Главная // Актуальные документы // Ведомость (форма)СПРАВКА
Источник публикации
М.: Стандартинформ, 2018
Примечание к документу
Документ
введен в действие с 1 сентября 2019 года.
Название документа
"ГОСТ 34390-2018. Межгосударственный стандарт. Техника сельскохозяйственная. Машины для уборки ботвы корнеклубнеплодов. Методы испытаний"
(введен в действие Приказом Росстандарта от 07.12.2018 N 1078-ст)
"ГОСТ 34390-2018. Межгосударственный стандарт. Техника сельскохозяйственная. Машины для уборки ботвы корнеклубнеплодов. Методы испытаний"
(введен в действие Приказом Росстандарта от 07.12.2018 N 1078-ст)
по техническому регулированию
и метрологии
от 7 декабря 2018 г. N 1078-ст
МЕЖГОСУДАРСТВЕННЫЙ СТАНДАРТ
ТЕХНИКА СЕЛЬСКОХОЗЯЙСТВЕННАЯ
МАШИНЫ ДЛЯ УБОРКИ БОТВЫ КОРНЕКЛУБНЕПЛОДОВ
МЕТОДЫ ИСПЫТАНИЙ
Agricultural machinery. Machines for harvesting
root crops tops. Test methods
ГОСТ 34390-2018
Дата введения
1 сентября 2019 года
Цели, основные принципы и основной порядок проведения работ по межгосударственной стандартизации установлены в
ГОСТ 1.0-2015 "Межгосударственная система стандартизации. Основные положения" и
ГОСТ 1.2-2015 "Межгосударственная система стандартизации. Стандарты межгосударственные, правила и рекомендации по межгосударственной стандартизации. Правила разработки, принятия, обновления и отмены"
1 РАЗРАБОТАН Новокубанским филиалом Федерального государственного бюджетного научного учреждения "Российский научно-исследовательский институт информации и технико-экономических исследований по инженерно-техническому обеспечению агропромышленного комплекса" (КубНИИТиМ)
2 ВНЕСЕН Федеральным агентством по техническому регулированию и метрологии
3 ПРИНЯТ Межгосударственным советом по стандартизации, метрологии и сертификации (протокол от 28 февраля 2018 г. N 106-П)
За принятие проголосовали:
Краткое наименование страны по МК (ИСО 3166) 004-97 | Код страны по МК (ИСО 3166) 004-97 | Сокращенное наименование национального органа по стандартизации |
Армения | AM | Минэкономики Республики Армения |
Беларусь | BY | Госстандарт Республики Беларусь |
Казахстан | KZ | Госстандарт Республики Казахстан |
Киргизия | KG | Кыргызстандарт |
Россия | RU | Росстандарт |
4
Приказом Федерального агентства по техническому регулированию и метрологии от 7 декабря 2018 г. N 1078-ст межгосударственный стандарт ГОСТ 34390-2018 введен в действие в качестве национального стандарта Российской Федерации с 1 сентября 2019 г.
5 ВВЕДЕН ВПЕРВЫЕ
Информация об изменениях к настоящему стандарту публикуется в ежегодном информационном указателе "Национальные стандарты", а текст изменений и поправок - в ежемесячном информационном указателе "Национальные стандарты". В случае пересмотра (замены) или отмены настоящего стандарта соответствующее уведомление будет опубликовано в ежемесячном информационном указателе "Национальные стандарты". Соответствующая информация, уведомление и тексты размещаются также в информационной системе общего пользования - на официальном сайте Федерального агентства по техническому регулированию и метрологии в сети Интернет (www.gost.ru)
Настоящий стандарт распространяется на машины, оборудование, приспособления для уборки ботвы сахарной свеклы, столовых и кормовых корнеплодов, картофеля.
Настоящий стандарт устанавливает методы испытаний вышеперечисленных типов машин (далее - машины).
В настоящем стандарте использованы нормативные ссылки на следующие межгосударственные стандарты:
ГОСТ 12.2.002-91 Система стандартов безопасности труда. Техника сельскохозяйственная. Методы оценки безопасности
ГОСТ 12.2.019-2005 Система стандартов безопасности труда. Тракторы и машины самоходные сельскохозяйственные. Общие требования безопасности
ГОСТ 12.2.111-85 <1> Система стандартов безопасности труда. Машины сельскохозяйственные навесные и прицепные. Общие требования безопасности
--------------------------------
ГОСТ 12.2.120-2005 Система стандартов безопасности труда. Кабины и рабочие места операторов тракторов и самоходных сельскохозяйственных машин. Общие требования безопасности
ГОСТ 15.001-88 <2> Система разработки и постановки продукции на производство. Продукция производственно-технического назначения
--------------------------------
<2> В Российской Федерации действует
ГОСТ Р 15.201-2000 "Система разработки и постановки продукции на производство. Продукция производственно-технического назначения. Порядок разработки и постановки продукции на производство".
ГОСТ 27.002-89 Надежность в технике. Основные понятия. Термины и определения
ГОСТ 166-89 (ИСО 3599-76) Штангенциркули. Технические условия
ГОСТ 427-75 Линейки измерительные металлические. Технические условия
ГОСТ 7502-98 Рулетки измерительные металлические. Технические условия
ГОСТ 16504-81 Система государственных испытаний продукции. Испытания и контроль качества продукции. Основные термины и определения
ГОСТ 20915-2011 Испытания сельскохозяйственной техники. Методы определения условий испытаний
ГОСТ 21623-76 Система технического обслуживания и ремонта техники. Показатели для оценки ремонтопригодности. Термины и определения
ГОСТ 23932-90 Посуда и оборудование лабораторные стеклянные. Общие технические условия
ГОСТ 24055-2016 Техника сельскохозяйственная. Методы эксплуатационно-технологической оценки
ГОСТ 26025-83 Машины и тракторы сельскохозяйственные и лесные. Методы измерения конструктивных параметров
ГОСТ 26026-83 Машины и тракторы сельскохозяйственные и лесные. Методы оценки приспособленности к техническому обслуживанию
ГОСТ 27388-87 Эксплуатационные документы сельскохозяйственной техники
ГОСТ 28305-89
<1> Машины и тракторы сельскохозяйственные и лесные. Правила приемки на испытания
--------------------------------
<1> В Российской Федерации действует
ГОСТ Р 54783-2011 "Испытания сельскохозяйственной техники. Основные положения".
ГОСТ 31193-2004 (ЕН 1032:2003) Вибрация. Определение параметров вибрационной характеристики самоходных машин. Общие требования
ГОСТ 33737-2016 Техника сельскохозяйственная. Машины свеклоуборочные. Методы испытаний
--------------------------------
ГОСТ OIML R 76-1-2011 Государственная система обеспечения единства измерений. Весы неавтоматического действия. Часть 1. Метрологические и технические требования. Испытания
ГОСТ ИСО 14269-2-2003 Тракторы и самоходные машины для сельскохозяйственных работ и лесоводства. Окружающая среда рабочего места оператора. Часть 2. Метод испытаний и характеристики систем отопления, вентиляции и кондиционирования воздуха
ГОСТ ИСО 14269-5-2003 Тракторы и самоходные машины для сельскохозяйственных работ и лесоводства. Окружающая среда рабочего места оператора. Часть 5. Метод испытания системы герметизации
Примечание - При пользовании настоящим стандартом целесообразно проверить действие ссылочных стандартов в информационной системе общего пользования - на официальном сайте Федерального агентства по техническому регулированию и метрологии в сети Интернет или по ежегодному информационному указателю "Национальные стандарты", который опубликован по состоянию на 1 января текущего года, и по выпускам ежемесячного информационного указателя "Национальные стандарты" за текущий год. Если ссылочный стандарт заменен (изменен), то при пользовании настоящим стандартом следует руководствоваться заменяющим (измененным) стандартом. Если ссылочный стандарт отменен без замены, то положение, в котором дана ссылка на него, применяется в части, не затрагивающей эту ссылку.
3.1 ботва корнеклубнеплодов: Листовая масса корнеклубнеплодов.
3.2 длина пучка ботвы: Расстояние от основания стеблей или черешков до верхушки основной массы листьев в выпрямленном состоянии.
3.3 головка корнеплодов: Верхняя часть корнеплода стеблевого происхождения, несущая почки и листья.
3.4 густота насаждения корнеклубнеплодов: Число растений на 1 м2 (тыс. шт. на 1 га).
3.5 техническая длина корнеплода: Расстояние от вершины головки до обрезанного хвостика.
3.6 цветушность сахарной свеклы: Образование на растении сахарной свеклы в первый год жизни цветоносных побегов.
4.2 Порядок представления машины на испытания, оформление результатов приемки - в соответствии с ГОСТ 28305, а также в соответствии со стандартами, действующими в государствах - участниках Соглашения.
Эксплуатационные документы, представляемые с машиной, должны соответствовать ГОСТ 27388.
4.3 Машину представляют на испытания не позднее чем за 15 дней до наступления агротехнического срока.
Типовая программа испытаний машин включает виды оценок в соответствии с
таблицей 1.
Вид оценки | Вид испытаний |
Приемочные | Квалификационные | | Периодические |
1 Технических параметров (техническая экспертиза) | + | + | + | + |
2 Агротехническая | + | - | + | - |
3 Энергетическая | + | + | + | - |
4 Безопасности и эргономичности конструкции | + | - | + | - |
5 Эксплуатационно-технологическая | + | + | + | + |
6 Надежности | + | + | + | + |
7 Экономическая | + | - | + | - |
<1> При проведении типовых испытаний включают виды оценок, на изменение значения показателей которых повлияли изменения конструкции изделия. Примечание - Знак "+" означает - оценка проводится, знак "-" - не проводится. |
4.4 Сравнительные испытания проводят в сопоставимых условиях.
4.5 Применяемые средства измерений должны быть поверены до начала испытаний в соответствии с правилами, действующими в государствах - участниках Соглашения.
4.6 Нестандартные и единичные средства измерений, испытательное оборудование подлежат аттестации, проводимой в установленном порядке.
5 Подготовка к испытаниям
5.1 Перед началом испытаний на основании типовой программы испытаний составляют рабочую программу - методику испытаний, в которой указывают с учетом требований заказчика и особенностей конкретного образца перечень видов оценок и определяемых показателей по каждому виду оценки, режимы, условия, место испытаний, наименования средств измерений и оборудования, применяемых при испытании.
5.2 При подготовке машины к испытаниям необходимо соблюдать следующие требования:
- машина должна отвечать требованиям безопасности (при всех видах испытаний должен быть составлен и утвержден акт предварительной оценки безопасности);
- до начала испытаний машина должна быть обкатана и отрегулирована в соответствии с руководством по эксплуатации;
- техническое состояние машины должно отвечать требованиям технического задания (ТЗ), технических условий (ТУ) и руководства по эксплуатации.
5.3 Параметры, характеризующие условия работы машины при испытаниях, должны находиться в пределах, соответствующих ТЗ (ТУ) на испытуемую машину.
5.4 Перед проведением испытаний проводят обучение персонала по вопросам устройства и безопасной эксплуатации машины.
6 Методы оценки технических параметров
6.1 Оценку технических параметров проводят по стандартам, действующим в государствах - участниках Соглашения.
6.2 Определение габаритных размеров машины, массы, ширины захвата и минимальных радиусов поворота проводят по ГОСТ 26025.
6.3 Перечень технических параметров, характеризующих конструкцию машины, приведен в
форме А.1 (приложение А).
7 Методы агротехнической оценки
7.1 Номенклатура определяемых показателей
Показатели условий испытаний и качества выполнения технологического процесса, определяемые при агротехнической и эксплуатационно-технологической оценках машин, приведены в
формах А.2 -
А.9 (приложение А).
7.2 Требования к условиям испытаний
7.2.1 Показатели условий испытаний машины определяют в оптимальные, установленные для зоны агротехнические сроки на уборке культуры, имеющей характеристику, соответствующую ТЗ (ТУ) на разработку испытуемой машины.
7.2.2 Для определения показателей условий испытаний подбирают участок, размеры которого могут обеспечить возможность проведения испытаний на всех запланированных режимах работы.
7.2.3 Машины для уборки ботвы столовых и кормовых корнеплодов испытывают на культурах, имеющих в зоне наибольшее распространение.
7.3 Определение показателей условий испытаний
7.3.1 Показатели условий испытаний определяют на участке, отведенном для проведения испытаний.
7.3.1.1 Тип почвы, рельеф, микрорельеф, влажность и твердость почвы, засоренность участка сорняками определяют по
ГОСТ 20915.
Влажность и твердость почвы при испытаниях ботвоуборочных машин определяют в междурядьях культуры в слое почвы 0 - 10 см. При испытаниях машин, подкапывающих корнеплоды и одновременно убирающих ботву, - в слоях от 0 до 30 см через каждые 10 см.
Засоренность участка сорняками определяют на пяти площадках размером 1 м2 (с захватом двух рядков), равномерно расположенных по диагонали участка.
При испытаниях машин для уборки ботвы сахарной и кормовой свеклы определяют число сорняков высотой до 100 см и свыше 100 см на 100 м ряда в трехкратной повторности.
При испытаниях машин для уборки ботвы картофеля определяют массу сорняков высотой до 80 см и свыше 80 см. Погрешность взвешивания - +/- 50 г.
При испытаниях машин для уборки ботвы столовых корнеплодов определяют число и ботанический состав сорняков высотой до 20 см и свыше 20 см в рядах и отдельно в междурядьях.
Высоту сорняков определяют измерением растения от поверхности почвы до их верхней части в естественном состоянии. Погрешность измерения - +/- 1 см.
Результаты записывают в
форму Б.1 (приложение Б) и вычисляют среднеарифметическое значение с округлением до целого числа.
7.3.1.2 Культуру, сорт, схему посева определяют по данным хозяйства, в котором проводят испытания.
7.3.1.3 Высоту гребня определяют при испытании машин для уборки ботвы столовой и кормовой свеклы, ботвы картофеля на учетных площадках согласно
7.3.11,
7.3.12.
Высоту гребня определяют измерением расстояния по вертикали от дна борозды до нижней плоскости рейки, уложенной на два смежных гребня. Число измерений не менее 20 на одном из рядков каждой учетной площадки. Число учетных площадок - не менее пяти. Погрешность измерений - +/- 0,5 см. Результаты записывают в
форму Б.2 (приложение Б) и вычисляют среднеарифметическое значение с округлением до первого десятичного знака.
7.3.2 Отклонение корнеплодов от теоретической оси ряда, расположение головок корнеплодов относительно уровня поверхности почвы определяют по
ГОСТ 33737.
7.3.3 Ширину основных междурядий определяют не менее чем на 10 проходах посевного агрегата по диагонали участка. Измеряют расстояние между осевыми линиями смежных рядов. На каждом проходе посевного агрегата проводят не менее 10 измерений. Погрешность измерения - +/- 1 см. Результаты записывают в
форму Б.3 (приложение Б) и вычисляют среднеарифметическое значение с округлением до целого числа.
7.3.4 Расстояние между корнеплодами в ряду, диаметр и длину корнеплодов, длину и массу ботвы, число корнеплодов на одном метре длины ряда, густоту насаждения растений определяют в трех рядах на площадках длиной 10 м, шириной, равной ширине трех междурядий. Число площадок - не менее пяти. Площадки располагают равномерно по диагонали участка.
7.3.4.1 Расстояние между корнеплодами в ряду измеряют на каждом из трех рядов площадки рулеткой или специальным приспособлением для измерения расстояния между растениями. При измерениях определяют расстояние между центрами корнеплодов и записывают нарастающим итогом в
форму Б.4 (приложение Б). Первый корнеплод, от которого ведется измерение, принимают за ноль, т.е. в
форму Б.4 записывают интервал между корнеплодами. Погрешность измерений - +/- 1 см. Данные измерений обрабатывают с получением среднего расстояния и коэффициента вариации. Вычисления проводят с округлением до первого десятичного знака.
По среднему расстоянию между корнеплодами вычисляют число корнеплодов на одном метре длины ряда.
7.3.4.2 Густоту насаждения растений Гн, тыс. шт./га, вычисляют по формуле
Гн = 10-3nкlр, (1)
где nк - число корнеплодов на одном метре длины ряда, шт./м;
lр - общая длина рядов на гектаре, м/га.
Общую длину рядов на гектаре lр, м/га, вычисляют по формуле

, (2)
где 104 м2 = 1 га;
Bш.м - ширина междурядий убираемой культуры, м.
Вычисления проводят с округлением до целого числа.
Результаты записывают в
форму Б.5 (приложение Б).
7.3.4.3 После измерения расстояния между корнеплодами их выкапывают вместе с ботвой, очищают от почвы, обрезают хвостики диаметром менее 10 мм и измеряют:
- диаметр корнеплода по линии наибольшего утолщения;
- техническую длину корнеплода;
- длину пучка ботвы.
Погрешность измерений - +/- 1 мм.
В процессе измерений корнеплоды классифицируют на три фракции: крупные, средние, мелкие. Результаты записывают в
форму Б.6 (приложение Б) и вычисляют среднеарифметическое значение показателя с округлением до первого десятичного знака.
После измерений с корнеплодов обрезают ботву и определяют массу корнеплодов каждой фракции и общую массу ботвы с площадки. Погрешность взвешивания - +/- 50 г. Результаты записывают в
форму Б.7 (приложение Б). Массовую долю каждой фракции корнеплодов вычисляют отношением массы корнеплодов каждой фракции к общей массе корнеплодов с площадки.
7.3.5 Биологическую урожайность ботвы У, т/га, вычисляют по формуле

, (3)
где mб - масса ботвы с площадки, кг;
S - размер площадки, м2.
Вычисления проводят с округлением до первого десятичного знака.
По массе ботвы и корнеплодов определяют их соотношение. За единицу принимают массу ботвы.
Результаты записывают в
форму Б.7 (приложение Б).
7.3.6 Урожайность ботвы высокорослых кормовых корнеплодов (брюквы, турнепса и др.) Уб.в, т/га, вычисляют по формуле

, (4)
где mд - масса ботвы, собранной с учетной делянки в пробоотборник, кг;
П - общие потери ботвы, кг;
L - длина учетной делянки, м;
Bш.з - ширина захвата машины, м.
7.3.7 Состояние ботвы на корнеплодах по форме расположения листьев определяют на трех площадках длиной 10 м в двух смежных рядах. Форму расположения листьев определяют осмотром каждого растения. По форме расположения классифицируют на следующие группы:
а) для корнеплодов сахарной свеклы:
1) конус - свыше 60% листьев расположены под углом 75° - 90° к горизонтальной поверхности;
2) розетка - свыше 60% листьев стелется параллельно поверхности почвы;
б) для кормовых корнеплодов:
1) конус - свыше 60% листьев расположены под углом 60° - 75° к горизонтальной поверхности;
2) полурозетка - более 50% листьев отклонено на угол до 60° от вертикали;
3) розетка - основная часть листьев расположена параллельно поверхности и прижата к почве.
Результаты подсчета растений записывают в
форму Б.8 (приложение Б), при записях используют метод "конвертика"
[1]. Данные обрабатывают с получением количественной доли каждой группы от общего числа растений. Вычисления проводят с округлением до первого десятичного знака.
7.3.8 Усилие на отрыв ботвы от корнеплода определяют при испытании машин для уборки ботвы кормовой и столовой свеклы. Измерения проводят динамометром. Допускается применение других средств измерений, обеспечивающих соответствующую погрешность измерения. На каждой учетной площадке проводят измерения не менее чем на 10 растениях. Число и размер площадок - согласно
7.3.7. Погрешность измерения - +/- 0,5 Н. Результаты записывают в
форму Б.9 (приложение Б) и вычисляют среднеарифметическое значение с округлением до первого десятичного знака.
7.3.9 Насыпную плотность ботвы определяют заполнением и взвешиванием убранной ботвы в контейнер размером 0,25 x 0,25 x 0,25 м. Погрешность взвешивания - +/- 50 г. Повторность трехкратная. Результаты записывают в
форму Б.10 (приложение Б) и вычисляют среднеарифметическое значение с округлением до первого десятичного знака.
Насыпную плотность ботвы

, кг/м
3, вычисляют по формуле

, (5)
где m - масса ботвы в контейнере, кг;
V - объем контейнера, м3.
7.3.10 Число цветушных растений определяют на площадках длиной 10 м, шириной, равной ширине трех междурядий. Число площадок - не менее пяти.
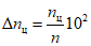
Количественную долю цветушных растений

, %, вычисляют по формуле

, (6)
где nц - число цветушных растений, шт.;
n - общее число растений на гектаре (густота насаждений), тыс. шт./га.
Вычисления проводят с округлением до целого числа.
Результаты записывают в
форму Б.5 (приложение Б).
7.3.11 Характеристику столовых корнеплодов определяют на учетных площадках длиной 10 м, шириной, равной трем рядам, выделенным в трех местах по диагонали участка.
7.3.11.1 Расположение головок корнеплодов относительно уровня поверхности почвы определяют согласно
7.3.2.
7.3.11.2 Ширину междурядий определяют при помощи шнура длиной 25 м, натянутого по центру междурядья. Измерения проводят в 10 точках трех междурядий каждой учетной площадки. Измерения проводят по обе стороны от шнура до центра растений, расположенных напротив в двух смежных рядах. Погрешность измерения - +/- 1 см. Результаты записывают в
форму Б.11 (приложение Б). Сумма средних значений, измеренных по обе стороны от шнура, дает среднее значение ширины междурядья.
7.3.11.3 Число корнеплодов на одном метре ряда определяют подсчетом их на каждой учетной площадке и делением общего числа корнеплодов на суммарную длину рядов. Результаты записывают в
форму Б.5 (приложение Б) и вычисляют среднеарифметическое значение с округлением до целого числа.
7.3.11.4 Высоту растения в естественном состоянии, длину пучка ботвы в выпрямленном состоянии измеряют с погрешностью +/- 1 см. Число измерений - не менее 20 на одном из рядов каждой учетной площадки. Результаты измерений записывают в
форму Б.12 (приложение Б) и вычисляют среднеарифметическое значение с округлением до целого числа.
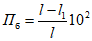
Полеглость ботвы Пб, %, вычисляют по формуле

, (7)
где l - средняя длина ботвы, см;
l1 - средняя высота растения, см.
7.3.11.5 Число листьев в розетке столовых корнеплодов определяют не менее чем на 20 растениях каждой учетной площадки. Результаты записывают в
форму Б.12 (приложение Б) и вычисляют среднеарифметическое значение с округлением до целого числа.
7.3.11.6 Ширину ботвы в ряду определяют измерением расстояния между крайними точками основной массы растений по ширине ряда. Измерения проводят по длине рядов не менее чем в 10 точках каждой учетной площадки. Погрешность измерения - +/- 0,5 см. Результаты измерений записывают в
форму Б.13 (приложение Б) и вычисляют среднеарифметическое значение с округлением до целого числа.
7.3.11.7 Биологическую урожайность ботвы определяют по
формуле (3).
7.3.11.8 Усилие на отрыв ботвы от корнеплода определяют согласно
7.3.8.
7.3.11.9 Насыпную плотность ботвы определяют согласно
7.3.9.
7.3.12 Характеристику ботвы картофеля (ширину, состояние ботвы, высоту куста, длину и полеглость, густоту насаждения, биологическую урожайность ботвы) определяют на пяти площадках шириной в два ряда, длиной 14,3 м при ширине междурядий 70 см, длиной 13,3 м при ширине междурядий 75 см, длиной 11,1 м при ширине междурядий 90 см. Учетные площадки по участку размещают таким образом, чтобы площадками были охвачены все ряды посадочного агрегата.
7.3.12.1 Ширину междурядий определяют в двух местах учетной площадки на ширину посадочного агрегата. Погрешность измерений - +/- 0,5 см. Результаты записывают в
форму Б.3 (приложение Б) и вычисляют среднеарифметическое значение с округлением до целого числа.
7.3.12.2 Состояние ботвы (зеленая, засохшая) определяют визуально на одном из рядов каждой площадки по 20 кустам. Результаты записывают в журнал испытаний.
7.3.12.3 Высоту куста, длину и полеглость ботвы определяют согласно
7.3.11.4.
7.3.12.4 Густоту насаждения растений определяют подсчетом числа кустов на двух рядах учетной площадки. Результаты записывают в
форму Б.5 (приложение Б) и вычисляют среднеарифметическое значение числа кустов на одном ряду площадки. Полученное значение будет соответствовать числу кустов тыс. шт./га.
7.3.12.5 Биологическую урожайность ботвы картофеля определяют по результатам взвешивания ботвы, срезанной с каждого второго куста, на двух рядах учетной площадки. Погрешность взвешивания - +/- 50 г.
Результаты записывают в
форму Б.7 (приложение Б).
Биологическую урожайность ботвы картофеля Уб.к, т/га, вычисляют по формуле

, (8)
где mб.к - средняя масса ботвы картофеля с одного куста, кг;

- число кустов на гектаре, шт.
Вычисления проводят с округлением до целого числа
7.3.13 Показатели по характеристике участка и культуры после обработки записывают в
формы А.2 -
А.5 (приложение А).
7.4 Требования к режимам испытаний
7.4.1 Испытания машин проводят на скоростях движения в соответствии с требованиями ТЗ (ТУ) и руководством по эксплуатации.
Показатели качества выполнения технологического процесса машиной определяют на двух поступательных скоростях движения: на максимальной рабочей скорости, указанной в ТЗ (ТУ); на 25 - 30% менее. Если на максимальной рабочей скорости качество работы не соответствует требованиям ТЗ (ТУ), то рабочая скорость меньшая на 25 - 30% является оптимальной.
7.5 Определение показателей качества выполнения технологического процесса при испытаниях машин для уборки ботвы сахарной свеклы
7.5.1 На выбранном участке поля делают прокосы. Отступив от края поля не менее 50 м, размечают три учетные делянки для отбора проб.
Длина учетной делянки должна быть не менее 20 м, ширина равна ширине захвата машины. Для выхода машины в установившийся режим работы между учетными делянками оставляют неучетные длиной 20 м.
Перед отбором проб машину предварительно настраивают на заданный режим. Регулирование скорости движения машины проводят на неучетных делянках.
7.5.2 Пробы от испытуемой машины отбирают при установившемся режиме в специальный пробоотборник. На каждом режиме работы машины отбирают не менее трех проб.
На учетных делянках машина должна двигаться без остановки. Во время учетного прохода секундомером измеряют время, за которое машина проходит учетную делянку, отмеченную вешками. Погрешность измерения времени прохождения делянки - +/- 1 с, длины учетной делянки - 1%.
Скорость движения машины v, км/ч, вычисляют по формуле

, (9)
где t - время прохождения учетной делянки, с.
Результаты записывают в журнал испытаний.
7.5.3 На каждой учетной делянке отбирают следующие пробы:
- ботву от ботвоуборочной машины сбором в пробоотборник;
- корнеплоды, убранные серийной или испытуемой корнеуборочной машиной, если ботвоуборочная и корнеуборочная машины испытываются в комплексе. Корнеплоды отбирают в пробоотборник.
7.5.4 Для определения качества обрезки корнеплодов выкопанные с учетной делянки корнеплоды классифицируют по высоте среза и по характеру поверхности среза.
7.5.4.1 По высоте среза корнеплоды классифицируют на следующие фракции:
- корнеплоды с нормальным срезом, плоскость которого проходит не ниже уровня основания нижних зеленых черешков ботвы и не выше 2 см над верхушкой головки корнеплода;
- корнеплоды с низким срезом, плоскость которого проходит ниже уровня основания нижних зеленых черешков ботвы;
- корнеплоды с высоким срезом, плоскость которого проходит выше 2 см над верхушкой головки, и корнеплоды с необрезанной или частично обрезанной ботвой.
7.5.4.2 При уборке ботвы маточной сахарной свеклы корнеплоды по высоте среза делят на следующие группы:
- корнеплоды с нормальным срезом, плоскость которого проходит выше верхушечной почки с оставлением черешков ботвы высотой до 5 см;
- корнеплоды с высоким срезом, плоскость которого проходит выше верхушечной почки не менее чем на 5 см;
- корнеплоды с низким срезом, плоскость которого проходит в зоне верхушечной почки и ниже ее.
7.5.4.3 По характеру поверхности среза корнеплоды сахарной свеклы с нормальным и низким срезом классифицируют на следующие фракции:
- корнеплоды с гладкой, прямой поверхностью среза, а также со сколами, впадинами, ступеньками до 1 см;
- корнеплоды со сколотой, наклонной ступенчатой поверхностью среза, впадинами более 1 см.
К гладкому, прямому срезу относят срез, плоскость которого отклоняется от плоскости, перпендикулярной к оси корня, менее чем на 10°.
К сколотому, наклонному относят срез, плоскость которого отклоняется от плоскости, перпендикулярной к оси корня, более чем на 10°.
7.5.4.4 Корнеплоды каждой фракции взвешивают с погрешностью +/- 50 г. Результаты взвешивания записывают в
формы Б.14,
Б.15 (приложение Б) и вычисляют массовую долю корнеплодов каждого вида среза от общей массы корнеплодов в ворохе. Вычисления проводят с округлением до первого десятичного знака.
Общую массу корнеплодов в ворохе m, кг, вычисляют по формуле
m = mн.г + mн.с + mниз.г + mниз.с + mв, (10)
где mн.г - масса корнеплодов с нормальным срезом с гладкой поверхностью среза, кг;
mн.с - масса корнеплодов с нормальным срезом со сколотой поверхностью среза, кг;
mниз.г - масса корнеплодов с низким срезом с гладкой поверхностью среза, кг;
mниз.с - масса корнеплодов с низким срезом со сколотой поверхностью среза, кг;
mв - масса корнеплодов с высоким срезом и с необрезанной или частично обрезанной ботвой, кг.
Массовую долю корнеплодов с нормальным срезом

, %, вычисляют по формуле

. (11)
Массовую долю корнеплодов с низким срезом

, %, вычисляют по формуле

. (12)
Массовую долю корнеплодов с высоким срезом и с необрезанной или частично обрезанной ботвой

, %, вычисляют по формуле

. (13)
Массовую долю корнеплодов с гладкой поверхностью среза

, %, вычисляют по формуле

, (14)
где m1 - масса корнеплодов с гладкой и сколотой поверхностью среза, кг.
Массу корнеплодов с гладкой и сколотой поверхностью среза m1, кг, вычисляют по формуле
m1 = mн.г + mн.с + mниз.г + mниз.с. (15)
Массовую долю корнеплодов со сколотой поверхностью среза

, %, вычисляют по формуле

. (16)
7.5.5 Состав вороха ботвы определяют после прохода ботвоуборочной машины. Ворох ботвы, собранный с учетной делянки в пробоотборник, разбирают на фракции в соответствии с
формой Б.16 (приложение Б).
Массу каждой фракции взвешивают с погрешностью +/- 50 г. Результаты записывают в
форму Б.16 (приложение Б) и вычисляют массовую долю каждой фракции от общей массы вороха ботвы. Вычисления проводят с округлением до первого десятичного знака.
Массу вороха ботвы с учетной делянки Mв, кг, вычисляют по формуле
Mв = M6 + Mц.к + Mс.г + Mп.в + Mпр, (17)
где Mб - масса ботвы, кг;
Mц.к - масса целых корнеплодов и их частей в ворохе ботвы, кг;
Mс.г - масса срезанных головок корнеплодов в ворохе ботвы, кг;
Mп.в - масса почвы в ворохе ботвы, кг;
Mпр - масса прочих примесей в ворохе ботвы, кг.
Массовую долю ботвы

, %, в ворохе ботвы вычисляют по формуле

. (18)
Массовую долю целых корнеплодов и их частей в ворохе ботвы

, %, вычисляют по формуле

. (19)
Массовую долю срезанных головок корнеплодов в ворохе ботвы

, %, вычисляют по формуле

. (20)
Массовую долю почвы в ворохе ботвы

, %, вычисляют по формуле

. (21)
Массовую долю прочих примесей в ворохе ботвы

, %, вычисляют по формуле

. (22)
7.5.6 Потери ботвы определяют на учетных делянках после прохода ботвоуборочной машины.
Потери свободной ботвы определяют методом ручного сбора с поверхности почвы, а также выделением ее из убранного вороха корнеплодов.
Потери ботвы, связанной с корнеплодами после обрезки ботвоуборочной машиной, определяют методом ручного среза ее с корнеплодов, содержащихся в ворохе корнеплодов, собранном с учетной делянки в пробоотборник, а также с корнеплодов, утерянных машиной на делянке.
Каждый вид потерь ботвы взвешивают с погрешностью +/- 50 г. Результаты записывают в
форму Б.17 (приложение Б) и вычисляют массовую долю каждого вида потерь от общей массы ботвы с учетной делянки.
Общую массу ботвы с учетной делянки M, кг, вычисляют по формуле
M = Mб + Mоб, (23)
где Mоб - общие потери ботвы (свободной и связанной с убранными и утерянными корнеплодами), кг.
Массу общих потерь ботвы Mоб, кг, вычисляют по формуле
где Mу.с - масса утерянной свободной ботвы, кг;
Mс.к - масса связанной с корнеплодами ботвы, кг.
Массовую долю общих потерь ботвы

, %, вычисляют по формуле

. (25)
Массовую долю утерянной свободной ботвы

, %, вычисляют по формуле

. (26)
Массовую долю потерь ботвы, связанной с корнеплодами,

, %, вычисляют по формуле

. (27)
Массовую долю потерь ботвы, связанной с корнеплодами, от массы убранных корнеплодов

, %, вычисляют по формуле

. (28)
7.5.7 Корнеплоды, выбитые из рядов ботвоуборочной машиной, учитывают методом ручного сбора после прохода машины.
Корнеплоды взвешивают с погрешностью +/- 50 г. Результаты записывают в
форму Б.18 (приложение Б).
Массовую долю корнеплодов, выбитых из рядов ботвоуборочной машиной,

, %, вычисляют по формуле

, (29)
где Mр - масса корнеплодов, выбитых из рядов ботвоуборочной машиной, кг.
7.5.8 Потери (отходы) массы срезанных головок корнеплодов учитывают методом ручного сбора с поверхности почвы учетной делянки, а также выделением из вороха ботвы.
К срезанным головкам относят срезанную часть корнеплода от основания нижних зеленых черешков ботвы до нижней границы зоны спящих глазков. Собранные головки взвешивают с погрешностью +/- 50 г. Результаты записывают в
форму Б.18 (приложение Б).
Массовую долю срезанных головок корнеплодов, утерянных на поверхности почвы,

, %, вычисляют по формуле

, (30)
где Mс.п - масса срезанных головок корнеплодов, утерянных на поверхности почвы, кг.
Массовую долю срезанных головок корнеплодов, выделенных из вороха ботвы,

, %, вычисляют по формуле

, (31)
где Mс.б - масса срезанных головок с корнеплодов, выделенных из вороха ботвы, кг.
7.5.9 В зонах использования ботвы корнеплодов на корм животным определяют качество измельчения ботвы. Для этого пробу массой 1 кг, взятую из вороха ботвы в трехкратной повторности, разделяют на фракции:
- частицы длиной до 5 см;
- частицы длиной свыше 5 см.
Измерения длины частиц проводят с погрешностью +/- 1 мм. Каждую фракцию взвешивают с погрешностью +/- 50 г.
Результаты записывают в
форму Б.19 (приложение Б) и вычисляют массовую долю каждой фракции от общей массы навески. Вычисления проводят с округлением до первого десятичного знака.
7.5.10 Показатели качества выполнения технологического процесса машиной для уборки ботвы сахарной свеклы после обработки записывают в
форму А.6 (приложение А).
7.6 Определение показателей качества выполнения технологического процесса при испытаниях машин для уборки ботвы столовых и кормовых корнеплодов
7.6.1 Подготовка к отбору проб и определение скорости движения машины - согласно
7.5.1,
7.5.2.
7.6.2 На учетной делянке отбирают следующие пробы:
- ботву, убранную ботвоуборочной машиной, методом сбора в пробоотборник;
- корнеплоды, убранные корнеуборочной машиной, методом сбора в пробоотборник.
7.6.3 Для определения качества обрезки столовых и кормовых корнеплодов выкопанные с учетной делянки корнеплоды классифицируют по высоте среза на следующие фракции:
а) корнеплоды столовые:
1) с нормальным срезом, плоскость которого проходит на уровне головки корнеплода или выше с оставлением черешков ботвы высотой до 2 см;
2) с высоким срезом, плоскость которого проходит на уровне от 2 до 5 см от основания головки корнеплода;
3) с низким срезом, плоскость которого проходит ниже верхушки головки корнеплода;
4) необрезанные, в том числе с одним-двумя необрезанными листьями;
б) корнеплоды кормовые:
1) с нормальным срезом, плоскость которого проходит не выше 4 см от основания головки корнеплода;
2) с высоким срезом, плоскость которого проходит выше 4 см над основанием головки корнеплода, и корнеплоды с необрезанной или частично обрезанной ботвой;
3) с низким срезом, плоскость которого проходит ниже основания головки корнеплода.
Фракции корнеплодов взвешивают с погрешностью +/- 50 г. Результаты записывают в
форму Б.15 (приложение Б) и вычисляют массовую долю каждой фракции от общей массы корнеплодов в ворохе. Вычисления проводят с округлением до первого десятичного знака.
Общую массу столовых (кормовых) корнеплодов в ворохе m2 (m3), кг, вычисляют по формулам:
- для столовых корнеплодов
m2 = mн + mв.с + mниз + mн.л, (32)
- для кормовых корнеплодов
m3 = mн + mниз + mв.к, (33)
где mн - масса корнеплодов с нормальным срезом, кг;
mв.с - масса корнеплодов с высоким срезом, кг;
mниз - масса корнеплодов с низким срезом, кг;
mн.л - масса необрезанных корнеплодов, в том числе с одним-двумя листьями, кг;
mв.к - масса корнеплодов с высоким срезом и с необрезанной или частично обрезанной ботвой, кг.
Массовую долю столовых (кормовых) корнеплодов с нормальным срезом

, %, вычисляют по формулам:
- для столовых корнеплодов

, (34)
- для кормовых корнеплодов

. (35)
Массовую долю столовых (кормовых) корнеплодов с низким срезом

, %, вычисляют по формулам:
- для столовых корнеплодов

, (36)
- для кормовых корнеплодов

. (37)
Массовую долю столовых корнеплодов с высоким срезом

, %, вычисляют по формуле

. (38)
Массовую долю столовых корнеплодов с необрезанными, в том числе с одним-двумя листьями

, %, вычисляют по формуле

. (39)
Массовую долю кормовых корнеплодов с высоким срезом и с необрезанной или частично обрезанной ботвой

, %, вычисляют по формуле

. (40)
7.6.4 Засоренность вороха ботвы почвой при уборке ботвы кормовых корнеплодов определяют методом анализа вороха ботвы, отобранного в пробоотборник с учетной делянки.
Ворох ботвы разбирают на фракции: ботва, срезанные головки корнеплодов, почва, прочие примеси. Результаты записывают в
форму Б.16 (приложение Б).
Массовую долю почвы в ворохе ботвы

, %, вычисляют по формуле

, (41)
где

- масса почвы в ворохе ботвы кормовых корнеплодов, кг;

- общая масса вороха ботвы кормовых корнеплодов, кг.
Общую массу вороха ботвы кормовых корнеплодов с учетной делянки

, кг, вычисляют по формуле

, (42)
где

- масса ботвы в ворохе ботвы кормовых корнеплодов, кг;

- масса прочих примесей в ворохе ботвы кормовых корнеплодов, кг;

- масса срезанных головок корнеплодов в ворохе ботвы, кг.
Массовую долю ботвы в ворохе ботвы

, %, вычисляют по формуле

. (43)
7.6.5 Суммарные потери ботвы кормовых корнеплодов определяют согласно
7.5.6. Каждый вид потерь взвешивают с погрешностью +/- 50 г. Результаты записывают в
форму Б.17 (приложение Б).
Массовую долю суммарных потерь ботвы кормовых корнеплодов вычисляют по
формуле (24).
Массовую долю ботвы, связанной с корнеплодами после обрезки,

, %, вычисляют по формуле

. (44)
7.6.6 Корнеплоды, выбитые из рядов ботвоуборочной машиной, учитывают согласно
7.5.7.
Массовую долю столовых (кормовых) корнеплодов, выбитых из рядов ботвоуборочной машиной

, %, вычисляют по формулам:

, (45)

, (46)
где Mр1 (Mр2) - масса столовых (кормовых) корнеплодов, выбитых из рядов ботвоуборочной машиной, кг.
7.6.7 Повреждение корнеплодов рабочими органами и ходовыми колесами ботвоуборочной машины определяют после прохода машины осмотром обрезанных корнеплодов в рядах учетной делянки. Поврежденные корнеплоды выкапывают вручную, взвешивают с погрешностью +/- 50 г. Результаты записывают в
форму Б.18 (приложение Б).
Массовую долю поврежденных столовых (кормовых) корнеплодов

, %, вычисляют по формулам:

, (47)

, (48)
где Mп.с (Mп.к) - масса поврежденных столовых (кормовых) корнеплодов, кг.
7.6.8 Качество измельчения ботвы кормовых корнеплодов определяют согласно
7.5.9.
Навески, отобранные из вороха ботвы, разделяют на фракции:
- частицы длиной до 7 см;
- частицы длиной свыше 7 см.
Массовую долю каждой фракции вычисляют от общей массы навески с округлением до первого десятичного знака. Результаты записывают в
форму Б.19 (приложение Б).
7.6.9 Потери (отходы) массы срезанных головок корнеплодов определяют ручным сбором с поверхности почвы учетной делянки, а также выделением из вороха ботвы при его анализе согласно
7.5.8.
Массовую долю срезанных головок столовых (кормовых) корнеплодов

, %, вычисляют по формулам:
- для столовых корнеплодов

, (49)
- для кормовых корнеплодов

, (50)
где Mср.с (Mср.к) - общая масса срезанных головок столовых (кормовых) корнеплодов, кг.
7.6.10 Показатели качества выполнения технологического процесса машинами для уборки ботвы столовых и кормовых корнеплодов после обработки записывают в
формы А.7,
А.8 (приложение А).
7.7 Определение показателей качества выполнения технологического процесса при испытаниях машин для уборки ботвы картофеля
7.7.1 Подготовка к отбору проб и определение скорости движения машины - согласно
7.5.1,
7.5.2.
7.7.2 На учетной делянке от испытуемой машины отбирают пробы ботвы (зеленой массы) методом сбора в пробоотборник и определяют потери ботвы (свободной, несрезанной, за счет высоты среза).
7.7.3 Потери ботвы определяют на учетных делянках после прохода машины. Потери свободной ботвы определяют методом сбора ее с учетных площадок, расположенных посередине учетной делянки, длиной 10 м, шириной, равной ширине захвата машины.
Потери несрезанной ботвы определяют на этих же площадках методом ручного среза ее со всех необрезанных кустов. Несрезанную ботву обрезают на высоте среза, установленной ТЗ (ТУ).
Потери ботвы за счет высоты среза определяют на площадке длиной 1 м, шириной, равной ширине захвата машины, расположенной посередине учетной делянки. Высоту стерни предварительно измеряют, затем срезают на высоте, установленной ТЗ (ТУ), и относят к потерям за счет высоты среза.
Зеленую массу ботвы, собранную в пробоотборник, и все виды потерь взвешивают с погрешностью +/- 50 г. Результаты взвешивания записывают в
форму Б.20 (приложение Б).
В результате обработки данных вычисляют массовую долю потерь каждого вида

, %, по формуле

(51)
где qi - масса i-го вида потерь ботвы картофеля (свободной, несрезанной, за счет высоты среза), кг;
S1 - площадь учетной делянки, м2;
S2 - площадь учетной площадки, м2;
G - масса ботвы, собранной в пробоотборник с учетной делянки, кг;
n - число видов потерь, шт.
Полноту сбора ботвы картофеля Пс.б, %, вычисляют по формуле

. (52)
7.7.4 Качество измельчения ботвы картофеля определяют согласно
7.5.9.
Навески, отобранные из вороха ботвы, разделяют на фракции:
- частицы длиной до 10 см;
- частицы длиной свыше 10 см.
Результаты записывают в
форму Б.19 (приложение Б) и вычисляют массовую долю каждой фракции от общей массы навески с округлением до первого десятичного знака.
7.7.5 Высоту среза ботвы картофеля измеряют на учетных делянках после прохода машины. На каждой делянке проводят не менее 25 измерений с погрешностью +/- 1 см. Результаты записывают в
форму Б.21 (приложение Б) и вычисляют среднеарифметическое значение с округлением до целого числа.
7.7.6 Число деформированных гнезд с поврежденными клубнями после прохода ботвоуборочной машины определяют подсчетом их на каждой учетной делянке. Результаты записывают в
форму Б.22 (приложение Б) и вычисляют количественную долю деформированных гнезд с поврежденными клубнями от общего числа гнезд на учетной делянке. Вычисления проводят с округлением до первого десятичного знака.
7.7.7 Показатели качества выполнения технологического процесса машиной для уборки ботвы картофеля после обработки записывают в
форму А.9 (приложение А).
7.8 Средства измерений и оборудование, применяемые при определении показателей агротехнической оценки
Перечень средств измерений и оборудования, применяемых при определении показателей агротехнической оценки, приведен в приложении В.
8 Методы энергетической оценки
8.1 Энергетическую оценку машин проводят в соответствии со стандартами, действующими в государствах - участниках Соглашения.
8.2 Энергетическую оценку проводят одновременно с определением агротехнических показателей на фонах, указанных в
разделе 7.
8.2.1 Энергетические показатели определяют при установившемся режиме работы машины.
8.3 Результаты энергетической оценки записывают в
форму А.10 (приложение А).
9 Методы оценки безопасности и эргономичности конструкции
Оценку безопасности и эргономичности машин проводят при приемочных испытаниях по методам, изложенным в
ГОСТ 12.2.002,
ГОСТ ИСО 14269-2,
ГОСТ ИСО 14269-5,
ГОСТ 31193, на соответствие требованиям
ГОСТ 12.2.019,
ГОСТ 12.2.111,
ГОСТ 12.2.120,
ГОСТ ISO 4254-1, ТЗ (ТУ), с определением показателей, приведенных в
форме А.11 (приложение А). Результаты записывают в протокол по
форме А.12 (приложение А).
При других видах испытаний (периодических, квалификационных) оценку безопасности не проводят, т.к. машина, поступающая на испытания, - серийная и должна иметь сертификат соответствия, выданный аккредитованным органом по сертификации.
10 Методы оценки надежности
10.1 Оценку надежности единичного образца машины для уборки ботвы корнеклубнеплодов при проведении приемочных государственных испытаний не проводят.
10.2 По возникающим техническим отказам проводят их регистрацию для передачи предприятию-изготовителю.
10.3 Оценку надежности машин при периодических и квалификационных испытаниях проводят по стандартам, действующим в государствах - участниках Соглашения, с определением показателей, приведенных в
форме А.13 (приложение А).
10.4 Машины испытывают на видах работ в соответствии с
ГОСТ 24055.
10.5 На каждом виде работ машину испытывают на рабочей скорости, обеспечивающей получение заданной в ТУ производительности при допустимых показателях качества.
10.6 Для сокращения сроков испытаний допускается проводить ускоренные испытания на надежность по действующим стандартам на режимах, воспроизводящих эксплуатационные нагрузки.
10.7 Наработку машины измеряют часами основного времени, гектарами убранной площади. Для учета наработки в часах основного времени проводят сплошной хронометраж.
Допускается определять наработку в часах основного времени расчетом по наработке в физических единицах за весь период испытаний и производительности по результатам эксплуатационно-технологической оценки.
10.8 В течение всего периода испытаний ведут учет отказов и повреждений.
10.9 Определение затрат времени и труда на выявление и устранение отказов осуществляют пооперационным хронометражем с погрешностью измерения продолжительности операции +/- 5 с.
10.10 Затраты времени и труда на выявление и устранение отказов в течение всего периода испытаний суммируют и учитывают при расчете показателей надежности.
10.11 Устранение сложных отказов осуществляют сервисные службы предприятий-изготовителей.
10.12 Техническое состояние машины и замененных (восстановленных) деталей и узлов оценивают при проведении заключительной технической экспертизы.
10.13 Информацию по операциям технического обслуживания собирают и обрабатывают по ГОСТ 26026.
10.14 Показатели надежности определяют по наработке, измеряемой временем основной работы, и оценивают сопоставлением фактических показателей надежности с нормативными значениями или с показателями сравниваемой машины. Отклонение наработок сравниваемых машин не должно быть более 20%.
10.15 Показатели надежности записывают в
форму А.13 (приложение А).
10.16 Значение показателей надежности определяют при достижении плановой (заданной) наработки или не менее 75% ее выполнения.
10.17 Плановая (заданная) наработка машины при испытании на надежность должна быть не менее 30% планируемого технического ресурса.
11 Методы эксплуатационно-технологической оценки
11.1 Эксплуатационно-технологическую оценку машин проводят в соответствии с
ГОСТ 24055 на оптимальном для данного фона режиме работы, определенном по результатам агротехнической оценки для опытных машин и указанном в ТУ - для серийных.
Во время испытаний контролируют соблюдение выбранного режима работы и качество выполнения технологического процесса.
Показатели условий испытаний и качества выполнения технологического процесса определяют по методам, изложенным в
разделе 7.
11.2 Сбор информации для эксплуатационно-технологической оценки проводят во время контрольных смен.
Сбор информации о нарушениях технологического процесса и технических отказах проводят в течение всего периода наблюдений.
11.3 Производительность за 1 ч эксплуатационного времени за период контрольных смен

, га/ч (т/ч), вычисляют по следующим формулам:

, (53)
или

, (54)
где Wо - производительность за 1 ч основного времени, га/ч (т/ч);
Kсм - коэффициент использования сменного времени;
Kг - коэффициент готовности (машины самоходные);

- коэффициент готовности прицепных, навесных машин;
Wсм - производительность за 1 ч сменного времени, га/ч (т/ч).
11.4 Коэффициент готовности прицепных, навесных машин

вычисляют по формуле

, (55)
где Kг.эн - коэффициент готовности энергосредства;
Kг.м - коэффициент готовности машины.
Коэффициент готовности Kг.эн и Kг.м определяют по результатам испытания на надежность.
11.5 Производительность за 1 ч эксплуатационного времени за период контрольных смен

, га/ч (т/ч), по самоходным машинам с учетом коэффициента технического использования вычисляют по следующим формулам:

, (56)
или

, (57)
где Kт.и - коэффициент технического использования, определяемый по данным испытаний на надежность.
11.6 Результаты эксплуатационно-технологической оценки записывают в
форму А.14 (приложение А).
12 Методы экономической оценки
Экономическую оценку машин и оформление результатов проводят по стандартам, действующим в государствах - участниках Соглашения до утверждения межгосударственного стандарта ГОСТ "Техника сельскохозяйственная. Методы экономической оценки".
13 Обработка и анализ результатов испытаний
13.1 Обработку результатов испытаний машин проводят по программе, разработанной для данного типа машин.
13.2 Результаты испытаний формируют в соответствии с
формами А.1 -
А.14 (приложение А).
13.3 Полученные результаты испытаний машин используют для анализа их соответствия требованиям ТЗ (ТУ), а также для сопоставления их с показателями сравниваемой машины.
13.4 На основании анализа полученных значений показателей делают выводы о качестве работы испытуемой машины при выполнении заданного технологического процесса.
13.5 Общие выводы по результатам испытаний машин делают на основании анализа показателей по всем видам оценок.
(рекомендуемое)
ОФОРМЛЕНИЕ РЕЗУЛЬТАТОВ ИСПЫТАНИЙ
Форма А.1 - Техническая характеристика машины
Наименование показателя | Значение показателя |
Тип машины | |
Агрегатирование (класс трактора) | |
Рабочая ширина захвата, м | |
Число рядков, убираемых машиной | |
Ширина междурядья, см | |
Привод | |
Потребляемая мощность, кВт | |
Скорость, км/ч: | |
- рабочая на основных операциях | |
- транспортная | |
Производительность, га/ч (т/ч) | |
Габаритные размеры машины: | |
- в рабочем положении, мм: | |
- длина | |
- ширина | |
- высота | |
- в транспортном положении, мм: | |
- длина | |
- ширина | |
- высота | |
Дорожный просвет, мм | |
База машины, мм | |
Масса машины, кг: | |
- в комплектации поставки (с полным комплектом рабочих органов) | |
- в основной рабочей комплектации | |
Распределение по опорам эксплуатационной массы, кг: | |
______________________________ | |
______________________________ | |
Коэффициент статической нагрузки шин колес: | |
- ведущих | |
- направляющих | |
Минимальный радиус поворота, м: | |
- по крайней наружной точке | |
- по следу наружного колеса | |
Ширина поворотной полосы, м | |
Число передач, шт.: | |
- ременных | |
- цепных | |
- шарнирных (карданных) | |
- редукторов | |
Число точек смазки, всего | |
в том числе: | |
- ежесменных | |
- периодических | |
- сезонных | |
Трудоемкость составления агрегата, чел.-ч: | |
- для работы | |
- для транспортирования | |
Пределы регулирования рабочих органов (по глубине, высоте среза и т.д.) | |
Другие показатели по отдельным узлам и рабочим органам | |
______________________________ | |
______________________________ | |
______________________________ | |
Форма А.2 - Показатели условий испытаний машин для уборки ботвы корнеплодов сахарной свеклы при агротехнической и эксплуатационно-технологической оценках
Наименование показателя | Значение показателя |
Вид оценки |
Агротехническая | Эксплуатационно-технологическая |
Характеристика участка | | |
Тип почвы и название по механическому составу | + | + |
Рельеф | + | + |
Микрорельеф | + | + |
Влажность почвы, %, в слое, см: | + | + |
от 0 до 10 включ. | | |
| | |
| | |
Твердость почвы, МПа, в слое, см: | + | + |
от 0 до 10 включ. | | |
| | |
| | |
Высота сорняков, см | + | + |
Засоренность участка сорняками, кг/м2, шт./100 м ряда, высотой, см: | + | + |
от 0 до 100 включ. | | |
св. 100 | | |
Характеристика культуры | | |
Культура, сорт | + | + |
Схема посева | + | + |
Отклонение корнеплодов от теоретической оси ряда, %: | + | + |
от 0 до 10 мм включ. | | |
св. 10 до 20 мм включ. | | |
св. 20 до 30 мм включ. | | |
св. 30 до 40 мм включ. | | |
св. 40 мм | | |
Расположение головок корнеплодов относительно уровня поверхности почвы, %: | + | + |
- ниже уровня почвы: | | |
от 0 до 20 мм включ. | | |
ниже 20 до 30 мм включ. | | |
- выше уровня почвы: | | |
от 0 до 20 мм включ. | | |
св. 20 до 40 мм включ. | | |
св. 40 до 60 мм включ. | | |
св. 60 до 80 мм включ. | | |
св. 80 мм | | |
Ширина основных междурядий, см | + | + |
Расстояние между корнеплодами в ряду: | + | + |
- среднее расстояние между корнеплодами в ряду, см | | |
- коэффициент вариации, % | | |
Число корнеплодов на 1 м ряда, шт./м | + | + |
Размер корнеплодов по группам (крупные, средние, мелкие): | + | - |
- диаметр корнеплода, мм | | |
- техническая длина корнеплода, мм | | |
- соотношение фракций корнеплодов по массе, %: | | |
- крупные | | |
- средние | | |
- мелкие | | |
Длина пучка ботвы, см | + | - |
Биологическая урожайность ботвы, т/га | + | + |
Состояние ботвы на корнеплодах по форме расположения листьев, %: | + | - |
- конус | | |
- розетка | | |
Насыпная плотность ботвы, кг/м3 | + | - |
Соотношение массы ботвы и массы корнеплодов | + | + |
<1> При испытании машин с одновременным подкапыванием корнеплодов; без подкапывания - от 0 до 10 см. Примечание - Знак "+" означает, что показатель определяют, знак "-" - не определяют. |
Форма А.3 - Показатели условий испытаний машин для уборки ботвы кормовых корнеплодов при агротехнической и эксплуатационно-технологической оценках
Наименование показателя | Значение показателя |
Вид оценки |
Агротехническая | Эксплуатационно-технологическая |
Характеристика участка | | |
Тип почвы и название по механическому составу | + | + |
Рельеф | + | + |
Микрорельеф | + | + |
Влажность почвы, %, в слое, см: | + | + |
от 0 до 10 включ. | | |
| | |
| | |
Твердость почвы, МПа, в слое, см: | + | + |
от 0 до 10 включ. | | |
| | |
| | |
Высота сорняков, см | + | + |
Засоренность участка сорняками, кг/м2, шт./100 м ряда, высотой, см: | + | + |
от 0 до 100 включ. | | |
св. 100 | | |
Высота гребня, см | + | + |
Характеристика культуры | | |
Культура, сорт | + | + |
Схема посева | + | + |
Максимальное отклонение корнеплодов от оси ряда, мм | + | + |
Количественная доля корнеплодов с отклонением от оси ряда, превышающим допустимое значение по ТЗ (ТУ), % | + | + |
Расположение головок корнеплодов относительно уровня поверхности почвы, %: | + | + |
- на уровне почвы | | |
- выше уровня почвы: | | |
от 0 до 10 см включ. | | |
св. 10 до 25 см включ. | | |
св. 25 см | | |
Расстояние между корнеплодами в ряду, см | + | + |
Число корнеплодов на 1 м ряда, шт./м | + | + |
Ширина основных междурядий, см | + | + |
Густота насаждения растений, тыс. шт./га | + | + |
Длина пучка ботвы, см | + | - |
Биологическая урожайность ботвы, т/га | + | + |
Состояние ботвы по форме расположения листьев, %: | + | - |
- конус | | |
- полурозетка | | |
- розетка | | |
Усилие на отрыв ботвы от корнеплода, Н | + | - |
Количественная доля цветушных растений, % | + | - |
Насыпная плотность ботвы, кг/м3 | + | - |
<1> При испытании машин с одновременным подкапыванием корнеплодов, без подкапывания - от 0 до 10 см. Примечание - Знак "+" означает, что показатель определяют, знак "-" - не определяют. |
Форма А.4 - Показатели условий испытаний машин для уборки ботвы столовых корнеплодов при агротехнической и эксплуатационно-технологической оценках
Наименование показателя | Значение показателя |
Вид оценки |
Агротехническая | Эксплуатационно-технологическая |
Характеристика участка | | |
Тип почвы и название по механическому составу | + | + |
Рельеф | + | + |
Микрорельеф | + | + |
Влажность почвы, %, в слое, см: | + | + |
от 0 до 10 включ. | | |
| | |
| | |
Твердость почвы, МПа, в слое, см: | + | + |
от 0 до 10 включ. | | |
| | |
| | |
Высота сорняков, см | + | + |
Засоренность участка сорняками, шт./м ряда, высотой, см: | + | + |
от 0 до 20 включ. | | |
св. 20 | | |
Ботанический состав сорняков | + | - |
Высота гребня, см | + | + |
Характеристика культуры | | |
Культура, сорт | + | + |
Схема посева | + | + |
Расположение головок корнеплодов относительно уровня поверхности почвы, %: | + | + |
- на уровне почвы | | |
- выше уровня почвы: | | |
от 0 до 20 мм включ. | | |
- ниже уровня почвы: | | |
от 0 до 10 мм включ. | | |
Ширина междурядий, см | + | + |
Число корнеплодов на 1 м ряда, шт./м | + | + |
Длина пучка ботвы, см | + | - |
Биологическая урожайность ботвы, т/га | + | + |
Усилие на отрыв ботвы от корнеплода, Н | + | - |
Насыпная плотность ботвы, кг/м3 | + | - |
Высота растения, см | + | + |
Полеглость ботвы, % | + | + |
Число листьев в розетке, шт. | + | - |
Ширина ботвы в ряду, см | + | - |
<1> При испытании машин с одновременным подкапыванием корнеплодов, без подкапывания - от 0 до 10 см. Примечание - Знак "+" означает, что показатель определяют, знак "-" - не определяют. |
Форма А.5 - Показатели условий испытаний машин для уборки ботвы картофеля при агротехнической и эксплуатационно-технологической оценках
Наименование показателя | Значение показателя |
Вид оценки |
Агротехническая | Эксплуатационно-технологическая |
Характеристика участка | | |
Тип почвы и название по механическому составу | + | + |
Рельеф | + | + |
Микрорельеф | + | + |
Влажность почвы, %, в слое, см: | + | + |
от 0 до 10 включ. | | |
Твердость почвы, МПа, в слое, см: | + | + |
от 0 до 10 включ. | | |
Высота сорняков, см | + | + |
Засоренность участка сорняками, кг/м2, высотой, см: | + | + |
от 0 до 80 включ. | | |
св. 80 | | |
Высота гребня, см | + | + |
Характеристика культуры | | |
Культура, сорт | + | + |
Способ посадки | + | + |
Состояние ботвы (зеленая, засохшая) | + | + |
Ширина междурядий, см | + | + |
Высота куста, см | + | + |
Длина ботвы, см | + | - |
Полеглость ботвы, % | + | + |
Биологическая урожайность ботвы, т/га | + | + |
Густота насаждения растений, тыс. шт./га | + | + |
Примечание - Знак "+" означает, что показатель определяют, знак "-" - не определяют. |
Форма А.6 - Показатели качества выполнения технологического процесса при испытании машин для уборки ботвы корнеплодов сахарной свеклы при агротехнической и эксплуатационно-технологической оценках
Наименование показателя | Значение показателя |
Вид оценки |
Агротехническая | Эксплуатационно-технологическая |
Скорость движения машины, км/ч | + | + |
Регулировочные размеры между ножом и копиром, мм: | + | + |
- вертикальный | | |
- горизонтальный | | |
Качество обрезки корнеплодов, %: | + | + |
а) по высоте среза: | | |
- массовая доля корнеплодов с нормальным срезом | | |
- массовая доля корнеплодов с низким срезом | | |
- массовая доля корнеплодов с высоким срезом и с необрезанной или частично обрезанной ботвой | | |
б) по характеру поверхности среза: | | |
- массовая доля корнеплодов с гладкой поверхностью среза | | |
- массовая доля корнеплодов со сколотой поверхностью среза | | |
Состав вороха ботвы, %: | + | + |
- ботва | | |
- почва | | |
- целые корнеплоды и их части | | |
- срезанные головки корнеплодов | | |
- прочие примеси | | |
Потери ботвы, %, всего | + | + |
в том числе: | | |
- свободной | | |
- связанной с корнеплодами после ее обрезки | | |
Массовая доля связанной с корнеплодами ботвы после ее обрезки от массы корнеплодов, % | + | - |
Массовая доля корнеплодов, выбитых из рядов машиной, % | + | - |
Потери (отходы) массы срезанных головок корнеплодов, %: | + | - |
- в ботве | | |
- на поверхности почвы | | |
Качество измельчения ботвы <1>, %: | + | - |
- массовая доля частиц длиной: | | |
до 5 см | | |
св. 5 см | | |
<1> Определять, если предусмотрено ТЗ (ТУ). Примечание - Знак "+" означает, что показатель определяют, знак "-" - не определяют. |
Форма А.7 - Показатели качества выполнения технологического процесса при испытании машин для уборки ботвы кормовых корнеплодов при агротехнической и эксплуатационно-технологической оценках
Наименование показателя | Значение показателя |
Вид оценки |
Агротехническая | Эксплуатационно-технологическая |
Скорость движения машины, км/ч | + | + |
Регулировочные размеры между ножом и копиром, мм: | + | + |
- вертикальный | | |
- горизонтальный | | |
Массовая доля корнеплодов, %, со срезом: | + | + |
- нормальным | | |
- низким | | |
- высоким и с необрезанной или частично обрезанной ботвой | | |
Засоренность вороха ботвы почвой, % | + | + |
Суммарные потери ботвы, % | + | + |
Массовая доля связанной с корнеплодами ботвы после ее обрезки от массы корнеплодов, % | + | - |
Массовая доля корнеплодов, выбитых из рядов машиной, % | + | - |
Массовая доля корнеплодов, поврежденных машиной, % | + | + |
Качество измельчения ботвы <1>, % | + | - |
- массовая доля частиц длиной: | | |
до 7 см | | |
св. 7 см | | |
Потери (отходы) массы срезанных головок корнеплодов, % | + | - |
<1> Определяют, если предусмотрено ТЗ (ТУ). Примечание - Знак "+" означает, что показатель определяют, знак "-" - не определяют. |
Форма А.8 - Показатели качества выполнения технологического процесса при испытании машин для уборки ботвы столовых корнеплодов при агротехнической и эксплуатационно-технологической оценках
Наименование показателя | Значение показателя |
Вид оценки |
Агротехническая | Эксплуатационно-технологическая |
Скорость движения машины, км/ч | + | + |
Регулировочные размеры между ножом и копиром, мм: | + | + |
- вертикальный | | |
- горизонтальный | | |
Массовая доля корнеплодов, %, со срезом: | + | + |
- нормальным | | |
- низким | | |
- высоким | | |
- необрезанных: всего | | |
в том числе с одним-двумя необрезанными листьями | | |
Потери (отходы) массы срезанных головок корнеплодов, % | + | - |
Массовая доля корнеплодов, выбитых из рядов машиной, % | + | - |
Массовая доля корнеплодов, поврежденных машиной, % | + | + |
Примечание - Знак "+" означает, что показатель определяют, знак "-" - не определяют. |
Форма А.9 - Показатели качества выполнения технологического процесса при испытании машин для уборки ботвы картофеля при агротехнической и эксплуатационно-технологической оценках
Наименование показателя | Значение показателя |
Вид оценки |
Агротехническая | Эксплуатационно-технологическая |
Скорость движения машины, км/ч | + | + |
Регулировочные размеры между ножом и копиром, мм: | + | + |
- вертикальный | + | + |
- горизонтальный | | |
Полнота сбора ботвы, % | + | + |
Потери ботвы, %, всего | + | + |
в том числе: | | |
- свободной (срезанной) | | |
- несрезанной | | |
- за счет высоты среза | | |
Качество измельчения ботвы, %: | + | - |
- массовая доля частиц длиной: | | |
до 10 см | | |
св. 10 см | | |
Высота среза ботвы, см | + | + |
Количественная доля деформированных гнезд с поврежденными клубнями, % | + | + |
Примечание - Знак "+" означает, что показатель определяют, знак "-" - не определяют. |
Форма А.10 - Энергетические показатели
Наименование показателя | Значение показателя |
Дата проведения испытаний | |
Режим работы | |
Рабочая скорость движения, км/ч | |
Ширина захвата, м | |
Производительность за 1 ч основного времени, га/ч | |
Энергетические показатели | |
Потребляемая мощность, кВт | |
Удельные энергозатраты машины, МДж/га | |
Расход топлива, кг/ч | |
Тяговое сопротивление, Н | |
Мощность, затрачиваемая на привод рабочих органов, кВт | |
Форма А.11 - Номенклатура показателей безопасности и эргономичности конструкции машины
Наименование показателя, требование |
Общие требования к безопасности конструкции узлов и агрегатов, специфические требования к машине Требования к обеспечению безопасности при монтаже, транспортировании и хранении Требования к кабинам и их оборудованию Цвета сигнальные и знаки безопасности Удобство и безопасность доступа к местам обслуживания Требования к средствам доступа на рабочее место Наличие предупреждающих надписей и знаков безопасности Требования к системе символов для обозначения органов управления и средств отображения информации Параметры микроклимата на рабочем месте Уровень шума на рабочем месте Содержание вредных веществ в воздухе рабочей зоны Требования к наличию и конструкции защитных ограждений Требования к обеспечению безопасности операций по очистке Требования к обзорности зон Угол поперечной статической устойчивости Устойчивость в отцепленном состоянии Эффективность действия тормозных систем Нагрузка на управляемые колеса энергосредства Требования к исключению возможности самопроизвольного включения (выключения) рабочих органов Пожаробезопасность Безопасность присоединения Нагрузка на управляемые колеса (на все, кроме прицепных) Требования к наличию внешних световых приборов, их расположению (оценивается наличие дублирующих световых сигналов, если машина в транспортном положении закрывает приборы световой сигнализации энергосредства) Силы сопротивления перемещению органов управления и регулирования Требования к наличию и конструкции защитных ограждений |
Форма А.12 - Показатели безопасности и эргономичности конструкции машины (для протокола)
Наименование показателя, требование | Значение показателя по | Заключение о соответствии |
стандарту | результатам испытаний |
| | | |
Форма А.13 - Показатели надежности
Наименование показателя | Значение показателя |
Общая наработка, ч, га | |
Наработка на отказ, ч, га | |
в том числе по группам сложности: | |
- I группы сложности | |
- II группы сложности | |
- III группы сложности | |
Общее число отказов, шт. | |
в том числе по группам сложности: | |
- I группы сложности | |
- II группы сложности | |
- III группы сложности | |
Среднее время восстановления, ч/отказ | |
Оперативное время ежесменного технического обслуживания, ч | |
Оперативная трудоемкость ежесменного технического обслуживания, чел.-ч | |
Трудоемкость ежесменного технического обслуживания, чел.-ч | |
Удельная суммарная трудоемкость технических обслуживаний, чел.-ч/ч, чел.-ч/га | |
Удельная суммарная оперативная трудоемкость технических обслуживаний, чел.-ч/ч, чел.-ч/га | |
Удельная суммарная оперативная трудоемкость текущих ремонтов (выявления и устранения отказов), чел.-ч/ч, чел.-ч/га | |
Удельная суммарная трудоемкость текущих ремонтов (выявления и устранения отказов), чел.-ч/ч, чел.-ч/га | |
Коэффициент готовности: | |
- с учетом организационного времени | |
- по оперативному времени | |
Коэффициент технического использования | |
Перечень отказов и повреждений (помещают в приложении к протоколу) | |
Форма А.14 - Эксплуатационно-технологические показатели
Наименование показателя | Значение показателя |
Вид работы |
Период проведения оценки (дата) | | | |
Место проведения оценки | | | |
Условия проведения испытаний <1> | | | |
Состав агрегата | | | |
| | | |
Производительность за 1 ч времени, га/ч (т/ч): | | | |
- основного | | | |
- технологического | | | |
- сменного | | | |
- эксплуатационного | | | |
Удельный расход топлива за время сменной работы, кг/га, кг/т | | | |
Эксплуатационно-технологические коэффициенты: | | | |
- рабочих ходов | | | |
- технологического обслуживания | | | |
- надежности технологического процесса | | | |
- использования технологического времени | | | |
- использования сменного времени | | | |
Число обслуживающего персонала, чел. | | | |
Показатели качества выполнения технологического процесса <2> | | | |
______________________________ | | | |
______________________________ | | | |
______________________________ | | | |
|
(рекомендуемое)
ФОРМЫ РАБОЧИХ ВЕДОМОСТЕЙ РЕЗУЛЬТАТОВ ИСПЫТАНИЙ
Форма Б.1 - Ведомость определения засоренности участка
Марка машины ___________________ Культура, сорт _____________________
Место испытаний _________________ Дата _____________________________
Средства измерений _________________________________________________
Площадка (повторность) размер площадки, м2 длина ряда 100 м) | Число сорняков, шт., с высотой, см | Масса сорняков, кг, с высотой, см | Ботанический состав сорняков <1> |
до 100 (20) | св. 100 (20) | по ТЗ (ТУ) | до 100 (80) | св. 100 (80) | по ТЗ (ТУ) |
1 | | | | | | | |
2 | | | | | | | |
3 | | | | | | | |
4 | | | | | | | |
5 | | | | | | | |
Сумма | | | | | | | |
Среднеарифметическое значение | | | | | | | |
<1> Определяют при испытании машин для уборки ботвы столовых корнеплодов. |
Исполнитель _______________ ________________ ______________________
должность личная подпись инициалы, фамилия
Форма Б.2 - Ведомость определения высоты гребня
Марка машины ___________________ Культура, сорт _____________________
Место испытаний _________________ Дата _____________________________
Средства измерений _________________________________________________
Измерение | Высота гребня, см |
Учетная площадка |
1 | 2 | 3 | 4 | 5 |
1 | | | | | |
2 | | | | | |
3 | | | | | |
... | | | | | |
20 | | | | | |
Сумма | | | | | |
Среднеарифметическое значение | | | | | |
Исполнитель _______________ ________________ ______________________
должность личная подпись инициалы, фамилия
Форма Б.3 - Ведомость определения ширины основных междурядий
Марка машины ___________________ Культура, сорт _____________________
Место испытаний ________________ Дата ______________________________
Средства измерений _________________________________________________
Измерение | Ширина основных междурядий, см |
Проход (учетная площадка) |
1 | 2 | 3 | 4 | 5 | 6 | 7 | 8 | 9 | 10 |
1 | | | | | | | | | | |
2 | | | | | | | | | | |
3 | | | | | | | | | | |
... | | | | | | | | | | |
10 | | | | | | | | | | |
Сумма | | | | | | | | | | |
Среднеарифметическое значение | | | | | | | | | | |
Исполнитель _______________ ________________ ______________________
должность личная подпись инициалы, фамилия
Форма Б.4 - Ведомость определения расстояния между корнеплодами в ряду
Марка машины ___________________ Культура, сорт _____________________
Место испытаний ________________ Дата ______________________________
Средства измерений _________________________________________________
Измерение | Расстояние (интервал) между корнеплодами, см |
Площадка |
1 | 2 | 3 | 4 | 5 |
Номер ряда |
1 | 2 | 3 | 1 | 2 | 3 | 1 | 2 | 3 | 1 | 2 | 3 | 1 | 2 | 3 |
1 | | | | | | | | | | | | | | | |
2 | | | | | | | | | | | | | | | |
3 | | | | | | | | | | | | | | | |
... | | | | | | | | | | | | | | | |
n | | | | | | | | | | | | | | | |
Сумма | | | | | | | | | | | | | | | |
Среднеарифметическое значение | | | | | | | | | | | | | | | |
Коэффициент вариации, % | | | | | | | | | | | | | | | |
Исполнитель _______________ ________________ ______________________
должность личная подпись инициалы, фамилия
Форма Б.5 - Ведомость определения числа корнеплодов (кустов)
Марка машины ___________________ Культура, сорт _____________________
Место испытаний ________________ Дата ______________________________
Площадка | Среднее расстояние между корнеплодами, см | Число корнеплодов (кустов), шт. | Густота насаждения растений (общее число растений), тыс. шт./га | Число цветушных растений, шт. |
на 1 м длины ряда | на одном ряду |
1 | | | | | |
2 | | | | | |
3 | | | | | |
... | | | | | |
n | | | | | |
Сумма | | | | | |
Среднеарифметическое значение | | | | | |
Исполнитель _______________ ________________ ______________________
должность личная подпись инициалы, фамилия
Форма Б.6 - Ведомость определения диаметра и длины корнеплода, длины пучка ботвы
Марка машины ___________________ Культура, сорт _____________________
Место испытаний ________________ Дата ______________________________
Средства измерений _________________________________________________
В миллиметрах
Измеряемый корнеплод | Фракция |
Крупный корнеплод (диаметр свыше 80) | Средний корнеплод (диаметр свыше 40 до 80 включительно) | Мелкий корнеплод (диаметр от 0 до 40 включительно) |
диаметр корнеплода | длина корнеплода | длина пучка ботвы | диаметр корнеплода | длина корнеплода | длина пучка ботвы | диаметр корнеплода | длина корнеплода | длина пучка ботвы |
1 | | | | | | | | | |
2 | | | | | | | | | |
3 | | | | | | | | | |
... | | | | | | | | | |
n | | | | | | | | | |
Сумма | | | | | | | | | |
Среднеарифметическое значение | | | | | | | | | |
Исполнитель _______________ ________________ ______________________
должность личная подпись инициалы, фамилия
Форма Б.7 - Ведомость определения массы корнеплодов и ботвы
Марка машины ___________________ Культура, сорт _____________________
Место испытаний ________________ Дата ______________________________
Средства измерений _________________________________________________
Площадка | Масса корнеплодов, кг | Масса ботвы с площадки, кг | Размер площадки, м2 | Биологическая урожайность ботвы, ц/га |
фракции | итого с площадки |
крупные | средние | мелкие |
1 | | | | | | | |
2 | | | | | | | |
3 | | | | | | | |
4 | | | | | | | |
5 | | | | | | | |
Сумма | | | | | | | |
Среднеарифметическое значение | | | | | | | |
Массовая доля корнеплодов по фракции, % | | | | | | | |
Исполнитель _______________ ________________ ______________________
должность личная подпись инициалы, фамилия
Форма Б.8 - Ведомость определения состояния ботвы на корнеплодах по форме расположения листьев
Марка машины ___________________ Культура, сорт _____________________
Место испытаний _________________ Дата _____________________________
Учетная площадка | Общее число растений, шт. | Число случаев, шт. |
Группа по состоянию ботвы |
конус | полурозетка | розетка |
1 | | : : | | |
2 | | | | |
3 | | | : : | |
Сумма | | | | |
Количественная доля группы, % | | | | |
Исполнитель _______________ ________________ ______________________
должность личная подпись инициалы, фамилия
Форма Б.9 - Ведомость определения усилия на отрыв ботвы
Марка машины ___________________ Культура, сорт _____________________
Место испытаний ________________ Дата ______________________________
Средства измерений _________________________________________________
Измерение | Усилие на отрыв ботвы, Н |
Учетная площадка |
1 | 2 | 3 |
1 | | | |
2 | | | |
3 | | | |
... | | | |
10 | | | |
Сумма | | | |
Среднеарифметическое значение | | | |
Исполнитель _______________ ________________ ______________________
должность личная подпись инициалы, фамилия
Форма Б.10 - Ведомость определения насыпной плотности ботвы
Марка машины ___________________ Культура, сорт _____________________
Место испытаний ________________ Дата ______________________________
Средства измерений _________________________________________________
Повторность | Масса ботвы с контейнером, кг | Масса контейнера, кг | Масса ботвы, кг | Объем контейнера, м3 | Насыпная плотность ботвы, кг/м3 |
1 | | | | | |
2 | | | | | |
3 | | | | | |
Сумма | - | - | | | |
Среднеарифметическое значение | - | - | | | |
Исполнитель _______________ ________________ ______________________
должность личная подпись инициалы, фамилия
Форма Б.11 - Ведомость определения ширины междурядья столовых корнеплодов
Марка машины ___________________ Культура, сорт _____________________
Место испытаний ________________ Дата ______________________________
Средства измерений _________________________________________________
В сантиметрах
Измерение | Расстояние от центра междурядья до растения | Ширина междурядья |
слева | справа |
Учетная площадка |
1 | 2 | 3 | 1 | 2 | 3 | 1 | 2 | 3 |
1 | | | | | | | | | |
2 | | | | | | | | | |
3 | | | | | | | | | |
... | | | | | | | | | |
10 | | | | | | | | | |
Сумма | | | | | | | | | |
Среднеарифметическое значение | | | | | | | | | |
Исполнитель _______________ ________________ ______________________
должность личная подпись инициалы, фамилия
Форма Б.12 - Ведомость определения высоты растения, длины ботвы, числа листьев в розетке
Марка машины ___________________ Культура, сорт _____________________
Место испытаний ________________ Дата ______________________________
Средства измерений _________________________________________________
Номер растения | Высота растения, см | Длина ботвы, см | Число листьев в розетке, шт. |
Учетная площадка |
1 | 2 | 3 | 1 | 2 | 3 | 1 | 2 | 3 |
1 | | | | | | | | | |
2 | | | | | | | | | |
3 | | | | | | | | | |
... | | | | | | | | | |
20 | | | | | | | | | |
Сумма | | | | | | | | | |
Среднеарифметическое значение | | | | | | | | | |
Исполнитель _______________ ________________ ______________________
должность личная подпись инициалы, фамилия
Форма Б.13 - Ведомость определения ширины ботвы в ряду
Марка машины ___________________ Культура, сорт ____________________
Место испытаний ________________ Дата _____________________________
Средства измерений ________________________________________________
Измерение | Ширина ботвы в ряду, см |
Учетная площадка |
1 | 2 | 3 |
1 | | | |
2 | | | |
3 | | | |
... | | | |
10 | | | |
Сумма | | | |
Среднеарифметическое значение | | | |
Исполнитель _______________ ________________ ______________________
должность личная подпись инициалы, фамилия
Форма Б.14 - Ведомость определения качества обрезки корнеплодов сахарной свеклы
Марка машины ___________________ Культура, сорт _____________________
Место испытаний ________________ Дата ___________ Режим ____________
Средства измерений _________________________________________________
Учетная делянка | Общая масса корнеплодов в ворохе, кг | Масса корнеплодов по фракциям, кг | Масса корнеплодов с высоким срезом и необрезанных, кг |
с нормальным срезом | с низким срезом |
с гладкой поверхностью среза | со сколотой поверхностью среза | с гладкой поверхностью среза | со сколотой поверхностью среза |
1 | | | | | | |
2 | | | | | | |
3 | | | | | | |
Сумма | | | | | | |
Среднеарифметическое значение | | | | | | |
Массовая доля, % | | | | | | |
Исполнитель _______________ ________________ ______________________
должность личная подпись инициалы, фамилия
Форма Б.15 - Ведомость определения качества среза при уборке ботвы маточной сахарной свеклы, столовых и кормовых корнеплодов
Марка машины ___________________ Культура, сорт _____________________
Место испытаний ________________ Дата ___________ Режим ____________
Средства измерений _________________________________________________
Учетная делянка | Общая масса корнеплодов в ворохе, кг | Масса корнеплодов по фракциям, кг |
с нормальным срезом | с низким срезом | | |
всего | в том числе с одним-двумя необрезанными листьями |
1 | | | | | | |
2 | | | | | | |
3 | | | | | | |
Сумма | | | | | | |
Среднеарифметическое значение | | | | | | |
Массовая доля, % | | | | | | |
<1> При уборке ботвы кормовых корнеплодов учитываются также корнеплоды с необрезанной или частично обрезанной ботвой. <2> Определяют при уборке ботвы столовых корнеплодов. |
Исполнитель _______________ ________________ ______________________
должность личная подпись инициалы, фамилия
Форма Б.16 - Ведомость определения состава вороха ботвы
Марка машины ___________________ Культура, сорт _____________________
Место испытаний ________________ Дата __________ Режим _____________
Средства измерений _________________________________________________
Учетная делянка | Общая масса вороха ботвы, кг | Масса, кг |
целых корнеплодов и их частей <1> | срезанных головок корнеплодов | ботвы | почвы | прочих примесей |
1 | | | | | | |
2 | | | | | | |
3 | | | | | | |
Сумма | | | | | | |
Среднеарифметическое значение | | | | | | |
Массовая доля, % | | | | | | |
<1> Определяют при уборке ботвы сахарной свеклы. |
Исполнитель _______________ ________________ ______________________
должность личная подпись инициалы, фамилия
Форма Б.17 - Ведомость определения потерь ботвы
Марка машины ___________________ Культура, сорт _____________________
Место испытаний ________________ Дата __________ Режим _____________
Средства измерений _________________________________________________
Учетная делянка | Масса, кг |
ботвы | Потери ботвы |
всего | в том числе |
| связанной с корнеплодами |
1 | | | | |
2 | | | | |
3 | | | | |
Сумма | | | | |
Среднеарифметическое значение | | | | |
Массовая доля, % | | | | |
<1> Определяют при уборке ботвы сахарной свеклы. |
Исполнитель _______________ ________________ ______________________
должность личная подпись инициалы, фамилия
Форма Б.18 - Ведомость определения потерь (отходов) и повреждений корнеплодов
Марка машины ___________________ Культура, сорт _____________________
Место испытаний ________________ Дата __________ Режим _____________
Средства измерений _________________________________________________
Учетная делянка | Масса, кг |
всего | корнеплодов, выбитых из рядов машиной | срезанных головок корнеплодов, утерянных на поверхности почвы | срезанных головок корнеплодов, выделенных из вороха ботвы | корнеплодов, поврежденных машиной |
1 | | | | | |
2 | | | | | |
3 | | | | | |
Сумма | | | | | |
Среднеарифметическое значение | | | | | |
Массовая доля, % | | | | | |
Исполнитель _______________ ________________ ______________________
должность личная подпись инициалы, фамилия
Форма Б.19 - Ведомость определения качества измельчения ботвы
Марка машины ___________________ Культура, сорт _____________________
Место испытаний ________________ Дата ______________________________
Средства измерений _________________________________________________
Повторность | Масса частиц ботвы, г |
до 5 см (до 7 см) <1>; (до 10 см) <2> | св. 5 см (св. 7 см) <1>; (св. 10 см) <2> |
1 | | |
2 | | |
3 | | |
Сумма | | |
Среднеарифметическое значение | | |
Массовая доля фракции, % | | |
<1> Для кормовых корнеплодов. |
Исполнитель _______________ ________________ ______________________
должность личная подпись инициалы, фамилия
Форма Б.20 - Ведомость определения потерь ботвы картофеля
Марка машины ___________________ Культура, сорт _____________________
Место испытаний ________________ Дата __________ Опыт ______________
Средства измерений _________________________________________________
Учетная делянка | Масса ботвы, собранной с учетной делянки, кг | Масса потерь ботвы, кг |
всего | в том числе |
свободной | несрезанной | за счет высоты среза |
1 | | | | | |
2 | | | | | |
3 | | | | | |
Сумма | | | | | |
Среднеарифметическое значение | | | | | |
Массовая доля, % | | | | | |
Исполнитель _______________ ________________ ______________________
должность личная подпись инициалы, фамилия
Форма Б.21 - Ведомость определения высоты среза ботвы
Марка машины ___________________ Культура, сорт _____________________
Место испытаний ________________ Дата ______________________________
Средства измерений _________________________________________________
Измерение | Высота среза, см |
Учетная делянка |
1 | 2 | 3 |
1 | | | |
2 | | | |
3 | | | |
... | | | |
25 | | | |
Сумма | | | |
Среднеарифметическое значение | | | |
Исполнитель _______________ ________________ ______________________
должность личная подпись инициалы, фамилия
Форма Б.22 - Ведомость определения деформирования гнезд и повреждения клубней ботвоуборочной машиной
Марка машины ___________________ Культура, сорт _____________________
Место испытаний ________________ Дата ______________________________
Номер ряда | Число деформированных гнезд, шт. |
всего | учетная делянка |
1 | 2 | 3 |
с неповрежденными клубнями | с поврежденными клубнями <1> | с неповрежденными клубнями | с поврежденными клубнями | с неповрежденными клубнями | с поврежденными клубнями |
1 | | | | | | | |
2 | | | | | | | |
3 | | | | | | | |
... | | | | | | | |
n | | | | | | | |
Сумма | | | | | | | |
Количественная доля деформированных гнезд с поврежденными клубнями, % | | | | | | | |
<1> При наличии гнезд с открытыми клубнями их относят к гнездам с поврежденными клубнями. |
Исполнитель _______________ ________________ ______________________
должность личная подпись инициалы, фамилия
(рекомендуемое)
ПЕРЕЧЕНЬ СРЕДСТВ ИЗМЕРЕНИЙ И ОБОРУДОВАНИЯ, ПРИМЕНЯЕМЫХ
ПРИ ОПРЕДЕЛЕНИИ ПОКАЗАТЕЛЕЙ АГРОТЕХНИЧЕСКОЙ ОЦЕНКИ
Шкаф сушильный с погрешностью измерений +/- 2 °C.
Динамометр с диапазоном измерений от 0 до 300 кг с погрешностью измерений +/- 1 кг по
ГОСТ 13837.
Линейка металлическая 500 мм с погрешностью измерений +/- 1 мм по
ГОСТ 427.
Рулетка длиной 20 м с погрешностью измерений +/- 1 мм по
ГОСТ 7502.
Штангенциркуль с погрешностью измерений +/- 0,1 мм по
ГОСТ 166.
Секундомер с погрешностью измерений +/- 1 с.
Твердомер почвенный плужерный с погрешностью измерений +/- 5%.
Прибор для измерения длины и диаметра корнеплодов и ботвы с погрешностью измерений +/- 1 мм по
ГОСТ 427.
Мерный циркуль с погрешностью измерений +/- 2 см.
Пробоотборник ботвы.
Шнур 2 м.
Приспособление для измерения интервалов между растениями с погрешностью измерений +/- 5 мм.
Прибор для измерения расположения головок корнеплодов относительно поверхности почвы (бороздомер) с погрешностью измерений +/- 5 мм.
Рамка для учета сорняков с погрешностью измерений +/- 5 мм.
Мерная линейка с погрешностью измерений +/- 5 мм.
Полотно брезентовое 5 x 2 м, 3 x 4 м.
| Доспехов Б.А. Методика полевого опыта (с основами статистической обработки результатов исследований). - 5-е изд., доп. и перераб. - М.: Агропромиздат, 1985. - 351 с., ил. - (Учебники и учеб. пособия для высш. учеб. заведений) |