Главная // Актуальные документы // Ведомость (форма)СПРАВКА
Источник публикации
М.: Стандартинформ, 2016
Примечание к документу
Отдельные положения данного документа включены в
Перечень международных и региональных (межгосударственных) стандартов, а в случае их отсутствия - национальных (государственных) стандартов, содержащих правила и методы исследований (испытаний) и измерений, в том числе правила отбора образцов, необходимые для применения и исполнения требований технического
регламента Таможенного союза "О безопасности машин и оборудования" (ТР ТС 010/2011) и осуществления оценки соответствия объектов технического регулирования (
Решение Коллегии Евразийской экономической комиссии от 09.03.2021 N 28).
Документ
введен в действие с 01.07.2017.
Название документа
"ГОСТ 33677-2015. Межгосударственный стандарт. Машины и орудия для междурядной и рядной обработки почвы. Методы испытаний"
(введен в действие Приказом Росстандарта от 12.07.2016 N 827-ст)
"ГОСТ 33677-2015. Межгосударственный стандарт. Машины и орудия для междурядной и рядной обработки почвы. Методы испытаний"
(введен в действие Приказом Росстандарта от 12.07.2016 N 827-ст)
агентства по техническому
регулированию и метрологии
от 12 июля 2016 г. N 827-ст
МЕЖГОСУДАРСТВЕННЫЙ СТАНДАРТ
МАШИНЫ И ОРУДИЯ ДЛЯ МЕЖДУРЯДНОЙ И РЯДНОЙ ОБРАБОТКИ ПОЧВЫ
МЕТОДЫ ИСПЫТАНИЙ
Machines and instruments for inter-row and row tillage.
Test methods
ГОСТ 33677-2015
ОКПД 28.30.32
Дата введения
1 июля 2017 года
Цели, основные принципы и основной порядок проведения работ по межгосударственной стандартизации установлены
ГОСТ 1.0-92 "Межгосударственная система стандартизации. Основные положения" и
ГОСТ 1.2-2009 "Межгосударственная система стандартизации. Стандарты межгосударственные, правила и рекомендации по межгосударственной стандартизации. Правила разработки, принятия, применения, обновления и отмены"
1 РАЗРАБОТАН Новокубанским филиалом Федерального государственного бюджетного научного учреждения "Российский научно-исследовательский институт информации и технико-экономических исследований по инженерно-техническому обеспечению агропромышленного комплекса" (КубНИИТиМ)
2 ВНЕСЕН Федеральным агентством по техническому регулированию и метрологии (Росстандарт)
3 ПРИНЯТ Межгосударственным советом по стандартизации, метрологии и сертификации (протокол от 12 ноября 2015 г. N 82-П)
За принятие проголосовали:
Краткое наименование страны по МК (ISO 3166) 004-97 | Код страны по МК (ISO 3166) 004-97 | Сокращенное наименование национального органа по стандартизации |
Армения | AM | Минэкономики Республики Армения |
Беларусь | BY | Госстандарт Республики Беларусь |
Казахстан | KZ | Госстандарт Республики Казахстан |
Киргизия | KG | Кыргызстандарт |
Россия | RU | Росстандарт |
Таджикистан | TJ | Таджикстандарт |
4
Приказом Федерального агентства по техническому регулированию и метрологии от 12 июля 2016 г. N 827-ст межгосударственный стандарт ГОСТ 33677-2015 введен в действие в качестве национального стандарта Российской Федерации с 1 июля 2017 г.
5 ВВЕДЕН ВПЕРВЫЕ
Информация об изменениях к настоящему стандарту публикуется в ежегодном информационном указателе "Национальные стандарты" (по состоянию на 1 января текущего года), а текст изменений и поправок - в ежемесячном информационном указателе "Национальные стандарты". В случае пересмотра (замены) или отмены настоящего стандарта соответствующее уведомление будет опубликовано в ежемесячном информационном указателе "Национальные стандарты". Соответствующая информация, уведомление и тексты размещаются также в информационной системе общего пользования - на официальном сайте Федерального агентства по техническому регулированию и метрологии в сети Интернет (www.gost.ru)
Настоящий стандарт распространяется на следующие машины и орудия для междурядной и рядной обработки почвы (далее - машины):
- культиваторы с пассивными и активными рабочими органами;
- культиваторы-растениепитатели и сменные рабочие органы к ним;
- окучники;
- бороны прополочные, бороздорезы;
- приспособления подкормочные;
- прореживатели всходов, прореживатели вдольрядные (механические и электронные);
- ботвоотводы.
Настоящий стандарт устанавливает методы испытаний вышеперечисленных типов машин.
В настоящем стандарте использованы нормативные ссылки на следующие межгосударственные стандарты:
ГОСТ 12.2.002-91 Система стандартов безопасности труда. Техника сельскохозяйственная. Методы оценки безопасности
ГОСТ 12.2.111-85 Система стандартов безопасности труда. Машины сельскохозяйственные навесные и прицепные. Общие требования безопасности <*>
--------------------------------
<*> На территории Российской Федерации действует
ГОСТ Р 53489-2009 "Система стандартов безопасности труда. Машины сельскохозяйственные навесные и прицепные. Общие требования безопасности".
ГОСТ 15.001-88 Система разработки и постановки продукции на производство. Продукция производственно-технического назначения <**>
--------------------------------
<**> На территории Российской Федерации действует
ГОСТ Р 15.201-2000 "Система разработки и постановки продукции на производство. Продукция производственно-технического назначения. Порядок разработки и постановки продукции на производство".
ГОСТ 27.002-89 Надежность в технике. Основные понятия. Термины и определения
ГОСТ 427-75 Линейки измерительные металлические. Технические условия
ГОСТ 7502-98 Рулетки измерительные металлические. Технические условия
ГОСТ 16504-81 Система государственных испытаний продукции. Испытания и контроль качества продукции. Основные термины и определения
ГОСТ 20915-2011 Испытания сельскохозяйственной техники. Методы определения условий испытаний
ГОСТ 21623-76 Система технического обслуживания и ремонта техники. Показатели для оценки ремонтопригодности. Термины и определения
ГОСТ 23932-90 Посуда и оборудование лабораторные стеклянные. Общие технические условия
ГОСТ 24055 Техника сельскохозяйственная. Методы эксплуатационно-технологической оценки (стандарт находится на утверждении)
--------------------------------
<*> На территории Российской Федерации действует
ГОСТ Р 53228-2008 "Весы неавтоматического действия. Часть 1. Метрологические и технические требования. Испытания".
ГОСТ 26025-83 Машины и тракторы сельскохозяйственные и лесные. Методы измерения конструктивных параметров
ГОСТ 26026-83 Машины и тракторы сельскохозяйственные и лесные. Методы оценки приспособленности к техническому обслуживанию
ГОСТ 27388-87 Эксплуатационные документы сельскохозяйственной техники
ГОСТ 28305-89 Машины и тракторы сельскохозяйственные и лесные. Правила приемки на испытания <**>
--------------------------------
<**> На территории Российской Федерации действует
ГОСТ Р 54783-2011 "Испытания сельскохозяйственной техники. Основные положения".
ГОСТ 28714-2007 Машины для внесения твердых минеральных удобрений. Методы испытаний
ГОСТ 29329-92 Весы для статического взвешивания. Общие технические требования
<*>
| | ИС МЕГАНОРМ: примечание. Взамен ГОСТ 31345-2007 Приказом Росстандарта от 19.10.2018 N 815-ст с 01.06.2019 введен в действие ГОСТ 31345-2017. | |
ГОСТ 31345-2007 Сеялки тракторные. Методы испытаний
ГОСТ ЕН 708-2004 Машины сельскохозяйственные. Машины почвообрабатывающие с механизированными рабочими органами. Требования безопасности
Примечание - При пользовании настоящим стандартом целесообразно проверить действие ссылочных стандартов в информационной системе общего пользования - на официальном сайте Федерального агентства по техническому регулированию и метрологии в сети Интернет или по ежегодному информационному указателю "Национальные стандарты", который опубликован по состоянию на 1 января текущего года, и по выпускам ежемесячного информационного указателя "Национальные стандарты" за текущий год. Если ссылочный стандарт заменен (изменен), то при пользовании настоящим стандартом следует руководствоваться заменяющим (измененным) стандартом. Если ссылочный стандарт отменен без замены, то положение, в котором дана ссылка на него, применяется в части, не затрагивающей эту ссылку.
3.1 стыковое междурядье: Расстояние между центрами двух смежных крайних рядов, полос, лент сельскохозяйственных культур, каждый из которых образован за один проход машины.
3.2 основное междурядье: Расстояние между центрами двух рядов, полос, крайних рядов лент сельскохозяйственных культур одного прохода машины.
3.3 обработка почвы рядная: Обработка почвы в рядке с помощью прореживателей всходов, прополочных боронок.
3.4 твердость почвы: Свойство почвы сопротивляться сжатию и расклиниванию.
3.5 гребнистость поверхности почвы: Высота гребней после обработки.
3.6 глубина борозды: Расстояние в вертикальной плоскости от дна борозды до поверхности поля с учетом вспушенности краев борозды.
3.7 ширина борозды: Расстояние между двумя противоположными точками борозды на уровне необработанной поверхности.
3.8 доза удобрения: Масса удобрения, вносимого под сельскохозяйственную культуру на единицу площади за один прием.
3.9 густота насаждения: Число растений на одном квадратном или на одном метре длины ряда.
3.10 эрозионно опасные частицы: Агрегаты (частицы почвы) размером менее 1 мм.
3.11 прореживание: Удаление излишних культурных растений.
3.12 бесструктурная почва: Почва, у которой отдельные механические элементы (песчинки, пылевидные и илистые частицы) не связаны между собой и находятся в сыпучем состоянии.
4.2 Порядок предоставления машины на испытания, оформление результатов приемки - в соответствии с ГОСТ 28305, а также в соответствии со стандартами, действующими в государствах - участниках соглашения.
Эксплуатационные документы, представляемые с машиной, должны соответствовать ГОСТ 27388.
4.3 Машину представляют на испытания не позднее чем за 15 дней до наступления агротехнического срока.
Типовая программа испытаний машины включает следующие виды оценок:
- оценка технических параметров;
- агротехническая;
- энергетическая;
- безопасности и эргономичности конструкции;
- надежности;
- эксплуатационно-технологическая;
- экономическая.
4.4 Оценку безопасности и эргономичности конструкции машины проводят при приемочных испытаниях. При других видах испытаний (периодических, квалификационных) оценку безопасности и эргономичности не проводят. Машина, поступающая на испытания, должна иметь сертификат соответствия, выданный аккредитованным органом по сертификации.
4.5 Сравнительные испытания машин проводят в сопоставимых условиях.
4.6 Применяемые средства измерений должны быть поверены до начала испытаний в соответствии с действующими в стране правилами.
4.7 Нестандартные и единичные средства измерений, испытательное оборудование подлежат аттестации, проводимой в установленном порядке.
5 Подготовка к испытаниям
5.1 Перед началом испытаний на основании типовой программы испытаний составляют рабочую программу - методику испытаний, в которой указывают с учетом требований заказчика и особенностей конкретного образца перечень видов оценок и определяемых показателей по каждому виду оценки, режимы, условия, место испытаний, наименования средств измерений и оборудования, применяемых при испытании, фактические значения по которым в процессе испытаний записывают в рабочие формы испытаний.
5.2 При подготовке машины к испытаниям необходимо соблюдать следующие требования:
- машина должна отвечать требованиям безопасности (при всех видах испытаний должен быть составлен и утвержден акт предварительной оценки безопасности);
- до начала испытаний машина должна быть обкатана и отрегулирована в соответствии с руководством по эксплуатации.
5.3 Параметры, характеризующие условия работы машины при испытаниях, должны быть в пределах, соответствующих техническому заданию (ТЗ), техническим условиям (ТУ) на испытуемую машину.
5.4 Перед проведением испытаний проводят обучение персонала по вопросам устройства и безопасной эксплуатации машины.
6 Методы оценки технических параметров
6.1 Оценку технических параметров проводят по стандартам, действующим в государствах - участниках соглашения.
6.2 Определение габаритных размеров машины, массы, ширины захвата, минимальных радиусов поворота проводят по ГОСТ 26025.
6.3 Перечень технических параметров, характеризующих конструкцию машин, приведен в
форме А.1 приложения А.
7 Методы агротехнической оценки
7.1 Номенклатура определяемых показателей
Показатели условий испытаний и качества выполнения технологического процесса, определяемые при агротехнической и эксплуатационно-технологической оценках машин, приведены в
формах А.2 -
А.12 приложения А.
7.2 Требования к фонам и условиям испытаний
7.2.1 Лабораторно-полевые испытания машин проводят в оптимальные установленные для зоны агротехнические сроки на прореживании, рыхлении, окучивании и подкормке пропашных культур, имеющих характеристику, соответствующую ТЗ (ТУ) на разработку испытуемой машины.
При отсутствии в зоне требуемого фона испытания проводят в реально сложившихся условиях по согласованию с заказчиком.
7.2.2 Испытания проводят на основных культурах, возделываемых в данной зоне.
7.2.3 Испытания культиваторов и приспособлений к ним для обработки пропашных культур проводят на основных видах работ, предусмотренных руководством по эксплуатации.
Испытания окучников проводят на первом и последующем окучиваниях.
Испытания прореживателей проводят на двух фонах с различной густотой насаждений, отличающихся не менее чем на 20%.
7.2.4 Для проведения испытаний должен быть подобран типичный для почвенно-климатической зоны участок, соответствующий требованиям ТЗ (ТУ), размеры которого обеспечивают возможность проведения испытаний на всех запланированных режимах работы.
7.3 Определение показателей условий испытаний
7.3.1 Определение характеристики участка
7.3.1.1 Показатели условий испытаний определяют на участке, отведенном для определения показателей качества выполнения технологического процесса машиной.
7.3.1.2 Тип почвы, название по механическому составу, рельеф, микрорельеф, влажность и твердость почвы в слоях на глубину хода рабочих органов с интервалом 5 см определяют по
ГОСТ 20915.
7.3.1.3 Засоренность участка сорными растениями определяют на учетных площадках длиной 0,5 м, шириной, равной ширине захвата машины.
Для каждого режима закладывают четыре учетные площадки (две - по ходу машины, две - обратно).
Учетные площадки фиксируют колышками, которые сохраняют до конца проведения опытов для определения на них числа уничтоженных сорных растений после прохода испытуемой машины.
В пределах каждой учетной площадки до прохода испытуемой машины подсчитывают число сорных растений.
При учете сорных растений, у которых трудно выделить отдельные особи (корневищные сорные растения), подсчитывают число побегов. Результаты записывают в
форму Б.1 приложения Б. При обработке результатов вычисляют среднее арифметическое значение сорных растений в штуках на один квадратный метр. Вычисления проводят с округлением до целого числа.
Допускается площадки для определения засоренности участка располагать в пределах площадок, выделенных для учета густоты растений (кустов) при определении характеристики культуры.
7.3.1.4 Засоренность участка камнями определяют на пяти учетных площадках размером 1 x 1 м, равномерно расположенных по диагонали участка. В пределах учетных площадок перекапывают почву на глубину обработки, собирают и подсчитывают все камни, размер которых по наибольшему поперечнику более 50 мм.
Собранные камни взвешивают с погрешностью +/- 50 г.
Результаты записывают в
форму Б.2 приложения Б и вычисляют средние арифметические значения числа и массы камней на один квадратный метр и на одном гектаре. Вычисления проводят с округлением числа камней до целого числа, массы - до первого десятичного знака.
7.3.1.5 Характеристика участка, предназначенного для испытаний культиваторов, осуществляющих обработку на грядах (гребнях) и бороздах, должна включать глубину борозды, ширину борозды по верху, высоту гряды (гребня), ширину гряды (гребня), расстояние между осями борозд, угол откоса.
По каждому показателю измерения проводят в 15 точках, равномерно расположенных по ходу машины, в четырехкратной повторности по диагонали участка.
Глубину борозды определяют измерением расстояния от центра основания борозды до нижней плоскости рейки, уложенной на вершины двух смежных гребней.
Ширину борозды по верху определяют измерением расстояния по верхним точкам откоса борозды двух смежных гребней.
Высоту гряды (гребня) определяют измерением расстояния от центра основания борозды до нижней плоскости рейки, уложенной на две смежные гряды (гребни).
Ширину гряды (гребня) по верху определяют измерением расстояния между наружными точками полотна гряды (гребня).
Для определения расстояния между осями борозд (гряд, гребней) по центру двух смежных борозд натягивают шнуры длиной не менее 25 м и измеряют расстояние между ними.
Глубину борозды, высоту гряды (гребня) измеряют рейкой, ширину борозды, гряды (гребня), а также расстояние между осями борозд - рейкой или рулеткой. Погрешность измерения - +/- 1 см.
Угол откоса измеряют угломером в нижней точке откоса борозды, гряды (гребня). Погрешность измерения - +/- 1°.
Результаты измерений записывают в
форму Б.3 приложения Б и вычисляют среднее арифметическое значение по каждому показателю. Вычисления проводят с округлением до целого числа.
7.3.1.6 Содержание эрозионно опасных частиц почвы в слое 0 - 5 см определяют согласно
7.5.5.
7.3.2 Определение характеристики культуры
7.3.2.1 Культуру, сорт, схему посева (посадки) берут из данных хозяйства.
7.3.2.2 Высоту растений (кустов) и ширину кроны определяют на пяти учетных площадках, равномерно расположенных по диагонали участка. Длина площадки - 10 м, ширина равна ширине трех рядов. Измерения проводят на каждом ряду площадки с интервалом 1 м по длине ряда. Число измерений - не менее 20 на каждой площадке.
Измерения высоты растений (кустов) проводят от поверхности почвы до высшей точки растений (кустов) в естественном состоянии.
Измерения ширины кроны проводят в месте наибольшей раскидистости ее по ширине ряда.
Погрешность измерений - +/- 1 см. Результаты измерений записывают в
форму Б.4 приложения Б и вычисляют среднее арифметическое значение по каждому показателю. Вычисления проводят с округлением до целого числа.
7.3.2.3 Ширину междурядий, отклонение растений от осевой линии ряда определяют в трехкратной повторности на площадках, равномерно расположенных по диагонали участка. Для проведения измерений по центру междурядья натягивают шнур длиной 25 м. Рейкой или рулеткой измеряют расстояние от шнура до центров растений, расположенных напротив в двух смежных рядах. Измерения проводят в трех междурядьях, одно из них стыковое, в 10 точках каждого междурядья. Погрешность измерения - +/- 1 см. Результаты измерений записывают в
форму Б.5 приложения Б. По разности между средним расстоянием от растений до шнура и каждым отдельным измерением расстояния определяют отклонение растений от осевой линии ряда.
Сумма средних значений расстояний, измеренных по обе стороны от шнура, составит среднее значение ширины междурядья.
В результате обработки данных вычисляют отклонение растений от осевой линии ряда и количественную долю растений с отклонением, превышающим требования ТЗ (ТУ), среднее арифметическое значение ширины основных и стыковых междурядий.
Вычисления проводят с округлением до целого числа.
7.3.2.4 Распределение растений в ряду определяют измерением интервалов между центрами этих растений на площадках длиной 5 м, шириной, равной ширине захвата машины. Измерения проводят нарастающим итогом (первое растение, от которого ведут измерение, принимают за ноль).
Для каждого режима закладывают четыре площадки (две - по ходу машины, две - обратно).
Выбранные площадки фиксируют колышками, которые сохраняют до конца проведения опытов для определения на них распределения растений в ряду после прохода испытуемой машины.
Измерения интервалов проводят на каждом ряду, для широкозахватных машин - через ряд. Учетные ряды по ходу машины располагают ступенчато. Интервалы измеряют с погрешностью +/- 1 см. Результаты записывают в
форму Б.6 приложения Б и вычисляют среднее арифметическое значение интервала между растениями, стандартное отклонение, коэффициент вариации и количественную долю случаев с интервалами, соответствующих ТЗ (ТУ). Вычисления проводят с округлением до целого числа.
7.3.2.5 Распределение плетей относительно оси ряда у бахчевых культур определяют на четырех площадках длиной 15 м, шириной три ряда, равномерно расположенных по диагонали участка. На каждом ряду по его ширине измеряют длину плетей у 10 растений.
Измерения проводят с погрешностью +/- 1 см. Результаты измерений записывают в
форму Б.7 приложения Б.
При испытаниях машин на прополке бахчевых культур в рядах вычисляют среднее арифметическое значение длины плетей по ширине ряда и количественную долю плетей, выходящих за ширину полосы +/- 50 см относительно оси ряда, от общего количества измеренных плетей.
При испытаниях машин на рыхлении междурядий и укладке плетей бахчевых культур в сторону к оси ряда вычисляют среднее арифметическое значение длины плетей и количественную долю плетей, переросших за линию обработки (при их укладке) на расстояние свыше 40 см, от общего количества измеренных плетей.
Вычисления среднего арифметического значения длины плетей проводят с округлением до целого числа, количественную долю плетей, выходящих за ширину полосы +/- 50 см (переросших за линию обработки на расстояние свыше 40 см), - с округлением до первого десятичного знака. Результаты записывают в
форму Б.7 приложения Б.
| | ИС МЕГАНОРМ: примечание. Взамен ГОСТ 31345-2007 Приказом Росстандарта от 19.10.2018 N 815-ст с 01.06.2019 введен в действие ГОСТ 31345-2017. | |
7.3.2.6 Густоту растений (кустов) определяют на площадках длиной 5 - 10 м (в зависимости от культуры), шириной, равной ширине захвата машины. Для загущенных посевов - 2,5 м. Конкретную длину площадки в зависимости от обрабатываемой культуры принимают в соответствии с ГОСТ 31345 (приложение Д).
Для каждого режима закладывают четыре площадки. Выбранные площадки фиксируют колышками, которые сохраняют до конца проведения опытов для определения на них числа поврежденных растений после прохода испытуемой машины.
В пределах каждой площадки до прохода испытуемой машины определяют число растений (кустов) по каждому ряду. Результаты записывают в
форму Б.8 приложения Б.
Густоту растений при испытаниях прореживателей и орудий для сплошной обработки всходов определяют по данным распределения растений в ряду по
7.3.2.4.
7.3.2.7 Характеристику удобрений (вид, влажность удобрений, объемную массу и гранулометрический состав гранулированных удобрений) определяют при испытаниях культиваторов-растениепитателей по
ГОСТ 28714.
7.3.2.8 Показатели условий испытаний после обработки записывают в
формы А.2 -
А.4 приложения А.
7.4 Требования к режимам испытаний
7.4.1 До начала испытаний машина должна быть обкатана и отрегулирована согласно руководству по эксплуатации.
Подбор скорости движения и регулировки рабочих органов проводят в промежутках между учетными делянками. Учетную делянку испытуемая машина должна проходить на постоянной скорости с установившимся качеством работы.
7.4.2 Показатели качества выполнения технологического процесса машиной определяют на двух поступательных скоростях движения: на рабочей и повышенной, отличающейся от рабочей не более чем на 30%. При подборе скоростей исходят из требований ТЗ (ТУ). Если на рабочей скорости машина, орудие не работоспособны или некачественно выполняют технологический процесс, то на повышенной скорости испытания не проводят. При этом рабочая скорость движения машины не должна превышать максимальную рабочую скорость, указанную в ТЗ (ТУ).
При сравнительных испытаниях машин, режимы которых по скорости не совпадают, качество работы каждой должно быть определено на ее оптимальном режиме.
7.5 Определение показателей качества выполнения технологического процесса
7.5.1 Оценку качества выполнения технологического процесса машиной проводят на делянках длиной 25 - 50 м (в зависимости от культуры), шириной, равной ширине захвата машины.
Делянки выбирают с таким условием, чтобы в них вошли фиксированные площадки по определению условий испытаний - засоренности участка, характеристики гряд, гребней, борозд, распределения и густоты растений в соответствии с
7.3.1.3,
7.3.1.4,
7.3.1.5,
7.3.2.4,
7.3.2.6.
Число учетных делянок на каждом режиме должно быть не менее четырех (две - по ходу машины, две - обратно).
7.5.2 На учетных делянках машина должна двигаться без остановки. Во время учетного прохода секундомером измеряют время, за которое машина проходит учетную делянку, отмеченную вешками. Погрешность измерения времени не должна превышать +/- 1 с.
Скорость движения машины v, м/с, вычисляют по формуле:

, (1)
где L - длина учетной делянки, м;
t - время прохождения делянки, с.
Результаты записывают в журнал испытаний.
7.5.3 Глубину обработки почвы измеряют линейкой (щупом), погружая ее в почву до необработанного слоя. Измерения проводят по каждому рабочему органу с равномерным интервалом по ходу движения машины. Общее число измерений на каждой учетной делянке должно быть не менее 50.
За рабочими органами, образующими гребнистую поверхность, проводят парные измерения глубины обработки - на гребне и в борозде с последующим вычислением среднего арифметического значения из парных измерений.
Погрешность измерения - +/- 1 см. Результаты измерений записывают в
форму Б.9 приложения Б и обрабатывают с получением среднего арифметического значения, стандартного отклонения и коэффициента вариации глубины обработки. Среднее арифметическое значение глубины, стандартное отклонение вычисляют с округлением до первого десятичного знака, коэффициент вариации - до целого числа.
7.5.3.1 Глубину обработки почвы при испытаниях борон (машин для сплошной обработки всходов) определяют путем измерения расстояния от основания зуба бороны до линии погружения его в почву. Для этого на каждой учетной делянке при остановках машины на участке с ровным микрорельефом мелом отмечают границу погружения в почву десяти зубьев переднего, среднего и заднего рядов бороны. Затем агрегат выглубляют из почвы и проводят измерения с погрешностью +/- 0,5 см. Результаты измерений записывают в
форму Б.10 приложения Б.
Данные измерений обрабатывают с получением среднего арифметического значения, стандартного отклонения и коэффициента вариации. Вычисления проводят с округлением согласно 7.5.3.
7.5.3.2 Глубину борозды, ширину борозды по верху, высоту гряды (гребня), ширину гряды (гребня) по верху, расстояние между осями борозд, угол откоса определяют на каждой учетной делянке в 15 точках, равномерно расположенных по ходу машины, в трех смежных бороздах, грядах (гребнях). Измерения показателей проводят методами согласно
7.3.1.5.
7.5.4 Крошение почвы определяют при сравнительных испытаниях новых типов рабочих органов машины. Пробы отбирают на каждой учетной делянке в зонах обработки не ранее 1 ч после прохода машины. Размер учетной площадки для отбора пробы 0,25 м
2 на глубину обработки. Отобранные пробы разделяют при помощи комплекта решет на фракции согласно ТЗ (ТУ) на испытуемую машину. Решета в комплекте располагают в порядке уменьшения отверстий. При анализе проб в первую очередь с верхнего решета выбирают вручную крупные комки, а затем почву просеивают на наборе решет с диаметром отверстий, соответствующих размеру фракций. Осторожными колебаниями решет, чтобы не разрушить комки, приподнимают поочередно противоположные стороны решет, чтобы добиться распределения фракций почвы на соответствующие решета. Каждую фракцию почвы взвешивают с погрешностью +/- 40 г. Результаты взвешивания записывают в
форму Б.11 приложения Б. Массовую долю
i-фракции комков почвы

, %, вычисляют по формуле:

, (2)
где mi - масса i-фракции комков почвы в пробе, кг;
m - общая масса пробы, кг.
Вычисления проводят с округлением до первого десятичного знака.
На легких по механическому составу почвах пробы на соответствующие фракции разделяют вручную.
На песчаных и супесчаных почвах крошение почвы не определяют.
7.5.5 Содержание эрозионно опасных частиц почвы (размером до 1 мм) в слое 0 - 5 см определяют до и после прохода машины с активными рабочими органами. Измерения проводят на трех проходах машины.
На каждом проходе отбирают с помощью совка две пробы почвы массой не менее 2,5 кг. Пробы доводят в лабораторных условиях до воздушно-сухого состояния и просеивают через решето диаметром 1 мм. Массу фракции (проход решета диаметром 1 мм) взвешивают с погрешностью +/- 10 г. Результаты взвешивания записывают в
форму Б.12 приложения Б и вычисляют массовую долю эрозионно опасных частиц почвы П
э, %, по формуле:

, (3)
где mэ - масса фракции (проход решета диаметром 1 мм), кг;
m' - общая масса пробы, кг.
Изменение (увеличение, уменьшение) содержания эрозионно опасных частиц почвы в слое 0 - 5 см определяют по разности их содержания в пробе до и после прохода машины. На бесструктурных почвах этот показатель не определяют.
7.5.6 Уничтожение (подрезание) сорных растений определяют по числу не подрезанных их в зоне обработки.
Учет сорных растений, оставшихся после обработки, проводят на тех же учетных площадках, на которых определялась засоренность участка согласно
7.3.1.3. Учет проводят в конце опытов после увядания подрезанных сорных растений.
Результаты учета записывают в
форму Б.1 приложения Б.
При обработке полученных данных вычисляют среднее арифметическое значение числа сорных растений на учетной площадке до прохода машины и оставшихся в зоне обработки после прохода машины.
По разнице их до и после прохода машины определяют число подрезанных сорных растений в штуках. Количественную долю уничтоженных (подрезанных) сорных растений Cу, %, вычисляют по формуле:

, (4)
где nд - число сорных растений на учетной площадке до прохода машины, шт.;
nп - число сорных растений, оставшихся в зоне обработки после прохода машины, шт.
Вычисление среднего арифметического значения числа сорных растений проводят с округлением до целого числа, количественной доли уничтоженных сорных растений - до первого десятичного знака.
7.5.6.1 При испытаниях машин и приспособлений к ним для одновременной обработки междурядья и защитных зон учитывают отдельно:
- число сорных растений в зоне обработки междурядья до прохода машины;
- число сорных растений в защитной зоне до прохода машины;
- число неподрезанных сорных растений в зоне обработки междурядья после прохода машины;
- число неподрезанных сорных растений в защитной зоне после прохода машины.
7.5.6.2 При испытаниях окучников учитывают число сорных растений в защитной зоне до прохода машины и через три дня после прохода. Количественную долю погибших сорных растений в защитной зоне вычисляют по
формуле (4).
7.5.7 Повреждение культурных растений определяют путем учета повреждений, нанесенных растениям рабочими органами машины.
Повреждения растений определяют после прохода машины путем осмотра растений (кустов) на учетных площадках, на которых определялась густота растений до прохода машины по
7.3.2.6.
При испытаниях прореживателей повреждения растений, оставшихся после прореживания, определяют на площадках, на которых определялось распределение растений по
7.3.2.4.
Виды повреждений классифицируют в соответствии с ТЗ (ТУ) на испытуемую машину.
К повреждениям растений относят:
- полностью подрезанные растения;
- частично подрезанные растения;
- полностью присыпанные (засыпана точка роста);
- частично присыпанные (присыпано свыше половины растения, но точка роста не засыпана);
- с обнаженными корнями (полностью обнажен главный корень).
При испытаниях ботвоотводов к поврежденным растениям относят:
- растения (кусты) со сломанными стеблями;
- растения (кусты) с оборванными листьями, черешками, листовой пластинкой;
- растения (кусты) примятые частично или полностью.
При учете растений (кустов) с оборванными листьями поврежденными считают растения (кусты), если оборвано пять и более листьев.
Результаты учета повреждений записывают в
форму Б.8 приложения Б и вычисляют количественную долю поврежденных культурных растений всего, в том числе по видам повреждений согласно ТЗ (ТУ) на испытуемую машину от общего числа культурных растений на учетной площадке до прохода машины. Вычисления проводят с округлением до первого десятичного знака.
7.5.8 Фактическую величину защитной зоны ряда определяют на каждой учетной делянке путем измерения ширины невзрыхленной почвы. Измерения проводят в 10 точках по ходу машины с обеих сторон осевой линии каждого ряда, обработанного машиной за один проход. Для окучников измерения проводят до бороздового обреза рабочего органа.
Погрешность измерения - +/- 1 см. Результаты измерений записывают в
форму Б.13 приложения Б и вычисляют среднее арифметическое значение с округлением до целого числа.
7.5.9 Высоту гребней после окучивания определяют путем измерения расстояния от центра основания борозды до нижней плоскости рейки, уложенной на вершины смежных гребней. Измерения проводят с погрешностью +/- 1 см. Число измерений не менее 30 на каждой учетной делянке. Результаты измерений записывают в
форму Б.14 приложения Б и вычисляют среднее арифметическое значение, стандартное отклонение и коэффициент вариации с округлением до целого числа.
7.5.10 Гребнистость дна обработанного междурядья определяют по высоте гребней между смежными следами рабочих органов машины. Измерения проводят в пяти точках по ходу машины с интервалом 0,5 м. Для определения высоты гребней в центре каждого междурядья по ширине захвата машины снимают взрыхленный слой почвы. На поверхность ненарушенных гребней по ширине рядов накладывают рейку и измеряют расстояние от дна борозды междурядья до нижней плоскости рейки.
Погрешность измерений - +/- 1 см. Результаты измерений записывают в
форму Б.15 приложения Б и вычисляют среднее арифметическое значение высоты гребня с округлением до целого числа.
7.5.11 Распределение растений в ряду после прохода агрегата при испытаниях прореживателя определяют на тех же площадках, что и до прохода по
7.3.2.4. Результаты измерений записывают в
форму Б.6 приложения Б и вычисляют среднее арифметическое значение, стандартное отклонение, коэффициент вариации и количественную долю случаев с интервалом между растениями, соответствующих ТЗ (ТУ), от общего числа интервалов на учетной площадке. Вычисления проводят с округлением до первого десятичного знака.
7.5.12 Прореживание (удаление) излишних культурных растений Кпр, %, определяют по данным распределения растений в ряду до и после прореживания и вычисляют по формуле:

, (5)
где

- средний интервал между растениями до прореживания, см;

- средний интервал между растениями после прореживания, см.
7.5.13 Дозу внесения, неравномерность высева и глубину заделки удобрений определяют по
ГОСТ 28714.
7.5.14 Залипание почвой и забивание пожнивными и растительными остатками рабочих органов машины определяют при условии нарушения выполнения технологического процесса при эксплуатационно-технологической оценке.
7.5.14.1 Степень залипания почвой рабочих органов и забивания пожнивными и растительными остатками определяют визуально. Различают три степени залипания (забивания) рабочих органов:
- частичное, когда налипшая почва и забивание пожнивными и растительными остатками занимают до 40% от общей поверхности рабочего органа;
- среднее залипание (забивание) - свыше 40 до 60%;
- полное залипание (забивание) - свыше 60%.
Учитывают забивание и залипание в том случае, если пожнивные и растительные остатки после стряхивания почвы устойчиво удерживаются на поверхности рабочих органов. Результаты записывают в
форму Б.16 приложения Б.
7.5.14.2 Характер залипания почвой и забивания пожнивными и растительными остатками фотографируют.
7.5.15 Показатели качества выполнения технологического процесса после обработки записывают в
формы А.5 -
А.12 приложения А.
7.5.16 Агротехнические показатели оценивают сопоставлением с данными ТЗ (ТУ), а также с результатами испытаний машины-аналога.
7.6 Средства измерений и оборудование, применяемые при определении показателей агротехнической оценки
Перечень средств измерений и оборудования, применяемых при определении показателей агротехнической оценки, приведен в приложении В.
8 Методы энергетической оценки
8.1 Энергетическую оценку машин проводят в соответствии со стандартами, действующими в государствах - участниках соглашения.
8.2 Энергетическую оценку проводят одновременно с определением агротехнических показателей на фонах, указанных в
разделе 7.
8.2.1 Энергетические показатели определяют при установившемся режиме работы машины.
8.3 Результаты энергетической оценки записывают в
форму А.13 приложения А.
9 Методы оценки безопасности и эргономичности конструкции
9.1 Оценку безопасности и эргономичности машин проводят по методам, изложенным в
ГОСТ 12.2.002 на соответствие требованиям Технического
регламента Таможенного союза ТР ТС 010/2011
[1],
ГОСТ 12.2.111,
ГОСТ ЕН 708, ГОСТ ИСО 4254-1, ТЗ (ТУ), с определением показателей, приведенных в
форме А.14 приложения А.
Результаты записывают в протокол по
форме А.15 приложения А.
10 Методы оценки надежности
10.1 Оценку надежности единичного образца машины при проведении приемочных государственных испытаний не проводят.
10.2 По возникающим техническим отказам проводят их регистрацию для передачи заводу-изготовителю.
10.3 Оценку надежности машин при периодических и квалификационных испытаниях проводят по стандартам, действующим в государствах - участниках соглашения, с определением показателей, приведенных в
форме А.16 приложения А.
10.4 Машины испытывают на видах работ в соответствии с
ГОСТ 24055.
10.5 На каждом виде работ машину испытывают на рабочей скорости, обеспечивающей получение заданной в ТУ производительности при допустимых показателях качества.
10.6 Для сокращения сроков испытаний допускается проводить ускоренные испытания на надежность по действующим стандартам на режимах, воспроизводящих эксплуатационные нагрузки.
10.7 Наработку машины измеряют часами основного времени, гектарами обработанной площади. Для учета наработки в часах основного времени проводят сплошной хронометраж.
Допускается определять наработку в часах основной работы расчетом по наработке в физических единицах за весь период испытаний и производительности по результатам эксплуатационно-технологической оценки.
10.8 В течение всего периода испытаний ведут учет отказов и повреждений.
10.9 Определение затрат времени и труда на выявление и устранение отказов осуществляют пооперационным хронометражем с погрешностью измерения продолжительности операции +/- 5 с.
10.10 Затраты времени и труда на выявление и устранение отказов в течение всего периода испытаний суммируют и учитывают при расчете показателей надежности.
10.11 Устранение сложных отказов осуществляют сервисные службы заводов-изготовителей.
10.12 Техническое состояние машины и замененных (восстановленных) деталей и узлов оценивают при проведении заключительной технической экспертизы.
10.13 Информацию по операциям технического обслуживания собирают и обрабатывают по ГОСТ 26026.
10.14 Показатели надежности определяют по наработке, измеряемой временем основной работы, и оценивают сопоставлением фактических показателей надежности с нормативными значениями или с показателями сравниваемой машины. Отклонение наработок сравниваемых сеялок не должно быть более 20%.
10.15 Показатели надежности записывают в
форму А.16 приложения А.
10.16 Значение показателей надежности определяют при достижении плановой (заданной) наработки или не менее 75% ее выполнения.
10.17 Плановая (заданная) наработка машины при испытании на надежность должна быть не менее 30% от планируемого технического ресурса.
11 Методы эксплуатационно-технологической оценки
11.1 Эксплуатационно-технологическую оценку машин проводят в соответствии с
ГОСТ 24055.
11.2 Эксплуатационно-технологическую оценку проводят на оптимальном для данного фона режиме работы, определенном по результатам агротехнической оценки для опытных машин и указанных в ТУ - серийных.
Во время испытаний контролируют соблюдение выбранного режима работы и качество выполнения технологического процесса.
Показатели условий испытаний и качества выполнения технологического процесса определяют по методам, изложенным в
разделе 7.
11.3 Сбор информации для эксплуатационно-технологической оценки проводят во время контрольных смен.
Сбор информации о нарушениях технологического процесса и технических отказах проводят в течение всего периода наблюдений.
11.4 Производительность за 1 ч основного времени
i контрольной смены

, га, вычисляют по формуле:

, (6)
где Fi - объем работы за i контрольную смену, га;

- фактическое основное время работы за
i контрольную смену, ч.
Производительность за 1 ч основного времени за период контрольных смен, W0, га, вычисляют по формуле:

, (7)
где n - число контрольных смен.
11.5 Производительность за 1 ч технологического времени за период контрольных смен Wтех, га, вычисляют по формуле:
Wтех = W0Ктех, (8)
где Ктех - коэффициент использования технологического времени за период контрольных смен.
11.6 Производительность за 1 ч сменного времени за период контрольных смен Wсм, га, вычисляют по формуле:
Wсм = W0Ксм, (9)
где Ксм - коэффициент использования сменного времени за период контрольных смен.
11.7 Коэффициент рабочих ходов за
i контрольную смену

вычисляют по формуле:

, (10)
где

- среднее время одного поворота за
i контрольную смену, мин;
Lгн - среднее значение длины гона в "модельном" хозяйстве, км.
Коэффициент рабочих ходов за период контрольных смен К21 вычисляют по формуле:

. (11)
11.8 Коэффициент технологического обслуживания за
i контрольную смену

вычисляют по формуле:

, (12)
где

- основное время, приведенное к нормативной продолжительности смены за
i контрольную смену, ч;

- время технологического обслуживания, приведенное к нормативной продолжительности смены за
i контрольную смену, ч;

- время на проведение наладки и регулирования, приведенное к нормативной продолжительности смены за
i контрольную смену, ч.
11.8.1 Коэффициент технологического обслуживания за период контрольных смен К23 вычисляют по формуле:

. (13)
11.9 Коэффициент надежности технологического процесса за
i контрольную смену

вычисляют по формуле:

, (14)
где

- время устранения нарушения технологического процесса, приведенное к нормативной продолжительности смены за
i контрольную смену, ч.
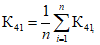
11.9.1 Коэффициент надежности технологического процесса К41 за период контрольных смен вычисляют по формуле:

. (15)
11.10 Коэффициент использования технологического времени за
i контрольную смену

вычисляют по формуле:

, (16)
где

- технологическое время за
i контрольную смену, ч.
11.10.1 Технологическое время за
i контрольную смену

, ч, вычисляют по формуле:

, (17)
где

- время на повороты, приведенное к нормативной продолжительности смены за
i контрольную смену, ч;

- время на технологические переезды, приведенное к нормативной продолжительности смены за
i контрольную смену, ч.
11.10.2 Коэффициент использования технологического времени Ктех за период контрольных смен вычисляют по формуле:

. (18)
11.11 Коэффициент использования сменного времени за
i контрольную смену

вычисляют по формуле:

, (19)
где Tн.см - продолжительность нормативной смены, ч (8 ч сменного времени).
11.11.1 Коэффициент использования сменного времени Ксм за период контрольных смен вычисляют по формуле:

. (20)
11.12 Производительность за 1 ч эксплуатационного времени за период контрольных смен Wэк, га, вычисляют по формуле:

, (21)
где Кг - коэффициент готовности с учетом организационного времени.
11.13 Коэффициент готовности с учетом организационного времени Кг определяют по результатам испытания на надежность или принимают по данным ТЗ (ТУ).
11.14 Результаты эксплуатационно-технологической оценки записывают в
форму А.17 приложения А.
12 Методы экономической оценки
Экономическую оценку машин и оформление результатов проводят по стандартам, действующим в государствах - участниках соглашения до утверждения межгосударственного стандарта ГОСТ "Техника сельскохозяйственная. Методы экономической оценки".
13 Обработка и анализ результатов испытаний
13.1 Обработку результатов испытаний машин и орудий для междурядной и рядной обработки почвы проводят по программе, разработанной для данного типа машин.
13.2 Результаты испытаний формируют в соответствии с
формами А.1 -
А.17 приложения А.
13.3 Полученные результаты используют для анализа соответствия результатов испытаний машин требованиям ТЗ (ТУ), а также их сопоставления с показателями сравниваемой машины.
13.4 На основании анализа полученных значений показателей делают выводы о качестве работы испытуемой машины при выполнении заданного технологического процесса.
13.5 Общие выводы по результатам испытаний машин делают на основании анализа показателей по всем видам оценок.
(рекомендуемое)
ОФОРМЛЕНИЕ РЕЗУЛЬТАТОВ ИСПЫТАНИЙ
Техническая характеристика машины
Наименование показателя | Значение показателя |
Тип машины | |
Конструктивная ширина захвата, м | |
Число рядов, обрабатываемых машиной, шт. | |
Ширина междурядий, на которые рассчитана машина, см | |
Агрегатирование (класс трактора) | |
Потребляемая мощность, кВт | |
Транспортная скорость, км/ч | |
Рабочая скорость, км/ч | |
Габаритные размеры машины: | |
- в рабочем положении, мм: | |
длина | |
ширина | |
высота | |
- в транспортном положении, мм: | |
длина | |
ширина | |
высота | |
Габаритные размеры агрегата: | |
- в рабочем положении, мм: | |
длина | |
ширина | |
высота | |
- в транспортном положении, мм: | |
длина | |
ширина | |
высота | |
Дорожный просвет, мм | |
Минимальный радиус поворота агрегата, м: | |
- по крайней наружной точке | |
- по следу наружного колеса трактора | |
Необходимая ширина поворотной полосы, м | |
Масса, кг: | |
- конструкционная | |
- эксплуатационная | |
Число передач: | |
- ременных | |
- цепных | |
- карданных | |
- редукторов | |
Число точек смазки, всего | |
в том числе: | |
- ежесменных | |
- периодических | |
- сезонных | |
Трудоемкость составления агрегата, чел.-ч: | |
- для работы | |
- для транспортирования | |
Другие показатели по отдельным узлам и рабочим органам _______________________________ _______________________________ _______________________________ | |
Показатели условий испытаний культиваторов и приспособлений
для обработки пропашных культур при агротехнической
и эксплуатационно-технологической оценках
Наименование показателя | Значение показателя |
Вид оценки |
Агротехническая | Эксплуатационно-технологическая |
Дата | + | + |
Место испытаний | + | + |
Вид работы | + | + |
Тип почвы и название по механическому составу | + | + |
Рельеф | + | + |
Микрорельеф | + | + |
Влажность почвы, %, | | |
по слоям, см: | | |
от 0 до 5 включ. | + | + |
св. 5 " 10 " | + | + |
" 10 " 15 " | + | + |
Твердость почвы, МПа, | | |
по слоям, см: | | |
от 0 до 5 включ. | + | + |
св. 5 " 10 " | + | + |
" 10 " 15 " | + | + |
Засоренность участка сорными растениями, шт./м2 | + | + |
Засоренность участка камнями (при наличии камней), шт./м2, шт./га, кг/м2, кг/га | + | + |
Характеристика гряды (гребня) <1>: | | |
- высота гряды (гребня), см | + | + |
- ширина гряды (гребня) по верху, см | + | + |
- расстояние между осями борозд, гряд (гребней), см | + | + |
- угол откоса, ...° | + | + |
Характеристика борозды <1>: | | |
- глубина борозды, см | + | + |
- ширина борозды по верху, см | + | + |
- расстояние между осями борозд, см | + | + |
- угол откоса, ...° | + | + |
Культура, сорт | + | + |
Схема посева (посадки) | + | + |
Высота растений, см | + | + |
Ширина кроны, см | + | + |
Ширина междурядья, см | + | + |
Отклонение растений от осевой линии ряда, +/- см | + | + |
Количественная доля растений с отклонением, превышающим требования ТЗ (ТУ), % | + | + |
Густота растений, шт./м2 (тыс. шт./га) | + | + |
Распределение растений (плетей) относительно оси ряда после их укладки <2>: | | |
- среднее арифметическое значение длины плетей по ширине ряда, см | + | + |
- количественная доля плетей, переросших по ширине ряда на расстояние свыше 40 (50) см, % | + | + |
Содержание эрозионно опасных частиц почвы в слое 0 - 5 см, % | + | + |
Характеристика удобрений | | |
| + | + |
Влажность удобрений <3>, % | + | + |
Объемная масса удобрений <4>, г/см 3 | + | + |
Гранулометрический состав удобрений <4>, %: | | |
массовая доля гранул по фракциям | + | + |
Определяют: <1> при обработке культур на грядах, гребнях и бороздах; <2> для бахчевых культур; <3> для культиваторов-растениепитателей; <4> для гранулированных удобрений. Примечание - Знак "+" означает, что показатель определяют. |
Показатели условий испытаний прореживателей
и прополочных борон при агротехнической
и эксплуатационно-технологической оценках
Наименование показателя | Значение показателя |
Вид оценки |
Агротехническая | Эксплуатационно-технологическая |
Дата | + | + |
Место испытаний | + | + |
Вид работы | + | + |
Тип почвы и название по механическому составу | + | + |
Рельеф | + | + |
Микрорельеф | + | + |
Влажность почвы, %, | | |
по слоям, см: | | |
от 0 до 5 включ. | + | + |
св. 5 " 10 " | + | + |
Твердость почвы, МПа, | | |
по слоям, см: | | |
от 0 до 5 включ. | + | + |
св. 5 " 10 " | + | + |
Засоренность участка сорными растениями, шт./м2 | + | + |
Засоренность участка камнями (при наличии камней), шт./м2, кг/м2 | + | + |
Культура, сорт | + | + |
Схема посева | + | + |
Отклонение растений от осевой линии ряда, +/- см | + | - |
Количественная доля растений с отклонением, превышающим требования ТЗ (ТУ), % | + | - |
Густота растений, шт./м2 (тыс. шт./га) | + | + |
Распределение растений в ряду: | | |
- среднее арифметическое значение интервала между растениями, см | + | + |
- стандартное отклонение, +/- см | + | + |
- коэффициент вариации, % | + | + |
- количественная доля случаев с интервалом между растениями в соответствии с ТЗ (ТУ), % | + | + |
Примечание - Знак "+" означает, что показатель определяют; знак "-" - не определяют. |
Показатели условий испытаний
ботвоотводов при агротехнической
и эксплуатационно-технологической оценках
Наименование показателя | Значение показателя |
Вид оценки |
Агротехническая | Эксплуатационно-технологическая |
Дата | + | + |
Место испытаний | + | + |
Вид работы | + | + |
Тип почвы и название по механическому составу | + | + |
Рельеф | + | + |
Микрорельеф | + | + |
Влажность почвы, %, | | |
по слоям, см: | | |
от 0 до 5 включ. | + | + |
св. 5 " 10 " | + | + |
" 10 " 15 " | + | + |
Твердость почвы, МПа, | | |
по слоям, см: | | |
от 0 до 5 включ. | + | + |
св. 5 " 10 " | + | + |
" 10 " 15 " | + | + |
Засоренность участка сорными растениями, шт./м2 | + | + |
Засоренность участка камнями (при наличии камней), шт./м2, кг/м2 | + | + |
Культура, сорт | + | + |
Схема посева (посадки) | + | + |
Высота растений, см | + | + |
Ширина кроны, см | + | + |
Ширина междурядья, см | + | + |
Густота растений, шт./м2 (тыс. шт./га) | + | + |
Примечание - Знак "+" означает, что показатель определяют. |
Показатели качества выполнения технологического процесса
культиваторами при междурядной обработке пропашных культур
на ровной поверхности посевов при агротехнической
и эксплуатационно-технологической оценках
Наименование показателя | Значение показателя |
Вид оценки |
Агротехническая | Эксплуатационно-технологическая |
Режим работы | | |
Скорость движения машины, м/с | + | + |
Основные рабочие органы | + | + |
Дополнительные рабочие органы | + | + |
Установочная величина защитной зоны, см | + | - |
Установочная глубина обработки, см | + | + |
Показатели качества выполнения технологического процесса | | |
Фактическая величина защитной зоны, см | + | - |
Глубина обработки: | | |
- среднее арифметическое значение, см | + | + |
- стандартное отклонение, +/- см | + | - |
- коэффициент вариации, % | + | - |
Крошение почвы, %: | | |
массовая доля комков почвы по фракциям в соответствии с ТЗ (ТУ) | | |
__________________________ | | |
__________________________ | + | - |
Изменение (увеличение, уменьшение) содержания эрозионно опасных частиц почвы в слое 0 - 5 см, +/- % | | - |
Уничтожение сорных растений, % | + | + |
Количественная доля поврежденных культурных растений, %: | | |
всего, | + | + |
в том числе по видам повреждений в соответствии с ТЗ (ТУ) | + | - |
Гребнистость дна междурядья, см | | |
Забивание и залипание рабочих органов | - | |
Определяют: <1> при испытании культиваторов с активными рабочими органами; <2> при испытании хлопковых культиваторов; <3> только при приемочных испытаниях. Примечание - Знак "+" означает, что показатель определяют; знак "-" - не определяют. |
Показатели качества выполнения технологического процесса
культиваторами и приспособлениями для обработки культур
на грядах, гребнях и бороздах при агротехнической
и эксплуатационно-технологической оценках
Наименование показателя | Значение показателя |
Вид оценки |
Агротехническая | Эксплуатационно-технологическая |
Режим работы | | |
Скорость движения машины, м/с | + | + |
Основные рабочие органы | + | + |
Дополнительные рабочие органы | + | + |
Установочная величина защитной зоны, см | + | - |
Установочная глубина обработки, см | + | + |
Показатели качества выполнения технологического процесса | | |
Фактическая величина защитной зоны, см | + | - |
Глубина обработки: | | |
- среднее арифметическое значение, см | + | + |
- стандартное отклонение, +/- см | + | - |
- коэффициент вариации, % | + | - |
Характеристика гряды (гребня): | | |
- высота гряды (гребня): | | |
среднее арифметическое значение, см | + | + |
стандартное отклонение, +/- см | + | - |
коэффициент вариации, % | + | - |
- ширина гряды (гребня) по верху: | | |
среднее арифметическое значение, см | + | |
стандартное отклонение, +/- см | + | - |
коэффициент вариации, % | + | - |
- угол откоса, ...° | + | - |
Характеристика борозды: | | |
- глубина борозды: | | |
среднее арифметическое значение, см | + | |
стандартное отклонение, +/- см | + | - |
коэффициент вариации, % | + | - |
- ширина борозды по верху: | | |
среднее арифметическое значение, см | + | |
стандартное отклонение, +/- см | + | - |
коэффициент вариации, % | + | - |
- расстояние между осями борозд: | | |
среднее арифметическое значение, см | + | - |
стандартное отклонение, +/- см | + | - |
коэффициент вариации, % | + | - |
- угол откоса, ...° | + | - |
Крошение почвы, %: | | |
массовая доля комков почвы по фракциям в соответствии с ТЗ (ТУ) | + | - |
____________________________ | | |
____________________________ | | |
Изменение (увеличение, уменьшение) содержания эрозионно опасных частиц почвы в слое 0 - 5 см, +/- % | | - |
Уничтожение сорных растений, % | + | + |
Количественная доля поврежденных культурных растений, %: | | |
всего, | + | |
в том числе по видам повреждений в соответствии с ТЗ (ТУ) | + | - |
Забивание и залипание рабочих органов | - | |
Определяют: <1> только при приемочных испытаниях; <2> при испытании культиваторов с активными рабочими органами. Примечание - Знак "+" означает, что показатель определяют; знак "-" - не определяют. |
Показатели качества выполнения технологического процесса
культиваторами-растениепитателями при агротехнической
и эксплуатационно-технологической оценках
Наименование показателя | Значение показателя |
Вид оценки |
Агротехническая | Эксплуатационно-технологическая |
Режим работы | | |
Скорость движения машины, м/с | + | + |
Основные рабочие органы | + | + |
Дополнительные рабочие органы | + | + |
Установочная величина защитной зоны, см | + | - |
Установочная глубина обработки, см | + | - |
Показатели качества выполнения технологического процесса | | |
Фактическая величина защитной зоны, см | + | - |
Глубина обработки: | | |
- среднее арифметическое значение, см | + | - |
- стандартное отклонение, +/- см | + | - |
- коэффициент вариации, % | + | - |
Уничтожение сорных растений, % | + | - |
Количественная доля поврежденных культурных растений, %: | | |
всего, | + | + |
в том числе по видам повреждений в соответствии с ТЗ (ТУ) | + | - |
Крошение почвы, %: | | |
массовая доля комков почвы в соответствии с ТЗ (ТУ) | + | - |
____________________________ | | |
____________________________ | | |
Доза внесения удобрений, кг/га | + | + |
Глубина заделки удобрений, см | + | + |
Неравномерность высева удобрений, % | | - |
Забивание и залипание рабочих органов | - | |
Определяют: <1> при испытании культиваторов с новыми туковысевающими аппаратами; <2> только при приемочных испытаниях. Примечание - Знак "+" означает, что показатель определяют; знак "-" - не определяют. |
Показатели качества выполнения технологического
процесса культиваторами-окучниками в агрегате
с сетчатой бороной на довсходовом и послевсходовом
окучивании с боронованием при агротехнической
и эксплуатационно-технологической оценках
Наименование показателя | Значение показателя |
Вид оценки |
Агротехническая | Эксплуатационно-технологическая |
Режим работы | | |
Скорость движения машины, м/с | + | + |
Основные рабочие органы | + | + |
Дополнительные рабочие органы | + | + |
Установочная глубина обработки, см | + | + |
Показатели качества выполнения технологического процесса | | |
Глубина обработки: | | |
- среднее арифметическое значение, см | + | + |
- стандартное отклонение, +/- см | + | - |
- коэффициент вариации, % | + | - |
Высота гребня, см | + | + |
Крошение почвы, %: | | |
массовая доля комков почвы по фракциям в соответствии с ТЗ (ТУ) | + | - |
____________________________ | | |
____________________________ | | |
Уничтожение сорных растений, % | + | + |
Количественная доля поврежденных культурных растений, %: | | |
всего, | + | + |
в том числе по видам повреждений в соответствии с ТЗ (ТУ) | + | - |
Забивание и залипание рабочих органов | - | |
<1> Определяют только при приемочных испытаниях. Примечание - Знак "+" означает, что показатель определяют; знак "-" - не определяют. |
Показатели качества выполнения технологического процесса
культиваторами-окучниками при агротехнической
и эксплуатационно-технологической оценках
Наименование показателя | Значение показателя |
Вид оценки |
Агротехническая | Эксплуатационно-технологическая |
Режим работы | | |
Скорость движения машины, м/с | + | + |
Основные рабочие органы | + | + |
Дополнительные рабочие органы | + | + |
Установочная величина защитной зоны, см | + | - |
Установочная глубина обработки, см | + | + |
Показатели качества выполнения технологического процесса | | |
Фактическая величина защитной зоны, см | + | - |
Глубина обработки: | | |
- среднее арифметическое значение, см | + | + |
- стандартное отклонение, +/- см | + | - |
- коэффициент вариации, % | + | - |
Высота гребня: | | |
- среднее арифметическое значение, см | + | + |
- стандартное отклонение, +/- см | + | - |
- коэффициент вариации, % | + | - |
Крошение почвы, %: | | |
массовая доля комков почвы по фракциям в соответствии с ТЗ (ТУ) | + | - |
____________________________ | | |
____________________________ | | |
Уничтожение сорных растений, %: | | |
- в зоне обработки | + | + |
- в защитной зоне рядка | + | + |
Количественная доля поврежденных культурных растений, %: | | |
всего, | + | + |
в том числе по видам повреждений в соответствии с ТЗ (ТУ) | + | - |
Забивание и залипание рабочих органов | - | |
<1> Определяют только при приемочных испытаниях. Примечание - Знак "+" означает, что показатель определяют; знак "-" - не определяют. |
Показатели качества выполнения технологического процесса
прополочными агрегатами и приспособлениями к культиваторам
для обработки рядков и защитных зон при агротехнической
и эксплуатационно-технологической оценках
Наименование показателя | Значение показателя |
Вид оценки |
Агротехническая | Эксплуатационно-технологическая |
Режим работы | | |
Скорость движения машины, м/с | + | + |
Основные рабочие органы | + | + |
Дополнительные рабочие органы | + | + |
Установочная величина защитной зоны, см | + | - |
Установочная глубина обработки, см | + | - |
Показатели качества выполнения технологического процесса | | |
Фактическая величина защитной зоны, см | + | + |
Глубина обработки почвы полольными бритвами в защитной зоне: | | |
- среднее арифметическое значение, см | + | - |
- стандартное отклонение, +/- см | + | - |
- коэффициент вариации, % | + | - |
Глубина обработки почвы стрельчатыми лапами в междурядье: | | |
- среднее арифметическое значение, см | + | - |
- стандартное отклонение, +/- см | + | - |
- коэффициент вариации, % | + | - |
Глубина обработки почвы ротационным прополочным приспособлением: | | |
- среднее арифметическое значение, см | + | - |
- стандартное отклонение, см | + | - |
- коэффициент вариации, % | + | - |
Крошение почвы, %: | | |
массовая доля комков почвы по фракциям в соответствии с ТЗ (ТУ) | + | - |
____________________________ | | |
____________________________ | | |
Уничтожение сорных растений, %: | | |
- в защитной зоне | + | + |
- в междурядье | + | + |
Количественная доля поврежденных культурных растений, %: | | |
всего, | + | + |
в том числе по видам повреждений в соответствии с ТЗ (ТУ) | + | - |
Забивание и залипание рабочих органов | - | |
<1> Определяют только при приемочных испытаниях. Примечание - Знак "+" означает, что показатель определяют; знак "-" - не определяют. |
Показатели качества выполнения технологического
процесса ботвоотводами при агротехнической
и эксплуатационно-технологической оценках
Наименование показателя | Значение показателя |
Вид оценки |
Агротехническая | Эксплуатационно-технологическая |
Режим работы | | |
Скорость движения машины, м/с | + | + |
Установочная величина защитной зоны, см | + | - |
Показатели качества выполнения технологического процесса | | |
Фактическая величина защитной зоны, см | + | - |
Количественная доля поврежденных культурных растений, %: | | |
всего, | + | + |
в том числе по видам повреждений в соответствии с ТЗ (ТУ) | + | - |
Забивание и залипание рабочих органов | - | |
<1> Определяют только при приемочных испытаниях. Примечание - Знак "+" означает, что показатель определяют; знак "-" - не определяют. |
Показатели качества выполнения технологического
процесса прореживателями при агротехнической
и эксплуатационно-технологической оценках
Наименование показателя | Значение показателя |
Вид оценки |
Агротехническая | Эксплуатационно-технологическая |
Режим работы | | |
Скорость движения машины, м/с | + | + |
Схема прореживания (выреза), мм | + | + |
Показатели качества выполнения технологического процесса | | |
Глубина обработки, см | + | - |
Густота растений, шт./м2 (тыс. шт./га): | | |
- до прохода | + | + |
- после прохода | + | + |
Распределение растений в ряду: | | |
- до прохода: | | |
среднее арифметическое значение интервала между растениями, см | + | + |
стандартное отклонение, +/- см | + | - |
коэффициент вариации, % | + | - |
количественная доля случаев с интервалом между растениями в соответствии с ТЗ (ТУ), % | + | - |
- после прохода: | | |
среднее арифметическое значение интервала между растениями, см | + | + |
стандартное отклонение, +/- см | + | - |
коэффициент вариации, % | + | - |
количественная доля случаев с интервалом между растениями в соответствии с ТЗ (ТУ), % | + | - |
Прореживание (удаление) культурных растений, % | + | - |
Количественная доля поврежденных культурных растений, %: | | |
всего, | + | + |
в том числе по видам повреждений в соответствии с ТЗ (ТУ) | + | - |
Уничтожение сорных растений в зоне ряда, % | + | - |
Забивание и залипание рабочих органов | - | |
<1> Определяют только при приемочных испытаниях. Примечание - Знак "+" означает, что показатель определяют; знак "-" - не определяют. |
Энергетические показатели
Наименование показателя | Значение показателя |
Дата проведения испытаний | |
Режим работы | |
Рабочая скорость движения, м/с | |
Ширина захвата, м | |
Глубина обработки, см | |
Производительность за 1 ч основного времени, га | |
Энергетические показатели | |
Потребляемая мощность, кВт | |
Удельные энергозатраты машины, МДж/га | |
Расход топлива, кг/ч | |
Тяговое сопротивление, Н | |
Мощность, затрачиваемая на привод рабочих органов, кВт [при наличии в ТЗ (ТУ)] | |
Номенклатура показателей безопасности
и эргономичности конструкции машины
Наименование показателя |
Общие требования к безопасности конструкции узлов и агрегатов, специфические требования к машине Требования к обеспечению безопасности при монтаже, транспортировании и хранении Цвета сигнальные и знаки безопасности Удобство и безопасность доступа к местам обслуживания Наличие предупреждающих надписей и знаков безопасности Требования к системе символов для обозначения органов управления и средств отображения информации Требования к наличию и конструкции защитных ограждений Требования к обеспечению безопасности операций по очистке Видимость объектов постоянного наблюдения Угол поперечной статической устойчивости Устойчивость в отцепленном состоянии Требования к исключению возможности самопроизвольного включения (выключения) рабочих органов Пожаробезопасность Безопасность присоединения Нагрузка на управляемые колеса энергосредства Требования к наличию внешних световых приборов, их расположению (оценивается наличие дублирующих световых сигналов, если машина в транспортном положении закрывает приборы световой сигнализации энергосредства) Требования к тормозным системам (эффективность действия тормозных систем) Силы сопротивления перемещению органов управления и регулировки |
Показатели безопасности и эргономичности
конструкции машины (для протокола)
Наименование показателя, требования | Значение показателя по | Заключение о соответствии |
стандарту | результатам испытаний |
| | | |
| | | |
| | | |
| | | |
| | | |
Наименование показателя | Значение показателя |
Общая наработка, ч, га | |
Наработка на отказ, ч, га | |
Наработка на отказ, ч, га | |
I группы сложности | |
II группы сложности | |
III группы сложности | |
Общее число отказов, шт., | |
в том числе по группам сложности: | |
I группы сложности | |
II группы сложности | |
III группы сложности | |
Среднее время восстановления, ч/отказ | |
Оперативное время ежесменного технического обслуживания, ч | |
Оперативная трудоемкость ежесменного технического обслуживания, чел.-ч | |
Трудоемкость ежесменного технического обслуживания, чел.-ч | |
Удельная суммарная трудоемкость технических обслуживаний, чел.-ч/ч, чел.-ч/га | |
Удельная суммарная оперативная трудоемкость технических обслуживаний, чел.-ч/ч, чел.-ч/га | |
Удельная суммарная оперативная трудоемкость текущих ремонтов (выявления и устранения отказов), чел.-ч/ч, чел.-ч/га | |
Удельная суммарная трудоемкость текущих ремонтов (выявления и устранения отказов), чел.-ч/ч, чел.-ч/га | |
Коэффициент готовности: | |
- с учетом организационного времени | |
- по оперативному времени | |
Коэффициент технического использования | |
Перечень отказов и повреждений (помещают в приложении к протоколу) | |
Показатели эксплуатационно-технологической оценки
Наименование показателя | Значение показателя |
Вид работы |
| | |
Период проведения оценки (дата) | | | |
Место проведения оценки | | | |
Условия проведения испытаний <1> | | | |
Состав агрегата | | | |
| | | |
Производительность за 1 ч времени, га: | | | |
- основного | | | |
- технологического | | | |
- сменного | | | |
- эксплуатационного | | | |
Удельный расход топлива за сменное время, кг/га | | | |
Эксплуатационно-технологические коэффициенты: | | | |
- рабочих ходов | | | |
- технологического обслуживания | | | |
- надежности технологического процесса | | | |
- использования технологического времени | | | |
- использования сменного времени | | | |
Число обслуживающего персонала, чел. | | | |
Показатели качества выполнения технологического процесса <2>_____________________________ _____________________________ _____________________________ | | | |
|
(рекомендуемое)
ФОРМЫ РАБОЧИХ ВЕДОМОСТЕЙ РЕЗУЛЬТАТОВ ИСПЫТАНИЙ
Ведомость определения засоренности участка сорными растениями
Марка машины ______________________ Место испытаний ___________________
Культура, сорт __________ Вид работы _______________ Дата _____________
Скорость движения _____________________________________________________
Учетная площадка | Число сорных растений до прохода машины, шт. | Число сорных растений после прохода машины, шт. | Уничтожение (подрезание) сорных растений, % |
всего | в зоне обработки | в защитной зоне | всего | в зоне обработки | в защитной зоне | всего | в зоне обработки | в защитной зоне |
1 | | | | | | | | | |
2 | | | | | | | | | |
3 | | | | | | | | | |
4 | | | | | | | | | |
Сумма | | | | | | | | | |
Среднее арифметическое значение | | | | | | | | | |
Число сорных растений, шт./м2 | | | | | | | | | |
Исполнитель ___________ ________________ _____________________
должность личная подпись инициалы, фамилия
Ведомость определения засоренности участка камнями
Место испытаний _______________________________________________________
Наименование и марка машины ________________________ Дата _____________
Средства измерений ____________________________________________________
Учетная площадка | Число и масса камней на учетной площадке, шт. |
шт. | кг |
1 | | |
2 | | |
3 | | |
4 | | |
5 | | |
Сумма | | |
Среднее арифметическое значение: | | |
шт. | | |
кг | | |
Число камней, шт./м2, кг/га | | |
Исполнитель ___________ ________________ _____________________
должность личная подпись инициалы, фамилия
Ведомость определения характеристики борозды, гряды, гребня
Марка машины ______________________ Место испытаний ___________________
Культура, сорт __________ Вид работы _______________ Дата _____________
Средства измерений ____________________________________________________
Измерение | Глубина борозды, см | Ширина борозды по верху, см | Высота гряды (гребня), см | Ширина гряды (гребня) по верху, см | Расстояние между осями борозд (гряд, гребней), см | Угол откоса, ...° |
Повторность |
1 | 2 | 3 | 4 | 1 | 2 | 3 | 4 | 1 | 2 | 3 | 4 | 1 | 2 | 3 | 4 | 1 | 2 | 3 | 4 | 1 | 2 | 3 | 4 |
1 | | | | | | | | | | | | | | | | | | | | | | | | |
2 | | | | | | | | | | | | | | | | | | | | | | | | |
3 | | | | | | | | | | | | | | | | | | | | | | | | |
... | | | | | | | | | | | | | | | | | | | | | | | | |
15 | | | | | | | | | | | | | | | | | | | | | | | | |
Сумма | | | | | | | | | | | | | | | | | | | | | | | | |
Среднее арифметическое значение | | | | | | | | | | | | | | | | | | | | | | | | |
Исполнитель ___________ ________________ _____________________
должность личная подпись инициалы, фамилия
Ведомость определения высоты растений и ширины кроны
Марка машины ______________________ Место испытаний ___________________
Культура, сорт __________ Вид работы _______________ Дата _____________
Средства измерений ____________________________________________________
В сантиметрах
Измерение | Высота растения (куста) | Ширина кроны |
Учетная площадка |
1 | 2 | 3 | 4 | 5 | 1 | 2 | 3 | 4 | 5 |
1 | | | | | | | | | | |
2 | | | | | | | | | | |
3 | | | | | | | | | | |
... | | | | | | | | | | |
20 | | | | | | | | | | |
Сумма | | | | | | | | | | |
Среднее арифметическое значение | | | | | | | | | | |
Исполнитель ___________ ________________ _____________________
должность личная подпись инициалы, фамилия
Ведомость определения ширины междурядья
и отклонения растений от осевой линии ряда
Марка машины ______________________ Место испытаний ___________________
Культура, сорт ___________________ Вид работы _________________________
Дата _______________ Повторность ______________________________________
Средства измерений ____________________________________________________
В сантиметрах
Измерение | Расстояние от центра междурядья до растения | Ширина междурядья | Отклонение растений от осевой линии ряда |
Влево | Вправо | Основное | Стыковое | Влево | Вправо |
Междурядье | Междурядье |
1 | 2 | 3 | 1 | 2 | 3 | 1 | 2 | 3 | 1 | 2 | 3 |
1 | | | | | | | | | | | | | | |
2 | | | | | | | | | | | | | | |
3 | | | | | | | | | | | | | | |
... | | | | | | | | | | | | | | |
10 | | | | | | | | | | | | | | |
Сумма | | | | | | | | | | | | | | |
Среднее арифметическое значение | | | | | | | | | |
Количественная доля растений с отклонением, превышающим требования ТЗ (ТУ), % | - | - | - | | | | | | |
Исполнитель ___________ ________________ _____________________
должность личная подпись инициалы, фамилия
Ведомость определения распределения растений в ряду
Марка машины ______________________ Место испытаний ___________________
Культура, сорт ___________________ Вид работы _________________________
Дата _________________ Площадка _______________________________________
Интервал между растениями по ТЗ (ТУ) __________________________________
Средства измерений ____________________________________________________
Измерение | Интервал между центрами растений, см |
Ряд |
1 | 2 | 3 | ... n |
1 | | | | |
2 | | | | |
3 | | | | |
... | | | | |
n | | | | |
Сумма | | | | |
Среднее арифметическое значение | | | | |
Стандартное отклонение, +/- см | | | | |
Коэффициент вариации, % | | | | |
Количественная доля случаев с интервалами, соответствующими ТЗ (ТУ), % | | | | |
Исполнитель ___________ ________________ _____________________
должность личная подпись инициалы, фамилия
Ведомость определения распределения
плетей относительно оси ряда
Марка машины ______________________ Место испытаний ___________________
Культура, сорт ___________________ Вид работы _________________________
Дата _________________ Площадка _______________________________________
Средства измерений ____________________________________________________
Номер ряда | Длина плети растения по ширине ряда, см | Среднее арифметическое значение |
Растение |
1 | 2 | 3 | 4 | 5 | 6 | 7 | 8 | 9 | 10 |
1 | | | | | | | | | | | |
2 | | | | | | | | | | | |
3 | | | | | | | | | | | |
Сумма | | | | | | | | | | | |
Среднее арифметическое значение | - | - | - | - | - | - | - | - | - | - | |
Количественная доля плетей, выходящих за ширину полосы +/- 50 см, % | | | | | | | | | | | |
Количественная доля плетей, переросших за линию обработки свыше 40 см, % | | | | | | | | | | | |
Исполнитель ___________ ________________ _____________________
должность личная подпись инициалы, фамилия
Ведомость определения густоты и повреждения культурных растений
Место испытаний _______________________________________________________
Марка машины ____________________________ Культура, сорт ______________
Вид обработки __________________________ Скорость движения ____________
Дата ____________________________ Площадка ____________________________
Средства измерений ____________________________________________________
Номер ряда | Общее число культурных растений до прохода машины, шт. | Повреждения культурных растений по видам, шт. | Всего повреждено, шт. |
Подрезанные | Присыпанные | с обнаженными корнями | со сломанными стеблями <*> | с оборванными листьями, черешками, листовой пластинкой | |
полностью | частично | полностью | частично | полностью | частично |
1 | | | | | | | | | | | |
2 | | | | | | | | | | | |
3 | | | | | | | | | | | |
... | | | | | | | | | | | |
n | | | | | | | | | | | |
Сумма | | | | | | | | | | | |
Среднее арифметическое значение | | | | | | | | | | | |
Густота растений, шт./м2 (тыс. шт./га) | | | | | | | | | | | |
Количественная доля поврежденных культурных растений, %: | | | | | | | | | | | |
всего | | | | | | | | | | | |
в том числе по видам повреждений в соответствии с ТЗ (ТУ) | | | | | | | | | | | |
<*> Определяют при испытании ботвоотводов. |
Исполнитель ___________ ________________ _____________________
должность личная подпись инициалы, фамилия
Ведомость определения глубины обработки почвы
Марка машины _______________________ Скорость _________________________
Место испытаний _______________________________________________________
Культура, сорт _____________________ Вид работы _______________________
Дата _______________ Учетная делянка (повторность) ____________________
Средства измерений ____________________________________________________
Измерение | Глубина обработки почвы по рабочим органам, см |
1 | 2 | 3 | ... n |
1 | | | | |
2 | | | | |
3 | | | | |
... | | | | |
n | | | | |
Сумма | | | | |
Среднее арифметическое значение | | | | |
Стандартное отклонение, +/- см | | | | |
Коэффициент вариации, % | | | | |
Исполнитель ___________ ________________ _____________________
должность личная подпись инициалы, фамилия
Ведомость определения глубины
обработки почвы при испытаниях борон
Марка машины ________________________ Скорость ________________________
Место испытаний _______________________________________________________
Культура, сорт ______________________ Вид работы ______________________
Дата ________________________
Средства измерений ____________________________________________________
Измерение | Глубина обработки (глубина погружения зубьев бороны), см |
передний | средний | задний |
Учетная делянка |
1 | 2 | 3 | 4 | 1 | 2 | 3 | 4 | 1 | 2 | 3 | 4 |
1 | | | | | | | | | | | | |
2 | | | | | | | | | | | | |
3 | | | | | | | | | | | | |
... | | | | | | | | | | | | |
10 | | | | | | | | | | | | |
Сумма | | | | | | | | | | | | |
Среднее арифметическое значение | | | | | | | | | | | | |
Стандартное отклонение, +/- см | | | | | | | | | | | | |
Коэффициент вариации, % | | | | | | | | | | | | |
Исполнитель ___________ ________________ _____________________
должность личная подпись инициалы, фамилия
Ведомость определения крошения почвы
Марка машины ___________________________ Скорость _____________________
Место испытаний _______________________________________________________
Культура, сорт ___________ Вид работы ______________ Дата _____________
Средства измерений ____________________________________________________
Номер пробы | Масса пробы почвы по фракциям, кг | Общая масса пробы, кг |
Размер i-фракции комков почвы в соответствии с ТЗ (ТУ), мм |
| | |
1 | | | | |
2 | | | | |
3 | | | | |
4 | | | | |
Сумма | | | | |
Среднее арифметическое значение | | | | |
Массовая доля i-фракции комков почвы, % | | | | |
Исполнитель ___________ ________________ _____________________
должность личная подпись инициалы, фамилия
Ведомость определения содержания эрозионно
опасных частиц почвы в слое 0 - 5 см
Марка машины ___________________________ Скорость _____________________
Место испытаний _______________________________________________________
Культура, сорт _________________________ Вид работы ___________________
Дата ________________________
Средства измерений ____________________________________________________
Номер пробы | Масса почвы, кг |
до прохода машины | после прохода машины |
общая масса пробы | масса фракции (проход решета диаметром 1 мм) | общая масса пробы | масса фракции (проход решета диаметром 1 мм) |
1 | | | | |
2 | | | | |
3 | | | | |
4 | | | | |
5 | | | | |
6 | | | | |
Сумма | | | | |
Среднее арифметическое значение | | | | |
Содержание эрозионно опасных частиц почвы в слое 0 - 5 см, % | | |
Исполнитель ___________ ________________ _____________________
должность личная подпись инициалы, фамилия
Ведомость определения фактической величины защитной зоны ряда
Марка машины _____________________________ Скорость ___________________
Место испытаний _______________________________________________________
Культура, сорт ___________________________ Вид работы _________________
Дата _________________ Учетная делянка ________________________________
Средства измерений ____________________________________________________
Измерение | Величина защитной зоны, см |
слева | справа |
номер ряда |
1 | 2 | 3 | ... п | 1 | 2 | 3 | ... п |
1 | | | | | | | | |
2 | | | | | | | | |
3 | | | | | | | | |
... | | | | | | | | |
10 | | | | | | | | |
Сумма | | | | | | | | |
Среднее арифметическое значение | | | | | | | | |
Исполнитель ___________ ________________ _____________________
должность личная подпись инициалы, фамилия
Ведомость определения высоты гребня
Марка машины _________________________ Скорость _______________________
Место испытаний _______________________________________________________
Культура, сорт _______________________ Вид работы _____________________
Дата __________________
Средства измерений ____________________________________________________
Измерение | Высота гребня, см |
Учетная делянка |
1 | 2 | 3 | 4 |
1 | | | | |
2 | | | | |
3 | | | | |
... | | | | |
30 | | | | |
Сумма | | | | |
Среднее арифметическое значение | | | | |
Стандартное отклонение, +/- см | | | | |
Коэффициент вариации, % | | | | |
Исполнитель ___________ ________________ _____________________
должность личная подпись инициалы, фамилия
Ведомость определения гребнистости дна обработанного междурядья
Марка машины ______________________________ Скорость __________________
Место испытаний ___________________________ Культура, сорт ____________
Вид работы _______________________________ Дата _______________________
Средства измерений ____________________________________________________
Измерение | Высота гребня, см |
Междурядье смежных рядов рабочих органов |
1 | 2 | 3 | ... п |
1 | | | | |
2 | | | | |
3 | | | | |
4 | | | | |
5 | | | | |
Сумма | | | | |
Среднее арифметическое значение | | | | |
Исполнитель ___________ ________________ _____________________
должность личная подпись инициалы, фамилия
Ведомость определения залипания
и забивания рабочих органов машины
Марка машины _____________ Дата ___________ Место испытаний ___________
Вид работы ________________________________ Скорость __________________
Длина пути до залипания (забивания), м | Рабочий орган | Залипание (забивание) |
частичное, до 40% | среднее, свыше 40% до 60% | полное, свыше 60% |
| 1 | | | |
| 2 | | | |
| 3 | | | |
| ... | | | |
| n | | | |
Исполнитель ___________ ________________ _____________________
должность личная подпись инициалы, фамилия
(рекомендуемое)
СРЕДСТВ ИЗМЕРЕНИЙ И ОБОРУДОВАНИЯ, ПРИМЕНЯЕМЫХ
ПРИ ОПРЕДЕЛЕНИИ ПОКАЗАТЕЛЕЙ АГРОТЕХНИЧЕСКОЙ ОЦЕНКИ
Гигрометр-термометр цифровой с погрешностью измерений температуры +/- 0,5 °C и влажности +/- 2%.
Термоанемометр с погрешностью измерений +/- (0,1 - 0,5V) м/с.
Весы с погрешностью измерений +/- 20 мг по
ГОСТ 24104.
Весы для статического взвешивания с погрешностью измерений +/- 40 г по
ГОСТ 29329.
Вешки.
Линейка металлическая с погрешностью измерений +/- 1 мм по
ГОСТ 427.
Линейка-щуп с погрешностью измерений +/- 1 мм.
Мерный циркуль с погрешностью измерений +/- 2 см.
Комплект почвенных решет с диаметром отверстий 10, 25 (30), 50, 100 мм с погрешностью измерений +/- 0,2, +/- 0,5, +/- 1, +/- 2 мм соответственно.
Почвенный бур.
Рейка координатная с погрешностью измерений +/- 1 см.
Рулетка с погрешностью измерений +/- 1 мм по
ГОСТ 7502.
Рамка металлическая размером 50 x 50 см.
Шкаф сушильный с погрешностью измерений +/- 2 °C.
Секундомер с погрешностью измерений +/- 0,2 с.
Твердомер с погрешностью измерений +/- 5%.
Угломер с погрешностью измерений +/- 1%.
Ящик 50 x 50 x 50 см.
| Технический регламент Таможенного союза ТР ТС 010/2011 | "О безопасности машин и оборудования" (утвержден Решением Комиссии Таможенного союза от 18 октября 2011 г. N 823) |