Главная // Актуальные документы // Ведомость (форма)СПРАВКА
Источник публикации
М.: Стандартинформ, 2017
Примечание к документу
Текст данного документа приведен с учетом
поправки, опубликованной в "ИУС", N 2, 2023.
Отдельные положения данного документа включены в
Перечень международных и региональных (межгосударственных) стандартов, а в случае их отсутствия - национальных (государственных) стандартов, содержащих правила и методы исследований (испытаний) и измерений, в том числе правила отбора образцов, необходимые для применения и исполнения требований технического
регламента Таможенного союза "О безопасности машин и оборудования" (ТР ТС 010/2011) и осуществления оценки соответствия объектов технического регулирования (
Решение Коллегии Евразийской экономической комиссии от 09.03.2021 N 28).
Документ
введен в действие с 01.01.2018.
Название документа
"ГОСТ 33737-2016. Межгосударственный стандарт. Техника сельскохозяйственная. Машины свеклоуборочные. Методы испытаний"
(введен в действие Приказом Росстандарта от 22.03.2017 N 173-ст)
"ГОСТ 33737-2016. Межгосударственный стандарт. Техника сельскохозяйственная. Машины свеклоуборочные. Методы испытаний"
(введен в действие Приказом Росстандарта от 22.03.2017 N 173-ст)
агентства по техническому
регулированию и метрологии
от 22 марта 2017 г. N 173-ст
МЕЖГОСУДАРСТВЕННЫЙ СТАНДАРТ
ТЕХНИКА СЕЛЬСКОХОЗЯЙСТВЕННАЯ
МАШИНЫ СВЕКЛОУБОРОЧНЫЕ
МЕТОДЫ ИСПЫТАНИЙ
Agricultural machinery. Beet-gathering machines.
Test methods
ГОСТ 33737-2016
ОКПД 28.30.54.120
Дата введения
1 января 2018 года
Цели, основные принципы и основной порядок проведения работ по межгосударственной стандартизации установлены в
ГОСТ 1.0-2015 "Межгосударственная система стандартизации. Основные положения" и
ГОСТ 1.2-2015 "Межгосударственная система стандартизации. Стандарты межгосударственные, правила и рекомендации по межгосударственной стандартизации. Правила разработки, принятия, обновления и отмены"
1 РАЗРАБОТАН Новокубанским филиалом Федерального государственного бюджетного научного учреждения "Российский научно-исследовательский институт информации и технико-экономических исследований по инженерно-техническому обеспечению агропромышленного комплекса" (КубНИИТиМ)
2 ВНЕСЕН Федеральным агентством по техническому регулированию и метрологии
3 ПРИНЯТ Межгосударственным советом по стандартизации, метрологии и сертификации (протокол от 27 июля 2016 г. N 89-П)
За принятие проголосовали:
Краткое наименование страны по МК (ИСО 3166) 004-97 | Код страны по МК (ИСО 3166) 004-97 | Сокращенное наименование национального органа по стандартизации |
Армения | AM | Минэкономики Республики Армения |
Киргизия | KG | Кыргызстандарт |
Россия | RU | Росстандарт |
Туркмения | TM | Главгосслужба "Туркменстандартлары" |
4
Приказом Федерального агентства по техническому регулированию и метрологии от 22 марта 2017 г. N 173-ст межгосударственный стандарт ГОСТ 33737-2016 введен в действие в качестве национального стандарта Российской Федерации с 1 января 2018 г.
5 Настоящий стандарт подготовлен на основе применения ГОСТ Р 52757-2007 <*>
--------------------------------
<*>
Приказом Федерального агентства по техническому регулированию и метрологии от 22 марта 2017 г. N 173-ст ГОСТ Р 52757-2007 отменен с 1 января 2018 г.
6 ВВЕДЕН ВПЕРВЫЕ
Информация об изменениях к настоящему стандарту публикуется в ежегодном информационном указателе "Национальные стандарты", а текст изменений и поправок - в ежемесячном информационном указателе "Национальные стандарты". В случае пересмотра (замены) или отмены настоящего стандарта соответствующее уведомление будет опубликовано в ежемесячном информационном указателе "Национальные стандарты". Соответствующая информация, уведомление и тексты размещаются также в информационной системе общего пользования - на официальном сайте Федерального агентства по техническому регулированию и метрологии в сети Интернет (www.gost.ru)
Настоящий стандарт распространяется на:
- комбайны свеклоуборочные;
- машины корнеуборочные;
- машины и приспособления для уборки корнеплодов маточной свеклы (далее - машины), предназначенные для уборки сахарной и кормовой свеклы.
Настоящий стандарт устанавливает методы испытаний вышеперечисленных типов машин.
В настоящем стандарте использованы нормативные ссылки на следующие межгосударственные стандарты:
ГОСТ 12.1.012-2004 Система стандартов безопасности труда. Вибрационная безопасность. Общие требования
ГОСТ 12.2.002-91 Система стандартов безопасности труда. Техника сельскохозяйственная. Методы оценки безопасности
ГОСТ 12.2.019-2005 Система стандартов безопасности труда. Тракторы и машины самоходные сельскохозяйственные. Общие требования безопасности
ГОСТ 12.2.111-85 <1> Система стандартов безопасности труда. Машины сельскохозяйственные навесные и прицепные. Общие требования безопасности
--------------------------------
ГОСТ 12.2.120-2005 Система стандартов безопасности труда. Кабины и рабочие места операторов тракторов и самоходных сельскохозяйственных машин. Общие требования безопасности
ГОСТ 27.002-89 Надежность в технике. Основные понятия. Термины и определения
ГОСТ 166-89 (ИСО 3599-76) Штангенциркули. Технические условия
ГОСТ 427-75 Линейки измерительные металлические. Технические условия
ГОСТ ISO 4254-1-2013 Машины сельскохозяйственные. Требования безопасности. Часть 1. Общие требования
ГОСТ 7502-98 Рулетки измерительные металлические. Технические условия
ГОСТ EN 13140-2012 Машины сельскохозяйственные. Машины для уборки сахарной и кормовой свеклы. Требования безопасности
ГОСТ ИСО 14269-2-2003 Тракторы и самоходные машины для сельскохозяйственных работ и лесоводства. Окружающая среда рабочего места оператора. Часть 2. Метод испытаний и характеристики систем отопления, вентиляции и кондиционирования воздуха
ГОСТ ИСО 14269-5-2003 Тракторы и самоходные машины для сельскохозяйственных работ и лесоводства. Окружающая среда рабочего места оператора. Часть 5. Метод испытания системы герметизации
ГОСТ 16504-81 Система государственных испытаний продукции. Испытания и контроль качества продукции. Основные термины и определения
ГОСТ 20915-2011 Испытания сельскохозяйственной техники. Методы определения условий испытаний
ГОСТ 21623-76 Система технического обслуживания и ремонта техники. Показатели для оценки ремонтопригодности. Термины и определения
ГОСТ 24055-2016 Техника сельскохозяйственная. Методы эксплуатационно-технологической оценки
--------------------------------
<1> В Российской Федерации действует
ГОСТ Р 53228-2008 "Весы неавтоматического действия. Часть 1. Метрологические и технические требования. Испытания".
ГОСТ 26025-83 Машины и тракторы сельскохозяйственные и лесные. Методы измерения конструктивных параметров
ГОСТ 26026-83 Машины и тракторы сельскохозяйственные и лесные. Методы оценки приспособленности к техническому обслуживанию
ГОСТ 26336-97 Тракторы, машины для сельского и лесного хозяйства, самоходные механизмы для газонов и садов. Условные обозначения (символы) элементов систем управления, обслуживания и отображения информации
ГОСТ 27388-87 Эксплуатационные документы сельскохозяйственной техники
ГОСТ 28305-89 <2> Машины и тракторы сельскохозяйственные и лесные. Правила приемки на испытания
--------------------------------
<2> В Российской Федерации действует
ГОСТ Р 54783-2011 "Испытания сельскохозяйственной техники. Основные положения".
ГОСТ 28498-90 Термометры жидкостные стеклянные. Общие технические требования. Методы испытаний
ГОСТ 29329-92 <3> Весы для статического взвешивания. Общие технические требования
--------------------------------
<3> В Российской Федерации действует
ГОСТ Р 53228-2008 "Весы неавтоматического действия. Часть 1. Метрологические и технические требования. Испытания".
ГОСТ 31193-2004 (ЕН 1032:2003) Вибрация. Определение параметров вибрационной характеристики самоходных машин. Общие требования
ГОСТ 32431-2013 (ISO 16154:2005) Машины для сельского и лесного хозяйства. Монтаж устройств освещения и световой сигнализации для проезда по дорогам общего пользования
ГОСТ (проект) Техника сельскохозяйственная. Машины для уборки ботвы корнеклубнеплодов. Методы испытаний
Примечание - При пользовании настоящим стандартом целесообразно проверить действие ссылочных стандартов в информационной системе общего пользования - на официальном сайте Федерального агентства по техническому регулированию и метрологии в сети Интернет или по ежегодному информационному указателю "Национальные стандарты", который опубликован по состоянию на 1 января текущего года, и по выпускам ежемесячного информационного указателя "Национальные стандарты" за текущий год. Если ссылочный стандарт заменен (изменен), то при пользовании настоящим стандартом следует руководствоваться заменяющим (измененным) стандартом. Если ссылочный стандарт отменен без замены, то положение, в котором дана ссылка на него, применяется в части, не затрагивающей эту ссылку.
3.1 корнеплод сахарной свеклы: Главный корень растения сахарной свеклы, образовавшийся в первый год вегетации и используемый для производства сахара.
3.2 ботва сахарной и кормовой свеклы: Листовая масса свеклы.
3.3 головка корнеплода: Верхняя часть корнеплода стеблевого происхождения, несущая почки и листья.
3.4 техническая длина корнеплода: Расстояние от вершины головки до обрезанного хвостика корнеплода.
3.5 длина пучка ботвы: Расстояние от основания черешков до верхушки основной массы листьев.
3.6 густота насаждения сахарной свеклы: Число растений на 1 м2 (тыс. штук на 1 га).
3.7 загрязненность вороха корнеплодов: Содержание в партии корнеплодов свеклы примесей органического и минерального происхождения.
4.1 Цели, задачи и виды испытаний - по
ГОСТ 16504, а также по стандартам, действующим в государствах - участниках Соглашения.
4.2 Порядок представления машины на испытания, оформление результатов приемки - в соответствии с ГОСТ 28305, а также в соответствии со стандартами, действующими в государствах - участниках Соглашения.
Эксплуатационные документы, представляемые с машиной, должны соответствовать ГОСТ 27388.
4.3 Свеклоуборочную машину представляют на испытания не позднее чем за 15 дней до наступления агротехнического срока.
Типовая программа испытаний машины включает виды оценок в соответствии с таблицей 1.
Таблица 1
Вид оценки | Вид испытаний |
Приемочные | Квалификационные | | Периодические |
1 Технических параметров (техническая экспертиза) | + | + | + | + |
2 Агротехническая | + | - | + | - |
3 Энергетическая | + | + | + | - |
4 Безопасность и эргономичность конструкции | + | - | + | - |
5 Эксплуатационно-технологическая | + | + | + | + |
6 Надежность | - | + | + | + |
7 Экономическая | + | - | + | - |
<*> При проведении типовых испытаний включают виды оценок, на изменение значения показателей которых повлияли изменения конструкции изделия. Примечание - Знак "+" означает - оценка проводится, знак "-" - не проводится. |
4.4 Сравнительные испытания проводят в сопоставимых условиях.
4.5 Применяемые средства измерений должны быть поверены до начала испытаний в соответствии с правилами, действующими в государствах - участниках Соглашения.
4.6 Нестандартные и единичные средства измерений, испытательное оборудование подлежат аттестации, проводимой в установленном порядке.
5. Подготовка к испытаниям
5.1 Перед началом испытаний на основании типовой программы испытаний составляют рабочую программу - методику испытаний, в которой с учетом особенностей конкретного образца приводят перечень видов оценок и определяемых показателей по каждому виду оценки, режимы, условия, место испытаний, наименования средств измерений и оборудования, применяемых при испытании, фактические значения по которым в процессе испытаний записывают в рабочие формы испытаний.
5.2 При подготовке свеклоуборочной машины к испытаниям необходимо соблюдать следующие требования:
- машина должна отвечать требованиям безопасности (при всех видах испытаний должен быть составлен и утвержден акт предварительной оценки безопасности);
- до начала испытаний машина должна быть обкатана и отрегулирована в соответствии с руководством по эксплуатации.
5.3 Параметры, характеризующие условия работы машины при испытаниях, должны находиться в пределах, соответствующих техническому заданию (ТЗ), техническим условиям (ТУ) на испытуемую машину.
5.4 Перед проведением испытаний проводят обучение персонала по вопросам устройства и безопасной эксплуатации свеклоуборочной машины.
6. Методы оценки технических параметров
6.1 Оценку технических параметров проводят по стандартам, действующим в государствах - участниках Соглашения.
6.2 Определение габаритных размеров, массы, ширины захвата и минимальных радиусов поворота - по ГОСТ 26025.
6.3 Перечень технических параметров, характеризующих конструкцию свеклоуборочной машины, приведен в
форме А.1 (приложение А).
7. Методы агротехнической оценки
7.1. Номенклатура показателей
Показатели условий испытаний и качества выполнения технологического процесса, определяемые при агротехнической и эксплуатационно-технологической оценках свеклоуборочных машин, приведены в
формах А.2 -
А.5 (приложение А).
7.2. Определение условий испытаний
7.2.1 Культуру, сорт, предшествующую обработку определяют по данным хозяйства, в котором проводят испытания.
7.2.2 Испытания проводят в оптимальные, установленные для зоны агротехнические сроки для уборки корнеплодов свеклы, имеющих характеристику, соответствующую ТЗ (ТУ) на разработку испытуемой машины.
При отсутствии в зоне таких фонов испытания проводят в реально сложившихся условиях. Полученные при этом показатели качества выполнения технологического процесса испытуемой машиной сравнивают только с показателями аналога.
7.2.3 Показатели условий испытаний по характеристике участка (влажности и твердости почвы, типу почвы и названию по механическому составу, рельефу и микрорельефу) определяют по
ГОСТ 20915. Влажность и твердость почвы определяют в рядах сахарной свеклы в слоях от 0 до 10 см включ., св. 10 до 20 см включ., св. 20 до 30 см включ.
7.2.4 Засоренность участка сорняками определяют количественным или весовым методом в зависимости от влияния ее на технологический процесс машины. При количественном методе учитывают число сорняков высотой до и свыше 100 см на 100 м ряда в трехкратной повторности.
При весовом методе засоренность участка сорняками определяют по
ГОСТ 20915 на пяти площадках размером 1 м
2 каждая (с захватом двух рядов), равномерно расположенных по диагонали участка. Сорняки, собранные с учетной площадки, разделяют по высоте до и свыше 100 см и взвешивают.
Результаты записывают в
форму Б.1 (приложение Б) и вычисляют среднеарифметическое значение с округлением до первого десятичного знака.
7.2.5 Засоренность почвы камнями определяют на пяти площадках размером 1 м2, равномерно расположенных по диагонали участка. Почву перекапывают на глубину хода подкапывающих рабочих органов.
При наличии камней более 25 мм по наибольшему размеру определяют их массу. Результаты записывают в
форму Б.1 (приложение Б) и вычисляют среднеарифметическое значение с округлением до первого десятичного знака.
7.2.6 Отклонение корнеплодов от теоретической оси ряда определяют на пяти площадках, равномерно расположенных по диагонали участка. Длина площадки - 2 м, ширина равна количеству рядов одного прохода агрегата. На площадках вручную обрезают ботву с корнеплодов без среза сахароносной массы головки корнеплода. По центру каждого из рядов, определенному визуально, на уровне среза черешков ботвы корнеплодов, натягивают шнур (теоретическую ось ряда) на всю длину учетной площадки. Измерения проводят от оси ряда до центра каждого корнеплода. За центр головки корнеплода принимают центр среза черешков. Погрешность измерения - +/- 5 мм. Результаты измерений записывают в
форму Б.2 (приложение Б). При заполнении ведомости используют метод "конвертика".
Исходные данные обрабатывают с определением количественной доли каждой группы от общего числа измерений. Вычисления проводят с округлением до первого десятичного знака.
7.2.7 Расположение головок корнеплодов относительно уровня поверхности почвы определяют на тех же площадках, на которых проводят измерения отклонения корнеплодов от теоретической оси ряда (см.
7.2.6). Измерения проводят бороздомером или двумя линейками, одну из которых кладут на поверхность почвы в непосредственной близости к измеряемому корнеплоду, второй измеряют расстояние по вертикали от линейки до верхушки корнеплода. Расположение головок измеряют с одной стороны ряда. Погрешность измерения - +/- 5 мм. В зависимости от расположения головки корнеплода результаты измерений могут быть со знаком плюс или минус: со знаком плюс - если верхушка корнеплода расположена выше уровня поверхности почвы, со знаком минус - если ниже уровня почвы. Измерения классифицируют по группам и записывают в
форму Б.3 (приложение Б). При записи результатов используют метод "конвертика". Данные обрабатывают с получением количественной доли каждой группы от общего числа измерений. Вычисления проводят с округлением до первого десятичного знака.
7.2.8 Ширину основного междурядья определяют на десяти проходах (повторностях) посевного агрегата по диагонали участка. Рулеткой или мерной линейкой измеряют расстояние между осевыми линиями смежных рядов. На каждом проходе число измерений должно быть не менее 15. Погрешность измерения - +/- 1 см. Результаты записывают в
форму Б.4 (приложение Б) и вычисляют среднеарифметическое значение, стандартное отклонение с округлением до целого числа.
7.2.9 Расстояние между корнеплодами в ряду, диаметр и длину корнеплодов, длину ботвы, густоту насаждения растений, массу корнеплодов и ботвы определяют в трех рядах на площадках длиной 10 м, шириной, равной ширине трех междурядий. Число площадок не менее пяти. Площадки располагают равномерно по диагонали участка.
7.2.9.1 Расстояние между корнеплодами в ряду измеряют на каждом из трех рядов площадки рулеткой или специальным приспособлением.
При измерении расстояние между центрами корнеплодов записывают нарастающим итогом. Погрешность измерения - +/- 1 см. Результаты записывают в
форму Б.5 (приложение Б) и вычисляют среднеарифметическое значение, коэффициент вариации с округлением до первого десятичного знака.
По среднему расстоянию между корнеплодами вычисляют число корнеплодов на одном метре длины ряда.
7.2.9.2 Густоту насаждения растений Гн, тыс. шт./га, вычисляют по формуле
Гн = 10-3nкlр, (1)
где nк - число корнеплодов на одном метре длины ряда, шт.;
lр - общая длина рядов на гектаре, м.
Общую длину рядов на гектаре вычисляют по формуле

(2)
где S' - площадь участка размером 104 м2 (1 га);
Bш.м - ширина междурядья убираемой культуры, м.
Вычисления проводят с округлением до целого числа.
Результаты записывают в
форму Б.5 (приложение Б).
7.2.9.3 После измерения расстояния между корнеплодами их выкапывают вместе с ботвой, очищают от почвы, обрезают хвостики диаметром менее 10 мм и измеряют:
- диаметр корнеплода по линии наибольшего утолщения;
- техническую длину корнеплода;
- длину пучка ботвы.
Погрешность измерения - +/- 1 мм.
В процессе измерений корнеплоды классифицируют на три фракции в соответствии с
формой Б.6 (приложение Б).
Среднеарифметические значения показателей вычисляют с округлением до первого десятичного знака.
После измерений с корнеплодов ботву обрезают. Определяют массу корнеплодов каждой фракции и общую массу ботвы с площадки. Погрешность взвешивания - +/- 50 г. Результаты записывают в
форму Б.7 (приложение Б). Массовую долю каждой фракции корнеплодов определяют отношением массы корнеплодов каждой фракции к общей массе корнеплодов всех фракций с учетной площадки.
7.2.9.4 Биологическую урожайность корнеплодов Уб, т/га, вычисляют по формуле

(3)
где q - общая масса корнеплодов всех фракций с площадки, кг;
S - размер площадки, м2.
Вычисления проводят с округлением до первого десятичного знака.
По массе ботвы и корнеплодов определяют их соотношение. За единицу принимают массу ботвы.
Результаты записывают в
форму Б.7 (приложение Б).
7.2.10 При испытании свеклоуборочных комбайнов с предварительным срезом ботвы биологическую урожайность ботвы определяют по проекту ГОСТ "Техника сельскохозяйственная. Машины для уборки ботвы корнеклубнеплодов. Методы испытаний" <1>.
--------------------------------
<1> Данный проект ГОСТ разрабатывается одновременно с настоящим стандартом.
7.2.11 Показатели по характеристике участка и культуры после обработки записывают в
форму А.2 (приложение А).
7.3. Определение показателей качества выполнения технологического процесса
7.3.1 Показатели качества выполнения технологического процесса определяют на трех режимах (трех передачах). Оптимальный режим - максимально возможная скорость движения, при которой показатели качества выполнения технологического процесса соответствуют требованиям ТЗ (ТУ).
7.3.2 Перед отбором проб на качество работы машины, отступив 50 м от поворотной полосы, участок разбивают на три учетные делянки длиной 20 м, шириной, равной ширине захвата машины. Между учетными делянками оставляют делянки длиной, достаточной для разгона машины и заполнения ее транспортирующих органов технологическим материалом.
7.3.3 Пробы от испытуемой машины с учетной делянки отбирают специальным пробоотборником (
рисунок В.1, приложение В), имеющим емкости для убранной продукции с учетных и неучетных делянок. Заполнение емкостей производят при соответствующих положениях створок пробоотборника, управляемых оператором гидравлически на граничных отметках учетных и неучетных делянок. Число отбираемых проб должно быть не менее трех на каждом режиме. Отбор каждой пробы проводят в установившемся технологическом режиме. Процесс отбора пробы должен быть непрерывным. Начало и конец опыта определяют сигналами, подаваемыми в начале и конце учетной делянки. Продолжительность опыта измеряют секундомером с погрешностью +/- 1 с. Разбор проб проводят не позднее 24 ч после их отбора, предохраняя от воздействия солнца, дождя и возможных повреждений.
Допускается отбор проб другими приспособлениями.
7.3.4 Скорость движения машины v, м/с, вычисляют на каждой учетной делянке по формуле

(4)
где L - длина учетной делянки, м;
t - время прохождения учетной делянки, с.
Результаты записывают в журнал испытаний.
7.3.5 Для определения общей загрязненности вороха корнеплодов, убранных машиной, отобранную пробу с каждой делянки высыпают на брезент и разделяют на фракции:
- чистые корнеплоды и их части;
- примеси,
в том числе
почва,
растительные остатки.
Число делянок в соответствии с
7.3.2.
7.3.5.1 Каждую фракцию взвешивают с погрешностью +/- 50 г. Результаты записывают в
форму Б.8 (приложение Б). Массовую долю каждой фракции определяют от общей массы пробы отобранного вороха. Общую массу пробы отобранного вороха определяют по сумме всех взвешенных фракций. Вычисления проводят с округлением до первого десятичного знака.
7.3.5.2 К чистым корнеплодам и их частям относят очищенные от почвы и обрезанные от ботвы корнеплоды и части корнеплодов. К частям корнеплода относят хвостики диаметром более 10 мм и кусочки корнеплода размером менее 1/3 корнеплода.
Массовую долю чистых корнеплодов и их частей

, %, вычисляют по формуле

(5)
где G0 - масса чистых корнеплодов и их частей, убранных машиной с учетной делянки, кг;
G - общая масса пробы отобранного вороха корнеплодов, кг.
Общую массу пробы отобранного вороха корнеплодов G, кг, вычисляют по формуле
G = G0 + Gпр, (6)
где Gпр - масса примесей в ворохе корнеплодов всего, кг;
Gпр = Gр + Gп, (7)
где Gр - масса растительных остатков, кг;
Gп - масса почвы, кг.
7.3.5.3 К примесям относят:
- растительные остатки;
- почву (свободную и очищенную с корнеплодов).
К растительным остаткам относят свободную ботву <1>, ботву, связанную с корнеплодами <1> (не обрезанную с корнеплодов), сорные растения, хвостики корнеплодов диаметром менее 10 мм, боковые корешки, черешки листьев свеклы.
--------------------------------
<1> При испытаниях свеклоуборочных комбайнов при разборе вороха корнеплодов свободную и связанную с корнеплодами ботву выделяют отдельно. Массу каждой фракции используют для определения потерь ботвы.
Массовую долю примесей

, %, вычисляют по формулам

(8)

(9)
где

- массовая доля растительных остатков, %;

- массовая доля почвы, %.
Массовую долю растительных остатков

, %, вычисляют по формуле

(10)
Массовую долю почвы

, %, вычисляют по формуле

(11)
7.3.6 Состав вороха ботвы, потери свободной ботвы и связанной с корнеплодами определяют при испытании свеклоуборочных комбайнов с предварительным срезом ботвы по проекту ГОСТ "Техника сельскохозяйственная. Машины для уборки ботвы корнеклубнеплодов. Методы испытаний".
7.3.7 Потери корнеплодов определяют сбором их на поверхности почвы и при перекапывании рядов на учетных делянках после прохода машины. Собранные корнеплоды и их части очищают от почвы и определяют суммарную массу потерь. Корнеплоды диаметром менее 40 мм и отломленные хвостики корнеплодов диаметром менее 10 мм к потерям не относят. Погрешность взвешивания - +/- 50 г. Результаты взвешивания записывают в
формы Б.9 (приложение Б).
Массовую долю общих потерь корнеплодов

, %, при испытаниях свеклоуборочных комбайнов и корнеуборочных машин вычисляют по формуле

(12)
где qк - общая масса потерь корнеплодов с учетной делянки, кг;
Gд - общая масса корнеплодов с учетной делянки, кг;
Gд = G0 + qк. (13)
Вычисления проводят с округлением до первого десятичного знака.
7.3.7.1 При испытании свеклоуборочных комбайнов с предварительным срезом ботвы определяют потери массы корнеплодов в ботве. Для этого из вороха ботвы выделяют целые корнеплоды, части корнеплодов, срезанные головки корнеплодов (отходы головок), а также учитывают срезанные головки, утерянные на поверхности почвы. К срезанным головкам (отходам головок) относят срезанную часть корнеплода от основания нижних зеленых черешков ботвы до нижней границы зоны спящих глазков. При этом со срезанной части головок удаляют все зеленые и сухие черешки ботвы.
Массовую долю общих потерь корнеплодов в ворохе ботвы

, %, вычисляют по формуле

(14)
где

- масса потерь корнеплодов в ворохе ботвы, кг;

- общая масса корнеплодов с учетной делянки при испытаниях свеклоуборочных комбайнов с предварительным срезом ботвы, кг.
Массу потерь корнеплодов в ворохе ботвы вычисляют по формуле

(15)
где qк. ч - масса корнеплодов и их частей в ворохе ботвы, кг;
qс. г - масса срезанных головок в ворохе ботвы, кг.
Общую массу корнеплодов с учетной делянки вычисляют по формуле

(16)
где

- масса потерь срезанными головками на поверхности почвы, кг;

- масса корнеплодов, выбитых из рядов, кг.
Массовую долю потерь корнеплодов и их частей

, %, в ворохе ботвы вычисляют по формуле

(17)
Массовую долю потерь срезанными головками в ботве

, %, вычисляют по формуле

(18)
Массовую долю потерь срезанными головками на поверхности почвы

, %, вычисляют по формуле

(19)
Массовую долю потерь корнеплодов, выбитых из рядов

, %, вычисляют по формуле

(20)
Вычисления проводят с округлением до первого десятичного знака.
Результаты записывают в
форму Б.9 (приложение Б).
7.3.8 Для определения качества обрезки корнеплодов выкопанные с учетной делянки корнеплоды классифицируют по высоте среза и по характеру поверхности среза.
7.3.8.1 По высоте среза корнеплоды классифицируют на следующие фракции:
- с нормальным срезом, плоскость среза проходит не ниже уровня основания нижних зеленых черешков ботвы и не выше 2 см над верхушкой головки корнеплода;
- с низким срезом, плоскость среза проходит ниже уровня основания нижних зеленых черешков ботвы;
- с высоким срезом, плоскость среза проходит выше 2 см над верхушкой головки, а также корнеплоды с необрезанной или частично обрезанной ботвой.
7.3.8.2 Корнеплоды каждой фракции по высоте среза взвешивают с погрешностью +/- 50 г. Результаты взвешивания записывают в
форму Б.10 (приложение Б) и вычисляют массовую долю корнеплодов каждой фракции от общей массы корнеплодов в ворохе с округлением до первого десятичного знака.
7.3.8.3 Массовую долю корнеплодов с нормальным срезом

, %, вычисляют по формуле

(21)
где Gн - масса корнеплодов с нормальным срезом, кг;
Gн = Gн. г + Gн. с, (22)
где Gн. г - масса корнеплодов с нормальным срезом с гладкой поверхностью среза, кг;
Gн. с - масса корнеплодов с нормальным срезом со сколотой поверхностью среза, кг;

(23)
где

- масса целых корнеплодов с нормальным срезом с гладкой поверхностью среза, кг;

- масса слабо поврежденных корнеплодов с нормальным срезом с гладкой поверхностью среза, кг;

- масса сильно поврежденных корнеплодов с нормальным срезом с гладкой поверхностью среза, кг.
Массу корнеплодов с нормальным срезом со сколотой поверхностью среза вычисляют по формуле

(24)
где

- масса целых корнеплодов с нормальным срезом со сколотой поверхностью среза, кг;

- масса слабо поврежденных корнеплодов с нормальным срезом со сколотой поверхностью среза, кг;

- масса сильно поврежденных корнеплодов с нормальным срезом со сколотой поверхностью среза, кг.
Массовую долю корнеплодов с низким срезом

, %, вычисляют по формуле

(25)
где Gнз - масса корнеплодов с низким срезом, кг;
Gнз = Gнз. г + Gнз. с, (26)
где Gнз. г - масса корнеплодов с низким срезом с гладкой поверхностью среза, кг;
Gнз. с - масса корнеплодов с низким срезом со сколотой поверхностью среза, кг;

(27)
где

- масса целых корнеплодов с низким срезом с гладкой поверхностью среза, кг;

- масса слабо поврежденных корнеплодов с низким срезом с гладкой поверхностью среза, кг;

- масса сильно поврежденных корнеплодов с низким срезом с гладкой поверхностью среза, кг;

(28)
где

- масса целых корнеплодов с низким срезом со сколотой поверхностью среза, кг;

- масса слабо поврежденных корнеплодов с низким срезом со сколотой поверхностью среза, кг;

- масса сильно поврежденных корнеплодов с низким срезом со сколотой поверхностью среза, кг.
Массовую долю необрезанных корнеплодов и с высоким срезом

, %, вычисляют по формуле

(29)
где Gв. с - масса необрезанных корнеплодов и с высоким срезом, кг;

(30)
где

- масса целых необрезанных корнеплодов и с высоким срезом, кг;

- масса необрезанных корнеплодов и с высоким срезом слабо поврежденных, кг;

- масса необрезанных корнеплодов и с высоким срезом сильно поврежденных, кг.
Массовую долю корнеплодов, пригодных к сдаче на сахарный завод (приемный пункт) по высоте среза,

, %, вычисляют по формуле

(31)
где Gс. з - общая масса корнеплодов, пригодных к сдаче на сахарный завод (приемный пункт) по высоте среза, кг;
Gс. з = Gн + Gнз. (32)
7.3.9 По характеру поверхности среза корнеплоды сахарной свеклы с нормальным и низким срезом (кроме фракции с высоким срезом) классифицируют на следующие фракции:
- с гладкой, прямой поверхностью среза, а также со сколами, впадинами, ступеньками до 1 см;
- со сколотой, наклонной ступенчатой поверхностью среза, впадинами более 1 см.
К гладкому прямому срезу относят срез, плоскость которого отклоняется от плоскости, перпендикулярной к оси корня, менее чем на 10°.
К сколотому наклонному относят срез, плоскость которого отклоняется от плоскости, перпендикулярной к оси корня, более чем на 10°.
7.3.9.1 Корнеплоды каждой фракции по характеру поверхности среза взвешивают с погрешностью +/- 50 г. Результаты взвешивания записывают в
форму Б.11 (приложение Б) и вычисляют массовую долю корнеплодов каждой фракции по
7.3.9 от общей массы содержащихся в ворохе корнеплодов с гладкой и сколотой поверхностью среза с округлением до первого десятичного знака.
Массовую долю корнеплодов с гладким срезом

, %, вычисляют по формуле

(33)
где Gг - масса корнеплодов с гладким срезом, кг;
Gа - общая масса корнеплодов, анализируемых по характеру поверхности среза, кг;
Gа = Gг + Gс, (34)
где Gс - масса корнеплодов со сколотой поверхностью среза, кг.
Gг = Gн. г + Gнз. г, (35)
Gс = Gн. с + Gнз. с. (36)
Массовую долю корнеплодов со сколотой поверхностью среза

, %, вычисляют по формуле

(37)
7.3.10 Степень механических повреждений машиной корнеплодов сахарной свеклы определяют одновременно с определением качества обрезки и классифицируют на фракции:
- целые корнеплоды, имеющие отломленный хвостик диаметром до 10 мм (сбоку корнеплод может иметь повреждения шириной и длиной до 10 мм и глубиной до 5 мм);
- слабо поврежденные корнеплоды, имеющие отломленный хвостик диаметром до 30 мм (сбоку корнеплод может иметь повреждения шириной и длиной до 40 мм и глубиной до 10 мм);
- сильно поврежденные корнеплоды, имеющие повреждения, которые превышают указанные выше параметры, но корнеплоды сохраняют свою характерную форму;
- деформированные корнеплоды, потерявшие свою характерную форму из-за сильных повреждений.
Корнеплоды каждой фракции взвешивают с погрешностью +/- 50 г. Результаты записывают в
форму Б.12 (приложение Б) и вычисляют массовую долю каждой фракции от общей массы корнеплодов в пробе с округлением до первого десятичного знака.
Массовую долю слабо поврежденных корнеплодов

, %, вычисляют по формуле

(38)
где

- масса слабо поврежденных корнеплодов, кг;

(39)
Массовую долю сильно поврежденных корнеплодов

, %, вычисляют по формуле

(40)
где

- масса сильно поврежденных корнеплодов, кг;

(41)
Вычисления проводят с округлением до первого десятичного знака.
7.3.11 Для анализа качества обрезки корнеплодов маточной сахарной свеклы по высоте среза их классифицируют на следующие фракции:
- с нормальным срезом, плоскость которого проходит выше верхушечной почки с оставлением черешков ботвы высотой до 5 см;
- с низким срезом, плоскость которого проходит в зоне верхушечной почки и ниже ее;
- с высоким срезом, плоскость которого проходит выше верхушечной почки не менее чем на 5 см.
Корнеплоды каждой фракции по высоте среза взвешивают с погрешностью +/- 50 г. Результаты взвешивания записывают в
форму Б.10 (приложение Б) и вычисляют массовую долю корнеплодов каждой фракции от общей массы корнеплодов в ворохе с округлением до первого десятичного знака.
7.3.12 При уборке корнеплодов маточной свеклы корнеплоды по степени механических повреждений классифицируют на фракции:
- целые;
- слабо поврежденные, имеющие ссадины или ранения в области наружной коры на площади не более 5% поверхности корнеплода;
- сильно поврежденные, имеющие ссадины или ранения, проникающие до слоев паренхимы на глубину более 5 мм, слабые повреждения наружной коры на площади свыше 5% поверхности, а также обрыв хвостика и корнеплода на уровне его диаметра свыше 20 мм.
Корнеплоды каждой фракции взвешивают с погрешностью +/- 50 г. Результаты записывают в
форму Б.12 (приложение Б) и вычисляют массовую долю каждой фракции в соответствии с
7.3.10.
Повреждение кормовой свеклы определяют в соответствии с требованиями ТЗ (ТУ) на испытуемую машину.
7.3.13 Глубину хода подкапывающих рабочих органов определяют на учетных делянках после прохода машины. По каждому подкапывающему органу проводят 15 измерений. Средство измерения погружают до необработанного слоя почвы. Погрешность измерения - +/- 1 см. Результаты измерений записывают в
форму Б.13 (приложение Б) и вычисляют среднеарифметическое значение глубины подкапывания, стандартное отклонение с округлением до первого десятичного знака.
7.3.14 Показатели качества выполнения технологического процесса после обработки записывают в
форму А.3 -
А.5 (приложение А).
7.3.15 Агротехнические показатели оценивают сопоставлением с данными ТЗ (ТУ), а также с результатами испытаний машины-аналога.
7.4. Средства измерений и оборудование, применяемые при определении показателей агротехнической оценки
Перечень средств измерений и оборудования, применяемых при определении показателей агротехнической оценки, приведен в
приложении Г.
8. Методы энергетической оценки
8.1 Энергетическую оценку свеклоуборочных машин проводят в соответствии со стандартами, действующими в государствах - участниках Соглашения.
8.2 Энергетическую оценку проводят одновременно с определением агротехнических показателей на фонах, указанных в
разделе 7.
8.2.1 Энергетические показатели определяют при установившемся режиме работы машины.
8.3 Результаты энергетической оценки записывают в
форму А.6 (приложение А).
9. Методы оценки безопасности и эргономичности конструкции
Оценку показателей и требований безопасности и эргономичности конструкции свеклоуборочных машин проводят по
ГОСТ 12.2.002,
ГОСТ ИСО 14269-2,
ГОСТ ИСО 14269-5 на соответствие требованиям
приложений 1,
2 к Техническому регламенту Таможенного союза ТР ТС 010/2011
[1],
ГОСТ 12.1.012,
ГОСТ 12.2.019,
ГОСТ 12.2.120,
ГОСТ 32431,
ГОСТ 12.2.111,
ГОСТ ISO 4254-1,
ГОСТ 31193,
ГОСТ EN 13140,
ГОСТ 26336, ТЗ (ТУ) с определением показателей, приведенных в
форме А.7 (приложение А). Результаты записывают в протокол по
форме А.8 (приложение А).
При периодических и квалификационных испытаниях оценку безопасности и эргономичности конструкции машины проводят при отсутствии сертификата соответствия, выданного аккредитованным органом по сертификации.
10. Методы оценки надежности
10.1 Оценку надежности единичных образцов свеклоуборочных машин при проведении приемочных государственных испытаний не проводят.
10.2 По возникающим техническим отказам проводят их регистрацию для передачи заводу-изготовителю.
10.3 Оценку надежности машин при периодических и квалификационных испытаниях проводят по стандартам, действующим в государствах - участниках Соглашения, с определением показателей, приведенных в
форме А.9 (приложение А).
10.4 Свеклоуборочные машины испытывают на видах работ в соответствии с
ГОСТ 24055.
10.5 На каждом виде работ машину испытывают на рабочей скорости, обеспечивающей получение заданной в ТЗ (ТУ) производительности при допустимых показателях качества.
10.6 Для сокращения сроков испытаний допускается проводить ускоренные испытания на надежность по действующим нормативным документам при режимах, воспроизводящих эксплуатационные нагрузки.
10.7 Наработку машин измеряют часами основного времени, гектарами убранной площади. Для учета наработки в часах основного времени проводят сплошной хронометраж.
Допускается определять наработку в часах основной работы расчетом по наработке в физических единицах за весь период испытаний и производительности по результатам эксплуатационно-технологической оценки.
10.8 В течение всего периода испытаний ведут учет отказов и повреждений.
10.9 Определение затрат времени и труда на выявление и устранение отказов осуществляют пооперационным хронометражем с погрешностью измерения +/- 5 с.
10.10 Затраты времени и труда на выявление и устранение отказов в течение всего периода испытаний суммируют и учитывают при расчете показателей надежности.
10.11 Устранение сложных отказов осуществляют сервисные службы заводов-изготовителей.
10.12 Техническое состояние машин, замененных (восстановленных) деталей и узлов оценивают при проведении заключительной технической экспертизы.
10.13 Информацию по операциям технического обслуживания собирают и обрабатывают по ГОСТ 26026.
10.14 Показатели надежности определяют по наработке, измеряемой временем основной работы, и оценивают сопоставлением фактических показателей надежности с нормативными значениями или с показателями сравниваемой машины. Отклонение наработок сравниваемых машин не должно быть более 20%.
10.15 Показатели надежности записывают в
форму А.9 (приложение А).
10.16 Значение показателей надежности определяют при достижении плановой (заданной) наработки или не менее 75% ее выполнения.
10.17 Плановая (заданная) наработка при испытаниях на надежность должна быть не менее 30% от планируемого технического ресурса.
11. Методы эксплуатационно-технологической оценки
11.1 Эксплуатационно-технологическую оценку свеклоуборочных машин проводят в соответствии с
ГОСТ 24055.
11.2 Эксплуатационно-технологическую оценку проводят на оптимальном для данного фона режиме работы, определенном по результатам агротехнической оценки для опытных машин и указанных в ТУ - серийных.
Во время испытаний контролируют соблюдение выбранного режима работы и качество выполнения технологического процесса.
Показатели условий испытаний и качества выполнения технологического процесса определяют по методам, изложенным в
разделе 7.
11.3 Сбор информации для эксплуатационно-технологической оценки проводят во время контрольных смен.
Сбор информации о нарушениях технологического процесса и технических отказах проводят в течение всего периода наблюдений.
11.4 Производительность за 1 ч основного времени
i-й контрольной смены

, га, вычисляют по формуле

(42)
где Fi - объем работы за i-ю контрольную смену, га;

- фактическое основное время работы за
i-ю контрольную смену, ч.
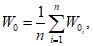
Производительность за 1 ч основного времени за период контрольных смен, W0, га, вычисляют по формуле

(43)
где n - число контрольных смен.
11.5 Производительность за 1 ч технологического времени за период контрольных смен Wтех, га, вычисляют по формуле
Wтех = W0Kтех, (44)
где Kтех - коэффициент использования технологического времени за период контрольных смен.
11.6 Производительность за 1 ч сменного времени за период контрольных смен Wсм, га, вычисляют по формуле
Wсм = W0Kсм, (45)
где Kсм - коэффициент использования сменного времени за период контрольных смен.
11.7 Коэффициент рабочих ходов за
i-ю контрольную смену

вычисляют по формуле

(46)
где

- среднее время одного поворота за
i-ю контрольную смену, мин;

- среднее значение длины гона в "модельном" хозяйстве, км.
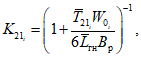
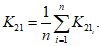
Коэффициент рабочих ходов за период контрольных смен K21 вычисляют по формуле

(47)
11.8 Коэффициент технологического обслуживания за
i-ю контрольную смену

вычисляют по формуле

(48)
где

- основное время, приведенное к нормативной продолжительности смены за
i-ю контрольную смену, ч;

- время технологического обслуживания, приведенное к нормативной продолжительности смены за
i-ю контрольную смену, ч;

- время на проведение наладки и регулирования, приведенное к нормативной продолжительности смены за
i-ю контрольную смену, ч.
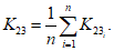
11.8.1 Коэффициент технологического обслуживания за период контрольных смен K23 вычисляют по формуле

(49)
11.9 Коэффициент надежности технологического процесса за
i-ю контрольную смену

вычисляют по формуле

(50)
где

- время устранения нарушения технологического процесса, приведенное к нормативной продолжительности смены за
i-ю контрольную смену, ч.
11.9.1 Коэффициент надежности технологического процесса K41 за период контрольных смен вычисляют по формуле

(51)
11.10 Коэффициент использования технологического времени за
i-ю контрольную смену

вычисляют по формуле

(52)
где

- технологическое время за
i-ю контрольную смену, ч.
11.10.1 Технологическое время за
i-ю контрольную смену

, ч, вычисляют по формуле

(53)
где

- время на повороты, приведенное к нормативной продолжительности смены за
i-ю контрольную смену, ч;

- время на технологические переезды, приведенное к нормативной продолжительности смены за
i-ю контрольную смену, ч.
11.10.2 Коэффициент использования технологического времени Kтех за период контрольных смен вычисляют по формуле

(54)
11.11 Коэффициент использования сменного времени за
i-ю контрольную смену

вычисляют по формуле

(55)
где Tн. см - продолжительность нормативной смены, ч (8 ч сменного времени).
11.11.1 Коэффициент использования сменного времени Kсм за период контрольных смен вычисляют по формуле

(56)
11.12 Производительность за 1 ч эксплуатационного времени за период контрольных смен Wэк, га, вычисляют по формуле

(57)
где Kг - коэффициент готовности с учетом организационного времени.
11.13 Коэффициент готовности с учетом организационного времени Kг определяют по результатам испытания на надежность или по данным ТЗ (ТУ).
11.14 Результаты эксплуатационно-технологической оценки записывают в
форму А.10 (приложение А).
12. Методы экономической оценки
Экономическую оценку свеклоуборочных машин и оформление результатов проводят по стандартам, действующим в государствах - участниках Соглашения до утверждения межгосударственного стандарта ГОСТ "Техника сельскохозяйственная. Методы экономической оценки".
13. Обработка и анализ результатов испытаний
13.1 Обработку результатов испытаний свеклоуборочных машин проводят по программе, разработанной для данного типа машин.
13.2 Результаты испытаний формируют в соответствии с
формами А.1 -
А.10 (приложение А).
13.3 Полученные результаты используют для анализа соответствия результатов испытаний машин требованиям ТЗ (ТУ), а также для сопоставления их с показателями сравниваемой машины.
13.4 На основании анализа полученных значений показателей делают выводы о качестве работы испытуемой машины при выполнении заданного технологического процесса.
13.5 Общие выводы по результатам испытаний свеклоуборочных машин делают на основании анализа показателей по всем видам оценок.
(рекомендуемое)
ОФОРМЛЕНИЕ РЕЗУЛЬТАТОВ ИСПЫТАНИЙ
Техническая характеристика машины
Наименование показателя | Значение показателя |
Тип машины (самоходная, прицепная, навесная) | |
Агрегатируется (класс трактора) | |
Рабочая ширина захвата (число рядов, убираемых машиной), м | |
Основная ширина междурядья, на которую рассчитана машина, см | |
Привод | |
Потребляемая мощность, кВт | |
Скорость движения, км/ч (м/с): | |
- рабочая на основных операциях | |
- транспортная | |
Производительность за 1 ч времени, га, т: | |
- основного | |
- эксплуатационного | |
Число персонала по профессиям, необходимого для обслуживания операций, непосредственно связанных с работой машины, чел.: | |
____________________________________ ____________________________________ ____________________________________ | |
Габаритные размеры машины: | |
- в рабочем положении, мм: | |
длина | |
ширина | |
высота | |
- в транспортном положении, мм: | |
длина | |
ширина | |
высота | |
Дорожный просвет, мм | |
База машины, мм | |
Масса машины, кг: | |
- с полным комплектом рабочих органов (в состоянии поставки) | |
- в основной рабочей комплектации | |
Распределение по опорам эксплуатационной массы, кг: | |
____________________________________ ____________________________________ | |
Коэффициент статической нагрузки шин колес: | |
- ведущих | |
- направляющих | |
Минимальный радиус поворота агрегата, м: | |
- по крайней наружной точке (наружный) | |
- по следу наружного колеса (внутренний) | |
Необходимая ширина поворотной полосы, м | |
Число передач, шт.: | |
- ременных | |
- цепных | |
- карданных | |
- редукторов | |
Число точек смазки, шт., всего | |
в том числе: | |
- ежесменных | |
- периодических | |
- сезонных | |
Трудоемкость составления агрегата, чел.-ч: | |
- для работы | |
- для транспортирования | |
Фактические пределы регулирования рабочих органов (по глубине, высоте среза и т.д.), мм | |
Другие показатели по отдельным узлам и рабочим органам | |
____________________________________ ____________________________________ ____________________________________ | |
Нагрузка на управляемые колеса ЭС, % | |
Трудоемкость досборки машины, чел.-ч | |
Количество сортов масел, шт. | |
Показатели условий испытаний комбайнов свеклоуборочных,
машин корнеуборочных, машин и приспособлений для уборки
маточной свеклы при агротехнической
и эксплуатационно-технологической оценках
Наименование показателя | Значение показателя |
Вид оценки |
Агротехническая | Эксплуатационно-технологическая |
Дата | + | + |
Место испытаний | + | + |
Марка машины | + | + |
Характеристика участка | | |
Тип почвы и название по механическому составу | + | + |
Рельеф | + | + |
Микрорельеф | + | + |
Влажность почвы, %, в слое, см: | | |
от 0 до 10 включ. | + | + |
св. 10 " 20 " | + | - |
" 20 " 30 " | + | - |
Твердость почвы, МПа, в слое, см: | | |
от 0 до 10 включ. | + | + |
св. 10 " 20 " | + | - |
" 20 " 30 " | + | - |
Засоренность участка сорняками, кг/м2, шт./100 м ряда, высотой: | | |
до 100 см включ. | + | + |
св. 100 см | + | + |
Засоренность участка камнями, кг/м2 (при наличии крупных камней) | + | + |
Предшествующая обработка | + | + |
Характеристика культуры | | |
Культура, сорт | + | + |
Количество корнеплодов, %, с отклонением от теоретической оси ряда, мм: | | |
0 | + | + |
от 0 до 10 включ. | + | + |
св. 10 " 20 " | + | + |
" 20 " 30 " | + | + |
" 30 " 40 " | + | + |
" 40 | + | + |
Расположение головок относительно уровня поверхности почвы в соответствии с ТЗ (ТУ), % | + | + |
Ширина основного междурядья: | | |
- среднеарифметическое значение, см | + | + |
- стандартное отклонение, +/- см | + | - |
Расстояние между корнеплодами в ряду: | | |
- среднеарифметическое значение, см | + | + |
- коэффициент вариации, % | + | - |
Густота насаждения растений, тыс. шт./га | + | + |
Размеры корнеплодов и ботвы по группам (крупные, средние, мелкие), мм: | | |
- диаметр корнеплода | + | - |
- длина корнеплода | + | - |
- длина пучка ботвы | + | - |
Соотношение фракций корнеплодов по массе, %: | | |
- крупные | + | - |
- средние | + | - |
- мелкие | + | - |
Биологическая урожайность корнеплодов, т/га | + | + |
Биологическая урожайность ботвы <1>, т/га | + | - |
Соотношение массы ботвы и массы корнеплодов <1> | + | + |
<1> Определяют для свеклоуборочных комбайнов с предварительным срезом ботвы. Примечание - Знак "+" означает, что показатель определяют, знак "-" - не определяют. |
Показатели качества выполнения технологического процесса
комбайнов свеклоуборочных при агротехнической
и эксплуатационно-технологической оценках
Наименование показателя | Значение показателя |
Вид оценки |
Агротехническая | Эксплуатационно-технологическая |
Место испытаний | + | + |
Дата | + | + |
Режим работы | | |
Рабочая ширина захвата (число рядов, убираемых машиной), м | + | + |
Скорость движения, м/с | + | + |
Глубина подкапывания корнеплодов: | | |
- среднеарифметическое значение, см | + | + |
- стандартное отклонение, +/- см | + | + |
Другие регулируемые параметры рабочих органов | + | + |
____________________________________ ____________________________________ | | |
Показатели качества выполнения технологического процесса | | |
Качество подбора ботвы <1>, %: | | |
- собрано ботвы | + | + |
- потери, всего | + | + |
в том числе: | | |
свободной ботвы | + | + |
ботвы, связанной с корнеплодами | + | + |
Массовая доля потерь ботвы, связанной с корнеплодами, от массы корнеплодов <1>, % | + | - |
Состав вороха ботвы <1>, %: | | |
- ботва | + | + |
- почва | + | + |
- целые корнеплоды и их части | + | + |
- срезанные головки корнеплодов | + | + |
- прочие примеси | + | + |
Массовая доля потерь корнеплодов выбитых из рядов <1>, % | + | + |
Качество подкапывания и подбора корнеплодов, %: | | |
- убрано машиной | + | + |
- потери корнеплодов, всего | + | + |
в том числе: | | |
а) неподкопанных и утерянных на поверхности почвы | + | - |
б) головками при срезе ботвы, всего | + | + |
в том числе на поверхности почвы | + | - |
Состав отобранного вороха корнеплодов (пробы), %: | | |
- чистые корнеплоды и их части | + | + |
- примеси, всего | + | + |
в том числе: | | |
а) почва | + | - |
б) растительные остатки, всего: | + | + |
из них: | | |
ботва свободная | + | - |
ботва, связанная с корнеплодами | + | - |
Качество обрезки корнеплодов, %: | | |
1) по высоте среза: | | |
а) с нормальным срезом | + | + |
б) с низким срезом | + | + |
в) с высоким срезом и корнеплоды с необрезанной или частично обрезанной ботвой | + | + |
г) массовая доля корнеплодов, пригодных к сдаче на сахарный завод (приемный пункт), % | + | + |
2) по характеру поверхности среза: | + | + |
а) корнеплодов с гладкой поверхностью среза | + | + |
б) корнеплодов со сколотой поверхностью среза | + | + |
Повреждения корнеплодов, %: | + | + |
- повреждено корнеплодов, всего | | |
в том числе: | | |
сильно | + | + |
слабо | + | - |
<1> Определяют при испытании комбайнов с предварительным срезом ботвы. Примечание - Знак "+" означает, что показатель определяют, знак "-" - не определяют. |
Показатели качества выполнения технологического
процесса машин корнеуборочных при агротехнической
и эксплуатационно-технологической оценках
Наименование показателя | Значение показателя |
Вид оценки |
Агротехническая | Эксплуатационно-технологическая |
Место испытаний | + | + |
Дата | + | + |
Режим работы | | |
Рабочая ширина захвата (число рядов, убираемых машиной), м | + | + |
Скорость движения, м/с | + | + |
Глубина подкапывания корнеплодов: | | |
- среднеарифметическое значение, см | + | + |
- стандартное отклонение, +/- см | + | + |
Показатели качества выполнения технологического процесса | | |
Качество подкапывания и подбора корнеплодов, %: | | |
- убрано машиной (чистых корнеплодов и их частей) | + | + |
- потери корнеплодов, всего | + | + |
в том числе: | | |
неподкопанных и утерянных на поверхности почвы | + | - |
Состав отобранного вороха корнеплодов (пробы), %: | | |
- чистые корнеплоды и их части | + | + |
- примесей, всего | + | + |
в том числе: | | |
а) почва | + | + |
б) растительные остатки, всего: | + | + |
из них: | | |
ботва свободная | + | - |
ботва, связанная с корнеплодами | + | - |
Повреждения корнеплодов, %: | | |
- повреждено корнеплодов, всего | + | + |
в том числе: | | |
сильно | + | + |
слабо | + | - |
Примечание - Знак "+" означает, что показатель определяют, знак "-" - не определяют. |
Показатели качества выполнения
технологического процесса машин и приспособлений
для уборки маточной свеклы при агротехнической
и эксплуатационно-технологической оценках
Наименование показателя | Значение показателя |
Вид оценки |
Агротехническая | Эксплуатационно-технологическая |
Место испытаний | + | + |
Дата | + | + |
Режим работы | | |
Рабочая ширина захвата (число рядов, убираемых машиной), м | + | + |
Скорость движения, м/с | + | + |
Глубина подкапывания корнеплодов: | | |
- среднеарифметическое значение, см | + | + |
- стандартное отклонение, +/- см | + | + |
Показатели качества выполнения технологического процесса | | |
Качество подкапывания и подбора корнеплодов, %: | | |
- убрано машиной (чистых корнеплодов и их частей) | + | + |
- потери корнеплодов, всего | + | + |
Состав отобранного вороха корнеплодов (пробы), %: | | |
- корнеплоды | + | + |
- примеси, всего | + | + |
в том числе: | | |
а) почва | + | - |
б) растительные остатки, всего: | + | + |
из них: | | |
ботва свободная | + | - |
Качество обрезки корнеплодов, %: | | |
- по высоте среза: | | |
а) с нормальным срезом | + | + |
б) с низким срезом | + | + |
в) с высоким срезом | + | + |
Повреждения корнеплодов, %: | | |
- повреждено корнеплодов, всего | + | + |
в том числе: | | |
сильно | + | + |
слабо | + | + |
Примечание - Знак "+" означает, что показатель определяют, знак "-" - не определяют. |
Энергетические показатели машины
Наименование показателя | Значение показателя |
Дата проведения испытаний | |
Режим работы | |
Рабочая скорость движения, км/ч | |
Рабочая ширина захвата, м | |
Производительность за 1 ч основного времени, га | |
Энергетические показатели | |
Мощность, потребляемая машиной, кВт | |
Удельные энергозатраты, МДж/га | |
Расход топлива, кг/ч | |
Номенклатура показателей безопасности
и эргономичности конструкции машины
Наименование показателя |
Общие требования безопасности к конструкции узлов и агрегатов, специфические требования к машине Обеспечение безопасности при монтаже, транспортировке и хранении Цвета сигнальные и знаки безопасности Требования к средствам доступа на рабочее место Наличие предупреждающих надписей и знаков безопасности Требования к системе символов для обозначения органов управления и средств отображения информации Требования к наличию и конструкции защитных ограждений Требования к системе блокировки и предупредительной сигнализации Требования к обеспечению безопасности операций по очистке Требования к исключению возможности самопроизвольного включения (выключения) рабочих органов Требования к обзорности зон наблюдения Пожаробезопасность Безопасность присоединения Угол поперечной статической устойчивости Нагрузка на управляемые колеса Требования к наличию внешних световых приборов, их расположению Требования к освещенности рабочих зон Эффективность действия тормозных систем Требования к оборудованию кабины Рабочее пространство для оператора Параметры и расположение органов управления Силы сопротивления перемещению органов управления и регулирования Требования к сиденью оператора Параметры микроклимата на рабочем месте оператора Концентрация пыли в зоне дыхания оператора Концентрация окиси углерода в зоне дыхания оператора Уровень звука шума на рабочем месте оператора Вибрация на рабочем месте оператора и органах управления Удобство и безопасность обслуживания |
Показатели безопасности и эргономичности
конструкции машины (для протокола)
Наименование показателя, требования | Значение показателя по | Заключение о соответствии |
стандарту | результатам испытаний |
| | | |
Наименование показателя | Значение показателя |
Общая наработка, ч, га | |
Наработка на отказ, ч, га | |
Наработка на отказ, ч, га | |
I группы сложности | |
II группы сложности | |
III группы сложности | |
Общее число отказов, шт. | |
в том числе по группам сложности | |
I группы сложности | |
II группы сложности | |
III группы сложности | |
Среднее время восстановления, ч/отказ | |
Оперативное время ежесменного технического обслуживания, ч | |
Оперативная трудоемкость ежесменного технического обслуживания, чел.-ч | |
Трудоемкость ежесменного технического обслуживания, чел.-ч | |
Удельная суммарная трудоемкость технических обслуживании, чел.-ч/ч, чел.-ч/га | |
Удельная суммарная оперативная трудоемкость технических обслуживаний, чел.-ч/ч, чел.-ч/га | |
Удельная суммарная оперативная трудоемкость текущих ремонтов (выявления и устранения отказов), чел.-ч/ч, чел.-ч/га | |
Удельная суммарная трудоемкость текущих ремонтов (выявления и устранения отказов), чел.-ч/ч, чел.-ч/га | |
Коэффициент готовности: | |
- с учетом организационного времени | |
- по оперативному времени | |
Коэффициент технического использования | |
Перечень отказов и повреждений (помещают в приложении к протоколу) | |
Эксплуатационно-технологические показатели
Наименование показателя | Значение показателя |
Вид работы |
| | |
Период проведения оценки (дата) | | | |
Место проведения оценки | | | |
Условия проведения испытаний <1> | | | |
Состав агрегата | | | |
| | | |
Производительность за 1 ч времени, га: | | | |
- основного | | | |
- технологического | | | |
- сменного | | | |
- эксплуатационного | | | |
Удельный расход топлива (электроэнергии) за время сменной работы, кг/га | | | |
Эксплуатационно-технологические коэффициенты: | | | |
- рабочих ходов | | | |
- технологического обслуживания | | | |
- надежности технологического процесса | | | |
- использования технологического времени | | | |
- использования сменного времени | | | |
Число обслуживающего персонала, чел. | | | |
Показатели качества выполнения технологического процесса <2> | | | |
________________________________ ________________________________ ________________________________ | | | |
|
(рекомендуемое)
ФОРМЫ РАБОЧИХ ВЕДОМОСТЕЙ РЕЗУЛЬТАТОВ ИСПЫТАНИЙ
Ведомость определения засоренности участка
Марка машины ______________________________________________________________
Место испытаний _______________________ Дата ______________________________
Средства измерений ________________________________________________________
Повторность (площадка) длина ряда 100 м (размер площадки, м2) | Число (масса) сорняков, шт. (кг) | Масса камней, кг |
высотой |
до 100 см | свыше 100 см |
1 | | | |
2 | | | |
3 | | | |
4 | | | |
5 | | | |
Сумма | | | |
Среднеарифметическое значение | | | |
Исполнитель ___________________ ____________________ ______________________
должность личная подпись инициалы, фамилия
Ведомость определения отклонений корнеплодов
от теоретической оси ряда
Марка машины ______________________________________________________________
Место испытаний ______________________________ Дата _______________________
(хозяйство, отделение, поле)
Средства измерений ________________________________________________________
Площадка | Отклонение корнеплода от теоретической оси ряда, +/- мм |
от 0 до 10 включ. | св. 10 до 20 включ. | св. 20 до 30 включ. | св. 30 до 40 включ. | св. 40 |
1 | | | | | |
2 | | | | | |
3 | | | | | |
4 | | | | | |
5 | | | | | |
Сумма | | | | | |
Количественная доля, % | | | | | |
Примечание - Способ заполнения приведен для примера. |
Исполнитель ___________________ ____________________ ______________________
должность личная подпись инициалы, фамилия
Ведомость определения расположения головок корнеплодов
относительно уровня поверхности почвы
Марка машины ______________________________________________________________
Место испытаний ______________________________ Дата _______________________
(хозяйство, отделение, поле)
Средства измерений ________________________________________________________
Площадка | Расположение головок корнеплодов относительно уровня поверхности почвы, мм |
на уровне поверхности почвы (0 мм) | ниже уровня поверхности почвы | выше уровня поверхности почвы |
от 0 до -30 включ. | ниже -30 | от 0 до +30 включ. | св. +30 до +60 включ. | св. +60 до +80 включ. | св. +80 |
1 | | | | | | | |
2 | | | | | | | |
3 | | | | | | | |
4 | | | | | | | |
5 | | | | | | | |
Сумма | | | | | | | |
Количественная доля, % | | | | | | | |
Примечание - Способ заполнения приведен для примера. |
Исполнитель ___________________ ____________________ ______________________
должность личная подпись инициалы, фамилия
Ведомость определения ширины основных междурядий
Марка машины ______________________________________________________________
Место испытаний ______________________________ Дата _______________________
(хозяйство, отделение, поле)
Средства измерений ________________________________________________________
Измерение | Ширина основных междурядий, см |
Повторность (проходы) |
1 | 2 | 3 | 4 | 5 | 6 | 7 | 8 | 9 | 10 |
1 | | | | | | | | | | |
2 | | | | | | | | | | |
3 | | | | | | | | | | |
... | | | | | | | | | | |
15 | | | | | | | | | | |
Сумма | | | | | | | | | | |
Среднеарифметическое значение | | | | | | | | | | |
Стандартное отклонение, +/- см | | | | | | | | | | |
Исполнитель ___________________ ____________________ ______________________
должность личная подпись инициалы, фамилия
Ведомость определения расстояния между корнеплодами в ряду
Марка машины ______________________________________________________________
Место испытаний _______________________ Дата ______________________________
Средства измерений ________________________________________________________
Измерение | Расстояние между корнеплодами в ряду, см |
Площадка | Сумма | Среднеарифметическое значение |
1 | 2 | 3 | 4 | 5 |
Номер ряда |
1 | 2 | 3 | 1 | 2 | 3 | 1 | 2 | 3 | 1 | 2 | 3 | 1 | 2 | 3 |
1 | | | | | | | | | | | | | | | | | |
2 | | | | | | | | | | | | | | | | | |
3 | | | | | | | | | | | | | | | | | |
4 | | | | | | | | | | | | | | | | | |
5 | | | | | | | | | | | | | | | | | |
Сумма | | | | | | | | | | | | | | | | | |
Среднеарифметическое значение | | | | | | | | | | | | | | | | | |
Коэффициент вариации, % | | | | | | | | | | | | | | | | | |
Число корнеплодов на 1 метре длины ряда, шт. | | | | | | | | | | | | | | | | | |
Общая длина рядов на гектаре, м | | | | | | | | | | | | | | | | | |
Густота насаждения растений, тыс. шт./га | | | | | | | | | | | | | | | | | |
Исполнитель ___________________ ____________________ ______________________
должность личная подпись инициалы, фамилия
Ведомость анализа состава корнеплодов с ботвой по размеру
Марка машины _____________________ Место испытаний ________________________
Дата __________________________________ Площадка N ________________________
Средства измерений ________________________________________________________
Измеряемый корнеплод | Фракция |
Крупный корнеплод (диаметр свыше 80 мм) | Средний корнеплод (диаметр от 40 до 80 мм включительно) | Мелкий корнеплод (диаметр от 0 до 40 мм включительно) |
Диаметр корнеплода, мм | Длина корнеплода, мм | Длина пучка ботвы, мм | Диаметр корнеплода, мм | Длина корнеплода, мм | Длина пучка ботвы, мм | Диаметр корнеплода, мм | Длина корнеплода, мм | Длина пучка ботвы, мм |
1 | | | | | | | | | |
2 | | | | | | | | | |
3 | | | | | | | | | |
... | | | | | | | | | |
n | | | | | | | | | |
Сумма | | | | | | | | | |
Среднеарифметическое значение | | | | | | | | | |
Исполнитель ___________________ ____________________ ______________________
должность личная подпись инициалы, фамилия
Ведомость определения биологической урожайности корнеплодов
Марка машины ______________________________________________________________
Место испытаний _______________________ Дата ______________________________
Средства измерений ________________________________________________________
Повторность (площадка) | Размер площадки, м2 | Масса корнеплодов, кг | Масса ботвы с площадки, кг | Биологическая урожайность корнеплодов, т/га | Соотношение массы ботвы и корнеплодов |
по фракциям | Всего с площадки |
крупные | средние | мелкие |
1 | | | | | | | | |
2 | | | | | | | | |
3 | | | | | | | | |
4 | | | | | | | | |
5 | | | | | | | | |
Сумма | | | | | | | | |
Среднеарифметическое значение | | | | | | | | |
Массовая доля корнеплодов по фракциям, % | - | | | | - | - | - | - |
Исполнитель ___________________ ____________________ ______________________
должность личная подпись инициалы, фамилия
Ведомость определения состава вороха корнеплодов
Марка машины ________________________ Культура, сорт ______________________
Место испытаний ______________ Дата ________________ Режим ________________
Средства измерений ________________________________________________________
Учетная делянка | Общая масса пробы отобранного вороха корнеплодов, кг | Масса фракции, кг |
чистых корнеплодов и их частей | примеси |
всего | в том числе |
растительных остатков | почвы (свободной и очищенной с корнеплодов) |
всего | в том числе |
ботва свободная | ботва, связанная с корнеплодами <1> |
1 | | | | | | | |
2 | | | | | | | |
3 | | | | | | | |
Сумма | | | | | | | |
Среднеарифметическое значение | | | | | | | |
Массовая доля, % | | | | | | | |
<1> Определяют кроме машин для уборки маточной свеклы. |
Исполнитель ___________________ ____________________ ______________________
должность личная подпись инициалы, фамилия
Ведомость определения потерь корнеплодов
Марка машины ________________________ Культура, сорт ______________________
Место испытаний ______________ Дата ________________ Режим ________________
Средства измерений ________________________________________________________
Учетная делянка | Общая масса корнеплодов, кг | Масса потерь корнеплодов, кг |
всего | в том числе | головками при срезе ботвы <2> | |
неподкопанных и утерянных на поверхности почвы <1> | всего | в том числе на поверхности почвы |
1 | | | | | | |
2 | | | | | | |
3 | | | | | | |
Сумма | | | | | | |
Среднеарифметическое значение | | | | | | |
Массовая доля, % | | | | | | |
<1> Определяют кроме машин для уборки маточной свеклы. <2> Определяют при испытании свеклоуборочных комбайнов. <3> Определяют при испытании свеклоуборочных комбайнов с предварительным срезом ботвы. |
Исполнитель ___________________ ____________________ ______________________
должность личная подпись инициалы, фамилия
Ведомость определения качества обрезки корнеплодов
по высоте среза
Марка машины _______________________ Культура, сорт _______________________
Место испытаний ______________ Дата ______________ Режим __________________
Средства измерений ________________________________________________________
Учетная делянка | Общая масса корнеплодов, кг | Масса корнеплодов по фракциям, кг |
с нормальным срезом | с низким срезом | |
1 | | | | |
2 | | | | |
3 | | | | |
Сумма | | | | |
Среднеарифметическое значение | | | | |
Массовая доля, % | | | | |
<1> При испытании свеклоуборочных комбайнов в данной фракции учитывают корнеплоды с необрезанной или частично обрезанной ботвой. |
Исполнитель ___________________ ____________________ ______________________
должность личная подпись инициалы, фамилия
Ведомость результатов анализа корнеплодов по характеру
поверхности среза и их повреждений
Марка машины _______________________ Культура, сорт _______________________
Место испытаний ______________ Дата ______________ Режим __________________
Средства измерений ________________________________________________________
Учетная площадка | Общая масса корнеплодов (убранные машиной корнеплоды), кг | Масса корнеплодов, кг | Масса корнеплодов с высоким срезом и необрезанных |
с нормальным срезом | с низким срезом |
с гладкой поверхностью среза | со сколотой поверхностью среза | с гладкой поверхностью среза | со сколотой поверхностью среза |
всего | в том числе | всего | в том числе | всего | в том числе | всего | в том числе | всего | в том числе |
целых | слабо поврежденных | сильно поврежденных | целых | слабо поврежденных | сильно поврежденных | целых | слабо поврежденных | сильно поврежденных | целых | слабо поврежденных | сильно поврежденных | целых | слабо поврежденных | сильно поврежденных |
1 | | | | | | | | | | | | | | | | | | | | | |
2 | | | | | | | | | | | | | | | | | | | | | |
3 | | | | | | | | | | | | | | | | | | | | | |
Сумма | | | | | | | | | | | | | | | | | | | | | |
Среднеарифметическое значение | | | | | | | | | | | | | | | | | | | | | |
Массовая доля, % | | | | | | | | | | | | | | | | | | | | | |
Исполнитель ___________________ ____________________ ______________________
должность личная подпись инициалы, фамилия
Ведомость определения повреждений корнеплодов
Марка машины _______________________ Культура, сорт _______________________
Место испытаний ______________ Дата ______________ Режим __________________
Средства измерений ________________________________________________________
Учетная делянка | Общая масса корнеплодов, кг | Масса корнеплодов, кг |
целых | поврежденных |
слабо | сильно |
1 | | | | |
2 | | | | |
3 | | | | |
Сумма | | | | |
Среднеарифметическое значение | | | | |
Массовая доля, % | | | | |
Исполнитель ___________________ ____________________ ______________________
должность личная подпись инициалы, фамилия
Ведомость определения глубины хода подкапывающих
рабочих органов
Марка машины _______________________ Скорость _____________________________
Место испытаний _________________________ Дата ____________________________
Средства измерений ________________________________________________________
Измерение | Глубина хода подкапывающих рабочих органов, см |
учетная делянка |
1 | 2 | 3 | ...n |
Номер ряда |
1 | 2 | 3 | 1 | 2 | 3 | 1 | 2 | 3 | 1 | 2 | 3 |
1 | | | | | | | | | | | | |
2 | | | | | | | | | | | | |
3 | | | | | | | | | | | | |
... | | | | | | | | | | | | |
15 | | | | | | | | | | | | |
Сумма | | | | | | | | | | | | |
Среднеарифметическое значение | | | | | | | | | | | | |
Стандартное отклонение, +/- см | | | | | | | | | | | | |
Исполнитель ___________________ ____________________ ______________________
должность личная подпись инициалы, фамилия
(рекомендуемое)
ТЕХНОЛОГИЧЕСКАЯ СХЕМА
ОТБОРА ПРОБ С ПОМОЩЬЮ ПРОБООТБОРНИКА
1 - корнеуборочная машина; 2 - тележка пробоотборника;
3 - транспортное средство
Рисунок В.1 - Технологическая схема отбора проб
с помощью пробоотборника
(рекомендуемое)
СРЕДСТВ ИЗМЕРЕНИЙ И ОБОРУДОВАНИЯ, ПРИМЕНЯЕМЫХ
ПРИ ОПРЕДЕЛЕНИИ ПОКАЗАТЕЛЕЙ АГРОТЕХНИЧЕСКОЙ ОЦЕНКИ
Секундомер с погрешностью измерений +/- 1 с.
Сушильный шкаф с погрешностью измерений +/- 2 °C.
Весы с погрешностью измерений +/- 20 мг по
ГОСТ 24104.
Весы медицинские с погрешностью измерений +/- 40 г по
ГОСТ 24104.
Весы платформенные с погрешностью измерений +/- 50 г по
ГОСТ 29329.
Динамометр пружинный с погрешностью измерений +/- 2% по
ГОСТ 13837.
Линейка металлическая 500 мм с погрешностью измерений +/- 1 мм по
ГОСТ 427.
Рулетка 5, 10, 20 м с погрешностью измерений +/- 1 мм по
ГОСТ 7502.
Термометр с погрешностью измерений +/- 0,5 °C по
ГОСТ 28498.
Твердомер с погрешностью измерений +/- 5%.
Прибор для измерения диаметра, длины корнеплода и ботвы с погрешностью измерений +/- 1 мм.
Пробоотборник корнеплодов (ботвы).
Штангенциркуль с погрешностью измерений +/- 0,1 мм по
ГОСТ 166.
| | О безопасности машин и оборудования (утвержден Решением Комиссии Таможенного союза от 18 октября 2011 г. N 823) |