех поездов подсчитывается по формуле:

, (2.9.31)
В пределах участка определения коэффициента съема расчетное количество обгонов

по
формуле (2.9.28) и

по
формуле (2.9.31) должны быть не больше количества раздельных пунктов, имеющих приемоотправочные пути вместимостью, обеспечивающей прием грузовых поездов с длиной составов, установленной графиком движения поездов, при следовании в рассчитываемом (нечетном или четном) направлении.
2.9.18. При наличии на двухпутных участках раздельных пунктов, на которых предусмотрена остановка пассажирских поездов, может возникнуть их дополнительное влияние на возможное к пропуску число грузовых поездов. Соответствующее влияние зависит от продолжительности стоянки пассажирского поезда и соотношения времени хода пассажирских и грузовых поездов между станциями обязательной остановки пассажирских и грузовых поездов
(рисунок 2.31).
Дополнительный съем пассажирского поезда, равный 1, возникает при выполнении неравенства

, (2.9.32)
где tст - время стоянки пассажирского поезда на станции участка, мин.;
tгр - время хода грузового поезда между станциями обязательной остановки пассажирских и станцией конца участка, мин.;

- соотношение времени хода пассажирских и грузовых поездов между станциями обязательной остановки пассажирских и станцией конца участка.
Соответственно, при выполнении
неравенства (2.9.32) значения коэффициентов съема пассажирских поездов определяются по формуле:

(2.9.33)
где

- коэффициент съема пассажирских поездов на участке "А" - "В";

- расчетный коэффициент съема пассажирских поездов на участке "Б" - "В".

(2.9.34)
2.9.19. На двухпутных линиях при обращении скоростных пассажирских поездов, в том числе в диапазоне скоростей от 201 до 350 км/ч, коэффициент съема

рассчитывают порядком, указанным в
пунктах 2.9.15 -
2.9.17 настоящей Инструкции, с подстановкой значений

,

,

для скоростных пассажирских поездов и расчетного интервала в пакете между скоростными пассажирскими поездами. Значения указанных параметров определяются в соответствии с Инструкцией по определению станционных и межпоездных интервалов, утвержденной ОАО "РЖД" 9 декабря 2016 г. N 721.
Коэффициенты съема для поездов, следующих со скоростями движения свыше 200 км/ч, отличаются в части основного съема за счет повышенных значений межпоездных и станционных интервалов.
2.9.20. Коэффициент съема для пассажирских, пригородных или хозяйственных поездов, имеющих большее время хода по участку, чем грузовые, на двухпутных линиях при автоблокировке определяется по формуле:

(2.9.35)
где Tпс, Tгр - чистое время хода соответственно пассажирского и грузового поездов по участку определения коэффициента съема, мин.;

- сумма времени стоянок пассажирского поезда на промежуточных станциях и у остановочных платформ с учетом потерь времени на разгоны и замедления, мин.;
Iпр, Iот - станционный интервал соответственно прибытия на конечную станцию участка пассажирского поезда до грузового и отправления с начальной станции участка после грузового поезда, мин;
Iр - расчетный межпоездной интервал при автоблокировке, мин.
В сумму времени стоянок пассажирского поезда на промежуточных станциях

не включаются стоянки продолжительностью 8 мин. и более.
При полуавтоблокировке вместо значения
Iр в расчетную
формулу (2.9.35) подставляют период графика на ограничивающем перегоне

.
2.9.21. На двухпутных участках коэффициент съема сборным поездом составляет:

(2.9.36)
где Ксб - количество остановок сборного поезда на участке для выполнения маневровых операций (включая станцию расформирования сборного поезда).
2.9.22. На участках с преимущественным пассажирским или пригородным движением в границах расчетного участка коэффициенты съема поездов категорий, отличных от расчетной, определяются в соответствии с
пунктами 2.9.7 -
2.9.21 настоящей Инструкции, исходя из соотношения чистого времени хода каждой из вышеперечисленных категорий поездов по участку к чистому времени хода пассажирских. При этом значения коэффициентов съема сборных поездов дополнительно умножаются на съем грузовых поездов:

(2.9.37)
2.9.23. При определении пропускной способности участков железных дорог в условиях организации движения поездов повышенной массы и длины при существующей инфраструктуре следует учитывать, что пропуск поездов в 100 условных вагонов при наличии на станциях участка приемоотправочных путей вместимостью только 71 условный вагон должен производиться безостановочно. Поэтому у рассматриваемого поезда будет дополнительный съем, вычисляемый при соотношении скоростей

.
Влияние пропуска тяжеловесных поездов рассматривается и учитывается в
разделе 4 настоящей Инструкции.
2.9.24. Определение среднегодовых значений пропускной способности для грузового движения на железнодорожных линиях с устойчивой высокой сезонностью пассажирских перевозок осуществляется по формуле:

, грузовых поездов, (2.9.38)
где iлето - число месяцев периода летних пассажирских перевозок;
nлето - пропускная способность для грузового движения в период летних пассажирских перевозок, поездов/сут.;
nвне сез - пропускная способность для грузового движения в месяцы вне периода летних пассажирских перевозок, поездов/сут.
При существенных изменениях размеров движения пассажирских поездов различных категорий в разные календарные периоды года среднегодовые значения пропускной способности для грузового движения определяются по формуле:

(2.9.39)
где Di - число дней в календарном периоде i;
nгрi - пропускная способность для грузового движения в календарном периоде i, поездов/сут.
3. Порядок расчета пропускной и перерабатывающей
способности железнодорожных станций
3.1.1. Расчету пропускной и перерабатывающей способности подлежат все станции, на которых осуществляются операции технического характера с грузовыми и пассажирскими (пригородными) поездами, в том числе:
смена локомотивов;
смена локомотивных бригад;
техническое обслуживание, коммерческий осмотр и приемосдаточные операции;
таможенные и пограничные операции;
операции по экипировке подвижного состава;
прицепка и отцепка локомотивов подталкивания;
операции по обгону локомотивов при смене направления движения.
При этом операции по обгону, скрещению и пропуску поездов учитываются при расчете пропускной способности перегонов.
В зависимости от классификации станции по характеру работы для каждой станции имеется типовой набор преобладающих технических операций, производимых с грузовыми и пассажирскими поездами:
Сортировочная станция - техническое обслуживание, коммерческий осмотр, расформирование и формирование поездов, смена локомотивов и локомотивных бригад;
Участковая станция - техническое обслуживание, коммерческий осмотр, смена локомотивов и локомотивных бригад;
Грузовая станция - техническое обслуживание, коммерческий осмотр и приемосдаточные операции;
Пассажирская станция - посадка и высадка пассажиров, сортировочная работа по расформированию и формированию пассажирских составов, операции по экипировке пассажирского подвижного состава, смена локомотивов и локомотивных бригад у пассажирских поездов;
Межгосударственная передаточная станция - техническое обслуживание, коммерческий осмотр и приемосдаточные операции, таможенное оформление и пограничный осмотр;
Промежуточная станция - операции по пропуску, обгону и скрещению пассажирских и грузовых поездов, операции по прицепке и отцепке подталкивающих локомотивов.
На основании характера выполняемых станцией операцией расчету пропускной и перерабатывающей способности подлежат:
сортировочные станции;
участковые станции;
грузовые станции, технология работы которых оказывает влияние на пропуск транзитных поездов по станции (выезд маневровым порядком на главные пути и т.д.);
пассажирские станции;
межгосударственные передаточные станции, по которым производятся операции погранично-таможенного контроля;
станции (включая промежуточные), на путях которых осуществляется прицепка/отцепка подталкивающих локомотивов.
Примечание. Расчет станции осуществляется как пассажирской, если в пункте 1.1 ТРА станции указан такой характер ее работы, или доля пассажирских поездов от общего числа поездов, проходящих по станции, составляет не менее 70%.
3.1.2. При расчете пропускной способности железнодорожных станций используются прогрессивные технологические нормы на выполнение всех операций, учитывающие передовые приемы труда, техническое оснащение и специфику работы станции.
3.1.3. Пропускная способность станции определяется для непараллельного графика движения поездов, при этом все выполняемые операции подразделяются на две категории:
зависящие в прямой пропорции от изменения объема основной работы рассчитываемого устройства;
независящие от основного объема работы (так называемые постоянные операции).
К постоянным относятся операции, связанные с выполнением текущего обслуживания и ремонта устройств, пропуском заданного на расчетный период числа пассажирских и сборных поездов, обслуживанием локомотивного хозяйства, вагонного депо и др.
При расчете пассажирской станции, в отличие от грузовой, к постоянным операциям следует относить операции с грузовыми и сборными поездами, тогда как все операции, связанные с приемом, пропуском, отправлением и обработкой пассажирских и пригородных поездов, необходимо отнести к непостоянным операциям. Данный порядок деления операций на постоянные и непостоянные относится к расчету всех элементов инфраструктуры рассчитываемой пассажирской станции.
Примечание. Любая операция может участвовать в расчете какого-либо устройства только в одной категории передвижений, зависящей или не зависящей от изменения объема основной работы рассчитываемого устройства.
3.1.4. Для соизмеримости значений пропускную и перерабатывающую способность различных устройств станции надо рассчитывать, приводя конечные результаты к общей единице измерения (поезд или число вагонов).
3.1.5. Расчет пропускной и перерабатывающей способности элементов инфраструктуры станции определяется через коэффициент использования устройства (k). Коэффициент использования устройства отражает уровень загрузки за расчетные сутки того или иного устройства станции, с учетом обязательного дополнительного времени на техническое обслуживание за сутки, а также с учетом обязательных выделяемых резервов, обеспечивающих надежное функционирование устройства.
3.1.6. Итоговая пропускная способность станции выражается числом грузовых и пассажирских поездов:
n + nп, (3.1.1)
где n - число транзитных без переработки, с частичной переработкой, расформировываемых, формируемых (в том числе соединенных и длинносоставных), сборных, вывозных, ускоренных и других категорий грузовых поездов;
nп - число пассажирских поездов, принятых к расчету.
3.1.7. Пропускная способность станционных устройств рассчитывается в поездах в сутки, перерабатывающая способность - в вагонах в сутки. Перерабатывающая способность сортировочных устройств рассчитывается также в составах и вагонах в час для периода интенсивной работы. На пассажирских станциях, в пассажирских и технических парках станций пропускная способность путей, горловин и пассажирских устройств рассчитывается также в поездах в час для периода интенсивного прибытия и отправления поездов.
3.1.8. Общий алгоритм выполнения расчета пропускной и перерабатывающей способности станции состоит из следующих этапов:
формирование инфраструктурной модели, которое включает в себя выделение расчетных элементов инфраструктуры на основе анализа путевого развития;
формирование технологической модели станции, включая технико-технологические данные о технологических операциях, распределение потоков поездов, маневровых составов, локомотивов по расчетным элементам инфраструктуры;
поэлементное выполнение расчетов пропускной (для парков и горловин) и перерабатывающей способности (для сортировочных горок и вытяжных путей);
определение результирующей пропускной и перерабатывающей способности расчетной станции;
анализ "узких мест" станции и оценка возможности перераспределения поездопотоков между расчетными элементами инфраструктуры для увеличения результирующей пропускной и перерабатывающей способности;
перерасчет пропускной и перерабатывающей способности станции с учетом перераспределения поездопотоков между расчетными элементами инфраструктуры;
разработка предложений по изменению технологии, реконструкции станции с целью устранения "узких мест" станции.
3.2. Формирование инфраструктурной модели станции и алгоритм выполнения расчета пропускной и перерабатывающей способности станции
3.2.1. Перед формированием инфраструктурной модели станции определяется перечень элементов инфраструктуры станции, по которым необходимо производить расчеты пропускной или перерабатывающей способности (расчетные элементы).
Для корректного определения расчетных элементов станционной инфраструктуры должен быть сделан анализ путевого развития и технического оснащения станции и прилегающих участков, техническо-распорядительного акта, технологического процесса и других нормативных документов, регламентирующих производство поездной, маневровой, и сортировочной, грузовой работы на станции.
В перечень расчетных элементов станции входят следующие элементы станционной инфраструктуры.
Для расчета пропускной способности:
подходы к станции;
приемоотправочные парки, сортировочно-отправочные парки, парки приема
и отправления;
междупарковые соединительные пути;
перронные пути у пассажирских платформ;
технические пути пассажирских станций;
пути железнодорожных устройств пограничных, перегрузочных, портовых
станций и морских переправ;
стрелочные горловины всех типов станций.
Для расчета перерабатывающей способности:
сортировочные горки;
вытяжные пути;
места погрузки, выгрузки;
пункты перестановки вагонных тележек;
подъемно-надвижные устройства паромных переправ.
При этом малоиспользуемые элементы станционной инфраструктуры, включая железнодорожные пути, переданные в ведение других подразделений владельца инфраструктуры, расчету пропускной и перерабатывающей способности станции не подлежат.
3.2.2. Подходом к станции называется однопутное, двухпутное или многопутное примыкание перегона железнодорожной инфраструктуры общего пользования или железнодорожного пути необщего пользования. Обозначается подход по наименованию ближайшей станции.
Правильный выбор подхода станции влияет на корректность определения таких параметров подхода, как коэффициент съема пассажирских и сборных поездов, разность времени хода между грузовым и пассажирским поездами, период графика для однопутного примыкания (подхода) или межпоездной интервал для двухпутного или многопутного примыкания.
3.2.3. Расчету подлежат горловины, на которых производятся передвижения организованных поездов, а также горловины с интенсивной маневровой работой.
На станции двухпутной линии при отсутствии взаимосвязи между передвижениями в парках (системах парков, группах путей) четного и нечетного направления пропускную способность горловин этих систем нужно рассчитывать отдельно.
Для корректного расчета пропускной способности необходимо в границах одной стрелочной горловины выделять расчетные стрелочные горловины.
Расчетной стрелочной горловиной является группа стрелочных переводов, по которым производятся однотипные операции с определенными категориями поездов.
Например, горловину станции, в которой производится поездная работа по пропуску и приему поездов по одним группам стрелочных переводов, и независимо от данных операций по другим группам стрелочных переводов производится сортировочная работа, необходимо разделить на две расчетные стрелочные горловины. Данный подход в разделении стрелочных горловин позволяет исключить в расчете пропускной способности горловины влияние сортировочной работы на станции на пропуск, прием и отправление поездов.
Также необходимо производить разделение стрелочных горловин на две расчетные стрелочные горловины, если на разных группах стрелочных переводов производятся различные по характеру независимые операции (например, по одним группам стрелочных переводов производятся исключительно операции с нечетными поездами, по другой группе стрелочных переводов производятся операции с четными поездами).
В случае, если по стрелочным горловинам смежных парков производятся однородные операции с одними и теми же поездами или группами вагонов, такие горловины целесообразно объединять в единую расчетную стрелочную горловину.
Для расчета пропускной способности горловина делится на элементы, число которых Cк должно быть не менее максимально возможного количества одновременно совершаемых в горловине передвижений. В состав каждого элемента включается группа совместно работающих стрелочных переводов, при занятии одного из которых каким-либо передвижением невозможно одновременное использование остальных стрелочных переводов и глухих пересечений этой группы для других передвижений. Глухое пересечение рассматривается как стрелочный перевод, и ему присваивается соответствующий номер.
В один элемент должны входить:
находящиеся на одном пути оба стрелочных перевода перекрестного съезда с глухим пересечением (при отсутствии параллельного роспуска составов в один элемент включаются все стрелки перекрестного съезда, расположенного после вершины горки);
стрелочные переводы, входящие в один изолированный стрелочный участок (стрелочную секцию). Причем в состав элемента может входить не более трех секций при условии, что по этим секциям нельзя осуществлять параллельные передвижения.
Стрелочные переводы, по которым можно одновременно осуществлять передвижения по параллельным маршрутам (в том числе переводы, обращенные друг к другу крестовинами), должны относиться к разным элементам.
3.2.4. Для корректного расчета пропускной способности необходимо в границах одного парка выделять расчетные парки.
Расчетным парком является группа путей парка, на которой выполняются однотипные операции с различными категориями поездов или операции с поездами конкретной категории.
При выделении путей станции в расчетный парк необходимо учитывать действующую специализацию путей парков.
При наличии на станции приемоотправочных парков (групп путей), специализированных только для пропуска грузовых транзитных поездов без переработки, парков для приема поездов в расформирование и парков для отправления поездов своего формирования, пропускная способность этих расчетных парков (групп путей) определяется отдельно. При этом, если для обработки грузовых поездов используются и главные пути, то они включаются в число путей расчетного парка, для которого определяется пропускная способность.
При наличии жесткой специализации путей парка (например, для разборочных поездов и транзитных) данные группы путей парка следует выделять в разные расчетные парки. При наличии на станции групп путей парка, специализированных только для пропуска грузовых поездов без остановки (в т.ч. главные пути станции) такие пути следует выделять в отдельный расчетный парк.
На станциях двухпутных линий выделяют расчетные парки (группы путей), специализированные для поездов нечетного и отдельно четного направлений движения в случае их жесткой специализации по пропуску и обработке поездов четного и нечетного направления.
В объединенных приемоотправочных парках сортировочных станций для расчета пропускной способности предусматриваются отдельные расчетные парки - группы путей для нечетных и четных поездов (в размерах, равных отношению числа нечетных и четных поездов), и определение пропускной способности этих расчетных парков производится отдельно. Таким образом, объединенный парк для расчета условно разбивается на два парка. Аналогично поступают при расчете объединенного приемоотправочного парка участковой станции на однопутной линии.
Если пути (секции путей) парка жестко специализированы по обработке поездов, поступающих и отправляющихся с разных подходов к станции, их необходимо выделять в отдельные расчетные парки.
Если часть путей парка используется для нечетных и четных поездов, а остальная часть - для поездов только одного направления, то пропускная способность этих групп путей определяется с выделением отдельных расчетных парков.
Аналогично выделяют отдельные расчетные парки, если в приемоотправочном парке имеются пути различной полезной длины при поступлении с разных направлений поездов с различной расчетной длиной составов, либо поездов на электрической и автономной тяге при неполном оборудовании парка контактной сетью; либо при иных особенностях путевого развития и технического оснащения станции.
Поезда какой-либо категории могут обрабатываться в одном парке, а по другому проходить без обработки и учитываться как проходящие по его путям без остановки, а возможно, и с остановкой для пропуска поездов преимущественной категории.
3.2.5. В расчет принимаются вытяжные пути, на которых технологией работы расчетной станции предусмотрено формирование, расформирование или окончание формирования поездов с возможностью вытягивания частей составов или целых составов. При этом тупиковые пути для обгона локомотивов, охранные тупики, тупиковые пути для отстоя специального самоходного подвижного состава в качестве вытяжных путей не рассматриваются.
При отсутствии на станции специализированных вытяжных путей и переработке вагонов с использованием в качестве вытяжных главных, приемоотправочных, соединительных путей, а также участков стрелочных горловин, перерабатывающая способность определяется при расчете пропускной способности стрелочных горловин. При этом расчетное число соответствующих передвижений, связанных с маневровой работой по переработке вагонопотока определяет перерабатывающую способность соответствующего устройства по станции.
3.2.6. В расчет принимаются все действующие (не законсервированные) сортировочные горки.
3.2.7. Примеры выделения расчетных элементов станционной инфраструктуры и выделения условных стрелок в стрелочных горловинах представлен на
рисунках 3.2.1 и
3.2.2.
На
рисунке 3.2.1 нечетный парк разделен на два расчетных парка ("неч1" и "неч2"), что связано со специализацией путей "неч1" для сортировочной работы через профилированный вытяжной путь, тогда как пути "неч2" специализированы для приема, проследования и отправления грузовых и пассажирских поездов. Главные пути выделяются в отдельный парк в случае проследования частью грузовых поездов станции без остановки или с остановкой для пропуска поездов преимущественной категории.
На
рисунке 3.2.2 нечетная стрелочная горловина станции разделена на две расчетные стрелочные горловины. Это связано с характером производимых операций по горловине. По расчетной горловине "НЕЧ ПО" производятся операции по приему, отправлению и проследованию грузовых и пассажирских поездов, по расчетной горловине "НЕЧ МАН" производится маневровая и сортировочная работа с местным вагонопотоком.
После определения расчетных горловин по станции производится группировка стрелочных переводов горловины на элементы - условные группы стрелок. Принцип группировки стрелочных переводов заключается в определении группы стрелок, при занятии одной из которых поездным или маневровым передвижением, занятие любой другой стрелки из этой группы в тот же момент времени другой операцией невозможно. Пример выделения условных групп стрелок представлен на
рисунке 3.2.3.
3.2.8. Пример формирования инфраструктурной модели станции показан на основе двусторонней сортировочной станции, представленной на
рисунке 3.2.4.
На
рисунке 3.2.4 желтой заливкой отмечены расчетные парки станции, синей заливкой отмечены расчетные стрелочные горловины станции. Для станции, отображенной на
рисунке 3.2.4, выделяются следующие расчетные элементы инфраструктуры:
для четной системы станции:
входная стрелочная горловина парка П2 (П2 чет);
четный парк приема (П2);
стрелочная горловина формирования между парками С2 и О2 (С2-О2);
четный парк отправления О2 (О2);
четный транзитный парк ПО2 (ПО2);
выходная стрелочная горловина парка О2 (О2 неч);
для нечетной системы станции:
входная стрелочная горловина парка П1 (П1 неч);
нечетный парк приема (П1);
стрелочная горловина формирования между парками С1 и О1 (С1-О1);
нечетный парк отправления О1 (О1);
нечетный транзитный парк (ПО1);
выходная стрелочная горловина парка О1 (О1 чет).
Подходами к станции являются: четные "Е", "Г", "Д", нечетные "Б", "В", "А".
Примечание. Предгорочные стрелочные горловины сортировочных станций, как правило, не подлежат расчету пропускной способности, так как их работа нормирована технологическим процессом работы сортировочной горки по расформированию составов поездов. При этом в случаях приема, отправления или пропуска поездов, отцепки групп вагонов от длинносоставных и групповых поездов, подачи составов на железнодорожные пути необщего пользования и иных передвижений с занятием предгорочных горловин, данные горловины подлежат расчету пропускной способности.
Для станции, отображенной на
рисунке 3.2.4, формируется инфраструктурная модель с указанием подходов к станции и расчетных элементов станционной инфраструктуры (представлена на
рисунке 3.2.5).
Примечание. В представленной инфраструктурной модели треугольниками обозначены подходы к станции, шестиугольниками - стрелочные горловины, прямоугольниками - парки станции.
3.2.9. После формирования инфраструктурной модели расчетной станции необходимо определить следующие основные технические и технологические параметры расчетных элементов.
Для подходов к станции:
количество главных путей;
межпоездной интервал (I, мин.) или период графика (T, мин.) (для двухпутного, многопутного подхода или однопутного подхода соответственно);
коэффициенты съема сборными поездами

;
действующая на перегоне система сигнализации и связи по движению поездов (автоблокировка, полуавтоблокировка, электрожезловая система);
разность времени хода пассажирского и грузового поезда от ближайшей станции, на которой возможна остановка поезда для обгона, скрещения или выполнения других технических и технологических операций с поездом, до расчетной станции

.
Для расчетных стрелочных горловин:
стрелочные группы;
наличие электрической централизации;
время на текущее содержание горловины (tгсод);
коэффициент, учитывающий отказы устройств ЭЦ

.
Для расчетных парков:
количество путей (П);
время постоянных операций (tпост);
коэффициенты, отражающие влияние пассажирских и сборных поездов на пути парка

.
Для вытяжных путей:
время постоянных операций, включая время на текущее содержание (tпост);
коэффициент повторной сортировки

;
коэффициент, учитывающий возможные перерывы в использовании вытяжного пути из-за враждебных передвижений

;
норматив времени на формирование и расформирование составов (tрф).
Для сортировочных горок:
время постоянных операций, включая время на текущее обслуживание (Tгорпост);
горочный технологический интервал (tгор);
коэффициент, учитывающий отказы технических устройств, нерасцепы вагонов

.
3.3. Формирование технологической модели работы станции
3.3.1. Технологическая модель работы станции формируется совокупностью набора технологических цепочек и технологических карт.
Ключевые требования при формировании технологических цепочек:
в технологическую модель станции должны быть включены все проходящие по станции поезда;
для каждой категории поездов, проходящих по станции, должны быть указаны все задействованные в пропуске, приеме или отправлении данной категории поездов расчетные элементы инфраструктуры;
при изменении маршрута прохождения групп расчетных поездопотоков по расчетным элементам станции (изменение, добавление или удаление из маршрута прохождения подхода, парка или стрелочной горловины) должна быть составлена новая технологическая цепочка.
3.3.2. Разложение расчетных поездопотоков по расчетным элементам станции при расчете пропускной способности станции должно быть выполнено в увязке с действующими нормативными документами, регламентирующими технологию работы станции, в том числе с Технологическим процессом работы рассматриваемой станции. При выполнении расчетов на перспективу разложение расчетных поездопотоков необходимо выполнять в соответствии с перспективной технологией рассматриваемой станции.
По итогам составления набора технологических цепочек формируется технологическая модель работы станции.
Технологическая модель работы станции - комплекс расчетных технологических цепочек, отражающих технологию работы рассматриваемой станции с детализацией "подход-стрелочная горловина-парк - сортировочное устройство".
3.3.3. На основе анализа прохождения различных групп поездов (поездопотоков) через элементы инфраструктурной модели, выделяются группы поездов, которые проходят по идентичным элементам инфраструктурной модели. Такие группы поездов выделяются в отдельные технологические цепочки. Пример распределения поездопотоков по технологическим цепочкам и расчетным элементам станции для примера, показанного на
рисунках 3.2.4 и
3.2.5, представлен в
таблице 3.3.1.
3.3.4. Для проведения расчета пропускной и перерабатывающей способности станции используются суточные размеры грузового, пассажирского и пригородного движения. При этом для расчета пропускной и перерабатывающей способности станций в рамках формирования паспорта пропускной способности железных дорог применяются среднесуточные размеры грузового движения в месяц максимальных перевозок за прошедший год и графиковые размеры пассажирского и пригородного движения. В рамках аналитических вариантных расчетов применяются заданные (перспективные) размеры грузового и пассажирского движения.
3.3.5. По итогам формирования технологической модели работы станции необходимо детализировать использование расчетных элементов методом привязки технологических карт к технологическим цепочкам.
Главное отличие технологической карты от технологической цепочки заключается в уровне детализации задействования расчетных элементов станционной инфраструктуры. Если технологическая цепочка отражает использование элементов с детализацией "подход-стрелочная горловина-парк - сортировочное устройство", то технологическая карта выполняет детализацию на уровне "подход-стрелочная группа-парк".
Каждая технологическая карта представляет собой описание последовательности операций с группой поездов, включая поездные операции и сопутствующие маневровые операции. Набор технологических операций описывает поездную, маневровую и сортировочную работу расчетной станции за сутки и определяет загрузку расчетных элементов станции.
3.3.6. Формирование технологических карт производится путем выделения из группы поездов, принадлежащей конкретной технологической цепочке, части поездов, которая имеет аналогичные временные параметры при занятии элементов инфраструктурной модели, а также использует одинаковые стрелочные группы в расчетных стрелочных горловинах (для поездных и сопутствующих маневровых операций по горловине). Каждая технологическая карта представляет собой описание последовательности операций с группой поездов, включая поездные операции и сопутствующие маневровые операции. Пример составления технологических карт для групп поездов рассмотрен для технологической
цепочки N 1 (см. таблицу 3.3.1) и представлен в
таблице 3.3.2.
Таблица 3.3.1
Распределение технологических цепочек
по расчетным элементам станции
Номер технологической цепочки | Станция подхода (прием) | Станция подхода (отправление) | Число поездов в сутки, относящиеся к: | Парки | Стрелочные горловины | Сортировочные горки |
Непостоянным операциям | Постоянным операциям | ПО1 | О1 | П2 | П1 | О2 | ПО2 | О1чет | П2чет | С1-О1 | П2-С2 | С1-П1 | С2-О2 | П1неч | О2неч | чет | неч |
| "Д" | | 18 | | | | + | | | | | + | | + | | | | | + | |
ТЦ N2 | "Д" | | | 3с | | | + | | | | | + | | + | | | | | + | |
ТЦ N3 | "Г" | | 16 | | | | + | | | | | + | | + | | | | | + | |
ТЦ N4 | "Г" | | | 2с | | | + | | | | | + | | + | | | | | + | |
ТЦ N5 | "В" | | 14 | | | | | + | | | | | | | + | | + | | | + |
ТЦ N6 | "В" | | | 3с | | | | + | | | | | | | + | | + | | | + |
ТЦ N7 | "Б" | | 14 | | | | | + | | | | | | | + | | + | | | + |
ТЦ N8 | "Б" | | | 5с | | | | + | | | | | | | + | | + | | | + |
ТЦ N9 | "Д" | "В" | 32 | | | | | | | + | | + | | | | + | | + | | |
ТЦ N10 | "Г" | "В" | 25 | | | | | | | + | | + | | | | + | | + | | |
ТЦ N11 | "Г" | "В" | | 12п | | | | | | + | | + | | | | + | | + | | |
ТЦ N12 | "Б" | "Е" | 28 | | + | | | | | | + | | + | | | | + | | | |
ТЦ N13 | "В" | "Г" | 24 | | + | | | | | | + | | + | | | | + | | | |
ТЦ N14 | "В" | "Г" | | 12п | + | | | | | | + | | + | | | | + | | | |
ТЦ N15 | | "Д" | | 19 | | + | | | | | + | | + | | | | | | | |
ТЦ N10 | | "Д" | | 3с | | + | | | | | + | | + | | | | | | | |
ТЦ N11 | | "Г" | | 17 | | + | | | | | + | | + | | | | | | | |
ТЦ N12 | | | | 5с | | + | | | | | + | | + | | | | | | | |
Примечание. По каждому расчетному элементу станции указывается число поездов за расчетных период (сутки). При этом в
графе "число поездов" "С" - обозначаются сборные поезда, "П" - пассажирские и пригородные. Технологические цепочки, начинающиеся с указания подхода и заканчивающиеся указанием подхода, обозначают транзитные поезда (пассажирские, грузовые, включая смену локомотивов и локомотивных бригад).
Таблица 3.3.2
Формирование технологической карты по расчетным элементам
станции (в соответствии в
ТЦ1 в таблице 3.3.1)
Наименование технологической карты | Задействованные элементы инфраструктуры станции | Время занятия операцией элемента инфраструктуры, мин. | Число операций | Участвующие группы стрелочных переводов |
Прием разборочного поезда на пути NN 1 - 5 парка П2 | Подход "Д" | - | 18 | - | - | - | - | - | - | - | - | - |
Прием поезда на пути NN 1 - 5 | Стрелочная горловина П2 чет | 8,3 | а | б | г | | | | | | |
Прием поезда на пути NN 1 - 5 | Парк приема П2 | 8,3 | | | | | | | | | |
Закрепление состава | Парк приема П2 | 7,3 | | | | | | | | | |
Уборка поездного локомотива | Парк приема П2 | 2,8 | | | | | | | | | |
Уборка поездного локомотива | Стрелочная горловина П2-С2 | 4,3 | а | г | з | | | | | | |
Обработка поездов, прибывших в расформирование на путях парка П2 | Парк приема П2 | 89 | - | - | - | - | - | - | - | - | - |
Заезд горочного локомотива под разборочный поезд | Парк приема П2 | 5,2 | - | - | - | - | - | - | - | - | - |
Заезд горочного локомотива в хвост разборочного поезда (полурейс N 1) | Стрелочная горловина П2чет | 5,6 | в | г | е | ж | | | | | |
Заезд горочного локомотива в хвост разборочного поезда (полурейс N 2) | Стрелочная горловина П2 чет | 3,4 | | в | д | | | | | | | |
Надвиг состава на сортировочную горку | Парк приема П2 | 3 | | | | | | | | | |
Надвиг состава на сортировочную горку | Стрелочная горловина П2-С2 | 3 | б | д | | | | | | | |
Надвиг состава на сортировочную горку | Четная сортировочная горка | 3 | | | | | | | | | |
Роспуск состава | Четная сортировочная горка | 20 | | | | | | | | | |
Роспуск состава | Стрелочная горловина П2-С2 | 20 | | | | | | | | | |
3.3.7. При расчете пропускной и перерабатывающей способности станции учитывается число поездов, относящихся к определенной технологической карте. При этом все временные параметры, отраженные в технологической карте, умножаются на число поездов, относящихся к данной технологической карте, и результат произведения учитывается при определении коэффициента использования пропускной способности соответствующего элемента инфраструктуры станции.
Пример сопоставления технологической цепочки (ТЦ1) и принадлежащих ей технологических карт (ТК1, ТК) на инфраструктурной модели станции представлен на
рисунке 3.3.1.
ТЦ 1 - технологическая цепочка для четных поездов, прибывающих в расформирование;

- технологическая карта для четных поездов, прибывающих в расформирование на нижний пучок парка приема;

- технологическая карта для четных поездов, прибывающих в расформирование на верхний пучок парка приема;

- сопутствующие маневровые операции по уборке поездных и заезду маневровых локомотивов.
3.3.8. Формирование технологических карт производится до полного распределения поездопотоков, поступающих и отправляющихся с расчетной станции. При этом число технологических карт, как правило, превышает число технологических цепочек, что связано с наличием на станции операций, которые для поездов, входящих в одну технологическую цепочку, имеют отличное время на выполнение операции или затрагивают различные группы стрелок в расчетных стрелочных горловинах (например, часть поездов принимается через стрелочную горловину по другим группам стрелок и имеет другое время занятия).
Набор технологических карт определяет суммарное время занятия элементов инфраструктуры станции. Суммарное время занятия того или иного элемента инфраструктуры постоянными и зависящими от размера движения операциями является основным параметром для расчета пропускной или перерабатывающей способности станции.
3.3.9. Время занятия (с точностью до 0,1 мин.) стрелочной горловины приемом поезда
tпр = t'м + tвх, (3.3.1)
где t'м - время приготовления маршрута приема и открытия входного светофора;
Время занятия (с точностью до 0,1 мин.) стрелочной горловины отправлением поезда
tот = t"м + tвых., (3.3.2)
где t"м - время от начала приготовления маршрута отправления до момента трогания поезда;
tвых - время прохода поездом расчетного расстояния
Lот (см.
рисунок 3.3.2).
Для поездов, длина которых не превышает полезной длины путей, расчетные расстояния Lпр и Lот (м) соответственно равны:

(3.3.3)
где lв - расстояние, проходимое поездом за время восприятия машинистом показания светофора с момента его открытия;
lт - длина тормозного пути, установленного для рассматриваемого подхода к данной станции (при автоблокировке, особенно когда условия профиля и плана пути на подходе к станции неблагоприятны, вместо lт учитывается расстояние от входного светофора до предупредительного перед ним);
lвх - расстояние от входного (или другого ближайшего к рассматриваемой горловине) светофора до предельного столбика, расположенного при входе на путь приема (или до изолирующего стыка);
lп - длина поезда;
lпол - полезная длина пути приема (если lпол > lп, то вместо lпол учитывается lп);
tв - время восприятия машинистом показания открытого светофора, ориентировочно равное 0,05 мин.;
vвх - скорость движения поезда при подходе к началу тормозного пути перед входным сигналом станции, км/ч;

- коэффициент перевода км/ч в м/мин.;
lг - расстояние от выходного светофора (а там, где его нет, от предельного столбика пути отправления) до последней выходной стрелки в маршруте отправления или до изолирующего стыка (выходной педали).
Время
tвх и
tвых устанавливается по данным тяговых расчетов. Учет посекционной разделки маршрутов передвижений при ЭЦ приведен в
таблице 3.3.3 (время занятия маршрута

менее 1,5 мин. не корректируют).
Таблица 3.3.3
Учет посекционной разделки маршрутов передвижений
Время занятия маршрута без учета посекционной разделки  , мин. | Время занятия маршрута с учетом посекционной разделки  , мин., для случая расчета |
| | |
при числе элементов (см. пункт 3.2.3 настоящей Инструкции) в маршруте C к, равном |
1 | 2 | 3 | 4 | 5 | 6 | 7 | 1 | 2 | 3 | 4 | 5 | 6 | 7 | 1 | 2 | 3 | 4 | 5 | 6 | 7 |
1,5 | 1,5 | 1,0 | 0,7 | 0,4 | | | | 1,5 | 1,1 | 0,9 | 0,8 | 0,7 | 0,6 | | 1,5 | 1,3 | 1,2 | 1,2 | 1,1 | 1,1 | 1,1 |
2 | 2 | 1,4 | 1,0 | 0,7 | 0,5 | | | 2 | 1,5 | 1,3 | 1,2 | 1,1 | 1,0 | 1,0 | 2 | 1,7 | 1,7 | 1,6 | 1,5 | 1,4 | 1,3 |
3 | 3 | 2,2 | 1,8 | 1,5 | 1,3 | 1,2 | 1,1 | 3 | 2,4 | 2,0 | 1,9 | 1,9 | 1,8 | 1,8 | 3 | 2,7 | 2,6 | 2,6 | 2,5 | 2,4 | 2,3 |
4 | 4 | 2,9 | 2,4 | 2,1 | 1,9 | 1,8 | 1,7 | 4 | 3,3 | 3,0 | 2,9 | 2,8 | 2,7 | 2,7 | 4 | 3,6 | 3,4 | 3,3 | 3,2 | 3,1 | 3,0 |
5 | 5 | 3,7 | 3,1 | 2,8 | 2,6 | 2,5 | 2,4 | 5 | 4,2 | 4,0 | 3,9 | 3,8 | 3,7 | 3,6 | 5 | 4,6 | 4,4 | 4,3 | 4,2 | 4,1 | 4,0 |
6 | 6 | 4,5 | 3,9 | 3,5 | 3,3 | 3,2 | 3,1 | 6 | 5,3 | 5,1 | 4,9 | 4,7 | 4,6 | 4,5 | 6 | 5,5 | 5,4 | 5,3 | 5,2 | 5,1 | 5,0 |
7 | 7 | 5,4 | 4,6 | 4,2 | 4,0 | 3,9 | 3,8 | 7 | 6,2 | 5,9 | 5,8 | 5,7 | 5,6 | 5,5 | 7 | 6,5 | 6,4 | 6,3 | 6,2 | 6,1 | 6,0 |
--------------------------------
<x> Горловина формирования горочной станции и расформирования - формирования безгорочной станции (при

).
<xx> Горловина участковой станции при заданном на расчетный период количестве расформируемых и формируемых поездов (при

).
<xxx> Горловина, не предусмотренная случаями 1 и 2 (при

).
3.3.10. Продолжительность занятия горловины приемом грузового (пассажирского) поезда, а также отправлением поезда и маневровыми передвижениями определяется следующим образом. Находится путь со средним числом переводимых стрелок в маршруте приема и средним расстоянием от входного светофора до предельного столбика пути приема; для этого пути определяется время занятия горловины приемом поезда и при расчете пропускной способности учитывается значение tпр, соответствующее условиям приема поезда на путь с указанными средними для рассматриваемого парка параметрами. При электрической централизации стрелок (когда время на перевод стрелок незначительно) учитывают путь, для которого расстояние lвх или lг близко к среднему значению; при ручном обслуживании стрелок - путь, для которого число переводимых стрелок наиболее близко к среднему значению.
Так, для парка, изображенного на
рисунке 3.3.2, время занятия горловины
tпр определяется при условии приема поезда на путь 5. В этом случае число переводимых стрелок при подготовке маршрута будет равно трем (при приеме поезда на самый "легкий" путь 3 переводятся две стрелки, а на самый "трудный" путь 11 - четыре стрелки); близка к среднему значению будет и величина
lвх.
3.3.11. Продолжительность занятия горловины приемом, отправлением и сквозным пропуском поездов (в случае оборудования прилегающих к станции участков
автоматической блокировкой и следующих способах управления стрелками на станциях: ручное обслуживание, электрическая и маршрутно-релейная централизация) определяется по графикам на
рисунках 3.3.3 -
3.3.5. В графиках приведены примерные нормы времени в соответствии с Инструкцией по определению станционных и межпоездных интервалов, утвержденной ОАО "РЖД" 9 декабря 2016 г. N 721. В графики на
рисунках 3.3.3 -
3.3.5 включены операции, которые выполняются, как правило, последовательно. Операции, выполнение которых может совмещаться во времени с другими операциями, не показаны в графиках. К таким операциям могут быть отнесены, например, переговоры между дежурными по станциям по организации движения поездов, которые могут выполняться параллельно с приготовлением маршрута или же заблаговременно.
В графиках применены следующие условные обозначения:
Пс - число стрелочных постов, участвующих в подготовке маршрута приема, отправления или сквозного пропуска поезда;
C - число стрелок, переводимых при подготовке соответствующего маршрута;
lс - расстояние, проходимое дежурным стрелочного поста в процессе приготовления маршрута (с учетом возвращения на стрелочный пост).
Если в подготовке маршрута участвуют несколько стрелочных постов, то значение
C и
lс определяются для каждого поста и в расчет продолжительности занятия горловины принимается наибольшее значение

, соответствующее одному из этих постов (с учетом возможности заблаговременной подготовки части маршрута).
При наличии старших дежурных стрелочных постов к продолжительности занятия горловины, определенной в соответствии с приведенными графиками, добавляется время на получение дежурными стрелочных постов распоряжения от старшего дежурного стрелочного поста о приготовлении маршрута и на доклад о его готовности (приблизительно 0,1 мин. на каждого дежурного стрелочного поста, участвующего в подготовке маршрута). Необходимо также учитывать устанавливаемое в зависимости от местных условий время на проверку старшим дежурным стрелочного поста правильности приготовления маршрута.
При отсутствии электрической изоляции проверка свободности пути приема поезда должна производиться, как правило, заблаговременно с соблюдением требований действующей Инструкции по движению поездов и маневровой работе на железнодорожном транспорте Российской Федерации или параллельно с приготовлением маршрута порядком, установленным техническо-распорядительным актом станции.
Для условий расчета пропускной способности (когда наиболее загруженные стрелки используются по возможности непрерывно) время на разделку маршрута не учитывается, так как обычно при интенсивной работе операции по переводу стрелок в нормальное положение или на свободный путь при разделке в одних маршрутах совмещаются с переводом этих же стрелок при подготовке других маршрутов. При этом следует иметь в виду, что на станциях с электрической централизацией установка стрелок в нормальное положение не обязательна.
При сквозном пропуске нескольких попутно следующих поездов некоторые операции (см., например, на
рисунке 3.3.5 операции N 2, 4, 8 и 11) для пропуска поездов, начиная со второго, будут отсутствовать.
При полуавтоматической блокировке, электрожезловой системе, телефонной связи продолжительность выполнения операции N 5 должна устанавливаться с учетом того, что на открытие входного или выходного сигнала требуется: при светофорной сигнализации - 0,05 мин.; при семафорной сигнализации - 0,1 мин.; то же при размещении сигнальной лебедки вне помещения поста - 0,3 мин. Разрешение об открытии входного или выходного светофора дежурный по станции дает после доклада старших дежурных стрелочных постов (или сигналистов) о готовности маршрута приема, отправления или пропуска поезда (время на дачу разрешения учитывается в продолжительности выполнения операции N 3).
При отсутствии выходных светофоров время занятия горловины отправлением поезда при электрожезловой системе, телефонной (телеграфной) связи должно определяться в соответствии с
Правилами технической эксплуатации железных дорог Российской Федерации. При этом дополнительно должна учитываться продолжительность:
дачи указания дежурного по станции старшему дежурному стрелочного поста, оператору или дежурному по путям (после подготовки маршрута отправления) о выдаче машинисту локомотива разрешения на право занятия перегона - 0,1 мин.;
доставки разрешения машинисту локомотива - 0,01 lр (где lр - расстояние прохода дежурного стрелочного поста, оператора или дежурного по путям до локомотива);
проверки машинистом правильности разрешения на право занятия перегона (время на проверку разрешения учитывается в продолжительности выполнения операции N 6 на
рисунках 3.3.3 и
3.3.5).
3.3.12. При обращении длинносоставных и соединенных поездов необходимо учитывать следующее.
Когда принимаемый на станцию длинносоставный (соединенный) поезд обрабатывается без отцепки неумещающейся на пути приема группы вагонов с занятием части либо всей входной горловины (выходная или предгорочная горловина при приеме поезда свободна), то время занятия приемом поезда входной горловины равно сумме величин
tпр,, определяемой по графику на
рисунке 3.3.3 с учетом расстояния
Lпр по
формуле (3.3.3), и дополнительного времени занятия входной горловины до момента трогания при отправлении или взятии на горку состава этого поезда.
Время занятия выходной горловины отправлением такого поезда
tот определяется по графику
(рисунок 3.3.4) с учетом расстояния
Lот по
формуле (3.3.4), а входная горловина при этом занимается от момента трогания до ее освобождения отправляемым или надвигаемым на горку составом поезда повышенной длины.
Если принимаемый на станцию длинносоставный (соединенный) поезд обрабатывается без отцепки с занятием части либо всей выходной или предгорочной горловины, то время занятия входной горловины приемом поезда
tпр определяется по графику
(рисунок 3.3.3) с заменой в
формуле (3.3.3) величины
lпол на длину этого поезда
lп. При этом время занятия приемом поезда выходной или предгорочной горловины равно сумме значений
tпр, определяемой так же, как для входной горловины, и дополнительного времени занятия выходной или предгорочной горловины до момента трогания при отправлении или взятии на горку длинносоставного поезда.
Время занятия выходной горловины отправлением такого поезда
tот определяется по графику на
рисунке 3.3.4 (без учета операций N 1 - 4, так как маршрут отправления готовится при приеме поезда на станцию) с заменой в
формуле (3.3.4) длины этого поезда
lп на полезную длину пути отправления
lпол.
Надо иметь в виду, что если перед надвигом на горку состава поезда повышенной длины он осаживается в сторону входной горловины, то должно учитываться ее занятие этой операцией.
Когда от хвоста принятого на станцию длинносоставного поезда отцепляется маневровым локомотивом неумещающаяся на пути приема группа вагонов (выходная или предгорочная горловина при приеме поезда свободна), то время занятия приемом поезда входной горловины равно сумме значений
tпр, определяемой по графику на
рисунке 3.3.3 с учетом расстояния
Lпр, определенного по
формуле (3.3.3), и общей продолжительности выполнения предусмотренных графиком на
рисунке 3.3.6 операций по отцепке и перестановке неумещающейся группы вагонов.
На графике
(рисунок 3.3.6) время 0,4 мин. соответствует времени установки маршрута и открытия светофора при ЭЦ; для конкретной станции время на эти операции определяется с учетом местных условий и проверяется хронометражем.
Для конкретных станций время выполнения маневровых передвижений по перестановке групп вагонов при их отцепке и прицепке определяется с использованием норм времени на маневровые работы.
Время занятия входной горловины отправлением длинносоставного поезда (от хвоста которого после приема отцеплялись вагоны) равно сумме значений общей продолжительности выполнения предусмотренных графиком на
рисунке 3.3.7 операций по прицепке группы вагонов и времени от момента трогания длинносоставного поезда до освобождения входной горловины отправлением такого поезда. Время занятия выходной горловины отправлением длинносоставного поезда
tот определяется по графику на
рисунке 3.3.4.

Если от головы принятого на станцию длинносоставного поезда с занятием части либо всей выходной или предгорочной горловины отцепляется поездным локомотивом группа вагонов, то время занятия входной горловины приемом поезда
tпр определяется по графику на
рисунке 3.3.3 с заменой в
формуле (3.3.3) величины
lпол на длину этого поезда
lп. При этом время занятия приемом поезда выходной или предгорочной горловины равно сумме значений
tпр, определяемой так же, как для входной горловины, и общей продолжительности выполнения предусмотренных графиком на
рисунке 3.3.8 операций по отцепке и перестановке группы вагонов.
При прицепке группы вагонов в хвост длинносоставного поезда время занятия входной и выходной горловин отправлением такого поезда определяется так же, как в предыдущем случае с использованием графиков на
рисунках 3.3.4 и
3.3.7.
В случае прицепки группы вагонов в голову длинносоставного поезда время занятия выходной горловины по отправлению такого поезда (входная горловина при этом свободна) равно сумме значений общей продолжительности выполнения предусмотренных графиком на
рисунке 3.3.7 операций по прицепке групп вагонов и времени отправления такого поезда
tот, определяемого по графику на
рисунке 3.3.4 (без учета операций N 1 - 4, так как маршрут отправления готовится уже при прицепке группы вагонов) с заменой в
формуле (3.3.4) длины этого поезда
lп на полезную длину пути отправления
lпол.
При приеме транзитного соединенного поезда с остановкой у входного сигнала локомотива головного поезда для разъединения, время занятия входной горловины равно сумме величин
tпр, определяемой по графику на
рисунке 3.3.7 при
Lпр =
lв +
lт, и общей продолжительности выполнения операций, предусмотренных графиком на
рисунке 3.3.9 для варианта 1.
В случае остановки у входного сигнала локомотива хвостового поезда для разъединения, время занятия входной горловины равно сумме значений
tпр, определяемой по графику на
рисунке 3.3.3 при
Lпр =
lв +
lт +
lп1 (где
lп1 - длина головного поезда), и общей продолжительности выполнения операций, предусмотренных графиком на
рисунке 3.3.9 для варианта 2.
При наличии на сортировочной станции обходного или соединительного пути при приеме соединенного поезда и последующем его разъединении частично занимается предгорочная горловина, но входная горловина после остановки соединенного поезда полностью освобождается.
В случае отсутствия соединительного или обходного пути во избежание занятия как предгорочной, так и входной горловины, прием соединенного поезда осуществляется с остановкой у входного сигнала для разъединения
(рисунок 3.3.9).
Когда соединенный поезд состоит из двух поездов, прибывших в расформирование, то время занятия входной горловины приемом
tпр определяется по графику на
рисунке 3.3.3 с заменой в
формуле (3.3.3) величины
lпол на сумму
lп1 +
lп2 (где
lп1 и
lп2 - длина соответственно головного и хвостового поездов). Время занятия предгорочной горловины приемом соединенного поезда равно сумме значений
tпр, определенной так же, как для входной горловины, и общей продолжительности выполнения предусмотренных графиком на
рисунке 3.3.10 операций по разъединению и перестановке состава головного поезда на свободный путь парка приема.

Когда соединенный поезд состоит из транзитного (головного) поезда и поезда, прибывшего в расформирование, то время занятия входной горловины приемом
tпр определяется так же, как в предыдущем случае, а предгорочной горловины равно сумме значений
tпр и общей продолжительности выполнения предусмотренных графиком на
рисунке 3.3.11 операций по разъединению и отправлению головного (транзитного) поезда в транзитный парк или парк отправления.

При отправлении соединенного поезда, при длине первого блок-участка перегона, примыкающего к станции, менее длины соединенного поезда, время занятия выходной горловины равно сумме общей продолжительности выполнения предусмотренных графиком на
рисунке 3.3.12 операций по отправлению головного поезда на перегон, присоединения к нему хвостового поезда и времени занятия этой горловины отправлением соединенного поезда
tот, определяемой по графику на
рисунке 3.3.4 (без учета операций N 1 - 4, так как маршрут отправления готовится при выводе головного поезда) при
Lот =
lп2. При достаточной длине первого блок-участка перегона, примыкающего к станции для объединения соединенного поезда, время занятия выходной горловины равно сумме операций 1 - 4 предусмотренных графиком на
рисунке 3.3.12.

Примечание. Возможно соединение хвостового и головного поездов со стороны входной горловины, если при этом обеспечивается прием поездов на часть путей парка приема. Время и порядок соединения головного и хвостового поезда устанавливается местными инструкциями.
При сквозном пропуске длинносоставного или соединенного поезда, время занятия входной и выходной горловин определяется по графику на
рисунке 3.3.5 с заменой в
формуле (3.3.3) величины
lпол на сумму
lп1 +
lп2 и в
формуле (3.3.4) - величины
lп на ту же сумму.
3.3.13. Время занятия стрелочной горловины маневровым составом
tман или одиночным локомотивом
tл определяется в установленном ОАО "РЖД" порядке по расчету норм времени на маневровые работы или по формулам:

; (3.3.5)

, (3.3.6)
где tм - время приготовления маршрута, мин.;
0,06 - коэффициент перевода ч/км в мин./м;
Lман - расстояние маневрового передвижения с учетом длин полурейса (рейса) и маневрового состава, м;
Lл - расстояние передвижения локомотива, м;
vман - средняя скорость маневрового передвижения, км/ч;
vл - средняя скорость передвижения локомотива, км/ч.
В этом случае средние скорости передвижений устанавливаются тяговыми расчетами с проверкой значений tман и tл хронометражными наблюдениями.
Маршрут надвига и роспуска в предгорочной горловине разбивается на две части:
а) от начала надвига состава с пути приема и роспуск до освобождения горочным локомотивом предельного столбика (или секции ЭЦ) на выходе с пути приема (продолжительность этого передвижения не корректируется);
б) от проследования указанного предельного столбика (или секции ЭЦ) до окончания роспуска (продолжительность этого передвижения корректируется по
таблице 3.3.3).
Например, если время от проследования предельного столбика до окончания роспуска составляет

и за это время передвижение совершается по трем элементам (стрелочным секциям) C
к = 3, то скорректированное время

, которое и используется при расчете пропускной способности горловины.
Если состав поезда не вмещается на одном пути, то время роспуска

должно включать полное время занятия соответствующих стрелок горловины до момента их освобождения после перестановки невмещающейся части состава на другой путь.
3.3.14. В горловине со смешанным управлением стрелок (когда одна часть стрелок оборудована электрической централизацией, а другая имеет ручное управление) продолжительность занятия какого-либо маршрута определяется тем способом управления стрелок, который требует наибольшего времени на перевод стрелок и выполнение других операций (при условии, что подготовка стрелок маршрута при всех применяемых в этой горловине способах управления осуществляется параллельно).
3.3.15. Время занятия путей парков (с точностью до 1 мин.) определяется по формулам:
транзитным поездом:

; (3.3.7)
поездом, прибывающим в расформирование,

; (3.3.8)
поездом, расформировываемым по частям,

; (3.3.9)
поездом, отправляемым после формирования,

, (3.3.10)
где t'пр = t'м + tвх - время занятия пути приемом поезда (исходя из местных условий началом занятия пути может считаться момент дачи разрешения на соседнюю станцию об отправлении с нее поезда);
tст - время занятия пути выполнением соответствующих операций, предусмотренных технологическим процессом;
tст.ч - время выполнения технологических операций по прибытии с частью состава, подлежащей расформированию в первую очередь;
tр.ч - время расформирования первой части состава (или частей состава, кроме последней, если состав делится более чем на две части);
t'от =
t'вых - время занятия пути отправлением поезда с момента трогания до освобождения первой стрелки (секции), расположенной при выходе с пути отправления; например, при отправлении поезда с пути N 5 (см.
рисунок 3.3.2) - до освобождения стрелки 22 (при наличии же электрической централизации - стрелки 20, входящей вместе со стрелкой 22 в одну секцию);
tуб - время занятия пути приема уборкой состава, прибывшего в расформирование;
tпод - занятия пути отправления подачей (выставкой) состава своего формирования.
При учете времени занятия пути выполнением соответствующих операций, предусмотренных технологическим процессом (tст), необходимо учитывать различные нормативы времени обработки грузовых поездов различных категорий:
транзитного поезда со сменой локомотивной бригады;
транзитного поезда со сменой локомотива;
транзитного поезда с прицепкой и (или) отцепкой групп вагонов
Также при учете времени занятия пути необходимо учитывать время, затраченное на пропуск транзитных поездов без остановки по данному пути.
Нормативы длительности обработки составов поездов различных категорий и (или) назначений могут устанавливаться дифференцированными в зависимости от нормативного количества вагонов в составах и конфигурации гарантийных участков безотказного проследования грузовых вагонов.
Число поездов вышеперечисленных категорий определяется на основе статистического анализа работы станции в месяц максимальных грузовых перевозок за расчетный период.
Примечания:
1. Для сокращения времени занятия пути в случае ручного управления стрелками маршрут приема попутного поезда должен приготовляться заблаговременно в период освобождения данного пути отправляемым поездом.
При этом, если местные условия работы станции обеспечивают такой порядок приготовления маршрутов, то величина t'м включает в себя время на проверку свободности пути приема и открытие входного сигнала.
2. В случае необходимости величины
t'пр,
t'от,
tуб,
tпод определяются с учетом указанного в
пункте 3.3.12 настоящей Инструкции дополнительного времени занятия горловин отцепкой-прицепкой групп вагонов длинносоставных поездов или разъединением-соединением соединенных поездов (если это время не совмещается с
tст).
3. При одновременной обработке основной и отцепляемой частей длинносоставного поезда в качестве tст принимается наибольшее значение; при обработке с разъединением головного и хвостового составов соединенного поезда учитывается время обработки каждого из этих составов (см. Типовой технологический процесс работы сортировочной станции).
4. Если в рассчитываемом парке нет специального ходового пути, то в tзан включается время занятия железнодорожного пути всеми передвижениями и операциями (подачей-уборкой поездного локомотива, заездом горочного локомотива и иных), связанными с одним поездом соответствующей категории.
5. Если пути рассчитываемого парка заняты частями поездов при расформировании и формировании, то для них величина tзан должна включать время выполнения этих операций.
Таким образом, в величину tзан входит время с момента приготовления маршрута поезду на данный путь до полного освобождения пути, включая занятие путей рассчитываемого парка всеми передвижениями подвижного состава, связанными с обслуживанием данного поезда.
Затраты времени
tуб,
tпод и
tр.ч устанавливаются с использованием действующего нормативного документа по расчету норм времени на маневровые работы, выполняемые на железнодорожном транспорте. При необходимости примерные значения этих величин могут быть определены по
формуле (3.3.5) при подстановке в нее соответствующих значений расстояний и средней скорости передвижения, с последующей проверкой полученных величин натурными наблюдениями.
3.3.16. На станциях с длиной приемоотправочных путей менее унифицированной, предусмотренной приказами об установлении норм массы и длины на участке, обработка составов производится с занятием стрелочных горловин, соединительных, ходовых и других путей; поэтому необходимо с учетом местных условий установить такой порядок обработки, расформирования и формирования составов этих поездов, чтобы были обеспечены наибольшая параллельность выполнения операций и максимальное сокращение враждебности маршрутов поездных и маневровых передвижений.
3.3.17. Внедрение устройств автоматической блокировки и автоматической локомотивной сигнализации как самостоятельного средства интервального регулирования движения поездов с изменяемыми в зависимости от скорости и массы поезда "подвижными" границами блок-участков, а также организации движения грузовых поездов по технологии "Виртуальная сцепка" может привести к изменениям расчетной инфраструктурной модели (см.
пункт 3.1.8 и
подраздел 3.2 настоящей Инструкции) и времени проследования поездов по стрелочным горловинам. При этом данные изменения для каждой станции являются индивидуальными и зависят, прежде всего, от существующего путевого развития и возможности обеспечения уменьшенного межпоездного интервала.
Данные изменения наборов исходных данных для расчета, изложенных в
подразделах 3.2 -
3.3 настоящей Инструкции, не влияют на методические подходы к определению пропускной способности элементов станционной инфраструктуры и станций в целом.
3.4. Расчет пропускной способности станционных путей
3.4.1. Рассчитывается общее время занятия путей рассчитываемого парка предусмотренными технологическим процессом операциями с грузовыми поездами, зависящими от размеров движения и специализации путей (с точностью до 1 мин.):

(3.4.1)
где n'тр1, n'тр2 и т.д. - число транзитных поездов, пропускаемых через парк соответственно с подходов 1, 2 и т.д. (число поездов различных категорий каждого подхода, выхода принимается по заданию);
n'р1, n'р2 и т.д. - число разборочных поездов всех категорий (кроме сборных и вывозных с работой на участке), поступающих в парк соответственно с подходов 1, 2 и т.д.;
n'ф1, n'ф2 и т.д. - число поездов своего формирования всех категорий (кроме сборных и вывозных с работой на участке), отправляемых из парка соответственно на выходы 1, 2 и т.д.;

,

и т.д. - время занятия пути выполнением технологических операций с поездами соответствующих категорий и различных подходов (выходов), определяемое в соответствии с
пунктом 3.3.15 настоящей Инструкции;
n'i - число передач углового потока или местных вагонов и составов поездов, выставляемых из других парков в парк приема для расформирования на горке, если на расчетный период число этих передач (составов) зависит от размеров движения;
tзанi - время занятия пути одной передачей (составом) по технологическому процессу.
Обработка длинносоставных (соединенных) поездов может осуществляться с отцепкой или целиком (с разъединением головного и хвостового поездов или без него), что должно учитываться в
формуле (3.4.1) с подстановкой соответствующего значения
tзан (см.
пункт 3.3.15 настоящей Инструкции); указанное должно учитываться и при определении пропускной способности путей (см.
пункт 3.4.3 настоящей Инструкции).
Если длинносоставный или соединенный поезд не вмещается целиком на одном пути (либо часть путей имеет полезную длину меньше унифицированной на данном участке), то для этих поездов в
формуле (3.4.1) вместо соответствующего члена должно входить следующее время:
при использовании двух путей для размещения одного состава - 2n'чtзан.ч;
при использовании трех путей для размещения двух составов - 1,5n'чtзан.ч.
где n'ч - число длинносоставных или соединенных поездов (либо число поездов нормальной длины), размещаемых частями на двух-трех путях;
tзан.ч - время занятия пути выполнением технологических операций с таким поездом (с учетом необходимости осуществления перестановок частей состава).
Если в приемоотправочном парке участковой станции обрабатываются транзитные поезда, прибывающие с однопутных линий, и производится отправление из парка на эти же однопутные линии, то в
формуле (3.4.1) вместо
tзан берется величина:

,
где П - число путей (кроме ходовых) в рассчитываемом парке, используемых для грузовых поездов. Однако, если к парку непосредственно примыкает двухпутный перегон однопутной линии с двухпутными вставками, то в
формуле (3.4.1) учитывается
tзан.
Если по заданию на расчетный период число сборных или вывозных поездов с отцепкой и/или прицепкой вагонов на участке увеличивается пропорционально росту размеров движения, то в
формулу (3.4.1) дополнительно должно входить произведение:

,
где n'сб - число сборных (вывозных) поездов с соответствующего подхода (выхода);

- время перерыва в использовании пути из-за пропуска сборного (вывозного) поезда, равное:
 , | | для путей, специализированных для грузовых поездов; только нечетного или четного направления; |
 , | | для путей, специализированных для грузовых поездов; нечетного или четного направлений; |
I - минимально возможный (по условиям пропускной способности участка) интервал между грузовыми поездами, мин.;

- период графика пары поездов на ограничивающем перегоне (при непарном непакетном, парном частично пакетном и непарном частично пакетном графиках определяется в соответствии с
подразделами 2.2 и
2.3 настоящей Инструкции);

- коэффициент съема сборного (вывозного) поезда на участке, определяемый порядком, указанным в
подразделе 2.9 настоящей Инструкции (если сборные поезда одной линии и направления имеют разные

то в расчет принимается средневзвешенное значение).
3.4.2. Коэффициент использования (с точностью до 0,001) имеющейся мощности парка путей

, (3.4.2)
где

- коэффициент, равный 1 при расчете приемоотправочных парков для транзитных поездов без изменения массы и длины, а при расчете путей парков приема или парков отправления сортировочных станций - принимаемый в соответствии с данными
таблицы 3.4.1;

- коэффициент, учитывающий влияние на использование путей движения пассажирских (включая пригородные) и сборных поездов;

- время занятия (с точностью до 1 мин.) путей, используемых для грузовых поездов, в среднем в течение суток работами по текущему обслуживанию, плановым видам ремонта и снегоуборке
(таблица 3.4.2);

- время занятия (с точностью до 1 мин.) путей, используемых для грузовых поездов, выполнением в течение суток прочих постоянных операций, не изменяющихся пропорционально размерам движения.
Следует обращать внимание на то, чтобы влияние каких-либо пассажирских (сборных) поездов не учитывалось бы дважды: в значениях

и

.
Перечень характеристик условий расчета и значения коэффициента

приведен в
таблице 3.4.1, где используются условные обозначения:
1ПАБ - однопутный подход (выход), оборудованный полуавтоматической блокировкой или электрожезловой системой сигнализации;
1АБ - то же, оборудованный автоблокировкой или автоматической локомотивной сигнализацией как самостоятельным средством интервального регулирования движения поездов, в том числе с двухпутными вставками;
2ПАБ - двухпутный подход (выход), оборудованный полуавтоматической блокировкой или телефонными средствами связи;
2АБ - то же, оборудованный автоблокировкой или автоматической локомотивной сигнализацией как самостоятельным средством интервального регулирования движения поездов.
Характеристика подхода (выхода) | Значение  при расчете парка приема (отправления) сортировочной станции |
первого | второго |
1ПАБ | - | 1,01 |
1АБ | - | 1,02 |
2ПАБ | - | 1,04 |
2АБ | - | 1,02 |
1ПАБ | 1ПАБ | 1,03 |
1АБ | 1ПАБ | 1,04 |
1АБ | 1АБ | 1,09 |
1АБ | 2ПАБ | 1,10 |
2ПАБ | 1ПАБ | 1,06 |
2АБ | 1ПАБ | 1,09 |
2ПАБ | 1АБ | 1,06 |
2АБ | 1АБ | 1,09 |
2ПАБ | 2ПАБ | 1,13 |
2АБ | 2ПАБ | 1,13 |
2АБ | 2АБ | 1,08 |
Значение коэффициента
(таблица 3.4.1) показывает, во сколько раз при прочих равных условиях влияние пассажирских и сборных поездов на использование путей парка приема (отправления) меньше, чем на использование приемоотправочного парка для транзитных поездов без изменения массы и длины. Если рассчитываемый парк предназначен для совместной обработки поездов различных категорий (поездов, прибывших в расформирование, своего формирования и транзитных поездов без изменения массы и длины), то значение коэффициента

должно соответствовать преобладающей категории обрабатываемых в нем поездов.
Влияние движения пассажирских (включая пригородные) и сборных поездов учитывается в том случае, если они обращаются совместно с грузовыми по одним и тем же главным путям в пределах ближайших к рассматриваемой станции двух-трех перегонов. Перед расчетом необходимо установить, какие категории грузовых поездов и с каких линий обрабатываются в рассматриваемом парке или группе путей, и учесть влияние движения пассажирских и сборных поездов тех же линий.
Если секции путей парка, кроме специализации по направлениям движения (см.
пункт 3.2.4 настоящей Инструкции), жестко специализированы по примыкающим линиям, то пассажирские (сборные) поезда каждой линии оказывают влияние только на секцию путей, предназначенную для грузовых поездов той же линии. Поэтому коэффициент

должен определяться отдельно для каждой секции путей.
Коэффициент

, учитывающий влияние движения пассажирских и сборных поездов на использование путей парка, определяется по
формулам (3.4.3) -
(3.4.9):
примыкание к парку одной линии

; (3.4.3)
примыкание к парку двух и более линий

(3.4.4)
где nпсI, nпсII - заданное на расчетный период число пассажирских поездов соответственно на подходе (выходе) I и II (пассажирские поезда разового назначения в основном расчете не учитываются);
nсбI, nсбII - то же сборных поездов;

- время перерыва в использовании пути парка или стоянки на нем грузового поезда сверх технологической нормы из-за движения одного пассажирского поезда рассматриваемого направления, мин.;

- время перерыва в использовании пути из-за движения одного сборного поезда рассматриваемого направления, мин.
За подход (выход) I принимается тот, на котором задано наибольшее число пассажирских поездов, за подход (выход) II - со следующими по значению заданными размерами пассажирского движения и т.д.
Для парков приема и приемоотправочных парков число подходов берется по прибытии, а для парков отправления число выходов - по отправлению.
Если к рассчитываемому парку примыкает более двух подходов (выходов), то заданное для третьего и других подходов (выходов) число пассажирских (сборных) поездов прибавляется к числу пассажирских (сборных) поездов на втором подходе (выходе) и полученные суммарные значения используются при определении коэффициента

. При этом условно считается, что техническое оснащение третьего, четвертого подходов (выходов) такое же, как и второго.
Время

определяется следующим образом.
В случае
1ПАБ 
, мин. (3.4.5)
где

- средневзвешенное время стоянки пассажирского поезда по технологическому процессу, мин.;

- период графика пары поездов на ограничивающем перегоне, мин. (для непарных и частично-пакетных графиков (см.
подразделы 2.2 -
2.3 настоящей Инструкции)).
В случае
1АБ 
(3.4.6)
В случаях
2ПАБ и
2АБ 
, (3.4.7)
где I - расчетный интервал между грузовыми поездами, мин.;
d - разность времени хода грузового и пассажирского поездов между ближайшей станцией обгона и рассчитываемой станцией (для приемоотправочных парков и парков приема со стороны прибытия, для парков отправления со стороны отправления), мин.
Время

определяется следующим образом (см. пункт 3.4.1 настоящей Инструкции,
частный случай):
В случаях
1ПАБ и
1АБ 
, (3.4.8)
где

- коэффициент съема сборными поездами на однопутных линиях при полуавтоматической (автоматической) блокировке, определяемый порядком, изложенным в
подразделе 2.9 настоящей Инструкции.
В случаях
2ПАБ и
2АБ 
, (3.4.9)
где

- коэффициент съема сборными поездами на двухпутных линиях.
Например, если к парку примыкают две двухпутные линии с автоблокировкой,
I =
8 мин.,
d = 3 мин.,

,
nпсI = 40,
nсбI = 0,
nпсII = 40 и
nсбII = 4, то:
Частные случаи:
А) Если в объединенном парке обрабатываются грузовые поезда нескольких линий (например, "
А" и "
Б"), а пассажирское движение осуществляется только на одной из них (например, на линии "
А"), то полученный по графику или формуле коэффициент

умножается на

, где
n'грА - число грузовых поездов линии, на которой имеется пассажирское движение.
Б) Если грузовые поезда какой-либо линии (например линии
"А") одной категории (например, транзитные без переработки) обрабатываются в двух парках станции (например, в парках 1 и 2), то полученный по формуле коэффициент

умножается на величину

, где

- число грузовых поездов, обрабатываемых в рассматриваемом парке (например, в парке 1).
В) Если имеются две линии, которые на подходе к рассматриваемой станции (через 1 - 2 перегона) объединяются в одну, то коэффициент

определяется по формуле, соответствующей случаю примыкания упомянутых двух линий.
Г) Проходящий пассажирский поезд с переменой направления движения учитывается при определении коэффициента

для парков приема и приемоотправочных (транзитных) парков только один раз - по приему на рассматриваемую станцию, а для парков отправления - только по отправлению со станции.
Д) Если на подходе имеется двухпутная линия, которая на подходе к рассматриваемой станции (за 1 - 2 перегона) переходит в однопутную, то коэффициент

определяется как для двухпутной линии.
В продолжительность занятия приемоотправочных путей выполнением прочих постоянных операций может включаться простой только того подвижного состава, который нельзя разместить на других путях; обоснование занятия приемоотправочных путей таким подвижным составом должно быть дано в пояснительной записке к расчету пропускной способности путевого развития станции.
К числу прочих постоянных операций относятся следующие:
отстой составов пригородных поездов;
обработка пассажирского (сборного) поезда какой-либо линии в парке, не специализированном для грузовых поездов этой же линии;
подача-уборка локомотивов пассажирских (сборных) поездов;
расформирование-формирование составов сборных поездов;
стоянка или пропуск передач местных вагонов перед подачей к местам погрузки, выгрузки (в том числе на железнодорожные пути необщего пользования) или после их уборки, когда число передач на расчетный период задано;
обработка или пропуск заданного на расчетный период числа угловых передач, составов сборных и других поездов, переставляемых в рассчитываемый парк для расформирования из других парков станции;
обработка или пропуск заданного на расчетный период числа ускоренных, контейнерных и других поездов, непосредственно принимаемых (отправляемых) в рассчитываемый парк;
занятие путей парка накоплением вагонов, если на расчетный период задано число поездов своего формирования, и т.д.
Примечание. Если для какого-либо направления число поездов
n' (кроме пассажирских и сборных) на расчетный период задано (постоянно), то в

включается значение
n'tзан.
Время выполнения работ по текущему обслуживанию, плановым видам ремонта и снегоуборке учитывается, если технологические перерывы в работе станционного пути и горловины составляют менее 20 мин. Работы по текущему обслуживанию и ремонту контактной сети на станциях совмещаются с выполнением текущего содержания и ремонта станционных путей. Время, которое необходимо учитывать при определении пропускной способности в целом для парка путей и горловин станций, приведено в
таблице 3.4.2.
Примыкающие линии | Парки | Время выполнения, мин. |
текущего обслуживания в среднем в сутки за месяц | плановых видов ремонта в среднем в сутки за летний период | снегоуборки и борьбы с гололедом на станции в среднем в сутки за зимний период |
Неэлектрифицированные | Приема и отправления | 25 | 5 | 25 |
Сортировочные | 30 | 5 | 35 |
Экипировочные пассажирских станций | 30 | 5 | 35 |
Электрифицированные | Приема и отправления | 30 | 75 | 25 |
Сортировочные | 30 | 5 | 35 |
В расчет принимается наибольшее из имеющихся в
таблице 3.4.2 значений, т.е. соответствующее техническому обслуживанию, плановым видам ремонта или снегоуборке.
3.4.3. Возможно, что рассчитанные коэффициенты использования пропускной способности групп путей объединенного парка для нечетных и четных (см.
пункт 3.2.4 настоящей Инструкции) поездов могут получиться разными. Тогда для сохранения заданного соотношения пропускной способности рассчитываемого парка для поездов различных направлений и категорий пропускную способность указанных групп путей (см.
пункт 3.4.4 настоящей Инструкции) определяют по средневзвешенной для всего парка величине коэффициента использования пропускной способности его путей.
3.4.4. Определяется имеющаяся мощность путей (с точностью до 1 поезда) расчетного парка (группы путей объединенного парка - см.
пункт 3.2.4 настоящей Инструкции) для разных категорий поездов по каждому подходу или выходу;
транзитных с подходов 1, 2 и т.д.
nтр1 = n'тр1/K, nтр2 = n'тр2/K и т.д.
разборочных с подходов 1, 2 и т.д.
nр1 = n'р1/K, nр2 = n'р2/K и т.д.;
своего формирования на выходы 1, 2 и т.д.
nф1 = n'ф1/K, nф2 = n'ф2/K и т.д.
Мощность путей (пропускная способность парка) для каждой категории поездов округляется до целого значения в меньшую сторону.
На участковых станциях поезда своего формирования должны отправляться, как правило, с приемоотправочных путей (или сортировочно-отправочных путей при их наличии). При этом пропускная способность по отправлению поездов своего формирования берется из расчета пропускной способности соответствующей горловины (см.
пункт 3.4.6 настоящей Инструкции).
Общая имеющаяся мощность парка в грузовых поездах составляет:
по приему со всех подходов (с учетом поездов, обрабатываемых за время

),
nр + nсб.п + nтр;
по отправлению на все выходы (с учетом поездов, обрабатываемых за время

, а также отправляемых непосредственно с сортировочных путей - см.
пункт 3.4.6 настоящей Инструкции),
nф + nсб.о + nтр,
где nсб.п, nсб.о - соответственно число прибывающих и отправляемых сборных поездов.
3.4.5. Изменение только заданного числа пассажирских поездов какой-либо категории (при неизменных остальных исходных данных) требует соответствующей корректировки имеющейся мощности рассматриваемого парка для грузовых поездов. Например, при уменьшении на расчетный период числа пассажирских поездов с nпс.1 до nпс.2 имеющаяся мощность парка в грузовых поездах возрастет на величину

, (3.4.10)
где

- коэффициент, учитывающий влияние движения пассажирских и сборных поездов при
nпс.1, т.е. при размерах пассажирского движения, для которых согласно
пунктам 3.4.2 -
3.4.4 настоящей Инструкции была определена имеющаяся мощность;
tзан - время занятия пути выполнением технологических операций с грузовым поездом соответствующей категории или линии, для которой определяется прирост имеющейся мощности в связи с уменьшением заданного числа пассажирских поездов, мин.
Если меняется соотношение между транзитными и перерабатываемыми поездами, то нужен новый расчет пропускной способности.
3.4.6. При использовании части путей приемоотправочного парка в течение некоторого времени под накопление вагонов выделяется для этой цели (а также для отправления поездов своего формирования) минимально необходимое число путей; имеющаяся же мощность остальных путей парка рассчитывается указанным ранее порядком. Число отправляемых поездов с путей, выделенных для накопления (в том числе из сортировочно-отправочного парка), определяется с помощью коэффициента использования пропускной способности горловин, ограничивающих эти пути, при принятом соотношении поездов различных категорий.
Получаемое с помощью коэффициента использования пропускной способности горловин число поездов своего формирования не должно превышать пропускной способности сортировочно-отправочных путей, рассчитанной исходя из занятия этих путей выполнением только технологических операций без учета времени накопления.
При небольшом числе поездов своего формирования, когда выделение специального пути для накопления вагонов по местным условиям нецелесообразно, суммарное время накопления учитывается в величине

. Время накопления при этом определяется на основе анализа работы станции.
3.4.7. Межпарковые соединительные пути (в том числе имеющие примыкания) подлежат расчету, если по ним производится пропуск поездов и маневровых составов направлений, рассчитываемых для данной станции. Если между двумя станционными парками продвижение поездов осуществляется по двум или более соединительным путям, то каждый путь подлежит отдельному расчету в соответствии с его специализацией по направлениям и категориям пропускаемых поездов.
3.4.7.1. В зависимости от расстояний между парками, порядка пропуска поездов и маневровых составов по соединительному пути, устройств СЦБ, расстановки маршрутных и маневровых светофоров определяют:
время следования одного поезда категории i по рассчитываемому соединительному пути между осями парков (по данным тяговых расчетов с учетом разгонов и замедлений, предусмотренных схемой пропуска по соединительному пути поездов данной категории и направления) tслед.i (с точностью до 0,1 мин.);
интервалы времени от момента освобождения соединительного пути до момента начала занятия маршрута, ведущего из парка на рассчитываемый соединительный путь, поездом категории
i (в соответствии с действующей Инструкцией по расчету станционных и межпоездных интервалов, утвержденной ОАО "РЖД" 9 декабря 2016 г. N 721)

(с точностью до 0,1 мин.);
время занятия соединительного пути одним маневровым передвижением категории j, при котором исключен пропуск организованных поездов, в том числе при следовании маневровых составов либо одиночных локомотивов на примыкание и с примыкания к рассчитываемому соединительному пути (число передвижений категории j изменяется пропорционально размерам движения, заданным на расчетный период) tман.j (с точностью до 0,1 мин.);
время занятия соединительного пути поездными и маневровыми передвижениями, принятыми постоянными на расчетный период,

(с точностью до 1 мин.);
время занятия соединительного пути текущим обслуживанием, плановыми видами ремонта и снегоуборкой (по нормам
таблицы 3.4.2, установленным для путей парков приема и отправления)

.
3.4.7.2. Коэффициент использования (с точностью до 0,001) имеющейся мощности междупаркового соединительного пути

, (3.4.11)
где

- коэффициент, учитывающий влияние отказов технических средств на пропускную способность железнодорожных линий, принимаемый равным 0,9 при тепловозной тяге и 0,91 при электрической тяге;
n'i, n'ман.j - число соответственно поездов категории i и маневровых передвижений категории j в сутки, заданное на расчетный период.
3.4.7.3. Если между соединительным путем и главными путями перегона рассчитываемый поездопоток проходит через стрелочную горловину и не проходит по путям станционных парков, то для такого поездопотока междупарковый соединительный путь является непосредственным продолжением межстанционного перегона. В этом случае на его работу оказывает влияние движение пассажирских и сборных поездов в пределах ближайших к станции двух-трех перегонов. Поэтому коэффициент использования (с точностью до 0,001) имеющейся мощности междупаркового соединительного пути

, (3.4.12)
где

,

- коэффициенты, определяемые в соответствии с
пунктом 3.4.2 настоящей Инструкции.
3.4.7.4. Если междупарковый соединительный путь делится маршрутными светофорами на отдельные поездные маршруты, допускающие начало занятия поездного маршрута, ведущего из парка на рассчитываемый соединительный путь, до полного освобождения данного соединительного пути, то в качестве времени следования поезда tслед.i принимается максимальное время следования по каждому из составляющих поездных маршрутов от момента начала движения по маршруту до его полного освобождения.
3.4.7.5. Имеющаяся мощность междупаркового соединительного пути (с точностью до 1 поезда) для разных категорий поездов по каждому подходу или выходу определяется по коэффициенту использования порядком, указанным в
пункте 3.4.4 настоящей Инструкции.
3.5. Расчет пропускной способности стрелочных горловин
3.5.1. Пропускная способность горловины при помощи коэффициента использования рассчитывается в зависимости от продолжительности занятия горловины за сутки всеми операциями, предусмотренными технологическим процессом работы станции, и при прочих равных условиях зависит от принятого в расчет соотношения между числом поездов различных категорий и направлений (в том числе относящихся к постоянным операциям).
Примечание. Если в исходных данных указанное соотношение остается неизменным, а меняются только абсолютные значения числа поездов различных направлений и категорий, то это не повлияет на значение получаемой пропускной способности и она также остается неизменной.
К постоянным относятся все операции, которые не изменяются с увеличением размеров грузового движения, или число которых на расчетный период задается: операции, связанные с движением пассажирских и сборных поездов, обслуживанием локомотивного и вагонного хозяйств, погрузочно-выгрузочных пунктов и др. В отдельных случаях на участковых станциях к постоянным операциям может быть отнесено заданное на расчетный период число участковых поездов, на сортировочных станциях - транзитных поездов без переработки, а на специальных пассажирских станциях - заданное число грузовых поездов.
К операциям, зависящим от размеров движения, относятся поездные операции по приему, пропуску и отправлению грузовых поездов (кроме сборных), а также сопутствующие таким поездам операции по выполнению маневровой и сортировочной работы.
Число подач и уборок вагонов, приходящееся на один поезд, которое необходимо для расчета пропускной способности горловин грузовых станций, устанавливается в соответствии с
подразделом 3.8 настоящей Инструкции.
Перед расчетом пропускной способности горловины формируются технологические карты (см.
таблицу 3.3.2) по всем поездопотокам и по всем элементам инфраструктуры станции. Для каждой конкретной расчетной стрелочной горловины определяется время занятия стрелочных элементов (групп стрелочных переводов) операциями, зависящими и не зависящими от размеров движения, путем суммирования операций, указанных для данной расчетной горловины в технологических картах.
При заполнении технологических карт необходимо учитывать наряду с поездными операциями сопоставимое число сопутствующих маневровых операций (например, число подач-уборок поездных локомотивов должно соответствовать числу поездов, у которых меняются локомотивы; число заездов за составами расформируемых поездов должно быть равно числу прибывающих в расформирование поездов и т.д.). Также при указании в горловине станции сортировочной работы через вытяжной путь необходимо учитывать, что окончания формирования на вытяжках требуют не все составы (см.
подраздел 3.6 настоящей Инструкции), поэтому в сводную таблицу передвижений в технологической карте для маршрута "Окончание формирования состава на вытяжке" проставляется

, где

- доля составов, требующих окончания формирования на вытяжке;
n'оф - число переставляемых составов в парк отправления.
Для обеспечения наивысшей пропускной способности должны быть разработаны наиболее рациональные маршруты передвижений организованных поездов, маневровых составов и одиночных локомотивов. Если в пределах расчетной горловины передвижение осуществляется с переменой направления следования, то оно разбивается на число маршрутов, равное числу полурейсов; однако процесс собственно расформирования - формирования на вытяжке на отдельные маршруты не разбивается. С целью осуществления наибольшей параллельности маршруты, связанные, например, с приемом поездов с одного подхода в разные секции парка, нужно указывать отдельно, и должно быть обеспечено по возможности равномерное использование каждой секции путей этого парка. Необходимо также предусмотреть возможность осуществления вариантных маршрутов.
При указании маршрутов передвижений, совершаемых по горловинам, в технологической карте необходимо учитывать, что если масса состава превышает предельную норму по условию трогания на надвижной части горки одним локомотивом, то надвиг осуществляется двумя локомотивами, причем второй локомотив используется до тех пор, пока масса нерасформированной части состава станет равна установленной норме, после чего второй локомотив отцепляется и возвращается за очередным составом. При недостаточной длине сортировочных путей состав повышенной длины формируется из вагонов, накапливаемых на двух сортировочных путях. Состав повышенной длины может быть также образован пополнением транзитного поезда с головы или хвоста предварительно сформированной и обработанной группой вагонов.
Время занятия горловины передвижением по какому-либо маршруту

(с точностью до 0,1 мин.) определяется так, как это изложено в
пунктах 3.3.9 -
3.3.13 настоящей Инструкции.
3.5.2. Последовательность расчета рассматривается на примере изображенной на
рисунке 3.5.1 горловины участковой станции при условии, что соотношение между числом поездов различных категорий и направлений по заданию сохраняется и на расчетный период, а к постоянным операциям относятся только пассажирские и сборные поезда.
На основе анализа схемы горловины и характера ее работы намечаются интенсивно используемые группы стрелок (элементы), при этом охранные стрелки в число занятых каким-либо маршрутом не включаются. Особенно тщательно надо анализировать сложные горловины при значительном объеме постоянных операций. Элементы, по которым совершаются только постоянные операции, в дальнейшем не рассматриваются. В горловине на
рисунке 3.5.1 интенсивно используются следующие группы стрелок:
элемент а - стрелки 4, 6, 20, 32, 34;
элемент б - стрелки 2, 8, 10, 16;
элемент в - стрелки 12, 14;
элемент г - стрелки 18, 28.
Данное деление стрелочных переводов на расчетные элементы справедливо, если прием грузовых поездов четного направления или отправление нечетных поездов производится по тем же стрелочным переводам, что и вытягивание составов для сортировочной работы по вытяжному пути в четной горловине. Если по станции производится только пропуск грузовых и пассажирских (пригородных) поездов по главным путям, тогда как на приемоотправочных путях производится только обработка сборных поездов (включая сортировочную работу со сборными поездами через вытяжной путь), то данную горловину необходимо делить на две расчетные стрелочные горловины.
Перед расчетом пропускной способности горловины составляется сводная таблица передвижений, в которую вносятся все без исключения передвижения, совершаемые по рассчитываемой горловине. При этом если на расчетный период число участковых поездов будет увеличиваться пропорционально росту размеров движения, а сборных - оставаться постоянным или каким-то заданным, то в сводной таблице передвижений маршруты, относящиеся к этим двум категориям поездов, должны указываться отдельно; отдельно также указываются транзитные поезда без переработки.
Пример формирования сводной таблицы передвижений по расчетным элементам горловины станции в соответствии с технологическими картами для расчета пропускной способности стрелочной горловины, представленной на
рисунке 3.5.1, отражен в
таблице 3.5.1.
Таблица 3.5.1
Формирование сводной таблицы передвижений
по расчетным элементам горловины станции
в соответствии с технологическими картами
Наименования технологических карт | Маршруты (передвижения) | Задействованные элементы инфраструктуры станции | Продолжительность занятия маршрута одной операцией  , мин. | Число операций по маршруту n | Продолжительность занятия маршрута всеми операциями  , мин. | Участвующие группы стрелочных переводов |
изменяющимися | постоянными |
1. Нечетный пассажирский поезд | Отправление пассажирского поезда на подход Р с пути 3 | Четная стрелочная горловина | 4 | 10 | - | 40 | а | - | - | - |
2. Четный пассажирский поезд | Прием пассажирского поезда из Р на путь II | | 6 | 10 | - | 60 | б | - | - | - |
3. Нечетный транзитный поезд без переработки | Отправление транзитного грузового поезда на Р с путей 4 - 6 | | 5 | 25 | 125 | - | а | - | - | - |
| Уборка локомотива от транзитного поезда с путей 4 - 6 за стрелку 6 | | 2 | 25 | 50 | - | а | - | - | - |
| Уборка локомотива от транзитного поезда от стрелки 6 по пути I в депо | | 2 | 25 | 50 | - | а | - | - | - |
Подача локомотива под транзитный поезд по пути I за стрелку 6 | | 2 | 25 | 50 | | а | - | - | - |
Подача локомотива под транзитный поезд от стрелки 6 на пути 4 - 6 | | 2 | 25 | 50 | - | а | - | - | - |
4. Четный транзитный поезд без переработки | Прием транзитного грузового поезда из Р на пути 7 - 9 | | 7 | 38 | 266 | - | б | г | - | - |
5. Четный участковый поезд | Прием участкового поезда из Р на пути 7 - 9 | | 7 | 9 | 63 | - | б | г | - | - |
Заезд с вытяжки на пути 7 - 9 за половиной состава участкового поезда | | 1,5 | 9 | 13,5 | - | в | г | - | - |
Вытягивание половины состава участкового поезда с путей 7 - 9 на вытяжку | | 3 | 9 | 27 | - | в | г | - | - |
| Расформирование и формирование половины состава участкового поезда | | 15 | 9 | 135 | - | в | - | - | - |
6. Четный сборный поезд | Прием сборного поезда из Р на пути 7 - 9 | | 7 | 2 | - | 14 | б | г | - | - |
Заезд с вытяжки на пути 7 - 9 за половиной состава сборного поезда | | 1,5 | 2 | - | 3 | в | г | - | - |
Вытягивание половины состава сборного поезда с путей 7 - 9 на вытяжку | | 3 | 2 | - | 6 | в | г | - | - |
Расформирование и формирование половины состава сборного поезда | | 15 | 2 | - | 30 | в | - | - | - |
7. Нечетный участковый поезд | Уборка локомотива от участкового поезда с путей 4 - 6 за стрелку 6 | | 9 | 9 | 18 | - | а | - | - | - |
Уборка локомотива от участкового поезда от стрелки 6 по пути I в депо | | 2 | 9 | 18 | - | а | - | - | - |
Заезд с вытяжки на пути 4 - 6 за половиной состава участкового поезда | | 1,5 | 9 | 13,5 | - | в | г | - | - |
Вытягивание половины состава участкового поезда с путей 4 - 6 на вытяжку | | 3 | 9 | 27 | - | в | г | - | - |
Расформирование и формирование половины состава участкового поезда | | 15 | 9 | 135 | - | в | - | - | - |
8. Нечетный сборный поезд | Уборка локомотива от сборного поезда с путей 4 - 6 за стрелку 6 | | 2 | 2 | - | 4 | а | - | - | - |
Уборка локомотива от сборного поезда от стрелки 6 по пути I в депо | | 2 | 2 | - | 4 | а | - | - | - |
Заезд с вытяжки на пути 4 - 6 за половиной состава сборного поезда | | 1,5 | 2 | - | 3 | в | г | - | - |
Вытягивание половины состава сборного поезда с путей 4 - 6 на вытяжку | | 3 | 2 | - | 6 | в | г | - | - |
Расформирование и формирование половины состава сборного поезда | | 15 | 2 | - | 30 | в | - | - | - |
9. Нечетный участковый поезд своего формирования | Подача локомотива под участковый поезд по пути I за стрелку 6 | | 2 | 9 | 18 | | а | - | - | - |
Подача локомотива под участковый поезд от стрелки 6 в парк С | | 2 | 9 | 18 | - | а | б | в | - |
Отправление участкового поезда на Р из парка С | | 6 | 9 | 54 | | а | б | в | - |
10. Нечетный сборный поезд своего формирования | Подача локомотива под сборный поезд по пути I за стрелку 6 | | 2 | 2 | | 4 | а | - | - | - |
Подача локомотива под сборный поезд от стрелки 6 в парк С | | 2 | 2 | | 4 | а | б | в | - |
Отправление сборного поезда на Р из парка С | | 6 | 2 | | 12 | а | б | в | - |
3.5.3. Далее устанавливается, какой именно элемент является наиболее загруженным. С этой целью для каждого из интенсивно используемых элементов осуществляется следующее.
С использованием данных граф "Время занятия операцией элемента инфраструктуры" и "Участвующие группы стрелочных переводов"
таблицы 3.5.1 определяется (с точностью до 0,1 мин.) общее время занятия элемента всеми предусмотренными операциями по всем технологическим цепочкам, зависящими от размеров движения,

, мин., (3.5.1)
где

- продолжительность занятия маршрута одной операцией;
n'i - число операций по соответствующему маршруту (прием - отправление поездов, подача - уборка поездных локомотивов, различного рода маневровые передвижения), увеличивающихся пропорционально росту размеров движения;

- коэффициент, учитывающий отказы устройств ЭЦ

.
Пример: Для интенсивно используемых элементов горловины, изображенной на
рисунке 3.5.1, общее время занятия элемента всеми предусмотренными операциями по всем технологическим цепочкам, зависящими от размеров движения, составляет по данным
таблицы (3.5.1):
элемент а - (125 + 50 + 50 + 50 + 50 + 18 + 18 + 18 + 18 + 54) (1 + 0,01) = 456 мин.;
элемент б - (266 + 63 + 18 + 54)(1 + 0,01) = 405 мин.;
элемент в - (13,5 + 27 + 135 + 13,5 + 27 + 135 + 18 + 54)(1 + 0,01) = 427 мин.;
элемент г - (266 + 63 + 13,5 + 27 + 13,5 + 27)(1 + 0,01) = 414 мин.
Аналогично по данным граф "Время занятия операцией элемента инфраструктуры" и "Участвующие группы стрелочных переводов"
таблицы 3.5.1 определяется общее время занятия элемента всеми постоянными операциями:

, мин., (3.5.2)
Пример: Для рассматриваемых элементов

составляет:
элемент а - (40 + 4 + 4 + 4 + 4 + 12)(1 + 0,01) = 69 мин.;
элемент б - (60 + 14 + 4 + 12)(1 + 0,01) = 91 мин.;
элемент в - (3 + 6 + 30 +3 + 6 + 30 + 4 + 12)(1 + 0,01) = 95 мин.;
элемент г - (14 + 3 + 6 + 3 + 6)(1 + 0,01) = 32 мин.
Далее для каждого элемента определяется отношение (с точностью до 0,001).

(3.5.3)
Пример: для рассматриваемых элементов "а, б, в, г" значения Ко составляют:
элемент "а" -

;
элемент "б" -

;
элемент "в" -

;
элемент "г" -

.
Сопоставление значений Ко для интенсивно используемых элементов горловины дает возможность установить наиболее загруженный расчетный элемент (без учета перерывов в его использовании из-за враждебных передвижений по другим элементам). Таким расчетным элементом является тот, для которого значение Ко будет наибольшим. В рассматриваемой горловине наибольшее значение Ко = 0,365 имеет элемент "а", которому соответствует группа стрелок 4, 6, 20, 32, 34; следовательно, при принятом в расчет соотношении между числом поездов различных категорий и направлений расчетным элементом в этой горловине является элемент "а", и пропускная способность горловины в данном случае определяется именно этим элементом. Дальнейший расчет производится только для расчетного элемента.
Примечания:
1. Если в горловине имеется два и более элементов с наибольшими значениями Ко и они отличаются менее, чем на 0,03, то в дальнейшем целесообразно рассчитывать все эти элементы, принимая поочередно каждый из них за расчетный элемент. При этом больше будет уверенность в том, что пропускная способность горловины определена действительно по наиболее загруженной стрелке.
2. При расчете пропускной способности горловины, основанном на задании, может получиться, что наиболее загруженный элемент горловины включает стрелки, по которым не производится прием или отправление транзитных поездов (либо поездов какой-либо другой интересуемой категории или направления). В таком случае для более полного представления о пропускной способности горловины по интересуемым поездам следует производить дополнительный расчет при измененном по сравнению с заданием соотношении между числом поездов различных категорий и направлений. Это новое соотношение выбирается таким, чтобы наиболее загруженным стал элемент, по которому в основном пропускаются интересуемые поезда. Расчет можно производить также при заданном на расчетный период числе поездов с переработкой. Более полную картину о пропускной способности горловины можно получить, только рассчитав ее в нескольких вариантах, в особенности при практически возможных соотношениях между числом поездов различных категорий и примыкающих линий.
3.5.4. Влияние возможных перерывов в использовании стрелок расчетного элемента из-за наличия враждебных передвижений по остальным элементам горловины учитывается коэффициент

, значение которого определяется по формуле:

, (3.5.4)
где

- величина, характеризующая сложность работы рассматриваемой горловины (с точностью до 0,01):

, (3.5.5)
где Мо - общее число маршрутов в рассматриваемой горловине;
М1 - число маршрутов с занятием расчетного элемента горловины;
Эо - наибольшее возможное число одновременно осуществляемых передвижений в рассматриваемой горловине.
Так, для горловины на
рисунке 3.5.1 (см.
таблицу 3.5.1)
Мо = 32,
М1 = 16 и одновременно возможно осуществление не более трех передвижений (например, отправление пассажирского поезда на
Р с пути
3, прием грузового поезда из
Р на пути
7 - 9 и расформирование состава на вытяжке), т.е.
Эо = 3. Следовательно, по
формуле: (3.5.5):

.
Значение коэффициента

может приниматься по данным графического расчета или компьютерного имитационного моделирования в соответствии с Методикой проведения исследований проектов развития железнодорожных станций и линий с определением "узких мест", влияния на пропускные и перерабатывающие способности, рациональной технологии и прогнозируемых эксплуатационных показателей с использованием аппарата математического моделирования, утвержденной распоряжением ОАО "РЖД" от 9 января 2018 г. N 2/р, но не ниже рассчитанного по
формулам (3.5.4) и
(3.5.5).
3.5.5 Коэффициент использования пропускной способности горловины определяется по формуле:

, (3.5.6)
где

- время занятия расчетного элемента горловины постоянными операциями по
формуле (3.5.2);

- время занятия горловины текущим обслуживанием, плановыми видами ремонта или снегоуборкой (см.
таблицу 3.4.2).
Для рассматриваемой горловины коэффициент использования:

.
3.5.6. Для маршрутов, связанных с выполнением операций, зависящих от размеров движения, пропускная способность (с точностью до 1 поезда, состава и т.п., с округлением значений до целого числа в меньшую сторону) определяется по формуле:
ni = n'i/K (3.5.7)
В общую пропускную способность горловины включаются также поезда (составы и т.п.), обрабатываемые за время

. Пропускная способность рассматриваемой горловины составляет:
по приему транзитных грузовых поездов из Р 38 : 0,432 = 87;
по приему участковых поездов из Р 9 : 0,432 = 20;
по отправлению транзитных грузовых поездов на Р 25 : 0,432 = 57;
по отправлению участковых поездов на Р 9 : 0,432 = 20.
Примечание. Пропускную способность следует определять только по тем маршрутам, которые используются для установления результирующей пропускной способности (в первую очередь прием и отправление поездов).
Общая пропускная способность горловины в грузовых поездах с учетом поездов, обрабатываемых за время

(в рассматриваемой горловине - заданное число сборных поездов (2)), составляет:
по приему 87 + 20 + 2 = 109;
по отправлению 57 + 20 + 2 = 79.
3.5.7. В условиях тактового графика движения пассажирских поездов (в пригородном, пригородно-городском сообщении и в дальнем следовании) суммарная за сутки продолжительность потерь времени из-за движения поездов по тактовому графику с различными значениями периода тактового графика
Tj (см.
раздел 2.8.9) в течение суток вычисляется по формуле:

(3.5.8)
где Pj - число циклов в сутки с величиной периода тактового графика Tj;

- потери времени использования элемента горловины в одном периоде длительностью
Tj, мин. Определяется из
выражений (3.5.10 -
3.5.13).
Особенности расчета общего времени занятия элемента
Tj при тактовом графике движения поездов состоят в необходимости учитывать возможность проведения операций, затрагивающих маршрут следования тактовых поездов, в горловине в период между проследованиями тактовых поездов
(рисунок 3.5.2).
Промежуток времени между проследованием двух тактовых поездов, когда элемент горловины свободен, составляет:

, (3.5.9)
где

- длительность занятия элемента горловины операцией по проследованию тактового поезда маршрута
r, мин.
Если

, то при расчете занятия горловины следует учесть значение потерь времени использования элемента горловины, приходящееся на один период тактового графика:

. (3.5.10)
Если

, то

. (3.5.11)
Если

, то

. (3.5.12)
Если

, то

. (3.5.13)

- минимальное значение продолжительности занятия расчетного элемента одной операцией, мин.;

- максимальное значение продолжительности занятия расчетного элемента одной операцией, мин.;

- средневзвешенная продолжительность всех операций, кроме операций по проследованию тактовых поездов, занимающих расчетный элемент, мин., определяемая по формуле:

. (3.5.14)
3.6. Расчет перерабатывающей способности сортировочных устройств
3.6.1. При определении перерабатывающей способности станции рассчитывают все сортировочные устройства: сортировочные горки и вытяжные пути.
Перерабатывающая способность горки определяется исходя из того, что она предназначена для расформирования составов и одновременного их формирования в процессе роспуска, при этом работа по окончанию формирования составов в сортировочных системах с горками повышенной, большой и средней мощности выполняется с двух сторон - на горке и на вытяжных путях выходной горловины сортировочного парка. В сортировочной системе с горкой малой мощности при отсутствии маневрового локомотива в противоположном конце сортировочного парка вся работа по расформированию-формированию составов выполняется на горке малой мощности, и поэтому ее перерабатывающую способность надо определять так же, как вытяжного пути безгорочной станции, но с учетом меньшего, чем на вытяжном пути, времени выполнения маневровых операций по переработке вагонов одного состава. Если же в противоположном конце сортировочного парка маневровый локомотив производит окончание формирования, то перерабатывающая способность горки малой мощности определяется, как для обычной горки.
3.6.2. Перерабатывающая способность сортировочной горки при помощи коэффициента использования определяется в зависимости от продолжительности ее занятия за сутки всеми операциями, предусмотренными технологическим процессом работы станции, с учетом максимального освобождения горочных локомотивов от всех тех работ, которые могут быть выполнены на вытяжных путях сортировочного парка или специально выделенными маневровыми локомотивами. Для расчета определяется (с точностью до 0,1 мин.) общее время занятия горки операциями, зависящими от размеров движения. Это время в общем виде:

, (3.6.1)
где n'р1, n'р2 и т.д. - число расформировываемых на сортировочной горке составов, поступающих соответственно с подходов 1, 2 и т.д. (принимается по заданию);
tгор - средняя продолжительность занятия горки, приходящаяся на один расформировываемый состав, с учетом окончания формирования и других операций, т.е. горочный технологический интервал;
n'ман - число принимаемых, отправляемых поездов и т.д., зависящих от размеров движения, при пропуске которых роспуск с горки прекращается;

- время занятия предгорочной горловины одним таким поездом при условии, что оно не может быть совмещено с операциями технологического цикла работы горки (после освобождения надвигаемым составом и горочным локомотивом маршрута приема);

- коэффициент, учитывающий отказы технических устройств, нерасцепы вагонов и др., значение которого определяется по
таблице 3.6.1.
Категории горок | Значения  в зависимости от типа замедлителей |
КВ-3 | КНП-5 Т-50 | РНЗ-2, РНЗ-2М, | НК-114, КНЗ-5, КЗ-3, КЗ-5, КЗПУ |
Повышенной мощности (ГПМ) | 0,12 ----- 0,11 | 0,10 ----- 0,09 | 0,09 ----- 0,08 | 0,09 ----- 0,08 |
Большой мощности (ГБМ) | 0,09 - 0,12 ------------ 0,08 - 0,11 | 0,08 - 0,10 ------------ 0,07 - 0,09 | 0,07 - 0,09 ------------ 0,06 - 0,08 | 0,07 - 0,09 ------------ 0,06 - 0,08 |
Средней мощности (ГСМ) | 0,09 ----- 0,08 | 0,08 ----- 0,07 | 0,07 ----- 0,06 | 0,07 ----- 0,06 |
Малой мощности (ГММ) | 0,9 ------------ 0,06 - 0,08 | 0,8 ------------ 0,05 - 0,07 | 0,7 ------------ 0,04 - 0,06 | 0,7 ------------ 0,04 - 0,06 |
Примечания:
1. В числителе - для автоматизированной, в знаменателе - для механизированной горки.
2. Меньшее значение относится к среднему составу поезда не более 60 вагонов, большее - более 60 вагонов.
3. Для немеханизированных горок и вытяжных путей

.
4. Категорию горки определять по
таблице 3.6.2. При пересечении параметров горки выбрать большую классификацию.
Признак классификации | Категории горок |
ГПМ | ГБМ | ГСМ | ГММ |
Суточная переработка вагонов, ваг./сут. | > 5500 | 3500 - 5500 | 1500 - 3500 | < 1500 |
Число пучков путей | 6 | 4 - 6 | 3 - 4 | 1 - 3 |
Число сортировочных путей | > 40 | 24 - 40 | 18 - 32 | 6 - 18 |
Число тормозных позиций | 3 | 3 | 2 - 3 | 1 - 2 |
Возможность параллельного роспуска | есть | есть | нет | нет |
Определяя по
формуле (3.6.1) значение
T, необходимо иметь в виду, что головная и хвостовая части соединенного поезда расформировываются с горки отдельно после разъединения (см.
пункт 3.3.11), и поэтому в этой
формуле в число расформировываемых с горки составов вместо одного соединенного поезда должны учитываться входящие в него два состава (головного и хвостового поездов).
Если некоторые из обрабатываемых на станции поездов являются длинносоставными, и они расформировываются на горке целиком, то в технологическом графике работы горки должна быть отражена доля таких поездов.
Примечание. Если число угловых передач, групп вагонов от групповых поездов, а также групп, отцепляемых в связи с переломом массы и длины составов, пропорционально объему переработки, то время занятия горки их переработкой должно учитываться в T.
Время tгор (с точностью до 0,1 мин.):
Для определения tгор используются технологические графики работы горки, по которым устанавливается продолжительность цикла работы горки Tц и число составов, распускаемых за один цикл, nц.
Цикл работы горки устанавливается исходя из обеспечения наибольшей перерабатывающей способности. С этой целью необходимо предусматривать максимальное использование переменной скорости роспуска, работу возможно наибольшего числа горочных локомотивов, организацию подтягивания вагонов со стороны вытяжек формирования и др.
Цикл работы горки обычно предусматривает выполнение на горке операций по устранению неподхода осей автосцепок, постановке вагонов прикрытия, окончанию формирования состава в соответствии с требованиями ПТЭ в последней трети состава, а также производство операций с вагонами, не подлежащими спуску с горки без локомотива (вагоны ЗСГ). Для поездов, отправляемых в сторону горки, операции устранения неподхода осей автосцепок, постановки вагонов прикрытия и др. производятся в головной трети состава.
Процессы окончания формирования и осаживания должны максимально совмещаться. Если на станции производятся и осаживание, и подтягивание вагонов локомотивами района формирования, то затрата времени на осаживание должна включаться в график работы горки с учетом местных условий.
Надо также учитывать, что горка может заниматься роспуском групп местных вагонов, вагонов после отцепочного ремонта (состав которых меньше состава поезда), а также выполнением операций по окончанию формирования и осаживанию на путях сортировочного парка целиком или частично без занятия в предгорочной горловине стрелок маршрута пропуска поездных локомотивов или приема поездов. При достаточном удалении стрелки примыкания деповского пути от горба горки поездные локомотивы могут пропускать в депо и обратно в процессе окончания роспуска последней части состава (после прохода горочным локомотивом стрелки примыкания деповского пути).
Для примера технологический график работы сортировочной горки с двумя путями надвига, одним спускным путем и двумя горочными локомотивами при отсутствии вагонов, запрещенных к роспуску с горки без локомотива (вагоны ЗСГ), приведен на
рисунке 3.6.1.
--------------------------------
<*> - Примечание: продолжительность операции зависит от местных условий
Рисунок 3.6.1. Технологический график работы сортировочной
горки с двумя путями надвига, одним спускным путем и двумя
горочными локомотивами при отсутствии вагонов ЗСГ
Наличие вагонов ЗСГ усложняет расформирование - формирование на горке, которое может быть осуществлено двумя способами. Первый - при роспуске состава одним из работающих на горке локомотивов, вагоны ЗСГ (после остановки роспуска) отцепляют от состава на вершине горки другим горочным локомотивом и переставляют их на пути сортировочного парка (см. на
рисунке 3.6.2 операцию "Снятие" отцепов ЗСГ). Второй - горочный локомотив осаживает через горку распускаемый состав и переставляет вагоны ЗСГ на пути сортировочного парка, а затем вытягивает состав на горку, и процесс расформирования продолжается; этот способ трудно осуществим, если вагоны ЗСГ в начале роспуска находятся в голове расформировываемого состава.
--------------------------------
<*> - Примечание: продолжительность операции зависит от местных условий
Рисунок 3.6.2. Технологический график работы сортировочной
горки с двумя путями надвига, одним спускным путем и двумя
горочными локомотивами при наличии вагонов ЗСГ в каждом
втором составе и привлечении для их расформирования
второго горочного локомотива
При расчете перерабатывающей способности сортировочной горки необходимо учитывать долю составов, содержащих ЗСГ, которая определяется на основе анализа работы станции за рассматриваемый период или задается при проведении вариантных расчетов. При этом время занятия горки операциями, зависящими от размеров движения, учитывается как сумма занятости горки расформированием составов без ЗСГ и составов с ЗСГ.
Если на горке в течение суток часть составов расформировывается в режиме последовательного роспуска, а остальные составы - в режиме параллельного роспуска (режим ПРС) с направлением при этом вагонов перекрестного потока на отсевные пути и последующей их повторной сортировкой, то средневзвешенная продолжительность занятия горки переработкой одного состава определяется по формуле:

, (3.6.3)
где

- средняя продолжительность занятия горки одним составом при режиме последовательного роспуска, определяемая по
формуле (3.6.2);

- коэффициент полезного использования горки;

,

,

- доля составов соответственно для последовательного и параллельного роспуска на левую и правую части сортировочного парка;

, (3.6.4)
где Cр - коэффициент, учитывающий влияние схемы путевого развития горки на размеры повторной сортировки вагонов;
Bл, Bп - средняя доля вагонов перекрестного потока в составах для параллельного роспуска соответственно на левую и правую части сортировочного парка;
tр, tп - среднее время занятия горки соответственно роспуском состава и повторной сортировкой вагонов;
mр - среднее число вагонов в составе разборочного поезда;
mповт - средний маневровый состав при повторной сортировке вагонов.
Если режим ПРС предусматривается осуществить только за счет поездов, предварительно подготовленных на сортировочных станциях, в которых отсутствуют вагоны перекрестного потока, то

. (3.6.5)
Коэффициент полезного использования горки характеризует продолжительность времени, в течение которого горка может быть занята роспуском составов:

. (3.6.6)
Значения

,

устанавливаются в соответствии с
пунктом 3.6.3 настоящей Инструкции.
Наиболее достоверные значения

,

и

получаются по результатам обработки данных размеченных натурных листов и режимов роспуска 400 - 500 составов, расформировываемых за период, наиболее полно характеризующий условия работы станции. Для этого определяются суммарные числа составов для параллельного роспуска на "левую"
nл и "правую"
nп части сортировочного парка и для последовательного роспуска
nпс и их доли:

;

;

от общего числа составов
n.
После определения числа составов для ПРС по данным размеченных натурных листов устанавливается число в них вагонов перекрестного потока, которыми в составах
nл будут вагоны назначением на "правую" часть сортировочного парка
mп, а в составах
nп - вагоны назначением на левую часть
mл. Затем производится подсчет суммарного числа этих вагонов

в составах
nл и

в составах
nп.
Доли вагонов перекрестного потока в составах для ПРС:

;

.
Значение Cр принимается равным: 1 - если на спускной части горки уложены перекрестные съезды; 2 - при соединении горочных путей на спускной части при помощи обыкновенных съездов; 1,6 - при использовании для параллельного роспуска и среднего пути надвига, с которого имеется выход на все пути подгорочного парка.
Пример. Определить
tгор при осуществлении в течение суток режима параллельного роспуска части составов на горке, имеющей средний путь надвига, с которого имеется выход на все пути подгорочного парка,

,
tр = 10,2 мин.,

,
tп = 8,0 мин.,
Cр = 1,6,
mр = 65 вагонов,
mповт = 30 вагонов,

; по результатам обработки данных натурных листов получены значения

,
Bл = 0,0734,
Bп = 0,0846.

.

;

.
Таким образом, по сравнению с режимом последовательного роспуска значение
tгор снизилось с 13,0 до 10,9 мин., т.е. на

, а перерабатывающая способность горки увеличилась на

.
3.6.3. Коэффициент использования перерабатывающей способности горки (с точностью до 0,001)

, (3.6.7)
где

- коэффициент, учитывающий возможные перерывы в использовании горки из-за враждебных передвижений (принимается равным 0,97, за исключением случаев расположения транзитного парка параллельно парку приема при отсутствии изолированного от горки соединения с депо, а также для объединенного парка приема без изолированного от горки соединительного пути; в указанных случаях

);

- время перерывов в работе горки, необходимое для экипировки горочных локомотивов (при отсутствии подмены), а также для ежедневного технического обслуживания вагонных замедлителей и другого горочного оборудования, требующего прекращения роспуска;

- время занятия горки в течение суток для выполнения постоянных операций, не изменяющихся пропорционально увеличению объема переработки, или число которых на расчетный период задается (в том числе заданное число сборных поездов, полностью формируемых на горке).
В общем случае время

(с точностью до 1 мин.)

, (3.6.8)
где

,

- число распускаемых с горки за сутки групп (передач) вагонов соответственно углового потока, из вагонного депо или с путей ремонта и местных; при этом число угловых передач в значении
T по
формуле (3.6.1) не учитывается;

,

,

- среднее время роспуска соответственно группы вагонов углового потока, из вагонного депо или с путей ремонта и местных с учетом затраты времени на пропуск через предгорочную горловину при этом маневровых составов и локомотивов;

- число принимаемых (отправляемых) поездов, маневровых передвижений, и т.п., не зависящее от объема переработки или заданное на расчетный период (в том числе заданное на расчетный период число сборных поездов);
Примечание. Если для какого-либо направления число поездов (кроме сборных) на расчетный период задано (постоянно), то в

включается величина
n'tгор.
В зависимости от принятой организации и характера работы станции число операций, входящих в
формулу (3.6.8), и их продолжительность различны; в отдельных случаях некоторые операции могут отсутствовать.
Время занятия горки за сутки техническим обслуживанием устройств механизации и автоматизации сортировочной работы определяется исходя из установленных норм времени и порядка выполнения ежедневного осмотра и ремонта этих устройств, требующих прекращения роспуска вагонов с горки. Входящее в

среднее в сутки время занятия горки техническим обслуживанием вагонных замедлителей и других горочных устройств определяется по формуле:
tз = KзП, (3.6.9)
где Kз - коэффициент, зависящий от числа спускных путей на горке: равен 10 и 6 для КВ-3, 8 и 5 для КНП-5 и 6 и 4 для Т-50 и ВЗГП соответственно при одном и двух (и более) спускных путях;
П - число пучков в сортировочном парке.
При наличии достаточных по продолжительности интервалов между роспусками смежных составов (например, на горке с одним путем надвига, в случае осаживания вагонов в сортировочном парке горочными локомотивами и т.д.) эти интервалы должны использоваться для выполнения операций по техническому обслуживанию горочного оборудования. В этом случае в расчетах по
формуле (3.6.7) нужно принимать такое значение

, которое учитывало бы возможность совмещения времени выполнения операций по техническому обслуживанию с отмеченными ранее вынужденными интервалами в работе горки. Следует также учитывать возможность совмещения смены локомотивных бригад с экипировкой маневровых локомотивов и др.
3.6.4. Перерабатывающая способность горки (с точностью до 1 состава) определяется в составах одиночных поездов с учетом того, что часть из них может быть длинносоставными и распускаемыми с горки целиком.
Перерабатывающая способность горки составляет для поездов:
с подхода 1 | nр1 = n'р1/K; |
с подхода 2 | nр2 = n'р2/2 |
Перерабатывающая способность горки в вагонах:

, (3.6.10)
где mр1, mр2 и т.д. - среднее число вагонов в составах поездов, прибывающих соответственно с подходов 1 и 2 и т.д.;

- число местных вагонов, из вагонного депо, с путей ремонта, угловых и т.д., распускаемых с горки за время

.
При этом очевидно, что с линии может быть переработан поток (без сборных) в количестве (nр1mр1 + nр2mр2 +...) вагонов.
3.6.5. В эксплуатационной работе сортировочной станции могут иметь место периоды сгущенного подхода поездов в расформирование из-за пропуска пассажирских поездов, одновременного прибытия поездов с нескольких подходов, пачкообразного поступления поездов после технологического "окна" и т.д.
Если перерабатывающую способность горки за сутки разделить на 24, то получаемая среднечасовая перерабатывающая способность может оказаться меньше, чем размеры прибытия поездов в период сгущенного подхода. Перерабатывающую способность горки можно кратковременно поднять в периоды сгущенного подхода поездов за счет того, что в это время:
с горки снимаются операции по окончанию формирования и переносятся на вытяжки хвостовой горловины сортировочного парка;
горочные локомотивы освобождаются от осаживания вагонов на путях сортировочного парка и организуется подтягивание вагонов локомотивами, работающими на вытяжных путях формирования;
не производится техническое обслуживание горочного оборудования (если оно может вызвать перерывы в работе горки) и экипировка горочных локомотивов (без подмены);
не предусматривается роспуск местных и отремонтированных вагонов, а также вагонов углового потока;
выделяется дополнительный горочный локомотив и т.д.
Осуществление перечисленных мероприятий может повысить значение кратковременной перерабатывающей способности горки (по сравнению со среднечасовой) на 50 - 60%, а иногда и более.
Кратковременная перерабатывающая способность горки в течение одного часа:

, (3.6.11)
где

- затрата времени на расформирование с горки одного состава в период сгущенного подхода поездов (т.е. без учета загрузки горочного локомотива осаживанием вагонов и т.д.).
3.6.6. Перерабатывающая способность вытяжного пути определяется в зависимости от продолжительности его занятия в течение суток предусмотренными операциями в следующем порядке.
Расчету подлежат вытяжные пути, по которым производится расформирование и формирование поездов с возможностью вытягивания состава целиком или частями. Тупиковые пути, по которым осуществляется отстой и обгон локомотивов, расчету не подлежат.
Определяется общее время занятия вытяжного пути операциями, зависящими от размеров движения.
Для вытяжного пути подгорочного парка сортировочной станции это время в общем виде:

(3.6.12)
где

,

и т.д. - заданная доля составов соответственно линии 1, 2 и т.д., требующих окончания формирования на вытяжном пути (устанавливается на основе анализа работы станции. Обычно равна 0,6 - 0,7);
n'о.ф1, n'о.ф2 и т.д. - число составов соответственно линии 1, 2 и т.д., формируемых полностью и частично горкой и обрабатываемых на данном вытяжном пути;
tо.ф1, tо.ф2 и т.д. - приходящееся на один поезд средневзвешенное время выполнения на вытяжке операций по окончанию формирования первых двух третей состава и соединению групп вагонов линии 1, 2 и т.д.;
n'ф1, n'ф2 и т.д. - число составов линии 1, 2 и т.д., полностью формируемых на вытяжке;
tф1, tф2 и т.д. - приходящееся на один поезд время формирования полностью на вытяжке состава линии 1, 2 и т.д.;

- время подтягивания вагонов и перестановки сформированного состава в парк отправления;
tв - время возвращения маневрового локомотива на вытяжной путь (при отправлении поездов непосредственно из сортировочного парка время

и
tв не учитывается);
n'ман - число маневровых и других передвижений (занимающих вытяжной путь помимо сортировочной работы), зависящих от размеров движения (в том числе сборные поезда и угловые передачи, если число их зависит в прямой пропорции от объема переработки);
tман - время занятия вытяжного пути соответствующим маневровым (поездным) передвижением;

- коэффициент, учитывающий отказы технических устройств, нерасцепы вагонов и др. (если вытяжной путь не оборудован замедлителями, то

).
Если на станции формируются длинносоставные поезда, вагоны для которых накапливаются, как правило, на двух сортировочных путях, то число таких поездов и время их формирования учитываются отдельно в
формуле (3.6.12). При этом, когда части состава поезда повышенной длины переставляются в парк отправления отдельно, то в числе переставляемых учитывается каждая часть длинносоставного поезда. При определении же перерабатывающей способности вытяжного пути подгорочного парка в поездах учитывается, что две части длинносоставного поезда считаются за один длинносоставный поезд.
Для вытяжного пути безгорочной станции:

(3.6.13)
где, кроме указанных ранее обозначений,
n'рас1, n'рас2 и т.д. - число расформировываемых составов, поступающих соответственно с линий 1, 2 и т.д.;
tрас1, tрас2 и т.д. - время расформирования состава (с учетом времени на заезд и вытягивание) линий 1, 2 и т.д.;
n'фор1, n'фор2 и т.д. - число составов своего формирования, отправляемых на линии 1, 2 и т.д.;
tфор1, tфор2 и т.д. - время формирования состава на линии 1, 2 и т.д.
При двустороннем расформировании - формировании состава на двух вытяжных путях значения tрас и tфор подсчитываются для каждой части состава. При этом деление состава на части целесообразно производить обратно пропорционально нормам времени занятия соответствующих вытяжных путей выполнением операции расформирования - формирования для целого состава. Соответствующее число вагонов в каждой части учитывается при определении перерабатывающей способности вытяжных путей в вагонах.
Примечания:
1. Если при приеме (или отправлении) поезда нельзя производить маневровую работу на рассчитываемом сортировочном устройстве, то в общее время его занятия
T (в величину

) необходимо дополнительно включать произведение
n'прtпр (или
n'отtот), где
n'пр(
n'от) - число поездов, при приеме (отправлении) которых невозможно выполнять маневровую работу;
tпр (
tот) - время занятия примыкающей к сортировочному устройству горловины при приеме (отправлении) поезда.
2. На вытяжных путях грузовых станций, кроме расформирования - формирования составов, производится подборка вагонов по местам погрузки, выгрузки, сортировка вагонов по специализированным путям после уборки вагонов с грузовых пунктов и т.д. Продолжительность этих операций надо включать в значение T.
3.6.7. Коэффициент использования перерабатывающей способности вытяжного пути (с точностью до 0,001)

, (3.6.14)
где

- коэффициент повторной сортировки (устанавливается анализом);

- время занятия вытяжного пути в течение суток для выполнения постоянных операций, не зависящих от объема переработки, или число которых на расчетный период задано (в том числе обработка заданного числа сборных поездов);

- затрата времени на экипировку маневрового локомотива, работающего на вытяжном пути (если нет подмены);

- коэффициент, учитывающий возможные перерывы в использовании вытяжного пути из-за враждебных передвижений (принимается равным 0,93 - 0,95, причем меньшее значение относится к случаю, когда маршруты перестановки в парк отправления составов, сформированных на других вытяжных путях, и возвращения маневровых локомотивов враждебны передвижениям маневрового локомотива, работающего на рассчитываемом пути).
Специализация путей сортировочного парка и парка отправления должна предусматривать сокращение и возможную ликвидацию перерывов из-за враждебности.
Время

определяется по следующей формуле общего вида:

(3.6.15)
где

- число передаваемых за сутки в другую систему групп (передач) вагонов углового потока (учитывается только для двусторонних сортировочных станций);

- число занятия вытяжного пути перестановкой группы вагонов углового потока с учетом времени возвращения маневрового локомотива на вытяжной путь;

- число групп вагонов, подлежащих ремонту и отремонтированных, обрабатываемых на вытяжном пути;

- время занятия вытяжного пути обработкой группы вагонов, подлежащих ремонту или отремонтированных;

- время занятия вытяжного пути в течение суток обработкой групп местных вагонов, мест погрузки и выгрузки и др.;

- заданное на расчетный период число сборных поездов;

- время занятия вытяжного пути формированием сборного поезда.
В зависимости от схемы станции, организации и характера работы число постоянных операций для каждого вытяжного пути и затрата времени на их выполнение могут быть различными, а иногда некоторые операции вообще могут отсутствовать.
Если для какого-либо направления число поездов (кроме сборных) на расчетный период задано (постоянно), то в

включается значение
n'ti.
3.6.8. На основе данных о числе составов различных категорий и линий и полученного коэффициента использования определяется перерабатывающая способность вытяжного пути по расформированию - формированию в поездах соответствующих категорий (см.
пункт 3.6.4 настоящей Инструкции).
Перерабатывающая способность вытяжного пути в вагонах определяется с учетом величин составов поездов; кроме того, в нее включается число вагонов углового потока, местных и т.д., обрабатываемых за время

.
Если в качестве вытяжки используется главный путь, то перерабатывающая способность (наибольшее число поездов с переработкой) определяется из предшествующего расчета пропускной способности соответствующей горловины.
3.6.9. Если перерабатывающая способность станции по расформированию отличается от таковой по формированию, то необходимо перераспределить загрузку сортировочных устройств станции так, чтобы перерабатывающая способность по расформированию и формированию была одинаковой. При этом надо иметь в виду, что, если составы расформируемых и формируемых поездов различны, то перерабатывающая способность по обоим этим видам операций должна быть одинаковой в вагонах (в поездах же она может быть разной).
Перерабатывающая способность станции определяется:
по горочным станциям как сумма перерабатывающей способности сортировочных систем (сортировочная горка и вытяжные пути подгорочного парка) и вытяжных путей, имеющихся в других парках станции, на которых расформировывают - формируют поезда;
по безгорочным станциям как сумма перерабатывающей способности имеющихся на станции сортировочных устройств, выполняющих расформирование - формирование поездов.
3.7. Расчет пропускной способности пассажирских устройств
3.7.1. Рассчитывается пропускная способность следующих пассажирских устройств: платформы и перронные пути; пути и экипировочные устройства для обработки пассажирских вагонов. Исходные данные для расчетов должны соответствовать Нормативам для составления графика движения пассажирских поездов.
3.7.2. Пропускная способность пассажирской платформы (с расположенными у нее перронными путями) в поездах:

, (3.7.1)
где Tр - расчетный период, за который определяется пропускная способность (обычно Tр = 60 мин.);
Pпл - число перронных путей у платформы;

- суммарное время занятия перронных путей в течение расчетного периода операциями, связанными с пропуском поездов других категорий и маневровыми передвижениями;

- продолжительность занятия перронного пути пассажирским поездом.
При наличии на станции нескольких пассажирских платформ общая пропускная способность определяется суммированием по всем платформам значений
nпл, полученных по
формуле (3.7.1).
Когда платформа одновременно обслуживает только один поезд,

устанавливается по формулам:
| |  ; | (3.7.2 "а") |
| |  , | (3.7.2 "б") |
где

- время занятия пути и платформы приемом или подачей поезда к перрону;

- время занятия пути и платформы отправлением или уборкой поезда;

- затраты времени на вход (выход) пассажиров из вагона с максимальной вместимостью с учетом прекращения посадки (высадки) пассажиров за 1 - 2 мин. до отправления или уборки поезда.

- время занятия платформ проходом пассажиров.
Если у двусторонней платформы допускается одновременное нахождение двух поездов, значение

для двух поездов рассчитывается для случаев "а" и "б" соответственно по формулам:

; (3.7.3 "а")

, (3.7.3 "б")
где Imin - минимально возможный интервал приема, отправления или приема-отправления двух поездов к одной платформе, устанавливаемый в соответствии с технологией работы станции.
3.7.3. Время занятия платформ и путей, обслуживающих пригородные поезда от прибытия до отправления в рейс без уборки в депо или на пути отстоя, определяется по
формулам (3.7.2, "а" и
"б") и (
3.7.3, "а" и
"б"). При этом в случае "а" принимается

, равным суммарной затрате времени на высадку и посадку пассажиров, а в случае "б"

- равным суммарному времени занятия платформы прибывающими и отправляющимися пассажирами.
Если на платформе предусмотрено снабжение водой пригородных вагонов, оборудованных туалетами (с затратой времени, равной
tсн), то при

расчет времени занятия платформы производится по
формулам (3.7.2, "а" и
"б") и (
3.7.3, "а" и
"б"). Если же

то в эти формулы вместо

подставляется время снабжения вагонов водой
tсн.
3.7.4. Расчет времени занятия платформ и путей, обслуживающих транзитные поезда, проходящие рассматриваемую станцию без технических операций, производится по
формулам (3.7.2, "а" и
"б") и (
3.7.3, "а" и
"б").
Если на станции имеют место смена локомотивов, снабжение вагонов водой и топливом, технический осмотр и ремонт вагонов, перецепка вагонов в связи с переменой направления движения, погрузка и выгрузка багажа и почты, скрещение поездов на однопутных участках и т.п., то при определении времени занятия платформ в
формулах (3.7.2, "а" и
"б") и (
3.7.3, "а" и
"б") вместо

подставляется затрата времени на наиболее продолжительную операцию, определяющую общее время простоя поезда на станции. Продолжительность этой операции устанавливается в соответствии с технологией работы станции.
3.7.5. Продолжительность выхода пассажиров из вагонов и входа в вагоны

, а также время занятия платформы пассажирами

определяются хронометражными наблюдениями или имитационным моделированием с учетом вместимости и фактической населенности вагонов, порядка их размещения в поездах, числа вагонов в составе, ширины и длины платформ, способа развязки пассажиропотоков (пешеходные мосты, тоннели и т.п.). Кроме того, принимается во внимание возможность работы передвижных камер хранения багажа, проезда тележек для перевозки почты, багажа и ручной клади пассажиров.
Время занятия платформ и перронных путей постоянными операциями

устанавливается в соответствии с технологией работы станции.
3.7.6. Пропускная способность платформ, обслуживающих дальнее и пригородное движение, рассчитывается в поездах с максимально допустимым по длине платформ числом вагонов.
При определении пропускной способности платформ и перронных путей, обслуживающих как дальнее, так и пригородное движение, расчет производится для поездов преобладающей категории. Время занятия платформы поездами другой категории в течение расчетного периода учитывается как

.
Пример: определим пропускную способность двусторонней пассажирской платформы, специализированной для приема дальних поездов при

;

;

;

;
Imin = 10 мин.;

;
Pпл = 2.
Сравнение

и

показывает, что

. Следовательно, по
формуле (3.7.3, "а") время занятия двусторонней платформы приемом двух поездов составит:
3.7.7. Пропускная способность технических путей в составах поездов:

, (3.7.4)
где Птех - число технических путей;

- суммарная продолжительность занятия технических путей операциями с грузовыми поездами, по очистке междупутий, текущим содержанием и т.д.;

- время занятия пути составом поезда от поступления с перронных путей до подачи на перронные пути, определяемое с учетом возможной скользящей специализации составов пассажирских поездов;

- коэффициент, учитывающий внутрисуточную неравномерность движения, влияние смежных устройств, возникновение отказов технических устройств и др. (принимается равным 0,2 - 0,3).
3.7.8. Пропускная способность экипировочных устройств (вагономоечные установки, экипировочные депо, специализированные экипировочные пути, устройства для дезинфекции вагонов, устройства для перестановки вагонных тележек) в составах:

, (3.7.5)
где Pэ - число одновременно обрабатываемых составов;

- продолжительность занятия экипировочных устройств операциями по текущему содержанию и ремонту (принимается равной 60 мин.);

- коэффициент, учитывающий возникновение отказов соответствующих устройств (принимается равным 0,12 - 0,15);

- продолжительность обработки одного состава с учетом времени на подачу и уборку вагонов.
3.7.9. Продолжительность занятия устройств экипировочными и постоянными операциями устанавливается по данным технологического процесса работы станции и соответствующих экипировочных устройств.
3.7.10. Определение пропускной способности технических путей и экипировочных устройств производится за сутки. Для сравнения с пропускной способностью платформ и перронных путей пропускная способность технических путей и экипировочных устройств приводится к среднечасовому значению. Если в течение суток платформы и перронные пути используются только
T часов, то их пропускная способность за сутки равна среднечасовой пропускной способности по
формуле (3.7.1), умноженной на
T.
3.8. Расчет перерабатывающей способности мест погрузки, выгрузки
3.8.1. Перерабатывающая способность мест погрузки, выгрузки зависит от условий подачи и уборки вагонов после выполнения грузовых операций, условий работы и числа маневровых локомотивов, конструкции, вместимости и технического оснащения мест погрузки, выгрузки, надежности машин, вместимости складов и др.
Перерабатывающая способность мест погрузки, выгрузки, расположенных как в грузовом районе, так и на железнодорожных путях необщего пользования, рассчитывается по:
средствам механизации погрузки - выгрузки с учетом работы
обслуживающих маневровых локомотивов;
складам (их вместимость).
По средствам механизации перерабатывающая способность мест погрузки, выгрузки, обслуживаемых одним маневровым локомотивом (с точностью до 1 вагона), в вагонах:

, (3.8.1)
где г - число мест погрузки, выгрузки, обслуживаемых локомотивом;
Ti - расчетный период работы i-го места погрузки, выгрузки, ч (при круглосуточной работе T = 24);

- продолжительность времени для выполнения постоянных операций (техническое обслуживание и ремонт погрузочно-разгрузочных машин и пр.) на
i-ом месте погрузки, выгрузки;

- цикл работы мест погрузки, выгрузки, который определяется продолжительностью обслуживания места погрузки, выгрузки с наибольшим временем выполнения грузовых операций с одной подачей (уборкой) вагонов;
Кцi - число подач (уборок) вагонов на
i-ом месте погрузки, выгрузки за время

;
вi - среднее число вагонов в одной подаче на i-ое место погрузки, выгрузки;

- коэффициент, учитывающий возникновение отказов погрузочно-разгрузочных машин на
i-ом месте погрузки, выгрузки.
Примечание. Если в течение суток маневровый локомотив иногда отвлекается на обслуживание второстепенных мест погрузки, выгрузки с незначительным объемом погрузки-выгрузки (которые не учитываются при определении цикла работы), то время их обслуживания вычитается из расчетного периода работы мест погрузки, выгрузки Ti (при условии, что подача-уборка к таким местам погрузки, выгрузки не производится во время перерывов в работе локомотива из-за отсутствия работы по причине занятости обслуживаемых им мест погрузки, выгрузки).
На местах погрузки, выгрузки, оснащенных электропогрузчиками, автопогрузчиками и ковшовыми погрузчиками, которые в случае отказа могут быть заменены на исправные машины, учитывается только простой в ежедневном техническом обслуживании в соответствии с
таблицей 3.8.1.
Тип погрузочно-разгрузочных машин | Значения  , ч | Значения tвосст, ч |
Козловые краны грузоподъемностью: | | |
до 15 т | 0,4 | 6 |
более 15 до 50 т | 0,6 | 12 |
Краны стреловые на автомобильном ходу: | | |
с механическим приводом рабочего органа | 0,5 | 4 |
с гидравлическим и электрическим приводом рабочего органа | 0,4 | 4 |
| | |
Краны стреловые на пневмоходу и железнодорожном ходу | 0,5 | 6 |
Погрузчики ковшовые и автопогрузчики | 0,6 | 6 |
Малогабаритные дизельные погрузчики | 0,6 | 6 |
Фронтальные погрузчики для крупнотоннажных контейнеров | 0,6 | 12 |
Бульдозеры и экскаваторы | 0,4 | 6 |
Электропогрузчики | 0,3 | 4 |
При отсутствии подменных средств механизации на контейнерных площадках, бункерных эстакадах и других местах погрузки, выгрузки, оснащенных немобильными средствами выгрузки и погрузки вагонов,

.
Параметр

для всех типов мест погрузки, выгрузки, обслуживаемых одной машиной, принимается равным 0,02. При двух и более машинах, работающих на обработке одной подачи,

, (3.8.2)
где Kг = 0,98 - коэффициент готовности машин к работе;
n - число машин, одновременно работающих на данном месте погрузки, выгрузки.
Для каждого места погрузки, выгрузки имеют место в общем случае разные значения

и
вi, зависящие от вида механизации, вместимости места погрузки, выгрузки, условий прибытия вагонов для него на станцию и т.д. Под вместимостью места погрузки, выгрузки понимается число вагонов, с которыми грузовые операции можно выполнять одновременно. В условиях реализации максимальных размеров переработки совместное обслуживание нескольких мест погрузки, выгрузки делает их работу взаимозависимой, взаимосвязанной единой продолжительностью цикла

, в течение которого выполняется одна или несколько подач и уборок вагонов по каждому конкретному месту погрузки, выгрузки
Kц. Таким образом, расчет по
формуле (3.8.1) предусматривает раздельное определение числа вагонов, которое может быть переработано на каждом месте погрузки, выгрузки за сутки с учетом условий взаимодействия, и последующее суммирование этих значений для получения перерабатывающей способности группы мест погрузки, выгрузки, обслуживаемых одним локомотивом.
При наличии на станции нескольких маневровых локомотивов, обслуживающих места погрузки, выгрузки, общая перерабатывающая способность станции определяется суммой перерабатывающей способности всех районов погрузки-выгрузки, обслуживаемых отдельными локомотивами.
Вагоны могут подаваться к местам погрузки, выгрузки после предварительного накопления в сортировочном парке или же непосредственно после расформирования каждого прибывшего поезда. В первом случае для расчетов перерабатывающей способности число вагонов в подаче на каждое место погрузки, выгрузки в можно принимать равным вместимости этого места погрузки, выгрузки; во втором же случае величина подачи может быть равна или меньше вместимости места погрузки, выгрузки.
3.8.2. Если технологией работы станции предусмотрена подача вагонов к местам погрузки, выгрузки после предварительного накопления в сортировочном парке, то для расчета перерабатывающей способности число вагонов в подаче на каждое место погрузки, выгрузки
в принимается равным вместимости этого места погрузки, выгрузки.
Для определения

и
Kц необходимо установить продолжительность периода повторяемости выполнения маневровых и грузовых операций на местах погрузки, выгрузки.
Следует учитывать, что при определенном расположении нескольких мест погрузки, выгрузки (например, последовательно у одного тупикового пути) вагоны для этих мест погрузки, выгрузки подаются и убираются совместно. Поэтому при расчетах перерабатывающей способности указанные места погрузки, выгрузки условно рассматриваются как одно место погрузки, выгрузки, вместимость и мощность которого равны суммарной вместимости всей группы совместно обслуживаемых мест погрузки, выгрузки. Для этого объединенного места погрузки, выгрузки продолжительность грузовой операции принимается равной наибольшей, соответствующей одному из мест погрузки, выгрузки. Если первым со стороны подачи находится место погрузки, выгрузки с меньшей продолжительностью грузовой операции, то необходимо учитывать возможность независимого обслуживания этого места погрузки, выгрузки.
Наибольшая возможная перерабатывающая способность мест погрузки, выгрузки может быть обеспечена при непрерывной работе всех мест погрузки, выгрузки и максимальной производительности имеющихся средств механизации. Вагоны должны подаваться в первую очередь к месту погрузки, выгрузки с наибольшей мощностью <*> (Пв вагонов в час), а затем к месту погрузки, выгрузки со следующей по величине мощностью и т.д. в порядке убывания мощности мест погрузки, выгрузки, что обеспечит минимальные потери размеров погрузки-выгрузки на этих местах и, следовательно, наибольшую перерабатывающую способность.
--------------------------------
<*> Под мощностью грузового фронта понимается число вагонов, которые могут быть переработаны (погружены, выгружены и т.д.) на данном фронте в течение 1 ч непрерывной работы (определяется с точностью до 0,1 вагона).
Примечание. При наличии особых требований в отношении перерабатывающей способности какого-либо места погрузки, выгрузки необходимо прежде всего обеспечить наиболее полное использование этого места погрузки, выгрузки (на котором требуется реализовать максимально возможные размеры погрузки-выгрузки). Поэтому подача вагонов на это место погрузки, выгрузки производится вне очереди по мере необходимости. Очередность же подачи вагонов к остальным местам погрузки, выгрузки должна определяться указанным ранее порядком.
3.8.3. Для мест погрузки, выгрузки у тупиковых путей продолжительность цикла составляет:

(3.8.3)
где

- время работы локомотива по обслуживанию мест погрузки, выгрузки за цикл:

, (3.8.4)
где 1,05 - коэффициент, учитывающий возникновение перерывов в работе маневрового локомотива из-за враждебности маршрутам подачи-уборки прочих возможных передвижений;
tп, tпер, tу, tхол - соответственно время подачи, перестановки, уборки вагонов и холостых передвижений локомотива.
При обслуживании мест погрузки, выгрузки у сквозных путей двумя локомотивами (один локомотив подает вагоны, другой убирает их) время работы локомотива, затрачиваемое на подачу вагонов:

. (3.8.5)
Время же работы другого локомотива, затрачиваемое на уборку вагонов:

. (3.8.6)
Цикл работы мест погрузки, выгрузки у сквозных путей составляет:
если

, то

, (3.8.7)
если

, то

.
Если маневровый локомотив наряду с подачей и уборкой выполняет также и другие операции (расформирование, формирование и др.), которые не могут быть совмещены с перерывами в работе по обслуживанию мест погрузки, выгрузки, цикл работы составляет:

(3.8.8)
tдр - отнесенное к одному поезду время выполнения других маневровых операций;
вп - среднее число вагонов, прибывающих с одним поездом для мест погрузки, выгрузки, обслуживаемых одним локомотивом (устанавливается анализом назначений вагонов в составах прибывающих поездов).
Если же выполнение других маневровых операций может быть совмещено с перерывами в работе локомотива по обслуживанию мест погрузки, выгрузки, то предварительно определяется общее время работы маневрового локомотива:

(3.8.9)
3.8.4. В случае подачи вагонов на места погрузки, выгрузки после расформирования каждого состава прибывшего поезда, т.е. без предварительного накопления в сортировочном парке, продолжительность цикла устанавливается при наиболее вероятном составе прибывающего поезда, для чего по данным натурных листов и диспетчерских графиков определяется:
а) вероятность прибытия вагонов на каждое место погрузки, выгрузки (с точностью до 0,01):
pi = ni/n'i,
где ni - число поездов, с которыми прибывали вагоны на определенное место погрузки, выгрузки за период наблюдений (10 - 20 сут.);
n'i - общее число поездов, прибывающих за тот же период;
б) число вагонов в поезде для каждого места погрузки, выгрузки вi как средняя величина за период наблюдений (при расчете числа вагонов вi для каждого места погрузки, выгрузки учитываются только те поезда, с которыми прибывали вагоны для этого места погрузки, выгрузки);
в) среднее за период наблюдений суммарное время подач, уборок и повторной сортировки, отнесенное к одному поезду tм.ср.
Приходящееся на один цикл обработки число подач к каждому месту погрузки, выгрузки составит Кф = вi/Вi (с округлением до ближайшего большего целого числа), где Вi - вместимость соответствующего места погрузки, выгрузки в вагонах.
Тогда среднее фактическое количество вагонов в подаче на каждое место погрузки, выгрузки:
в = вi/Кф.
По этому числу вагонов в с учетом производительности погрузочно-выгрузочных механизмов определяется время выполнения грузовых операций на каждом месте погрузки, выгрузки tо.
Затем составляется специальная таблица (по форме
таблицы 3.8.2), в которую вносятся данные по всем местам погрузки, выгрузки в порядке убывания вероятности прибытия на них вагонов
pi (группировка мест погрузки, выгрузки производится с учетом
пункта 3.8.2 настоящей Инструкции).
В наиболее вероятный состав прибывающего поезда включаются вагоны тех мест погрузки, выгрузки, для которых время (с точностью до 1 мин.)

равно или наиболее близко к установленному ранее значению
tм.ср., где
tс - среднее время повторной сортировки. Так, если было определено, что
tм.ср. = 135 мин., то в наиболее вероятный состав должны быть включены вагоны, прибывающие на места погрузки, выгрузки
а, б, в, г и
д (см.
таблицу 3.8.2), для которых

.
По этому наиболее вероятному составу поезда определяется продолжительность периода обработки вагонов, прибывающих с одним поездом. Затем по соответствующим
формулам (3.8.3),
(3.8.7) или
(3.8.8) устанавливается цикл

, включающий затраты времени на выполнение маневровым локомотивом операций (расформирование, формирование и др.).
В частном случае, когда нужно определить наибольшую суммарную перерабатывающую способность мест погрузки, выгрузки (обслуживаемых одним локомотивом) при реализации максимально возможных размеров погрузки-выгрузки на каком-либо месте погрузки, выгрузки,
таблица 3.8.2 заполняется аналогичным образом с помещением выделенного места погрузки, выгрузки на первом месте вне зависимости от вероятности прибытия для него вагонов
pi..
Места погрузки, выгрузки | Вероятность прибытия вагонов pi | Среднее число вагонов в поезде вi | Время, мин. |  (нарастающим итогом), мин. |
tп | tу | tс |
а | 0,90 | 7 | 10 | 10 | 25 | 45 |
б | 0,80 | 5 | 8 | 8 | 61 |
в | 0,75 | 4 | 13 | 13 | 87 |
г | 0,60 | 6 | 9 | 9 | 105 |
д | 0,55 | 4 | 12 | 12 | 129 |
е | 0,45 | 5 | 11 | 11 | 151 |
ж | 0,30 | 2 | 14 | 14 | 179 |
3.8.5. Мощность места погрузки, выгрузки (число переработанных вагонов в час) зависит от типа и числа погрузочно-разгрузочных машин, их технических характеристик и технологии использования, а также от рода груза и статической нагрузки вагона.
Мощность места погрузки, выгрузки, оснащенного погрузочно-разгрузочными машинами периодического действия (краны, погрузчики и т.п.), вагонов/ч, составляет:
а) при выполнении грузовых операций только с вагонами:

; (3.8.10)
б) при одновременном выполнении грузовых операций с вагонами и автомобилями:

, (3.8.11)
где M - число погрузочно-разгрузочных машин, находящихся в эксплуатации на месте погрузки, выгрузки;
qц - масса груза, перемещаемого машиной за один цикл, т (для контейнеров - в штуках);

- время полного цикла работы машины, мин.;
qв - статическая нагрузка вагона, т/вагон (для контейнеров - число контейнеров в вагоне);

- коэффициент непосредственного перегруза грузов из вагонов в автомобили и обратно;
nго - число грузовых операций с вагонами (погрузка, выгрузка или выгрузка и погрузка).
Рассчитать мощность места погрузки, выгрузки - склада тарно-штучных грузов, находящегося на подъездном пути и осуществляющего погрузку грузов в вагоны (
nго = 1) при следующих условиях: число работающих электропогрузчиков
M = 10; количество грузов, перемещаемое электропогрузчиком за один цикл,
qц = 0,6 т; время цикла работы

; статическая нагрузка вагона
qв = 60 т.

.
Рассчитать мощность места погрузки, выгрузки - грузового контейнерного пункта для переработки крупнотоннажных контейнеров при следующих условиях: в дневную смену осуществляется погрузка-выгрузка контейнеров на платформы (
nго = 2) и автомобили, а в ночную смену - погрузка-выгрузка контейнеров на платформы (
nго = 2); число кранов
M = 1; число контейнеров, перегружаемых за один цикл,
qц = 1; время цикла работы

; число физических контейнеров на платформе
qп = 3; коэффициент непосредственного перегруза контейнеров с платформы в автомобили и обратно

.
Решение. Мощность места погрузки, выгрузки составит:

;

.
Мощность места погрузки, выгрузки, оснащенного погрузочно-разгрузочными машинами непрерывного действия (конвейеры, элеваторы и т.п.), вагонов/ч, составляет:
а) при выполнении грузовых операций только с вагонами:

; (3.8.12)
б) при одновременном выполнении грузовых операций с вагонами и автомобилями:

, (3.8.13)
где
qч - производительность погрузочно-разгрузочной машины, т/ч, остальные обозначения те же, что и в
формулах (3.8.10) и
(3.8.11).
Производительность погрузочно-разгрузочной машины берется из технического паспорта машины. При отсутствии таких данных она рассчитывается по формулам:
при перегрузке штучных грузов:

, (3.8.14)
где qп - масса единицы перегружаемого груза (грузового места), т;
v - скорость грузонесущего органа машины, м/с;
aп - расстояние между центрами соседних грузовых мест на грузонесущем органе машины, м;
при перегрузке навалочных и насыпных грузов:
qч = 3,6пмv, (3.8.15)
где qпм - масса груза на 1 м грузонесущего органа машины, кг.
Мощность места погрузки, выгрузки, оборудованного повышенными путями или выгрузочными эстакадами, определяется по следующим двум элементам:
повышенного пути (эстакады);
погрузочно-разгрузочным машинам, производящим отбор груза от эстакады.
Мощность повышенного пути (эстакады), вагонов/ч:
где tо - время производства грузовых операций с одним вагоном с учетом открытия люков, очистки, подачи и уборки и т.д., мин.
Мощность места погрузки, выгрузки по погрузочно-разгрузочным машинам, производящим отбор груза от повышенного пути (эстакады), определяется по одной из
формул (3.8.10) -
(3.8.13), которая выбирается в зависимости от типа применяемой машины и условий организации работы.
Меньшее значение принимается за результирующую мощность места погрузки, выгрузки, оснащенного повышенными путями (эстакадами) и средствами механизации.
Пример расчета:
Рассчитать мощность места погрузки, выгрузки - повышенного пути для выгрузки песка (
nго = 1), оснащенного стреловыми кранами, по следующим условиям: время выгрузки одного вагона
tо = 5 мин.; время цикла работы крана

; число кранов
M = 3; количество груза, перемещаемое за один цикл,
qц = 5 т; статическая нагрузка вагона
qв = 60 т.
Пв = 60 : 5 = 12 вагонов/ч.
По
формуле (3.8.10) мощность повышенного пути по кранам, производящим отбор груза в склад:

.
Результирующая мощность места погрузки, выгрузки равна 10 вагонов/ч.
Мощность мест погрузки, выгрузки в порту в случае использования одних и тех же погрузочно-выгрузочных машин для обработки вагонов и судов является суммарной мощностью технологических линий мест погрузки, выгрузки. Технологическая линия представляет собой совокупность машин (взаимодействующих в определенном порядке), технологической оснастки и рабочих, осуществляющих перемещение грузов по принятой технологической схеме.
3.8.6. Перерабатывающая способность мест погрузки, выгрузки по складам зависит от вместимости склада, его назначения, организации поступления (прибытия, завоза) и уборки (отправления, вывоза) груза со склада, а также от технологии перегрузки груза.
По своему назначению склады делятся на: погрузочно-выгрузочные, на которых осуществляется погрузка или выгрузка, или погрузка и выгрузка; сортировочные, где осуществляется сортировка грузов; грузосортировочные, где осуществляются погрузочно-выгрузочные и сортировочные операции с грузом.
Погрузочно-выгрузочные склады, в зависимости от организации поступления и уборки груза, делятся на: склады с суточным циклом работы, т.е. склады, на которых размер суточного прибытия грузов равен или примерно равен размеру суточной уборки; склады с недельным циклом работы, т.е. склады, на которых вывоз груза резко сокращается в выходные дни недели, а остаток невывезенного груза убирается в течение недели.
Перерабатывающая способность места погрузки, выгрузки по складам (вагонов/сут.), работающим по суточному циклу:

(3.8.17)
где Eскл - эксплуатационная вместимость склада, т (для контейнерных площадок - в контейнерах с учетом ярусности штабелирования контейнеров);
qв - статическая нагрузка вагона, т/вагон (для контейнерных перевозок - число контейнеров в вагоне);
Tу - продолжительность уборки (вывоза) груза со склада в течение суток, ч;
Tз - продолжительность поступления (завоза) груза на склад в течение суток, ч;

- коэффициент непосредственного перегруза грузов из подвижного состава одного вида транспорта в другой;

- коэффициент наличия оперативной свободной емкости, необходимой для рациональной работы погрузочно-выгрузочных машин и соблюдения специализации складской площади (принимается равным 1,1; для контейнерных площадок с двухъярусным штабелированием контейнеров - 1,15);

,

- количество груза, хранящееся соответственно в дневную и ночную смену на автомобильном подвижном составе, т (контейнеры).
Перерабатывающая способность места погрузки, выгрузки по складам (вагонов/сут.), работающим по недельному циклу, составляет:
а) для складов, где хранятся только прибывшие или только отправляемые грузы:

(3.8.18)
б) для складов, где одна и та же площадь склада используется для хранения как прибывших, так и отправляемых грузов:

(3.8.19)
где

- количество груза (т или штуки), вывозимое в субботу и воскресенье;
Nа - количество груза (т или штуки), хранящиеся в ночную смену на автомобильном подвижном составе;
Tу - продолжительность вывоза (уборки) грузов в рабочие дни недели, ч;
T - расчетный период работы места погрузки, выгрузки в течение суток, ч;

- коэффициент внутринедельной неравномерности прибытия (отправления) грузов.
Перерабатывающая способность места погрузки, выгрузки по складам (вагонов/сут.), на которых производится сортировка грузов (сортировочные платформы, площадки для сортировки контейнеров и тяжеловесных грузов):

, (3.8.20)
где Z - доля груза, выгружаемого из вагонов в склад для накопления до комплекта (вагона).
Перерабатывающая способность мест погрузки, выгрузки по складам, на которых производится погрузка (выгрузка) и сортировка грузов, рассчитывается следующим образом.
Вначале по одной из
формул (3.8.17) -
(3.8.19) определяют число вагонов с местным грузом

, которое можно погрузить (выгрузить) на складе при условии переработки на нем только местного груза. Затем по
формуле (3.8.20) определяют число вагонов с транзитным грузом

, который можно рассортировать на складе при условии переработки на нем только транзитного груза. После этого, зная план погрузки (выгрузки) грузов с местным грузом

, рассчитывают возможное число вагонов с транзитным грузом

(вагонов/сутки), который можно рассортировать в этом же складе:

, (3.8.21)
3.8.7. Расчет перерабатывающей способности мест погрузки, выгрузки производится в следующем порядке:
а) для каждой группы мест погрузки, выгрузки, обслуживаемых отдельным маневровым локомотивом, устанавливается продолжительность цикла;
б) определяется число подач Кц на каждое место погрузки, выгрузки за цикл и общее число вагонов, обработанных на месте погрузки, выгрузки за это время, Кцв;
в) в случае подачи вагонов после предварительного накопления в сортировочном парке, по
формулам (3.8.4) -
(3.8.6) или
(3.8.9) устанавливается время работы локомотива по обслуживанию мест погрузки, выгрузки и выполнению других возможных маневровых операций;
д) по
формуле (3.8.1) определяется перерабатывающая способность места погрузки, выгрузки по средствам механизации; по одной из
формул (3.8.17) -
(3.8.21) устанавливается перерабатывающая способность места погрузки, выгрузки по складам, и меньшее из этих значений принимается за результирующую перерабатывающую способность места погрузки, выгрузки; затем определяется суммарная перерабатывающая способность всех мест погрузки, выгрузки, обслуживаемых данным локомотивом;
е) общая перерабатывающая способность грузовых устройств станции определяется суммированием перерабатывающей способности всех районов, обслуживаемых отдельными локомотивами.
Необходимое для расчета пропускной способности горловин грузовых станций число подач и уборок вагонов, приходящееся на один поезд:

(3.8.22)
(с округлением до большего целого числа).
При расчете пропускной способности горловины грузовой станции определенное по
формуле (3.8.22) число подач (уборок) вагонов, приходящееся на один поезд, умножается на продолжительность занятия соответствующего маршрута одной подачей (уборкой) и результат заносится в графу 3 свободной таблицы передвижений, совершаемых по рассчитываемой горловине.
3.8.8. Результирующая пропускная и перерабатывающая способность станции примыкания и железнодорожных путей необщего пользования, в соответствии с
Методикой расчета перерабатывающей способности станции, во взаимоувязке с перерабатывающими возможностями грузовых фронтов, мест общего и необщего пользования, на которых осуществляется грузовая работа, утвержденной распоряжением ОАО "РЖД" от 18 марта 2019 г. N 503/р, определяется с учетом перерабатывающей способности всех мест погрузки, выгрузки на путях общего пользования железнодорожной станции, а также примыкающих к станции путей необщего пользования.
3.9. Расчет пропускной и перерабатывающей способности специальных устройств на станциях перегрузки и перестановки вагонов с одной колеи на другую, припортовых станциях, обслуживающих железнодорожные паромы станциях
3.9.1. На пограничных станциях и станциях перегрузки вагонов с одной колеи на другую помимо расчетов, выполняемых для других типов станций, определяют:
пропускную способность приемоотправочных путей с широкой, узкой и совмещенной колеей в поездах в сутки для каждого направления, категории поезда и ширины колеи;
пропускную способность междупарковых соединительных путей с широкой, узкой и совмещенной колеей в поездах в сутки для каждого направления, категории поезда и ширины колеи;
пропускную способность горловин, в которых совмещаются широкая и узкая колея, в поездах в сутки;
пропускную способность досмотровых путей погранично-таможенного контрольного поста в поездах в сутки для каждого направления, категории поезда и ширины колеи;
перерабатывающую способность пунктов перестановки пассажирских и грузовых вагонов в поездах и в вагонах в сутки;
перерабатывающую способность мест перегрузки в вагонах в сутки.
Пропускную способность путей, осуществляющих прием, отправление и пропуск организованных поездов, рассчитывают порядком, изложенным в
разделе 3.4, отдельно по группам путей широкой, узкой и совмещенной колеи, специализированным по характеру работы.
При расчетах коэффициента использования имеющейся мощности для каждой группы путей широкой, узкой и совмещенной колеи индивидуально определяют время занятия технологическими операциями и коэффициенты

, учитывающие потери пропускной способности для грузовых поездов в связи с движением пассажирских и сборных поездов. При расчете коэффициентов

учитывают не только количество главных путей, но и ширину колеи на прилегающих к станции перегонах. При этом перегонные главные пути с разной шириной колеи рассматривают как отдельные перегоны. Главные пути с совмещенной колеей учитывают в расчетах коэффициентов

, суммируя выполняемые на них размеры движения пассажирских и сборных поездов по широкой и по узкой колее с учетом направления движения.
Результирующую пропускную способность путей станции подсчитывают для грузовых и пассажирских поездов каждого прилегающего к станции направления отдельно по широкой и по узкой колее.
При определении пропускной способности стрелочных горловин, в которых совмещаются широкая и узкая колея, сплетения и совмещения путей участвуют в расчете как отдельные элементы горловин.
Пропускную способность досмотровых путей погранично-таможенного контрольного поста в поездах в сутки рассчитывают с учетом нормативов времени обработки экспортных и импортных поездов каждой категории и ширины колеи.
Перерабатывающую способность пунктов перестановки пассажирских и грузовых вагонов оценивают:
по имеющейся мощности путей перестановки;
по вместимости путей для отстоя вагонных тележек.
Коэффициент использования имеющейся мощности путей перестановки

(3.9.1)
где tзан.i - длительность занятия пути перестановки обработкой одной подачи, включающая в себя подачу, расстановку вагонов на позициях смены тележек, смену тележек и ударно-тяговых приборов, сборку вагонов и уборку подачи с пути пункта перестановки, мин.;
n'i - число подач категории i в сутки, имеющих длительность обработки tзан.i;

- коэффициент, учитывающий возможные отказы технических средств пункта перестановки вагонов (для практических расчетов 0,06 - 0,08);
П - число путей на пункте перестановки;

- суммарная длительность технологических перерывов в течение суток, установленная технологическим процессом работы пункта перестановки;
nпост.j - число подач категории j в сутки, обработка которых является постоянной для расчетного периода;
tпост.j - длительность обработки одной подачи категории j, мин.
Имеющаяся мощность путей перестановки для подач категории i:
ni = n'i/К (3.9.2)
Перерабатывающая способность путей пункта перестановки в вагонах

, (3.9.3)
где mi - число вагонов в подаче категории i;
mj - число вагонов в подаче категории j.
Число вагонов в подаче не должно превышать суммарной вместимости одного пути пункта перестановки. Если число вагонов в пассажирском поезде превышает вместимость одного пути пункта перестановки, то перерабатывающую способность пункта перестановки для потока категории i в поездах получают делением числа ni на количество подач, на которое делится состав поезда категории i для расстановки по путям пункта перестановки вагонов.
Полученная перерабатывающая способность в вагонах по имеющейся мощности путей перестановки должна быть проверена по вместимости путей для отстоя вагонных тележек колеи 1520 мм и колеи 1435 мм. Потребная вместимость путей отстоя тележек в условных вагонах:

, (3.9.4)
где 2 - число тележек вагона;

- отношение длины тележки к длине условного вагона;

- средневзвешенный оборот вагона на железнодорожной сети государств с другой шириной колеи, сут.;

- резерв вместимости путей отстоя тележек, учитывающий неравномерность прибытия и отправления поездов и разброс значений длительности оборота вагонов (для практических расчетов

).
Если фактическая вместимость путей отстоя тележек E > E
потр как для колеи 1520 мм, так и для колеи 1435 мм, то перерабатывающую способность пункта перестановки в вагонах принимают согласно расчету по
формуле (3.9.3). Если для какой-либо ширины колеи E < E
потр, то перерабатывающую способность пункта перестановки в вагонах рассчитывают по формуле:

, (3.9.5)
затем пропорционально уменьшают перерабатывающую способность пункта перестановки в поездах соответствующих категорий.
Перерабатывающая способность мест перегрузки в вагонах в сутки рассчитывается следующим порядком:
по методике, установленной в
подразделе 3.8 настоящей Инструкции для расчета перерабатывающей способности мест погрузки, выгрузки, рассчитывают имеющуюся мощность мест перегрузки в вагонах в сутки для широкой колеи N
'гр.ш и для узкой колеи N
'гр.у;
уточняют перерабатывающую способность места перегрузки в вагонах по широкой и по узкой колее на основе баланса среднесуточной грузопереработки в тоннах (для контейнеров - в количестве контейнеров в двадцатифутовом эквиваленте):
Nгр.ш = min {N'гр.ш Pш; N'гр.у Pу}/Pш; (3.9.6)
Nгр.у = min {N'гр.ш Pш; N'гр.у Pу}/Pу; (3.9.7)
где Pш, Pу - техническая норма загрузки вагона соответственно широкой и узкой колеи, обрабатываемых на рассчитываемом месте перегрузки, т (для контейнеров - ДФЭ).
3.9.2. На припортовых станциях (районных парках РП) определяют:
пропускную способность приемоотправочных путей в составах и вагонах в сутки;
пропускную способность выставочных путей в составах и вагонах в сутки;
перерабатывающую способность погрузочно-выгрузочных путей причалов в вагонах в сутки.
Число приемоотправочных путей при определении их имеющейся мощности принимают равным числу путей для приема и отправления передач на предпортовую сортировочную станцию общей сети железных дорог, учитывая при этом время их занятия маневровыми операциями и технологической обработкой составов (включая приемосдаточные операции в случае их выполнения на путях рассчитываемого парка).
Примечание. Не учитывают сортировочные пути, пути для неходового груза и пути накопления судовых партий для переработки по прямому варианту.
Коэффициент использования имеющейся мощности путей:

, (3.9.8)
где Прп - число приемоотправочных путей;

- суммарная продолжительность занятия путей в среднем в течение суток работами по текущему обслуживанию, плановым видам ремонта и снегоуборке (см.
таблицу 3.4.2), мин.
Имеющаяся мощность приемоотправочных путей для составов категории i:
ni = n'i/К (3.9.9)
Пропускная способность приемоотправочных путей в вагонах:

(3.9.10)
где mi - число вагонов в составе категории i.
При расчете пропускной способности выставочных путей терминалов порта учитывают время их занятия маневровыми операциями и технологической обработкой составов (включая приемосдаточные операции в случае их выполнения на выставочных путях). Расчет аналогичен расчету пропускной способности приемоотправочных путей.
Перерабатывающая способность погрузочно-выгрузочного пути причала:

, (3.9.11)
где mпод - число вагонов в подаче на причал;

- продолжительность выполнения постоянных операций за сутки (текущее содержание пути, плановые виды ремонта и др). Для средних условий

;
tгр, tман, tпз, tпсо - длительность соответственно грузовых, маневровых, подготовительно-заключительных и приемосдаточных (в случае их выполнения на местах погрузки, выгрузки в порту) операций, приходящихся на одну подачу, мин.;

- коэффициент, учитывающий потери перерабатывающей способности железнодорожного пути причала из-за неравномерности поступления вагонов и выполнения операций,

.
3.9.3. На станциях, обслуживающих железнодорожные паромы, дополнительно определяют пропускную и перерабатывающую способность береговых железнодорожных устройств паромной переправы:
перерабатывающую способность сортировочных устройств (см.
пункт 3.5.4 настоящей Инструкции), выполняющих подборку групп вагонов (плетей), подлежащих погрузке на паром, согласно карго-плану паромного судна;
пропускную способность выставочных путей с учетом времени на выставление подобранных групп вагонов (плетей) и длительности таможенного и пограничного контроля (расчет аналогичен расчету пропускной способности путей портовых станций и районных парков);
пропускную способность подъемно-надвижного моста с учетом подготовительно-заключительных операций и маневровой работы.
Пропускная способность подъемно-надвижного моста (суммарная для вагонов, подаваемых на паром, и вагонов, убираемых с парома), вагонов/сут.:

, (3.9.12)
где mпл - число вагонов в одной плети;

- продолжительность занятия устройств подъемно-надвижного моста операциями по текущему содержанию и ремонту (принимается равной 60 мин.);

- коэффициент, учитывающий возникновение отказов устройств подъемно-надвижного моста (принимается равным 0,06 - 0,08);
tпз - продолжительность подготовительно-заключительных операций, связанных с обработкой одного паромного судна, мин.;

- продолжительность подачи одной плети на паром и уборки одной плети с парома при последовательной подаче и уборке, мин.;

- то же, при параллельной подаче и уборке, мин.;
Rпосл, Rпар - число плетей, подаваемых на одно паромное судно (убираемых с паромного судна) соответственно последовательно и параллельно;
2 - коэффициент, учитывающий число вагонов, убираемых с парома и подаваемых на паром;
0,5 - коэффициент, учитывающий параллельную обработку двух плетей.
Длительность швартовки и отшвартовки паромных судов и другие операции, не относящиеся к работе береговых железнодорожных устройств, при расчете пропускной способности подъемно-надвижного моста не учитываются.
В случае, когда на железнодорожной паромной переправе эксплуатируют разнотипные паромные суда, пропускная способность подъемно-надвижного моста определяется с помощью коэффициента использования его имеющейся мощности с учетом соотношения потоков вагонов, перевозимых судами каждого типа.
3.10. Определение результирующей пропускной и перерабатывающей способности станции
3.10.1. Пропускная способность станции устанавливается по направлениям движения (примыкающим линиям) и категориям поездов (транзитные без переработки, расформировываемые, своего формирования, пассажирские и др.), а также в целом по станции.
3.10.2. Результирующая пропускная способность путей для поездов какого-либо направления (категории) равна сумме пропускной способности путей тех парков, в которых обрабатываются поезда этого направления (категории).
Если поезда какого-либо направления (категории) проходят последовательно через несколько горловин станции, то результирующая пропускная способность соответствует горловине, которая имеет наименьшее значение пропускной способности для поездов рассматриваемого направления (категории). Если поезда какого-либо направления обрабатываются последовательно в разных парках станции (например, в одном парке производится техническое обслуживание, в другом - таможенное оформление), то результирующая пропускная способность в таком случае определяется по парку с наименьшей пропускной способностью. При наличии приема (или отправления) поездов одного направления (категории) в разные парки станции результирующая пропускная способность равна сумме пропускной способности тех горловин, по которым проходят поезда рассматриваемого направления (категории). Например, если транзитные поезда с подхода "С" в парк N 1 проходят через горловины N 1 и 2 (пропускная способность которых составляет соответственно 50 и 40 поездов, т.е. прием в парк N 1 ограничивает горловина N 2), в парк N 2 - через горловины N 4 и 5 (пропускная способность которых составляет соответственно 20 и 30 поездов, т.е. прием в парк N 2 ограничивает горловина N 4), то результирующая пропускная способность горловин для транзитных поездов с подхода "С" будет равна 40 + 20 = 60 поездам. Это же обстоятельство надо учитывать и в отношении поездов своего формирования, отправляемых с сортировочно-отправочных путей, в особенности при наличии двух сортировочных парков.
3.10.3. Результирующая пропускная способность станции определяется на основе анализа пропускной способности отдельных ее устройств. Однако в качестве результирующей пропускной способности станции нельзя механически принимать пропускную способность лимитирующего устройства, полученную при первоначально принятых условиях организации работы. После расчета всех устройств станции необходимо рассмотреть возможность увеличения пропускной и перерабатывающей способности ограничивающих устройств за счет изменения первоначально принятых условий расчета, переноса части работы с одних, более загруженных устройств на другие, менее загруженные.
Например, если на станции имеются два приемоотправочных парка и один из них ограничивает пропускную способность, а другой имеет запас мощности, то целесообразно предусмотреть возможность увеличения приема поездов в парк, который загружен меньше.
Возможен случай, когда пропускная способность по приему поездов в переработку и отправлению поездов своего формирования не может быть полностью реализована из-за недостатка перерабатывающей способности сортировочных устройств; тогда следует увеличить пропускную способность станции по пропуску транзитных поездов без переработки.
Пропускную способность горловины можно увеличить, перенося некоторые маневровые и поездные передвижения с наиболее загруженных на менее загруженные стрелки рассчитываемой горловины или даже в другие горловины станции. Иногда можно изменить отдельные маршруты передвижений и снизить враждебность в горловине, что повысит ее пропускную способность.
Когда перерабатывающую способность станции ограничивает горка, то для повышения перерабатывающей способности сортировочной системы в целом следует освободить горочные локомотивы от выполнения осаживания вагонов на путях сортировочного парка, снять с горки выполнение операций по окончанию формирования, не распускать местные и отремонтированные вагоны и т.п. Если же ограничивающим устройством являются вытяжные пути сортировочного парка, то предусматривается увеличение загрузки горки выполнением операций по окончанию формирования.
Таким образом, результирующую пропускную способность станции принимают равной пропускной способности ограничивающего устройства после количественной оценки всех возможностей ее увеличения.
3.10.4. На станциях с несколькими подходами, где грузовые поезда одного подхода могут приниматься в разные парки (или отправляться из разных парков), результирующая пропускная способность в грузовых поездах для данного подхода определяется как сумма пропускных способностей ограничивающих устройств, входящих в маршруты приема поездов в эти парки (или в маршруты отправления поездов из этих парков). При этом необходимо в каждом конкретном случае проверить, насколько возможно увеличение пропускной способности по маршрутам для данного подхода за счет невозможности полного использования пропускной способности одноименных устройств по маршрутам для другого подхода. Например, станция "
Д" отправляет поезда из парков "
М" и "
Н" на выходы "
А" и "
Б"
(рисунок 3.10.1).
Пропускная способность (в грузовых поездах) наиболее загруженных устройств станции, рассчитанная по отдельным маршрутам, приведена в
таблице 3.10.1.
Маршруты отправления поездов | Пропускная способность устройств, входящих в маршруты | Результирующая пропускная способность |
Парк М | Парк Н | Стрелка N 1 | Стрелка N 5 |
Из парка Н на выход А | - | 30 | 31 | 27 | 27 |
" " М " " А | 36 | - | 49 | - | 36 |
" " Н " " Б | - | 20 | - | 18 | 18 |
" " М " " Б | 24 | - | - | 29 | 24 |
Требуется определить результирующую пропускную способность станции по отправлению на выходы "А" и "Б".
По данным, приведенным в
таблице 3.10.1, устанавливается, что результирующая пропускная способность станции "
Д" по отправлению на выход "
А" определяется как сумма пропускной способности ограничивающих устройств, входящих в маршруты отправления поездов: 27 поездов (по стрелке 5) и 36 поездов (по путям парка "
М") - всего 63 поезда.
Пропускная способность станции "Д" по отправлению на выход "Б" составляет 18 поездов (по стрелке 5) и 24 поезда (по путям парка "М") - всего 42 поезда.
Однако стрелка 5, являющаяся ограничивающей для маршрутов отправления поездов из парка Н на выходы "
А" и "
Б", имеет избыток пропускной способности по маршруту отправления поездов из парка "
М" на выход "
Б", поскольку ограничивающим устройством для этого маршрута является парк "
М". Этот избыток пропускной способности стрелки 5, составляющий 29 - 24 = 5 поездов, необходимо использовать для увеличения пропускной способности по маршрутам отправления поездов из парка "
Н" на выходы "
А" и "
Б" с учетом переводных коэффициентов (см.
пункт 3.10.5 настоящей Инструкции). Таким образом, после корректировки результирующая пропускная способность по отправлению на выход "
А" составит 30 + 36 = 66 поездов и по отправлению на выход
Б - 20 + 24 = 44 поезда.
3.10.5. Если полученная по расчету пропускная способность станции по направлениям не соответствует потребности, то она перераспределяется по направлениям для установления возможности освоения повышенных размеров движения.
Для перераспределения пропускной способности станции по направлениям производится дополнительный расчет в той же последовательности и по тем же формулам, что и основной расчет. В этом случае на направлении, по которому расчетная пропускная способность станции выше потребной, потребная пропускная способность принимается за расчетные размеры движения, и при подсчете времени занятия проверяемого устройства операции, связанные с пропуском этих поездов, относятся к числу постоянных (время на их выполнение, например, при расчете пропускной способности путей учитывается в величине

).
По полученному в результате дополнительного расчета коэффициенту использования определяется пропускная способность по остальным направлениям.
Операция | Направления |
БГ | БВ | БД |
Прием, поездов/сут. | 30 | 50 | 20 |
Отправление, поездов/сут. | 30 | 50 | 20 |
Прием поездов с этих направлений (см.
таблицу 3.10.2) производится в парк "
Н", а отправление - из парка "
Р". Предположим, что расчет пропускной способности по заданным размерам движения показал, что приемоотправочные парки имеют следующие коэффициенты использования пропускной способности: парк "
Н" - 0,6, парк "
Р" - 0,7; поэтому пропускная способность станции по направлениям составляет:
по приему поездов с направлений:
"БГ" - 30 : 0,6 = 50 поездов;
"БВ" - 50 : 0,6 = 83 поезда;
"БД" - 20 : 0,6 = 33 поезда;
по отправлению поездов на направления:
"БГ" - 30 : 0,7 = 42 поезда;
"БВ" - 50 : 0,7 = 71 поезд;
"БД" - 20 : 0,7 = 28 поездов.
Сравнение полученной пропускной способности станции с потребной пропускной способностью прилегающих участков показывает следующее
(таблица 3.10.3).
Направления | Пропускная способность, поездов/сут. |
станции по приему поездов | станции по отправлению поездов | потребная по участкам |
БГ | 50 | 42 | 36 |
БВ | 83 | 71 | 80 |
БД | 33 | 28 | 32 |
Полученная пропускная способность станции "Б" в направлении "БГ" не будет полностью реализована, так как потребная пропускная способность участка "БГ" (36 поездов) ниже пропускной способности станции в этом направлении (50 поездов). В то же время полученная пропускная способность станции "Б" на направлениях "БВ" и "БД" ниже потребной пропускной способности прилегающих участков. В этом случае необходимо осуществить перераспределение пропускной способности станции "Б" по направлениям.
3.10.6. Перераспределение пропускной способности станции производится следующим порядком. Принимая за расчетные размеры движения потребную пропускную способность станции "Б" на направление "БГ" 36 пар поездов как постоянную величину, производим дополнительный расчет пропускной способности приемоотправочных парков.
Коэффициенты использования пропускной способности парков при этом составят: парк "Н" - 0,5 и парк "Р" - 0,6. Тогда пропускная способность станции "Б" на эти направления составляет:
по приему поездов с направлений:
"БВ" - 50 : 0,5 = 100 поездов;
"БД" - 20 : 0,5 = 40 поездов;
по отправлению поездов на направления:
"БВ" - 50 : 0,60 = 83 поезда;
"БД" - 20 : 0,6 = 33 поезда.
Из приведенных данных видно, что в результате перераспределения пропускной способности станции "Б" пропускная способность на направлениях "БВ" и "БД" повысилась.
3.10.7. При неоднородной структуре поездопотоков расчеты по перераспределению пропускной и перерабатывающей способности станций производятся с использованием:
коэффициентов съема пропускной способности для поездов в расформирование

, поездов своего формирования

и транзитных поездов без переработки

, показывающих количество одногруппных поездов соответствующей категории и установленной графиковой длины состава, которому эквивалентно занятие элемента станционной инфраструктуры поездом рассматриваемой категории и (или) направления;
коэффициентов съема перерабатывающей способности сортировочного устройства

, показывающих количество составов одногруппных поездов установленной графиковой длины без вагонов, запрещенных к роспуску, которому эквивалентно занятие сортировочного устройства составом рассматриваемой категории и (или) направления;
коэффициентов съема числа назначений формируемых поездов

, показывающих количество назначений одногруппных поездов установленной графиковой длины без вагонов, запрещенных к роспуску, которому эквивалентно занятие сортировочных путей поездным назначением рассматриваемой категории и (или) направления.
Так, пропускная способность для линии, где имеется в ней недостаток, может быть увеличена за счет избытка пропускной способности для другой линии на величину

, (3.10.1)
где

- размер увеличения пропускной способности устройства для поездов, например, 1-й линии (категории);

- коэффициент съема поездов 1-й линии (категории) поездами 2-й линии (категории);

- размер уменьшения пропускной способности устройства для поездов, например, 2-й линии (категории).
Коэффициент съема равен

, (3.10.2)
где tзан1, tзан2 - время занятия устройства станции одним поездом соответствующей линии (категории).
Например, если время занятия пути рассчитываемого парка поездами с линии
В составляет
tзан.в = 37 мин., а с линии
Д -
tзан.д = 34 мин., то за счет избытка пропускной способности парка для линии
В в размере

может быть увеличена пропускная способность этого парка для линии
Д на:
3.10.8. Коэффициент съема перерабатывающей способности сортировочного устройства одним составом с вагонами ЗСГ

(3.10.3)
где t'гор - горочный технологический интервал без учета роспуска составов с вагонами ЗСГ, мин.;
tрос - время роспуска состава без вагонов ЗСГ, мин.;
tЗСГ - увеличение горочного интервала при расформировании состава с вагонами ЗСГ, определяемое в зависимости от количества горочных локомотивов Mг.
При этом заполнение перерабатывающей способности сортировочного устройства в приведенных поездах (с составами установленной длины без вагонов ЗСГ)

, (3.10.4)
где

- доля расформировываемых составов с вагонами ЗСГ;
nфг - количество поездов местных назначений, формируемых на горке, поездов/сут.;

- коэффициент съема перерабатывающей способности горки формированием местного поезда;
tф - увеличение горочного интервала при расформировании состава с вагонами ЗСГ, определяемое в зависимости от количества горочных локомотивов Mг.
| | ИС МЕГАНОРМ: примечание. Нумерация пунктов дана в соответствии с официальным текстом документа. | |
3.10.6. В железнодорожных узлах, где поезда с одного из направлений принимаются на разные станции или отправляются с разных станций, результирующая пропускная способность определяется как сумма пропускной способности ограничивающих устройств узла (отдельные станции, обходы, соединительные ветви и т.д.), входящих в различные маршруты пропуска поездов через узел.
Маршруты пропуска поездов через узел Н | Пропускная способность | Результирующая пропускная способность |
станции В | станции Г | станции Р | обхода |
Из М на А через станцию В | 45 | - | 48 | - | 45 |
" А " М " " В | 50 | - | 80 | - | 50 |
" М " А по обходу | - | 32 | 60 | 24 | 24 |
" А " М " " | - | 26 | 30 | 24 | 24 |
" Б " К через станцию В | 20 | 22 | - | - | 20 |
" К " Б " " В | 22 | 22 | - | - | 22 |
" Б " М " " В | 15 | - | 30 | - | 15 |
" М " Б " " В | 15 | - | 18 | - | 15 |
Из
таблицы 3.10.4 следует, что результирующая пропускная способность узла по направлениям составит:
по приему: | по отправлению: |
из М 45 + 24 + 15 = 84 поезда; | на М 50 + 24 + 15 = 89 поездов; |
из А 50 + 24 = 74 поезда; | на А 45 + 24 = 69 поездов; |
из Б 20 + 15 = 35 поездов; | на Б 22 + 15 = 37 поездов; |
из К 22 поезда; | на К 20 поездов. |
Результирующая пропускная и перерабатывающая способность станции указывается в
графах 5,
6,
7 и
10 таблицы сводных данных формы N 14 ЦД (см. подраздел 9.2 настоящей Инструкции), в которой выделяется число соединенных и длинносоставных поездов.
4. Порядок расчета пропускной способности
железнодорожных участков по устройствам электроснабжения
4.1.1. Пропускной способностью железнодорожного участка с преимущественно грузовым движением по устройствам электроснабжения называется максимальное число грузовых поездов заданной массы, которое может быть пропущено в каждом направлении за сутки с учетом заданных размеров пассажирского движения исходя из показателей нагрузочной способности:
силового оборудования тяговых подстанций, а именно - понижающих трансформаторов, преобразовательных трансформаторов, автотрансформаторов системы электроснабжения переменного тока 2 x 25 кВ и преобразователей системы электроснабжения постоянного тока;
системы тягового электроснабжения по уровню напряжения в тяговой сети;
тяговой сети по допустимой температуре нагрева проводов.
4.1.2. Для железнодорожных участков с преимущественно пассажирским движением пропускной способностью по устройствам электроснабжения называется максимальное число пассажирских поездов установленной массы, которое может быть пропущено в каждом направлении за сутки с учетом заданных размеров грузового движения исходя из показателей нагрузочной способности, указанных в
пункте 4.1.1 настоящей Инструкции.
4.1.3. Исходными данными для расчета пропускной способности по устройствам электроснабжения являются:
а) по хозяйству пути и сооружений:
координаты раздельных пунктов расчетного участка;
продольный профиль и план железнодорожного пути;
действующие ограничения скорости движения поездов;
тип рельса;
масштабный план станции;
б) по локомотивному хозяйству:
действующие нормы масс и длин поездов;
серии эксплуатируемых локомотивов;
средняя масса грузовых поездов по результатам интегрированной обработки маршрутов машинистов;
в) по хозяйству перевозок:
особые условия организации движения поездов (специализация железнодорожных путей, участки следования поездов с подталкивающим локомотивом, регулярное обращение соединенных поездов как система эксплуатации железнодорожного участка, порядок следования поездов по двухпутным перегонам с однопутными мостами или тоннелями и прочие);
станционные интервалы;
размеры движения согласно графику движения поездов, в том числе количество грузовых поездов наибольшей массы;
коэффициенты съема пропускной способности для заданных категорий поездов;
исполненные размеры движения поездов в среднем за сутки месяца максимальных перевозок;
продолжительность технологического перерыва в движении поездов для ремонта и обслуживания объектов инфраструктуры железнодорожного транспорта общего пользования;
г) по хозяйству автоматики и телемеханики:
минимальные межпоездные интервалы по устройствам сигнализации, централизации и блокировки;
двухниточный план станции;
путевой план перегона с кабельной сетью;
д) по хозяйству электрификации и электроснабжения:
координаты тяговых подстанций и линейных объектов системы тягового электроснабжения;
реактансы системы внешнего электроснабжения или мощность (ток) трехфазного короткого замыкания на вводе каждой тяговой подстанции;
тип, количество и номинальные параметры силового оборудования тяговых подстанций и линейных объектов системы тягового электроснабжения;
напряжения холостого хода на шинах распределительного устройства тяговой подстанции, питающего тяговую сеть;
фазировка плеч питания тяговых подстанций систем электроснабжения переменного тока;
мощность районной нагрузки и нетяговых потребителей, получающих питание от тех же трансформаторов, что и тяговая нагрузка;
схема питания и секционирования контактной сети;
марки проводов тяговой сети и координаты границ секций контактной сети с отличающимися параметрами;
сечения питающих и отсасывающих линий тяговых подстанций и линейных объектов системы тягового электроснабжения;
нормативный коэффициент надежности тяговых подстанций по мощности силового оборудования, рассчитываемый по формуле:

; (4.1)
где KТПС - количество тяговых подстанций в границах расчетного участка;
нормативный коэффициент надежности тяговых подстанций по мощности силового оборудования для участков, с момента электрификации которых прошло менее двух лет, рассчитывается по формуле:

; (4.2)
нормативный коэффициент надежности тяговой сети по нагреву проводов, рассчитываемый по формуле:

; (4.3)
где LКС - развернутая длина контактной сети расчетного участка, км;
нормативный коэффициент надежности тяговой сети по нагреву проводов для участков, с момента электрификации которых прошло менее двух лет, рассчитывается по формуле:

; (4.4)
нормативный коэффициент надежности тяговой сети по уровню напряжения, рассчитываемый по формуле:

. (4.5)
4.1.4. С целью исключения погрешности расчета, обусловленной нагрузкой лишь на одно из плеч питания крайних тяговых подстанций, расчетный участок системы электроснабжения должен включать в себя:
не менее чем по одному смежному по границам расчетного участка перегону, но не менее двух смежных межподстанционных зон при системе электроснабжения постоянного тока и не менее чем по одной смежной межподстанционной зоне при системе электроснабжения переменного тока;
по одной межподстанционной зоне на примыкающих к расчетному участку ветвях при их наличии.
4.1.5. Разработка паспортов пропускной способности по результатам расчетов пропускной способности по устройствам электроснабжения выполняется с учетом требований следующих документов:
ГОСТ 11677-85 "Трансформаторы силовые. Общие технические условия";
ГОСТ 14209-85 "Трансформаторы силовые масляные общего назначения. Допустимые нагрузки";
ГОСТ 16772-77 "Трансформаторы и реакторы преобразовательные. Общие технические условия";
ГОСТ 32697-2019 "Тросы контактной сети железной дороги несущие. Технические условия";
ГОСТ 32895-2014 "Электрификация и электроснабжение железных дорог. Термины и определения";
ГОСТ Р 51559-2000 "Трансформаторы силовые масляные классов напряжения 110 и 220 кВ и автотрансформаторы напряжением 27,5 кВ для электрических железных дорог переменного тока. Общие технические условия";
ГОСТ Р 53431-2009 "Автоматика и телемеханика железнодорожная. Термины и определения";
ГОСТ Р 55647-2018 "Провода контактные из меди и ее сплавов для электрифицированных железных дорог. Технические условия";
ГОСТ Р 57670-2017 "Системы тягового электроснабжения железной дороги. Методика выбора основных параметров";
Свода правил
СП 224.1326000.2014 "Тяговое электроснабжение железной дороги", утвержденного
приказом Минтранса России от 2 декабря 2014 г. N 330;
Правил технической эксплуатации железных дорог Российской Федерации, утвержденных приказом Минтранса России от 21 декабря 2010 г. N 286;
Правил тяговых расчетов для поездной работы, утвержденных МПС СССР 15 августа 1980 г.;
Правил тяговых расчетов для поездной работы, утвержденных
распоряжением ОАО "РЖД" от 12 мая 2016 г. N 867р;
Инструкции по определению станционных и межпоездных интервалов с учетом новых средств и методов интервального регулирования движения поездов, утвержденной ОАО "РЖД" 9 декабря 2016 г. N 721;
Правил содержания контактной сети, питающих линий, отсасывающих линий, шунтирующих линий и линий электропередачи, утвержденных
распоряжением ОАО "РЖД" от 25 апреля 2016 г. N 753р;
Правил содержания тяговых подстанций, трансформаторных подстанций и линейных устройств системы тягового электроснабжения, утвержденных
распоряжением ОАО "РЖД" от 5 августа 2016 г. N 1587р;
Стандарта
СТО РЖД 1.07.002-2010 "Инфраструктура железнодорожного транспорта на участках обращения грузовых поездов повышенного веса и длины. Технические требования", утвержденного
распоряжением ОАО "РЖД" от 25 ноября 2010 г. N 2412р;
Стандарта СТО РЖД 07.021.1-2015 "Защита систем электроснабжения железной дороги от коротких замыканий и перегрузки. Часть 1. Общие принципы и правила построения защит, блокировок и автоматики в системах тягового электроснабжения", утвержденного
распоряжением ОАО "РЖД" от 27 мая 2015 г. N 1351р;
Стандарта СТО РЖД 07.021.2-2015 "Защита систем электроснабжения железной дороги от коротких замыканий и перегрузки. Часть 2. Методика выбора алгоритмов действия, уставок блокировок и выдержек времени автоматики в системе тягового электроснабжения", утвержденного
распоряжением ОАО "РЖД" от 27 мая 2015 г. N 1351р;
Стандарта СТО РЖД 07.021.4-2015 "Защита систем электроснабжения железной дороги от коротких замыканий и перегрузки. Часть 4. Методика выбора уставок защит в системе тягового электроснабжения переменного тока", утвержденного распоряжением ОАО "РЖД" от 7 апреля 2016 г. N 615р;
СТО РЖД 07.021.5-2018 "Защита систем электроснабжения железной дороги от коротких замыканий и перегрузки. Часть 5. Методика выбора уставок защит в системе тягового электроснабжения постоянного тока", утвержденного
распоряжением ОАО "РЖД" от 8 мая 2018 г. N 918/р;
Методики классификации и специализации железнодорожных линий ОАО "РЖД", утвержденной распоряжением ОАО "РЖД" от 13 января 2020 г. N 28/р.
4.1.6. Тяговая нагрузка в системе электроснабжения определяется тяговыми расчетами для каждого направления движения поездов каждой расчетной категории, задается в виде массива значений координат расположения поезда на участке и потребляемого электроподвижным составом из тяговой сети тока (при системах переменного тока - значения полного тока и активной его составляющей) с равномерным шагом по времени.
Тяговые расчеты должны выполняться для заданного профиля и плана пути с учетом постоянных ограничений скорости, а также обязательных остановок поездов на технических железнодорожных станциях.
4.1.7. При изменении на участке нормы массы поездов или вводе в эксплуатацию новых типов локомотивов результаты тяговых расчетов могут быть скорректированы с учетом результатов опытных поездок.
4.2.1. Характеристики расчетных режимов работы системы электроснабжения, принимаемых для определения минимальных допустимых межпоездных интервалов, представлены в
таблице 4.1.
Таблица 4.1
Расчетные режимы работы системы
электроснабжения, принимаемые для определения
минимальных допустимых межпоездных интервалов
Расчетный режим | Цель расчета | Вид расчетного графика движения поездов | Расчетная схема |
А | определение суточной пропускной способности | чередование поездов наибольшей и средней массы | нормальная, с отключенными резервными трансформаторами (преобразователями) |
Б | определение пропускной способности в режиме интенсивной работы участка | нормальная, с включенными резервными трансформаторами (преобразователями), если режим разрешен энергоснабжающей организацией |
4.2.2. Сочетание грузовых поездов наибольшей и средней массы в расчетном графике движения принимается в зависимости от их суточного количества в соответствии с данными
таблицы 4.2.
Таблица 4.2
Сочетание грузовых поездов наибольшей
и средней массы в расчетном графике движения
Доля поездов наибольшей массы от общего числа грузовых поездов в сутки | Количество поездов наибольшей массы в расчетном графике движения |
для участков с двумя и более главными путями | для однопутных участков и двухпутных участков с однопутными вставками |
в направлении наибольшего энергопотребления | во встречном направлении |
менее 25% | 1 из 4 | 1 | нет |
от 25% до 50% | 1 из 3 | 2 |
от 50% до 75% | 1 из 2 | 2 |
более 75% | все | 2 |
4.2.3. Допустимые межпоездные интервалы в режимах, указанных в
таблице 4.1, с учетом данных, приведенных в
таблице 4.2, рассчитываются:
а) для однопутных участков - при частично пакетном графике движения и пропуске пакета (при автоматической блокировке) или пачки (при полуавтоматической блокировке) из трех поездов в направлении наибольшего энергопотребления
(рисунок 4.1) и всех поездов средней массы во встречном направлении, если не заданы иные условия расчета, описанные в
подразделе 2.2 настоящей Инструкции;
Рисунок 4.1. Расчетный частично-пакетный график
движения поездов для однопутного участка, на котором
нечетное направление является направлением
наибольшего энергопотребления
б) для однопутных участков с двухпутными вставками и раздельными пунктами продольного типа, а также двухпутных участков с однопутными искусственными сооружениями или сплетениями путей, требующих установления зависимости между поездами обоих направлений, пропускная способность рассчитывается исходя из условий безостановочного проследования нечетных и четных поездов по участку пути, используемому для двухстороннего движения (
рисунки 2.8,
2.9,
2.10);
в) для двухпутных участков - при параллельном графике движения в условиях равномерного потока поездов по каждому пути
(рисунок 4.2);
Рисунок 4.2. Расчетный параллельный график движения поездов
для двухпутных участков с учетом чередования поездов
наибольшей массы (соединенных) и поездов средней массы
г) для многопутных участков - в зависимости от принятой системы организации движения поездов по главным путям в соответствии с
подразделом 2.7 настоящей Инструкции.
4.2.4. Для железнодорожных участков с преимущественно пассажирским движением расчет пропускной способности по устройствам электроснабжения выполняется для принятой расчетной категории пассажирских поездов.
4.3. Расчет допустимых межпоездных интервалов
4.3.1. Основой расчетов пропускной способности является моделирование графика движения поездов с применением методов его равномерного сечения. При каждой реализации модели параллельного графика с заданным текущим значением межпоездного интервала
Jтек вычисляются следующие основные параметры режима системы электроснабжения в соответствии с нормируемыми показателями по
ГОСТ Р 57670-2017.
4.3.2. При расчетах допустимых межпоездных интервалов используются условные параллельные графики движения с равномерным распределением поездов расчетной категории наибольшей и средней массы в каждом направлении по всем межподстанционным зонам расчетного участка.
4.3.3. По результатам расчетов основных параметров режима, приведенных в
пункте 4.3.1 настоящей Инструкции, для каждой межподстанционной зоны определяются коэффициенты использования нагрузочной способности
KИНС устройств тягового электроснабжения согласно показателям, перечисленным в
пункте 4.1.1 настоящей Инструкции.
4.3.4. Режим системы электроснабжения при данном межпоездном интервале в графике является допустимым, если указанные коэффициенты для всех устройств рассматриваемой межподстанционной зоны меньше или равны 1. В противном случае определяются ограничивающие устройства межподстанционной зоны, значения коэффициентов для которых больше единицы. Коэффициенты использования нагрузочной способности оборудования отдельной тяговой подстанции учитываются на всех питаемых ею межподстанционных зонах.
4.3.5. Определение допустимых межпоездных интервалов на однопутных участках выполняется путем расчета серии графиков, приведенных на
рисунке 4.1, при изменении текущего межпоездного интервала
Jтек в пакете от минимального значения до максимального, равного времени хода поезда расчетной категории по лимитирующему перегону расчетного участка. При значениях межпоездного интервала
Jтек больше времени хода поезда расчетной категории по лимитирующему перегону рациональным является непакетный график движения.
Период частично пакетного графика движения на лимитирующем перегоне, имеющем наибольшую сумму времен хода нечетного и четного поездов, рассчитывается по формуле:

, (4.6)
где t', t" - времена хода, соответственно, нечетного и четного поезда по лимитирующему перегону расчетного участка, минут;
Kп - число поездов в пакете;
Jдоп ЛЗ - допустимый интервал по нагрузочной способности устройств на межподстанционной зоне, содержащей лимитирующий перегон;

- станционный интервал скрещения поездов противоположных направлений, минут;

- станционный интервал неодновременного прибытия поездов противоположных направлений, минут.
Период непакетного графика движения на лимитирующем перегоне рассчитывается по формуле:

. (4.7)
4.3.6. Определение допустимых межпоездных интервалов на двухпутных участках, в том числе с однопутными искусственными сооружениями при наличии шунтирующих линий, обеспечивающих двухстороннее питание каждого главного пути рассматриваемой межподстанционной зоны, выполняется методом расчета серии параллельных графиков движения, приведенных на
рисунке 4.2, при изменении текущего межпоездного интервала
Jтек от минимального значения до 60 мин. Интервал, равный 60 мин., соответствует режиму пропуска одного поезда по межподстанционной зоне.
4.3.7. Определение допустимых межпоездных интервалов на однопутных участках с двухпутными вставками или раздельными пунктами продольного типа, а также двухпутных участков с однопутными искусственными сооружениями при отсутствии шунтирующих линий, обеспечивающих двухстороннее питание каждого главного пути рассматриваемой межподстанционной зоны, или сплетениями путей, требующих установления зависимости между поездами обоих направлений, выполняется методом расчета серии параллельных графиков движения, приведенных на
рисунках 2.8,
2.9,
2.10, при изменении текущего межпоездного интервала
Jтек от минимального значения до 60 мин.
4.3.8. Определение допустимых межпоездных интервалов на многопутных участках выполняется в зависимости от принятой системы организации движения поездов по главным путям методом расчета серии параллельных графиков движения, указанных в
пунктах 4.3.5 и
4.3.6 настоящей Инструкции, при изменении текущего межпоездного интервала
Jтек от минимального значения до 60 мин.
4.3.9. Допустимый интервал
Jдоп min по нагрузочной способности каждого из показателей, приведенных в
пункте 4.3.1 настоящей Инструкции, определяется как наименьшее значение
Jтек, при котором значение соответствующего коэффициента
KИНС меньше или равно 1.
Если при каком-либо значении Jтек для всех параметров значение KИНС меньше 1, то после ряда дополнительных проверок допустимости рабочего режима цикл моделирования графиков завершается досрочно.
При текущем значении межпоездного интервала, равном минимальному межпоездному интервалу по устройствам сигнализации, централизации и блокировки, фиксируются ограничивающие устройства электроснабжения, значения KИНС которых превышают 1.
Для каждой межподстанционной зоны определяется результирующий допустимый межпоездной интервал
Jдоп рез как наибольшее значение по всем показателям, приведенным в
пункте 4.3.1 настоящей Инструкции. Максимальное значение из всех
Jдоп рез является результирующим межпоездным интервалом для расчетного участка.
4.4. Расчет пропускной способности
4.4.1. Максимальное возможное количество грузовых поездов в сутки на однопутном участке с учетом пропуска поездов других категорий (при непараллельном графике) определяется для частично-пакетного графика движения по формуле:

, (4.8)
где tтех - продолжительность суточного бюджета времени, необходимого для выполнения содержания и плановых ремонтных работ устройств инфраструктуры, мин.;

- коэффициент надежности соответствующей группы устройств.
4.4.2. Максимально возможное количество грузовых поездов в сутки на однопутном участке с учетом пропуска поездов других категорий (при непараллельном графике) определяется для непакетного графика движения по формуле:

. (4.9)
4.4.3. Максимально возможное количество грузовых поездов в сутки на данном пути двухпутного участка с учетом пропуска поездов других категорий (при непараллельном графике) определяется для каждой межподстанционной зоны по отдельным показателям нагрузочной способности устройств:

, (4.10)
где Jзад - заданный межпоездной интервал, принимаемый, как правило, равным минимальному межпоездному интервалу по устройствам сигнализации, централизации и блокировки, минут.
Значения, полученные по результатам расчетов по
формулам (4.8) -
(4.10), округляются до целого значения в меньшую сторону.
4.4.4. Максимально возможное количество грузовых поездов в сутки на однопутных участках с двухпутными вставками или раздельными пунктами продольного типа, а также двухпутных участков с однопутными искусственными сооружениями при отсутствии шунтирующих линий, обеспечивающих двухстороннее питание каждого главного пути рассматриваемой межподстанционной зоны, с учетом пропуска поездов других категорий (при непараллельном графике) определяется в соответствии с
подразделом 2.3 и
пунктами 4.4.1 -
4.4.3 настоящей Инструкции.
4.4.5. Максимально возможное количество грузовых поездов в сутки на многопутных участках с учетом пропуска поездов других категорий (при непараллельном графике) определяется в соответствии с
подразделом 2.7 и
пунктами 4.4.1 -
4.4.3 настоящей Инструкции.
4.4.6. При наличии в расчетном графике движения соединенных поездов значение nгр соответствует наибольшему возможному количеству ниток грузового движения. Допустимое число физических поездов (в одиночном исчислении):

, (4.11)
где Kсоед - число одиночных грузовых поездов в соединенном поезде;

- доля соединенных поездов в расчетном графике движения поездов (принимается в соответствии с данными
таблицы 4.2).
4.5.1. С учетом результатов расчетов, приведенных в
подразделе 4.4 настоящей Инструкции, пропускная способность по устройствам электроснабжения проверяется по условиям работы:
а) защит тяговой сети;
б) элементов обратной тяговой рельсовой сети.
4.5.2.
Порядок проверки использования нагрузочной способности устройств электроснабжения приведен в приложении N 5 к настоящей Инструкции.
5. Порядок определения пропускной способности
железных дорог по деповским и экипировочным
устройствам локомотивного хозяйства
5.1.1. Пропускная способность участка обращения локомотивов по деповским и экипировочным устройствам определяется наибольшим числом пар грузовых поездов (включая вывозные и передаточные), которое может быть пропущено по участку за сутки при наличном количестве этих устройств, их специализации, размещении, и при максимально возможной степени их загрузки.
5.1.2. Величина пропускной способности участка по деповским и экипировочным устройствам оценивается при условиях:
применения существующего способа эксплуатации локомотивного парка (включая определение его потребной численности);
обращения по участку поездов с локомотивами наличной серийности и секционности;
полного обеспечения локомотивов, используемых в пассажирском (включая пригородное), хозяйственном движении и непоездной работе, обслуживанием, требующим применения деповских и экипировочных устройств;
использования действующих норм межремонтных периодов и простоя локомотивов при их техническом обслуживании (ТО), ремонте и экипировании;
исправности наличных деповских и экипировочных устройств, соответствия их производительности действующим нормативам, а фонда времени их использования - нормам СНиП.
5.1.3. При расчете пропускной способности учитываются все имеющиеся деповские и экипировочные устройства, в том числе временно законсервированные, если они по техническим характеристикам (размерам, состоянию оборудования и производственных помещений) и по их размещению пригодны для обслуживания локомотивов, эксплуатируемых на участке.
5.1.4. При эксплуатации на участке многосекционных локомотивов, обслуживание которых на стойлах ПТОЛ или депо, или пунктов экипировки невозможно без их расцепки, соответствующие нормы простоя таких локомотивов, применяемые при расчете пропускной способности, должны предусматривать дополнительные затраты времени, обусловленные необходимостью расцепки и сцепки.
5.1.5. Пропускная способность участка обращения локомотивов определяется в соответствии с
подразделом 5.3 настоящей Инструкции по каждому из следующих устройств локомотивного хозяйства:
для электротяги:
по стойлам для выполнения технических обслуживаний ТО-2, ТО-3 (если данный вид обслуживания предусмотрен действующим положением о системе ТО и ремонта электровозов), текущих ремонтов ТР-1 и неплановых ремонтов;
по устройствам пескоснабжения (пескосушильным печам, устройствам подачи песка на электровозы);
по экипировочным позициям;
по ходовым деповским путям;
для тепловозной тяги:
по стойлам для выполнения ТО-2, ТО-3, ТР-1, неплановых ремонтов;
по устройствам для подачи топлива на тепловозы;
по устройствам пескоснабжения (пескосушильным печам, устройствам подачи песка на тепловозы);
по экипировочным позициям;
по ходовым деповским путям.
5.1.6. Сопоставлением величин пропускной способности, определенных для каждого из устройств, перечисленных в
пункте 5.1.5 настоящей Инструкции, выявляются устройства или устройство с наименьшим значением этой величины, т.е. ограничивающие пропускную способность участка. Применительно к таким лимитирующим устройствам разрабатываются предложения (меры) по устранению указанного ограничения пропускной способности с учетом
пунктов 5.1.8 и
5.1.9 настоящей Инструкции и указывается ее величина, достигаемая в результате реализации этих предложений.
5.1.7. В случае, если при выполнении ТО или ремонта локомотив необходимо перемещать с одной рабочей позиции (стойла) на другую (другое стойло), затраты времени на указанное перемещение включаются (при выполнении расчетов пропускной способности) в длительность выполнения данного ТО или ремонта. Таким образом, при расчете пропускной способности стойл для выполнения технического обслуживания, плановых и неплановых ремонтов в продолжительность выполнения этих ТО и ремонтов следует включать непроизводственные затраты времени перемещения локомотива с одной рабочей позиции на другую.
5.1.8. В случае, если пропускная способность лимитируется экипировочными устройствами, определяется возможность снятия такого ограничения за счет использования передвижных экипировочных средств, находящихся в распоряжении железной дороги. Если лимитирующими устройствами являются стойла для выполнения ТО-2, то определяется возможность выполнения ТО-2 маневровым локомотивам на станционных путях (локомотивными бригадами).
5.1.9. При существенном различии величин пропускной способности смежных участков обращения локомотивов определяется возможность увеличения наименьшей из этих величин за счет изменения схем обслуживания поездов локомотивами и (или) плановой загрузки устройств, указанных в
пункте 5.1.5 настоящей Инструкции, используемых для обслуживания локомотивов на смежных участках.
5.1.10. Пропускная способность деповских и экипировочных устройств, находящихся на стыковых станциях между железными дорогами, должна рассчитываться той дорогой, которой принадлежит данная станция. При расчетах учитывается потребность в устройствах как для обслуживания локомотивов своей дороги, так и оборачивающихся по этой станции локомотивов соседних дорог.
5.1.11. Железная дорога, использующая устройства, находящиеся на станции, являющейся междорожным стыковым пунктом и при этом принадлежащие другой (соседней) дороге, обязана до начала расчетов сообщить соседней дороге, рассчитывающей пропускную способность, все данные, необходимые для такого расчета: число локомотивов, которые должны на стыковой станции подвергаться техническому обслуживанию, экипироваться песком и топливом (с указанием их потребного объема) и т.д. Железная дорога, которой принадлежат указанные устройства, после проведения соответствующей части расчетов, обязана сообщить дороге, использующей ее устройства на стыковой станции, необходимые данные об их пропускной способности.
5.1.12. Дополнительно к расчету по определению пропускной способности участка по устройствам, указанным в
пункте 5.1.5 настоящей Инструкции, производится в соответствии с
подразделом 5.4 настоящей Инструкции проверка степени загрузки следующих устройств локомотивного хозяйства, обслуживающих данный участок обращения: стойл текущего ремонта ТР-2 и ТР-3 (СР), стойл и путей для стоянки локомотивов в рабочем состоянии, складов топлива и смазки (по их емкости). Кроме того, определяется соответствие размещения пунктов снабжения локомотивов песком величине интенсивности расхода песка локомотивом (каждой серии) на участке обращения.
5.1.13. Для участков обращения локомотивов, размещенных полностью в пределах одной железной дороги, информация, необходимая для расчета пропускной способности устройств локомотивного хозяйства - перечень участков, расчетные размеры движения, потребность в локомотивах - представляется службой перевозок указанной дороги (согласно
формам N 1 ЦТ и
графам 3 -
6 формы N 2 ЦТ, представленным в подразделе 9.7 настоящей Инструкции).
Применительно к удлиненным и разветвленным участкам обращения локомотивов, размещенным в границах нескольких дорог, указанная информация представляется дорогой (или региональным центром управления), на которую возложены функции по управлению локомотивным парком на таких участках обращения.
5.2. Методические основы оценки пропускной способности устройств на участке обращения локомотивов
5.2.1. Для определения пропускной способности участка первоначально по каждому из i-объектов локомотивного хозяйства, оборудованных устройствами, указанными в
пункте 5.1.5 настоящей Инструкции, определяется величина коэффициента (К
i), характеризующего степень загрузки этих устройств в месяц максимальных размеров грузового движения (далее - МРГД), реализованных в период, предшествующий расчету пропускной способности данного участка. Затем рассчитывается величина пропускной способности участка обращения, которую могут обеспечить данные устройства:

, (5.1)
где nмi - максимально возможная при наибольшей допустимой загрузке устройств i-объекта, пропускная способность участка обращения локомотивов (исчисляемая в суточном количестве пар грузовых поездов);
nг - количество пар грузовых поездов за сутки в месяц МРГД на участке обращения локомотивов;
Кi - коэффициент использования (загрузки) устройств i-объекта локомотивного хозяйства в месяц МРГД.
5.2.2. Коэффициент К
i характеризует степень максимально возможного увеличения загрузки устройств i-объекта для обслуживания локомотивов грузового движения - по сравнению с загрузкой этих устройств в месяц МРГД - при условии, что величина потребности в обслуживании данными устройствами локомотивов негрузового движения (пассажирского и хозяйственного движения, а также используемых для маневровой и прочей работы) не изменится, т.е. останется такой же, как и в месяц МРГД.
Данный коэффициент определяется:

, (5.2)
где

- величина, характеризующая суточную потребность в путях или стойлах i-объекта (пункта экипировки, ПТОЛ, депо) или в материалах (песке, топливе) для локомотивов грузового движения в месяц МРГД;

- количество путей или стойл, которое ежесуточно может использоваться при максимальной потребности в них, или наличная производительность устройств (пескоподачи, топливоотдачи, пескосушения) i-объекта локомотивного хозяйства;

- ежесуточно потребное количество путей или стойл или потребная суточная производительность устройств (пескоподачи, топливоподачи, пескосушения) i-объекта для обслуживания локомотивов, используемых в негрузовом движении в месяц МРГД.
В
пунктах 5.3.1 -
5.3.6 настоящей Инструкции приведены способы и примеры вычисления величины К для устройств (объектов) различного назначения.
5.2.3. По результатам определения n
мi для каждого из i-объектов, обслуживающих участок обращения, в соответствии с
пунктом 5.1.6 настоящей Инструкции выявляется объект, устройства которого в наибольшей степени ограничивают пропускную способность этого участка. В качестве расчетной величины пропускной способности участка в целом принимается величина n
мi указанного лимитирующего объекта (его устройств).
5.2.4. Значение nмi для любого i-объекта локомотивного хозяйства определяется в следующей последовательности.
5.2.4.1. Первоначально устанавливается фактическое наличие устройств, перечисленных в
пункте 5.1.5 настоящей Инструкции, на этом объекте, т.е. их количество и их параметры. Затем определяется существующая специализация данных устройств (по сериям или видам использования обслуживаемых ими локомотивов, по видам таких обслуживаний). Далее с учетом суточного фонда времени использования устройств рассчитывается максимально возможная суточная их производительность (пропускная способность), т.е.

.
5.2.4.2. Определяется потребное суточное количество (или объем) обслуживания локомотивов (по сериям, в месяц МРГД), используемых в негрузовом движении, т.е. занятых в пассажирском и хозяйственном движении, на маневровой и прочей работе. С учетом данной потребности, суточного фонда времени использования устройств i-объекта, нормативов простоя локомотивов различных серий при их обслуживании, а также неравномерности поступления локомотивов на этот объект (для их обслуживания устройствами данного объекта) вычисляется значение

.
5.2.4.3. По информации о потребности (в месяц МРГД) в локомотивах различных серий и секционности для обслуживания грузовых поездов (в том числе вывозных и передаточных) определяется потребное - в среднем за сутки такого месяца - число (или объем) обслуживаний этих локомотивов (по сериям) на i-объекте с применением устройств, указанных в
пункте 5.1.5 настоящей Инструкции. С использованием величины потребного числа или объема обслуживаний вычисляется значение

.
5.2.4.4. С применением определенных значений

,

,

вычисляется значение К
i - в соответствии с
формулой (5.2). На основании расчетной величины К
i и данных о значении n
г, в соответствии с
формулой (5.1), рассчитывается пропускная способность участка обращения локомотивов по производственным возможностям i-объекта.
5.2.4.5. Увеличение размеров грузового движения в общем случае вызывает рост потребной численности не только грузовых, но и маневровых локомотивов. Поэтому после определения величин К
i и n
мi, в соответствии с
пунктом 5.2.2 настоящей Инструкции, по пропускной способности стойл и устройств подачи топлива на тепловозы дополнительно оценивается увеличение их загрузки вследствие возрастания потребности в обслуживании маневровых локомотивов.
5.2.4.6. В соответствии с
пунктом 5.1.6 настоящей Инструкции по расчетным значениям n
мi выявляются объекты и их устройства, в наибольшей степени ограничивающие пропускную способность участка обращения. За величину такой пропускной способности участка (по деповским и экипировочным устройствам) принимается наименьшее - из определенных для i-объектов данного участка - значение n
мi.
5.2.5. В случае если на участке обращения в грузовом движении применяются два вида тяги, то для определения пропускной способности по устройствам локомотивного хозяйства в качестве исходных данных используется потребное в месяц МРГД число электровозов и тепловозов по отдельности. Если на таком участке устройства i-объекта применяются для обслуживания и электровозов, и тепловозов совместно, то для этих устройств величина nмi определяется без разделения ее по видам тяги. Если на участке обращения используются локомотивы двух родов тока, то для устройств локомотивного хозяйства, специализированных для обслуживания электровозов постоянного или переменного тока, то расчет пропускной способности выполняется по отдельности.
5.2.6. Результаты определения пропускной способности участка по устройствам локомотивного хозяйства, указанным в
пункте 5.1.5 настоящей Инструкции, а также проверки степени загрузки устройств, указанных в
пункте 5.1.11 настоящей Инструкции, оформляются в соответствии с
подразделом 9.7 настоящей Инструкции. При этом в пояснительной записке указываются и другие устройства объектов локомотивного хозяйства, степень загрузки которых в месяц МРГД затрудняет обслуживание локомотивов на участке их обращения. К числу таких устройств могут относиться поворотные устройства депо, стойла для замены колесно-моторных блоков, обточки колесных пар без выкатки, проведения реостатных испытаний.
5.3. Расчет пропускной способности по отдельным видам устройств локомотивного хозяйства
5.3.1. Пункты технического обслуживания локомотивов (ПТОЛ)
5.3.1.1. Пропускная способность каждого ПТОЛ, размещенного на любом участке обращения локомотивов (далее - УО), определяется по числу его путей для выполнения ТО-2 и количеству стойл на каждом пути. Способ расчета пропускной способности каждого ПТОЛ, расположенного на участке обращения локомотивов грузового движения (далее - ГД), предполагает определение среднесуточного числа ТО-2, выполняемых на данном ПТОЛ в МРГД, и потребности в стойлах для выполнения указанного числа ТО-2, а также сопоставление потребного числа стойл с наличным (для установления величины коэффициента использования пропускной способности ПТОЛ в месяц МРГД).
5.3.1.2. Для определения среднесуточного числа ТО-2, выполняемых каждым пунктом технического обслуживания, размещенным на данном УО, первоначально определяется суммарное потребное число ТО-2 для всех локомотивов, используемых в грузовом движении на этом УО в месяц МРГД (Wг). Затем определяется доля Wг, приходящаяся на каждый данный ПТОЛ.
5.3.1.3. Суммарное потребное число ТО-2 для эксплуатируемого парка локомотивов ГД (Wг) определяется с учетом необходимой численности этого парка (для освоения заданного объема перевозок в месяц МРГД) и норм периодичности выполнения ТО-2. При этом потребная численность эксплуатируемого парка локомотивов ГД представляется в физических единицах, т.е. любой локомотив, вне зависимости от числа его секций (соответствующего или не соответствующего его конструкционному исполнению), принимается за физическую единицу.
5.3.1.4. Для электровозного парка ГД при использовании нормы периодичности ТО-2, установленной в часах, суммарная среднесуточная потребность в ТО-2 (
Wэг) определяется:

, (5.3)
где NЭГ - потребная численность эксплуатируемого парка электровозов для обеспечения заданных размеров ГД (включая вывозные и передаточные поезда) на данном УО в месяц МРГД, физ. ед;

- нормативная максимальная продолжительность эксплуатации электровоза ГД до ТО-2, ч;
SЭГ - среднесуточный пробег электровозов ГД (с передаточными и вывозными) на данном УО в месяц МРГД, км;

- норма пробега электровозов ГД между текущими ремонтами ТР-1, тыс. км;

- коэффициент влияния применяемой на данном УО системы соблюдения нормы периодичности ТО-2 на величину ожидаемой фактической периодичности ТО-2.
Для УО с автоматизированной системой, обеспечивающей оперативный контроль наработки локомотивов от последнего ТО-2 и реализацию правил гарантированной подачи локомотивов на ПТОЛ до истечения максимально допустимой величины такой наработки, величина

принимается равной 0,9. Для УО с диспетчерским регулированием подачей локомотивов на ПТОЛ (с использованием выходной информации АСУ)

.
5.3.1.5. Для тепловозного парка ГД (за исключением локомотивов, используемых для вывозки и передачи) при использовании нормы периодичности ТО-2, установленной в часах, суммарная среднесуточная потребность в ТО-2 (Wтг) определяется:

, (5.4)
где Nтг - потребная численность эксплуатируемого парка тепловозов для обеспечения заданных размеров ГД (без вывозных и передаточных поездов) на данном УО в месяц МРГД, физ. ед.;

- нормативная максимальная продолжительность эксплуатации тепловоза ГД до ТО-2, ч;
Sтг - среднесуточный пробег тепловозов ГД (без передаточных и вывозных) в месяц МРГД, км;

- норма пробега тепловозов ГД между техническими обслуживаниями ТО-3, тыс. км;

- коэффициент влияния системы соблюдения нормы периодичности ТО-2 на величину фактической периодичности ТО-2 (значения

принимаются в соответствии с
подпунктом 5.3.1.4 настоящей Инструкции).
5.3.1.6. Если для локомотивов ГД на данном УО норма максимальной наработки до ТО-2 установлена в тыс. км, то суммарная суточная потребность локомотивного парка в ТО-2 на данном УО определяется:
для электровозов (в том числе вывозных и передаточных)

, (5.5)
для тепловозов (без вывозных и передаточных)

, (5.6)
где

и

- соответственно нормы пробега электровозов ГД до ТР-1 и тепловозов ГД до ТО-3 (в тыс. км).
5.3.1.7. Если для магистральных тепловозов, обслуживающих вывозные и передаточные поезда, норма максимальной наработки между ТО-2 исчисляется в часах нахождения этих тепловозов в эксплуатируемом парке, то суммарная среднесуточная потребность в ТО-2 таких тепловозов Wтвп определяется:

, (5.7)
где Nтвп - потребная численность эксплуатируемого парка магистральных тепловозов для вывозных и передаточных поездов на данном УО в месяц МРГД, физ. ед.;

- нормативная продолжительность эксплуатации магистральных тепловозов, обслуживающих вывозные и передаточные поезда на данном УО в месяц МРГД, между ТО-2, ч;

- нормативная продолжительность эксплуатации магистральных тепловозов, обслуживающих вывозные и передаточные поезда на данном УО в месяц МРГД, между ТО-3, сут.
Формула (5.7) может применяться и для определения среднесуточной потребности в ТО-2 для маневровых тепловозов (
Wтм). В данном случае в
формуле (5.7) вместо N
твп используется количество маневровых тепловозов в эксплуатируемом парке (N
тм), а вместо

,

используются показатели для маневровых тепловозов, т.е.

,

.
Общая суммарная потребность в ТО-2 для парка магистральных тепловозов, используемых на данном УО для грузового движения (включая передаточное и вывозное) в месяц МРГД, составляет WТ = WТГ + WТВП.
5.3.1.8. Определение суточной потребности в ТО-2 для локомотивного парка, используемого в ГД на рассматриваемом участке обращения.
В месяце МРГД потребность в локомотивах эксплуатируемого парка (
Nэг) на данном участке обращения составляет 308 электровозов (в физических единицах) для грузового движения. Для всех электровозов ГД применяются нормы:
tэг2 = 72 часа,
lэг1 = 30 тыс. км, среднесуточный пробег
Sг составляет 780 км. На данном УО применяется диспетчерское регулирование подачей локомотивов на ПТОЛ (с использованием АСУ), при котором

. Тогда согласно
формулы (5.3) суточная потребность в ТО-2 для указанного парка электровозов определится:

.
Если норма периодичности ТО-2 электровозов грузового движения на данном УО задана величиной пробега (например,

), а диспетчерское регулирование их подачей на ПТОЛ осуществляется без применения АСУ

, то суточная потребность в ТО-2 для 308 электровозов, согласно
формулы (5.5), составит:

.
5.3.1.9. Определение суточной потребности в ТО-2 для тепловозного парка, используемого в ГД на данном УО.
В месяце МРГД потребность в локомотивах эксплуатируемого парка для ГД составляет 135 магистральных тепловозов (в том числе 25 тепловозов для вывозного и передаточного движения). Для указанных тепловозов (за исключением вывозных и передаточных) применяются нормы:

,

; среднесуточный пробег этих локомотивов в данный месяц S
г = 405 км/сут. На УО применяется диспетчерское регулирование подачей локомотивов на ПТОЛ, при котором

.
Для вывозных и передаточных магистральных тепловозов применяются нормы:

,

. В соответствии с
формулой (5.4) суточная потребность в ТО-2 для 110 тепловозов определяется:

.
Суточная потребность в ТО-2 для 25 вывозных и передаточных тепловозов, согласно
формулы (5.7), определяется:

.
Общая суммарная потребность в ТО-2 для 135-ти тепловозов составит:
Wт = Wтг + Wтвп = 49,4 + 11 = 59,4 технических обслуживаний.
5.3.1.10. Суммарное среднесуточное число ТО-2 (
Wг), потребное для парка локомотивов грузового движения, используемого на данном УО, в общем случае выполняется несколькими ПТОЛ, расположенными в пределах этого УО. Определение среднесуточного числа ТО-2, которые должен выполнить в месяц МРГД каждый из таких пунктов технического обслуживания (
Пгi), производится следующим образом:

, (5.8)
где Nоi - среднесуточное число локомотивов ГД (обращающихся на данном УО), отцепляемых на этом УО от грузовых поездов на станции размещения i-ПТОЛ;
Nоу - среднесуточное число локомотивов ГД (обращающихся на данном УО), отцепляемых от грузовых поездов на всех станциях размещения ПТОЛ.
Значения Nоу и Nоi определяются по графикам исполненного движения за период, характеризующий эксплуатационную работу на УО в месяце МРГД.
При наличии статистических данных за прошлые месяцы МРГД о числе ТО-2, выполненных на каждом из ПТОЛ данного УО (для локомотивов ГД, обращавшихся на этом УО), величины Пгi определяются по этим статистическим данным как фактическое среднесуточное число таких ТО-2, выполнявшихся на каждом из ПТОЛ.
В случае если локомотивы ГД данного УО подвергаются техническому обслуживанию ТО-2 в пункте их оборота, принадлежащему другому (смежному) участку обращения грузовых локомотивов, то расчетная величина Nоу для данного УО должна быть соответственно уменьшена.
5.3.1.11. Расчет для определения среднесуточного числа ТО-2 (
Пгi), подлежащего выполнению локомотивам ГД на каждом из пунктов технического обслуживания, расположенных на УО.
Исходные данные:
на данном УО для грузового движения (включая передаточное и вывозное) используются только электровозы, и в соответствии с
подпунктом 5.3.1.8 настоящей Инструкции значение
WэГ в месяц МРГД составляет 120 ТО-2;
технические обслуживания ТО-2 электровозам грузового движения на данном УО выполняются четырьмя ПТОЛ, условно обозначенными как a, b, c, d и находящимися в границах этого УО;
анализом графиков исполненного движения установлено, что на четырех станциях размещения указанных ПТОЛ в среднем за сутки в месяце МРГД выполняется Nоу = 268 отцепок электровозов (обращающихся на данном УО) от грузовых поездов, в том числе на станции нахождения a-ПТОЛ - Nоa = 92, b-ПТОЛ - Nоb = 59, c-ПТОЛ - Nоc = 43 и d-ПТОЛ - Nоd = 74 отцепок.
Согласно
формулы (5.8) среднесуточное расчетное число ТО-2 для электровозов ГД, подлежащее выполнению на каждом из четырех ПТОЛ в месяце МРГД, составит:
ПЭГa = 92 : 268·120 = 41,2; ПЭГb = 59 : 268·120 = 26,4;
ПЭГc = 43 : 268·120 = 19,3; ПЭГd = 74 : 268·120 = 33,1.
5.3.1.12. В случае, если локомотивам ГД данного УО некоторое число технических обслуживаний ТО-2, как указано в
подпункте 5.3.1.10 настоящей Инструкции, выполняется на ПТОЛ, принадлежащем не данному, а смежному участку обращения (т.е. в случае, если пункт оборота этих локомотивов расположен на смежном УО и ТО-2 им выполняется на ПТОЛ такого пункта), то при определении П
гi, по
формуле (5.8), из
Wэг следует вычесть среднесуточное число ТО-2, выполняемых в месяц МРГД указанным локомотивам на ПТОЛ смежного УО. Так, применительно к примеру, изложенному в
подпункте 5.3.1.8 настоящей Инструкции, в случае, если среднесуточное число ТО-2, выполняемых электровозам ГД данного УО на ПТОЛ смежного УО, составляет в месяц МРГД десять ТО-2, то
Wэг, принимаемое к последующему определению П
эгi, должно составить не 120, а 120 - 10 = 110 технических обслуживаний электровозов ГД данного УО.
Если на каком-либо i-ПТОЛ данного УО выполняются ТО-2 локомотивам ГД смежного УО, то среднесуточное число таких ТО-2 в месяц МРГД (П
гчi) не включается в расчет величин
Wэг,
Wтг и Wтвп для данного УО при их определении по
формулам (5.5),
(5.6) и
(5.7) и в расчет П
гi для данного УО по
формуле (5.8). Но после определения расчетной величины П
гi для такого i-ПТОЛ данного УО по
формулам (5.6),
(5.7) или
(5.8) ее следует увеличить добавлением П
гчi. Так, применительно к примеру, представленному в
подпункте 5.3.1.11 настоящей Инструкции, в случае, если на d-ПТОЛ в среднем ежесуточно в месяц МРГД выполняется 12 технических обслуживаний ТО-2 электровозам ГД смежного УО, т.е. П
эгчd = 12, то суммарное среднесуточное число ТО-2 на этом ПТОЛ составит П
эгd + П
эгчd = 33,1 + 12 = 45,1.
Данные о среднесуточном (в месяц МРГД) количестве локомотивов, обращающихся на данном УО, но техническое обслуживание которым должно выполняться на ПТОЛ смежного УО, сообщаются диспетчерским аппаратом данного УО службе локомотивного хозяйства дороги, в ведении которой находится указанный ПТОЛ смежного УО.
5.3.1.13. В общем случае ПТОЛ любого данного УО наряду с техническими обслуживаниями для локомотивов ГД выполняют ТО-2 и для локомотивов, используемых в пассажирском, хозяйственном движении, а также в маневровой работе. Вследствие этого общее расчетное среднесуточное число технических обслуживаний на i-ПТОЛ слагается из П
гi и дополнительного среднесуточного числа ТО-2 для локомотивов негрузового движения - П
нгi. Величина П
нгi должна определяться по статистическим данным о выполнении ТО-2 указанным выше локомотивам за предыдущие периоды, аналогичные (по размерам ГД, по схемам его обеспечения локомотивами и техническим обслуживанием ТО-2) рассматриваемому месяцу МРГД. Указанные статистические данные должны характеризовать суточную работу i-ПТОЛ как минимум за один месяц.
5.3.1.14. Максимальное суточное число ТО-2, которое может быть выполнено на каждом данном i-ПТОЛ для локомотивов ГД, обращающихся на данном УО, зависит от следующих параметров и характеристик:
числа путей i-ПТОЛ (ni), оборудованных стойлами;
числа стойл на каждом из указанных путей (mi);
нормативного времени простоя в ТО-2 каждого из локомотивов, поступающих на i-ПТОЛ (Tнi);
степени неравномерности поступлений локомотивов на i-ПТОЛ в течение суток (в месяц МРГД) -

;
технологически необходимой минимальной величины интервала времени (tп) между последовательными поступлениями на стойло локомотивов для выполнения им ТО-2;
среднесуточного числа не совмещенных с ТО-2 экипирований локомотивов, если они выполняются на i-ПТОЛ (метод оценки пропускной способности ПТОЛ с учетом экипирований изложен в
подпунктах 5.3.5.2 и
5.3.5.3 настоящей Инструкции).
5.3.1.15. Число путей i-ПТОЛ (n
i), оборудованных стойлами, может составлять 1, 2 и более. На каждом таком пути могут размещаться одно, два и более стойл (m
i).
Нормативное время простоя локомотива на ТО-2 Tнi в общем случае может быть различным для локомотивов, используемых в разных видах движения и работы. Оно зависит от серии локомотива и числа секций в локомотиве как физической единице.
Средняя величина технологически необходимого минимального интервала времени t
п (см.
подпункт 5.3.1.14 настоящей Инструкции) между окончанием ТО-2 любого данного локомотива на данном стойле i-ПТОЛ и началом работ ТО-2 следующего локомотива на этом стойле зависит от способа подачи локомотивов на стойла в этом ПТОЛ и должна определяться по результатам хронометрирования. В общем случае t
п составляет от 3 до 5 мин (0,05...0,083 ч).
5.3.1.16. Периоды времени между последовательными постановками локомотивов на стойло существенно изменяются в зависимости от интенсивности прибытия (на станцию расположения i-ПТОЛ) поездов с локомотивами, подлежащими техническому обслуживанию ТО-2, а также от организации подачи таких локомотивов к ПТОЛ (т.е. от структуры потока поступлений локомотивов на ПТОЛ).
В случае, если в определенные часы суток интенсивность поступления локомотивов к ПТОЛ, превышает максимально возможную частоту выполнения ТО-2 на этом ПТОЛ, то перед ним образуется очередь локомотивов, ожидающих техническое обслуживание. Если же интенсивность подвода локомотивов к ПТОЛ меньше максимально возможной частоты выполнения ТО-2 на этом ПТОЛ, то некоторые из его стойл в отдельные периоды времени оказываются незагруженными. Вследствие этого при определении наибольшей пропускной способности ПТОЛ в расчете используется коэффициент

, характеризующий максимально возможную степень использования каждого пути ПТОЛ при фактической неравномерности подачи локомотивов на ТО-2 в течение суток. Величина этого коэффициента зависит от n
i - числа путей ПТОЛ, на которых размещаются стойла для выполнения ТО-2 (значения

приведены в
таблице 5.1).
Число путей n | 1 | 2 | 3 | 4 | 5 | 6 | 7 |
Значения  | 0,720 | 0,865 | 0,877 | 0,893 | 0,904 | 0,902 | 0,916 |
5.3.1.17. Наибольшие размеры грузового движения (n
мгi) на данном УО, которые могут быть обеспечены выполнением ТО-2 локомотивам ГД на i-ПТОЛ этого УО (при сохранении существующей пропорции распределения среднесуточного числа ТО-2, выполняемых всем локомотивам ГД этого УО, между всеми его ПТОЛ, а также при совмещении операций экипирования всех локомотивов с производством ТО-2 на i-ПТОЛ), определяются:
где nг - размеры ГД в месяц МРГД на данном УО;
Кi - коэффициент, характеризующий загрузку (а следовательно, и резерв пропускной способности) i-ПТОЛ применительно к ТО-2, выполняемым для локомотивов ГД, используемых на данном участке обращения.
Величина Кi рассчитывается по формуле:

, (5.10)
где

- коэффициент, характеризующий влияние неравномерности подачи локомотивов к ПТОЛ на его пропускную способность (см.
подпункт 5.3.1.15 настоящей Инструкции и
таблицу 5.1);
n
i - количество путей i-ПТОЛ, на которых расположены смотровые стойла (позиции); величина

тождественна

в
формуле (5.2);
M
гi - расчетная потребность в путях (на i-ПТОЛ данного УО) для выполнения ТО-2 в месяц МРГД локомотивам, используемым в грузовом движении на этом УО; величина M
гi тождественна

в
формуле (5.2);
Mгчi - потребность в путях (на i-ПТОЛ данного УО) для выполнения ТО-2 в месяц МРГД локомотивам, используемым в ГД на смежном УО, но подвергающимся техническим обслуживаниям на i-ПТОЛ данного УО;
Mнгi - потребность в путях (на i-ПТОЛ данного УО) для выполнения ТО-2 в месяц МРГД локомотивам, используемым в негрузовом движении (работе).
В случае, если ТО-2 таким локомотивам негрузового движения, например, маневровым и (или) пассажирским, выполняются на отдельных специализированных (не приспособленных для ТО-2 локомотивов ГД) путях ПТОЛ, значение M
нгi определяется без учета потребности в выполнении ТО-2 таким локомотивам. В
формуле (5.10) величина (M
нгi + M
гчi) тождественна

, используемой в
формуле (5.2).
5.3.1.18. Для определения значений M
гi, M
нгi и M
гчi предварительно среднесуточное число ТО-2 в месяц МРГД разделяется на j-группы, каждая из которых является числом ТО-2, выполняемым в среднем за сутки месяца МРГД для локомотивов (физических единиц) с одинаковым нормативным временем простоя каждого из них на стойлах при выполнении ТО-2 (T
нji). Например, первая группа представляет число ТО-2 для локомотивов ГД данного УО с T
н1i = 1 ч, вторая - с T
н2i = 1,2 ч и т.д. Разделение П
i на указанные j-группы выполняется по статистическим данным о всех локомотивах, которым на данном i-ПТОЛ выполнялись ТО-2 в предыдущий месяц МРГД. Так, если в указанный месяц на i-ПТОЛ было выполнено всего 1200 ТО-2 для локомотивов ГД данного УО и в том числе 300 ТО-2 локомотивам с нормой продолжительности технического обслуживания T
н1i = 1 ч, 120 ТО-2 для локомотивов с T
н2i = 1,2 ч и 780 ТО-2 для локомотивов с T
н3i = 1,5 ч, то при расчете величины M
гi суммарное время простоя таких локомотивов на стойловых путях i-ПТОЛ определяется с учетом того, что относительное число ТО-2 первой группы

составит 300 : 1200 = 0,25 всей среднесуточной программы ТО-2, второй группы

и третьей

.
5.3.1.19. Величины M
гi, M
гчi и M
нгi (см.
подпункт 5.3.1.17 настоящей Инструкции) определяются по формулам:

(5.11)

(5.12)

(5.13)
где Пгi, Пгчi и Пнгi - среднесуточное в месяц МРГД число ТО-2, подлежащих выполнению на i-ПТОЛ соответственно для локомотивов ГД данного УО, для локомотивов смежного УО и для локомотивов негрузового движения (работы).
Значения

для i-ПТОЛ определяются по отдельности для локомотивов ГД, обращающихся на УО размещения данного i-ПТОЛ

, и локомотивов смежного УО

, если им ТО-2 выполняются на данном i-ПТОЛ, а также для локомотивов, не используемых в ГД

.
5.3.1.20. В случае, если на участке обращения локомотивов ГД размещается несколько ПТОЛ, обслуживающих эти локомотивы, то величины К и n
мг должны определяться для каждого из таких ПТОЛ - для выявления того из них, который в наибольшей степени ограничивает увеличение размеров грузового движения на этом УО. Так, если расчетами установлено, что четырем ПТОЛ данного УО соответствуют значения n
мгi, равные для первого из них - 72, второго - 51, третьего - 64 и четвертого - 57 пар грузовых поездов, то лимитирующим является второй ПТОЛ.
При анализе пропускной способности ПТОЛ с минимальным расчетным значением nмг следует учитывать возможность увеличения этой способности за счет обоснованных организационных мер по сокращению средней длительности простоя локомотивов на стойлах, а также путем передислокации производства ТО-2 маневровым локомотивам со стойл данного ПТОЛ на станционные пути (для выполнения этих технических обслуживаний локомотивными бригадами).
| | ИС МЕГАНОРМ: примечание. В официальном тексте документа, видимо, допущена опечатка: имеется в виду подраздел 9.7, а не 5.7. | |
Значения К, определенные для каждого ПТОЛ, указываются в выходной
форме N 7ЦТ (см. подраздел 5.7 настоящей Инструкции).
5.3.2. Стойловая часть цехов по производству технического обслуживания ТО-3 и текущего ремонта ТР-1
5.3.2.1. Настоящий расчет производится применительно к депо, выполняющим - для локомотивов грузового движения (ГД) на данном УО - технические обслуживания ТО-3 и (или) текущие ремонты ТР-1, а также неплановые ремонты (далее - НР). При этом пропускная способность УО определяется применительно к группам стойл, используемых для ТО-3, ТР-1 и НР локомотивов ГД. В общем случае расчет выполняется в следующей последовательности.
Первоначально определяется среднесуточное количество ТО-3, ТР-1 и НР, подлежащее выполнению в i-депо на указанных стойлах для локомотивов приписного парка этого депо (для каждой серии - по отдельности) в месяц МРГД. Затем с применением норм простоя локомотивов каждой серии на стойле, а также с учетом нормативного фонда времени использования стойл и их фактической специализации (по видам обслуживания и сериям локомотивов) рассчитывается потребное число стойл в i-депо для выполнения ТО-3, ТР-1 и НР в месяц МРГД. При этом используются коэффициенты, характеризующие потребность в стойлах для выполнения неплановых ремонтов

и возможности депо по сокращению фактической длительности простоя локомотивов на стойлах

. Потребное число стойл, соответствующее величинам

и

в
формуле (5.2), определяется по отдельности для обслуживания локомотивов, используемых в грузовом и в негрузовом движении.
Далее рассчитывается максимальное число стойл этого депо, которое может быть использовано для ТО-3, ТР-1 и НР всех локомотивов (грузового и негрузового движения), т.е. значение

, указанное в
формуле (5.2). При этом используется коэффициент

, характеризующий неравномерность загрузки наличного числа таких стойл во времени. В завершение расчета определяются величины К
i и n
мi по
формулам (5.1) и
(5.2).
В случае наличия в депо стойл, специализированных для выполнения ТО-3 и (или) ТР-1 только грузовых локомотивов, а также их неплановых ремонтов, потребное число стойл для обслуживания локомотивов негрузового парка при расчете величин Кi и nмi не используется.
5.3.2.2. Среднесуточное число ТО-3 (Пi3) и ТР-1 (Пi1), подлежащее выполнению в месяц МРГД в i-депо для локомотивов различных серий, определяется расчетным способом. При этом для локомотивов, наработка которых до ТО-3 и ТР-1 нормируется величиной пробега, значения Пi3 и Пi1 рассчитываются по величине суммарного пробега локомотивов за месяц МРГД и по нормам соответствующих межремонтных периодов. Для локомотивов j-серии среднесуточное число ТО-3 в данном случае определяется:

, (5.14)
где r
i3 - количество суток работы i-депо (в месяце МРГД) по выполнению локомотивам технических обслуживаний ТО-3;
Lмji - суммарный линейный пробег локомотивов j-серии приписного парка i-депо в месяц МРГД, тыс. км;

- нормативная периодичность ТО-3 локомотивов j-серии приписного парка i-депо, тыс. км;

- нормативный для ТР-1 межремонтный период (линейный пробег) локомотивов j-серии приписного парка i-депо, тыс. км.
Среднесуточное число ТР-1 для локомотивов j-серии определяется:

, (5.15)
где ri1 - количество суток работы в месяце МРГД по выполнению текущих ремонтов ТР-1 локомотивов i-го депо;

,

- нормативный для ТР-2 и ТР-3 межремонтный период (линейный пробег) локомотивов j-серии приписного парка i-депо, тыс. км;
5.3.2.3. Среднесуточное количество ТО-3 и ТР-1 в месяц МРГД, подлежащее выполнению в i-депо для локомотивов, наработка которых до ТО-3 и ТР-1 нормируется временем нахождения их в эксплуатируемом парке, определяется по формулам:

, (5.16)

, (5.17)
где Nэji - численность эксплуатируемого приписного парка локомотивов j-серии i-депо в месяц МРГД, локомотивов;
R - календарная продолжительность месяца МРГД, сут.;
ri1 - количество суток работы в месяце МРГД по выполнению текущих ремонтов ТР-1 локомотивов i-го депо;
ri3 - количество суток работы в месяце МРГД по выполнению технических обслуживаний ТО-3 локомотивов i-го депо;

,

,

- нормативная периодичность соответственно ТО-3, ТР-1 и ТР-2 для локомотивов j-серии приписного парка i-депо, сут.
Среднесуточное количество неплановых ремонтов в месяц МРГД, используемое для расчета пропускной способности стойловой части депо, определяется:

, (5.18)
где

- удельное количество выполняемых в i-депо неплановых ремонтов локомотивов j-серии (рем/млн. км);
Lмji - суммарный пробег локомотивов j-серии (i-депо) за месяц МРГД (млн. км);
rjiнр - количество суток работы по выполнению неплановых ремонтов локомотивов в месяце МРГД i-го депо.
Значение

для
(5.18) вычисляется:

, (5.19)
где

- фактическое суммарное число неплановых ремонтов локомотивов j-серии, выполненных в i-депо за месяцы МРГД трех предыдущих лет, рем;

- суммарный пробег локомотивов j-серии (i-депо) за те же периоды времени, млн. км.
5.3.2.4. Расчет потребного среднесуточного числа ТР-1 электровозов i-депо, используемых в грузовом движении.
Для электровозов j-серии приписного парка i-депо, используемых в ГД, норма наработки до ТР-1 и ТР-2 задана величинами пробега соответственно

и

. Суммарный линейный пробег этих электровозов в месяц МРГД (L
мji) - 3000 тыс. км. Ремонты ТР-1 выполняются в i-депо ежесуточно (в т.ч. в выходные и праздничные дни), продолжительность (R) месяца МРГД - 30 сут. и, следовательно, r
i1 = 30. Согласно
формулы (5.15), среднесуточное число ТР-1, подлежащих выполнению в i-депо для парка указанных локомотивов j-серии в месяц МРГД, составит:
5.3.2.5. Расчет потребного среднесуточного числа ТО-3 и ТР-1 тепловозов z-депо, используемых в грузовом движении (включая передаточные и вывозные).
Для магистральных тепловозов x-серии (приписного парка z-депо), обслуживающих транзитные и сборные грузовые поезда, нормативный пробег до ТО-3, ТР-1 и ТР-2 составляет соответственно

,

,

. Для магистральных тепловозов y-серии (того же депо), используемых в вывозном и передаточном движении, нормативная продолжительность эксплуатации до ТО-3 составляет

, до ТР-1

и до ТР-2

. Продолжительность месяца МРГД (в сутках) в данном примере составляет: R = 31. Техническое обслуживание ТО-3 выполняется в z-депо ежесуточно, т.е. r
z3 = R = 31, а текущие ремонты ТР-1 тепловозов - только по рабочим дням (r
z1 = 22).
Согласно
формулы (5.14) ежесуточное число ТО-3, подлежащих выполнению в z-депо, в месяц МРГД для тепловозов x-серии при их суммарном линейном пробеге за этот месяц L
мzx = 600 тыс. км в среднем составит:
Для тепловозов y-серии, согласно
формулы (5.16), ежесуточное число ТО-3 при среднемесячной (для МРГД) численности их эксплуатируемого парка - 25 локомотивов (N
эzx = 25) в среднем составит:
Согласно
формулы (5.15) число ТР-1, подлежащее выполнению в z-депо в среднем за одни рабочие сутки в месяц МРГД, для тепловозов x-серии составит:

,
5.3.2.6. Наибольшее число технических обслуживаний ТО-3, текущих ремонтов ТР-1 и НР, которое за сутки может выполнить депо для локомотивов ГД, обращающихся на данном УО, зависит от следующих параметров и характеристик:
наличного числа стойл, предназначенных для выполнения ТО-3, ТР-1 и неплановых ремонтов (НР);
специализации стойл по видам обслуживания и сериям обслуживаемых локомотивов;
ежесуточного числа обслуживаний, выполняемых для локомотивов пассажирского и хозяйственного движения, маневровой и прочей работы;
величины простоя локомотивов на стойлах, предназначенных для выполнения ТО-3, ТР-1 и НР;
режима использования стойл (сменности работы бригад, выполняющих ТО-3, ТР-1 и НР, соотношения рабочих и календарных дней их работы);
фактического уровня технического состояния обслуживаемых локомотивов;
степени совершенства организации работы цехов и специализированных отделений депо, а также их материально-технического обеспечения и оснащенности депо необходимым технологическим оборудованием;
степени неравномерности поступления локомотивов в депо для выполнения им ТО-3, ТР-1 и НР.
5.3.2.7. Максимальная пропускная способность - в парах грузовых поездов - для участка обращения, обслуживаемого локомотивами i-депо (определяемая по его оснащенности стойлами для выполнения ТО-3, ТР-1 и НР), рассчитывается в соответствии с
формулами (5.1) и
(5.2). Для депо, выполняющего указанные виды обслуживания локомотивов (используемых в различных видах движения и работы) на стойлах, не специализированных по сериям локомотивов, для определения величины К по
формуле (5.2) используются следующие способы определения

,

и

:

, (5.20)

, (5.21)

, (5.22)
где Mгi3, Mгi1, Mгiнр - расчетное количество стойл i-депо, потребное для выполнения соответственно ТО-3, ТР-1 и НР локомотивам, используемым на данном УО в ГД, включая вывозное и передаточное движение (без учета стойл для обточки колесных пар и замены КМБ);
Mпi3, Mпi1, Mпiнр - расчетное количество стойл i-депо, аналогичное Mгi3, Mгi1, Mгiнр, но потребное для выполнения соответственно ТО-3, ТР-1 и НР локомотивам, используемым на данном УО для негрузового движения - пассажирского, хозяйственного, а также для маневровой и прочей работы (без учета стойл для обточки колесных пар и замены КМБ);
Mнi - наличное (фактическое) суммарное количество стойл i-депо для выполнения ТО-3, ТР-1 и НР локомотивам, используемым на данном УО для грузового и всех других видов движения или работы (без учета стойл для обточки колесных пар и замены КМБ);

- коэффициент, характеризующий максимально возможную степень использования стойл, на которых выполняются НР, ТО-3 и ТР-1 (без учета стойл для обточки колесных пар и замены КМБ) при неравномерности (аритмичности) поступления локомотивов на эти стойла.
Значения коэффициента

приведены в
таблице 5.2 для различного числа стойл M
н.
Наличное число стойл M'нi для ТО-3, ТР-1 и НР | 1 | 2 | 3 | 4 | 5 | 6 | 7 | более 7 |
Коэффициент  | 0,840 | 0,942 | 0,951 | 0,959 | 0,965 | 0,969 | 0,971 | 0,973 |
5.3.2.8. Для вычисления значений величин M
гi3, M
гi1, M
гiнр, используемых в
формулах (5.20) -
(5.22), принимаются следующие формулы:

, (5.23)

, (5.24)

, (5.25)
где

,

- определяемое по нормативам межремонтных периодов среднесуточное число соответственно ТО-3 и ТР-1, выполняемых для локомотивов ГД в i-депо в месяц МРГД;

- фактическое, определенное по статистическим данным среднесуточное число НР, выполняемое локомотивам ГД в i-депо в месяц МРГД;

- средняя фактическая длительность нахождения локомотивов ГД на стойле в i-депо при выполнении ему НР (без учета простоя на позиции для обточки колесных пар без выкатки и замены КМБ);

,

- нормативная продолжительность нахождения в i-депо локомотивов ГД на стойлах, предназначенных для выполнения соответственно ТО-3 и ТР-1, ч;

,

- коэффициенты, характеризующие возможность сокращения фактического простоя локомотивов ГД на стойле соответственно при производстве ТО-3 и ТР-1 (за счет устранения "логистических" потерь времени и совершенствования организации ремонтного производства в i-депо), а также учитывающие длительность их простоя на стойлах, предназначенных для обточки колесных пар (без выкатки) и замены колесно-моторных блоков;

- коэффициент, характеризующий возможность сокращения фактического суммарного простоя локомотивов ГД на стойле при выполнении НР за счет улучшения их технического состояния при повышении качества выполнения технических обслуживаний и ремонтов

;
Ф - суточный фонд времени работы стойла, на котором выполняются ТО-3 и (или) ТР-1, и (или) НР, принимаемый в соответствии со СНиП, ч;

- обозначение суммирования произведений

, или

, или

, определенных по отдельности для каждой из серий локомотивов, подвергающихся ТО-3, ТР-1 и НР на данной группе стойл в i-депо.
Величины

,

и

, используемые в (
5.23 -
5.29), не включают в себя время простоя локомотивов ГД и негрузового движения в ожидании постановки их на стойла для выполнения ТО-3, ТР-1 и НР. При этом время простоя локомотивов на стойлах (позициях), предназначенных для одиночной переподкатки КМБ - колесно-моторных блоков или обточки КП - колесных пар (без их выкатки из-под локомотива), не включается в

,

и

.
Значения коэффициентов

,

, зависящие от соотношения средней (за месяц МРГД) фактической (

,

) и нормативной (

,

) продолжительности простоя локомотивов соответственно на ТО-3 и на ТР-1, приведены в
таблице 5.3.
Величина Tф/Tн | 1 | 1,1 | 1,2 | 1,3 | 1,4 | 1,5 | 1,6 | 1,7 | 1,8 | 1,9 | 2,0 |
Значения коэффициента  | 1 | 1 | 1 | 1,08 | 1,16 | 1,24 | 1,32 | 1,40 | 1,48 | 1,56 | 1,64 |
Примечание. При
Tф/
Tн > 2 принимается

.
В случае отличия значений

или

от представленных в
таблице 5.3 величины

,

для
Tф/
Tн > 1,2 определяются по формулам:

; (5.26, "а")

. (5.26, "б")
Величины Mпi3, Mпi1, Mпiнр определяются по формулам:

, (5.27)

, (5.28)

. (5.29)
5.3.2.9. В случае, если ТО-3, ТР-1 и НР локомотивам ГД выполняются в i-депо на стойлах, специально выделенных для таких локомотивов, и эти стойла не используются для обслуживания локомотивов негрузового движения, то для определения максимальной пропускной способности УО вместо
формулы (5.1) применяется выражение:

, (5.30)
где Mнгi - наличное (фактическое) количество стойл в i-депо, специализированных для выполнения ТО-3, ТР-1 и НР только локомотивам ГД;

- потребное количество стойл в i-депо для локомотивов ГД, определяемое по
формуле (5.20).
Если для локомотивов ГД, обслуживаемых в i-депо, выполнение ТО-3 не предусмотрено нормативным ремонтным циклом, то для определения

вместо
формулы (5.20) используется выражение:

(5.31)
Если в i-депо выделено специальное стойло для выполнения только неплановых ремонтов локомотивам ГД и негрузового движения, то из
формул (5.20) и
(5.22) исключаются величины M
гiнр и M
пiнр. При этом данное стойло не включается в наличное число стойл M
н в
формулах (5.21) и
(5.30), предназначенных для выполнения ТО-3 и ТР-1. Для стойла, специализированного на выполнении НР локомотивам ГД и негрузового движения, коэффициент, характеризующий его загрузку производством неплановых ремонтов локомотивам грузового движения, определяется:

, (5.32)
где Mнiнр - наличное число стойл, специализированных в i-депо на выполнении только НР (локомотивам ГД и негрузового движения);
Mгiнр, Mпiнр - потребное число стойл для выполнения НР локомотивам соответственно ГД и негрузового движения.
Если ТО-3, ТР-1 и НР локомотивам ГД, используемым в вывозном и передаточном движении, выполняются в i-депо на стойлах, не предназначенных для обслуживания остальных локомотивов ГД в этом депо, то общее число стойл для локомотивов ГД определяется как сумма

, где

- потребное число стойл для вывозных и передаточных локомотивов, а

- для остальных локомотивов ГД.
5.3.2.10. В соответствии с
подпунктом 5.2.4.5 настоящей Инструкции после определения величины n
мi производится проверка выполнения программы ТО-3, ТР-1 и НР маневровых локомотивов при возможном возрастании численности этих локомотивов в случае увеличения размеров грузового движения с n
гi до n
мi пар поездов. Соответствующее этому увеличению среднесуточное число ТО-3 и ТР-1 таких локомотивов определяется по
формулам (5.16) и
(5.17). Потребное количество стойл

для этих обслуживаний и НР вычисляется по
формулам (5.20) и
(5.23) -
(5.25) применительно к данным локомотивам. По величине

и наличному числу стойл для ТО-3, ТР-1 и НР определяется значение коэффициента загрузки стойл, используемых для маневровых локомотивов (К
мi).
При Кмi >= 1 необходимо увеличение числа стойл для обслуживания маневровых локомотивов в i-депо (данное обстоятельство указывается в пояснительной записке к расчету пропускной способности по устройствам локомотивного хозяйства).
5.3.2.11. Значения коэффициентов К пропускной способности стойл для выполнения локомотивам ТО-3, ТР-1 и НР представляется по каждому депо в
таблице формы N 7ЦТ. В пояснительной записке к расчету пропускной способности для депо, стойловая часть которых (для выполнения ТО-3, ТР-1 и НР) в наибольшей степени ограничивает увеличение n
г на данном УО, указываются предлагаемые меры по снижению величины К, например, за счет изменения специализации стойл, сменности работы комплексных бригад или корректировки их численности, улучшения материально-технического обеспечения ремонтов, реконструкции цехов и т.п. (с соответствующей аргументацией предложений).
5.3.3. Устройства подачи топлива на тепловозы
5.3.3.1. Коэффициент использования (загрузки) топливоподающих устройств (ТПУ) для i-пункта экипирования тепловозов ГД на УО определяется:

, (5.33)
где

- среднесуточная потребность в топливе для обеспечения тепловозов ГД (в месяц МРГД), экипируемых в i-пункте;

,

- среднесуточная потребность в топливе соответственно маневровых тепловозов и тепловозов, используемых в негрузовом движении (пассажирское, хозяйственное, в прочих видах работы, кроме маневровой), экипируемых в месяц МРГД в i-пункте;

- суммарная суточная производительность наличных топливоподающих устройств i-пункта экипирования.
Значения

,

и

, применяемые для расчета К
i согласно
формуле (5.33), определяются по статистическим данным о количестве топлива, израсходованном на i-пункте экипирования за месяц МРГД для снабжения тепловозов.
При наличии на i-пункте экипирования одного топливоподкачивающего устройства суточная производительность ТПУ этого пункта (Hту) определяется:
где F - часовая производительность данного ТПУ, т/ч;
h - среднесуточная продолжительность работы ТПУ для слива топлива из подвижного состава и перекачки его в другие емкости, а также для технического обслуживания ТПУ, ч.
В случае наличия на i-пункте экипирования нескольких ТПУ суточная суммарная их производительность вычисляется:

, (5.35)
где

- часовая производительность топливоподающих устройств (насосно-силового оборудования), определяемая на основании данных о контрольных показателях в следующих сочетаниях: производительность насосного агрегата по всем напорным линиям и в отдельности на каждое ответвление (если таковые имеются и перекрываются), производительность каждого агрегата в отдельности при работе по всем напорным линиям, а также производительность агрегатов при их совместной работе по всем напорным линиям.
Например, при наличии на i-пункте двух центробежных насосов (на 45 м
3/ч каждый) с производительностью (при подаче топлива через раздаточные колонки, оборудованные счетчиками расхода) от 18 до 20 т/ч величина

составляет 18 x 2 = 36 т/ч, а суточная производительность двух ТПУ составит: 36 x (24 - 4) = 720 т/сут.
Величины К
i, используемые для определения соответствующих им значений n
мi (по
формуле (5.1)), рассчитываются по отдельности для каждого пункта экипирования тепловозов ГД, расположенного на участке обращения. Значения n
мi, определенные в соответствии с
формулой (5.1) по указанным величинам К
i, представляют наибольшие расчетные размеры грузового движения (n
мi в парах поездов), которые могут быть достигнуты при реализуемых в месяце МРГД спектре масс поездов, конфигурации маршрутов обращения локомотивов, при сохранении той же серийности и секционности локомотивов, размеров пассажирского и хозяйственного движения, наличия и производительности ТПУ, а также действующего порядка снабжения тепловозов топливом.
5.3.3.2. Расчет пропускной способности по устройствам топливоподачи.
На участке обращения тепловозов грузового движения размещены 4 пункта экипирования - "А", "Б", "В" и "Г", осуществляющие снабжение локомотивов дизельным топливом. Данные по оснащенности каждого из указанных пунктов устройствами подачи топлива на тепловозы, а также о среднесуточном (в месяц МРГД) расходе дизельного топлива каждым из пунктов приведены в
таблице 5.4.
Пункт экипирования | ТПУ | Расход топлива в месяц МРГД, т/сут. |
наличное количество | производительность (одного ТПУ), т/ч | грузового движения (в т.ч. вывозных, передаточных) | маневровых | пассажирских, хозяйственных и др. |
А | 2 | 18 | 500 | 10 | 1 |
Б | 1 | 10 | 120 | 10 | 15 |
В | 1 | 18 | 198 | 8 | 22 |
Г | 1 | 18 | 347 | 2 | 4 |
Производительность ТПУ:
пункта "А":
HтуА = 2·18 (24 - 4) = 720 т/сут.,
пункта "Б":
HтуБ = 1·10 (24 - 2) = 220 т/сут.,
пунктов "В" и "Г":
HтуВ = HтуГ = 1·18 (24 - 3) = 378 т/сут.
Коэффициент использования ТПУ пунктов А, Б, В и Г:
КА = 500 : [720 - (10 + 1)] = 0,705; КБ = 120 : [220 - (10 + 15)] = 0,615;
КВ = 198 : [378 - (8 + 22)] = 0,569; КГ = 347 : [378 - (2 + 4)] = 0,933.
В данном примере пунктом экипирования тепловозов, лимитирующим увеличение размеров грузового движения на рассматриваемом УО, является пункт "Г". В соответствии с его расчетной пропускной способностью размеры ГД могут быть увеличены только в 1/Кг = 1,072 раз, т.е. на 7,2%.
5.3.3.3. В случае если величина отношения

превышает 0,1, т.е. среднесуточный расход топлива на i-пункте для маневровых тепловозов составляет более 10% от среднесуточного расхода для тепловозов ГД, величина К
i должна определяться с учетом возможного роста численности эксплуатируемого парка маневровых тепловозов при увеличении размеров грузового движения. В данном случае вместо
формулы (5.33) используется выражение:

, (5.36)
| | ИС МЕГАНОРМ: примечание. В официальном тексте документа, видимо, допущена опечатка: имеется в виду таблица П6.1, а не П.4.1.1. | |
где

- определяется по
таблице П.4.1.1 для T
р < 35% для расчетной величины n
мгi/n
гi = 1/К
i.
Так, если в приведенном выше примере (см.
подпункт 5.3.3.2 настоящей Инструкции) на Б-пункте экипирования величина

составляет не 10, а 15 т/сут. (и

составляет не 15, а 10 т/сут.), то

. Следовательно, суточный расход топлива для маневровых тепловозов - 12,5% от расхода для тепловозов ГД, и для определения К надлежит использовать
формулу (5.36). Значение

при этом устанавливается следующим образом. Вычисляется 1: К
Б = 1 : 0,615 = 1,63 и, согласно
таблицы П.6.1 (приложение N 6 к настоящей Инструкции), при n
мг/n
г = 1,63 численность маневровых тепловозов, а следовательно, и расход топлива ими, возрастет на 36%, т.е.

. С учетом этого: К
*Б = 120 : [220 - (1 + 0,01·36)·15 - 10] = 0,633.
определить величину 1/К
i и для нее по
таблице П6.1 (приложение N 6 к настоящей Инструкции) установить степень увеличения численности маневрового парка (суточного расхода топлива этим парком)

;
рассчитать значение К
*i с использованием величины

.
5.3.4. Устройства пескоснабжения
5.3.4.1. Расчет пропускной способности выполняется в следующей последовательности. Первоначально для каждого из пунктов пескоснабжения, размещенных на УО, определяется среднесуточный объем песка, расходуемый (потребный) в месяц МРГД. Затем оценивается величина коэффициента загрузки устройств пескосушения и пескоподачи каждого из таких пунктов в указанный месяц и выявляются наиболее загруженные из этих устройств, лимитирующие производительность пункта пескоснабжения в целом. Далее определяются пункты, в наибольшей степени ограничивающие пропускную способность УО по условиям обеспечения грузовых локомотивов песком, и, при необходимости, рассматриваются возможности увеличения производительности лимитирующих устройств таких пунктов.
5.3.4.2. Потребный суммарный среднесуточный объем подачи песка на эксплуатируемые локомотивы (П
j) определяется для каждого пункта пескоснабжения на основании статистических данных о расходе песка этим пунктом в месяц МРГД. При этом необходимо по учетным данным или на основании экспертной оценки определить - какая доля среднесуточного расхода песка приходится на экипирование локомотивов, используемых в грузовом движении

, включая передаточные и вывозные, и в негрузовом

, т.е. пассажирском, хозяйственном, на маневровой и прочей работе.
После определения среднесуточного потребного (в месяц МРГД) объема песка для экипирования локомотивов в j-пункте пескоснабжения рассчитывается производительность различных наличных устройств этого пункта.
5.3.4.3. Суточная производительность пескосушильных печей (H
пп) определяется:

, (5.37)
где

- обозначение суммирования данных о производительности каждой из пескосушильных печей, которыми оснащен данный пункт пескоснабжения;
B - часовая производительность пескосушильной печи, м3/ч;
tпп - среднесуточная длительность технологического перерыва в работе печи для ее осмотра, чистки, ремонта и т.п. (значение tпп определяется по фактическим данным и не должно превышать двух часов в сутки), ч.
Так, среднесуточная суммарная расчетная производительность двух пескосушильных печей при часовой производительности каждой из них 1,9 м3/ч и tпп = 2 ч. составляет:
Hпп = 1,9·2·(24 - 2) = 83,6 м3.
5.3.4.4. Суточная производительность пескотранспортных устройств:

, (5.38)
где

- обозначение суммирования производительности пескотранспортных устройств данного пункта пескоснабжения;
C - часовая производительность пескотранспортных устройств, м3/ч;
tп - среднесуточная продолжительность перерывов в работе устройств, вызванных необходимостью их обслуживания (осмотра, ремонта и т.п.), ч.
Часовая производительность (C) определяется по фактическим (опытным) данным.
Например, при выжимной пескоподаче среднесуточная производительность двух пескотранспортных устройств (при часовой производительности одного пескотранспортного устройства - 1,2 м3/ч) составит:
Hпт = 1,2·2·(24 - 2) = 52,8 м3.
5.3.4.5. Суточная производительность устройств подачи песка из раздаточных бункеров в локомотивные бункеры песочниц (
Hпб) рассчитывается:

, (5.39)
где Nc - число позиций в j-пункте для подачи песка из раздаточных бункеров в локомотивные бункеры;

- средняя величина объема песка, необходимого для экипирования одного локомотива, м
3/локомотив;
Hпр - суточная максимальная производительность (пропускная способность) позиции для подачи песка из раздаточного бункера в локомотивные бункеры песочниц, локомотив.
Величина Hпр определяется:

, (5.40)
где tпб - средняя ежесуточная продолжительность осмотра и ремонта пескораздаточных устройств (среднесуточная длительность такого технологического перерыва определяется по статистическим данным и не должна превышать 120 мин. для одной позиции пескораздачи), мин.;
tт - средняя продолжительность заполнения всех бункеров песочниц локомотива, включая время на передвижение и на расстановку рукавов при наборе песка (если это необходимо для заполнения всех бункеров локомотива), устанавливаемое по фактическим данным с учетом соотношения численности локомотивов различных серий, обслуживаемых на позициях в месяц МРГД, мин./локомотив;

- средняя величина времени, затрачиваемого на вывод одного локомотива с позиции и постановку на нее другого локомотива (с учетом снятия и подачи напряжения на контактный провод), устанавливаемое по фактическим данным, мин./локомотив.
Например, значение H
пб при

, N
c = 1 и

составляет:

.
5.3.4.6. Сопоставлением величин H
пп, H
пт и H
пб, определенных для j-пункта пескоснабжения, выявляется наименьшая из них, и далее она используется для определения коэффициента загрузки всего комплекса устройств этого пункта как величина, лимитирующая его пропускную способность. Так, применительно к примерам, приведенным в
подпунктах 5.3.4.3 -
5.3.4.5 настоящей Инструкции (H
пп = 83,6 м
3, H
пт = 52,8 м
3, H
пб = 110,9 м
3), лимитирующей величиной является наименьшая из них, т.е. производительность пескотранспортных устройств (H
пт = 52,8 м
3).
Коэффициент загрузки указанного комплекса устройств j-пункта определяется:

, (5.41)
где Hjл - производительность лимитирующего устройства.
При этом:

, (5.42 "а")

. (5.42 "б")
Например, если среднесуточная потребность в песке для j-пункта составляет для локомотивов грузового движения Пjг = 26,11 м3 и локомотивов негрузового движения Пjн = 1,97 м3, то:
и, следовательно, производительность наличных устройств j-пункта пескоснабжения позволяет увеличить на данном УО размеры грузового движения в 0,8/Кj = 0,8 : 0,514 = 1,56 раз (по сравнению с размерами ГД в месяц МРГД).
5.3.5. Пункты экипирования
5.3.5.1. В общем случае экипирование локомотивов выполняется на стойлах ПТОЛ (одновременно с производством ТО-2 или без выполнения такого технического обслуживания), на приемоотправочных путях, в цехах депо (при выполнении ТО-3 и/или ТР-1), а также на специально выделенных позициях.
Если экипирование выполняется на приемоотправочных путях или на специально выделенных позициях, т.е. не совмещено с ТО-2, то потребное количество таких позиций (Mэ) определяется с использованием среднесуточного числа экипирований (Пэ). Величина Пэ устанавливается по статистическим данным (за месяц МРГД) о суточном количестве экипирований локомотивов - по отдельности для грузового (Пэг) и негрузового (Пэн) движения (при этом Пэг + Пэн = Пэ). В случае, если на данных позициях экипируются локомотивы ГД разных серий и при этом нормативная длительность экипирования (одного локомотива) не одинакова для этих серий, то величина Пэг должна быть разделена на составляющие - Пэгi, каждая из которых представляет среднесуточное число экипирований локомотивов ГД i-группы, т.е. с i-нормативными затратами времени на одно экипирование. Потребное число путей для экипирования локомотивов грузового движения (Mэг) для такого пункта определяется:

, (5.43)
где tэгi - нормативное (или среднее фактическое) время одного экипирования локомотива ГД i-группы, мин.;

- обозначение суммирования произведений

для локомотивов ГД различных i-групп;

- затраты времени на вывод локомотива с позиции экипирования и постановку на нее другого локомотива (для электровозов

определяется с учетом снятия и подачи напряжения на контактный провод) мин./экип.;
m - количество позиций (стойл) для экипирования локомотивов на каждом из путей пункта экипировки;
tоэ - среднесуточные затраты времени на осмотр и ремонт позиции и ее экипировочных устройств, мин.
Если на позициях экипирования обслуживаются только локомотивы с одинаковой продолжительностью экипирования каждого из них, то:

, (5.44)
Потребное число путей для экипирования локомотивов негрузового движения (M
эн) определяется по тем же
формулам (5.46) и
(5.47), что и для локомотивов грузового движения, только показатели в этих формулах для локомотивов негрузового движения:

, (5.45)
или

, (5.46)
Коэффициент загрузки (Кj) j-пункта с nэj числом путей, предназначенных только для экипирования локомотивов (без выполнения ТО-2), определяется:

, (5.47)
где

- коэффициент, учитывающий неравномерность поступления локомотивов на пункт экипирования (значения

приведены в
таблице 5.1 для различного числа путей на указанном пункте).
5.3.5.2. Расчет коэффициента загрузки пункта экипирования, размещенного на приемоотправочных путях.
На данном j-пункте с двумя параллельно размещенными позициями экипирования, расположенными на двух смежных путях (m
j = 1, n
j = 2), снабжаются песком только электровозы - с одинаковой продолжительностью обслуживания каждого из них, и поэтому для определения M
энj и M
эгj применимы
формулы (5.44) и
(5.46). Величина

составляет 20 мин. на локомотив, t
оэj - 30 мин. в сут., среднесуточное количество электровозов, экипируемых на данном j-пункте: П
эгj = 55 локомотивов, П
энj = 12 локомотивов.
С использованием этих данных определяются значения величин Mэгj и Mэнj:
В соответствии с
таблицей 5.1 при n
j = 2 коэффициент

и, следовательно:

.
5.3.5.3. Если в j-пункте локомотивы экипируют на путях ПТОЛ, то возможны два варианта сочетаний экипирования и выполнения ТО-2:
первый - экипируются только локомотивы, которым выполняют ТО-2, и при этом длительность операций экипирования, совмещенного по времени с ТО-2, не превышает нормативной продолжительности ТО-2;
второй - наряду с локомотивами, экипируемыми одновременно с выполнением им технического обслуживания ТО-2, на тех же стойлах данного j-ПТОЛ экипируют и локомотивы, не подвергаемые обслуживанию ТО-2, а также выполняют ТО-2 локомотивам, не нуждающимся в экипировке.
В
первом из указанных вариантов загрузка ПТОЛ характеризуется величиной К, определяемой по
формуле (5.10). Во
втором варианте для экипирования локомотивов, не подвергаемых ТО-2, используется определенная часть суточного фонда времени путей ПТОЛ, и это ограничивает максимальное число ТО-2, которое может выполняться на данном ПТОЛ. Так, если во
втором варианте среднесуточное число стойло-часов для выполнения ТО-2 локомотивам, не требующим экипирования, обозначить как T
1, для выполнения ТО-2, совмещенных с экипированием, как T
2, и, наконец, для выполнения экипирования локомотивов, не подлежащих техническому обслуживанию ТО-2, как T
3, то T
1 + T
2 + T
3 <= T (где T - суточный бюджет стойло-часов данного ПТОЛ). Очевидно, что увеличение T
3 приводит к уменьшению (T
1 + T
2), т.е. T
3 и (T
1 + T
2) - взаимосвязанные величины.
На основании изложенного, применение
пункта 5.3.1 для определения коэффициента загрузки ПТОЛ справедливо только для указанного выше
первого варианта сочетаний экипирования и выполнения ТО-2. Для
второго варианта расчет загрузки ПТОЛ (величины К) выполняется с учетом того, что при увеличении размеров грузового движения одновременно возрастают потребное число ТО-2 (выполняемых локомотивам ГД как с экипированием, так и без него), а также число поступлений локомотивов ГД на ПТОЛ только для экипирования. При выполнении такого расчета принимается, что отношение (T
1 + T
2)/T
3 с ростом размеров грузового движения не изменяется. Применительно к данному варианту экипирования локомотивов на ПТОЛ
формула (5.10), представленная в подпункте 5.3.1.17 настоящей Инструкции, для оценки пропускной способности j-ПТОЛ (К
j), принимает вид:

, (5.48)
где Mнгj, Mгчj - потребное количество путей j-ПТОЛ для выполнения технических обслуживаний ТО-2 (совмещенных с экипированием) в месяц МРГД, локомотивам, используемым на данном УО соответственно в грузовом и негрузовом движении, а также в ГД на смежном участке обращения (если они обслуживаются на j-ПТОЛ);
Mэгj, Mэнj, Mэчj - потребное количество путей j-ПТОЛ для несовмещенных с ТО-2 экипирований локомотивов соответственно грузового движения на данном УО, негрузового движения на этом УО, а также грузового движения на участке обращения, смежном с данным УО (если их экипируют на j-ПТОЛ);
nj - наличное количество путей на j-ПТОЛ;

- коэффициент, характеризующий влияние неравномерности подачи локомотивов (на пути ПТОЛ) на его пропускную способность (см.
таблицу 5.1).
Формула (5.48) отличается от
формулы (5.10) за счет включения в числитель и в знаменатель величин M
э в целях учета использования путей ПТОЛ для экипирования локомотивов, не совмещенного по времени с выполнением ТО-2.
В пояснительной записке по локомотивному хозяйству указывается пропускная способность каждого ПТОЛ, определенная в соответствии с
пунктом 5.3.1 и подпунктом 5.3.5.3 настоящей Инструкции
(вариант 2) по отдельности.
5.3.5.4. Определение коэффициента загрузки ПТОЛ, на стойлах которого выполняются технические обслуживания ТО-2 и экипирование локомотивов, не совмещенное с ТО-2.
Введем дополнительные условия и исходные данные, при которых реализуется
второй вариант расчета подпункта 5.3.5.3 настоящей Инструкции - для ПТОЛ, выполняющего ТО-2, а также экипирование, совмещенное и не совмещенное с ТО-2:
каждое стойло ПТОЛ оборудовано устройствами для экипирования электровозов;
при выполнении ТО-2 электровозов в среднем в 60% случаев одновременно производится их экипирование и при этом простой локомотива не превышает нормативного времени продолжительности выполнения ТО-2;
ежесуточно в месяц МРГД на данный ПТОЛ поступает 18 электровозов только для их экипирования (без выполнения им ТО-2), в том числе локомотивов ГД - 15 (из них 4 электровоза - со смежного УО);
длительность экипирования одного электровоза (tэ) составляет 17 мин.;
время, затрачиваемое на вывод электровоза со стойла ПТОЛ и на постановку очередного электровоза для экипирования, в среднем составляет 3 мин.
Потребное число путей ПТОЛ для ежесуточного экипирования 15 электровозов ГД, не совмещенного с выполнением технических обслуживаний ТО-2, определяется по
формуле (5.44):

,
для экипирования четырех электровозов со смежного УО:
и для экипирования трех локомотивов негрузового движения:

.
С использованием данных (M
г = 0,823; M
гч = 0,264 и M
нг = 0,2), далее вычисляется значение К для рассматриваемого ПТОЛ с учетом использования его стойл для выполнения ТО-2 и экипирований - согласно
формуле (5.48):

.
Расчетная загрузка стойл данного ПТОЛ, определенная только по затратам времени на выполнение ТО-2, составила 0,605. При учете затрат времени на экипирование электровозов, не совмещенное с ТО-2, значение К увеличилось до 0,763.
5.3.6.1. Пропускная способность ходовых деповских путей (включая их стрелочные переводы, горловины, съезды и экипировочные позиции) рассчитывается для депо и пунктов оборота, на территорию которых поступают оборачивающиеся локомотивы.
Предварительно на основании практики использования ходовых путей в данном депо или пункте определяются их элементы (отдельные пути, позиции, стрелочные переводы и т.д.), вызывающие в месяц МРГД наибольшие затруднения (ограничения) в передвижении локомотивов по тяговой территории. В целях количественной оценки степени загрузки (Кi) каждого из таких ограничивающих i-элементов по статистическим данным определяются:
среднесуточное в месяц МРГД число локомотивов ГД (Nгi), которые проходят через этот элемент ходовых путей (с учетом их проследования в обоих направлениях), локомотив;
среднее время занятости i-элемента (tгi) при проходе одного локомотива (или его экипирования на i-элементе пути), мин./локомотив;
среднесуточное суммарное время занятости i-элемента для прочих нужд (Ti), к числу которых относятся проследования или экипирования локомотивов негрузового движения, передвижения вагонов с грузом для депо и т.п., мин.
5.3.6.2. Коэффициент использования каждого из i-элементов, лимитирующих пропускную способность ходовых деповских путей (Кi), определяется:

. (5.49)
В качестве величины коэффициента К
х, характеризующего весь комплекс ходовых путей (в целом) депо или пункта оборота, принимается наибольшее из определенных по
формуле (5.49) значение К
i.
5.4. Оценка степени загрузки объектов, по которым пропускная способность участка обращения не определяется
5.4.1. Деповской ремонтный комплекс по производству текущих ремонтов ТР-2 и СР, ТР-3 локомотивам.
5.4.1.1. Для оценки степени соответствия производственной мощности локомотивных депо, выполняющих текущие ремонты ТР-2 и СР, ТР-3, расчетной потребности железной дороги в ремонтах данного вида определяются коэффициенты использования указанной мощности:
где Пij - расчетная потребная для дороги годовая программа ремонта i-вида (ТР-2 или СР, ТР-3) для локомотивов j-серии, секций;
Hij - расчетная производственная мощность ремонтного комплекса всех депо дороги, предназначенного для выполнения текущих ремонтов i-вида (ТР-2 или СР, ТР-3) для локомотивов j-серии, секций.
Значения коэффициента К определяются по отдельности для ТР-2 и для СР, ТР-3 дорожного парка локомотивов ГД и маневровых локомотивов каждой серии.
5.4.1.2. Если нормативный межремонтный период для локомотивов j-серии задан в тыс. км пробега, то величина Пij вычисляется:

, (5.51)

, (5.52)
где Lгj - суммарный годовой линейный пробег локомотивного парка (j-серии) дороги, определяемый по отчетным данным за год, предшествующий выполнению расчетов по определению пропускной способности устройств локомотивного хозяйства, тыс. секцие-км;

,

,

- нормативная для локомотива j-серии (данной железной дороги) величина пробега соответственно до ТР-2, ТР-3 и СР, тыс. км.
5.4.1.3. Если нормативный межремонтный период для локомотивов j-серии задан в виде продолжительности их нахождения в эксплуатируемом парке, то Пij определяется:

, (5.53)

, (5.54)
где Tгj - суммарная продолжительность нахождения локомотивов j-серии в эксплуатируемом парке, определяемая по отчетным данным дороги за год, предшествующий выполнению расчетов по определению пропускной способности устройств локомотивного хозяйства, секцие-мес./год;

,

,

- нормативное для локомотива j-серии время их нахождения в эксплуатируемом парке до выполнения ему соответственно ТР-2, ТР-3 и СР, мес.
При определении величин Lгj и Tгj необходимо учитывать секционность локомотивов, поскольку Пj исчисляется в секциях.
5.4.1.4. Если магистральные локомотивы ГД j-серии используются не только для транзитных и сборных поездов, но и для вывозного, передаточного движения, то для них величина Пij определяется:

, (5.55)
где

- расчетная потребная для дороги годовая программа ремонта i-вида (ТР-2 или СР, ТР-3) для локомотивов j-серии, используемых в ГД (без вывозных и передаточных локомотивов), определяемая по
формулам (5.51) и
(5.52);

- расчетная потребная для дороги годовая программа ремонта i-вида (ТР-2 или СР, ТР-3) для локомотивов j-серии, используемых в вывозном и передаточном движении, определяемая по
формулам (5.53) и
(5.54).
5.4.1.5. Величина H
ij, применяемая в
формуле (5.50), устанавливается по паспортным характеристикам депо.
С увеличением размеров грузового движения при неизменности нормативов

и

потребность дороги в ремонтах (ТР-2, СР, ТР-3) локомотивов, используемых в ГД и на маневровой работе, возрастает, что приводит к увеличению К
ij. По достижении значения К
ij. близкого к единице, дальнейшее увеличение размеров ГД ограничивается возможностями ремонтного комплекса дороги (если ремонты i-вида j-серии локомотивов данной дороги выполняются в депо только этой дороги). В целях устранения указанного ограничения разрабатываются меры по изменению специализации депо данной дороги или их реконструкции, или передаче части программы П
ij в специализированные депо другой дороги.
5.4.1.6. Если ремонтный цикл локомотивов не предусматривает ремонтов вида ТР-2 и СР, ТР-3, но включает в себя иные виды выполняемых в депо плановых ремонтов (сопоставимых по объему операций с ремонтами ТР-2, СР, ТР-3 или средним ремонтом), то при оценке степени загрузки депо, производящих такие ремонты, используются алгоритмы, аналогичные представленным в
подпунктах 5.4.1.1 -
5.4.1.5 настоящей Инструкции.
5.4.2. Пути и стойла депо для стоянки локомотивов в рабочем состоянии.
5.4.2.1. Для всех депо, за исключением расположенных в районах с расчетной отопительной температурой ниже -25 °C, определяется общий коэффициент использования пропускной способности по стойлам и путям для стоянки локомотивов в рабочем состоянии:

, (5.56)
где Нс - наличное количество стойл для стоянки локомотивов в рабочем состоянии;
НП - наличное число позиций (мест) для стоянки поездных локомотивов на путях;
ПгЛ - потребное число позиций для стоянки локомотивов, используемых в грузовом движении;
ППЛ - потребное число стойл и позиций для стоянки локомотивов негрузового движения.
Для депо, расположенных в районах с расчетной отопительной температурой ниже -25 °C, расчет ведется исходя из наличия только стойл для стоянки локомотивов в рабочем состоянии - Нс.
5.4.2.2. При определении расчетного числа стойл для стоянки локомотивов в рабочем состоянии (Нс) учитываются все стойла, пригодные для этой цели, за исключением предназначенных для текущего ремонта и технического обслуживания локомотивов, а также используемых (занятых) для других целей (одиночной выкатки и обточки колесных пар, обмывки локомотивов, экипировки и др.).
Наличие стойл для стоянки локомотивов определяется по числу соответствующих мест на каждом пути. При этом наибольшая величина свободных проходов (интервалов) между ними не должна превышать указанные в
таблице 5.5.
Число локомотивов, устанавливаемых на одном пути | 1 | 2 | 3 | 4 |
Величина свободных проходов, м | 6 | 7 | 8 | 9 |
Наличие на деповских путях мест для стоянки локомотивов (Нп) определяется:

, (5.57)
где

- обозначение суммирования данных о числе мест стоянки на каждом из i-путей (с округлением каждого слагаемого до целых значений в меньшую сторону);
Lп - полезная длина i-пути для стоянки локомотивов, м;
L - длина локомотива, м;
2 - расстояние между двумя локомотивами на пути, принимаемое к расчету, м.
5.4.2.3. Потребность в местах для стоянки локомотивов ГД в рабочем состоянии в стойловой части депо и на деповских путях (Пгл) определяется:

, (5.58)
где mлс - среднесуточное число локомотивов (в месяц МРГД), простаивающих в данном пункте в рабочем состоянии, локомотивов;
t1 - средняя продолжительность стоянки локомотива согласно графику оборота, мин./локомотив;
t2 - время на заход и выезд локомотива с мест стоянки, мин./локомотив.
Аналогично по
формуле (5.58) определяется потребность в местах для стоянки локомотивов негрузового движения (П
пл), но показатели в
формуле принимаются для локомотивов негрузового движения.
5.4.3. Склады топлива и смазки
5.4.3.1. Расчет коэффициента использования пропускной способности по вместимости склада топлива и склада смазки производится раздельно. При этом для склада масел расчет ведется только по маслам, хранящимся в стационарных емкостях (осевому, дизельному, компрессорному, индустриальному). Коэффициент использования пропускной способности по вместимости складов топлива (смазки) определяется с использованием величин наличной их вместимости (Н) - тактического, эксплуатационного запаса, соответствующего установленным нормам, и потребного эксплуатационного запаса на складе:

, (5.59)
где Птг, Птп, Птс - потребный запас топлива или смазки в месяц МРГД для локомотивов соответственно грузового движения, прочих видов движения и работы для обеспечения работы стационарных установок и обеспечения топливом рабочих и служащих.
5.4.3.2. Наличная вместимость склада (Нтт) для эксплуатационного запаса твердого топлива определяется в тоннах как сумма вместимостей отдельных штабелей.
При расчетах по складам жидкого топлива или смазки их наличная вместимость для эксплуатационного запаса (Нжт), измеряемая в тоннах, определяется:
Нжт = QтВу, (5.60)
где Qт - суммарная вместимость хранилищ жидкого топлива или смазки для эксплуатационных нужд, м3;
Ву - удельный вес применяемого топлива или смазки, т/м3.
5.4.3.3. Потребный эксплуатационный запас топлива или смазки на складе для снабжения локомотивов и других нужд оценивается:
Птг = ДAтг; Птп = ДAтп; Птс = ДAтс, (5.61)
где Д - норма эксплуатационного запаса топлива (смазки), сут.;
Aтг - среднесуточный расход топлива (смазки) со склада для снабжения локомотивов грузового движения в месяц МРГД, т/сут.;
Aтп - среднесуточный расход топлива (смазки) для локомотивов пассажирского, хозяйственного движения, маневровой и прочей работы в месяц МРГД, т/сут.;
Aтс - среднесуточный расход топлива (смазки) для работы стационарных установок, снабжения рабочих и служащих, т/сут.
Величина Aтс определяется по действующим нормам. Применительно к запасам масла Aтс рассчитывается для масел, хранящихся в стационарных емкостях (осевого, дизельного, компрессорного, индустриального).
5.4.4. Проверка обеспеченности снабжения локомотивов песком по размещению пунктов их экипирования
Величина максимального расхода песка локомотивом (Пм), за период его следования между смежными пунктами экипирования, расположенными в пределах маршрута его обращения не должна превышать расчетного наличия песка в бункерах локомотива. Эта величина (исчисляемая в м3) определяется по формуле:

, (5.62)
где Qi - максимальная масса поезда (брутто) для i-участка, т;
Li - расстояние между смежными пунктами снабжения локомотивов песком на i-участке, км;
bм - максимальная норма расхода песка, м3/106;

- коэффициент, учитывающий увеличение расхода песка на измеритель при кратной тяге (если кратная тяга не применяется, то

, при двойной тяге

).
Соответствие Li величинам запаса песка (на локомотиве) и его расходы при следовании локомотива между смежными пунктами экипирования достигается при условии:
Пм <= k·Vп, (5.63)
где Vп - расчетная вместимость песочных бункеров локомотива, используемых при его следовании в данном направлении, м3;
k - коэффициент, характеризующий допустимый объем расхода песка из бункеров локомотива (принимается k = 0,9).
Коэффициент использования пропускной способности по размещению пунктов пескоснабжения на участке их обращения (К) определяется:
К = Пм/0,9Vп. (5.64)
5.5. Определение результирующей пропускной способности по деповским и экипировочным устройствам локомотивного хозяйства на участке обращения и порядок оформления материалов
Результаты расчетов пропускной способности по каждому пункту размещения деповских и экипировочных устройств оформляются в виде
формы N 16ЦТ (см. подраздел 9.7 настоящей Инструкции). В соответствии с
пунктом 5.1.6 настоящей Инструкции, на основе анализа состояния действующих устройств и сопоставления величин коэффициентов их использования (загрузки) выявляются устройства, в наибольшей мере ограничивающие пропускную способность УО и его отдельных участков. Сведения о таких устройствах представляются в
форме N 24ЦТ (см. подраздел 9.7 настоящей Инструкции).
6. Порядок проведения проверки соответствия уровня
заполнения (использования) пропускной способности
основных сооружений и устройств нормативным значениям
6.1. Критерием оценки использования пропускной способности основных элементов железнодорожной инфраструктуры является допустимый коэффициент заполнения пропускной способности.
6.2. Расчетный коэффициент заполнения (использования) пропускной способности, т.е. загрузка перегонов и устройств электроснабжения при установленном числе приведенных поездов, определяется делением этого числа поездов на пропускную способность соответствующего устройства. При подсчете коэффициента заполнения пропускной способности принимаются средние размеры грузового и пассажирского движения месяца максимальных грузовых перевозок.
Коэффициент заполнения пропускной способности по перегонам и устройствам тягового электроснабжения определяется по наибольшему из значений для четного и нечетного направлений:
для участков с преимущественно грузовым движением:

; (6.1)
для участков с преимущественно пассажирским движением, на которых расчет пропускной способности при параллельном графике в соответствии с
пунктом 2.1.1 настоящей Инструкции производится в пассажирских (пригородных) поездах:

(6.2)
где nгр, nпс - размеры движения грузовых поездов (включая ускоренные и сборные) и пассажирских поездов всех категорий в среднем за сутки месяца максимальных перевозок на расчетном участке;
n - пропускная способность при параллельном графике.
Допустимый коэффициент заполнения пропускной способности по устройствам электроснабжения определяется для нормального режима работы системы электроснабжения (без учета мощности резервного оборудования тяговых подстанций и линейных объектов) и составляет 1.
Коэффициент заполнения пропускной способности по устройствам электроснабжения для режима интенсивной работы участка носит информационный характер и применяется для оценки возможной пропускной способности с учетом мощностей резервного оборудования тяговых подстанций и линейных объектов при условии, что данный режим согласован энергоснабжающей организацией. Для участков железных дорог, коэффициент заполнения которых в режиме интенсивной работы составляет 0,85 или более, с учетом тенденции изменения объемов перевозок должны быть предусмотрены мероприятия, направленные на увеличение пропускных способностей.
При определении наличной пропускной способности величины

и
tтех принимаются с учетом интенсивности и скоростей движения поездов в зависимости от специализации и классификации железнодорожных линии, определяемых на основе Методики классификации и специализации железнодорожных линий ОАО "РЖД", утвержденной распоряжением ОАО "РЖД" от 13 января 2020 г. N 28/р, и отображаемых в отчетных формах ОАО "РЖД". Значения

в зависимости от специализации и классификации железнодорожных линии представлены в
таблице 6.1. Значения
tтех в зависимости от специализации и классификации железнодорожных линии представлены в
таблице 6.2. Детализированное описание значений

и
tтех в зависимости от специализации и классификации линий представлено в
приложении N 10 к настоящей Инструкции.
Величина

может быть уточнена на основе данных о фактических отказах.
Фактическая величина tтех может быть уточнена на основе данных о фактически пропущенном тоннаже, а планируемая - на основе информации о потребных планируемых работах по реконструкции и строительству сооружений и устройств.
| |
В | С | О | П | Г | Т | М |
1 | 0,96 | 0,95 | 0,93 | 0,93 | 0,93 | 0,93 | - |
2 | 0,96 | 0,95 | 0,94 | 0,94 | 0,94 | 0,94 | 0,95 |
3 | 0,96 | 0,95 | 0,95 | 0,95 | 0,95 | 0,95 | 0,95 |
4 | - | 0,95 | - | 0,96 | 0,96 | 0,96 | 0,95 |
5 | - | - | - | 0,96 | 0,96 | 0,96 | 0,95 |
| tтех |
В | С | О | П | Г | Т | М |
1 | 150 | 150 | 150 | 150 | 150 | 150 | - |
2 | 150 | 150 | 150 | 150 | 150 | 150 | 75 |
3 | 150 | 90 | 90 | 90 | 90 | 90 | 75 |
4 | - | 90 | - | 75 | 75 | 75 | 75 |
5 | - | - | - | 75 | 75 | 75 | 75 |
--------------------------------
<*> - в
таблицах 6.1 и
6.2 классы (1 - 5) железнодорожных линий и их специализация принимаются в соответствии с классификацией и специализацией железнодорожных линий, устанавливаемой ОАО "РЖД"
6.3. Расчетные значения коэффициентов заполнения пропускной способности конкретных участков (сооружений, устройств) сравниваются с допустимыми коэффициентами заполнения соответствующих элементов железнодорожной инфраструктуры и могут служить основанием для постановки вопросов о мероприятиях по развитию сети либо по ремонту устройств и устранению недостатков в их содержании.
6.4. Допустимый коэффициент заполнения пропускной способности участков по перегонам принимается на двухпутных линиях равным 0,99, на участках с двухпутными вставками - 0,98 и на однопутных линиях - 0,97. Полученная с учетом этих коэффициентов пропускная способность проставляется в
графе 5 формы N 2 ЦД, ТЭ, ЦТ, ЦЭКР (см. подраздел 9.2 настоящей Инструкции).
6.5. Допустимый коэффициент заполнения пропускной способности устройств локомотивного хозяйства принимается равным 0,8.
6.6. Допустимый коэффициент заполнения пропускной способности станционных устройств устанавливается исходя из обеспечения устойчивой работы железнодорожной станции с высокой эксплуатационной надежностью по приему поездов без задержек у входных светофоров и на предшествующих раздельных пунктах (не ниже 0,995 в расчете за год).
6.7. Допустимые коэффициенты заполнения пропускной способности железнодорожной станции по приему грузовых поездов в расформирование и перерабатывающей способности устанавливаются следующим образом.
Рассчитывается соотношение Cн:

, (6.3)
где nн.пп - пропускная способность станционных железнодорожных путей по приему поездов в расформирование, поездов/сутки;
nн.гор - перерабатывающая способность сортировочных устройств по расформированию поездов, поездов/сутки.
В зависимости от соотношения
Cн и средней длительности технологической обработки состава разборочного поезда на пути приема (включающей в себя операции, предусмотренные технологическим процессом работы станций) t
тех.пп по данным
таблицы 6.3, устанавливается технически допустимый уровень загрузки сортировочных устройств по расформированию поездов

при отсутствии перерывов в расформировании составов из-за недостатка числа и вместимости сортировочных железнодорожных путей.
Cн | Значения  при t тех.пп, минуты |
20 и менее | 40 | 60 и более |
0,6 и менее | 0,50 | 0,50 | 0,50 |
0,8 | 0,61 | 0,60 | 0,59 |
1,0 | 0,70 | 0,69 | 0,68 |
1,2 | 0,77 | 0,76 | 0,75 |
1,4 | 0,83 | 0,81 | 0,79 |
1,6 | 0,88 | 0,85 | 0,82 |
1,8 и более | 0,92 | 0,89 | 0,85 |
Результирующие технически допустимые коэффициенты заполнения

:
перерабатывающей способности сортировочных устройств по расформированию поездов

; (6.4)
пропускная способность станционных путей по приему поездов в расформирование

(6.5)
где kc - коэффициент внутримесячной неравномерности грузового движения (отношение максимального числа грузовых поездов в сутки к средним размерам грузового движения за месяц максимальных грузовых перевозок);

- коэффициент учета перерывов в расформировании составов из-за недостатка числа и вместимости сортировочных путей.

, (6.6)
где I - число подходов, с которых на станцию (в сортировочную систему двусторонней станции) поступают поезда в расформирование.
Значения

рассчитываются порядком, приведенным в
пункте 1 приложения N 4 настоящей Инструкции. Для перспективных расчетов в случае отсутствия конкретных данных допускается принимать

.
Если при заданных размерах работы коэффициенты использования перерабатывающей способности сортировочных устройств
Кгор, определяемые по
формулам (3.6.7) и
(3.6.14), и пропускной способности путей
Кпп, определяемый по
формуле (3.4.2), не превышают соответственно значений

и

, то эти станционные устройства работают с загрузками, не превышающими допустимых.
6.8. Допустимый коэффициент заполнения пропускной способности по отправлению поездов своего формирования или по приему и отправлению транзитных поездов без переработки в случае смены локомотивов

устанавливается в зависимости от доли парка исправных локомотивов грузового движения
aл. Значения

определяются:
 , % | 10 | 12 | 14 | 16 | 18 | 20 | 22 | 24 | 26 | 28 | 30; |
| 0,53 | 0,55 | 0,57 | 0,59 | 0,61 | 0,63 | 0,65 | 0,67 | 0,69 | 0,72 | 0,74. |
Если при заданных размерах работы коэффициент использования пропускной способности путей отправления поездов
Коп, определяемый по
формуле (3.4.2), не превышает

, то загрузка путей не превышает допустимую.
Фактическое значение

, %, по каждому примыкающему к парку участку обращения локомотивов:

, (6.7)
где Mисп - число исправных локомотивов, выделенных на данном участке обращения локомотивов в месяц максимальных перевозок;

- необходимое число локомотивов на данном участке обращения локомотивов при среднесуточных размерах движения в тот же месяц;

- коэффициент потребности в локомотивах на пару поездов для данного участка обращения локомотивов.
В целом для отправочного (транзитного) парка

принимается средним из значений по участкам обращения локомотивов, в которые входят примыкающие к парку железнодорожные линии. Для перспективных расчетов и средних условий принимается

.
6.9. Допустимые коэффициенты заполнения пропускной способности остальных станционных устройств:
железнодорожных путей по приему и отправлению транзитных поездов без переработки при отсутствии смены локомотивов -

для парков с одним двухпутным подходом, 0,77 для парков с одним однопутным подходом, 0,71 для парков с двумя и более железнодорожными подходами (в том числе приемоотправочных парков двустороннего действия);
вытяжных путей -

;
стрелочных горловин -

.
6.10. Средневзвешенный допустимый коэффициент использования пропускной способности станции

при ограничении:
по приему

; (6.8)
по отправлению

, (6.9)
где nпоп - имеющаяся мощность путей по приему и отправлению транзитных поездов без переработки, поездов/сут.;
nоп - то же по отправлению поездов своего формирования, поездов/сут.;

- доля поездов, проследующих станцию без смены поездных локомотивов, в общем потоке транзитных поездов.
Если горловины ограничивают пропускную способность по приему поездов в расформирование, то в
формуле (6.8) принимается

и в качестве
nпп берется пропускная способность ограничивающей горловины. Если горловины ограничивают отправление поездов своего формирования, то в
формуле (6.9) принимается

и в качестве
nоп берется пропускная способность ограничивающей горловины. Если горловины ограничивают прием и отправление транзитных поездов без переработки, то в
формулах (6.8) и
(6.9) принимается

, и в качестве
nпоп берется пропускная способность соответствующей ограничивающей горловины.
6.11. При предоставлении на двухпутных линиях технологических "окон" в графике движения поездов продолжительностью 5 - 6 ч и использовании второго главного пути для пропуска поездов по правилам однопутного движения допустимый коэффициент заполнения пропускной способности станционных устройств определяется умножением на 0,8 значений, полученных в соответствии с
подразделами 6.7 -
6.9 настоящей Инструкции; при продолжительности технологического "окна" 3 - 4 ч - умножением на 0,9. На однопутных линиях допустимый коэффициент заполнения пропускной способности устанавливается в соответствии с
подразделами 6.7 -
6.9 настоящей Инструкции.
6.12. Пропускная способность определяется для каждого расчетного железнодорожного участка. В качестве результирующих значений пропускной способности принимаются:
наименьшие значения пропускной способности расчетного железнодорожного участка (по перегонам, железнодорожным станциям, устройствам тягового электроснабжения) отдельно по каждому из направлений категории, в которой рассчитана пропускная способность при непараллельном графике движения поездов;
на железнодорожных участках, либо специализированных главных железнодорожных путях многопутных железнодорожных участков с преимущественно грузовым движением - наименьшие значения пропускной способности расчетного железнодорожного участка (по перегонам; по устройствам тягового электроснабжения; по железнодорожным станциям, ограничивающим участок) для каждого из направлений при заданном числе пассажирских поездов;
на железнодорожных участках, либо специализированных главных железнодорожных путях многопутных железнодорожных участков с преимущественно пассажирским движением, на которых расчет пропускной способности при параллельном графике в соответствии с
пунктом 2.1.1 настоящей Инструкции производится в пассажирских (пригородных) поездах - наименьшие значения пропускной способности расчетного железнодорожного участка (по перегонам; по устройствам тягового электроснабжения; по железнодорожным станциям, ограничивающим железнодорожный участок) для каждого из направлений при заданном числе грузовых поездов.
При ограничении пропускной способности по устройствам электроснабжения при нормальном режиме работы системы (без учета мощности резервного оборудования тяговых подстанций и линейных объектов) необходимо учитывать возможность интенсивной работы участка при наличии согласования энергоснабжающей организацией. В таком случае результирующая пропускная способность определяется по элементу, имеющему наименьшую пропускную способность после пропускной способности устройств тягового электроснабжения в нормальном режиме (станции, перегоны либо устройства тягового электроснабжения в режиме "Б").
6.13. Допустимые коэффициенты заполнения пропускной и перерабатывающей способности станций и их элементов, рассчитанные в соответствии с
подразделами 6.6 -
6.12 настоящей Инструкции, могут быть уточнены по данным вариантных имитационных расчетов в соответствии с Методикой проведения исследований проектов развития железнодорожных станций и линий с определением "узких мест", влияния на пропускные и перерабатывающие способности, рациональной технологии и прогнозируемых эксплуатационных показателей с использованием аппарата математического моделирования, утвержденной распоряжением ОАО "РЖД" от 9 января 2018 г. N 2/р.
6.14. В железнодорожных узлах и на подходах к ним возможны потери пропускной способности участков и внутриузловых ходов, обусловленные невозможностью синхронизировать подвод поездов со смежных элементов узла с периодами свободности перегонов и элементов станций для их пропуска.
По указанным причинам допустимое использование пропускной способности участка определяется по формуле:

, (6.10)
где nн - пропускная способность участка, пар поездов/сут.;

- потери пропускной способности по причине несинхронности подвода поездов со смежных расчетных участков, пар поездов;
tп - часть суточного бюджета времени, которую невозможно использовать для движения поездов по рассчитываемому участку по причине несинхронности подвода поездов со смежных расчетных участков, мин.;
Tпер - период графика движения поездов на ограничивающем перегоне (расчетный межпоездной интервал), мин.;
K - число поездов (пар поездов), пропускаемых по участку за время Tпер, в зависимости от применяемого типа графика движения.
В связи с многообразием топологий путевого развития крупных железнодорожных узлов и конфигураций поездопотоков в условиях, когда требуется значение tп, его следует определять путем построения (моделирования) максимального графика движения поездов рассчитываемой категории (направления) при заданном числе поездов других категорий (направлений).
6.15. При усилении существующих железнодорожных линий и обустройств железнодорожного транспорта их пропускная (перерабатывающая) способность, сопоставляемая с потребной, определяется по методике, изложенной в
разделах 2 -
5 настоящей Инструкции.
Резерв пропускной способности, определяемый по участкам сети железных дорог, является количественными показателем, характеризующим возможности железнодорожного участка к пропуску дополнительного поездопотока. Наименьшая величина резервов пропускных способностей расчетных участков, расположенных последовательно, характеризует возможность пропуска дополнительного поездопотока на железнодорожном направлении.
Результирующие технически допустимые размеры грузового движения nрез.гр по расчетному участку, поездов/сут., определяются по формуле:

, (6.11)
где nп.гр; nс.гр; nэ.гр; nт.гр - пропускная способность расчетного участка соответственно по перегонам при непараллельном графике движения поездов, железнодорожным станциям, устройствам тягового электроснабжения, деповским и экипировочным устройствам локомотивного хозяйства, поездов/сут.;

;

;

;

- допустимые коэффициенты заполнения пропускной способности расчетного участка соответственно по перегонам при непараллельном графике движения поездов, железнодорожным станциям, устройствам тягового электроснабжения, деповским и экипировочным устройствам локомотивного хозяйства.
Резерв или дефицит пропускной способности участка с преобладанием грузового движения:

(6.12)
где nмакс. исп. - исполненные размеры грузового движения, проследовавшие по участку за отчетный период в среднем за сутки месяца максимальных перевозок, поездов/сут.
| | ИС МЕГАНОРМ: примечание. В официальном тексте документа, видимо, допущена опечатка: п. 6.1.1 отсутствует. | |
Резерв или дефицит пропускной способности железнодорожного участка с преобладанием пассажирского движения, на которых расчет пропускной способности при параллельном графике в соответствии с пунктом 6.1.1 настоящей Инструкции производится в пассажирских (пригородных) поездах:

(6.13)
где nрез.пс - результирующие технически допустимые размеры пассажирского движения по расчетному железнодорожному участку с учетом допустимого уровня заполнения пропускной способности, поездов/сут.;
nграф.пс. - размеры пассажирского движения в соответствии с нормативным графиком движения поездов, поездов/сут.
В
формулах (6.12) и
(6.13) обозначения с одним и с двумя штрихами соответствуют нечетному и четному направлениям движения по участку.
7. Порядок расчета провозной способности
железнодорожных линий
7.1. Расчет провозной способности грузовой линии
7.1.1. Количество миллионов тонн груза, которое может быть перевезено по железнодорожному участку за год при заданном числе пассажирских поездов, определяется по расчетным железнодорожным участкам в грузовом направлении (направлении следования преобладающего грузопотока), считается провозной способностью этого железнодорожного участка.
Провозная способность Г, млн тонн в год, определяется по формуле:

, (7.1)
где nрез.гр - результирующие технически допустимые размеры грузового движения по расчетному железнодорожному участку в грузовом направлении с учетом допустимого уровня заполнения пропускной способности, поездов/сут.;
Qбр - средневзвешенная масса брутто грузовых поездов, проследующих по участку в грузовом направлении за расчетный период, т;

- отношение массы состава нетто к массе состава брутто (с учетом порожнего вагонопотока, следующего в грузовых поездах в грузовом направлении).
Данная
формула подходит для расчета провозной способности при отсутствии данных о фактических поездопотоках. Однако, в связи с технологическими особенностями работы участков сети железных дорог в месяцы максимальных перевозок, исполненные размеры грузового движения
nмакс.исп могут достигать расчетных значений пропускной способности элементов железнодорожной инфраструктуры (перегоны, станции, устройства тягового электроснабжения), а иногда даже превышать их.
К таким случаям относятся:
использование резервных тяговых трансформаторов устройств тягового электроснабжения для пропуска поездопотока в часы интенсивных перевозок;
пропуск грузовых поездов на нитки графика пассажирских поездов.
Соответственно, при выполнении условия nрез.гр > nмакс. исп. провозная способность определяется:

, (7.2)
где nмакс.исп. - исполненные размеры грузового движения, проследовавшие по участку за отчетный период в среднем за сутки месяца максимальных перевозок, поездов/сут.;
Qнет - средневзвешенная масса нетто грузовых поездов, проследовавших по участку в грузовом направлении за расчетный период, т;
Qун - унифицированная норма массы грузового поезда в грузовом направлении, т.
При выполнении условия nрез.гр <= nмакс. исп. формула должна применяться в виде:

(7.3)
Таким образом, при неполном заполнении пропускной способности учитывается ее резерв, который может быть заполнен поездами унифицированной массы. При условии превышения уровня заполнения пропускной способности расчет провозной способности осуществляется с учетом фактически пропущенных поездопотоков.
7.1.2. Определение годовых значений провозной способности на железнодорожных линиях с устойчивой высокой сезонностью пассажирских перевозок осуществляется по формуле:
Ггр год = iлетоГлето + (12 - iлето)Гвне сез, млн т/год (7.4)
где nм макс. - число месяцев сезонных перевозок;
Глето - провозная способность в период летних пассажирских перевозок, млн т/месяц;
Гвне сез - провозная способность в месяцы вне периода летних пассажирских перевозок, млн т/месяц.
При существенных изменениях размеров движения пассажирских поездов различных категорий в разные календарные периоды года среднегодовые значения пропускной способности для грузового движения определяются по формуле:

(7.5)
где Di - число дней в календарном периоде i;
Ггрi - провозная способность в календарном периоде i, млн т/сут.
При учете сезонности перевозок в расчетах пропускной способности значения суммарной провозной способности определяются в порядке, предусмотренным в
пункте 7.1.1 настоящей Инструкции.
7.2. Определение потребной провозной способности
7.2.1. Потребной провозной способностью железнодорожной линии называется количество млн тонн груза, которое потребуется перевезти за год по рассматриваемому участку.
Гпотр. = 12 Гзад(1 + 0,5kc) (7.6)
Гзад - заданный (планируемый) грузопоток за месяц максимальных перевозок, млн т/месяц.
kc - коэффициент, учитывающий неравномерность перевозок в течение месяца.

(7.7)
где nмакс - максимальные размеры движения за сутки месяца максимальных перевозок планового года;
nср.мес. - заданное (планируемое) число грузовых поездов в средние сутки месяца максимальных перевозок планового года.
7.2.2. Планируемая провозная способность грузовой железнодорожной линии определяется на основе расчетов пропускной способности, выполняемых с учетом принятой перспективной технологии организации движения грузовых поездов:
перспективная унифицированная длина грузовых поездов;
перспективная унифицированная норма массы грузовых поездов;
перспективная параллельная норма массы грузовых поездов для отправительских маршрутов.
Значение планируемой провозной способности определяется по
формуле (7.1).
При этом значение
Qбр определяется на основе планируемого числа грузовых поездов всех норм масс, движение которых принято на расчетный срок на линии, по
формуле (7.8).

(7.8)
где Qi, Qj - масса поезда брутто i-ой и j-ой категории поездов соответственно;
ni, nj - число поездов i-ой и j-ой категории соответственно.
8. Порядок сравнительной оценки наличной, расчетной
и потребной пропускных способностей
железнодорожной инфраструктуры
8.1. Пропускная способность железнодорожных участков, определенная в соответствии с настоящей Инструкцией, сопоставляется с потребной (необходимой) пропускной способностью. Потребная пропускная способность перегонов должна обеспечивать заданные размеры грузового и пассажирского движения месяца максимальных перевозок с учетом внутримесячной неравномерности поездопотоков, времени на технологические перерывы для содержания и планового ремонта сооружений и устройств, а также исходя из допустимого коэффициента использования пропускной способности для компенсации внутрисуточных колебаний пропускной способности и эксплуатационных отказов в работе, принимаемых в соответствии с
разделом 1 настоящей Инструкции.
8.2. Расчет потребной пропускной способности перегонов действующей или реконструируемой железнодорожной линии без учета времени на содержание, ремонт и ликвидацию отказов технических средств (в поездах всех категорий, идущих с одинаковой скоростью) выполняется по следующим формулам:
на железнодорожных участках, на которых расчет пропускной способности при параллельном графике в соответствии с
пунктом 2.1.1 настоящей Инструкции производится в грузовых поездах, потребная пропускная способность

определяется количеством грузовых поездов (пар поездов) в сутки:

, (8.1)
на железнодорожных участках, на которых расчет пропускной способности при параллельном графике в соответствии с
пунктом 2.1.1 настоящей Инструкции производится в пассажирских (пригородных) поездах, потребная пропускная способность

определяется количеством пассажирских поездов (пар поездов) в сутки:

, (8.2)
где
nгр,
nхоз,

,
nпс,
nпр,

,

,
nуск,
nсб,
nлок - заданное число соответственно грузовых (включая ускоренные и сборные), хозяйственных, скоростных пассажирских, остальных пассажирских (включая следование пассажирских составов в пункты посадки пассажиров), пригородных, скоростных пригородных, скорых пригородных, ускоренных грузовых, сборных поездов и одиночных локомотивов в сутки;

- коэффициент, учитывающий отсутствие ремонтно-строительных работ и проведение работ по текущему содержанию устройств инфраструктуры железнодорожного транспорта общего пользования только в рабочие дни месяца максимальных перевозок, принимаемый не более: 0,98 - для однопутных железнодорожных линий; 1,00 - для железнодорожных участков с двухпутными вставками; 1,04 - для двухпутных железнодорожных линий и дополнительных главных железнодорожных путей;
на железнодорожных участках с интенсивным пригородным движением потребная пропускная способность

определяется количеством пригородных поездов (пар поездов) в час:

, (8.3)
где
nпр,

,
nпс,

,

- заданное число соответственно пригородных, скоростных пассажирских, остальных пассажирских, скоростных пригородных, скорых поездов в час интенсивного пригородного движения;

- допустимый коэффициент использования пропускной способности в час интенсивного пригородного движения, принимаемый не более: 0,97 - для однопутных железнодорожных линий; 0,98 - для железнодорожных участков с двухпутными вставками; 0,99 - для двухпутных железнодорожных линий и дополнительных главных железнодорожных путей.
Величина nгр равна:
nгр = nср.мес(1 + 0,5kc), (8.4)
где nср.мес - заданное (планируемое) число грузовых поездов в средние сутки месяца максимальных перевозок планового года;
kc - коэффициент, учитывающий неравномерность перевозок в течение месяца (см.
формулу (7.7)).
8.3. Потребная пропускная способность перегонов новой железнодорожной линии с учетом времени на содержание, ремонт и ликвидацию отказов технических средств (в поездах параллельного графика):
на железнодорожных участках, на которых расчет пропускной способности при параллельном графике в соответствии с
пунктом 2.1.1 настоящей Инструкции производится в грузовых поездах, потребная пропускная способность

определяется количеством грузовых поездов (пар поездов) в сутки:

(8.5)
на железнодорожных участках, на которых расчет пропускной способности при параллельном графике в соответствии с
пунктом 2.1.1 настоящей Инструкции производится в пассажирских (пригородных) поездах, потребная пропускная способность

определяется количеством пассажирских поездов (пар поездов) в сутки:

(8.6)
на железнодорожных участках, на которых количество пригородных поездов составляет в час четыре и более, потребная пропускная способность

определяется количеством пригородных поездов (пар поездов) в час интенсивного пригородного движения:

(8.7)
где

- продолжительность суточного бюджета времени, выделяемого для работ по текущему содержанию устройств инфраструктуры железнодорожного транспорта общего пользования в месяце максимальных перевозок, принимаемая 64 минуты - для однопутных железнодорожных линий и для железнодорожных участков с двухпутными вставками; 85 минут - для двухпутных железнодорожных линий и дополнительных главных железнодорожных путей;

- коэффициент надежности, принимаемый в соответствии с
пунктами 2.1.9 и
2.1.10 настоящей Инструкции.
8.4. Пропускная (перерабатывающая) способность железнодорожных станций, рассчитанная в соответствии с настоящей Инструкцией, сопоставляется с потребной пропускной (перерабатывающей) способностью железнодорожных станций.
Потребная пропускная (перерабатывающая) способность железнодорожных станций

(в физических поездах) определяется по формуле:

. (8.8)
Расчетная пропускная способность железнодорожной станции определяется при том же числе ускоренных, сборных и пассажирских поездов, что и

:

, (8.9)
где
nгр.н - пропускная (перерабатывающая) способность железнодорожной станции для грузовых поездов с учетом коэффициента

, компенсирующего влияние отказов технических средств, а также с учетом времени на содержание и плановый ремонт сооружений и устройств железнодорожной станции (
раздел 3 настоящей Инструкции).
8.5. Выводы о достаточности пропускной способности железнодорожной инфраструктуры формируются с помощью выполнения неравенств, представленных далее.
Для действующих и новых железнодорожных линий:
Если

или

, то требуется реализация мероприятий по увеличению пропускной способности перегонов или устройств тягового электроснабжения,
где
nпар - пропускная способность расчетного железнодорожного участка по перегонам и устройствам тягового электроснабжения с учетом времени на содержание, ремонт и ликвидацию отказов технических средств в соответствии с
разделами 2 и
4 настоящей Инструкции, поездов (пар) в сутки.
Для оценки линий с интенсивным пригородным движением:
Если

, то требуется реализация мероприятий по увеличению пропускной способности перегонов или устройств тягового электроснабжения,
где

- пропускная способность расчетного железнодорожного участка по перегонам и устройствам тягового электроснабжения с учетом времени на ликвидацию отказов технических средств, поездов (пар) в час.
В часы отсутствия интенсивного пригородного движения сопоставление пропускных способностей производится для линий с преобладанием грузового или пассажирского движения с учетом в суточном бюджете времени часов интенсивного пригородного движения.
Для железнодорожных станций:
Если

, то требуется увеличение пропускной (перерабатывающей) способности железнодорожной станции,
где

- пропускная способность железнодорожной станции, пар поездов/сутки;

- средневзвешенный допустимый коэффициент использования пропускной способности железнодорожной станции при ограничении по приему (по отправлению), который определяется в соответствии с
разделом 5 настоящей Инструкции.
Расчетные значения наличной (расчетной) и планируемой пропускной способности элементов инфраструктуры округляются до целого числа поездов (пар поездов) в меньшую сторону, значения потребной пропускной способности - в большую сторону.
8.6. При сопоставлении провозной способности Г, рассчитанной в соответствии с
разделом 7 настоящей Инструкции, с потребной провозной способностью Г
потр, определяемой количеством млн. т груза, которое требуется перевезти по железнодорожному участку за год, должно выполняться неравенство Г >= Г
потр, в противном случае необходима реализация мероприятий по повышению провозной способности.
Оформление материалов по расчетам пропускной способности перегонов, станций, электрифицированных линий по устройствам электроснабжения, деповских и экипировочных устройств (включая сводные данные) производится в соответствии с прилагаемыми указаниями, ведомостями и схемами.
Порядок расположения расчетных участков во всех ведомостях должен быть одинаков, при этом в начале вносятся основные направления дороги (здесь и далее - линии в соответствии с специализацией и классификацией линий, относящиеся к особо грузонапряженным, высокоскоростным, скоростным, с преимущественно пассажирским движением, с преимущественно грузовым движением), а затем остальные (здесь и далее - малоинтенсивные линии). Расчетные участки располагаются в порядке следования по нечетному направлению.
Предоставляется схема дороги с указанием на ней развязок в узлах, техническим оснащением и результирующей пропускной способности по расчетным участкам.
9.2. Порядок оформления материалов по расчетам пропускной способности перегонов и станций
Материалы по расчетам пропускной способности перегонов и станций должны быть оформлены в соответствии с прилагаемыми ведомостями и указаниями.
Объем материала должен включать: книгу I - ведомости ЦД
формы N 1 -
11; книгу II - расчеты пропускной и перерабатывающей способности станций, включая ведомости ЦД
формы N 12 -
14, инфраструктурная модель станции. Станции должны быть расположены в порядке следования участков в нечетном направлении.
Форма N 1ЦД, ТЭ, ЦТ, ЦЭКР
УТВЕРЖДАЮ
Начальник _________ ж.д.
_______________________
"___" ___________ 20__ г.
технической характеристики и пропускной способности участков
_____________ ж.д. по состоянию на "__" ________ 20__ г. <*>
N п/п | Наименование расчетного участка | Длина, км | Средства связи по движению поездов | Расчетный подъем туда/обратно, % | Серия локомотива | Масса поездов туда/обратно, т | Кратная тяга туда/обратно, км | Установленная длина состава туда/обратно, усл. ваг. | Размеры движения по техническому плану или заданию туда/обратно, пар поездов |
| двухпутных (многопутных) |
| пассажирских | в том числе пригородных |
1 | 2 | 3 | 4 | 5 | 6 | 7 | 8 | 9 | 10 | 11 | 12 | 13 |
| | | | | | | | | | | | |
Продолжение

Пропускная способность | Наименование элементов, ограничивающих пропускную способность | Коэффициент заполнения пропускной способности |
перегонов при графике | | устройств электроснабжения | деповских и экипировочных устройств | |
| | | в режиме интенсивной работы |
14 | 15 | 16 | 17А | 17Б | 18 | 19 | 20 | 21 |
| | | | | | | | |
Главный инженер железной дороги _____________________________________
Начальник дирекции управления движением _____________________________
Начальник дирекции по энергообеспечению _____________________________
Начальник дирекции тяги _____________________________________________
Начальник специальной службы ________________________________________
Начальник финансовой службы _________________________________________
--------------------------------
<*> В
графе 2 в начале вносятся сведения об основных направлениях дороги, затем об остальных линиях. Расчетные участки располагаются в порядке следования по нечетному направлению.
В
графах 3 -
10 технические характеристики принимается в соответствии с действующим графиком движения или по заданию с учетом производимых работ.
В
графах 15 -
19 пропускная способность показывается двумя цифрами: первая - грузовых поездов (в том числе сборных и ускоренных), вторая - пассажирских (в том числе пригородных). Пропускная способность однопутных участков показывается в парах поездов при парном графике и в поездах по каждому направлению при непарном графике, пропускная (перерабатывающая) способность железнодорожных станций и пропускная способность двухпутных участков - отдельно по каждому направлению. В числителе записывается пропускная способность в нечетном направлении, в знаменателе - в четном.
В
графе 11 отражается физическое число поездов, предусмотренное техническим планом месяца максимальных перевозок.

В
графах 17 -
18 отражается число поездов, полученное в результате расчета.
В
графе 16 отражается пропускная способность железнодорожной станции в нечетном направлении и в четном направлениях. Пропускная способность железнодорожной станции принимается из
графы 13 формы N 7ЦД.
В
графе 17А указывается пропускная способность по устройствам электроснабжения, а в
графе 17Б - пропускная способность по устройствам электроснабжения в режиме интенсивной работы. Для оценки результирующей пропускной способности используются результаты расчета, указанные в
графе 17 Б (при наличии) с примечанием, что данные приняты при режиме интенсивной работы.
В
графе 20 указываются только те устройства, которые имеют наименьшую пропускную способность. При пропускной способности ниже заданной (исполненных размеров грузового движения за месяц максимальных перевозок) или потребной, по нескольким элементам железнодорожной инфраструктуры отражаются несколько устройств в последовательности, установленной
графами 14 -
19.
В
графе 21 в числителе проставляется коэффициент заполнения пропускной способности.
| | ИС МЕГАНОРМ: примечание. В официальном тексте документа, видимо, допущена опечатка: имеется в виду таблица 9.4, а не 9.5. | |
Таблица 9.1
Исходные данные для проведения расчетов
пропускной способности
| | ИС МЕГАНОРМ: примечание. Здесь и далее ячейки, выделенные серой "заливкой" в официальном тексте документа, в электронной версии документа обозначены символом "&". | |
N п/п | Станция начала участка | Станция конца участка | Протяженность участка (перегонов), км | Всего главных путей | Средства связи по движению поездов | Вид тяги | Расчетный подъем,  | Серии эксплуатируемых локомотивов | Унифицированная норма массы поезда, тонн | Критическая норма массы поезда, тонн | Установленная длина поезда, условных вагонов | Унифицированная длина поезда, условных вагонов |
Всего | В том числе вторых путей | Туда | Обратно | Туда | Обратно | Туда | Обратно | Туда | Обратно | Туда | Обратно |
1 | 2 | 3 | 4 | 5 | 6 | 7 | 8 | 9 | 10 | 11 | 12 | 13 | 14 | 15 | 16 | 17 | 18 | 19 |
& 1 | & А | & Г | & 27,60 | & 27,60 | & | & | & Э | & 14.7 | & 13.4 | & ВЛ80С, Т, 3ВЛ80С, 2ЭС5К, 3ЭС5К | & 5200 | & 4600 | & 7800 | & 7500 | & 57 | & 57 | & 130 | & 130 |
1.1 | А | б | 18,20 | 18,20 | 2 | АБ | | | | | | | | | | | | |
1.2 | в | Г | 9,40 | 9,40 | 2 | АБ | | | | | | | | | | | | |
& 2 | & Г | & П | & 111,90 | & 108,20 | & | & | & Э | & 14.7 | & 13.4 | & ВЛ80С, Т, 3ВЛ80С, 2ЭС5К, 3ЭС5К | & 5200 | & 4600 | & 7800 | & 7500 | & 57 | & 57 | & 130 | & 130 |
2.1 | Г | д | 19,00 | 19,00 | 2 | АБ | | | | | | | | | | | | |
2.2 | е | ж | 3,70 | 0 | 1 | АБ БПС | | | | | | | | | | | | |
2.3 | з | и | 14,60 | 14,60 | 2 | АБ | | | | | | | | | | | | |
2.4 | к | л | 19,60 | 19,60 | 2 | АБ | | | | | | | | | | | | |
2.5 | м | н | 27,00 | 27,00 | 2 | АБ | | | | | | | | | | | | |
2.6 | о | П | 28,00 | 28,00 | 2 | АБ | | | | | | | | | | | | |
Продолжение таблицы 9.1
N п/п | Станция начала участка | Станция конца участка | Размеры движения | Исполненные размеры движения грузовых поездов в среднем за сутки месяца максимальных перевозок |
Всего грузовых поездов | В том числе сборных поездов | Толкачи и резервные локомотивы | Пассажирские поезда в дальнем и местном сообщении | Пассажирские поезда сезонного и разового назначения | Пассажирские скоростные поезда | Пассажирские составы следующие к пунктам посадки пассажиров | Скорые пригородные поезда | Пригородные поезда | Туда | Обратно |
Туда | Обратно | Туда | Обратно | Туда | Обратно | Туда | Обратно | Туда | Обратно | Туда | Обратно | Туда | Обратно | Туда | Обратно | Туда | Обратно |
1 | 2 | 3 | 24 | 25 | 26 | 27 | 28 | 29 | 30 | 31 | 32 | 33 | 34 | 35 | 36 | 37 | 38 | 39 | 40 | 41 | 20 | 21 |
& 1 | & А | & Г | & | & | & | & | & | & | & | & | & | & | & | & | & | & | & | & | & | & | & | & |
1.1 | А | б | 36 | 36 | 0 | 0 | 1 | 2 | 5 | 5 | 4 | 4 | 0 | 0 | 1 | 1 | 0 | 0 | 2 | 2 | 21.68 | 21.52 |
1.2 | в | Г | 36 | 36 | 0 | 0 | 1 | 2 | 5 | 5 | 4 | 4 | 0 | 0 | 1 | 1 | 0 | 0 | 2 | 2 | 21.45 | 21.35 |
& 2 | & Г | & П | & | & | & | & | & | & | & | & | & | & | & | & | & | & | & | & | & | & | & | & |
2.1 | Г | д | 34 | 34 | 0 | 0 | 1 | 1 | 5 | 5 | 4 | 4 | 0 | 0 | 1 | 1 | 0 | 0 | 2 | 2 | 27.72 | 26.17 |
2.2 | е | ж | 34 | 34 | 0 | 0 | 1 | 1 | 5 | 5 | 4 | 4 | 0 | 0 | 1 | 1 | 0 | 0 | 2 | 2 | 27.72 | 26.17 |
2.3 | з | и | 34 | 34 | 0 | 0 | 1 | 1 | 5 | 5 | 4 | 4 | 0 | 0 | 1 | 1 | 0 | 0 | 2 | 2 | 27.72 | 26.17 |
2.4 | к | л | 34 | 34 | 0 | 0 | 1 | 1 | 5 | 5 | 4 | 4 | 0 | 0 | 1 | 1 | 0 | 0 | 2 | 2 | 27.72 | 26.17 |
2.5 | м | н | 34 | 34 | 0 | 0 | 29 | 1 | 5 | 5 | 4 | 4 | 0 | 0 | 1 | 1 | 0 | 0 | 3 | 3 | 27.72 | 26.17 |
2.6 | о | П | 34 | 34 | 0 | 0 | 1 | 1 | 5 | 5 | 4 | 4 | 0 | 0 | 1 | 1 | 0 | 0 | 3 | 3 | 27.72 | 26.17 |
Продолжение таблицы 9.1
N п/п | Станция начала участка | Станция конца участка | Максимально возможный коэффициент пакетности на перегоне | Межпоездной интервал, мин. | Продолжительность технологического "окна", мин. | Период графика, мин. | Время хода грузовых поездов по перегонам в соответствии с тяговыми расчетами, мин. | Время хода пассажирских поездов по перегонам в соответствии с тяговыми расчетами, мин. | Время на разгон и замедление, мин. | Станционные интервалы, мин. |
Туда | Обратно | Туда | Обратно | Туда | Обратно | Станция начала перегона | Станция конца перегона |
1 | 2 | 3 | 22 | 23 | 24 | 25 | 26 | 27 | 28 | 29 | 30 | 31 | 32 | 33 |
& 1 | & А | & Г | & | & | & | & | & | & | & | & | & | & | & | & |
1.1 | А | б | 0.0 | 8 | 8 | 150 | | 28 | 22 | 20 | 18 | 7 | | |
1.2 | в | Г | 0.0 | 8 | 8 | 150 | | 13 | 10 | 8 | 8 | 10 | | |
& 2 | & Г | & П | & | & | & | & | & | & | & | & | & | & | & | & |
2.1 | Г | д | 0.0 | 8 | 8 | 150 | | 20 | 20 | 16 | 16 | 4 | | |
2.2 | е | ж | 0.0 | 8 | 8 | 90 | 20 | 4 | 6 | 3 | 4 | 4 | 3 | 2 |
2.3 | з | и | 0.0 | 8 | 8 | 90 | | 15 | 16 | 12 | 12 | 5 | | |
2.4 | к | л | 0.0 | 8 | 8 | 150 | | 24 | 19 | 16 | 15 | 5 | | |
2.5 | м | н | 0.0 | 8 | 8 | 150 | | 28 | 30 | 20 | 19 | 5 | | |
2.6 | о | П | 0.0 | 8 | 8 | 150 | | 29 | 30 | 22 | 21 | 6 | | |
Таблица 9.2
Результаты расчета пропускной способности
перегонов и станций
N п/п | Станция начала участка | Станция конца участка | Пропускная способность перегонов при параллельном графике | Пропускная способность перегонов при непараллельном графике | Коэффициент заполнения пропускной способности перегонов | Пропускная способность станций | Наименование элемента ограничивающего пропускную способность станций | Коэффициент заполнения пропускной способности ограничивающего элемента по станциям |
Туда | Обратно | Грузовых поездов | Пассажирских поездов | Грузовых поездов | Пассажирских поездов |
Туда | Обратно | Туда | Обратно | Туда | Обратно | Туда | Обратно |
1 | 2 | 3 | 34 | 35 | 36 | 37 | 38 | 39 | 40 | 41 | 42 | 43 | 44 | 45 | 46 |
& 1 | & А | & Г | & 154 | & 154 | & 139 | & 140 | & 12 | & 12 | & 0.23 | & 45 | & 45 | & 9 | & 9 | & Стрелочная горловина N чет станции А | & 0.579 |
1.1 | А | б | 154 | 154 | 139 | 140 | 12 | 12 | 0.23 | | | | | | |
1.2 | в | Г | 154 | 154 | 139 | 140 | 12 | 12 | 0.23 | | | | | | |
& 2 | & Г | & П | & 64 | & 64 | & 44 | & 45 | & 12 | & 12 | & 0.74 | & 64 | & 62 | & 12 | & 12 | & Стрелочная горловина N чет станции Г | & 0.442 |
2.1 | Г | д | 153 | 153 | 126 | 126 | 12 | 12 | 0.36 | | | | | | |
2.2 | е | ж | 64 | 64 | 44 | 45 | 12 | 12 | 0.74 | | | | | | |
2.3 | з | и | 64 | 64 | 44 | 45 | 12 | 12 | 0.74 | | | | | | |
2.4 | к | л | 153 | 153 | 126 | 126 | 12 | 12 | 0.36 | | | | | | |
2.5 | м | н | 153 | 153 | 95 | 124 | 13 | 13 | 0.56 | | | | | | |
2.6 | о | П | 153 | 153 | 123 | 124 | 13 | 13 | 0.38 | | | | | | |
Таблица 9.3
Результаты расчета пропускной способности
по устройствам тягового электроснабжения
N п/п | Станция начала участка | Станция конца участка | Пропускная способность устройств тягового электроснабжения |
Пропускная способность устройств тягового электроснабжения в нормальном режиме (режим А) | Пропускная способность устройств тягового электроснабжения в режиме интенсивной работы (режим Б) |
Грузовых поездов | Пассажирских поездов | Ограничивающий элемент по устройствам тягового электроснабжения | Коэффициент заполнения пропускной способности ограничивающего элемента по устройствам тягового электроснабжения | Грузовых поездов | Пассажирских поездов | Ограничивающий элемент по устройствам тягового электроснабжения | Коэффициент заполнения пропускной способности ограничивающего элемента по устройствам тягового электроснабжения |
Туда | Обратно | Туда | Обратно | Туда | Обратно | Туда | Обратно |
1 | 2 | 3 | 47 | 48 | 49 | 50 | 51 | 52 | 53 | 54 | 55 | 56 | 57 | 58 |
& 1 | & А | & Г | & 104 | & 103 | & 11 | & 11 | & Тяг. подст.: А | & 0.30 | & 115 | & 114 | & 11 | & 11 | & --- | & 0.27 |
& 2 | & Г | & П | & 61 | & 60 | & 12 | & 12 | & Тяг. подст.: Г Конт. сеть: Г-П | & 0.63 | & 85 | & 84 | & 12 | & 12 | & --- | & 0.50 |
Таблица 9.4
Результаты расчета пропускной способности по деповским
и экипировочным устройствам и результирующие значения
N п/п | Станция начала участка | Станция конца участка | Пропускная способность деповских и экипировочных устройств | Ограничивающий элемент по деповским и экипировочным устройства | Коэффициент заполнения пропускной способности ограничивающего элемента по деповским и экипировочным устройствам | Результирующая пропускная способность по расчетному участку | Наименование устройств ограничивающих пропускную способность расчетного участка | Результативный коэффициент заполнения пропускной способности устройств ограничивающих пропускную способность расчетного участка | Примечание |
Грузовых поездов | Пассажирских поездов | Грузовых поездов | Пассажирских поездов |
Туда | Обратно | Туда | Обратно | Туда | Обратно | Туда | Обратно |
1 | 2 | 3 | 59 | 60 | 61 | 62 | 63 | 64 | 65 | 66 | 67 | 68 | 69 | 70 | 71 |
& 1 | & А | & Г | & 54 | & 52 | & 9 | & 9 | & Стойла ТР-1, ТР2, НР депо А | & 0,57 | & 45 | & 45 | & 9 | & 9 | & Стрелочная горловина N чет станции А | & 0.579 | & |
& 2 | & Г | & П | & 54 | & 52 | & 12 | & 12 | & Стойла ТР-1, ТР2, НР депо А | & 0,57 | & 44 | & 45 | & 12 | & 12 | & Перегон е-ж | & 0.74 | & |
Форма N 2ЦД, ТЭ, ЦТ, ЦЭКР
УТВЕРЖДАЮ
Начальник __________ ж.д.
_______________________
"___" ___________ 20___ г.
мероприятий, необходимых для повышения пропускной
способности _____ ж.д. по состоянию на "__" ____ 20__ г. <*>
N п/п | Наименование расчетного участка, железнодорожной станции, межподстанционной зоны или прочего объекта инфраструктуры | Потребные на 20__ г. размеры движения | Пропускная способность | Ограничивающие факторы | | Имеется ли проект | Ориентировочная стоимость работ, млн. рублей | Примечание |
по расчету на "__" ____ 20__ г. | заданная или потребная на "__" ____ 20__ г. |
| |
1 | 2 | 3 | 4 | 5 | 6 | 7 | 8 | 9 | 10 | 11 |
| | | | | | | | | | |
Главный инженер железной дороги _____________________________________
Начальник дирекции управления движением _____________________________
Начальник дирекции по энергообеспечению _____________________________
Начальник дирекции тяги _____________________________________________
Начальник дирекции инфраструктуры ___________________________________
Начальник финансовой службы _________________________________________
--------------------------------
<*> В
графе 2 сначала вносятся сведения об основных направлениях дороги, затем - об остальных линиях. Расчетные участки располагаются в порядке следования по нечетному направлению.
В
графах 3 и
4 потребные размеры движения устанавливаются дирекцией управления движением.
В
графе 5 в числителе проставляются допустимые размеры работы по приемоотправочным путям, горловинам, в скобках - по сортировочным устройствам железнодорожной станции в нечетном направлении, в знаменателе - аналогичные данные в четном направлении. Допустимые размеры работы определяются в соответствии с
подразделом 6.10 настоящей Инструкции.
В
графе 8 мероприятия вносятся в ведомость для каждого расчетного участка комплексно по следующим объектам: перегонам, железнодорожным станциям, устройствам электроснабжения, деповским и экипировочным устройствам, устройствам водоснабжения.
Подробное описание мероприятий приводится в пояснительной записке.
Ведомость расчета пропускной способности
по перегонам при параллельном графике
___________________________ ж.д.
По состоянию на __________ 20 г.
N п/п | Наименование направления, расчетного участка и перегона в порядке следования по нечетному направлению (по участкам) | Длина перегонов, км | Время хода по перегонам, мин. | Станционные интервалы, мин. | Время на разгон и замедление, мин. | Интервал между поездами в пакете, мин. | Период непакетного графика, мин. | Коэффициент пакетности на перегоне | Период частично-пакетного графика, мин. | Пропускная способность перегонов |
| | | по станции Б |
1 | 2 | 3 | 4 | 5 | 6 | 7 | 8 | 9 | 10 | 11 | 12 | 13 |
| | | | | | | | | | | | |
Примечания:
1. К
графе 2. В начале заносятся сведения об основных направлениях дороги, затем - об остальных линиях. Расчетные участки располагаются в порядке следования по нечетному направлению. Перегоны, имеющие закрытые раздельные пункты, заносятся в ведомость и рассчитываются два раза: в начале при закрытых раздельных пунктах, затем при их открытии. Строчки, относящиеся к расчету при открытии закрытых ранее раздельных пунктов, берутся в рамку.
2. К
графам 4 и
5. Указывается время хода поездов по перегону без учета времени на разгон и замедление.
3. К
графам 6 -
8. Указываются станционные интервалы и время на разгон и замедление при схеме пропуска поездов, обеспечивающей наименьший период графика. Интервал по станции А для данного перегона относится к первому по записи раздельному пункту, интервал по станции Б - ко второму.
4. К
графе 13. Пропускная способность показывается отдельно по каждому направлению.
В строке напротив наименования расчетных участков показываются: серия локомотива, норма массы грузовых поездов
Q, установленная длина состава
вс, принятые к расчету коэффициенты непарности

и пропускная способность расчетного участка по перегонам при действующих раздельных пунктах
nд и при открытии закрытых
nо. Данные отображаются по направлениям.
Ведомость расчета пропускной способности по перегонам
при непараллельном графике
____________________ ж.д.
По состоянию на ____________ 20 г.
N п.п. | Наименование расчетного участка | Длина участка, км | По действующему графику | Пропускная способность при параллельном графике |
Период графика или межпоездной интервал, мин. | Коэффициент пакетности | Размеры движения поездов |
грузовых | в том числе | пассажирских | |
| | со среднеходовой скоростью до 140 км/ч | со среднеходовой скоростью более 140 км/ч |
1 | 2 | 3 | 4 | 5 | 6 | 7 | 8 | 9 | 10 | 11 | 12 |
| | | | | | | | | | | |
Продолжение
По расчету | Пропускная способность при непараллельном графике (грузовых; пассажирских) |
Коэффициент пакетности | Коэффициенты съема | Приведенные размеры движения | Всего грузовых (включая сборные и ускоренные) |
| ускоренных | пассажирских | | | ускоренных | пассажирских | |
со среднеходовой скоростью до 140 км/ч | со среднеходовой скоростью более 140 км/ч | со среднеходовой скоростью до 140 км/ч | со среднеходовой скоростью более 140 км/ч |
13 | 14 | 15 | 16 | 17 | 18 | 19 | 20 | 21 | 22 | 23 | 24 | 25 |
| | | | | | | | | | | | |
Примечания:
1. К
графе 2. В начале заносятся сведения о основных направлениях дороги, затем - об остальных линиях. После наименования расчетных участков приводится в скобках наименование ограничивающих перегонов.
2. К
графам 19 -
23. Приведенные размеры движения определяются перемножением физического числа поездов (
графы 7 -
11) на соответствующий коэффициент съема (
графы 14 -
18).
3. К
графе 24. Общее число грузовых поездов определяется как разность между пропускной способностью при параллельном графике
(графа 12) и суммарными приведенными размерами движения (сумма по
графам 19 -
23) с добавлением физического числа сборных и ускоренных поездов (сумма по
графам 7 -
8).
4. К
графе 25. Пропускная способность при непараллельном графике заносится в виде двух слагаемых, первое из которых - общее число грузовых
(графа 24), а второе - пассажирских (сумма по
графам 9 -
11) - поездов,
n +
nпс.
Ведомость вместимости путевого развития станций
___________________________ ж.д.
По состоянию на __________ 20 г.
N п.п. | | Тип станции | Вместимость станции (в поездах/вагонах) | Примечание |
| в том числе |
| сортировочных и сортировочно-отправочных путей |
1 | 2 | 3 | 4 | 5 | 6 | 7 |
| | | | | | |
Примечания:
1. В
графе 2 станции располагаются в порядке следования в нечетном направлении; в начале заносятся сведения для основных направлений дороги, затем - для остальных.
2. В
графу 4 ведомости вносится общая вместимость приемоотправочных, сортировочных, погрузочно-выгрузочных и других путей, за исключением следующих: главных путей, вытяжных, ходовых и деповских, путей для хозяйственных нужд дороги, ремонтных, путей для обеспечения безопасности движения (предохранительные тупики и др.). Вместимость железнодорожных путей необщего пользования указывается отдельно (в основном для мест погрузки, выгрузки).
Вместимость станции выражается в условных вагонах (длина условного вагона принимается 14 м) и в поездах.
3. Вместимость приемоотправочных путей определяется по длине составов, установленной графиком движения поездов.
Если полезная длина путей приемоотправочного парка меньше установленной длины составов, то вместимость парка в поездах равна наибольшему числу поездов установленной длины, которые одновременно могут находиться на всех приемоотправочных путях. Вместимость в вагонах при этом принимается в соответствии с полезной длиной этих путей (за вычетом длины локомотива).
4. Вместимость путей для погрузки, выгрузки, сортировки, перегрузки и экипировки изотермического подвижного состава учитывается по местам погрузки, выгрузки. Сортировочные пути входят во вместимость в размере 40% своей полезной длины.
5. При разном составе поездов вместимость в
графе 5 дается в средневзвешенных поездах.
6. В тех случаях, когда тот или иной путь имеет смешанное назначение, его вместимость учитывается по основному назначению.
В ведомость вносятся все станции, за исключением промежуточных и пассажирских.
Ведомость длин приемоотправочных путей раздельных пунктов
___________________________ ж.д.
По состоянию на __________ 20 г.
N п.п. | | Характер работы станции и класс | Пути, специализированные для поездов в направлениях | |
нечетном | четном | обоих |
Номера путей | Полезная длина путей, м | Номера путей | Полезная длина путей, м | Номера путей | Полезная длина путей, м |
1 | 2 | 3 | 4 | 5 | 6 | 7 | 8 | 9 | 10 |
Примечания:
1. В
графе 2 раздельные пункты располагаются в порядке следования в нечетном направлении; в начале заносятся сведения для основных направлений дороги, затем - для остальных.
2. Данные о полезной длине приемоотправочных путей приводятся по всем раздельным пунктам, имеющим путевое развитие.
3. По станциям, имеющим отдельные парки, длины приемоотправочных путей указываются отдельно по паркам с указанием специализации по направлениям.
4. При отправлении поездов полностью или частично непосредственно с путей сортировочного парка в ведомость заносятся сведения также и о сортировочно-отправочных путях.
5. Раздельные пункты заносятся в ведомость в порядке, принятом для
формы N 3ЦД.
6. В
графе 10 указывается наличие утвержденных проектов на удлинение путей, указываются объекты, находящиеся в строительстве и длина путей, достигаемая после окончания работ.
Сводная ведомость пропускной и перерабатывающей
способности станций
___________________________ ж.д.
По состоянию на __________ 20 г.
N п.п. | | Тип станции | Обслуживание стрелок | Направление | Прием или отправление | Пропускная способность |
Наименование | Нечетное или четное | путей | горловин |
Число путей | | Номера стрелок | |
1 | 2 | 3 | 4 | 5 | 6 | 7 | 8 | 9 | 10 | 11 |
| | | | | | | | | | |
Продолжение
Пропускная способность | Перерабатывающая способность | Примечание |
результирующая по станции | горок | вытяжек | результирующая по станции |
По каким устройствам | | Наименование | | Наименование | | Наименование устройства | |
12 | 13 | 14 | 15 | 16 | 17 | 18 | 19 | 20 |
| | | | | | | | |
Из _____________ По приему (или расформированию)
На _____________ По отправлению (или формированию)
Из _____________ По приему (или расформированию)
На _____________ По отправлению (или формированию)
Примечания:
1. В
графе 2 станции располагаются в порядке следования в нечетном направлении; в начале заносятся сведения для основных направлений дороги, затем - для остальных.
2. В прием включаются расформировываемые и транзитные без переработки поезда, а в отправление - поезда своего формирования и транзитные без переработки.
Сводная ведомость перерабатывающей способности
грузовых станций
____________________________ ж.д.
По состоянию на ____________ 20 г.
N п.п. | | Наименование и характеристика погрузочных, выгрузочных и перегрузочных устройств станции | Перерабатывающая способность, физические вагоны, по родам грузов | Примечание |
Погрузка | Выгрузка | Перегрузка |
| | | | | | | | | | | |
1 | 2 | 3 | 4 | 5 | 6 | 7 | 8 | 9 | 10 | 11 | 12 | 13 | 14 | 15 | 16 |
| | | | | | | | | | | | | | | |
Итого по станции:
Примечания:
1. В
графе 2 станции располагаются в порядке следования в нечетном направлении; в начале заносятся сведения для основных направлений, затем - для остальных.
2. В
графе 3 показывается длина, ширина и высота устройства и расположение относительно железнодорожного пути - боковое, торцовое.
Ведомость строящихся объектов,
учтенных при расчете пропускной способности
___________________________ ж.д.
По состоянию на ____________ 20 г.
N п/п | Мероприятия | Наименование расчетных участков, перегонов и станций на которых ожидается ввод объектов в эксплуатацию | Титул/название проекта | Регламентирующие документы | Примечание |
1 | 2 | 3 | 4 | 5 | 6 |
| | | | | |
В форму должны быть включены строящиеся объекты, сдача в эксплуатацию которых планируется на период до 31 декабря текущего года.
Примечание. В
графе 3 объекты располагаются в порядке следования в нечетном направлении; в начале заносятся сведения для основных направлений, затем - для остальных.
Ведомость длительных предупреждений об ограничении
скорости движения поездов по состоянию пути
и искусственным сооружениям
___________________________ ж.д.
По состоянию на __________ 20 г.
N п.п. | Место, где установлено ограничение скорости: перегон, километр, искусственное сооружение, станции | Допускаемая скорость движения поездов, км/ч | Увеличение время хода по перегону из-за уменьшения скорости, мин. | Причины установления ограничения скорости и необходимые мероприятия для снятия предупреждений | Когда предполагается снять предупреждение | Примечание |
нечетных | четных |
1 | 2 | 3 | 4 | 5 | 6 | 7 | 8 |
| | | | | | | |
Примечание. В
графе 2 в начале заносятся сведения об основных направлениях дороги, затем - об остальных линиях в порядке следования в нечетном направлении.
Ведомость наличия железнодорожных путей необщего
пользования, примыкающих к главным путям на перегонах
___________________________ ж.д.
По состоянию на ____________ 20 г.
N п.п. | Место примыкания (перегон, километр, к какому главному пути) | Средства связи по движению поездов | Расстояние примыкания от смежных раздельных пунктов в направлении, км | Кому принадлежит примыкание и какое предприятие обслуживает | Число подач вагонов в среднем за сутки максимального месяца 20... г. | С какой станции производится подача вагонов на железнодорожный путь необщего пользования, чьим локомотивом и какой серии |
по перегону | по подаче вагонов на путь необщего пользования (тупик) |
нечетном | четном |
1 | 2 | 3 | 4 | 5 | 6 | 7 | 8 | 9 |
| | | | | | | | |
Продолжение
Имеется ли в пункте примыкания вспомогательный пост и кто его обслуживает | Профиль и план главного пути в месте примыкания | Профиль и план железнодорожного пути необщего пользования | Наличие в пункте примыкания предохранительного тупика | Возможность постройки в пункте примыкания раздельного пункта | Возможность переноса примыкания на станцию (какую) | Примечание |
Длина подъездного пути, км | Руководящий уклон, % | Минимальный радиус кривой, м |
Уклон, % | Кривая |
10 | 11 | 12 | 13 | 14 | 15 | 16 | 17 | 18 | 19 |
| | | | | | | | | |
Примечание. В
графе 2 в начале заносятся сведения об основных направлениях дороги, затем - об остальных линиях в порядке следования в нечетном направлении.
Форма N 11ЦД, ТЭ, ЦТ, ЦЭКР
Ведомость состояния закрытых сооружений и устройств
___________________________ ж.д.
По состоянию на ____________ 20 г.
N п.п. | Местонахождение сооружения или устройства (расчетный участок, перегон, километр, станция) | Наименование закрытого сооружения или устройства | Техническое состояние сооружения или устройства (какие сооружения и устройства имеются, их состояние, какие работы требуется произвести для подготовки этих сооружений и устройств к эксплуатации) | Эксплуатация устройств Примерная стоимость, тыс. руб. | Через сколько времени может быть открыто | Пропускная способность | Примечание |
без учета закрытого сооружения или устройства | с учетом открытия закрытого сооружения или устройства |
1 | 2 | 3 | 4 | 5 | 6 | 7 | 8 | 9 |
| | | | | | | | |
Закрытые сооружения и устройства (раздельные пункты обходы, отдельные парки и пути на станциях, ветви, пункты водоснабжения, депо и отдельные цехи и др. в нечетном направлении в первую очередь для основных направлений дороги, затем для остальных направлений) учитываются в следующем порядке:
1) сооружения и устройства, которые по своему техническому состоянию могут быть введены в эксплуатацию в течение 24 ч;
2) сооружения и устройства, которые по своему техническому состоянию не могут быть введены в эксплуатацию в течение 24 ч, но не требуют больших работ для подготовки к эксплуатации;
3) сооружения и устройства, которые требуют производства больших работ для подготовки к эксплуатации;
4) в
графе 4 для характеристики состояния закрытых раздельных пунктов должно быть указано: в каком направлении может быть открыт пункт (в четном или нечетном), число разъездных или обгонных путей и полезная длина каждого пути, какое имеется здание раздельного пункта и его состояние, наличие и состояние устройства связи и СЦБ.
В данной ведомости не показываются сооружения и устройства, которые на момент расчета закрыты в связи с их ремонтом.
Исходные данные для расчета пропускной способности
________________________ парка
станции __________________________ ж.д.
Направление движения | Характеристика подхода (выхода) | Число грузовых поездов (без сборных) | Время занятия пути грузовым поездом (без сборных), мин. | nпс (в том числе nприг) | nсб, nускор | I | | d | | | Номер подхода (выхода) |
1 | 2 | 3 | 4 | 5 | 6 | 7 | 8 | 9 | 10 | 11 | 12 |
| | | | | | | | | | | |
передвижений, совершаемых по ____________ горловине станции
___________________________ ж.д.
Маршрут (передвижения) | Номера стрелок, участвующих в маршруте | Продолжительность занятия маршрута одной операцией  , мин. | Число операций по маршруту n' | Продолжительность занятия маршрута всеми операциями  , мин | Номера маршрутов | Элементы, в которые входят стрелки, участвующие в маршруте |
расчетного элемента | остальных элементов |
изменяющимися | постоянными |
1 | 2 | 3 | 4 | 5 | 6 | 7 | 8 | 9 |
| | | | | | | | |
о пропускной и перерабатывающей способности станции
___________________________ ж.д.
Операция и коэффициент использования | Направление движения | Пропускная способность | Перерабатывающая способность |
| | результативная | горки | | |
| | | | | | | | | | | | всего |
1 | 2 | 3 | 4 | 5 | 6 | 7 | 8 | 9 | 10 |
Прием расформируемых поездов (расформирование) | | | | | | | | | | | | | | | | |
Прием и отправление транзитных поездов | | | | | | | | | | | - | - | - | - | - | - |
| | | | | | | | | | - | - | - | - | - | - |
| | | | | | | | | | - | - | - | - | - | - |
Отправление поездов своего формирования (формирование) | | | | | | | | | | | - | | | | | |
| | | | | | | | | | - | | | | | |
| | | | | | | | | | - | | | | | |
Коэффициент использования пропускной (перерабатывающей) способности | | | | | | | | - | - | - | | | | | - | - |
Примечания:
1. Пропускная способность указывается в грузовых поездах (в том числе сборных и ускоренных) с учетом заданного числа пассажирских поездов (в том числе пригородных), которое отображается только по приему расформируемых поездов и отправлению поездов своего формирования. При этом для очередного рассчитанного парка пассажирские и сборные поезда рассматриваемого направления движения учитываются только в том случае, если они не были учтены для какого-либо предыдущего парка в этом же направлении движения.
2. Если поезда своего формирования отправляются с сортировочно-отправочных путей, то пропускная способность горловины по отправлению таких поездов указывается не только в
графе 4, но и в
последнем столбце графы 3.
3. Когда одно и то же сортировочное устройство (например, вытяжной путь безгорочной станции) используется и для расформирования, и для формирования составов поездов, то его перерабатывающая способность должна быть показана в
графе 9 и по расформированию, и по формированию.
4. На двусторонней сортировочной станции таблица составляется отдельно для каждой системы; на односторонней станции в парках приема и отправления могут быть выделены группы путей отдельно для нечетных и отдельно для четных поездов.
5. Если число направлений движения, например, транзитных поездов больше шести, то для них можно занять свободные строки по приему расформируемых поездов или отправлению поездов своего формирования.
9.3. Примерное содержание пояснительной записки к расчету пропускной способности участков по перегонам
В пояснительной записке по перегонам указываются особенности данного расчетного участка и условия его эксплуатации (в дополнение данных по
формам N 3ЦД и
N 4ЦД). При этом отражаются: действующая система полуавтоматической блокировки, наличие улавливающих тупиков на перегонах, вынос жезловых аппаратов в горловины станций, применение жезлообменивателей, дисков сквозного прохода и др. Для сложных условий эксплуатации (сплетение путей, негабаритные тоннели, большие мосты, паромные переправы, совмещение нормальной и западноевропейской колеи, участки с толканием и др.) в записке должны быть приведены подробные расчеты и схемы. Кроме того, требуется указать наличие обвальных, оползневых, подмываемых, сильно заносимых мест, на которых имели место перерывы в движении поездов.
При наличии интервального регулирования движения поездов освещаются условия для расчетных интервалов в пакете или безостановочных скрещений поездов как по перегонам, так и по станциям. В записке указываются участки обращения вывозных и передаточных поездов, местных замкнутых маршрутов из специального подвижного состава.
Для усиления пропускной способности расчетных участков по перегонам, помимо мероприятий, указываемых по
форме N 2ЦД, в пояснительной записке необходимо отразить организационно-технические меры, которые могут быть осуществлены на ограничивающих перегонах в короткий срок без больших капитальных вложений: открытие постов, вынос жезловых аппаратов в горловины станций, перенос отдельных сигналов, укладка параллельных съездов, изолирование маршрутов для маневровой работы от приема и отправления поездов, секционирование маршрутов, изменение технологии подталкивания, увеличение пакетности движения и др.
В записке поясняются также причины основных изменений пропускной способности направлений по сравнению с предыдущим расчетом.
9.4. Примерное содержание пояснительной записки к расчету пропускной способности путевого развития железнодорожной станции
I. Характеристика работы станции
1) Станция .............................. по характеру работы является (грузовой, сортировочной, участковой, пассажирской), ....... класса.
2) Станция выполняет по пассажирскому и грузовому движению следующие операции (перечисляются операции по пропуску пассажирских и пригородных поездов, операции по пропуску и обработке грузовых поездов в соответствии с планом формирования и др.).
3) В узлах (технологически связанных между собой железнодорожных станций, главных путей, соединительных и обходных путей, подъездных путей, постов в пунктах примыкания, путепроводных развязок железнодорожных линий между собой и с городскими магистралями и автодорогами, вокзалов, депо, тяговых подстанций и т.п, находящийся в пункте пересечения или примыкания не менее трех железнодорожных линий) при наличии нескольких станций приводятся специализация и характеристика работы каждой станции и их взаимодействие между собой.
4) Станция имеет подходы:
Наименование подхода | Число главных путей | Расчетный подъем,  | Серия локомотивов | Норма массы грузовых поездов нечетных ------------ четных | Средства связи при движении поездов |
| | | | | |
5) К станционным путям примыкают железнодорожные пути необщего пользования:
Наименование железнодорожного пути необщего пользования и в чьем ведении находится | К какому пути примыкает и номер стрелки примыкания | Протяженность железнодорожного пути необщего пользования, км | Число подач в сутки | Грузооборот железнодорожного пути необщего пользования в сутки |
| | | | |
6) Станция обслуживает железнодорожные пути необщего пользования, примыкающие на перегонах:
Наименование железнодорожного пути необщего пользования и в чьем ведении находится | Протяженность примыкания (км) | Устройства СЦБ и связи в пункте примыкания | Протяженность железнодорожного пути необщего пользования, км | Число подач в сутки | Грузооборот железнодорожного пути необщего пользования в сутки |
| | | | | |
Далее приводятся схемы примыкания железнодорожных путей необщего пользования на перегонах и излагается порядок их обслуживания.
7) Обслуживание поездов локомотивами на прилегающих к станции участках:
а) пассажирское движение
Участок | "____________" | локомотивное депо | "____________" |
"____________" | "____________" |
"____________" | "____________" |
б) грузовое движение
Участок | "____________" | локомотивное депо | "____________" |
"____________" | "____________" |
"____________" | "____________" |
8) Имеются следующие устройства для экипировки локомотивов на путях станции (указать местоположение этих устройств).
9) Станция имеет следующие приемоотправочные парки или группы приемоотправочных путей:
Наименование парка или группы путей | Номера путей | Наименование каждого пути | Полезная длина, м |
| | | |
10) Станция имеет следующие устройства для расформирования и формирования поездов:
Наименование устройства (автоматизированная, механизированная, немеханизированная горка, вытяжка) | Наименование направлений работы |
| |
Далее указываются основные данные по каждому виду устройств (число путей надвига и число путей роспуска через вершину горки, число путей в подгорочном парке, полезная длина вытяжек), а также число локомотивов, обслуживающих эти устройства.
11) Станция имеет следующие грузовые и перегрузочные устройства:
Наименование устройства и их характеристика (длина, ширина и высота устройства, расположение относительно железнодорожного пути - торцовое, боковое) | Номер пути | Фронт | Грузооборот в сутки | Число подач в сутки |
м | условные вагоны |
| | | | | |
12) Станция имеет следующие стрелочные районы (указываются районы и входящие в них посты, а также способ обслуживания стрелок).
II. Прием и отправление поездов
Наименование направления | Общее число поездов | Род поездов | Число поездов по роду | Пути и парки приема (отправления) поездов | Номера стрелок входящих в маршрут приема (отправления) поездов |
| | | | | |
а) прием поездов;
б) отправление поездов.
Примечание. При наличии поездов с двойной тягой, поездов повышенного массы и соединенных поездов должно быть указано их число.
Нормы на занятие устройств станции
В соответствии с технологическим процессом работы станции расчетные нормы на занятие устройств станции составляют:
а) занятие горловин станции приемом и отправлением поездов
Наименование направления | Общее время на приготовление маршрута, мин. | По приему | По отправлению | Примечание |
| время на проход поездом расстояния, указанного в графе | общее время на прием поезда, мин. | | время на проход поездом расстояния, указанного в графе 6, мин. | общее время на отправление поезда, мин. |
1 | 2 | 3 | 4 | 5 | 6 | 7 | 8 | 9 |
Прием поездов: | | | | | | | | |
из А | | | | | | | | |
" Б | | | | | | | | |
" В | | | | | | | | |
Отправление поездов: | | | | | | | | |
на А | | | | | | | | |
" Б | | | | | | | | |
" В | | | | | | | | |
б) занятие приемоотправочных путей
Наименование операции | Общее время занятия пути, мин. | В том числе |
прием поезда | техническая стоянка (по технологическому процессу) | отправление поезда | уборка состава в сортировочный парк | подача состава из сортировочного в отправочный парк |
1 | 2 | 3 | 4 | 5 | 6 | 7 |
Прием грузовых поездов в расформирование | | | | | | |
Пропуск грузовых Транзитных поездов | | | | | | |
Отправление грузовых поездов своего формирования и т.п. | | | | | | |
в) занятие горловин станции маневровыми передвижениями
Наименование станции | Номера стрелок, участвующих в маршруте | Продолжительность операции |
| | |
г) занятие горок, вытяжек
Наименование устройства | Род поезда | Время на операцию, мин. | Как определено это время |
по формированию одновременно с расформированием поезда | по расформированию поезда | по формированию поезда |
| | | | | |
III. Расчет пропускной и перерабатывающей способности
устройств станции
1) Пропускная и перерабатывающая способность станции рассчитывалась для следующих устройств (указываются устройства станции).
Далее следует расчет указанных устройств в полном соответствии с Инструкцией с заполнением
форм N 12ЦД и
N 13ЦД. Прилагается схема каждой рассчитываемой горловины с указанием объединения стрелок в элементы в соответствии с
подразделом 3.5 настоящей Инструкции.
В соответствии с технологическим процессом работы станции и расчетными размерами движения наиболее загруженными являются ........................ (указываются устройства станции).
2) На основе анализа пропускной способности отдельных устройств результирующая пропускная способность станции характеризуется данными, приведенными в
таблице формы N 14ЦД. При этом в случае, когда результирующая пропускная способность станции устанавливается как сумма по горловинам и паркам, в пояснительной записке приводится ее расчет в соответствии с
подразделом 3.10 настоящей Инструкции.
3) При несоответствии расчетной пропускной способности потребной на одном из направлений производится перераспределение пропускной способности станции.
Для перераспределения пропускной способности станции по направлениям производится дополнительный расчет в той же последовательности и по тем же формулам, что и основной расчет. В этом случае на направлении, по которому расчетная пропускная способность станции выше потребной, потребная пропускная способность принимается за расчетные размеры движения, и при подсчете времени занятия проверяемого устройства операции, связанные с пропуском этих поездов, относятся к числу постоянных (время на их выполнение, например, при расчете пропускной способности путей учитывается в величине

). За счет перевода операций с такими поездами в категорию постоянных операций, по расчетным устройствам станции возникает рост пропускной способности, который определяет дополнительные возможности станционной инфраструктуры по перераспределению поездопотока по требуемому направлению.
Подробный порядок перераспределения пропускной способности станции по подходам изложен в
пункте 3.10.5 настоящей Инструкции.
Выводы
Расчет показал, что устройствами, ограничивающими пропускную способность станции, являются ............... (приводятся эти устройства).
Устройствами, ограничивающими перерабатывающую способность станции, являются ............... (приводятся эти устройства).
При расчете пропускной способности для ее увеличения были проведены следующие организационные мероприятия ............... (дается перечень этих мероприятий).
Дальнейшими мероприятиями по увеличению пропускной способности станции должны быть ............... (дается перечень мероприятий).
Далее указываются эффективность каждого намеченного мероприятия и общие выводы о необходимых работах по дальнейшему усилению путевого развития станции.
В конце пояснительной записки прикладывается немасштабная схема станции с подходами и расположением в правой части схемы нечетной стороны станции, на которой указываются:
ограничивающие площадку уклоноуказатели по каждому направлению;
расстояния до входных сигналов;
нумерация путей и стрелочных переводов.
В узлах приводится схема узла с подходами и путепроводными развязками.
К записке прикладывается инфраструктурная модель станции с
обязательным отображением на ней, с каких подходов следуют поезда всех категорий (см.
рисунок 3.3.1 настоящей Инструкции).
9.5. Порядок выполнения расчетов пропускной способности участков по устройствам электроснабжения и оформления их результатов
Основные исходные данные и результаты расчетов пропускной способности представляются в виде документа "Результаты расчета пропускной способности участков
N-ой железной дороги по устройствам электроснабжения за 20__ год", включающего пояснительную записку, и комплект отчетных
форм N 1ЭП,
N 2ЭП,
N 3ЭП,
N 4ЭП,
N 5ЭП с
титульными листами.
род тока и напряжение системы тягового электроснабжения;
наименования железной дороги и расчетного участка;
отчетный период, к которому относится выполненный расчет;
заданный межпоездной интервал;
краткая характеристика схемы питания и секционирования - наличие включенного резервного оборудования, постов секционирования (ПС) и пунктов параллельного соединения (ППС) контактной сети;
параметры исходного параллельного графика движения по каждому направлению движения - общее количество поездов, в том числе количество грузовых поездов наибольшей массы Qнб и средней массы Qср;
список файлов исходных данных.
Отчетная
форма N 1ЭП содержит основные параметры системы электроснабжения расчетного участка. В
таблице чередуются строки, относящиеся к тяговым подстанциям и питаемым ими межподстанционным зонам. В
первой графе приведены наименования тяговых подстанций и эксплуатационная длина межподстанционных зон в километрах. Примечание "конс." означает, что тяговая сеть межподстанционной зоны получает одностороннее (консольное) питание до указанного граничного объекта, который не является тяговой подстанцией.
Графы 2 -
4 формы N 1ЭП для системы постоянного тока содержат значения суммарной номинальной мощности включенных понижающих, преобразовательных трансформаторов и номинального тока выпрямителей. Множитель "
nx" указывает количество включенных единиц оборудования. Для тяговых подстанций с одноступенчатой трансформацией напряжения, не имеющих понижающих трансформаторов, в
графе 2 записывается "Нет". В
графе 5 приведено значение мощности трехфазного короткого замыкания на вводе тяговой подстанции
Sкз, которым характеризуется нагрузочная способность системы внешнего электроснабжения. Мощность
Sр районной нагрузки и нетяговых потребителей, получающих питание от тех же трансформаторов, что и тяговая нагрузка, представлена в
графе 6.
Графа 7 таблицы содержит информацию о включенных линейных устройствах в межподстанционных зонах. Например, запись "-П-С-" показывает, что в схеме питания и секционирования межподстанционной зоны имеются пост секционирования и пункт параллельного соединения, расположенный между постом секционирования и левой тяговой подстанцией. В остальных графах
таблицы приводятся наименования марок и сечения проводов тяговой сети каждого пути. Символ "%" в марке контактного провода (например, МФ%100) означает, что принятый в расчетах износ этого провода составляет 15% от номинальной площади поперечного сечения.
Аналогичную структуру имеет
вариант формы N 1ЭП для систем переменного тока. В
графе 3 указывается наличие технических средств компенсации реактивной мощности:
устройств поперечной (КУ) компенсации реактивной мощности в левом (л) или правом (п) плече питания тяговой подстанции;
устройств продольной (УПК) компенсации реактивной мощности в левом (л) или правом (п) плече питания или в заземленной фазе "c" понижающего трансформатора (с);
устройств компенсации реактивной мощности на постах секционирования (КУ на ПС).
Для дополнительных проводов тяговой сети переменного тока используются следующие обозначения: "эА-185" - экранирующий провод марки А-185 в тяговой сети с экранированным усиливающим проводом.
При системе электроснабжения переменного тока 2 x 25 кВ с однофазными трансформаторами значения их номинальной мощности в
графе 2 формы N 1ЭП указываются отдельно для левого/правого плеча питания. То же относится и к значениям напряжения холостого хода на шинах тяговой подстанции плеч
(графа 6). В
графе 7 наряду с информацией о наличии линейных объектов приводится количество автотрансформаторных пунктов питания в межподстанционной зоне. Для дополнительных проводов тяговой сети переменного тока используются следующие обозначения, например: "пА-185" - питающий провод марки А-185.
В
форме N 2ЭП представлены результаты расчета допустимых межпоездных интервалов по нагрузочной способности устройств электроснабжения в каждой межподстанционной зоне расчетного участка. Значения, превышающие заданное значение интервала
Jзад, отмечаются знаком "*". В
последней графе приведены результирующие (наибольшие) значения межпоездных интервалов по межподстанционным зонам, а в последней строке - по всему расчетному участку. В вариантах формы N 2ЭП для систем электроснабжения переменного тока:
25 кВ - графа 3 отсутствует;
2 x 25 кВ - в
графе 3 указываются допустимые межпоездные интервалы по нагрузочной способности автотрансформаторов автотрансформаторных пунктов питания.
Форма N 3ЭП содержит
таблицу заданных размеров движения, значения продолжительности технологического "окна" и коэффициентов надежности групп оборудования. Для однопутного участка дополнительно приводится наименование лимитирующего перегона, суммарное время хода по нему
Tхс нечетного и четного поездов, значения станционных интервалов скрещения
Jскр и неодновременного прибытия поездов противоположных направлений
Jнп.
В
форме N 4ЭП приведено наибольшее допустимое количество поездов расчетной категории в нечетном/четном направлениях, ограниченное нагрузкой устройств системы электроснабжения. Количество поездов меньше заданного отмечается знаком "*". В
последней графе приведены результирующие (наименьшие) количества поездов по межподстанционным зонам, а в последней строке - по всему расчетному участку. В
вариантах формы N 4ЭП для систем переменного тока графы аналогичны
форме N 2ЭП. Итоговые данные по суточной пропускной способности участка представлены под таблицей согласно требованиям к
форме N 1ЦД, ТЭ, ЦТ, ЦЭКР. При обращении на расчетном участке соединенных поездов показывается физическое количество поездов. Для однопутного участка пропускная способность приводится отдельно при парном непакетном и парном частично пакетном типах графика движения.
Форма N 5ЭП содержит перечень ограничивающих устройств электроснабжения на тяговых подстанциях и в межподстанционных зонах, нагрузочная способность которых не обеспечивает пропуск поездов с заданным интервалом или лимитирует заданные размеры движения поездов. Эти данные используются для заполнения
графы 20 формы N 1ЦД, ТЭ, ЦТ, ЦЭКР. Принятые обозначения в каждом варианте формы для соответствующей системы электроснабжения приведены под таблицей. В скобках представлены значения коэффициентов использования нагрузочной способности ограничивающих устройств. Эти значения показывают, во сколько раз требуется повысить номинальную мощность трансформаторов и выпрямителей, увеличить допустимый длительный ток тяговой сети или снизить сопротивление системы электроснабжения.
В пояснительной записке должны быть описаны особенности выполнения расчетов, системы внешнего и тягового электроснабжения расчетных участков с указанием, например, года электрификации, количества главных путей, наличия двухпутных (многопутных) вставок, использования кратной тяги в поездах повышенной массы или перечня участков, на которых организовано движение с подталкивающими локомотивами, и прочие характеристики, влияющие на пропускную способность участка, результаты проверочных расчетов в соответствии с
приложением N 5 к настоящей Инструкции.
Результаты расчета пропускной способности
по устройствам тягового электроснабжения
Вид расчета: | | Суточная пропускная способность |
Дорога: Западно-Сибирская Участок: ВХОДНАЯ - КАБАКЛЫ По состоянию на 20 февраля 2018 г. Расчетные параметры: Заданный межпоездной интервал Jзад = 8 мин.; Схема питания: резерв отключен; ПС, ППС включены |
Паралл. график: | 1-й путь неч. 100 п. Qнб = 9 276 (1/4); Qср = 5 283 т; 2-й путь чет. 100 п. Qнб = 7 184 (1/3); Qср = 3 563 т; |
Категория поездов: | неч. | Грузовой 2ВЛ10 |
чет. | Грузовой 2ЭС6 |
Исполнитель: Митрякин Р.А., электромеханик дорожной электротехнической лаборатории Западно-Сибирской дирекции по энергообеспечению, тел. (3812) 44-27-61 |
Результаты расчета пропускной способности
по устройствам тягового электроснабжения
Вид расчета: | | Суточная пропускная способность в режиме интенсивной работы |
Дорога: Восточно-Сибирская Участок: ТАЙШЕТ - НИЖНЕУДИНСК По состоянию на 20 февраля 2018 г. Расчетные параметры: Заданный межпоездной интервал Jзад = 8 мин.; Схема питания: резерв на всех ЭЧЭ; ПС, ППС включены |
Паралл. график: | 1-й путь неч. 100 п. Qнб = 4 392 (1/4); Qср = 1 764 т; 2-й путь чет. 100 п. Qнб = 7 484 (1/3); Qср = 5 988 т; |
Категория поездов: | неч. | Грузовой 3ЭС5К |
чет. | Грузовой 2x2ЭС5К |
Исполнитель: Гладких С.П., старший электромеханик дорожной электротехнической лаборатории Восточно-Сибирской дирекции по энергообеспечению, тел. (3952) 63-26-48 |
Параметры устройств электроснабжения системы
постоянного тока
Наименование тяговой подстанции, длина зоны, км | Суммарная номинальная мощность трансформаторов, ток выпрямителей | Мощн. к.з. на вводе Sкз, МВ·А | | Напряж. холост. хода Uхх, В | Данные межподстанционных зон |
наличие включ. ПС (-С-), ППС (-П-) | марки проводов контактной сети пути |
| преобр., МВ·А | | первого | второго |
1 | 2 | 3 | 4 | 5 | 6 | 7 | 8 | 9 | 10 |
Западная | 20,0 | 11,4 (12п) | 3 150 | 2 650 | 3,40 | 3 600 | - | - | - |
13,5 | - | - | - | - | - | - | -С- | М-120+2МФ%100 | М-120+2МФ%100+А-185 |
Багрово | Нет | 2 x 6,3 | 3 000 | 345 | - | 3 550 | - | - | - |
11,0 | - | - | - | - | - | - | -П-С-П- | М-120+2МФ%100+А-185 М-120+2МФ%100 | М-120+2МФ%100 |
Обручево | 20,0 | 11,4 (12п) | 3 150 | 1 160 | 1,17 | 3 600 | - | - | - |
... | ... | ... | ... | ... | ... | ... | ... | ... | ... |
Харитоново | 20,0 | 11,4 (12п) | 3 150 | 574 | 5,43 | 3 600 | - | - | - |
6,9 | - | - | - | - | - | - | -П-С- | М-120+2МФ%100+А-185 | М-120+2МФ%100+А-185 |
Восточная (конс.) | - | - | - | - | - | - | - | - | - |
Параметры устройств электроснабжения системы
переменного тока 25 кВ (2 x 25 кВ)
Наименование тяговой подстанции, длина зоны, км | Суммарная номин. мощность тр-ров, МВ·А (лев./прав.) | Наличие КУ и УПК (л, п - в левом, правом плече, с - в фазе c) | Мощн. к.з. на вводе Sкз, МВ·А | Район. нагрузка Sр, МВ·А | Напряж. холост. хода Uхх, кВ | Данные межподстанционных зон |
наличие включенных ПС (-С-), ППС (-П-), колич. АТП | марки проводов тяговой сети пути |
первого | второго |
1 | 2 | 3 | 4 | 5 | 6 | 7 | 8 | 9 |
Нечаевская | 25/25 | - | 1 380 | 2,46 | 27,5/28,0 | - | - | - |
61,3 | - | - | - | - | - | -С- 3АТП | ПБСМ-95+МФ-100+пА-185 | ПБСМ-95+МФ-100+пА-185 |
Терехово | 25/2 x 25 | - | 846 | 3,87 | 28,0/27,5 | - | - | - |
56,3 | - | КУ на ПС | - | - | - | -С- 3АТП | ПБСМ-95+МФ-100+пА-185 | ПБСМ-95+МФ-100+пА-185 |
Зареченск | 25/25 | - | 1 730 | - | 27,5/27,5 | - | - | - |
35,2 | - | - | - | - | - | -П- | ПБСМ-95+МФ-100+пА-185 | ПБСМ-95+МФ-100+пА-185 |
Пересветово | 40 | - | 1 000 | 3,20 | 27,5 | - | - | - |
57,8 | - | - | - | - | - | -С- 5АТП | ПБСМ-95+МФ-100+пА-185 | ПБСМ-95+МФ-100+пА-185 |
Жданово | 40 | УПКл | 2 159 | 4,22 | 27,5 | - | - | - |
Допустимые межпоездные интервалы (система постоянного тока)
Наименование межподстанционной зоны | Значение интервала, мин., ограниченное | |
мощностью пониж. тр-ров | мощностью преобр. тр-ров | мощностью выпрямителей | напряжением в тяг. сети | нагревом проводов тяг. сети |
1 | 2 | 3 | 4 | 5 | 6 | 7 |
Западная - Багрово | | 7 | 7 | 6 | 7 | |
Багрово - Обручево | - | | | 7 | | |
... | ... | ... | ... | ... | ... | ... |
Харитоново - Восточная (конс.) | 6 | | | 6 | 6 | |
Западная - Восточная | | | | 7 | | |
--------------------------------
<*> Значение больше заданного
Допустимые межпоездные интервалы
(система переменного тока 25 кВ)
Наименование межподстанционной зоны | Значение интервала, мин., ограниченное | Результирующее значение |
мощностью пониж. тр-ров | напряжением в тяг. сети | нагревом проводов тяг. сети |
1 | 2 | 5 | 6 | 7 |
Нечаевская - Терехово | | 6 | 7 | |
Терехово - Зареченск | 8 | 7 | 6 | 8 |
... | ... | ... | ... | ... |
Пересветово - Жданово | 8 | 6 | 6 | 8 |
Западная - Восточная | | 7 | 7 | |
--------------------------------
<*> Значение больше заданного
Допустимые межпоездные интервалы
(система переменного тока 2 x 25 кВ)
Наименование межподстанционной зоны | Значение интервала, мин., ограниченное | Результирующее значение |
мощностью пониж. тр-ров | | напряжением в тяг. сети | нагревом проводов тяг. сети |
1 | 2 | 3 | 5 | 6 | 7 |
Нечаевская - Терехово | | 7 | 6 | 7 | |
Терехово - Зареченск | | | 7 | 6 | |
... | ... | ... | ... | ... | ... |
Пересветово - Жданово | 6 | | 6 | 6 | |
Западная - Восточная | | | 7 | 7 | |
--------------------------------
<*> Значение больше заданного
Исходные данные для расчета пропускной способности
Продолжительность технологического "окна" Tтех = 150 мин. |
Коэффициенты  надежности: | тяговых подстанций - 0,999; тяговой сети по нагреву - 0,998; по уровню напряжения - 0,997. |
Размеры движения по заданию:
| Нечетное направление | Четное направление |
поездов в сутки | масса, т | коэфф. съема | поездов в сутки | масса, т | коэфф. съема |
Пассажирское | 12 | - | 1,96 | 12 | - | 1,96 |
Пригородное | 6 | - | 1,73 | 6 | - | 1,73 |
Грузовое: наиб. массы | 26 | 6 285 | - | - | - | - |
средней массы | 54 | 4 390 | - | 80 | 3 890 | - |
Всего: груз. + пасс. | 80 + 18 | - | - | 80 + 18 | - | - |
Пропускная способность расчетного участка по устройствам
тягового электроснабжения (система постоянного тока)
Наименование межподстанционной зоны | Число грузовых (пассажирских/пригородных) поездов (неч./чет.) в сутки, ограниченное | |
мощностью пониж. тр-ров | мощностью преобр. тр-ров | мощностью выпрямителей | напряжением в тяг. сети | нагревом проводов тяг. сети |
1 | 2 | 3 | 4 | 5 | 6 | 7 |
Западная - Багрово | 195/195 | 167/167 | 167/167 | 194/194 | 166/166 | 166/166 |
Багрово - Обручево | - | 90/90 | | 166/166 | | |
... | ... | ... | ... | ... | ... | ... |
Харитоново - Восточная (конс.) | 195/195 | 130/130 | 130/130 | 194/194 | 194/194 | 130/130 |
Западная - Восточная | 117/117 | 90/90 | | 166/166 | | |
--------------------------------
<*> Значение меньше заданного
Суточная пропускная способность расчетного участка составляет (груз. + пасс., неч./чет.):
61 + 12/61 + 12, в т.ч. грузовых наибольшей массы 20/20, пригородных 4/4.
Пропускная способность расчетного участка по устройствам
тягового электроснабжения (система переменного тока 25 кВ)
Наименование межподстанционной зоны | Число грузовых (пассажирских/пригородных) поездов (неч./чет.) в сутки, ограниченное | Результирующее значение |
мощностью пониж. тр-ров | напряжением в тяг. сети | нагревом проводов тяг. сети |
1 | 2 | 5 | 6 | 7 |
Нечаевская - Терехово | 81/81 | 116/116 | 174/174 | 81/81 |
Терехово - Зареченск | 95/95 | 131/131 | 174/174 | 95/95 |
... | ... | ... | ... | ... |
Пересветово - Жданово | | 131/131 | 149/149 | |
Западная - Восточная | | 116/116 | 149/149 | |
--------------------------------
<*> Значение меньше заданного
Суточная пропускная способность расчетного участка составляет (груз. + пасс., неч./чет.):
62 + 18/62 + 18, в т.ч. грузовых наибольшей массы 20/20, пригородных 4/4.
Пропускная способность расчетного участка
по устройствам тягового электроснабжения
(система переменного тока 2 x 25 кВ)
Наименование межподстанционной зоны | Число грузовых (пассажирских/пригородных) поездов (неч./чет.) в сутки, ограниченное | Результирующее значение |
мощностью пониж. тр-ров | мощностью автотр-ров | напряжением в тяг. сети | нагревом проводов тяг. сети |
1 | 2 | 3 | 5 | 6 | 7 |
Нечаевская - Терехово | 81/81 | 104/104 | 116/116 | 174/174 | 81/81 |
Терехово - Зареченск | 95/95 | 149/149 | 131/131 | 174/174 | 95/95 |
... | ... | ... | ... | ... | ... |
Пересветово - Жданово | | 174/174 | 131/131 | 149/149 | |
Западная - Восточная | | 104/104 | 116/116 | 149/149 | |
--------------------------------
<*> Значение меньше заданного
Суточная пропускная способность расчетного участка составляет (груз. + пасс., неч./чет.):
62 + 18/62 + 18, в т.ч. грузовых наибольшей массы 20/20, пригородных 4/4.
Ограничивающие устройства тягового электроснабжения
Наименование тяговой подстанции, межподстанционной зоны | Перечень ограничивающих устройств |
Нечаевская | 3.2. Тп (1,57) |
Терехово | 3.3. Тл (1,28) Тп (1,01) |
Зареченск | 3.4. Тл (1,27) Тп (1,21) |
Пересветово | 3.5. Т (1,48) |
Жданово | 3.6. Т (1,95) |
Нечаевская - Терехово | 3.7. А1 (1,24) U1 (1,05) |
Обозначения:
Тл, Тп - понижающий трансформатор левого, правого плеча;
АN - автотрансформаторы пути N;
КN - контактная сеть пути N по нагреву;
ПN - питающий провод пути N по нагреву;
UN - контактная сеть пути N по напряжению.
В скобках - коэффициенты использования нагрузочной способности
9.6. Порядок оформления материалов по расчетам пропускной способности участков по деповским и экипировочным устройствам
9.6.1. Материалы по расчетам пропускной способности участков по деповским и экипировочным устройствам должны быть оформлены в соответствии с прилагаемыми выходными
формами N 1ЦТ -
N 24 ЦТ. Указанные материалы должны включать:
расчетные данные (по установленной форме);
схему тягового обслуживания (с указанием заданных размеров движения и пропускной способности устройств);
пояснительную записку.
Виды ТО и плановых ремонтов, указываемые в реквизитах выходных
форм N 5ЦТ,
6ЦТ,
7ЦТ,
16ЦТ,
18ЦТ и
23ЦТ, должны соответствовать видам ТО и таких ремонтов (выполняемых в депо), установленным документацией ОАО "РЖД", регламентирующей систему технического обслуживания и ремонта локомотивов.
9.6.2. Полученные в результате расчетов пропускной способности данные представляются на схеме тягового обслуживания следующим порядком: каждый участок дороги, а также каждый типовой маршрут локомотивов ГД (плечо, кольцо, петля и т.д.) обозначаются разными цветами, данные о пропускной способности на каждом типовом (характерном) маршруте и относящиеся к ним расчетные размеры грузового движения обозначаются теми же цветами, что и маршруты
(рисунок 9.1).
Пропускная способность каждого участка и его расчетные размеры движения указываются в соответствующем "кружке" (тем же цветом, которым обозначен участок). При этом в числителе указывается "результирующая" пропускная способность участка в виде суммы грузовых и пассажирских поездов, а в знаменателе - размеры грузового движения в месяц МРГД (в скобках указывается - в том числе поездов с двойной тягой).
 - тяговые плечи грузового движения  - работа локомотива по петле  - работа локомотива по кольцу |  - основное депо  - отборное депо или пункт оборота |
9.7. Основное содержание пояснительной записки к расчетам пропускной способности локомотивного хозяйства железных дорог
В пояснительной записке по локомотивному хозяйству указываются особенности тягового обслуживания поездов, виды тяги; приводится обоснование принятых к расчету исходных данных (указываются нормы межремонтных пробегов, простоя локомотивов, нормы запаса топлива, песка и т.д.). Записка должна также содержать краткие сведения о техническом состоянии устройств и сооружений.
В пояснительной записке приводится краткий анализ результатов расчета пропускной способности устройств локомотивного хозяйства, при этом отражаются:
Участки работы локомотивных бригад и схемы обслуживания ими локомотивов (плечевая, накладная, петлевая), серии локомотива, принятое перераспределение загрузки отдельных устройств в одном и том же пункте или в пределах дороги, участка;
особенности работы локомотивов на удлиненных (в том числе разветвленных) УО в пределах нескольких дорог;
организация экипировки на тяговых территориях (совмещенная или расчлененная) и на приемоотправочных путях;
реализуемые и (или) предлагаемые основные мероприятия по увеличению пропускной способности с ориентировочными сроками их выполнения и стоимостью работ;
сравнение расчетных значений пропускной способности по устройствам локомотивного хозяйства с результатами ранее выполненного расчета (с указанием основных причин изменений).
Ведомость участков дороги и соответствующих
им размеров движения поездов
N п/п | Наименование участков, название станции | Длина участков, км | Всего | Расчетные размеры движения, пары поездов |
в том числе по видам движения | Примечания (в т.ч. на основании чего приняты расчетные размеры движения) |
Грузовые | Сборные | Пассажирские | Прочие |
| | число | норма массы | число | норма массы | число | норма массы | число | норма массы |
1 | 2 | 3 | 4 | 5 | 6 | 7 | 8 | 9 | 10 | 11 | 12 | 13 | 14 |
| | | | | | | | | | | | | |
Примечание: размеры движения и нормативная масса поездов по каждому участку указываются для четного и для нечетного направлений по отдельности; число и масса поездов двойной тяги представляются в скобках (как "в том числе").
Ведомость потребности в непоездных локомотивах
N п/п | Наименование депо приписки | Место работы локомотива (наименование станции или участка обслуживания) | Вид работы локомотивов | Род и серия локомотивов | Потребное число локомотивов | Место экипировки локомотивов (наименование станции) | Продолжительность работы локомотива между ремонтами (сут.) или общий суточный пробег локомотива (условный) |
1 | 2 | 3 | 4 | 5 | 6 | 7 | 8 |
| | | | | | | |
Ведомость работы поездных локомотивов и порядок
их эксплуатации при размерах движения поездов в месяц МРГД
N п/п | Наименование депо приписки | Вид движения (грузовое, пассажирское, пригородное) | Порядок тягового обслуживания | Род и серия локомотивов | Длина участка обслуживания (в одном направлении) | Расчетные размеры движения (в парах поездов) | Общий суточный пробег локомотивов в месяц МРГД | Примечание |
плечо, кольцо, петля | Наименование пункта |
основного депо | оборотного депо | оборота |
1 | 2 | 3 | 4 | 5 | 6 | 7 | 8 | 9 | 10 | 11 | 12 |
| | | | | | | | | | | |
Ведомость учета локомотивов соседних дорог
По станции _________________________________________________________
Экипировка локомотивов _________________________________________ ж.д.
N п/п | Вид движения (грузовое, пассажирское) | Число оборачивающихся по стыку или пункту оборота локомотивов соседних дорог за сутки (в соответствии с расчетными размерами движения в месяц МРГД) | Виды устройств локомотивного хозяйства, используемых в стыковом пункте или в пункте оборота | Данные о потребной производительности устройств (величина добора топлива, песка и т.д.) |
1 | 2 | 3 | 4 | 5 |
| | | | |
N п/п | Наименование депо | Основная серия локомотивов, обслуживаемая стойлами | Число путей в стойловой части депо | Длина одного пути, м | Число локомотивов, устанавливаемых на одном пути | Всего стойл, т.е. мест для постановки локомотивов | Число стойл, принятых к расчету для | Стойла, используемые для других дорог и прочих нужд | Примечание |
для ремонта | для стоянки по обороту | ТО-2 | ТО-3 | ТР-1 | ТР-2 | СР, ТР-3 | стоянки локомотивов в рабочем состоянии | число | назначение использования |
1 | 2 | 3 | 4 | 5 | 6 | 7 | 8 | 9 | 10 | 11 | 12 | 13 | 14 | 15 | 16 | 17 |
| | | | | | | | | | | | | | | | |
Ведомость потребности в технических обслуживаниях и текущих
ремонтах локомотивов и распределение по депо дороги
N п/п | Наименование депо приписки локомотивов | Вид движения (грузовое, пассажирское и др.) | Серия локомотива | Общий суточный пробег или общая потребность в локомотивах | Потребность в ТО и ремонтах |
ТО-2 | ТО-3 | ТР-1 |
норма времени или пробега между обслуживаниями | потребное число осмотров за сутки | норма времени или пробега между обслуживаниями | потребное число осмотров за сутки | норма времени или пробега между ремонтами |
1 | 2 | 3 | 4 | 5 | 6 | 7 | 8 | 9 | 10 |
| | | | | | | | | |
окончание формы N 6 ЦТ
| Наименование депо, в которых выполняются ТО и ремонты |
ТР-1 | ТР-2 | СР, ТР-3 | ТО-2 | ТО-3 | ТР-1 | ТР-2 | СР, ТР-3 |
потребное число ремонтов за сутки | норма времени или пробега между ремонтами | потребное число ремонтов за сутки | норма времени или пробега между ремонтами | потребное число ремонтов за сутки |
11 | 12 | 13 | 14 | 15 | 16 | 17 | 18 | 19 | 20 |
| | | | | | | | | |
Результаты определения коэффициентов использования
пропускной способности по стойлам для технического
обслуживания и текущего ремонта
| Наименование депо | Вид движения и другие виды работы локомотивов | По стойлам |
ТО-2 | ТО-3 | ТР-1 |
потребность в стойлах | наличное число стойл, принятое к расчету К | коэффициент использования пропускной способности (К) | потребность в стойлах | наличное число стойл, принятое к расчету К | коэффициент использования пропускной способности (К) | потребность в стойлах | наличное число стойл, принятое к расчету К | коэффициент использования пропускной способности (К) |
1 | 2 | 3 | 4 | 5 | 6 | 7 | 8 | 9 | 10 | 11 | 12 |
| | | | | | | | | | | |
Результаты определения коэффициентов использования
пропускной способности по ходовым деповским путям
N п/п | Наименование депо, пунктов оборота или экипировки | Наименование ограничивающего элемента ходовых деповских путей (N стрелки, пути) | Наименование операций | Загрузка ограничивающего элемента | Коэффициент использования пропускной способности |
число операций за сутки | затраты времени на одну операцию | суммарное время занятия ограничивающего элемента в сутки |
1 | 2 | 3 | 4 | 5 | 6 | 7 | 8 |
| | | | | | | |
Ведомость суточного расхода топлива
для снабжения поездных тепловозов
N п/п | Вид движения (грузовое, пассажирское) | Наименование плеча, кольца, петли | Длина участка, км | Норма массы поезда | Работа локомотивов за поездку, т. км брутто | Норма расхода топлива на 10000 т. км брутто | Заданные размеры движения | Общий расход натурного топлива, т/сут. | Распределение расхода топлива |
туда | обратно | условного | натурного | Наименование склада | Расход топлива, т/сут. |
1 | 2 | 3 | 4 | 5 | 6 | 7 | 8 | 9 | 10 | 11 | 12 | 13 |
| | | | | | | | | | | | |
Ведомость общего суточного расхода
натурного топлива по складам
N п/п | Наименование складов | Для поездных локомотивов (по видам движения), т/сут. | Для непоездных локомотивов | Итого, т/сут. | Для всех прочих нужд (суточный расход), т/сут. | Примечание |
грузовых (без сборных) | сборных | пассажирских | прочих | число локомотивов | расход на один локомотив, т/сут. | железнодорожные потребители | | | Итого |
1 | 2 | 3 | 4 | 5 | 6 | 7 | 8 | 9 | 10 | 11 | 12 | 13 | 14 |
| | | | | | | | | | | | | |
Результаты определения коэффициента использования
по топливоподающим устройствам
N п/п | Наименование пункта экипирования (склада топлива). | Характеристики наличных устройств подачи топлива на тепловозы | Суммарная производительность всех наличных устройств (указанных в гр. 3 - 6), т/сут. | Средняя длительность использования устройства (для подачи топлива на тепловозы) для слива топлива из ТПС, перекачки в др. емкости, нахождения в неисправном состоянии, ч/сут. | Суммарная производительность устройств указанных в гр. 3 - 6, принятая к расчету с учетом потерь времени, указанных в гр. 8. т/сут. | Расход натурного топлива, т/сут. | Коэффициент использования пропускной способности | Примечание |
Наименование и тип устройства | Наличное количество устройств данного типа | В том числе количество резервных устройств данного типа | Общая производительность каждого типа устройств, т/сут. | грузовое движение | пассажирское движение | маневровая работа | для прочих нужд |
1 | 2 | 3 | 4 | 5 | 6 | 7 | 8 | 9 | 10 | 11 | 12 | 13 | 14 | 15 |
1 | Склад 1 | i1 | | | | | | | | | | | | |
i2 | | | | | | | | | | |
**** | **** | **** | **** | **** | | | | | | |
in | | | | | | | | | | |
2 | Склад 2 | j1 | | | | | | | | | | | | |
j2 | | | | | | | | | | |
**** | **** | **** | **** | **** | | | | | | |
jn | | | | | | | | | | |
Ведомость суточного расхода песка
для снабжения поездных локомотивов
N п/п | Наименование | Среднесуточный расход песка пунктом пескоснабжения, м3/сут. | Примечание |
пункта пескоснабжения | участка обращения локомотивов, обслуживаемых данным пунктом | всего | в том числе для поездных локомотивов |
грузового движения | пассажирского движения |
1 | 2 | 3 | 4 | 5 | 6 | 7 |
| | | | | | |
Ведомость наличия пескосушильных печей
и расхода песка по депо
N п/п | Наименование пунктов пескоснабжения | Наличие печей | Расход песка локомотивами, м3/сут. | Коэффициент использования пропускной способности | Примечание |
тип | число | общая производительность, м3/сут. | грузовыми | пассажирскими | прочими | итого |
1 | 2 | 3 | 4 | 5 | 6 | 7 | 8 | 9 | 10 | 11 |
| | | | | | | | | | |
Результаты определения коэффициентов использования
пропускной способности по устройствам для снабжения
локомотивов песком
N п/п | Наименование пункта пескоснабжения локомотивов | Серия локомотивов | Число бункеров | Число локомотивов, снабжающихся песком одновременно | Производительность пескотранспортных или пескоподающих устройств (наименьшее значение), м3/сут. | Расход песка для локомотивов, м3/сут. | Коэффициент использования пропускной способности |
грузовые | пассажирские | прочие | всего |
1 | 2 | 3 | 4 | 5 | 6 | 7 | 8 | 9 | 10 | 11 |
| | | | | | | | | | |
Результаты определения коэффициентов использования
по экипировочным позициям
N п/п | Наименование депо | Наличие экипировочных позиций | Потребность в экипировочных позициях | Число экипировочных позиций | Коэффициент использования пропускной способности | Примечание |
вид движения | суточное число экипируемых локомотивов | продолжительность, мин. |
собственно экипировки | занятия и освобождения позиций |
1 | 2 | 3 | 4 | 5 | 6 | 7 | 8 | 9 | 10 |
| | | | | | | | | |
Сводная таблица результатов определения пропускной
способности элементов тягового обслуживания дороги
| | ИС МЕГАНОРМ: примечание. Текст во 2-й графе дан в соответствии с официальным текстом документа. | |
|
N п/п | Наименование станций на участках обращения (на кольцевых, петлевых и | Размеры грузового движения между указанными станциями, пары поездов | Наименование депо и пунктов, на которых расположены устройства обслуживания локомотивов на участках обращения | Пропускная способность |
по стойлам | по устройствам снабжения топливом |
ТО-2 | ТО-3 | ТР-1 | ТО-3 и ТР-1 |
коэффициент использования пропускной способности (К) | пропускная способность, в парах поездов | коэффициент использования пропускной способности (К) | пропускная способность, в парах поездов | коэффициент использования пропускной способности (К) | пропускная способность, в парах поездов | коэффициент использования пропускной способности (К) | пропускная способность, в парах поездов | коэффициент использования пропускной способности (К) | пропускная способность, в парах поездов |
1 | 2 | 3 | 4 | 5 | 6 | 7 | 8 | 9 | 10 | 11 | 12 | 13 | 14 |
| | | | | | | | | | | | | |
окончание формы N 16ЦТ
| "Результирующая" пропускная способность | Наименование устройств с наименьшей пропускной способностью (по станциям их размещения) |
по пескосушильным печам | по устройствам транспортировки песка в бункер | по экипировке локомотивов песком | по совмещенной экипировке топливом и песком | по экипировке, совмещенной с ТО-2 (топливо и песок) | по ходовым путям |
коэффициент использования пропускной способности (К) | пропускная способность, в парах поездов | коэффициент использования пропускной способности (К) | пропускная способность, в парах поездов | коэффициент использования пропускной способности (К) | пропускная способность, в пары поездов | коэффициент использования пропускной способности (К) | пропускная способность, в парах поездов | коэффициент использования пропускной способности (К) | пропускная способность, в парах поездов | коэффициент использования пропускной способности (К) | пропускная способность, в парах поездов |
15 | 16 | 17 | 18 | 19 | 20 | 21 | 22 | 23 | 24 | 25 | 26 | 27 | 28 |
| | | | | | | | | | | | | |
Результаты расчета пропускной способности по участкам дороги
N п/п | Наименование участка дороги | Грузовое движение | Пассажирское движение: расчетные размеры движения на участке, в парах поездов | Примечание |
Размеры движения на участке в месяц МРГД | наименование участков (плечевых, кольцевых и петлевых маршрутов локомотивов) | пропускная способность, в парах поездов |
маршрута локомотивов | участка дороги |
1 | 2 | 3 | 4 | 5 | 6 | 7 | 8 |
| | | | | | | |
Результаты расчета коэффициентов использования
производственной мощности цехов депо
дороги, выполняющих текущие ремонты ТР-2 и СР, ТР-3
N п/п | Наименование депо, выполняющих ремонт | Потребная мощность цехов ТР-2 |
для грузового движения | для прочих видов движения |
потребное число ремонтов, секц/год | норма простоя в ремонте, сут. | наличная мощность цехов ТР-2, секц/год | коэффициент использования пропускной способности (К) | потребное число ремонтов | норма простоя в ремонте, сут. | наличная мощность цехов ТР-2, секц/год | коэффициент использования пропускной способности (К) |
1 | 2 | 3 | 4 | 5 | 6 | 7 | 8 | 9 | 10 |
| | | | | | | | | |
окончание формы N 18ЦТ
Потребная мощность цехов СР, ТР-3 | Примечание |
для грузового движения | для прочих видов движения |
потребное число ремонтов, секц/год | норма простоя в ремонте, сут. | наличная мощность цехов ТР-3, секц/год | коэффициент использования пропускной способности (К) | потребное число ремонтов, секц/год | норма простоя в ремонте, сут. | наличная мощность цехов СР, ТР-3, секц/год | коэффициент использования пропускной способности (К) |
11 | 12 | 13 | 14 | 15 | 16 | 17 | 18 | 19 |
| | | | | | | | |
Результаты расчета коэффициентов использования стойл
и путей для стоянки локомотивов в рабочем состоянии
N п/п | Наименование депо, пунктов оборота или экипирования | Наличие мест для стоянки локомотивов в рабочем состоянии | Число локомотивов, имеющих стоянки на тяговой территории в течение суток | Средняя продолжительность одной стоянки локомотивов (включая время на его заход и выход), мин. | Потребность в местах для стоянки локомотивов | Коэффициент использования (К) | Примечание |
в стойловой части депо | на путях | всего |
1 | 2 | 3 | 4 | 5 | 6 | 7 | 8 | 9 | 10 |
| | | | | | | | | |
Результаты расчета коэффициентов использования пропускной
способности по размещению пунктов пескоснабжения
N п/п | Наименование пункта снабжения песком | Среднесуточная длительность технологического перерыва для обслуживания печи, ч | Среднесуточная длительность технологического перерыва для обслуживания пескотранспортного оборудования, ч | Средняя величина объема песка, необходимого для экипирования одного локомотива, м3/лок | Суточная максимальная производительность позиции для подачи песка, лок |
1 | 2 | 3 | 4 | 5 | 6 |
| | | | | |
окончание формы N 20ЦТ
Суточная производительность, м3 | Среднесуточный расход песка для негрузовых локомотивов, м3/сут. | Коэффициент использования пропускной способности (К) | Примечание |
Пескосушильных печей | Пескотранспортных устройств | Устройств подачи песка | Лимитирующего устройства |
7 | 8 | 9 | 10 | 11 | 12 | 13 |
| | | | | | |
Ведомость суточного расхода основных смазок
для снабжения поездных локомотивов
N п/п | Вид движения | Наименование смазки | Наименование маршрута (кольца, плеча, петли) | Длина маршрута (кольца, плеча, петли) в одном направлении, км | Размеры движения, в парах поездов | Показатели определения расхода смазки (общий пробег локомотива за сутки, суммарный расход тепловозами натурного топлива) | Нормы расхода смазки электровозами (на 1000 локомотивов); расход смазки тепловозами (% от расхода топлива) | Общий расход смазки, т/сут. | Распределение смазки по складам | Примечание |
наименование склада | расход смазки, т/сут. |
1 | 2 | 3 | 4 | 5 | 6 | 7 | 8 | 9 | 10 | 11 | 12 |
| | | | | | | | | | | |
Результаты расчета коэффициентов использования
вместимости складов топлива и смазки
N п/п | Наименование склада и пункта его размещения | Эксплуатационный запас топлива, т | Потребный эксплуатационный запас топлива и смазки, т | Коэффициент использования пропускной способности склада (К) | Примечание |
норма запаса, сут. | назначение запаса |
грузовое движение | пассажирское движение | прочие виды движения и работы | технические, прочие нужды |
1 | 2 | 3 | 4 | 5 | 6 | 7 | 8 | 9 | 10 |
| | | | | | | | | |
Коэффициенты использования пропускной способности
по устройствам, не определяющим результирующую
пропускную способность
N п/п | Наименование депо, пункта оборота или экипирования | Коэффициент использования пропускной способности | Примечание |
по производству ТР-2 | по производству СР, ТР-3 | по стойлам и путям для стоянки локомотивов в рабочем состоянии |
1 | 2 | 3 | 4 | 5 | 6 |
| | | | | |
Перечень устройств, ограничивающих пропускную способность
и мероприятия для ее увеличения
N п/п | Ограничения пропускной способности | Мероприятия для увеличения пропускной способности |
наименование депо, пункта оборота или экипирования | Ограничивающее устройство ("узкое место") | коэффициент использования пропускной способности данного устройства | характеристика мероприятий (с указанием объема работы и ее предусмотренности планом капиталовложений) | срок выполнения | ориентировочная стоимость | коэффициент использования пропускной способности после проведения мероприятий, указанных в гр. 5 (ориентировочное значение К) |
1 | 2 | 3 | 4 | 5 | 6 | 7 | 8 |
| | | | | | | |
к Инструкции по расчету
пропускной и провозной способностей
железных дорог ОАО "РЖД"
ПРИМЕРЫ РАСЧЕТА ПРОПУСКНОЙ СПОСОБНОСТИ
ПЕРЕГОНОВ И КОЭФФИЦИЕНТОВ СЪЕМА
1. Пример расчета пропускной способности на участке с различными средствами интервального регулирования
Участок, оборудованный интервальным регулированием движения поездов, при этом половина поездов следуют на межпоездном интервале по автоблокировке (10 мин.), 25% поездов следуют на межпоездном интервале по технологии "Виртуальная сцепка" (8 мин.), 25% поездов следуют на межпоездном интервале автоматической локомотивной сигнализацией, как самостоятельного средства сигнализации и связи, с подвижными блок-участками на базе аппаратуры АБТЦ-МШ (7 мин.). Общие размеры движения по участку, предусмотренные нормативным графиком движения поездов: 90 грузовых, 12 пассажирских, 8 пригородных поездов. Соответственно расчет выполняется в порядке, указанном в
пункте 2.4.1 настоящей Инструкции:
2. Пример расчета коэффициентов съема пассажирских поездов на однопутном участке
Участок, оборудованный автоблокировкой, со временем хода пары грузовых поездов
T'гр +
T"гр = 800 мин., пары пассажирских поездов -
T'пс +
T"пс = 600 мин. Соответственно расчет выполняется в порядке, указанном в
пункте 2.9.7 настоящей Инструкции:
Исходные данные:
T'гр + T"гр = 800 мин.;
T'пс + T"пс = 600 мин.;
Tогр = 75;
t'пс + t"пс = 45 мин.;
Кобг = 10 мин.;
Кскр = 6 мин.
Расчет:
Определение числа обгонов пассажирскими поездами грузовых поездов:

.
Определение числа скрещение пассажирскими поездами грузовых поездов:

.
Коэффициент съема определяется:

.
Участок со временем хода пары грузовых поездов
T'гр +
T"гр = 600 мин., пары пригородных поездов -
T'пс +
T"пс = 800 мин. Соответственно расчет выполняется в порядке, указанном в
пункте 2.9.8 настоящей Инструкции:
Исходные данные:
T'гр + T"гр = 600 мин.;
T'пр + T"пр = 800 мин.;

;

.
Участок, оборудованный полуавтоблокировкой, электрожезловой системой, телефонными средствами связи, со временем хода пары грузовых поездов
T'гр +
T"гр = 400 мин., пары пассажирских поездов -
T'пс +
T"пс = 350 мин. Соответственно расчет выполняется в порядке, указанном в
пункте 2.9.7 настоящей Инструкции:
Исходные данные:
T'гр + T"гр = 400 мин.;
T'пс + T"пс = 300 мин.;
Tпер = 75;
Расчет:
Определение числа обгонов пассажирскими поездами грузовых поездов:
Коэффициент съема определяется:

.
При значениях

значение коэффициента съема принимается "1,2".
3. Пример расчета коэффициентов съема пассажирских поездов на однопутном-двухпутном участке при автоблокировке и организации безостановочного скрещения
Исходные данные:
T'гр = 230 мин.;
T"гр = 250 мин.;
T'пс = 190 мин.;
T"пс = 200 мин.;
Кп = 6;
Tогр = 40.
Расчет:
Определение числа обгонов пассажирскими поездами грузовых поездов:

.
Определение числа скрещений пассажирскими поездами грузовых поездов:

.
Коэффициент съема определяется:

.
4. Пример расчета коэффициентов съема пассажирских поездов на двухпутном участке
Участок со временем хода грузового поезда
Tгр = 180 мин., соотношение ходовых скоростей движения пассажирского и грузового поезда

и количеством пассажирских поездов 15 пар. Неидентичность расположения перегонов

. Межпоездной интервал 8 мин., расчетный интервал прибытия пассажирского поезда за грузовым 6 мин., замедление последнего 3 мин.
Расчетное количество обгонов одиночного поезда:
Время хода грузового поезда между обгонами:

.
Фактическое количество обгонов:

.
Коэффициент съема одиночного поезда:

.
Участок со временем хода грузового поезда
Tгр = 180 мин., соотношение ходовых скоростей движения пассажирского и грузового поезда

и количеством пассажирских поездов 30 пар. Неидентичность расположения перегонов

.
Расчетное количество обгонов при двух поездах в пакете:

.
Коэффициент съема, приходящийся на один поезд, проложенный пакетом:

.
Коэффициент съема, отнесенный к одному пассажирскому поезду:

.
Участок со временем хода грузового поезда
Tгр = 180 мин., пригородного поезда
Tпр = 190 мин., сумма времени стоянок пассажирского поезда на промежуточных станциях и у остановочных платформ с учетом потерь времени на разгоны и замедления

, межпоездной интервал 8 мин., интервалы прибытия на конечную станцию участка пассажирского поезда до грузового и отправления с начальной станции участка после грузового поезда
Iпр =
Iот = 6 минут.
Коэффициент съема определяется:

.
к Инструкции по расчету
пропускной и провозной способностей
железных дорог ОАО "РЖД"
ПРИМЕР РАСЧЕТА ПЕРЕРАБАТЫВАЮЩЕЙ СПОСОБНОСТИ МЕСТ ПОГРУЗКИ,
ВЫГРУЗКИ ПО СРЕДСТВАМ МЕХАНИЗАЦИИ И МАНЕВРОВЫМ ЛОКОМОТИВАМ
Требуется определить перерабатывающую способность мест погрузки, выгрузки тупиковой грузовой станции
(рисунок П2.1).
Исходные данные. Вагоны к местам погрузки, выгрузки подаются после накопления в сортировочном парке. Пути сортировочного парка станции имеют следующую специализацию:
1 - для вагонов, подаваемых к местам погрузки, выгрузки
1 и
2;
2 - для вагонов к местам погрузки, выгрузки
3 и
4;
3 - для вагонов к местам погрузки, выгрузки
5 и
6. На каждые два места погрузки, выгрузки вагоны из сортировочного парка подаются совместно; в грузовом районе станции имеются выставочные пути, которые используются для смены групп вагонов у мест погрузки, выгрузки. Вместимость и мощность мест погрузки, выгрузки и затраты на выполнение маневровых и грузовых операций приведены в
таблице П2.1.
Места погрузки, выгрузки 1 и 2 обслуживаются стреловым краном на железнодорожном ходу. Место погрузки, выгрузки 3 обслуживается одним козловым краном, а место погрузки, выгрузки 4 - одним козловым краном и одним одноковшовым погрузчиком. Места погрузки, выгрузки 5 и 6 обслуживаются электропогрузчиками, в том числе место 5 - двумя, а место 6 - одним.
Показатель | Значения показателей по местам погрузки, выгрузки |
1 | 2 | 3 | 4 | 5 | 6 |
Вместимость, вагоны | 2 | 4 | 5 | 3 | 7 | 5 |
Мощность, вагоны/ч | 2,6 | 3,8 | 4,0 | 3,6 | 4,8 | 4,0 |
Время, ч: | | | | | | |
грузовой операции | 0,75 | 0,95 | 1,25 | 0,70 | 1,50 | 1,40 |
подачи | 0,10 | 0,05 | 0,10 |
перестановки | 0,10 | 0,05 | 0,10 |
уборки | 0,10 | 0,05 | 0,10 |
Примечание. Затраты времени на выполнение отдельных операций принимаются для конкретных станций в соответствии с технологическим процессом.
Маневровый локомотив, помимо обслуживания мест погрузки, выгрузки, производит расформирование и формирование составов, а также сортирует вагоны (выведенные с грузового района) по специализированным путям сортировочно-отправочного парка. Затраты времени на выполнение этих операций на один поезд составляют tдр = 1,23 ч. Средний состав поезда вп = 25 вагонам.
Для мест погрузки, выгрузки
1 и
2 
. Для мест погрузки, выгрузки
3 и
4 
(по козловому крану без подмены) и

(по одноковшовому погрузчику); поскольку 1,0 > 0,5, принимается, что

. Для мест погрузки, выгрузки
5 и
6 
, поскольку ежедневное обслуживание всех машин на местах погрузки, выгрузки выполняется водителями или лицами, приравненными к ним, одновременно и не зависит от числа машин.
| | ИС МЕГАНОРМ: примечание. В официальном тексте документа, видимо, допущена опечатка: имеется в виду формула (3.8.2), а не (3.7.2). | |
Для мест погрузки, выгрузки
1,
2,
3 и
6 
, а для мест погрузки, выгрузки
4 и
5, оснащенных двумя машинами каждый,

рассчитывается по
формуле (3.7.2), после того как будет определено

.
Решение. Принятая в соответствии со схемой расположения мест погрузки, выгрузки технология работы по подаче и уборке вагонов позволяет рассматривать каждую группу из двух мест погрузки, выгрузки как одно со следующими показателями.
Для мест погрузки, выгрузки 1 и 2 вместимость В1+2 = В1 + В2 = 2 + 4 = 6 вагонов; продолжительность грузовой операции (устанавливаемая по большему значению) t0,1-2 = t0,2 = 0,95 ч; мощность места погрузки, выгрузки

.
Для мест погрузки, выгрузки 3 и 4 В3-4 = 5 + 3 = 8 вагонов;
t0,3-4 = t0,3 = 1,25 ч;
ПВ3-4 = 8 : 1,25 = 6,4 вагона/ч.
Для мест погрузки, выгрузки 5 и 6 В5-6 = 7 + 5 = 12 вагонов;
t0,5-6 = t0,5 = 1,50 ч;
ПВ5-6 = 12 : 1,50 = 8,0 вагона/ч.
Число подач за один цикл

составляет: на места погрузки, выгрузки
1 и
2 - одна подача, места погрузки, выгрузки
3 и
4 - одна подача, места погрузки, выгрузки
5 и
6 - одна подача.
Общее число вагонов, проходящих грузовые операции за один цикл

, на местах погрузки, выгрузки
1 и
2 К1-2В1-2 = 1·6 = 6 вагонов, соответственно на местах погрузки, выгрузки
3 и
4 -
8 вагонов, на местах погрузки, выгрузки
5 и
6 -
12 вагонов, всего

.

.
Тогда для мест погрузки, выгрузки 4 и 5

.
В связи с тем, что место погрузки, выгрузки
4 обслуживается вместе с мест
3, а место погрузки, выгрузки
5 - с местом
6, то для этих пар мест погрузки, выгрузки следует принять

.
| | ИС МЕГАНОРМ: примечание. В официальном тексте документа, видимо, допущена опечатка: имеется в виду формула (3.8.1), а не (3.7.1). | |
мест погрузки, выгрузки 1 и 2

;
мест погрузки, выгрузки 3 и 4

;
мест погрузки, выгрузки 5 и 6
Всего по станции
Nгр = 277 вагонов/сут.
Необходимое для расчета пропускной способности горловины этой станции число подач и уборок по всем местам погрузки, выгрузки, приходящееся на один поезд, по
формуле (3.8.22)

.
к Инструкции по расчету
пропускной и провозной способностей
железных дорог ОАО "РЖД"
ПРИМЕР РАСЧЕТА ПЕРЕРАБАТЫВАЮЩЕЙ СПОСОБНОСТИ ПО СКЛАДАМ
Определить перерабатывающую способность контейнерной площадки по вместимости.
Исходные данные.
На контейнерной площадке осуществляется погрузка-выгрузка крупнотоннажных контейнеров. Контейнеры устанавливаются в два яруса, при этом вместимость площадки равна 300 контейнеров (
Eскл = 300). Погрузка-выгрузка контейнеров из вагонов производится круглосуточно (
T = 24 ч). Средняя продолжительность завоза-вывоза контейнеров автомобильным транспортом в рабочие дни недели
Tц = 9,2 ч. Среднее число контейнеров, вывозимых в субботу, составляет 85, в воскресенье - 25;

. В ночную смену на автомобилях хранится 30 контейнеров (
Nа = 30). Коэффициент неравномерности работы
a = 1,15. Число контейнеров на платформе
qв = 3. Коэффициент наличия свободных контейнеро-мест

.
Решение. По
формуле (3.8.19) перерабатывающая способность контейнерной площадки по вместимости
Таким образом, контейнерная площадка может обработать ежесуточно сорок четыре 4-осные специализированные платформы с контейнерами.
к Инструкции по расчету
пропускной и провозной способностей
железных дорог ОАО "РЖД"
ПОРЯДОК
ОПРЕДЕЛЕНИЯ КОЭФФИЦИЕНТА УЧЕТА ПЕРЕРЫВОВ
В РАСФОРМИРОВАНИИ СОСТАВОВ ИЗ-ЗА НЕДОСТАТКА ЧИСЛА
И ВМЕСТИМОСТИ СОРТИРОВОЧНЫХ ЖЕЛЕЗНОДОРОЖНЫХ ПУТЕЙ
1. Загрузка горки (сортировочных устройств, выполняющих расформирование поездов) определяется с учетом потерь перерабатывающей способности сортировочного устройства

из-за недостаточной вместимости путей накопления составов.
Относительные потери перерабатывающей способности сортировочного устройства из-за недостатка числа и вместимости путей накопления определяются по формуле:

, (П4.1)
где

- доля вагонов, отправляемых в поездах своего формирования с отправочных (приемоотправочных) путей;

- то же, отправляемых с сортировочно-отправочных путей,

. (П4.2)
2. Для сортировочных путей:
если Aс >= Bс Пдоп.с, то:

, (П4.3)
если A
с < B
с П
доп.с или П
с = 0, то

.
Аналогично для сортировочно-отправочных путей:
если Aсо >= Bсо Пдоп.со, то:

, (П4.4)
если A
со < B
со П
доп.со или П
со = 0, то

.
Значения коэффициентов A
с, A
со, B
с, B
со определяются по
таблице П4.1 в зависимости от отношения средней вместимости путей и длин формируемых составов

и составо-минут занятия сортировочного (сортировочно-отправочного) пути составами, завершившими накопление, в среднем за сутки,

.
 , составо-мин./сут. | A с, A со при отношении вместимости путей и длин формируемых составов  , равном | Bс, Bсо |
0,92 | 1,00 | 1,06 | 1,16 | 1,26 |
0 | 0,285 | 0,175 | 0,155 | 0,100 | 0,075 | 0,078 |
50 | 0,300 | 0,200 | 0,175 | 0,125 | 0,100 | 0,063 |
100 | 0,320 | 0,230 | 0,200 | 0,150 | 0,125 | 0,051 |
150 | 0,360 | 0,265 | 0,240 | 0,180 | 0,160 | 0,042 |
200 | 0,400 | 0,315 | 0,285 | 0,220 | 0,200 | 0,036 |
250 | 0,455 | 0,365 | 0,335 | 0,260 | 0,235 | 0,033 |
300 | 0,525 | 0,425 | 0,400 | 0,300 | 0,275 | 0.030 |
350 | 0,600 | 0,490 | 0,470 | 0,350 | 0,325 | 0,030 |
Формулы (П4.1) -
(П4.4) позволяют учесть в расчетах задержки составов в парке приема из-за невозможности роспуска составов при переполнении сортировочных путей.
сортировочных
Пдоп.с = Пс - kс; (П4.5)
сортировочно-отправочных
Пдоп.со = Псо - kсо. (П4.6)
где Пс, Псо - число соответственно сортировочных (сортировочно-отправочных) путей, специализированных для накопления формируемых поездов и угловых передач;
kс, kсо - число назначений поездов, формируемых соответственно на сортировочных (сортировочно-отправочных) путях, включая угловые передачи.
4. В
таблице П4.1 соотношение вместимости путей и длин формируемых составов:
для сортировочных путей:

; (П4.7)
для сортировочно-отправочных путей

, (П4.8)
где mф.с, mф.со - средние составы поездов соответственно формируемых на сортировочных и на сортировочно-отправочных путях, вагонов;
E
с, E
со - средняя вместимость соответственно сортировочных и сортировочно-отправочных путей для накопления поездов, вагонов (если в соответствии с исходными данными E
с = 0 и

, принять E
с = E
со).
5. В
таблице П4.1 составо-минуты занятия накопленными составами за сутки:
для сортировочных путей:
если Пс > 0, то

; (П4.9)
иначе

;
для сортировочно-отправочных путей:
если Псо > 0, то

(П4.10)
иначе

.
nф.с, nф.со - число поездов/сут., формируемых соответственно на сортировочных и сортировочно-отправочных путях;
tдоп.с, tдоп.со - дополнительное (после окончания накопления) время занятия пути составом одного поезда, мин.;

- время занятия (с точностью до 1 мин.) путей, используемых для грузовых поездов, в среднем в течение суток работами по текущему обслуживанию, плановым видам ремонта и снегоуборке (см.
таблицу 3.4.2 настоящей Инструкции).
Примечания:
Если на станции формируют поезда повышенной длины с занятием путей сортировочного (сортировочно-отправочного парка), при определении

следует учитывать занятие путей соответствующими дополнительными операциями. Полученные по
формулам (П4.9) и
(П4.10) значения

корректируют прибавлением слагаемого:

,
где

- суммарное за сутки дополнительное (по сравнению с поездами унифицированной длины) время занятия сортировочных (сортировочно-отправочных) путей операциями по окончанию формирования и подготовке к отправлению поездов повышенной длины, мин.
Значения

определяют на основе установленной технологии формирования поездов повышенной длины и хронометражных наблюдений.
Если на станции изменяют (увеличивают или уменьшают) составы транзитных поездов с использованием горки (основного сортировочного устройства) и занятием путей сортировочного (сортировочно-отправочного) парка, полученные по
формулам (П4.9) и
(П4.10) значения

корректируют умножением на:
(nф.с(со) + nтр.с(со))/nф.с(со),
где nтр.с(со) - число транзитных поездов с изменением состава, пропускаемых за сутки через сортировочный (сортировочно-отправочный) парк.
В случае, когда при формировании групповых поездов какого-либо назначения в сортировочный (сортировочно-отправочный) парк одна из поездных групп поступает полностью и одновременно (вертушки, группы из распыляемых маршрутов и др.), дополнительное (по сравнению с одногруппными поездами) занятие путей парка и сортировочных устройств практически отсутствует и при расчетах не учитывается.
6. Дополнительное (после окончания накопления) время занятия пути одним поездом определяется:
для сортировочных путей

, (П4.11)
где поправка

- определяется по
таблице П4.2 в зависимости от коэффициента использования перерабатывающей способности вытяжных путей (см.
формулы (3.6.12) -
(3.6.14)) и соотношения:

,
где

- сумма технически допустимых размеров отправления поездов своего формирования по всем паркам, имеющим приемоотправочные пути для отправления данных поездов;
для сортировочно-отправочных путей по формуле:
tдоп.со = max {tоф.со + tтех.оп; D}, (П4.12)
где tоф.со - среднее технологическое время на окончание формирования составов, накапливаемых на сортировочно-отправочных путях, мин.;
D - параметр, определяемый в зависимости от числа формируемых поездов, приходящихся на один сортировочно-отправочный путь:
nф.со/Псо .................. | 1 | 1,5 | 2 | 2,5 | 3 и более |
D, мин. ................... | 130 | 121 | 114 | 108 | 103 |
| tдоп.с, мин., при коэффициенте использования перерабатывающей способности вытяжных путей, равном |
0,9 | 0,8 | 0,7 | 0,6 и менее |
1 и менее | 66 | 37 | 18 | 8 |
1,1 | 68 | 39 | 20 | 9 |
1,2 | 70 | 42 | 22 | 11 |
1,3 | 73 | 50 | 27 | 20 |
1,4 | 76 | 60 | 33 | 32 |
1,5 | 84 | 73 | 53 | 48 |
1,6 | 93 | 90 | 75 | 66 |
к Инструкции по расчету
пропускной и провозной способностей
железных дорог ОАО "РЖД"
ПРОВЕРКИ ИСПОЛЬЗОВАНИЯ НАГРУЗОЧНОЙ СПОСОБНОСТИ
УСТРОЙСТВ ЭЛЕКТРОСНАБЖЕНИЯ
В ходе реализации каждой расчетной модели графика движения поездов для текущего значения межпоездного интервала Jтек определяются коэффициенты KИНС t использования нагрузочной способности устройств с учетом допустимой их перегрузки заданной длительности t.
Из коэффициентов, рассчитанных при различных t, для определения допустимых межпоездных интервалов используется максимальное значение KИНС.
1. Силовое оборудование тяговых подстанций и линейных объектов системы тягового электроснабжения
1.1. Выпрямители тяговых подстанций постоянного тока:

(П5.1)
где Id t - наибольшее среднее значение тока подстанции за период t, А;

- суммарный номинальный ток включенных выпрямителей, А;
kдоп В t - коэффициент допустимой нагрузки выпрямителя, принимаемый в соответствии с
таблицей П5.1.
Таблица П5.1
Коэффициенты допустимой нагрузки выпрямителей
t, мин. | 30 и более | 15 | 2 |
kдоп В t | 1,00 | 1,25 | 1,50 |
1.2. Преобразовательные трансформаторы тяговых подстанций постоянного тока:

(П5.2)
где Ud пр - приведенное номинальное напряжение, равное 3,6 кВ;

- суммарная номинальная мощность включенных преобразовательных трансформаторов, кВ·А;
kдоп ТП t - коэффициент допустимой нагрузки преобразовательного трансформатора, принимаемый в соответствии с
таблицей П5.2.
Таблица П5.2
Коэффициенты допустимой нагрузки
преобразовательных трансформаторов
t, мин. | 60 и более | 15 | 5 | 2 |
kдоп ТП t | 1 | 1,25 | 1,50 | 1,75 |
1.3. Понижающие трансформаторы подстанций постоянного тока:

(П5.3)
где

- суммарная номинальная мощность понижающих трансформаторов, питающих преобразовательные агрегаты, кВ·А;
Sр - мощность районной и нетяговой нагрузки, получающей питание от понижающих трансформаторов, питающих преобразовательные агрегаты, кВ·А;
kдоп П t - коэффициент допустимой нагрузки понижающего трансформатора, принимаемый в соответствии с
таблицей П5.3.
Таблица П5.3
Коэффициенты допустимой нагрузки трансформаторов
t, мин. | 10 | 1 |
kдоп П t | 1,5 | 2,0 |
1.4. Трехфазные понижающие трансформаторы тяговых подстанций переменного тока:

(П5.4)
где

- суммарная номинальная мощность включенных понижающих трансформаторов, кВ·А;
Iф max t - наибольшее значение тока любой фазной обмотки напряжением 27,5 кВ за период t, А.
Однофазные понижающие трансформаторы тяговых подстанций системы переменного тока 2 x 25 кВ:

(П5.5)
где

- суммарная номинальная мощность трансформаторов, включенных в данное плечо питания, кВ·А;
IОТ max t - наибольшее значение тока любой секции расщепленной обмотки напряжением 27,5 кВ за период t, А.
1.5. Автотрансформаторы пунктов питания системы электроснабжения переменного тока 2 x 25 кВ:

(П5.6)
где SА ном - номинальная мощность автотрансформатора, кВ·А;
IА max t - наибольшее значение тока обмотки за период t, А.
Для понижающих трансформаторов и автотрансформаторов в соответствии с требованиями
ГОСТ 14209-85 определяются максимальные температуры наиболее нагретой точки обмотки

и масла

в верхних слоях. Соответствующие этим температурам коэффициенты использования нагрузочной способности рассчитываются по выражениям:

(П5.7)

(П5.8)
где

- расчетная температура окружающего воздуха, равная 35 °C;

- допустимая температура обмотки, равная 140 °C;

- допустимая температура масла, равная 95 °C.
2. Уровень напряжения в тяговой сети
По уровню напряжения на токоприемниках электроподвижного состава:

(П5.9)
где Uхх т - напряжение холостого хода в тяговой сети, определяемое как среднее значение напряжений холостого хода на шинах тяговых подстанций, питающих данную межподстанционную зону, В;
Umin3 мин. - наименьшее значение напряжения на токоприемниках электроподвижного состава любого поезда, находящегося на данном пути межподстанционной зоны, в среднем за 3 минуты, В;
Uдоп min - минимально допустимое значение напряжения в тяговой сети согласно требованиям
Правил технической эксплуатации железных дорог Российской Федерации, утвержденных приказом Минтранса России от 21 декабря 2010 г. N 286.
3. Тяговая сеть по допустимой температуре нагрева проводов
Контактная сеть по нагреву проводов:

(П5.10)
где

- наибольшая средняя температура, °C, лимитирующего провода контактной сети вблизи точек подключения питающих линий тяговых подстанций при длительности
t протекания тока 1, 3 и 20 минут;

- температура окружающего воздуха при расчетах нагревания проводов контактной сети, принимаемая равной 40 °C;
Для системы электроснабжения переменного тока 2 x 25 кВ также определяются коэффициенты использования нагрузочной способности питающего провода. В системах электроснабжения переменного тока 2 x 25 кВ с трехфазными трансформаторами на тяговых подстанциях эти коэффициенты рассчитываются для участка питающего провода, подключенного к повышающему автотрансформатору.
4. Проверка уставок защит тяговой сети
Уставки устройств защиты тяговой сети следует проверять для расчетных режимов, указанных в
подразделе 4.2 настоящей Инструкции, в соответствии с требованиями СТО РЖД 07.021.1-2015, СТО РЖД 07.021.2-2015, СТО РЖД 07.021.4-2015 и
СТО РЖД 07.021.5-2018.
Максимальный ток питающей линии определяется при результирующем для данной межподстанционной зоны межпоездном интервале (периоде графика) и с учетом пускового тока поезда наибольшей массы.
5. Элементы обратной тяговой рельсовой сети
5.1. Определение расчетных коэффициентов
Коэффициент приведения тока в рельсах Kпр:
для систем постоянного тока составляет 1;
для систем переменного тока при расстоянии
lОТС i от рассматриваемого элемента обратной тяговой рельсовой сети до точки присоединения отсасывающей линии к обратной тяговой рельсовой сети в пределах протяженности межподстанционной зоны
lз от 0,15·
lз до 0,85·
lз - определяется из графика, приведенного на
рисунке П5.1, в остальных случаях составляет 1.
Рисунок П5.1. Зависимость коэффициента приведения тока
в рельсах Kпр от расстояния между элементом обратной
тяговой сети и точкой подключения отсасывающей линии
Коэффициенты среднего
Kср и эффективного
Kэф тока в рельсах определяются по графикам, приведенным на
рисунках П5.2 и
П5.3 соответственно, в зависимости от длины межподстанционной зоны, а для систем электроснабжения переменного тока 2 x 25 кВ - от длины участка между автотрансформаторами, на котором находится рассматриваемый элемент обратной тяговой сети, и результирующего допустимого межпоездного интервала
Jрез для данной межподстанционной зоны (
подраздел 4.4 настоящей Инструкции).
Рисунок П5.2. Зависимости коэффициента среднего тока
в рельсах Kср от результирующего интервала и длины
межподстанционной зоны
Рисунок П5.3. Зависимости коэффициента эффективного тока
в рельсах Kэф от результирующего интервала и длины
межподстанционной зоны
5.2. Допустимые эффективные токи в элементах обратной тяговой рельсовой сети Iдоп эф в зависимости от температуры окружающей среды приведены в
таблице П5.4.
Таблица П5.4
Допустимые эффективные токи в элементах
обратной тяговой сети
Элементы обратной тяговой сети | Допустимый ток Iдоп эф, А при температуре |
до 25 °C | от 25 до 40 °C | 40 °C |
Система электроснабжения постоянного тока |
Дроссель-трансформаторы | | | |
ДТ-0,2-500 | 1 800 | 1 710 | 1 620 |
ДТЕ-0,2-500 | 1 800 | 1 710 | 1 620 |
ДТ-0,6-500 | 1 500 | 1 425 | 1 350 |
ДТЕ-0,6-500 | 1 500 | 1 425 | 1 350 |
ДТ-0,2-1 000 | 2 400 | 2 280 | 2 160 |
ДТЕ-0,2-1000 | 2 400 | 2 290 | 2 160 |
ДТ-0,6-1 000 | 2 200 | 2 090 | 1 980 |
ДТЕ-0,6-1000 | 2 200 | 2 178 | 1 980 |
ДТЕ-0,2-1500 | 3 500 | 3 325 | 3 150 |
ДТЕ-0,2-1500П | 3 500 | 3 325 | 3 150 |
ДТЕ-0,4-1500 | 3 200 | 3 040 | 2 880 |
ДТЕ-0,4-1500П | 3 200 | 3 040 | 2 880 |
Дроссельные перемычки | | | |
2 x 50 мм2 | 470 | 446 | 423 |
2 x 70 мм2 | 680 | 646 | 612 |
Междроссельные перемычки | | | |
4 x 50 мм2 | 940 | 893 | 846 |
4 x 70 мм2 | 1 360 | 1 292 | 1 224 |
4 x 95 мм2 | 1 830 | 1 738 | 1 647 |
4 x 120 мм2 | 2 340 | 2 223 | 2 106 |
Сборный рельсовый стык с медным приварным соединителем сечением 70 мм2 | | | |
стыковые болты затянуты (40 кН на болт) | 5 000 | 4 750 | 4 500 |
стыковые болты ослаблены | 800 | 760 | 720 |
Системы электроснабжения переменного тока |
Дроссель-трансформаторы: | | | |
ДТ-1-150 | 480 | 456 | 432 |
ДТ-1МГ1-150 | 480 | 456 | 432 |
ДТ-1-250 | 900 | 855 | 810 |
ДТ-1,5-150 | 420 | 399 | 378 |
ДТ-1МГ1-300 | 900 | 855 | 810 |
ДТШ-300-П(Л)-1520(1530/1535) | 900 | 855 | 810 |
2ДТ-1МГ1-150 | 480 | 456 | 432 |
ДТ-0,6-500с | 1 500 | 1 425 | 1 350 |
2ДТ-1МГ1-300 | 900 | 855 | 810 |
Дроссельные перемычки: | | | |
2 x 35 мм2 | 390 | 370 | 351 |
2 x 50 мм2 | 530 | 503 | 477 |
2 x 70 мм2 | 780 | 741 | 702 |
Междроссельные перемычки: | | | |
3 x 35 мм2 | 580 | 551 | 522 |
4 x 50 мм2 | 1 000 | 950 | 900 |
4 x 70 мм2 | 1 500 | 1 425 | 1 350 |
5.3. Проверка элементов обратной тяговой сети
Обратная тяговая рельсовая сеть проверяется по нагрузочной способности следующих элементов:
путевых дроссель-трансформаторов;
дроссельных и междроссельных перемычек;
сборных рельсовых стыков;
отсасывающих линий.
Для путевых дроссель-трансформаторов, дроссельных и междроссельных перемычек и сборных рельсовых стыков эффективный ток нагрузки определяется по формуле:

(П5.11)
где

- для дроссель-трансформаторов и междроссельных перемычек,

- для дроссельных перемычек и сборных рельсовых стыков;
I0 - средний ток поезда наибольшей установленной массы на рассматриваемом пути, А.
Эффективные значения токов Iэф для каждого элемента обратной тяговой рельсовой сети сопоставляются с допустимыми для данного элемента значениями Iдоп эф. Если Iэф > Iдоп эф, то соответствующий элемент нуждается в усилении.
к Инструкции по расчету
пропускной и провозной способностей
железных дорог ОАО "РЖД"
ПРИМЕРЫ РАСЧЕТА ПРОПУСКНОЙ СПОСОБНОСТИ УСТРОЙСТВ
ЛОКОМОТИВНОГО ХОЗЯЙСТВА
1. Примеры расчета пропускной способности по ПТОЛ
1.1. Первый пример
Исходные данные
Пункт технического обслуживания, расположенный на данном УО, имеет два пути (n
i = 2) и каждый из них оборудован двумя смотровыми стойлами (m
i = 2). Габаритные размеры каждого из стойл рассчитаны на размещение двухсекционного локомотива. Согласно расчетам, выполненным в соответствии с
формулами (5.3) и
(5.6), среднесуточное число ТО-2, выполняемых электровозам (физическим единицам) ГД данного УО в месяц МРГД, составляет для рассматриваемого i-ПТОЛ П
гi = 33,1 технических обслуживаний (см. пример в
подпункте 5.3.1.11 настоящей Инструкции). При этом нормативный простой в ТО-2

для 78% таких электровозов составляет один час, для 22% - полтора часа. Указанные значения

установлены с учетом потребности времени на оперативную расцепку-сцепку физических единиц в случае, если они не размещаются на стойлах, вмещающих две секции.
Данный i-ПТОЛ расположен на станции оборота электровозов ГД смежного УО и в среднем за сутки месяца МРГД выполняет для этих электровозов восемь ТО-2, причем

для них составляет 1,5 ч. На рассматриваемом ПТОЛ, кроме того, ежесуточно выполняются два ТО-2 пассажирским локомотивам (с нормативным простоем - 2 ч), а также пять ТО-2 электровозам, используемым в хозяйственном движении, на маневровой и прочей работе (с нормативным простоем - 1 ч). Техническое обслуживание маневровых тепловозов выполняется на специализированных путях (стойлах) депо и поэтому не включаются в расчет величины M
нгi (см.
подпункт 5.3.1.17 настоящей Инструкции).
Формализация исходных данных
Приведенные выше сведения о продолжительности выполнения ТО-2 различным локомотивам формализуются следующим образом. Среднесуточное число ТО-2 (П
гi), выполняемое на данном i-ПТОЛ электровозам ГД данного УО, разделяется на две j-группы. Для первой из них (j = 1) норма простоя составляет 1 ч и

, для второй (j = 2) нормативный простой - 1,5 ч и

. Среднесуточное число П
гчi содержит всего одну j-группу с нормой простоя 1,5 ч и

. Число ТО-2 электровозов не грузового движения (П
нгi = 2 + 5 = 7) подразделяется на две j-группы, для первой из которых норма простоя - 1 ч и

(значение

определено как 5/7, где 5 - число ТО-2 для электровозов хозяйственного движения, маневровой и прочей работы), а для второй j-группы норма простоя - 2 ч и

.
Параметры ПТОЛ: | n = 2 (число путей); m = 2 (число стойл на каждом пути). |
Среднесуточное число ТО-2, выполняемое с различным нормативным простоем:
для электровозов ГД данного УО - П
г = 33,1 (количество групп J = 2;

и

;

и

);
для электровозов ГД смежного УО - П
гч = 8 (количество групп J = 1;

и

);
для электровозов не грузового движения - П
нг = 7 (количество групп J = 2;

и

;

и

).
Расчет
В соответствии с
формулами (5.11) -
(5.13) рассчитывается число путей на данном ПТОЛ, необходимых для выполнения указанного выше суточного числа ТО-2:

.
| | ИС МЕГАНОРМ: примечание. Здесь и далее в официальном тексте документа, видимо, допущена опечатка: имеется в виду таблица 5.1, а не П6.1. | |
В завершение расчета вычисляется значение n
мг. В данном примере на участке обращения электровозов ГД, обслуживаемых рассматриваемым и другими (см.
подпункт 5.3.1.17 настоящей Инструкции) пунктами технического обслуживания, размеры грузового движения в месяц МРГД составляют 50 пар поездов (n
г = 50). Тогда в соответствии с
формулой (5.9):
nмг = 50 : 0,650 = 76,9 пар грузовых поездов.
Следовательно, при сохранении пропорции распределения числа ТО-2 (электровозов ГД данного УО) между всеми ПТОЛ, обслуживающими эти локомотивы, а также при неизменности числа ТО-2, выполняемых рассматриваемым ПТОЛ для электровозов не грузового движения и для электровозов ГД со смежного УО, размеры грузового движения на данном УО не будут лимитироваться пропускной способностью этого ПТОЛ при их увеличении до 82,6 пар поездов, т.е. при увеличении nг в 1/0,605 = 1,65 раза.
Обслуживание маневровых локомотивов
Согласно исходным данным для рассматриваемого примера, на специальном стойле депо выполняются ТО-2 маневровым тепловозам. В соответствии с
подпунктом 5.2.4.5 настоящей Инструкции следует проверить возможность выполнения ТО-2 этим тепловозам на указанном стойле при увеличении размеров грузового движения с n
г = 50 до n
мг = 82,6 пар поездов (поскольку в этом случае возрастет потребность в маневровых локомотивах, а следовательно, и в ТО-2 для этих тепловозов).
При выполнении указанной проверки первоначально определяется возможная степень увеличения потребной численности маневровых тепловозов, обслуживаемых в данном депо. Для этого используется величина отношения n
мг/n
г и данные, приведенные в
таблице П6.1. В рассматриваемом примере указанное отношение определяется как 82,6/50 = 1,65. Если в регионе, на станциях которого используются маневровые тепловозы данного депо, степень транзитности вагонопотока превышает 35%, то, согласно
таблице П6.1, увеличение потребной численности маневрового парка

составит около 12% и на столько же возрастет среднесуточное число ТО-2 маневровых тепловозов.
Степень транзитности вагонопотока (Тр) | Расчетная величина nмг/nг |
1,2 | 1,4 | 1,6 | 1,8 | 2,0 | 2,2 | более 2,2 |
Тр >= 35% | 5 | 9 | 12 | 14 | 15 | 16 | 18 |
Тр < 35% | 13 | 25 | 35 | 44 | 51 | 56 | 63 |
Если в месяц МРГД средняя численность эксплуатируемого маневрового парка тепловозов, обслуживаемых в данном депо, - 35 единиц, нормативная периодичность ТО-2 для этих локомотивов - 120 часов,

и нормативное время эксплуатации до ТО-3 составляет 40 суток, то ежесуточная потребность в ТО-2 для маневровых тепловозов (П
тм) определяется так же, как и W
твп, т.е. по
формуле (5.7):

.
При увеличении на 12% эта величина составит 7,9·1,12 = 8,85 технических обслуживаний.
В рассматриваемом депо для выполнения ТО-2 маневровых тепловозов выделен один путь (n = 1) с одним специализированным стойлом (m = 1), суточный фонд времени работы этого стойла - 16,4 ч, т.е. работа по выполнению ТО-2 организована в две смены. Коэффициент загрузки данного стойла, в соответствии с
формулой (5.10):

,
где Mтм - расчетная потребность в путях для ТО-2 маневровых тепловозов.
Поскольку на данном стойле выполняется ТО-2 только маневровым тепловозам (с нормативной продолжительностью ТО-2 T
2тм = 1 ч), то в применяемой для определения M
тм формуле (5.13) 
, а вместо 24 ч, соответствующих круглосуточному использованию стойл на ПТОЛ, в знаменателе применяется 16,4 ч.
Тогда:

.
| | ИС МЕГАНОРМ: примечание. В официальном тексте документа, видимо, допущена опечатка: имеется в виду таблица 5.1, а не П4.1.1. | |

.
Таким образом, при увеличении потребности в ТО-2 для маневровых тепловозов на 12% (вследствие возрастания размеров грузового движения с n
г = 50 до n
мг = 82,6 пар поездов) расчетная загрузка рассматриваемого специализированного стойла для выполнения ТО-2 таким локомотивам не превысит допустимую, поскольку 0,811 < 1. В случае К > 1 необходимо увеличение числа стойл для обслуживания маневровых локомотивов (что указывается в пояснительной записке к расчетам пропускной способности по устройствам локомотивного хозяйства) или принятие мер, указанных в
пункте 5.1.7 настоящей Инструкции.
1.2. Второй пример
Исходные данные
Пункт технического обслуживания, расположенный на данном УО, имеет три пути (n = 3), и каждый из них оборудован одним смотровым стойлом (m = 1). Техническое обслуживание локомотивов ГД со смежного УО на рассматриваемом ПТОЛ не выполняется. Прочие исходные данные для расчета пропускной способности этого ПТОЛ соответствуют приведенным в
подпункте 5.3.1.20 настоящей Инструкции.
Расчет
С применением
формул (5.11) -
(5.13) определяется потребное число путей для выполнения ТО-2 локомотивам, используемым в грузовом и не грузовом движении (работа):

.
Далее определяется величина
К с использованием

для n = 3 (согласно
таблице П6.1):

.
При данном расчетном значении К максимально возможные (по пропускной способности данного ПТОЛ) размеры грузового движения составляют:
nмг = 50 : 0,693 = 72,2 пар грузовых поездов.
2. Примеры расчета пропускной способности по цехам ТО-3, ТР-1
2.1. Расчет для i-депо, выполняющего ТР-1 и неплановый ремонт электровозов
Исходные данные
рассматриваемое i-депо выполняет ТР-1 и НР для 150 электровозов ГД и 20 электровозов не грузового движения (ПР);
в ремонтном цикле электровозов ГД и ПР техническое обслуживание ТО-3 не предусмотрено;
нормативные межремонтные пробеги до (между) ТО-1 и до ТР-2 одинаковы для электровозов ГД и ПР, составляя соответственно

и

;
удельное количество НР электровозов ГД

в месяц МРГД составляет 6,9 ремонтов/млн. км, для электровозов ПР

;
суммарный пробег электровозов ГД в месяц МРГД (Lгмi) составляет 2250 тыс. км, электровозов ПР (Lпмi) - 200 тыс. км;
календарная продолжительность месяца МРГД R = 31 сут.;
цех i-депо, в котором выполняются ТР-1 и НР, работают круглосуточно (Ф = 24 ч) без праздничных и выходных дней, т.е. ri1 = riнр = R = 31 сут.;
ремонты ТР-1 и НР для электровозов ГД и ПР выполняются на одних и тех же стойлах, т.е. без разделения этих стойл по видам ремонта и по видам использования (ГД ПР) электровозов;
наличное количество стойл для выполнения ТР-1 и НР (без учета позиций для обточки КП под электровозом и одиночной выкатки КМБ) составляет M'нi = 5;
нормативный простой электровоза (ГД, ПР) на стойле при выполнении ТР-1 составляет

;
средняя длительность фактического простоя электровоза ГД на стойлах при выполнении ТР-1 в месяц МРГД составляет

, электровоза ПР -

(с учетом простоя на позициях обточки КП и выкатки КМБ);
средняя длительность простоя электровоза (ГД, ПР) на стойлах при выполнении НР (с учетом его простоя на позициях обточки КП и выкатки КМБ) составляет

.
Расчет коэффициентов загрузки стойл
Расчет величины К выполняется в следующей последовательности. Первоначально определяется среднесуточное - для месяца МРГД - количество ремонтов ТР-1 и НР, выполняемое в i-депо для электровозов ГД и ПР.
В соответствии с
формулой (5.15) расчетное среднесуточное число ТР-1 для электровозов ГД составит:

,
для электровозов ПР:

.
Расчетное среднесуточное число НР для электровозов ГД определяется:

,
для электровозов ПР:

.
Далее по найденным величинам среднесуточной потребности в ремонтах рассчитывается количество стойл, которые необходимы для ТР-1 электровозов ГД. В соответствии с
формулой (5.24):

.
Для определения

вычисляется отношение:

.

,
и тогда:
МГi1 = 1,106·1,769 = 1,957 стойл/сут.
В соответствии с
формулой (5.25) рассчитывается количество стойл, потребное для выполнения НР электровозам ГД:
МГiНР = 0,8·0,501·38,7 : 24 = 0,646 стойл/сут.
Величина

, т.е. число стойл, необходимое для выполнения в данном депо ремонтов ТР-1 и НР для электровозов ГД, определяется в соответствии с
формулой (5.20):

.
Аналогично производятся вычисления для электровозов ПР (с учетом того, что для них

и, следовательно,

). Согласно
формулам (5.28) и
(5.29), потребное число стойл для этих электровозов:
МПi1 = 1·0,210·18 : 24 = 0,158 стойл/сут.,
МПiНР = 0,8·0,027·38,7 : 24 = 0,035 стойл/сут.

.
В завершение расчета по
формуле (5.2) рассчитывается значение К
i - коэффициента использования стойл, предназначенных в i-депо для выполнения электровозам ремонтов ТР-1 и НР (при этом по
таблице 5.2 принимается

для M
'н = 5):

.
Пример. Если в приведенном выше примере одно из пяти наличных стойл для производства ТР-1 и НР специализировано для выполнения только неплановых ремонтов (электровозам ГД и ПР), а остальные 4 стойла используются только для ТР-1 этих электровозов, то величина К определяется отдельно по стойлу, выделенному для НР, и отдельно - для группы четырех стойл, предназначенных для ТР-1.
Для стойла, специализированного на выполнении работ НР, в соответствии с
формулой (5.32):

,
где 0,84 - значение

при M
'н = 1 (согласно
таблице 5.2).
Для четырех стойл, на которых выполняются ТР-1 электровозам ГД и ПР (при

согласно
таблицы 5.2 для M
'н = 4):

.
Определение пропускной способности стойловой части депо
Из сопоставления величин К
iнр и К
i1 со значением К
i, определенным выше следует, что специализация одного стойла (из пяти наличных) в i-депо на выполнении только НР приводит к тому, что это стойло лимитирует пропускную способность цеха ТР-1 и НР в целом. Так, если n
гi на участке обращения электровозов ГД в месяц МРГД составляет 60 пар грузовых поездов, то в соответствии с
формулой (5.1) пропускная способность этого УО по пяти стойлам i-депо без выделения из их числа одного стойла только для НР составляет:
nмi = 60 : 0,562 = 106,8 пар поездов,
а при выделении такого стойла:
n*мi = 60 : 0,532 = 112,8 пар поездов,
n**мi = 60 : 0,802 = 74,8 пар поездов,
где n*мi, n**мi - пропускная способность УО, определенная по загрузке соответственно четырех стойл для ТР-1 и одного стойла, специализированного только для НР.
Выделение стойла для выполнения НР в данном случае привело к сокращению загрузки четырех стойл для ТР-1 с 0,562 до 0,532, но повысило загрузку стойла для НР с 0,596 до 0,802. При этом пропускная способность УО снизилась вследствие невозможности i-депо выполнять неплановые ремонты электровозам ГД лишь на одном стойле при увеличении размеров грузового движения, превышающем 74,8 пар поездов.
2.2. Расчет для i-депо, выполняющего ТО-3, ТР-1 и НР тепловозов
Исходные данные:
рассматриваемое i-депо выполняет технические обслуживания ТО-3, ремонты ТР-1 и НР для 119 тепловозов ГД (в т.ч. 28 вывозных и передаточных), 16 пассажирских, 47 маневровых тепловозов, а также для 8 тепловозов, используемых в хозяйственном движении и на прочей работе;
обслуживание указанного числа тепловозов выполняется на четырех специализированных группах стойл, далее обозначаемых как a, b, e, s и предназначенных:
a - для ТО-3 тепловозов ГД (без передаточных и вывозных); данная группа включает в себя два стойла (Maнi = 2);
b - для ТР-1 и НР тепловозов ГД (без передаточных и вывозных); эта группа состоит также из двух стойл (Mbнi = 2);
e - для ТО-3, ТР-1 и НР тепловозов вывозных, передаточных, а также пассажирского и хозяйственного движения; она состоит из трех стойл (Meнi = 3);
s - для ТО-3, ТР1 и НР маневровых тепловозов (Msнi = 2).
календарная продолжительность месяца МРГД составляет 30 суток;
группы стойл a и b, предназначенные для обслуживания тепловозов ГД, используются без праздничных и выходных дней, круглосуточно, т.е. rai = rbi = 30 сут. и Фai = Фbi = 24 ч;
группы стойл e и s используются только по рабочим дням (для них

,

);
значения остальных показателей, используемых для расчета и относящихся к месяцу МРГД, представлены в
таблице П6.2.
Показатели | Значения показателей для тепловозов |
наименование | вид обслуж. | норма, факт | измеритель | грузового дв. | в т.ч. вывозн. и передаточн. | пасс. дв. | хоз. дв. | маневров. раб. |
Межремонтный период | ТО-3 | норма | тыс. км | 10 | | 15 | | |
сут. | | 28 | | 28 | 40 |
ТР-1 | норма | тыс. км | 50 | | 50 | | |
мес | | 6 | | 6 | 9 |
ТР-2 | норма | тыс. км | 150 | | 200 | | |
мес | | 12 | | 12 | 18 |
Простой на ТО-3, ТР-1, НР | ТО-3 | норма | час | 18 | 17 | 15 | 16 | 8 |
факт | час | 27,5 | 24,1 | 21,0 | 19,3 | 9,1 |
ТР-2 | норма | час | 42 | 24 | 36 | 24 | 24 |
факт | час | 53,4 | 47,7 | 39,8 | 42,5 | 26,2 |
НР | факт | час | 48,6 | 34,3 | 30,8 | 26,5 | 12,2 |
Удельное число ремонтов | НР | факт | рем ----- млн. км | 22,8 | 18,1 | 9,4 | 7,6 | 5,3 |
Суммарный пробег тепловозов за месяц МРГД | факт | тыс. км -------- млн. км | 606,7 | 116,7 | 118,3 | 24,5 | |
Среднесуточное число тепловозов в экспл. парке | факт | лок ---- сут. | | 23,8 | | 6,8 | 42,3 |
--------------------------------
<*> - величина, определенная по условному пробегу (105 км/сут.) маневрового тепловоза эксплуатируемого парка.
Определение среднесуточного числа ТО и ремонтов
Первоначально определяется потребное среднесуточное (в месяц МРГД) число ТО-3, ТР-1 и НР для тепловозов грузового движения (без вывозных и передаточных) в соответствии с
формулами (5.14) и
(5.15):

;

;

;
ПГiНР = 22,8·0,6066 : 30 = 0,461 НР/сут.
Далее по тем же формулам и для того же месяца вычисляется среднесуточное число ТО-3, ТР-1 и НР для пассажирских тепловозов:

;

;
ППСiНР = 9,4·0,1183 : 22 = 0,051 НР/сут.
Затем по
формулам (5.16) и
(5.17) рассчитывается среднесуточное в месяц МРГД число ТО-3, ТР-1 и НР для вывозных и передаточных тепловозов:

;

;
ПВПiНР = 18,1·0,1167 : 22 = 0,096 НР/сут;
для маневровых тепловозов:

;
ПМiНР = 5,3·0,1332 : 22 = 0,032 НР/сут.;
для тепловозов хозяйственного движения:

;

;
ПХiНР = 7,6·0,0245 : 22 = 0,008 НР/сут.
В приведенных выше расчетах числа ТО-3 и ТР-1 для вывозных, передаточных и хозяйственных тепловозов нормативная наработка до ТР-1 (6 месяцев) представлена как 365 x 0,5; в расчетах числа ТР-1 для маневровых тепловозов нормативные наработки до ТР-1 и ТР-2 (соответственно 9 и 18 месяцев) приведены в виде 365 x 0,75 и 356 x 1,5.
Оценка загрузки стойл
Расчет коэффициента К выполняется по отдельности для каждой из групп стойл.
Для a-группы стойл, на которых выполняется только ТО-3 тепловозам ГД, величина

, согласно
формуле (5.20), определяется как

. По
формуле (5.23) рассчитывается:

,
| | ИС МЕГАНОРМ: примечание. Здесь и далее в официальном тексте документа, видимо, допущена опечатка: имеется в виду таблица 5.3, а не П6.2. | |

.
С учетом величины

вычисляется

для ТО-3.
Поскольку на a-группе стойл выполняются только ТО-3 тепловозам ГД, то с учетом
формулы (5.30) значение К
ai для этих двух стойл определится как:

,
где Maнi - наличное число стойл a-группы в i-депо, т.е. 2 стойла;

- коэффициент, значение которого в соответствии с
таблицей 5.2 для двух стойл составляет 0,942.
Следовательно, коэффициент использования a-группы стойл в месяц МРГД составляет:

.
Для b-группы стойл, на которых производятся ТР-1 и НР только тепловозам ГД (за исключением вывозных и передаточных), потребное число стойл в месяц МРГД

вычисляется по
формулам (5.24) и
(5.25):

,
где

. Отношение

, согласно
таблицы 5.2, составляет 53,4/42 = 1,271 и, следовательно:

;
Mгi1 = 0,354·1,057 = 0,374 стойл для ТР-1.

.
Согласно
подпункта 5.3.2.8 настоящей Инструкции

и, следовательно, M
гiнр = 0,746 стойл для НР.
Потребность в стойлах для ТР-1 и НР тепловозов ГД:

.
Значение коэффициента использования данной b-группы стойл:
Для e-группы стойл, предназначенной для обслуживания тепловозов ГД (вывозных и передаточных), а также тепловозов, используемых в грузовом и хозяйственном движении, коэффициент Кei характеризует загрузку стойл этой группы только обслуживанием тепловозов ГД.
Величина К
ei вычисляется в соответствии с
формулой (5.2), при этом значения

и

рассчитываются с использованием
формул (5.20) и
(5.22) и для их применения предварительно определяются M
гi3, M
гi1, M
гiнр, а также M
пi3, M
пi1, M
пiнр.
Для вывозных и передаточных локомотивов:

.
| | ИС МЕГАНОРМ: примечание. В официальном тексте документа, видимо, допущена опечатка: имеется в виду таблица 5.3, а не П4.2.1. | |
и тогда:
Mвпi3 = 1,017·1,174 = 1,256 стойл для ТО-3.
Потребное число стойл для ТР-1 вывозных и передаточных тепловозов вычисляется в такой же последовательности.

;

;

;
Mвпi1 = 0,086·1,63 = 0,140 стойл для ТР-1.
Число стойл, необходимое для НР вывозных и передаточных тепловозов:
Mвпiнр = 0,8·0,096·34,3 : 16,4 = 0,161 стойл.
Суммарная потребность в стойлах для этих тепловозов:

.
Применительно к выполняемым на той же e-группе стойл ТО-3, ТР-1 и НР пассажирских тепловозов вычисления производятся в порядке, аналогичном изложенному выше:

;
Mпсi3 = 0,23·1,16 = 0,267 стойл для ТО-3;

;

и, следовательно,

и M
псi1 = 0,147 стойл для ТР-1;
Mпсiнр = 0,8·0,051·30,8 : 16,4 = 0,077 стойл для НР.
Суммарная потребность в стойлах для пассажирских тепловозов составляет:
Mпсi = 0,267 + 0,147 + 0,077 = 0,491 стойла
В той же последовательности определяется суммарная потребность стойл для выполнения ТО-3, ТР-1 и НР тепловозов хозяйственного движения:

;

;

;
Mхi3 = 0,273·1,005 = 0,244 стойл для ТО-3;

;

;

;
Mхi1 = 0,017·1,457 = 0,025 стойл для ТР-1;
Mхiнр = 0,8·0,008·26,5 : 16,4 = 0,010 стойл для НР.
Mхi = 0,244 + 0,025 + 0,010 = 0,279 стойл.
Потребность i-депо в стойлах для производства ТО-3, ТР-1 и НР для тепловозов пассажирского и хозяйственного движения составляет:

.
С учетом того, что для наличного числа стойл e-группы M
'нe = 3 величина

по
таблице 5.2 составляет 0,951, определяется:

.
Таким образом, степень возможного увеличения численности эксплуатируемого парка вывозных и передаточных тепловозов (при возрастании размеров грузового движения на УО, обслуживаемом i-депо) ограничена 25-ю процентами вследствие выполнения этим локомотивам ТО-3, ТР-1 и НР на трех стойлах e-группы, используемых одновременно для ТО-3, ТР-1 и НР тепловозов пассажирского и грузового движения.
В соответствии с
подпунктом 5.2.4.5 настоящей Инструкции выполняется оценка загрузки e-группы стойл i-депо, на которых обслуживаются маневровые тепловозы. Значения M
мi3, M
мi1 и M
мiнр определяются с использованием ранее определенных величин среднесуточной потребности в выполнении этим тепловозам ТО-3, ТР-1 и НР, т.е. П
мi3, П
мi1, П
мiнр:

;

;

; M
мi3 = 0,6·1,14 = 0,684 стойл для ТО-3;

;

и, следовательно,

, M
мi1 = 0,078 стойл для ТР-1;
Mмiнр = 0,8·0,032·12,2 : 16,4 = 0,019 стойл для НР.
Поскольку на двух стойлах s-группы обслуживаются только маневровые тепловозы, то значение коэффициента Кsi для этой группы вычисляется:

;
Кsi = (0,684 + 0,078 + 0,019)/0,942·2 = 0,415.
Пропускная способность стойловой части депо
Таким образом, с использованием исходных данных для рассмотренного примера и с применением способа расчета, представленного в
пункте 5.3.2 настоящей Инструкции, определены значения коэффициентов загрузки (К) четырех групп специализированных стойл i-депо. Эти значения характеризуют резерв пропускной способности указанных групп стойл, который может быть использован для увеличения пропускной способности УО, обслуживаемого приписным парком локомотивов i-депо. В данном примере - в соответствии с принятой специализацией стойл - значения К определены по отдельности для ТО-3 (К
ai) и для ТР-1, НР (К
bi) тепловозов ГД, за исключением вывозных и передаточных (ВП). Применительно к тепловозам ВП при расчете величины К
ei учтено, что на стойлах e-группы обслуживаются также локомотивы пассажирского и хозяйственного движения.
Сопоставлением значений "К" установлено Кai = 0,813 > Кei = 0,747 > Кbi = 0,594. Из этого следует, что возможное увеличение размеров грузового движения на УО, обслуживаемом тепловозами i-депо, лимитировано в наибольшей степени загрузкой стойл a-группы, на которых производятся ТО-3 грузовым локомотивам. Следующим (по значимости) ограничением является уровень загрузки e-группы стойл.
Дополнительно оценены возможности i-депо по s-группе стойл, на которых обслуживаются только маневровые тепловозы. При этом установлено, что Кsi < Кbi < Кei < Кai, т.е. увеличение численности эксплуатируемого парка маневровых тепловозов при возможном росте размеров грузового движения не будет ограничено пропускной способностью s-группы стойл.
Если данное i-депо является единственным, обслуживающим грузовое движение тепловозами, эксплуатируемыми на рассматриваемом УО, а также в случае, если УО обслуживается и другими депо, но при этом именно i-депо в наибольшей степени ограничивает (по пропускной способности стойл для ТО-3, ТР-1 и НР тепловозов ГД) увеличение размеров грузового движения, то необходима своевременная разработка мер, прежде всего, по снижению загрузки стойл этого депо первоочередному рассмотрению в данном примере подлежат возможности i-депо по уменьшению Кai - за счет, например, выполнения ТО-3 тепловозам хозяйственного движения на стойлах не a-группы, а на стойлах s-группы (как наименее загруженных). Далее целесообразно оценить возможность корректировки назначения четырех стойл a-группы и b-группы за счет совместной их специализации на выполнении ТО-3, ТР-1 и НР тепловозов ГД (за исключением ВП-локомотивов).
В общем случае подлежат рассмотрению и меры, направленные на сокращение фактической длительности нахождения локомотивов на стойлах за счет повышения качества технического обслуживания и ремонта, совершенствования организации труда в ремонтных подразделениях депо, улучшения материально-технического обеспечения и оснащенности депо, а также его обоснованной реконструкции.
к Инструкции по расчету
пропускной и провозной способностей
железных дорог ОАО "РЖД"
НОРМЫ ПРОИЗВОДИТЕЛЬНОСТИ ПЕСКОСУШИЛЬНЫХ ПЕЧЕЙ
Тип печи | Производительность, м3/ч |
Сура (чугунная) | 0,2 |
Жаротрубная | 0,5 |
СОБУ-1 | 0,9 |
СОБУ-1 (барабанная горизонтальная) | 1,4 |
СОБУ-2 | 1,9 |
Диаметром 1000 мм | 2,5 |
к Инструкции по расчету
пропускной и провозной способностей
железных дорог ОАО "РЖД"
ОПРЕДЕЛЕНИЯ ЗНАЧЕНИЙ КОЭФФИЦИЕНТА НАДЕЖНОСТИ
ЖЕЛЕЗНОДОРОЖНОЙ ИНФРАСТРУКТУРЫ И ПОДВИЖНОГО СОСТАВА
Значения коэффициентов надежности железнодорожной инфраструктуры и подвижного состава при расчетах наличной пропускной способности определяются для оценки влияния наличной надежности железнодорожной инфраструктуры и подвижного состава

.
Определение

производится на основании статистических данных Комплексной автоматизированной системы учета, контроля устранения отказов в работе технических средств и анализа их надежности (КАСАНТ) о числе и продолжительности отказов технических средств 1, 2 и 3-ей категорий на расчетных участках (как правило между станциями смены локомотивных бригад), где осуществляется остановка большинства грузовых поездов.

(П8.1)
где
nотк - число ниток поездов, снятых отказами технических средств и подвижного состава за отчетный период (принимается по данным КАСАНТ о количестве поездов, имевших потери поездо-часов в связи с отказами за расчетный период, или рассчитывается в соответствии с
формулами (П8.2) и
(П8.3);
kрег - коэффициент регенерации (восстановления) графика движения, учитывающий восполнение графика за счет возможности отправления поездов на нитки поездов, снятых отказами, на участке, расположенном за местом возникновения отказа, а также возможное совпадение отказов на участке по времени
(рисунок П8.1);
D - число дней в расчетном периоде;
nнал - пропускная способность перегона при параллельном графике без учета нормативного коэффициента надежности инфраструктуры и подвижного состава, пар поездов/сут.;

- коэффициент съема
i-ой категории поездов;
ni - число пар поездов i-ой категории в сутки.
На двухпутных участках nотк определяется по формуле:

(П8.2)
На однопутных участках nотк определяется по формуле:

(П8.3)
где nо - общее число отказов за отчетный период;
tотк - средняя продолжительность перерыва в движении поездов за отчетный период в связи с отказом технических средств, мин.;
Iр - межпоездной интервал на участке, мин.;
Tпер - период графика на ограничивающем перегоне участка, мин.;
K - расчетное число поездов в периоде графика
Tпер (см.
подраздел 2.2 настоящей Инструкции).
При проведении расчетов значения
kрег может приниматься равным

на двухпутной линии и

на однопутной.
На
рисунке П8.1 показано, что количество "ниток" поездов, "снятых" отказом технических средств, вызвавшим перерыв в движении поездов, частично компенсировано к концу участка отправлением поезда 2101 со станции "д".
к Инструкции по расчету
пропускной и провозной способностей
железных дорог ОАО "РЖД"
ОПРЕДЕЛЕНИЯ ФАКТИЧЕСКОГО И НОРМАТИВНОГО СУТОЧНОГО
БЮДЖЕТА ВРЕМЕНИ В ГОДОВОМ РАЗРЕЗЕ, НЕОБХОДИМОГО
ДЛЯ ВЫПОЛНЕНИЯ ТЕКУЩЕГО СОДЕРЖАНИЯ И ПЛАНОВЫХ
РЕМОНТНЫХ РАБОТ ТЕХНИЧЕСКИХ СРЕДСТВ ИНФРАСТРУКТУРЫ
1. Суточный бюджет времени в годовом разрезе для выполнения текущего содержания и плановых ремонтных работ технических средств инфраструктуры при определении наличной пропускной способности
При определении наличной пропускной способности tтех рассчитывается на основании данных о предоставляемых технологических "окнах" в среднем за сутки i-го месяца:

(П9.1)
где tiтех - средняя продолжительность технологического "окна" в минутах в сутки i-го месяца;

- суммарная продолжительность технологических "окон" в планируемый месяц на расчетном участке, определяемая на основе данных автоматизированной системы планирования и контроля выполнения технологических "окон" (АС АПВО), мин. Значения суммарной продолжительности технологического "окна" в минутах в сутки должно определяться с учетом одновременного проведения технологических "окон" на разных перегонах участка "в створе" для выявления фактического времени для участка, не используемого для движения поездов;
Di - количество дней технологических "окон" в отчетный месяц.
Значение продолжительности суточного бюджета времени, необходимого для выполнения текущего содержания и плановых ремонтных работ технических средств инфраструктуры в годовом разрезе, для расчетного участка определяется по формуле:

(П9.2)
2. Суточный бюджет времени в годовом разрезе для выполнения текущего содержания и плановых ремонтных работ технических средств инфраструктуры при планировании на период до 3 - 5 лет
Определение продолжительности суточного бюджета времени, необходимого для выполнения работ по текущему содержанию технических устройств и плановых видов ремонта устройств при планировании на период до 3 - 5 лет осуществляется по формуле:
где tтс - суточный бюджет времени, необходимый для проведения работ по текущему содержанию технических устройств, минут в сутки;
tрем - суточный бюджет времени, необходимый для ремонта инфраструктуры в годовом разрезе, минут в сутки.

(П9.4)

- продолжительность капитального ремонта в межремонтном цикле;

- суточный бюджет времени, необходимый для ликвидации просроченных видов капитального ремонта инфраструктуры в годовом разрезе, не запланированный в величине

, минут в сутки.
Соответственно для планирования возможностей освоения перевозок на период до 3 - 5 лет необходимо:
учитывать tтс и tрем как обязательные составляющие перевозочного процесса при расчетах пропускной способности;
на участках с просроченными видами капитального ремонта предусматривать планируемые объемы работ по их ликвидации и соответствующие технологического "окна" для их выполнения

помимо плановой работы по капитальным ремонтам;
исходные данные для расчета

на участках с просроченными видами капитальных ремонтов (в части дислокации, объемов, потребных временных затрат) определять на основе данных Центральной дирекции инфраструктуры.

(П9.5)

- протяженность перегонов с
i-ым видом просроченного капитального ремонта на участке, км;

- общая продолжительность ремонтов
i-го вида одного километра перегона на участке, ч.
На участках, на которых отсутствует нарушение сроков по капитальным видам ремонта,

.

(П9.6)
где tрем.пер. - общая продолжительность закрытия перегонов, ч;
tмежрем.срок.д. - межремонтный срок в днях;
lпер.сред. - средняя длина перегона на участке, км;
Tуч - общая продолжительность ремонтов одного километра перегона на участках, ч;
Tмежрем.тоннаж - межремонтный тоннаж, рассчитываемый в соответствии с
приложением N 1 к Правилам технической эксплуатации железных дорог Российской Федерации, утвержденных приказом Минтранса России от 21 декабря 2010 г. N 286, млн. т брутто;
Q - грузонапряженность на участке, млн. т км брутто в год.
Примечания:
1. В случаях, когда в расчете принято

, но на рассчитываемом участке имеет место несоблюдение установленных межремонтных сроков, в составе исходных данных должно приниматься соответствующее увеличение перегонных времен хода поездов из-за длительно действующих ограничений скорости, а также снижение величины

из-за вероятного увеличения числа и длительности технических отказов.
| | ИС МЕГАНОРМ: примечание. В официальном тексте документа, видимо, допущена опечатка: имеются в виду формулы (П9.3) - (П9.6), а не (П5.2.3) - (П5.2.6). | |
2.
Формулы (П5.2.3) -
(П5.2.6) служат для определения среднесуточных затрат времени, приходящихся на ремонт инфраструктуры, в среднем на протяжении всего межремонтного срока. При определении пропускной способности, необходимой для условий определенного года эксплуатации, в
формулы (П5.2.3) -
(П5.2.6) подставляются данные по конкретным объемам предоставляемых технологических "окон" для ремонтов инфраструктуры и для строительно-монтажных работ в конкретные внутригодовые периоды ведения этих работ.
к Инструкции по расчету
пропускной и провозной способностей
железных дорог ОАО "РЖД"
ПАРАМЕТРЫ КОЭФФИЦИЕНТОВ НАДЕЖНОСТИ И СУТОЧНОГО БЮДЖЕТА
ВРЕМЕНИ В ГОДОВОМ РАЗРЕЗЕ, НЕОБХОДИМОГО ДЛЯ ВЫПОЛНЕНИЯ
ТЕКУЩЕГО СОДЕРЖАНИЯ И ПЛАНОВЫХ РЕМОНТНЫХ РАБОТ ТЕХНИЧЕСКИХ
СРЕДСТВ ИНФРАСТРУКТУРЫ В ЗАВИСИМОСТИ ОТ СПЕЦИАЛИЗАЦИИ
И КЛАССИФИКАЦИИ ЛИНИЙ (
И tтех)
Специализация железнодорожных линий определяется в соответствии с
таблицей П10.1.
Специализация железнодорожных линий | Условные обозначения | Параметры специализации железнодорожных линий |
Высокоскоростная железнодорожная линия | В | Установленная скорость движения пассажирских поездов более 200 км/ч |
Скоростная железнодорожная линия | С | Установленная скорость движения пассажирских поездов от 141 до 200 км/ч включительно |
Железнодорожная линия с преимущественно пассажирским движением | П | Суммарные размеры движения пассажирских и пригородных поездов по поездо-участку более 60% общего количества пар поездов в сутки в соответствии с нормативным графиком движения поездов |
Особо грузонапряженная железнодорожная линия | О | Грузонапряженность более 150 млн ткм брутто/км в год |
Железнодорожная линия с тяжеловесным грузовым движением | Т | Норма массы состава грузового поезда в нормативном графике движения поездов 6300 т и более; доля размеров движения поездов массой состава 6300 т и более - 15% и более от суммарных размеров движения грузовых поездов по линии |
Малоинтенсивная линия | М | Суммарные размеры движения пассажирских и грузовых поездов не более 8 пар поездов в сутки; приведенная грузонапряженность 5,0 млн ткм брутто/км в год и менее. |
Железнодорожная линия с преимущественно грузовым движением | Г | При несоблюдении остальных условий |
Для малоинтенсивных железнодорожных линий:
значения aн и tтех принимаются независимо от класса железнодорожной линии и составляют 0,95 и 75 мин. в сутки соответственно.
Для высокоскоростных железнодорожных линий:
значения aн и tтех принимаются независимо от класса железнодорожной линии и составляют 0,96 и 150 мин. в сутки соответственно.
Для скоростных железнодорожных линий:
Таблица П10.2
Значения коэффициента надежности
для скоростной железнодорожной линии
Таблица П10.3
Значения
tтех для скоростной железнодорожной линии
Для железнодорожной линии с преимущественно пассажирским движением:
Таблица П10.4
Значения коэффициента надежности для железнодорожной линии
с преимущественно пассажирским движением
Таблица П10.5
Значения
tтех для железнодорожной линии
с преимущественно пассажирским движением
Для особо грузонапряженных железнодорожных линий:
Таблица П10.6
Значения коэффициента надежности
для особо грузонапряженной железнодорожной линии
--------------------------------
<*> - при приведении инфраструктуры в высокую степень надежности
Таблица П10.7
Значения
tтех для особо грузонапряженной
железнодорожной линии
Для железнодорожных линий с тяжеловесным грузовым движением:
Таблица П10.8
Значения коэффициента надежности для железнодорожной линии
с тяжеловесным грузовым движением
Таблица П10.9
Значения
tтех для железнодорожной линии с тяжеловесным
грузовым движением
Для железнодорожной линии с преимущественно грузовым движением:
Таблица П10.10
Значения коэффициента надежности для железнодорожной линии
с преимущественно грузовым движением
Таблица П10.11
Значения
tтех для железнодорожной линии
с преимущественно грузовым движением