Главная // Актуальные документы // Ведомость (форма)СПРАВКА
Источник публикации
М.: Стандартинформ, 2017
Примечание к документу
Документ
введен в действие с 1 января 2018 года.
Название документа
"ГОСТ 33734-2016. Межгосударственный стандарт. Техника сельскохозяйственная. Комбайны и машины для уборки льна. Методы испытаний"
(введен в действие Приказом Росстандарта от 22.03.2017 N 170-ст)
"ГОСТ 33734-2016. Межгосударственный стандарт. Техника сельскохозяйственная. Комбайны и машины для уборки льна. Методы испытаний"
(введен в действие Приказом Росстандарта от 22.03.2017 N 170-ст)
агентства по техническому
регулированию и метрологии
от 22 марта 2017 г. N 170-ст
МЕЖГОСУДАРСТВЕННЫЙ СТАНДАРТ
ТЕХНИКА СЕЛЬСКОХОЗЯЙСТВЕННАЯ
КОМБАЙНЫ И МАШИНЫ ДЛЯ УБОРКИ ЛЬНА
МЕТОДЫ ИСПЫТАНИЙ
Agricultural machinery. Combines and machines for cleaning
up of flax. Test methods
ГОСТ 33734-2016
Дата введения
1 января 2018 года
Цели, основные принципы и основной порядок проведения работ по межгосударственной стандартизации установлены в
ГОСТ 1.0-2015 "Межгосударственная система стандартизации. Основные положения" и
ГОСТ 1.2-2015 "Межгосударственная система стандартизации. Стандарты межгосударственные, правила и рекомендации по межгосударственной стандартизации. Правила разработки, принятия, обновления и отмены"
1 РАЗРАБОТАН Новокубанским филиалом Федерального государственного бюджетного научного учреждения "Российский научно-исследовательский институт информации и технико-экономических исследований по инженерно-техническому обеспечению агропромышленного комплекса" (КубНИИТиМ)
2 ВНЕСЕН Федеральным агентством по техническому регулированию и метрологии
3 ПРИНЯТ Межгосударственным советом по стандартизации, метрологии и сертификации (протокол от 29 февраля 2016 г. N 85-П)
За принятие проголосовали:
Краткое наименование страны по МК (ИСО 3166) 004-97 | Код страны по МК (ИСО 3166) 004-97 | Сокращенное наименование национального органа по стандартизации |
Беларусь | BY | Госстандарт Республики Беларусь |
Киргизия | KG | Кыргызстандарт |
Россия | RU | Росстандарт |
4
Приказом Федерального агентства по техническому регулированию и метрологии от 22 марта 2017 г. N 170-ст межгосударственный стандарт ГОСТ 33734-2016 введен в действие в качестве национального стандарта Российской Федерации с 1 января 2018 г.
5 ВВЕДЕН ВПЕРВЫЕ
Информация об изменениях к настоящему стандарту публикуется в ежегодном информационном указателе "Национальные стандарты", а текст изменений и поправок - в ежемесячном информационном указателе "Национальные стандарты". В случае пересмотра (замены) или отмены настоящего стандарта соответствующее уведомление будет опубликовано в ежемесячном информационном указателе "Национальные стандарты". Соответствующая информация, уведомление и тексты размещаются также в информационной системе общего пользования - на официальном сайте Федерального агентства по техническому регулированию и метрологии в сети Интернет (www.gost.ru)
Настоящий стандарт распространяется на машины для уборки и первичной обработки льна-долгунца: комбайны льноуборочные, льнотеребилки, льномолотилки, машины для переработки льняного вороха, сдваиватели лент льна, оборачиватели лент, подборщики-порциеобразователи, пресс-подборщики, подборщики-очесыватели, подборщики-молотилки, ворошилки лент (вспушиватели лент), погрузчики и транспортировщики рулонов (в дальнейшем - машины) и устанавливает методы испытаний вышеперечисленных типов машин.
В настоящем стандарте использованы ссылки на следующие межгосударственные стандарты:
ГОСТ 12.1.003-83 Система стандартов безопасности труда. Шум. Общие требования безопасности
ГОСТ 12.1.012-2004 Система стандартов безопасности труда. Вибрационная безопасность. Общие требования
ГОСТ 12.2.002-91 Система стандартов безопасности труда. Техника сельскохозяйственная. Методы оценки безопасности
ГОСТ 12.2.019-2005 Система стандартов безопасности труда. Тракторы и машины самоходные сельскохозяйственные. Общие требования безопасности
ГОСТ 12.2.111-85 <*> Система стандартов безопасности труда. Машины сельскохозяйственные навесные и прицепные. Общие требования безопасности
--------------------------------
ГОСТ 12.2.120-2005 Система стандартов безопасности труда. Кабины и рабочие места операторов тракторов и самоходных сельскохозяйственных машин. Общие требования безопасности
ГОСТ 15.001-88 <**> Система разработки и постановки продукции на производство. Продукция производственно-технического назначения
--------------------------------
<**> В Российской Федерации действует
ГОСТ Р 15.201-2000 "Система разработки и постановки продукции на производство. Продукция производственно-технического назначения. Порядок разработки и постановки продукции на производство".
ГОСТ 17.2.2.02-98 Охрана природы. Атмосфера. Нормы и методы определения дымности отработавших газов дизелей, тракторов и самоходных сельскохозяйственных машин
ГОСТ 27.002-89 Надежность в технике. Основные понятия. Термины и определения
ГОСТ 427-75 Линейки измерительные металлические. Технические условия
ГОСТ ИСО 4254-1-2003 Тракторы и машины для сельскохозяйственных работ и лесоводства. Технические средства обеспечения безопасности. Часть 1. Основные положения
ГОСТ 7502-98 Рулетки измерительные металлические. Технические условия
ГОСТ 8769-75 Приборы внешние световые автомобилей, автобусов, троллейбусов, тракторов, прицепов и полуприцепов. Количество, расположение, цвет, углы видимости
ГОСТ 12037-81 Семена сельскохозяйственных культур. Методы определения чистоты и отхода семян
ГОСТ 12041-82 Семена сельскохозяйственных культур. Метод определения влажности
ГОСТ 12042-80 Семена сельскохозяйственных культур. Методы определения массы 1000 семян
ГОСТ ИСО 14269-2-2003 Тракторы и самоходные машины для сельскохозяйственных работ и лесоводства. Окружающая среда рабочего места оператора. Часть 2. Метод испытаний и характеристики систем отопления, вентиляции и кондиционирования воздуха
ГОСТ ИСО 14269-5-2003 Тракторы и самоходные машины для сельскохозяйственных работ и лесоводства. Окружающая среда рабочего места оператора. Часть 5. Метод испытания системы герметизации
ГОСТ 14897-69 Солома льняная. Технические условия
ГОСТ 16504-81 Система государственных испытаний продукции. Испытания и контроль качества продукции. Основные термины и определения
ГОСТ 20062-96 Сиденье тракторное. Общие технические условия
ГОСТ 20433-75 Лен-долгунец. Термины и определения
ГОСТ 20915-2011 Испытания сельскохозяйственной техники. Методы определения условий испытаний
ГОСТ 21623-76 Система технического обслуживания и ремонта техники. Показатели для оценки ремонтопригодности. Термины и определения
ГОСТ 24055-2016 Техника сельскохозяйственная. Методы эксплуатационно-технологической оценки (стандарт находится на утверждении)
--------------------------------
<*> В Российской Федерации действует
ГОСТ Р 53228-2008 "Весы неавтоматического действия. Часть 1. Метрологические и технические требования. Испытания".
ГОСТ 24383-89 Треста льняная. Требования при заготовках
ГОСТ 26025-83 Машины и тракторы сельскохозяйственные и лесные. Методы измерения конструктивных параметров
ГОСТ 26026-83 Машины и тракторы сельскохозяйственные и лесные. Методы оценки приспособленности к техническому обслуживанию
ГОСТ 26336-97 Тракторы, машины для сельского и лесного хозяйства, самоходные механизмы для газонов и садов. Условные обозначения (символы) элементы систем управления, обслуживания и отображения информации
ГОСТ 27388-87 Эксплуатационные документы сельскохозяйственной техники
ГОСТ 28287-89 Машины сельскохозяйственные и лесные. Пресс-подборщики. Методы испытаний
ГОСТ 28305-89 <**> Машины и тракторы сельскохозяйственные и лесные. Правила приемки на испытания
--------------------------------
<**> В Российской Федерации действует
ГОСТ Р 54783-2011 "Испытания сельскохозяйственной техники. Основные положения".
ГОСТ 31191.1-2004 Вибрация и удар. Измерение общей вибрации и оценка ее воздействия на человека. Часть 1. Общие требования
Примечание - При пользовании настоящим стандартом целесообразно проверить действие ссылочных стандартов в информационной системе общего пользования - на официальном сайте Федерального агентства по техническому регулированию и метрологии в сети Интернет или по ежегодному информационному указателю "Национальные стандарты", который опубликован по состоянию на 1 января текущего года, и по выпускам ежемесячного информационного указателя "Национальные стандарты" за текущий год. Если ссылочный стандарт заменен (изменен), то при пользовании настоящим стандартом следует руководствоваться заменяющим (измененным) стандартом. Если ссылочный стандарт отменен без замены, то положение, в котором дана ссылка на него, применяется в части, не затрагивающей эту ссылку.
3.1 обмолот льна-долгунца: Отделение семенных коробочек от стеблей льна-долгунца и разрушение их с целью получения семян.
3.2 "бабка" льна-долгунца: Несколько снопов льна-долгунца, установленных в виде шатра.
3.3 льняная треста: Льносолома, в которой в результате биологического, химического, физико-химического воздействия нарушена связь лубяных пучков с окружающими тканями.
3.4 высота теребления: Расстояние от поверхности поля до начала зажима стеблей льна-долгунца теребильными ремнями машины.
3.5 горстевая длина льносоломы (льнотресты): Средняя длина горсти льносоломы (льнотресты), замеренная от комлей до окончания основной массы стеблей.
3.6 зона расположения семенных головок: Расстояние от нижней границы семенных головок до верхушки снопа без учета резко выдвинутых семенных головок.
3.7 шаг рядов лент льна: Расстояние между внутренними краями смежных лент с учетом ширины одной из лент.
3.8 сноповая длина льносоломы (льнотресты): Средняя длина снопов льносоломы (льнотресты), замеренная от комлей до окончания основной массы стеблей.
3.9 обрыв стебля от семенной головки: Полное отделение семенной головки от стебля.
3.10 тугость вязки: Отношение периметра снопа в месте перевясла после обжатия с усилием в 5 кг к первоначальному периметру, выраженное в процентах.
3.11 обсемененность снопа: Массовая доля чистых семян в снопе от общей массы снопа.
3.12 растянутость снопа льносоломы (льнотресты): Отношение средней сноповой длины к средней горстевой длине.
3.13 растянутость ленты льна-долгунца: Отношение средней ширины ленты льна-долгунца к средней общей длине его стеблей.
3.14 подсед льна-долгунца: Недоразвитые стебли льна-долгунца ниже 1/3 высоты основной массы растений данного посева.
3.15 общая длина стебля льна-долгунца: Расстояние от листа прикрепления семядольных листочков до листа прикрепления самой верхней коробочки льна-долгунца.
3.16 вспушенность: Увеличение объема стеблей после прохода ворошилки.
3.17 дробление: Содержание битого зерна, семян в результате механического воздействия.
4. Подготовка к испытаниям
4.1 Цели, задачи и виды испытаний - по
ГОСТ 15.001,
ГОСТ 16504, а также по стандартам, действующим в государствах - участниках Соглашения.
4.2 Порядок предоставления машины на испытания, оформление результатов приемки - в соответствии с ГОСТ 28305, а также в соответствии со стандартами, действующими в государствах - участниках Соглашения.
Эксплуатационные документы, представляемые с машиной, должны соответствовать ГОСТ 27388.
4.3 Машину представляют на испытания не позднее, чем за неделю до наступления агротехнического срока.
Типовая программа испытаний комбайнов и машин для уборки льна включает следующие виды оценок:
- технических параметров;
- агротехническая;
- энергетическая;
- безопасности и эргономичности конструкции;
- надежности;
- эксплуатационно-технологическая;
- экономическая.
4.4 Перед началом испытаний на основании типовой программы испытаний составляют рабочую программу-методику испытаний, в которой указывают с учетом требований заказчика и особенностей конкретного образца перечень видов оценок и определяемых показателей по каждому виду оценки, режимы, условия, место испытаний, наименования средств измерений и оборудования, применяемых при испытании, фактические значения по которым в процессе испытаний записывают в рабочие формы испытаний.
4.5 Применяемые средства измерений должны быть поверены до начала испытаний в соответствии с действующими в стране правилами.
4.6 Нестандартные и единичные средства измерений, испытательное оборудование подлежат аттестации, проводимой в установленном порядке.
4.7 При подготовке машины к испытаниям необходимо соблюдать следующие требования:
- машина должна отвечать требованиям безопасности;
- до начала испытаний машина должна быть обкатана и отрегулирована в соответствии с руководством по эксплуатации.
4.8 Параметры, характеризующие условия работы машины при испытаниях, должны находиться в пределах, соответствующих техническому заданию (ТЗ), техническим условиям (ТУ) на испытуемую машину.
4.9 Сравнительные испытания проводят в сопоставимых условиях.
4.10 Перед проведением испытаний проводят обучение персонала по вопросам устройства и безопасной эксплуатации машины.
5. Методы оценки технических параметров
5.1 Определение технических параметров проводят по ГОСТ 26025, а также по национальным стандартам и нормативным документам, действующим в государствах - участниках Соглашения.
5.2 Оценку технических параметров проводят сопоставлением результатов испытаний с данными ТЗ (ТУ) и эксплуатационными документами.
5.3 Перечень технических параметров, характеризующих конструкцию комбайнов и машин для уборки льна, приведен в
форме А.1 (приложение А).
6. Методы агротехнической оценки
6.1. Номенклатура определяемых показателей
Номенклатура показателей характеристики участка, культуры, исходного материала и показателей качества выполнения технологического процесса при агротехнической и эксплуатационно-технологической оценках приведена в
формах А.2 -
А.23 (приложение А).
6.2. Требования к условиям испытаний
6.2.1 Определение показателей агротехнической оценки проводят в типичных для почвенно-климатической зоны условиях, соответствующих ТЗ (ТУ) на испытуемую машину, на уборке районированных сортов льна со средней и максимальной урожайностью.
6.2.2 Размер участка для проведения агротехнической оценки должен быть таким, чтобы на нем можно было обеспечить выполнение всех работ, предусмотренных программой испытаний.
6.3. Определение условий испытаний
6.3.1 Характеристику участка (рельеф, микрорельеф, засоренность участка камнями, влажность и твердость почвы) определяют по
ГОСТ 20915. Влажность и твердость почвы определяют в слое от 0 до 10 см. Данные характеристики участка записывают в
форму А.2 (приложение А).
6.3.2 Характеристика культуры при испытаниях льнокомбайнов и льнотеребилок
6.3.2.1 Характеристику культуры на корню определяют на участке, отведенном для агротехнической оценки машин. До начала испытаний по диагонали участка, через равные интервалы выделяют 10 площадок размером 0,25 м
2, на которых учитывают естественные потери семян (свободные семена определяют методом подсчета семян на земле, а коробочки собирают в емкость и взвешивают). Затем все растения, расположенные внутри учетной площадки (рамки), включая и сорняки высотой более 15 см, выдергивают, связывают в снопы, заворачивают в бумагу и с этикеткой
формы Б.1 (приложение Б) направляют в лабораторию для естественного дозревания (досушки).
6.3.2.2 Для определения спелости и влажности льна рядом с каждой учетной площадкой отбирают небольшие горсти льна, из которых формируют общую пробу. Затем эту пробу делят на две части. От одной из них отбирают стебли и коробочки для определения влажности (не менее пяти бюксов). Влажность определяют по
ГОСТ 20915,
ГОСТ 12041. Результаты записывают в
форму А.3 (приложение А). Из второй части отсчитывают 300 стеблей. Все коробочки с этих стеблей раздавливают и по цвету семян определяют спелость льна. Результаты записывают в
форму Б.2 (приложение Б).
6.3.2.3 Полегание стеблестоя льна оценивают визуально по пятибалльной системе:
5 баллов - полегания нет, стебли стоят вертикально;
4 балла - слабое полегание, стебли слегка наклонены;
3 балла - среднее полегание, стебли наклонены примерно на 45°;
2 балла - сильное полегание, затрудняющее машинную уборку;
1 балл - очень сильное полегание, машинная уборка значительно затруднена.
Оценку полегания стеблестоя проводят осмотром пятиметровых отрезков, расположенных подряд по всей длине участка в трехкратной повторности. Результаты осмотра записывают в
форму Б.3 (приложение Б).
Полегание стеблестоя выражают средним баллом из всех определений.
6.3.2.4 Зону и высоту расположения семенных коробочек определяют на каждой учетной площадке. По длине всего учетного участка через равные интервалы проводят 40 измерений. Зона расположения коробочек - расстояние от их верхней границы до нижней. Высота расположения зоны коробочек - расстояние от поверхности почвы до их нижней границы. Погрешность измерения - +/- 1 см. Результаты записывают в
форму Б.4 (приложение Б) и вычисляют среднеарифметическое значение с округлением до целого числа.
Высоту стеблестоя определяют суммированием высоты расположения коробочек и зоны расположения коробочек.
6.3.2.5 Показатели, характеризующие культуру, определяют в лаборатории после естественной досушки снопов, взятых с учетных площадок (рамок) по
6.3.2.1. Разбор снопов проводят в соответствии с
формой Б.5 (приложение Б).
К подседу относят стебли льна длиной менее 30 см.
Массу 1000 штук семян определяют в каждом втором снопе. В момент разборки снопов отбирают пробы для определения влажности льносоломы и льносемян (для последующих расчетов).
Взвешивание семян проводят с погрешностью +/- 20 мг; снопов, стеблей льна, подседа, сорняков - с погрешностью +/- 1 г.
Естественные потери семян в коробочках определяют после их вытирания из коробочек.
6.3.2.6 Биологическую урожайность семян и льносоломы
У кг/га, вычисляют по усредненным данным
формы Б.5 (приложение Б) по формуле

(1)
где

- средняя масса семян (льносоломы) с учетной площадки (рамки), г;
S - площадь учетной площадки (рамки), м2.
Естественные потери в коробочках и свободными семенами Еп, кг/га, вычисляют по формуле

(2)
где n - число семян с учетной площадки (рамки), шт.;
M - масса 1000 семян, г.
Урожайность семян и льносоломы У1, кг/га, приводят к стандартной влажности (семян к 12%, соломы к 19%) по формуле

(3)
где w1 - фактическая влажность при разборе (семян, соломы), %;
wст - влажность стандартная абсолютная (семян, соломы), %.
Естественные потери и другие виды потерь

, кг/га, приводят к стандартной влажности и вычисляют по формуле

(4)
6.3.2.7 Засоренность культуры сорняками
З, %, вычисляют по формуле

(5)
где qс - масса сорняков в снопе, г;
qт - масса снопа, г.
6.3.2.8 Густоту стеблестоя Гс, шт./м2, вычисляют по формуле

(6)
где

- среднеарифметическое число стеблей льна из площадок размером 0,25 м
2, шт./м
2.
6.3.2.9 Диаметр стеблей в средней части определяют в каждом третьем снопе льна из 10 отобранных и отсчитывают без выбора по 100 стеблей. Для измерения диаметра стебли укладывают одностебельным слоем плотно друг к другу, по 10 штук на стеблемере, измеряют общую ширину их, по которой рассчитывают диаметр одного растения в миллиметрах. Результаты записывают в
форму Б.6 (приложение Б).
6.3.2.10 Результаты определения характеристики культуры на корню записывают в
форму А.3 (приложение А).
6.3.3 Характеристика исходного материала при испытаниях льномолотилок
6.3.3.1 Для характеристики исходного материала на учетном проходе через равные интервалы из разных бабок отбирают без выбора не менее 15 снопов, из которых пять берут в лабораторию для анализа на обсемененность, растянутость, засоренность и определение горстевой длины.
Остальные 10 снопов после снятия характеристики снабжают этикеткой по
форме Б.1 (приложение Б) и распределяют по повторностям (сформированным партиями или "бабками") для определения качества работы молотилки.
Для характеристики у 10 снопов определяют массу, диаметр, общую длину снопа, тугость вязки, расстояние от комлевой части снопа до пояска, зону расположения коробочек.
6.3.3.2 Массу снопа определяют по результатам взвешивания 10 отобранных снопов. Погрешность взвешивания - +/- 40 г.
6.3.3.3 Диаметр снопа D, см, вычисляют по формуле

(7)
где П - периметр необжатого снопа, см;

.
6.3.3.4 Общую длину снопа (расстояние от комля снопа до верхушки без учета отдельно выдвинутых стеблей) определяют по ГОСТ 14897.
6.3.3.5 Расположение пояска Рп определяют отношением расстояния от комлевой части снопа до пояска к общей длине снопа и вычисляют по формуле

(8)
где lп - расстояние от комлевой части снопа до пояска, см;
l - общая длина снопа, см.
Погрешность измерения - +/- 1 см. Результаты записывают в
форму А.4 (приложение А).
6.3.3.6 Тугость вязки снопа определяют по ГОСТ 14897.
6.3.3.7 Зону расположения коробочек определяют измерением отрезка снопа от нижней границы расположения коробочек до его верхушки. Резко выдвинутые коробочки не учитывают. Погрешность измерения - +/- 1 см.
6.3.3.8 Результаты определения характеристики снопа записывают в
форму Б.6 (приложение Б) и вычисляют среднеарифметическое значение показателей с округлением до целого числа.
6.3.3.9 В лаборатории по пяти отобранным снопам определяют показатели в соответствии с
формой Б.7 (приложение Б).
Каждый сноп взвешивают с погрешностью +/- 40 г.
Для определения горстевой длины от каждого снопа отбирают две горсти льносоломы (льнотресты). Горстевую длину, растянутость снопа определяют по ГОСТ 14897.
6.3.3.10 Засоренность снопа определяют в соответствии с
6.3.2.7 и по данным
формы Б.7 (приложение Б) по
формуле (5). Погрешность взвешивания - +/- 1 г. Вычисление проводят с округлением до целого числа.
6.3.3.11 Обсемененность снопа Ос, %, вычисляют по формуле

(9)
где mч.с - масса чистых семян, кг;
mс - масса снопа, кг.
Вычисления проводят с округлением до целого числа.
6.3.3.12 Пробы для определения влажности стеблей и коробочек берут из снопов непосредственно перед их обмолотом (не менее пяти бюксов). Влажность определяют по
ГОСТ 20915.
6.3.3.13 Показатели, характеризующие исходный материал для льномолотилок, после обработки данных записывают в
форму А.4 (приложение А).
6.3.4 Характеристика исходного материала при испытаниях машин для переработки льновороха
6.3.4.1 Исходным материалом для машин для переработки льновороха служит льняной ворох комбайновой уборки после его сушки.
6.3.4.2 Для определения показателей, характеризующих льняной ворох, отобранные пробы объединяют и методом крестообразного деления выделяют средний образец не менее 5 кг, который в лаборатории разделяют на семенную часть и путанину. Взвесив каждую часть льновороха, вычисляют массовую долю каждой части, затем для анализа пропорционально к массе каждой части составляют три навески массой по 300 г каждая.
Пример - В отобранной средней пробе вороха, массой 5 кг, семенная часть составляет 4 кг, что соответствует 80% всей пробы; путанина - 1 кг, т.е. 20%. При составлении 300 г навески необходимо включить 240 г семенной части и 60 г путанины.
Навески разбирают на фракции согласно
форме Б.8 (приложение Б).
При испытаниях сепараторов анализ навески проводят согласно
форме Б.8 (приложение Б), выделяют и учитывают отдельно:
- семенные коробочки целые, семена из них;
- семенные коробочки разрушенные, семена из них.
Массовую долю каждой фракции вычисляют от общей массы навески вороха.
Массовую долю семян в ворохе вычисляют отношением общей массы семян, выделенных из навески, к общей массе навески.
Взвешивание составных частей навески вороха проводят с погрешностью +/- 20 мг. Вычисления проводят с округлением до первого десятичного знака.
6.3.4.3 Для определения поврежденных семян от фракции свободных семян отбирают навеску массой 10 г, из которой с помощью лупы 10-кратного увеличения выделяют все дробленые и поврежденные семена и взвешивают. Если фракция свободных семян небольшая (менее 10 г), ее разбирают полностью.
К поврежденным семенам относят:
- дробленые, если сохранено более половины семени;
- с трещинами на поверхности;
- с царапинами на поверхности;
- с расплющенными носиками;
- с отбитыми носиками;
- с выбоинами;
- раздавленные семена, у которых утрачено более половины семени.
Массовую долю поврежденных и дробленых семян рассчитывают от общей массы семян в навеске вороха. Вычисление проводят с округлением до первого десятичного знака.
6.3.4.4 Для определения влажности льновороха отбирают пробы (не менее пяти бюкс) с примерно одинаковым соотношением составных частей (коробочек, путанины). Влажность определяют по
ГОСТ 20915.
6.3.4.5 Показатели, характеризующие исходный материал, при испытании машин для переработки льняного вороха, после обработки данных записывают в
форму А.5 (приложение А).
6.3.5 Характеристика исходного материала при испытаниях подборщиков-сдваивателей, подборщиков-порциеобразователей и очесывателей, пресс-подборщиков, ворошилок и оборачивателей лент льна
6.3.5.1 Для характеристики ленты льна в двух местах каждой повторности через равные интервалы отмечают трехметровые отрезки ленты. Посредине ленты натягивают шнур, размеченный на отрезки длиной 0,5 м. Измерение показателей (ширины ленты, угла отклонения стеблей в ленте, горстевой длины льна) проводят у отметок шнура. Случайно выдвинутые комли и верхушки стеблей при измерениях не учитывают.
6.3.5.2 Ширину ленты льна определяют по суммарной величине отрезков ленты, измеренных влево (до комля) и вправо (до верхушки стебля) от шнура. Число измерений - не менее 30. Погрешность измерения - +/- 1 см. Результаты записывают в
форму Б.9 (приложение Б) и вычисляют среднеарифметическое значение с округлением до целого числа.
6.3.5.3 Угол отклонения стеблей в ленте льна измеряют между перпендикуляром к направлению движения машины и направлением положения основной массы стеблей в ленте. Число измерений - не менее 30. Погрешность измерения - +/- 1°.
Результаты записывают в
форму Б.9 (приложение Б) и вычисляют среднеарифметическое значение с округлением до целого числа.
6.3.5.4 Для характеристики растянутости ленты на каждом трехметровом отрезке отбирают две горсти ленты массой около 200 г каждая и на приборе определяют горстевую длину в соответствии с ГОСТ 24383. Число измерений - не менее 10.
Результаты записывают в
форму Б.9 (приложение Б).
Растянутость стеблей в ленте Рс, раз, вычисляют по формуле

(10)
где bл - ширина ленты, см;
lг - горстевая длина, см.
Вычисления проводят с округлением до первого десятичного знака.
Данные характеристики ленты записывают в
форму Б.9 (приложение Б).
6.3.5.5 Расстояние между рядами лент льна определяют измерением расстояний между лентами. Измерения проводят рулеткой в 10 точках через равные интервалы по всей длине учетных делянок каждой повторности. Погрешность измерения - +/- 1 см. Результаты записывают в
форму Б.10 (приложение Б) и вычисляют среднеарифметическое значение с округлением до целого числа.
6.3.5.6 Разрывы (пропуски) в ленте льна определяют на учетной делянке измерением пропусков между стеблями более 10 см. Погрешность измерения - +/- 1 см.
Результаты записывают в
форму Б.10 (приложение Б).
Линейную долю разрывов в ленте Рл, %, вычисляют по формуле

(11)
где li - длина i-го пропуска между стеблями на учетной делянке, м;
L - длина учетной делянки, м;
n - число измеренных пропусков.
Вычисления проводят с округлением до первого десятичного знака.
6.3.5.7 Для определения засоренности ленты льна сорняками, массы стеблей на погонном метре, ширины ленты и зоны расположения коробочек выделяют пять метровых отрезков ленты льна, стебли с которых связывают в снопы. В лаборатории снопы разбирают в соответствии с
формой Б.11 (приложение Б). Массу стеблей и сорняков определяют с погрешностью +/- 40 г. Зону расположения коробочек определяют согласно
6.3.3.7.
Массу стеблей приводят к стандартной влажности по
формуле (3).
Засоренность ленты льна Зл, %, вычисляют по формуле

(12)
где mс - масса сорняков с отрезка ленты льна, г;
mс.о - масса стеблей с отрезка ленты льна, г.
Вычисления проводят с округлением до первого десятичного знака.
6.3.5.8 Для определения влажности стеблей льна из разных мест ленты отбирают пробы стеблей из верхнего и нижнего слоев не менее пяти бюксов из каждого слоя. Влажность определяют по
ГОСТ 20915.
6.3.5.9 Массу травостоя под лентой и над лентой льна определяют отношением массы травы к единице площади. По диагонали участка накладывают пять рамок площадью 0,25 м2. На каждой площадке (рамке) срезают траву на уровне почвы или ленты отдельно и взвешивают. Погрешность взвешивания - +/- 20 мг.
Данные записывают в
форму Б.12 (приложение Б) и вычисляют среднеарифметическое значение с округлением до первого десятичного знака.
6.3.5.10 Неравномерность расстила ленты льна до и после прохода машины определяют на лентах с одинаковыми параметрами и расположенными напротив друг друга. Тридцатиметровый отрезок ленты льна делителем разделяют на полуметровые отрезки (или на метровые), осторожно собирают лен в пучки и взвешивают. Погрешность взвешивания - +/- 1 г. Аналогичную работу проводят на соседней ленте льна после прохода машины. Разница неравномерности расстила ленты льна после прохода машины и в исходной ленте служит показателем увеличения неравномерности расстила ленты льна.
6.3.5.11 Показатели, характеризующие исходный материал при испытании подборщиков, сдваивателей, оборачивателей и ворошилок лент льна, после обработки первичных данных записывают в
формы А.6 -
А.11 (приложение А).
6.3.6 Характеристика условий испытаний подборщиков-транспортировщиков рулонов, погрузчиков рулонов льна
6.3.6.1 Исходным материалом для подборщиков-транспортировщиков и погрузчиков рулонов льна должны быть рулоны, взятые подряд, без выбора. Число рулонов - не менее пяти.
6.3.6.2 Массу рулона получают его взвешиванием при определении производительности погрузчика. Погрешность взвешивания - +/- 1 кг.
6.3.6.3 Длину рулона измеряют с погрешностью +/- 1 см.
6.3.6.4 Диаметр рулона D1, м, вычисляют по формуле

(13)
где Lр - длина окружности рулона, м.
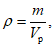
6.3.6.5 Плотность рулона

, кг/м
3, вычисляют по формуле

(14)
где m - масса рулона, кг;
Vр - объем рулона, м3.
6.3.6.6 Объем рулона
Vр, м
3, вычисляют по формуле

(15)
где L1 - длина рулона, м.
6.3.6.7 Показатели, характеризующие исходный материал при испытаниях подборщиков-транспортировщиков, погрузчиков рулонов, после обработки данных записывают в
форму А.12 (приложение А).
6.4. Выбор режимов работы
6.4.1 Определение показателей качества выполнения технологического процесса проводят в оптимальные агротехнические сроки после того, как машина прошла обкатку и наработка составила не менее трех полных смен.
6.4.2 Перед началом испытаний машины должны быть отрегулированы на выбранные режимы работы, указанные в ТЗ (ТУ), руководстве по эксплуатации. Окончательно установленные параметры регулировок записывают в журнал испытаний.
6.4.3 Испытания проводят на двух режимах по производительности или скорости движения (номинальной и на 30% выше номинальной) и всех технологических схемах машины, указанных в руководстве по эксплуатации. Повторность опытов на каждом режиме - трехкратная. Оптимальным считают режим, обеспечивающий наилучшее качество выполнения технологического процесса.
6.4.4 При испытаниях мобильных льноуборочных машин длина учетной делянки (прохода) в каждой повторности должна быть не менее 40 м.
6.4.5 Продолжительность повторности в опыте при испытаниях машин для переработки льновороха устанавливают в зависимости от производительности машин:
- при производительности до 1,5 т/ч - не менее 15 мин;
- при производительности свыше 1,5 т/ч - не менее 4 мин.
6.4.6 При испытаниях льномолотилок продолжительность повторности опыта должна быть равна времени обмолота не менее 90 снопов льна.
6.4.7 Перед началом каждой повторности опыта льномолотилка и машина для переработки льновороха должны работать в установившемся режиме.
6.5. Определение показателей качества выполнения технологического процесса
6.5.1 Рабочую скорость движения машины v, м/с, вычисляют по формуле

(16)
где Lп - длина пройденного пути, м;
t - продолжительность времени движения машины, с.
6.5.2 Ширину захвата льнотеребилок и льнокомбайнов определяют на каждой учетной делянке. Для этого на расстоянии не менее 3 м от стеблестоя, через каждые 10 м, ставят колышки или вешки.
Расстояние от колышка до кромки стеблестоя измеряют до и после прохода машины. Фактическая ширина захвата равна разнице в измерениях до и после прохода машины. Погрешность измерения - +/- 1 см. Результаты записывают в
форму Б.14 (приложение Б) и вычисляют среднеарифметическое значение с округлением до первого десятичного знака.
6.5.3 Производительность льнокомбайнов и льномолотилок Wо т/ч, вычисляют по формуле

(17)
где Gпр - масса продукции, полученная за повторность опыта, кг.
6.5.4 Определение потерь семян
6.5.4.1 Потери семян при испытаниях льнотеребилок и льнокомбайнов состоят: из потерь семян под теребильным аппаратом, потерь в виде подсаривания под машиной и потерь от недоочеса в ленте.
6.5.4.2 Для учета потерь семян под теребильным аппаратом на каждой повторности накладывают по три рамки длиной 1 м и шириной, равной рабочей ширине захвата.
Внутри рамки собирают в лабораторные мешочки все утерянные, оторванные коробочки, коробочки вместе с невытеребленными и вытеребленными, но утерянными стеблями, подсчитывают свободные семена. При большом числе свободных семян размер рамок сокращают до 0,25 м
2. Рамки располагают на всю ширину захвата. Все виды потерь с этикеткой
формы Б.15 (приложение Б) отправляют в лабораторию.
Число утерянных свободных семян и размер рамки записывают в этикетку
формы Б.15 (приложение Б).
В лаборатории после подсыхания все семена извлекают из коробочек, взвешивают отдельно по видам потерь. Погрешность взвешивания - +/- 20 мг. Результаты записывают в
форму Б.16 (приложение Б).
После взвешивания отбирают пробы на влажность.
6.5.4.3 Потери семян в виде подсаривания под машиной определяют как сумму потерь под очесывающим аппаратом и под лентой. Улавливают их с помощью пологов, разостланных до прохода агрегата в двух местах на каждой учетной делянке. Ширина полога должна обеспечивать сбор потерь семян от стеблестоя льна до места расстила ленты. После прохода агрегата ленту осторожно снимают с полога и все потери собирают в мешочки. Данные после анализа записывают в
форму Б.16 (приложение Б). Расчет потерь проводят с площади, равной произведению длины полога на фактическую ширину захвата агрегата.
Потери семян по видам вычисляют по
формуле (2). Все виды потерь приводят к стандартной влажности по
формуле (4) и рассчитывают в процентах к биологической урожайности.
Чистые потери

, %, за теребильным аппаратом вычисляют по формуле

(18)
где

- потери теребильным аппаратом свободными семенами, %;

- потери теребильным аппаратом семенами из коробочек, %.
Потери взвешивают с погрешностью +/- 20 мг. Вычисления проводят с округлением до второго десятичного знака.
6.5.4.4 Для определения потерь от недоочеса в ленте льна отбирают стебли с двух погонных метров в один сноп в местах отбора проб для определения потерь под машиной (с пологов). На каждой повторности отбирают по два снопа, которые снабжают этикеткой по
форме Б.15 (приложение Б) и в мешках отправляют в лабораторию.
В лаборатории сноп развязывают и осторожными движениями вытряхивают свободные семена и коробочки. Затем отрывают неоторванные коробочки. После вытирания семян из неоторваных коробочек их взвешивают. Погрешность взвешивания - +/- 20 мг. Результаты записывают в
форму Б.17 (приложение Б).
Семена от всех фракций объединяют и отбирают пробы на влажность.
Семена из свободных коробочек и свободные семена относят к потерям под машиной.
Чистоту очеса в ленте Чоч, %, вычисляют по формуле

(19)
где Mн.к - масса семян из неоторванных коробочек, кг/га.
Чистоту очеса определяют по данным
формы Б.16 (приложение Б). Вычисления проводят до второго десятичного знака.
Чистоту обмолота льномолотилками Чоб, %, вычисляют по формуле

(20)
где qс.н - масса семян из неоторванных коробочек, кг;
Mс - масса семян, прошедшая через молотилку за опыт (режим), кг.
Чистоту обмолота определяют по данным
формы Б.17 (приложение Б).
6.5.4.5 Потери семян при испытаниях молотилок и машин для переработки льновороха определяют путем анализа средних проб от всех выходов. Для этого семена основного выхода собирают в мешки, а остальные продукты обмолота собирают на полог (брезент). При испытании льномолотилок в передвижном варианте выход путанины и потери под машиной улавливают с помощью подвешенных пологов.
Все выходы после каждой повторности взвешивают и записывают в
форму Б.18 (приложение Б).
6.5.4.6 От всех выходов отбирают средние пробы массой не менее:
- основной выход - 1 кг;
- полова, путанина - 3 кг;
- подсев, подсаривание - 0,3 кг.
При небольшом выходе продукта анализируют всю массу.
6.5.4.7 В лаборатории от средней пробы для анализа отбирают по три навески массой:
- основной выход (семена) - 10 г;
- полова - 150 г;
- путанина - 200 г;
- подсев - 2 г;
- подсаривание (россыпь под столом подачи) - 3 - 5 г.
Навески анализируют на фракции в соответствии с
формой Б.19 (приложение Б).
По данным анализа массовую долю i-й фракции в навеске h1, %, вычисляют по формуле

(21)
где qi - масса i-й фракции в навеске, г;
qn - масса навески, г.
Вычисления проводят с округлением до второго десятичного знака.
Массу фракции в выходе Mсв, кг, вычисляют по формуле
где M' - масса выхода за повторность, кг.
Вычисления проводят с округлением до первого десятичного знака. Результаты вычислений записывают в
форму Б.19 (приложение Б).
Потери семян в снопах при обмолоте молотилкой определяют в соответствии с
6.5.4.4 и
формой Б.17 (приложение Б).
6.5.4.8 После анализа всех фракций составляют сводную ведомость учета семян по
форме Б.20 (приложение Б).
По данным ведомости определяют массовую долю потерь семян в каждом выходе как отношение массы семян в выходе ко всем семенам на данном режиме.
6.5.4.9 Вытирание семян из коробочек
Св, %, при испытаниях машин для переработки льновороха и льномолотилок вычисляют по данным
формы Б.20 (приложение Б) по формуле

(23)
где Mисх - масса семян в коробочках в исходном материале, кг;
Mк - масса семян из коробочек с невытеребленных стеблей, полученная при анализе всех выходов, кг.
Массу семян в коробочках в исходном материале вычисляют по данным анализа вороха по
формуле (22).
6.5.5 Определение потерь стеблей (чистоты теребления)
6.5.5.1 Потери стеблей при испытаниях льнотеребилок и льноуборочных комбайнов определяют как сумму потерь невытеребленных стеблей, вытеребленных, но утерянных стеблей и потерь в виде отхода стеблей в путанину при очесе.
6.5.5.2 Потери невытеребленными и вытеребленными, но утерянными стеблями, без учета стеблей длиной менее 30 см (подсед) определяют путем сбора и взвешивания их с рамок, указанных в
6.5.4.2. Результаты записывают в
форму Б.16 (приложение Б).
После пересчета потерь в килограммах на гектар и приведения к стандартной влажности определяют потери стеблями в процентах к биологической урожайности.
Чистоту теребления стеблей Чт, %, вычисляют по формуле

(24)
где qн - масса невытеребленных стеблей, кг.
Отход стеблей в путанину определяют путем анализа проб льновороха льнокомбайна. Ворох, полученный в поле с учетной делянки каждой повторности, разделяют на путанину и семенную часть, взвешивают и пропорционально их составу отбирают среднюю пробу массой 5 кг.
Пример - В ворохе находится путанины 15 кг, семенной части 25 кг соответственно 37,5% и 62,5%.
В пятикилограммовой навеске должно находиться соответственно путанины 1,87 кг
и семенной части 3,13 кг 
.
После сушки в лаборатории (естественным путем или в сушилке) пробу вороха разбирают в соответствии с
6.3.4.2, но определяют только массу свободных семян и путанину. Данные записывают в
форму Б.21 (приложение Б). К путанине относят целые стебли и части стеблей и по
формулам (21) и
(22) определяют отход стеблей в путанину на учетной делянке. Затем, с переводом на стандартную влажность [
формула (3), где
w1 - влажность стеблей], определяют отход стеблей в путанину в процентах к биологической урожайности.
Повреждение и дробление семян определяют согласно
6.3.4.3, результаты записывают в
форму Б.21 (приложение Б).
6.5.5.3 Отход стеблей в путанину при испытаниях льномолотилок определяют при анализе выхода путанины. Анализ проводят в соответствии с
6.5.4.7 (
форма Б.19, приложение Б). По
формулам (21) и
(22) вычисляют отход стеблей в путанину на данном режиме. После приведения его к стандартной влажности определяют отход стеблей в путанину в процентах к массе льняной соломы, пропущенной через молотилку на данном режиме.
6.5.5.4 Отход стеблей в путанину при испытании очесывателей лент льна определяют согласно
6.5.5.2.
6.5.5.5 Чистоту подбора стеблей при испытаниях пресс-подборщиков тресты определяют взвешиванием неподобранных стеблей на учетной делянке.
Чистоту подбора Чп, %, вычисляют по формуле

(25)
где qн.с - масса неподобранных стеблей, кг.
6.5.5.6 Количественную долю развязанных снопов при испытании льномолотилок
Рс, %, определяют на каждом режиме работы льномолотилки. Повторность трехкратная. Результаты записывают в
форму Б.22 (приложение Б).
Вычисления проводят по формуле

(26)
где nр - число развязанных снопов после льномолотилки, шт.;
nоб - общее число снопов, поступивших на льномолотилку, шт.
Вычисления проводят с округлением до целого числа.
6.5.6 Определение характеристики ленты, порции, рулона
6.5.6.1 Характеристику ленты (порции) определяют в соответствии с
6.3.5.
6.5.6.2 Оборачивание стеблей в ленте определяют взвешиванием необернутых стеблей, собранных с учетной делянки. Степень оборачиваемости стеблей Соб, %, вычисляют по формуле

(27)
где Mн - масса необернутых стеблей, кг;
Mуч - масса стеблей на учетной делянке, кг.
Массу стеблей на учетной делянке определяют расчетным путем по данным длины учетной делянки и массы стеблей с одного метра ленты.
6.5.6.3 Увеличение растянутости ленты после оборачивания и снопа после обмолота Ур, %, вычисляют по формуле

(28)
где рл - растянутость ленты (снопа) после прохода машины, раз;
рс - растянутость исходной ленты (снопа) до прохода машины, раз (согласно
6.3.5.4).
Вычисления проводят с округлением до первого десятичного знака.
6.5.6.4 Полноту вспушивания определяют после прохода ворошилки на пяти однометровых отрезках ленты. Вспушенные стебли с отрезков аккуратно снимают и взвешивают с погрешностью +/- 40 г. Результаты записывают в
форму Б.23 (приложение Б) и вычисляют среднеарифметическое значение с округлением до целого числа.
Полноту вспушивания Свс вычисляют с округлением до первого десятичного знака по формуле

(29)
где qвс - масса вспушенных стеблей с отрезка, кг;
qотр - масса всех стеблей с отрезка (из
формы Б.11, приложение Б), кг.
6.5.6.5 Массу порции и стеблей с отрезка определяют взвешиванием с погрешностью +/- 40 г.
Размер порции (длина, ширина) в направлении движения машины измеряют с погрешностью измерения +/- 1 см. Результаты записывают в
форму Б.23 (приложение Б) и вычисляют среднеарифметическое значение с округлением до целого числа.
Засоренность порции зеленой травой определяют согласно
6.5.6.9.
6.5.6.6 Характеристику рулона (тюка) определяют по одному рулону (тюку) на повторности. Измеряют диаметр, длину, массу, плотность и объем рулона (тюка). Измерения проводят согласно
6.3.6.2 -
6.3.6.6. Результаты записывают в
форму Б.13 (приложение Б).
6.5.6.7 При испытании погрузчика рулонов (тюков) определяют сохранность и максимальную высоту погрузки.
Число разрушенных и деформированных рулонов (тюков) определяют на каждой из трех учетных делянок. При этом отдельно учитывают разрушенные и деформированные рулоны (тюки), их взвешивают с погрешностью +/- 0,1 кг. Разрушенным считают рулон (тюк) с обвязкой, разрушенной в процессе работы машины. Данные записывают в
форму Б.24 (приложение Б). Вычисляют количественную долю разрушенных и деформированных рулонов (тюков) от числа всех рулонов (тюков) и массовую долю разрушенных и деформированных рулонов (тюков) от массы всех рулонов (тюков).
Максимальную высоту погрузки определяют измерением расстояния от поверхности земли до нижней части рулона (тюка) при максимально поднятой стреле погрузчика. Погрешность измерения - +/- 1 см. Результаты записывают в
форму Б.24 (приложение Б).
6.5.6.8 При испытании пресс-подборщиков невязь рулонов определяют по ГОСТ 28287.
6.5.6.9 Засоренность рулонов (порций) почвой и зеленой травой определяют при работе пресс-подборщика посредством разматывания рулона на пленку или брезент. Выделенные при размотке рулона камни, почву, траву взвешивают. Повторность трехкратная. Результаты записывают в
форму Б.22 (приложение Б).
Засоренность рулонов (порций) почвой и зеленой травой З, %, вычисляют по формуле

(30)
где mз.р(з.п) - масса земли и травы в рулоне (порции), кг;
mр(п) - масса рулона (порции), кг.
Вычисления проводят с округлением до целого числа.
Засоренность тресты в рулоне и в исходной ленте проводят при одинаковой массе, но не менее 20 кг.
В рядах лент, образованных из конусов, определение засоренности не проводят.
6.5.6.10 Линейную плотность ленты в рулоне определяют посредством разматывания рулона и измерения массы льнотресты по
6.3.5.10.
Увеличение линейной плотности ленты в рулоне по сравнению с исходной Ул, %, вычисляют по формуле

(31)
где Пл - линейная плотность ленты тресты в рулоне, кг/м;
Писх - линейная плотность ленты исходная (до прохода пресс-подборщика), кг/м.
Увеличение неравномерности линейной плотности ленты в рулоне определяют по
6.3.5.10.
6.5.7 Определение повреждения стеблей
6.5.7.1 Для определения повреждения стеблей, на каждой из трех повторностей, в двух местах отбирают пробы стеблей на всю толщину ленты и отправляют их в лабораторию.
При испытаниях льномолотилок, для определения повреждения стеблей, предварительно готовят снопы ручного теребления на том же участке, в момент теребления льна машинами из расчета два снопа на каждую повторность, которые с этикетками (
форма Б.1, приложение Б) должны быть вложены в исходный материал для определения показателей качества работы молотилки. После пропуска через молотилку снопы с этикетками развязывают и расстилают в ленту. Общую пробу стеблей отбирают аналогично, как и по льнотеребилкам и льнокомбайнам.
6.5.7.2 В лаборатории от каждой пробы отбирают две порции по 100 стеблей (всего 600 стеблей). При анализе учитывают на стебле только один вид повреждений, исходя из степени его значимости.
Стебли, имеющие надлом древесины, расплющивание и скручивание без разрыва волокна, относят к целым. Результаты записывают в
форму Б.25 (приложение Б) и вычисляют количественную долю по видам повреждений.
6.5.8 Определение качества семян льна
6.5.8.1 Чистоту семян льна при испытаниях льномолотилок и машин для переработки льновороха определяют в основном выходе по
ГОСТ 12037.
6.5.8.2 Засоренность семян основной культуры трудноотделимыми сорняками при испытаниях сепаратора вороха определяют путем разбора навески основного выхода массой 100 г. При анализе выделяют трудноотделимые сорняки, подсчитывают поштучно, определяя содержание их в одном килограмме основного выхода.
6.5.8.3 Повреждение и дробление семян машиной определяют путем учета всех поврежденных и дробленых семян, выделенных при анализе навесок всех выходов в соответствии с
формой Б.20 (приложение Б).
Поврежденные и дробленые семена суммируют по выходам и их массовую долю рассчитывают в процентах ко всем семенам на данном режиме. Повреждение семян машиной определяют как разность массовой доли дробленых и поврежденных семян на режиме и содержания их в исходном материале.
6.5.9 Показатели качества выполнения технологического процесса записывают в
формы А.13 -
А.23 (приложение А).
6.6. Средства измерений и оборудование, применяемые при определении показателей агротехнической оценки
Перечень средств измерений и оборудования, применяемых при определении показателей агротехнической оценки, приведен в
приложении В.
7. Методы энергетической оценки
7.1 Энергетическую оценку проводят по методам в соответствии с национальными стандартами и нормативными документами, действующими в государствах - участниках Соглашения.
7.2 Энергетическую оценку проводят одновременно с проведением агротехнической оценки на фонах и способах уборки указанных в
разделе 6 или самостоятельно в аналогичных условиях.
7.2.1 Энергетические показатели определяют при установившемся режиме работы машины.
7.3 Результаты энергетической оценки записывают в
форму А.24 (приложение А).
8. Методы оценки безопасности и эргономичности конструкции
| | ИС МЕГАНОРМ: примечание. В официальном тексте документа, видимо, допущена опечатка: имеется в виду ГОСТ 17.2.2.02, а не ГОСТ 17.2.2.002. | |
Оценку показателей и требований безопасности и эргономичности конструкции комбайнов и машин для уборки льна проводят по
ГОСТ 12.2.002,
ГОСТ ИСО 14269-2,
ГОСТ ИСО 14269-5,
ГОСТ 31191.1 на соответствие требованиям Технического регламента Таможенного союза
ТР ТС 010/2011 [1],
ГОСТ 12.1.003,
ГОСТ 12.1.012,
ГОСТ 12.2.019,
ГОСТ 12.2.120,
ГОСТ 8769,
ГОСТ 12.2.111, ГОСТ ИСО 4254-1,
ГОСТ 17.2.2.002, ГОСТ 20062,
ГОСТ 26336, ТЗ (ТУ) с определением показателей, приведенных в
форме А.25 (приложение А). Результаты заносят в протокол по
форме А.25.1 (приложение А).
9. Методы оценки надежности
9.1 Оценку надежности комбайнов и машин для уборки льна проводят в соответствии с национальными стандартами и нормативными документами, действующими в государствах - участниках Соглашения, с определением показателей, приведенных в
форме А.25 (приложение А).
9.2 Оценку надежности проводят по результатам испытаний в условиях нормальной эксплуатации. Допускается оценка надежности серийно выпускаемых машин по результатам наблюдений или разовых обследований в условиях реальной эксплуатации.
9.3 Комбайны и машины для уборки льна испытывают на видах работ, указанных в технической документации, в соответствии с
ГОСТ 24055.
На каждом виде работ машины испытывают на оптимальных режимах, определяемых по результатам агротехнической оценки. Условия испытаний должны соответствовать ТЗ (ТУ) на испытуемую машину.
9.4 Для сокращения сроков испытаний допускается проводить ускоренные испытания на надежность по действующим нормативным документам при режимах, воспроизводящих эксплуатационные нагрузки.
9.5 Наработку измеряют часами основного времени, а также в тоннах собранной продукции и гектарах убранной площади. Для учета наработки в часах основного времени проводят сплошной хронометраж.
Допускается определять наработку в часах основного времени по наработке в тоннах за весь период испытаний и производительности, определенной по результатам эксплуатационно-технологической оценки.
9.6 В течение всего периода испытаний ведут учет выявленных отказов и повреждений.
9.7 Определение затрат времени на выявление и устранение отказов осуществляют пооперационным хронометражем.
Допускается определять затраты времени и труда на выявление и устранение отказов по нормативам, утвержденным в установленном порядке, а также хронометражем при имитации устранения отказов с воспроизведением всех операций необходимых для выявления и устранения реальных отказов.
9.7.1 Классификация элементов времени занятости каждого исполнителя при ремонте и техническом обслуживании машин - по
ГОСТ 21623.
9.7.2 Трудоемкость выполнения отдельных ремонтных операций определяют суммированием времени, затраченного на выполнение технологической операции каждым исполнителем.
9.8 Затраты времени и труда на выявление и устранение отказов в течение всего периода испытаний суммируют и учитывают при расчете показателей.
9.9 Техническое состояние машин и отказавших деталей и узлов оценивают при проведении технической экспертизы.
9.10 Приспособленность к техническому обслуживанию машин определяют по ГОСТ 26026.
9.11 Надежность оценивают сопоставлением фактических показателей с нормативными значениями.
При отсутствии нормативов надежность оценивают сравнением с показателями изделия-аналога, при этом отклонение в наработке не должно превышать 20%.
9.12 Показатели надежности записывают в
форму А.26 (приложение А).
10. Методы эксплуатационно-технологической оценки
10.1 Эксплуатационно-технологическую оценку комбайнов и машин для уборки льна проводят в соответствии с
ГОСТ 24055, а также в соответствии с национальными стандартами и нормативными документами, действующими в государствах - участниках Соглашения.
10.2 Эксплуатационно-технологическую оценку проводят на оптимальном для данного фона режиме работы, определенном по результатам агротехнической оценки для опытных машин и указанных в ТУ - серийных.
Во время испытаний контролируют соблюдение выбранного режима работы и качество выполнения технологического процесса.
Показатели условий испытаний и качества выполнения технологического процесса определяют по методам, изложенным в
разделе 6.
10.3 Сбор информации для эксплуатационно-технологической оценки проводят во время контрольных смен.
Сбор информации о нарушениях технологического процесса и технических отказах проводят в течение всего периода наблюдений.
10.4 Производительность за 1 ч технологического времени за период контрольных смен Wтех, га, вычисляют по формуле
Wтех = W0Kтех, (32)
где W0 - производительность за 1 ч основного времени, га/ч;
Kтех - коэффициент использования технологического времени за период контрольных смен.
10.5 Производительность за 1 ч сменного времени за период контрольных смен Wсм, га, вычисляют по формуле
Wсм = W0Kсм, (33)
где Kсм - коэффициент использования сменного времени за период контрольных смен.
10.6 Производительность за 1 час эксплуатационного времени за период контрольных смен Wэк, га/ч, вычисляют по формуле

(34)
где Kг - коэффициент готовности.
10.7.1 Коэффициент готовности Kг определяют по результатам испытания на надежность или по данным ТЗ (ТУ).
10.8 Результаты эксплуатационно-технологической оценки записывают в
форму А.27 (приложение А).
11. Методы экономической оценки
Экономическую оценку комбайнов и машин для уборки льна и оформление результатов испытаний проводят по национальным стандартам и нормативным документам, действующим в государствах - участниках Соглашения до утверждения межгосударственного стандарта ГОСТ "Техника сельскохозяйственная. Методы экономической оценки".
12. Обработка и анализ результатов испытаний
12.1 Обработку результатов испытаний комбайнов и машин для уборки льна проводят на ЭВМ по данным рабочих ведомостей
форм Б.1 -
Б.25 (приложение Б).
12.2 После обработки исходных данных по 12.1 формируются и выдаются на печать результаты испытаний в соответствии с
формами А.2 -
А.27 (приложение А).
12.3 Полученные результаты используют для анализа соответствия результатов испытаний требованиям ТЗ (ТУ), а также сопоставления их с показателями сравниваемой машины.
12.4 На основании анализа полученных значений показателей делают выводы о качестве работы испытуемой машины при выполнении заданного технологического процесса.
12.5 Общие выводы по результатам испытаний машины делают на основании анализа показателей по всем видам оценок.
(рекомендуемое)
ОФОРМЛЕНИЕ РЕЗУЛЬТАТОВ ИСПЫТАНИЙ
Техническая характеристика
Наименование показателя | Значение показателя |
Тип машины | |
Агрегатирование (класс трактора) | |
Привод | |
Потребляемая мощность, кВт | |
Конструктивная ширина захвата, м | |
Транспортная скорость, км/ч | |
Рабочая скорость движения на основных операциях, км/ч (м/с) | |
Производительность, га (т), за час: | |
- основного времени | |
- эксплуатационного времени | |
Число персонала по профессиям, необходимого для обслуживания операций, непосредственно связанных с работой машины, чел.: | |
а) _____________________________ | |
б) _____________________________ | |
Габаритные размеры машины в рабочем положении, мм: | |
- длина | |
- ширина | |
- высота | |
Габаритные размеры машины в транспортном положении, мм: | |
- длина | |
- ширина | |
- высота | |
Масса машины, кг: | |
- сухая (конструкционная) с полным комплектом рабочих органов и приспособлений | |
- эксплуатационная с комплектом рабочих органов и приспособлений для выполнения основной технологической операции | |
- в комплектации поставки с полным комплектом рабочих органов, приспособлений | |
в том числе: | |
- сменных рабочих органов, приспособлений | |
- ЗИП и инструмента | |
Распределение массы по опорам, кг: | |
- на прицеп | |
- на ходовые колеса: | |
а) ____________________________ | |
б) ____________________________ | |
в) ____________________________ | |
Дорожный просвет, мм | |
Радиус поворота агрегата, м: | |
- по крайней наружной точке | |
- по следу наружного колеса | |
Необходимая ширина поворотной полосы, м | |
Колея, мм: | |
а) _____________________________ | |
б) _____________________________ | |
Число точек смазки, всего, шт.: | |
- ежесменных | |
- периодических | |
- сезонных | |
Число передач, шт.: | |
- шарнирных (карданных) | |
- цепных | |
- ременных | |
- редукторов | |
Пределы регулирования рабочих органов: | |
а) ____________________________ | |
б) ____________________________ | |
в) ____________________________ | |
Трудоемкость составления агрегата, чел.-ч | |
Оперативная трудоемкость монтажа (досборки) машины на месте их применения, чел.-ч | |
Комбинированность | |
Для погрузчиков тюков (рулонов) | |
Грузоподъемность, т | |
Угол поперечной статической устойчивости, ...° | |
Наибольший вылет стрелы, м | |
Высота погрузки, м: | |
- максимальная | |
- минимальная | |
Погрузочный вылет, м: | |
- при максимальной высоте погрузки | |
- при минимальной высоте погрузки | |
Продолжительность погрузочного цикла, с | |
Рабочее давление в гидросистеме, МПа | |
Максимальный угол поворота стрелы (в плане), ...° | |
Материалоемкость, кг-ч/т | |
Коэффициент статической нагрузки шин | |
Показатели по узлам и рабочим органам (тип, количество, параметры, масса, пределы регулировок) | |
____________________________________ ____________________________________ ____________________________________ | |
| | ИС МЕГАНОРМ: примечание. Сноски в форме даны в соответствии с официальным текстом документа. | |
Характеристика участка при агротехнической
и эксплуатационно-технологической оценках комбайнов и машин
для уборки льна
Наименование показателя | Значение показателя |
Вид оценки |
Агротехническая | Эксплуатационно-технологическая |
Дата | + | + |
Рельеф <1> | + | + |
Микрорельеф <1> | + | + |
Влажность почвы в слое от 0 до 10 см <*>, % | + | + |
Твердость почвы в слое от 0 до 10 см <*>, МПа | + | + |
Засоренность участка камнями <**>, шт./га | + | + |
Высота камней над поверхностью почвы <**>, см | + | - |
<*> Кроме молотилок и машин для переработки льновороха. <**> Кроме погрузчиков, транспортировщиков рулонов (тюков), молотилок и машин для переработки льновороха. Примечание - Знак "+" означает, что показатель определяют, знак "-" - не определяют. |
Характеристика культуры на корню при агротехнической
и эксплуатационно-технологической оценках льнокомбайнов
и льнотеребилок
Наименование показателя | Значение показателя |
Вид оценки |
Агротехническая | Эксплуатационно-технологическая |
Дата | + | + |
Сорт льна | + | + |
Спелость коробочек по семенам, %: | + | + |
- зеленые | | |
- желтые | | |
- бурые | | |
Влажность, %: | + | + |
- стеблей | | |
- коробочек | | |
Полегание стеблестоя, балл | + | + |
Зона расположения коробочек в стеблестое, см | + | - |
Высота расположения зоны коробочек, см | + | - |
Высота стеблестоя, см | + | + |
Масса 1000 семян, г | + | - |
Диаметр стебля, мм | + | - |
Урожайность, ц/га: | + | - |
- льносоломы | | |
- семян | | |
Засоренность культуры сорняками, % | + | - |
Густота стеблестоя, шт./м2 | + | - |
Примечание - Знак "+" означает, что показатель определяют, знак "-" - не определяют. |
Характеристика исходного материала при агротехнической
и эксплуатационно-технологической оценках льномолотилок
Наименование показателя | Значение показателя |
Вид оценки |
Агротехническая | Эксплуатационно-технологическая |
Дата | + | + |
Сорт льна | + | + |
Характеристика снопа: | + | - |
- масса, кг | | |
- диаметр, см | | |
- общая длина снопа, см | | |
- расположение пояска | | |
- тугость вязки, % | | |
- зона расположения коробочек, см | | |
- растянутость снопа, раз | | |
- засоренность снопа сорняками, % | | |
- обсемененность снопа, % | | |
- горстевая длина, см | | |
Влажность, %: | + | + |
- стеблей | | |
- коробочек (семян) | | |
Масса 1000 семян, г | + | - |
Примечание - Знак "+" означает, что показатель определяют, знак "-" - не определяют. |
Характеристика исходного материала при агротехнической
и эксплуатационно-технологической оценках машин
для переработки льновороха
Наименование показателя | Значение показателя |
Вид оценки |
Агротехническая | Эксплуатационно-технологическая |
Дата | + | + |
Сорт льна | + | + |
Состав льновороха по массе, %: | + | + |
- семенные коробочки: | | |
целые | | |
в том числе семена из них разрушенные | | |
в том числе семена из них | | |
- семена свободные | | |
- сорняки | | |
- прочие примеси | | |
- путанина (стебли льна) | | |
Содержание семян в ворохе, % | + | + |
Повреждение семян, % | + | + |
в том числе дробленые | | |
Влажность, %: | | |
- семян | | |
- льновороха | + | + |
Масса 1000 семян, г | + | - |
Примечание - Знак "+" означает, что показатель определяют, знак "-" - не определяют. |
Характеристика исходного материала при агротехнической
и эксплуатационно-технологической оценках
подборщиков - сдваивателей лент
Наименование показателя | Значение показателя |
Вид оценки |
Агротехническая | Эксплуатационно-технологическая |
Дата | + | + |
Сорт льна | + | + |
Характеристика ленты: | | |
- ширина, см | + | + |
- угол отклонения стеблей в ленте, ...° | + | + |
- растянутость стеблей в ленте, раз | + | + |
- расстояние между рядами лент, см | + | - |
- линейная доля разрывов в ленте, % | + | - |
- засоренность льняной тресты в ленте, % | + | - |
- масса стеблей на метре ленты, кг/м | + | - |
Влажность стеблей, % | + | + |
Масса травостоя, г/м2: | + | + |
- над лентой | | |
- под лентой | | |
Неравномерность расстила ленты, % | + | - |
Примечание - Знак "+" означает, что показатель определяют, знак "-" - не определяют. |
Характеристика исходного материала при агротехнической
и эксплуатационно-технологической оценках
подборщиков-порциеобразователей
Наименование показателя | Значение показателя |
Вид оценки |
Агротехническая | Эксплуатационно-технологическая |
Дата | + | + |
Сорт льна | + | + |
Способ расстила | + | + |
Характеристика ленты: | | |
- ширина ленты, см | + | - |
- угол отклонения стеблей в ленте, ...° | + | + |
- растянутость стеблей в ленте, раз | + | + |
- расстояние между рядами лент, см | + | - |
- засоренность льняной тресты в ленте, % | + | - |
- масса стеблей на метре ленты, кг/м | + | - |
Масса травостоя, г/м2: | + | + |
- над лентой | | |
- под лентой | | |
Влажность стеблей, % | + | + |
Примечание - Знак "+" означает, что показатель определяют, знак "-" - не определяют. |
Характеристика исходного материала при агротехнической
и эксплуатационно-технологической оценках
подборщика-очесывателя
Наименование показателя | Значение показателя |
Вид оценки |
Агротехническая | Эксплуатационно-технологическая |
Дата | + | + |
Сорт льна | + | + |
Способ расстила | + | + |
Характеристика ленты: | | |
- ширина, см | + | - |
- угол отклонения стеблей в ленте, ...° | + | + |
- расстояние между рядами лент, см | + | - |
- растянутость стеблей в ленте, раз | + | + |
- линейная доля разрывов в ленте, % | + | - |
- засоренность льняной тресты в ленте, % | + | - |
- масса стеблей на метре ленты, кг/м | + | - |
Зона расположения коробочек в ленте, см | + | + |
Масса травостоя, г/м2: | + | + |
- над лентой | | |
- под лентой | | |
Влажность, %: | + | + |
- стеблей | | |
- коробочек | | |
Урожайность, ц/га: | + | + |
- льносоломы | | |
- семян | | |
Спелость коробочек по семенам | + | + |
Масса 1000 семян, г | + | - |
Примечание - Знак "+" означает, что показатель определяют, знак "-" - не определяют. |
| | ИС МЕГАНОРМ: примечание. Сноска в форме дана в соответствии с официальным текстом документа. | |
Характеристика исходного материала при агротехнической
и эксплуатационно-технологической оценках пресс-подборщика
Наименование показателя | Значение показателя |
Вид оценки |
Агротехническая | Эксплуатационно-технологическая |
Дата | + | + |
Сорт льна | + | + |
Способ расстила ленты | + | + |
Характеристика ленты: | | |
- ширина, см | + | + |
- угол отклонения стеблей в ленте, ...° | + | + |
- растянутость стеблей в ленте, раз | + | + |
- расстояние между рядами лент, см | + | - |
- масса стеблей на метре ленты (линейная плотность ленты), кг/м | + | - |
- засоренность льнотресты в ленте, % | + | - |
Масса травостоя, г/м2: | + | + |
- над лентой | | |
- под лентой | | |
Влажность стеблей, % | + | + |
<*> Определяют при работе из лент, образованных льнокомбайном. Примечание - Знак "+" означает, что показатель определяют, знак "-" - не определяют. |
Характеристика исходного материала при агротехнической
и эксплуатационно-технологической оценках ворошилок лент
Наименование показателя | Значение показателя |
Вид оценки |
Агротехническая | Эксплуатационно-технологическая |
Дата | + | + |
Сорт льна | + | + |
Способ расстила | + | + |
Характеристика ленты: | | |
- ширина, см | + | - |
- угол отклонения стеблей в ленте, ...° | + | + |
- растянутость стеблей в ленте, раз | + | + |
- масса стеблей на метре ленты, кг/м | + | + |
- неравномерность расстила ленты, % | + | - |
- расстояние между рядами лент, см | + | - |
Масса травостоя, г/м2: | + | + |
- над лентой | | |
- под лентой | | |
Влажность стеблей, % | + | + |
Примечание - Знак "+" означает, что показатель определяют, знак "-" - не определяют. |
Характеристика исходного материала при агротехнической
и эксплуатационно-технологической оценках оборачивателя лент
Наименование показателя | Значение показателя |
Вид оценки |
Агротехническая | Эксплуатационно-технологическая |
Дата | + | + |
Сорт льна | + | + |
Способ расстила | + | + |
Характеристика ленты: | | |
- ширина, см | + | - |
- угол отклонения стеблей в ленте, ...° | + | + |
- растянутость стеблей в ленте, раз | + | + |
- засоренность льняной тресты в ленте, % | + | - |
- масса стеблей на метре ленты, кг/м | + | + |
- расстояние между рядами лент, см | + | - |
- разрывы и пропуски в ленте, % | + | - |
- неравномерность расстила ленты, % | + | - |
Масса травостоя, г/м2: | + | + |
- над лентой | | |
- под лентой | | |
Влажность стеблей, % | + | + |
Примечание - Знак "+" означает, что показатель определяют, знак "-" - не определяют. |
Характеристика исходного материала при агротехнической
и эксплуатационно-технологической оценках
подборщиков-транспортировщиков и погрузчиков рулонов
Наименование показателя | Значение показателя |
Вид оценки |
Агротехническая | Эксплуатационно-технологическая |
Дата | + | + |
Сорт льна | + | + |
Характеристика рулона: | | |
- масса, кг | + | + |
- длина, м | + | + |
- диаметр, м | + | + |
- объем, м3 | + | + |
- плотность, кг/м3 | + | - |
Влажность исходного материала, % | + | + |
Примечание - Знак "+" означает, что показатель определяют, знак "-" - не определяют. |
Показатели качества выполнения технологического процесса
льноуборочными комбайнами при агротехнической
и эксплуатационно-технологической оценках
Наименование показателя | Значение показателя |
Вид оценки |
Агротехническая | Эксплуатационно-технологическая |
Дата | + | + |
Рабочая скорость движения, м/с (км/ч) | + | + |
Ширина захвата, м | + | - |
Производительность, т/ч | + | + |
Потери семян всего, %, | + | + |
в том числе: | | |
- под теребильным аппаратом | | |
- в виде подсаривания под машиной | | |
- от недоочеса в ленте | | |
Чистота очеса, % | + | + |
Потери стеблей всего, %, | + | + |
в том числе: | | |
- невытеребленными стеблями | | |
- вытеребленными, но утерянными стеблями | | |
- в виде отхода стеблей в путанину (при очесе) | | |
Чистота теребления, % | + | + |
Поврежденные и дробленые семена, % | + | - |
Характеристика ленты: | + | - |
- растянутость ленты к горстевой длине стеблей, раз | | |
- горстевая длина льна, см | | |
- угол отклонения стеблей в ленте, ...° | | |
Поврежденные стебли, влияющие на выход длинного волокна, % | + | + |
Поврежденные (дробленые) семена, % | + | + |
Состав льновороха по массе, % | + | - |
Примечание - Знак "+" означает, что показатель определяют, знак "-" - не определяют. |
Показатели качества выполнения
технологического процесса льнотеребилками
с расстилом стеблей в ленту при агротехнической
и эксплуатационно-технологической оценках
Наименование показателя | Значение показателя |
Вид оценки |
Агротехническая | Эксплуатационно-технологическая |
Дата | + | + |
Рабочая скорость движения агрегата, м/с (км/ч) | + | + |
Ширина захвата, м | + | - |
Производительность, га/ч | + | + |
Потери семян, всего, %, | + | + |
в том числе: | | |
- под теребильным аппаратом | | |
- под лентой | | |
Потери стеблей, всего, %, | + | + |
в том числе: | | |
- невытеребленными стеблями | | |
- вытеребленными, но утерянными стеблями | | |
Чистота теребления, % | + | + |
Характеристика ленты: | + | - |
- ширина ленты, см | | |
- растянутость ленты к горстевой длине стебля, раз | | |
- горстевая длина льна, см | | |
- угол отклонения стеблей в ленте, ...° | | |
- расстояние между рядами лент, см | | |
- разрывы и пропуски в ленте, % | | |
Повреждения стеблей, влияющие на выход волокна, % | + | - |
Примечание - Знак "+" означает, что показатель определяют, знак "-" - не определяют. |
Показатели качества выполнения технологического
процесса льномолотилками при агротехнической
и эксплуатационно-технологической оценках
Наименование показателя | Значение показателя |
Вид оценки |
Агротехническая | Эксплуатационно-технологическая |
Дата | + | + |
Производительность, т/ч: | + | + |
- по сноповой массе | | |
- по семенам | | |
Потери семян, всего, %, | + | + |
в том числе невозвратимые | | |
Чистота очеса (обмолота), % | + | - |
Чистота семян, % | + | + |
Отход стеблей в путанину, % | + | + |
Повреждение и дробление семян, % | + | + |
Вытирание семян из коробочек, % | + | - |
Характеристика снопа после обмолота: | + | - |
- растянутость снопа, раз | | |
- тугость вязки, % | | |
- увеличение растянутости, % | | |
- расположение пояска от комлевой части снопа | | |
Количественная доля развязанных снопов, % | + | - |
Повреждения стеблей, влияющие на выход волокна, % | + | - |
Примечание - Знак "+" означает, что показатель определяют, знак "-" - не определяют. |
Показатели качества выполнения технологического процесса
машинами для переработки льновороха при агротехнической
и эксплуатационно-технологической оценках
Наименование показателя | Значение показателя |
Вид оценки |
Агротехническая | Эксплуатационно-технологическая |
Дата | + | + |
Производительность, т/ч: | + | + |
- по вороху | | |
- по семенам | | |
Потери семян, всего, % | + | + |
в том числе невозвратимые <*> | | |
Чистота семян (по выходам семян), % | + | + |
Поврежденные и дробленые семена, % | + | + |
Количество трудноотделимых сорняков, в семенах по выходам (только для специальных машин), шт./кг | + | - |
Вытирание семян из коробочек, % | + | - |
Масса 1000 семян (по выходам), г | + | + |
<*> К невозвратимым потерям относят все виды потерь, кроме россыпи под машиной. Примечание - Знак "+" означает, что показатель определяют, знак "-" - не определяют. |
Показатели качества выполнения технологического
процесса сдваивателями лент при агротехнической
и эксплуатационно-технологической оценках
Наименование показателя | Значение показателя |
Вид оценки |
Агротехническая | Эксплуатационно-технологическая |
Дата | + | + |
Рабочая скорость движения, м/с (км/ч) | + | + |
Ширина захвата (число лент), шт. | + | + |
Чистота подбора, % | + | + |
Увеличение по отношению к исходной: | + | - |
- растянутости стеблей в ленте, % | | |
- линейной доли разрывов в ленте, % | | |
- угла отклонения стеблей в ленте, ...° | | |
- неравномерности расстила, % | | |
Повреждение стеблей, % | + | - |
Характеристика ленты: | | |
- ширина ленты, см | | |
- горстевая длина льна, см | | |
- растянутость ленты к горстевой длине стебля, раз | | |
- угол отклонения стеблей в ленте, ...° | | |
Примечание - Знак "+" означает, что показатель определяют, знак "-" - не определяют. |
Показатели качества выполнения технологического процесса
подборщиками-порциеобразователями при агротехнической
и эксплуатационно-технологической оценках
Наименование показателя | Значение показателя |
Вид оценки |
Агротехническая | Эксплуатационно-технологическая |
Дата | + | + |
Рабочая скорость движения, м/с (км/ч) | + | - |
Ширина захвата (число лент), шт. | + | + |
Чистота подбора, % | + | + |
Характеристика порции: | + | - |
- увеличение растянутости стеблей в порции по отношению к исходной ленте, % | | |
- увеличение засоренности порции, % | | |
- масса порции, кг | | |
- размер порции в направлении движения машины, м (см) | | |
- расстояние между порциями, м | | |
- повреждение стеблей, % | | |
Примечание - Знак "+" означает, что показатель определяют, знак "-" - не определяют. |
Показатели качества выполнения технологического процесса
подборщиком-очесывателем при агротехнической
и эксплуатационно-технологической оценках
Наименование показателя | Значение показателя |
Вид оценки |
Агротехническая | Эксплуатационно-технологическая |
Дата | + | + |
Рабочая скорость движения, м/с (км/ч) | + | + |
Потери семян, % | + | + |
Чистота подбора, % | + | + |
Чистота очеса, % | + | + |
Отход стеблей в путанину, % | + | + |
Увеличение по сравнению с исходной: | + | - |
- растянутости стеблей в ленте, % | | |
- повреждения стеблей в ленте, % | | |
- угла отклонения стеблей в ленте, ...° | | |
Повреждение семян, % | + | + |
Состав льновороха по массе, % | + | + |
Примечание - Знак "+" означает, что показатель определяют, знак "-" - не определяют. |
Показатели качества выполнения технологического
процесса пресс-подборщиками льнотресты
с образованием рулонов при агротехнической
и эксплуатационно-технологической оценках
Наименование показателя | Значение показателя |
Вид оценки |
Агротехническая | Эксплуатационно-технологическая |
Дата | + | + |
Рабочая скорость движения, м/с (км/ч) | + | + |
Ширина захвата (число лент), шт. | + | + |
Потери семян, % | + | + |
Чистота подбора, % | + | + |
Характеристика рулона (тюка): | + | - |
- масса, кг | | |
- длина, см | | |
- диаметр, см | | |
- объем, м3 | | |
- плотность льна в рулоне (тюке), кг/м3 | | |
Засоренность рулона (тюка) <*>, %: | + | - |
- почвой | | |
- зеленой травой | | |
Невязь рулонов (тюков), % | + | - |
Линейная плотность ленты в рулоне, кг/м | + | - |
Увеличение линейной плотности ленты рулона по сравнению с исходной, % | + | - |
Увеличение неравномерности линейной плотности ленты в рулоне, % | + | - |
<*> Определяют при работе из лент, образованных льнокомбайном. Примечание - Знак "+" означает, что показатель определяют, знак "-" - не определяют. |
Показатели качества выполнения технологического процесса
ворошилкой лент льна при агротехнической
и эксплуатационно-технологической оценках
Наименование показателя | Значение показателя |
Вид оценки |
Агротехническая | Эксплуатационно-технологическая |
Дата | + | + |
Рабочая скорость движения, м/с (км/ч) | + | + |
Ширина захвата (число лент), шт. | + | - |
Увеличение растянутости стеблей в ленте, % | + | + |
Повреждение стеблей, % | + | - |
Полнота вспушивания | + | + |
Увеличение неравномерности расстила ленты, % | + | - |
Увеличение угла отклонения стеблей в ленте, ...° | + | - |
Примечание - Знак "+" означает, что показатель определяют, знак "-" - не определяют. |
Показатели качества выполнения технологического процесса
оборачивателями лент льна при агротехнической
и эксплуатационно-технологической оценках
Наименование показателя | Значение показателя |
Вид оценки |
Агротехническая | Эксплуатационно-технологическая |
Дата | + | + |
Скорость движения агрегата, м/с (км/ч) | + | + |
Ширина захвата (число лент), шт. | + | + |
Степень оборачиваемости, % | + | + |
Изменение параметров ленты: | + | - |
- увеличение растянутости стеблей в ленте по отношению к исходной, % | | |
- увеличение угла отклонения стеблей в ленте, ...° | | |
- увеличение линейной доли разрывов в ленте по сравнению с исходной, % | | |
Увеличение неравномерности расстила, % | + | - |
Повреждение стеблей, % | + | - |
Примечание - Знак "+" означает, что показатель определяют, знак "-" - не определяют. |
Показатели качества выполнения технологического
процесса погрузчиками, транспортировщиками
рулонов (тюков) при агротехнической
и эксплуатационно-технологической оценках
Наименование показателя | Значение показателя |
Вид оценки |
Агротехническая | Эксплуатационно-технологическая |
Дата | + | + |
Рабочая скорость, м/с (км/ч) (для транспортировщиков) | + | + |
Розвязь рулонов (тюков), % | + | + |
Потери рулонов (тюков), % | + | + |
Максимальная высота погрузки, м | + | + |
Коэффициент использования грузоподъемности | + | - |
Примечание - Знак "+" означает, что показатель определяют, знак "-" - не определяют. |
Энергетические показатели
Наименование показателя | Значение показателя |
Дата | |
Режим работы | |
Рабочая скорость движения, м/с | |
Ширина захвата, м | |
Расход топлива за основное время, кг/ч | |
Производительность за основное время, га/ч (т/ч) | |
Энергетические показатели | |
Потребляемая мощность, кВт | |
Удельные энергозатраты, кВт·ч/га (кВт·ч/т) | |
Расход топлива, кг/ч | |
Тяговое сопротивление, Н | |
Мощность, затрачиваемая на привод рабочих органов, кВт | |
Удельный расход топлива за основное время, кг/га, кг/т | |
Номенклатура показателей, требований безопасности
и эргономичности конструкции машины
Наименование показателя, требования |
Общие требования безопасности к конструкции узлов и агрегатов, специфические требования к машине Показатели обеспечения безопасности при монтаже, транспортировании и хранении Требования к кабинам и их оборудованию Требования к средствам доступа в места обслуживания Уровень шума на рабочем месте Уровень вибрации на сиденье и на рычагах органов управления Содержание вредных веществ в воздухе рабочей зоны Параметры микроклимата на рабочем месте Параметры и расположение органов управления Люфт рулевого колеса Требования к сиденью Пожарная безопасность Требования к электрооборудованию Требования к системе освещения и световой сигнализации Удобство и безопасность обслуживания Требования к средствам доступа на рабочее место Наличие предупреждающих надписей и знаков безопасности Требования к системе символов для обозначения органов управления и средств отображения информации Требования к наличию и конструкции защитных ограждений Требования к системе блокировки и предупредительной сигнализации Требования к обеспечению безопасности операций по очистке Требования к исключению возможности самопроизвольного включения (выключения) рабочих органов Требования к обзорности зон наблюдения Безопасность присоединения Угол поперечной статической устойчивости Нагрузка на управляемые колеса Силы сопротивления перемещению органов управления Эффективность действия тормозных систем <*> |
<*> Оценивают только на машинах, оборудованных тормозами. |
Показатели безопасности и эргономичности конструкции машины
(для протокола)
Наименование показателя, требования | Значение показателя по | Заключение о соответствии |
стандарту (НД) | результатам испытаний |
| | | |
Наименование показателя | Значение показателя |
Ресурс изделия <*>, ч, га, т | |
Гамма-процентный ресурс изделия <*>, ч, га, т | |
Наработка на отказ, ч, га, т | |
Наработка на отказ I, II, III групп сложности, ч, га, т | |
Среднее время восстановления, ч | |
Оперативная трудоемкость ежесменного технического обслуживания, чел.-ч | |
Трудоемкость ежесменного технического обслуживания, чел.-ч | |
Удельная суммарная трудоемкость технических обслуживаний, чел.-ч/ч, чел.-ч/га, чел.-ч/т | |
Удельная суммарная оперативная трудоемкость технических обслуживаний, чел.-ч/ч, чел.-ч/га, чел.-ч/т | |
Удельная суммарная оперативная трудоемкость текущих ремонтов (выявление и устранение отказов), чел.-ч/ч, чел.-ч/га, чел.-ч/т | |
Удельная суммарная трудоемкость текущих ремонтов (выявление и устранение отказов), чел.-ч/ч, чел.-ч/га, чел.-ч/т | |
Ежесменное оперативное время технического обслуживания, ч | |
Коэффициент готовности: | |
- с учетом организационного времени | |
- по оперативному времени | |
Перечень отказов и повреждений (помещают в приложении к протоколу) | |
<*> Определяют и оценивают при проведении специальных ресурсных испытаний. |
Эксплуатационно-технологические показатели
Наименование показателя | Значение показателя |
Вид работы |
| | |
Период проведения оценки (дата) | | | |
Место проведения оценки | | | |
Условия проведения испытаний <*> | | | |
Состав агрегата | | | |
| | | |
Производительность за 1 ч времени, га/ч (т/ч): | | | |
- основного | | | |
- технологического | | | |
- сменного | | | |
- эксплуатационного | | | |
Удельный расход топлива (электроэнергии) за время сменной работы, кг/га, кг/т (кВт·ч/т) | | | |
Эксплуатационно-технологические коэффициенты: | | | |
- технологического обслуживания | | | |
- надежности технологического процесса | | | |
- использования сменного времени | | | |
- использования эксплуатационного времени | | | |
Число обслуживающего персонала, чел. | | | |
Показатели качества выполнения технологического процесса <**> | | | |
________________________________ ________________________________ ________________________________ | | | |
|
(рекомендуемое)
ФОРМЫ РАБОЧИХ ВЕДОМОСТЕЙ РЕЗУЛЬТАТОВ ИСПЫТАНИЙ
Марка машины ______________________________________________________________
Место испытаний ___________________________________________________________
Дата ______________________________________________________________________
Наименование и номер пробы ________________________________________________
Исполнитель _______________ ____________________ ______________________
должность личная подпись инициалы, фамилия
Ведомость определения спелости льна
Марка машины ______________________________________________________________
Место испытаний ___________________________________________________________
Дата ______________________________________________________________________
Цвет семян (при раздавливании коробочки льна) | Число коробочек, шт. | Спелость льна, % |
Зеленые | | |
Желтые | | |
Бурые | | |
Сумма | | 100 |
Исполнитель _______________ __________________ __________________________
должность личная подпись инициалы, фамилия
Ведомость определения полегания стеблестоя льна
Марка машины ______________________________________________________________
Место испытаний ___________________________________________________________
Дата ______________________________________________________________________
Номер отрезка | Повторность |
1 | 2 | 3 |
полегание, балл | полегание, балл | полегание, балл |
1 | | | |
2 | | | |
3 | | | |
... | | | |
n | | | |
Сумма | | | |
Среднеарифметическое значение | | | |
Исполнитель _______________ __________________ __________________________
должность личная подпись инициалы, фамилия
Ведомость определения зоны и высоты расположения
семенных коробочек
Марка машины ______________________________________________________________
Место испытаний ___________________________________________________________
Дата ____________________________ Площадка ________________________________
Средства измерений ________________________________________________________
Размеры в сантиметрах
Измерение | Высота расположения семенных коробочек | Зона расположения семенных коробочек | Высота стеблестоя |
1 | | | |
2 | | | |
3 | | | |
... | | | |
40 | | | |
Сумма | | | |
Среднеарифметическое значение | | | |
Исполнитель _______________ __________________ __________________________
должность личная подпись инициалы, фамилия
Ведомость учета данных биологической урожайности
Марка машины ______________________________________________________________
Место испытаний ___________________________________________________________
Дата ______________________________________________________________________
Средства измерений ________________________________________________________
Учетный сноп | Число стеблей в снопе, шт. | Масса с учетной площадки, г | Масса 1000 шт. семян, г | Естественные потери семян |
снопа | стеблей (льносоломы) | семян | подседа | сорняков | в коробочках, г | свободными семенами, шт. |
1 | | | | | | | | | |
2 | | | | | | | | | |
3 | | | | | | | | | |
... | | | | | | | | | |
10 | | | | | | | | | |
Сумма | | | | | | | | | |
Среднеарифметическое значение | | | | | | | | | |
Исполнитель _______________ __________________ __________________________
должность личная подпись инициалы, фамилия
Ведомость определения характеристики снопа
Марка машины ____________________________ Дата ____________________________
Место испытаний _________________________ Опыт ____________________________
Средства измерений ________________________________________________________
Учетный сноп | Масса снопа, кг | Диаметр снопа, см | Общая длина снопа, см | Расстояние от комлевой части снопа до пояска, см | Расположение пояска | Периметр необжатого снопа, см | Периметр обжатого снопа, см | Тугость вязки, % | Зона расположения коробочек, см | Измерение | Диаметр стебля, мм |
общий | одного растения |
1 | | | | | | | | | | 1 | | |
2 | | | | | | | | | | 2 | | |
3 | | | | | | | | | | 3 | | |
... | | | | | | | | | | ... | | |
n | | | | | | | | | | 100 | | |
Сумма | | | | | | | | | | - | | |
Среднеарифметическое значение | | | | | | | | | | - | | |
Исполнитель _______________ __________________ __________________________
должность личная подпись инициалы, фамилия
Ведомость определения горстевой длины льна, обсемененности
и засоренности снопов
Марка машины ____________________________ Дата ____________________________
Место испытаний _________________________ Опыт ____________________________
Средства измерений ________________________________________________________
Наименование показателя | Сноп | Сумма | Среднеарифметическое значение |
1 | 2 | 3 | 4 | 5 |
Общая масса снопа, кг | | | | | | | |
Горстевая длина, см | | | | | | | |
Масса сорняков в снопе, кг | | | | | | | |
Масса чистых семян в снопе, кг | | | | | | | |
Засоренность снопа, % | | | | | | | |
Обсемененность снопа, % | | | | | | | |
Растянутость снопа, раз | | | | | | | |
Исполнитель _______________ __________________ __________________________
должность личная подпись инициалы, фамилия
Ведомость определения характеристики льновороха
Марка машины ____________________________ Дата ____________________________
Место испытаний _________________________ Опыт ____________________________
Средства измерений ________________________________________________________
Общая масса пробы, кг: ________________________________________________
в т.ч. семенная часть _____________________________________________
путанина ___________________________________________________
Наименование показателя | Навеска, г | Среднеарифметическое значение | Массовая доля, % |
1 | 2 | 3 |
Состав навески льновороха: | | | | | |
- семенные коробочки: | | | | | |
целые | | | | | |
семена из них | | | | | |
разрушенные | | | | | |
семена из них | | | | | |
- свободные семена | | | | | |
- всего семян в льноворохе | | | | | |
- путанина (стебли льна) | | | | | |
- сорняки | | | | | |
- прочие примеси | | | | | |
- поврежденные и дробленые семена | | | | | |
Исполнитель _______________ __________________ __________________________
должность личная подпись инициалы, фамилия
Ведомость определения характеристики ленты льна
Марка машины ____________________________ Дата ____________________________
Место испытаний ___________________________________________________________
Средства измерений ________________________________________________________
Измерение | Отрезок ленты (3 м) |
Повторность |
1 | 2 |
Величина отрезка ленты льна, см | Ширина ленты льна, см | Угол отклонения стеблей в ленте, ...° | Горстевая длина, см | Величина отрезка ленты льна, см | Ширина ленты льна, см | Угол отклонения стеблей в ленте, ...° | Горстевая длина, см |
влево (до комля) | вправо (до верхушки) | влево (до комля) | вправо (до верхушки) |
1 | | | | | | | | | | |
2 | | | | | | | | | | |
3 | | | | | | | | | | |
... | | | | | | | | | | |
n | | | | | | | | | | |
Сумма | | | | | | | | | | |
Среднеарифметическое значение | | | | | | | | | | |
Исполнитель _______________ __________________ __________________________
должность личная подпись инициалы, фамилия
Ведомость измерения расстояния между рядами лент льна
и разрывов в ленте
Марка машины ____________________________ Дата ____________________________
Место испытаний ___________________________________________________________
Средства измерений ________________________________________________________
Измерение | Расстояние между рядами лент льна, см | Измерение | Разрывы (пропуски) в ленте льна между стеблями, см |
повторность | повторность |
1 | 2 | 3 | 1 | 2 | 3 |
1 | | | | 1 | | | |
2 | | | | 2 | | | |
3 | | | | 3 | | | |
... | | | | ... | | | |
10 | | | | n | | | |
Сумма | | | | | | | |
Среднеарифметическое значение | | | | | | | |
Исполнитель _______________ __________________ __________________________
должность личная подпись инициалы, фамилия
Ведомость определения характеристики и засоренности
стеблевой массы ленты льна
Марка машины ____________________________ Дата ____________________________
Место испытаний _________________________ Опыт ____________________________
Средства измерений ________________________________________________________
Номер отрезка ленты льна | Масса стеблей с отрезка ленты льна, г | Масса сорняков с отрезка ленты льна, г | Засоренность, % | Зона расположения коробочек, см |
1 | | | | |
2 | | | | |
3 | | | | |
4 | | | | |
5 | | | | |
Сумма | | | | |
Среднеарифметическое значение | | | | |
Исполнитель _______________ __________________ __________________________
должность личная подпись инициалы, фамилия
Ведомость определения массы травостоя
Марка машины ____________________________ Дата ____________________________
Место испытаний ___________________________________________________________
Средства измерений ________________________________________________________
Учетная площадка | Масса травостоя, г |
над лентой льна | под лентой льна |
1 | | |
2 | | |
3 | | |
4 | | |
5 | | |
Сумма | | |
Среднеарифметическое значение | | |
Масса травостоя, г/м2 | | |
Исполнитель _______________ __________________ __________________________
должность личная подпись инициалы, фамилия
Ведомость определения характеристики рулона (тюка)
Марка машины ____________________________ Дата ____________________________
Место испытаний _________________________ Опыт ____________________________
Средства измерений ________________________________________________________
Измерение | Параметры рулона (тюка) |
Длина, м | Диаметр, м | Объем, м3 | Масса, кг | Плотность, кг/м3 |
1 | | | | | |
2 | | | | | |
3 | | | | | |
... | | | | | |
n | | | | | |
Сумма | | | | | |
Среднеарифметическое значение | | | | | |
Исполнитель _______________ __________________ __________________________
должность личная подпись инициалы, фамилия
Ведомость определения ширины захвата машины
Марка машины ____________________________ Дата ____________________________
Место испытаний _________________________ Опыт ____________________________
Средства измерений ________________________________________________________
Измерение | Расстояние от колышка до стеблестоя, м | Фактическая ширина захвата, м |
до прохода машины | после прохода машины |
1 | | | |
2 | | | |
3 | | | |
... | | | |
n | | | |
Сумма | | | |
Среднеарифметическое значение | | | |
Исполнитель _______________ __________________ __________________________
должность личная подпись инициалы, фамилия
Марка машины ______________________________________________________________
Место испытаний ___________________________________________________________
Дата ______________________________________________________________________
Вид потерь ________________________________________________________________
Опыт (повторность) ________________________________________________________
Потери свободными семенами, шт. ___________________________________________
С рамки, м2 _______________________________________________________________
Рамка N ___________________________________________________________________
Исполнитель _______________ ___________________ _________________________
должность личная подпись инициалы, фамилия
Ведомость определения потерь семян и стеблей
Марка машины ____________________________ Дата ____________________________
Место испытаний _________________________ Опыт ____________________________
Средства измерений ________________________________________________________
Вид потерь | Повторность | Среднеарифметическое значение | Потери, кг/га | Потери, приведенные к стандартной влажности, кг/га | Потери, приведенные к биологической урожайности, кг/га |
1 | 2 | 3 |
Номер площадки |
1 | 2 | 3 | 1 | 2 | 3 | 1 | 2 | 3 |
Потери семян под теребильным аппаратом: | | | | | | | | | | | | | |
- свободными семенами | | | | | | | | | | | | | |
штук | | | | | | | | | | | | | |
г | | | | | | | | | | | | | |
- семена из коробочек, г | | | | | | | | | | | | | |
- семена из коробочек на вытеребленных, но утерянных стеблях, г | | | | | | | | | | | | | |
- семена из коробочек на невытеребленных стеблях, г | | | | | | | | | | | | | |
Потери стеблей, г: | | | | | | | | | | | | | |
- невытеребленные | | | | | | | | | | | | | |
- вытеребленные, но утерянные | | | | | | | | | | | | | |
Потери семян подсариванием, г: | | | | | | | | | | | | | |
- потери под лентой | | | | | | | | | | | | | |
длина полога, м | | | | | | | | | | | | | |
- потери под очесывающим аппаратом, г | | | | | | | | | | | | | |
длина полога, м | | | | | | | | | | | | | |
Примечание - При испытаниях машин разного типа форму заполняют в соответствии с ТЗ (ТУ) на конкретную машину. |
Исполнитель _______________ __________________ __________________________
должность личная подпись инициалы, фамилия
Ведомость определения потерь от недоочеса
Марка машины ____________________________ Дата ____________________________
Место испытаний _________________________ Опыт ____________________________
Средства измерений ________________________________________________________
Вид потерь | Повторность | Сумма | Среднеарифметическое значение | Потери |
1 | 2 | 3 | кг/га | при стандартной влажности, кг/га | % к урожаю |
Номер снопа |
1 | 2 | 1 | 2 | 1 | 2 |
Семена из неоторванных коробочек, г | | | | | | | | | | | |
Семена из свободных коробочек, г | | | | | | | | | | | |
Свободные семена, г | | | | | | | | | | | |
Исполнитель _______________ __________________ __________________________
должность личная подпись инициалы, фамилия
Ведомость определения выхода продуктов обмолота
Марка машины ____________________________ Дата ____________________________
Место испытаний _________________________ Опыт ____________________________
Средства измерений ________________________________________________________
Наименование выхода | Масса, кг |
Повторность |
1 | 2 | 3 |
Основной выход: | | | |
- семена по потокам | | | |
Путанина | | | |
Полова | | | |
Подсев | | | |
Снопы обмолоченные <*>, шт. | | | |
Россыпь под машиной <*> (подсаривание) | | | |
Потери под столом подачи <*> | | | |
Другие выходы | | | |
Итого | | | |
<*> Определяют для льносоломы. |
Исполнитель _______________ __________________ __________________________
должность личная подпись инициалы, фамилия
Ведомость анализа навесок
Марка машины ____________________________ Дата ____________________________
Место испытаний _________________________ Опыт ____________________________
Выход ___________________________________ Масса навески ___________________
Средства измерений ________________________________________________________
Фракция навески | Навеска | Сумма | Среднеарифметическое значение | Массовая доля фракции в навеске, % | Масса фракции в выходе, кг |
1 | 2 | 3 |
Полноценные семена, г | | | | | | | |
Поврежденные, г | | | | | | | |
Дробленые, г | | | | | | | |
Семена из коробочек, г | | | | | | | |
Прочие, г | | | | | | | |
Исполнитель _______________ __________________ __________________________
должность личная подпись инициалы, фамилия
Сводная ведомость учета семян
Марка машины ____________________________ Дата ____________________________
Место испытаний _________________________ Опыт ____________________________
Средства измерений ________________________________________________________
Наименование выхода | Масса семян, кг | Сумма |
полноценных | поврежденных | дробленых | из коробочек | кг (%) |
Основной (семена) | | | | | |
Полова | | | | | |
Путанина | | | | | |
Подсаривание (россыпь) и т.д. | | | | | |
Сумма | | | | | |
Исполнитель _______________ __________________ __________________________
должность личная подпись инициалы, фамилия
Ведомость характеристики льновороха
Марка машины ________________________ Дата ________________________________
Опыт ______________________ Общая масса пробы, кг: ________________________
в т.ч. семенная часть ________________ путанинная часть ___________________
Средства измерений ________________________________________________________
Наименование показателя | Навеска, г | Среднеарифметическое значение |
1 | 2 | 3 | г (%) |
Состав навески льновороха: | | | | |
- путанина | | | | |
- семена свободные | | | | |
в том числе поврежденные и дробленые | | | | |
- прочие фракции | | | | |
Исполнитель _______________ __________________ __________________________
должность личная подпись инициалы, фамилия
Ведомость определения количественной доли развязанных
снопов и засоренности рулонов (порций)
Марка машины ____________________________ Дата ____________________________
Место испытаний _________________________ Опыт ____________________________
Средства измерений ________________________________________________________
Повторность | Число снопов, шт. | Масса земли и травы, кг |
развязанных | общее | в рулоне (тюке) | в исходной ленте |
1 | | | | |
2 | | | | |
3 | | | | |
Сумма | | | | |
Среднеарифметическое значение | | | | |
Количественная доля развязанных снопов, % | | - | - | - |
Засоренность, % | - | - | | - |
Исполнитель _______________ __________________ __________________________
должность личная подпись инициалы, фамилия
Ведомость определения массы порции и стеблей с отрезка
и размера порции
Марка машины ____________________________ Дата ____________________________
Место испытаний _________________________ Опыт ____________________________
Средства измерений ________________________________________________________
Номер порции | Масса, кг | Размер порции, м |
стеблей с отрезка | порции | длина | ширина |
1 | | | | |
2 | | | | |
3 | | | | |
4 | | | | |
5 | | | | |
Сумма | | | | |
Среднеарифметическое значение | | | | |
Исполнитель _______________ __________________ __________________________
должность личная подпись инициалы, фамилия
Ведомость определения качества работы погрузчиков
рулонов (тюков)
Марка машины ______________________________________________________________
Место испытаний ___________________________________________________________
Дата __________________________________ Скорость, м/с _____________________
Учетная делянка | Число рулонов (тюков) | Масса рулонов (тюков) | Расстояние от поверхности земли до нижней части рулона (тюка), см |
разрушенных в процессе работы | деформированных | утерянных | всего за опыт | разрушенных в процессе работы | деформированных | утерянных | всего за опыт |
шт. (%) | шт. (%) | шт. (%) | шт. (%) | кг (%) | кг (%) | кг (%) | кг (%) |
1 | | | | | | | | | |
2 | | | | | | | | | |
3 | | | | | | | | | |
Сумма | | | | | | | | | |
Среднеарифметическое значение | | | | | | | | | |
Исполнитель _______________ __________________ __________________________
должность личная подпись инициалы, фамилия
Ведомость определения повреждений стеблей
Марка машины ____________________________ Дата ____________________________
Место испытаний _________________________ Опыт ____________________________
Повторность | Проба | Число стеблей в пробе, шт. | Повреждение стебля по видам, шт. | Всего поврежденных стеблей, шт. |
открытый излом стебля с разрывом волокна | обрыв технической длины стебля |
1 | 1 | | | | |
2 | | | | |
2 | 1 | | | | |
2 | | | | |
3 | 1 | | | | |
2 | | | | |
... | ... | | | | |
... | | | | |
n | 1 | | | | |
2 | | | | |
Сумма | | | | | |
Количественная доля по видам повреждений, % | | | | | |
Исполнитель _______________ __________________ __________________________
должность личная подпись инициалы, фамилия
(рекомендуемое)
СРЕДСТВ ИЗМЕРЕНИЙ И ОБОРУДОВАНИЯ, ПРИМЕНЯЕМЫХ
ПРИ ОПРЕДЕЛЕНИИ ПОКАЗАТЕЛЕЙ АГРОТЕХНИЧЕСКОЙ ОЦЕНКИ
Сушильный шкаф с погрешностью измерения +/- 1 °C.
Рулетка 3, 10, 20 м с погрешностью измерения +/- 1 мм по
ГОСТ 7502.
Линейка металлическая с погрешностью измерений +/- 1 мм по
ГОСТ 427.
Прибор для характеристики ленты с погрешностью измерения +/- 1°.
Секундомер с погрешностью измерения +/- 1 с.
Твердомер с погрешностью измерения +/- 5%.
Весы с погрешностью измерений: +/- 10 мг, +/- 20 мг, +/- 20 г, +/- 40 г по
ГОСТ 24104.
| Технический регламент Таможенного союза | О безопасности машин и оборудования (утвержден Решением Комиссии Таможенного союза от 18 октября 2011 г. N 823) |