Главная // Актуальные документы // Ведомость (форма)СПРАВКА
Источник публикации
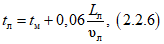
В данном виде документ опубликован не был.
Первоначальный текст документа также опубликован не был.
Информацию о публикации документов, создающих данную редакцию, см. в справке к этим документам.
Примечание к документу
Документ утратил силу в связи с изданием
Распоряжения ОАО "РЖД" от 04.03.2022 N 545/р. Взамен введена в действие
Инструкция по расчету пропускной и провозной способностей железных дорог ОАО "РЖД".
Название документа
"Инструкция по расчету наличной пропускной способности железных дорог"
(утв. ОАО "РЖД" 10.11.2010 N 128)
(ред. от 24.01.2019)
"Инструкция по расчету наличной пропускной способности железных дорог"
(утв. ОАО "РЖД" 10.11.2010 N 128)
(ред. от 24.01.2019)
Первый Вице-президент
ОАО "РЖД"
В.Н.МОРОЗОВ
10 ноября 2010 г. N 128
Согласовано
Старший Вице-президент
ОАО "РЖД"
В.А.ГАПАНОВИЧ
8 ноября 2010 года
Согласовано
Вице-президент
ОАО "РЖД"
В.Г.ЛЕМЕШКО
6 ноября 2010 года
ИНСТРУКЦИЯ
ПО РАСЧЕТУ НАЛИЧНОЙ ПРОПУСКНОЙ СПОСОБНОСТИ
ЖЕЛЕЗНЫХ ДОРОГ
| | Список изменяющих документов ОАО "РЖД" от 24.01.2019 N 114/р) | |
Техническая возможность железных дорог по обеспечению перевозок пассажиров и грузов определяется наличной пропускной способностью основных устройств и сооружений. Настоящей Инструкцией устанавливается порядок проведения расчетов по определению наличной пропускной способности основных устройств инфраструктуры железнодорожного транспорта. Расчеты наличной пропускной способности должны базироваться на основе действующих Правил и Положений по использованию технических средств, их паспортных данных, применению прогрессивных технологических процессов выполнения операций, передовых приемов труда.
Инструкция предназначена для использования плановыми, проектными, производственными и научными организациями при оценке существующей мощности железнодорожных направлений и определения необходимости их технического развития на долгосрочную и краткосрочную перспективу. Определение потребности в развитии постоянных устройств железнодорожного транспорта производится в соответствии со специальными методическими указаниями. На основе расчетов определяются меры технического перевооружения, на основе которых устанавливаются потребные инвестиции.
Расчеты наличной пропускной способности по существу являются технической паспортизацией железнодорожных направлений и должны проводиться не реже одного раза в пять лет. Коррективы в расчеты должны вноситься всякий раз при реконструкции и изменении технического оснащения устройств, а также внедрении новых способов их эксплуатации.
Расчет наличной пропускной способности всех устройств ведется по выделенным участкам, которые, как правило, ограничиваются станциями, где предусмотрено выполнение технических операций: расформирование и формирование поездов, отцепка и прицепка локомотивов, подготовка составов поездов в рейс, оборот пригородных поездов. Расчетный участок характеризуется близкими по величине размерами грузового и пассажирского движения, одинаковым числом главных путей и средствами сигнализации и связи при движении поездов в его пределах. Перечень участков для расчета наличной пропускной способности утверждается руководством ОАО "РЖД" и является одинаковым для всех устройств инфраструктуры.
Наличная пропускная способность расчетного участка определяется по следующим элементам:
- перегонам;
- станциям (приемо-отправочные пути и их стрелочные горловины);
- устройствам электроснабжения электрифицированных линий;
- по деповским и экипировочным устройствам локомотивного хозяйства.
Результативная пропускная способность на расчетном участке устанавливается по устройству, которое имеет наименьшую пропускную способность. По другим устройствам проверяется возможность пропуска размеров движения, которые получены расчетом по лимитирующему устройству.
Результативная пропускная способность направления устанавливается по участку, имеющему наименьшую величину расчетной результативной пропускной способности.
Методология расчета наличной пропускной способности должна позволять получать объективные, реальные данные по возможности выполнения перевозок на направлении, т.е. учитывать необходимость использования части суточного бюджета времени для выполнения работ по текущему содержанию устройств, а также компенсации потерь времени из-за отказов в работе технических средств.
Инструкция состоит из двух частей. В первой части изложены методические положения по проведению расчетов, а во второй - приложения к ним.
Инструкция разработана ОАО "Научно-исследовательский и проектно-конструкторский институт информатизации, автоматизации и связи на железнодорожном транспорте" (ОАО "НИИАС"), ОАО "Научно-исследовательский институт железнодорожного транспорта" (ОАО "ВНИИЖТ"), при участии Института технико-экономических изысканий и проектирования железнодорожного транспорта ("Гипротранстэи" - филиал ОАО "РЖД").
1. РАСЧЕТ ПРОПУСКНОЙ СПОСОБНОСТИ ЖЕЛЕЗНОДОРОЖНЫХ
УЧАСТКОВ ПО ПЕРЕГОНАМ
1.1.1. Наличной пропускной способностью железнодорожного участка называется максимальное число грузовых поездов (пар поездов) установленных веса и длины, которое может быть пропущено по этому участку за сутки в зависимости от его технической оснащенности и принятого способа организации движения поездов.
Наличная пропускная способность участка определяется по каждому главному пути. На участках, где фактическое число обращающихся пассажирских поездов превышает 70% от общих размеров движения, пропускная способность подсчитывается в пассажирских поездах.
1.1.2. Исходными данными для расчета наличной пропускной способности являются:
- количество главных путей на перегоне;
- средства сигнализации и связи по движению поездов;
- путевое развитие промежуточных раздельных пунктов;
- принятый тип графика движения;
- времена хода поездов по перегонам;
- станционные и межпоездные интервалы;
- особые условия организации движения поездов (подталкивание или двойная тяга поездов, обслуживание примыканий на перегоне, порядок следования по сплетениям путей, перегонам с однопутными мостами на двухпутных линиях и др.).
1.1.3. Если в пределах расчетного участка имеется станция с примыканием одного или нескольких направлений, то определение наличной пропускной способности производится отдельно для части участка до указанной станции и после нее. Одновременно подсчитывается наличная пропускная способность участков примыкания от станции разветвления линий до их границы.
1.1.4. Способ организации движения характеризуется типом применяемого графика движения поездов.
1.1.5. Графики движения поездов классифицируются по следующим типам в зависимости от:
- числа главных путей:
- однопутные;
- однопутно-двухпутные (однопутные участки с двухпутными вставками);
- двухпутные;
- многопутные;
- используемых средств сигнализации и связи при движении поездов:
- пакетные и частично-пакетные, когда на перегоне может находиться
несколько поездов попутного направления. Применяются на линиях с
автоматической блокировкой;
- пачечные, когда на перегоне может находиться один поезд попутного
направления. Применяются только на однопутных линиях, не
оборудованных автоблокировкой;
- соотношения времен хода поездов по участку и перегонам:
- параллельные (время хода по перегону поездов различных категорий
одинаковое);
- непараллельные (не одинаковое время хода поездов по перегонам).
1.1.6. Наличная пропускная способность участка по перегонам определяется при параллельном графике движения поездов с округлением полученного результата до ближайшего целого значения в меньшую сторону. При этом на двухпутных линиях расчет ведется исходя из применения только пакетного графика движения поездов, а на однопутных линиях - при применении обоих типов графика в зависимости от средств сигнализации и связи по движению поездов.
1.1.7. Наличная пропускная способность по перегонам определяется с учетом исключения для движения поездов части суточного бюджета, необходимого для выполнения работ по содержанию технических устройств и плановых видов ремонта устройств, а также компенсации потерь, вызванных отказами в работе технических средств.
1.1.8. Времена хода по перегонам грузовых поездов расчетного веса, подсчитываемого исходя из руководящего подъема на участке, определяются тяговыми расчетами с последующей проверкой опытными поездками.
1.1.9. Станционный интервал - минимально необходимое время для выполнения операций по приему, отправлению или пропуску поездов через раздельный пункт с путевым развитием (разъезд, обгонный пункт или станция).
Межпоездной интервал - минимальное время, которым разграничивают поезда при следовании по перегонам на участках, оборудованных автоматической блокировкой.
Порядок определения станционных и межпоездных интервалов устанавливается Инструкцией по определению станционных и межпоездных интервалов, утверждаемой руководством ОАО "РЖД".
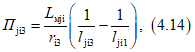
1.2. Расчет наличной пропускной способности однопутных перегонов
1.2.1. Наличная пропускная способность перегона определяется делением суточного бюджета времени на период графика движения поездов.
1.2.2. Периодом графика на однопутных участках называется время занятия перегона группой поездов, характерной для принятого графика.
1.2.3. Расчет пропускной способности выполняется по каждому перегону, а определение результирующей пропускной способности участка производится по ограничивающему перегону. Ограничивающим называется перегон, имеющий наименьшую пропускную способность из всех перегонов участка. Ограничивающий перегон устанавливается следующим образом:
- определяется перегон с наибольшей суммой времен хода четного и нечетного поездов - максимальный перегон;
- на максимальном перегоне выбирается схема прокладки поездов, обеспечивающая наименьший период графика, а при наличии особых условий пропуска поездов - схема, обеспечивающая их выполнение. Чаще всего встречается четыре варианта схем прокладки
(рис. 1.1), а именно:
- безостановочный пропуск поездов на ограничивающий перегон
(схема 1);
- безостановочный пропуск поездов с ограничивающего перегона
(схема 2);
- безостановочное проследование раздельных пунктов ограничивающего перегона поездами четного направления
(схема 3);
- безостановочное проследование указанных раздельных пунктов поездами нечетного направления
(схема 4).

,

- время хода поездов по перегону соответственно в нечетном и четном направлениях без учета их разгонов и замедлений, мин;

,

- соответственно время разгона и замедления поезда, мин;

,

- станционные интервалы скрещения и неодновременного прибытия, мин.
- если на участке есть перегоны, близкие по сумме времен хода четных и нечетных поездов к максимальному перегону, но с большими значениями станционных интервалов, то для них также рассчитывается период графика сообразно выбранной схеме прокладки поездов на максимальном перегоне;
- ограничивающим будет перегон (из всех рассматриваемых), имеющий наибольший период графика.
1.2.4. Наличная пропускная способность однопутных участков, не оборудованных автоблокировкой, расчетный фрагмент графика движения для которых приведен на
рисунке 1.2, определяется в парах поездов по формуле:
где

- период графика движения, мин;

- суммарное время хода пары поездов по ограничивающему перегону с учетом их разгонов и замедлений, предусмотренные схемой пропуска, установленной в соответствии с
п. 1.2.3, мин;

,

- соответственно станционные интервалы по раздельным пунктам а и б, предусмотренных схемой пропуска, установленной в соответствии с
п. 1.2.3, мин;

- продолжительность суточного бюджета времени, выделяемого для производства плановых ремонтно-строительных работ, мин;

- коэффициент, учитывающий надежность работы технических средств (инфраструктуры и подвижного состава).
1.2.5. Продолжительность суточного бюджета времени, необходимого для выполнения ремонтно-строительных работ, зависит от технологии их ведения, количества главных путей и типа применяемых машин и механизмов.
При существующих средствах механизации и технологии ведения работ величина

в расчетах наличной пропускной способности принимается для однопутных линий равной 75 мин, линий с двухпутными вставками - 90 мин и для двухпутных - 150 мин.
1.2.6. Величина коэффициента надежности инфраструктуры и подвижного состава

определяется в зависимости от вида тяги и числа главных путей на перегоне. Коэффициент надежности учитывает паспортную надежность технических средств инфраструктуры и возможные вероятные отказы в их работе в процессе эксплуатации. Доля суточного бюджета времени, которая используется для пропуска при наличии отказов в работе постоянных технических устройств (пути, средств связи по движению поездов, устройств энергоснабжения), определяется на основе нормативного коэффициента надежности

, который для двухпутных линий составляет
0,97, а - однопутных -
0,98. Помимо отказов в работе постоянных технических средств, в процессе эксплуатации возникают отказы в работе подвижного состава. С учетом отказов подвижного состава в целом коэффициент надежности при расчете наличной пропускной способности принимается на электрифицированных однопутных линиях
0,93, а при тепловозной тяге 0,92. На двухпутных линиях величина коэффициента надежности принимается при электротяге
0,96, а при тепловозной тяге -
0,95.
1.2.7. На участках, имеющих устойчивую непарность размеров движения, при которой число грузовых поездов в одном направлении составляет менее 90% числа поездов в другом, пропускная способность определяется при непарном графике
(рис. 1.3) количеством поездов для каждого направления.
При этом в направлении, для которого большая необходимость в пропуске поездов, пропускная способность определяется по формуле:
Для обратного направления с меньшими размерами движения:
где

- коэффициент непарности, равный отношению числа грузовых поездов в направлении с меньшими размерами движения к числу поездов обратного направления;

- интервал попутного следования поездов, мин.
1.2.8. На однопутных линиях при наличии на перегоне блокпоста (расчетная схема графика
(рис. 1.4)) пропускная способность определяется при парном графике движения по
формуле 1.2.1, а непарном по
формулам 1.2.2 и
1.2.3 с подстановкой значений

и

,
где

и

- наибольшее время хода поезда в минутах между раздельным пунктом и постом с учетом разгона и замедления соответственно в четном и нечетном направлении.
1.2.9. Пропускная способность перегонов, на которых применяется подталкивание или кратная тяга, определяется в зависимости от системы эксплуатации вспомогательных локомотивов. Целесообразность применения подталкивания или кратной тяги должна быть обоснована специальными технико-экономическими расчетами. Пропускная способность в этих случаях рассчитывается исходя из условия, что вспомогательными локомотивами обслуживаются все поезда весовой нормы, установленной исходя из применения кратной тяги. Кратная тяга может использоваться на части перегона с возвращением подталкивающего локомотива и на всей протяженности перегона с подключением вспомогательного локомотива на раздельных пунктах. Расчетные схемы графиков движения приведены на
рисунке 1.5 при подталкивании на части перегона (А) и при кратной тяге в пределах всего перегона (Б).


Если время следования подталкивающего локомотива с поездом и возвращения на раздельные пункты

меньше, чем время хода поезда до следующего раздельного пункта, то расчет пропускной способности ведется по
формуле 1.2.1. Если

, то в указанную формулу вместо

подставляется значение

. При проследовании подталкивающего локомотива с поездом на весь перегон и возвращения его с поездом обратного направления
(рис. 1.5, Б) период графика рассчитывается в зависимости от принятых условий работы вспомогательного локомотива (постановка в голову или хвост поезда, отцепка с остановкой или без нее). Исходя из принятых условий должны подсчитываться станционные интервалы скрещения по обоим раздельным пунктам как величины, входящие составной частью в период графика движения.
1.2.10. На однопутных участках, оборудованных автоблокировкой, расчет наличной пропускной способности по перегонам ведется при частично-пакетном графике, расчетная схема которого приведена на
рисунке 1.6.
Здесь

и

- расчетные интервалы между попутными поездами в пакете соответственно в нечетном и четном направлениях.
При частично-пакетном графике величина пропускной способности существенно зависит от коэффициента пакетности

, представляющего собой отношение числа поездов, пропускаемых в пакетах, к общему числу поездов, а также от количества поездов, пропускаемых в одном пакете, "К". Оба параметра существенно зависят от количества приемо-отправочных путей на каждом промежуточном раздельном пункте. Так, например, реализация графика движения с коэффициентом

возможна только при наличии на каждом раздельном пункте не менее четырех путей.
При определении пропускной способности коэффициент пакетности принимается

при двух поездах в пакете. Расчетный межпоездной интервал определяется в соответствии с положениями Инструкции по определению станционных и межпоездных интервалов.
В этом случае пропускная способность однопутного перегона с автоблокировкой и диспетчерской централизацией определяется по формуле:
1.2.11. В оперативных условиях для целей возможного освоения перевозок в отдельные периоды года допускается расчет пропускной способности с увеличением количества поездов в пакете.
В этом случае наличная пропускная способность подсчитывается по формуле:
Максимальная величина коэффициента пакетности зависит от путевого развития промежуточных раздельных пунктов. При расчете пропускной способности в условиях текущей эксплуатации величина

принимается в соответствии с данными, приведенными в таблице 1.1.
N п/п | Число приемо-отправочных путей на раздельных пунктах ограничивающих перегон (включая главный) | Величина  |
1. | На обоих раздельных пунктах по четыре пути | 1 |
2. | На одном три, на другом четыре | 0,7 |
3. | На обоих раздельных пунктах по три пути | 0,6 |
4. | На одном три, а на втором два | 0,5 |
5. | На обоих по два пути в случае, если соседние станции имеют большее количество путей | 0,4 |
1.2.12. На однопутных линиях, оборудованных автоблокировкой или диспетчерской централизацией, в абсолютном большинстве случаев расчетный вес грузового поезда ограничивается длиной приемо-отправочных путей. Следовательно, размеры движения, как правило, являются парными. Поэтому расчет наличной пропускной способности при частично-пакетном графике следует производить для условий парного движения поездов.
1.2.13. На однопутных линиях как при пачечном, так и частично-пакетном графике, может применяться как постоянная мера организация движения соединенных поездов. Пропускная способность перегонов при обращении соединенных поездов как система эксплуатации определяется только при наличии длин путей как на промежуточных раздельных пунктах, так и станциях, ограничивающих расчетный участок. При расчете принимается обращение только сдвоенных поездов в количестве не более 30% от числа пар поездов, полученных по расчету при курсировании поездов расчетного веса.
При этом пропускная способность в поездах установленного веса, длины определяется по формуле:
где

- период графика при пропуске одиночных поездов, мин;

- период графика при пропуске пары сдвоенных поездов, мин.
1.2.14. Пропускная способность однопутных перегонов при наличии на них путевых постов с ответвлениями к железнодорожным путям необщего пользования (схема приведена на
рисунке 1.7) определяется по формуле:
где

- суммарное время занятости перегона в течение суток операциями по обслуживанию примыкания, подачей и уборкой вагонов, мин;
T - время занятости перегона, отнесенное, соответственно, на пару или один поезд, следующий по всему перегону, мин.
Время занятости перегона в течение суток операциями по подаче и уборке составов определяется из выражения:
Здесь

- время занятости перегона подачей, равное сумме времени хода от станции до примыкания и интервала попутного следования, мин.

- то же при выводе составов с примыкания, мин.

- необходимое количество поездов на примыкание, в сутки.
Время занятия перегона, отнесенное на пару поездов, следующих по всему перегону,
В тех случаях, когда время хода поезда от станции до поста с учетом интервала попутного следования меньше, чем время хода поезда от поста до следующей станции, расчет пропускной способности перегона производится без учета примыкания, так как имеется возможность осуществить заезд на ответвление в период нахождения поездов обоих направлений между постом и следующей станцией.
1.2.15. Пропускная способность однопутного перегона, на котором имеется разветвление линий
(рис. 1.8, схема 1), рассчитывается для участка между станцией и постом, по которому следуют поезда всех направлений, по правилам однопутного перегона с соответствующими средствами сигнализации и связи по движению поездов. При этом по посту принимается безостановочное скрещение поездов, и в расчет периода графика включается интервал безостановочного скрещения

. При наличии двух постов
(схема 2 рис. 1.8) расчет наличной пропускной способности ведется по участку между постами при условии безостановочного проследования поездов по постам. Полученное по расчету количество пар поездов распределяется между направлениями в зависимости от потребности в перевозках.
Рис. 1.8
1.3. Расчет пропускной способности однопутных перегонов с двухпутными вставками
1.3.1. Пропускная способность перегонов на однопутных участках, имеющих раздельные пункты продольного типа или двухпутные вставки, позволяющие производить безостановочные скрещения поездов, определяется следующим образом.
Для каждого раздельного пункта предварительно устанавливается положение расчетных осей (р.о.) и оси безостановочного скрещения (о.б.с.) поездов
(рис. 1.9).
Расчетная ось определяется положением середины поезда, прибывшего с перегона на раздельный пункт, непосредственно после освобождения им стрелочной горловины. Ось безостановочного скрещения располагается, как правило, посередине раздельного пункта продольного типа (двухпутной вставки) на равном удалении по времени хода пары поездов от его расчетных осей.
При организации безостановочного скрещения на одном из раздельных пунктов, ограничивающих перегон
(рис. 1.9, а), при парном непакетном графике пропускная способность в парах поездов рассчитывается по формуле:
где

,

- время хода поездов, соответственно, в нечетном и четном направлениях между осями остановочного и безостановочного скрещений с учетом разгона и замедления при остановках и снижении скорости, мин:

,

- времена хода нечетного и четного поездов по однопутной части перегона, мин;

- интервал безостановочного скрещения поездов по расчетной оси, равный полусумме времени хода нечетного и четного поездов по раздельному пункту, мин.
Если положение оси безостановочного скрещения можно изменять, его выбирают так, чтобы обеспечить наибольшую пропускную способность на всем участке. Например, если перегон а-б является ограничивающим (см.
рис. 1.9, а), ось безостановочного скрещения смещают в направлении к станции б.
При организации безостановочного скрещения на обоих раздельных пунктах, ограничивающих перегон
(рис. 1.9, б), при парном графике пропускная способность в парах поездов рассчитывается по формуле:
где

- сумма времени хода нечетного и четного поездов между осями безостановочного скрещения, равная сумме времен хода этих поездов по перегону и интервалов безостановочного скрещения по расчетным осям I и II, мин.
Во временах хода

и

должны быть учтены потери времени из-за снижения скоростей поездов, если оно установлено при организации безостановочного скрещения.
При организации безостановочных скрещений на всем участке или его части оси безостановочного скрещения поездов по возможности размещаются на раздельных пунктах таким образом, чтобы обеспечивалась идентичность перегонов между ними.
1.3.2. При наличии на однопутном участке отдельных двухпутных перегонов
(рис. 1.10), что позволяет осуществлять безостановочное скрещение поездов, пропускная способность подсчитывается по
формуле (1.3.2), в знаменатель которой подставляется больший из периодов:
где

,

,

- время хода соответственно нечетного и четного поездов между станцией а и двухпутной вставкой и интервал безостановочного скрещения по расчетной оси I, мин;

,

,

- то же между станцией б и двухпутной вставкой, ограниченной расчетной осью II.
1.3.3. При наличии на участке нескольких двухпутных перегонов пропускная способность однопутного перегона, непосредственно примыкающего к двухпутному, рассчитывается из условия обеспечения безостановочного скрещения поездов.
1.3.4. В расчетах наличной пропускной способности однопутных линий, имеющих отдельные двухпутные перегоны или вставки для безостановочного скрещения поездов,

принимается
0,95 при электрической тяге и
0,94 при тепловозной тяге, а

.
1.4. Расчет пропускной способности двухпутных перегонов
1.4.1. Наличная пропускная способность двухпутного перегона определяется отдельно по каждому пути при одностороннем и безостановочном проследовании поездов по промежуточным раздельным пунктам:
при автоматической блокировке и диспетчерской централизации
при полуавтоматической блокировке
где

- расчетный межпоездной интервал между поездами попутного направления, определяемый в соответствии с положениями Инструкции по определению станционных и межпоездных интервалов;

- время хода грузового поезда по ограничивающему перегону, мин;

- станционный интервал попутного следования поездов, мин.
На двухпутных железнодорожных участках величина

принимается равной 150 мин, величина

-
0,96 при электрической тяге и
0,95 при тепловозной тяге.
1.4.2. При наличии на двухпутных линиях однопутных мостов или сплетения путей, требующих установления зависимости между поездами обоих направлений
(рис. 1.11), пропускная способность рассчитывается исходя из условий безостановочного проследования четных и нечетных поездов по отрезку пути, используемому для двухстороннего движения.
Пропускная способность в этом случае подсчитывается по формуле:
Здесь

где

и

- время хода соответственно нечетных и четных поездов по однопутному отрезку пути между осями безостановочного скрещения, мин;

и

- интервалы безостановочных скрещений по первому и второму постам, мин.
1.5. Пропускная способность многопутных линий
1.5.1. Пропускная способность многопутных линий определяется в зависимости от принятой системы организации движения поездов по главным путям. Существует несколько вариантов системы эксплуатации трехпутных линий, различающихся характером использования третьего главного пути.
1.5.2. При одностороннем движении поездов по третьему пути, когда два пути используются для пропуска поездов одного направления, а по третьему следуют поезда обратного направления
(рис. 1.12, а), наличная пропускная способность рассчитывается отдельно для каждого главного пути в грузовых поездах по формулам, приведенным в
параграфе 1.4. В этом случае итоговая наличная пропускная способность направления с двумя главными путями определяется как сумма пропускных способностей каждого из главных путей.
Рис. 1.12
1.5.3. При использовании третьего пути для двустороннего пропуска поездов
(рис. 1.12, б) его наличная пропускная способность определяется по формулам
параграфа 1.2 в зависимости от принятого типа графика (непакетный, частично-пакетный, пакетный) и соотношения размеров движения в четном и нечетном направлениях. В этом случае итоговая пропускная способность каждого из направлений рассчитывается как сумма пропускной способности главного пути, специализированного для рассматриваемого направления, и пропускной способности третьего пути в данном направлении.
1.5.4. При достаточном числе путей на технических станциях по третьему пути может быть организовано караванное движение поездов.
Путевые работы на перегонах при организации караванного движения выполняются во время перерывов в движении, возникающих в момент смены направления следования четного и нечетного караванов поездов. Продолжительность технологического "окна" при этом равна 0.
Период графика при организации на третьем главном пути караванного движения грузовых поездов по сигналам автоблокировки
(рис. 1.13):
где

,

- время, в течение которого отправляются поезда соответственно четного и нечетного направлений, мин;

,

- время хода поезда по участку в четном и нечетном направлениях, мин;

,

- станционные интервалы, мин.
При организации на третьем пути караванного движения расчет пропускной способности ведется из условия четырех смен направления движения, т.е.

принимается равным 360 мин и одинаковом по направлениям количества поездов в караване.
Пропускная способность третьего пути в каждом направлении подсчитывается из выражения:

поездов в каждом направлении
где

- расчетный интервал между поездами в караване.
1.5.5. Специализация путей четырехпутной линии предусматривает правостороннее движение по двум парам двухпутных линий
(рис. 1.14).
I и III - нечетное направление; II и IV - четное направление
Наличная пропускная способность четырехпутного участка равна сумме пропускной способности двухпутных участков.
1.6. Расчет пропускной способности участков с интенсивным пригородным движением
1.6.1. Пропускная способность участков с интенсивным пригородным движением рассчитывается в зависимости от принятой системы организации движения пригородных поездов. К интенсивному пригородному движению относится движение, при котором в час отправляется не менее четырех пригородных поездов. Характерным для пригородного движения является зонное обращение пригородных поездов. Пропускная способность определяется по каждому главному пути.
1.6.2. Суточный бюджет времени для определения пропускной способности пригородных участков делится на две части, а именно - период интенсивного пригородного движения

и остальное время суток. В интенсивный период определяется максимальное количество пригородных поездов, которое может быть пропущено в час при параллельном графике движения. В оставшееся время суток расчет пропускной способности ведется при параллельном графике движения грузовых поездов.
1.6.3. В часы интенсивного движения пригородных поездов пропускная способность определяется при параллельном графике
(рис. 1.15, а) по формуле:
где

- расчетный интервал между пригородными поездами-тихоходами (имеющими остановки у всех платформ), мин;

- коэффициент надежности инфраструктуры и подвижного состава, определяемый согласно
п. 1.2.6.
Интервал

должен проверяться тяговыми расчетами с реальной длительностью стоянок на остановочных пунктах. Результирующая пропускная способность пригородного участка принимается с учетом пропускной способности головной и зонных станций (см.
раздел 2 настоящей Инструкции).
1.6.4. Если в час утреннего или вечернего максимума пригородного движения прокладываются дальние пассажирские поезда
(рис. 1.15, б), то наибольшее число пригородных поездов за этот час составит:
Здесь

и

- коэффициент съема пригородных поездов соответственно скорыми и пассажирскими;

и

- число пропускаемых по пригородной зоне дальних пассажирских поездов указанной категории.
При скорости следования дальних пассажирских поездов выше, чем пригородных, коэффициент съема определяется из выражения:
где

- время хода пригородного поезда по рассматриваемой зоне, мин;

- соотношение скоростей движения дальних и пригородных поездов.
Если скорость движения пассажирского или другого поезда, прокладываемого в час пик, меньше, чем пригородного тихохода
(рис. 1.15, в), то коэффициент съема определяется по формуле:
Здесь

- соотношение скоростей движения пригородного и поезда другой категории, имеющего более низкую скорость движения.
1.6.5. Коэффициент съема на пригородной зоне существенно зависит от взаимного расположения в графике поездов дальнего и пригородного сообщений. Наиболее целесообразно отправление дальних пассажирских поездов вслед за пригородными поездами, имеющими наименьшее расстояние пробега (первая зона) (см.
рис. 1.16).
1.6.6. Пропускная способность в оставшееся время суток определяется в грузовых поездах по формуле:
Здесь

- время интенсивного движения пригородных поездов за сутки, мин;

- расчетный межпоездной интервал в период неинтенсивного пригородного движения.
1.7. Расчет пропускной способности при непараллельном графике движения поездов
1.7.1. Практически на всех железнодорожных линиях обращаются поезда различных категорий, а именно - пассажирские с разными скоростями следования, пригородные, ускоренные грузовые и грузовые. Поэтому необходимо распределение пропускной способности по видам движения. При этом размеры пассажирского движения принимаются как заданные. Следовательно, расчет пропускной способности при непараллельном графике движения сводится к определению числа грузовых поездов, которые могут быть пропущены при заданном количестве пассажирских поездов.
1.7.2. Приведение к единому измерению по использованию пропускной способности поездов различных категорий осуществляется с помощью коэффициента съема пропускной способности, который оценивает влияние пропуска поездов со скоростями следования, отличными от скорости движения поездов скоростной категории, по которой определяется наличная пропускная способность.
1.7.3. Величина коэффициента съема складывается из двух частей. Первая часть характеризуется разностью времен хода по расчетному участку пассажирского и грузового поездов (основной съем). Вторая часть обуславливается некратностью интервалов между попутными пассажирскими поездами расчетным межпоездным интервалам (дополнительный съем). Следовательно, коэффициенты съема как на однопутных, так и на двухпутных линиях должны устанавливаться в зависимости от размеров движения пассажирских поездов при условии обгона последними на участке грузовых поездов.
1.7.4. Максимально возможное число грузовых поездов, которое может быть пропущено по участку в сутки при непараллельном графике движения, определяется из выражения:
где

- наличная пропускная способность участка при параллельном графике;

,

,

,

,

- коэффициент съема соответственно для скоростных пассажирских поездов, остальных пассажирских, пригородных, ускоренных и сборных грузовых поездов;

,

,

,

,

- число поездов (пар поездов) различных категорий.
1.7.5. На участках с преимущественным пассажирским движением число пассажирских поездов (пар поездов) определяется по формуле:
где

- коэффициент съема грузовых поездов; определяется по тем же формулам, по которым устанавливается коэффициент съема пассажирского поезда при расчете пропускной способности в грузовых поездах;

- число грузовых поездов (без ускоренных и сборных).
1.7.6. На однопутных участках с преимущественным грузовым движением коэффициенты съема для дальних и местных пассажирских, пригородных и ускоренных поездов, имеющих чистое время хода меньше, чем грузовые поезда, определяются для расчетного участка по следующим формулам:
При автоблокировке (диспетчерской централизации):
но не менее 1,
где

- доля четырехпутных станций на расчетном участке;

- число четырехпутных станций;

- всего промежуточных раздельных пунктов на расчетном участке;

- общее число пассажирских, пригородных и ускоренных грузовых поездов.
При полуавтоматической блокировке, электрожезловой системе, телефонной (телеграфной) связи:
где

- время хода грузового поезда по расчетному участку, мин;

- период непакетного графика на ограничивающем перегоне, мин.
1.7.7. Для пассажирских (пригородных) поездов, имеющих чистое время хода по участку, равное или большее, чем грузовых

, коэффициенты съема определяются по формулам:
при автоблокировке (диспетчерской централизации):
при полуавтоматической блокировке, электрожезловой системе, телефонной (телеграфной) связи:

- среднее соотношение чистого времени хода пары пассажирских (пригородных) и ускоренных грузовых поездов к времени хода пары грузовых на расчетном участке.
1.7.8. На однопутных участках с преимущественным грузовым движением коэффициент съема для сборных поездов определяется по следующим формулам:
при автоблокировке (диспетчерской централизации):
при полуавтоматической блокировке, электрожезловой системе, телефонной связи:
где

- число станций на участке, обслуживаемых сборным поездом;

- коэффициент неидентичности расположения перегонов.
Для определения

средний период графика нужно разделить на период ограничивающего перегона. Средний период графика равен частному от деления суммы периодов по всем перегонам участка на число перегонов.
1.7.9. На однопутных участках с преимущественным пассажирским (пригородным) движением, на которых расчет пропускной способности при параллельном графике производится в пассажирских (пригородных) поездах, коэффициенты съема грузовых

и ускоренных

поездов определяются по
формуле (1.7.5) или
(1.7.6) с подстановкой в нее вместо

величины

- отношения чистого времени хода по участку пары грузовых (ускоренных) поездов к времени хода пары пассажирских поездов.
1.7.10. Коэффициент съема сборных поездов на участках с преимущественным пассажирским (пригородным) движением принимается равным

.
1.7.11. На линиях с двухпутными вставками, когда на всем участке организуются безостановочные скрещения поездов, коэффициенты съема определяются по следующим формулам:
Для пассажирских (пригородных) и ускоренных грузовых поездов, имеющих большую скорость хода по участку, чем грузовые, в случаях, если имеется возможность одновременно производить скрещение и обгон грузовых поездов пассажирскими не только на станциях, но и на всех вставках:
Если двухпутные вставки не оборудованы двусторонней автоблокировкой и не имеют диспетчерских съездов и между раздельными пунктами с путевым развитием имеются две и более таких вставок:
Для сборных поездов:
но не менее 1.

- среднее соотношение чистого времени пары поездов, имеющих большую скорость, чем грузовые, и времени хода пары грузовых поездов на расчетном участке;

- число пар пассажирских (ускоренных) поездов, имеющих большую скорость хода по участку, чем грузовые.
1.7.12. На двухпутных линиях при количестве обращающихся пассажирских поездов до 15 пар, т.е. когда не применяется пакетная прокладка пассажирских поездов
(рис. 1.17).

- расчетное количество обгонов грузовых поездов пассажирскими;

- время хода грузового поезда по расчетному участку, мин,
где
Здесь

- средний интервал прибытия пассажирского поезда за грузовым на станции обгона, мин;
где

- расчетный интервал, мин;

- время замедления грузового поезда на перегоне перед станцией обгона, мин.
Дополнительный съем пропускной способности обуславливается некратностью интервала между пассажирскими поездами расчетному интервалу между грузовыми поездами. Он может изменяться от
0 до
1. Фактическая величина

носит вероятностный характер; в расчетах

принимается
0,5.
1.7.13. На двухпутных линиях с размерами пассажирского движения в диапазоне 15 - 45 пар расчет коэффициента съема производится из условия прокладки двух пассажирских поездов в пакете с расчетным интервалом между ними, равным

, и доле пакетной прокладки, составляющей 70% от общего количества пассажирских поездов
(рис. 1.18).
При этом расчетное количество обгонов грузовых поездов определяется из выражения:
Коэффициент съема, приходящийся на один пассажирский поезд, проложенный в пакете, подсчитывается из выражения:
Средний коэффициент съема, приходящийся на один пассажирский поезд, определяется по формуле:
Здесь

- доля пассажирских поездов, пропускаемых пакетом.
1.7.14. На двухпутных линиях, где размеры пассажирского движения превышают 45 поездов, расчет пропускной способности производится из условия, что 10% поездов пропускаются разрозненно, 60% в пакете из двух поездов и 30% в пакете из трех поездов. При этом расчетное количество обгонов подсчитывается по формуле:
1.7.15. На двухпутных линиях при обращении скоростных пассажирских поездов, в том числе в диапазоне скоростей от 201 до 350 км/ч, коэффициент съема

рассчитывают порядком, указанным в
п. п. 1.7.12 -
1.7.14, с подстановкой значений

,

,

для скоростных пассажирских поездов и расчетного интервала в пакете между скоростными пассажирскими поездами. Значения указанных параметров определяются в соответствии с Инструкцией по определению станционных и межпоездных интервалов для диапазона скоростей от 201 до 350 км/ч.
1.7.16. Коэффициент съема для пассажирских (пригородных) поездов, имеющих большее время хода по участку, чем грузовые, на двухпутных линиях при автоблокировке определяется по формуле:
где

,

- чистое время хода по участку соответственно пассажирского и грузового поездов, мин;

- сумма времени стоянок пассажирского поезда на промежуточных станциях и у остановочных платформ с учетом потерь времени на разгоны и замедления, мин;

,

- станционный интервал, соответственно, прибытия на конечную станцию участка пассажирского поезда до грузового и отправления с начальной станции участка после грузового поезда, мин;
I - расчетный межпоездной интервал при автоблокировке, мин.
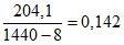
В сумму времени стоянок пассажирского поезда на промежуточных станциях

не включаются стоянки продолжительностью при автоблокировке 8 мин и более.
1.7.17. На двухпутных участках коэффициент съема сборным поездом составляет

,
где

- количество остановок сборного поезда на участке для выполнения маневровых операций.
2. РАСЧЕТ ПРОПУСКНОЙ И ПЕРЕРАБАТЫВАЮЩЕЙ СПОСОБНОСТИ
ЖЕЛЕЗНОДОРОЖНЫХ СТАНЦИЙ
2.1.1. Пропускная способность железнодорожной станции (далее - станция) определяется наиболее вероятным числом грузовых поездов (отдельно без переработки и с переработкой) и заданным числом пассажирских поездов, которые могут быть пропущены станцией за сутки по всем примыкающим к ней направлениям при условиях работы, обеспечивающих полное использование имеющихся технических средств. При расчете пропускной способности используются прогрессивные технологические нормы на выполнение всех операций, учитывающие передовые приемы труда, движение соединенных поездов, техническое оснащение и специфику работы станции.
Примечание. Пропускная способность пассажирской станции определяется наиболее вероятным числом пассажирских поездов, которые могут быть пропущены станцией за сутки или в часы интенсивного движения по каждому примыкающему направлению. Расчет станции осуществляется как пассажирской, если в пункте 1.1 ТРА станции указан такой характер ее работы.
2.1.2. Перерабатывающая способность станции определяется наиболее вероятным числом грузовых поездов (вагонов), которые могут быть переработаны станцией за сутки при передовой технологии и наилучшем использовании путевого развития и технического оснащения.
2.1.3. Пропускную способность определяют по: приемо-отправочным, приемным и отправочным паркам; междупарковым соединительным путям; перронным путям у пассажирских платформ; техническим путям пассажирских станций; путям железнодорожных устройств пограничных, перегрузочных, портовых станций и морских переправ; стрелочным горловинам всех типов станций.
Перерабатывающую способность определяют по: сортировочным горкам; вытяжным путям; грузовым фронтам; пунктам перестановки вагонных тележек; подъемно-надвижным устройствам паромных переправ.
2.1.4. Расчет пропускной и перерабатывающей способности станции выполняется на основе следующих данных, которые должны соответствовать условиям работы, заданным на расчетный период:
- схемы станции и техническо-распорядительного акта станции;
- технических норм и технологического процесса работы станции;
- технического оснащения станции и прилегающих участков;
| | ИС МЕГАНОРМ: примечание. В официальном тексте документа, видимо, допущена опечатка: рисунок П.2.2 в Приложении 2.1 отсутствует. Возможно, имеется в виду рисунок П2.1.1. | |
- исходных для расчета размеров движения в виде диаграммы поездопотоков (см. в Приложении 2.1
рис. П.2.2).
Соответствующие принятому соотношению размеров движения поездов различных направлений и категорий исходные для расчета размеры движения принимаются по заданию (по техническому плану месяца максимальных перевозок либо равными пропускной способности примыкающих линий или по специальному заданию).
Примечание. Если на расчетный период соотношение поездов различных направлений и категорий задано в долях (процентах) от общего потока, то на их основе надо задаться условным числом поездов рассматриваемых направлений и категорий. В случае примыкания к станции нескольких линий размеры движения на них могут увеличиться на расчетный период в разных пропорциях, и это должно быть учтено при выдаче задания на расчет пропускной способности.
Пропускная способность какого-либо устройства может быть правильно установлена только в том случае, если при расчете не учитывается возможное ее ограничение пропускной способностью соседних устройств.
Исходные данные для расчетов устанавливаются в соответствии с Инструкцией по определению станционных и межпоездных интервалов, Методическими указаниями по расчету норм времени на маневровые работы, выполняемые на железнодорожном транспорте, Типовыми схемами организации пропуска через Государственную границу Российской Федерации физических лиц, транспортных средств, грузов, товаров и животных в международном железнодорожном сообщении и проверяются хронометражем.
Перед началом расчета должен быть сделан анализ техническо-распорядительного акта, технических норм, технологического процесса и других исходных данных с учетом условий работы расчетного периода, направленный на обеспечение наилучшего использования подвижного состава, путевых устройств, оборудования станции с учетом применения передовых методов и технологии работы.
Когда часть или все обрабатываемые на станции поезда являются соединенными (длинносоставными), обработка их по прибытии и расформирование осуществляются обычно после разъединения, которое производится или вне станции, или на станционных путях; также отдельно формируются и обрабатываются по отправлению до соединения составы, включаемые в соединенный поезд, и части длинносоставного поезда. Если же поезда повышенной длины будут обрабатываться на станции без разъединения, то в расчетах должны учитываться заданные доли таких поездов и нормы времени на их обработку по прибытии, расформированию, формированию и отправлению.
2.1.5. Пропускная способность станции определяется для непараллельного графика, при этом все выполняемые операции подразделяются на две категории:
- зависящие в прямой пропорции от изменения объема основной работы рассчитываемого устройства (по этим операциям и рассчитывается пропускная способность);
- не зависящие от основного объема работы (так называемые постоянные операции).
К постоянным относятся операции, связанные с выполнением текущего обслуживания и ремонта устройств, пропуском заданного на расчетный период числа пассажирских и сборных поездов, обслуживанием локомотивного хозяйства, вагонного депо и др., а на специально пассажирских станциях - операции, связанные с грузовым движением.
Примечание. Любая операция может фигурировать в расчете какого-либо устройства только в одной категории передвижений, зависящей или не зависящей от изменения объема основной работы рассчитываемого устройства.
2.1.6. Для соизмеримости значений пропускную и перерабатывающую способность различных устройств станции надо рассчитывать, приводя конечные результаты к общей единице измерения (поезд, пара поездов или число вагонов).
2.1.7. Порядок расчета пропускной и перерабатывающей способности станции устанавливается следующий:
- определяется пропускная (перерабатывающая) способность отдельных станционных устройств;
- устанавливается результативная пропускная способность станции отдельно по каждому из примыкающих направлений, соответствующая устройству, имеющему наименьшую ее величину.
Устанавливая результативную пропускную способность станции, необходимо учитывать, что ее можно увеличить, перераспределив работу между отдельными устройствами (или элементами какого-либо устройства) с целью разгрузки лимитирующего устройства (элемента). Должно также предусматриваться перераспределение пропускной способности по направлениям в зависимости от потребности. Так если в результате расчета получается, что для одной линии пропускная способность рассматриваемого станционного устройства больше запланированных на расчетный период размеров движения или больше пропускной способности этой линии, а для другой линии имеется недостаток пропускной способности рассматриваемого устройства, то избыток пропускной способности для первой линии может быть отнесен с помощью переводного коэффициента <*> на линию, для которой получился недостаток. Однако после такого перераспределения фактическое соотношение между числом поездов упомянутых направлений будет отличаться от принятого в первоначальном расчете.
| | ИС МЕГАНОРМ: примечание. В официальном тексте документа, видимо, допущена опечатка: пункт 2.8.5 в тексте документа отсутствует. Возможно, имеется в виду пункт 2.9.5. | |
--------------------------------
<*> Переводной коэффициент учитывает разницу времени занятия рассматриваемого устройства поездами различных направлений либо категорий (см.
п. 2.8.5).
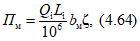
2.1.8. Итоговая пропускная способность станции выражается числом грузовых и пассажирских поездов:
где n - число транзитных без переработки и с переработкой (в том числе соединенных и длинносоставных), сборных, вывозных, ускоренных и других категорий грузовых поездов;

- число пассажирских поездов, принятых к расчету.
2.2. Определение продолжительности занятия устройств станции отдельными операциями
2.2.1. Время занятия (с точностью до 0,1 мин) стрелочной горловины
приемом поезда
где

- время приготовления маршрута приема и открытия входного светофора;

- время прохода поездом расчетного расстояния
(рис. 2.1).
Время занятия (с точностью до 0,1 мин) стрелочной горловины отправлением поезда
где

- время от начала приготовления маршрута отправления до момента трогания поезда;

- время прохода поездом расчетного расстояния

(см.
рис. 2.1).
Для поездов, длина которых не превышает полезной длины путей, расчетные расстояния

и

соответственно равны:
где

- расстояние, проходимое поездом за время восприятия машинистом показания светофора с момента его открытия;

- длина тормозного пути, установленного для рассматриваемого подхода к данной станции (при автоблокировке, особенно когда условия профиля и плана пути на подходе к станции неблагоприятны, вместо

учитывается расстояние от входного светофора до предупредительного перед ним);

- расстояние от входного (или другого ближайшего к рассматриваемой горловине) светофора до предельного столбика, расположенного при входе на путь приема (или до изолирующего стыка);

- длина поезда;

- полезная длина пути приема (если

, то вместо

учитывается

);

- время восприятия машинистом показания открытого светофора, ориентировочно равное 0,05 мин;

- скорость движения поезда при подходе к началу тормозного пути перед входным сигналом станции, км/ч;

- коэффициент перевода км/ч в м/мин;

- расстояние от выходного светофора (а там, где его нет, от предельного столбика пути отправления) до последней выходной стрелки в маршруте отправления или до изолирующего стыка (выходной педали).
Время

и

устанавливается по данным тяговых расчетов. Учет посекционной разделки маршрутов передвижений при ЭЦ приведен в
табл. 2.1 (время занятия маршрута

менее 1,5 мин не корректируют).
2.2.2. Продолжительность занятия горловины приемом грузового (пассажирского) поезда, а также отправлением поезда и маневровыми передвижениями определяется следующим образом. Находится путь со средним числом переводимых стрелок в маршруте приема и средним расстоянием от входного светофора до предельного столбика пути приема; для этого пути определяется время занятия горловины приемом поезда и при расчете пропускной способности учитывается значение

, соответствующее условиям приема поезда на путь с указанными средними для рассматриваемого парка параметрами. При электрической же централизации стрелок (когда время на перевод стрелок незначительно) учитывают путь, для которого расстояние

или

близко к среднему значению; при ручном обслуживании стрелок - путь, для которого число переводимых стрелок наиболее близко к среднему значению.
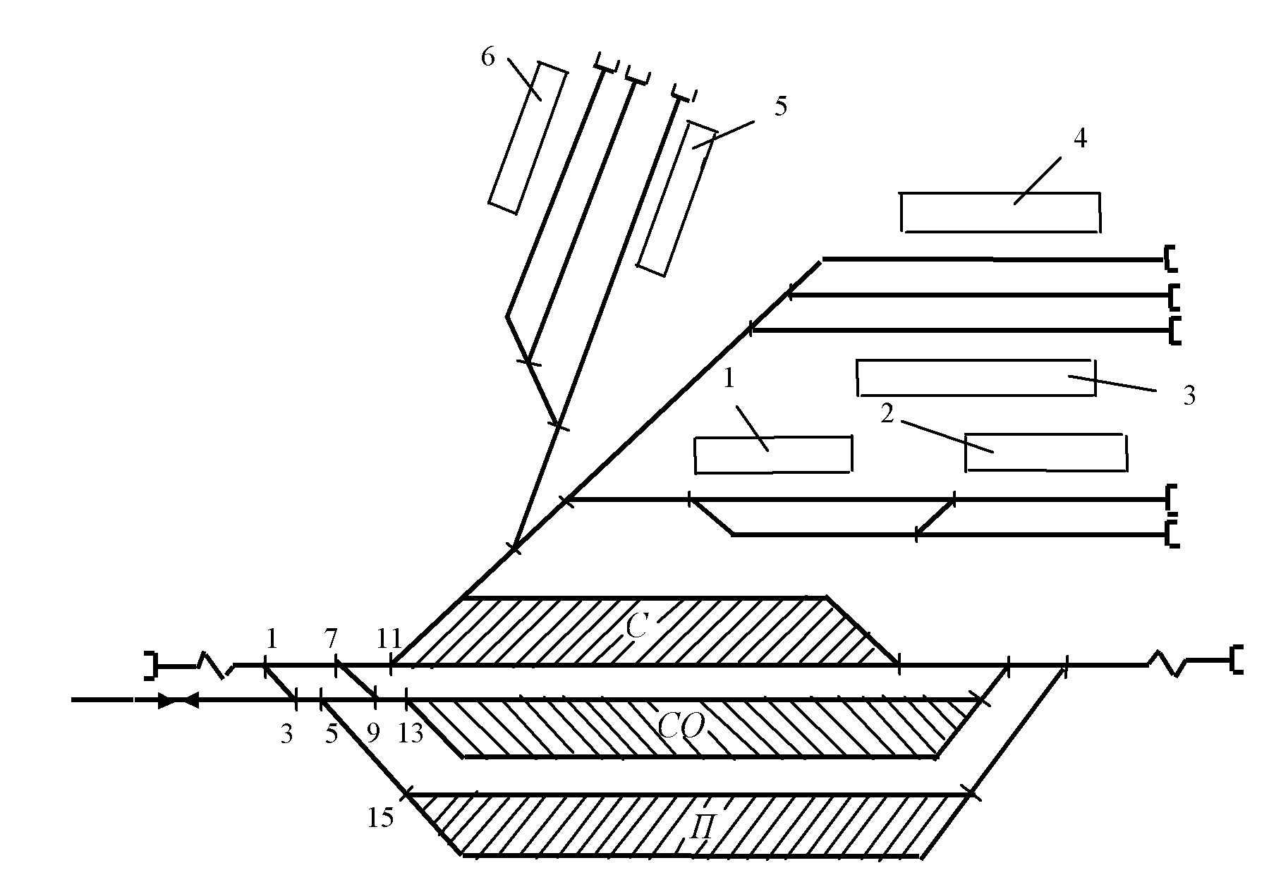
Так, например, для парка, изображенного на
рис. 2.1, время занятия горловины

определяется при условии приема поезда на путь 5. В этом случае число переводимых стрелок при подготовке маршрута будет равно трем (при приеме поезда на самый "легкий" путь 3 переводятся две стрелки, а на самый "трудный" путь 11 - четыре стрелки); близка к среднему значению будет и величина

.
Таблица 2.1
Учет посекционной разделки маршрутов передвижений
Время занятия маршрута без учета посекционной разделки  , мин | Время занятия маршрута с учетом посекционной разделки  , мин, для случая расчета |
| | |
при числе элементов (см. п. 2.4.2) в маршруте  , равном |
1 | 2 | 3 | 4 | 5 | 6 | 7 | 1 | 2 | 3 | 4 | 5 | 6 | 7 | 1 | 2 | 3 | 4 | 5 | 6 | 7 |
1,5 | 1,5 | 1,0 | 0,7 | 0,4 | | | | 1,5 | 1,1 | 0,9 | 0,8 | 0,7 | 0,6 | | 1,5 | 1,3 | 1,2 | 1,2 | 1,1 | 1,1 | 1,1 |
2 | 2 | 1,4 | 1,0 | 0,7 | 0,5 | | | 2 | 1,5 | 1,3 | 1,2 | 1,1 | 1,0 | 1,0 | 2 | 1,7 | 1,7 | 1,6 | 1,5 | 1,4 | 1,3 |
3 | 3 | 2,2 | 1,8 | 1,5 | 1,3 | 1,2 | 1,1 | 3 | 2,4 | 2,0 | 1,9 | 1,9 | 1,8 | 1,8 | 3 | 2,7 | 2,6 | 2,6 | 2,5 | 2,4 | 2,3 |
4 | 4 | 2,9 | 2,4 | 2,1 | 1,9 | 1,8 | 1,7 | 4 | 3,3 | 3,0 | 2,9 | 2,8 | 2,7 | 2,7 | 4 | 3,6 | 3,4 | 3,3 | 3,2 | 3,1 | 3,0 |
5 | 5 | 3,7 | 3,1 | 2,8 | 2,6 | 2,5 | 2,4 | 5 | 4,2 | 4,0 | 3,9 | 3,8 | 3,7 | 3,6 | 5 | 4,6 | 4,4 | 4,3 | 4,2 | 4,1 | 4,0 |
6 | 6 | 4,5 | 3,9 | 3,5 | 3,3 | 3,2 | 3,1 | 6 | 5,3 | 5,1 | 4,9 | 4,7 | 4,6 | 4,5 | 6 | 5,5 | 5,4 | 5,3 | 5,2 | 5,1 | 5,0 |
7 | 7 | 5,4 | 4,6 | 4,2 | 4,0 | 3,9 | 3,8 | 7 | 6,2 | 5,9 | 5,8 | 5,7 | 5,6 | 5,5 | 7 | 6,5 | 6,4 | 6,3 | 6,2 | 6,1 | 6,0 |
--------------------------------
<*> Горловина формирования горочной станции и расформирования - формирования безгорочной станции
.
<**> Горловина участковой станции при заданном на расчетный период количестве расформируемых и формируемых поездов
.
<***> Горловина, не предусмотренная случаями 1 и 2
.
2.2.3. Продолжительность занятия горловины приемом, отправлением и сквозным пропуском поездов (в случае оборудования прилегающих к станции участков
автоматической блокировкой и следующих способах управления стрелками на станциях: ручное обслуживание, электрическая и маршрутно-релейная централизация) определяется по графикам на
рис. 2.2 -
2.4. В графиках приведены примерные нормы времени в соответствии с Инструкцией по определению станционных и межпоездных интервалов. В графики на
рис. 2.2 -
2.4 включены операции, которые выполняются, как правило, последовательно. Операции, выполнение которых может совмещаться во времени с другими операциями, не показаны в графиках. К таким операциям могут быть отнесены, например, переговоры между дежурными по станциям по организации движения поездов, которые могут выполняться параллельно с приготовлением маршрута или же заблаговременно.
В графиках применены следующие условные обозначения:

- число стрелочных постов, участвующих в подготовке маршрута приема, отправления или сквозного пропуска поезда;
C - число стрелок, переводимых при подготовке соответствующего маршрута;

- расстояние, проходимое дежурным стрелочного поста в процессе приготовления маршрута (с учетом возвращения на стрелочный пост).
Если в подготовке маршрута участвуют несколько стрелочных постов, то значение C и

определяется для каждого поста и в расчет продолжительности занятия горловины принимается наибольшее значение

, соответствующее одному из этих постов (с учетом возможности заблаговременной подготовки части маршрута).
При наличии старших дежурных стрелочных постов к продолжительности занятия горловины, определенной в соответствии с приведенными графиками, добавляется время на получение дежурными стрелочных постов распоряжения от старшего дежурного стрелочного поста о приготовлении маршрута и на доклад о его готовности (приблизительно 0,1 мин на каждого дежурного стрелочного поста, участвующего в подготовке маршрута). Необходимо также учитывать устанавливаемое в зависимости от местных условий время на проверку старшим дежурным стрелочного поста правильности приготовления маршрута.
При отсутствии электрической изоляции проверка свободности пути приема поезда должна производиться, как правило, заблаговременно с соблюдением требований п. 9.16 Инструкции по движению поездов и маневровой работе или параллельно с приготовлением маршрута порядком, установленным техническо-распорядительным актом станции.
Для условий расчета пропускной способности (когда наиболее загруженные стрелки используются по возможности непрерывно) время на разделку маршрута не учитывается, так как обычно при интенсивной работе операции по переводу стрелок в нормальное положение или на свободный путь при разделке в одних маршрутах совмещаются с переводом этих же стрелок при подготовке других маршрутов. При этом следует иметь в виду, что на станциях с электрической централизацией установка стрелок в нормальное положение не обязательна.
При сквозном пропуске нескольких, попутно следующих поездов некоторые операции (см., например, на
рис. 2.4 операции N 2, 4, 8 и 11) для пропуска поездов, начиная со второго, будут отсутствовать.
При полуавтоматической блокировке, электрожезловой системе, телефонной связи продолжительность выполнения операции N 5 должна устанавливаться с учетом того, что на открытие входного или выходного сигнала требуется: при светофорной сигнализации - 0,05 мин; при семафорной сигнализации - 0,1 мин; то же при размещении сигнальной лебедки вне помещения поста - 0,3 мин. Разрешение об открытии входного или выходного светофора дежурный по станции дает после доклада старших дежурных стрелочных постов (или сигналистов) о готовности маршрута приема, отправления или пропуска поезда (время на дачу разрешения учитывается в продолжительности выполнения операции N 3).
При отсутствии выходных светофоров время занятия горловины отправлением поезда при электрожезловой системе, телефонной (телеграфной) связи должно определяться в соответствии с
п. 16.19 Правил технической эксплуатации. При этом дополнительно должна учитываться продолжительность:
- дачи указания дежурного по станции старшему дежурному стрелочного поста, оператору или дежурному по путям (после подготовки маршрута отправления) о выдаче машинисту локомотива разрешения на право занятия перегона - 0,1 мин;
- доставки разрешения машинисту локомотива - 0,01

(где

- расстояние прохода дежурного стрелочного поста, оператора или дежурного по путям до локомотива);
- проверки машинистом правильности разрешения на право занятия перегона (время на проверку разрешения учитывается в продолжительности выполнения операции N 6 на
рис. 2.2 и
2.4).
2.2.4. При обращении длинносоставных и соединенных поездов необходимо учитывать следующее.
Когда принимаемый на станцию
длинносоставный (соединенный) поезд обрабатывается
без отцепки неумещающейся на пути приема группы вагонов
с занятием части либо всей входной горловины (выходная или предгорочная горловина при приеме поезда свободна), то время занятия приемом поезда входной горловины равно сумме величин

, определяемой по графику на
рис. 2.2 с учетом расстояния

по
формуле (2.2.3), и дополнительного времени занятия входной горловины до момента трогания при отправлении или взятии на горку состава этого поезда.
Время занятия выходной горловины отправлением такого поезда

определяется по графику
рис. 2.3 с учетом расстояния

по
формуле (2.2.4), а входная горловина при этом занимается от момента трогания до ее освобождения отправляемым или надвигаемым на горку составом поезда повышенной длины.
Если принимаемый на станцию
длинносоставный (соединенный) поезд обрабатывается
без отцепки с занятием части либо всей выходной или предгорочной горловины, то время занятия входной горловины приемом поезда

определяется по графику
рис. 2.2 с заменой в
формуле (2.2.3) величины

на длину этого поезда

. При этом время занятия приемом поезда выходной или предгорочной горловины равно сумме значений

определяемой так же, как для входной горловины, и дополнительного времени занятия выходной или предгорочной горловины до момента трогания при отправлении или взятии на горку длинносоставного поезда.
Время занятия выходной горловины отправлением такого поезда

определяется по графику на
рис. 2.3 (без учета операций N 1 - 4, так как маршрут отправления готовится при приеме поезда на станцию) с заменой в
формуле (2.2.4) длины этого поезда

на полезную длину пути отправления

.
Надо иметь в виду, что если перед надвигом на горку состава поезда повышенной длины он осаживается в сторону входной горловины, то должно учитываться ее занятие этой операцией.
Когда от хвоста принятого на станцию
длинносоставного поезда
отцепляется маневровым локомотивом не умещающаяся на пути приема группа вагонов (выходная или предгорочная горловина при приеме поезда свободна), то время занятия приемом поезда входной горловины равно сумме значений

, определяемой по графику на
рис. 2.2 с учетом расстояния

по
формуле (2.2.3), и общей продолжительности выполнения предусмотренных графиком на
рис. 2.5 операций по отцепке и перестановке неумещающейся группы вагонов.
На графике
рис. 2.5 время 0,4 мин соответствует времени установки маршрута и открытия светофора при ЭЦ; для конкретной станции время на эти операции определяется с учетом местных условий и проверяется хронометражем.
Для конкретных станций время выполнения маневровых передвижений по перестановке групп вагонов при их отцепке и прицепке определяется с использованием Методических указаний по расчету норм времени на маневровые работы, выполняемые на железнодорожном транспорте.
Время занятия входной горловины отправлением длинносоставного поезда (от хвоста которого после приема отцеплялись вагоны) равно сумме значений общей продолжительности выполнения предусмотренных графиком на
рис. 2.6 операций по прицепке группы вагонов и времени от момента трогания длинносоставного поезда до освобождения входной горловины отправлением такого поезда. Время занятия выходной горловины отправлением длинносоставного поезда

определяется по графику на
рис. 2.3.

Если от
головы принятого на станцию
длинносоставного поезда
с занятием части либо всей выходной или предгорочной горловины отцепляется поездным локомотивом группа вагонов, то время занятия входной горловины приемом поезда

определяется по графику на
рис. 2.2 с заменой в
формуле (2.2.3) величины

на длину этого поезда

. При этом время занятия приемом поезда выходной или предгорочной горловины равно сумме значений

определяемой так же, как для входной горловины, и общей продолжительности выполнения предусмотренных графиком на
рис. 2.7 операций по отцепке и перестановке группы вагонов.
При прицепке группы вагонов в хвост длинносоставного поезда время занятия входной и выходной горловин отправлением такого поезда определяется так же, как в предыдущем случае с использованием графиков на
рис. 2.3 и
2.6.
В случае прицепки группы вагонов в голову длинносоставного поезда время занятия выходной горловины по отправлению такого поезда (входная горловина при этом свободна) равно сумме значений общей продолжительности выполнения предусмотренных графиком на
рис. 2.6 операций по прицепке групп вагонов и времени отправления такого поезда

, определяемого по графику на
рис. 2.3 (без учета операций N 1 - 4, так как маршрут отправления готовится уже при прицепке группы вагонов) с заменой в
формуле (2.2.4) длины этого поезда

на полезную длину пути отправления

.
При приеме транзитного
соединенного поезда с остановкой у
входного сигнала локомотива головного поезда для разъединения время занятия входной горловины равно сумме величин

, определяемой по графику на
рис. 2.2 при

, и общей продолжительности выполнения операций, предусмотренных графиком на
рис. 2.8 для варианта 1.
В случае остановки
у входного сигнала локомотива
хвостового поезда для разъединения, время занятия входной горловины равно сумме значений

, определяемой по графику на
рис. 2.2 при

(где

- длина головного поезда), и общей продолжительности выполнения операций, предусмотренных графиком на
рис. 2.8 для варианта 2.
При приеме соединенного поезда на сортировочную станцию и последующем его разъединении частично занимается предгорочная горловина и обходной или соединительный путь, но входная горловина после остановки соединенного поезда полностью освобождается.
Когда соединенный поезд состоит из
двух поездов в переработку, то время занятия входной горловины приемом

определяется по графику на
рис. 2.2 с заменой в
формуле (2.2.3) величины

на сумму

(где

и

- длина соответственно головного и хвостового поездов). Время занятия предгорочной горловины приемом соединенного поезда равно сумме значений

, определенной так же, как для входной горловины, и общей продолжительности выполнения предусмотренных графиком на
рис. 2.9 операций по разъединению и перестановке состава головного поезда на свободный путь приемного парка.
Когда соединенный поезд состоит из
транзитного (головного) поезда и поезда в переработку, то время занятия входной горловины приемом

определяется так же, как в предыдущем случае, а предгорочной горловины равно сумме значений

и общей продолжительности выполнения предусмотренных графиком на
рис. 2.10 операций по разъединению и отправлению головного поезда в транзитный или отправочный парк.
При отправлении
соединенного поезда после предварительного его соединения время занятия выходной горловины равно сумме общей продолжительности выполнения предусмотренных графиком на
рис. 2.11 операций по выводу головного поезда на перегон, присоединения к нему хвостового поезда и времени занятия этой горловины отправлением соединенного поезда

, определяемой по графику на
рис. 2.3 (без учета операций N 1 - 4, так как маршрут отправления готовится при выводе головного поезда) при

.
Примечание. Возможно соединение хвостового и головного поездов со стороны входной горловины, если при этом обеспечивается прием поездов на часть путей приемного парка.
При сквозном пропуске длинносоставного или соединенного поезда время занятия входной и выходной горловин определяется по графику на
рис. 2.4 с заменой в
формуле (2.2.3) величины

на сумму

и в
формуле (2.2.4) - величины

на ту же сумму.
2.2.5.
Время занятия стрелочной горловины маневровым составом 
или одиночным
локомотивом 
устанавливается в соответствии с Методическими указаниями по расчету норм времени на маневровые работы, выполняемые на железнодорожном транспорте, или тяговыми расчетами. Если же маневровая работа производится локомотивами, для которых в Методических указаниях не имеется данных, то время занятия стрелочной горловины определяется по формулам:
где

- время приготовления маршрута, мин;
0,06 - коэффициент перевода ч/км в мин/м;

- расстояние маневрового передвижения с учетом длин полурейса (рейса) и маневрового состава, м;

- расстояние передвижения локомотива, м;

- средняя скорость маневрового передвижения, км/ч

- средняя скорость передвижения локомотива, км/ч.
В этом случае средние скорости передвижений устанавливаются опытным путем. Значения

и

проверяются хронометражными наблюдениями.
2.2.6. В горловине со смешанным управлением стрелок (когда одна часть стрелок оборудована централизацией, а другая имеет ручное управление) продолжительность занятия какого-либо маршрута определяется тем способом управления стрелок, который требует наибольшего времени на перевод стрелок и выполнение других операций (при условии, что подготовка стрелок маршрута при всех применяемых в этой горловине способах управления осуществляется параллельно).
2.2.7. Время занятия путей парков (с точностью до 1 мин) определяется по формулам:
транзитным поездом:
поездом, прибывающим для расформирования,
поездом, расформировываемым по частям,
поездом, отправляемым после формирования,
где

- время занятия пути приемом поезда (исходя из местных условий началом занятия пути может считаться момент дачи разрешения на соседнюю станцию об отправлении с нее поезда);

- время занятия пути выполнением соответствующих операций, предусмотренных технологическим процессом;

- время выполнения технологических операций по прибытии с частью состава, подлежащей расформированию в первую очередь;

- время расформирования первой части состава (или частей состава, кроме последней, если состав делится более чем на две части);

- время занятия
пути отправлением поезда с момента трогания до освобождения
первой <
*> стрелки (секции), расположенной при выходе с пути отправления; например, при отправлении поезда с пути N 5 (см.
рис. 2.1) - до освобождения стрелки 22 (при наличии же электрической централизации - стрелки 20, входящей вместе со стрелкой 22 в одну секцию);

- время занятия пути приема уборкой состава, прибывшего в расформирование;

- занятия пути отправления подачей (выставкой) состава своего формирования.
--------------------------------
<*> Если путь используется как для четных, так и для нечетных поездов, то в расчете учитывается момент освобождения средней стрелки, входящий в маршрут отправления.
Примечания:
1. Для сокращения времени занятия пути в случае ручного управления стрелками маршрут приема попутного поезда должен приготовляться заблаговременно в период освобождения данного пути отправляемым поездом. При этом если
, то
; если же
, то
.
2. В случае необходимости величины
,
,
,
определяются с учетом указанного в п. 2.2.4 дополнительного времени занятия горловин отцепкой-прицепкой групп вагонов длинносоставных поездов или разъединением-соединением соединенных поездов (если это время не совмещается с
).
3. При одновременной обработке основной и отцепляемой частей длинносоставного поезда в качестве
принимается наибольшее значение; при обработке с разъединением головного и хвостового составов соединенного поезда учитывается время обработки каждого из этих составов (см. Типовой технологический процесс работы сортировочной станции).
Затраты времени

,

и

устанавливаются с использованием данных Методических указаний по расчету норм времени на маневровые работы, выполняемые на железнодорожном транспорте. При необходимости примерные значения этих величин могут быть определены по
формуле (2.2.5) при подстановке в нее соответствующих значений расстояний и средней скорости передвижения, с последующей проверкой полученных величин натурными наблюдениями.
Входящая в
формулы (2.2.7) -
(2.2.10) величина

обычно определяется временем технического обслуживания вагонов обрабатываемого состава и пробой автотормозов (нормы см. в Типовом технологическом процессе работы пункта технического обслуживания грузовых вагонов).
2.3. Расчет пропускной способности станционных путей
2.3.1. При наличии на станции приемо-отправочных парков (групп путей), специализированных только для пропуска грузовых транзитных поездов без переработки, приемных парков для приема поездов в расформирование и отправочных парков для отправления поездов своего формирования пропускная способность этих парков (групп путей) рассчитывается отдельно. При этом если для обработки грузовых поездов используются и главные пути, то они включаются в наличное число путей, для которых определяется пропускная способность.
На станциях двухпутных линий выделяют парки (группы путей), специализированные для поездов нечетного и отдельно четного направлений движения.
В объединенных приемных и отправочных парках сортировочных станций для расчета пропускной способности предусматриваются отдельные группы путей для нечетных и четных поездов (в размерах, равных отношению числа нечетных и четных поездов), и определение пропускной способности этих групп путей производится отдельно. Таким образом, объединенный парк для расчета условно разбивается на два парка. Аналогично поступают при расчете объединенного приемо-отправочного парка участковой станции на однопутной линии. При этом возможно, что рассчитанные коэффициенты использования пропускной способности групп путей объединенного парка для нечетных и четных поездов могут получиться разными (см.
п. 2.3.2.2). Тогда для сохранения заданного соотношения пропускной способности рассчитываемого парка для поездов различных направлений и категорий пропускную способность указанных групп путей (см.
п. 2.3.2.3) определяют по средневзвешенной для всего парка величине коэффициента использования пропускной способности его путей.
Когда секции путей парка жестко специализированы по примыкающим линиям, то расчет пропускной способности этих секций путей производится отдельно.
Если часть путей парка используется для нечетных и четных поездов, а остальная часть - для поездов только одного направления, то пропускная способность этих групп путей определяется отдельно.
На участковых станциях поезда своего формирования должны отправляться, как правило, непосредственно с сортировочных путей. При этом пропускная способность по отправлению поездов своего формирования берется из расчета пропускной способности соответствующей горловины (см.
п. 2.3.4).
Поезда какой-либо категории могут обрабатываться в одном парке, а по другому проходить без обработки и учитываться как проходящие по его путям без остановки, а возможно, и с остановкой, если это предусмотрено технологическим процессом работы станции.
2.3.2. В условиях внутрисуточной неравномерности движения грузовых поездов, равной продолжительности выполнения одних и тех же операций с конкретными составами, неравномерности поездообразования, влияния смежных устройств, возникновения отказов технических устройств и действия других объективных факторов станционные пути должны обеспечивать устойчивую работу станции с высокой эксплуатационной надежностью. Влияние указанных факторов оценивается технически необходимой долей пропускной способности

, с учетом которой определяются размеры грузового движения по станционным путям n, обеспечивающие устойчивую работу станции при соответствующем значении коэффициента использования перерабатывающей способности горки.
В кратковременные периоды интенсивного грузового движения (в том числе в особых условиях) для расчета имеющейся мощности станционных путей значение
T может определяться по
формуле (2.3.1) при

. Однако если при этом не будет обеспечена соответствующая равномерность прибытия поездов на станцию, то возникнут дополнительные задержки их на подходах.
Порядок расчета следующий.
2.3.2.1. Определяется общее время занятия путей рассчитываемого парка предусмотренными технологическим процессом операциями с грузовыми поездами, зависящими от размеров движения и специализации путей; это время (с точностью до 1 мин) в общем виде:
где

,

и т.д. - число транзитных поездов, пропускаемых через парк, соответственно, с подходов 1, 2 и т.д. (число поездов различных категорий каждого подхода, выхода принимается по заданию);

,

и т.д. - число разборочных поездов всех категорий (кроме сборных и вывозных с работой на участке), поступающих в парк, соответственно, с подходов 1, 2 и т.д.;

,

и т.д. - число поездов своего формирования всех категорий (кроме сборных и вывозных с работой на участке), отправляемых из парка, соответственно, на выходы 1, 2 и т.д.;

,

и т.д. - время занятия пути выполнением технологических операций с поездами соответствующих категорий и различных подходов (выходов), определяемое в соответствии с требованиями
п. 2.2.7;

- число передач углового потока или местных вагонов и составов поездов, выставляемых из других парков в приемный парк для расформирования на горке, если на расчетный период число этих передач (составов) зависит от размеров движения;

- время занятия пути одной передачей (составом) по технологическому процессу.
Обработка длинносоставных (соединенных) поездов может осуществляться с отцепкой или целиком (с разъединением головного и хвостового поездов или без него), что должно учитываться в
формуле (2.3.1) с подстановкой соответствующего значения

(см.
п. 2.2.7); указанное должно учитываться и при определении пропускной способности путей (см.
п. 2.3.2.3).
Если длинносоставный или соединенный поезд не вмещается целиком на одном пути (либо часть путей имеет полезную длину меньше, чем нормальная длина поездов), то для этих поездов в
формуле (2.3.1) вместо соответствующего члена должно входить следующее время:
- при использовании двух путей для размещения одного состава -

;
- при использовании трех путей для размещения двух составов -

,
где

- число длинносоставных или соединенных поездов (либо число поездов нормальной длины), размещаемых частями на двух-трех путях;

- время занятия пути выполнением технологических операций с таким поездом (с учетом необходимости осуществления перестановок частей состава).
С учетом
пункта 2.3.1 значения коэффициента

принимаются следующими.
Приемо-отправочные пути: парк с одним двухпутным подходом - 0,2; парк с одним однопутным подходом - 0,3; парк с двумя и более подходами - 0,4 (в том числе приемо-отправочный парк, работающий в оба направления).
Приемные пути сортировочных станций - 0,3
Отправочные пути сортировочных станций - 0,4.
Для любых парков при смене локомотивов у транзитных поездов

.
Если в приемо-отправочном парке участковой станции обрабатываются транзитные поезда, прибывающие с однопутных линий, и производится отправление из парка на эти же однопутные линии, то в
формуле (2.3.1) вместо

берется величина

, где m - наличное число путей (кроме ходовых) в рассчитываемом парке, используемых для грузовых поездов. Однако если к парку непосредственно примыкает двухпутный перегон однопутной линии с двухпутными вставками, то в
формуле (2.3.1) учитывается

.
Частные случаи
А). Если по заданию на расчетный период число сборных поездов или вывозных с работой на участке увеличивается пропорционально росту размеров движения, то в
формулу (2.3.1) дополнительно должно входить произведение

,
где

- число сборных (вывозных) поездов с соответствующего подхода (выхода);

- время перерыва в использовании пути из-за пропуска сборного (вывозного) поезда, равное:

для путей, специализированных для грузовых поездов только нечетного или четного направления; -

для путей, специализированных для грузовых поездов нечетного и четного направлений;
I - минимально возможный (по условиям пропускной способности участка) интервал между грузовыми поездами;

- период графика пары поездов на ограничивающем перегоне (при непарном непакетном, парном частично-пакетном и непарном частично-пакетном графиках определяется в соответствии с
п. 1.2.3 -
1.2.5);
| | ИС МЕГАНОРМ: примечание. В официальном тексте документа, видимо, допущена опечатка: Приложения 1.5 и 1.6 в тексте документа отсутствуют. | |

- коэффициент съема сборного (вывозного) поезда на участке, определяемый порядком, указанным в первой главе настоящей Инструкции, или по данным Приложений 1.5, 1.6 (если сборные поезда одной линии и направления имеют разные

, то в расчет принимается средневзвешенное значение).
Б). Если пути рассчитываемого парка занимают при расформировании и формировании части поездов, то для них величина

должна включать время выполнения этих операций.
В). Если в рассматриваемом парке нет специального ходового пути, то в

включается время занятия пути подачей-уборкой поездного локомотива, заездом горочного локомотива и др., приходящееся на один поезд.
2.3.2.2. Коэффициент использования (с точностью до 0,001) имеющейся мощности парка путей
где

- коэффициент, равный 1 при расчете приемо-отправочных парков для транзитных поездов без переработки, а при расчете приемных или отправочных парков сортировочных станций - принимаемый в соответствии с данными
табл. 2.2;

- коэффициент, учитывающий влияние на использование путей движения пассажирских (включая пригородные) и сборных поездов;

- время занятия (с точностью до 1 мин) путей, используемых для грузовых поездов, выполнением в течение суток прочих постоянных операций, не изменяющихся пропорционально размерам движения, и работами по текущему обслуживанию, плановым видам ремонта и снегоуборке
(табл. 2.3).
Характеристика подхода (выхода) | Значение  при расчете приемного (отправочного) парка сортировочной станции |
первого | второго |
1ПАБ | - | 1,01 |
1АБ | - | 1,02 |
2ПАБ | - | 1,04 |
2АБ | - | 1,02 |
1ПАБ | 1ПАБ | 1,03 |
1АБ | 1ПАБ | 1,04 |
1АБ | 1АБ | 1,09 |
1АБ | 2ПАБ | 1,10 |
2ПАБ | 1ПАБ | 1,06 |
2АБ | 1ПАБ | 1,09 |
2ПАБ | 1АБ | 1,06 |
2АБ | 1АБ | 1,09 |
2ПАБ | 2ПАБ | 1,13 |
2АБ | 2ПАБ | 1,13 |
2АБ | 2АБ | 1,08 |
Примыкающие линии | Парки | Время выполнения, мин |
текущего обслуживания в среднем в сутки за месяц | плановых видов ремонта в среднем в сутки за летний период | снегоуборки и борьбы с гололедом на станции в среднем в сутки за зимний период |
Неэлектрифицированные | Приемные и отправочные | 25 | 5 | 25 |
Сортировочные | 30 | 5 | 35 |
Экипировочные пассажирских станций | 30 | 5 | 35 |
Электрифицированные | Приемные и отправочные | 30 | 75 | 25 |
Сортировочные | 30 | 5 | 35 |
Следует обращать внимание на то, чтобы влияние каких-либо пассажирских (сборных) поездов не учитывалось бы дважды: в значениях

и

.
Перечень характеристик условий расчета и значения коэффициента

приведен в
табл. 2.2; используют условные обозначения:
1ПАБ - однопутный подход (выход), оборудованный полуавтоматической блокировкой или жезлами;
1АБ - то же, оборудованный автоблокировкой или диспетчерской централизацией, в том числе с двухпутными вставками;
2ПАБ - двухпутный подход (выход), оборудованный полуавтоматической блокировкой или телефоном;
2АБ - то же, оборудованный автоблокировкой.
Значение коэффициента
(табл. 2.2) показывает, во сколько раз при прочих равных условиях влияние пассажирских и сборных поездов на использование путей приемного (отправочного) парка меньше, чем на использование приемо-отправочного парка для транзитных поездов без переработки. Если рассчитываемый парк предназначен для совместной обработки поездов различных категорий (разборочных поездов, своего формирования и транзитных без переработки), то значение коэффициента

должно соответствовать преобладающей категории обрабатываемых в нем поездов.
Влияние движения пассажирских (включая пригородные) и сборных поездов учитывается в том случае, если они обращаются совместно с грузовыми по одним и тем же главным путям в пределах ближайших к рассматриваемой станции двух-трех перегонов. Перед расчетом необходимо установить, какие категории грузовых поездов и с каких линий обрабатываются в рассматриваемом парке или группе путей, и учесть влияние движений пассажирских и сборных поездов тех же линий.
Если секции путей парка, кроме специализации по направлениям движения (см.
п. 2.3.1), жестко специализированы по примыкающим линиям, то пассажирские (сборные) поезда каждой линии оказывают влияние только на секцию путей, предназначенную для грузовых поездов той же линии. Поэтому коэффициент

должен определяться отдельно для каждой секции путей.
Коэффициент

, учитывающий влияние движения пассажирских и сборных поездов на использование путей парка, определяется по
формулам (2.3.3 -
2.3.9):
примыкание к парку одной линии
примыкание к парку двух и более линий
где

,

- заданное на расчетный период число пассажирских поездов соответственно на подходе (выходе) I и II (пассажирские поезда разового назначения в основном расчете не учитываются);

,

- то же сборных поездов;

- время перерыва в использовании пути парка или стоянки на нем грузового поезда сверх технологической нормы из-за движения одного пассажирского поезда рассматриваемого направления, мин;

- время перерыва в использовании пути из-за движения одного сборного поезда рассматриваемого направления, мин.
За подход (выход) I принимается тот, на котором задано наибольшее число пассажирских поездов, за подход (выход) II - со следующими по значению заданными размерами пассажирского движения и т.д.
Для приемных и приемо-отправочных парков число подходов берется по прибытии, а для отправочных парков число выходов - по отправлению.
Если к рассчитываемому парку примыкает более двух подходов (выходов), то заданное для третьего и других подходов (выходов) число пассажирских (сборных) поездов прибавляется к числу пассажирских (сборных) поездов на втором подходе (выходе) и полученные суммарные значения используются при определении коэффициента

. При этом условно считается, что техническое оснащение третьего, четвертого подходов (выходов) такое же, как и второго.
Время

определяется следующим образом.
где

- средневзвешенное время стоянки пассажирского поезда по технологическому процессу, мин;

- период графика пары поездов на ограничивающем перегоне, мин (для непарных и частично-пакетных графиков см.
п. п. 1.2.3 -
1.2.5).
где I - расчетный интервал между грузовыми поездами, мин;
d - разность времени хода грузового и пассажирского поездов между ближайшей станцией обгона и рассчитываемой станцией (для приемо-отправочных и приемных парков со стороны прибытия, для отправочных парков со стороны отправления), мин.
где

- коэффициент съема сборными поездами на однопутных линиях при полуавтоматической (автоматической) блокировке, определяемый порядком, изложенным в
главе 1 настоящей Инструкции.
где

- коэффициент съема сборными поездами на двухпутных линиях.
Например, если к парку примыкают две двухпутные линии с автоблокировкой,
I = 8 мин,
d = 3 мин,

,

,

,

и

, то
Частные случаи:
А). Если в объединенном парке обрабатываются грузовые поезда нескольких линий (например,
А и
Б), а пассажирское движение осуществляется только на одной из них (например, на линии
А), то полученный по графику или формуле коэффициент

умножается на

, где

- число грузовых поездов линии, на которой имеется пассажирское движение.
Б). Если грузовые поезда какой-либо линии (например линии А) одной категории (например, транзитные без переработки) обрабатываются в двух парках станции (например, в парках 1 и 2), то полученный по формуле коэффициент

умножается на величину

, где

- число грузовых поездов, обрабатываемых в рассматриваемом парке (например, в парке 1).
В). Если имеются две линии, которые на подходе к рассматриваемой станции объединяются в одну, то коэффициент

определяется по формуле, соответствующей случаю примыкания упомянутых двух линий.
Г). Проходящий пассажирский поезд с переменой направления движения учитывается при определении коэффициента

для приемных и приемо-отправочных (транзитных) парков только один раз - по приему на рассматриваемую станцию, а для отправочных парков - только по отправлению со станции.
Д). Если на подходе имеется двухпутная линия, которая непосредственно к станции переходит в однопутную, то коэффициент

определяется как для двухпутной линии.
В продолжительность занятия приемо-отправочных путей выполнением прочих постоянных операций может включаться простой только того подвижного состава, который нельзя разместить на других путях; обоснование занятия приемо-отправочных путей таким подвижным составом должно быть дано в пояснительной записке к расчету пропускной способности путевого развития станции.
К числу прочих постоянных операций относятся следующие:
- отстой составов пригородных поездов;
- обработка пассажирского (сборного) поезда какой-либо линии в парке, не специализированном для грузовых поездов этой же линии;
- подача-уборка локомотивов пассажирских (сборных) поездов;
- расформирование-формирование составов сборных поездов;
- стоянка или пропуск передач местных вагонов перед подачей к погрузочно-выгрузочным фронтам (в том числе на подъездные пути) или после их уборки, когда число передач на расчетный период задано;
- обработка или пропуск заданного на расчетный период числа угловых передач, составов сборных и других поездов, переставляемых в рассчитываемый парк для расформирования из других парков станции;
- обработка или пропуск заданного на расчетный период числа ускоренных, холодных, молочных и других поездов, непосредственно принимаемых (отправляемых) в рассчитываемый парк;
- занятие путей парка накоплением вагонов, если на расчетный период задано число поездов своего формирования, и т.д.
Примечание. Если для какого-либо направления число поездов
(кроме пассажирских и сборных) на расчетный период задано (постоянно), то в
включается значение
.
Время выполнения работ по текущему обслуживанию, плановым видам ремонта и снегоуборке учитывается, если технологические перерывы в работе станционного пути и горловины составляют менее 20 мин. Работы по текущему обслуживанию и ремонту контактной сети на станциях совмещаются с выполнением текущего содержания и ремонта станционных путей. Время, которое необходимо учитывать при определении пропускной способности в целом для парка путей и горловин станций, приведено в
табл. 2.3.
В расчет принимается наибольшее из имеющихся в
табл. 2.3 значений, т.е. соответствующее техническому обслуживанию, плановым видам ремонта или снегоуборке.
2.3.2.3. Определяется имеющаяся мощность путей (с точностью до 1 поезда) рассчитываемого парка (группы путей объединенного парка - см.
п. 2.3.1) для разных категорий поездов по каждому подходу или выходу;
транзитных с подходов 1, 2 и т.д.
и т.д.;
разборочных с подходов 1, 2 и т.д.
и т.д.;
своего формирования на выходы 1, 2 и т.д.
и т.д.
Общая имеющаяся мощность парка в грузовых поездах составляет:
- по приему со всех подходов (с учетом поездов, обрабатываемых за время

)
- по отправлению на все выходы (с учетом поездов, обрабатываемых за время

, а также отправляемых непосредственно с сортировочных путей - см.
п. п. 2.3.1 и
2.3.4),
где

,

- соответственно число прибывающих и отправляемых сборных поездов.
2.3.3. Изменение только заданного числа пассажирских поездов какой-либо категории (при неизменных остальных исходных данных) требует соответствующей корректировки имеющейся мощности рассматриваемого парка для грузовых поездов. Например, при уменьшении на расчетный период числа пассажирских поездов с

до

имеющаяся мощность парка в грузовых поездах возрастет на величину
где

- коэффициент, учитывающий влияние движения пассажирских и сборных поездов при

, т.е. при размерах пассажирского движения, для которых согласно
п. п. 2.3.2.2 и
2.3.2.3 была определена имеющаяся мощность;

- время занятия пути выполнением технологических операций с грузовым поездом соответствующей категории или линии, для которой определяется прирост имеющейся мощности в связи с уменьшением заданного числа пассажирских поездов, мин.
Если меняется соотношение между транзитными и перерабатываемыми поездами, то нужен новый расчет пропускной способности.
2.3.4. При использовании части путей приемо-отправочного парка в течение некоторого времени под накопление вагонов выделяется для этой цели (а также для отправления поездов своего формирования) минимально необходимое число путей; имеющаяся же мощность остальных путей парка рассчитывается указанным ранее порядком. Число отправляемых поездов с путей, выделенных для накопления (в том числе из сортировочно-отправочного парка), определяется с помощью коэффициента использования пропускной способности горловин, ограничивающих эти пути, при принятом соотношении поездов различных категорий. Получаемое с помощью коэффициента использования пропускной способности горловин число поездов своего формирования не должно превышать пропускной способности сортировочно-отправочных путей, рассчитанной исходя из занятия этих путей выполнением только технологических операций без учета времени накопления.
При небольшом числе поездов своего формирования, когда выделение специального пути для накопления вагонов по местным условиям нецелесообразно, суммарное время накопления учитывается в величине

. Время накопления при этом определяется на основе анализа работы станции.
2.3.5. Междупарковые соединительные пути (в том числе имеющие примыкания) подлежат расчету, если по ним производится пропуск поездов и маневровых составов направлений, рассчитываемых для данной станции. Если между двумя станционными парками продвижение поездов осуществляется по двум или более соединительным путям, то каждый путь подлежит отдельному расчету в соответствии с его специализацией по направлениям и категориям пропускаемых поездов.
2.3.5.1. В зависимости от междупарковых расстояний, порядка пропуска поездов и маневровых составов по соединительному пути, устройств СЦБ, расстановки маршрутных и маневровых светофоров определяют:
- время следования одного поезда категории i по рассчитываемому соединительному пути между осями парков (по данным тяговых расчетов с учетом разгонов и замедлений, предусмотренных схемой пропуска по соединительному пути поездов данной категории и направления)

(с точностью до 0,1 мин);
- интервалы времени от момента освобождения соединительного пути до момента начала занятия маршрута, ведущего из парка на рассчитываемый соединительный путь, поездом категории i (в соответствии с действующей Инструкцией по расчету станционных и межпоездных интервалов)

(с точностью до 0,1 мин);
- время занятия соединительного пути одним маневровым передвижением категории j, при котором исключен пропуск организованных поездов, в том числе при следовании маневровых составов либо одиночных локомотивов на примыкание и с примыкания к рассчитываемому соединительному пути (число передвижений категории j изменяется пропорционально размерам движения, заданным на расчетный период)

(с точностью до 0,1 мин);
- время занятия соединительного пути поездными и маневровыми передвижениями, принятыми постоянными на расчетный период,

(с точностью до 1 мин);
- время занятия соединительного пути текущим обслуживанием, плановыми видами ремонта и снегоуборкой (по нормам
табл. 2.3, установленным для приемных и отправочных путей)

.
2.3.5.2. Коэффициент использования (с точностью до 0,001) имеющейся мощности междупаркового соединительного пути
где

- коэффициент, учитывающий влияние отказов технических средств на наличную пропускную способность железнодорожных линий, принимаемый равным 0,9 при тепловозной тяге и 0,91 при электрической тяге;

,

- число, соответственно, поездов категории i и маневровых передвижений категории j в сутки, заданное на расчетный период.
2.3.5.3. Если между соединительным путем и главными путями перегона рассчитываемый поездопоток проходит через стрелочную горловину и не проходит по путям станционных парков, то для такого поездопотока междупарковый соединительный путь является непосредственным продолжением межстанционного перегона. В этом случае на его работу оказывает влияние движение пассажирских и сборных поездов в пределах ближайших к станции двух-трех перегонов. Поэтому коэффициент использования (с точностью до 0,001) имеющейся мощности междупаркового соединительного пути
где

,

- коэффициенты, определяемые в соответствии с
п. 2.3.2.2.
2.3.5.4. Если междупарковый соединительный путь делится маршрутными светофорами на отдельные поездные маршруты, допускающие начало занятия поездного маршрута, ведущего из парка на рассчитываемый соединительный путь, до полного освобождения данного соединительного пути, то в качестве времени следования поезда

принимается максимальное время следования по каждому из составляющих поездных маршрутов от момента начала движения по маршруту до его полного освобождения.
2.3.5.5. Имеющаяся мощность междупаркового соединительного пути (с точностью до 1 поезда) для разных категорий поездов по каждому подходу или выходу определяется по коэффициенту использования порядком, указанным в
п. 2.3.2.3.
2.4. Расчет пропускной способности стрелочных горловин
2.4.1. Расчету подлежат горловины, на которых производятся передвижения организованных поездов, а также горловины с интенсивной маневровой работой.
На станции двухпутной линии при отсутствии взаимосвязи между передвижениями в четной и нечетной системах горловины пропускную способность этих систем горловины можно рассчитывать отдельно.
На станциях с недостаточной длиной приемо-отправочных путей обработка составов повышенной длины производится с занятием стрелочных горловин, соединительных, ходовых и других путей (см.
п. 2.2.3); поэтому необходимо с учетом местных условий установить такой порядок обработки, расформирования и формирования составов этих поездов, чтобы были обеспечены наибольшая параллельность выполнения операций и максимальное сокращение враждебности маршрутов поездных и маневровых передвижений.
2.4.2. Для расчета пропускной способности горловина делится на элементы, число которых

должно быть не менее максимально возможного количества одновременно совершаемых в горловине передвижений. В состав каждого элемента включается группа совместно работающих стрелочных переводов, при занятии одного из которых каким-либо передвижением невозможно одновременное использование остальных стрелочных переводов этой группы для других передвижений. Глухое пересечение рассматривается как стрелочный перевод, и ему присваивается соответствующий номер.
В один элемент должны входить:
- находящиеся на одном пути оба стрелочных перевода перекрестного съезда с глухим пересечением (при отсутствии параллельного роспуска составов в один элемент включаются все стрелки перекрестного съезда, расположенного после вершины горки);
- стрелочные переводы, входящие в один изолированный стрелочный участок (стрелочную секцию). Причем в состав элемента может входить не более трех секций при условии, что по этим секциям нельзя осуществлять параллельные передвижения.
Стрелочные переводы, по которым можно одновременно осуществлять передвижения по параллельным маршрутам (в том числе переводы, обращенные друг к другу крестовинами), должны относиться к разным элементам.
Время занятия горловины передвижением по какому-либо маршруту

(с точностью до 0,1 мин) определяется так, как это изложено в
п. 2.2.
Маршрут надвига и роспуска в предгорочной горловине разбивается на две части:
а) от начала надвига состава с приемного пути и роспуск до освобождения горочным локомотивом предельного столбика на выходе с приемного пути (продолжительность этого передвижения не корректируется);
б) от прохода указанного предельного столбика до окончания роспуска (продолжительность этого передвижения корректируется по
таблице 2.1 в пункте 2.2).
Например, если время от прохода предельного столбика до окончания роспуска составляет

и за это время передвижение совершается по трем элементам (стрелочным секциям)

, то скорректированное время

, которое и используется при расчете пропускной способности горловины.
Если состав поезда не вмещается на одном пути (см.
п. 2.4.1), то

должно включать полное время занятия соответствующих стрелок горловины до момента их освобождения после перестановки невмещающейся части состава на другой путь.
2.4.3. Пропускная способность горловины при помощи коэффициента использования рассчитывается в зависимости от продолжительности занятия горловины за сутки всеми операциями, предусмотренными технологическим процессом работы станции, и при прочих равных условиях зависит от принятого в расчет соотношения между числом поездов различных категорий и направлений (в том числе и относящихся к постоянным операциям). При этом надо иметь в виду, что если в исходных данных указанное соотношение остается неизменным, а меняются только абсолютные значения числа поездов различных направлений и категорий, то это не повлияет на значение получаемой пропускной способности и она также остается неизменной.
К постоянным относятся все операции, которые не изменяются с увеличением размеров грузового движения или число которых на расчетный период задается: операции, связанные с движением пассажирских и сборных поездов, обслуживанием локомотивного и вагонного хозяйств, погрузочно-выгрузочных пунктов и др. В отдельных случаях на участковых станциях к постоянным операциям может быть отнесено заданное на расчетный период число участковых поездов, на сортировочных станциях - транзитных поездов без переработки, а на специальных пассажирских станциях - заданное число грузовых поездов.
Число подач и уборок вагонов, приходящееся на один поезд, которое необходимо для расчета пропускной способности горловин грузовых станций, устанавливается по
формуле (2.7.22) с учетом пояснений на с. 112.
Перед расчетом пропускной способности горловины составляется сводная таблица передвижений (
табл. 2.4 формы N 13 ЦД), в которую вносятся все без исключения передвижения, совершаемые по рассчитываемой горловине. При этом если на расчетный период число участковых поездов будет увеличиваться пропорционально росту размеров движения, а сборных - оставаться постоянным или каким-то заданным, то в сводной таблице передвижений маршруты, относящиеся к этим двум категориям поездов, должны указываться отдельно; отдельно также указываются транзитные поезда без переработки.
Таблица 2.4
Сводная таблица передвижений в четной горловине
Маршруты (передвижения) | Номера стрелок, участвующих в маршруте | Продолжительность занятия маршрута одной операцией  , мин | Число операций по маршруту,  | Продолжительность занятия маршрута всеми операциями  , мин | Номера маршрутов | Элементы, в которые входят стрелки, участвующие в маршруте |
изменяющимися | постоянными | расчетного элемента | остальных элементов |
1 | 2 | 3 | 4 | 5 | 6 | 7 | 8 | 9 |
Отправление пассажирского поезда на P с пути 3 | 34, 32, 20, 4, 6 | 4 | 10 | - | 40 | 1 | - | а |
Прием пассажирского поезда из P на путь II | 2, 8, 10, 16, 22, 24, 30, 36 | 6 | 10 | - | 60 | - | 17 | б |
Отправление транзитного грузового поезда на P с путей 4 - 6 | 40, 26, 24, 22, 20, 4, 6 | 5 | 25 | 125 | - | 2 | - | а |
Прием транзитного грузового поезда из P на пути 7 - 9 | 2, 8, 10, 16, 18, 28, 44 | 7 | 38 | 266 | - | - | 18 | б, г |
То же, участкового поезда | 2, 8, 10, 16, 18, 28, 44 | 7 | 9 | 63 | - | - | 19 | б, г |
То же, сборного поезда | 2, 8, 10, 16, 18, 28, 44 | 7 | 2 | - | 14 | - | 20 | б, г |
Уборка локомотива от транзитного поезда с путей 4 - 6 за стрелку 6 | 40, 26, 24, 22, 20, 4, 6 | 2 | 25 | 50 | - | 3 | - | а |
То же, от участкового поезда | 40, 26, 24, 22, 20, 4, 6 | 2 | 9 | 18 | - | 4 | - | а |
То же, от сборного поезда | 40, 26, 24, 22, 20, 4, 6 | 2 | 2 | - | 4 | 5 | - | а |
Уборка локомотива от транзитного поезда от стрелки 6 по пути I в депо | 6, 4, 20, 32, 34, 38 | 2 | 25 | 50 | - | 6 | - | а |
То же, участкового поезда | 6, 4, 20, 32, 34, 38 | 2 | 9 | 18 | - | 7 | - | а |
То же, сборного поезда | 6, 4, 20, 32, 34, 38 | 2 | 2 | - | 4 | 8 | - | а |
Подача локомотива под транзитный поезд по пути I за стрелку 6 | 38, 34, 32, 20, 4, 6 | 2 | 25 | 50 | - | 9 | - | а |
То же, под участковый поезд | 38, 34, 32, 20, 4, 6 | 2 | 9 | 18 | - | 10 | - | а |
То же, под сборный поезд | 38, 34, 32, 20, 4, 6 | 2 | 2 | - | 4 | 11 | - | а |
Подача локомотива под транзитный поезд от стрелки 6 на пути 4 - 6 | 6, 4, 20, 22, 24, 26, 40 | 2 | 25 | 50 | - | 12 | - | а |
Подача локомотива под участковый поезд от стрелки 6 в парк C | 6, 8, 10, 12, 14 | 2 | 9 | 18 | - | 13 | - | а, б, в |
То же, под сборный поезд | 6, 8, 10, 12, 14 | 2 | 2 | - | 4 | 14 | - | а, б, в |
Отправление участкового поезда на P из парка C | 14, 12, 10, 8, 6 | 6 | 9 | 54 | - | 15 | - | а, б, в |
То же, сборного поезда | 14, 12, 10, 8, 6 | 6 | 2 | - | 12 | 16 | - | а, б, в |
Заезд с вытяжки на пути 4 - 6 за половиной состава участкового поезда | 12, 14, 18, 28, 26, 40 | 1,5 | 9 | 13,5 | - | - | 21 | в, г |
То же, сборного поезда | 12, 14, 18, 28, 26, 40 | 1,5 | 2 | - | 3 | - | 22 | в, г |
Заезд с вытяжки на пути 7 - 9 за половиной состава участкового поезда | 12, 14, 18, 23, 44 | 1,5 | 9 | 13,5 | - | - | 23 | в, г |
То же, сборного поезда | 12, 14, 18, 23, 44 | 1,5 | 2 | - | 3 | - | 24 | в, г |
Вытягивание половины состава участкового поезда с путей 4 - 6 на вытяжку | 40, 26, 28, 18, 14, 12 | 3 | 9 | 27 | - | - | 25 | в, г |
То же, сборного поезда | 40, 26, 28, 18, 14, 12 | 3 | 2 | - | 6 | - | 26 | в, г |
Вытягивание половины состава участкового поезда с путей 7 - 9 на вытяжку | 44, 28, 18, 14, 12 | 3 | 9 | 27 | - | - | 27 | в, г |
То же, сборного поезда | 44, 28, 18, 14, 12 | 3 | 2 | - | 6 | - | 28 | в, г |
Расформирование и формирование половины состава участкового поезда | 12, 14 | 15 | 18 | 270 | - | - | 29 | в |
То же, сборного поезда | 12, 14 | 15 | 4 | - | 60 | - | 30 | в |
Необходимо проставлять сопоставимые числа операций по группе маршрутов, связанных с обработкой какой-либо категории поездов (например, число подач-уборок поездных локомотивов должно соответствовать числу поездов, у которых меняются локомотивы; число заездов за составами расформируемых поездов должно быть равно числу прибывающих в переработку поездов и т.д.). Надо учитывать, что окончания формирования на вытяжках требуют не все составы (см.
п. 2.5.6 настоящей Инструкции), поэтому в сводную таблицу передвижений для маршрута "Окончание формирования состава на вытяжке" проставляется

, где

- доля составов, требующих окончания формирования на вытяжке;

- число переставляемых в отправочный парк составов.
Для обеспечения наивысшей пропускной способности должны быть разработаны наиболее рациональные маршруты передвижений организованных поездов, маневровых составов и одиночных локомотивов. Если в пределах рассчитываемой горловины передвижение осуществляется с переменой направления следования, то оно разбивается на число маршрутов, равное числу полурейсов; однако процесс собственно расформирования - формирования на вытяжке на отдельные маршруты не разбивается. С целью осуществления наибольшей параллельности маршруты, связанные, например, с приемом поездов с одного подхода в разные секции парка, нужно указывать отдельно, и должно быть обеспечено по возможности равномерное использование каждой секции путей этого парка. Необходимо также предусмотреть возможность осуществления вариантных маршрутов.
При составлении таблиц маршрутов передвижений, совершаемых по горловинам,
формы N 13 ЦД необходимо учитывать, что если вес состава превышает предельную норму по условию трогания на надвижной части горки одним локомотивом, то надвиг осуществляется двумя локомотивами, причем второй локомотив используется до тех пор, пока вес нерасформированной части состава станет равным установленной норме, после чего второй локомотив отцепляется и возвращается за очередным составом. При недостаточной длине сортировочных путей состав повышенной длины формируется из вагонов, накапливаемых на двух сортировочных путях. Состав повышенной длины может быть также образован пополнением транзитного поезда с головы или хвоста предварительно сформированной и обработанной группой вагонов.
2.4.4. Для расчета пропускной способности
<*> на основе анализа схемы горловины и характера ее работы, по данным сводной таблицы совершаемых передвижений (см.
табл. 2.4 формы N 13 ЦД), намечаются интенсивно используемые группы стрелок (элементы); при этом охранные стрелки в число занятых каким-либо маршрутом не включаются. Особенно тщательно надо анализировать сложные горловины при значительном объеме постоянных операций. Элементы, по которым совершаются только постоянные операции, в дальнейшем не рассматриваются. В горловине на рис. 2.12 интенсивно используются следующие группы стрелок:
--------------------------------
<*>
Последовательность расчета рассматривается на примере изображенной на рис. 2.12 горловины участковой станции при условии, что соотношение между числом поездов различных категорий и направлений по заданию сохраняется и на расчетный период, а к постоянным операциям относятся только пассажирские и сборные поезда.
элемент а - стрелки 4, 6, 20, 32, 34;
элемент б - стрелки 2, 8, 10, 16;
элемент в - стрелки 12, 14;
элемент г - стрелки 18, 28.
Далее устанавливается, какой именно элемент является наиболее загруженным. С этой целью для каждого из интенсивно используемых элементов осуществляется следующее.
С использованием данных граф 5 и 9 сводной таблицы передвижений определяется (с точностью до 0,1 мин) общее время занятия элемента всеми предусмотренными операциями, зависящими от размеров движения,
где

- продолжительность занятия маршрута одной операцией;

- число операций по соответствующему маршруту (прием-отправление поездов, подача-уборка поездных локомотивов, различного рода маневровые передвижения), увеличивающихся пропорционально росту размеров движения;

- коэффициент, учитывающий отказы устройств ЭЦ

.
Для интенсивно используемых элементов рассматриваемой горловины это время составляет:
элемент а - (125 + 50 + 18 + 50 + 18 + 50 + 18 + 50 + 18 + 54)(1 + 0,01) = 456 мин;
элемент б - (266 + 63 + 18 + 54)(1 + 0,01) = 405 мин;
элемент в - (18 + 54 + 135 + 135 + 27 + 27 + 270)(1 + 0,01) = 427 мин;
элемент г - (266 + 63 + 135 + 135 + 27 + 27)(1 + 0,01) = 414 мин.
Аналогично по данным граф 6 и 9 (см.
табл. 2.4) определяется общее время занятия элемента всеми постоянными операциями:
Для рассматриваемых элементов

составляет:
элемент а - 40 + 4 + 4 + 4 + 4 + 12 = 68 мин;
элемент б - 60 + 14 + 4 + 12 = 90 мин;
элемент в - 4 + 12 + 3 + 3 + 6 + 6 + 60 = 94 мин;
элемент г - 14 + 3 + 3 + 6 + 6 = 32 мин.
Далее для каждого элемента определяется отношение (с точностью до 0,001)
Это отношение для рассматриваемых элементов составляет:
элемент
а -

;
элемент
б -

;
элемент
в -

;
элемент
г -

.
Сопоставление значений

для интенсивно используемых элементов горловины дает возможность установить наиболее загруженный
расчетный элемент (без учета перерывов в его использовании из-за враждебных передвижений по другим элементам). Таким
расчетным элементом является тот, для которого значение

будет наибольшим. В рассматриваемой горловине наибольшее значение

имеет элемент "а", которому соответствует группа стрелок 4, 6, 20, 32, 34; следовательно, при принятом в расчет соотношении между числом поездов различных категорий и направлений
расчетным элементом в этой горловине является элемент "а", и пропускная способность горловины в данном случае определяется именно этим элементом. Все маршруты, совершаемые с занятием стрелок
расчетного элемента, последовательно нумеруются в графе 7
табл. 2.4, после чего маршрутам остальных элементов присваиваются следующие номера в нарастающем порядке, которые проставляются в графе 8
табл. 2.4. Дальнейший расчет производится только для
расчетного элемента.
Примечания:
1. Если в горловине имеется два и более элементов с наибольшими значениями
и они отличаются менее, чем на 0,03, то в дальнейшем целесообразно рассчитывать все эти элементы, принимая поочередно каждый из них за расчетный элемент. При этом больше будет уверенность в том, что пропускная способность горловины определена действительно по наиболее загруженной стрелке.
2. При расчете пропускной способности горловины, основанном на задании, может получиться, что наиболее загруженный элемент горловины включает стрелки, по которым не производится прием или отправление транзитных поездов (либо поездов какой-либо другой интересуемой категории или направления). В таком случае для более полного представления о пропускной способности горловины по интересуемым поездам следует производить дополнительный расчет при измененном по сравнению с заданием соотношении между числом поездов различных категорий и направлений. Это новое соотношение выбирается таким, чтобы наиболее загруженным стал элемент, по которому в основном пропускаются интересуемые поезда. Расчет можно производить также при заданном на расчетный период числе поездов с переработкой. Более полную картину о пропускной способности горловины можно получить, только рассчитав ее в нескольких вариантах, в особенности при практически возможных соотношениях между числом поездов различных категорий и примыкающих линий.
2.4.5. Влияние возможных перерывов в использовании стрелок
расчетного элемента из-за наличия враждебных передвижений по остальным элементам горловины учитывается коэффициент

, значение которого определяется <*> по формуле
--------------------------------
<
*>
Если в горловине не осуществляется одновременно два и более параллельных маршрута, коэффициент
.
где

- величина, характеризующая сложность работы рассматриваемой горловины (с точностью до 0,01):
где

- общее число маршрутов в рассматриваемой горловине;

- число маршрутов с занятием расчетного элемента горловины (см. графу 7
табл. 2.4 формы N 13 ЦД);

- наибольшее возможное число одновременно осуществляемых передвижений в рассматриваемой горловине.
Так, для горловины на
рис. 2.12 (см.
табл. 2.4)

,

и одновременно возможно осуществление не более трех передвижений (например, отправление пассажирского поезда на
P с пути
3, прием грузового поезда из
P на пути
7 - 9 и расформирование состава на вытяжке), т.е.

. Следовательно, по
формуле (2.4.5) 
и по
формуле (2.4.4) 
.
2.4.6. Коэффициент использования пропускной способности горловины
где

- время занятия расчетного элемента горловины постоянными операциями по
формуле (2.4.2);

- время занятия горловины текущим обслуживанием, плановыми видами ремонта или снегоуборкой (см.
табл. 2.3).
Для рассматриваемой горловины коэффициент использования
2.4.7. Для маршрутов, связанных с выполнением операций, зависящих от размеров движения, пропускная способность (с точностью до 1 поезда, состава и т.п.)
В общую пропускную способность горловины включаются также поезда (составы и т.п.), обрабатываемые за время

. Пропускная способность рассматриваемой горловины составляет: по приему транзитных грузовых поездов из P 38 : 0,392 = 96;
то же участковых 9 : 0,392 = 22;
по отправлению транзитных грузовых поездов на P 25 : 0,392 = 63;
то же участковых 9 : 0,392 = 22.
Примечание. Пропускную способность следует определять только по тем маршрутам, которые используются для установления результативной пропускной способности (в первую очередь прием и отправление поездов).
Общая пропускная способность горловины в грузовых поездах с учетом поездов, обрабатываемых за время

(в рассматриваемой горловине - заданное число сборных поездов), составляет:
по приему 96 + 22 + 2 = 120;
по отправлению 63 + 22 + 2 + 87.
2.5. Расчет перерабатывающей способности сортировочных устройств
2.5.1. При определении перерабатывающей способности станции рассчитывают все сортировочные устройства: сортировочные горки и вытяжные пути.
Перерабатывающая способность горки определяется исходя из того, что она предназначена для расформирования составов и одновременного их формирования в процессе роспуска, при этом работа по окончанию формирования составов в сортировочных системах с горками повышенной, большой и средней мощности выполняется с двух сторон - на горке и на вытяжных путях выходной горловины сортировочного парка. В сортировочной системе с горкой малой мощности при отсутствии маневрового локомотива в противоположном конце сортировочного парка вся работа по расформированию-формированию составов выполняется на горке малой мощности, и поэтому ее перерабатывающую способность надо определять так же, как вытяжного пути безгорочной станции, но с учетом меньшего, чем на вытяжном пути, времени выполнения маневровых операций по переработке вагонов одного состава. Если же в противоположном конце сортировочного парка маневровый локомотив производит окончание формирования, то перерабатывающая способность горки малой мощности определяется как для обычной горки.
2.5.2. Перерабатывающая способность сортировочной горки при помощи коэффициента использования определяется в зависимости от продолжительности ее занятия за сутки всеми операциями, предусмотренными технологическим процессом работы станции, с учетом максимального освобождения горочных локомотивов от всех тех работ, которые могут быть выполнены на вытяжных путях сортировочного парка или специально выделенными маневровыми локомотивами. Для расчета определяется (с точностью до 0,1 мин) общее время занятия горки операциями, зависящими от размеров движения. Это время в общем виде
где

,

и т.д. - число распускаемых с горки составов, поступающих, соответственно, с подходов 1, 2 и т.д. (принимается по заданию)
<*>;

- средняя продолжительность занятия горки, приходящаяся на один расформировываемый состав, с учетом окончания формирования и других операций, т.е. горочный технологический интервал;

- число принимаемых, отправляемых поездов и т.д., зависящих от размеров движения, при пропуске которых роспуск с горки прекращается;

- время занятия предгорочной горловины одним таким поездом при условии, что оно не может быть совмещено с заездами горочных локомотивов, осаживанием, окончанием роспуска (после освобождения горочным локомотивом маршрута приема);

- коэффициент, учитывающий отказы технических устройств, нерасцепы вагонов и др., значение которого определяется по табл. 2.5.
--------------------------------
<
*>
Если число сборных поездов увеличивается пропорционально росту объема переработки, они добавляются к числу остальных разборочных поездов с соответствующего подхода.
Горочный технологический интервал  , мин | Значения  в зависимости от типа замедлителей |
КВ-3 | КНП-5 | Т-50 | ВЗПГ, РНЗ-2, РНЗ-2М, РНЗ-3, КНЗ-5, КЗ-3, КЗ-5 |
До 11,0 | | | | |
11,1 - 14,0 | | | | |
14,1 - 19,0 | | | | |
19,1 - 24 | | | | |
24,1 и более | | | | |
Примечания:
1. В числителе - для автоматизированной, в знаменателе - для механизированной горки.
2. Меньшее значение
относится к составу поезда не более 60 вагонов, большее - более 60 вагонов.
3. Для немеханизированных горок и вытяжных путей
.
Определяя по
формуле (2.5.1) значение
T, необходимо иметь в виду, что соединенный поезд распускается с горки после разъединения (см.
п. 2.2.3), и поэтому в этой формуле в число распускаемых с горки составов вместо одного соединенного поезда должны учитываться входящие в него два состава (головного и хвостового поездов).
Если некоторые из обрабатываемых на станции поездов являются длинносоставными и они распускаются на горке целиком, то в технологическом графике работы горки должен быть отражен удельный вес таких поездов.
Примечание. Если число угловых передач, групп вагонов от групповых поездов, а также групп, отцепляемых в связи с переломом веса, пропорционально объему переработки, то время занятия горки их переработкой должно учитываться в T.
Время

(с точностью до 0,1 мин)
Для определения

используются технологические графики работы горки, из которых устанавливается продолжительность цикла работы горки

и число составов, распускаемых за один цикл,

.
Цикл работы горки устанавливается исходя из обеспечения наибольшей перерабатывающей способности. С этой целью необходимо предусматривать максимальное использование переменной скорости роспуска, работу возможно наибольшего числа горочных локомотивов, организацию подтягивания вагонов со стороны вытяжек формирования и др.
Цикл работы горки обычно предусматривает выполнение на горке операций по устранению неподхода осей автосцепок, постановке вагонов прикрытия, окончанию формирования состава в соответствии с требованиями ПТЭ в последней трети состава, а также производство операций с вагонами, не подлежащими спуску с горки без локомотива (вагоны ЗСГ). Для поездов, отправляемых в сторону горки, операции устранения неподхода осей автосцепок, постановки вагонов прикрытия и др. производятся в головной трети состава.
Процессы окончания формирования и осаживания должны максимально совмещаться. Если на станции производятся и осаживание, и подтягивание вагонов локомотивами вытяжек формирования, то затрата времени на осаживание должна включаться в график работы горки, соответственно, в сокращенном виде.
Надо также учитывать, что горка может заниматься роспуском групп местных и отремонтированных вагонов (состав которых меньше состава поезда), а также выполнением операций по окончанию формирования и осаживанию на путях сортировочного парка целиком или частично без занятия в предгорочной горловине стрелок маршрута пропуска поездных локомотивов или приема поездов. При достаточном удалении стрелки примыкания деповского пути от горба горки поездные локомотивы могут пропускать в депо и обратно в процессе окончания роспуска последней части состава (после прохода горочным локомотивом стрелки примыкания деповского пути).
Для примера технологический график работы сортировочной горки с двумя путями надвига, одним спускным путем и двумя горочными локомотивами при отсутствии вагонов, запрещенных к роспуску с горки без локомотива (вагоны ЗСГ), приведен на
рис. 2.13.
Наличие вагонов ЗСГ усложняет расформирование - формирование на горке, которое может быть осуществлено двумя способами. Первый - при роспуске состава одним из работающих на горке локомотивов, вагоны ЗСГ (после остановки роспуска) отцепляют от состава на вершине горки другим горочным локомотивом и переставляют их на пути сортировочного парка (см. на
рис. 2.14 операцию "Снятие" отцепов ЗСГ). Второй - горочный локомотив осаживает через горку распускаемый состав и ставит вагоны ЗСГ на пути сортировочного парка, а затем вытягивает состав на горку, и процесс расформирования продолжается; этот способ трудно осуществим, если вагоны ЗСГ в начале роспуска находятся в голове распускаемого состава.
Рис. 2.13. Технологический график работы сортировочной
горки с двумя путями надвига, одним спускным путем
и двумя горочными локомотивами при отсутствии
вагонов ЗСГ
Рис. 2.14. Технологический график работы сортировочной
горки с двумя путями надвига, одним спускным путем
и двумя горочными локомотивами при наличии вагонов ЗСГ
в каждом втором составе и привлечении для их
расформирования второго горочного локомотива
Если на горке в течение суток часть составов расформировывается в режиме последовательного роспуска, а остальные составы - в режиме параллельного роспуска (режим ПРС) с направлением при этом вагонов перекрестного потока на отсевные пути и последующей их повторной сортировкой, то средневзвешенная продолжительность занятия горки переработкой одного состава определяется по формуле:
где

- средняя продолжительность занятия горки одним составом при режиме последовательного роспуска, определяемая по
формуле (2.5.2);

- коэффициент полезного использования горки;

,

,

- доля составов соответственно для последовательного и параллельного роспуска на левую и правую части сортировочного парка;

- коэффициент, учитывающий влияние схемы путевого развития горки на размеры повторной сортировки вагонов;

,

- средняя доля вагонов перекрестного потока в составах для параллельного роспуска соответственно на левую и правую части сортировочного парка;

,

- среднее время занятия горки соответственно роспуском состава и повторной сортировкой вагонов;

- среднее число вагонов в составе поезда;

- средний маневровый состав при повторной сортировке вагонов с отсевных путей.
Если режим ПРС предусматривается осуществить только за счет поездов, предварительно подготовленных на тыловых сортировочных станциях, в которых отсутствуют вагоны перекрестного потока, то
Коэффициент полезного использования горки характеризует продолжительность времени, в течение которого горка может быть занята роспуском составов:
Значения

,

,

устанавливаются в соответствии с
п. 2.5.3.
Наиболее достоверные значения

,

и

получаются по результатам обработки данных натурных листов и режимов роспуска 400 - 500 составов, расформировываемых за период, наиболее полно характеризующий условия работы станции. Для этого определяются суммарные числа составов для параллельного роспуска на левую

и правую

части сортировочного парка и для последовательного роспуска

и их доли:

;

;

от общего числа составов n.
После определения числа составов для ПРС по данным натурных листов устанавливается число в них вагонов перекрестного потока, которыми в составах

будут вагоны назначением на правую часть сортировочного парка

, а в составах

- вагоны назначением на левую часть

. Затем производится подсчет суммарного числа этих вагонов

в составах

и

в составах

.
Доли вагонов перекрестного потока в составах для ПРС:

;

.
Значение

принимается равным: 1 - если на спускной части горки уложены перекрестные съезды; 2 - при соединении горочных путей на спускной части при помощи обыкновенных съездов; 1,6 - при использовании для параллельного роспуска и среднего пути надвига, с которого имеется выход на все пути подгорочного парка.
Определим

при осуществлении в течение суток режима параллельного роспуска части составов на горке, имеющей средний путь надвига, с которого имеется выход на все пути подгорочного парка,

,

,

,

,

,

,

,

,

; по результатам обработки данных натурных листов получены значения

,

,

.
А = 0,365 · 0,365 + 0,27 - 0,365 · 0,365 · 1,6 (0,0734 + 0,0846)
Таким образом, по сравнению с режимом последовательного роспуска значение
снизилось с 12,0 до 10, 2 мин, т.е. на
, а перерабатывающая способность горки увеличилась на
.
2.5.3. Коэффициент использования перерабатывающей способности горки (с точностью до 0,001)
где

- коэффициент, учитывающий повторную сортировку части вагонов в процессе окончания формирования с горки и из-за недостатка числа и длины сортировочных путей; примерные значения этого коэффициента приведены в
табл. 2.6;

- коэффициент, учитывающий возможные перерывы в использовании горки из-за враждебных передвижений (принимается равным 0,97, за исключением случаев расположения транзитного парка параллельно приемному парку при отсутствии изолированного от горки соединения с депо, а также для объединенного приемного парка без петли; в указанных случаях

);

- время занятия горки в течение суток для выполнения постоянных операций, не изменяющихся пропорционально с увеличением объема переработки, или число которых на расчетный период задается (в том числе заданное число сборных поездов, полностью формируемых на горке).
Вместимость сортировочного парка, вагоны <*> | Коэффициент  при соотношении  (вместимость сортировочного парка к произведению числа назначений плана формирования на средний состав отправляемых поездов) |
1,00 | 1,05 | 1,10 | 1,15 | 1,20 | 1,25 |
Менее 500 | 1,18 | 1,14 | 1,09 | 1,06 | 1,04 | 1,01 |
1000 | 1,16 | 1,12 | 1,08 | 1,06 | 1,04 | 1,01 |
1500 и более | 1,14 | 1,09 | 1,06 | 1,04 | 1,03 | 1,01 |
--------------------------------
<*>
Учитываются пути, выделенные для накопления вагонов по назначениям плана формирования поездов.
В общем случае время

(с точностью до 1 мин)
где

- число распускаемых с горки за сутки групп (передач) вагонов соответственно углового потока, из вагонного депо или с путей ремонта и местных; при этом число угловых передач в значении T по
формуле (2.5.1) не учитывается;

,

,

- среднее время роспуска соответственно группы вагонов углового потока, из вагонного депо или с путей ремонта и местных с учетом затраты времени на пропуск через предгорочную горловину при этом маневровых составов и локомотивов;

- время перерывов в работе горки, необходимое для экипировки горочных локомотивов (при отсутствии подмены), а также для ежедневного технического обслуживания вагонных замедлителей и другого горочного оборудования, требующего прекращения роспуска;

- число принимаемых (отправляемых) поездов, маневровых передвижений и т.п., не зависящее от объема переработки или заданное на расчетный период (в том числе заданное на расчетный период число сборных поездов);
Примечание. Если для какого-либо направления число поездов (кроме сборных) на расчетный период задано (постоянно), то в
включается величина
.
В зависимости от принятой организации и характера работы станции число операций, входящих в
формулу (2.5.7), и их продолжительность различны; в отдельных случаях некоторые операции могут отсутствовать.
Время занятия горки за сутки техническим обслуживанием устройств механизации и автоматизации сортировочной работы определяется исходя из установленных норм времени и порядка выполнения ежедневного осмотра и ремонта этих устройств, требующих прекращения роспуска вагонов с горки. Входящее в

среднее в сутки время занятия горки техническим обслуживанием вагонных замедлителей и других горочных устройств определяется по формуле
где

- коэффициент, зависящий от числа спускных путей на горке: равен 10 и 6 для КВ-3, 8 и 5 для КНП-5, и 6 и 4 для Т-50 и ВЗГП соответственно при одном и двух (и более) спускных путях;
П - число пучков в сортировочном парке.
При наличии достаточных по продолжительности интервалов между роспусками смежных составов (например, на горке с одним путем надвига, в случае осаживания вагонов в сортировочном парке горочными локомотивами и т.д.) эти интервалы должны использоваться для выполнения операций по техническому обслуживанию горочного оборудования. В этом случае при определении по
формуле (2.5.7) времени

нужно принимать такое значение

, которое учитывало бы возможность совмещения времени выполнения операций по техническому обслуживанию с отмеченными ранее вынужденными интервалами в работе горки. Следует также учитывать возможность совмещения смены локомотивных бригад с экипировкой маневровых локомотивов и др.
2.5.4. Перерабатывающая способность горки (с точностью до 1 состава) определяется в составах одиночных поездов с учетом того, что часть из них может быть длинносоставными и распускаемыми с горки целиком.
Перерабатывающая способность горки составляет для поездов:
с подхода 1

;
с подхода 2

.
Перерабатывающая способность горки в вагонах
где

,

и т.д. - среднее число вагонов в составах поездов, прибывающих соответственно с подходов 1 и 2 и т.д.

- число местных вагонов, из вагонного депо, с путей ремонта, угловых и т.д., распускаемых с горки за время

.
При этом очевидно, что с линии может быть переработан поток (без сборных) в количестве

вагонов.
Пример расчета перерабатывающей способности горки приведен в
Приложении 2.1.
2.5.5. В эксплуатационной работе сортировочной станции могут иметь место периоды сгущенного подхода поездов в переработку из-за пропуска пассажирских поездов, одновременного прибытия поездов с нескольких подходов, пачкообразного поступления поездов после "окна" и т.д. Если перерабатывающую способность горки за сутки разделить на 24, то получаемая среднечасовая перерабатывающая способность может оказаться меньше, чем размеры прибытия поездов в период сгущенного подхода. Перерабатывающую способность горки можно кратковременно поднять в периоды сгущенного подхода поездов за счет того, что в это время:
- с горки снимаются операции по окончанию формирования и переносятся на вытяжки хвостовой горловины сортировочного парка;
- горочные локомотивы освобождаются от осаживания вагонов на путях сортировочного парка и организуется подтягивание вагонов локомотивами, работающими на вытяжных путях формирования;
- не производятся техническое обслуживание горочного оборудования (если оно может вызвать перерывы в работе горки) и экипировка горочных локомотивов (без подмены);
- не предусматривается роспуск местных и отремонтированных вагонов, а также вагонов углового потока;
- выделяется дополнительный горочный локомотив и т.д.
Осуществление перечисленных мероприятий может повысить значение кратковременной перерабатывающей способности горки (по сравнению со среднечасовой) на 50 - 60%, а иногда и более.
Кратковременная перерабатывающая способность горки в течение одного часа
где

- затрата времени на расформирование с горки одного состава в период сгущенного подхода поездов (т.е. без учета загрузки горочного локомотива осаживанием вагонов и т.д.).
2.5.6. Перерабатывающая способность вытяжного пути определяется в зависимости от продолжительности его занятия в течение суток предусмотренными операциями в следующем порядке.
Определяется общее время занятия вытяжного пути операциями, зависящими от размеров движения.
Для вытяжного пути подгорочного парка сортировочной станции это время в общем виде:
где

,

и т.д.- заданная доля составов соответственно линии 1, 2 и т.д., требующих окончания формирования на вытяжном пути (устанавливается на основе анализа работы станции. Обычно равна 0,6 - 0,7);

,

и т.д. - число составов соответственно линии 1, 2 и т.д., формируемых полностью и частично горкой и обрабатываемых на данном вытяжном пути;

,

и т.д. - приходящееся на один поезд средневзвешенное время выполнения на вытяжке операций по окончанию формирования первых двух третей состава и соединению групп вагонов линии 1, 2 и т.д.;

,

и т.д. - число составов линии 1, 2 и т.д., полностью формируемых на вытяжке;

,

и т.д. - приходящееся на один поезд время формирования полностью на вытяжке состава линии 1, 2 и т.д.;

- время подтягивания вагонов и перестановки сформированного состава в отправочный парк;

- время возвращения маневрового локомотива на вытяжной путь (при отправлении поездов непосредственно из сортировочного парка время

и

не учитывается);

- число маневровых и других передвижений (занимающих вытяжной путь помимо сортировочной работы), зависящих от размеров движения (в том числе сборные поезда и угловые передачи, если число их зависит в прямой пропорции от объема переработки);

- время занятия вытяжного пути соответствующим маневровым (поездным) передвижением;

- коэффициент, учитывающий отказы технических устройств, нерасцепы вагонов и др. (если вытяжной путь не оборудован замедлителями, то

).
Если на станции формируются длинносоставные (или соединенные) поезда, вагоны для которых накапливаются, как правило, на двух сортировочных путях, то число таких поездов и время их формирования учитываются отдельно в
формуле (2.5.11). При этом когда части состава поезда повышенной длины (или составы поездов головного и хвостового соединенного поезда) переставляются в отправочный парк отдельно, то в числе переставляемых учитывается каждая часть длинносоставного поезда (или каждый состав поездов головного и хвостового соединенного поезда). При определении же перерабатывающей способности вытяжного пути подгорочного парка в поездах учитывается, что две части длинносоставного поезда (или поезда головной и хвостовой соединенного поезда) считаются за один длинносоставный поезд (или за один соединенный поезд).
Для вытяжного пути безгорочной станции
где, кроме указанных ранее обозначений,

,

и т.д. - число расформировываемых составов, поступающих соответственно с линий 1, 2 и т.д.;

,

и т.д. - время расформирования состава (с учетом времени на заезд и вытягивание) линий 1, 2 и т.д.;

,

и т.д. - число составов своего формирования, отправляемых на линии 1, 2 и т.д.;

,

и т.д. - время формирования состава на линии 1, 2 и т.д.
При двустороннем расформировании - формировании состава на двух вытяжных путях значения

и

подсчитываются для каждой части состава. При этом деление состава на части целесообразно производить обратно пропорционально нормам времени занятия соответствующих вытяжных путей выполнением операции расформирования - формирования для целого состава. Соответствующее число вагонов в каждой части учитывается при определении перерабатывающей способности вытяжных путей в вагонах.
Примечания. 1. Если при приеме (или отправлении) поезда нельзя производить маневровую работу на рассчитываемом сортировочном устройстве, то в общее время его занятия T (в величину
) необходимо дополнительно включать произведение
(или
), где
- число поездов, при приеме (отправлении) которых невозможно выполнять маневровую работу;
- время занятия примыкающей к сортировочному устройству горловины при приеме (отправлении) поезда.
2. На вытяжных путях грузовых станций, кроме расформирования-формирования составов, производится подборка вагонов по фронтам погрузки-выгрузки, сортировка вагонов по специализированным путям после уборки вагонов с грузовых пунктов и т.д. Продолжительность этих операций надо включать в значение T.
2.5.7. Коэффициент использования перерабатывающей способности вытяжного пути (с точностью до 0,001)
где

- коэффициент повторной сортировки (устанавливается анализом);

- коэффициент, учитывающий возможные перерывы в использовании вытяжного пути из-за враждебных передвижений (принимается равным 0,93 - 0,95, причем меньшее значение относится к случаю, когда маршруты перестановки в отправочный парк составов, сформированных на других вытяжных путях, и возвращения маневровых локомотивов враждебны передвижениям маневрового локомотива, работающего на рассчитываемом пути);

- время занятия вытяжного пути в течение суток для выполнения постоянных операций, не зависящих от объема переработки, или число которых на расчетный период задано (в том числе обработка заданного числа сборных поездов).
Специализация путей сортировочного и отправочного парков должна предусматривать сокращение и возможную ликвидацию перерывов из-за враждебности.
Время

определяется по следующей формуле общего вида:

- число передаваемых за сутки в другую систему групп (передач) вагонов углового потока (учитывается только для двусторонних сортировочных станций);

- число занятия вытяжного пути перестановкой группы вагонов углового потока с учетом времени возвращения маневрового локомотива на вытяжной путь;

- число групп вагонов, подлежащих ремонту и отремонтированных, обрабатываемых на вытяжном пути;

- время занятия вытяжного пути обработкой группы вагонов, подлежащих ремонту или отремонтированных;

- время занятия вытяжного пути в течение суток обработкой групп местных вагонов, сортировочной платформы и др.;

- затрата времени на экипировку маневрового локомотива, работающего на вытяжном пути (если нет подмены);

- заданное на расчетный период число сборных поездов;

- время занятия вытяжного пути формированием сборного поезда.
В зависимости от схемы станции, организации и характера работы число постоянных операций для каждого вытяжного пути и затрата времени на их выполнение могут быть различными, а иногда некоторые операции вообще могут отсутствовать.
Если для какого-либо направления число поездов (кроме сборных) на расчетный период задано (постоянно), то в

включается значение

.
2.5.8. На основе данных о числе составов различных категорий и линий и полученного коэффициента использования определяется перерабатывающая способность вытяжного пути по расформированию - формированию в поездах соответствующих категорий (см.
п. 2.5.4).
Перерабатывающая способность вытяжного пути в вагонах определяется с учетом величин поездных составов; кроме того, в нее включается число вагонов углового потока, местных и т.д., обрабатываемых за время

.
Если в качестве вытяжки используется главный путь, то перерабатывающая способность (наибольшее число поездов с переработкой) определяется из предшествующего расчета пропускной способности соответствующей горловины.
Пример расчета перерабатывающей способности вытяжного пути дан в
Приложении 2.1.
2.5.9. Если перерабатывающая способность станции по расформированию отличается от таковой по формированию, то необходимо перераспределить загрузку сортировочных устройств станции с тем, чтобы перерабатывающая способность по расформированию и формированию была одинаковой. При этом надо иметь в виду, что если составы расформируемых и формируемых поездов различны, то перерабатывающая способность по обоим этим видам операций должна быть одинаковой в вагонах; в поездах же она может быть разной.
Перерабатывающая способность станции определяется:
по горочным станциям как сумма перерабатывающей способности сортировочных систем (сортировочная горка и вытяжные пути подгорочного парка) и вытяжных путей, имеющихся в других парках станции, на которых расформировывают-формируют поезда;
по безгорочным станциям как сумма перерабатывающей способности имеющихся на станции сортировочных устройств, выполняющих расформирование-формирование поездов.
2.6. Расчет пропускной способности пассажирских устройств
2.6.1. Рассчитывается пропускная способность следующих пассажирских устройств: платформы и перронные пути; пути и экипировочные устройства для обработки пассажирских вагонов. Исходные данные для расчетов должны соответствовать нормативам для составления графика движения пассажирских поездов.
2.6.2. Пропускная способность пассажирской платформы (с расположенными у нее перронными путями) в поездах
где

- расчетный период, за который определяется пропускная способность (обычно

);

- число перронных путей у платформы;

- суммарное время занятия перронных путей в течение расчетного периода операциями, связанными с пропуском поездов других категорий и маневровыми передвижениями;

- продолжительность занятия перронного пути пассажирским поездом.
При наличии на станции нескольких пассажирских платформ общая пропускная способность определяется суммированием по всем платформам значений

, полученных по
формуле (2.6.1).
Когда платформа одновременно обслуживает только один поезд,

устанавливается по формулам:
| |  ; | (2.6.2 а) |
| | | |
| |  , | (2.6.2 б) |
где

- время занятия пути и платформы приемом или подачей поезда к перрону;

- время занятия пути и платформы отправлением или уборкой поезда;

- затраты времени на вход (выход) пассажиров из вагона с максимальной вместимостью с учетом прекращения посадки (высадки) пассажиров за 1 - 2 мин до отправления или уборки поезда.

- время занятия платформ проходом пассажиров.
Если у двусторонней платформы допускается одновременное нахождение двух поездов, значение

для двух поездов рассчитывается для случаев а и б соответственно по формулам:
где

- минимально возможный интервал приема, отправления или приема - отправления двух поездов к одной платформе, устанавливаемый в соответствии с технологией работы станции.
2.6.3. Время занятия платформ и путей, обслуживающих пригородные поезда от прибытия до отправления в рейс без уборки в депо или на пути отстоя, определяется по
формулам (2.6.2, а и
б) и
(2.6.3, а и
б). При этом в случае
а принимается

равным суммарной затрате времени на высадку и посадку пассажиров, а в случае
б 
- равным времени занятия платформы прибывающими и отправляющимися пассажирами.
Если на платформе предусмотрено снабжение водой пригородных вагонов, оборудованных туалетами (с затратой времени, равной

), то при

расчет времени занятия платформы производится по
формулам (2.6.2, а и
б) и
(2.6.3, а и
б). Если же

, то в эти формулы вместо

подставляется время снабжения вагонов водой

.
2.6.4. Расчет времени занятия платформ и путей, обслуживающих транзитные поезда, проходящие рассматриваемую станцию без технических операций, производится по
формулам (2.6.2, а и
б) и
(2.6.3, а и
б).
Если на станции имеют место смена локомотивов, снабжение вагонов водой и топливом, технический осмотр и ремонт вагонов, перецепка вагонов в связи с переменой направления движения, погрузка и выгрузка багажа и почты, скрещение поездов на однопутных участках и т.п., то при определении времени занятия платформ в
формулах (2.6.2, а и
б) и
(2.6.3, а и
б) вместо

подставляется затрата времени на наиболее продолжительную операцию, определяющую общее время простоя поезда на станции. Продолжительность этой операции устанавливается в соответствии с технологией работы станции.
2.6.5. Продолжительность выхода пассажиров из вагонов и входа в вагоны

, а также время занятия платформы пассажирами

определяются хронометражными наблюдениями с учетом вместимости и фактической населенности вагонов, порядка их размещения в поездах, числа вагонов в составе, ширины и длины платформ, способа развязки пассажиропотоков (пешеходные мосты, тоннели и т.п.). Кроме того, принимается во внимание возможность работы передвижных камер хранения багажа, проезда тележек для перевозки почты, багажа и ручной клади пассажиров.
Время занятия платформ и перронных путей постоянными операциями

пост устанавливается в соответствии с технологией работы станции.
2.6.6. Пропускная способность платформ, обслуживающих дальнее и пригородное движение, рассчитывается в поездах с максимально допустимым по длине платформ числом вагонов.
При определении пропускной способности платформ и перронных путей, обслуживающих как дальнее, так и пригородное движение, расчет производится для поездов преобладающей категории. Время занятия платформы поездами другой категории в течение расчетного периода учитывается как

.
Определим пропускную способность двусторонней пассажирской платформы, специализированной для приема дальних поездов при

;

;

;

;

;

;

.
Сравнение

и

показывает, что

.
Следовательно, по
формуле (2.6.3 а) время занятия двусторонней платформы приемом двух поездов составит:
2.6.7. Пропускная способность технических путей в составах поездов
где

- наличное число технических путей;

- суммарная продолжительность занятия технических путей операциями с грузовыми поездами, по очистке междупутий, текущим содержанием и т.д.;

- время занятия пути составом поезда от поступления с перронных путей до подачи на перронные пути, определяемое с учетом возможной скользящей специализации составов пассажирских поездов;

- коэффициент, учитывающий внутрисуточную неравномерность движения, влияние смежных устройств, возникновение отказов технических устройств и др. (принимается равным 0,2 - 0,3).
2.6.8. Пропускная способность экипировочных устройств (вагономоечные установки, экипировочные депо, специализированные экипировочные пути, устройства для дезинфекции вагонов, устройства для перестановки вагонных тележек) в составах:
где

- число одновременно обрабатываемых составов;

- продолжительность занятия экипировочных устройств операциями по текущему содержанию и ремонту (принимается равной 60 мин);

- коэффициент, учитывающий возникновение отказов соответствующих устройств (принимается равным 0,12 - 0,15);

- продолжительность обработки одного состава с учетом времени на подачу и уборку вагонов.
2.6.9. Продолжительность занятия устройств экипировочными и постоянными операциями устанавливается по данным технологического процесса работы станции и соответствующих экипировочных устройств.
2.6.10. Определение пропускной способности технических путей и экипировочных устройств производится за сутки. Для сравнения с пропускной способностью платформ и перронных путей пропускная способность технических путей и экипировочных устройств приводится к среднечасовому значению. Если в течение суток платформы и перронные пути используются только
T часов, то их пропускная способность за сутки равна среднечасовой пропускной способности по
формуле (2.6.1), умноженной на
T.
2.7. Расчет перерабатывающей способности грузовых фронтов
2.7.1. Перерабатывающая способность грузовых фронтов зависит от условий подачи к фронтам и уборки вагонов после выполнения грузовых операций, условий работы и числа маневровых локомотивов, конструкции, вместимости и технического оснащения грузовых фронтов, надежности машин, вместимости складов и др.
Перерабатывающая способность грузовых фронтов, расположенных как в грузовом районе, так и на подъездных путях, рассчитывается по:
- средствам механизации погрузки-выгрузки с учетом работы обслуживающих маневровых локомотивов;
- складам (их вместимость).
По средствам механизации перерабатывающая способность грузовых фронтов, обслуживаемых одним маневровым локомотивом (с точностью до 1 вагона), в вагонах
где г - число грузовых фронтов, обслуживаемых локомотивом;

- расчетный период работы
i-го грузового фронта, ч (при круглосуточной работе
T = 24);

- продолжительность времени для выполнения постоянных операций (техническое обслуживание и ремонт погрузочно-разгрузочных машин и пр.) на
i-ом фронте;

- цикл работы грузовых фронтов, который определяется продолжительностью обслуживания грузового фронта с наибольшим временем выполнения грузовых операций с одной подачей (уборкой) вагонов;

- число подач (уборок) вагонов на
i-м грузовом фронте за время

;

- среднее число вагонов в одной подаче на
i-й грузовой фронт;

- коэффициент, учитывающий возникновение отказов погрузочно-разгрузочных машин на
i-м грузовом фронте.
Примечание. Если в течение суток маневровый локомотив иногда отвлекается на обслуживание второстепенных фронтов с незначительным объемом погрузки-выгрузки (которые не учитываются при определении цикла работы), то время их обслуживания вычитается из расчетного периода работы фронтов
(при условии, что подача-уборка к таким фронтам не производится во время перерывов в работе локомотива из-за отсутствия работы по причине занятости обслуживаемых им фронтов).
На фронтах, оснащенных электропогрузчиками, автопогрузчиками и одноковшовыми погрузчиками, которые в случае отказа могут быть заменены на исправные машины, учитывается только простой в ежедневном техническом обслуживании в соответствии с табл. 2.7.
Таблица 2.7
Машины | Значения  , ч |
Козловые краны грузоподъемностью: | |
до 15 т | 0,4 |
более 15 до 50 т | 0,6 |
Краны стреловые на автомобильном ходу: | |
с механическим приводом рабочего органа | 0,5 |
с гидравлическим и электрическим приводом рабочего органа | 0,4 |
Краны стреловые на пневмоходу и железнодорожном ходу | 0,6 |
Погрузчики ковшовые и автопогрузчики | 0,5 |
Фронтальные погрузчики для крупнотоннажных контейнеров | 0,6 |
Бульдозеры и экскаваторы | 0,4 |
Электропогрузчики | 0,3 |
При отсутствии подменных средств механизации на контейнерных площадках, бункерных эстакадах и других грузовых фронтах, оснащенных немобильными средствами выгрузки и погрузки вагонов,

.
Параметр

для всех типов грузовых фронтов, обслуживаемых одной машиной, принимается равным 0,02. При двух и более машинах, работающих на обработке одной подачи,
где

- коэффициент готовности машин к работе;
n - число машин, одновременно работающих на данном грузовом фронте;

- среднее время устранения одного отказа, ч.
Для каждого грузового фронта имеют место в общем случае разные значения

и

, зависящие от вида механизации, вместимости фронта, условий прибытия вагонов для него на станцию и т.д. Под вместимостью грузового фронта понимается число вагонов, с которыми грузовые операции можно выполнять одновременно. В условиях реализации максимальных размеров переработки совместное обслуживание нескольких грузовых фронтов делает их работу взаимозависимой, взаимосвязанной единой продолжительностью цикла

, в течение которого выполняется одна или несколько подач и уборок вагонов по каждому конкретному грузовому фронту

. Таким образом, расчет по
формуле (2.7.1) предусматривает раздельное определение числа вагонов, которое может быть переработано на каждом грузовом фронте за сутки с учетом условий взаимодействия, и последующее суммирование этих значений для получения перерабатывающей способности группы грузовых фронтов, обслуживаемых
одним локомотивом.
При наличии на станции нескольких маневровых локомотивов, обслуживающих грузовые фронты, общая перерабатывающая способность станции определяется суммой перерабатывающей способности всех районов погрузки-выгрузки, обслуживаемых отдельными локомотивами.
Вагоны могут подаваться к грузовым фронтам после предварительного накопления в сортировочном парке или же непосредственно после расформирования каждого прибывшего поезда. В первом случае для расчетов перерабатывающей способности число вагонов в подаче на каждый фронт в можно принимать равным вместимости этого фронта; во втором же случае величина подачи может быть равна или меньше вместимости фронта погрузки-выгрузки.
2.7.2. Если технологией работы станции предусмотрена подача вагонов к грузовым фронтам
после предварительного накопления в сортировочном парке, то для расчета перерабатывающей способности число вагонов в подаче на каждый фронт
в принимается равным вместимости этого фронта.
Для определения

и

необходимо установить продолжительность периода повторяемости выполнения маневровых и грузовых операций на фронтах.
Следует учитывать, что при определенном расположении нескольких фронтов (например, последовательно у одного тупикового пути) вагоны для этих фронтов подаются и убираются совместно. Поэтому при расчетах перерабатывающей способности указанные фронты условно рассматриваются как один фронт, вместимость и мощность которого равны суммарной вместимости всей группы совместно обслуживаемых фронтов. Для этого объединенного фронта продолжительность грузовой операции принимается равной наибольшей, соответствующей одному из фронтов группы. Если первым со стороны подачи находится фронт с меньшей продолжительностью грузовой операции, то необходимо учитывать возможность независимого обслуживания этого фронта.
Наибольшая возможная перерабатывающая способность грузовых фронтов может быть обеспечена при непрерывной работе всех фронтов и максимальной производительности имеющихся средств механизации. Вагоны должны подаваться в первую очередь к фронту с наибольшей мощностью <*> (

вагонов в час), а затем к фронту со следующей по величине мощностью и т.д. в порядке убывания мощности фронтов, что обеспечит минимальные потери размеров погрузки-выгрузки на этих фронтах и, следовательно, наибольшую перерабатывающую способность.
--------------------------------
<*> Под мощностью грузового фронта понимается число вагонов, которые могут быть переработаны (погружены, выгружены и т.д.) на данном фронте в течение 1 ч непрерывной работы (определяется с точностью до 0,1 вагона).
Примечание. При наличии особых требований в отношении перерабатывающей способности какого-либо фронта необходимо прежде всего обеспечить наиболее полное использование этого фронта (на котором требуется реализовать максимально возможные размеры погрузки-выгрузки). Поэтому подача вагонов на этот фронт производится вне очереди по мере необходимости. Очередность же подачи вагонов к остальным фронтам должна определяться указанным ранее порядком.
2.7.3. Для грузовых фронтов у тупиковых путей
где

- время работы локомотива по обслуживанию грузовых фронтов за цикл
где 1,05 - коэффициент, учитывающий возникновение перерывов в работе маневрового локомотива из-за враждебности маршрутам подачи - уборки прочих возможных передвижений;

,

,

,

- соответственно, время подачи, перестановки, уборки вагонов и холостых передвижений локомотива.
При обслуживании грузовых фронтов у сквозных путей двумя локомотивами (один локомотив подает вагоны, другой - убирает их) время работы локомотива, затрачиваемое на подачу вагонов:
Время же работы другого локомотива, затрачиваемое на уборку вагонов:
Цикл работы фронтов у сквозных путей составляет:
если

, то

если

, то

Если маневровый локомотив наряду с подачей и уборкой выполняет также и другие операции (расформирование, формирование и др.), которые не могут быть совмещены с перерывами в работе по обслуживанию фронтов, цикл работы составляет:

- отнесенное к одному поезду время выполнения других маневровых операций;

- среднее число вагонов, прибывающих с одним поездом для фронтов, обслуживаемых одним локомотивом (устанавливается анализом назначений вагонов в составах прибывающих поездов).
Если же выполнение других маневровых операций может быть совмещено с перерывами в работе локомотива по обслуживанию грузовых фронтов, то предварительно определяется общее время работы маневрового локомотива:
2.7.4. В случае подачи вагонов на фронты после расформирования каждого состава прибывшего поезда, т.е. без предварительного накопления в сортировочном парке, продолжительность цикла устанавливается при наиболее вероятном составе прибывающего поезда, для чего по данным натурных листов и диспетчерских графиков определяется:
а) вероятность прибытия вагонов на каждый фронт (с точностью до 0,01)
где

- число поездов, с которыми прибывали вагоны на определенный грузовой фронт за период наблюдений (10 - 20 сут.);

- общее число поездов, прибывающих за тот же период;
б) число вагонов в поезде для каждого фронта

как средняя величина за период наблюдений (при расчете числа вагонов

для каждого фронта учитываются только те поезда, с которыми прибывали вагоны для этого фронта);
в) среднее за период наблюдений суммарное время подач, уборок и повторной сортировки, отнесенное к одному поезду

.
Приходящееся на один цикл обработки число подач к каждому фронту составит

(с округлением до ближайшего большего целого числа), где

- вместимость соответствующего фронта в вагонах.
Тогда среднее фактическое количество вагонов в подаче на каждый фронт:
По этому числу вагонов
в с учетом производительности погрузочно-выгрузочных механизмов определяется время выполнения грузовых операций на каждом фронте

.
Грузовые фронты | Вероятность прибытия вагонов  | Среднее число вагонов в поезде  | Время, мин |  (нарастающим итогом), мин |
| | |
а | 0,90 | 7 | 10 | 10 | | 45 |
б | 0,80 | 5 | 8 | 8 | | 61 |
в | 0,75 | 4 | 13 | 13 | | 87 |
г | 0,60 | 6 | 9 | 9 | 25 | 105 |
д | 0,55 | 4 | 12 | 12 | | 129 |
е | 0,45 | 5 | 11 | 11 | | 151 |
ж | 0,30 | 2 | 14 | 14 | | 179 |
Затем составляется специальная таблица (по форме
табл. 2.8), в которую вносятся данные по всем фронтам в порядке убывания вероятности прибытия на них вагонов

(группировка грузовых фронтов производится с учетом положений
п. 2.7.2).
В наиболее вероятный состав прибывающего поезда включаются вагоны тех грузовых фронтов, для которых время (с точностью до 1 мин)

равно или наиболее близко к установленному ранее значению

. Так, если было определено, что

, то в наиболее вероятный состав должны быть включены вагоны, прибывающие на фронты а, б, в, г и д (см.
табл. 2.8), для которых

.
По этому наиболее вероятному составу поезда определяется продолжительность периода обработки вагонов, прибывающих с одним поездом. Затем по соответствующим
формулам (2.7.3),
(2.7.7) или
(2.7.8) устанавливается цикл

, включающий затраты времени на выполнение маневровым локомотивом операций (расформирование, формирование и др.).
В частном случае, когда нужно определить наибольшую суммарную перерабатывающую способность грузовых фронтов (обслуживаемых одним локомотивом) при реализации максимально возможных размеров погрузки-выгрузки на каком-либо грузовом фронте,
табл. 2.8 заполняется аналогичным образом с помещением выделенного грузового фронта на первом месте вне зависимости от вероятности прибытия для него вагонов

.
2.7.5. Мощность грузового фронта (число переработанных вагонов в час) зависит от типа и числа погрузочно-разгрузочных машин, их технических характеристик и технологии использования, а также от рода груза и статической нагрузки вагона.
Мощность грузового фронта, оснащенного погрузочно-разгрузочными машинами периодического действия (краны, погрузчики и т.п.), вагонов/ч, составляет:
а) при выполнении грузовых операций только с вагонами
б) при одновременном выполнении грузовых операций с вагонами и автомобилями
где М - число погрузочно-разгрузочных машин, находящихся в эксплуатации на грузовом фронте;

- масса груза, перемещаемого машиной за один цикл, т (для контейнеров - в штуках);

- время полного цикла работы машины, мин;

- статическая нагрузка вагона, т/вагон (для контейнеров - число контейнеров в вагоне);

- коэффициент непосредственного перегруза грузов из вагонов в автомобили и обратно;

- число грузовых операций с вагонами (погрузка, выгрузка или выгрузка и погрузка).
Пример. Рассчитать мощность грузового фронта - склада тарно-штучных грузов, находящегося на подъездном пути и осуществляющего погрузку грузов в вагоны

при следующих условиях: число работающих электропогрузчиков M = 10; количество грузов, перемещаемое электропогрузчиком за один цикл,

; время цикла работы

; статическая нагрузка вагона

.
Пример. Рассчитать мощность грузового фронта - грузового контейнерного пункта для переработки крупнотоннажных контейнеров при следующих условиях: в дневную смену осуществляется погрузка-выгрузка контейнеров на платформы

и автомобили, а в ночную смену - погрузка-выгрузка контейнеров на платформы

; число кранов
M = 1; число контейнеров, перегружаемых за один цикл,

; время цикла работы

; число физических контейнеров на платформе

, коэффициент непосредственного перегруза контейнеров с платформы в автомобили и обратно

.
Решение. Мощность грузового фронта составит:
Мощность грузового фронта, оснащенного погрузочно-разгрузочными машинами непрерывного действия (конвейеры, элеваторы и т.п.), вагонов/ч, составляет:
а) при выполнении грузовых операций только с вагонами
б) при одновременном выполнении грузовых операций с вагонами и автомобилями
где

- производительность погрузочно-разгрузочной машины, т/ч, остальные обозначения те же, что и в
формулах (2.7.10) и
(2.7.11).
Производительность погрузочно-разгрузочной машины берется из технического паспорта машины. При отсутствии таких данных она рассчитывается по формулам:
при перегрузке штучных грузов
где

- масса единицы перегружаемого груза (грузового места), т;

- скорость грузонесущего органа машины, м/с;

- расстояние между центрами соседних грузовых мест на грузонесущем органе машины, м;
при перегрузке навалочных и насыпных грузов
где

- масса груза на 1 м грузонесущего органа машины, кг.
Мощность грузового фронта, оборудованного повышенными путями или выгрузочными эстакадами, определяется по следующим двум элементам:
- повышенному пути (эстакады);
- погрузочно-разгрузочным машинам, производящим отбор груза от эстакады.
Мощность повышенного пути (эстакады), вагонов/ч,
где

- время производства грузовых операций с одним вагоном с учетом открытия люков, очистки, подачи и уборки и т.д., мин.
Мощность грузового фронта по погрузочно-разгрузочным машинам, производящим отбор груза от повышенного пути (эстакады), определяется по одной из
формул (2.7.10) -
(2.7.13), которая выбирается в зависимости от типа применяемой машины и условий организации работы.
Меньшее значение принимается за результативную мощность грузового фронта, оснащенного повышенными путями (эстакадами) и средствами механизации.
Пример. Рассчитать мощность грузового фронта - повышенного пути для выгрузки песка

, оснащенного стреловыми кранами, по следующим условиям: время выгрузки одного вагона

, время цикла работы крана

; число кранов
M = 3; количество груза, перемещаемое за один цикл,

, статическая нагрузка вагона

.
По
формуле (2.7.10) мощность повышенного пути по кранам, производящим отбор груза в склад,
Результативная мощность грузового фронта равна 10 вагонов/ч.
Мощность грузового фронта в порту в случае использования одних и тех же погрузочно-выгрузочных машин для обработки вагонов и судов является суммарной мощностью технологических линий фронта. Технологическая линия представляет собой совокупность машин (взаимодействующих в определенном порядке), технологической оснастки и рабочих, осуществляющих перемещение грузов по принятой технологической схеме.
2.7.6. Перерабатывающая способность грузового фронта по складам зависит от вместимости склада, его назначения, организации поступления (прибытия, завоза) и уборки (отправления, вывоза) груза со склада, а также от технологии перегрузки груза.
По своему назначению склады делятся на: погрузочно-выгрузочные, на которых осуществляется погрузка или выгрузка, или погрузка и выгрузка; сортировочные, где осуществляется сортировка грузов; грузосортировочные, где осуществляются погрузочно-выгрузочные и сортировочные операции с грузом.
Погрузочно-выгрузочные склады в зависимости от организации поступления и уборки груза делятся на: склады с суточным циклом работы, т.е. склады, на которых размер суточного прибытия грузов равен или примерно равен размеру суточной уборки; склады с недельным циклом работы, т.е. склады, на которых вывоз груза резко сокращается в выходные дни недели, а остаток невывезенного груза убирается в течение недели.
Перерабатывающая способность грузового фронта по складам (вагонов/сут.), работающим по суточному циклу,
где

- эксплуатационная вместимость склада, т (для контейнерных площадок - в контейнерах с учетом ярусности штабелирования контейнеров);

- статическая нагрузка вагона, т/вагон (для контейнерных перевозок - число контейнеров в вагоне);

- продолжительность уборки (вывоза) груза со склада в течение суток, ч;

- продолжительность поступления (завоза) груза на склад в течение суток, ч;

- коэффициент непосредственного перегруза грузов из подвижного состава одного вида транспорта в другой;

- коэффициент наличия оперативной свободной емкости, необходимой для рациональной работы погрузочно-выгрузочных машин и соблюдения специализации складской площади (принимается равным 1,1; для контейнерных площадок с двухъярусным штабелированием контейнеров - 1,15);

,

- количество груза, хранящееся соответственно в дневную и ночную смену на автомобильном подвижном составе, т (контейнеры).
Перерабатывающая способность грузового фронта по складам (вагонов/сут.), работающим по недельному циклу, составляет:
а) для складов, где хранятся только прибывшие или только отправляемые грузы,
б) для складов, где одна и та же площадь склада используется для хранения как прибывших, так и отправляемых грузов,
где

- количество груза (т или штуки), вывозимое в субботу и воскресенье;

- количество груза (т или штуки), хранящееся в ночную смену на автомобильном подвижном составе;

- продолжительность вывоза (уборки) грузов в рабочие дни недели, ч;
T - расчетный период работы грузового фронта в течение суток, ч;

- коэффициент внутринедельной неравномерности прибытия (отправления) грузов.
Перерабатывающая способность грузового фронта по складам (вагонов/сут.), на которых производится сортировка грузов (сортировочные платформы, площадки для сортировки контейнеров и тяжеловесных грузов),
где Z - доля груза, выгружаемого из вагонов в склад для накопления до комплекта (вагона).
Перерабатывающая способность грузового фронта по складам, на которых производится погрузка (выгрузка) и сортировка грузов, рассчитывается следующим образом.
Вначале по одной из
формул (2.7.17) -
(2.7.19) определяют число вагонов с местным грузом

, которое можно погрузить (выгрузить) на складе при условии переработки на нем только местного груза. Затем по
формуле (2.7.20) определяют число вагонов с транзитным грузом

, который можно рассортировать на складе при условии переработки на нем только транзитного груза. После этого, зная план погрузки (выгрузки) грузов с местным грузом

рассчитывают возможное число вагонов с транзитным грузом

(вагонов/сутки), который можно рассортировать в этом же складе:
2.7.7. Расчет перерабатывающей способности грузовых фронтов производится в следующем порядке:
а) для каждой группы фронтов, обслуживаемых отдельным маневровым локомотивом, устанавливается продолжительность цикла;
б) определяется число подач

на каждый фронт за цикл и общее число вагонов, обработанных на фронте за это время,

;
в) в случае подачи вагонов после предварительного накопления в сортировочном парке по
формулам (2.7.4) -
(2.7.6) или
(2.7.9) устанавливается время работы локомотива по обслуживанию грузовых фронтов и выполнению других возможных маневровых операций;
д) по
формуле (2.7.1) определяется перерабатывающая способность грузового фронта по средствам механизации; по одной из
формул (2.7.17) -
(2.7.21) устанавливается перерабатывающая способность грузового фронта по складам и меньшее из этих значений принимается за результативную перерабатывающую способность грузового фронта; затем определяется суммарная перерабатывающая способность всех грузовых фронтов, обслуживаемых данным локомотивом;
е) общая перерабатывающая способность грузовых устройств станции определяется суммированием перерабатывающей способности всех районов, обслуживаемых отдельными локомотивами.
Необходимое для расчета пропускной способности горловин грузовых станций число подач и уборок вагонов, приходящееся на один поезд,
(с округлением до большего целого числа).
При расчете пропускной способности горловины грузовой станции определенное по
формуле (2.7.22) число подач (уборок) вагонов, приходящееся на один поезд, умножается на продолжительность занятия соответствующего маршрута одной подачей (уборкой) и результат заносится в графу 3 свободной таблицы передвижений, совершаемых по рассчитываемой горловине.
Применение изложенной методики расчета перерабатывающей способности грузовых фронтов и определение

для конкретных условий изложено в
Приложениях 2.2 и
2.3.
2.8. Расчет пропускной и перерабатывающей способности специальных устройств на пограничных, перегрузочных, портовых и паромных станциях
2.8.1. На пограничных и перегрузочных станциях помимо расчетов, выполняемых для других типов станций, определяют:
- пропускную способность приемо-отправочных путей с широкой, узкой и совмещенной колеей в поездах в сутки для каждого направления, категории поезда и ширины колеи;
- пропускную способность междупарковых соединительных путей с широкой, узкой и совмещенной колеей в поездах в сутки для каждого направления, категории поезда и ширины колеи;
- пропускную способность горловин, в которых совмещаются широкая и узкая колея, в поездах в сутки;
- пропускную способность досмотровых путей погранично-таможенного контрольного поста в поездах в сутки для каждого направления, категории поезда и ширины колеи;
- перерабатывающую способность пунктов перестановки пассажирских и грузовых вагонов в поездах и в вагонах в сутки;
- перерабатывающую способность мест перегруза в вагонах в сутки.
Пропускную способность путей, осуществляющих прием, отправление и пропуск организованных поездов, рассчитывают порядком, изложенным в
разделе 2.3, отдельно по группам путей широкой, узкой и совмещенной колеи, специализированным по характеру работы.
При расчетах коэффициента использования имеющейся мощности для каждой группы путей широкой, узкой и совмещенной колеи индивидуально определяют время занятия технологическими операциями и коэффициенты

, учитывающие потери пропускной способности для грузовых поездов в связи с движением пассажирских и сборных поездов. При расчете коэффициентов

учитывают не только количество главных путей, но и ширину колеи на прилегающих к станции перегонах. При этом перегонные главные пути с разной шириной колеи рассматривают как отдельные перегоны. Главные пути с совмещенной колеей учитывают в расчетах коэффициентов

, суммируя выполняемые на них размеры движения пассажирских и сборных поездов по широкой и по узкой колее с учетом направления движения.
Результативную пропускную способность путей станции подсчитывают для грузовых и пассажирских поездов каждого прилегающего к станции направления отдельно по широкой и по узкой колее.
При определении пропускной способности стрелочных горловин, в которых совмещаются широкая и узкая колея, сплетения и совмещения путей участвуют в расчете как отдельные элементы горловин.
Пропускную способность досмотровых путей погранично-таможенного контрольного поста в поездах в сутки рассчитывают с учетом нормативов времени обработки экспортных и импортных поездов каждой категории и ширины колеи.
Перерабатывающую способность пунктов перестановки пассажирских и грузовых вагонов оценивают:
- по имеющейся мощности путей перестановки;
- по вместимости путей для отстоя вагонных тележек.
Коэффициент использования имеющейся мощности путей перестановки
где

- длительность занятия пути перестановки обработкой одной подачи, включающая в себя подачу, расстановку вагонов на позициях смены тележек, смену тележек и ударно-тяговых приборов, сборку вагонов и уборку подачи с пути пункта перестановки, мин;

- число подач категории i в сутки, имеющих длительность обработки

;

- коэффициент, учитывающий возможные отказы технических средств пункта перестановки вагонов (для практических расчетов 0,06 - 0,08);
m - число путей на пункте перестановки;

- суммарная длительность технологических перерывов в течение суток, установленная технологическим процессом работы пункта перестановки;

- число подач категории j в сутки, обработка которых является постоянной для расчетного периода;

- длительность обработки одной подачи категории j, мин.
Имеющаяся мощность путей перестановки для подач категории i:
Перерабатывающая способность путей пункта перестановки в вагонах
где

- число вагонов в подаче категории i;

- число вагонов в подаче категории j.
Число вагонов в подаче не должно превышать суммарной вместимости одного пути пункта перестановки. Число вагонов в пассажирском поезде, как правило, превышает вместимость одного пути пункта перестановки. Поэтому перерабатывающую способность пункта перестановки для потока категории i в поездах получают делением числа

на количество подач, на которое делится состав поезда категории i для расстановки по путям пункта перестановки вагонов.
Полученная перерабатывающая способность в вагонах по имеющейся мощности путей перестановки должна быть проверена по вместимости путей для отстоя вагонных тележек колеи 1520 мм и колеи 1435 мм. Потребная вместимость путей отстоя тележек в условных вагонах
где 2 - число тележек вагона;

- отношение длины тележки к длине условного вагона;

- средневзвешенный оборот вагона на железнодорожной сети государств с другой шириной колеи, сут.;

- резерв вместимости путей отстоя тележек, учитывающий неравномерность прибытия и отправления поездов и разброс значений длительности оборота вагонов (для практических расчетов

).
Если фактическая вместимость путей отстоя тележек

как для колеи 1520 мм, так и для колеи 1435 мм, то перерабатывающую способность пункта перестановки в вагонах принимают согласно расчету по
формуле (2.8.3). Если для какой-либо ширины колеи

, то перерабатывающую способность пункта перестановки в вагонах рассчитывают по формуле
затем пропорционально уменьшают перерабатывающую способность пункта перестановки в поездах соответствующих категорий.
Перерабатывающая способность мест перегруза в вагонах в сутки рассчитывается следующим порядком:
- по методике, установленной в
разделе 2.7 для расчета перерабатывающей способности грузовых фронтов, рассчитывают имеющуюся мощность мест перегруза в вагонах в сутки для широкой колеи

и для узкой колеи

;
- уточняют перерабатывающую способность места перегруза в вагонах по широкой и по узкой колее на основе баланса среднесуточной грузопереработки в тоннах (для контейнеров - в количестве контейнеров в двадцатифутовом эквиваленте):
где

,

- техническая норма загрузки вагона соответственно широкой и узкой колеи, обрабатываемых на рассчитываемом месте перегруза, т (для контейнеров - ДФЭ).
2.8.2. На портовых станциях (районных парках РП) определяют:
- пропускную способность приемо-отправочных путей в составах и вагонах в сутки;
- пропускную способность выставочных путей в составах и вагонах в сутки;
- перерабатывающую способность погрузочно-выгрузочных путей причалов в вагонах в сутки.
Число приемо-отправочных путей при определении их имеющейся мощности принимают равным числу путей для приема и отправления передач на предпортовую сортировочную станцию общей сети железных дорог, учитывая при этом время их занятия маневровыми операциями и технологической обработкой составов (включая приемосдаточные операции в случае их выполнения на путях рассчитываемого парка).
Примечание. Не учитывают сортировочные пути, пути для неходового груза и пути накопления судовых партий для переработки по прямому варианту.
Коэффициент использования имеющейся мощности путей
где

- коэффициент, учитывающий внутрисуточную неравномерность движения, влияние смежных устройств, возникновение отказов технических устройств и др. (принимается равным 0,2 - 0,3);

- наличное число приемо-отправочных путей;

- суммарная продолжительность занятия путей постоянными операциями, мин.
Имеющаяся мощность приемо-отправочных путей для составов категории i:
Пропускная способность приемо-отправочных путей в вагонах
где

- число вагонов в составе категории i.
При расчете пропускной способности выставочных путей терминалов порта учитывают время их занятия маневровыми операциями и технологической обработкой составов (включая приемо-сдаточные операции в случае их выполнения на выставочных путях). Расчет аналогичен расчету пропускной способности приемо-отправочных путей.
Перерабатывающая способность погрузочно-выгрузочного пути причала
где

- число вагонов в подаче на причал;

- продолжительность выполнения постоянных операций за сутки (текущее содержание пути, плановые виды ремонта и др). Для средних условий

;

,

,

,

- длительность, соответственно, грузовых, маневровых, подготовительно-заключительных и приемо-сдаточных (в случае их выполнения на грузовых фронтах порта) операций, приходящихся на одну подачу, мин;

- коэффициент, учитывающий потери перерабатывающей способности железнодорожного пути причала из-за неравномерности поступления вагонов и выполнения операций,

.
2.8.3. На станциях, обслуживающих железнодорожные паромы, дополнительно определяют пропускную и перерабатывающую способность береговых железнодорожных устройств паромной переправы:
- перерабатывающую способность сортировочных устройств (см.
раздел 2.5), выполняющих подборку групп вагонов (плетей), подлежащих погрузке на паром, согласно карто-плану паромного судна;
- пропускную способность выставочных путей с учетом времени на выставление подобранных групп вагонов (плетей) и длительности таможенного и пограничного контроля (расчет аналогичен расчету пропускной способности путей портовых станций и районных парков);
- пропускную способность подъемно-надвижного моста с учетом подготовительно-заключительных операций и маневровой работы.
Пропускная способность подъемно-надвижного моста (суммарная для вагонов, подаваемых на паром, и вагонов, убираемых с парома), вагонов/сут.,
где

- число вагонов в одной плети;

- продолжительность занятия устройств подъемно-надвижного моста операциями по текущему содержанию и ремонту (принимается равной 60 мин);

- коэффициент, учитывающий возникновение отказов устройств подъемно-надвижного моста (принимается равным 0,06 - 0,08);

- продолжительность подготовительно-заключительных операций, связанных с обработкой одного паромного судна, мин;

- продолжительность подачи одной плети на паром и уборки одной плети с парома при последовательной подаче и уборке, мин;

- то же, при параллельной подаче и уборке, мин;

,

- число плетей, подаваемых на одно паромное судно (убираемых с паромного судна) соответственно последовательно и параллельно;
2 - коэффициент, учитывающий число вагонов, убираемых с парома и подаваемых на паром;
0,5 - коэффициент, учитывающий параллельную обработку двух плетей.
Длительность швартовки и отшвартовки паромных судов и другие операции, не относящиеся к работе береговых железнодорожных устройств, при расчете пропускной способности подъемно-надвижного моста не учитываются.
В случае когда на железнодорожной паромной переправе эксплуатируют разнотипные паромные суда, пропускная способность подъемно-надвижного моста определяется с помощью коэффициента использования его имеющейся мощности с учетом соотношения потоков вагонов, перевозимых судами каждого типа.
2.9. Определение результативной пропускной и перерабатывающей способностей станции
2.9.1. Пропускная способность станции устанавливается по направлениям движения (примыкающим линиям) и категориям поездов (транзитные без переработки, расформировываемые, своего формирования, пассажирские и др.), а также в целом по станции.
2.9.2. Результативная пропускная способность путей для поездов какого-либо направления (категории) равна сумме пропускной способности путей тех парков, в которых обрабатываются поезда этого направления (категории).
Если поезда какого-либо направления (категории) проходят последовательно через несколько горловин станции, то результативная пропускная способность соответствует горловине, которая имеет наименьшее значение пропускной способности для поездов рассматриваемого направления (категории). При наличии приема (или отправления) поездов одного направления (категории) в разные парки станции результативная пропускная способность равна сумме пропускной способности тех горловин, по которым проходят поезда рассматриваемого направления (категории). Например, если транзитные поезда с подхода C в парк N 1 проходят через горловины N 1 и 2 (пропускная способность которых составляет, соответственно, 50 и 40 поездов, т.е. прием в парк N 1 ограничивает горловина N 2), в парк N 2 - через горловины N 4 и 5 (пропускная способность которых составляет, соответственно, 20 и 30 поездов, т.е. прием в парк N 2 ограничивает горловина N 4), то результативная пропускная способность горловин для транзитных поездов с подхода C будет равна 40 + 20 = 60 поездам. Это же обстоятельство надо учитывать и в отношении поездов своего формирования, отправляемых с сортировочно-отправочных путей, в особенности при наличии двух сортировочных парков.
2.9.3. Результативная пропускная способность станции определяется на основе анализа пропускной способности отдельных ее устройств. Однако в качестве результативной пропускной способности станции нельзя механически принимать пропускную способность лимитирующего устройства, полученную при первоначально принятых условиях организации работы. После расчета всех устройств станции необходимо рассмотреть возможность увеличения пропускной и перерабатывающей способностей ограничивающих устройств за счет изменения первоначально принятых условий расчета, переноса части работы с одних, более загруженных устройств на другие, менее загруженные.
Например, если на станции имеются два приемо-отправочных парка и один из них ограничивает пропускную способность, а другой имеет запас, то целесообразно предусмотреть возможность увеличения приема поездов в парк, который загружен меньше.
Возможен случай, когда пропускная способность по приему поездов в переработку и отправлению поездов своего формирования не может быть полностью реализована из-за недостатка перерабатывающей способности сортировочных устройств; тогда следует увеличить пропускную способность станции по пропуску транзитных поездов без переработки.
Пропускную способность горловины можно увеличить, перенося некоторые маневровые и поездные передвижения с наиболее загруженных на менее загруженные стрелки рассчитываемой горловины или даже в другие горловины станции. Иногда можно изменить отдельные маршруты передвижений и снизить враждебность в горловине, что повысит ее пропускную способность.
Когда перерабатывающую способность станции ограничивает горка, то для повышения перерабатывающей способности сортировочной системы в целом следует освободить горочные локомотивы от выполнения осаживания вагонов на путях сортировочного парка, снять с горки выполнение операций по окончании формирования, не распускать местные и отремонтированные вагоны и т.п. Если же ограничивающим устройством являются вытяжные пути сортировочного парка, то предусматривается увеличение загрузки горки выполнением операций по окончании формирования.
Выяснив все возможности увеличения результативной пропускной способности станции, ее принимают равной пропускной способности ограничивающего устройства.
2.9.4. На станциях с несколькими подходами (выходами), где грузовые поезда одного подхода (выхода) могут приниматься в разные парки (или отправляться из разных парков), результативная пропускная способность в грузовых поездах для данного подхода (выхода) определяется как сумма пропускной способности ограничивающих устройств, входящих в маршруты приема поездов в эти парки (или в маршруты отправления поездов из этих парков). При этом необходимо в каждом конкретном случае проверить, насколько возможно увеличение пропускной способности по маршрутам для данного подхода (выхода) за счет невозможности полного использования пропускной способности одноименных устройств по маршрутам для другого подхода (выхода). Например, станция Д отправляет поезда из парков М и Я на выходы А и Б
(рис. 2.15).
Пропускная способность (в грузовых поездах) наиболее загруженных устройств станции, рассчитанная по отдельным маршрутам, приведена в табл. 2.9.
Требуется определить результативную пропускную способность станции по отправлению на выходы А и Б.
Маршруты отправления поездов | Пропускная способность устройств, входящих в маршруты | Результативная пропускная способность |
Парк М | Парк Н | Стрелка 1 | Стрелка 5 |
Из парка Н на выход А | - | 30 | 31 | 27 | 27 |
" " М " " А | 36 | - | 49 | - | 36 |
" " Н " " Б | - | 20 | - | 18 | 18 |
" " М " " Б | 24 | - | - | 29 | 24 |
По данным, приведенным в
табл. 2.9, устанавливается, что результативная пропускная способность станции
Д по отправлению на выход
А определяется как сумма пропускной способности ограничивающих устройств, входящих в маршруты отправления поездов: 27 поездов (по стрелке 5) и 36 поездов (по путям парка
М) - всего 63 поезда.
Пропускная способность станции Д по отправлению на выход Б составляет 18 поездов (по стрелке 5) и 24 поезда (по путям парка М) - всего 42 поезда.
Однако стрелка 5, являющаяся ограничивающей для маршрутов отправления поездов из парка
Н на выходы
А и
Б, имеет избыток пропускной способности по маршруту отправления поездов из парка М на выход
Б, поскольку ограничивающим устройством для этого маршрута является парк
М. Этот избыток пропускной стрелки 5, составляющий 29 - 24 = 5 поездов, необходимо использовать для увеличения пропускной способности по маршрутам отправления поездов из парка
Н на выходы
А и Б с учетом переводных коэффициентов (см.
п. 2.9.5). Таким образом, после корректировки результативная пропускная способность по отправлению на выход
А составит 30 + 36 = 66 поездов и по отправлению на выход
Б - 20 + 24 = 44 поезда.
2.9.5. Если полученная по расчету пропускная способность станции по направлениям не соответствует потребности, то она перераспределяется по направлениям.
Пропускная способность станции перераспределяется также для установления возможности освоения повышенных размеров движения по главным направлениям и по направлениям, на которых ощущается в этом потребность.
Для перераспределения пропускной способности станции по направлениям производится дополнительный расчет в той же последовательности и по тем же формулам, что и основной расчет. В этом случае на направлении, по которому расчетная пропускная способность станции выше потребной, потребная пропускная способность принимается за расчетные размеры движения, и при подсчете времени занятия проверяемого устройства операции, связанные с пропуском этих поездов, относятся к числу постоянных (время на их выполнение, например, при расчете пропускной способности путей учитывается в величине

).
По полученному в результате дополнительного расчета коэффициенту использования определяется пропускная способность по остальным направлениям.
Прием поездов с этих направлений производится в парк Н, а отправление - из парка Р.
Операция | Направления |
БГ | БВ | БД |
Прием поездов | 30 | 50 | 20 |
Отправление поездов | 30 | 50 | 20 |
Расчет пропускной способности по заданным размерам движения показал, что приемо-отправочные парки имеют следующие коэффициенты использования пропускной способности: парк Н - 0,6, парк Р - 0,7; поэтому пропускная способность станции по направлениям составляет:
- по приему поездов с направлений БГ - 30 : 0,6 = 50 поездов; БВ - 50 : 0,6 = 83 поезда; БД - 20 : 0,6 = 33 поезда;
- по отправлению поездов на направления БГ - 30 : 0,7 = 43 поезда; БВ - 50 : 0,7 = 71 поезд; БД - 20 : 0,7 = 29 поездов.
Сравнение полученной пропускной способности станции с потребной пропускной способностью прилегающих участков показывает следующее (табл. 2.11).
Таблица 2.11
Направления | Пропускная способность, поезда |
станции по приему поездов | станции по отправлению поездов | потребная по участкам |
БГ | 50 | 43 | 36 |
БВ | 83 | 71 | 80 |
БД | 33 | 29 | 32 |
Полученная пропускная способность станции Б в направлении БГ не будет полностью реализована, так как потребная пропускная способность участка БГ (36 поездов) ниже пропускной способности станции в этом направлении (50 поездов). В то же время полученная пропускная способность станции Б на направлениях БВ и БД ниже потребной пропускной способности прилегающих участков. В этом случае необходимо осуществить перераспределение пропускной способности станции Б по направлениям.
Перераспределение пропускной способности станции производится следующим порядком. Принимая за расчетные размеры движения потребную пропускную способность станции Б на направление БГ 36 пар поездов как постоянную величину, производим дополнительный расчет пропускной способности приемо-отправочных парков.
Коэффициенты использования пропускной способности парков при этом составят: парк Н - 0,5 и парк Р - 0,6. Тогда пропускная способность станции Б на эти направления составляет:
- по приему поездов с направлений БВ - 50 : 0,5 = 100 поездов; БД - 20 : 0,5 = 40 поездов;
- по отправлению поездов на направления БВ - 50 : 0,6 = 83 поезда; БД - 20 : 0,6 = 33 поезда.
Из приведенных данных видно, что в результате перераспределения пропускной способности станции Б пропускная способность на направлениях БВ и БД повысилась.
Более просто для проверки возможности увеличения пропуска (переработки) поездов основных направлений и категорий, а также для приведения в соответствие наличной и потребной пропускной (перерабатывающей) способности по направлениям можно пользоваться переводными коэффициентами поездов одной линии (категории) в поезда другой линии (категории). Так, пропускная способность для линии, где имеется в ней недостаток, может быть увеличена за счет избытка пропускной способности для другой линии на величину
где

- размер увеличения пропускной способности устройства для поездов, например, 1-й линии (категории);

- переводной коэффициент поездов 2-й линии (категории) в поезда 1-й линии (категории);

- размер уменьшения пропускной способности устройства для поездов, например, 2-й линии (категории).
Переводной коэффициент равен

,
где

,

- время занятия устройства станции одним поездом соответствующей линии (категории).
Например, если время занятия пути рассчитываемого парка поездами с линии
В составляет

, а с линии
Д -

, то за счет избытка пропускной способности парка для линии В в размере

поездов может быть увеличена пропускная способность этого парка для линии
Д на
2.9.6. В железнодорожных узлах, где поезда с одного из направлений принимаются на разные станции или отправляются с разных станций, результативная пропускная способность определяется как сумма пропускной способности ограничивающих устройств узла (отдельные станции, обходы, соединительные ветви и т.д.), входящих в различные маршруты пропуска поездов через узел.
Например, пропускная способность устройств узла Н
(рис. 2.17) по направлениям характеризуется данными, приведенными в
табл. 2.12.
Маршруты пропуска поездов через узел Н | Пропускная способность | Результативная пропускная способность |
станции В | станции Г | станции Р | обхода |
Из М на А через станцию В | 45 | - | 48 | - | 45 |
" А " М " " В | 50 | - | 80 | - | 50 |
" М " А по обходу | - | 32 | 60 | 24 | 24 |
" А " М " " | - | 26 | 30 | 24 | 24 |
" Б " К через станцию В | 20 | 22 | - | - | 20 |
" К " Б " " В | 22 | 22 | - | - | 22 |
" Б " М " " В | 15 | - | 30 | - | 15 |
" М " Б " " В | 15 | - | 18 | - | 15 |
Из этой таблицы вино, что результативная пропускная способность узла по направлениям составит:
по приему | по отправлению |
из М 45 + 24 + 15 = 84 поезда; | на М 50 + 24 + 15 = 89 поездов; |
из А 50 + 24 = 74 поезда; | на А 45 + 24 = 69 поездов; |
из Б 20 + 15 = 35 поездов; | на Б 22 + 15 = 37 поездов; |
из К 22 поезда; | на К 20 поездов. |
Результативная пропускная и перерабатывающая способность станции указывается в графах 5, 6, 7 и 10 таблицы сводных данных
формы N 14 ЦД (см.
Приложение 2.1), в которой выделяется число соединенных и длинносоставных поездов.
3. РАСЧЕТ ПРОПУСКНОЙ СПОСОБНОСТИ ЖЕЛЕЗНОДОРОЖНЫХ
УЧАСТКОВ ПО УСТРОЙСТВАМ ЭЛЕКТРОСНАБЖЕНИЯ
(раздел 3 в ред.
Изменений, утв. Распоряжением
ОАО "РЖД" от 24.01.2019 N 114/р)
3.1.1. Наличной пропускной способностью железнодорожного участка с преимущественно грузовым движением по устройствам электроснабжения называется максимальное число грузовых поездов заданной массы, которое может быть пропущено в каждом направлении за сутки с учетом заданных размеров пассажирского движения исходя из показателей нагрузочной способности:
силового оборудования тяговых подстанций, а именно - понижающих трансформаторов, преобразовательных трансформаторов, автотрансформаторов системы электроснабжения переменного тока 2 x 25 кВ и преобразователей системы электроснабжения постоянного тока;
системы тягового электроснабжения по уровню напряжения в тяговой сети;
тяговой сети по допустимой температуре нагрева проводов.
3.1.2. Для железнодорожных участков с преимущественно пассажирским движением пропускной способностью по устройствам электроснабжения называется максимальное число пассажирских поездов установленной массы, которое может быть пропущено в каждом направлении за сутки с учетом заданных размеров грузового движения исходя из показателей нагрузочной способности, указанных в
пункте 3.1.1 настоящей Инструкции.
3.1.3. Исходными данными для расчета пропускной способности по устройствам электроснабжения являются:
а) по хозяйству пути и сооружений:
координаты раздельных пунктов расчетного участка;
продольный профиль и план железнодорожного пути;
действующие ограничения скорости движения поездов;
тип рельса;
б) по локомотивному хозяйству:
действующие нормы масс и длин поездов;
серии эксплуатируемых локомотивов;
средняя масса грузовых поездов по результатам интегрированной обработки маршрутов машинистов;
в) по хозяйству перевозок:
особые условия организации движения поездов (специализация железнодорожных путей, участки следования поездов с подталкивающим локомотивом, регулярное обращение соединенных поездов как система эксплуатации железнодорожного участка, порядок следования поездов по двухпутным перегонам с однопутными мостами или тоннелями и прочие);
станционные интервалы;
размеры движения согласно графику движения поездов, в том числе количество грузовых поездов наибольшей массы;
коэффициенты съема пропускной способности для заданных категорий поездов;
исполненные размеры движения поездов в среднем за сутки месяца максимальных перевозок;
продолжительность технологического перерыва в движении поездов для ремонта и обслуживания объектов инфраструктуры железнодорожного транспорта общего пользования;
г) по хозяйству автоматики и телемеханики:
минимальные межпоездные интервалы по устройствам сигнализации, централизации и блокировки;
двухниточный план станции;
путевой план перегона с кабельной сетью;
д) по хозяйству электрификации и электроснабжения:
координаты тяговых подстанций и линейных объектов системы тягового электроснабжения;
реактансы системы внешнего электроснабжения или мощность (ток) трехфазного короткого замыкания на вводе каждой тяговой подстанции;
тип, количество и номинальные параметры силового оборудования тяговых подстанций и линейных объектов системы тягового электроснабжения;
напряжения холостого хода на шинах распределительного устройства тяговой подстанции, питающего тяговую сеть;
фазировка плеч питания тяговых подстанций систем электроснабжения переменного тока;
мощность районной нагрузки и нетяговых потребителей, получающих питание от тех же трансформаторов, что и тяговая нагрузка;
схема питания и секционирования контактной сети;
марки проводов тяговой сети и координаты границ секций контактной сети с отличающимися параметрами;
сечения питающих и отсасывающих линий тяговых подстанций и линейных объектов системы тягового электроснабжения;
нормативный коэффициент надежности тяговых подстанций по мощности силового оборудования, рассчитываемый по формуле:

[3.1]
где KТПС - количество тяговых подстанций в границах расчетного участка;
нормативный коэффициент надежности тяговых подстанций по мощности силового оборудования для участков, с момента электрификации которых прошло менее двух лет, рассчитывается по формуле:

[3.2]
нормативный коэффициент надежности тяговой сети по нагреву проводов, рассчитываемый по формуле:

[3.3]
где LКС - развернутая длина контактной сети расчетного участка, км;
нормативный коэффициент надежности тяговой сети по нагреву проводов для участков, с момента электрификации которых прошло менее двух лет, рассчитывается по формуле:

[3.4]
нормативный коэффициент надежности тяговой сети по уровню напряжения, рассчитываемый по формуле:

[3.5]
3.1.4. С целью исключения погрешности расчета, обусловленной нагрузкой лишь на одно из плеч питания крайних тяговых подстанций, расчетный участок системы электроснабжения должен включать в себя:
не менее чем по одному смежному по границам расчетного участка перегону, но не менее двух смежных межподстанционных зон при системе электроснабжения постоянного тока и не менее чем по одной смежной межподстанционной зоне при системе электроснабжения переменного тока;
по одной межподстанционной зоне на примыкающих к расчетному участку ветвях при их наличии.
3.1.5. Разработка Паспортов наличной пропускной способности по результатам расчетов наличной пропускной способности по устройствам электроснабжения выполняется с учетом требований следующих документов:
ГОСТ 11677-85 "Трансформаторы силовые. Общие технические условия";
ГОСТ 14209-85 "Трансформаторы силовые масляные общего назначения. Допустимые нагрузки";
ГОСТ 16772-77 "Трансформаторы и реакторы преобразовательные. Общие технические условия";
ГОСТ 32697-2014 "Тросы контактной сети железной дороги несущие. Технические условия";
ГОСТ 32895-2014 "Электрификация и электроснабжение железных дорог. Термины и определения";
ГОСТ Р 51559-2000 "Трансформаторы силовые масляные классов напряжения 110 и 220 кВ и автотрансформаторы напряжением 27,5 кВ для электрических железных дорог переменного тока. Общие технические условия";
ГОСТ Р 53431-2009 "Автоматика и телемеханика железнодорожная. Термины и определения";
ГОСТ Р 55647-2013 "Провода контактные из меди и ее сплавов для электрифицированных железных дорог. Технические условия";
ГОСТ Р 57670-2017 "Системы тягового электроснабжения железной дороги. Методика выбора основных параметров";
Свода правил
СП 224.1326000.2014 "Тяговое электроснабжение железной дороги", утвержденного
приказом Минтранса России от 2 декабря 2014 г. N 330;
Правил технической эксплуатации железных дорог Российской Федерации, утвержденных приказом Минтранса России от 21 декабря 2010 г. N 286;
Правил тяговых расчетов для поездной работы, утвержденных МПС СССР 15 августа 1980 г.;
Правил тяговых расчетов для поездной работы, утвержденных
распоряжением ОАО "РЖД" от 12 мая 2016 г. N 867р;
Инструкции по определению станционных и межпоездных интервалов, утвержденной МПС России 27 декабря 1995 г. N ЦД-361;
Правил содержания контактной сети, питающих линий, отсасывающих линий, шунтирующих линий и линий электропередачи, утвержденные
распоряжением ОАО "РЖД" от 25 апреля 2016 г. N 753р;
Правил содержания тяговых подстанций, трансформаторных подстанций и линейных устройств системы тягового электроснабжения, утвержденных
распоряжением ОАО "РЖД" от 5 августа 2016 г. N 1587р;
Стандарта
СТО РЖД 1.07.002-2010 "Инфраструктура железнодорожного транспорта на участках обращения грузовых поездов повышенного веса и длины. Технические требования", утвержденного
распоряжением ОАО "РЖД" от 25 ноября 2010 г. N 2412р;
Стандарта СТО РЖД 07.021.1-2015 "Защита систем электроснабжения железной дороги от коротких замыканий и перегрузки. Часть 1. Общие принципы и правила построения защит, блокировок и автоматики в системах тягового электроснабжения", утвержденного
распоряжением ОАО "РЖД" от 27 мая 2015 г. N 1351р;
Стандарта СТО РЖД 07.021.2-2015 "Защита систем электроснабжения железной дороги от коротких замыканий и перегрузки. Часть 2. Методика выбора алгоритмов действия, уставок блокировок и выдержек времени автоматики в системе тягового электроснабжения", утвержденного
распоряжением ОАО "РЖД" от 27 мая 2015 г. N 1351р;
Стандарта СТО РЖД 07.021.4-2015 "Защита систем электроснабжения железной дороги от коротких замыканий и перегрузки. Часть 4. Методика выбора уставок защит в системе тягового электроснабжения переменного тока", утвержденного распоряжением ОАО "РЖД" от 7 апреля 2016 г. N 615р;
СТО РЖД 07.021.5-2018 "Защита систем электроснабжения железной дороги от коротких замыканий и перегрузки. Часть 5. Методика выбора уставок защит в системе тягового электроснабжения постоянного тока", утвержденного
распоряжением ОАО "РЖД" от 8 мая 2018 г. N 918р;
Методики классификации и специализации железнодорожных линий ОАО "РЖД", утвержденной распоряжением ОАО "РЖД" от 23 декабря 2015 г. N 3048р.
3.1.6. Тяговая нагрузка в системе электроснабжения определяется тяговыми расчетами для каждого направления движения поездов каждой расчетной категории, задается в виде массива значений координат расположения поезда на участке и потребляемого электроподвижным составом из тяговой сети тока (при системах переменного тока - значения полного тока и активной его составляющей) с равномерным шагом по времени.
Тяговые расчеты должны выполняться для заданного профиля и плана пути с учетом постоянных ограничений скорости, а также обязательных остановок поездов на технических железнодорожных станциях.
3.1.7. При изменении на участке нормы массы поездов или вводе в эксплуатацию новых типов локомотивов результаты тяговых расчетов могут быть скорректированы с учетом результатов опытных поездок.
3.2.1. Характеристики расчетных режимов работы системы электроснабжения, принимаемых для определения минимальных допустимых межпоездных интервалов, представлены в таблице N 3.1.
Таблица N 3.1
Расчетные режимы работы системы электроснабжения,
принимаемые для определения минимальных допустимых
межпоездных интервалов
Расчетный режим | Цель расчета | Вид расчетного графика движения поездов | Расчетная схема |
А | определение суточной наличной пропускной способности | чередование поездов наибольшей и средней массы | нормальная, с отключенными резервными трансформаторами (преобразователями) |
Б | определение наличной пропускной способности в режиме интенсивной работы участка | нормальная, с включенными резервными трансформаторами (преобразователями), если режим разрешен энергоснабжающей организацией |
3.2.2. Сочетание грузовых поездов наибольшей и средней массы в расчетном графике движения принимается в зависимости от их суточного количества в соответствии с данными таблицы N 3.2.
Таблица N 3.2
Сочетание грузовых поездов наибольшей и средней массы
в расчетном графике движения
Доля поездов наибольшей массы от общего числа грузовых поездов в сутки | Количество поездов наибольшей массы в расчетном графике движения |
для участков с двумя и более главными путями | для однопутных участков и двухпутных участков с однопутными вставками |
в направлении наибольшего энергопотребления | во встречном направлении |
менее 25% | 1 из 4 | 1 | нет |
от 25% до 50% | 1 из 3 | 2 |
от 50% до 75% | 1 из 2 | 2 |
более 75% | все | 2 |
3.2.3. Допустимые межпоездные интервалы в режимах, указанных в
таблице N 3.1, с учетом данных, приведенных в
таблице N 3.2, рассчитываются:
а) для однопутных участков - при частично пакетном графике движения и пропуске пакета (при автоматической блокировке) или пачки (при полуавтоматической блокировке) из трех поездов в направлении наибольшего энергопотребления (рисунок 3.1) и все поезда средней массы во встречном направлении, если не заданы иные условия расчета, описанные в
пункте 1.2 настоящей Инструкции;
Рисунок 3.1 - Расчетный частично-пакетный график
движения поездов для однопутного участка, на котором
нечетное направление является направлением
наибольшего энергопотребления
б) для однопутных участков с двухпутными вставками и раздельными пунктами продольного типа, а также двухпутных участков с однопутными искусственными сооружениями или сплетениями путей, требующих установления зависимости между поездами обоих направлений, пропускная способность рассчитывается исходя из условий безостановочного проследования нечетных и четных поездов по отрезку пути, используемому для двухстороннего движения (
рисунки 1.9,
1.10,
1.11);
в) для двухпутных участков - при параллельном графике движения в условиях равномерного потока поездов по каждому пути (рисунок 3.3);
Рисунок 3.3 - Расчетный параллельный график движения
поездов для двухпутных участков с учетом чередования
поездов наибольшей массы (соединенных) и поездов
средней массы
г) для многопутных участков - в зависимости от принятой системы организации движения поездов по главным путям с учетом положений
пункта 1.5 настоящей Инструкции.
3.2.4. Для железнодорожных участков с преимущественно пассажирским движением расчет пропускной способности по устройствам электроснабжения выполняется для принятой расчетной категории пассажирских поездов.
3.3. Расчет допустимых межпоездных интервалов
3.3.1. Основой расчетов пропускной способности является моделирование графика движения поездов с применением методов его равномерного сечения. При каждой реализации модели параллельного графика с заданным текущим значением межпоездного интервала
Jтек вычисляются следующие основные параметры режима системы электроснабжения в соответствии с нормируемыми показателями по
ГОСТ Р 57670-2017.
3.3.2. При расчетах допустимых межпоездных интервалов используются условные параллельные графики движения с равномерным распределением поездов расчетной категории наибольшей и средней массы в каждом направлении по всем межподстанционным зонам расчетного участка.
3.3.3. По результатам расчетов основных параметров режима, приведенных в
пункте 3.3.1 настоящей Инструкции, для каждой межподстанционной зоны определяются коэффициенты использования нагрузочной способности
KИНС устройств тягового электроснабжения согласно показателям, перечисленным в
пункте 3.1.1 настоящей Инструкции.
3.3.4. Режим системы электроснабжения при данном межпоездном интервале в графике является допустимым, если указанные коэффициенты для всех устройств рассматриваемой межподстанционной зоны меньше или равны 1. В противном случае определяются ограничивающие устройства межподстанционной зоны, значения коэффициентов для которых больше единицы. Коэффициенты использования нагрузочной способности оборудования отдельной тяговой подстанции учитываются на всех питаемых ею межподстанционных зонах.
3.3.5. Определение допустимых межпоездных интервалов на однопутных участках выполняется путем расчета серии графиков, приведенных на
рисунке 3.1, при изменении текущего межпоездного интервала
Jтек в пакете от минимального значения до максимального, равного времени хода поезда расчетной категории по лимитирующему перегону расчетного участка. При значениях межпоездного интервала
Jтек больше времени хода поезда расчетной категории по лимитирующему перегону рациональным является непакетный график движения.
Период частично пакетного графика движения на лимитирующем перегоне, имеющем наибольшую сумму времен хода нечетного и четного поездов, рассчитывается по формуле:

[3.6]
где t', t" - времена хода соответственно нечетного и четного поезда по лимитирующему перегону расчетного участка, минут;
Kп - число поездов в пакете;
Jдоп ЛЗ - допустимый интервал по нагрузочной способности устройств на межподстанционной зоне, содержащей лимитирующий перегон;

- станционный интервал скрещения поездов противоположных направлений, минут;

- станционный интервал неодновременного прибытия поездов противоположных направлений, минут.
Период непакетного графика движения на лимитирующем перегоне рассчитывается по формуле:

[3.7]
3.3.6. Определение допустимых межпоездных интервалов на двухпутных участках, в том числе с однопутными искусственными сооружениями при наличии шунтирующих линий, обеспечивающих двухстороннее питание каждого главного пути рассматриваемой межподстанционной зоны, выполняется методом расчета серии параллельных графиков движения, приведенных на
рисунке 3.3, при изменении текущего межпоездного интервала
Jтек от минимального значения до 60 минут. Интервал, равный 60 минутам, соответствует режиму пропуска одного поезда по межподстанционной зоне.
| | ИС МЕГАНОРМ: примечание. Сноска дана в соответствии с официальным текстом документа. | |
3.3.7. Определение допустимых межпоездных интервалов на однопутных участках с двухпутными вставками или раздельными пунктами продольного типа, а также двухпутных участков с однопутными искусственными сооружениями при отсутствии шунтирующих линий, обеспечивающих двухстороннее питание каждого главного пути рассматриваемой межподстанционной зоны, или сплетениями путей, требующих установления зависимости между поездами обоих направлений, выполняется <*> методом расчета серии параллельных графиков движения, приведенных на
рисунках 1.9,
1.10,
1.11, при изменении текущего межпоездного интервала
Jтек от минимального значения до 60 минут.
3.3.8. Определение допустимых межпоездных интервалов на многопутных участках выполняется в зависимости от принятой системы организации движения поездов по главным путям методом расчета серии параллельных графиков движения, указанных в
пунктах 3.3.5 и
3.3.6 настоящей Инструкции, при изменении текущего межпоездного интервала
Jтек от минимального значения до 60 минут.
3.3.9. Допустимый интервал
Jдоп min по нагрузочной способности каждого из показателей, приведенных в
пункте 3.3.1 настоящей Инструкции, определяется как наименьшее значение
Jтек, при котором значение соответствующего коэффициента
KИНС меньше или равно 1.
Если при каком-либо значении Jтек для всех параметров значение KИНС меньше 1, то после ряда дополнительных проверок допустимости рабочего режима цикл моделирования графиков завершается досрочно.
При текущем значении межпоездного интервала, равном минимальному межпоездному интервалу по устройствам сигнализации, централизации и блокировки, фиксируются ограничивающие устройства электроснабжения, значения KИНС которых превышают 1.
Для каждой межподстанционной зоны определяется результирующий допустимый межпоездной интервал
Jдоп рез как наибольшее значение по всем показателям, приведенным в
пункте 3.3.1 настоящей Инструкции. Максимальное значение из всех
Jдоп рез является результирующим межпоездным интервалом для расчетного участка.
3.4. Расчет наличной пропускной способности
3.4.1. Максимальное возможное количество грузовых поездов в сутки на однопутном участке с учетом пропуска поездов других категорий (при непараллельном графике) определяется для частично-пакетного графика движения по формуле:

[3.8]
где Tтех - продолжительность технологического окна, минут;

- коэффициент надежности соответствующей группы устройств.
3.4.2. Максимально возможное количество грузовых поездов в сутки на однопутном участке с учетом пропуска поездов других категорий (при непараллельном графике) определяется для непакетного графика движения по формуле:

[3.9]
3.4.3. Максимально возможное количество грузовых поездов в сутки на данном пути двухпутного участка с учетом пропуска поездов других категорий (при непараллельном графике) определяется для каждой межподстанционной зоны по отдельным показателям нагрузочной способности устройств:

[3.10]
где Jзад - заданный межпоездной интервал, принимаемый, как правило, равным минимальному межпоездному интервалу по устройствам сигнализации, централизации и блокировки, минут.
3.4.4. Максимально возможное количество грузовых поездов в сутки на однопутных участках с двухпутными вставками или раздельными пунктами продольного типа, а также двухпутных участков с однопутными искусственными сооружениями при отсутствии шунтирующих линий, обеспечивающих двухстороннее питание каждого главного пути рассматриваемой межподстанционной зоны, с учетом пропуска поездов других категорий (при непараллельном графике) определяется с учетом положений
пункта 1.3 и
подпунктов 3.4.1 -
3.4.3 настоящей Инструкции.
3.4.5. Максимально возможное количество грузовых поездов в сутки на многопутных участках с учетом пропуска поездов других категорий (при непараллельном графике) определяется с учетом положений
пункта 1.5 и
пунктов 3.4.1 -
3.4.3 настоящей Инструкции.
3.4.6. При наличии в расчетном графике движения соединенных поездов значение Nгр соответствует наибольшему возможному количеству ниток грузового движения. Допустимое число физических поездов (в одиночном исчислении):

[3.11]
где Kсоед - число одиночных грузовых поездов в соединенном поезде;

- доля соединенных поездов в расчетном графике движения поездов (принимается в соответствии с данными
таблицы N 3.2).
3.5.1. С учетом результатов расчетов, приведенных в
пункте 3.4 настоящей Инструкции, наличная пропускная способность по устройствам электроснабжения проверяется по условиям работы:
а) защит тяговой сети;
б) элементов обратной тяговой рельсовой сети.
3.5.2. Порядок проверки использования нагрузочной способности устройств электроснабжения приведен в
приложении N 3.1 к настоящей Инструкции.
4. ОПРЕДЕЛЕНИЕ ПРОПУСКНОЙ СПОСОБНОСТИ ЖЕЛЕЗНЫХ ДОРОГ
ПО ДЕПОВСКИМ И ЭКИПИРОВОЧНЫМ УСТРОЙСТВАМ
ЛОКОМОТИВНОГО ХОЗЯЙСТВА
4.1.1. Наличная пропускная способность участка обращения локомотивов - по деповским и экипировочным устройствам - определяется наибольшим числом пар грузовых поездов (включая вывозные и передаточные), которое может быть пропущено по участку за сутки при наличных количестве этих устройств, их специализации, размещении и при максимально возможной степени их загрузки.
4.1.2. Величина наличной пропускной способности участка по деповским и экипировочным устройствам оценивается при условиях:
- применения существующего способа эксплуатации локомотивного парка (включая определение его потребной численности);
- обращения по участку поездов с локомотивами наличной серийности и секционности;
- полного обеспечения локомотивов, используемых в пассажирском (включая пригородное), хозяйственном движении и непоездной работе, обслуживанием, требующим применения деповских и экипировочных устройств;
- использования действующих норм межремонтных периодов и простоя локомотивов при их техническом обслуживании (ТО), ремонте и экипировании;
- исправности наличных деповских и экипировочных устройств, соответствия их производительности действующим нормативам, а фонда времени их использования - нормам СНиП.
4.1.3. При расчете наличной пропускной способности учитываются все имеющиеся деповские и экипировочные устройства, в том числе временно законсервированные, если они по техническим характеристикам (размерам, состоянию оборудования и производственных помещений) и по их размещению пригодны для обслуживания локомотивов, эксплуатируемых на участке.
4.1.4. При эксплуатации на участке многосекционных локомотивов, обслуживание которых на стойлах ПТОЛ или депо, или пунктов экипировки невозможно без их расцепки, соответствующие нормы простоя таких локомотивов, применяемые при расчете наличной пропускной способности, должны предусматривать дополнительные затраты времени, обусловленные необходимостью расцепки и сцепки.
4.1.5. Наличная пропускная способность участка обращения локомотивов определяется в соответствии с
п. 4.3 по каждому из следующих устройств локомотивного хозяйства:
для электротяги
- по стойлам для выполнения технических обслуживаний ТО-2, ТО-3 (если данный вид обслуживания предусмотрен действующим положением о системе ТО и ремонта электровозов), текущих ремонтов ТР-1 и неплановых ремонтов;
- по устройствам пескоснабжения (пескосушильным печам, устройствам подачи песка на электровозы);
- по экипировочным позициям;
- по ходовым деповским путям;
для теплотяги
- по стойлам для выполнения ТО-2, ТО-3, ТР-1, неплановых ремонтов;
- по устройствам для подачи топлива на тепловозы;
- по устройствам пескоснабжения (пескосушильным печам, устройствам подачи песка на тепловозы);
- по экипировочным позициям;
- по ходовым деповским путям.
4.1.6. Сопоставлением величин наличной пропускной способности, определенных для каждого из устройств, перечисленных в
п. 4.1.5, выявляются устройства или устройство с наименьшим значением этой величины, т.е. ограничивающие наличную пропускную способность участка. Применительно к таким лимитирующим устройствам разрабатываются предложения (меры) по устранению указанного ограничения пропускной способности с учетом положений
п. п. 4.1.7,
4.1.8 и указывается ее величина, достигаемая в результате реализации этих предложений.
4.1.7. В случае если наличная пропускная способность лимитируется экипировочными устройствами, определяется возможность снятия такого ограничения за счет использования передвижных экипировочных средств, находящихся в распоряжении дороги. Если лимитирующими устройствами являются стойла для выполнения ТО-2, то определяется возможность выполнения ТО-2 маневровым локомотивам на станционных путях (локомотивными бригадами).
4.1.8. При существенном различии величин наличной пропускной способности смежных участков обращения локомотивов определяется возможность увеличения наименьшей из этих величин за счет изменения схем обслуживания поездов локомотивами и (или) плановой загрузки устройств (указанных в
п. 4.1.5), используемых для обслуживания локомотивов на смежных участках.
4.1.9. Пропускная способность деповских и экипировочных устройств, находящихся на стыковых станциях между дорогами, должна рассчитываться той дорогой, которой принадлежит данная станция. При расчетах учитывается потребность в устройствах как для обслуживания локомотивов своей дороги, так и оборачивающихся по этой станции локомотивов соседних дорог.
4.1.10. Дорога, использующая устройства, находящиеся на стыковой станции и при этом принадлежащие другой (соседней) дороге, обязана до начала расчетов сообщить соседней дороге, рассчитывающей пропускную способность, все данные, необходимые для такого расчета: число локомотивов, которые должны на стыковой станции подвергаться техническому обслуживанию, экипироваться песком и топливом (с указанием их потребного объема) и т.д. Дорога, которой принадлежат указанные устройства, после проведения соответствующей части расчетов, обязана сообщить дороге, использующей ее устройства на стыковой станции, необходимые данные об их пропускной способности.
4.1.11. Дополнительно к расчету по определению наличной пропускной способности участка по устройствам, указанным в
п. 4.1.5, производится в соответствии с
п. 4.4 проверка степени загрузки следующих устройств локомотивного хозяйства, обслуживающих данный участок обращения: стойл текущего ремонта ТР-2 и ТР-3, стойл и путей для стоянки локомотивов в рабочем состоянии, складов топлива и смазки (по их емкости). Кроме того, определяется соответствие размещения пунктов снабжения локомотивов песком величине интенсивности расхода песка локомотивом (каждой серии) на участке обращения.
4.1.12. Для участков обращения локомотивов, размещенных полностью в пределах одной железной дороги, информация, необходимая для расчета пропускной способности устройств локомотивного хозяйства - перечень участков, расчетные размеры движения, потребность в локомотивах - представляется службой перевозок указанной дороги (согласно
формам N 1 ЦТ и графам 3 - 6
формы N 2 ЦТ, приведенным в
Приложении 6.4 к настоящей Инструкции).
Применительно к удлиненным и разветвленным участкам обращения локомотивов, размещенным в границах нескольких дорог, указанная информация представляется дорогой (или региональным центром управления), на которую возложены функции по управлению локомотивным парком на таких участках обращения.
4.2. Методические основы оценки пропускной способности устройств на участке обращения локомотивов
4.2.1. Для определения наличной пропускной способности участка первоначально по каждому из i-объектов локомотивного хозяйства, оборудованных устройствами, указанными в
п. 4.1.5, определяется величина коэффициента

, характеризующего степень загрузки этих устройств в месяц МРГД - наибольших размеров грузового движения, реализованных в период, предшествующий расчету наличной пропускной способности данного участка. Затем рассчитывается величина наличной пропускной способности участка обращения, которую могут обеспечить данные устройства:
где

- наличная, максимально возможная при наибольшей допустимой загрузке устройств i-объекта, пропускная способность участка обращения локомотивов (исчисляемая в суточном количестве пар грузовых поездов);

- количество пар грузовых поездов за сутки в месяц МРГД на участке обращения локомотивов;

- коэффициент использования (загрузки) устройств i-объекта локомотивного хозяйства в месяц МРГД.
4.2.2. Коэффициент

характеризует степень максимально возможного увеличения загрузки устройств i-объекта для обслуживания локомотивов грузового движения - по сравнению с загрузкой этих устройств в месяц МРГД - при условии, что величина потребности в обслуживании данными устройствами локомотивов негрузового движения (пассажирского и хозяйственного движения, а также используемых для маневровой и прочей работы) не изменится, т.е. останется такой же, как и в месяц МРГД. Данный коэффициент определяется:
где

- величина, характеризующая суточную потребность в стойлах i-объекта (пункта экипировки, ПТОЛ, депо) или в материалах (песке, топливе) для локомотивов грузового движения в месяц МРГД;

- количество стойл, которое ежесуточно может использоваться при максимальной потребности в них, или наличная производительность устройств (пескоподачи, топливоотдачи, пескосушения) i-объекта локомотивного хозяйства;

- ежесуточно потребное количество стойл или потребная суточная производительность устройств (пескоподачи, топливоподачи, пескосушения) i-объекта для обслуживания локомотивов, используемых в негрузовом движении в месяц МРГД.
4.2.3. По результатам определения

для каждого из i-объектов, обслуживающих участок обращения, в соответствии с
п. 4.1.6 выявляется объект, устройства которого в наибольшей степени ограничивают наличную пропускную способность этого участка. В качестве расчетной величины наличной пропускной способности участка в целом принимается величина

указанного лимитирующего объекта (его устройств).
4.2.4. Значение

для любого i-объекта локомотивного хозяйства определяется в следующей последовательности.
4.2.4.1. Первоначально устанавливается фактическое наличие устройств, перечисленных в
п. 4.1.5, на этом объекте, т.е. их количество и их параметры. Затем определяется существующая специализация данных устройств (по сериям или видам использования обслуживаемых ими локомотивов, по видам таких обслуживаний). Далее с учетом суточного фонда времени использования устройств рассчитывается максимально возможная суточная их производительность (пропускная способность), т.е.

.
4.2.4.2. Определяется потребное суточное количество (или объем) обслуживания локомотивов (по сериям, в месяц МРГД), используемых в негрузовом движении, т.е. занятых в пассажирском и хозяйственном движении, на маневровой и прочей работе. С учетом данной потребности, суточного фонда времени использования устройств i-объекта, нормативов простоя локомотивов различных серий при их обслуживании, а также неравномерности поступления локомотивов на этот объект (для их обслуживания устройствами данного объекта) вычисляется значение

.
4.2.4.3. По информации о потребности (в месяц МРГД) в локомотивах различных серий и секционности для обслуживания грузовых поездов (в том числе вывозных и передаточных) определяется потребное - в среднем за сутки такого месяца - число (или объем) обслуживаний этих локомотивов (по сериям) на i-объекте с применением устройств, указанных в
п. 4.1.5. С использованием величины потребного числа или объема обслуживаний вычисляется значение

.
4.2.4.4. С применением определенных значений

,

,

вычисляется значение

- в соответствии с
(4.2). На основании расчетной величины

и данных о значении

в соответствии с
(4.1) рассчитывается наличная пропускная способность участка обращения локомотивов по производственным возможностям i-объекта.
4.2.4.5. Увеличение размеров грузового движения в общем случае вызывает рост потребной численности не только грузовых, но и маневровых локомотивов. Поэтому после определения величин

и

(в соответствии с положениями
4.2.2) по пропускной способности стойл и устройств подачи топлива на тепловозы дополнительно оценивается увеличение их загрузки вследствие возрастания потребности в обслуживании маневровых локомотивов. Примеры такой оценки применительно к загрузке стойл для выполнения ТО-2, ТО-3, ТР-1 и неплановых ремонтов приведены в
Приложениях 4.1 и
4.2 к настоящей Инструкции, устройствам подачи топлива на тепловозы - в
п. 4.3.3.3.
4.2.4.6. В соответствии с
п. 4.1.6 по расчетным значениям

выявляются объекты и их устройства, в наибольшей степени ограничивающие наличную пропускную способность участка обращения. За величину такой пропускной способности участка (по деповским и экипировочным устройствам) принимается наименьшее - из определенных для i-объектов данного участка - значение

.
4.2.5. В случае если на участке обращения в грузовом движении применяются два вида тяги, то для определения наличной пропускной способности по устройствам локомотивного хозяйства в качестве исходных данных используется потребное в месяц МРГД число электровозов и тепловозов по отдельности. Если на таком участке устройства i-объекта применяются для обслуживания и электровозов, и тепловозов совместно, то для этих устройств величина

определяется без разделения ее по видам тяги.
| | ИС МЕГАНОРМ: примечание. В официальном тексте документа, видимо, допущена опечатка: Приложение 7 в тексте документа отсутствует. | |
4.2.6. Результаты определения наличной пропускной способности участка по устройствам локомотивного хозяйства, указанным в
п. 4.1.5, а также проверки степени загрузки устройств, указанных в
п. 4.1.11, оформляются в соответствии с положениями п. 4 Приложения 7. При этом в пояснительной записке указываются и другие устройства объектов локомотивного хозяйства, степень загрузки которых в месяц МРГД затрудняет обслуживание локомотивов на участке их обращения. К числу таких устройств могут относиться поворотные устройства депо, стойла для замены колесно-моторных блоков, обточки колесных пар без выкатки, проведения реостатных испытаний.
4.3. Расчет пропускной способности по отдельным видам устройств локомотивного хозяйства
4.3.1. Пункты технического обслуживания локомотивов (ПТОЛ)
4.3.1.1. Пропускная способность каждого ПТОЛ, размещенного на любом участке обращения локомотивов (УО), определяется по числу его путей для выполнения ТО-2 и количеству стойл на каждом пути. Способ расчета пропускной способности каждого ПТОЛ, расположенного на участке обращения локомотивов грузового движения (ГД), предполагает определение среднесуточного числа ТО-2, выполняемых на данном ПТОЛ в месяц максимальных размеров грузового движения (МРГД), и потребности в стойлах для выполнения указанного числа ТО-2, а также сопоставление потребного числа стойл с наличным (для установления величины коэффициента использования наличной пропускной способности ПТОЛ в месяц МРГД).
4.3.1.2. Для определения среднесуточного числа ТО-2, выполняемых каждым пунктом технического обслуживания, размещенным на данном УО, первоначально определяется суммарное потребное число ТО-2 для всех локомотивов, используемых в грузовом движении на этом УО в месяц МРГД

. Затем определяется доля

, приходящаяся на каждый данный ПТОЛ.
4.3.1.3. Суммарное потребное число ТО-2 для эксплуатируемого парка локомотивов ГД

определяется с учетом необходимой численности этого парка (для освоения заданного объема перевозок в месяц МРГД) и норм периодичности выполнения ТО-2. При этом потребная численность эксплуатируемого парка локомотивов ГД представляется в физических единицах, т.е. любой локомотив, вне зависимости от числа его секций (соответствующего или не соответствующего его конструкционному исполнению), принимается за физическую единицу.
4.3.1.4. Для электровозного парка ГД при использовании нормы периодичности ТО-2, установленной в часах, суммарная среднесуточная потребность в ТО-2

определяется:
где

- потребная численность эксплуатируемого парка электровозов для обеспечения заданных размеров ГД (включая вывозные и передаточные поезда) на данном УО в месяц МРГД, физ.ед;

- нормативная максимальная продолжительность эксплуатации электровоза ГД до ТО-2, ч;

- среднесуточный пробег электровозов ГД (с передаточными и вывозными) на данном УО в месяц МРГД, км;

- норма пробега электровозов ГД между текущими ремонтами TP-1, тыс. км;

- коэффициент влияния применяемой на данном УО системы соблюдения нормы периодичности ТО-2 на величину ожидаемой фактической периодичности ТО-2.
Для УО с автоматизированной системой, обеспечивающей оперативный контроль наработки локомотивов от последнего ТО-2 и реализацию правил гарантированной подачи локомотивов на ПТОЛ до истечения максимально допустимой величины такой наработки, величина

принимается равной 0,5. Для УО с диспетчерским регулированием подачей локомотивов на ПТОЛ (с использованием выходной информации ЭВМ)

. При диспетчерском регулировании без применения ЭВМ

.
4.3.1.5. Для тепловозного парка ГД (за исключением локомотивов, используемых для вывозки и передачи) при использовании нормы периодичности ТО-2, установленной в часах, суммарная среднесуточная потребность в ТО-2

определяется:
где

- потребная численность эксплуатируемого парка тепловозов для обеспечения заданных размеров ГД (без вывозных и передаточных поездов) на данном УО в месяц МРГД, физ. ед.;

- нормативная максимальная продолжительность эксплуатации тепловоза ГД до ТО-2, ч;

- среднесуточный пробег тепловозов ГД (без передаточных и вывозных) в месяц МРГД, км;

- норма пробега тепловозов ГД между техническими обслуживаниями ТО-3, тыс. км;

- коэффициент влияния системы соблюдения нормы периодичности ТО-2 на величину фактической периодичности ТО-2 (значения а принимаются в соответствии с рекомендациями
п. 4.3.1.5).
4.3.1.6. Если для локомотивов ГД на данном УО норма максимальной наработки до ТО-2 установлена в тыс. км, то суммарная суточная потребность локомотивного парка в ТО-2 на данном УО определяется:
для электровозов (в том числе вывозных и передаточных)
для тепловозов (без вывозных и передаточных)
где

и

- соответственно, нормы пробега электровозов ГД до ТР-1 и тепловозов ГД до ТО-3 (в тыс. км).
4.3.1.7. Если для магистральных тепловозов, обслуживающих вывозные и передаточные поезда, норма максимальной наработки между ТО-2 исчисляется в часах нахождения этих тепловозов в эксплуатируемом парке, то суммарная среднесуточная потребность в ТО-2 таких тепловозов

определяется:
где:

- потребная численность эксплуатируемого парка магистральных тепловозов для вывозных и передаточных поездов на данном УО в месяц МРГД, физ. ед.;

- нормативная максимальная продолжительность эксплуатации магистральных тепловозов, обслуживающих вывозные и передаточные поезда на данном УО в месяц МРГД, между ТО-2, ч;

- нормативная продолжительность эксплуатации магистральных тепловозов, обслуживающих вывозные и передаточные поезда на данном УО в месяц МРГД, между ТО-3, сут.
Формула (4.7) может применяться и для определения среднесуточной потребности в ТО-2 для маневровых тепловозов

. В данном случае в
(4.7) вместо

используется количество маневровых тепловозов в эксплуатируемом парке

.
Общая суммарная потребность в ТО-2 для парка магистральных тепловозов, используемых на данном УО для грузового движения (включая передаточное и вывозное) в месяц МРГД, составляет

.
4.3.1.8.
Пример определения суточной потребности в ТО-2 для локомотивного парка, используемого в ГД на рассматриваемом участке обращения.
В месяце МРГД потребность в локомотивах эксплуатируемого парка

на данном участке обращения составляет 308 электровозов (в физических единицах) для грузового движения. Для всех электровозов ГД применяются нормы:

,

, среднесуточный пробег

составляет 780 км. На данном УО применяется диспетчерское регулирование подачей локомотивов на ПТОЛ (с использованием ЭВМ), при котором

. Тогда согласно
(4.1) суточная потребность в ТО-2 для указанного парка электровозов определится:
Если норма периодичности ТО-2 электровозов грузового движения на данном УО задана величиной пробега (например,

), а диспетчерское регулирование их подачей на ПТОЛ осуществляется без применения ЭВМ

, то суточная потребность в ТО-2 для 308 электровозов согласно
(4.3) составит:
4.3.1.9. Пример определения суточной потребности в ТО-2 для тепловозного парка, используемого в ГД на данном УО.
В месяце МРГД потребность в локомотивах эксплуатируемого парка для ГД составляет 135 магистральных тепловозов (в том числе 25 тепловозов для вывозного и передаточного движения). Для указанных тепловозов (за исключением вывозных и передаточных) применяются нормы:

,

; среднесуточный пробег этих локомотивов в данный месяц

. На УО применяется диспетчерское регулирование подачей локомотивов на ПТОЛ, при котором

.
Для вывозных и передаточных магистральных тепловозов применяются нормы:

,

. В соответствии с
(4.4) суточная потребность в ТО-2 для 110 тепловозов определится:
Суточная потребность в ТО-2 для 25-ти вывозных и передаточных тепловозов согласно
(4.7) определится:
Потребность в ТО-2 для 135-ти тепловозов:
4.3.1.10. Суммарное среднесуточное число ТО-2

, потребное для парка локомотивов грузового движения, используемого на данном УО, в общем случае выполняется несколькими ПТОЛ, расположенными в пределах этого УО. Определение среднесуточного числа ТО-2, которые должен выполнить в месяц МРГД каждый из таких пунктов технического обслуживания

, производится следующим образом:
где

- среднесуточное число локомотивов ГД (обращающихся на данном УО), отцепляемых на этом УО от грузовых поездов на станции размещения i-ПТОЛ;

- среднесуточное число локомотивов ГД (обращающихся на данном УО), отцепляемых от грузовых поездов на всех станциях размещения ПТОЛ.
Значения

и

определяются по графикам исполненного движения за период, характеризующий эксплуатационную работу на УО в месяце МРГД.
При наличии статистических данных за прошлые месяцы МРГД о числе ТО-2, выполненных на каждом из ПТОЛ данного УО (для локомотивов ГД, обращавшихся на этом УО), величины

определяются как среднесуточное число таких ТО-2, выполнявшихся на каждом из ПТОЛ.
В случае если локомотивы ГД данного УО подвергаются техническому обслуживанию ТО-2 в пункте их оборота, принадлежащему другому (смежному) участку обращения грузовых локомотивов, то расчетная величина

для данного УО должна быть соответственно уменьшена.
4.3.1.11.
Пример расчета для определения среднесуточного числа ТО-2

, подлежащего выполнению локомотивам ГД на каждом из пунктов технического обслуживания, расположенных на УО.
Исходные данные:
- на данном УО для грузового движения (включая передаточное и вывозное) используются только электровозы, и в соответствии с
п. 4.3.1.8 значение

в месяц МРГД составляет 120 ТО-2;
- технические обслуживания ТО-2 электровозам грузового движения на данном УО выполняются четырьмя ПТОЛ, условно обозначенными как a, b, c, d и находящимися в границах этого УО;
- анализом графиков исполненного движения установлено, что на четырех станциях размещения указанных ПТОЛ в среднем за сутки в месяце МРГД выполняется

отцепок электровозов (обращающихся на данном УО) от грузовых поездов, в том числе на станции нахождения a-ПТОЛ -

, b-ПТОЛ -

, c-ПТОЛ -

и d-ПТОЛ -

отцепок.
Согласно
(4.8) среднесуточное расчетное число ТО-2 для электровозов ГД, подлежащее выполнению на каждом из четырех ПТОЛ в месяце МРГД, составит:
4.3.1.12. В случае если локомотивам ГД данного УО некоторое число технических обслуживаний ТО-2, как указано в
п. 4.3.1.10, выполняется на ПТОЛ, принадлежащем не данному, а смежному участку обращения (т.е. в случае если пункт оборота этих локомотивов расположен на смежном УО и ТО-2 им выполняется на ПТОЛ такого пункта), то при определении

(по
формуле 4.8) из

следует вычесть среднесуточное число ТО-2, выполняемых в месяц МРГД указанным локомотивам на ПТОЛ смежного УО. Так, применительно к примеру, изложенному в
п. 4.3.1.8, в случае если среднесуточное число ТО-2, выполняемых электровозам ГД данного УО на ПТОЛ смежного УО, составляет в месяц МРГД десять ТО-2, то

, принимаемое к последующему определению

, должно составить не 120, а 120 - 10 = 110 технических обслуживаний электровозов ГД данного УО.
Если на каком-либо i-ПТОЛ данного УО выполняются ТО-2 локомотивам ГД смежного УО, то среднесуточное число таких ТО-2 в месяц МРГД

не включается в расчет величин

,

и

для данного УО при их определении по
формулам (4.5,
4.6,
4.7) и в расчет

для данного УО по
формуле (4.8). Но после определения расчетной величины

для такого i-ПТОЛ данного УО (по
формуле 4.6) ее следует увеличить добавлением

. Так, применительно к примеру, представленному в
п. 4.3.1.11, в случае если на d-ПТОЛ в среднем ежесуточно в месяц МРГД выполняются технические обслуживания ТО-2 электровозам ГД смежного УО и при этом

, то суммарное среднесуточное число ТО-2 на этом ПТОЛ составит

.
Данные о среднесуточном (в месяц МРГД) количестве локомотивов, обращающихся на данном УО, но техническое обслуживание которым должно выполняться на ПТОЛ смежного УО, сообщаются диспетчерским аппаратом данного УО службе локомотивного хозяйства дороги, в ведении которой находится указанный ПТОЛ смежного УО.
4.3.1.13. В общем случае ПТОЛ любого данного УО наряду с техническими обслуживаниями для локомотивов ГД выполняют ТО-2 и для локомотивов, используемых в пассажирском, хозяйственном движении, а также в маневровой работе. Вследствие этого общее расчетное среднесуточное число технических обслуживаний на i-ПТОЛ слагается из

и дополнительного среднесуточного числа ТО-2 для локомотивов негрузового движения -

. Величина

должна определяться по статистическим данным о выполнении ТО-2 указанным выше локомотивам за предыдущие периоды, аналогичные (по размерам ГД, по схемам его обеспечения локомотивами и техническим обслуживанием ТО-2) рассматриваемому месяцу МРГД. Указанные статистические данные должны характеризовать суточную работу i-ПТОЛ как минимум за один месяц.
4.3.1.14. Максимальное суточное число ТО-2, которое может быть выполнено на каждом данном i-ПТОЛ для локомотивов ГД, обращающихся на данном УО, зависит от следующих параметров и характеристик:
- числа путей i-ПТОЛ

, оборудованных стойлами;
- числа стойл на каждом из указанных путей

;
- нормативного времени простоя в ТО-2 каждого из локомотивов, поступающих на i-ПТОЛ

;
- степени неравномерности поступлений локомотивов на i-ПТОЛ в течение суток (в месяц МРГД);
- технологически необходимой минимальной величины интервала времени

между последовательными поступлениями на стойло локомотивов для выполнения им ТО-2;
- среднесуточного числа не совмещенных с ТО-2 экипирований локомотивов, если они выполняются на i-ПТОЛ (метод оценки пропускной способности ПТОЛ с учетом экипирований изложен в
п. п. 4.3.5.2,
4.3.5.3.
4.3.1.15. Число путей i-ПТОЛ

, оборудованных стойлами, может составлять 1, 2 и более. На каждом таком пути могут размещаться одно, два и более стойл

.
Нормативное время простоя локомотива на ТО-2

в общем случае может быть различным для локомотивов, используемых в разных видах движения и работы. Оно зависит от серии локомотива и числа секций в локомотиве как физической единице.
Средняя величина технологически необходимого минимального интервала времени

(см.
п. 4.3.1.13) между окончанием ТО-2 любого данного локомотива на данном стойле i-ПТОЛ и началом работ ТО-2 следующего локомотива на этом стойле зависит от способа подачи локомотивов на стойла в этом ПТОЛ и должна определяться по результатам хронометрирования. В общем случае

составляет от 3 до 5 мин (0,05 ... 0,083 ч).
4.3.1.16. Периоды времени между последовательными постановками локомотивов на стойло существенно изменяются в зависимости от интенсивности прибытия (на станцию расположения i-ПТОЛ) поездов с локомотивами, подлежащими техническому обслуживанию ТО-2, а также от организации подачи таких локомотивов к ПТОЛ (т.е. от структуры потока поступлений локомотивов на ПТОЛ).
В случае если в определенные часы суток интенсивность поступления локомотивов к ПТОЛ превышает максимально возможную частоту выполнения ТО-2 на этом ПТОЛ, то перед ним образуется очередь локомотивов, ожидающих техническое обслуживание. Если же интенсивность подвода локомотивов к ПТОЛ меньше максимально возможной частоты выполнения ТО-2 на этом ПТОЛ, то некоторые из его стойл в отдельные периоды времени оказываются незагруженными. Вследствие этого при определении наибольшей пропускной способности ПТОЛ в расчете используется коэффициент

, характеризующий максимально возможную степень использования стойл каждого пути ПТОЛ при фактической неравномерности подачи локомотивов на ТО-2 в течение суток. Величина этого коэффициента зависит от

- числа путей ПТОЛ, на которых размещаются стойла для выполнения ТО-2 (значения

приведены в табл. 4.1).
Число путей n | 1 | 2 | 3 | 4 | 5 | 6 | 7 |
Значения  | 0,720 | 0,865 | 0,883 | 0,893 | 0,904 | 0,909 | 0,912 |
4.3.1.17. Наибольшие размеры грузового движения

на данном УО, которые могут быть обеспечены выполнением ТО-2 локомотивам ГД на i-ПТОЛ этого УО (при сохранении существующей пропорции распределения среднесуточного числа ТО-2, выполняемых всем локомотивам ГД этого УО, между всеми его ПТОЛ, а также при совмещении операций экипирования всех локомотивов с производством ТО-2 на i-ПТОЛ), определяются:
где

- размеры ГД в месяц МРГД на данном УО;

- коэффициент, характеризующий загрузку (а следовательно, и резерв пропускной способности) стойл i-ПТОЛ применительно к ТО-2, выполняемым для локомотивов ГД, используемых на данном участке обращения.
Величина

рассчитывается по формуле:
где

- коэффициент, характеризующий влияние неравномерности подачи локомотивов к ПТОЛ на его пропускную способность (см.
п. 4.3.1.15 и
табл. 4.1);

- количество путей i-ПТОЛ, на которых расположены смотровые стойла (позиции); величина

тождественна

в
формуле (4.2);

- расчетная потребность в путях (на i-ПТОЛ данного УО) для выполнения ТО-2 в месяц МРГД локомотивам, используемым в грузовом движении на этом УО; величина

тождественна

в
формуле (4.2);

- потребность в путях (на i-ПТОЛ данного УО) для выполнения ТО-2 в месяц МРГД локомотивам, используемым в ГД на смежном УО, но подвергающимся техническим обслуживаниям на i-ПТОЛ данного УО;

- потребность в путях (на i-ПТОЛ данного УО) для выполнения ТО-2 в месяц МРГД локомотивам, используемым в негрузовом движении (работе).
В случае если ТО-2 таким локомотивам негрузового движения, например, маневровым и (или) пассажирским, выполняются на отдельных специализированных (не приспособленных для ТО-2 локомотивов ГД) путях ПТОЛ, значение

определяется без учета потребности в выполнении ТО-2 таким локомотивам. В
формуле (4.10) величина

тождественна

, используемой в
формуле (4.2).
4.3.1.18. Для определения значений

,

и

предварительно среднесуточное число ТО-2 в месяц МРГД разделяется на j-группы, каждая из которых является числом ТО-2, выполняемым в среднем за сутки месяца МРГД для локомотивов (физических единиц) с одинаковым нормативным временем простоя каждого из них на стойлах при выполнении ТО-2

. Например, первая группа представляет число ТО-2 для локомотивов ГД данного УО с

, вторая - с

и т.д. Разделение

на указанные j-группы выполняется по статистическим данным о всех локомотивах, которым на данном i-ПТОЛ выполнялись ТО-2 в предыдущий месяц МРГД. Так, если в указанный месяц на i-ПТОЛ было выполнено всего 1200 ТО-2 для локомотивов ГД данного УО и в том числе 300 ТО-2 локомотивам с нормой продолжительности технического обслуживания

, 120 ТО-2 для локомотивов с

и 780 ТО-2 для локомотивов с

, то при расчете величины

суммарное время простоя таких локомотивов на стойловых путях i-ПТОЛ определяется с учетом того, что относительное число ТО-2 первой группы

составит 300 : 1200 = 0,25 всей среднесуточной программы ТО-2, второй группы

и третьей

.
4.3.1.19. Величины

,

и

(см.
п. 4.3.1.17) определяются по формулам:
где

,

,

и

- среднесуточное в месяц МРГД число ТО-2, подлежащих выполнению на i-ПТОЛ (с j-нормативной продолжительностью простоя), соответственно, для локомотивов ГД данного УО, для локомотивов смежного УО и для локомотивов негрузового движения (работы).
Значения

для i-ПТОЛ определяются по отдельности для локомотивов ГД, обращающихся на УО размещения данного i-ПТОЛ

, и локомотивов смежного УО

, если им ТО-2 выполняются на данном i-ПТОЛ, а также для локомотивов, не используемых в ГД

.
Примеры расчета пропускной способности ПТОЛ приведены в
Приложении 4.1.
4.3.1.20. В случае если на участке обращения локомотивов ГД размещается несколько ПТОЛ, обслуживающих эти локомотивы, то величины К и

должны определяться для каждого из таких ПТОЛ - для выявления того из них, который в наибольшей степени ограничивает увеличение размеров грузового движения на этом УО. Так, если расчетами установлено, что четырем ПТОЛ данного УО соответствуют значения

, равные для первого из них - 72, второго - 51, третьего - 64 и четвертого - 57 пар грузовых поездов, то лимитирующим является второй ПТОЛ.
При анализе пропускной способности ПТОЛ с минимальным расчетным значением

следует учитывать возможность увеличения этой способности за счет обоснованных организационных мер по сокращению средней длительности простоя локомотивов на стойлах, а также путем передислокации производства ТО-2 маневровым локомотивам со стойл данного ПТОЛ на станционные пути (для выполнения этих технических обслуживаний локомотивными бригадами).
Значения К, определенные для каждого ПТОЛ, указываются в выходной форме N 7ЦТ (см.
Приложение 6).
4.3.2. Стойловая часть цехов по производству технического обслуживания ТО-3 и текущего ремонта ТР-1
4.3.2.1. Настоящий расчет производится применительно к депо, выполняющим - для локомотивов грузового движения (ГД) на данном УО - технические обслуживания ТО-3 и (или) текущие ремонты ТР-1, а также неплановые ремонты (НР). При этом наличная пропускная способность УО определяется применительно к группам стойл, используемых для ТО-3, ТР-1 и НР локомотивов ГД. В общем случае расчет выполняется в следующей последовательности.
Первоначально определяется среднесуточное количество ТО-3, ТР-1 и НР, подлежащее выполнению в i-депо на указанных стойлах для локомотивов приписного парка этого депо (для каждой серии - по отдельности) в месяц МРГД. Затем с применением норм простоя локомотивов каждой серии на стойле, а также с учетом нормативного фонда времени использования стойл и их фактической специализации (по видам обслуживания и сериям локомотивов) рассчитывается потребное число стойл в i-депо для выполнения ТО-3, ТР-1 и НР в месяц МРГД. При этом используются коэффициенты, характеризующие потребность в стойлах для выполнения неплановых ремонтов

и возможности депо по сокращению фактической длительности простоя локомотивов на стойлах

. Потребное число стойл, соответствующее величинам

и

в
(4.2), определяется по отдельности для обслуживания локомотивов, используемых в грузовом и в негрузовом движении.
Далее рассчитывается максимальное число стойл этого депо, которое может быть использовано для ТО-3, ТР-1 и НР всех локомотивов (грузового и негрузового движения), т.е. значение

, указанное в
(4.2). При этом используется коэффициент

, характеризующий неравномерность загрузки наличного числа таких стойл во времени. В завершение расчета определяются величины

и

по
формулам (4.2,
4.1).
В случае наличия в депо стойл, специализированных для выполнения ТО-3 и (или) ТР-1 только грузовых локомотивов, а также их неплановых ремонтов (НР), потребное число стойл для обслуживания локомотивов негрузового парка при расчете величин

и

не используется.
4.3.2.2. Среднесуточное число ТО-3

и ТР-1

, подлежащее выполнению в месяц МРГД в i-депо для локомотивов различных серий, определяется расчетным способом. При этом для локомотивов, наработка которых до ТО-3 и ТР-1 нормируется величиной пробега, значения

и

рассчитываются по величине суммарного пробега локомотивов за месяц МРГД и по нормам соответствующих межремонтных периодов. Для локомотивов j-серии среднесуточное число ТО-3 в данном случае определяется:
где:

- количество суток работы i-депо (в месяце МРГД) по выполнению локомотивам технических обслуживаний ТО-3;

- суммарный линейный пробег локомотивов j-серии приписного парка i-депо в месяц МРГД, тыс. км;

- нормативная периодичность ТО-3 локомотивов j-серии приписного парка i-депо, тыс. км;

- нормативный для ТР-1 межремонтный период (линейный пробег) локомотивов j-серии приписного парка i-депо, тыс. км.
Среднесуточное число ТР-1 для локомотивов j-серии определяется:
где:

- количество суток работы i-депо (в месяце МРГД) по выполнению локомотивам текущих ремонтов ТР-1;

- нормативный для ТР-2 межремонтный период (линейный пробег) локомотивов j-серии приписного парка i-депо, тыс. км;
4.3.2.3. Среднесуточное количество ТО-3 и ТР-1 в месяц МРГД, подлежащее выполнению в i-депо для локомотивов, наработка которых до ТО-3 и ТР-1 нормируется временем нахождения их в эксплуатируемом парке, определяется по формулам:
где:

- численность эксплуатируемого приписного парка локомотивов j-серии i-депо в месяц МРГД, лок.;
R - календарная продолжительность месяца МРГД, сут.;

- количество суток работы i-депо (в месяце МРГД) по выполнению локомотивам текущих ремонтов ТР-1;

,

,

- нормативная периодичность соответственно ТО-3, ТР-1 и ТР-2 для локомотивов j-серии приписного парка i-депо, сут.
Среднесуточное количество неплановых ремонтов в месяц МРГД, используемое для расчета пропускной способности стойловой части депо, определяется:
где:

- удельное количество выполняемых в i-депо неплановых ремонтов локомотивов j-серии (рем/млн. км);

- суммарный пробег локомотивов j-серии (i-депо) за месяц МРГД (млн. км);

- количество суток работы (i-депо в месяце МРГД), в которые могут выполняться неплановые ремонты локомотивам j-серии (сут.).
Значение

для
(4.18) вычисляется:
где:

- фактическое суммарное число неплановых ремонтов локомотивов j-серии, выполненных в i-депо за месяцы МРГД трех предыдущих лет, рем;

- суммарный пробег локомотивов j-серии (i-депо) за те же периоды времени, млн. км.
4.3.2.4. Пример расчета потребного среднесуточного числа ТР-1 электровозов i-депо, используемых в грузовом движении.
Для электровозов j-серии приписного парка i-депо, используемых в ГД, норма наработки до ТР-1 и ТР-2 задана величинами пробега соответственно

и

. Суммарный линейный пробег этих электровозов в месяц МРГД

- 3000 тыс. км. Ремонты ТР-1 выполняются в i-депо ежесуточно (в т.ч. в выходные и праздничные дни), продолжительность (R) месяца МРГД - 30 сут. и, следовательно,

. Согласно
(4.15) среднесуточное число ТР-1, подлежащих выполнению в i-депо для парка указанных локомотивов j-серии в месяц МРГД, составит:
4.3.2.5. Пример расчета потребного среднесуточного числа ТО-3 и ТР-1 тепловозов z-депо, используемых в грузовом движении (включая передаточные и вывозные).
Для магистральных тепловозов x-серии (приписного парка z-депо), обслуживающих транзитные и сборные грузовые поезда, нормативный пробег до ТО-3, ТР-1 и ТР-2 составляет соответственно

,

,

. Для магистральных тепловозов y-серии (того же депо), используемых в вывозном и передаточном движении, нормативная продолжительность эксплуатации до ТО-3 составляет

, до ТР-1

и до ТР-2

. Продолжительность месяца МРГД (в сутках) в данном примере составляет: R = 31. Техническое обслуживание ТО-3 выполняется в z-депо ежесуточно, т.е.

, а текущие ремонты ТР-1 тепловозов - только по рабочим дням

.
Согласно
(4.14) ежесуточное число ТО-3, подлежащих выполнению в z-депо, в месяц МРГД для тепловозов x-серии при их суммарном линейном пробеге за этот месяц

в среднем составит:
Для тепловозов y-серии согласно
(4.16) ежесуточное число ТО-3 при среднемесячной (для МРГД) численности их эксплуатируемого парка - 25 локомотивов

в среднем составит:
Согласно
(4.15) число ТР-1, подлежащее выполнению в z-депо в среднем за одни рабочие сутки в месяц МРГД, для тепловозов x-серии составит:
для тепловозов y-серии в соответствии с
(4.17):
4.3.2.6. Наибольшее число технических обслуживаний ТО-3 и текущих ремонтов ТР-1, которое за сутки может выполнить депо для локомотивов ГД, обращающихся на данном УО, зависит от следующих параметров и характеристик:
- наличного числа стойл, предназначенных для выполнения ТО-3, ТР-1 и неплановых ремонтов (НР);
- специализации стойл по видам обслуживания и сериям обслуживаемых локомотивов;
- ежесуточного числа обслуживаний, выполняемых для локомотивов пассажирского и хозяйственного движения, маневровой и прочей работы;
- величины простоя локомотивов на стойлах, предназначенных для выполнения ТО-3, ТР-1 и НР;
- режима использования стойл (сменности работы бригад, выполняющих ТО-3, ТР-1 и НР, соотношения рабочих и календарных дней их работы);
- фактического уровня технического состояния обслуживаемых локомотивов;
- степени совершенства организации работы цехов и специализированных отделений депо, а также их материально-технического обеспечения и оснащенности депо необходимым технологическим оборудованием;
- степени неравномерности поступления локомотивов в депо для выполнения им ТО-3, ТР-1 и НР.
4.3.2.7. Максимальная пропускная способность - в парах грузовых поездов - для участка обращения, обслуживаемого локомотивами i-депо (определяемая по его оснащенности стойлами для выполнения ТО-3, ТР-1 и НР), рассчитывается в соответствии с
формулами (4.1,
4.2). Для депо, выполняющего указанные виды обслуживания локомотивов (используемых в различных видах движения и работы) на стойлах, не специализированных по сериям локомотивов, для определения величины K по
формуле (4.2) используются следующие способы определения

,

и

:
где:

,

,

- расчетное количество стойл i-депо, потребное для выполнения соответственно ТО-3, ТР-1 и НР локомотивам, используемым на данном УО в ГД (включая вывозное и передаточное движение);

,

,

- расчетное количество стойл i-депо, аналогичное

,

,

, но потребное для выполнения соответственно ТО-3, ТР-1 и НР локомотивам, используемым на данном УО в для негрузового движения (пассажирского, хозяйственного, а также для маневровой и прочей работы);

- наличное (фактическое) суммарное количество стойл i-депо для выполнения ТО-3, ТР-1 и НР (локомотивам, используемым на данном УО для различных видов движения и работы) за исключением стойл, специализированных для одиночной переподкатки колесно-моторных блоков и обточки колесных пар без выкатки;

- коэффициент, характеризующий максимально возможную степень использования стойл, на которых выполняются НР, ТО-3 и ТР-1 при неравномерности (аритмичности) поступления локомотивов на эти стойла.
Значения коэффициента

приведены в табл. 4.2 для различного числа стойл

.
Наличное число стойл  для ТО-3, ТР-1 и НР | 1 | 2 | 3 | 4 | 5 | 6 | 7 | более 7 |
Коэффициент  | 0,840 | 0,942 | 0,951 | 0,959 | 0,965 | 0,969 | 0,971 | 0,973 |
4.3.2.8. Для вычисления значений величин

,

,

, используемых в
(4.18), принимаются следующие формулы:
где:

,

- определяемое по нормативам межремонтных периодов среднесуточное число соответственно ТО-3 и ТР-1, выполняемых для локомотивов ГД в i-депо в месяц МРГД;

- фактическое, определенное по статистическим данным среднесуточное число неплановых ремонтов, выполняемое локомотивам ГД в i-депо в месяц МРГД;

,

- нормативная продолжительность нахождения в i-депо локомотивов ГД на стойлах, предназначенных для выполнения соответственно ТО-3 и ТР-1, ч;

,

- коэффициенты, характеризующие возможность сокращения фактического простоя локомотивов соответственно на ТО-3 и ТР-1 (за счет устранения "логистических" потерь времени и совершенствования организации ремонтного производства в i-депо), а также учитывающие длительность их простоя на стойлах, предназначенных для обточки колесных пар (без выкатки) и замены колесно-моторных блоков;

- коэффициент, характеризующий возможность сокращения фактического суммарного простоя локомотивов на НР за счет улучшения их технического состояния при повышении качества выполнения технических обслуживаний и ремонтов

;
Ф - суточный фонд времени работы стойла, на котором выполняются ТО-3 и (или) ТР-1, и (или) НР, принимаемый в соответствии со СНиП, ч;

- обозначение суммирования произведений

, или

, или

, определенных по отдельности для каждой из серий локомотивов, подвергающихся ТО-3, ТР-1 и НР на данной группе стойл.
Величины

,

и

используемые в (
4.23 -
4.29), не включают в себя время простоя локомотивов ГД и ПР в ожидании постановки их на стойла для выполнения ТО-3, ТР-1 и НР. При этом время простоя локомотивов на стойлах (позициях), предназначенных для одиночной переподкатки КИБ - колесно-моторных блоков или обточки КП - колесных пар (без их выкатки из-под локомотива), включается в

,

и

.
Значения коэффициентов

,

, зависящие от соотношения средней (за месяц МРГД) фактической

и нормативной

продолжительности простоя локомотивов соответственно на ТО-3 и на ТР-1, приведены в табл. 4.3. В случае отличия значений

или

от представленных в табл. 4.3 (1,3; 1,4; 1,5 и т.д.) величины

,

для

определяются по формулам:
Величина  | 1 | 1,1 | 1,2 | 1,3 | 1,4 | 1,5 | 1,6 | 1,7 | 1,8 | 1,9 | 2,0 |
Значения коэффициента  | 1 | 1 | 1 | 1,08 | 1,16 | 1,24 | 1,32 | 1,40 | 1,48 | 1,56 | 1,64 |
Примечание. При

принимается

.
Величины

,

,

определяются по формулам:
Все составляющие в
формулах (4.27 -
4.29) аналогичны по физическому смыслу составляющим
формул (4.23 -
4.25), но характеризуют среднесуточное расчетное количество ТО-3, ТР-1, НР и соответствующий простой локомотивов негрузового движения (в месяц МРГД). Значения коэффициентов

и

определяются по табл. 4.4 или по
формулам (4.26).
Пункт экипирования | ТПУ | Расход топлива для тепловозов, т/сут. |
наличное количество | производительность (одного ТПУ), т/ч | грузового движения (в т.ч. вывозных, передаточных) | маневровых | пассажирских, хозяйственных и др. |
А | 2 | 18 | 500 | 10 | 1 |
Б | 1 | 10 | 120 | 10 | 15 |
В | 1 | 18 | 198 | 8 | 22 |
Г | 1 | 18 | 347 | 2 | 4 |
4.3.2.9. В случае если ТО-3, ТР-1 и НР локомотивам ГД выполняются в i-депо на стойлах, специально выделенных для таких локомотивов, и эти стойла не используются для обслуживания локомотивов негрузового движения, то для определения максимальной пропускной способности УО вместо
формулы (4.2) применяется выражение:
где

- наличное (фактическое) количество стойл в i-депо, специализированное для выполнения ТО-3, ТР-1 и НР только локомотивам ГД;

- потребное количество стойл в i-депо для локомотивов ГД, определяемое по
формуле (4.20).
Если для локомотивов ГД, обслуживаемых в i-депо, выполнение ТО-3 не предусмотрено нормативным ремонтным циклом, то для определения

вместо
формулы (4.20) используется выражение:
Если в i-депо выделено специальное стойло для выполнения только неплановых ремонтов локомотивам ГД и ПР, то из
формул (4.20,
4.22) исключаются величины

и

. При этом данное стойло не включается в наличное число стойл

(в
формулах 4.21 и
4.30), предназначенных для выполнения ТО-3 и ТР-1. Для стойла, специализированного на выполнении НР локомотивам ГД и ПР, коэффициент, характеризующий его загрузку производством неплановых ремонтов локомотивам грузового движения, определяется:
где:

- наличное число стойл, специализированных в i-депо на выполнении только НР (локомотивам ГД и ПР);

,

- потребное число стойл для выполнения НР локомотивам соответственно ГД и ПР.
Если ТО-3, ТР-1 и НР локомотивам ГД, используемым в вывозном и передаточном движении, выполняются в i-депо на стойлах, не предназначенных для обслуживания остальных локомотивов ГД в этом депо, то общее число стойл для локомотивов ГД определяется как сумма

,
где

- потребное число стойл для вывозных и передаточных локомотивов, а

- для остальных локомотивов ГД.
| | ИС МЕГАНОРМ: примечание. В официальном тексте документа, видимо, допущена опечатка: таблица П.4.1 в тексте документа отсутствует. Возможно, имеется в виду таблица П4.1.1. | |
4.3.2.10. В соответствии с
п. 4.2.4.5 после определения величины

производится проверка выполнения программы ТО-3, ТР-1 и НР маневровых локомотивов при возможном возрастании численности этих локомотивов в случае увеличения размеров грузового движения с

до

пар поездов. Степень возможного увеличения потребной численности маневровых локомотивов определяется в соответствии с
пунктом П4.1.1 Приложения 4.1 (с использованием
табл. П.4.1). Соответствующее этому увеличению среднесуточное число ТО-3 и ТР-1 таких локомотивов определяется по
формулам (4.16,
4.17). Потребное количество стойл

для этих обслуживаний и НР вычисляется по
формулам (4.20,
4.23 -
4.25) - применительно к данным локомотивам. По величине

и наличному числу стойл для ТО-3, ТР-1 и НР определяется значение коэффициента загрузки стойл, используемых для маневровых локомотивов

.
При

необходимо увеличение числа стойл для обслуживания маневровых локомотивов в i-депо (данное обстоятельство указывается в пояснительной записке к расчету пропускной способности по устройствам локомотивного хозяйства).
4.3.2.11. Значения коэффициентов K пропускной способности стойл для выполнения локомотивам ТО-3, ТР-1 и НР представляется по каждому депо в таблице формы N 7ЦТ (см.
Приложение 6). В пояснительной записке к расчету пропускной способности для депо, стойловая часть которых (для выполнения ТО-3, ТР-1 и НР) в наибольшей степени ограничивает увеличение

на данном УО, указываются предлагаемые меры по снижению величины K, например, за счет изменения специализации стойл, сменности работы комплексных бригад или корректировки их численности, улучшения материально-технического обеспечения ремонтов, реконструкции цехов и т.п. (с соответствующей аргументацией предложений).
Примеры расчета пропускной способности цехов депо, выполняющих ТО-3, ТР-1 и неплановый ремонт локомотивов, приведены в
Приложении 4.2.
4.3.3. Устройства подачи топлива на тепловозы
4.3.3.1. Коэффициент использования (загрузки) топливоподающих устройств (ТПУ) для i-пункта экипирования тепловозов ГД на УО определяется:
где

- среднесуточная потребность в топливе для обеспечения тепловозов ГД (в месяц МРГД), экипируемых в i-пункте;

,

- среднесуточная потребность в топливе соответственно маневровых тепловозов и тепловозов, используемых в негрузовом движении (пассажирское, хозяйственное, в прочих видах работы, кроме маневровой), экипируемых в месяц МРГД в i-пункте;

- суммарная суточная производительность наличных топливоподающих устройств i-пункта экипирования.
Значения

,

и

, применяемые для расчета

согласно
формуле (4.33), определяются по статистическим данным о количестве топлива, израсходованном на i-пункте экипирования за месяц МРГД для снабжения тепловозов.
При наличии на i-пункте экипирования одного топливоподкачивающего устройства суточная производительность ТПУ этого пункта

определяется:
где F - часовая производительность данного ТПУ, т/ч;
h - среднесуточная продолжительность работы ТПУ для слива топлива из подвижного состава и перекачки его в другие емкости (с учетом времени, необходимого для технического обслуживания ТПУ), ч.
В случае наличия на i-пункте экипирования нескольких ТПУ суточная суммарная их производительность вычисляется:
где

- суточная часовая производительность топливоподающих устройств (насосно-силового оборудования), определяемая на основании данных о контрольных показателях в следующих сочетаниях: производительность насосного агрегата по всем напорным линиям и в отдельности на каждое ответвление (если таковые имеются и перекрываются), производительность каждого агрегата в отдельности при работе по всем напорным линиям, а также производительность агрегатов при их совместной работе по всем напорным линиям.
Например, при наличии на i-пункте двух центробежных насосов (на 45 м3/ч каждый) с производительностью - при подаче топлива через раздаточные колонки, оборудованные счетчиками расхода - от 18 до 20 т/ч величина

составляет 18 x 2 (24 - 4) = 720 т/сутки.
Величины

, используемые для определения соответствующих им значений

(по
формуле 4.2), рассчитываются по отдельности для каждого пункта экипирования тепловозов ГД, расположенного на участке обращения. Значения

, определенные в соответствии с
формулой (4.1) по указанным величинам

, представляют наибольшие расчетные размеры грузового движения (

в парах поездов), которые могут быть достигнуты при реализуемых в месяце МРГД спектре масс поездов, конфигурации маршрутов обращения локомотивов, при сохранении той же серийности и секционности локомотивов, размеров пассажирского и хозяйственного движения, наличия и производительности ТПУ, а также действующего порядка снабжения тепловозов топливом.
4.3.3.2.
Пример расчета пропускной способности по устройствам топливоподачи.
На участке обращения тепловозов грузового движения размещены 4 пункта экипирования - А, Б, В и Г, осуществляющие снабжение локомотивов дизельным топливом. Данные по оснащенности каждого из указанных пунктов устройствами подачи топлива на тепловозы, а также о среднесуточном (в месяц МРГД) расходе дизельного топлива каждым из пунктов приведены в
табл. 4.4.
Производительность ТПУ пункта А:
пункта Б:
пунктов В и Г:
Коэффициент использования ТПУ пунктов А, Б, В и Г:
В данном примере пунктом экипирования тепловозов, лимитирующим увеличение размеров грузового движения на рассматриваемом УО, является пункт Г. В соответствии с его расчетной пропускной способностью размеры ГД могут быть увеличены только в 1/Кг = 1,072 раз, т.е. на 7,2%.
4.3.3.3. В случае если величина отношения

превышает 0,1, т.е. среднесуточный расход топлива на i-пункте для маневровых тепловозов составляет более 10% от среднесуточного расхода для тепловозов ГД, величина

должна определяться с учетом возможного роста численности эксплуатируемого парка маневровых тепловозов при увеличении размеров грузового движения. В данном случае вместо
формулы (4.33) используется выражение:
| | ИС МЕГАНОРМ: примечание. В официальном тексте документа, видимо, допущена опечатка: таблица П.4.1 в тексте документа отсутствует. Возможно, имеется в виду таблица П4.1.1. | |
где

- коэффициент, определяемый по
табл. П.4.1 для

для расчетной величины

.
Так, если в приведенном выше примере (см.
п. 4.3.3.2) на Б-пункте экипирования величина

составляет не 10, а 15 т/сут. (и

составляет не 15, а 10 т/сут.), то

. Следовательно, суточный расход топлива для маневровых тепловозов - 12,5% от расхода для тепловозов ГД, и для определения K надлежит использовать
формулу (4.36). Значение

при этом устанавливается следующим образом. Вычисляется

и согласно
табл. П.4.1 при

численность маневровых тепловозов, а следовательно, и расход топлива ими, возрастет на 36%, т.е.

. С учетом этого:

.
| | ИС МЕГАНОРМ: примечание. В официальном тексте документа, видимо, допущена опечатка: таблица П.4.1 в тексте документа отсутствует. Возможно, имеется в виду таблица П4.1.1. | |
- определить величину

и для нее по
табл. П.4.1 установить степень увеличения численности маневрового парка (суточного расхода топлива этим парком)

;
- рассчитать значение

с использованием величины

.
4.3.4. Устройства пескоснабжения
4.3.4.1. Расчет пропускной способности выполняется в следующей последовательности. Первоначально для каждого из пунктов пескоснабжения, размещенных на УО, определяется среднесуточный объем песка, расходуемый (потребный) в месяц МРГД. Затем оценивается величина коэффициента загрузки устройств пескосушения и пескоподачи каждого из таких пунктов в указанный месяц и выявляются наиболее загруженные из этих устройств, лимитирующие производительность пункта пескоснабжения в целом. Далее определяются пункты, в наибольшей степени ограничивающие пропускную способность УО по условиям обеспечения грузовых локомотивов песком, и при необходимости рассматриваются возможности увеличения производительности лимитирующих устройств таких пунктов.
4.3.4.2. Потребный суммарный среднесуточный объем подачи песка на эксплуатируемые локомотивы

определяется для каждого пункта пескоснабжения на основании статистических данных о расходе песка этим пунктом в месяц МРГД. При этом необходимо по учетным данным или на основании экспертной оценки определить - какая доля среднесуточного расхода песка приходится на экипирование локомотивов, используемых в грузовом движении

, включая передаточные и вывозные, и в негрузовом

, т.е. пассажирском, хозяйственном, на маневровой и прочей работе.
4.3.4.3. После определения среднесуточного потребного (в месяц МРГД) объема песка для экипирования локомотивов в j-пункте пескоснабжения рассчитывается производительность различных наличных устройств этого пункта.
Суточная производительность пескосушильных печей

определяется:
где

- обозначение суммирования данных о производительности каждой из пескосушильных печей, которыми оснащен данный пункт пескоснабжения;
B - производительность пескосушильной печи (определяется опытной проверкой или по данным, указанным в
Приложении 4.3), м3/сухого песка;

- среднесуточная длительность технологического перерыва в работе печи для ее осмотра, чистки, ремонта и т.п. (значение

определяется по фактическим данным и не должно превышать двух часов в сутки), ч/сут.
Так, среднесуточная суммарная расчетная производительность двух пескосушильных печей при производительности каждой из них 1,9 м3/ч и

составляет:
4.3.4.4. Суточная производительность пескотранспортных устройств:
где

- обозначение суммирования производительности пескотранспортных устройств данного пункта пескоснабжения;
C - часовая производительность пескотранспортных устройств, м3/ч;

- среднесуточная продолжительность перерывов в работе устройств, вызванных необходимостью их обслуживания (осмотра, ремонта и т.п.), ч/сут.
Часовая производительность (C) определяется по фактическим (опытным) данным или по формулам, приведенным ниже. Так, при выжимной пескоподаче:
где:

- число выжимных баков;
V - количество песка, выжимаемого из бака за один рабочий цикл, м3/цикл;

- продолжительность рабочего цикла, т.е. время загрузки выжимного бака сухим песком и подачи его в раздаточный бункер (определяется хронометражем, при этом время загрузки выжимного бака устанавливается исходя из неограниченного наличия сухого песка), м3/ч.
Например, если часовая производительность одного выжимного бака V = 0,6 м3/ч и

, то:
и в этом случае суточная производительность пескотранспортных устройств при наличии двух выжимных баков:
при вентиляторной пескоподаче:
где

- коэффициент загрузки;

- диаметр трубопровода, м;

- скорость движения воздуха в пескопроводе, м/с;

- удельный вес воздуха (принимается 0,0012 т/м3);

- насыпной вес песка (принимается

).
Коэффициент загрузки

зависит, главным образом, от напора, создаваемого вентилятором, и сопротивления трубопровода. Для типовых вентиляторных устройств пескоподачи значение

принимается в соответствии с
табл. 4.5.
Скорость движения воздуха в пескопроводе:
где g - ускорение свободного падения, м/с2;
p - напор в пескоподающем трубопроводе (определяется натурным измерением), Па.
Общая длина трубопровода от вентилятора до раздаточного бункера, м | 20 | 30 | 40 | 50 |
Коэффициент загрузки  | 2,1 | 1,8 | 1,5 | 1,1 |
4.3.4.5. Суточная производительность устройств подачи песка из раздаточных бункеров в локомотивные бункеры песочниц

рассчитывается:
где:

- число позиций в j-пункте для подачи песка из раздаточных бункеров в локомотивные бункеры;

- средняя величина объема песка, необходимого для экипирования одного локомотива, м3/лок;

- суточная максимальная производительность (пропускная способность) позиции для подачи песка из раздаточного бункера в локомотивные бункеры песочниц, лок/сут.
Величина

определяется:
где:

- средняя ежесуточная продолжительность осмотра и ремонта пескораздаточных устройств (среднесуточная длительность такого технологического перерыва определяется по статистическим данным и не должна превышать 120 мин для одной позиции пескораздачи), мин/сут.;

- средняя продолжительность заполнения всех бункеров песочниц локомотива, включая время на передвижение и на расстановку рукавов при наборе песка (если это необходимо для заполнения всех бункеров локомотива), устанавливаемое по фактическим данным с учетом соотношения численности локомотивов различных серий, обслуживаемых на позициях в месяц МРГД, мин/лок;

- средняя величина времени, затрачиваемого на вывод одного локомотива с позиции и постановку на нее другого локомотива (с учетом снятия и подачи напряжения на контактный провод), устанавливаемое по фактическим данным, мин/лок;
Например, значение

при

,

и

составляет:
4.3.4.6. Сопоставлением величин

,

и

, определенных для j-пункта пескоснабжения, выявляется наименьшая из них, и далее она используется для определения коэффициента загрузки всего комплекса устройств этого пункта как лимитирующая его пропускную способность. Так, применительно к примерам, приведенным в
п. п. 4.3.4.3 -
4.3.4.5 (

,

,

), лимитирующей величиной является производительность пескотранспортных устройств -

.
Коэффициент загрузки указанного комплекса устройств j-пункта определяется:
где

- производительность лимитирующего устройства.
При этом:
Если среднесуточная потребность в песке для j-пункта согласно примеру, приведенному в
п. 4.3.4.5, составляет для локомотивов грузового движения

и локомотивов негрузового движения

, то:
и, следовательно, производительность наличных устройств j-пункта пескоснабжения позволяет увеличить на данном УО размеры грузового движения в

(по сравнению с размерами ГД в месяц МРГД).
4.3.5. Пункты экипирования
4.3.5.1. В общем случае экипирование локомотивов выполняется на стойлах ПТОЛ (одновременно с производством ТО-2 или без выполнения такого технического обслуживания), на приемо-отправочных путях, в цехах депо (при выполнении ТО-3 и/или ТР-1), а также на специально выделенных позициях.
Если экипирование выполняется на приемо-отправочных путях или на специально выделенных позициях, т.е. не совмещено с ТО-2, то потребное количество таких позиций

определяется с использованием среднесуточного числа экипирований

. Величина

устанавливается по статистическим данным (за месяц МРГД) о суточном количестве экипирований локомотивов - по отдельности для грузового

и негрузового

движения (при этом

). В случае если на данных позициях экипируются локомотивы ГД разных серий и при этом нормативная длительность экипирования (одного локомотива) неодинакова для этих серий, то величина

должна быть разделена на составляющие -

, каждая из которых представляет среднесуточное число экипирований локомотивов ГД i-группы, т.е. с i-нормативными затратами времени на одно экипирование. Потребное число путей для экипирования локомотивов грузового движения

для такого пункта определяется:
где:

- нормативное (или среднее фактическое) время одного экипирования локомотива ГД i-группы, мин/лок;

- обозначение суммирования произведений

для локомотивов ГД различных i-групп;

- затраты времени на вывод локомотива с позиции экипирования и постановку на нее другого локомотива (для электровозов

определяется с учетом снятия и подачи напряжения на контактный провод) мин/лок;
М - количество позиций (стойл) для экипирования локомотивов на каждом из путей пункта экипировки;

- среднесуточные затраты времени на осмотр и ремонт позиции и ее экипировочных устройств, мин/сут.
Если на позициях экипирования обслуживаются только локомотивы с одинаковой продолжительностью экипирования каждого из них, то:
Потребное число путей для экипирования локомотивов негрузового движения

определяется аналогичным образом:
или
Коэффициент загрузки

j-пункта с

числом путей, предназначенных только для экипирования локомотивов (без выполнения ТО-2), определяется:
где:

- коэффициент, учитывающий неравномерность поступления локомотивов на пункт экипирования (значения

приведены в
табл. 4.1 для различного числа путей на указанном пункте).
4.3.5.2.
Пример расчета коэффициента загрузки пункта экипирования, размещенного на приемо-отправочных путях.
На данном j-пункте с двумя параллельно размещенными позициями экипирования, расположенными на двух смежных путях

, снабжаются песком только электровозы - с одинаковой продолжительностью обслуживания каждого из них, и поэтому для определения

и

применимы
формулы (4.47,
4.49). Величина

составляет 20 мин/лок,

- 30 мин/сут., среднесуточное количество электровозов, экипируемых на данном j-пункте:

,

.
С использованием этих данных определяются значения величин

и

:
В соответствии с
табл. 4.1 при

коэффициент

и, следовательно:
4.3.5.3. Если в j-пункте локомотивы экипируют только на путях ПТОЛ, то возможны два варианта сочетаний экипирования и выполнения ТО-2:
первый - экипируются только локомотивы, которые подвергаются техническому обслуживанию ТО-2, и при этом длительность операций экипирования, совмещенного по времени с ТО-2, не превышает нормативной продолжительности ТО-2;
второй - наряду с локомотивами, экипируемыми одновременно с выполнением им технического обслуживания ТО-2, на тех же стойлах данного j-ПТОЛ экипируют и локомотивы, не подвергаемые обслуживанию ТО-2, а также выполняют ТО-2 локомотивам, не нуждающимся в экипировке.
В первом из указанных вариантов загрузка ПТОЛ характеризуется величиной K, определяемой по
формуле (4.10). Во втором варианте для экипирования локомотивов, не подвергаемых ТО-2, используется определенная часть суточного фонда времени путей ПТОЛ, и это ограничивает максимальное число ТО-2, которое может выполняться на данном ПТОЛ. Так, если во втором варианте среднесуточное число стойло-часов для выполнения ТО-2 локомотивам, не требующим экипирования, обозначить как

, для выполнения ТО-2, совмещенных с экипированием, как

, и, наконец, для выполнения экипирования локомотивов, не подлежащих техническому обслуживанию ТО-2, как

, то

(где Т - суточный бюджет стойло-часов данного ПТОЛ). Очевидно, что увеличение

приводит к уменьшению

, т.е.

и

- взаимосвязанные величины.
На основании изложенного применение положений
п. 4.3.1 для определения коэффициента загрузки ПТОЛ справедливо только для указанного выше первого варианта сочетаний экипирования и выполнения ТО-2. Для второго варианта расчет загрузки ПТОЛ (величины K) выполняется с учетом того, что при увеличении размеров грузового движения одновременно возрастают потребное число ТО-2 (выполняемых локомотивам ГД как с экипированием, так и без него), а также число поступлений локомотивов ГД на ПТОЛ только для экипирования. При выполнении такого расчета принимается, что отношение

с ростом размеров грузового движения не изменяется. Применительно к данному варианту экипирования локомотивов на ПТОЛ
формула (4.10), представленная в
п. 4.3.1.17 для оценки пропускной способности j-ПТОЛ

, принимает вид:

где:

,

- потребное количество путей j-ПТОЛ для выполнения технических обслуживаний ТО-2 (в месяц МРГД), совмещенных с экипированием, локомотивам ГД, используемым, соответственно, на данном УО, а также на смежном участке обращения (если они обслуживаются на j-ПТОЛ);

,

,

- потребное количество путей j-ПТОЛ для не совмещенных с ТО-2 экипирований локомотивов, соответственно, грузового движения на данном УО, негрузового движения на этом УО, а также грузового движения на участке обращения, смежном с данным УО (если их экипируют на j-ПТОЛ);

- наличное количество путей на j-ПТОЛ;

- коэффициент, характеризующий влияние неравномерности подачи локомотивов (на пути ПТОЛ) на его пропускную способность (см.
табл. 4.1).
Формула (4.50) отличается от
(4.10) за счет включения в числитель и в знаменатель величин

в целях учета использования путей ПТОЛ для экипирования локомотивов, не совмещенного по времени с выполнением ТО-2.
Величины

,

и

определяются в соответствии с положениями
п. п. 4.3.1.18,
4.3.1.19 по
формулам (4.11 -
4.13). Для установления значений

и

используются
формулы (4.46 -
4.49). Значение

вычисляется по
формуле (4.47), при этом среднесуточное число заходов локомотивов на данный j-ПТОЛ со смежного участка только для их экипирования

определяется по статистическим данным за месяц МРГД.
В пояснительной записке по локомотивному хозяйству указывается пропускная способность каждого ПТОЛ, определенная в соответствии с положениями
п. 4.3.1 и
4.3.5.3 по отдельности.
| | ИС МЕГАНОРМ: примечание. Нумерация пунктов дана в соответствии с официальным текстом документа. | |
4.3.5.3. Пример определения коэффициента загрузки ПТОЛ, на стойлах которого выполняются технические обслуживания ТО-2 и экипирование локомотивов, не совмещенное с ТО-2.
В
Приложении 4.1 приведен расчет величины K для первого из указанных в
п. 4.3.5.3 вариантов сочетаний экипирования и производства ТО-2, т.е. для варианта без экипирования, не совмещенного по времени с выполнением на локомотиве операций ТО-2. Введем в указанный пример дополнительные условия и исходные данные, при которых реализуется второй вариант расчета - для ПТОЛ, выполняющего ТО-2, а также экипирование, совмещенное и не совмещенное с ТО-2:
- каждое стойло ПТОЛ оборудовано устройствами для экипирования электровозов;
- при выполнении ТО-2 электровозов в среднем в 60% случаев одновременно производится их экипирование, и при этом простой локомотива не превышает нормативного времени продолжительности выполнения ТО-2;
- ежесуточно в месяц МРГД на данный ПТОЛ поступает 18 электровозов только для их экипирования (без выполнения им ТО-2), в том числе локомотивов ГД - 15 (из них 4 электровоза - со смежного УО);
- длительность экипирования одного электровоза

составляет 17 мин;
- время, затрачиваемое на вывод электровоза со стойла ПТОЛ и на постановку очередного электровоза для экипирования, в среднем составляет 3 мин.
Потребное число путей ПТОЛ для ежесуточного экипирования 15-ти электровозов ГД, не совмещенного с выполнением технических обслуживаний ТО-2, определяется по
формуле (4.47):
для экипирования четырех электровозов со смежного УО:
и для экипирования трех локомотивов негрузового движения:
С использованием данных из примера, приведенного в
Приложении 4.1 (

;

и

), далее вычисляется значение К для рассматриваемого ПТОЛ с учетом использования его стойл для выполнения ТО-2 и экипирований согласно
формуле (4.50):
Согласно
Приложению 4.1 расчетная загрузка стойл данного ПТОЛ, определенная только по затратам времени на выполнение ТО-2, составила 0,605. При учете затрат времени на экипирование электровозов, не совмещенное с ТО-2, значение K увеличилось до 0,715.
4.3.6.1. Пропускная способность ходовых деповских путей (включая их стрелочные переводы, горловины, съезды и экипировочные позиции) рассчитывается для депо и пунктов оборота, на территорию которых поступают оборачивающиеся локомотивы.
Предварительно на основании практики использования ходовых путей в данном депо или пункте определяются их элементы (отдельные пути, позиции, стрелочные переводы и т.д.), вызывающие в месяц МРГД наибольшие затруднения (ограничения) в передвижении локомотивов по тяговой территории. В целях количественной оценки степени загрузки

каждого из таких ограничивающих i-элементов по статистическим данным определяются:
- среднесуточное в месяц МРГД число локомотивов ГД

, которые проходят через этот элемент ходовых путей (с учетом их проследования в обоих направлениях), лок/сут.;
- среднее время занятости i-элемента

при проходе одного локомотива (или его экипирования на i-элементе пути), мин/сут.;
- среднесуточное суммарное время занятости i-элемента для прочих нужд

, к числу которых относятся проследования или экипирования локомотивов негрузового движения, передвижения вагонов с грузом для депо и т.п., мин/сут.
4.3.6.2. Коэффициент использования каждого из i-элементов, лимитирующих пропускную способность ходовых деповских путей

, определяется:
В качестве величины коэффициента

, характеризующего весь комплекс ходовых путей (в целом) депо или пункта оборота, принимается наибольшее из определенных по
формуле (4.51) значение

.
4.4. Оценка степени загрузки объектов, по которым пропускная способность участка обращения не определяется
4.4.1. Деповской ремонтный комплекс по производству текущих ремонтов ТР-2 и ТР-3 локомотивам
4.4.1.1. Для оценки степени соответствия производственной мощности локомотивных депо, выполняющих текущие ремонты ТР-2 и ТР-3, расчетной потребности железной дороги в ремонтах данного вида определяются коэффициенты использования указанной мощности:
где:

- расчетная потребная для дороги годовая программа ремонта i-вида (ТР-2 или ТР-3) для локомотивов j-серии, секц/год;

- расчетная производственная мощность ремонтного комплекса всех депо дороги, предназначенного для выполнения текущих ремонтов i-вида (ТР-2 или ТР-3) для локомотивов j-серии, секц/год.
Значения коэффициента K определяются по отдельности для ТР-2 и для ТР-3 дорожного парка локомотивов ГД и маневровых локомотивов каждой серии.
4.4.1.2. Если нормативный межремонтный период для локомотивов j-серии задан в тыс. км пробега, то величина

вычисляется:
где:

- суммарный годовой линейный пробег локомотивного парка (j-серии) дороги, определяемый по отчетным данным за год, предшествующий выполнению расчетов по определению пропускной способности устройств локомотивного хозяйства, тыс. секцие-км;

,

,

- нормативная для локомотива j-серии (данной железной дороги) величина пробега, соответственно, до ТР-2, ТР-3 и СР, тыс. км.
4.4.1.3. Если нормативный межремонтный период для локомотивов j-серии задан в виде продолжительности их нахождения в эксплуатируемом парке, то

определяется:
где:

- суммарная продолжительность нахождения локомотивов j-серии в эксплуатируемом парке, определяемая по отчетным данным дороги за год, предшествующий выполнению расчетов по определению пропускной способности устройств локомотивного хозяйства, секцие-мес/год;

,

,

- нормативное для локомотива j-серии время их нахождения в эксплуатируемом парке до выполнения ему соответственно ТР-2, ТР-3 и СР, мес.
При определении величин

и

необходимо учитывать секционность локомотивов, поскольку

исчисляется в секциях.
4.4.1.4. Если магистральные локомотивы ГД j-серии используются не только для транзитных и сборных поездов, но и для вывозного, передаточного движения, то для них величина

определяется:
где:

- расчетная потребная для дороги годовая программа ремонта i-вида (ТР-2 или ТР-3) для локомотивов j-серии, используемых в ГД (без вывозных и передаточных локомотивов), определяемая по
формулам (4.53,
4.54);

- расчетная потребная для дороги годовая программа ремонта i-вида (ТР-2 или ТР-3) для локомотивов j-серии, используемых в вывозном и передаточном движении, определяемая по
формулам (4.55,
4.56).
4.4.1.5. Величина

, применяемая в
формуле (4.52), устанавливается по паспортным характеристикам депо.
С увеличением размеров грузового движения при неизменности нормативов

и

потребность дороги в ремонтах (ТР-2, ТР-3) локомотивов, используемых в ГД и на маневровой работе, возрастает, что приводит к увеличению

. По достижении

дальнейшее увеличение размеров ГД ограничивается возможностями ремонтного комплекса дороги (если ремонты i-вида j-серии локомотивов данной дороги выполняются в депо только этой дороги). В целях устранения указанного ограничения разрабатываются меры по изменению специализации депо данной дороги или их реконструкции или передаче части программы

в специализированные депо другой дороги.
4.4.1.6. Если ремонтный цикл локомотивов не предусматривает ремонтов вида ТР-2 и ТР-3, но включает в себя иные виды выполняемых в депо плановых ремонтов (сопоставимых по объему операций с ремонтами ТР-2, ТР-3 или средним ремонтом), то при оценке степени загрузки депо, производящих такие ремонты, используются алгоритмы, аналогичные представленным в
п. п. 4.4.1.1 -
4.4.1.4.
4.4.2. Пути и стойла депо для стоянки локомотивов в рабочем состоянии
4.4.2.1. Для всех депо, за исключением расположенных в районах с расчетной отопительной температурой ниже -25 °C, определяется общий коэффициент использования пропускной способности по стойлам и путям для стоянки локомотивов в рабочем состоянии:
где

- наличное количество стойл для стоянки локомотивов в рабочем состоянии;

- наличное число позиций (мест) для стоянки поездных локомотивов на путях;

- потребное число позиций для стоянки локомотивов, используемых в грузовом движении;

- наличное число стойл и позиций для стоянки локомотивов негрузового движения.
Для депо, расположенных в районах с расчетной отопительной температурой ниже -25 °C, расчет ведется исходя из наличия только стойл для стоянки локомотивов в рабочем состоянии -

.
4.4.2.2. При определении расчетного числа стойл для стоянки локомотивов в рабочем состоянии учитываются все стойла, пригодные для этой цели, за исключением предназначенных для текущего ремонта и технического обслуживания локомотивов, а также используемых (занятых) для других целей (одиночной выкатки и обточки колесных пар, обмывки локомотивов, экипировки и др.).
Наличие стойл для стоянки локомотивов определяется по числу соответствующих мест на каждом пути. При этом наибольшая величина свободных проходов (интервалов) между ними не должна превышать указанные в табл. 4.6:
Таблица 4.6
Число локомотивов, устанавливаемых на одном пути | 1 | 2 | 3 | 4 |
Величина свободных проходов, м | 6 | 7 | 8 | 9 |
Наличие на деповских путях мест для стоянки локомотивов определяется:
где

- обозначение суммирования данных о числе мест стоянки на каждом из i-путей (с округлением каждого слагаемого до целых значений в меньшую сторону);

- полезная длина i-пути для стоянки локомотивов, м;
L - длина локомотива, м.
4.4.2.3. Потребность в местах для стоянки локомотивов в рабочем состоянии в стойловой части депо и на деповских путях (П) определяется:
где

- среднесуточное число локомотивов (в месяц МРГД), простаивающих в данном пункте в рабочем состоянии;

- средняя продолжительность стоянки локомотива согласно графику оборота, мин;

- время на заход и выезд локомотива с мест стоянки, мин.
4.4.3. Склады топлива и смазки
4.4.3.1. Расчет коэффициента использования пропускной способности по вместимости склада топлива и склада смазки производится раздельно. При этом для склада масел расчет ведется только по маслам, хранящимся в стационарных емкостях (осевому, дизельному, компрессорному, индустриальному). Коэффициент использования пропускной способности по вместимости складов топлива (смазки) определяется с использованием величин наличной их емкости (Н) - тактического запаса, соответствующего установленным нормам, и потребного эксплуатационного запаса на складе:
где:

,

,

- потребный запас топлива или смазки для локомотивов соответственно грузового движения, прочих видов движения и работы для обеспечения работы стационарных установок и обеспечения топливом рабочих и служащих.
4.4.3.2. Наличная вместимость склада

для эксплуатационного запаса твердого топлива определяется в тоннах как сумма вместимостей отдельных штабелей. При расчетах по складам жидкого топлива или смазки их эксплуатационный запас, измеряемый в тоннах, определяется:
где

- суммарная вместимость хранилищ жидкого топлива или смазки для эксплуатационных нужд, м3;

- удельный вес применяемого топлива или смазки, т/м3.
4.4.3.3. Потребный эксплуатационный запас топлива или смазки на складе для снабжения локомотивов и других нужд оценивается:
где Д - норма эксплуатационного запаса топлива (смазки), сут.;

- среднесуточный расход топлива (смазки) со склада для снабжения локомотивов грузового движения в месяц МРГД, т/сут.;

- среднесуточный расход топлива (смазки) для локомотивов пассажирского, хозяйственного движения, маневровой и прочей работы в месяц МРГД, т/сут.;

- среднесуточный расход топлива (смазки) для работы стационарных установок, снабжения рабочих и служащих, т/сут.
Величина

определяется по действующим нормам. Применительно к запасам масла

рассчитывается для масел, хранящихся в стационарных емкостях (осевого, дизельного, компрессорного, индустриального).
4.4.4. Проверка обеспеченности снабжения локомотивов песком по размещению пунктов их экипирования
Величина максимального расхода песка локомотивом за период его следования между смежными пунктами экипирования, расположенными в пределах маршрута его обращения

, не должна превышать расчетного наличия песка в бункерах локомотива. Эта величина (исчисляемая в м3) определяется по формуле:
где

- максимальная масса поезда (брутто) для i-участка, т;

- расстояние между смежными пунктами снабжения локомотивов песком на i-участке, км;

- коэффициент, учитывающий увеличение расхода песка на измеритель при кратной тяге (если кратная тяга не применяется, то

, при двойной тяге

).
Соответствие

величинам запаса песка (на локомотиве) и его расходы при следовании локомотива между смежными пунктами экипирования достигается при условии:
где:

- расчетная вместимость песочных бункеров локомотива, используемых при его следовании в данном направлении, м3;
k - коэффициент, характеризующий допустимый объем расхода песка из бункеров локомотива (принимается k = 0,9).
Коэффициент использования пропускной способности по размещению пунктов пескоснабжения на участке их обращения (К) определяется:
4.5. Определение результативной пропускной способности по деповским и экипировочным устройствам локомотивного хозяйства на участке обращения и порядок оформления материалов
Результаты расчетов пропускной способности по каждому пункту размещения деповских и экипировочных устройств оформляются в виде
формы N 16 ЦТ, приведенной в
Приложении 6.4. В соответствии с
п. 4.1.6, на основе анализа состояния действующих устройств и сопоставления величин коэффициентов их использования (загрузки) выявляются устройства, в наибольшей мере ограничивающие пропускную способность УО и его отдельных участков. Сведения о таких устройствах представляются в
форме N 24 ЦТ.
5. ОБЕСПЕЧЕНИЕ РЕЗУЛЬТАТИВНОЙ ПРОПУСКНОЙ СПОСОБНОСТИ
ПО УСТРОЙСТВАМ ВАГОННОГО ХОЗЯЙСТВА
5.1. Для подразделений вагонного хозяйства производится расчет количества комплексных бригад и численности персонала одной комплексной бригады для обеспечения пропускной способности заданного объема поездопотока через станции любого полигона сети железных дорог, где предусматривается техническое обслуживание вагонов в поездах.
5.2. Расчеты производятся для пунктов: технического обслуживания вагонов (ПТО), подготовки вагонов к перевозкам (ППВ), опробования тормозов (ПОТ), технической передачи (ПТП), технического обслуживания на межгосударственных передаточных станциях и пограничных контрольных постах. Для станций расчет производится по каждому станционному парку раздельно.
5.3. Определяются параметры, обеспечивающие устойчивую работу пунктов технического обслуживания вагонов в соответствии с технологическим процессом и графиком движения поездов.
5.3.1. Значение норм времени

на техническое обслуживание вагонов в составе одного поезда принимается в соответствии с "Нормами оперативного времени и нормативами численности рабочих на пунктах технического обслуживания грузовых вагонов для ОАО "РЖД" (далее - Нормы), или рассчитывается по формуле:
где m - среднее число вагонов в составе поезда определяется как среднегодовое количество физических вагонов в одном поезде;

- доля вагонов j-ого типа в составе поезда;

- норма времени, приходящаяся на техническое обслуживание одного вагона j-ого типа в составе поезда, определяется согласно Нормам, нормо-час;
k - количество типов вагонов.
5.3.2. Потребная (явочная) численность работников одной комплексной бригады для контроля технического состояния и ремонта вагонов в составе поезда определяется по формуле:
где

- нормы времени на техническое обслуживание вагонов в составе одного поезда, нормо-час. Определяются в соответствии с
п. п. 6.3.1;

- коэффициент времени на обслуживание рабочего места, отдых и личные надобности, подготовительно-заключительные действия, непроизводительные простои, переходы ремонтных бригад.

- значение продолжительности обработки поезда, принимается согласно технологическому процессу или определяется в соответствии с Инструктивно-методическими указаниями по размещению и совершенствованию работы пунктов подготовки к перевозкам и пунктов технического обслуживания вагонов (Транспорт, 1982, с. 73), ч.
Для конкретного типа пункта обслуживания в соответствии с видом выполняемых работ применяются поправочные коэффициенты корректировки полученных значений потребной (явочной) численности персонала комплексной бригады в зависимости от:
- длины гарантийного участка;
- наличия гарантийных участков, предшествующих затяжному спуску;
- средней длины состава.
Данные коэффициенты принимаются в соответствии с Нормами или иной нормативно-технической документацией.
5.3.3. Определяется число комплексных бригад одной смены при равномерном подводе поездов:
где

- среднее число поездов, прибывающих в сутки;

- значение продолжительности обработки одного поезда.
5.3.4. При высокой интенсивности движения и неравномерности прибытия поездов в течение суток число комплексных бригад одной смены рассчитывается по формуле:
где

- минимальное значение интервала прибытия (отправления) поездов, ч.
Результаты расчета числа комплексных бригад округлять до целого числа в большую сторону.
6. ИСПОЛЬЗОВАНИЕ НАЛИЧНОЙ ПРОПУСКНОЙ
СПОСОБНОСТИ ОСНОВНЫХ СООРУЖЕНИЙ И УСТРОЙСТВ
6.1. Критерием оценки использования наличной пропускной способности основных сооружений и устройств является допустимый коэффициент заполнения пропускной способности.
6.2. Расчетный коэффициент заполнения (использования) пропускной способности, т.е. загрузка перегонов, устройств локомотивного хозяйства и электроснабжения при установленном числе приведенных поездов, определяется делением этого числа поездов на наличную пропускную способность соответствующего устройства. При подсчете коэффициента заполнения пропускной способности принимаются средние размеры грузового и пассажирского движения месяца максимальных грузовых перевозок.
6.3. Расчетные значения заполнения пропускной способности конкретных участков (сооружений, устройств) сравниваются с допустимыми коэффициентами заполнения этих сооружений и устройств и могут служить основанием для постановки вопроса о развитии сети.
6.4. Допустимый коэффициент заполнения пропускной способности участков по перегонам принимается на двухпутных линиях равным 0,91, на участках с двухпутными вставками - 0,87 и на однопутных линиях - 0,85. Полученная с учетом этих коэффициентов пропускная способность проставляется в
графе 5 формы N 2 ЦД, ТЭ, ЦТ, ЦЭКР.
(в ред.
Изменений, утв. Распоряжением ОАО "РЖД" от 24.01.2019 N 114/р)
6.5. Допустимый коэффициент заполнения пропускной способности устройств локомотивного хозяйства принимается равным 0,8.
(п. 6.5 в ред.
Изменений, утв. Распоряжением ОАО "РЖД" от 24.01.2019 N 114/р)
6.6. Допустимый коэффициент заполнения пропускной способности станционных устройств устанавливается исходя из обеспечения устойчивой работы станции с высокой эксплуатационной надежностью (т.е. при отсутствии задержек или минимальном их числе) в периоды сгущенного прибытия и отправления поездов.
6.6.1. Допустимые коэффициенты заполнения пропускной способности по приему поездов в расформирование и перерабатывающей способности, т.е. допустимые уровни загрузки, устанавливаются следующим образом.
Определяется наличная пропускная способность путей по приему поездов в расформирование без учета потерь от внутрисуточной неравномерности и влияния других объективных факторов:
где

- имеющаяся мощность путей по приему поездов в расформирование, рассчитанная в соответствии с
п. 2.3.2, т.е. уменьшенная на значение

;

- технически необходимая доля пропускной способности приемного парка, равная 0,3 (см.
п. 2.3.2.1).
Значение пропускной способности без учета

, т.е.

, является вспомогательным и необходимо для возможности пользования
табл. 6.1, в которой отражено влияние факторов, учитываемых в

.
По соотношению

пропускной способности путей по приему поездов в расформирование

и перерабатывающей способности горки

(а на безгорочной станции перерабатывающей способности используемых сортировочных устройств) по табл. 6.1 определяются допустимые коэффициенты использования перерабатывающей способности горки

и пропускной способности путей приемного парка

.
| Допустимая загрузка горки  (числитель) и путей приемного парка  (знаменатель) в зависимости от соотношения  |
0,00 | 0,02 | 0,04 | 0,06 | 0,08 |
0,60 | 050/0,86 | 0,52/0,85 | 0,53/0,85 | 0,54/0,84 | 0,55/0,83 |
0,70 | 0,56/0,82 | 0,57/0,81 | 0,58/0,81 | 0,59/0,80 | 0,60/0,79 |
0,80 | 0,61/0,78 | 0,62/0,77 | 0,63/0,77 | 0,64/0,76 | 0,65/0,75 |
0,90 | 0,66/0,74 | 0,76/0,74 | 0,68/0,73 | 0,69/0,72 | 0,69/0,72 |
1,00 | 0,70/0,71 | 0,71/0,71 | 0,71/0,70 | 0,72/0,70 | 0,73/0,69 |
1,10 | 0,74/0,69 | 0,75/0,68 | 0,75/0,68 | 0,76/0,67 | 0,77/0,67 |
1,20 | 0,78/0,66 | 0,79/0,66 | 0,79/0,65 | 0,80/0,64 | 0,81/0,64 |
1,30 | 0,82/0,63 | 0,82/0,63 | 0,83/0,62 | 0,84/0,62 | 0,84/0,61 |
1,40 | 0,85/0,61 | 0,85/0,61 | 0,86/0,60 | 0,87/0,60 | 0,87/0,59 |
1,50 | 0,88/0,59 | 0,88/0,59 | 0,89/0,58 | 0,89/0,58 | 0,90/0,57 |
1,60 | 0,90/0,57 | 0,90/0,57 | 0,91/0,56 | 0,91/0,56 | 0,92/0,55 |
1,70 | 0,92/0,55 | 0,92/0,55 | 0,93/0,54 | 0,93/0,54 | 0,94/0,53 |
1,80 | 0,94/0,53 | 0,94/0,53 | 0,95/0,52 | 0,95/0,52 | 0,95/0,52 |
В
табл. 6.1 в первом столбце показаны целые и десятые доли

, а вверху - сотые доли; поэтому, например, для

значения

и

определяются на пересечении строки 1,30 и столбца 0,04 и равны, соответственно, 0,83 и 0,62.
В таблице значения

соответствуют коэффициенту внутримесячной неравномерности

, равному 1,1; если он не равен 1,1, то фактическое значение допустимой загрузки определяется как

. Для

значения

и

принимаются такими же, как и при

, а для

- как при

.
Для перспективных расчетов в случае отсутствия конкретных данных принимать

.
Если при заданных размерах работы коэффициенты использования перерабатывающей способности горки

(см.
п. 2.5.3) и пропускной способности путей

(см.
п. 2.3.2.2) не превышают, соответственно, значений

и

, то эти станционные устройства работают с загрузками, не превышающими допустимых.
Когда при заданных размерах работы коэффициент использования пропускной способности горловины не превышает 1, то ее загрузка является допустимой.
При увеличении или уменьшении только размеров грузового движения (остальные величины остаются неизменными) коэффициент использования пропускной способности рассматриваемого устройства при увеличенных или уменьшенных размерах грузового движения

-
где

- коэффициент использования пропускной способности при первоначальных размерах грузового движения

, рассчитанный по
формуле (2.3.2) или
(2.5.6).
Для снижения

надо увеличивать перерабатывающую способность горки за счет использования дополнительных горочных локомотивов, совершенствования путевого развития горки и других известных мероприятий и наращивать пропускную способность приемного парка добавлением в нем путей и развитием горловин.
6.6.2. Допустимый коэффициент заполнения пропускной способности по отправлению поездов своего формирования или по приему и отправлению транзитных поездов без переработки в случае смены локомотивов

устанавливается в зависимости от доли парка исправных локомотивов

, которая необходима для погашения отрицательного влияния внутримесячной неравномерности движения и трудностей оперативного регулирования локомотивов на удлиненных участках их обращения (для краткости

называется резервом грузовых локомотивов). Значения

определяются следующим образом:
 , % | 10 | 12 | 14 | 16 | 18 | 20 | 22 | 24 | 26 | 28 | 30 |
| 0,53 | 0,55 | 0,57 | 0,59 | 0,61 | 0,63 | 0,65 | 0,67 | 0,69 | 0,72 | 0,74 |
Если при заданных размерах работы коэффициент использования пропускной способности путей

(см.
п. 2.3.2.2) не превышает

, где

- технически необходимая доля пропускной способности отправочного парка, равная 0,4 (см.
п. 2.3.2.1), то загрузка не превышает допустимую.
При увеличении или уменьшении только размеров грузового движения новое значение коэффициента использования пропускной способности путей может быть определено по
формуле (6.2).
Фактический резерв грузовых локомотивов (%) по каждому примыкающему к парку участку обращения локомотивов
где

- число исправных локомотивов, выделенных на данном участке обращения локомотивов в месяц максимальных перевозок;

- потребное число локомотивов на данном участке при среднесуточных размерах движения в тот же месяц;

- коэффициент потребности в локомотивах на пару поездов для данного участка обращения локомотивов.
В целом для отправочного (транзитного) парка

принимается средним из значений по участкам обращения локомотивов, в которые входят примыкающие к парку линии.
Для перспективных расчетов и средних условий принимать

.
Допустимый коэффициент использования пропускной способности отправочного (транзитного) парка можно поднять за счет увеличения резерва грузовых локомотивов для ускорения вывоза со станции готовых составов. Для снижения

надо наращивать пропускную способность отправочного (транзитного) парка добавлением в нем путей и развитием горловин.
6.6.3. Допустимый коэффициент заполнения пропускной способности путей по приему и отправлению транзитных поездов без переработки при отсутствии смены локомотивов равен 1, а вытяжных путей - 0,7.
6.6.4. Средневзвешенный допустимый коэффициент использования пропускной способности станции при ограничении:
по приему
по отправлению
где

- имеющаяся мощность путей по приему и отправлению транзитных поездов без переработки, рассчитанная в соответствии с
п. 2.3.2;

- то же по отправлению поездов своего формирования.
Примечания: 1. При наличии смены локомотивов у транзитных поездов без переработки значение
в числителе формул (6.4) и (6.5) умножается на
.
2. Если горловины ограничивают пропускную способность по приему поездов в расформирование, то в формуле (6.4) принимается
и в качестве
берется пропускная способность ограничивающей горловины и тогда
. Если же горловины ограничивают отправление поездов своего формирования или прием и отправление транзитных поездов без переработки, то в формуле (6.5) принимается
и в качестве
и
берется пропускная способность соответствующей ограничивающей горловины, и тогда
.
Значения

и

проставляются в графе 22
формы N 1 ЦД, ТЭ, ЦТ, ЦЭКР, значение

- в скобках этой графы по приему.
(в ред.
Изменений, утв. Распоряжением ОАО "РЖД" от 24.01.2019 N 114/р)
Необходимая для графы 5
формы N 2 ЦД, ТЭ, ЦТ, ЦЭКР пропускная (перерабатывающая) способность парков (сортировочных устройств) для какого-либо примыкающего к станции участка определяется умножением соответствующего значения из графы 16
формы N 1 ЦД, ТЭ, ЦТ, ЦЭКР на допустимый коэффициент использования пропускной (перерабатывающей) способности из графы 22 этой же формы.
(в ред.
Изменений, утв. Распоряжением ОАО "РЖД" от 24.01.2019 N 114/р)
6.6.5. При предоставлении на двухпутных линиях "окон" в графике движения поездов продолжительностью 5 - 6 ч и использовании второго главного пути для пропуска поездов по правилам однопутного движения допустимый коэффициент заполнения пропускной способности станционных устройств определяется умножением на 0,8 значений, полученных в соответствии с
п. п. 6.6.1 -
6.6.3; при продолжительности "окна" 3 - 4 ч - умножением на 0,9. На однопутных линиях допустимый коэффициент заполнения пропускной способности устанавливается в соответствии с
п. 6.6.1 -
6.6.3.
6.7. Коэффициент заполнения пропускной способности по устройствам электроснабжения участков с преимущественно грузовым движением

определяется по формуле:
| | ИС МЕГАНОРМ: примечание. Нумерация формул дана в соответствии с официальным текстом документа. | |

[3.12]
где

- исполненные размеры движения грузовых поездов в среднем за сутки месяца максимальных перевозок на расчетном участке;
nпс - размеры движения пассажирских поездов на расчетном участке;
nпр - размеры движения пригородных поездов на расчетном участке.
Коэффициент заполнения пропускной способности по устройствам электроснабжения участков с преимущественно пассажирским движением

определяется по формуле:

[3.13]
где Nпс - наличная пропускная способность в пассажирских поездах (поездах принятой расчетной категории).
Допустимый коэффициент заполнения пропускной способности по устройствам электроснабжения определяется для нормального режима работы системы электроснабжения (без учета мощности резервного оборудования тяговых подстанций и линейных объектов) и составляет 1.
Коэффициент заполнения пропускной способности по устройствам электроснабжения для режима интенсивной работы участка носит информационный характер и применяется для оценки возможной пропускной способности с учетом мощностей резервного оборудования тяговых подстанций и линейных объектов при условии, что данный режим согласован энергоснабжающей организацией. Для участков железных дорог, коэффициент заполнения которых в режиме интенсивной работы составляет 0,85 или более, с учетом тенденции изменения объемов перевозок должны быть предусмотрены мероприятия, направленные на увеличение пропускных способностей.
(п. 6.7 в ред.
Изменений, утв. Распоряжением ОАО "РЖД" от 24.01.2019 N 114/р)
6.8. При реализации организационных или технических мероприятий, направленных на увеличение пропускных способностей объектов инфраструктуры железнодорожного транспорта, их наличная пропускная (перерабатывающая) способность, сопоставляемая с потребной, определяется по методике, изложенной в
главах 1 -
6 настоящей Инструкции.
(п. 6.8 введен
Изменениями, утв. Распоряжением ОАО "РЖД" от 24.01.2019 N 114/р)
ПРИМЕР РАСЧЕТА КОЭФФИЦИЕНТОВ СЪЕМА ПАССАЖИРСКИХ ПОЕЗДОВ
НА ДВУХПУТНОМ УЧАСТКЕ
Участок со временем хода грузового поезда

, соотношение ходовых скоростей движения пассажирского и грузового поезда

и количеством пассажирских поездов 30 пар. Неидентичность расположения перегонов

. Расчетный интервал прибытия пассажирского поезда за грузовым 4 мин, замедление последнего 2 мин.
Расчетное количество обгонов одиночного поезда:
Время хода грузового поезда между обгонами:
Фактическое количество обгонов:
Коэффициент съема одиночного поезда:
Расчетное количество обгонов при двух поездах в пакете:
Коэффициент съема, приходящийся на один поезд, проложенный пакетом:
Коэффициент съема, отнесенный к одному пассажирскому поезду:
ПРИМЕР РАСЧЕТА ПРОПУСКНОЙ И ПЕРЕРАБАТЫВАЮЩЕЙ
СПОСОБНОСТИ СОРТИРОВОЧНОЙ СТАНЦИИ
Двусторонняя сортировочная станция
Е (рис. П2.1.1) работает на пять направлений: в четном - на
А и
Б, в нечетном - на
В,
Г и
Д. Линии на
Б и
В однопутные, на
Г и
Д двухпутные, на линии
А, кроме двух главных путей для грузовых поездов, имеются еще два самостоятельных главных пути для пассажирских поездов. Все примыкающие к станции линии оборудованы автоблокировкой.
Диаграмма поездопотоков для станции
Е изображена на
рис. П2.1.2 с показом, с какой линии на какую следуют транзитные поезда без переработки. На диаграмме число пассажирских и сборных поездов соответствует заданному на расчетный период. Существующее соотношение между числом поездов различных направлений (
А, Б, В, Г и
Д) и категорий (транзитные с переработкой и без переработки) остается на расчетный период без изменений.
Поезда:

- пассажир. и пригород.

- грузовые (без сборных)

- сборные
Станция оборудована маршрутно-релейной централизацией стрелок и светофоров; сортировочные горки механизированы. На станции производится смена локомотивов у четных транзитных поездов без переработки.
Остальные исходные данные, необходимые для определения пропускной (перерабатывающей) способности каждого станционного устройства, приводятся при расчете соответствующего устройства. Продолжительность занятия станционных устройств выполнением отдельных операций определяется порядком, указанным в
п. 2.2.
Для станции Е должна быть определена:
- пропускная способность парков - приемных П, отправочных О, приемо-отправочных ПО;
- опускная способность стрелочных горловин - входных приемных парков, выходных (предгорочных) приемных парков, между сортировочным и отправочным парками, выходных отправочных парков;
- перерабатывающая способность - сортировочных горок, вытяжных путей.
Для правильного определения технологических маршрутов следования транспортных потоков, связывающих рассчитываемые элементы, следует составить расчетную сетевую модель станции. Фрагмент такой модели для станции Е представлен на
рис. П2.1.3. Здесь показаны:
- потоки поездов (см.
рис. П2.1.2), распределенные по рассчитываемым элементам;
- маневровые передвижения, связанные с обслуживанием потоков поездов: заезд горочных локомотивов с четной горки в парк приема

и надвиг составов на горку; уборка поездных локомотивов от поездов, прибывших в расформирование, из парка приема

по ходовому пути в депо; подача поездных локомотивов под поезда своего формирования из депо по ходовому пути в отправочный парк

;
- маневровые передвижения, не связанные с обслуживанием потоков поездов: перестановка 4 угловых передач из нечетной системы в парк

;
- уборка маневровых локомотивов от угловых передач; заезд горочных локомотивов под угловые передачи с четной горки в парк приема

и надвиг составов угловых передач на горку.
Условные обозначения |
| - Пассажирские поезда |
| - Транзитные грузовые поезда |
| - Грузовые поезда своего формирования |
| - Сборные поезда |
| - Подача поездных локомотивов под поезда и их уборка от поездов |
| - Поезда, прибывающие в расформирование |
| - Угловые передачи |
| - Уборка маневровых локомотивов от угловых передач |
| - Заезд горочного локомотива |
Расчет пропускной способности четного приемного парка 
. Пути парка

специализированы для обработки поездов только одного четного направления движения. В парк поступают в расформирование поезда с подходов (линий)
Г, В и
Д. На этих линиях по одним и тем же главным путям осуществляется совместное движение грузовых и пассажирских поездов, что требует учета влияния на использование путей рассчитываемого парка движения пассажирских и сборных поездов.
В парке

для приема грузовых поездов используются все восемь путей (
m = 8). Заезд горочных локомотивов осуществляется по свободному пути (см. частный случай "в"
п. 2.3.2.1).
На расчетный период задано, что в парке будут обрабатываться в сутки четыре угловые передачи

, каждая из которых занимает путь в течение 34 мин

. На текущее обслуживание требуется 30 мин

. Следовательно, в данном случае время занятия путей парка выполнением прочих постоянных операций -
Остальные исходные данные приведены в табл. П2.1.1
формы N 12 ЦД, в которой применены те же условные обозначения, что и в
п. 2.3.
Наименование движения | Характеристика подхода (выхода) | | |  (в том числе  ) |  ,  | I | | d | | | Номер подхода (выхода) |
1 | 2 | 3 | 4 | 5 | 6 | 7 | 8 | 9 | 10 | 11 | 12 |
Г - Е | 2АБ | 60 | 36 | 40 | - | 8 | 0 | 3 | 0 | 0 | I |
В - Е | 1АБ | 15 | 41 | 10 | 4 | 0 | 24 | 0 | 1,5 | 15 | III |
Д - Е | 2АБ | 40 | 38 | 30 | - | 8 | 0 | 3 | 0 | 0 | II |
Примечание.
- число грузовых поездов (без сборных);
- время занятия пути грузовым поездом (без сборных).
С использованием данных граф 3 и 4
табл. П2.1.1 по
формуле (2.3.1) рассчитывается общее время занятия путей парка операциями, увеличивающимися пропорционально росту размеров движения:
Т = (60 · 36 + 15 · 41 + 40 · 38)(1 + 0,3) = 5584 мин.
Влияние на пропускную способность путей рассчитываемого парка движения пассажирских и сборных поездов учитывается следующим образом. В соответствии с
пунктом 2.3.2.2 первым будет подход из
Г (40 пассажирских поездов), вторым -
Д (30 пассажирских поездов) и третьим - из
В (10 пассажирских поездов). Так как к рассчитываемому парку примыкает более двух подходов, то при определении коэффициента

в качестве характеристик второго подхода должны быть использованы следующие данные:
2АБ,

и

, а первого -
2АБ,

и

.
первого

;
второго

.
первого

;
второго

.
| | ИС МЕГАНОРМ: примечание. В официальном тексте документа, видимо, допущена опечатка: таблица П2.2 в тексте документа отсутствует. Возможно, имеется в виду таблица 2.2. | |
По
табл. П2.2 при расчете приемного парка в рассматриваемом случае

.
По
формуле (2.3.2) определяется коэффициент использования имеющейся мощности рассчитываемого парка:
Имеющаяся мощность путей парка состоит: с линии Г-60 : 0,806 = 74, с линии В-15 : 0,806 = 19, с линии Д-40 : 0,806 = 50.
Согласно исходным данным с линии
В поступают в расформирование еще четыре сборных поезда. Поэтому общая имеющаяся мощность четного приемного парка

по приему поездов составит 74 + 19 + 4 + 50 = 147 поездов.
| | ИС МЕГАНОРМ: примечание. В официальном тексте документа, видимо, допущена опечатка: таблица П.2.6 в тексте документа отсутствует. Возможно, имеется в виду таблица П2.1.6. | |
Расчет пропускной способности четного отправочного парка 
. Пути парка

специализированы для обработки четных поездов своего формирования, отправляемых на выходы (линии)
А и
Б. На линии
А для пассажирских поездов имеются самостоятельные главные пути, и поэтому их движение не оказывает влияния на использование путей четного отправочного парка; на линии же
Б вообще нет пассажирского движения. Влияние движения сборных поездов учитывать надо.
В парке

для отправления грузовых поездов выделено шесть путей (m = 6); имеется еще один ходовой путь. Пропуск угловых передач из сортировочного парка

в приемный парк

осуществляется по ходовому пути. И поэтому время на пропуск этих передач не должно учитываться в

.
Во время окончания формирования состава на
А путь отправочного парка (на который будет выставляться состав своего формирования) дополнительно занимается в течение 8 мин,

,

и

, следовательно, согласно частному случаю "б"
п. 2.3.2.1 
.
Необходимые для расчета исходные данные приведены в табл. П2.1.2.
Таблица П2.1.2
Наименование движения | Характеристика подхода (выхода) | | |  (в том числе  ) |  ,  | I | | d | | | Номер подхода (выхода) |
1 | 2 | 3 | 4 | 5 | 6 | 7 | 8 | 9 | 10 | 11 | 12 |
Е - А | 2АБ | 90 | 53 | - | 2 | 8 | 0 | 0 | 2,2 | 0 | I |
Е - Б | 1АБ | 20 | 55 | - | - | 8 | 0 | 0 | 0 | 0 | II |
Примечание.
- число грузовых поездов (без сборных);
- время занятия пути грузовым поездом (без сборных).
| | ИС МЕГАНОРМ: примечание. В официальном тексте документа, видимо, допущена опечатка: таблица П2.2 в тексте документа отсутствует. Возможно, имеется в виду таблица 2.2. | |
Имеющаяся мощность путей парка составит:
на линию А 90 : 0,893 = 100; на линию Б 20 : 0,893 = 22.
С учетом отправления на линию
А еще двух сборных поездов общая имеющаяся мощность четного отправочного парка

по отправлению поездов составит 100 + 2 + 22 = 124 поезда.
Расчет пропускной способности четного приемо-отправочного парка 
.
Пути парка

специализированы для пропуска четных транзитных поездов без переработки направлений
Г - А и
Д - А. В парке

для пропуска транзитных поездов без переработки имеются два пути (
m = 2). Исходные данные для расчета приведены в табл. П2.1.3.
Таблица П2.1.3
Наименование движения | Характеристика подхода (выхода) | | |  (в том числе  ) |  ,  | I | | d | | | Номер подхода (выхода) |
1 | 2 | 3 | 4 | 5 | 6 | 7 | 8 | 9 | 10 | 11 | 12 |
Г - А | 2АБ | 6 | 40 | 40 | - | 8 | 0 | 3 | 0 | 0 | I |
Д - А | 2АБ | 2 | 42 | 30 | - | 8 | 0 | 3 | 0 | 0 | II |
Примечание.
- число грузовых поездов (без сборных);
- время занятия пути грузовым поездом (без сборных).
первого

;
второго

.
Имеющаяся мощность путей парка в транзитных поездах без переработки составит:
для направления Г - А 6 : 0,250 = 24;
" " Д - А 2 : 0,250 = 8.
Общая имеющаяся мощность четного приемо-отправочного парка

:
по приему 24 + 8 = 32 поезда,
по отправлению 24 + 8 = 32 поезда.
Аналогично определяется имеющаяся мощность парков нечетной системы станции Е.
Расчет пропускной способности входной горловины парка 
Схема входной горловины парка

представлена на рис. П2.1.4.
Рис. П2.1.4
| | ИС МЕГАНОРМ: примечание. В официальном тексте документа, видимо, допущена опечатка: таблица П2.4 в тексте документа отсутствует. Возможно, имеется в виду таблица П2.1.4. | |
Необходимые для расчета исходные данные приведены в графах 1 - 4 сводной таблицы передвижений, совершаемых по этой горловине (
табл. П2.4 формы N 13 ЦД). Так как стрелки оборудованы маршрутно-релейной централизацией, то в графе 3
табл. П2.4 проставлено время

, скорректированное по данным
табл. 2.1.
В рассматриваемой горловине интенсивно используются следующие группы стрелок:
элемент а - стрелки 212, 214, 220, 222;
элемент б - стрелки 232, 234, 238;
элемент в - стрелки 236, 246.
элемент
а 
;
элемент
б 
;
элемент
в 
.
Маршруты (передвижения) | Номера стрелок, участвующих в маршруте | Продолжительность занятия маршрута одной операцией  , мин | Число операций по маршруту  | Продолжительность занятия маршрута всеми операциями  , мин | Номера маршрутов | Элементы, в которые входят стрелки, участвующие в маршруте |
расчетного элемента | Остальных элементов |
изменяющимися | постоянными |
1 | 2 | 3 | 4 | 5 | 6 | 7 | 8 | 9 |
Выезд локомотива из-под угловой передачи с пути 1 за стрелку 224 | 228, 226, 224, 210, | 1 | 4 | - | 4 | - | 22 | - |
Пропуск локомотива из-под угловой передачи от стрелки 224 на входной путь | 210, 224, 226, 228 | 1 | 4 | - | 4 | - | 23 | - |
Прием грузового поезда из Г на пути 1 и 2 | 202, 212, 220, 222, 224, 226 | 3,2 | 33 | 105,6 | - | 1 | - | а |
То же на путь 3 | 202, 208, 212, 214, 220, 222 | 3,5 | 17 | 59,5 | - | 2 | - | а |
" на путь 4 | 202, 208, 212, 214, 216, 230 | 3,2 | 5 | 16 | - | 3 | - | а |
" на путь 5 | 202, 214, 216, 230. 232, 238 | 3,1 | 5 | 15,5 | - | 4 | - | а, б |
Прием грузового поезда из Д на путь 4 | 206, 208, 212, 214, 216, 230 | 3,2 | 12 | 38,4 | - | 5 | - | а |
То же на путь 5 | 206, 204, 232, 234, 238 | 3,5 | 12 | 42 | - | - | 24 | б |
" на путь 6 | 206, 204, 234, 238, 240, 242 | 3,1 | 16 | 49,6 | - | - | 25 | б, в |
Прием грузового поезда из В на путь 6 | 236, 246, 240, 242 | 4,5 | 1 | 4,5 | - | - | 26 | в |
То же на путь 7 | 236, 246, 248, 244 | 4,5 | 9 | 40,5 | - | - | 27 | в |
" на путь 8 | 236, 246, 248 | 5 | 5 | 25 | - | - | 28 | в |
Заезд горочного локомотива в тупик 1 с пути 1 от угловой передачи | 228, 226, 224, 210 | 1 | 4 | - | 4 | - | 29 | - |
Заезд горочного локомотива в тупик 1 с путей 1 и 2 | 228, 226, 224, 210 | 1 | 22 | 22 | - | - | 30 | - |
То же с пути 3 | 222, 220, 214, 212, 210 | 1 | 11 | 11 | - | 6 | - | а |
" с пути 4 | 230, 216, 214,212, 210 | 1 | 4 | 4 | - | 7 | - | а |
" с пути 5 | 238, 232, 230, 216, 212, 210 | 1 | 4 | 4 | - | 8 | - | а, б |
" с пути 6 | 242, 238, 230, 215, 214, 210 | 1 | 4 | 4 | - | 9 | - | а, б |
" с пути 7 | 244, 242, 238, 230, 214, 210 | 1 | 2 | 2 | - | 10 | - | а, б |
" с пути 8 | 248, 236, 232, 230, 214, 210 | 1 | 1 | 1 | - | 11 | - | а, б |
Заезд горочного локомотива в тупик 2 с путей 1 и 2 | 228, 226, 224, 222, 220, 218 | 1 | 11 | 11 | - | 12 | - | а |
То же с пути 3 | 222, 220, 218 | 1 | 6 | 6 | - | 13 | - | а |
" с пути 4 | 230, 216, 218 | 1 | 13 | 13 | - | - | 31 | - |
" с пути 5 | 238, 234, 232, 230, 216, 218 | 1 | 13 | 13 | - | - | 32 | б |
" с пути 6 | 242, 238, 232, 230, 216, 218 | 1 | 13 | 13 | - | - | 33 | б |
" с пути 7 | 244, 242, 258, 232, 230, 218 | 1 | 7 | 7 | - | - | 34 | б |
" с пути 8 | 248, 236, 232, 230, 216, 218 | 1 | 4 | 4 | - | - | 35 | б |
Заезд горочного локомотива из тупика 1 на путь 1 под угловую передачу | 210, 224, 226, 228 | 1 | 4 | - | 4 | - | 36 | - |
Заезд горочного локомотива из тупика 1 на пути 1 и 2 | 210, 224, 226, 228 | 1 | 22 | 22 | - | - | 37 | - |
То же на путь 3 | 210, 212, 214, 220, 222 | 1 | 11 | 11 | - | 14 | - | а |
" на путь 4 | 210, 212, 214, 216, 230 | 1 | 4 | 4 | - | 15 | - | а |
" на путь 5 | 210, 212, 216, 230, 232, 238 | 1 | 4 | 4 | - | 16 | - | а, б |
" на путь 6 | 210, 214, 216, 230, 238, 242 | 1 | 4 | 4 | - | 17 | - | а, б |
" на путь 7 | 210, 214, 230, 238, 242, 244 | 1 | 2 | 2 | - | 18 | - | а, б |
" на путь 8 | 210, 214, 230, 232, 236, 248 | 1 | 1 | 1 | - | 19 | - | а, б |
Заезд горочного локомотива из тупика 2 на пути 1 и 2 | 218, 220, 224, 226, 228 | 1 | 11 | 11 | - | 20 | - | а |
То же на путь 3 | 218, 220, 222 | 1 | 6 | 6 | - | 21 | - | а |
" на путь 4 | 218, 216, 230 | 1 | 13 | 13 | - | - | 38 | - |
" на путь 5 | 218, 216, 230, 232, 234, 238 | 1 | 13 | 13 | - | - | 39 | б |
" на путь 6 | 218, 216, 230, 232, 238, 242 | 1 | 13 | 13 | - | - | 40 | б |
" на путь 7 | 218, 230, 232, 238, 242, 244, | 1 | 7 | 7 | - | - | 41 | б |
" на путь 8 | 218, 216, 230, 232, 236, 248 | 1 | 4 | 4 | - | - | 42 | б, в |
Прием сборного поезда из В на путь 8 | 236, 246, 248 | 5 | 4 | - | 20 | - | 43 | в |
Заезд горочного локомотива в тупик 2 с пути 7 под сборный поезд | 244, 242, 238, 232, 230, 218 | 1 | 4 | - | 4 | - | 44 | б, в |
Заезд горочного локомотива из тупика 2 на путь 8 под сборный поезд | 218, 216, 230, 232, 236, 248 | 1 | 4 | - | 4 | - | 45 | б, в |
| | ИС МЕГАНОРМ: примечание. В официальном тексте документа, видимо, допущена опечатка: таблица П2.4 в тексте документа отсутствует. Возможно, имеется в виду таблица П2.1.4. | |
Наибольшее значение

имеет элемент а, которому соответствует группа стрелок 212, 214, 220, 222. Следовательно, этот элемент является расчетным и определяет пропускную способность рассматриваемой горловины при принятых условиях расчета (соотношение между числом транзитных поездов с переработкой и без переработки, распределение прибывающих с линий
В, Г и
Д поездов по секциям парка

и др). Маршруты, совершаемые с занятием стрелок расчетного элемента, последовательно нумеруются в графе 7
табл. П2.4, затем в графе 8 присваиваются номера маршрутам остальных элементов.
Влияние возможных перерывов в использовании расчетного элемента из-за наличия враждебных передвижений определяется порядком, указанным в
п. 2.4.5.
По
формуле (2.4.6) определяется коэффициент использования пропускной способности горловины:
Пропускная способность входной горловины парка

по приему перерабатываемых транзитных поездов составит: с линии Г-60 : 0,261 = 229, с линии В-15 : 0,261 = 57, с линии Д-40 : 0,261 = 153.
Надо также учитывать, что в пропускную способность входной горловины парка

должны быть включены и четыре сборных поезда с линии В.
Расчет пропускной способности выходной горловины парка 
Схема выходной горловины парка

представлена на рис. П2.1.5.
Исходные данные для расчета приведены в
табл. П2.1.5. Примыкающая к выходной горловине парка

четная горка имеет два надвижных и спускных пути, что дает возможность, в определенной степени, совмещать передвижения по маршруту надвига по другому надвижному пути. Поэтому для обеспечения наибольшей параллельности передвижений в рассматриваемой горловине и для учета секционной разделки маршрутов каждая операция "надвиг и роспуск" разделяется на следующие два составных маршрута (см.
п. 2.4.2):
- от начала надвига состава и роспуск до освобождения горочным локомотивом предельного столбика на выходе с пути приема (продолжительность этого передвижения не корректируется);
- окончание роспуска.
В рассматриваемой горловине для интенсивно используемых групп стрелок отношение

составляет:
элемент а (стрелки 205, 215, 217, 231, 239)
элемент б (стрелки 211, 213, 219, 221)
| | ИС МЕГАНОРМ: примечание. В официальном тексте документа, видимо, допущена опечатка: таблица П2.5 в тексте документа отсутствует. Возможно, имеется в виду таблица П2.1.5. | |
Наибольшее значение

соответствует элементу
а, который в данных условиях определяет пропускную способность рассматриваемой горловины. По данным граф 7 и 8 в
табл. П2.5 получается
Пропускная способность выходной горловины парка

по расформированию транзитных поездов с переработкой составит:
- с линии Г 60 : 0,715 = 84;
- с линии В 15 : 0,715 = 21;
- с линии Д 40 : 0,715 = 56.
В пропускную способность выходной горловины парка

включается также расформирование четырех сборных поездов с линии
В. Аналогичным образом рассчитана пропускная способность остальных горловин.
Маршруты (передвижения) | Номера стрелок, участвующих в маршруте | Продолжительность занятия маршрута одной операцией,  , мин | Число операций по маршруту  | Продолжительность занятия маршрута всеми операциями  , мин | Номера маршрутов | Элементы, в которые входят стрелки, участвующие в маршруте |
расчетного элемента | остальных элементов |
изменяющимися | постоянными |
1 | 2 | 3 | 4 | 5 | 6 | 7 | 8 | 9 |
Прием угловой передачи на путь 1 | 201, 243 | 3 | 4 | - | 12 | - | 18 | - |
Уборка поездного локомотива с пути 1 | 243, 201 | 1 | 16 | 16 | - | - | 19 | - |
То же с путей 2 и 3 | 241, 239, 215, 217, 203, 201 | 1 | 34 | 34 | - | 1 | - | а |
" с пути 4 | 235, 233, 231, 217, 203, 201 | 1 | 17 | 17 | - | 2 | - | а |
" с пути 5 | 237, 235, 231, 217, 203, 201 | 1 | 17 | 17 | - | 3 | - | а |
" с путей 6, 7 и 8 | 229, 225, 221, 217, 203, 201 | 1 | 31 | 31 | - | 4 | - | а, б |
Надвиг и роспуск передачи с пути 1 | 243, 241, 231, 215, 217, 205, 300, 302 | 6 | 4 | - | 24 | 5 | - | а |
Окончание роспуска угловой передачи с пути 1 | 243, 241, 231, 215, 217, 205, 300, 302 | 4,2 | 4 | - | 16,8 | 6 | - | а |
Надвиг и роспуск разборочного поезда с пути 1 | 243, 241, 231, 215, 217, 205, 300, 302 | 6 | 16 | 96 | - | 7 | - | а |
Окончание роспуска разборочного поезда с пути 1 | 243, 241, 231, 215, 217, 205, 300, 302 | 4,2 | 16 | 67,2 | - | 8 | - | а |
Надвиг и роспуск разборочного поезда с путей 2 и 3 | 241, 239, 231, 215, 217, 205, 300, 302 | 6 | 34 | 204 | - | 9 | - | а |
От начала роспуска | 241, 239, 231, 215, | 4,2 | 34 | 142,8 | - | 10 | - | а |
разборочного поезда с путей 2 и 3 | 217, 205, 300, 302 | 6 | 17 | 102 | - | 11 | - | а |
235, 233, 231, 215, |
Надвиг и роспуск разборочного поезда с пути 4 | 217, 205, 300, 302 | | | | | | | |
235, 233, 231, 215, | 4,2 | 17 | 71,4 | - | 12 | - | а |
Окончание | 217, 205, 300, 302 | | | | | | | |
237, 225, 221, 213, | 6 | 17 | 102 | - | - | 20 | б |
Надвиг и роспуск разборочного поезда с пути 5 | 211, 207, 304, 306 | | | | | | | |
237, 225, 221, 213, | 4,2 | 17 | 71,4 | - | - | 21 | б |
Окончание | 211, 207, 304, 306 | | | | | | | |
229, 225, 221, 213, | 6 | 31 | 186 | - | - | 22 | б |
Надвиг и роспуск разборочного поезда с путей 6, 7 и 8 | 211, 207, 304, 306 | | | | | | | |
229, 225, 221, 213, | 4,2 | 34 | 130,2 | - | - | 23 | б |
Окончание | 211, 207, 304, 306 | | | | | | | |
205, 217, 215, 231, | 1 | 4 | - | 4 | 13 | - | а |
Заезд горочного локомотива с пути надвига 1 по пути | 239, 241 | | | | | | | |
2 под угловую передачу | 205, 217, 215, 231, | 1 | 16 | 16 | - | 14 | - | а |
Заезд горочного локомотива с пути надвига 1 по пути | 241, 243 | | | | | | | |
1 под разборочный поезд | 205, 217, 215, 231, | 1 | 34 | 34 | - | 15 | - | а |
То же по пути 2 и 3 | 239, 241 | | | | | | | |
205, 217, 215, 231, | 1 | 17 | 17 | - | 16 | - | а |
То же по пути 4 | 233, 235 | | | | | | | |
Заезд горочного локомотива с пути надвига 2 по пути 5 под разборочный поезд | 207, 211, 213, 221, 225, 237 | 1 | 17 | 17 | - | - | 24 | б |
То же по путям 6, 7 и 8 | 207, 211, 213, 221, 225, 229 | 1 | 31 | 31 | - | - | 25 | б |
Заезд горочного локомотива с пути надвига 2 по пути 7 под сборный поезд | 207, 211, 213, 221, 225, 229 | 1 | 4 | - | 4 | - | 26 | б |
Надвиг и роспуск сборного поезда с пути 8 | 229, 225, 221, 213, 211, 207, 304, 306 | 6 | 4 | 24 | 24 | - | 27 | б |
То же | 229, 225, 221, 213, 211, 207, 304, 306 | 4,2 | 4 | - | 16,8 | - | 28 | б |
Уборка поездного локомотива от сборного поезда с пути 8 | 229, 225, 221, 217, 203, 201 | 1 | 4 | - | 4 | 17 | - | а, б |
Расчет перерабатывающей способности четной сортировочной горки.
Механизированная четная горка имеет два пути надвига, два спускных пути, четыре пучка сортировочных путей, оборудована замедлителями КНП-5, горочный технологический интервал

; следовательно, по данным
табл. 2.5 
;

(см.
п. 2.5.3) и по
формуле (2.5.8) 
.
С горки распускаются составы транзитных поездов с переработкой с линий
Г, В и
Д в количестве, соответственно,

,

и

, а также сборные поезда с линии
В (число которых на расчетный период задано постоянным)

,

. К постоянным операциям в данном случае также относятся роспуск передач углового потока

,

и роспуск групп вагонов с путей ремонта

,

; следовательно, в соответствии с
формулой (2.5.7)
За время

обрабатывается 350 вагонов

. Величины поездных составов:

,

и

. Поскольку приемо-отправочный парк для транзитных поездов без переработки расположен параллельно отправочному парку,

. Коэффициент

.
По
формуле (2.5.1) общее время занятия горки операциями, увеличивающимися пропорционально росту размеров движения,
Т = [(60 + 15 + 40) 9,7] (1 + 0,09) = 1216 мин.
По
формуле (2.5.6) определяется коэффициент использования перерабатывающей способности горки:
Перерабатывающая способность горки в транзитных поездах с переработкой составит:
с линии Г-60 : 0,95 = 63, с линии В-15 : 0,95 = 15, с линии Д-40 : 0,95 = 42.
С учетом роспуска с линии В четырех сборных поездов общая перерабатывающая способность четной горки составит 63 + 15 + 4 + 42 = 124 поезда.
N = (63 · 70 + 15 · 60 + 42 · 60) 1,01 + 350 = 8258 вагонов.
Расчет перерабатывающей способности вытяжного пути 4. На вытяжном пути
4 обрабатывается половина четных поездов своего формирования, отправляемых на линию
А,

,

, причем окончания формирования требуют только 60% отправляемых поездов,

. Здесь же обрабатываются 2 сборных поезда на линию
А (число которых на расчетный период задано постоянным),

,

. К постоянным операциям еще относится

. Следовательно, в соответствии с
формулой (2.5.14) 
За время

обрабатывается 100 вагонов

.
Время перестановки сформированного состава в отправочный парк и возвращения маневрового локомотива равно

. Величина поездных составов

,

.
Часть составов, сформированных на вытяжном пути N 5, переставляется в отправочный парк с пересечением вытяжного пути N 4; поэтому

.
Т = (0,6 · 45 · 14,7 + 45 · 12) (1 + 0,03) = 954 мин.
Перерабатывающая способность вытяжного пути N 4 в транзитных поездах с переработкой на линию А равна 45 : 0,770 = 58, а с учетом еще двух сборных поездов - 58 + 2 = 60 поездам.
Перерабатывающая способность в вагонах N = 58 · 70 + 100 = 4160 вагонов.
Аналогично определена перерабатывающая способность остальных вытяжных путей.
Результативная пропускная способность. Сводные данные о пропускной и перерабатывающей способности устройств четной системы станции Е приведены в графах 3, 4, 8 и 9
табл. П2.1.6 формы N 14 ЦД. По этим данным проставляется в графы 5 - 7 и 10 результативная пропускная (перерабатывающая) способность.
В четной системе результативную пропускную способность по приему поездов в расформирование с линий
Г, В и
Д ограничивают, в первую очередь, горка, а затем уж приемный парк

и его выходная горловина. При необходимости перерабатывающую способность горки можно повысить за счет ее разгрузки и одновременно большей загрузки вытяжных путей окончанием формирования составов (тем более что при принятых условиях общая перерабатывающая способность вытяжных путей больше перерабатывающей способности горки - 198 > 124).
По пропуску четных транзитных поездов направлений
Г - А и
Д - А лимитирующим устройством является горловина между парками

и

; приемо-отправочный парк

имеет запас пропускной способности.
Отправление четных поездов своего формирования на
А и
Б ограничивают отправочный парк

, горловина между парками

и

. Однако эти ограничения могут быть снижены за счет отправления дополнительного числа поездов своего формирования с путей парка

(который имеет избыток неиспользуемой пропускной способности по пропуску транзитных поездов без переработки); при этом соотношение между числом транзитных поездов без переработки и с переработкой будет отличаться от первоначально принятого по заданию.
Аналогично анализируется пропускная и перерабатывающая способность нечетной системы станции.
| | ИС МЕГАНОРМ: примечание. В официальном тексте документа, видимо, допущена опечатка: таблица П2.6 в тексте документа отсутствует. Возможно, имеется в виду таблица П2.1.6. | |
Данные графы 7
табл. П2.6 показывают, что результативная пропускная способность четной системы сортировочной станции по приему поездов транзитных с переработкой и без переработки составляет 74 + 23 + 50 + 8 + 3 = 158 поездов, а по отправлению - 100 + 22 + 8 + 3 = 133 поезда.
| | ИС МЕГАНОРМ: примечание. В официальном тексте документа, видимо, допущена опечатка: формула 7.1 в тексте документа отсутствует. | |
С использованием данных графы 5
табл. П2.1.6 по формуле (7.1)
| | ИС МЕГАНОРМ: примечание. В официальном тексте документа, видимо, допущена опечатка: таблица 7.1 в тексте документа отсутствует. | |
Следовательно, соотношение

пропускной способности путей по приему поездов в расформирование

и перерабатывающей способности горки

равно 191 : 124 = 1,54 и по
табл. 7.1 
и

;

.
При заданных размерах работы коэффициенты использования перерабатывающей способности горки

и пропускной способности путей приемного парка

коэффициенты использования пропускной способности входной и выходной горловин приемного парка соответственно равны 0,261 и 0,705, т.е. загрузки горловин являются допустимыми. Следовательно, при заданных размерах работы коэффициент использования перерабатывающей способности горки (0,95) выше допустимого значения (0,89) и коэффициент использования пропускной способности приемного парка (0,806) превышает допустимое значение (0,754). Необходимо отметить, что поскольку в расчете перерабатывающей способности горки коэффициент

, т.е. повторная сортировка части вагонов из-за недостатка числа и длины сортировочных путей составляет всего 1%, то для повышения перерабатывающей способности горки надо добавлять пути надвига и роспуска и число горочных локомотивов.
Операции и коэффициент использования | Направление движения | Пропускная способность |
путей парка | горловины |
| | | | входной парка  (стрелки 212, 214, 220, 222) | выходной парка  (стрелки 205, 215, 217, 231, 239) | между парками  и  (стрелки 260, 266, 268) | выходной парка  (стрелки 59, 71, 91) | | | | |
1 | 2 | 3 | 4 |
Прием расформируемых поездов (расформирование) | Г - Е | 74 + 40п | - | - | - | 229 | 84 | - | - | - | - | - | - |
В - Е | 23 + 10п | - | - | - | 61 | 25 | - | - | - | - | - | - |
Д - Е | 50 + 30п | - | - | - | 153 | 56 | - | - | - | - | - | - |
| | | | | - | - | - | - | - | - | - | - |
| | | | | | | | | | | | |
Г - А | - | - | 24 | - | - | - | 8 | 16 | - | - | - | - |
Прием и отправление транзитных поездов | Д - А | - | - | 8 | - | - | - | 3 | 5 | - | - | - | - |
| - | - | - | - | - | - | - | - | - | - | - | - |
| - | - | - | - | - | - | - | - | - | - | - | - |
| - | - | - | - | - | - | - | - | - | - | - | - |
Е - А | - | 100 + 80п | - | - | - | - | 127 | 247 | - | - | - | - |
Е - Б | - | 22 | - | - | - | - | 28 | 54 | - | - | - | - |
Отправление поездов своего формирования (формирование) | | - | | - | - | - | - | - | - | - | - | - | - |
| | | | | | | | | | | | |
| | | | | | | | | | | | |
| 0,806 | 0,893 | 0,250 | - | 0,261 | 0,715 | 0,718 | 0,368 | - | - | - | - |
Коэффициент использования пропускной (перерабатывающей) способности | | | | | | | | | | | | | |
| | | | | | | | | | | | |
| | | | | | | | | | | | |
| | | | | | | | | | | | |
| | | | | | | | | | | | |
| | | | | | | | | | | | |
Продолжение таблицы П2.1.6
Пропускная способность | Перерабатывающая способность |
результативная | горок | вытяжных путей | результативная |
путей | горловин | станции (системы) | N 2 | N 4 | N 5 | 6 | всего |
5 | 6 | 7 | 8 | 9 | 10 |
74 + 40п | 84 | 74 + 40п | 63 | - | - | - | - | 63 |
23 + 10п | 25 | 23 + 10п | 19 | - | - | - | - | 19 |
50 + 30п | 56 | 50 + 30п | 42 | - | - | - | - | 42 |
- | - | - | - | - | - | - | - | - |
| | | | | | | | |
24 | 8 | 8 | - | - | - | - | - | - |
8 | 3 | 3 | - | - | - | - | - | - |
- | - | - | - | - | - | - | - | - |
- | - | - | - | - | - | - | - | - |
- | - | - | - | - | - | - | - | - |
100 + 80п | 127 | 100 + 80п | - | 60 | 71 | - | 131 | 131 |
22 | 28 | 22 | - | - | - | 67 | 67 | 67 |
- | - | - | - | - | - | - | - | - |
| | | | | | | | |
| | | | | | | | |
- | - | - | 0,950 | 0,770 | 0,631 | 0,300 | - | |
| | | | | | | | |
| | | | | | | | |
| | | | | | | | |
| | | | | | | | |
| | | | | | | | |
| | | | | | | | |
| | ИС МЕГАНОРМ: примечание. В официальном тексте документа, видимо, допущена опечатка: пункт 7.6.2 в тексте документа отсутствует. Возможно, имеется в виду пункт 6.6.2. | |
При фактическом резерве грузовых локомотивов

в соответствии с
п. 7.6.2 
;

. При заданных размерах работы коэффициенты использования пропускной способности отправочного парка

и приемо-отправочного парка

, пропускной способности горловины между сортировочным и отправочным парками
К = 0,718 и выходной горловины отправочного парка
К = 0,368, т.е. загрузка горки допустима.
Следовательно, коэффициенты использования пропускной способности отправочного парка (0,893) и приемо-отправочного парка (0,250) ниже допустимого (0,966).
| | ИС МЕГАНОРМ: примечание. В официальном тексте документа, видимо, допущена опечатка: формулы (7.4) и (7.5) в тексте документа отсутствуют. | |
У транзитных поездов без переработки осуществляется смена локомотивов, однако пропускная способность по приему и отправлению этих поездов ограничивается горловинами; поэтому в соответствии с примечанием 2 к формулам (7.4) и (7.5):
по приему

по отправлению

Значения

и

для четной системы станции проставляются в знаменатель графы 22
формы N 1 ЦД, ТЭ, ЦТ, ЦЭКР,

- в скобках этой графы по приему.
(в ред.
Изменений, утв. Распоряжением ОАО "РЖД" от 24.01.2019 N 114/р)
Аналогичным образом допустимые коэффициенты использования пропускной (перерабатывающей) способности устанавливаются для нечетной системы станции.
ПРИМЕР РАСЧЕТА ПЕРЕРАБАТЫВАЮЩЕЙ СПОСОБНОСТИ ГРУЗОВЫХ
ФРОНТОВ ПО СРЕДСТВАМ МЕХАНИЗАЦИИ И МАНЕВРОВЫМ ЛОКОМОТИВАМ
Требуется определить перерабатывающую способность фронтов тупиковой грузовой станции
(рис. П2.2.1)
Исходные данные. Вагоны к грузовым фронтам подаются после накопления в сортировочном парке. Пути сортировочного парка станции имеют следующую специализацию: 1 - для вагонов, подаваемых к фронтам 7 и 2; 2 - для вагонов к фронтам 3 и 4; 3 - для вагонов к фронтам 5 и 6. На каждые два фронта вагоны из сортировочного парка подаются совместно; в грузовом районе станции имеются выставочные пути, которые используются для смены групп вагонов у фронтов, вместимость и мощность грузовых фронтов и затраты на выполнение маневровых и грузовых операций приведены в табл. П2.2.1.
Таблица П2.2.1
Показатель | Значения показателей по грузовым фронтам |
1 | 2 | 3 | 4 | 5 | 6 |
Вместимость фронта, вагоны | 2 | 4 | 5 | 3 | 7 | 5 |
Мощность фронта, вагоны/ч | 2,6 | 3,8 | 4,0 | 3,6 | 4,8 | 4,0 |
Время, ч: | | | | | | |
грузовой операции | 0,75 | 0,95 | 1,25 | 0,70 | 1,50 | 1,40 |
подачи | 0,10 | 0,05 | 0,10 |
перестановки | 0,10 | 0,05 | 0,10 |
уборки | 0,10 | 0,05 | 0,10 |
Примечание. Затраты времени на выполнение отдельных операций принимаются для конкретных станций в соответствии с технологическим процессом. |
Фронты 1 и 2 обслуживаются стреловым краном на железнодорожном ходу. Фронт 3 обслуживается одним козловым краном, а фронт 4 - одним козловым краном и одним одноковшовым погрузчиком. Фронты 5 и 6 обслуживаются электропогрузчиками, в том числе фронт 5 - двумя, а фронт 6 - одним.
Маневровый локомотив, помимо обслуживания фронтов, производит расформирование и формирование составов, а также сортирует вагоны (выведенные с грузового района) по специализированным путям сортировочно-отправочного парка. Затраты времени на выполнение этих операций на один поезд составляют

. Средний состав поезда

.
Для фронтов
1 и
2 
. Для фронтов
3 и
4 
(по козловому крану без подмены) и

(по одноковшовому погрузчику); поскольку 1,0 > 0,5, принимается, что

. Для фронтов 5 и 6

, поскольку ежедневное обслуживание всех машин на грузовых фронтах выполняется водителями или лицами, приравненными к ним, одновременно и не зависит от числа машин.
Для фронтов
1, 2, 3 и
6 
, а для фронтов
4 и
5, оснащенных двумя машинами каждый,

рассчитывается по
формуле (2.7.2), после того как будет определено

.
Решение. Принятая в соответствии со схемой расположения фронтов технология работы по подаче и уборке вагонов позволяет рассматривать каждую группу из двух фронтов как один фронт со следующими показателями.
Для фронтов
7 и
2 вместимость

; продолжительность грузовой операции (устанавливаемая по большему значению)

; мощность фронта
Число подач за один цикл

составляет: на фронты
7 и
2 - одна подача, фронты
3 и
4 - одна подача, фронты
5 и
6 - одна подача.
Общее число вагонов, проходящих грузовые операции за один цикл

, на фронтах
1 и
2 
, соответственно на фронтах
3 и
4 - 8 вагонов, на фронтах
5 и
6 - 12 вагонов, всего

.
Тогда для фронтов 4 и 5
В связи с тем, что фронт
4 обслуживается вместе с фронтом
3, а фронт
5 - с фронтом
6, то для этих пар фронтов следует принять

.
фронтов 1 и 2
фронтов 3 и 4
фронтов 5 и 6
Всего по станции
Необходимое для расчета пропускной способности горловины этой станции число подач и уборок по всем фронтам, приходящееся на один поезд, по
формуле (2.7.22)
ПРИМЕР РАСЧЕТА ПЕРЕРАБАТЫВАЮЩЕЙ СПОСОБНОСТИ ПО СКЛАДАМ
Определить перерабатывающую способность контейнерной площадки по вместимости.
Исходные данные.
На контейнерной площадке осуществляется погрузка-выгрузка крупнотоннажных контейнеров. Контейнеры устанавливаются в два яруса, при этом вместимость площадки равна 300 контейнеров

. Погрузка-выгрузка контейнеров из вагонов производится круглосуточно (
T = 24 ч). Средняя продолжительность завоза-вывоза контейнеров автомобильным транспортом в рабочие дни недели

. Среднее число контейнеров, вывозимых в субботу, составляет 85, в воскресенье - 25;

. В ночную смену на автомобилях хранится 30 контейнеров

. Коэффициент неравномерности работы
a = 1,15. Число контейнеров на платформе

. Коэффициент наличия свободных контейнеро-мест

.
Решение. По
формуле (2.7.19) перерабатывающая способность контейнерной площадки по вместимости
Таким образом, контейнерная площадка может обработать ежесуточно сорок четыре 4-осные специализированные платформы с контейнерами.
ПРОВЕРКИ ИСПОЛЬЗОВАНИЯ НАГРУЗОЧНОЙ СПОСОБНОСТИ
УСТРОЙСТВ ЭЛЕКТРОСНАБЖЕНИЯ
(приложение N 3.1 в ред.
Изменений, утв. Распоряжением
ОАО "РЖД" от 24.01.2019 N 114/р)
В ходе реализации каждой расчетной модели графика движения поездов для текущего значения межпоездного интервала Jтек определяются коэффициенты KИНС t использования нагрузочной способности устройств с учетом допустимой их перегрузки заданной длительности t.
Из коэффициентов, рассчитанных при различных t, для определения допустимых межпоездных интервалов используется максимальное значение KИНС.
1. Силовое оборудование тяговых подстанций
и линейных объектов системы тягового электроснабжения
1.1. Выпрямители тяговых подстанций постоянного тока:

[П3.1.1]
где Id t - наибольшее среднее значение тока подстанции за период t, А;

- суммарный номинальный ток включенных выпрямителей, А;
kдоп В t - коэффициент допустимой нагрузки выпрямителя, принимаемый в соответствии с таблицей N П3.1.1.
Таблица N П3.1.1
Коэффициенты допустимой нагрузки выпрямителей
t, мин. | 30 и более | 15 | 2 |
kдоп В t | 1,00 | 1,25 | 1,50 |
1.2. Преобразовательные трансформаторы тяговых подстанций постоянного тока:

[П3.1.2]
где Ud пр - приведенное номинальное напряжение, равное 3,6 кВ;

- суммарная номинальная мощность включенных преобразовательных трансформаторов, кВ·А;
kдоп ТП t - коэффициент допустимой нагрузки преобразовательного трансформатора, принимаемый в соответствии с таблицей N П3.1.2.
Таблица N П3.1.2
Коэффициенты допустимой нагрузки
преобразовательных трансформаторов
t, мин. | 60 и более | 15 | 5 | 2 |
kдоп ТП t | 1 | 1,25 | 1,50 | 1,75 |
1.3. Понижающие трансформаторы подстанций постоянного тока:

[П3.1.3]
где

- суммарная номинальная мощность понижающих трансформаторов, питающих преобразовательные агрегаты, кВ·А;
Sр - мощность районной и нетяговой нагрузки, получающей питание от понижающих трансформаторов, питающих преобразовательные агрегаты, кВ·А;
kдоп П t - коэффициент допустимой нагрузки понижающего трансформатора, принимаемый в соответствии с таблицей N П3.1.3.
Таблица N П3.1.3
Коэффициенты допустимой нагрузки трансформаторов
t, мин. | 10 | 1 |
kдоп П t | 1,5 | 2,0 |
1.4. Трехфазные понижающие трансформаторы тяговых подстанций переменного тока:

[П3.1.4]
где

- суммарная номинальная мощность включенных понижающих трансформаторов, кВ·А;
Iф max t - наибольшее значение тока любой фазной обмотки напряжением 27,5 кВ за период t, А.
Однофазные понижающие трансформаторы тяговых подстанций системы переменного тока 2 x 25 кВ:

[П3.1.5]
где

- суммарная номинальная мощность трансформаторов, включенных в данное плечо питания, кВ·А;
IОТ max t - наибольшее значение тока любой секции расщепленной обмотки напряжением 27,5 кВ за период t, А.
1.5. Автотрансформаторы пунктов питания системы электроснабжения переменного тока 2 x 25 кВ:

[П3.1.6]
где SА ном - номинальная мощность автотрансформатора, кВ·А;
IА max t - наибольшее значение тока обмотки за период t, А.
Для понижающих трансформаторов и автотрансформаторов в соответствии с требованиями
ГОСТ 14209-85 определяются максимальные температуры наиболее нагретой точки обмотки

и масла

в верхних слоях. Соответствующие этим температурам коэффициенты использования нагрузочной способности рассчитываются по выражениям:

[П3.1.7]

[П3.1.8]
где

- расчетная температура окружающего воздуха, равная 35 °C;

- допустимая температура обмотки, равная 140 °C;

- допустимая температура масла, равная 95 °C.
2. Уровень напряжения в тяговой сети
По уровню напряжения на токоприемниках электроподвижного состава:

[П3.1.9]
где Uхх т - напряжение холостого хода в тяговой сети, определяемое как среднее значение напряжений холостого хода на шинах тяговых подстанций, питающих данную межподстанционную зону, В;

- наименьшее значение напряжения на токоприемниках электроподвижного состава любого поезда, находящегося на данном пути межподстанционной зоны, в среднем за 3 минуты, В;
Uдоп min - минимально допустимое значение напряжения в тяговой сети согласно требованиям
Правил технической эксплуатации железных дорог Российской Федерации.
3. Тяговая сеть по допустимой температуре нагрева проводов
Контактная сеть по нагреву проводов:

[П3.1.10]
где

- наибольшая средняя температура, °C, лимитирующего провода контактной сети вблизи точек подключения питающих линий тяговых подстанций при длительности
t протекания тока 1, 3 и 20 минут;

- температура окружающего воздуха при расчетах нагревания проводов контактной сети, принимаемая равной 40 °C;
Для системы электроснабжения переменного тока 2 x 25 кВ также определяются коэффициенты использования нагрузочной способности питающего провода. В системах электроснабжения переменного тока 2 x 25 кВ с трехфазными трансформаторами на тяговых подстанциях эти коэффициенты рассчитываются для участка питающего провода, подключенного к повышающему автотрансформатору.
4. Проверка уставок защит тяговой сети
Уставки устройств защиты тяговой сети следует проверять для расчетных режимов, указанных в
пункте 3.2 настоящей Инструкции, в соответствии с требованиями СТО РЖД 07.021.1-2015, СТО РЖД 07.021.2-2015, СТО РЖД 07.021.4-2015 и
СТО РЖД 07.021.5-2018.
Максимальный ток питающей линии определяется при результирующем для данной межподстанционной зоны межпоездном интервале (периоде графика) и с учетом пускового тока поезда наибольшей массы.
5. Элементы обратной тяговой рельсовой сети
5.1. Определение расчетных коэффициентов
Коэффициент приведения тока в рельсах Kпр:
для систем постоянного тока составляет 1;
для систем переменного тока при расстоянии lОТС i от рассматриваемого элемента обратной тяговой рельсовой сети до точки присоединения отсасывающей линии к обратной тяговой рельсовой сети в пределах протяженности межподстанционной зоны lз от 0,15·lз до 0,85·lз - определяется из графика, приведенного на рисунке П3.1.1, в остальных случаях составляет 1.
Рисунок П3.1.1 - Зависимость коэффициента приведения тока
в рельсах Kпр от расстояния между элементом обратной
тяговой сети и точкой подключения отсасывающей линии
Коэффициенты среднего
Kср и эффективного
Kэф тока в рельсах определяются по графикам, приведенным на
рисунках П3.1.2 и
П3.1.3 соответственно, в зависимости от длины межподстанционной зоны, а для систем электроснабжения переменного тока 2 x 25 кВ - от длины участка между автотрансформаторами, на котором находится рассматриваемый элемент обратной тяговой сети, и результирующего допустимого межпоездного интервала
Jрез для данной межподстанционной зоны (
пункт 3.4 настоящей Инструкции).
Рисунок П3.1.2 - Зависимости коэффициента среднего тока
в рельсах Kср от результирующего интервала и длины
межподстанционной зоны
Рисунок П3.1.3 - Зависимости коэффициента эффективного тока
в рельсах Kэф от результирующего интервала и длины
межподстанционной зоны
5.2. Допустимые эффективные токи в элементах обратной тяговой рельсовой сети Iдоп эф в зависимости от температуры окружающей среды приведены в таблице N П3.1.4.
Таблица N П3.1.4
Допустимые эффективные токи в элементах
обратной тяговой сети
Элементы обратной тяговой сети | Допустимый ток Iдоп эф, А, при температуре |
до 25 °C | от 25 до 40 °C | 40 °C |
Система электроснабжения постоянного тока |
Дроссель-трансформаторы | | | |
ДТ-0,2-500 | 1 800 | 1 710 | 1 620 |
ДТЕ-0,2-500 | 1 800 | 1 710 | 1 620 |
ДТ-0,6-500 | 1 500 | 1 425 | 1 350 |
ДТЕ-0,6-500 | 1 500 | 1 425 | 1 350 |
ДТ-0,2-1000 | 2 400 | 2 280 | 2 160 |
ДТЕ-0,2-1000 | 2 400 | 2 290 | 2 160 |
ДТ-0,6-1000 | 2 200 | 2 090 | 1 980 |
ДТЕ-0,6-1000 | 2 200 | 2 178 | 1 980 |
ДТЕ-0,2-1500 | 3 500 | 3 325 | 3 150 |
ДТЕ-0,2-1500П | 3 500 | 3 325 | 3 150 |
ДТЕ-0,4-1500 | 3 200 | 3 040 | 2 880 |
ДТЕ-0,4-1500П | 3 200 | 3 040 | 2 880 |
Дроссельные перемычки | | | |
2 x 50 мм2 | 470 | 446 | 423 |
2 x 70 мм2 | 680 | 646 | 612 |
Междроссельные перемычки | | | |
4 x 50 мм2 | 940 | 893 | 846 |
4 x 70 мм2 | 1 360 | 1 292 | 1 224 |
4 x 95 мм2 | 1 830 | 1 738 | 1 647 |
4 x 120 мм2 | 2 340 | 2 223 | 2 106 |
Сборный рельсовый стык с медным приварным соединителем сечением 70 мм2 | | | |
стыковые болты затянуты (40 кН на болт) | 5 000 | 4 750 | 4 500 |
стыковые болты ослаблены | 800 | 760 | 720 |
Системы электроснабжения переменного тока |
Дроссель-трансформаторы: | | | |
ДТ-1-150 | 480 | 456 | 432 |
ДТ-1МГ1-150 | 480 | 456 | 432 |
ДТ-1-250 | 900 | 855 | 810 |
ДТ-1,5-150 | 420 | 399 | 378 |
ДТ-1МГ1-300 | 900 | 855 | 810 |
ДТШ-300-П(Л)-1520(1530/1535) | 900 | 855 | 810 |
2ДТ-1МГ1-150 | 480 | 456 | 432 |
ДТ-0,6-500с | 1 500 | 1 425 | 1 350 |
2ДТ-1МГ1-300 | 900 | 855 | 810 |
Дроссельные перемычки: | | | |
2 x 35 мм2 | 390 | 370 | 351 |
2 x 50 мм2 | 530 | 503 | 477 |
2 x 70 мм2 | 780 | 741 | 702 |
Междроссельные перемычки: | | | |
3 x 35 мм2 | 580 | 551 | 522 |
4 x 50 мм2 | 1 000 | 950 | 900 |
4 x 70 мм2 | 1 500 | 1 425 | 1 350 |
5.3. Проверка элементов обратной тяговой сети
Обратная тяговая рельсовая сеть проверяется по нагрузочной способности следующих элементов:
путевых дроссель-трансформаторов;
дроссельных и междроссельных перемычек;
сборных рельсовых стыков;
отсасывающих линий.
Для путевых дроссель-трансформаторов, дроссельных и междроссельных перемычек и сборных рельсовых стыков эффективный ток нагрузки определяется по формуле:

[П3.1.11]
где

для дроссель-трансформаторов и междроссельных перемычек,

для дроссельных перемычек и сборных рельсовых стыков;
I0 - средний ток поезда наибольшей установленной массы на рассматриваемом пути, А.
Эффективные значения токов Iэф для каждого элемента обратной тяговой рельсовой сети сопоставляются с допустимыми для данного элемента значениями Iдоп эф. Если Iэф > Iдоп эф, то соответствующий элемент нуждается в усилении.
РАСЧЕТ КОЭФФИЦИЕНТОВ ИСПОЛЬЗОВАНИЯ НАГРУЗОЧНОЙ СПОСОБНОСТИ
УСТРОЙСТВ
Приложение 3.2 утратило силу. -
Изменения, утв. Распоряжением ОАО "РЖД" от 24.01.2019 N 114/р.
К ПРОВЕРКЕ ЭЛЕМЕНТОВ ОБРАТНОЙ ТЯГОВОЙ СЕТИ
Приложение 3.3 утратило силу. -
Изменения, утв. Распоряжением ОАО "РЖД" от 24.01.2019 N 114/р.
ПРИМЕРЫ РАСЧЕТА ПРОПУСКНОЙ СПОСОБНОСТИ ПО ПТОЛ
Исходные данные
Пункт технического обслуживания, расположенный на данном УО, имеет два пути

, и каждый из них оборудован двумя смотровыми стойлами

. Габаритные размеры каждого из стойл рассчитаны на размещение двухсекционного локомотива. Согласно расчетам, выполненным в соответствии с
формулами (4.3,
4.6), среднесуточное число ТО-2, выполняемых электровозам (физическим единицам) ГД данного УО в месяц МРГД, составляет для рассматриваемого i-ПТОЛ

технических обслуживаний (см. пример в
п. 4.3.1.11). При этом нормативный простой в ТО-2

для 78% таких электровозов составляет один час, для 22% - полтора часа. Указанные значения

установлены с учетом потребности времени на оперативную расцепку-сцепку физических единиц в случае если они не размещаются на стойлах, вмещающих две секции.
Данный i-ПТОЛ расположен на станции оборота электровозов ГД смежного УО и в среднем за сутки месяца МРГД выполняет для этих электровозов восемь ТО-2, причем

для них составляет 1,5 ч. На рассматриваемом ПТОЛ, кроме того, ежесуточно выполняются два ТО-2 пассажирским локомотивам (с нормативным простоем - 2 ч), а также пять ТО-2 электровозам, используемым в хозяйственном движении, на маневровой и прочей работе (с нормативным простоем - 1 ч). Техническое обслуживание маневровых тепловозов выполняется на специализированных путях (стойлах) депо и поэтому не включается в расчет величины

(см.
п. 4.3.1.17).
Формализация исходных данных
Приведенные выше сведения о продолжительности выполнения ТО-2 различным локомотивам формализуются следующим образом. Среднесуточное число ТО-2

, выполняемое на данном i-ПТОЛ электровозам ГД данного УО, разделяется на две j-группы. Для первой из них (j = 1) норма простоя составляет 1 ч и

, для второй (j = 2) нормативный простой - 1,5 ч и

. Среднесуточное число

содержит всего одну j-группу с нормой простоя 1,5 ч и

. Число ТО-2 электровозов негрузового движения

подразделяется на две j-группы, для первой из которых норма простоя - 1 ч и

(значение

определено как 5/7, где 5 - число ТО-2 для электровозов хозяйственного движения, маневровой и прочей работы), а для второй j-группы норма простоя - 2 ч и

.
Параметры ПТОЛ: n = 2 (число путей);
m = 2 (число стойл на каждом пути).
Среднесуточное число ТО-2, выполняемое с различным нормативным простоем:
- для электровозов ГД данного УО -

(количество групп J = 2;

и

;

и

);
- для электровозов ГД смежного УО -

(количество групп J = 1;

и

);
- для электровозов негрузового движения -

(количество групп J = 2;

и

;

и

).
Расчет
В соответствии с
формулами (4.11 -
4.13) рассчитывается число путей на данном ПТОЛ, необходимых для выполнения указанного выше суточного числа ТО-2:
| | ИС МЕГАНОРМ: примечание. В официальном тексте документа, видимо, допущена опечатка: таблица 4.1.1 в тексте документа отсутствует. Возможно, имеется в виду таблица П4.1.1. | |
В соответствии с
формулой (4.10) определяется величина К для данного ПТОЛ (с использованием

для n = 2 согласно табл. 4.1.1):
Степень транзитности вагонопотока  | Расчетная величина nмг/nг |
1,2 | 1,4 | 1,6 | 1,8 | 2,0 | 2,2 | более 2,2 |
| 5 | 9 | 12 | 14 | 15 | 16 | 18 |
| 13 | 25 | 35 | 44 | 51 | 56 | 63 |
В завершение расчета вычисляется значение

. В данном примере на участке обращения электровозов ГД, обслуживаемых рассматриваемым и другими (см.
п. 4.3.1.17) пунктами технического обслуживания, размеры грузового движения в месяц МРГД составляют 50 пар поездов

. Тогда в соответствии с формулой (4.9):
Следовательно, при сохранении пропорции распределения числа ТО-2 (электровозов ГД данного УО) между всеми ПТОЛ, обслуживающими эти локомотивы, а также при неизменности числа ТО-2, выполняемых рассматриваемым ПТОЛ для электровозов негрузового движения и для электровозов ГД со смежного УО, размеры грузового движения на данном УО не будут лимитироваться пропускной способностью этого ПТОЛ при их увеличении до 82,6 пар поездов, т.е. при увеличении

в 1/0,605 = 1,65 раза.
Обслуживание маневровых локомотивов
Согласно исходным данным для рассматриваемого примера, на специальном стойле депо выполняются ТО-2 маневровым тепловозам. В соответствии с
п. 4.2.4.5 следует проверить возможность выполнения ТО-2 этим тепловозам на указанном стойле при увеличении размеров грузового движения с

до

(поскольку в этом случае возрастет потребность в маневровых локомотивах, а следовательно, и в ТО-2 для этих тепловозов).
При выполнении указанной проверки первоначально определяется возможная степень увеличения потребной численности маневровых тепловозов, обслуживаемых в данном депо. Для этого используется величина отношения

и данные, приведенные в
табл. П4.1.1. В рассматриваемом примере указанное отношение определяется как 82,6/50 = 1,65. Если в регионе, на станциях которого используются маневровые тепловозы данного депо, степень транзитности вагонопотока превышает 35%, то, согласно
табл. П4.1.1, увеличение потребной численности маневрового парка

составит около 12% и на столько же возрастет среднесуточное число ТО-2 маневровых тепловозов.
Если в месяц МРГД средняя численность эксплуатируемого маневрового парка тепловозов, обслуживаемых в данном депо, - 35 единиц, нормативная периодичность ТО-2 для этих локомотивов - 120 часов,

и нормативное время эксплуатации до ТО-3 составляет 40 суток, то ежесуточная потребность в ТО-2 для маневровых тепловозов

определяется так же, как и

, т.е. по
формуле (4.7):
При увеличении на 12% эта величина составит 7,9 · 1,12 = 8,85 технических обслуживаний.
В рассматриваемом депо для выполнения ТО-2 маневровых тепловозов выделен один путь (n = 1) с одним специализированным стойлом (m = 1), суточный фонд времени работы этого стойла - 16,4 ч, т.е. работа по выполнению ТО-2 организована в две смены. Коэффициент загрузки данного стойла, в соответствии с
(4.10):
где

- расчетная потребность в путях для ТО-2 маневровых тепловозов.
Поскольку на данном стойле выполняется ТО-2 только маневровым тепловозам (с нормативной продолжительностью ТО-2

), то в применяемой для определения
формуле (4.13) 
, а вместо 24 ч, соответствующих круглосуточному использованию стойл на ПТОЛ, в знаменателе применяется 16,4 ч. Тогда:
Таким образом, при увеличении потребности в ТО-2 для маневровых тепловозов на 12% (вследствие возрастания размеров грузового движения с

до

пар поездов) расчетная загрузка рассматриваемого специализированного стойла для выполнения ТО-2 таким локомотивам не превысит допустимую, поскольку 0,811 < 1. В случае K > 1 необходимо увеличение числа стойл для обслуживания маневровых локомотивов (что указывается в пояснительной записке к расчетам пропускной способности по устройствам локомотивного хозяйства) или принятие мер, указанных в
п. 4.1.7.
Исходные данные
Пункт технического обслуживания, расположенный на данном УО, имеет три пути (n = 3), и каждый из них оборудован одним смотровым стойлом (m = 1). Техническое обслуживание локомотивов ГД со смежного УО на рассматриваемом ПТОЛ не выполняется. Прочие исходные данные для расчета пропускной способности этого ПТОЛ соответствуют приведенным в
п. 4.3.1.20.
Расчет
С применением
формул (4.11 -
4.13) определяется потребное число путей для выполнения ТО-2 локомотивам, используемым в грузовом и негрузовом движении (работа):
| | ИС МЕГАНОРМ: примечание. В официальном тексте документа, видимо, допущена опечатка: таблица 4.1.1 в тексте документа отсутствует. Возможно, имеется в виду таблица П4.1.1. | |
Далее определяется величина K с использованием

для n = 3 (согласно
табл. 4.1.1):
При данном расчетном значении K максимально возможные (по пропускной способности данного ПТОЛ) размеры грузового движения составляют:
ПРИМЕРЫ РАСЧЕТА ПРОПУСКНОЙ СПОСОБНОСТИ ПО ЦЕХАМ ТО-3, ТР-1
П.4.2.1. Расчет для i-депо, выполняющего ТР-1 и неплановый ремонт электровозов
Исходные данные
- рассматриваемое i-депо выполняет ТР-1 и НР для 150 электровозов ГД и 20 электровозов негрузового движения (ПР);
- в ремонтном цикле электровозов ГД и ПР техническое обслуживание ТО-3 не предусмотрено;
- нормативные межремонтные пробеги до (между) ТО-1 и до ТР-2 одинаковы для электровозов ГД и ПР, составляя соответственно

и

;
- удельное количество НР электровозов ГД

в месяц МРГД составляет 6,9 рем/млн. км, для электровозов ПР

;
- суммарный пробег электровозов ГД в месяц МРГД

составляет 2250 тыс. км, электровозов ПР

- 200 тыс. км;
- календарная продолжительность месяца МРГД R = 31 сут.;
- цех i-депо, в котором выполняются ТР-1 и НР, работает круглосуточно

без праздничных и выходных дней, т.е.

;
- ремонты ТР-1 и НР для электровозов ГД и ПР выполняются на одних и тех же стойлах, т.е. без разделения этих стойл по видам ремонта и по видам использования (ГД ПР) электровозов;
- наличное количество стойл для выполнения ТР-1 и НР (без учета позиций для обточки КП под электровозом и одиночной выкатки КМБ) составляет

;
- нормативный простой электровоза (ГД, ПР) на стойле при выполнении ТР-1 составляет

;
- средняя длительность фактического простоя электровоза ГД на стойлах при выполнении ТР-1 в месяц МРГД составляет

, электровоза ПР -

(с учетом простоя на позициях обточки КП и выкатки КМБ);
- средняя длительность простоя электровоза (ГД, ПР) на стойлах при выполнении НР (с учетом его простоя на позициях обточки КП и выкатки КМБ) составляет

.
Расчет коэффициентов загрузки стойл
Расчет величины K выполняется в следующей последовательности. Первоначально определяется среднесуточное - для месяца МРГД - количество ремонтов ТР-1 и НР, выполняемое в i-депо для электровозов ГД и ПР.
В соответствии с
формулой (4.15) расчетное среднесуточное число ТР-1 для электровозов ГД составит:
для электровозов ПР:
Расчетное среднесуточное число НР для электровозов ГД определяется:
для электровозов ПР:
Далее по найденным величинам среднесуточной потребности в ремонтах рассчитывается количество стойл, которые необходимы для ТР-1 электровозов ГД. В соответствии с
формулой (4.24):
Для определения

вычисляется отношение:
и тогда:
В соответствии с
формулой (4.25) рассчитывается количество стойл, потребное для выполнения НР электровозам ГД:
Величина

, т.е. число стойл, необходимое для выполнения в данном депо ремонтов ТР-1 и НР для электровозов ГД, определяется в соответствии с
формулой (4.20):
Аналогично производятся вычисления для электровозов ПР (с учетом того, что для них

и, следовательно,

). Согласно
формулам (4.28,
4.29), потребное число стойл для этих электровозов:
В завершение расчета по
формуле (4.2) рассчитывается значение

- коэффициента использования стойл, предназначенных в i-депо для выполнения электровозам ремонтов ТР-1 и НР (при этом по табл. П4.2 принимается

для

):
Показатели | Значения показателей для тепловозов |
наименование | вид обслуж. | норма, факт | измеритель | грузового дв. | в т.ч. вывозн. и передаточн. | пасс. движения | хоз. движения | маневров. раб. |
Межремонтный период | ТО-3 | норма | тыс. км | 10 | | 15 | | |
сут. | | 28 | | 28 | 40 |
ТР-1 | норма | тыс. км | 50 | | 50 | | |
мес | | 6 | | 6 | 9 |
ТР-2 | норма | тыс. км | 150 | | 200 | | |
мес | | 12 | | 12 | 18 |
Простой на ТО-3, ТР-1, НР | ТО-3 | норма | час | 18 | 17 | 15 | 16 | 8 |
факт | час | 27,5 | 24,1 | 21,0 | 19,3 | 9,1 |
ТР-2 | норма | час | 42 | 24 | 36 | 24 | 24 |
факт | час | 53,4 | 47,7 | 39,8 | 42,5 | 26,2 |
НР | факт | час | 48,6 | 34,3 | 30,8 | 26,5 | 12,2 |
Удельное число ремонтов | НР | факт | рем/млн. км | 22,8 | 18,1 | 9,4 | 7,6 | 5,3 |
Суммарный пробег тепловозов за месяц МРГД | факт | тыс. км/млн. км | 606,7 | 116,7 | 118,3 | 24,5 | |
Среднесуточное число тепловозов в экспл. парке | факт | лок/сут. | | 23,8 | | 6,8 | 42,3 |
<*> Величина, определенная по условному пробегу (105 км/сут.) маневрового тепловоза эксплуатируемого парка. |
Пример. Если в приведенном выше примере одно из пяти наличных стойл для производства ТР-1 и НР специализировано для выполнения только неплановых ремонтов (электровозам ГД и ПР), а остальные 4 стойла используются только для ТР-1 этих электровозов, то величина K определяется отдельно по стойлу, выделенному для НР, и отдельно - для группы четырех стойл, предназначенных для ТР-1.
Для стойла, специализированного на выполнении работ НР, в соответствии с
формулой (4.32):
Для четырех стойл, на которых выполняются ТР-1 электровозам ГД и ПР (при

согласно
табл. П4.2 для

):
Определение пропускной способности стойловой части депо.
Из сопоставления величин

и

со значением

, определенным выше, следует, что специализация одного стойла (из пяти наличных) в i-депо на выполнении только НР приводит к тому, что это стойло лимитирует пропускную способность цеха ТР-1 и НР в целом. Так, если

на участке обращения электровозов ГД в месяц МРГД составляет 60 пар грузовых поездов, то в соответствии с
формулой (4.1) наличная пропускная способность этого УО по пяти стойлам i-депо без выделения из их числа одного стойла только для НР составляет:
а при выделении такого стойла:
где

,

- пропускная способность УО, определенная по загрузке соответственно четырех стойл для ТР-1 и одного стойла, специализированного только для НР.
Выделение стойла для выполнения НР в данном случае привело к сокращению загрузки четырех стойл для ТР-1 с 0,596 до 0,575, но повысило загрузку стойла для НР с 0,596 до 0,802. При этом пропускная способность УО снизилась вследствие невозможности i-депо выполнять неплановые ремонты электровозам ГД лишь на одном стойле при увеличении размеров грузового движения, превышающем 74,8 пар поездов.
П4.2.2. Расчет для i-депо, выполняющего ТО-3, ТР-1 и НР тепловозов
Исходные данные:
- рассматриваемое i-депо выполняет технические обслуживания ТО-3, ремонты ТР-1 и НР для 119 тепловозов ГД (в т.ч. 28-ми вывозных и передаточных), 16 пассажирских, 47 маневровых тепловозов, а также для 8-ми тепловозов, используемых в хозяйственном движении и на прочей работе;
- обслуживание указанного числа тепловозов выполняется на четырех специализированных группах стойл, далее обозначаемых как a, b, e, s и предназначенных:
a - для ТО-3 тепловозов ГД (без передаточных и вывозных); данная группа включает в себя два стойла

;
b - для ТР-1 и НР тепловозов ГД (без передаточных и вывозных); эта группа состоит также из двух стойл

;
e - для ТО-3, ТР-1 и НР тепловозов вывозных, передаточных, а также пассажирского и хозяйственного движения; она состоит из трех стойл

;
s - для ТО-3, ТР1 и НР маневровых тепловозов

.
- календарная продолжительность месяца МРГД составляет 30 суток;
- группы стойл a и b, предназначенные для обслуживания тепловозов ГД, используются без праздничных и выходных дней, круглосуточно, т.е. rai = rbi = 30 сут. и Фai = Фbi = 24 ч;
- группы стойл e и s используются только по рабочим дням (для них

.,

);
- значения остальных показателей, используемых для расчета и относящихся к месяцу МРГД, представлены в
табл. П4.2.
Определение среднесуточного числа ТО и ремонтов
Первоначально определяется потребное среднесуточное (в месяц МРГД) число ТО-3, ТР-1 и НР для тепловозов грузового движения (без вывозных и передаточных) в соответствии с
формулами (4.14,
4.15):
Далее по тем же формулам и для того же месяца вычисляется среднесуточное число ТО-3, ТР-1 и НР для пассажирских тепловозов:
Затем по
формулам (4.16,
4.17) рассчитывается среднесуточное в месяц МРГД число ТО-3, ТР-1 и НР для вывозных и передаточных тепловозов:
для маневровых тепловозов:
для тепловозов хозяйственного движения:
В приведенных выше расчетах числа ТО-3 и ТР-1 для вывозных, передаточных и хозяйственных тепловозов нормативная наработка до ТР-1 (6 месяцев) представлена как 365 x 0,5; в расчетах числа ТР-1 для маневровых тепловозов нормативные наработки до ТР-1 и ТР-2 (соответственно 9 и 18 месяцев) приведены в виде 365 x 0,75 и 356 x 1,5.
Оценка загрузки стойл
Расчет коэффициента K выполняется по отдельности для каждой из групп стойл.
Для a-группы стойл, на которых выполняется только ТО-3 тепловозам ГД, величина

согласно
(4.20), определяется как

. По
формуле (4.23) рассчитывается:
С учетом величины

вычисляется

стойл для ТО-3.
Поскольку на a-группе стойл выполняются только ТО-3 тепловозам ГД, то с учетом
(4.30) значение

для этих двух стойл определится как:
где

- наличное число стойл a-группы в i-депо, т.е. 2 стойла;

- коэффициент, значение которого в соответствии с
табл. 4.2 для двух стойл составляет 0,942.
Следовательно, коэффициент использования a-группы стойл в месяц МРГД составляет:
Для b-группы стойл, на которых производятся ТР-1 и НР только тепловозам ГД (за исключением вывозных и передаточных), потребное число стойл в месяц МРГД

вычисляется по
формулам (4.24,
4.25):
где

. Отношение

, согласно
табл. П4.2, составляет 53,4/42 = 1,271 и, следовательно:
Согласно
п. 4.3.2.8 
и, следовательно,

стойл для НР.
Потребность в стойлах для ТР-1 и НР тепловозов ГД:
Значение коэффициента использования данной b-группы стойл:
Для e-группы стойл, предназначенной для обслуживания тепловозов ГД (вывозных и передаточных), а также тепловозов, используемых в грузовом и хозяйственном движении, коэффициент

характеризует загрузку стойл этой группы только обслуживанием тепловозов ГД.
Величина

вычисляется в соответствии с
(4.2), при этом значения

и

рассчитываются с использованием
формул (4.20,
4.22) и для их применения предварительно определяются

,

,

, а также

,

,

.
Для вывозных и передаточных локомотивов:
Отношение

, согласно
табл. П4.2, составляет 24,1 : 17 = 1,418 и, следовательно, в соответствии с
(4.26):
и тогда:
Потребное число стойл для ТР-1 вывозных и передаточных тепловозов вычисляется в такой же последовательности.
Число стойл, необходимое для НР вывозных и передаточных тепловозов:
Суммарная потребность в стойлах для этих тепловозов:
Применительно к выполняемым на той же e-группе стойл ТО-3, ТР-1 и НР пассажирских тепловозов вычисления производятся в порядке, аналогичном изложенному выше:
| | ИС МЕГАНОРМ: примечание. В официальном тексте документа, видимо, допущена опечатка: таблица П.4.3 в тексте документа отсутствует. Возможно, имеется в виду таблица П4.2. | |

и, следовательно,

и

стойл для ТР-1;
Суммарная потребность в стойлах для пассажирских тепловозов составляет:
В той же последовательности определяется суммарная потребность стойл для выполнения ТО-3, ТР-1 и НР тепловозов хозяйственного движения:

;

Потребность i-депо в стойлах для производства ТО-3, ТР-1 и НР для тепловозов пассажирского и хозяйственного движения составляет:
С учетом того, что для наличного числа стойл e-группы

величина

по
табл. П4.2 составляет 0,951, определяется:
Таким образом, степень возможного увеличения численности эксплуатируемого парка вывозных и передаточных тепловозов (при возрастании размеров грузового движения на УО, обслуживаемом i-депо) ограничена всего десятью процентами вследствие выполнения этим локомотивам ТО-3, ТР-1 и НР на трех стойлах e-группы, используемых одновременно для ТО-3, ТР-1 и НР тепловозов пассажирского и грузового движения.
В соответствии с
п. 4.2.4.5 выполняется оценка загрузки e-группы стойл i-депо, на которых обслуживаются маневровые тепловозы. Значения

,

и

определяются с использованием ранее определенных величин среднесуточной потребности в выполнении этим тепловозам ТО-3, ТР-1 и НР, т.е.

,

,

:

;

Поскольку на двух стойлах s-группы обслуживаются только маневровые тепловозы, то значение коэффициента

для этой группы вычисляется:
Пропускная способность стойловой части депо
Таким образом, с использованием исходных данных для рассмотренного примера и с применением способа расчета, представленного в
п. 4.3.2, определены значения коэффициентов загрузки (K) четырех групп специализированных стойл i-депо. Эти значения характеризуют резерв пропускной способности указанных групп стойл, который может быть использован для увеличения пропускной способности УО, обслуживаемого приписным парком локомотивов i-депо. В данном примере - в соответствии с принятой специализацией стойл - значения K определены по отдельности для ТО-3

и для ТР-1, НР

тепловозов ГД, за исключением вывозных и передаточных (ВП). Применительно к тепловозам ВП при расчете величины

учтено, что на стойлах e-группы обслуживаются также локомотивы пассажирского и хозяйственного движения.
Сопоставлением значений K установлено

. Из этого следует, что возможное увеличение размеров грузового движения на УО, обслуживаемом тепловозами i-депо, лимитировано в наибольшей степени загрузкой стойл e-группы, на которых производятся ТО-3, ТР-1 и НР вывозным и передаточным локомотивам. Следующим (по значимости) ограничением является уровень загрузки a-группы стойл.
Дополнительно оценены возможности i-депо по s-группе стойл, на которых обслуживаются только маневровые тепловозы. При этом установлено, что

, т.е. увеличение численности эксплуатируемого парка маневровых тепловозов при возможном росте размеров грузового движения не будет ограничено пропускной способностью s-группы стойл.
Если данное i-депо является единственным, обслуживающим грузовое движение тепловозами, эксплуатируемыми на рассматриваемом УО, а также в случае, если УО обслуживается и другими депо, но при этом именно i-депо в наибольшей степени ограничивает (по пропускной способности стойл для ТО-3, ТР-1 и НР тепловозов ГД) увеличение размеров грузового движения, то необходима своевременная разработка мер, прежде всего, по снижению загрузки стойл этого депо. Первоочередному рассмотрению в данном примере подлежат возможности i-депо по уменьшению

- за счет, например, выполнения ТО-3, ТР-1 и НР тепловозам хозяйственного движения на стойлах не e-группы, а на стойлах s-группы (как наименее загруженных). Далее целесообразно оценить возможность корректировки назначения четырех стойл a-группы и b-группы за счет совместной их специализации на выполнении ТО-3, ТР-1 и НР тепловозов ГД (за исключением ВП-локомотивов). Кроме того, в данном примере к мерам по повышению пропускной способности i-депо может быть отнесено увеличение нормативного времени использования стойл е-группы с 16,4 ч до 24 ч.
В общем случае подлежат рассмотрению и меры, направленные на сокращение фактической длительности нахождения локомотивов на стойлах за счет повышения качества технического обслуживания и ремонта, совершенствования организации труда в ремонтных подразделениях депо, улучшения материально-технического обеспечения и оснащенности депо, а также его обоснованной реконструкции.
НОРМЫ ПРОИЗВОДИТЕЛЬНОСТИ ПЕСКОСУШИЛЬНЫХ ПЕЧЕЙ
Тип печи | Производительность, м3/ч |
Сура (чугунная) | 0,2 |
Жаротрубная | 0,5 |
СОБУ-1 | 0,9 |
СОБУ-1 (барабанная горизонтальная) | 1,4 |
СОБУ-2 | 1,9 |
Диаметром 1000 мм | 2,5 |
ПРИМЕР РАСЧЕТА ЧИСЛА КОМПЛЕКСНЫХ БРИГАД И ЧИСЛЕННОСТИ
ПЕРСОНАЛА ОДНОЙ КОМПЛЕКСНОЙ БРИГАДЫ ДЛЯ ОБЕСПЕЧЕНИЯ
НАЛИЧНОЙ ПРОПУСКНОЙ СПОСОБНОСТИ ПО УСТРОЙСТВАМ ВАГОННОГО
ХОЗЯЙСТВА
Определить численность персонала одной комплексной бригады и число комплексных бригад одной смены парка прибытия из условия обеспечения результативной пропускной способности железнодорожной станции через устройства вагонного хозяйства.
Исходные данные:

- 0,5 ч. - продолжительность обработки поездов в парке прибытия (по условию);

- 68 - среднее количество поездов, прибывающих в сутки, из них: 18 поездов прибывают с интервалом 0,6 часа, 30 поездов - 0,4 часа, 20 поездов - 0,2 часа;
m - 71 физический вагон - средняя длина состава.
Определение потребной (явочной) численности персонала одной комплексной бригады парка прибытия производится по
формуле (5.2):

,
где

- 2,7 нормо-часа - норма времени на техническое обслуживание вагонов в составе одного поезда, приняты в соответствии с таблицей 14 действующих на момент разработки настоящей инструкции "Норм оперативного времени и нормативов численности рабочих на пунктах технического обслуживания грузовых вагонов для ОАО "РЖД", утвержденных ЦЗ А.В. Воротилкиным 18.12.2009 г. (далее Нормы);

- 1,20 - коэффициент времени на обслуживание рабочего места, отдых и личные надобности, подготовительно-заключительные действия, непроизводительные простои, переходы ремонтных бригад.

- 0,5 ч - продолжительность обработки поездов (по условию).
Для разной интенсивности поступления поездов в парк прибытия расчет числа комплексных бригад производится по
формуле (5.4), учитывающей неравномерное прибытие и повышенную плотность поступления поездов:
где

- 0,2 часа - минимальное значение интервала прибытия поездов (по условию).
Принимаем число комплексных бригад - три.
Определить численность персонала одной комплексной бригады и количество комплексных бригад одной смены парка отправления ПТО из условия обеспечения результативной пропускной способности железнодорожной станции через устройства вагонного хозяйства.
Исходные данные:

- 57 минут (0,95 ч.) - продолжительность обработки поездов в парке отправления (для поездов в случае своего формирования;

- 52 - среднее количество поездов в сутки;
m - 71 физический вагон - средняя длина состава;
- интенсивность поступления поездов равномерная;
- длина гарантийного участка проследования поезда 600 км.
Расчет численности персонала одной комплексной бригады парка отправления при обработке поездов своего формирования:

,
где

- (2,2 + 3,1 + 0,626) - нормы времени на техническое обслуживание вагонов в составе одного поезда, нормо-час. В данном примере

определены как сумма нормативов времени выполняемых работ в одном поезде своего формирования парка отправления в соответствии со значениями п. п. П.2.1 таблицы I "Перечень норм времени" Нормам.

- 1,20 - коэффициент времени на обслуживание рабочего места, отдых и личные надобности, подготовительно-заключительные действия, непроизводительные простои, переходы ремонтных бригад, принимается согласно Норм.

- 0,95 ч, продолжительность обработки поездов (по условию).
В целях обеспечения результативной пропускной способности парка отправления ПТО, потребная (явочная) численность персонала одной комплексной бригады корректируется поправочным коэффициентом средней длины состава, равным 1,0 для 71 физического вагона, и коэффициентом, учитывающим длину гарантийного участка, равным - 1,15 для 600 км. Данные коэффициенты принимаются в соответствии со страницей 130 Норм. Расчетная (явочная) численность работников одной комплексной бригады с учетом поправочных коэффициентов:
Т.к. интенсивность поступления поездов в парк отправления невысока и равномерна, расчеты числа комплексных бригад производятся по
формуле (5.3):
где

- 52 - среднее количество поездов в сутки (по условию);

- 0,95 ч. - продолжительность обработки поездов в парке отправления (по условию).
Принимаем число комплексных бригад - две.
При интервалах подачи поездов в парк отправления меньших времени, отпущенного на обработку одного состава, расчеты числа комплексных бригад производятся по
формуле 5.4.
Определить численность персонала одной комплексной бригады и количество комплексных бригад одной смены пункта подготовки вагонов к перевозкам из условия обеспечения результативной пропускной способности железнодорожной станции через устройства вагонного хозяйства.
Исходные данные:

- 60 минут (1 ч.) - продолжительность обработки поездов (по условию);

- 12 - среднее количество поездов, формируемых в сутки (по условию);
m - 71 физический вагон - средняя длина состава (по условию);

- 1,0 - долевое распределение вагонов в составе поезда по родам. По условию один тип: цистерна;
- интенсивность движения поездов - равномерная.
Расчет норм времени

на техническое обслуживание вагонов в составе одного поезда производится по
формуле (5.1):

,
где m - 71 физический вагон - среднее число вагонов в составе поезда (по условию);

- 1,0 - доля вагонов j-ого типа в составе поезда. По условию один тип: цистерна;

- (0,057 + 0,035) - норма времени в нормо-часах, приходящаяся на техническое обслуживание одного вагона j-ого типа в составе поезда, для цистерн определяются как сумма норм времени в соответствии с таблицами N 1 и 2 или N 3 и 4 раздела II.I.I - Пункт подготовки вагонов к перевозкам Норм. В данном примере определены в соответствии с таблицами N 1 и 2 раздела II.I.I - Пункт подготовки вагонов к перевозкам Норм.
k - 1 - количество типов вагонов. По условию один тип: цистерна.
Потребное (явочное) число работников одной комплексной бригады определяется по
формуле (5.2):
где

- нормы времени на восстановление работоспособности вагонов;

- 1,2 - коэффициент времени на обслуживание рабочего места, отдых и личные надобности, подготовительно-заключительные действия, непроизводительные простои, переходы ремонтных бригад, принимается в соответствии с Нормами.

- 1 ч. - продолжительность обработки поездов (по условию).
Т.к. интенсивность поступления поездов равномерна и не превышает времени на обработку состава, расчеты числа комплексных бригад производятся по
формуле (5.3):
где

- 12 - среднее количество поездов в сутки (по условию);

- 1 ч, - продолжительность обработки поездов в парке отправления (по условию);
Принятое количество комплексных бригад - одна.
ПОРЯДОК ОФОРМЛЕНИЯ МАТЕРИАЛОВ ПО РАСЧЕТАМ ПРОПУСКНОЙ
СПОСОБНОСТИ ЖЕЛЕЗНЫХ ДОРОГ
Оформление материалов по расчетам пропускной способности (включая сводные данные) перегонов, станций, электрифицированных линий по устройствам электроснабжения, деповских и экипировочных устройств производится в соответствии с прилагаемыми указаниями, ведомостями и схемами.
Порядок расположения расчетных участков во всех ведомостях должен быть одинаков, при этом вначале вносятся главные направления дороги, а затем - остальные линии. Расчетные участки располагаются в порядке следования по нечетному направлению.
Предоставляется схема дороги с указанием на ней развязок в узлах, технической характеристики и пропускной способности устройств и результативной по расчетным участкам.
ПОРЯДОК ОФОРМЛЕНИЯ МАТЕРИАЛОВ ПО РАСЧЕТАМ ПРОПУСКНОЙ
СПОСОБНОСТИ ПЕРЕГОНОВ И СТАНЦИЙ
Материалы по расчетам пропускной способности перегонов и станций должны быть оформлены в соответствии с прилагаемыми ведомостями и указаниями.
Объем материала должен включать: книгу I - ведомости ЦД
формы N 1 -
11; книгу II - расчеты пропускной и перерабатывающей способности станций, включая ведомости ЦД
формы N 12 -
14, диаграммы поездопотоков и немасштабные схемы станций с подходами и расположением на схеме нечетной стороны станции. Станции должны быть расположены в порядке следования участков в нечетном направлении.
Форма N 1 ЦД, ТЭ, ЦТ, ЦЭКР
(форма N 1 ЦД, ТЭ, ЦТ, ЦЭКР в ред.
Изменений, утв.
Распоряжением ОАО "РЖД" от 24.01.2019 N 114/р)
УТВЕРЖДАЮ
Начальник ____________ ж.д.
___________________________
"__" ______________ 20__ г.
технической характеристики и пропускной способности
участков ____________________ ж.д. по состоянию
на "___" ____________ 20__ г. <*>
N п/п | Наименование расчетного участка | Длина, км | Средства связи по движению поездов | Руководящий подъем туда/обратно, % | Серия локомотива | Масса поездов туда/обратно, т | Кратная тяга туда/обратно, км | Установленная длина состава туда/обратно, усл. ваг. | Размеры движения по техническому плану или заданию туда/обратно, пар поездов |
однопутных | двухпутных |
грузовых | пассажирских | в том числе пригородных |
1 | | | 4 | 5 | 6 | 7 | 8 | 9 | | | 12 | 13 |
| | | | | | | | | | | | |
| | | | | | | | | | | | |
--------------------------------
<*> В
графе 2 вначале вносятся сведения о главнейших направлениях дороги, затем об остальных линиях. Расчетные участки располагаются в порядке следования по нечетному направлению.
В
графах 3 -
10 техническая характеристика принимается в соответствии с действующим графиком движения или по заданию с учетом производимых работ.
В
графах 15 -
19 пропускная способность показывается двумя цифрами: первая - грузовых поездов (в том числе сборных и ускоренных), вторая - пассажирских (в том числе пригородных). Пропускная способность однопутных участков показывается в парах поездов при парном графике и в поездах по каждому направлению при непарном графике, пропускная (перерабатывающая) способность железнодорожных станций и пропускная способность двухпутных участков - отдельно по каждому направлению. В числителе записывается пропускная способность в нечетном направлении, в знаменателе - в четном.
В
графе 11 число поездов показывается физическое, предусмотренное техническим планом месяца максимальных перевозок.
Пропускная способность | Наименование устройств, ограничивающих пропускную способность | Допустимый коэффициент заполнения пропускной (перерабатывающей) способности станции |
перегонов при графике | железнодорожных станций | устройств электроснабжения | деповских и экипировочных устройств | результативная |
параллельном | непараллельном | в нормальном режиме | в режиме интенсивной работы |
| | | | | | | | |
| | | | | | | | |
| | | | | | | | |
Главный инженер железной дороги ________________________________
Начальник дирекции управления движением ________________________
Начальник дирекции по энергообеспечению ________________________
Начальник дирекции тяги ________________________________________
Начальник дирекции связи _______________________________________
Начальник специальной службы ___________________________________
Начальник финансовой службы ____________________________________
_______________
--------------------------------
<*> В
графах 17 -
18 число поездов показывается полученное в результате расчета.
В
графе 16 в числителе проставляется пропускная, в скобках - перерабатывающая способность железнодорожной станции в нечетном направлении, в знаменателе - в четном. Пропускная способность железнодорожной станции принимается из
графы 13 формы N 7ЦД, а перерабатывающая способность - из
графы 19 формы N 7ЦД в поездах.
В
графе 17А вносится наличная пропускная способность по устройствам электроснабжения, а в
графе 17Б для информации - пропускная способность по устройствам электроснабжения в режиме интенсивной работы. Для оценки результативной пропускной способности используются результаты расчета, указанные в
графе 17А.
В
графе 20 вносятся только те устройства, которые имеют пропускную способность ниже заданной или потребной, при этом соблюдается последовательность, установленная
графами 14 -
19.
В
графе 21 в числителе проставляется допустимый коэффициент заполнения пропускной, в скобках - перерабатывающей способности железнодорожной станции в нечетном направлении, в знаменателе - в четном. Допустимый коэффициент заполнения пропускной (перерабатывающей) способности железнодорожной станции определяется в соответствии с
подпунктами 6.6.1 -
6.6.4 настоящей Инструкции.
Форма N 2 ЦД, ТЭ, ЦТ, ЦЭКР
(форма N 2 ЦД, ТЭ, ЦТ, ЦЭКР в ред.
Изменений, утв.
Распоряжением ОАО "РЖД" от 24.01.2019 N 114/р)
УТВЕРЖДАЮ
Начальник ____________ ж.д.
___________________________
"__" ______________ 20__ г.
мероприятий, необходимых для повышения пропускной
способности _________________ ж.д. по состоянию
на "___" ___________ 20__ г. <*>
N п/п | Наименование расчетного участка, железнодорожной станции, межподстанционной зоны или прочего объекта инфраструктуры | Потребные на 20__ г. размеры движения | Пропускная способность | Ограничивающие факторы | Необходимые мероприятия | Имеется ли проект | Ориентировочная стоимость работ, млн. рублей | Примечание |
наличная по расчету на "_" ____ 20_ г. | заданная или потребная на "_" ____ 20_ г. |
грузового | пассажирского |
1 | | | | | 6 | 7 | | 9 | 10 | 11 |
| | | | | | | | | | |
Главный инженер железной дороги ________________________________
Начальник дирекции управления движением ________________________
Начальник дирекции по энергообеспечению ________________________
Начальник дирекции тяги ________________________________________
Начальник службы пути дирекции инфраструктуры __________________
Начальник финансовой службы ____________________________________
_______________
--------------------------------
<*> В
графе 2 вносятся сведения о главнейших направлениях дороги, затем - об остальных линиях. Расчетные участки располагаются в порядке следования по нечетному направлению.
В
графах 3 и
4 потребные размеры движения устанавливаются дирекцией управления движением.
| | ИС МЕГАНОРМ: примечание. В официальном тексте документа, видимо, допущена опечатка: подпункт 7.6.4 отсутствует. | |
В
графе 5 в числителе проставляются допустимые размеры работы по приемо-отправочным путям, горловинам, в скобках - по сортировочным устройствам железнодорожной станции в нечетном направлении, в знаменателе - в четном направлении. Допустимые размеры работы определяются в соответствии с подпунктом 7.6.4 настоящей Инструкции.
В
графе 8 мероприятия вносятся в ведомость для каждого расчетного участка комплексно по следующим объектам: перегонам, железнодорожным станциям, устройствам электроснабжения, деповским и экипировочным устройствам, устройствам водоснабжения.
Подробное описание мероприятий приводится в пояснительной записке.
Ведомость расчета пропускной способности по перегонам
при параллельном графике
__________________ ж.д.
По состоянию на ________ 200 г.
N п/п | Наименование направления, расчетного участка и перегона в порядке следования по нечетному направлению (по участкам) | Длина перегонов, км | Время хода по перегонам, мин | Станционные интервалы, мин | Время на разгон и замедление, мин | Интервал между поездами в пакете, мин | Период непакетного графика, мин | Коэффициент пакетности на перегоне | Период частично-пакетного графика, мин | Пропускная способность перегонов |
нечетных поездов | четных поездов | по станции А | по станции Б |
1 | | 3 | | | | 7 | | 9 | 10 | 11 | 12 | |
| | | | | | | | | | | | |
Начальник дирекции управления движением _________________________________
Примечания: К графе 2. Вначале заносятся сведения о главнейших направлениях дороги, затем - об остальных линиях. Расчетные участки располагаются в порядке следования по нечетному направлению. Перегоны, имеющие закрытые раздельные пункты, заносятся в ведомость и рассчитываются два раза: вначале при закрытых раздельных пунктах, затем при их открытии. Строчки, относящиеся к расчету при открытии закрытых раздельных пунктов, берутся в рамку.
К графам 4 и 5. Указывается время хода поездов по перегону без учета времени на разгон и замедление.
К графам 6 - 8. Указываются станционные интервалы и время на разгон и замедление при схеме пропуска поездов, обеспечивающей наименьший период графика. Интервал по станции А для данного перегона относится к первому по записи раздельному пункту, интервал по станции Б - ко второму.
К графе 13. Пропускная способность однопутных перегонов, оборудованных диспетчерской централизацией, автоблокировкой, а также при наличии постов на перегоне при электрожезловой системе или полуавтоматической блокировке показывается при частично-пакетном графике в парах поездов при парном графике и в поездах по каждому направлению при непарном графике, пропускная способность двухпутных участков показывается отдельно по каждому направлению. В числителе записывается пропускная способность в нечетном направлении, в знаменателе - в четном.
В строке против наименования расчетных участков показываются: серия локомотива, весовая норма грузовых поездов Q, установленная длина состава

, принятые к расчету коэффициенты непарности

и пропускная способность расчетного участка по перегонам при действующих раздельных пунктах

и при открытии закрытых

. Эти данные показываются по направлениям: в числителе - в нечетном направлении, в знаменателе - в четном.
Ведомость расчета пропускной способности по перегонам
при непараллельном графике
__________________ ж.д.
По состоянию на ________ 200 г.
N п. п. | Наименование расчетного участка | Длина участка, км | По действующему графику | Пропускная способность при параллельном графике |
Период графика или межпоездной интервал, мин | Коэффициент пакетности | Размеры движения поездов |
грузовых | в том числе | пассажирских | пригородных |
сборных | ускоренных | со среднеходовой скоростью до 140 км/ч | со среднеходовой скоростью более 140 км/ч |
1 | | 3 | 4 | 5 | 6 | | | | 10 | | |
| | | | | | | | | | | |
Продолжение
По расчету | Пропускная способность при непараллельном графике (грузовых + пассажирских) |
Коэффициент пакетности | Коэффициенты съема | Приведенные размеры движения | Всего грузовых (включая сборные и ускоренные) |
сборных | ускоренных | пассажирских | пригородных | сборных | ускоренных | пассажирских | пригородных |
со среднеходовой скоростью до 140 км/ч | со среднеходовой скоростью более 140 км/ч | со среднеходовой скоростью до 140 км/ч | со среднеходовой скоростью более 140 км/ч |
13 | | 15 | 16 | 17 | | | 20 | 21 | 22 | | | |
| | | | | | | | | | | | |
Начальник дирекции управления движением _________________________________
Примечания: К графе 2. Вначале заносятся сведения о главных направлениях дороги, затем - об остальных линиях. После наименования расчетных участков приводится в скобках наименование ограничивающих перегонов.
К графам 19 - 23. Приведенные размеры движения определяются перемножением физического числа поездов (графы 7 - 11) на соответствующий коэффициент съема (графы 14 - 18).
К графе 24. Общее число грузовых поездов определяется из разности между наличной пропускной способностью при параллельном графике (графа 12) и суммарными приведенными размерами движения (сумма по графам 19 - 23) с добавлением физического числа сборных и ускоренных поездов (сумма по графам 7 - 8).
К графе 25. Пропускная способность при непараллельном графике заносится в виде двух слагаемых, состоящих из общего числа грузовых (графа 24) и пассажирских (сумма по графам 9 - 11) поездов,
.
Ведомость вместимости путевого развития станций
__________________ ж.д.
По состоянию на ________ 200 г.
N п. п. | Наименование станции | Тип станции | Вместимость станции | Примечание |
общая, вагоны | в том числе |
приемо-отправочных путей, поезда/вагоны | сортировочных путей |
1 | | 3 | | | 6 | 7 |
| | | | | | |
Начальник дирекции управления движением ___________________
Примечания: 1. В графе 2 станции располагаются в порядке следования в нечетном направлении; вначале заносятся сведения для главных направлений дороги, затем - для остальных.
2. В графу 4 ведомости вносится общая вместимость приемо-отправочных, сортировочных, погрузочно-выгрузочных и других путей, за исключением следующих: главных путей, вытяжных, ходовых и деповских, путей для хозяйственных нужд дороги, ремонтных, путей для обеспечения безопасности движения (предохранительные тупики и др.). Вместимость подъездных путей указывается отдельно (в основном для грузовых фронтов).
Вместимость станции выражается в условных вагонах (длина условного вагона принимается 14 м), а приемо-отправочных парков, кроме того, и в поездах.
3. Вместимость приемо-отправочных путей определяется по длине составов, установленной графиком движения поездов.
Если полезная длина путей приемо-отправочного парка меньше установленной длины составов, то вместимость парка в поездах равна наибольшему числу поездов установленной длины, которые одновременно могут находиться на всех приемо-отправочных путях. Вместимость в вагонах при этом принимается в соответствии с полезной длиной этих путей (за вычетом длины локомотива).
4. Вместимость путей для погрузки, выгрузки, сортировки, перегруза и экипировки изотермического подвижного состава учитывается по фронтам. Сортировочные пути входят во вместимость в размере 40% своей полезной длины.
5. При разном составе поездов вместимость в графе 5 дается в средневзвешенных поездах.
6. В тех случаях, когда тот или иной путь имеет смешанное назначение, его вместимость учитывается по основному назначению.
В ведомость вносятся все станции, за исключением промежуточных и пассажирских.
Ведомость длин приемо-отправочных путей раздельных пунктов
__________________ ж.д.
По состоянию на ________ 200 г.
N п. п. | Наименование станции | Назначение и характер работы станции | Пути, специализированные для поездов в направлениях | Примечание |
нечетном | четном | обоих |
Номера путей | Полезная длина путей, м | Номера путей | Полезная длина путей, м | Номера путей | Полезная длина путей, м |
1 | 2 | 3 | 4 | 5 | 6 | 7 | 8 | 9 | 10 |
Начальник дирекции управления движением _________________________________
Примечания: 1. В графе 2 раздельные пункты располагаются в порядке следования в нечетном направлении; вначале заносятся сведения для главных направлений дороги, затем - для остальных.
2. Данные о полезной длине приемо-отправочных путей приводятся по всем раздельным пунктам, имеющим путевое развитие.
3. По станциям, имеющим отдельные парки, длины приемо-отправочных путей указываются отдельно по паркам с указанием специализации по направлениям.
4. При отправлении поездов полностью или частично непосредственно с путей сортировочного парка в ведомость заносятся сведения также и о сортировочно-отправочных путях.
5. Раздельные пункты заносятся в ведомость в порядке, принятом для формы N 3 ЦД.
6. В графе 10 указывается наличие утвержденных проектов на удлинение путей, указываются объекты, находящиеся в строительстве, и длина путей, достигаемая после окончания работ.
Сводная ведомость пропускной и перерабатывающей
способности станций
__________________ ж.д.
По состоянию на ________ 200 г.
N п. п. | Наименование станции | Тип станции | Обслуживание стрелок | Направление | Прием или отправление | Пропускная способность |
Наименование | Нечетное или четное | путей | горловин |
Число путей | Число поездов | Номера стрелок | Число поездов |
1 | 2 | 3 | 4 | 5 | 6 | 7 | 8 | 9 | 10 | 11 |
| | | | | | | | | | |
Продолжение
Пропускная способность | Перерабатывающая способность, физические вагоны | Примечание |
результативная по станции | горок | вытяжек | результативная по станции |
По каким устройствам | Число поездов | Наименование | Число, поезда/вагоны | Наименование | Число, поезда/вагоны | По каким устройствам | Число, поезда/вагоны |
12 | | 14 | 15 | 16 | 17 | 18 | | 20 |
| | | | | | | | |
Начальник дирекции управления движением _______________________________
Из __________________________________ По приему (или расформированию)
На __________________________________ По отправлению (или формированию)
Из __________________________________ По приему (или расформированию)
На __________________________________ По отправлению (или формированию)
Примечания: 1. В графе 2 станции располагаются в порядке следования в нечетном направлении; вначале заносятся сведения для главных направлений дороги, затем - для остальных.
2. В прием включаются расформируемые поезда и транзитные без переработки, а в отправление - поезда своего формирования и транзитные без переработки.
3. Графы 9, 11, 13, 15, 17 и 19 заполняются соответственно по данным граф 5 - 10 формы N 14 ЦД.
Сводная ведомость перерабатывающей способности грузовых
станций
__________________ ж.д.
По состоянию на ________ 200 г.
N п. п. | Наименование станции | Наименование и характеристика погрузочных, выгрузочных и перегрузочных устройств станции | Перерабатывающая способность, физические вагоны, по родам грузов | Примечание |
Погрузка | Выгрузка | Перегрузка |
| | | | | | | | | | | |
1 | 2 | 3 | 4 | 5 | 6 | 7 | 8 | 9 | 10 | 11 | 12 | 13 | 14 | 15 | 16 |
| | | | | | | | | | | | | | | |
Итого по станции:
Начальник дирекции управления движением _________________________________
Примечания: 1. В графе 2 станции располагаются в порядке следования в нечетном направлении; вначале заносятся сведения для главных направлений, затем - для остальных.
В графе 3 показывается длина, ширина и высота устройства и расположение относительно железнодорожного пути - боковое, торцовое.
Ведомость строящихся объектов, учтенных при расчете
пропускной способности
__________________ ж.д.
По состоянию на ________ 200 г.
N п. п. | Наименование расчетных участков, перегонов и станций, на которых производятся строительные работы | Наименование строящихся объектов, подлежащих вводу в эксплуатацию в текущем году | Примечание |
1 | 2 | 3 | 4 |
| | | |
Начальник дирекции управления движением _______________________________
Начальник службы электрификации и электроснабжения ____________________
Начальник дирекции тяги _______________________________________________
Начальник службы автоматики и телемеханики ____________________________
Начальник дирекции связи ______________________________________________
Начальник экономической службы ________________________________________
В форму должны быть включены строящиеся объекты, сдача в эксплуатацию которых планируется на период до 31 декабря текущего года.
Примечание. В графе 2 объекты располагаются в порядке следования в нечетном направлении; вначале заносятся сведения для главных направлений, затем - для остальных.
Ведомость длительных предупреждений об ограничении
скорости движения поездов по состоянию пути
и искусственным сооружениям
__________________ ж.д.
По состоянию на ________ 200 г.
N п. п. | Место, где установлено ограничение скорости: перегон, километр, искусственное сооружение, станции | Допускаемая скорость движения поездов, км/ч | На сколько увеличилось время хода по перегону из-за уменьшения скорости, мин | Причины установления ограничения скорости и необходимые мероприятия для снятия предупреждений | Когда предполагается снять предупреждение | Примечание |
нечетных | четных |
1 | 2 | 3 | 4 | 5 | 6 | 7 | 8 |
| | | | | | | |
Начальник дирекции управления движением _________________
Начальник службы пути _________________
Примечание. В графе 2 вначале заносятся сведения о главных направлениях дороги, затем - об остальных линиях в порядке следования в нечетном направлении.
Ведомость наличия железнодорожных путей необщего
пользования, примыкающих к главным путям на перегонах
__________________ ж.д.
По состоянию на ________ 200_ г.
N п. п. | Место примыкания (перегон, километр, к какому главному пути) | Средства связи по движению поездов | Расстояния примыкания от смежных раздельных пунктов в направлении, км | Кому принадлежит примыкание и какое предприятие обслуживает | Число подачи вагонов в среднем за сутки максимального месяца 200_ г. | С какой станции производится подача вагонов на железнодорожный путь необщего пользования, чьим локомотивом и какой серии |
по перегону | по подаче вагонов на пути необщего пользования (тупик) |
нечетном | нечетном |
1 | 2 | 3 | 4 | 5 | 6 | 7 | 8 | 9 |
| | | | | | | | |
Продолжение
Имеется ли в пункте примыкания вспомогательный пост и кто его обслуживает | Профиль и план главного пути в месте примыкания | Профиль и план железнодорожного пути необщего пользования | Наличие в пункте примыкания предохранительного тупика | Возможность постройки в пункте примыкания раздельного пункта | Возможность переноса примыкания на станцию (какую) | Примечание |
Длина подъездного пути, км | Руководящий уклон, % | Минимальный радиус кривой, м |
Уклон, % | Кривая |
10 | 11 | 12 | 13 | 14 | 15 | 16 | 17 | 18 | 19 |
Начальник дирекции управления движением _______________________
Примечание. В графе 2 вначале заносятся сведения о главных направлениях дороги, затем - об остальных линиях в порядке следования в нечетном направлении.
Форма N 11, ЦД, ТЭ, ЦТ, ЦЭКР
ОАО "РЖД" от 24.01.2019 N 114/р)
ВЕДОМОСТЬ
состояния закрытых сооружений и устройств ____________ ж.д.
по состоянию на "__" ____________ 20__ г.
N п/п | Местонахождение сооружения или устройства (расчетный участок, перегон, километр, станция) | Наименование закрытого сооружения или устройства | Техническое состояние сооружения или устройства (какие сооружения и устройства имеются, их состояние, какие работы требуется произвести для подготовки этих сооружений и устройств к эксплуатации) | Эксплуатация устройств Примерная стоимость, тыс. рублей | Через сколько времени может быть открыто | Пропускная способность | Примечание |
без учета закрытого сооружения или устройства | с учетом открытия закрытого сооружения или устройства |
1 | 2 | 3 | 4 | 5 | 6 | 7 | 8 | 9 |
| | | | | | | | |
| | | | | | | | |
Начальник дирекции управления движением ________________________
Начальник дирекции по энергообеспечению ________________________
Начальник дирекции тяги ________________________________________
Начальник дирекции связи _______________________________________
Начальник службы пути дирекции инфраструктуры __________________
Начальник специальной службы ___________________________________
_______________
Исходные данные для расчета пропускной способности
__________________ парка
станции ___________________ ж.д.
Направление движения | Характеристика подхода (выхода) | Число грузовых поездов (без сборных) | Время занятия пути грузовым поездом (без сборных), мин |  (в том числе  ) |  ,  | I | | d | | | Номер подхода (выхода) |
1 | 2 | 3 | 4 | 5 | 6 | 7 | 8 | 9 | 10 | 11 | 12 |
| | | | | | | | | | | |
Начальник дирекции управления движением ________________________________
Примечание. Графы 7 - 11 заполняются при использовании формул (п. 2.3.2.2).
передвижений, совершаемых
по ______________ горловине станции
________________________ ж.д.
Маршрут (передвижения) | Номера стрелок, участвующих в маршруте | Продолжительность занятия маршрута одной операцией  | Число операций по маршруту n' | Продолжительность занятия маршрута всеми операциями  | Номера маршрутов | Элементы, в которые входят стрелки, участвующие в маршруте |
расчетного элемента | остальных элементов |
изменяющимися | постоянными |
1 | 2 | 3 | 4 | 5 | 6 | 7 | 8 | 9 |
| | | | | | | | |
Начальник дирекции управления движением ________________________________
о пропускной и перерабатывающей способности
станции
_________________________ ж.д.
Операция и коэффициент использования | Направление движения | Пропускная способность | Перерабатывающая способность |
путей парка | горловины | результативная | горки | вытяжного пути | результативная |
| | | | | | путей | горловин | станции (системы) | | | | всего |
1 | 2 | 3 | 4 | 5 | 6 | 7 | 8 | 9 | 10 |
Прием расформируемых поездов (расформирование) | | | | | | | | | | | | | | | | |
Прием и отправление транзитных поездов | | | | | | | | | | | - | - | - | - | - | - |
- | - | - | - | - | - |
- | - | - | - | - | - |
- | - | - | - | - | - |
- | - | - | - | - | - |
- | - | - | - | - | - |
Отправление поездов своего формирования (формирование) | | | | | | | | | | | - | | | | | |
- |
- |
- |
Коэффициент использования пропускной (перерабатывающей) способности | | | | | | | | - | - | - | | | | | - | - |
Начальник дирекции управления движением ________________________
Примечания: 1. Пропускная способность указывается в грузовых поездах (в том числе сборных и ускоренных) плюс заданное число пассажирских поездов (в том числе пригородных), которое проставляется только по приему расформируемых поездов и отправлению поездов своего формирования. При этом для очередного рассчитанного парка пассажирские и сборные поезда рассматриваемого направления движения учитываются только в том случае, если они для того же направления движения не были учтены для какого-либо предыдущего парка.
2. Если поезда своего формирования отправляются с сортировочно-отправочных путей, то пропускная способность горловины по отправлению таких поездов указывается не только в графе 4, но и в последнем столбце графы 3.
3. Когда одно и то же сортировочное устройство (например, вытяжной путь безгорочной станции) используется и для расформирования, и для формирования составов поездов, то его перерабатывающая способность должна быть показана в графе 9 и по расформированию, и по формированию.
4. На двусторонней сортировочной станции таблица составляется отдельно для каждой системы; на односторонней станции в приемном (отправочном) парке могут быть выделены группы путей для нечетных и отдельно четных поездов.
5. Если число направлений движения, например, транзитных поездов больше шести, то для них можно занять свободные строки по приему расформируемых поездов или отправлению поездов своего формирования.
Примерное содержание пояснительной записки к расчету
пропускной способности участков по перегонам
В пояснительной записке по перегонам указываются особенности данного расчетного участка и условия его эксплуатации (в дополнение данных по
формам N 3 ЦД и
N 4 ЦД). При этом отражаются: действующая система полуавтоматической блокировки, наличие улавливающих тупиков на перегонах, вынос жезловых аппаратов в горловины станций, применение жезлообменивателей, дисков сквозного прохода и др. Для сложных условий эксплуатации (сплетение путей, негабаритные тоннели, большие мосты, паромные переправы, совмещение нормальной и западноевропейской колеи, участки с толканием и др.) в записке должны быть приведены подробные расчеты и схемы. Кроме того, требуется указать наличие обвальных, оползневых, подмываемых, сильно заносимых мест, на которых имели место перерывы в движении поездов.
При наличии автоблокировки и диспетчерской централизации освещаются условия для расчетных интервалов в пакете или безостановочных скрещений поездов как по перегонам, так и по станциям. В записке указываются участки обращения вывозных и передаточных поездов, местных замкнутых маршрутов из специального подвижного состава.
Для усиления пропускной способности расчетных участков по перегонам, помимо мероприятий, указываемых по
форме N 2 ЦД, в пояснительной записке необходимо отразить организационно-технические меры, которые могут быть осуществлены на ограничивающих перегонах в короткий срок без больших капитальных вложений: открытие постов, вынос жезловых аппаратов в горловины станций, перенос отдельных сигналов, укладка параллельных съездов, изоляция маневровой работы, секционирование маршрутов, применение скоростного подталкивания, увеличение пакетности движения и др.
В записке поясняются также причины основных изменений пропускной способности направлений по сравнению с предыдущим расчетом.
Примерное содержание пояснительной записки к расчету
пропускной способности путевого развития
станции .............. ж.д.
I. Характеристика работы станции
1. Станция .......... по основному назначению и характеру работы является (грузовой, сортировочной, участковой, пассажирской).
2. Станция выполняет по пассажирскому и грузовому движению следующие операции (перечисляются операции по пропуску пассажирских и пригородных поездов, операции по пропуску и обработке грузовых поездов в соответствии с планом формирования и др.).
3. В узлах при наличии нескольких станций приводятся специализация и характеристика работы каждой станции и их взаимодействие между собой.
4. Станция имеет подходы:
Наименование подхода | Число главных путей | Руководящий подъем,  | Серия локомотивов | Весовая норма грузовых поездов нечетных/четных | Средства связи при движении поездов |
| | | | | |
5. К станционным путям примыкают железнодорожные пути необщего пользования:
Наименование железнодорожного пути необщего пользования и в чьем ведении находится | К какому пути примыкает и номер стрелки примыкания | Протяженность железнодорожного пути необщего пользования, км | Число подач в сутки | Грузооборот железнодорожного пути необщего пользования в сутки |
| | | | |
6. Станция обслуживает железнодорожные пути необщего пользования, примыкающие на перегонах:
Наименование железнодорожного пути необщего пользования и в чьем ведении находится | Километры и перегоны примыкания | Устройства СЦБ и связи в пункте примыкания | Протяженность железнодорожного пути необщего пользования, км | Число подач в сутки | Грузооборот железнодорожного пути необщего пользования в сутки |
| | | | | |
Далее приводятся схемы примыкания железнодорожных путей необщего пользования на перегонах и излагается порядок их обслуживания.
7. Обслуживание поездов локомотивами на прилегающих к станции участках:
а) пассажирское движение
Участок ____________________ локомотивное депо ________________________
" ____________________ " " ________________________
" ____________________ " " ________________________
б) грузовое движение
Участок ____________________ локомотивное депо ________________________
" ____________________ " " ________________________
" ____________________ " " ________________________
8. Имеются следующие устройства для экипировки локомотивов на путях станции (указать местоположение этих устройств).
9. Станция имеет следующие приемо-отправочные парки или группы приемо-отправочных путей:
Наименование парка или группы путей | Номера путей | Наименование каждого пути | Полезная длина, м |
| | | |
10. Станция имеет следующие устройства для расформирования и формирования поездов:
Наименование устройства (автоматизированная, механизированная, немеханизированная горка, вытяжка) | На какие направления работает |
| |
Далее указываются основные данные по каждому виду устройств (число путей надвига и число путей роспуска через вершину горки, число путей в подгорочном парке, полезная длина вытяжек), а также число локомотивов, обслуживающих эти устройства.
11. Станция имеет следующие грузовые и перегрузочные устройства:
Наименование устройства и его характеристика (длина, ширина и высота устройства, расположение относительно железнодорожного пути - торцовое, боковое) | Номер пути | Фронт | Грузооборот в сутки | Число подач в сутки |
м | условные вагоны |
| | | | | |
12. Станция имеет следующие стрелочные районы (указываются районы и входящие в них посты, а также способ обслуживания стрелок).
II. Прием и отправление поездов
Наименование направления | Общее число поездов | Род поездов | Число поездов по роду | Пути и парки приема (отправления) поездов | Номера стрелок входящих в маршрут приема (отправления) поездов |
| | | | | |
а) прием поездов;
б) отправление поездов.
Примечание. При наличии поездов с двойной тягой и поездов повышенного веса и соединенных должно быть указано их число.
Нормы на занятие устройств станции
В соответствии с технологическим процессом работы станции расчетные нормы на занятие устройств станции составляют:
а) занятие горловин станции приемом и отправлением поездов
Наименование направления | Общее время на приготовление маршрута, мин | По приему | По отправлению | Примечание |
| время на проход поездом расстояния, указанного в графе | общее время на прием поезда, мин | | время на проход поездом расстояния, указанного в графе 6, мин | общее время на отправление поезда, мин |
1 | 2 | 3 | 4 | 5 | 6 | 7 | 8 | 9 |
Прием поездов: | | | | | | | | |
из А | | | | | | | | |
" Б | | | | | | | | |
" В | | | | | | | | |
Отправление поездов: | | | | | | | | |
на А | | | | | | | | |
" Б | | | | | | | | |
" В | | | | | | | | |
б) занятие приемо-отправочных путей
Наименование операции | Общее время занятия пути, мин | В том числе |
прием поезда | техническая стоянка (по технологическому процессу) | отправление поезда | уборка состава в сортировочный парк | подача состава из сортировочного в отправочный парк |
1 | 2 | 3 | 4 | 5 | 6 | 7 |
Прием грузовых поездов в расформирование | | | | | | |
Пропуск грузовых Транзитных поездов | | | | | | |
Отправление грузовых поездов своего формирования и т.п. | | | | | | |
в) занятие горловин станции маневровыми передвижениями
Наименование станции | Номера стрелок, участвующих в маршруте | Продолжительность операции |
| | |
г) занятие горок, вытяжек
Наименование устройства | Род поезда | Время на операцию, мин | Как определено это время |
по формированию одновременно с расформированием поезда | по расформированию поезда | по формированию поезда |
| | | | | |
III. Расчет пропускной и перерабатывающей способности
устройств станции
1. Пропускная и перерабатывающая способность станции рассчитывалась для следующих устройств (указываются устройства станции).
Далее следует расчет указанных устройств в полном соответствии с Инструкцией с заполнением
форм N 12 и
13 ЦД. Прилагается схема каждой рассчитываемой горловины с указанием объединения стрелок в элементы в соответствии с
п. 2.4.2.
В соответствии с технологическим процессом работы станции и расчетными размерами движения наиболее загруженными являются ............... (указываются устройства станции).
2. На основе анализа пропускной способности отдельных устройств результативная пропускная способность станции характеризуется данными, приведенными в таблице
формы N 14 ЦД. При этом, в случае когда результативная пропускная способность станции устанавливается как сумма по горловинам и паркам, в пояснительной записке приводится ее расчет в соответствии с
п. 2.9.4.
3. При несоответствии расчетной пропускной способности, потребной на одном из направлений, производится перераспределение пропускной способности в соответствии с
п. 2.9.5.
Выводы
Расчет показал, что устройствами, ограничивающими пропускную способность станции, являются ....... (приводятся эти устройства).
Устройствами, ограничивающими перерабатывающую способность станции, являются ......... (приводятся эти устройства).
При расчете пропускной способности для ее увеличения были проведены следующие организационные мероприятия ......... (дается перечень этих мероприятий).
Дальнейшими мероприятиями по увеличению пропускной способности станции должны быть ........... (дается перечень мероприятий).
Далее указываются эффективность каждого намеченного мероприятия и общие выводы о необходимых работах по дальнейшему усилению путевого развития станции.
В конце пояснительной записки прикладывается немасштабная схема станции с подходами и расположением на схеме справа нечетной стороны станции, на которой указываются:
- ограничивающие площадку уклоноуказатели по каждому направлению;
- расстояния до входных сигналов;
- нумерация путей и стрелочных переводов.
В узлах приводится схема узла с подходами и путепроводными развязками.
К записке прикладывается диаграмма поездопотоков с обязательным показом на ней, с какой линии на какую следуют транзитные поезда без переработки (см.
рис. П2.1.2).
ПОРЯДОК
ВЫПОЛНЕНИЯ РАСЧЕТОВ ПРОПУСКНОЙ СПОСОБНОСТИ УЧАСТКОВ
ПО УСТРОЙСТВАМ ЭЛЕКТРОСНАБЖЕНИЯ И ОФОРМЛЕНИЯ ИХ РЕЗУЛЬТАТОВ
(приложение 6.2 в ред.
Изменений, утв. Распоряжением
ОАО "РЖД" от 24.01.2019 N 114/р)
Основные исходные данные и результаты расчетов наличной пропускной способности представляются в виде документа "Результаты расчета наличной пропускной способности участков
N-ой железной дороги по устройствам электроснабжения за 20__ год", включающего пояснительную записку, и комплект отчетных
форм N 1ЭП,
N 2ЭП,
N 3ЭП,
N 4ЭП,
5ЭП с титульными листами.
род тока и напряжение системы тягового электроснабжения;
режим расчета - обозначение А или Б и его наименование;
наименования железной дороги и расчетного участка;
отчетный период, к которому относится выполненный расчет;
заданный межпоездной интервал;
краткая характеристика схемы питания и секционирования - наличие включенного резервного оборудования, постов секционирования (ПС) и пунктов параллельного соединения (ППС) контактной сети;
параметры исходного параллельного графика движения по каждому направлению движения - общее количество поездов, в том числе количество грузовых поездов наибольшей массы Qнб и средней массы Qср;
список файлов исходных данных.
Отчетная
форма N 1ЭП содержит основные параметры системы электроснабжения расчетного участка. В таблице чередуются строки, относящиеся к тяговым подстанциям и питаемым ими межподстанционным зонам. В первой графе приведены наименования тяговых подстанций и эксплуатационная длина межподстанционных зон в километрах. Примечание "конс." означает, что тяговая сеть межподстанционной зоны получает одностороннее (консольное) питание до указанного граничного объекта, который не является тяговой подстанцией.
Графы 2 -
4 формы N 1ЭП для системы постоянного тока содержат значения суммарной номинальной мощности включенных понижающих, преобразовательных трансформаторов и номинального тока выпрямителей. Множитель "
nx" указывает количество включенных единиц оборудования. Для тяговых подстанций с одноступенчатой трансформацией напряжения, не имеющих понижающих трансформаторов, в
графе 2 записывается "Нет". В
графе 5 приведено значение мощности трехфазного короткого замыкания на вводе тяговой подстанции
Sкз, которым характеризуется нагрузочная способность системы внешнего электроснабжения. Мощность
Sр районной нагрузки и нетяговых потребителей, получающих питание от тех же трансформаторов, что и тяговая нагрузка, представлена в
графе 6.
Графа 7 таблицы содержит информацию о включенных линейных устройствах в межподстанционных зонах. Например, запись "-П-С-" показывает, что в схеме питания и секционирования межподстанционной зоны имеются пост секционирования и пункт параллельного соединения, расположенный между постом секционирования и левой тяговой подстанцией. В остальных графах таблицы приводятся наименования марок и сечения проводов тяговой сети каждого пути. Символ "%" в марке контактного провода (например, МФ%100) означает, что принятый в расчетах износ этого провода составляет 15% от номинальной площади поперечного сечения.
Аналогичную структуру имеет вариант
формы N 1ЭП для систем переменного тока. В
графе 3 указывается наличие технических средств компенсации реактивной мощности:
устройств поперечной (КУ) компенсации реактивной мощности в левом (л) или правом (п) плече питания тяговой подстанции;
устройств продольной (УПК) компенсации реактивной мощности в левом (л) или правом (п) плече питания или в заземленной фазе "с" понижающего трансформатора (с);
устройств компенсации реактивной мощности на постах секционирования (КУ на ПС).
Для дополнительных проводов тяговой сети переменного тока используются следующие обозначения: "эА-185" - экранирующий провод марки А-185 в тяговой сети с экранированным усиливающим проводом.
При системе электроснабжения переменного тока 2 x 25 кВ с однофазными трансформаторами значения их номинальной мощности в
графе 2 формы N 1ЭП указываются отдельно для левого/правого плеча питания. То же относится и к значениям напряжения холостого хода на шинах тяговой подстанции плеч
(графа 6). В
графе 7 наряду с информацией о наличии линейных объектов приводится количество автотрансформаторных пунктов питания в межподстанционной зоне. Для дополнительных проводов тяговой сети переменного тока используются следующие обозначения, например: "пА-185" - питающий провод марки А-185.
В
форме N 2ЭП представлены результаты расчета допустимых межпоездных интервалов по нагрузочной способности устройств электроснабжения в каждой межподстанционной зоне расчетного участка. Значения, превышающие заданное значение интервала
Jзад, отмечаются знаком "*". В последней графе приведены результирующие (наибольшие) значения межпоездных интервалов по межподстанционным зонам, а в последней строке - по всему расчетному участку. В вариантах формы N 2ЭП для систем электроснабжения переменного тока:
25 кВ - графа 3 отсутствует;
2 x 25 кВ - в графе 3 указываются допустимые межпоездные интервалы по нагрузочной способности автотрансформаторов автотрансформаторных пунктов питания.
Форма N 3ЭП содержит таблицу заданных размеров движения, значения продолжительности технологического окна и коэффициентов надежности групп оборудования. Для однопутного участка дополнительно приводится наименование лимитирующего перегона, суммарное время хода по нему
Tхс нечетного и четного поездов, значения станционных интервалов скрещения
Jскр и неодновременного прибытия поездов противоположных направлений
Jнп.
В
форме N 4ЭП приведено наибольшее допустимое количество поездов расчетной категории в нечетном/четном направлениях, ограниченное нагрузкой устройств системы электроснабжения. Количество поездов меньше заданного отмечается знаком "*". В последней графе приведены результирующие (наименьшие) количества поездов по межподстанционным зонам, а в последней строке - по всему расчетному участку. В вариантах формы N 4ЭП для систем переменного тока графы аналогичны
форме N 2ЭП. Итоговые данные по наличной суточной пропускной способности участка представлены под таблицей согласно требованиям к форме N 1ЦД, ТЭ, ЦТ, ЦЭКР. При обращении на расчетном участке соединенных поездов показывается физическое количество поездов. Для однопутного участка пропускная способность приводится отдельно при парном непакетном и парном частично пакетном типах графика движения.
Форма N 5ЭП содержит перечень ограничивающих устройств электроснабжения на тяговых подстанциях и в межподстанционных зонах, нагрузочная способность которых не обеспечивает пропуск поездов с заданным интервалом или лимитирует заданные размеры движения поездов. Эти данные используются для заполнения графы 20 формы N 1ЦД, ТЭ, ЦТ, ЦЭКР. Принятые обозначения в каждом варианте формы для соответствующей системы электроснабжения приведены под таблицей. В скобках представлены значения коэффициентов использования нагрузочной способности ограничивающих устройств. Эти значения показывают, во сколько раз требуется повысить номинальную мощность трансформаторов и выпрямителей, увеличить допустимый длительный ток тяговой сети или снизить сопротивление системы электроснабжения.
В пояснительной записке должны быть описаны особенности выполнения расчетов, системы внешнего и тягового электроснабжения расчетных участков с указанием, например, года электрификации, количества главных путей, наличия двухпутных (многопутных) вставок, использования кратной тяги в поездах повышенной массы или перечня участков, на которых организовано движение с подталкивающими локомотивами, и прочие характеристики, влияющие на пропускную способность участка, результаты проверочных расчетов в соответствии с
приложением N 3.1 к настоящей Инструкции.
Форма титульного листа
Результаты расчета пропускной способности
по устройствам тягового электроснабжения
Вид расчета: | А | Наличная суточная пропускная способность |
Дорога: Западно-Сибирская
Участок: ВХОДНАЯ - КАБАКЛЫ
По состоянию на 20 февраля 2018 г.
Расчетные параметры:
Заданный межпоездной интервал Jзад = 8 мин;
Схема питания: резерв отключен; ПС, ППС включены
Паралл. график: | 1-й путь неч. 100 п. | Qнб = 9 276 (1/4); Qср = 5 283 т; |
| 2-й путь чет. 100 п. | Qнб = 7 184 (1/3); Qср = 3 563 т; |
Категория поездов: | неч. | Грузовой 2ВЛ10 |
| чет. | Грузовой 2ЭС6 |
Исполнитель:
Митрякин Р.А.,
электромеханик дорожной
электротехнической лаборатории
Западно-Сибирской дирекции
по энергообеспечению,
тел. (3812) 44-27-61 _______________________
Форма титульного листа
Результаты расчета пропускной способности
по устройствам тягового электроснабжения
Вид расчета: | Б | Наличная суточная пропускная способность в режиме интенсивной работы |
Дорога: Восточно-Сибирская
Участок: ТАЙШЕТ - НИЖНЕУДИНСК
По состоянию на 20 февраля 2018 г.
Расчетные параметры:
Заданный межпоездной интервал Jзад = 8 мин;
Схема питания: резерв на всех

; ПС, ППС включены
Паралл. график: | 1-й путь неч. 100 п. | Qнб = 4 392 (1/4); Qср = 1 764 т; |
| 2-й путь чет. 100 п. | Qнб = 7 484 (1/3); Qср = 5 988 т; |
Категория поездов: | неч. | Грузовой 3ЭС5К |
| чет. | Грузовой 2 x 2ЭС5К |
Исполнитель:
Гладких С.П.,
старший электромеханик дорожной
электротехнической лаборатории
Восточно-Сибирской дирекции
по энергообеспечению,
тел. (3952) 63-26-48 _______________________
Параметры устройств электроснабжения системы
постоянного тока
Наименование тяговой подстанции, длина зоны, км | Суммарная номинальная мощность трансформаторов, ток выпрямителей | Мощн. к.з. на вводе Sкз, МВ·А | Район. нагрузка Sр, МВ·А | Напряж. холост. хода Uхх, В | Данные межподстанционных зон |
наличие включ. ПС (-С-), ППС (-П-) | марки проводов контактной сети пути |
пониж., МВ·А | преобр., МВ·А | выпрям., А | первого | второго |
1 | | 3 | | | | | 8 | 9 | 10 |
Западная | 20,0 | 11,4 (12п) | 3 150 | 2 650 | 3,40 | 3 600 | - | - | - |
13,5 | - | - | - | - | - | - | -С- | М-120+2МФ%100 | М-120+2МФ%100+А-185 |
Багрово | Нет | 2 x 6,3 | 3 000 | 345 | - | 3 550 | - | - | - |
11,0 | - | - | - | - | - | - | -П-С-П- | М-120+2МФ%100+А-185 М-120+2МФ%100 | М-120+2МФ%100 |
Обручево | 20,0 | 11,4 (12п) | 3 150 | 1 160 | 1,17 | 3 600 | - | - | - |
... | ... | ... | ... | ... | ... | ... | ... | ... | ... |
Харитоново | 20,0 | 11,4 (12п) | 3 150 | 574 | 5,43 | 3 600 | - | - | - |
6,9 | - | - | - | - | - | - | -П-С- | М-120+2МФ%100+А-185 | М-120+2МФ%100+А-185 |
Восточная (конс.) | - | - | - | - | - | - | - | - | - |
Параметры устройств электроснабжения системы
переменного тока 25 кВ (2 x 25 кВ)
Наименование тяговой подстанции, длина зоны, км | Суммарная номин. мощность тр-ров, МВ·А (лев./прав.) | Наличие КУ и УПК (л, п - в левом, правом плече, с - в фазе с) | Мощн. к.з. на вводе Sкз, МВ·А | Район. нагрузка Sр, МВ·А | Напряж. холост. хода Uхх, кВ | Данные межподстанционных зон |
наличие включенных ПС (-С-), ППС (-П-), колич. АТП | марки проводов тяговой сети пути |
первого | второго |
1 | | | 4 | 5 | | | 8 | 9 |
Нечаевская | 25/25 | - | 1 380 | 2,46 | 27,5/28,0 | - | - | - |
61,3 | - | - | - | - | - | -С- 3АТП | ПБСМ-95+МФ-100+пА-185 | ПБСМ-95+МФ-100+пА-185 |
Терехово | 25/2 x 25 | - | 846 | 3,87 | 28,0/27,5 | - | - | - |
56,3 | - | КУ на ПС | - | - | - | -С- 3АТП | ПБСМ-95+МФ-100+пА-185 | ПБСМ-95+МФ-100+пА-185 |
Зареченск | 25/25 | - | 1 730 | - | 27,5/27,5 | - | - | - |
35,2 | - | - | - | - | - | -П- | ПБСМ-95+МФ-100+пА-185 | ПБСМ-95+МФ-100+пА-185 |
Пересветово | 40 | - | 1 000 | 3,20 | 27,5 | - | - | - |
57,8 | - | - | - | - | - | -С- 5АТП | ПБСМ-95+МФ-100+пА-185 | ПБСМ-95+МФ-100+пА-185 |
Жданово | 40 | УПКл | 2 159 | 4,22 | 27,5 | - | - | - |
Допустимые межпоездные интервалы
(система постоянного тока)
Наименование межподстанционной зоны | Значение интервала, мин., ограниченное | Результирующее значение |
мощностью пониж. тр-ров | мощностью преобр. тр-ров | мощностью выпрямителей | напряжением в тяг. сети | нагревом проводов тяг. сети |
1 | 2 | 3 | 4 | 5 | 6 | 7 |
Западная - Багрово | | 7 | 7 | 6 | 7 | |
Багрово - Обручево | - | | | 7 | | |
... | ... | ... | ... | ... | ... | ... |
Харитоново - Восточная (конс.) | 6 | 9 <*> | 9 <*> | 6 | 6 | 9 <*> |
Западная - Восточная | 10 <*> | 13 <*> | 18 <*> | 7 | 19 <*> | 19 <*> |
--------------------------------
<*> Значение больше заданного.
Допустимые межпоездные интервалы
(система переменного тока 25 кВ)
Наименование межподстанционной зоны | Значение интервала, мин., ограниченное | Результирующее значение |
мощностью пониж. тр-ров | напряжением в тяг. сети | нагревом проводов тяг. сети |
1 | 2 | 5 | 6 | 7 |
Нечаевская - Терехово | | 6 | 7 | |
Терехово - Зареченск | 8 | 7 | 6 | 8 |
... | ... | ... | ... | ... |
Пересветово - Жданово | 8 | 6 | 6 | 8 |
Западная - Восточная | 10 <*> | 7 | 7 | 10 <*> |
--------------------------------
<*> Значение больше заданного.
Допустимые межпоездные интервалы
(система переменного тока 2 x 25 кВ)
Наименование межподстанционной зоны | Значение интервала, мин., ограниченное | Результирующее значение |
мощностью пониж. тр-ров | мощностью автотр-ров | напряжением в тяг. сети | нагревом проводов тяг. сети |
1 | 2 | 3 | 5 | 6 | 7 |
Нечаевская - Терехово | | 7 | 6 | 7 | |
Терехово - Зареченск | | | 7 | 6 | |
... | ... | ... | ... | ... | ... |
Пересветово - Жданово | 6 | 9 <*> | 6 | 6 | 9 <*> |
Западная - Восточная | 12 <*> | 13 <*> | 7 | 7 | 13 <*> |
--------------------------------
<*> Значение больше заданного.
Исходные данные для расчета пропускной способности
Продолжительность технологического окна Tтех = 150 мин.
Коэффициенты

надежности: тяговых подстанций - 0,999;
тяговой сети по нагреву - 0,998;
по уровню напряжения - 0,997.
Размеры движения по заданию:
Вид движения | Нечетное направление | Четное направление |
поездов в сутки | масса, т | коэфф. съема | поездов в сутки | масса, т | коэфф. съема |
Пассажирское | 12 | - | 1,96 | 12 | - | 1,96 |
Пригородное | 6 | - | 1,73 | 6 | - | 1,73 |
Грузовое: наиб. массы | 26 | 6 285 | - | - | - | - |
средней массы | 54 | 4 390 | - | 80 | 3 890 | - |
Всего: груз. + пасс. | 80 + 18 | - | - | 80 + 18 | - | - |
Наличная пропускная способность расчетного участка
по устройствам тягового электроснабжения
(система постоянного тока)
Наименование межподстанционной зоны | Число грузовых (пассажирских/пригородных) поездов (неч./чет.) в сутки, ограниченное | Результирующее значение |
мощностью пониж. тр-ров | мощностью преобр. тр-ров | мощностью выпрямителей | напряжением в тяг. сети | нагревом проводов тяг. сети |
1 | 2 | 3 | 4 | 5 | 6 | 7 |
Западная - Багрово | 195/195 | 167/167 | 167/167 | 194/194 | 166/166 | 166/166 |
Багрово - Обручево | - | 90/90 | | 166/166 | | |
... | ... | ... | ... | ... | ... | ... |
Харитоново - Восточная (конс.) | 195/195 | 130/130 | 130/130 | 194/194 | 194/194 | 130/130 |
Западная-Восточная | 117/117 | 90/90 | 63 <*>/63 <*> | 166/166 | 61 <*>/61 <*> | 61 <*>/61 <*> |
--------------------------------
<*> Значение меньше заданного.
Суточная наличная пропускная способность расчетного участка составляет (груз. + пасс., неч./чет.):
61 + 12/61 + 12, в т.ч. грузовых наибольшей массы 20/20, пригородных 4/4.
Наличная пропускная способность расчетного участка
по устройствам тягового электроснабжения
(система переменного тока 25 кВ)
Наименование межподстанционной зоны | Число грузовых (пассажирских/пригородных) поездов (неч./чет.) в сутки, ограниченное | Результирующее значение |
мощностью пониж. тр-ров | напряжением в тяг. сети | нагревом проводов тяг. сети |
1 | 2 | 5 | 6 | 7 |
Нечаевская - Терехово | 81/81 | 116/116 | 174/174 | 81/81 |
Терехово - Зареченск | 95/95 | 131/131 | 174/174 | 95/95 |
... | ... | ... | ... | ... |
Пересветово - Жданово | | 131/131 | 149/149 | |
Западная - Восточная | 62 <*>/62 <*> | 116/116 | 149/149 | 62 <*>/62 <*> |
--------------------------------
<*> Значение меньше заданного.
Суточная наличная пропускная способность расчетного участка составляет (груз. + пасс., неч./чет.):
62 + 18/62 + 18, в т.ч. грузовых наибольшей массы 20/20, пригородных 4/4.
Наличная пропускная способность расчетного участка
по устройствам тягового электроснабжения
(система переменного тока 2 x 25 кВ)
Наименование межподстанционной зоны | Число грузовых (пассажирских/пригородных) поездов (неч./чет.) в сутки, ограниченное | Результирующее значение |
мощностью пониж. тр-ров | мощностью автотр-ров | напряжением в тяг. сети | нагревом проводов тяг. сети |
1 | 2 | 3 | 5 | 6 | 7 |
Нечаевская - Терехово | 81/81 | 104/104 | 116/116 | 174/174 | 81/81 |
Терехово - Зареченск | 95/95 | 149/149 | 131/131 | 174/174 | 95/95 |
... | ... | ... | ... | ... | ... |
Пересветово - Жданово | | 174/174 | 131/131 | 149/149 | |
Западная - Восточная | 62 <*>/62 <*> | 104/104 | 116/116 | 149/149 | 62 <*>/62 <*> |
--------------------------------
<*> Значение меньше заданного.
Суточная наличная пропускная способность расчетного участка составляет (груз. + пасс., неч./чет.):
62 + 18/62 + 18, в т.ч. грузовых наибольшей массы 20/20, пригородных 4/4.
Ограничивающие устройства тягового электроснабжения
Наименование тяговой подстанции, межподстанционной зоны | Перечень ограничивающих устройств |
Нечаевская | Тп (1,57) |
Терехово | Тл (1,28) Тп (1,01) |
Зареченск | Тл (1,27) Тп (1,21) |
Пересветово | Т (1,48) |
Жданово | Т (1,95) |
Нечаевская - Терехово | А1 (1,24) U1 (1,05) |
Обозначения:
Тл, Тп - понижающий трансформатор левого, правого плеча;
АN - автотрансформаторы пути N;
КN - контактная сеть пути N по нагреву;
ПN - питающий провод пути N по нагреву;
UN - контактная сеть пути N по напряжению.
В скобках - коэффициенты использования нагрузочной способности.
ПОРЯДОК ОФОРМЛЕНИЯ МАТЕРИАЛОВ ПО РАСЧЕТАМ ПРОПУСКНОЙ
СПОСОБНОСТИ УЧАСТКОВ ПО ДЕПОВСКИМ И ЭКИПИРОВОЧНЫМ
УСТРОЙСТВАМ
6.3.1. Материалы по расчетам пропускной способности участков по деповским и экипировочным устройствам должны быть оформлены в соответствии с прилагаемыми выходными
формами N 1 -
24 ЦТ. Указанные материалы должны включать:
- расчетные данные (по установленной форме);
- схему тягового обслуживания (с указанием заданных размеров движения и пропускной способности устройств);
- пояснительную записку.
Виды ТО и плановых ремонтов, указываемые в реквизитах выходных
форм N 5,
6,
7,
16,
18 и
23 ЦТ, должны соответствовать видам ТО и таких ремонтов (выполняемых в депо), установленным документацией ОАО "РЖД", регламентирующей систему технического обслуживания и ремонта локомотивов.

- основное депо;

- оборотное депо или пункт оборота;

- тяговые петли грузового движения;

- работа локомотивов по кольцу;

- работа локомотивов по петле.
6.3.2. Полученные в результате расчетов пропускной способности данные представляются на схеме тягового обслуживания (см.
рис. П6.3.1) следующим порядком: каждый участок дороги, а также каждый типовой маршрут локомотивов ГД (плечо, кольцо, петля и т.д.) обозначаются разными цветами, данные о пропускной способности на каждом типовом (характерном) маршруте и относящиеся к ним расчетные размеры грузового движения обозначаются теми же цветами, что и маршруты.
Пропускная способность каждого участка и его расчетные размеры движения указываются в соответствующем "кружке" (тем же цветом, которым обозначен участок). При этом в числителе указывается "результативная" пропускная способность участка в виде суммы грузовых и пассажирских поездов, а в знаменателе - размеры грузового движения в месяц МРГД (в скобках указывается - в том числе поездов с двойной тягой).
Данные в "кружках" соответствуют данным
формы N 18 ЦТ.
ОСНОВНОЕ СОДЕРЖАНИЕ ПОЯСНИТЕЛЬНОЙ ЗАПИСКИ К РАСЧЕТАМ
ПРОПУСКНОЙ СПОСОБНОСТИ ЛОКОМОТИВНОГО ХОЗЯЙСТВА ЖЕЛЕЗНЫХ
ДОРОГ
В пояснительной записке по локомотивному хозяйству указываются особенности тягового обслуживания поездов, виды тяги; приводится обоснование принятых к расчету исходных данных (указываются нормы межремонтных пробегов, простоя локомотивов, нормы запаса топлива, песка и т.д.). Записка должна также содержать краткие сведения о техническом состоянии устройств и сооружений.
В пояснительной записке приводится краткий анализ результатов расчета пропускной способности устройств локомотивного хозяйства, при этом отражаются:
Участки работы локомотивных бригад и схемы обслуживания ими локомотивов (плечевая, накладная, петлевая), серии локомотива, принятое перераспределение загрузки отдельных устройств в одном и том же пункте или в пределах дороги, участка;
- особенности работы локомотивов на удлиненных (в том числе разветвленных) УО в пределах нескольких дорог;
- организация экипировки на тяговых территориях (совмещенная или расчлененная) и на приемо-отправочных путях;
- реализуемые и (или) предлагаемые основные мероприятия по увеличению пропускной способности с ориентировочными сроками их выполнения и стоимостью работ;
- сравнение расчетных значений пропускной способности по устройствам локомотивного хозяйства с результатами ранее выполненного расчета (с указанием основных причин изменений).
Ведомость участков дороги и соответствующих им размеров
движения поездов
N п/п | Наименование участков, название станции | Длина участков, км | Всего | Расчетные размеры движения, пары поездов |
в том числе по видам движения | Примечания (в т.ч. на основании чего приняты расчетные размеры движения) |
Грузовые | Сборные | Пассажирские | Прочие |
| | число | весовая норма | число | весовая норма | число | весовая норма | число | весовая норма |
1 | 2 | 3 | 4 | 5 | 6 | 7 | 8 | 9 | 10 | 11 | 12 | 13 | 14 |
| | | | | | | | | | | | | |
Начальник дирекции управления движением ________________________
Примечание: размеры движения и нормативная масса поездов по каждому участку указываются для четного и для нечетного направлений по отдельности; число и масса поездов двойной тяги представляются в скобках (как "в том числе").
Ведомость потребности в непоездных локомотивах
N п/п | Наименование депо приписки | Место работы локомотива (наименование станции или участка обслуживания) | Вид работы локомотивов | Род и серия локомотивов | Потребное число локомотивов | Место экипировки локомотивов (наименование станции) | Продолжительность работы локомотива между ремонтами (сут.) или общий суточный пробег локомотива (условный) |
1 | 2 | 3 | 4 | 5 | 6 | 7 | 8 |
| | | | | | | |
Начальник дирекции тяги _______________________________________________
Начальник дирекции управления движением _______________________________
Ведомость работы поездных локомотивов и порядок
их эксплуатации при размерах движения поездов в месяц МРГД
N п/п | Наименование депо приписки | Вид движения (грузовое, пассажирское, пригородное) | Порядок тягового обслуживания | Род и серия локомотивов | Длина участка обслуживания (в одном направлении) | Расчетные размеры движения (в парах поездов) | Общий суточный пробег локомотивов в месяц МРГД | Примечание |
плечо, кольцо, петля | Наименование пункта |
основного депо | оборотного депо | оборота |
1 | 2 | 3 | 4 | 5 | 6 | 7 | 8 | 9 | 10 | 11 | 12 |
| | | | | | | | | | | |
Начальник дирекции тяги ____________________
Ведомость учета локомотивов соседних дорог
По станции _______________________________________________________
Экипировка локомотивов ___________________________________________ ж.д.
N п/п | Вид движения (грузовое, пассажирское) | Число оборачивающихся по стыку или пункту оборота локомотивов соседних дорог за сутки (в соответствии с расчетными размерами движения в месяц МРГД) | Виды устройств локомотивного хозяйства, используемых в стыковом пункте или в пункте оборота | Данные о потребной производительности устройств (величина добора топлива, песка и т.д.) |
1 | 2 | 3 | 4 | 5 |
| | | | |
Начальник дирекции тяги ____________________
N п/п | Наименование депо | Основная серия локомотивов, обслуживаемая стойлами | Число путей в стойловой части депо | Длина одного пути, м | Число локомотивов, устанавливаемых на одном пути | Всего стойл, т.е. мест для постановки локомотивов | Число стойл, принятых к расчету для | Стойла, используемые для других дорог и прочих нужд | Примечание |
для ремонта | для стоянки по обороту | ТО-2 | ТО-3 | ТР-1 | ТР-2 | ТР-3 | стоянки локомотивов в рабочем состоянии | число | назначение использования |
1 | 2 | 3 | 4 | 5 | 6 | 7 | 8 | 9 | 10 | 11 | 12 | 13 | 14 | 15 | 16 | 17 |
| | | | | | | | | | | | | | | | |
Начальник дирекции по ремонту тягового подвижного состава_______________
Ведомость потребности в технических обслуживаниях
и текущих ремонтах локомотивов и распределение по депо
дороги
N п/п | Наименование депо приписки локомотивов | Вид движения (грузовое, пассажирское и др.) | Серия локомотива | Общий суточный пробег или общая потребность в локомотивах | Потребность в ТО и ремонтах |
ТО-2 | ТО-3 | ТР-1 |
норма времени или пробега между обслуживаниями | потребное число осмотров за сутки | норма времени или пробега между обслуживаниями | потребное число осмотров за сутки | норма времени или пробега между ремонтами |
1 | 2 | 3 | 4 | 5 | 6 | 7 | 8 | 9 | 10 |
| | | | | | | | | |
Окончание формы N 6 ЦТ
| Наименование депо, в которых выполняются ТО и ремонты |
ТР-1 | ТР-2 | ТР-3 | ТО-2 | ТО-3 | ТР-1 | ТР-2 | ТР-3 |
потребное число ремонтов за сутки | норма времени или пробега между ремонтами | потребное число ремонтов за сутки | норма времени или пробега между ремонтами | потребное число ремонтов за сутки |
11 | 12 | 13 | 14 | 15 | 16 | 17 | 18 | 19 | 20 |
| | | | | | | | | |
Начальник дирекции тяги _______________________________________________
Начальник дирекции по ремонту тягового подвижного состава _____________
Результаты определения коэффициентов использования
пропускной способности по стойлам для технического
обслуживания и текущего ремонта
N п/п | Наименование депо | Вид движения и другие виды работы локомотивов | По стойлам |
ТО-2 | ТО-3 | ТР-1 | ТР-2 |
потребность в стойлах | наличное число стойл, принятое к расчету K | коэффициент использования пропускной способности (K) | потребность в стойлах | наличное число стойл, принятое к расчету K | коэффициент использования пропускной способности (K) | потребность в стойлах | наличное число стойл, принятое к расчету K | коэффициент использования пропускной способности (K) | потребность в стойлах | наличное число стойл, принятое к расчету K | коэффициент использования пропускной способности (K) |
1 | 2 | 3 | 4 | 5 | 6 | 7 | 8 | 9 | 10 | 11 | 12 | 13 | 14 | 15 |
| | | | | | | | | | | | | | |
Начальник дирекции по ремонту тягового подвижного состава ______________
Результаты определения коэффициентов использования
пропускной способности по ходовым деповским путям
N п/п | Наименование депо, пунктов оборота или экипировки | Наименование ограничивающего элемента ходовых деповских путей (N стрелки, пути) | Наименование операций | Загрузка ограничивающего элемента | Коэффициент использования пропускной способности |
число операций за | затраты времени на одну | суммарное время занятия ограничивающего элемента в сутки |
1 | 2 | 3 | 4 | 5 | 6 | 7 | 8 |
| | | | | | | |
Начальник дирекции по ремонту тягового подвижного состава ______________
Ведомость суточного расхода топлива для снабжения поездных
тепловозов
N п/п | Вид движения (грузовое, пассажирское) | Наименование плеча, кольца, петли | Длина участка, км | Весовая норма поезда | Работа локомотивов за поездку, т. км брутто | Норма расхода топлива на 10000 т. км брутто | Заданные размеры движения | Общий расход натурного топлива, т/сут. | Распределение расхода топлива |
туда | обратно | условного | натурного | Наименование склада | Расход топлива, т/сут. |
1 | 2 | 3 | 4 | 5 | 6 | 7 | 8 | 9 | 10 | 11 | 12 | 13 |
| | | | | | | | | | | | |
Начальник дирекции тяги _______________________________________________
Начальник дирекции материально-технического обеспечения _______________
Ведомость общего суточного расхода натурного топлива
по складам
N п/п | Наименование складов | Для поездных локомотивов (по видам движения), т/сут. | Для непоездных локомотивов | Итого, т/сут. | Для всех прочих нужд (суточный расход), т/сут. | Примечание |
грузовых (без сборных) | сборных | пассажирских | прочих | число локомотивов | расход на один локомотив, т/сут. | железнодорожные потребители | | | Итого |
1 | 2 | 3 | 4 | 5 | 6 | 7 | 8 | 9 | 10 | 11 | 12 | 13 | 14 |
| | | | | | | | | | | | | |
Начальник дирекции материально-технического обеспечения ________________
Результаты определения коэффициента использования
по топливоподающим устройствам
N п/п | Наименование склада топлива | Наличие топливоподающих устройств | В том числе резервируется | Производительность устройств, принятая к расчету | Расход натурного топлива, т/сут. | Коэффициент использования пропускной способности | Примечание |
наименование и тип | число | производительность каждого устройства, т/сут. | общая производительность, т/сут. | число для подмены ремонтируемых | время работы, потребное для выполнения складских и других работ, ч/сут. | грузовое движение | пассажирское движение | маневровая работа | для прочих нужд |
1 | 2 | 3 | 4 | 5 | 6 | 7 | 8 | 9 | 10 | 11 | 12 | 13 | 14 | 15 |
| | | | | | | | | | | | | | |
Начальник дирекции по ремонту тягового подвижного состава ______________
Ведомость суточного расхода песка для снабжения поездных
локомотивов
N п/п | Наименование | Среднесуточный расход песка пунктом пескоснабжения, м3/сут. | Примечание |
пункта пескоснабжения | участка обращения локомотивов, обслуживаемых данным пунктом | всего | в том числе для поездных локомотивов |
грузового движения | пассажирского движения |
1 | 2 | 3 | 4 | 5 | 6 | 7 |
| | | | | | |
Начальник дирекции по ремонту тягового подвижного состава ______________
Ведомость наличия пескосушильных печей и расхода песка
по депо
N п/п | Наименование пунктов пескоснабжения | Наличие печей | Расход песка локомотивами, м3/сут. | Коэффициент использования пропускной способности | Примечание |
тип | число | общая производительность, м3/сут. | грузовыми | пассажирскими | прочими | итого |
1 | 2 | 3 | 4 | 5 | 6 | 7 | 8 | 9 | 10 | 11 |
| | | | | | | | | | |
Начальник дирекции по ремонту тягового подвижного состава ______________
Результаты определения коэффициентов использования
пропускной способности по устройствам для снабжения
локомотивов песком
N п/п | Наименование пункта пескоснабжения локомотивов | Серия локомотивов | Число бункеров | Число локомотивов, снабжающихся песком одновременно | Производительность пескотранспортных или пескоподающих устройств (наименьшее значение), м3/сут. | Расход песка для локомотивов, м3/сут. | Коэффициент использования пропускной способности |
грузовые | пассажирские | прочие | всего |
1 | 2 | 3 | 4 | 5 | 6 | 7 | 8 | 9 | 10 | 11 |
| | | | | | | | | | |
Начальник дирекции по ремонту тягового подвижного состава ______________
Результаты определения коэффициентов использования
по экипировочным позициям
N п/п | Наименование депо | Наличие экипировочных позиций | Потребность в экипировочных позициях | Число экипировочных позиций | Коэффициент использования пропускной способности | Примечание |
вид движения | суточное число экипируемых локомотивов | продолжительность, мин |
собственно экипировки | занятия и освобождения позиций |
1 | 2 | 3 | 4 | 5 | 6 | 7 | 8 | 9 | 10 |
| | | | | | | | | |
Начальник дирекции по ремонту тягового подвижного состава ______________
Сводная таблица результатов определения пропускной
способности элементов тягового обслуживания дороги
N п/п | Наименование станций на участках обращения (на кольцевых, петлевых) | Размеры грузового движения между указанными станциями, пары поездов | Наименование депо и пунктов, на которых расположены устройства обслуживания локомотивов на участках обращения | Пропускная способность |
по стойлам |
ТО-2 | ТО-3 | ТР-1 |
коэффициент использования пропускной способности (K) | пропускная способность в парах поездов | коэффициент использования пропускной способности (K) | пропускная способность в парах поездов | коэффициент использования пропускной способности (K) | пропускная способность в парах поездов |
1 | 2 | 3 | 4 | 5 | 6 | 7 | 8 | 9 | 10 |
| | | | | | | | | |
Продолжение формы N 16 ЦТ
Пропускная способность |
по стойлам | |
ТО-3 и ТР-1 | по устройствам снабжения топливом | по пескосушильным печам | по устройствам транспортировки песка в бункер | по экипировке локомотивов песком |
коэффициент использования пропускной способности (K) | пропускная способность в парах поездов | коэффициент использования пропускной способности (K) | пропускная способность в парах поездов | коэффициент использования пропускной способности (K) | пропускная способность в парах поездов | коэффициент использования пропускной способности (K) | пропускная способность в парах поездов | коэффициент использования пропускной способности (K) | пропускная способность в парах поездов |
11 | 12 | 13 | 14 | 15 | 16 | 17 | 18 | 19 | 20 |
| | | | | | | | | |
Продолжение формы N 16 ЦТ
| "Результативная" пропускная способность | Наименование устройств с наименьшей пропускной способностью (по станциям их размещения) |
по совмещенной экипировке топливом и песком | по экипировке, совмещенной с ТО-2 (топливо и песок) | по ходовым путям |
коэффициент использования пропускной способности (K) | пропускная способность в парах поездов | коэффициент использования пропускной способности (K) | пропускная способность в парах поездов | коэффициент использования пропускной способности (K) | пропускная способность в парах поездов |
21 | 22 | 23 | 24 | 25 | 26 | 27 | 28 |
| | | | | | | |
Начальник дирекции тяги ____________________________
Начальник дирекции по ремонту тягового подвижного состава ______________
Результаты расчета пропускной способности по участкам
дороги
N п/п | Наименование участка дороги | Грузовое движение | Пассажирское движение: расчетные размеры движения на участке, в парах поездов | Примечание |
размеры движения на участке в месяц МРГД | наименование участков (плечевых, кольцевых и петлевых маршрутов локомотивов) | пропускная способность, в парах поездов |
маршрута локомотивов | участка дороги |
1 | 2 | 3 | 4 | 5 | 6 | 7 | 8 |
| | | | | | | |
Начальник дирекции тяги ____________________
Результаты расчета коэффициентов использования
производственной мощности цехов депо дороги, выполняющих
текущие ремонты ТР-2 и ТР-3
N п/п | Наименование депо, выполняющих ремонт | Потребная мощность цехов ТР-2 |
для грузового движения | для прочих видов движения |
потребное число ремонтов, секц/год | норма простоя в ремонте, сут. | наличная мощность цехов ТР-2, секц/год | коэффициент использования пропускной способности (K) | потребное число ремонтов, секц/год | норма простоя в ремонте, сут. | наличная мощность цехов ТР-2, секц/год | коэффициент использования пропускной способности (K) |
1 | 2 | 3 | 4 | 5 | 6 | 7 | 8 | 9 | 10 |
| | | | | | | | | |
Продолжение формы N 18 ЦТ
Потребная мощность цехов ТР-3 | Примечание |
для грузового движения | для прочих видов движения |
потребное число ремонтов, секц/год | норма простоя в ремонте, сут. | наличная мощность цехов ТР-3, секц/год | коэффициент использования пропускной способности (K) | потребное число ремонтов, секц/год | норма простоя в ремонте, сут. | наличная мощность цехов ТР-3, секц/год | коэффициент использования пропускной способности (K) |
11 | 12 | 13 | 14 | 15 | 16 | 17 | 18 | 19 |
| | | | | | | | |
Начальник дирекции по ремонту тягового подвижного состава _______________
Результаты расчета коэффициентов использования стойл
и путей для стоянки локомотивов в рабочем состоянии
N п/п | Наименование депо, пунктов оборота или экипирования | Наличие мест для стоянки локомотивов в рабочем состоянии | Число локомотивов, имеющих стоянки на тяговой территории в течение суток | Средняя продолжительность одной стоянки локомотивов (включая время на его заход и выход), мин | Потребность в местах для стоянки локомотивов | Коэффициент использования (K) | Примечание |
в стойловой части депо | на путях | всего |
1 | 2 | 3 | 4 | 5 | 6 | 7 | 8 | 9 | 10 |
| | | | | | | | | |
Начальник дирекции по ремонту тягового подвижного состава _______________
Результаты расчета коэффициентов использования пропускной
способности по размещению пунктов пескоснабжения
N п/п | Наименование двух соседних пунктов снабжения песком | Расстояние между двумя пунктами снабжения песком, км | Масса поезда | Норма расхода песка | Запас песка в бункерах локомотива в одном направлении | Коэффициент использования пропускной способности (K) | Примечание |
1 | 2 | 3 | 4 | 5 | 6 | 7 | 8 |
| | | | | | | |
Начальник дирекции тяги ____________________________
Начальник дирекции по ремонту тягового подвижного состава _______________
Ведомость суточного расхода основных смазок для снабжения
поездных локомотивов
N п/п | Вид движения | Наименование смазки | Наименование маршрута (кольца, плеча, петли) | Длина маршрута (кольца, плеча, петли) в одном направлении, км | Размеры движения, в парах поездов | Показатели определения расхода смазки (общий пробег локомотива за сутки, суммарный расход тепловозами натурного топлива) | Норма расхода смазки электровозами (на 1000 локомотивов); расход смазки тепловозами (% от расхода топлива) | Общий расход смазки, т/сут. | Распределение смазки по складам | Примечание |
наименование склада | расход смазки, т/сут. |
1 | 2 | 3 | 4 | 5 | 6 | 7 | 8 | 9 | 10 | 11 | 12 |
| | | | | | | | | | | |
Начальник дирекции по ремонту тягового подвижного состава _______________
Начальник дирекции материально-технического обеспечения _________________
Результаты расчета коэффициентов использования вместимости
складов топлива и смазки
N п/п | Наименования склада и пункта его размещения | Эксплуатационный запас топлива, т | Потребный эксплуатационный запас топлива и смазки, т | Коэффициент использования пропускной способности склада (K) | Примечание |
норма запаса, сут. | назначение запаса |
грузовое движение | пассажирское движение | прочие виды движения и работы | технические, прочие нужды |
1 | 2 | 3 | 4 | 5 | 6 | 7 | 8 | 9 | 10 |
| | | | | | | | | |
Начальник дирекции материально-технического обеспечения _________________
Коэффициенты использования пропускной способности
по устройствам, не определяющим результативную пропускную
способность
N п/п | Наименование депо, пункта оборота или экипирования | Коэффициент использования пропускной способности | Расход песка между пунктами набора, т | Примечание |
по производству ТО-2 | по производству ТО-3 | по стойлам и путям для стоянки локомотивов в рабочем состоянии | между пунктами оборота |
песка | топлива | смазки (по видам) |
| | |
1 | 2 | 3 | 4 | 5 | 6 | 7 | 8 | 9 | 10 | 11 | 12 |
| | | | | | | | | | | |
Начальник дирекции по ремонту тягового подвижного состава _______________
Перечень устройств, ограничивающих пропускную способность,
и мероприятия для ее увеличения
N п/п | Ограничения пропускной способности | Мероприятия для увеличения пропускной способности |
| наименование депо, пункта оборота или экипирования | ограничивающее устройство ("узкое место") | коэффициент использования пропускной способности данного устройства | характеристика мероприятий (с указанием объема работы и ее предусмотренности планом капиталовложений) | срок выполнения | ориентировочная стоимость | коэффициент использования пропускной способности после проведения мероприятий, указанных в гр. 5 (ориентировочное значение K) |
1 | 2 | 3 | 4 | 5 | 6 | 7 | 8 |
| | | | | | | |
Начальник дирекции по ремонту тягового подвижного состава _______________