Главная // Актуальные документы // РуководствоСПРАВКА
Источник публикации
М.: Стройиздат, 1982
Примечание к документу
Название документа
"Руководство по расчету и проектированию шумоглушения в промышленных зданиях"
"Руководство по расчету и проектированию шумоглушения в промышленных зданиях"
ПО РАСЧЕТУ И ПРОЕКТИРОВАНИЮ ШУМОГЛУШЕНИЯ
В ПРОМЫШЛЕННЫХ ЗДАНИЯХ
Рекомендовано к изданию решением секции строительной акустики N 5 научно-технического совета НИИСФ.
Изложены методы расчета уровней звукового давления в цехах промышленных предприятий, методы определения требуемого снижения шума и требуемой звукоизоляции ограждающих конструкций. Приведены методы расчета и проектирования звукоизолирующих кабин, кожухов, звукопоглощающих конструкций и акустических экранов.
Для проектировщиков, инженерно-технических работников промышленных предприятий, работников технических и санитарных инспекций.
Табл. 53, рис. 33.
В руководстве рассматриваются общие методы акустических расчетов и вопросы проектирования ряда мероприятий по снижению шума в производственных помещениях промышленных зданий средствами строительной акустики (применением звукопоглощающих конструкций и облицовок, звукоизолирующих конструкций и др.).
В руководстве развиваются и дополняются некоторые положения, изложенные в главе
СНиП II-12-77 по этим вопросам, а также нашли отражение научные достижения последних лет и результаты экспериментальной проверки некоторых положений, которые не могли быть включены в эту главу.
В руководстве не рассматриваются вопросы защиты от шума систем вентиляции и кондиционирования воздуха, так как они изложены в самостоятельном руководстве. Изложены требования к собственной звукоизоляции ограждений, учитывающие специфику решения вопросов защиты от шума в производственных помещениях промышленных предприятий. Подробно расчет и проектирование звукоизоляции ограждающих конструкций зданий изложены в самостоятельном руководстве.
Особое внимание в руководстве уделено методам расчета ожидаемых уровней шума, расчету и проектированию строительно-акустических шумоглушащих конструкций и устройств.
Руководство разработано НИИСФ Госстроя СССР (д-р техн. наук Г.Л. Осипов, кандидаты техн. наук Л.А. Борисов, Е.Н. Федосеева, Н.Н. Воронина, М.И. Шелухин, канд. физико-матем. наук М.В. Сергеев, инж. Борисов Л.П., М.А. Пороженко, Е.В. Насонова, В.М. Корнев), ГипроНИИавиапромом (канд. техн. наук И.Д. Рассадина, инженеры Г.Б. Ларина, Ю.М. Павлов, А.В. Невзоров), ВНИИТБчермет Минчермета СССР (д-р техн. наук В.И. Заборов, канд. техн. наук Д.А. Ващук), МИИТ МПС СССР (доктора техн. наук С.Д. Ковригин, Е.Я. Юдин, инж. С.И. Крышов), ВЦНИИОТ ВЦСПС (кандидаты техн. наук Ю.М. Васильев, Л.Ф. Лагунов, инженеры А.М. Николаишвили, Л.А. Сорока), ИГТиПЗ АМН СССР (д-р мед. наук Г.А. Суворов).
1.1. Для снижения уровней шума до допустимых на рабочих местах отдельных производственных цехов и участков можно рекомендовать следующие основные мероприятия:
применение оборудования с пониженной шумностью (или ограничение шума оборудования и замена шумных технологических процессов на менее шумные);
виброизоляция оборудования с динамическими нагрузками;
снижение шума систем отопления, технологической и общеобменной вентиляции;
применение комплекса строительно-акустических мероприятий по снижению шума, изложенных в настоящем руководстве.
1.2. При разработках проектов производственных цехов и участков или при их реконструкции в первую очередь необходимо предусматривать там, где это возможно, мероприятия, направленные на снижение шума в источнике его образования, или путем применения звукоизолирующих кожухов для наиболее шумного оборудования и его отдельных узлов. Выполнение этих мероприятий позволит в некоторых случаях обойтись без специальных строительно-акустических мероприятий по снижению шума в цехах.
1.3. При составлении технологических планировок производственных участков и цехов необходимо выделять наиболее шумное оборудование в отдельные звукоизолированные помещения (либо типа боксов на одну или две-три единицы оборудования, либо в помещения типа общих залов).
1.4. Для помещений, защищаемых от шума, следует применять ограждающие конструкции (перекрытия, стены, двери, ворота, окна) с требуемой звукоизоляцией.
1.5. Вспомогательное оборудование, а также машинные залы, насосные, венткамеры следует размещать в изолированных от основных цехов помещениях.
1.6. При установке оборудования с динамическими нагрузками должны быть предусмотрены мероприятия по его виброизоляции. Это необходимо для устранения передачи в соседние помещения вибраций и звука по строительным конструкциям здания (структурного шума). Передачу структурного шума в другие помещения можно снизить также путем ослабления жесткости связей между источниками вибраций и строительными конструкциями здания за счет устройства разрывов в конструкциях здания и применения самостоятельных фундаментов с устройством акустических швов под оборудование с динамическими нагрузками.
1.7. Во всех, особенно шумных цехах и на участках, где на рабочих местах шумных технологических процессов невозможно снизить шум строительно-акустическими методами, не повлияв на сам технологический процесс, рекомендуется применять средства индивидуальной защиты от шума по ГОСТ 12.4.051-78.
1.8. Выбор тех или иных строительно-акустических мероприятий по защите от шума, определение необходимости и целесообразности их применения производятся на основе анализа шумовых характеристик оборудования, предусмотренного проектом, а также размеров, конструктивных особенностей (наличия фонарей, ферм и т.п.) и акустических характеристик помещений, в которых оно размещено.
1.9. В проектах промышленных зданий должны быть отражены все мероприятия по снижению шума.
В технологической части проекта до разработки строительно-акустических мероприятий должны быть решены все вопросы размещения шумных объектов и оборудования.
В строительной части проекта в соответствии с технологическим заданием разрабатывают ограждающие конструкции с требуемой звукоизолирующей способностью, кабины наблюдения или дистанционного управления с необходимой звукоизоляцией, звукопоглощающие конструкции и облицовки и т.п.
Самостоятельный проект шумоглушения выполняют для объектов и оборудования, требующих разработки специальных устройств снижения шума (глушителей на всасывании и выхлопе газодинамических установок, звукоизолирующих кожухов, экранов, виброизолирующих конструкций для технологического оборудования и т.д.).
Обоснование технических решений, обеспечивающих необходимое снижение шума, входит в проект шумоглушения или в соответствующий раздел технологической, строительной, санитарно-технической и других частей проекта.
2. ПОРЯДОК РАСЧЕТА ТРЕБУЕМОГО СНИЖЕНИЯ ШУМА
В ПОМЕЩЕНИЯХ ПРОМЫШЛЕННЫХ ПРЕДПРИЯТИЙ
2.1. Определение требуемого снижения шума производится на основании акустического расчета.
Акустический расчет проводят в восьми октавных полосах слухового диапазона со среднегеометрическими частотами 63, 125, 250, 500, 1000, 2000, 4000 и 8000 Гц с точностью до десятых долей децибела.
2.2 Расчет включает:
а) выявление источников шума и определение их шумовых характеристик;
б) выбор точек в помещениях, для которых производят расчет (расчетных точек);
в) определение акустических характеристик помещений;
г) определение ожидаемых уровней звукового давления в расчетных точках;
д) определение допустимых уровней звукового давления в расчетных точках Lдоп, в соответствии с действующими нормами и с учетом необходимых поправок;
е) определение требуемого снижения уровней звукового давления в расчетных точках.
После выполнения акустического расчета выбирают конкретные мероприятия для обеспечения требуемого снижения уровней звукового давления в расчетных точках. Производится выбор типа и размера шумоглушащих, звукопоглощающих, звукоизолирующих конструкций (звукоизолирующих ограждений, кабин, кожухов, звукопоглощающих облицовок и конструкций, экранов и т.п.), а затем проверочный расчет снижения уровней звукового давления в расчетных точках.
Выявление источников шума и определение
их шумовых характеристик
2.3. Перед началом проектирования и расчета по технологическому заданию необходимо выявить все как сильные, так и слабые источники шума в помещениях и на прилегающей территории, а также помещения, которые необходимо изолировать от шума или в которых надо снизить шум.
Источниками шума в помещениях производственных зданий может быть любое, расположенное в них технологическое оборудование, а также системы принудительной вентиляции и отопления. В последнем случае шум в помещение может излучаться через вентиляционные решетки, через стенки воздуховодов, проходящих по помещению, или от самих вентиляционных установок, если они размещены в том же помещении. Кроме того, шум в помещение может проникать с прилегающей территории через ограждающие конструкции.
2.4. Источниками шума на территории промышленного предприятия являются выходящие в атмосферу отверстия крупных и мелких аэрогазодинамических установок, всасывающие и выхлопные отверстия компрессорных станций, шахты и решетки расположенных в здании вентиляционных установок, воздуховоды, по которым распространяются газовоздушные потоки, вынесенные из здания вентиляционные установки, а также любые шумящие механизмы и установки, расположенные на территории промышленных площадок.
2.5. Для того чтобы выполнить акустический расчет, необходимо знать шумовые характеристики источников шума, в первую очередь, октавные уровни излучаемой звуковой мощности. В случаях когда оборудование очень многообразно или шум его сильно меняется в зависимости от режима работы (например, металлорежущие станки в механических цехах и т.п.), необходимо иметь, как минимум, спектры уровней звукового давления на рабочих местах или около (на расстоянии 0,5 м) наиболее шумных узлов одиночно работающего оборудования (для непостоянного шума - усредненные или наиболее типичные спектры).
| | ИС МЕГАНОРМ: примечание. Взамен ГОСТ 12.1.024-81 Приказом Ростехрегулирования от 15.06.2005 N 157-ст с 1 октября 2005 года на территории Российской Федерации введен в действие ГОСТ 31273-2003. ГОСТ 31273-2003 утратил силу с 1 ноября 2015 года в связи с введением в действие ГОСТ ISO 3745-2014 (Приказ Росстандарта от 29.12.2014 N 2147-ст). | |
| | ИС МЕГАНОРМ: примечание. Взамен ГОСТ 12.1.025-81 Приказом Ростехрегулирования от 15.06.2005 N 157-ст с 1 октября 2005 года на территории Российской Федерации введен в действие ГОСТ 31274-2004. | |
| | ИС МЕГАНОРМ: примечание. ГОСТ 12.1.027-80 утратил силу на территории Российской Федерации с 1 июля 2000 года в связи с введением в действие ГОСТ Р 51400-99 (Постановление Госстандарта России от 17.12.1999 N 542-ст). | |
| | ИС МЕГАНОРМ: примечание. ГОСТ 12.1.028-80 утратил силу на территории Российской Федерации с 1 июля 2000 года в связи с введением в действие ГОСТ Р 51402-99 (Постановление Госстандарта России от 17.12.1999 N 544-ст). | |
Шумовые характеристики должны быть указаны заводом-изготовителем в прилагаемой технической документации в соответствии с требованиями ГОСТ 23941-79, а также ГОСТов 12.1.024-81; 12.1.025-81;
12.1.026-80; 12.1.027-80; 12.1.028-80.
В некоторых случаях шумовые характеристики могут быть получены расчетным путем или по опубликованным данным, а также в результате измерений шума аналогичного оборудования в соответствии со стандартами и правилами.
2.6. Расчетные точки при акустических расчетах следует выбирать внутри помещений на рабочих местах или в зоне постоянного пребывания людей на высоте 1,5 м от уровня пола или рабочей площадки.
В помещениях с одним или несколькими однотипными источниками шума с примерно одинаковыми октавными уровнями звукового давления следует выбирать не менее двух расчетных точек. При одном источнике шума в помещении первая расчетная точка на рабочем месте, при нескольких однотипных источниках шума - в средней части помещения. Вторая расчетная точка берется в зоне постоянного пребывания людей, не связанных с работой оборудования (мастеров, наладчиков и др.), уровни шума в которой характеризуются преобладанием отраженного звука по сравнению с прямым звуком от источников шума (зона отраженного звука). Если в помещении несколько источников шума, отличающихся друг от друга по октавным уровням звуковой мощности или уровням звукового давления на рабочих местах более чем на 15 дБ хотя бы в одной октавной полосе, то следует выбирать три расчетные точки. Две расчетные точки - на рабочих местах у источников с наибольшими и наименьшими уровнями звукового давления L, дБ, а третью - в зоне отраженного звука.
Для цехов с большим числом оборудования целесообразно размещать расчетные точки около оборудования:
для цехов с однотипным оборудованием - на рабочем месте в средней части цеха;
для цехов с групповым размещением однотипного оборудования - в центре каждой группы;
для цехов со смешанным размещением разнотипного оборудования - на рабочих местах наиболее и наименее шумного оборудования, по возможности удаленного друг от друга.
Определение ожидаемых уровней звукового
давления в расчетных точках
--------------------------------
<1> Программа расчета на языке "Фортран-IV" имеется в НИИСФ.
2.7. Октавные уровни звукового давления L, дБ, в расчетных точках на рабочих местах в помещениях с одним источником шума определяют по формуле

, (1)
где LP - октавный уровень звуковой мощности источника шума, дБ;
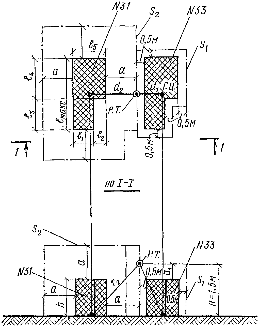
S - площадь воображаемой поверхности правильной геометрической формы, окружающей источник шума по возможности равноудаленной от его поверхности и проходящей через расчетную точку, м2 (рис. 1).
Рис. 1. Нахождение воображаемой поверхности, окружающей
источник шума и проходящей через расчетную точку
а)

;
S0 = 2(
lмакс + 2
a)
h + 2(
l + 2
a)
h + (
lмакс + 2
a)(
l + 2
a);
б)

,

;
в)

,
S0 = (
lмакс + 2
a)
H + (
l3 +
l4 + 2
a)
H + (
l5 + 2
a)
H + (
l1 +
l2 + 2
a)
H + (
l4 + 2
a)(
l5 + 2
a) +
l3(
l1 + 2
a)
пунктиром обозначена воображаемая поверхность,
проходящая через расчетную точку; Р. Т. - расчетная
точка; Г. Ц. - геометрический центр источника шума;
А. Ц. - акустический центр источника шума; z - расстояние
от акустического центра источника до расчетной точки;
d - расстояние от геометрического центра источника
до вертикали, проходящей через расчетную точку; H - высота
расчетной точки; a - удаление воображаемой поверхности,
проходящей через расчетную точку, от поверхности источника
шума (для расчетной точки на рабочем месте источника
a ~= 0,5 м); S0 - площадь поверхности, окружающей
источник шума и проходящей через расчетную точку
Если расстояние расчетной точки
r, м, от акустического центра источника <2> больше удвоенного максимального габаритного размера источника
lмакс (
r >= 2
lмакс), то принимаем

, где

- пространственный угол излучения.
--------------------------------
<2> Акустический центр источника шума, расположенного на полу (на стене), следует принимать совпадающим с проекцией геометрического центра источника шума на горизонтальную плоскость пола (вертикальную плоскость стены).
Величина

зависит от местоположения источника шума. Если он размещен в пространстве (на колонне в цехе), то

; на поверхности стены, перекрытия -

; в двугранном углу, образованном ограждающими конструкциями, -

; в трехгранном углу, образованном ограждающими конструкциями, -

.
Если расстояние расчетной точки от акустического центра источника
r < 2
lмакс, то
S зависит от формы выбранной поверхности, окружающей источник шума и проходящей через расчетную точку. Например, для прямоугольного параллелепипеда
S = 2(
lмакс + 2
a)
h + 2(
l + 2
a)
h + (
lмакс + 2
a)(
l + 2
a) (
рис. 1, а), для полуцилиндра

(
рис. 1, б), для поверхности более сложной формы (см.
рис. 1, в);

- коэффициент, учитывающий влияние ближнего акустического поля для крупногабаритного оборудования, принимаемый по опытным данным, а при их отсутствии по графику рис. 2 в зависимости от отношения расстояния
r, м, между акустическим центром источника и расчетной точкой к максимальному габаритному размеру
lмакс, м, источника шума;
Рис. 2. График для определения коэффициента

в зависимости от отношения r к максимальному
линейному размеру источника шума lмакс

- фактор направленности источника шума, безразмерный, определяемый по технической документации на источник шума или по опытным данным. Для источников шума с равномерным излучением звука следует принимать

. Если данных нет, то ориентировочно также принимается

. Для расчетных точек на расстоянии
r < 2
lмакс от акустического центра источника следует принимать

для любого источника;

- коэффициент, учитывающий нарушение диффузности звукового поля в помещении, принимаемый по опытным данным, а при их отсутствии по графику рис. 3;
Рис. 3. График для определения коэффициента

в зависимости от отношения постоянной помещения B
к площади ограждающих поверхностей Sогр
B - постоянная помещения, м
2, в октавных полосах частот, определяемая по
пп. 2.9 -
2.10.
2.8. Октавные уровни звукового давления L, дБ, в расчетных точках помещений, в которых находится несколько источников шума, определяют по формуле

, (2)
где

;

- октавный уровень звуковой мощности, дБ, создаваемый
i-ым источником шума;

можно определять по
табл. 1, положив

;
S,

,

- то же, что в
формуле (1), но для i-го источника шума;
m - количество источников шума, ближайших к расчетной точке (т.е. источников шума, для которых ri <= 5rмин, где rмин - расстояние, м, от расчетной точки до акустического центра ближайшего к ней источника шума;
n - общее количество источников шума в помещении с учетом среднего коэффициента одновременности работы оборудования;
| |
0 | 1 | 2 | 3 | 4 | 5 | 6 | 7 | 8 | 9 |
|
0 | 1 | 1,3 | 1,6 | 2 | 2,5 | 3,2 | 4 | 5 | 6,3 | 8 |
1 | 1·101 | 1,3·101 | 1,6·101 | 2·101 | 2,5·101 | 3,2·101 | 4·101 | 5·101 | 6,3·101 | 8· 101 |
2 | 1·102 | 1,3·102 | 1,6·102 | 2·102 | 2,5·102 | 3,2·102 | 4·102 | 5·102 | 6,3·102 | 8·102 |
3 | 1·103 | 1,3·103 | 1,6·103 | 2·103 | 2,5·103 | 3,2·103 | 4·103 | 5·103 | 6,3·103 | 8·103 |
4 | 1·104 | 1,3·104 | 1,6·104 | 2·104 | 2,5·104 | 3,2·104 | 4·104 | 5·104 | 6,3·104 | 8·104 |
5 | 1·105 | 1,3·105 | 1,6·105 | 2·105 | 2,5·105 | 3,2·105 | 4·105 | 5·105 | 6,3·105 | 8·105 |
6 | 1·106 | 1,3·106 | 1,6·106 | 2·106 | 2,5·106 | 3,2·106 | 4·106 | 5·106 | 6,3·106 | 8·106 |
7 | 1·107 | 1,3·107 | 1,6·107 | 2·107 | 2,5·107 | 3,2·107 | 4·107 | 5·107 | 6,3·107 | 8·107 |
8 | 1·108 | 1,3·108 | 1,6·108 | 2·108 | 2,5·108 | 3,2·108 | 4·108 | 5·108 | 6,3·108 | 8·108 |
9 | 1·109 | 1,3·109 | 1,6·109 | 2·109 | 2,5·109 | 3,2·109 | 4·109 | 5·109 | 6,3,109 | 8·109 |
10 | 1·1010 | 1,3·1010 | 1,6·1010 | 2·1010 | 2,5·1010 | 3,2·1010 | 4·1010 | 5·1010 | 6,3·1010 | 8·1010 |
11 | 1·1011 | 1,3·1011 | 1,6·1011 | 2·1011 | 2,5·1011 | 3,2·1011 | 4·1011 | 5·1011 | 6,3·1011 | 8·1011 |
12 | 1·1012 | 1,3·1012 | 1,6·1012 | 2·1012 | 2,5·1012 | 3,2·1012 | 4·1012 | 5·1012 | 6,3·1012 | 8·1012 |
|
0 | 1 | 0,8 | 0,63 | 0,5 | 0,4 | 0,32 | 0,25 | 0,2 | 0,16 | 0,13 |
1 | 1·10-1 | 0,8·10-1 | 0,63·10-1 | 0,5·10-1 | 0,4·10-1 | 0,32·10-1 | 0,25·10-1 | 0,2·10-1 | 0,16·10-1 | 0,13·10-1 |
2 | 1·10-2 | 0,8·10-2 | 0,63·10-2 | 0,5·10-2 | 0,4·10-2 | 0,32·10-2 | 0,25·10-2 | 0,2·10-2 | 0,16·10-2 | 0,13·10-2 |
3 | 1·10-3 | 0,8·10-3 | 0,63·10-3 | 0,5·10-3 | 0,4·10-3 | 0,32·10-3 | 0,25·10-3 | 0,2·10-3 | 0,16·10-3 | 0,13·10-3 |
4 | 1·10-4 | 0,8·10-4 | 0,63·10-4 | 0,5·10-4 | 0,4·10-4 | 0,32·10-4 | 0,25·10-4 | 0,2·10-4 | 0,16·10-4 | 0,13·10-4 |
5 | 1·10-5 | 0,8·10-5 | 0,63·10-5 | 0,5·10-5 | 0,4·10-5 | 0,32·10-5 | 0,25·10-5 | 0,2·10-5 | 0,16·10-5 | 0,13·10-5 |
6 | 1·10-6 | 0,8·10-6 | 0,63·10-6 | 0,5·10-6 | 0,4·10-6 | 0,32·10-6 | 0,25·10-6 | 0,2·10-6 | 0,16·10-6 | 0,13·10-6 |
7 | 1·10-7 | 0,8·10-7 | 0,63·10-7 | 0,5·10-7 | 0,4·10-7 | 0,32·10-7 | 0,25·10-7 | 0,2·10-7 | 0,16·10-7 | 0,13·10-7 |
8 | 1·10-8 | 0,8·10-8 | 0,63·10-8 | 0,5·10-8 | 0,4·10-8 | 0,32·10-8 | 0,25·10-8 | 0,2·10-8 | 0,16·10-8 | 0,13·10-8 |
9 | 1·10-9 | 0,8·10-9 | 0,63·10-9 | 0,5·10-9 | 0,4·10-9 | 0,32·10-9 | 0,25·10-9 | 0,2·10-9 | 0,16·10-9 | 0,13·10-9 |
10 | 1·10-10 | 0,8·10-10 | 0,63·10-10 | 0,5·10-10 | 0,4·10-10 | 0,32·10-10 | 0,25·10-10 | 0,2·10-10 | 0,16·10-10 | 0,13·10-10 |
Примечание. При пользовании таблицей величины K следует округлять до целых децибел.
Пример. Найти величину

для K = 89 дБ.
Решение. В
столбце "Десятки K" находим число 8. В
столбце "Единицы K" находим число 9. Искомая величина

.
Если среди (
n -
m) удаленных источников шума имеются однотипные, то допускается октавные уровни звуковой мощности для них принимать одинаковыми и равными усредненным уровням по данным для 10 - 15 источников того же типа, у которых разброс уровней звуковой мощности во всех октавных полосах не превышает 10 дБ. Тогда
формула (2) примет вид

, (2а)
где

;

- определяется как среднее арифметическое уровней звуковой мощности источников, по которым делается усреднение;
k - количество источников, октавные уровни звуковой мощности которых на 10 и более дБ превышают

хотя бы в одной октавной полосе.
Если все источники шума имеют одинаковые октавные уровни звуковой мощности

или эти уровни отличаются не более чем на 5 дБ, то

. (3)
Примечание. Для отличающихся уровней

заменяется на

, определяемое как среднее арифметическое уровней звуковой мощности рассматриваемых источников.
2.9. Постоянную
B, м
2, помещений без звукопоглощающих облицовок и конструкций в октавных полосах частот следует определять по формуле

, (4)
где
B1000 - постоянная помещения, м
2, на среднегеометрической частоте 1000 Гц, определяемая по
табл. 2 в зависимости от объема
V, м
3, и типа помещения;

- частотный множитель, определяемый по
табл. 3.
Тип помещения | Описание помещения | Постоянная помещения B1000, м2 |
| С небольшим количеством людей (металлообрабатывающие цехи, вентиляционные камеры, генераторные, машинные залы, испытательные стенды и т.п.) | |
2 | С жесткой мебелью и большим количеством людей или с небольшим количеством людей и мягкой мебелью (лаборатории, ткацкие и деревообрабатывающие цехи, кабинеты и т.п.) | |
| С большим количеством людей и мягкой мебелью (рабочие помещения зданий управлений, залы конструкторских бюро, аудитории учебных заведений и т.п.) | |
Объем помещения, м3 | Частотный множитель  на среднегеометрических частотах октавных полос |
63 | 125 | 250 | 500 | 1000 | 2000 | 4000 | 8000 |
V < 200 | 0,8 | 0,75 | 0,7 | 0,8 | 1 | 1,4 | 1,8 | 2,5 |
V = 200 - 1000 | 0,65 | 0,62 | 0,64 | 0,75 | 1 | 1,5 | 2,4 | 4,2 |
V > 1000 | 0,5 | 0,5 | 0,55 | 0,7 | 1 | 1,6 | 3 | 6 |
2.10. Постоянную помещения при наличии в помещении звукопоглощающих облицовок и конструкций следует определять по формуле

, (5)
где A - величина звукопоглощения необлицованных ограждающих поверхностей, м2, определяемая по формуле

, (6)
где

- средний коэффициент звукопоглощения в помещении до устройства звукопоглощающей облицовки, определяемый по формуле

, (7)
где
B - постоянная помещения, вычисленная в соответствии с
п. 2.9;
Sогр - общая площадь ограждающих поверхностей помещения, м2;
Sобл - площадь звукопоглощающей облицовки, м2;

- величина дополнительного звукопоглощения, определяемая по формуле

, (8)
где

- реверберационный коэффициент звукопоглощения звукопоглощающей облицовки в рассматриваемой октавной полосе частот, принимаемый по данным
табл. 42;
Aшт - величина звукопоглощения штучного звукопоглотителя, м
2, определяемая по
табл. 43;
nшт - количество штучных звукопоглотителей;

- средний коэффициент звукопоглощения в помещении со звукопоглощающими конструкциями, определяемый по формуле

. (9)
2.11. Пример расчета ожидаемых уровней звукового давления в расчетной точке по
СНиП II-12-77 "Защита от шума".
Задание. Определить октавные уровни звукового давления в расчетных точках механического цеха.
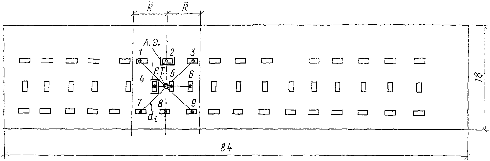
Дано. В производственном помещении длиной D = 84 м, шириной W = 18 м и высотой H = 6,2 м размещено 50 источников шума одного типа (металлообрабатывающие станки с программным управлением). Объем V = 10500 м3. Максимальный размер каждого станка lмакс = 2 м.
Шумовые характеристики (октавные уровни звуковой мощности) заданы для пятнадцати станков. Размещение станков в цехе схематически показано на плане помещения (рис. 4). Станки с заданными шумовыми характеристиками пронумерованы. Первая расчетная точка выбрана на рабочем месте станка N 33 на высоте 15 м от пола, вторая - в зоне отраженного звука в конце помещения (см. рис. 4) и на расстоянии r > 5r0 от ближайшего станка (r0 - расстояние от акустического центра до рабочего места ближайшего станка).
Рис. 4. Схема расположения источников шума, расчетных точек
и группы ближайших источников (к примеру расчета по п. 2.11)
di - расстояние от геометрического центра источника
до вертикали, проходящей через расчетную точку;
Р. Т. - расчетная точка; 7, 8, 36 - номера ближайшей
к расчетной точке группы источников шума
Уровни звуковой мощности для пятнадцати станков, окружающих расчетную точку, приведены в табл. 4. Там же приведены расстояния di и ri от расчетной точки соответственно до геометрических и акустических центров источников шума (станков), а также площади Si воображаемых поверхностей, проходящих через расчетную точку.
N п. п. | N источника шума | Расстояние до расчетной точки, м | Площадь воображаемой поверхности, Si, м2 | Уровни звуковой мощности  , дБ, при среднегеометрической частоте, Гц |
di | ri | 63 | 125 | 250 | 500 | 1000 | 2000 | 4000 | 8000 |
1 | 33 | 1 | 1,8 | 23,7 | 82 | 87 | 89 | 90 | 85 | 78 | 70 | 59 |
2 | 31 | 3 | 3,3 | 82,9 | 80,2 | 90 | 90 | 90 | 84,7 | 88 | 83,7 | 78,7 |
3 | 8 | 4,2 | 4,4 | 122 | 80,2 | 84,7 | 88,7 | 92,7 | 88,7 | 84 | 88,7 | 70 |
4 | 34 | 5 | 5,22 | 171,1 | 85,2 | 89,7 | 92,7 | 92,7 | 92,7 | 82 | 77,7 | 69,7 |
5 | 35 | 5 | 5,2 | 170 | 85,2 | 88,7 | 90,7 | 94,7 | 89,7 | 86 | 76,7 | 65,7 |
6 | 9 | 5,4 | 5,6 | 190 | 78,2 | 84,7 | 94,7 | 97,7 | 96,7 | 86 | 77,7 | 72,7 |
7 | 7 | 6 | 6,22 | 243 | 82,2 | 87,7 | 95,7 | 97,7 | 90,7 | 84 | 77,7 | 72,7 |
8 | 32 | 6 | 6,22 | 243 | 88,2 | 91,7 | 97,7 | 91,7 | 97,7 | 88 | 79,7 | 75,7 |
9 | 36 | 6,5 | 6,7 | 282 | 85,2 | 89,7 | 92,7 | 92,7 | 91,7 | 82 | 77,7 | 69,7 |
10 | 10 | 8,5 | 8,6 | 496 | 83,2 | 93,7 | 101,7 | 98,7 | 96,7 | 89 | 84,7 | 79,7 |
11 | 29 | 7,0 | 7,4 | 345 | 82,2 | 86,7 | 91,7 | 97,7 | 89,7 | 83 | 70,7 | 66,7 |
12 | 6 | 9,5 | 9,6 | 578 | 83,2 | 88,7 | 95,7 | 94,7 | 95,7 | 87 | 76,7 | 66,7 |
13 | 37 | 9 | 9,1 | 520 | 82,2 | 87,7 | 93,7 | 97,7 | 92,7 | 87 | 75,7 | 70,7 |
14 | 38 | 10 | 10,1 | 640 | 86,2 | 92,7 | 95,7 | 98,7 | 93,7 | 89 | 80,7 | 72,7 |
15 | 30 | 9 | 9,1 | 520 | 85,2 | 99,7 | 106,7 | 98,7 | 103,7 | 99,7 | 87,7 | 80,7 |
Решение. Расчет ожидаемых уровней звукового давления в расчетной точке 1 производим по
формуле (2а); в расчетной точке 2 - также по
формуле (2а), положив первый член под знаком lg равным нулю.
Значения фактора направленности источников не даны, поэтому принимаем

. Для станков N 33 и N 31 расстояния от акустических центров источников до расчетной точки меньше 2
lмакс (
lмакс = 2 м) и равны:
r1 = 1,8 м и
r2 = 3,3 м. Воображаемые поверхности правильной геометрической формы, окружающие источники шума и проходящие через расчетную точку для станка N 33 и N 31, показаны на рис. 5. Площади этих поверхностей соответственно
S33 = 23,7 м
2 и
S31 = 82,9 м
2. Для остальных станков
ri > 2
lмакс и

. Помещение относится к типу 1
(табл. 2). Определяем значение

для станка N 33 и N 31 по графику
рис. 2 при значениях
r1/
lмакс = 0,9 и
r2/
lмакс = 1,65. Получаем

и

. Для остальных станков
ri >
lмакс и

. Для определения числа ближайших источников, которые необходимо учитывать при расчете, определяем
r = 5
rмин = 5·1,8 = 9 м. Таким образом, ближайшими к расчетной точке являются источники шума N 33, N 31, N 8, N 34, N 35, N 9, N 7, N 32, N 36, N 10, N 29 (
m = 11), у которых
ri < 5
rмин. Коэффициент одновременности работы оборудования принимаем 0,8, тогда общее количество учитываемых при расчете источников
n = 50·0,8 = 40.

Рис. 5. Определение площадей воображаемых поверхностей
(S1 и S2), проходящих через расчетную точку для станков
N 33 и N 31 (к примеру расчета в п. 2.11)
Р. Т. - расчетная точка; Г. Ц. - геометрический
центр источника шума; А. Ц. - акустический центр
источника шума; S1 - поверхность, окружающая источник N 33;
S2 - поверхность, окружающая источник N 31; di - расстояние
от геометрического центра источника до вертикали, проходящей
через расчетную точку; ri - расстояние от акустического
центра источника до расчетной точки
Во втором члене
формулы (2) при определении

октавные уровни звуковой мощности для 15 источников с заданными шумовыми характеристиками берем из
табл. 4. Для остальных 25 однотипных источников октавные уровни звуковой мощности принимаем одинаковыми и равными усредненным уровням звуковой мощности по данным для 12 источников (из
табл. 4), у которых разброс октавных уровней звуковой мощности не превышает 10 дБ. При усреднении исключаем станки N 33, N 9, N 30, у которых на среднегеометрических частотах 1000 и 8000 Гц наблюдается наибольший разброс уровней. Усредненные октавные уровни звуковой мощности приведены в табл. 5.
Величина | Среднегеометрическая частота октавной полосы, Гц |
63 | 125 | 250 | 500 | 1000 | 2000 | 4000 | 8000 |
LP.ср, дБ | 83,6 | 89,3 | 93,8 | 94,9 | 92 | 85,7 | 79,2 | 71,5 |
Величину постоянной помещения
B определяем по
п. 2.9; коэффициент

- по графику на
рис. 3 (
Sогр = 4284 м
2). Весь расчет сводим в табл. 6.
Таблица 6
N п. п. | Величина | Ссылка | N источника шума | Среднегеометрическая частота октавной полосы, Гц |
63 | 125 | 250 | 500 | 1000 | 2000 | 4000 | 8000 |
| | | 33 | 1,6·108 | 5·108 | 8·108 | 1·109 | 3,2·108 | 6,3·107 | 1·107 | 8·105 |
2 | | | 13 | 1·108 | 1·109 | 1·109 | 1·109 | 3·108 | 6,3·108 | 2,2·108 | 7·107 |
3 | | | 8 | 1·108 | 3·108 | 7·108 | 1,8·109 | 7·108 | 2,5·108 | 7·108 | 1·107 |
4 | | | 34 | 3,2·108 | 1·109 | 1,8·109 | 1,8·109 | 1,8·109 | 1,6·108 | 6,3·107 | 1·107 |
5 | | | 35 | 3,2·108 | 7·108 | 1,3·109 | 3·109 | 1·109 | 4·108 | 5·107 | 4·106 |
6 | | - | 32 | 6,3·108 | 1,6·109 | 6,3·109 | 1,6·109 | 6,3·109 | 6,3·108 | 1·108 | 4·107 |
7 | | | 9 | 6,3·107 | 3,2·108 | 3,2·109 | 6,3·109 | 5·109 | 4·108 | 6,3·107 | 2·107 |
8 | | | 7 | 1,6·108 | 6,3·108 | 4·109 | 6,3·109 | 1,3·109 | 2,5·108 | 6,3·107 | 2·107 |
9 | | | 36 | 3,2·108 | 1·109 | 2·109 | 2·109 | 1,6·109 | 1,6·108 | 6,3·107 | 1·107 |
10 | | | 10 | 2·108 | 2,5·109 | 1,6·1010 | 8·109 | 5·109 | 8·108 | 3,2·108 | 1·108 |
11 | | | 29 | 1,6·108 | 5·108 | 1,6·109 | 6,3·109 | 1·109 | 2·108 | 1,3·107 | 5·106 |
12 | | | 6 | 2·108 | 8·108 | 4·109 | 3,2·109 | 4·109 | 5·108 | 5·107 | 5·106 |
13 | | | 37 | 1,6·108 | 6,3·108 | 2,5·109 | 6,3·109 | 2·109 | 5·108 | 4·107 | 1,3·107 |
14 | | | 38 | 4·108 | 2·109 | 4·109 | 8·109 | 2,5·109 | 8·108 | 1,3·108 | 2·107 |
| | | 30 | 3,2·108 | 1·1010 | 5·1010 | 8·109 | 2,5·1010 | 1·1010 | 6,3·108 | 1,3·108 |
| | | 33 | 1,3·107 | 4,2·107 | 6,7·107 | 8,4·107 | 2,7·107 | 5,3·106 | 8,4·105 | 6,7·104 |
17 | | | 31 | 1,3·106 | 1,3·107 | 1,3·107 | 1,3·107 | 4,0·106 | 8,4·106 | 2,9·106 | 9,3·105 |
18 | | - | 8 | 8,2·105 | 2,5·106 | 5,7·106 | 1,5·107 | 5,7·106 | 2,0·106 | 5,7·106 | 8,2·104 |
19 | | | 34 | 1,9·108 | 5,8·106 | 1,1·107 | 1,1·107 | 1,1·107 | 9,4·105 | 3,7·105 | 5,8·104 |
20 | | | 35 | 1,9·106 | 4,1·106 | 7,6·106 | 1,8·107 | 5,9·106 | 2,4·106 | 2,9·105 | 2,4·104 |
21 | | | 9 | 3,3·105 | 1,7·106 | 1,7·107 | 3,3·107 | 2,6·107 | 2,1·106 | 3,3·105 | 1,1·105 |
22 | | | 7 | 6,6·105 | 2,6·106 | 1,6·107 | 2,6·107 | 5,3·106 | 1·106 | 2,6·105 | 8,2·104 |
23 | | | 32 | 2,6·106 | 6,6·106 | 2,6·107 | 6,6·106 | 2,6·107 | 2,6·106 | 4,1·105 | 1,6·105 |
24 | | | 36 | 1,1·106 | 3,5·106 | 7,1·106 | 7,1·106 | 3,5·106 | 3,5·105 | 2,2·105 | 3,5·104 |
25 | | | 10 | 4,0·105 | 5,0·106 | 3,2·107 | 1,6·107 | 1·107 | 1,6·106 | 6,5·105 | 2·105 |
| | | 29 | 4,6·105 | 1,4·106 | 4,6·106 | 1,8·107 | 2,9·106 | 5,8·103 | 3,8·104 | 1,4·104 |
| | | - | 3,7·107 | 8,8·107 | 2,0·108 | 2,5·108 | 1,3·108 | 2,7·107 | 1,2·107 | 1,8·106 |
28 | B1000 | | - | - | - | - | - | 525 | - | - | - |
29 | | | - | 0,5 | 0,5 | 0,55 | 0,7 | 1 | 1,6 | 3 | 6 |
| B | | - | 263 | 263 | 290 | 370 | 525 | 840 | 1570 | 3150 |
31 |  ( Sогр = 4284 м 2) | - | - | 6·10-2 | 6·10-2 | 6,8·10-2 | 8,6·10-2 | 1,2·10-1 | 2,0·10-1 | 3,7·10-1 | 7,4·10-1 |
| | | - | 0,95 | 0,95 | 0,93 | 0,9 | 0,9 | 0,84 | 0,72 | 0,57 |
| | - | - | 1,4·10-2 | 1,4·10-2 | 1,3·10-2 | 1,04·10-2 | 0,7·10-2 | 0,4·10-2 | 0,18·10-2 | 0,07·10-2 |
| | | - | 3,6·109 | 2,3·1010 | 9,9·1010 | 6,5·1010 | 5,8·1010 | 1,6·1010 | 2,5·109 | 4,6·108 |
35 | | | - | 2,3·108 | 8,5·108 | 2,4·109 | 3,1·109 | 1,6·109 | 3,7·108 | 0,8·108 | 0,14·108 |
| | | | 5,7·109 | 2,1·1010 | 6,0·1010 | 7,7·1010 | 4,0·1010 | 9,3·108 | 2,1·109 | 3,5·108 |
| | | - | 9,3·109 | 4,4·1010 | 1,6·1011 | 1,4·1011 | 9,8·1010 | 2,5·1010 | 4,6·109 | 8,1·108 |
| | | - | 1,3·108 | 6,2·108 | 2,0·109 | 1,5·109 | 6,9·108 | 1·108 | 8,3·106 | 5,7·105 |
39 | | | - | 1,7·108 | 7,1·108 | 2,2·109 | 1,8·109 | 8,2·108 | 1,3·108 | 2,0·107 | 2,4·106 |
| | | - | 82,0 | 88,5 | 93,4 | 92,6 | 89,1 | 81,0 | 73,0 | 63,8 |
| | - | - | 81,0 | 88,0 | 93,0 | 91,7 | 88,3 | 80 | 69,2 | 57,6 |
Усовершенствованный метод расчета ожидаемых
уровней звукового давления в расчетных точках
(рекомендуется при проведении расчетов с помощью ЭВМ) <1>
--------------------------------
<1> Программа расчета на языке "Фортран-IV" имеется в НИИСФ.
2.12. Данный метод дифференцирован в отношении формы помещения и требует более детального и точного определения акустических характеристик помещения.
По своим акустическим свойствам все помещения промышленных зданий, в зависимости от соотношения их размеров (высоты H, длины D, ширины W), могут быть разбиты на три группы:
соразмерные, имеющие отношение наибольшего размера к наименьшему не более 5;
плоские, имеющие отношение длины D к высоте H более 5, а отношение ширины W к высоте H более 4;
длинные, имеющие отношение длины D к высоте H более 5, а отношение ширины W к высоте H не более 4.
Если помещение не является строго прямоугольным, размеры H, D, W берут усредненные.
2.13. Акустическими характеристиками помещений являются: средний коэффициент звукопоглощения ограждающих поверхностей -

; средняя длина свободного пробега звуковых волн в помещении -

; средний коэффициент звукопоглощения в помещении -

; показатель звукопоглощения в помещении -
a; постоянная помещения -
B (только для соразмерных помещений).
2.14. Средний коэффициент звукопоглощения ограждающих поверхностей

безразмерный, для помещения без звукопоглощающих облицовок и конструкций, находится по
табл. 7 в зависимости от типа помещения и октавной полосы частот.
Примечание. В средних коэффициентах звукопоглощения

учтено поглощение, вносимое находящимися в помещении предметами и оборудованием.
N п. п. | Тип помещения | Коэффициент звукопоглощения при среднегеометрических частотах октавных полос, Гц |
63 | 125 | 250 | 500 | 1000 | 2000 | 4000 | 8000 |
| Машинные залы, генераторные, испытательные стенды, вентиляционные камеры | 0,07 | 0,08 | 0,08 | 0,08 | 0,08 | 0,09 | 0,09 | 0,09 |
2 | Механические и металлообрабатывающие цехи, цехи предприятий пищевой промышленности и т.п. | 0,10 | 0,10 | 0,11 | 0,11 | 0,11 | 0,12 | 0,13 | 0,13 |
3 | Цехи агрегатной сборки в авиационной и судостроительной промышленности | 0,12 | 0,12 | 0,14 | 0,14 | 0,14 | 0,14 | 0,15 | 0,15 |
4 | Цехи предприятий деревообрабатывающей и текстильной промышленности | 0,11 | 0,11 | 0,12 | 0,12 | 0,14 | 0,14 | 0,14 | 0,14 |
5 | Рабочие помещения управлений, конструкторские бюро | 0,13 | 0,13 | 0,13 | 0,13 | 0,14 | 0,14 | 0,14 | 0,14 |
2.15. Средний коэффициент звукопоглощения ограждающих поверхностей в помещении со звукопоглощающими облицовками и конструкциями следует определять по формулам:

, (10)

, (11)
где

- средний коэффициент звукопоглощения ограждающих поверхностей помещения до устройства звукопоглощающей облицовки, определяемый по
табл. 7 (п. 2.14);
Sогр - общая площадь ограждающих поверхностей помещения, м2;
Sобл - площадь, занятая звукопоглощающей облицовкой, м2;

- величина звукопоглощения, вносимая звукопоглощающими конструкциями, м
2;

- реверберационный коэффициент звукопоглощения звукопоглощающей облицовки в рассматриваемой октавной полосе частот, принимаемый по данным
табл. 42;
Aшт - величина звукопоглощения штучного звукопоглотителя, м
2, определяемая по
табл. 43;
nшт - количество штучных звукопоглотителей.
2.16. Средняя длина свободного пробега звуковых волн в помещении

, м, определяется:
в соразмерных помещениях по графику
рис. 6 или по формуле

, (12)
где V - объем помещения, м3;
Sогр - суммарная площадь ограждающих поверхностей помещения, м2;
в плоских помещениях по формуле

, (13)
где H - высота помещения, м;
в длинных помещениях по формуле

, (14)
где H - высота и W - ширина помещения, м.
Рис. 6. График для определения средней длины свободного
пробега

, м, в соразмерных помещениях
пунктиром обозначено соотношение размеров 1:2:3;
сплошной линией обозначено соотношение размеров 1:3:5
2.17. Средний коэффициент звукопоглощения в помещении

, учитывающий затухание звука в воздухе, безразмерный, для необлицованных помещений вычисляют по формулам:
для октавных полос 63 - 2000 Гц

, (15)
для октавных полос 4000, 8000 Гц

, (16)
где

- средний коэффициент звукопоглощения ограждающих поверхностей помещения, принимаемый по
п. 2.14;

- средняя длина свободного пробега звуковых волн в помещении, м, определяемая по
п. 2.16;
q - показатель затухания звука в воздухе на единицу длины, 1/м, определяется по
табл. 8;

- экспоненциальный множитель, безразмерный, может быть определен по номограмме на
рис. 7 при

.
Таблица 8
Показатель затухания звука в воздухе
q, 1/м,
при температуре 18 - 20 °C
Относительная влажность воздуха, % | Среднегеометрическая частота, Гц |
125 | 250 | 500 | 1000 | 2000 | 4000 | 8000 |
30 | 0,00015 | 0,0003 | 0,00064 | 0,0012 | 0,0032 | 0,0095 | 0,0340 |
35 | 0,00015 | 0,0003 | 0,00062 | 0,0011 | 0,0028 | 0,0082 | 0,0290 |
40 | 0,00015 | 0,0003 | 0,00060 | 0,0010 | 0,0027 | 0,0075 | 0,0270 |
45 | 0,00014 | 0,00029 | 0,00059 | 0,00095 | 0,0025 | 0,0065 | 0,0230 |
50 | 0,00014 | 0,00029 | 0,00058 | 0,00080 | 0,0024 | 0,0061 | 0,0215 |
55 | 0,00014 | 0,00029 | 0,00057 | 0,00075 | 0,0023 | 0,0057 | 0,0190 |
60 | 0,00014 | 0,00028 | 0,00056 | 0,00070 | 0,0022 | 0,0055 | 0,0182 |
65 | 0,00014 | 0,00028 | 0,00055 | 0,00065 | 0,0021 | 0,0050 | 0,0164 |
70 | 0,00014 | 0,00028 | 0,00055 | 0,00063 | 0,0020 | 0,0051 | 0,0156 |
75 | 0,00014 | 0,00028 | 0,00055 | 0,00061 | 0,0020 | 0,0050 | 0,0142 |
80 | 0,00014 | 0,00028 | 0,00055 | 0,00060 | 0,0020 | 0,0049 | 0,0138 |
90 | 0,00014 | 0,00028 | 0,00055 | 0,00058 | 0,0020 | 0,0048 | 0,0124 |
Рис. 7. Номограмма для определения функции
e-x
Средний коэффициент звукопоглощения в помещении со звукопоглощающими облицовками и конструкциями

, следует определять по
формулам (15) и
(16), заменив в них

на

, а

на

, определяемый по
формулам (10) -
(11).
2.18. Показатель звукопоглощения в помещении
a, безразмерный, определяется по формуле

(17)
или по номограмме рис. 8,
Рис. 8. Номограмма для определения показателя
поглощения
a по заданному значению

где

- средний коэффициент звукопоглощения в помещении, определяемый по
п. 2.17. При

можно принять

.
2.19. Постоянную помещения
B, м
2, в октавных полосах частот для соразмерных помещений следует определять по формуле

, (18)
где

- средний коэффициент звукопоглощения в помещении, безразмерный, определяемый по
п. 2.17;
Sогр - общая площадь ограждающих поверхностей, м2.
Соразмерные помещения
2.20. Октавные уровни звукового давления
L, дБ, в расчетных точках соразмерных помещений, в которых находится один источник шума, определяют по формуле

, (19)
K - коэффициент затухания звука в воздухе, безразмерный, определяется;
где
e-qr определяется по номограмме на
рис. 7, при
x =
qr;
r - расстояние от акустического центра источника до расчетной точки, м (см.
рис. 1);
q - показатель затухания звука в воздухе, 1/м, определяется по
табл. 8;
B - постоянная помещения, м
2, определяемая по
п. 2.19.
2.21. Октавные уровни звукового давления
L, дБ, в расчетных точках помещений, в которых находится несколько источников шума, следует определять по формуле

, (20)
где

(

можно определять по
табл. 1, положив

);

,

,
Si - то же, что в
формуле (1), но для
i-го источника шума;
m - количество источников шума, ближайших к расчетной точке, т.е. источников, для которых

(

- средняя длина свободного пробега звуковых волн в помещении, определяемая по
формуле (12);
k - количество источников шума в помещении, звуковая мощность которых хотя бы в одной октавной полосе более чем на 5 дБ превышает уровень звуковой мощности наиболее шумного источника из числа ближайших к расчетной точке;
B - постоянная помещения, м
2, определяемая по
п. 2.19;
n - общее количество источников шума в помещении с учетом среднего коэффициента одновременности работы оборудования;

(можно определить по
табл. 1, положив

);

- усредненные по 10 - 15 источникам октавные уровни звуковой мощности однотипного оборудования, входящего в группу
n - (
m +
k) удаленных от расчетной точки источников шума.
Примечание. Усреднение октавных уровней звуковой мощности допускается производить, если разброс октавных уровней между отдельными источниками не превышает 15 дБ (за счет режима работы, типа обрабатываемых изделий и т.п.).
Усредненный октавный уровень звуковой мощности однотипных источников определяется по формуле

, (21)
где

;

- уровень звуковой мощности
i-го источника шума, дБ;

можно определять по
табл. 1, положив

;
N = 10 - 15 - количество источников, выбранных для усреднения октавных уровней звуковой мощности.
Примечание. Если усредняемые величины

отличаются между собой менее чем на 10 дБ, то

можно определять как среднее арифметическое уровней звуковой мощности этих источников

.
Если все источники имеют одинаковые уровни звуковой мощности

или эти уровни отличаются не более чем на 5 дБ, то

, (22)
где в случае отличающихся уровней

заменяется на

.
Плоские помещения
2.22. Октавные уровни звукового давления
L, дБ, в расчетных точках плоских помещений, в которых находится один источник шума, следует определять по формуле

, (23)
AP - член, определяющий вклад отраженного звука, вычисляемый по правилу:
для расчетных точек вблизи источника шума, когда расстояние от расчетной точки до акустического центра источника
r (см.
рис. 1) меньше удвоенной средней длины свободного пробега

, определяемой по
формуле (13),


; (24)
для расчетных точек, удаленных от источника на расстояние

,

, (25)
где
g - корректирующий множитель, безразмерный, определяемый по графику
рис. 9 или по правилу
a - показатель звукопоглощения в помещении, определяемый по
п. 2.18;

- средний коэффициент звукопоглощения в помещении, определяемый по
п. 2.17;
H - высота помещения, м;

- функция, описывающая поле рассеянного звука, определяемая по графику на
рис. 10 в зависимости от параметра

.
Рис. 9. График для определения множителя
g
Рис. 10. График для определения функций

,

,

При этом принимается

в
формуле (24) и

в
формуле (25) (
r - расстояние от акустического центра источника до расчетной точки, м).
Примечание. Если источник шума расположен у стены плоского помещения, не облицованной звукопоглощающими материалами, на расстоянии от нее меньшем
H, то второе слагаемое под знаком lg в
формуле (23) следует удвоить, а если источник расположен в углу, то умножить на 4.
2.23. Октавные уровни звукового давления
L, дБ, в расчетных точках плоских помещений, в которых находятся несколько источников шума, следует определять по формуле

(26)
m - количество источников шума, ближайших к расчетной точке, для которых

(

- средняя длина свободного пробега, определяемая по
п. 2.16);
ri - расстояние от акустического центра i-го источника шума до расчетной точки, м;

,

- значение функции

, описывающей поле рассеянного звука и определяемой по графику на
рис. 10 соответственно при

и

(
a - показатель звукопоглощения в помещении, определяемый по
п. 2.18);
n - общее количество источников шума в помещении с учетом среднего коэффициента одновременности работы оборудования;
Sп = DW - площадь пола, м2;

- функция, определяющая вклад прямого звука от
n - (
m +
k) удаленных источников;
| | ИС МЕГАНОРМ: примечание. В официальном тексте документа, видимо, допущена опечатка: имеется в виду таблица 8, а не таблица 2.8. | |
q - показатель затухания звука в воздухе, 1/м, определяется по
табл. 2.8;

- функция, определяющая вклад отраженного звука от
n - (
m +
k) удаленных источников;

,

- значения функции

, определяемые по графику на
рис. 10 соответственно при

и

;

- средний коэффициент звукопоглощения в помещении, определяемый по
п. 2.17.
Длинные помещения
2.24. Октавные уровни звукового давления
L, дБ, в расчетных точках длинных помещений, в которых находится один источник шума, следует определять по формуле

, (27)
H, W - высота и ширина помещения, м;

- функция, описывающая поле рассеянного звука, определяемая по графику на
рис. 10 в зависимости от параметра

по правилу:
для источников шума вблизи расчетной точки, когда расстояние
x от геометрического центра источника шума до плоскости поперечного сечения помещения, проведенной через расчетную точку
(рис. 12), меньше средней длины свободного пробега

, принимается

;
Рис. 11. График для определения функций
E(
ql)
для источников, удаленных от расчетной точки далее чем на

, принимается

(
a - показатель звукопоглощения в помещении, определяемый по
п. 2.18,
r - расстояние от акустического центра источника до расчетной точки).
Примечание. Если источник шума расположен у не облицованной звукопоглощающими материалами торцевой стены длинного помещения на расстоянии от нее, меньшем

, то второе слагаемое под знаком lg в
формуле (27) следует удвоить.
2.25. Октавные уровни звукового давления
L, дБ, в расчетных точках длинных помещений, в которых находится несколько источников шума, следует определять по формуле

(28)
m - количество источников шума, ближайших к расчетной точке (т.е. источников, геометрические центры которых удалены на расстояние

от поперечного сечения, в котором находится расчетная точка);
H, W - высота и ширина помещения, м;

,

- значения функции

, описывающей поле рассеянного звука и определяемой по графику на
рис. 10 соответственно при

и

(
ri - расстояние от акустического центра источника до расчетной точки, м;
a - показатель звукопоглощения в помещении, определяемый по
п. 2.18);
n - общее количество источников шума в помещении с учетом среднего коэффициента одновременности работы оборудования;
D - длина помещения, м;

- функция, определяющая вклад прямого звука от
n - (
m +
k) удаленных источников;
D1 - расстояние от расчетной точки до одной из торцевых стен, м;
D2 = D - D1 - расстояние от расчетной точки до второй торцевой стены;
| | ИС МЕГАНОРМ: примечание. В официальном тексте документа, видимо, допущена опечатка: имеется в виду таблица 8, а не таблица 2.8. | |
q - показатель затухания звука в воздухе, 1/м, определяется по
табл. 2.8;
E(
qli) - значения функции
E(
ql), учитывающей затухание звука в воздухе, определяемые по графику на
рис. 11 соответственно при

,
l =
l2 =
D1 и
l =
l3 =
D2;

- значение функции

, определяемое по графику на
рис. 10 при

(
a - показатель звукопоглощения в помещении);

- коэффициент звукопоглощения в помещении.
Упрощенные методы расчета
(рекомендуются для проведения расчетов без применения ЭВМ)
1-й метод. Известны спектры звуковой мощности оборудования.
2.26. В соразмерном или плоском помещении выбирается один или несколько (в соответствии с требованиями
п. 2.6) локальных участков в форме круга с центром в расчетной точке и радиусом

- для соразмерных и

- для плоских помещений (

- средняя длина свободного пробега звуковых волн в помещении, определяемая по
п. 2.16). Для длинных помещений локальный участок выбирается в виде прямоугольника, средняя линия которого проходит через расчетную точку. Расстояние от средней линии локального участка до края (по длине в ту и другую сторону) равно

, а ширина совпадает с шириной помещения
W (см.
рис. 12).
В выбранной расчетной точке определяется вклад прямого звука от всех ближайших источников, расположенных в пределах указанного локального участка, а также от источников вне этого участка, уровни звуковой мощности которых хотя бы в одной октавной полосе на 5 дБ и более превышают уровни звуковой мощности наиболее шумных из ближайших к расчетной точке источников или на 10 дБ и более - усредненные уровни для типичных удаленных источников (см.
п. 2.21). При вычислении вклада прямого звука от ближайших источников можно пренебречь поглощением звука в воздухе, т.е. положить
Ki = 1, в
формулах (29) -
(31).
В выбранной расчетной точке определяется вклад рассеянного звука от ближайших источников и от наиболее шумных источников, расположенных за пределами выбранного локального участка.
Определяется вклад рассеянного звука от однотипных источников, расположенных за пределами выбранного локального участка (только для соразмерных помещений). При этом в расчете используются усредненные октавные уровни звуковой мощности по 10 - 15 однотипным источникам (для которых известны шумовые характеристики), имеющим разброс уровней звуковой мощности между отдельными источниками не более 15 дБ (за счет режима работы, типа обрабатываемых деталей и т.п. (см.
п. 2.21).
2.27. Октавные уровни звукового давления в выбранной расчетной точке, от всех принимаемых в расчет источников шума следует определять:
для соразмерных помещений по формуле

, (29)
где

,

,
Si,
Ki,
m,
k - то же, что в
формуле (20), но
Ki = 1 для 1 <=
i <=
m;
B - постоянная помещения, определяемая по
п. 2.19;
n - общее количество источников шума в помещении с учетом среднего коэффициента одновременности работы оборудования;
для плоских помещений по формуле

, (30)
где

,

,
Si,
k,
Ki - то же, что в
формуле (20), но
Ki = 1 для 1 <
i <
m;
Ппл - коэффициент, учитывающий вклад рассеянного звука от n - (m + k) удаленных однотипных источников.
Коэффициент Ппл определяют по формулам:
для расчетных точек, выбранных на рабочих местах у источников с наибольшими уровнями звукового давления (см.
п. 2.6), когда звуковая мощность
Li большинства из ближайших станков на 5 дБ и более превышает средний уровень звуковой мощности

(см.
п. 2.21) удаленных станков или когда звуковая мощность хотя бы одного из ближайших станков на 10 и более дБ превышает средний уровень звуковой мощности удаленных станков, то
Ппл = 1;
для расчетных точек, выбранных на рабочих местах у источников с типичными или наименьшими уровнями звукового давления

,
где
a - показатель звукопоглощения в помещении, определяемый по
п. 2.18;
n - общее количество источников шума в помещении с учетом среднего коэффициента одновременности работы оборудования;
для длинных помещений по формуле

, (31)
где

,

,
Si,
k,
Ki - то же, что в
формуле (20), но
Ki = 1 для 1 <=
i <=
m;
Пдл - коэффициент, учитывающий вклад рассеянного звука от n - (m + k) удаленных однотипных источников, определяемый по формулам:
для расчетных точек, выбранных на рабочих местах у источников с наибольшими уровнями звукового давления при условиях, аналогичных случаю плоского помещения:
Пдл = 1;
для расчетных точек, выбранных на рабочих местах у источников с типичными или наименьшими уровнями звукового давления:
где
a - показатель звукопоглощения в помещении, определяемый по
п. 2.18;
n - общее количество источников шума в помещении с учетом среднего коэффициента одновременности работы оборудования.
2.28. Пример расчета ожидаемых уровней звукового давления по первому упрощенному методу.
Задание. Определить октавные уровни звукового давления в расчетной точке в помещении механического цеха.
Дано. В производственном помещении длиной D = 84 м, шириной W = 18 м и высотой H = 6,2 м (см. рис. 12) размещены источники шума одного типа (металлообрабатывающие станки с программным управлением), n = 50.
Рис. 12. Схема расположения источников шума, расчетной точки
и группы ближайших источников (к примеру расчета по п. 2.28)
xi - расстояние от акустического центра источника
до плоскости поперечного сечения, проходящей через расчетную
точку; di - расстояние от геометрического центра источника
до вертикали, проходящей через расчетную точку;
Р. Т. - расчетная точка 7, 8, ..., 36 - номера
ближайшей к расчетной точке группы источников шума
В качестве шумовых характеристик заданы октавные уровни звуковой мощности девяти ближайших к расчетной точке станков и одного удаленного, более шумного (N 30) станка, представленные в табл. 9. Фактор направленности станков неизвестен и принимается

. Влажность в помещении цеха 50%. Расчетная точка выбрана около станка N 33. Вычисленные площади воображаемых поверхностей правильной геометрической формы, окружающих источники шума и проходящих через расчетную точку (см.
рис. 5), для станка N 33
S33 = 23,7 м
2, для станка N 31
S31 = 82,9 м
2. Для остальных станков

.
N п. п. | N источника шума | Расстояние от геометрического центра источника до вертикали, проходящей через расчетную точку di, м | Расстояние от акустического центра до расчетной точки ri, м | | Площадь воображаемой поверхности Si, м2 | | Уровни звуковой мощности  , дБ, при среднегеометрической частоте, Гц |
63 | 125 | 250 | 500 | 1000 | 2000 | 4000 | 8000 |
1 | 33 | 1,5 | - | - | 23,7 | 0,042 | 82 | 87 | 89 | 90 | 85 | 78 | 70 | 59 |
2 | 31 | 3,0 | - | - | 82,9 | 0,012 | 80,2 | 90 | 90 | 90 | 84,7 | 88 | 83,7 | 78,7 |
3 | 8 | 4,2 | 4,4 | - | 122 | 0,0082 | 80,2 | 84,7 | 88,7 | 92,7 | 88,7 | 84 | 88,7 | 70 |
4 | 34 | 5,0 | 5,2 | - | 169,8 | 0,0059 | 85,2 | 89,7 | 92,7 | 92,7 | 92,7 | 82 | 77,7 | 69,7 |
5 | 35 | 5,0 | 5,2 | - | 169,8 | 0,0059 | 85,2 | 88,7 | 90,7 | 94,7 | 89,7 | 86 | 76,7 | 65,7 |
6 | 9 | 5,4 | 5,6 | - | 196,9 | 0,0051 | 78,2 | 84,7 | 94,7 | 97,7 | 96,7 | 86 | 77,7 | 72,7 |
7 | 7 | 6,0 | 6,2 | - | 241,4 | 0,0041 | 82,2 | 87,7 | 95,7 | 97,7 | 90,7 | 84 | 77,7 | 72,7 |
8 | 32 | 6,0 | 6,2 | - | 241,4 | 0,0041 | 88,2 | 91,7 | 97,7 | 91,7 | 97,7 | 88 | 79,7 | 75,7 |
9 | 36 | 6,5 | 6,7 | - | 282 | 0,0035 | 85,2 | 89,7 | 92,7 | 92,7 | 91,7 | 82 | 77,7 | 69,7 |
| 30 | 9,0 | 9,1 | 1,26 | 520 | 0,0019 | 85,2 | 99,7 | 106,7 | 98,7 | 103,7 | 99,7 | 87,7 | 80,7 |
Решение. Для проведения акустического расчета определяем тип рассматриваемого помещения в зависимости от соотношения его основных размеров (см.
п. 2.12). Поскольку
D/
H > 5,
W/
H < 4, то помещение механического цеха по форме можно считать длинным. Помещение цеха следует отнести к типу 2
(табл. 7).
По данным этой
таблицы определяем величины средних коэффициентов звукопоглощения ограждающих конструкций помещения

, затем по
формуле (14) среднюю длину свободного пробега

и по
п. 2.17 средние значения коэффициентов звукопоглощения

. По полученным значениям

вычисляем показатели звукопоглощения
a (с помощью номограммы
рис. 8) и коэффициенты
g по графику
рис. 9. Определяем параметр
g/
WH (
HW = 111,6 м
2). Все полученные данные сводим в табл. 10.
N п. п. | Величина | Единица измерения | Ссылка | Среднегеометрическая частота октавной полосы, Гц |
63 | 125 | 250 | 500 | 1000 | 2000 | 4000 | 8000 |
1 | | - | | 0,1 | 0,1 | 0,11 | 0,11 | 0,11 | 0,12 | 0,13 | 0,13 |
2 | | м | | 7,24 | 7,24 | 7,24 | 7,24 | 7,24 | 7,24 | 7,24 | 7,24 |
| q | 1/м | | - | 0,00014 | 0,00029 | 0,00058 | 0,0008 | 0,0024 | 0,0061 | 0,0215 |
4 | | - | - | - | 0,001 | 0,0021 | 0,0042 | 0,0058 | 0,0174 | 0,044 | 0,156 |
5 | | - | | 0,1 | 0,1 | 0,11 | 0,11 | 0,115 | 0,135 | 0,17 | 0,26 |
6 | a | - | | 0,1 | 0,1 | 0,115 | 0,115 | 0,120 | 0,145 | 0,19 | 0,3 |
7 | g | - | | 1,0 | 1,0 | 1,05 | 1,05 | 1,05 | 1,1 | 1,1 | 1,15 |
| (HW = 111,6 м2) | - | - | 0,009 | 0,009 | 0,01 | 1,01 | 0,01 | 0,01 | 0,01 | 0,01 |
9 | qri для i = 10 (станок N 30) | - | | - | - | - | - | - | - | 0,062 | 0,217 |
10 | Ki для i = 10 | - | - | 1 | 1 | 1 | 1 | 1 | 1 | 0,94 | 0,80 |
Отмечаем на плане
рис. 12 поперечное сечение, проходящее через расчетную точку (Р. Т.), и откладываем от него вправо и влево расстояния

. Определяем количество и номера источников, ближайших к расчетной точке, на расстояниях

по обе стороны от сечения, проходящего через расчетную точку. Учитываем также более шумный источник N 30 за пределами этой зоны. Уровни звуковой мощности всех этих источников приведены в качестве исходных данных в
табл. 9.
Расстояния
ri от акустических центров источников до расчетной точки, соответствующие площадям воображаемых поверхностей
Si, проходящих через расчетную точку, и величины

(

,
Ki = 1) также приведены в
табл. 9.
Расчет уровней звукового давления в расчетной точке производим по
формуле (31). Общее количество принимаемых в расчет источников шума
m +
k = 10, количество ближайших источников на расстоянии

от расчетной точки
m = 9,
k = 1. Расчет всех членов, входящих в
формулу (31), сводим в табл. 11.
N п. п. | Величина | Ссылка | N источника шума | Среднегеометрическая частота октавной полосы, Гц |
63 | 125 | 250 | 500 | 1000 | 2000 | 4000 | 8000 |
| | | 33 | 1,6·108 | 5·108 | 8·108 | 1·109 | 3,2·108 | 6,3·107 | 1·107 | 8·108 |
2 | | | 31 | 1·108 | 1·109 | 1·109 | 1·109 | 3,2·108 | 6,3·108 | 2,5·108 | 8·107 |
3 | | | 8 | 1·108 | 3,2·108 | 8·108 | 2·109 | 8·108 | 2,5·108 | 8·108 | 1·107 |
4 | | | 34 | 3,2·108 | 1·109 | 2·109 | 2·109 | 2·109 | 1,6·108 | 6,3·107 | 1·107 |
| | ИС МЕГАНОРМ: примечание. При публикации данного документа в издании М.: Стройиздат, 1982 допущен типографский брак. Текст, не пропечатанный в официальном тексте документа, в электронной версии данного документа выделен треугольными скобками. | |
|
5 | | | 35 | 3,2·108 | 8·108 | 1,3·109 | 3,2·109 | 1·109 | 4·108 | 5·107 | 4·10<...> |
6 | | | 9 | 6,3·107 | 3,2·108 | 3,2·109 | 6,3·109 | 5·109 | 4·108 | 6,3·107 | 2·107 |
7 | | | 7 | 1,6·108 | 6,3·108 | 4·109 | 6,3·109 | 1,3·109 | 2,5·108 | 6,3·107 | 2·107 |
8 | | | 32 | 6,3·108 | 1,6·109 | 6,3·109 | 1,6·109 | 6,3·109 | 6,3·108 | 1·108 | 4·107 |
| | | 36 | 3,2·108 | 1·109 | 2·109 | 2·109 | 1,6·109 | 1,6·10<...> | 6,3·107 | 2·107 |
| | | 30 | 3,2·108 | 1·1010 | 5·1010 | 8·109 | 2,5·1010 | 1·1010 | 6,3·10<...> | 1,3·10<...> |
| | | 33 | 6,7·106 | 2,1·107 | 3,4·107 | 4,2·107 | 1,3·107 | 2,6·10<...> | 4,2·104 | 3,4·104 |
12 | | | 31 | 1,2·106 | 1,2·107 | 1,2·107 | 1,2·107 | 1,8·106 | 7,6·106 | 3,0·106 | 9,6·105 |
13 | (  , Ki = 1) | | 8 | 0,8·106 | 2,6·10<...> | 6,6·106 | 1,6·107 | 6,6·106 | 2,1·106 | 6,6·106 | 8,2·104 |
14 | | | 34 | 1,9·106 | 5,9·106 | 1,2·107 | 1,2·107 | 1,2·107 | 9,4·106 | 3,7·105 | 5,9·104 |
15 | | | 35 | 1,9·106 | 4,7·106 | 7,7·106 | 1,9·107 | 5,9·106 | 2,4·106 | 3,0·105 | 2,4·104 |
16 | | | 9 | 3,2·10<...> | 1,6·106 | 1,6·107 | 3,2·107 | 2,6·107 | 2,0·10<...> | 3,2·105 | 1,0·105 |
17 | | | 7 | 6,6·106 | 2,6·106 | 1,6·107 | 2,6·107 | 5,3·106 | 1,0·106 | 2,6·10<...> | 8,2·104 |
18 | | | 32 | 2,6·106 | 6,6·106 | 2,6·107 | 6,6·106 | 2,6·107 | 2,6·107 | 4,1·105 | 1,6·105 |
19 | | | 36 | 1,1·105 | 3,6·106 | 7,1·106 | 7,1·10<...> | 5,7·106 | 5,7·10<...> | 2,2·105 | 3,6·104 |
| | | 30 | 6,1·105 | 1,9·107 | 9,5·107 | 1,5·107 | 4,75·107 | 1,9·107 | 1,1·106 | 2·105 |
| | | - | 1,78·107 | 7,96·107 | 2,97·108 | 1,88·10<...> | 1,52·108 | 4,08·107 | 1,26·107 | 1,74·106 |
| | | - | 2,17·109 | 7,17·109 | 2,14·1010 | 2,54·1010 | 1,86·1010 | 2,94·109 | 1,46·109 | 1,95·108 |
| (HW = 111,6 м2) | | - | 0,009 | 0,009 | 0,01 | 0,01 | 0,01 | 0,01 | 0,01 | 0,01 |
|  при  | | - | 0,9 | 0,9 | 0,9 | 0,9 | 0,9 | 0,6 | 0,5 | 0,30 |
| Пдл = 1 + 0,8 x (1 - 2a) | | - | 1,62 | 1,62 | 1,59 | 1,59 | 1,58 | 1,55 | 1,48 | 1,31 |
| | | - | 0,013 | 0,013 | 0,015 | 0,015 | 0,014 | 0,009 | 0,007 | 0,004 |
| | | - | 2,8·107 | 9,3·107 | 3,1·108 | 3,68·108 | 2,6·108 | 2,6·107 | 1,1·107 | 7,8·105 |
28 | | | 30 | 0,9 | 0,9 | 0,65 | 0,65 | 0,6 | 0,55 | 0,45 | 0,25 |
| | | 30 | 2,9·108 | 9·109 | 3,3·1010 | 5,2·109 | 1,5·109 | 5,5·109 | 2,83·10<...> | 3,3·107 |
| (для ист. 30) | | - | 2,6·106 | 8,1·107 | 3,25·108 | 5,2·107 | 1,5·108 | 5,5·107 | 2,83·106 | 3,3·107 |
31 | | | - | 11,84·107 | 2,54·108 | 9,32·108 | 6,08·108 | 5,62·108 | 1,3·108 | 2,64·107 | 2,9·10<...> |
| | | - | 77 | 84 | 90 | 88 | 88 | 81 | 74 | 65 |
2-й метод. Известны октавные уровни звукового давления на рабочих местах или на расстоянии 0,5 м от наиболее шумных узлов одиночно работающего оборудования.
2.29. Октавные уровни звукового давления в расчетных точках помещений, в которых находится много источников шума, определяются в следующей последовательности:
В помещении выбирают один или несколько (в соответствии с требованиями
п. 2.6) локальных участков в форме круга с центром в расчетной точке и радиусом

(

- средняя длина свободного пробега звуковых волн в помещении, определяемая по
п. 2.16). Площадь помещения за пределами локального участка разбивается на зоны в виде концентрических колец шириной

(рис. 13) таким образом, чтобы расстояния от выбранной расчетной точки до средней линии рассматриваемой зоны составляли

,

,

,

и т.д.
Рис. 13. Схема расположения источников шума,
расчетной точки, группы ближайших источников
и выбираемых зон расположения удаленных источников

- расстояние по горизонтали от рабочего места
i-го источника шума до расчетной точки;
dj - расстояние от средней линии рассматриваемой j-ой зоны до расчетной точки;
6, 7, ... 38 - номера ближайшей к расчетной точке группы источников;
Р. Т. - расчетная точка;
сплошной линией обозначена средняя линия рассматриваемой зоны; пунктиром обозначены границы рассматриваемых зон
Подсчитывают количество источников на выбранном локальном участке радиусом

(центральный источник, на рабочем месте которого выбрана расчетная точка, исключается), а также количество источников
k вне этого участка, у которых уровни звукового давления на рабочих местах (или на расстоянии 0,5 м от наиболее шумных узлов) хотя бы в одной октавной полосе на 5 дБ и более превышают соответствующие уровни наиболее шумного из источников, находящихся в пределах локального участка, прилегающего к расчетной точке.
Для каждого из этих (m + k) источников определяются октавные уровни звукового давления Li в выбранной расчетной точке по формуле

, (32)
где Lui - октавный уровень звукового давления, дБ, на рабочем месте (или в 0,5 м от наиболее шумного узла) i-го источника шума при одиночной его работе;

- снижение октавного уровня звукового давления, дБ, на расстоянии
di (в плоскости, параллельной полу) от рабочего места
i-го источника шума до расчетной точки, определяемое по графикам на рис. 14 -
16 соответственно для соразмерных, плоских и длинных помещений.
Рис. 14. Относительные спады уровней звукового
давления в соразмерных помещениях в зависимости
от среднего коэффициента звукопоглощения помещения


;
V = 2000 - 4000 м
3
Рис. 15. Относительные спады уровней звукового давления
в плоских помещениях в зависимости от среднего коэффициента
звукопоглощения помещения

, средней длины свободного
пробега

и объема помещения
V
а)

,
V = 4000 - 40000 м
3;
б)

,
V = 40000 - 150000 м
3;
в)

,
V = 150000 - 1000000 м
3
Рис. 16. Относительные спады уровней звукового давления
в длинных помещениях от среднего коэффициента
звукопоглощения помещения

в зависимости от средней
длины свободного пробега

и объема помещения
V
а)

,
V = 2400 - 10000 м
3;
б)

,
V = 40000 - 150000 м
3;
в)

,
V = 200000 - 450000 м
3
Графики на
рис. 14 -
16 представляют собой относительные спады уровней звукового давления, дБ, по помещению при удалении от источника шума. За нуль дБ принят уровень звукового давления на рабочем месте или на расстоянии 0,5 м от наиболее шумного узла источника шума. Расстояние
di отсчитывается в горизонтальной плоскости, параллельной полу, на высоте 1,5 м от пола.
Параметрами кривых на графиках
рис. 14 -
16 являются средние коэффициенты звукопоглощения помещения

, определяемые по
п. 2.17.
Величины снижения октавного уровня звукового давления

, входящие в
формулу (32), могут быть определены также и аналитически по формулам:
для соразмерных помещений

; (33)
для плоских помещений

; (34)
для длинных помещений

, (35)
где
Sоi - площадь воображаемой поверхности, правильной геометрической формы, окружающей рассматриваемый источник шума и проходящий через точку, расположенную на рабочем месте или на расстоянии 0,5 м от наиболее шумного узла машины
(рис. 1).
Определяют суммарные октавные уровни звукового давления Lсум.1 в расчетной точке от выбранных m + k источников шума, а также от центрального источника шума (при его наличии) по формуле

, (36)
где L0 - октавный уровень звукового давления, дБ, на рабочем месте центрального источника шума (около которого выбрана расчетная точка).
Величину
Lсум.1 можно определять по правилу сложения уровней, пользуясь
табл. 3 приложения.
Определяют суммарные октавные уровни звукового давления Lсум.2 в выбранной расчетной точке от источников шума, не учтенных при определении Lсум.1, следующим образом.
Принимают, что все источники шума, в пределах одной кольцевой зоны равноудалены от расчетной точки и находятся на расстоянии средней линии кольцевой зоны. Подсчитывается количество источников шума в каждой кольцевой зоне (в это количество не включаются наиболее шумные источники, которые уже были учтены при определении Lсум.1). Для однотипных источников шума в каждой кольцевой зоне октавные уровни звукового давления на рабочих местах одиночно работающего оборудования усредняются. Усредненные уровни звукового давления определяют по формуле

, (37)
где
Luj - то же, что
Lui в
формуле (32), но для источников, расположенных в
j-ой кольцевой зоне;
nj - количество источников шума в j-ой кольцевой зоне.
Примечания: 1. Если разброс между октавными уровнями звукового давления отдельных станков превышает 10 дБ, то усредненные уровни следует определять по
формуле (21), заменив в ней

на
Lср.з.j, а

на

.
2. Станки, у которых разброс между октавными уровнями звукового давления превышает 15 дБ, при усреднении исключаются. Затем определяются октавные уровни звукового давления Lj в выбранной расчетной точке от всех однотипных источников, расположенных в j-ой зоне, по формуле

, (38)
где
Lср.з.j - принятый усредненный октавный уровень звукового давления, дБ, на рабочем месте каждого источника шума в пределах
j-ой кольцевой зоны, определяемый по
формуле (37) или
(21);

- снижение октавного уровня звукового давления на расстоянии
dj от средней линии
j-ой кольцевой зоны до расчетной точки, определяемое по графикам на
рис. 14,
15 или
16, или по
формулам (33) -
(35).
Суммарные октавные уровни звукового давления Lсум.2 определяются по формуле

, (39)
где N - количество кольцевых зон за пределами локального участка, в центре которого выбрана расчетная точка (рекомендуется принимать количество кольцевых зон не менее 3 для длинных и соразмерных помещений и не менее 5 для плоских).
Определяют октавные уровни звукового давления L, дБ, в расчетной точке от всех одновременно работающих источников шума по формуле

, (40)
2.30. Пример расчета ожидаемых уровней звукового давления по второму упрощенному методу.
Задание. Определить октавные уровни звукового давления в расчетной точке в помещении механического цеха, когда отсутствуют шумовые характеристики (спектры звуковой мощности) технологического оборудования, но известны уровни звукового давления на рабочих местах одиночно работающего оборудования.
Дано. В производственном помещении объемом 10 500 м
3 равномерно размещены источники шума (однотипные металлообрабатывающие станки),
n = 50. Технологическая планировка цеха схематически дана на
рис. 13. Геометрические параметры помещения приведены в табл. 12.
Таблица 12
Геометрические параметры помещения |
объем V, м3 | высота H, м | ширина W, м | длина D, м | | | |
10500 | 6,2 | 18 | 84 | 13,5 | 3 | 7,2 |
В качестве шумовых характеристик заданы октавные уровни звукового давления, измеренные на рабочих местах одиночно работающего оборудования и приведенные для 15 станков в табл. 13.
N п.п. | N источника шума | Расстояние от рабочего места источника шума до расчетной точки  , м | Октавные уровни звукового давления на рабочих местах одиночно работающего оборудования при среднегеометрической частоте, Гц |
63 | 125 | 250 | 500 | 1000 | 2000 | 4000 | 8000 |
1 | 33 | 0,5 | 68,3 | 73,3 | 75,3 | 76,3 | 71,3 | 64,3 | 56,3 | 45,3 |
2 | 31 | 2 | 65,5 | 76,3 | 76,3 | 76,3 | 71,0 | 74,3 | 70,0 | 65,0 |
3 | 8 | 3 | 65,5 | 71,0 | 75,0 | 79,0 | 75,0 | 70,3 | 75,0 | 56,0 |
4 | 34 | 5 | 71,5 | 76,0 | 79,0 | 70,0 | 79,0 | 68,3 | 64,0 | 56,0 |
5 | 35 | 6 | 71,5 | 75,0 | 77,0 | 81,0 | 76,0 | 72,3 | 63,0 | 52,0 |
6 | 9 | 5 | 64,5 | 71,0 | 81,0 | 84,0 | 83,0 | 72,3 | 64,0 | 58,0 |
7 | 7 | 4 | 69,5 | 74,0 | 82,0 | 84,0 | 77,0 | 70,3 | 64,0 | 59,0 |
8 | 32 | 7 | 74,5 | 78,0 | 84,0 | 78,0 | 84,0 | 74,3 | 66,0 | 62,0 |
9 | 36 | 6 | 71,5 | 76,0 | 79,0 | 79,0 | 78,0 | 68,3 | 64,0 | 56,0 |
10 | 30 | 10 | 71,5 | 86,0 | 92,3 | 85,0 | 90,0 | 86,0 | 74,0 | 67,0 |
11 | 29 | 6 | 68,5 | 73,0 | 78,0 | 84,0 | 76,0 | 69,3 | 57,0 | 53,0 |
12 | 37 | 10 | 68,5 | 74,0 | 80,0 | 84,0 | 79,0 | 73,3 | 62,0 | 57,0 |
13 | 10 | 9 | 69,5 | 80,0 | 88,0 | 85,0 | 83,0 | 75,3 | 71,0 | 66,0 |
14 | 6 | 8 | 69,5 | 74,5 | 82,0 | 81,0 | 82,0 | 73,3 | 63,0 | 53,0 |
15 | 38 | 9 | 72,5 | 79,0 | 82,0 | 85,0 | 79,5 | 75,3 | 67,0 | 59,0 |
Уровни звукового давления на рабочих местах у остальных станков не заданы, но оборудование в цехе однотипное, и среди этих станков отсутствуют станки, уровни звукового давления на рабочих местах которых превышают уровни у станков ближайшей группы. Все источники работают одновременно. Влажность в помещении цеха 50%.
Октавные уровни звукового давления на рабочих местах одиночно работающего оборудования (для 15 станков) имеют разброс (из-за влияния режима работы, обрабатываемых деталей и т.д.) в среднем не более 10 дБ (кроме частот 500 и 1000 Гц, где разброс достигает 20 дБ за счет станков N 9, N 30, N 33). Для остальных станков в цехе уровни звукового давления на рабочих местах принимают равными усредненным уровням по данным для 12 станков (станки N 9, N 30 и N 33 при усреднении исключаются). Эти уровни определяем по
формуле (37), положив
nj = 12, а за
Luj приняв уровни звукового давления на рабочих местах у каждого из 12 станков (см.
табл. 13). Результаты представлены в табл. 14.
Величина | Среднегеометрическая частота, Гц |
64 | 125 | 250 | 500 | 1000 | 2000 | 4000 | 8000 |
Усредненный уровень звукового давления Lср, дБ | 70 | 75,5 | 80 | 81 | 78,5 | 72 | 65,5 | 58 |
Решение. Для проведения акустического расчета первоначально устанавливается форма рассматриваемого помещения в зависимости от соотношения его основных размеров. Поскольку

,

(см.
п. 2.12), то помещение механического цеха по форме можно считать длинным. Помещение цеха следует отнести к типу 2 в соответствии с данными
табл. 7. По данным этой
таблицы определяем величины средних коэффициентов звукопоглощения ограждающих конструкций помещения

, а по
п. 2.17 - средние коэффициенты звукопоглощения помещения

в зависимости от величины

,

и
q. Результаты записываем в табл. 15.
Таблица 15
N п. п. | Величина | Ссылка | Среднегеометрическая частота, Гц |
63 | 125 | 250 | 500 | 1000 | 2000 | 4000 | 8000 |
1 | | | 0,1 | 0,1 | 0,11 | 0,11 | 0,11 | 0,12 | 0,13 | 0,13 |
2 | | | 0,9 | 0,9 | 0,89 | 0,89 | 0,89 | 0,88 | 0,87 | 0,87 |
3 | | | 29·10-5 | 29·10-5 | 29·10-5 | 58·10-5 | 80·10-5 | 24·10-4 | 61·10-4 | 215·10-4 |
4 | | | 209·10-5 | 209·10-5 | 209·10-5 | 42·10-4 | 576·10-5 | 173·10-4 | 439·10-4 | 155·10-3 |
5 | | | 186·10-5 | 186·10-5 | 186·10-5 | 374·10-5 | 513·10-5 | 152·10-4 | 382·10-4 | 135·10-3 |
6 | | | 0,101 | 0,101 | 0,101 | 0,104 | 0,105 | - | - | - |
7 | | - | - | - | - | - | - | 0,983 | 0,957 | 0,856 |
8 | | - | - | - | - | - | - | 0,865 | 0,833 | 0,745 |
9 | | | - | - | - | - | - | 0,14 | 0,17 | 0,26 |
10 | | | 0,10 | 0,10 | 0,10 | 0,10 | 0,11 | 0,14 | 0,17 | 0,26 |
Далее на технологической планировке производственного помещения выделяем локальный участок (см.
рис. 13), в центре которого выбираем расчетную точку (на рабочем месте оператора станка N 33) на высоте 1,5 м от пола.
Определяем количество станков ближайшей группы путем подсчета их числа на площади круга с радиусом

. В нашем случае оно составляет 15 единиц оборудования (
m = 15). По технологической планировке цеха определяем также расстояния от расчетной точки до рабочих мест станков ближайшей группы

(см.
табл. 13). Затем оставшуюся производственную площадь разбиваем на 5 кольцевых зон, средние линии которых удалены от расчетной точки на расстояния

;

;

;

;

. Учитываем три зоны и в каждой из них подсчитываем общее количество станков:
n1 = 12;
n2 = 11;
n3 = 6.
Уровни звукового давления
Lср.j для каждого станка во всех зонах принимаем равными
Lср из
табл. 14.
Величины снижения уровней звукового давления

, или

, дБ, соответственно от источников ближайшей группы или средних линий кольцевых зон до расчетной точки определяем по графикам
рис. 16 и записываем в табл. 16.
N источника шума и кольцевой зоны | Расстояние от расчетной точки до рабочего места источника шума (  , м) или средней линии кольцевой зоны ( dj, м) | Среднегеометрическая частота, Гц |
63 | 125 | 2500 | 500 | 1000 | 2000 | 4000 | 8000 |
31 | 2 | -2 | -2 | -2 | -2 | -2 | -2 | -2 | -2 |
8 | 3 | -3 | -3 | -3 | -3 | -3 | -3 | -3 | -3 |
7 | 4 | -5 | -5 | -5 | -5 | -5 | -5 | -5 | -5 |
9, 34 | 5 | -6 | -6 | -6 | -6 | -6 | -6 | -6 | -6 |
29, 35, 36 | 6 | -7 | -7 | -7 | -7 | -7 | -7 | -7 | -8 |
32 | 7 | -8 | -8 | -8 | -8 | -8 | -8 | -8 | -9 |
6 | 8 | -8 | -8 | -8 | -8 | -8 | -9 | -9 | -10 |
10, 38 | 9 | -9 | -9 | -9 | -9 | -9 | -10 | -10 | -11 |
30, 37 | 10 | -9 | -9 | -9 | -9 | -9 | -10 | -10 | -12 |
I зона (2R) | 14,4 | -11 | -11 | -11 | -11 | -11 | -12 | -13 | -14 |
II зона (3R) | 26,6 | -14 | -14 | -14 | -14 | -14 | -18 | -18 | -20 |
III зона (4R) | 28,8 | -15 | -15 | -15 | -15 | -15 | -19 | -19 | -22 |
Октавные уровни звукового давления
Li, создаваемые каждым источником ближайшей группы в расчетной точке, определяем по
формуле (32). Суммарный уровень от всех станков этой группы
Lсум.1 определяем по
формуле (36) при
k = 0. Расчет сводим в табл. 17.
Таблица 17
N источника шума или зоны | Расстояние от расчетной точки до рабочего места у источника шума,  , м | Обозначение уровня звукового давления i-го станка | Среднегеометрическая частота, Гц |
63 | 125 | 250 | 500 | 1000 | 2000 | 4000 | 8000 |
33 | 0,5 | L0 | 68,3 | 73,3 | 75,3 | 76,3 | 71,3 | 64,3 | 56,3 | 45,3 |
31 | 2 | L1 | 64,5 | 74 | 74,3 | 74,3 | 69 | 72 | 68 | 63 |
8 | 3 | L2 | 63,5 | 68 | 72 | 76 | 72 | 67 | 72 | 53 |
34 | 5 | L6 | 66 | 70 | 73 | 73 | 73 | 62 | 58 | 50 |
35 | 6 | L5 | 64,5 | 68 | 70 | 74 | 69 | 65 | 55 | 44 |
9 | 5 | L3 | 58,5 | 65 | 75 | 78 | 77 | 66 | 58 | 52 |
7 | 4 | L7 | 64,5 | 69 | 77 | 79 | 72 | 65 | 59 | 54 |
32 | 7 | L4 | 66,5 | 70 | 76 | 70 | 76 | 66 | 58 | 53 |
36 | 6 | L9 | 64,5 | 69 | 72 | 72 | 71 | 61 | 56 | 48 |
30 | 10 | L10 | 62,5 | 77 | 83 | 76 | 81 | 76 | 64 | 55 |
29 | 6 | L12 | 61,5 | 66 | 71 | 77 | 69 | 62 | 49 | 43 |
37 | 10 | L11 | 59,5 | 65 | 71 | 75 | 70 | 63 | 52 | 45 |
10 | 9 | L14 | 60,5 | 71 | 79 | 76 | 74 | 65 | 61 | 55 |
6 | 8 | L13 | 61,5 | 66,5 | 74 | 73 | 74 | 64 | 54 | 43 |
38 | 9 | L8 | 63,5 | 70 | 73 | 76 | 71 | 65 | 57 | 48 |
| | Lсум.1 | 75,9 | 82,4 | 87,7 | 87 | 85,7 | 79,5 | 74,5 | 65,8 |
Суммарные октавные уровни звукового давления, создаваемые в расчетной точке группами станков в рассматриваемых кольцевых зонах
Lсум.2, рассчитываем по
формулам (38) и
(39) и записываем в табл. 18. Уровни звукового давления от всех станков
L, дБ, определяем по
формуле (40) или по
табл. 3. Результаты расчета сводим в
табл. 19.
Таблица 18
Величина | Единица измерения | Ссылка | Среднегеометрическая частота, Гц |
63 | 125 | 250 | 500 | 1000 | 2000 | 4000 | 8000 |
Lср.зI | дБ | | 70 | 75,5 | 80 | 81 | 78 | 72 | 65,5 | 58 |
| " | | -11 | -11 | -11 | -11 | -11 | -12 | -13 | -14 |
10lg nI (nI = 12) | - | - | 11 | 11 | 11 | 11 | 11 | 11 | 11 | 11 |
LзI | дБ | | 70 | 75,5 | 80 | 81 | 78 | 71 | 63,5 | 55 |
LсрзII | " | | 70 | 75,5 | 80 | 81 | 78 | 72 | 65,5 | 58 |
| - | | -14 | -14 | -14 | -14 | -14 | -18 | -18 | -20 |
10lg nII (nII = 11) | - | - | 11 | 11 | 11 | 11 | 11 | 11 | 11 | 11 |
Lз.II | дБ | | 67 | 72,5 | 77 | 78 | 75 | 65 | 58,5 | 49 |
Lср.зIII | " | | 70 | 75,5 | 80 | 81 | 78 | 72 | 65,5 | 58 |
| " | | -15 | -15 | -15 | -15 | -15 | -19 | -19 | -22 |
10lg nIII (nIII = 6) | - | - | 8 | 8 | 8 | 8 | 8 | 8 | 8 | 8 |
LзIII | дБ | | 63 | 69 | 73 | 74 | 71 | 61 | 55 | 44 |
Lсум.2 (N = 3) | " | | 72,2 | 78,2 | 82,2 | 83,4 | 80,2 | 72,2 | 65,5 | 56,4 |
Величина | Единица измерения | Среднегеометрическая частота, Гц |
63 | 125 | 250 | 500 | 1000 | 2000 | 4000 | 8000 |
Lсум.1 | дБ | 75,9 | 82,4 | 87,7 | 87 | 85,7 | 79,5 | 74,9 | 65,8 |
Lсум.2 | " | 72,2 | 78,2 | 82,2 | 83,4 | 80,2 | 72,2 | 65,5 | 56,4 |
L | " | 77 | 84 | 89 | 88 | 87 | 80 | 75 | 66 |
Ожидаемые уровни звукового давления прерывистого шума.
2.31. Если шум источников прерывистый, то в выбранных расчетных точках следует определять эквивалентные октавные уровни звукового давления.
2.32. Октавные эквивалентные уровни звукового давления Lэкв, дБ, в расчетной точке от одного источника шума, создающего прерывистый шум, определяют по формуле

, (41)
где T - продолжительность рабочей смены, ч (или мин);

- время, ч (или мин), в течение которого значение уровня звукового давления
Lj, дБ, остается постоянным;
Lj - постоянное значение октавного уровня звукового давления, дБ, прерывистого шума за время

, ч (или мин).
Октавный уровень звукового давления
Lj, дБ, в расчетной точке для прерывистого шума от одного источника следует определять по
формулам (1) или
(19) для соразмерных, по
формулам (23) -
(25) для плоских и по
формуле (27) для длинных помещений для каждого отрезка времени

, ч (или мин), в течение которого значение
Lj остается постоянным, заменив в указанных формулах
L на
Lj, а
LP,

,
S,

,
K,
r,
AP,

на

,

,
Sj,

,
Kj,
rj,

,

.
2.33. Эквивалентный октавный уровень звукового давления
Lэкв, дБ, в расчетной точке от нескольких источников шума, создающих прерывистый шум, определяют по правилу сложения уровней, пользуясь
табл. 3, приложения, или по формуле

, (42)
где
Lэкв.i - эквивалентный октавный уровень звукового давления, дБ, в расчетной точке от
i-го источника прерывистого шума, определяемый по
формуле (41);
n - общее количество работающих источников шума в помещении.
2.34. Эквивалентный уровень звука

, дБA, в расчетной точке от одного или нескольких источников шума, создающих прерывистый шум, определяют по формуле

, (43)
где
Lэкв.j - эквивалентный уровень звукового давления, дБ, от одного или нескольких источников в
j-ой октавной полосе со среднегеометрическими частотами 63, 125, 250, 500, 1000, 2000, 4000 и 8000 Гц, определяемый по
формуле (41) для одного источника и по
формуле (42) - для нескольких источников;
Kj - коррекция "A" для
j-ой октавной полосы, определяемая по
табл. 2 приложения.
Примечание. Величину

можно получить путем сложения величин (
Lэкв.j -
Kj) в восьми октавных полосах, пользуясь
табл. 3 прил.
Величина | Среднегеометрическая частота октавной полосы, Гц |
63 | 125 | 250 | 500 | 1000 | 2000 | 4000 | 8000 |
Kj, дБ | 26 | 16 | 9 | 3 | 0 | (+1,2) | (+1) | (-1) |
2.35. Пример расчета.
Задание. В производственном помещении, имеющем размеры 15 x 10 x 4 м, установлены 6 термопластавтоматов марки ТП-32, создающих прерывистый шум. Длительность интервалов действия одного термопластавтомата, в течение которого шум остается постоянным, на одном режиме составляет 4 ч, на другом режиме - 2,6 ч за восьмичасовую смену. Октавные уровни звукового давления, дБ, создаваемые при этом каждым термопластавтоматом одной группы (условные номера 1, 2, 5, 6) и второй группы (номера 3 и 4) в расчетной точке в центре помещения, приведены в табл. 21 (
поз. 1 -
4).
N п.п. | Величина | Единица измерения | Ссылка | Среднегеометрические частоты октавных полос, Гц | |
63 | 125 | 250 | 500 | 1000 | 2000 | 4000 | 8000 |
| Уровни звукового давления L1 в Р. Т во время действия термопластавтоматов N 1, 2, 5 и 6 на первом режиме | дБ | - | 74 | 77 | 83 | 79 | 81 | 77 | 65 | 60 | - |
2 | Уровни звукового давления L2 от тех же автоматов в Р. Т на втором режиме | " | - | 78 | 80 | 86 | 84 | 85 | 87 | 70 | 65 | - |
3 | Уровни звукового давления L3 в Р. Т во время действия термопластавтоматов N 3, 4 на первом режиме | " | - | 74 | 78 | 84 | 80 | 82 | 78 | 66 | 61 | - |
| Уровни звукового давления L4 в Р. Т от тех же автоматов, работающих на втором режиме | " | - | 76 | 79 | 87 | 87 | 89 | 85 | 72 | 63 | - |
5 | | - | - | 1·108 | 2·108 | 8·108 | 3,2·108 | 5,2·108 | 2·108 | 1,28·107 | 4·106 | - |
6 |  ;  | дБ | - | 1,64·108 | 2,6·108 | 1,4·109 | 6,5·108 | 8,32·108 | 1,3·109 | 2,6·107 | 8,3·106 | - |
7 |  при T = 8 ч | " | - | 3,3·107 | 5,75·107 | 2,3·108 | 1,2·108 | 1,69·108 | 1,9·108 | 4,85·106 | 1,5·106 | - |
| | - | | 75,2 | 78 | 83,6 | 80,8 | 82,3 | 82,8 | 66,9 | 61,8 | - |
9 | | - | - | 1·108 | 2,5·108 | 1·109 | 4·108 | 6,4·108 | 2,5·108 | 1,6·107 | 5,2·106 | - |
10 |  ;  | дБ | - | 1·108 | 2,1·108 | 1,3·109 | 1,3·109 | 2,08·109 | 8,3·108 | 4,2·107 | 5,2·106 | - |
11 |  при T = 8 ч | " | - | 2,5·107 | 5,8·107 | 2,9·108 | 2,1·108 | 3,4·108 | 1,4·108 | 7,25·106 | 1,3·106 | - |
| | " | | 74 | 77,6 | 84,6 | 83,3 | 85,3 | 81,3 | 68,6 | 61,1 | - |
| | " | | 82,5 | 85,8 | 92,1 | 89,6 | 91 | 90,3 | 75,6 | 69,5 | - |
| Lэквсум - Kj | " | | 56,5 | 69,8 | 83,1 | 86,6 | 91 | 89,1 | 76,6 | 70,5 | - |
| | дБA | | | | | | | | | | 95 |
Требуется рассчитать эквивалентные уровни звукового давления, дБ, и эквивалентный уровень звука, дБA, в расчетной точке за смену при работе всех источников.
Решение. Расчет представляем в табличной форме
(табл. 21). При определении членов вида 10
0,1L используем
табл. 1, приняв
L =
K. По
формуле (41) определяем эквивалентные октавные уровни звукового давления
Lэкв для каждого источника первой группы
(поз. 8) и второй группы
(поз. 12). Затем по
формуле (42) определяем эквивалентные октавные уровни звукового давления для всех источников первой и второй группы
(поз. 13). Используя
табл. 20, получаем корректированные эквивалентные октавные уровни звукового давления при работе шести станков
(поз. 14), затем по
формуле (43) или по правилу сложения уровней (
табл. 3 прил.) определяем суммарный эквивалентный уровень звука

, дБA, в расчетной точке
(поз. 15). Получаем

.
Определение допустимых уровней звукового
давления в расчетных точках
2.36. Нормируемыми параметрами постоянного шума в расчетных точках на рабочих местах являются октавные уровни звукового давления L, дБ, в полосах частот со среднегеометрическими частотами 63, 125, 250, 500, 1000, 2000, 4000 и 8000 Гц.
Примечание. Для ориентировочной оценки допускается в качестве нормируемого параметра постоянного шума в расчетных точках на рабочих местах использовать уровень звука LA, дБA.
2.37. Нормируемыми параметрами колеблющегося во времени шума в расчетных точках на рабочих местах являются эквивалентные уровни звука

, дБA.
2.38. Нормируемыми параметрами прерывистого и импульсного шума в расчетных точках на рабочих местах являются эквивалентные октавные уровни звукового давления
Lэкв, дБ, или эквивалентные уровни звука,

, дБA.
2.39. Допустимые октавные уровни звукового давления (эквивалентные октавные уровни звукового давления), уровни звука и эквивалентные уровни звука, дБA, на рабочих местах в производственных предприятиях следует принимать по табл. 22.
N п. п. | Помещение или территория | Уровни звукового давления (эквивалентные уровни звукового давления Lэкв), в дБ, в октавных полосах частот со среднегеометрическими частотами, Гц | Уровни звука LA и эквивалентные уровни звука  , дБA |
63 | 125 | 250 | 500 | 1000 | 2000 | 4000 | 8000 |
1 | Помещения конструкторских бюро, расчетчиков; программистов вычислительных машин, лабораторий для теоретических работ и обработки экспериментальных данных, приема больных в здравпунктах | 71 | 61 | 54 | 49 | 45 | 42 | 40 | 38 | 50 |
2 | Помещения управлений, рабочие комнаты | 79 | 70 | 63 | 58 | 55 | 52 | 50 | 49 | 60 |
3 | Кабины наблюдения и дистанционного управления: | | | | | | | | | |
| а) без речевой связи по телефону | 94 | 87 | 82 | 78 | 75 | 73 | 71 | 70 | 80 |
| б) с речевой связью по телефону | 83 | 74 | 68 | 63 | 60 | 57 | 55 | 54 | 65 |
4 | Помещения и участки точной сборки, машинописные бюро | 83 | 74 | 68 | 63 | 60 | 57 | 55 | 54 | 65 |
5 | Помещения лабораторий для проведения экспериментальных работ, помещения для размещения шумных агрегатов вычислительных машин | 94 | 87 | 82 | 78 | 75 | 73 | 71 | 70 | 80 |
| Постоянные рабочие места и рабочие зоны в производственных помещениях и на территории предприятий | 99 | 92 | 86 | 83 | 80 | 78 | 76 | 74 | 85 |
Примечания: 1. Для тонального и импульсного шума допустимые уровни, указанные в
табл. 5, должны быть уменьшены на 5 дБ. 2. Для шумов, создаваемых в помещениях установками кондиционирования воздуха, вентиляции и воздушного отопления, допустимые уровни, указанные в
табл. 5, должны быть уменьшены на 5 дБ. Если фактические уровни шума в помещении ниже допустимых по
табл. 22, то допустимые уровни шума, создаваемого в помещениях установками кондиционирования, вентиляции и воздушного отопления, должны быть ниже на 5 дБ, чем фактические уровни шума.
Определение требуемого снижения
октавных уровней звукового давления
2.40. Требуемое снижение октавных уровней звукового давления, дБ (эквивалентных октавных уровней звукового давления, дБ, уровня звука и эквивалентного уровня звука, дБA) в расчетной точке в помещении, где находится один источник шума, следует определять по формуле

, (44)
где L - октавный уровень звукового давления (эквивалентный октавный уровень звукового давления), дБ; уровень звука, (эквивалентный уровень звука дБA), создаваемый источником шума в расчетной точке;
Lдоп - допустимый октавный уровень звукового давления (эквивалентный октавный уровень звукового давления дБ, уровень звука, (эквивалентный уровень звука), дБA в расчетной точке, определяемый по
п. 2.39.
2.41. Требуемое общее снижение октавных уровней звукового давления, эквивалентных октавных уровней звукового давления, дБ; уровней звука, эквивалентных уровней звука, дБA, в помещениях с несколькими источниками шума при одновременной работе всех источников шума определяют по формуле

, (45)
где Lобщ - октавный уровень звукового давления (эквивалентный октавный уровень звукового давления), дБ, уровень звука, (эквивалентный уровень звука) дБA в расчетной точке от всех источников шума;
Lдоп - допустимый октавный уровень звукового давления (эквивалентный октавный уровень звукового давления) дБ, уровень звука (эквивалентный уровень звука) дБA в расчетной точке, определяемый по
п. 2.39.
3. ВЫБОР МЕРОПРИЯТИЙ ДЛЯ ОБЕСПЕЧЕНИЯ
ТРЕБУЕМОГО СНИЖЕНИЯ ШУМА
3.1. Меры борьбы с шумом следует предусматривать на стадии проектирования генеральных планов промышленных предприятий и планировок помещений в отдельных зданиях.
При проектировании промышленных комплексов не должно допускаться размещение объектов, требующих защиты от шума (лабораторно-конструкторских корпусов, вычислительных центров, административных и тому подобных зданий), в непосредственной близости от шумных помещений (испытательных боксов авиационных двигателей, газотурбинных установок, компрессорных станций и т.п.). Наиболее шумные объекты рекомендуется компоновать в отдельные комплексы.
3.2. При планировке помещений внутри зданий нужно предусматривать максимально возможное удаление тихих и малошумных помещений от помещений с интенсивными источниками шума.
3.3. Задача снижения шума в помещениях с технологическим оборудованием в цехах, на отдельных участках больших цехов и т.п. является наиболее сложной и дорогостоящей по сравнению с другими задачами по шумоглушению, решаемыми строительно-акустическими методами. Сложность задачи обусловлена огромным разнообразием технологического оборудования и технологических процессов, имеющихся на предприятиях различных отраслей промышленности, разнообразием режимов работы оборудования, а также тем, что применяемые мероприятия не должны затруднять технологический процесс или как-то влиять на него.
3.4. Чтобы уменьшить шум в помещении с источниками его излучения, используются следующие строительно-акустические мероприятия:
а) устройство кабин наблюдения, дистанционного управления и специальных боксов для наиболее шумного оборудования;
б) звукоизолирующие кожухи, акустические экраны и выгородки;
в) вибродемпфирующие покрытия на вибрирующие поверхности;
г) звукопоглощающие облицовки потолка и стен или штучные звукопоглотители;
д) звукоизолированные кабины и зоны отдыха для обслуживающего персонала.
Необходимую звукоизоляцию должны иметь также помещения, организационно принадлежащие к рассматриваемому производственному участку (помещение мастера, кладовые, конторы и т.п.).
3.5. Чтобы уменьшить излучение шума в изолируемое помещение, рекомендуется применять:
а) материалы и конструкции для перекрытий, стен, перегородок, сплошных и остекленных дверей и окон, кабин наблюдения, обеспечивающих требуемую изоляцию воздушного шума; специальные двери и окна наблюдения с требуемой изоляцией воздушного шума между шумными и изолируемыми помещениями;
б) звукопоглощающую облицовку потолка и стен или штучные звукопоглотители в шумном или изолируемом помещении;
в) подвесные потолки и плавающий пол, виброизоляцию агрегатов, расположенных в том же здании;
г) звукоизолирующие и вибродемпфирующие покрытия поверхности трубопроводов, проходящих по помещению;
д) глушители шума в системах механической вентиляции и кондиционирования воздуха и обеспечивать звукоизоляцию мест прохода технологических коммуникаций, связывающих шумное и изолируемое помещение.
3.6. Для уменьшения шума, излучаемого промышленным оборудованием в окружающую атмосферу, рекомендуются следующие мероприятия:
а) применение таких материалов и конструкций при проектировании кровли, наружных стен, фонарей, остекления (окон), ворот и дверей, которые могут обеспечивать требуемую изоляцию воздушного шума, использование специальных ворот и дверей с требуемой изоляцией воздушного шума, уплотнение по периметру притворов ворот, дверей и окон;
б) звукоизоляция технологических коммуникаций, проходящих через внешние ограждающие конструкции здания;
в) устройство специальных звукоизолированных боксов и звукоизолирующих кожухов при размещении шумящего оборудования на территориях промышленных площадок;
г) применение экранов, препятствующих распространению звука в атмосфере от оборудования, размещенного на территории промышленной площадки;
д) устройство глушителей шума в газодинамических трактах установок, излучающих шум в атмосферу (газотурбинных и турбореактивных установок, компрессоров, вентиляторов и тому подобных установок);
е) звукоизоляционная облицовка каналов, излучающих шум в атмосферу.
3.7. Выбор типа конструкций, применяемых для снижения шума (звукоизолирующих, звукопоглощающих и т.п.) в производственных помещениях с источниками его излучения, а также выбор необходимых размеров этих конструкций производится после расчета, изложенного в последующих разделах руководства.
4. ТРЕБУЕМАЯ ЗВУКОИЗОЛЯЦИЯ ОГРАЖДАЮЩИХ КОНСТРУКЦИЙ
ПРОМЫШЛЕННЫХ ЗДАНИЙ, ЗВУКОИЗОЛИРУЮЩИЕ КАБИНЫ И КОЖУХИ
Требуемая звукоизоляция ограждающих конструкций
4.1. Нормируемым параметром звукоизоляции ограждающих конструкций производственных зданий является изоляция воздушного шума Rтр, дБ, в октавных полосах частот со среднегеометрическими частотами 63, 125, 250, 500, 1000, 2000, 4000 и 8000 Гц.
4.2. Требуемую изоляцию воздушного шума Rтр, дБ, ограждающей конструкции в октавной полосе следует определять:
а) при проникновении шума из одного помещения в другое, когда оба помещения соразмерны, по формуле

, (46)
где

- уровень звуковой мощности
i-го источника шума, дБ;
n - общее количество источников шума в помещении;
Bш,
Bи - соответственно постоянные помещения с источниками шума и помещения, защищаемого от шума, м
2, определяемые по
п. 2.9 или
п. 2.10;
Si - общая площадь ограждающей конструкции (или отдельного элемента, например площадь глухой части стены, всех окон и т.д.), м2, через которую шум проникает в защищаемое помещение;
Lдоп - допустимый октавный уровень звукового давления в защищаемом от шума помещении, дБ, определяемый по
п. 2.39;
m - количество разнотипных ограждающих конструкций, через которые шум проникает в изолируемое помещение;
б) при проникновении шума из одного помещения в другое, когда помещение с источниками шума длинное или плоское, а изолируемое помещение - соразмерное, по формуле

, (47)
где

- октавный уровень звукового давления, дБ, в расчетной точке, выбранной в помещении с источниками шума в двух метрах от рассматриваемой
i-ой ограждающей конструкции, через которую шум проникает в изолируемое помещение. Рассчитывают его по
пп. 2.22,
2.23 или по
формуле (30) для плоских и по
пп. 2.24,
2.25 или по
формуле (31) для длинных помещений;
в) при проникновении шума с прилегающей территории в соразмерное помещение по формулам

; (48)

; (49)

; (50)
Lнар - суммарный октавный уровень звукового давления, дБ, от всех источников шума в 2 м от рассматриваемой ограждающей конструкции;
Lpk - октавный уровень звуковой мощности, дБ, k-ого источника шума на территории;
n - количество источников шума на территории;
rк - расстояние, м от k-ого источника шума до точки, расположенной в двух метрах от рассматриваемой ограждающей конструкции;

- фактор направленности к-ого источника шума, безразмерный, определяемый по опытным данным. При отсутствии данных принимается

;

- пространственный угол излучения, принимаемый при расположении источника шума: в пространстве -

; на поверхности стены, перекрытия, земли -

; в двугранном углу, образованном ограждающими конструкциями или стеной и поверхностью земли -

; в трехгранном углу, образованном ограждающими конструкциями и поверхностью земли -

;

- затухание звука в атмосфере, дБ/км, принимается по табл. 23;
Величина | Среднегеометрическая частота октавной полосы, Гц |
63 | 125 | 250 | 500 | 1000 | 2000 | 4000 | 8000 |
 , дБ/км | 0 | 0,7 | 1,5 | 3 | 6 | 12 | 24 | 48 |
г) при проникновении шума из помещения на прилегающую территорию:
из соразмерного помещения по формуле

, (51)
Si - площадь рассматриваемой ограждающей конструкции (или ее элемента), м2, через которую шум проникает на прилегающую территорию;
ri - расстояние от ограждающей конструкции или ее элемента до расчетной точки, м;
Lдоп - допустимый октавный уровень звукового давления, дБ, на прилегающей территории, определенный по
п. 2.39;
m - общее количество разнотипных ограждающих конструкций или их элементов, через которые шум проникает на прилегающую территорию;
из плоского или длинного помещения по формуле

, (52)
где

- уровень звукового давления, дБ, в помещении с источниками шума в двух метрах от рассматриваемой
i-ой ограждающей конструкции, определяемый по
пп. 2.22,
2.23 или по
формуле (30) для плоских и по
пп. 2.24,
2.25 или по
формуле (31) для длинных помещений;
4.3. Выбор ограждающих конструкций с требуемой по расчету звукоизоляцией следует производить пользуясь "Руководством по проектированию и расчету звукоизоляции зданий" или "Справочником проектировщика. Защита от шума". Стройиздат, 1974.
4.4. Примеры расчета
Пример 1. Задание. Определить требуемую изоляцию воздушного шума перекрытия и стен (одна из них с окном и дверью) кабины наблюдения зала вибростендов, имеющего размер 12 x 18 x 8 м. Размер кабины наблюдения 12 x 6 x 4 м. Площадь глухой части стены - 48 м
2, перекрытия кабины наблюдения - 72 м
2, площадь двери - 4 м
2, окна - 3 м
2. Суммарный уровень звуковой мощности шума

, излучаемого всеми вибростендами, размещенными в зале вибростендов, приведен в табл. 24.
Величина | Среднегеометрическая частота октавной полосы, Гц |
63 | 125 | 250 | 500 | 1000 | 2000 | 4000 | 8000 |
 , дБ | 93 | 90 | 91 | 108 | 117 | 116 | 115 | 117 |
Решение. Поскольку оба помещения являются соразмерными, требуемую изоляцию ограждающих конструкций определяем по
формуле (46). Расчет сводим в табл. 25.
Таблица 25
N п. п. | Величина | Единица измерения | Ссылка | Среднегеометрическая частота октавной полосы, Гц |
63 | 125 | 250 | 500 | 1000 | 2000 | 4000 | 8000 |
1 | | дБ | | 93 | 90 | 91 | 108 | 117 | 116 | 115 | 117 |
2 |  при V = 288 м 3 | м2 | | - | - | - | - | 14,4 | - | - | - |
3 | | - | | 0,65 | 0,62 | 0,64 | 0,75 | 1,0 | 1,5 | 2,4 | 4,2 |
4 | Bи | м2 | | 9,4 | 9 | 9,2 | 10,8 | 14,4 | 21,6 | 34,6 | 60,5 |
5 | 10lg Bи | дБ | - | 10 | 9,5 | 9,6 | 10,3 | 12 | 13,3 | 15,4 | 17,8 |
6 |  ( V = 1728 м 3) | м2 | | - | - | - | - | 86 | - | - | - |
7 | | - | | 0,5 | 0,5 | 0,55 | 0,7 | 1 | 1,6 | 3 | 6 |
8 | Bш | м2 | | 43 | 43 | 47,3 | 60,2 | 86 | 137,6 | 258 | 516 |
9 | 10lg Bш | дБ | - | 16 | 16 | 16,8 | 17,8 | 19 | 21,4 | 24 | 27 |
10 | 10lg Sст (Sст = 48 м2) | " | - | 17 | 17 | 17 | 17 | 17 | 17 | 17 | 17 |
11 | 10lg Sдв (Sдв = 4 м2) | " | - | 6 | 6 | 6 | 6 | 6 | 6 | 6 | 6 |
12 | 10lg Sпер (Sпер = 72 м2) | " | - | 19 | 19 | 19 | 19 | 19 | 19 | 19 | 19 |
13 | 10lg Sок (Sок = 3 м2) | " | - | 5 | 5 | 5 | 5 | 5 | 5 | 5 | 5 |
14 | Lдоп | " | | 94 | 87 | 82 | 78 | 75 | 73 | 71 | 70 |
15 | 10lg m + 6 (m = 4) | " | - | 12 | 12 | 12 | 12 | 12 | 12 | 12 | 12 |
16 | Rтр.ст | " | | 2 | 6,5 | 12 | 31 | 40 | 37 | 34 | 31 |
17 | Rтр.пер | " | | 4 | 8,5 | 14 | 33 | 42 | 39 | 36 | 33 |
18 | Rтр.дв | " | | - | - | 1 | 20 | 29 | 26 | 23 | 20 |
19 | Rтр.ок | " | | - | - | - | 19 | 28 | 25 | 22 | 19 |
Пример 2. Задание. Определить требуемую изоляцию воздушного шума двери и стены рабочей комнаты, смежной с вычислительным центром. Площадь двери 4 м2, площадь стены 24 м2. Помещение рабочей комнаты размером 18 x 6 x 4 м3 - соразмерное. Помещение вычислительного центра - плоское. Уровни звукового давления в расчетной точке помещения с источниками шума в двух метрах от рассматриваемой ограждающей конструкции приведены в табл. 26.
Среднегеометрическая частота, Гц | 63 | 125 | 250 | 500 | 1000 | 2000 | 4000 | 8000 |
Lш, дБ | 63 | 71 | 80 | 77 | 75 | 71 | 68 | 60 |
Решение. Так как помещение рабочей комнаты является соразмерным, а помещение с источниками шума плоское, то требуемую изоляцию ограждающих конструкций определяем по
формуле (47). Расчет сводим в табл. 27.
Таблица 27
N п. п. | Величина | Единица измерения | Ссылка | Среднегеометрическая частота октавной полосы, Гц |
63 | 125 | 250 | 500 | 1000 | 2000 | 4000 | 8000 |
1 | Lш | дБ | | 63 | 71 | 80 | 77 | 75 | 71 | 68 | 60 |
2 |  при V = 432 м 3 | м2 | | - | - | - | - | 43 | - | - | - |
3 | | - | | 0,65 | 0,62 | 0,64 | 0,75 | 1 | 1,5 | 2,4 | 4,2 |
4 | Bи | м2 | | 28,0 | 26,7 | 27,5 | 32,3 | 43 | 64,5 | 103,2 | 180,6 |
5 | 10lg Bи | дБ | | 15 | 14 | 14 | 15 | 16 | 18 | 20 | 23 |
6 | 10lg Sдв (Sдв = 4 м2) | " | | 6 | 6 | 6 | 6 | 6 | 6 | 6 | 6 |
7 | 10lg Sст (Sст = 24 м2) | " | | 14 | 14 | 14 | 14 | 14 | 14 | 14 | 14 |
8 | Lдоп | " | | 71 | 61 | 54 | 49 | 45 | 42 | 40 | 38 |
9 | 10lg m | " | | 3 | 3 | 3 | 3 | 3 | 3 | 3 | 3 |
10 | Rтр.дв | " | | - | 5 | 21 | 22 | 23 | 20 | 17 | 8 |
11 | Rтр.ст | " | | - | 13 | 29 | 30 | 31 | 28 | 25 | 16 |
Пример 3. Задание. Определить требуемую звукоизоляцию воздушного шума для остекленной части стены площадью
S = 60 м
2 помещения конструкторского зала, если источником шума, проникающего из атмосферы, является компрессорная станция с незаглушенными шахтами всасывания, оснащенная двумя турбокомпрессорами и одним компрессором высокого давления. Среднее расстояние от компрессорной станции до корпуса, в котором расположен конструкторский зал, равно 32 м. Уровни звуковой мощности шума, излучаемого в атмосферу каждым турбокомпрессором

и компрессором

со стороны всасывания, приведены в табл. 28.
Величина | Среднегеометрическая частота октавной полосы, Гц |
63 | 125 | 250 | 500 | 1000 | 2000 | 4000 | 8000 |
| 102 | 100 | 95 | 96 | 104 | 111 | 107 | 98 |
| 100 | 95 | 84 | 81 | 75 | 72 | 67 | 75 |
Помещение конструкторского зала имеет объем 3200 м3. По форме помещение соразмерное.
Решение. Расчет суммарных уровней звукового давления, дБ, от источников шума в двух метрах от рассматриваемой ограждающей конструкции при работе двух турбокомпрессоров и одного компрессора производим по
формулам (49) и
(50). Поскольку шахты всасывания находятся в проеме стены, то пространственный угол излучения

принимаем равным

. Фактор направленности

принимаем равным 1. Расчет сводим в табл. 29.
N п. п. | Величина | Единица измерения | Ссылка | Среднегеометрические частоты октавных полос, Гц |
63 | 125 | 250 | 500 | 1000 | 2000 | 4000 | 8000 |
1 | | дБ | | 102 | 100 | 95 | 96 | 104 | 111 | 107 | 98 |
2 | 15lg r (r = 30 м) | " | - | 22 | 22 | 22 | 22 | 22 | 22 | 22 | 22 |
3 | | " | - | 8 | 8 | 8 | 8 | 8 | 8 | 8 | 8 |
4 | | - | | - | 0,7 | 1,5 | 3 | 6 | 12 | 24 | 48 |
5 | | - | - | - | 0,021 | 0,045 | 0,09 | 0,18 | 0,36 | 0,72 | 1,44 |
6 | L1 | дБ | | 72 | 70 | 65 | 66 | 74 | 81 | 76 | 67 |
7 | L1 + 10lg 2 | " | - | 75 | 73 | 68 | 69 | 77 | 84 | 79 | 70 |
8 | | - | | 3,2·107 | 2·107 | 6,3·106 | 8·106 | 5·107 | 2,5·108 | 8·107 | 1·107 |
9 | | дБ | | 100 | 95 | 84 | 81 | 75 | 72 | 67 | 65 |
10 | L2 | " | | 70 | 65 | 54 | 51 | 45 | 42 | 36 | 34 |
11 | | - | | 1·107 | 3,2·106 | 2,5·105 | 1,3·105 | 3,2·104 | 1,6·104 | 4·103 | 2,5·103 |
12 | Lнар | дБ | | 76 | 74 | 68 | 69 | 77 | 84 | 79 | 70 |
Требуемую изоляцию остекленной части стены
Rтр определяем по
формуле (48). Расчет сводим в табл. 30.
Таблица 30
N п. п. | Величина | Единица измерения | Ссылка | Среднегеометрические частоты октавных полос, Гц |
63 | 125 | 250 | 500 | 1000 | 2000 | 4000 | 8000 |
1 | Lнар | дБ | | 76 | 74 | 68 | 69 | 77 | 84 | 79 | 70 |
2 | 10lg Sст (Sст = 60 м2) | " | - | 18 | 18 | 18 | 18 | 18 | 18 | 18 | 18 |
3 | B1000 (V = 3200 м3) | м2 | | - | - | - | - | 533 | - | - | - |
4 | | - | | 0,5 | 0,5 | 0,55 | 0,7 | 1 | 1,6 | 3 | 6 |
5 | Bи | м2 | | 266,5 | 266,5 | 293 | 373 | 533 | 852,8 | 1599 | 3198 |
6 | 10lg Bи | дБ | - | 24 | 24 | 25 | 26 | 27 | 29 | 32 | 35 |
7 | Lдоп | " | | 71 | 61 | 54 | 49 | 45 | 42 | 40 | 38 |
8 | 10lg m + 6 | " | - | 6 | 6 | 6 | 6 | 6 | 6 | 6 | 6 |
9 | Rтр | " | | 5 | 13 | 13 | 18 | 29 | 37 | 31 | 21 |
Снижение шума звукоизолирующими кабинами
Общие положения
4.5. Наиболее простым и эффективным средством защиты от шума технологического оборудования в производственных помещениях является устройство звукоизолирующих кабин, полностью отгораживающих работающих от шумных агрегатов. Наиболее часто звукоизолирующие кабины используют для расположения в них пультов дистанционного управления или рабочих мест в шумных цехах. Звукоизолирующие кабины широко применяют в химической, металлургической, машиностроительной и других отраслях промышленности, а также в машинных залах электростанций и в компрессорных станциях.
Преимуществом применения звукоизолирующих кабин является возможность обеспечения практически любого требуемого снижения шума на рабочих местах.
4.6. Кабины могут быть запроектированы заранее и выстроены из строительных конструкций; железобетона или кирпича в зависимости от требуемой звукоизоляции.
Кроме этого, кабины могут быть сборными, изготовленными из стали, дюралюминия, пластика, фанеры и других листовых материалов на специальных заводах-изготовителях и собираться на месте установки в цехе. Помещение кабины должно проектироваться соразмерным (см.
п. 2.12).
4.7. Кабины должны обеспечивать удобное расположение рабочих мест и необходимый обзор цеха. Для этого они могут быть приподняты над полом или установлены на антресолях, иметь наклонное остекление.
4.8. Звукоизолирующие кабины следует устанавливать на резиновых виброизоляторах, не допуская передачи вибраций на ограждающие конструкции кабин.
4.9. Конструкция кабины должна быть простой, рациональной, обеспечивать требуемую звукоизоляцию, необходимый воздухообмен.
4.10. Отопление и вентиляция кабины могут быть индивидуальными или от общей цеховой сети, но в обоих случаях необходимо предусмотреть устройство глушителей шума со стороны выхода и входа воздуха.
4.11. Внутри кабина, как правило, должна быть облицована звукопоглощающими конструкциями.
4.12. Проектирование звукоизолирующих кабин или подбор кабин по их звукоизоляции следует производить на основании акустического расчета по требуемой частотной характеристике звукоизоляции кабины.
4.13. Экспериментально звукоизоляцию кабин с максимальными размерами до 6 м следует определять по
ГОСТ 23426-79.
В соответствии с требуемой звукоизоляцией на рабочих местах следует подбирать тип кабины по величине звукоизоляции кабины, указанной в ее технической документации.
Определение требуемой изоляции воздушного шума кабиной
4.14. Расчет требуемой изоляции воздушного шума элементами ограждений кабины проводят для каждой из восьми октавных полос частот по формуле

, (53)
где
Lш - октавный уровень звукового давления на рабочем месте в помещении с источниками шума на предполагаемом месте установки кабины, дБ, измеренный в действующем цехе или рассчитанный по
пп. 2.20 -
2.27;
Bи - постоянная помещения кабины, м
2, определяемая по
п. 2.19;
Si - площадь ограждения кабины (или его элемента), через которое шум проникает в кабину, м2;
Lдоп - допустимый по нормам октавный уровень звукового давления на рабочем месте в кабине, дБ, определяемый по
п. 2.39;
m - общее количество различных по изоляции элементов ограждений кабины, через которые шум проникает в кабину (стена, перекрытие, окно, дверь и т.п.).
Среднее требуемое снижение воздушного шума звукоизолирующей кабиной определяют по формуле
4.15. Изоляция воздушного шума кабиной зависит от конструктивного и планировочного решения кабины, материала и конструкции стен, перекрытий, оконных проемов, дверей, глушителей шума системы вентиляции, расположения кабины относительно источника шума, виброизоляции кабины, наличия звукопоглощающей облицовки внутри кабины и других факторов.
4.16. Подбор необходимых и достаточных по звукоизоляции ограждающих конструкций кабины производят по справочным таблицам звукоизоляции ограждений, перекрытий, окон и дверей от воздушного шума, например по "Справочнику проектировщика. Защита от шума". М., Стройиздат, 1974.
4.17. Глушители системы вентиляции кабины должны обеспечивать получение на рабочих местах уровней звукового давления на 5 дБ ниже допустимых уровней в кабине во всех октавных полосах частот.
4.18. При установке на кабине местного вентилятора необходимо предусматривать не только устройство глушителя, но и виброизоляцию вентилятора от ограждающих конструкций кабины, а при необходимости - и кожух, изолирующий вентилятор.
4.19. Для облицовки внутренних поверхностей кабины следует применять звукопоглощающие конструкции, имеющие максимальные коэффициенты звукопоглощения в октавных полосах 250 - 2000 Гц. Конструкции облицовок следует подбирать по
табл. 42.
Расчет ожидаемого снижения шума кабиной
4.20. После подбора конструкций всех элементов кабины проводят проверочный расчет ожидаемого снижения шума, обеспечиваемого кабиной, Rкаб, дБ, по формулам:

; (55)

, (56)
где Si, Ri - соответственно площади, м2, и величины изоляции воздушного шума отдельными элементами ограждения кабины, дБ;
Рекомендации по проектированию звукоизолирующих кабин
4.21. При конструировании звукоизолирующих кабин различные элементы ограждений их должны обеспечивать по возможности одинаковую изоляцию воздушного шума.
4.22. Узлы крепления ограждающих элементов к каркасу кабины и друг к другу должны гарантировать плотность, герметичность и простоту монтажа этих элементов и всех соединений.
4.23. Оконные проемы следует делать минимальными и заполнять толстыми зеркальными стеклами или пластинами из плексигласа. По периметру окон должны быть предусмотрены герметичные резиновые прокладки.
При использовании двойного остекления между стеклами должна быть сделана звукопоглощающая облицовка по периметру окон.
4.24. Конструкция дверей должна обеспечивать легкость и простоту их закрывания и открывания, плотность и герметичность притворов по всему периметру двери.
4.25. При высокой требуемой звукоизоляции двери следует делать двойными.
4.26. Для пропускания технологических коммуникаций из цеха в кабину следует проектировать специальные звукоизолированные проемы, отверстия или коллекторы, обеспечивающие требуемую звукоизоляцию ограждений, через которые проходят эти коммуникации.
4.27. Пример акустического расчета звукоизолирующей кабины.
Задание. Запроектировать звукоизолирующую кабину наблюдения для оператора (дежурного электрика) воздуходувного отделения действующего цеха.
Исходные данные. 1. Расчетная точка - рабочее место в помещении воздуходувного отделения, в котором наиболее длительное время находится оператор (дежурный электрик) и которое должно быть изолировано от шума технологического оборудования.
2. Форма кабины - прямоугольный параллелепипед.
3. Размер кабины - 6,0 x 4,7 x 3,2 м (V = 90 м3).
4. Общая площадь ограждений кабины S = 125 м2.
5. Площадь глухой части стен и перекрытия (основного ограждения кабины) S1 = 90 м2, площадь пола 28 м2.
6. Общая площадь окон S2 = 5 м2.
7. Площадь двери S3 = 2 м2.
8. Внутренние поверхности основного ограждения кабины облицованы звукопоглощающим материалом. В таком случае Sобл = S1 = 90 м2.
9. Средние октавные уровни звукового давления Lш в расчетной точке, полученные на основании измерений по ГОСТ 20445-75, представлены в табл. 31.
Величина | Среднегеометрическая частота октавной полосы, Гц |
63 | 125 | 250 | 500 | 1000 | 2000 | 4000 | 8000 |
Lш, дБ | 93 | 84 | 88 | 95 | 92 | 91 | 84 | 76 |
| | ИС МЕГАНОРМ: примечание. Взамен ГОСТ 9573-72 с 1 июля 1982 года введен в действие ГОСТ 9573-82 (ИУС "Государственные стандарты", N 6, 1982). Взамен ГОСТ 9573-82 Постановлением Минстроя России от 06.12.1996 N 18-90 с 1 апреля 1997 года введен в действие ГОСТ 9573-96. | |
| | ИС МЕГАНОРМ: примечание. Взамен ГОСТ 19907-74 Постановлением Госстандарта СССР от 03.02.1983 N 622 с 1 января 1984 года введен в действие ГОСТ 19907-83. ГОСТ 19907-83 утратил силу с 1 июня 2016 года в связи с введением в действие ГОСТ 19907-2015 (Приказ Росстандарта от 06.07.2015 N 857-ст). | |
10. Звукопоглощающая облицовка из минераловатных плит (ГОСТ 9573-72) в стеклоткани Э3 = 100 (ГОСТ 19907-74), закрытых перфорированными гипсовыми плитами толщиной 6 мм (ТУ 400-1-283-73). Коэффициенты

определяют по
табл. 42, поз. 16.
11. Звукоизоляция глухих стен и верхнего перекрытия кабины одинаковая.
12. Кабина установлена на полу в середине помещения.
13. Относительная влажность воздуха в кабине 50%.
Решение. 1. Определяем требуемую изоляцию воздушного шума отдельными элементами кабины в октавных полосах в расчетной точке (на рабочем месте в кабине) по
формуле (53), а требуемую изоляцию воздушного шума кабиной в целом - по
формуле (54).
Расчет сводим в табл. 32.
N п. п. | Величина | Единица измерения | Ссылка | Среднегеометрическая частота октавной полосы, Гц |
63 | 125 | 250 | 500 | 1000 | 2000 | 4000 | 8000 |
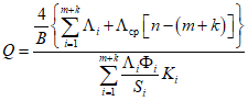
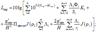
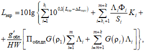
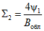
1 | Lш | дБ | | 93 | 84 | 88 | 95 | 92 | 91 | 84 | 76 |
2 |  (без облицовки) | - | | 0,07 | 0,08 | 0,08 | 0,08 | 0,08 | 0,09 | 0,09 | 0,09 |
3 | (Sогр = 125 м2; Sобл = 90 м2) | м2 | - | 2,45 | 2,80 | 2,80 | 2,80 | 2,80 | 3,15 | 3,15 | 3,15 |
4 | | - | | 0,10 | 0,31 | 0,95 | 0,99 | 0,8 | 0,52 | 0,46 | 0,42 |
5 | | м2 | | 69,0 | 28,0 | 85,5 | 89 | 72,0 | 47 | 41,5 | 38 |
6 | | - | | 0,09 | 0,25 | 0,71 | 0,73 | 0,6 | 0,4 | 0,36 | 0,33 |
7 | q (при относительной влажности 50%) | 1/м | | - | 0,00014 | 0,00029 | 0,00058 | 0,0008 | 0,0024 | 0,0061 | 0,0215 |
8 | | - | | 0 | 0 | 0 | 0 | 0 | 0 | 0,018 | 0,062 |
9 | | - | | 0,09 | 0,25 | 0,71 | 0,73 | 0,60 | 0,4 | 0,38 | 0,37 |
10 | | м2 | | 12,4 | 41,8 | 306 | 338 | 188 | 83 | 77 | 74 |
11 | 10lg Bи | дБ | - | 10,9 | 16,2 | 24,9 | 25,3 | 22,7 | 19,2 | 18,8 | 18,7 |
12 | 10lg S1 (S1 = 90 м2) | " | - | 19,5 | 19,5 | 19,5 | 19,5 | 19,5 | 19,5 | 19,5 | 19,5 |
13 | 10lg S2 (S2 = 5 м2) | " | - | 7,0 | 7,0 | 7,0 | 7,0 | 7,0 | 7,0 | 7,0 | 7,0 |
14 | 10lg S3 (S3 = 2 м2) | " | - | 3,0 | 3,0 | 3,0 | 3,0 | 3,0 | 3,0 | 3,0 | 3,0 |
15 | Lдоп | " | | 83 | 74 | 68 | 63 | 60 | 57 | 55 | 54 |
16 | 10lg n (n = 3) | " | - | 4,8 | 4,8 | 4,8 | 4,8 | 4,8 | 4,8 | 4,8 | 4,8 |
17 | Lш - 10lg Bи - Lдоп + 10lg n | " | - | 3,9 | -1,4 | 20,1 | 11,5 | 14,1 | 19,6 | 7,0 | 8,1 |
18 |  (основные ограждения) | " | | 23,4 | 18,1 | 19,4 | 31,0 | 33,6 | 39,1 | 26,5 | 27,6 |
19 |  (окна) | " | | 10,9 | 5,6 | 6,9 | 18,5 | 21,1 | 26,6 | 14,0 | 15,1 |
20 |  (дверь) | " | | 6,9 | 1,6 | 2,9 | 14,5 | 17,1 | 22,6 | 10,0 | 11,1 |
21 | Rкаб = Lш - Lдоп | " | | 10 | 10 | 20 | 32 | 32 | 34 | 29 | 22 |
2. По требуемой средней звукоизоляции кабины выбираем следующие конструкции ограждений:
а) стены и верхнее перекрытие - каркасная конструкция из стальных уголков, к которым крепятся отдельные панели размером 1,0 x 1,0 м.
| | ИС МЕГАНОРМ: примечание. Взамен ГОСТ 9573-72 с 1 июля 1982 года введен в действие ГОСТ 9573-82 (ИУС "Государственные стандарты", N 6, 1982). Взамен ГОСТ 9573-82 Постановлением Минстроя России от 06.12.1996 N 18-90 с 1 апреля 1997 года введен в действие ГОСТ 9573-96. | |
Панели представляют собой совмещенную звукоизолирующую и звукопоглощающую конструкцию. Они состоят из короба размером 55 x 1000 x 1000 мм из стального листа толщиной 2 мм, в который уложены минераловатные плиты (ГОСТ 9573-72), обернутые в стеклоткань. С внутренней стороны звукопоглощающий материал закрывают перфорированными гипсовыми плитами толщиной 6 мм. Короб крепится к каркасу скобами и винтами, между коробом и каркасом уложены резиновые прокладки. Поверхностная плотность такого ограждения 35 кг/м2;
б) окна размером 1,0 x 1,0 м, переплеты алюминиевые, с двойным остеклением, толщина стекол 4 мм, расстояние между стеклами 30 мм;
в) дверь размером 1,0 x 2,0 м, состоящая из двух стальных листов толщиной по 2 мм, между которыми уложены плиты ППМ-80 толщиной 50 мм.
Звукоизолирующая способность этих конструкций (определена экспериментально), а проверочный расчет ожидаемого снижения шума кабиной произведен по
формулам (55) и
(56) и сведен в табл. 33.
Таблица 33
N п. п. | Величина | Единица измерения | Ссылка | Среднегеометрическая частота октавной полосы, Гц |
63 | 125 | 250 | 500 | 1000 | 2000 | 4000 | 8000 |
1 | R1 огражд. | дБ | По экспериментальным данным | 24 | 23 | 28 | 36 | 36 | 38 | 38 | 37 |
2 | R2 окна | " | То же | 20 | 14 | 21 | 27 | 28 | 31 | 36 | 35 |
3 | R3 двери | " | " | 20 | 19 | 24 | 30 | 30 | 31 | 32 | 31 |
4 | | " | | 0,4·10-2 | 0,5·10-2 | 0,16·10-2 | 0,25·10-3 | 0,16·10-3 | 0,16·10-3 | 0,16·10-3 | 0,2·10-3 |
5 | | - | " | 1·10-2 | 0,4·10-1 | 0,8·10-2 | 0,2·10-2 | 0,16·10-2 | 0,8·10-3 | 0,25·10-3 | 0,32·10-3 |
6 | | - | " | 1·10-2 | 0,13·10-1 | 0,4·10-2 | 1·10-3 | 1·10-3 | 0,8·10-3 | 0,63·10-3 | 0,8·10-3 |
| | - | (Sогр = 90 м2) | 0,36 | 0,45 | 0,144 | 0,022 | 0,022 | 0,0143 | 0,014 | 0,018 |
| | - | (Sок = 5 м2) | 0,05 | 0,2 | 0,04 | 0,01 | 0,008 | 0,004 | 0,001 | 0,002 |
| | - | (Sдв = 2 м2) | 0,02 | 0,026 | 0,008 | 0,002 | 0,002 | 0,002 | 0,001 | 0,002 |
| | ИС МЕГАНОРМ: примечание. В официальном тексте документа, видимо, допущена опечатка: имеется в виду позиция 7, а не позиция 78. | |
|
10 | | - | | 0,43 | 0,676 | 0,192 | 0,034 | 0,032 | 0,020 | 0,016 | 0,022 |
11 |  , м 2 | - | - | 97 | 97 | 97 | 97 | 97 | 97 | 97 | 97 |
12 | | - | | 23,5 | 21,7 | 27 | 34,6 | 34,8 | 36,8 | 37,8 | 36,4 |
13 | 10lg Bи | дБ | | 10,9 | 16,2 | 24,9 | 25,3 | 22,7 | 19,2 | 18,8 | 18,7 |
14 | | " | - | 19,9 | 19,9 | 19,9 | 19,9 | 19,9 | 19,9 | 19,9 | 19,9 |
15 | Rкаб = (Rср + 10lg Bи - 10lg 97) | " | | 14,5 | 18 | 32,0 | 40 | 37,6 | 36,1 | 36,7 | 35,2 |
16 | Rтр = Lш - Lдоп. | " | | 10 | 10 | 20 | 32 | 32 | 34 | 29 | 22 |
Снижение шума звукоизолирующими кожухами
Общие положения
4.28. Звукоизолирующие кожухи в ряде случаев являются единственным эффективным средством снижения шума от технологического оборудования или отдельных узлов. Кожухи позволяют существенно снизить шум в непосредственной близости от работающего оборудования на ближайших к источнику рабочих местах, что невозможно сделать другими строительно-акустическими мероприятиями.
4.29. Кожухи могут закрывать целиком весь источник шума и устанавливаться на пол помещения, а могут закрывать лишь наиболее шумную часть машины из-за особенностей эксплуатации и обслуживания источника шума и крепиться к станине через виброизолирующие прокладки. Конструктивные варианты кожухов тоже различны. Они могут плотно охватывать источник шума, могут быть установлены на определенном расстоянии от источника.
4.30. Звукоизоляция кожуха зависит от конструкции и материала стенок кожуха, его формы и наличия эффективной звукопоглощающей облицовки внутри кожуха. Кроме того, она существенно зависит от количества смотровых окон, мест выхода коммуникаций, наличия отверстий, необходимости подачи и выброса из-под кожуха воздуха, удаления пыли обрабатываемых деталей и от передачи на кожух структурного шума.
4.31. Звукоизоляция кожухов, закрывающих источник шума целиком, должна определяться по
ГОСТ 23628-79.
4.32. Звукоизоляция, определяемая по этому ГОСТу, является максимальной для данного кожуха. В реальных условиях эксплуатации на ближайшем к источнику шума рабочем месте такое же снижение шума может быть достигнуто только в случае, если шум помех при выключенном источнике шума не менее, чем на 10 дБ ниже шума на рабочем месте при работе источника шума с установленным на нем кожухом. В случае более высоких уровней помех на рабочем месте реальная звукоизоляция кожуха будет снижена.
4.33. Если для работы машины необходимо обеспечить циркуляцию воздуха под кожухом, то в кожухе должны быть предусмотрены проемы для прохода воздуха, оборудованные соответствующими щелевыми глушителями. Эффективность глушителей должна быть не менее звукоизоляции стенок кожуха во всех октавных полосах частот.
4.34. Если кожухи оборудованы принудительной вентиляцией, то в воздуховодах также должны быть установлены глушители шума необходимой длины.
4.35. Проектирование кожухов следует производить на основании акустического расчета с определением требуемой звукоизоляции кожуха в целом и подбором соответствующих конструкций стенок, смотровых проемов, дверей, глушителей и т.п.
Определение требуемой звукоизоляции кожуха
4.36. Под звукоизоляцией кожуха понимается снижение звуковой мощности шума, излучаемого источником в окружающее пространство в результате установки на источник звукоизолирующего кожуха. Звукоизоляция кожуха зависит от звукоизоляции его стенок, размеров кожуха и источника шума, наличия звукопоглощающей облицовки под кожухом, от способа установки кожуха.
4.37. Требуемая звукоизоляция кожуха
Rкож.тр определяется по формуле
Rкож.тр =
L -
Lдоп + 5, (57)
где L - октавный уровень звукового давления в расчетной точке от одиночно работающей изолируемой машины, дБ;
Lдоп - допустимый по нормам уровень звукового давления в расчетной точке, дБ.
Определение требуемой звукоизоляции стенок кожуха
и выбор конструкции элементов кожуха
4.38. Звукоизоляция стенок кожуха, определяемая поверхностной плотностью и жесткостью, в большой степени зависит от формы стенки (плоская или цилиндрическая) и ее размеров (линейные размеры грани или радиус цилиндрической стенки). При конструировании кожуха необходимо предварительно определить требуемую звукоизоляцию его стенок (граней).
4.39. Для сплошного герметичного кожуха кубической формы (или в форме прямоугольного параллелепипеда), полностью закрывающего машину, требуемая звукоизоляция
Rг.тр для каждой грани кожуха будет одинаковой и может быть определена по формулам:
а) для кожухов со звукопоглощающей облицовкой

, (58)
где
Rкож.тр - требуемая звукоизоляция кожуха, определяемая по
п. 4.37;

- коэффициент звукопоглощения облицовки, определяемый по
табл. 42;
б) для необлицованных кожухов
Rг.тр =
Rкож.тр + 10lg
Sк/
Sист, (59)
где
Sк - площадь поверхности кожуха, м
2 (см.
рис. 17);
Sист - площадь воображаемой поверхности, вплотную окружающей источник шума, м2 (см. рис. 17).
Рис. 17. Схема расположения источника шума,
кожуха и расчетной точки
1 - источник шума; 2 - кожух; 3 - воображаемая
поверхность площадью Sв, проходящая через расчетную точку;
4 - воображаемая поверхность площадью Sист, вплотную
окружающая источник шума
4.40. Выбор стенок кожуха с требуемой звукоизоляцией для кожухов с гранями плоской формы производится по графикам на
рис. 18 -
26, где приведены частотные характеристики звукоизоляции пластин из различного материала в зависимости от их размеров и толщины листа. При выборе характеристики звукоизоляции линейные размеры пластин должны примерно или точно соответствовать размерам грани кожуха или размерам ячейки между ребрами жесткости, если грань имеет дополнительное оребрение.
Примечания: 1. Принимать в расчет размер ячейки следует только в случаях, когда высота ребра
H значительно превышает толщину стенки

. В остальных случаях в расчет принимается размер грани.
2. При размерах грани более 4 x 4 м2 величины принимаются такими же, как при размерах 4 x 4 м2.
Рис. 18. Звукоизоляция пластины из стали толщиной
от 1,5 мм до 2,0 мм разных размеров
1 - 4 x 4 м2; 2 - 3 x 3 м2; 3 - 2 x 2 м2; 4 - 1 x 1 м2;
5 - 0,5 x 0,5 м2; 6 - 4 x 2 м2; 7 - 3 x 1,5 м2;
8 - 2 x 1,0 м2; 9 - 1 x 0,5 м2
Рис. 19. Звукоизоляция пластин из стали толщиной
от 3 мм до 4 мм разных размеров
1 - 4 x 4 м2; 2 - 3 x 3 м2; 3 - 2 x 2 м2; 4 - 1 x 1 м2;
5 - 0,5 x 0,5 м2; 6 - 4 x 2 м2; 7 - 3 x 1,5 м2;
8 - 2 x 1 м2; 9 - 1 x 0,5 м2
Рис. 20. Звукоизоляция пластин из стали толщиной
от 5 до 6 мм разных размеров
1 - 4 x 4 м2; 2 - 3 x 3 м2; 3 - 2 x 2 м2; 4 - 1 x 1 м2;
5 - 0,5 x 0,5 м2; 6 - 4 x 2 м2; 7 - 3 x 1,5 м2;
8 - 2 x 1 м2; 9 - 1 x 0,5 м2
Рис. 21. Звукоизоляция пластин из алюминиево-магниевых
сплавов толщиной от 1,5 до 2 мм разных размеров
1 - 4 x 4 м2; 2 - 3 x 3 м2; 3 - 2 x 2 м2; 4 - 1 x 1 м2;
5 - 0,5 x 0,5 м2; 6 - 4 x 2 м2; 7 - 3 x 1,5 м2;
8 - 2 x 1 м2; 9 - 1 x 0,5 м2
Рис. 22. Звукоизоляция пластин из алюминиево-магниевых
сплавов толщиной от 3 до 4 мм разных размеров
1 - 4 x 4 м2; 2 - 3 x 3 м2; 3 - 2 x 2 м2; 4 - 1 x 1 м2;
5 - 0,5 x 0,5 м2; 6 - 4 x 2 м2; 7 - 3 x 1,5 м2;
8 - 2 x 1 м2; 9 - 1 x 0,5 м2
Рис. 23. Звукоизоляция пластин из алюминиево-магниевых
сплавов толщиной от 5 до 6 мм разных размеров
1 - 4 x 4 м2; 2 - 3 x 3 м2; 3 - 2 x 2 м2; 4 - 1 x 1 м2;
5 - 0,5 x 0,5 м2; 6 - 4 x 2 м2; 7 - 3 x 1,5 м2;
8 - 2 x 1 м2; 9 - 1 x 0,5 м2
Рис. 24. Звукоизоляция пластин из органического
стекла толщиной от 3 до 4 мм разных размеров
1 - 4 x 4 м2; 2 - 3 x 3 м2; 3 - 2 x 2 м2; 4 - 1 x 1 м2;
5 - 0,5 x 0,5 м2; 6 - 4 x 2 м2; 7 - 3 x 1,5 м2;
8 - 2 x 1 м2; 9 - 1 x 0,5 м2
Рис. 25. Звукоизоляция пластин из органического
стекла толщиной от 5 до 6 мм разных размеров
1 - 4 x 4 м2; 2 - 3 x 3 м2; 3 - 2 x 2 м2; 4 - 1 x 1 м2;
5 - 0,5 x 0,5 м2; 6 - 4 x 2 м2; 7 - 3 x 1,5 м2;
8 - 2 x 1 м2; 9 - 1 x 0,5 м2
Рис. 26. Звукоизоляция пластин из органического
стекла толщиной от 12 до 15 мм разных размеров
1 - 4 x 4 м2; 2 - 3 x 3 м2; 3 - 2 x 2 м2; 4 - 1 x 1 м2;
5 - 0,5 x 0,5 м2; 6 - 4 x 2 м2; 7 - 3 x 1,5 м2;
8 - 2 x 1 м2; 9 - 1 x 0,5 м2
4.41. При проектировании кожухов с плоскими гранями одинакового размера толщина и материал стенок выбираются такими, чтобы звукоизоляция грани выбранных размеров была не ниже Rг.тр во всем диапазоне частот. При проектировании кожуха с гранями различного размера стенки выбираются одинаковой толщины так, чтобы значения звукоизоляции для наименьшей из граней были не ниже Rг.тр во всем диапазоне частот. Проверочный расчет следует произвести для наибольшей грани.
4.42. При подборе конструктивных параметров кожухов цилиндрической формы следует пользоваться графиками звукоизоляции цилиндрических стенок, приведенными на рис. 27, учитывая диаметр цилиндра D и толщину стенки.
Рис. 27. Звукоизоляция цилиндрической стенки кожуха
из стали при толщине стенки, мм, (а - 1,5; б - 3,0)
и диаметре цилиндра, м
1 - 0,6; 2 - 0,9; 3 - 1,2; 4 - 1,8; 5 - 2,5; 6 - 5,0
4.43. Если кожух имеет форму полуцилиндра, то звукоизоляцию его стенки следует определять по графикам на
рис. 27 для цилиндрических кожухов, используя для полуцилиндра диаметром
D кривую звукоизоляции для цилиндра с диаметром 1,5
D.
4.44. Если стенки кожуха выбранной толщины не могут обеспечить Rг.тр, а увеличение толщины металла дает излишнее увеличение звукоизоляции или значительно увеличивает вес, то увеличение звукоизоляции стенок рекомендуется производить за счет облицовки (частично или полностью) стенок кожуха звукопоглощающим материалом толщиной не менее 30 мм.
4.45. Дополнительная звукоизоляция стенки кожуха, получаемая благодаря нанесению звукопоглощающего слоя, зависит от размера грани кожуха. Приближенную оценку дополнительной звукоизоляции

от облицовки кожуха слоем супертонкого стеклянного или базальтового волокна толщиной 30 - 50 мм

или слоем полужестких минераловатных плит толщиной 50 - 80 мм

следует производить по графику на рис. 28.
Рис. 28. Дополнительная звукоизоляция слоя
звукопоглощающего материала для различных линейных
максимальных размеров стенки
1 - >= 2 м; 2 - <= 1 м
Если максимальный размер грани кожуха 1 м <
a < 2 м, то берутся промежуточные значения

из того же графика.
Примечание. Для цилиндрического и полуцилиндрического кожуха за размер a принимается максимальный размер развертки боковой поверхности кожуха.
4.46. В кожухах неоднородной конструкции (при наличии в стенке кожуха смотрового окна, двери или вмонтированного глушителя) средняя звукоизоляция грани кожуха Rср должна быть не ниже Rг.тр.
Среднюю звукоизоляцию такой грани, дБ, определяют по формуле

, (60)
где Si, Ri - соответственно площадь, м2, и звукоизоляция, дБ, рассматриваемого элемента;
m - общее количество элементов с разной звукоизоляцией.
Примечание. При проектировании кожуха с окном или дверью звукоизоляцию всех его граней следует выбирать немного большей, чем Rг.тр, причем дверь и окно рекомендуется размещать в разных гранях.
4.47. Если в грани имеется только один проем, то требуемую звукоизоляцию заполненного проема
Rпр.тр (например, окна) можно определить, пользуясь номограммой на рис. 29, где вместо
Rср подставляется требуемая звукоизоляция стенок кожуха
Rг.тр, определенная по
формуле (58) или
(59), вместо

- проектная звукоизоляция грани, в которой имеется проем, а величина
Rм представляет собой искомую звукоизоляцию заполненного проема, например, окна (
K - процент площади грани, занятой элементом с меньшей звукоизоляцией).
Рис. 29. Номограмма для определения средней звукоизоляции
ограждений неоднородной конструкции
Конструкция окна подбирается по
рис. 24 -
26.
4.48. Если кожух должен иметь отверстие для циркуляции воздуха или для прохода коммуникаций, то в эти отверстия должны быть вмонтированы специальные щелевые или кольцевые глушители, требуемая акустическая эффективность которых определяется таким же образом, как для любого заполненного проема (см.
п. 4.47). Подбор глушителей можно произвести по табл. 34. Ширина щели
h в таких глушителях должна быть 20 - 40 мм при двухсторонней и 10 - 20 мм при односторонней облицовке щели. Толщина облицовки
H = 50 мм.
Таблица 34
Эффективность глушителей, дБ, в зависимости от длины
(наполнитель - волокно супертонкое стеклянное

или базальтовое

)
Тип глушителя | Ширина щели, мм | Площадь свободного сечения, м2 | Длина, м | Среднегеометрическая частота октавной полосы, Гц |
63 | 125 | 250 | 500 | 1000 | 2000 | 4000 | 8000 |
Кольцевые и щелевые глушители с двухсторонней облицовкой | 40 | 0,035 | 0,25 | 15 | 13 | 13 | 14 | 17 | 19 | 20 | 17 |
0,5 | 18 | 18 | 20 | 25 | 33 | 38 | 40 | 34 |
0,75 | 20 | 22 | 27 | 36 | 45 | 45 | 45 | 40 |
1 | 23 | 26 | 35 | 45 | 45 | 45 | 45 | 40 |
30 | 0,022 | 0,25 | 17 | 16 | 15 | 17 | 19 | 24 | 26 | 25 |
0,5 | 20 | 22 | 24 | 31 | 40 | 45 | 45 | 45 |
0,75 | 22 | 27 | 33 | 45 | 45 | 45 | 45 | 45 |
1 | 25 | 32 | 40 | 45 | 45 | 45 | 45 | 45 |
20 | 0,015 | 0,25 | 19 | 20 | 19 | 21 | 26 | 32 | 38 | 40 |
0,5 | 22 | 29 | 32 | 38 | 45 | 45 | 45 | 40 |
0,75 | 26 | 38 | 40 | 45 | 45 | 45 | 45 | 40 |
1 | 30 | 40 | 40 | 45 | 45 | 45 | 45 | 40 |
Кольцевые глушители с односторонней облицовкой | 20 | Не более 0,015 | 0,25 | 15 | 13 | 13 | 14 | 17 | 19 | 20 | 17 |
0,5 | 18 | 18 | 20 | 25 | 33 | 38 | 40 | 34 |
0,75 | 20 | 22 | 27 | 36 | 45 | 45 | 45 | 40 |
1 | 23 | 26 | 35 | 45 | 45 | 45 | 45 | 40 |
10 | Не более 0,01 | 0,25 | 19 | 20 | 19 | 21 | 26 | 32 | 38 | 40 |
0,5 | 22 | 29 | 32 | 38 | 45 | 45 | 45 | 40 |
0,75 | 26 | 38 | 40 | 45 | 45 | 45 | 45 | 40 |
1 | 30 | 40 | 40 | 45 | 45 | 45 | 45 | 40 |
Примечание. Площадь свободного (проходного) сечения глушителя может быть увеличена за счет увеличения ширины щели, но не более чем в два раза и при соответствующем удлинении щели или увеличения числа щелей или колец (размещенных параллельно друг другу).
4.49. После того как выбрана конструкция всех элементов кожуха, следует произвести проверочный расчет его звукоизоляции. Проектная звукоизоляция кожуха Rкож, дБ, полностью закрывающего машину и установленного на полу на прокладках из мягкой резины, определяется по формулам:
для кожухов со звукопоглощающей облицовкой

; (61)
для необлицованных кожухов
Rкож = Rг.ср - 10lg Sк/Sист; (62)

, (63)
где Rг.ср - проектная средняя звукоизоляция ограждающего кожуха;
Ri - расчетное значение звукоизоляции грани с площадью
Si, дБ, [для граней неоднородной конструкции вместо
Ri берется значение
Rср, определяемое по
формуле (60) или
рис. 29];
m - общее число граней кожуха;
4.50. Во всех случаях, когда на кожух могут передаваться вибрации от изолируемого источника шума, например, если источник шума - вибростенд, кожух следует покрывать вибродемпфирующим материалом мастичного типа. Толщина покрытия должна быть в 2 - 3 раза больше толщины металлической стенки кожуха. Вибродемпфирующая мастика может наноситься снаружи или изнутри кожуха. При работе кожуха в условиях нормальных температур окружающей среды (от +10 до +30 °C) рекомендуется применять вибродемпфирующую мастику ВД-17.
4.51. Если кожух закрывает только наиболее шумную часть агрегата и соединен со станиной или другими элементами источника шума, то даже при наличии виброизолирующих прокладок требуемая по расчету звукоизоляция кожуха
Rг.тр не будет обеспечена, если даже звукоизоляция его стенок соответствовала требуемой по расчету (см.
п. 4.39). Звукоизоляция кожуха будет в этом случае очень незначительной, а на некоторых частотах отсутствовать и может быть определена только экспериментальным путем. В таких случаях нанесение мастики увеличивает звукоизоляцию кожуха в среднем на 5 - 15 дБ в нормируемом диапазоне частот.
4.52. Пример расчета
Задание. Запроектировать кожух на машину, через одну из стенок которого должен проходить вал привода диаметром 0,1 м. Машина требует охлаждения, поэтому в кожухе должны быть предусмотрены отверстия для циркуляции воздуха (два отверстия в различных гранях каждое с проходной площадью 0,15 м2). В боковой грани кожуха необходимо также предусмотреть смотровое окно размером 0,5 x 0,5 м2.
Габариты машины: длина 1,4 м, ширина 0,4 м, высота 0,85 м. Машина располагается в производственном помещении. Расчетная точка выбрана на рабочем месте, которое находится на расстоянии 1 м от поверхности машины. Октавные уровни звукового давления в расчетной точке, создаваемые одиночно работающей машиной, приведены в табл. 35.
Величина | Среднегеометрическая частота октавной полосы, Гц |
63 | 125 | 250 | 500 | 1000 | 2000 | 4000 | 8000 |
Уровень звукового давления, дБ | 98 | 95 | 101 | 110 | 115 | 108 | 103 | 105 |
Решение. В соответствии с формой машины выбираем кожух в форме прямоугольного параллелепипеда, имеющего размер в плане 1,9 x 0,9 м и высоту 1,10 м.
Определяем площадь поверхности источника шума Sист = (1,4 x 0,85)2 + (0,85·0,4)2 + (1,4·0,4) = 3,62 м2 и площадь поверхности кожуха Sк = (1,9·1,1)2 + (1,1·0,9)2 + (1,9·0,9) = 7,87 м2. Отношение Sк/Sист = 2,17.
Определяем требуемую звукоизоляцию кожуха по
формуле (57) и требуемую звукоизоляцию его стенок по
формуле (59). Допустимые уровни звукового давления
Lдоп в расчетной точке выбираем по
табл. 22 (поз. 6). Расчет сводим в табл. 36. Там же приведены частотные характеристики звукоизоляции стенок запроектированного кожуха. При проектировании кожуха подбираем конструкции стенок кожуха так, чтобы звукоизоляция каждой грани была не ниже
Rг.тр, рассчитанной по
формуле (59). При выбранных габаритах кожуха его грани имеют размеры: (1,9·1,1) м
2, (1,9·0,9) м
2 и (1,1·0,9) м
2.
Таблица 36
N п.п. | Наименование | Единица измерения | Ссылка | Среднегеометрическая частота, Гц |
63 | 125 | 250 | 500 | 1000 | 2000 | 4000 | 8000 |
1 | L | дБ | | 98 | 95 | 101 | 110 | 115 | 108 | 103 | 105 |
2 | Lдоп | " | | 99 | 92 | 86 | 83 | 80 | 78 | 76 | 74 |
| Rкож.тр | " | | 4 | 8 | 20 | 32 | 40 | 35 | 32 | 36 |
4 | 10lg Sк/Sист | " | - | 3 | 3 | 3 | 3 | 3 | 3 | 3 | 3 |
| Rг.тр | " | | 7 | 11 | 23 | 35 | 43 | 38 | 35 | 39 |
|  (~1 x 1 м 2) | " | | - | 29 | 25 | 30 | 36 | 41 | 44 | 30 |
|  (~2 x 1 м 2) | " | | 22 | 30 | 28 | 32 | 37 | 42 | 45 | 31 |
|  (1 x 1 м 2) | " | | 0 | 1,0 | 2,5 | 4,3 | 6 | 7,0 | 8 | 10 |
|  (1 x 2 м 2) | " | | 0 | 2,0 | 3,0 | 7,5 | 12 | 16 | 20 | 22 |
| | " | | - | 30 | 27,5 | 34 | 42 | 48 | 52 | 40 |
| | " | | 22 | 32 | 31,0 | 39,5 | 49 | 58 | 65 | 53 |
Выбираем стальной кожух с толщиной стенок 1,5 мм.
Звукоизоляцию каждой грани кожуха определяем по графику
рис. 18, округляя размеры граней кожуха до ближайших значений на расчетных кривых этого графика [для граней размером (1,9 x 1,1 м
2) и (1,9·0,9) м
2 используем кривую 8, а для грани (1,1·0,9) м
2 - кривую 4].
Из сравнения звукоизоляции меньшей грани (1,1·0,9 м
2) с
Rг.тр, рассчитанной по
формуле (59), видим, что выбранная стенка толщиной 1,5 мм не обеспечивает требуемую величину звукоизоляции на двух (1000 и 8000 Гц) частотах. Для увеличения звукоизоляции стенок кожуха применим облицовку стенок кожуха изнутри звукопоглощающим материалом.
Полученная звукоизоляция как меньшей, так и большей грани с облицовкой (

и

) во всем диапазоне частот больше требуемой величины
Rг.тр.
Далее проектируем смотровое окно и глушители в отверстиях для циркуляции воздуха и в месте прохода вала (рис. 30).
Рис. 30. Схема звукоизолирующего кожуха
1, 2 - глушители в отверстиях для циркуляции воздуха;
3 - глушитель в отверстии для вала; 4 - звукопоглощающая
облицовка; 5 - резиновая прокладка; 6 - перфорированный лист
или сетка; 7 - металлический лист; 8 - металлический
вал (стержень)
Требуемую звукоизоляцию смотрового окна размером 0,5 x 0,5 м
2 и требуемую эффективность глушителей определяем с помощью номограммы на
рис. 29, полагая
Rм равным
Rтр.ок или

. Окно размещаем в грани размером 1,9·1,1 м
2 (
K = 12%), глушители для циркуляции воздуха соответственно: в верхней грани размером 1,9·0,9 м
2 
и в торцевой грани размером 1,1·0,9 м
2 
.
Ширину щели в месте прохода вала (диаметром 0,1 м) через грань размером 1,1·0,9 м
2 (см.
рис. 30) выбираем равной 20 мм. В этом случае

.
Расчет требуемой звукоизоляции и значения проектной звукоизоляции окна и всех вышеперечисленных глушителей приведен в табл. 37. При определении требуемой звукоизоляции окна и требуемой эффективности глушителей по номограмме на
рис. 29 принимаем:
Rср =
Rг.тр (табл. 36, поз. 5) Rб =
R'
ki для грани соответствующего размера (
табл. 36, поз. 10,
11) и
Rм =
Rок.тр. или
Rм =
Rгл.тр. Окно подбираем по
рис. 26. Подходящим является окно из органического стекла толщиной 12 мм,
рис. 26, кривая 5.
Таблица 37
N п.п. | Величина | Единица измерения | Ссылка | Среднегеометрическая частота, Гц |
63 | 125 | 250 | 500 | 1000 | 2000 | 4000 | 8000 |
1 | Rг.тр (Rср) | дБ | | 7 | 11 | 23 | 35 | 43 | 38 | 35 | 39 |
2 | | " | | - | 32 | 31,0 | 39,5 | 49 | 58 | 65 | 53 |
3 | | " | - | - | -2,1 | -8,0 | -4,5 | -6 | -20 | -30 | -14 |
4 |  (K = 12%) | " | | - | 31 | 16 | 12 | 14 | 29 | 36 | 24 |
5 | Rок.тр  | " | - | - | 1 | 15 | 27,5 | 35 | 29 | 29 | 29 |
6 |  (K = 9%) | " | - | - | 33 | 21 | 15 | 18 | 31 | 40 | 29 |
7 |  (в грани 1,9 x 0,9) | " | | - | -1 | 10 | 24,5 | 31 | 27 | 25 | 24 |
8 | | " | | - | 30 | 27,5 | 34 | 42 | 48 | 52 | 40 |
9 | | " | | - | -19 | -4,5 | 1 | 1 | -10 | -17 | -1 |
10 |  (K = 15%) | " | | - | 29 | 11,5 | 0 | 0 | 18,0 | 28 | 4,5 |
11 |  ( Rм.3) (в грани 1,1 x 0,9) | " | | - | 1 | 16 | 34 | 42 | 30 | 24 | 35,5 |
12 |  (K = 1,6%) | " | | - | 37 | 21 | 0 | 0 | 25 | 37 | 13 |
13 |  ( Rм.4) | " | - | - | 0 | 6,5 | 3,4 | 42 | 23 | 15 | 27 |
| Rок (органическое стекло 12 мм) | " | | - | - | 27 | 26 | 28 | 24 | 33 | 42 |
| | ИС МЕГАНОРМ: примечание. В официальном тексте документа, видимо, допущена опечатка: позиция 2 в таблице 34 отсутствует. | |
|
|  ( lгл = 0,5 м) | " | Табл. 34, поз. 2 | 20 | 22 | 24 | 31 | 40 | 45 | 45 | 45 |
| | ИС МЕГАНОРМ: примечание. В официальном тексте документа, видимо, допущена опечатка: позиция 4 в таблице 34 отсутствует. | |
|
|  ( lгл = 0,75 м) | " | Табл. 34, поз. 4 | 20 | 22 | 27 | 36 | 45 | 45 | 45 | 40 |
В отверстиях для циркуляции воздуха можно применить кольцевые или щелевые глушители длиной 0,5 м при ширине щели 30 мм.
Проверочный расчет ожидаемой звукоизоляции запроектированного кожуха производим по
формулам (61) и
(63), сводим в табл. 38. Начинаем расчет с определения средней звукоизоляции граней неоднородной конструкции (с окном и глушителями).
Таблица 38
N п. п. | Величина | Единица измерения | Ссылка | Среднегеометрическая частота, Гц |
63 | 125 | 250 | 500 | 1000 | 2000 | 4000 | 8000 |
1 |  ( S1 = 1,9·1,1 = 2,09 м 2) | дБ | | - | 32 | 31,0 | 39,5 | 49 | 58 | 65 | 53 |
2 | Rок  | " | | - | - | 27 | 26 | 28 | 24 | 33 | 42 |
3 | | " | - | - | - | 4,0 | 3,5 | 21 | 34 | 32 | 11 |
4 |  ( K = 12%) | " | | - | - | -1 | -5,5 | -11 | -26 | -23 | -3,5 |
5 | Rср.2; (S2 = 2,09 м2) | " | - | - | - | 30 | 34 | 38 | 32 | 42 | 49,5 |
6 | | " | | 20 | 22 | 24 | 31 | 40 | 45 | 45 | 45 |
7 | | " | - | - | 10 | 6 | 8,5 | 9 | 13 | 20 | 8 |
8 |  ( K = 9%) | " | | - | -1,7 | 0 | -1,2 | -1,4 | -2,7 | -27 | -1 |
9 |  ( S3 = 1,9·0,9 = 1,7 м 2) | " | - | - | 30,3 | 31,0 | 38,3 | 47,6 | 55,3 | 58 | 52 |
10 | | " | | - | 30 | 27,5 | 34 | 42 | 48 | 52 | 40 |
11 | | " | - | - | 8 | 3,5 | 3 | 2 | 3 | 7 | 0 |
12 |  ( K = 15%) | " | | - | -2,4 | 0 | 0 | 0 | 0 | -1,8 | 0 |
13 |  ( S4 = 1,1·0,9 = 1 м 2) | " | - | - | 27,6 | 27,5 | 34 | 42 | 48,0 | 50,2 | 40 |
14 | | " | | 20 | 22 | 27 | 36 | 45 | 45 | 45 | 45 |
15 | | " | - | - | 8 | 0,5 | -2 | -3 | 3 | 7,0 | -5 |
16 |  ( K = 1,6%) | " | - | - | 0 | 0 | 0 | 0 | 0 | 0 | 0 |
17 | Rср.5 (S5 = 1,1·0,9 = 1 м2) | " | | - | 30 | 27,5 | 34 | 42 | 48 | 52 | 40 |
18 |  ( S1 = 2,09 м 2) | - | | - | 1,32·10-3 | 1,67·10-3 | 0,27·10-3 | 0,27·10-4 | 0,32·10-5 | 0,67·10-6 | 1,04·10-5 |
19 |  ( S2 = 2,09 м 2) | - | То же | - | 3,3·10-3 | 2,09·10-3 | 0,84·10-3 | 3,3·10-4 | 1,32·10-3 | 1,32·10-4 | 0,27·10-4 |
20 |  ( S3 = 1,7 м 2) | - | " | - | 1,7·10-3 | 1,36-10-3 | 0,27·10-3 | 0,34·10-4 | 0,54·10-5 | 0,27·10-5 | 1,07·10-5 |
21 |  ( S4 = 1 м 2) | - | " | - | 2,0·10-3 | 0,2·10-2 | 0,4·10-3 | 0,63·10-4 | 0,16·10-4 | 1·10-5 | 1·10-4 |
22 |  ( S5 = 1 м 2) | - | " | - | 1,0·10-3 | 0,2·10-2 | 0,4·10-3 | 0,63·10-4 | 0,16·10-4 | 0,63·10-5 | 1·10-4 |
23 | | - | " | - | 9,32·10-3 | 9,1·10-3 | 2,18·10-3 | 5,17·10-4 | 1,36·10-3 | 1,51·10-4 | 2,48·10-5 |
24 | | - | | - | 8,5·102 | 8,4·102 | 3,6·103 | 15,2·103 | 5,8·103 | 5,2·104 | 3,17·104 |
25 | Rг.ср | дБ | | - | 29,3 | 29,2 | 35,6 | 41,8 | 37,6 | 47,2 | 45 |
26 | | - | | 0,09 | 0,18 | 0,55 | 1,0 | 0,86 | 0,79 | 0,85 | 0,85 |
27 | | | - | -10,5 | -7,5 | -2,6 | 0 | -0,7 | -1 | -0,7 | -0,7 |
28 | Rкож | дБ | | - | 21,8 | 26,6 | 35,6 | 41,1 | 36,6 | 46,5 | 44,3 |
29 | Rкож.тр. | " | | 4 | 8 | 20 | 32 | 40 | 35 | 32 | 36 |
В месте прохода вала можно установить кольцевой глушитель с односторонней облицовкой длиной 0,75 м, но при ширине щели 20 мм (см.
табл. 34).
Проектная звукоизоляция окна и акустическая эффективность выбранных глушителей приведены в
табл. 37, поз. 14 -
16.
Сравнение результатов проверочного расчета с требуемой звукоизоляцией кожуха показывает, что выбранная конструкция кожуха и дополнительных элементов (окна, глушителей) обеспечивает необходимую звукоизоляцию во всем частотном диапазоне
5. ЗВУКОПОГЛОЩАЮЩИЕ ОБЛИЦОВКИ И КОНСТРУКЦИИ
5.1. Звукопоглощающие облицовки и конструкции следует применять, когда требуемое снижение уровня звукового давления

, дБ, определенное в соответствии с
пп. 2.40 -
2.41, в расчетных точках превышает 1 - 3 дБ не менее чем в трех октавных полосах или превышает 5 дБ хотя бы в одной из октавных полос. При этом применение звукопоглощающих облицовок и конструкций без каких-либо других мероприятий целесообразно, если в расчетных точках требуемое снижение шума

не превышает 5 - 8 дБ.
5.2. Если полученные в результате расчета значения

окажутся выше значений, указанных в
п. 5.1, то для снижения уровня звукового давления помимо звукопоглощающих конструкций необходимо предусматривать применение дополнительных средств защиты от шума, например выгородок, кожухов, экранов или изменение технологической планировки.
Снижение шума звукопоглощающими
облицовками и штучными звукопоглотителями
5.3. Величину максимального снижения уровня звукового давления

, дБ, в каждой октавной полосе в расчетных точках, расположенных в зоне постоянного пребывания людей, не связанных с работой оборудования (в зоне отраженного звука), при применении звукопоглощающих конструкций следует определять по формуле

, (64)
где
B,
Bобл - постоянные помещения, м
2, соответственно до и после установки в нем звукопоглощающих конструкций
B определяют по
п. 2.9,
Bобл - по
п. 2.10;

,

- коэффициенты, определяемые по графику
рис. 3, соответственно до и после устройства звукопоглощающих конструкций.
5.4. Величины снижения октавных уровней звукового давления в расчетных точках на рабочих местах оборудования при применении звукопоглощающих конструкций следует определять по формуле

, (65)
5.5. Пример расчета снижения уровней звукового давления в помещении со звукопоглощающей облицовкой методом расчета по
СНиП II-12-77 "Защита от шума".
Задание. Определить ожидаемое снижение октавных уровней звукового давления в механическом цехе в результате устройства звукопоглощающей облицовки потолка и части стен.
Дано. Геометрические и акустические параметры цеха, шумовые характеристики и размещение оборудования такие же, как в примере расчета в
п. 2.11. Одну расчетную точку, так же как в примере
п. 2.11, выбираем около станка N 33, другую в конце цеха, в зоне отраженного звука (см.
рис. 4). Площадь облицованных звукопоглощающими конструкциями поверхностей (потолка, торцевых стен и одной длинной стены)
Sобл = 2256 м
2. Для облицовки применена звукопоглощающая конструкция в соответствии с
поз. 27 в табл. 42. Общая площадь ограждающих поверхностей помещения
Sогр = 4292 м
2.
Решение. Вначале определяем по
формуле (45) требуемое снижение уровней звукового давления в расчетных точках 1 и 2 при работе 40 станков (как в примере
2.11). Значения
Lобщ берем из табл. 6 (
поз. 40,
41). Затем по
формуле (64) определяем максимальное снижение уровней звукового давления при применении звукопоглощающей облицовки в расчетной точке 2 (в зоне отраженного звука). Снижение уровней звукового давления в расчетной точке 1 (на рабочем месте станка N 33) определяем по
формуле (65). Расчет сводим в табл. 39. В результате расчета видим, что в расчетной точке 2 примененная звукопоглощающая облицовка обеспечивает требуемое снижение шума (см.
табл. 39, п. 5), а в расчетной точке 1 снижение шума на частотах 500 и 1000 Гц в среднем на 2 дБ ниже требуемого.
Таблица 39
N п. п. | Величина | Единица измерения | Ссылка | Среднегеометрическая частота октавной полосы, Гц |
63 | 125 | 250 | 500 | 1000 | 2000 | 4000 | 8000 |
| | ИС МЕГАНОРМ: примечание. В официальном тексте документа, видимо, допущена опечатка: имеется в виду позиция 40 таблицы 6, а не таблицы 5. | |
|
1 | | дБ | | 82 | 88,5 | 93,4 | 92,6 | 89,1 | 81,0 | 73,0 | 63,8 |
| | ИС МЕГАНОРМ: примечание. В официальном тексте документа, видимо, допущена опечатка: имеется в виду позиция 41 таблицы 6, а не таблицы 5. | |
|
2 | | " | | 81 | 88 | 93 | 91,7 | 88,3 | 80 | 69,2 | 57,8 |
3 | Lдоп | " | | 99 | 92 | 86 | 83 | 80 | 78 | 76 | 66 |
4 | | " | | - | - | 7,4 | 9,6 | 9,1 | 3 | - | - |
| | " | | - | - | 7 | 8,7 | 8,3 | 2 | - | - |
6 | B | м2 | | 263 | 263 | 290 | 370 | 525 | 840 | 1570 | 3150 |
7 | | - | | 0,95 | 0,95 | 0,93 | 0,9 | 0,9 | 0,84 | 0,72 | 0,57 |
| | ИС МЕГАНОРМ: примечание. В официальном тексте документа, видимо, допущена опечатка: позиция 27 в таблице 40 отсутствует. | |
|
8 | | - | Табл. 40, поз. 27 | 0,12 | 0,23 | 0,9 | 1,0 | 1,0 | 0,97 | 0,97 | 0,92 |
9 |  ( Sобл = 2256 м 2) | м2 | | 270,7 | 518,9 | 2030,4 | 2256 | 2256 | 2188 | 2188 | 2075,5 |
10 |  ( Sогр = 4292 м 2) | - | | 0,06 | 0,06 | 0,06 | 0,08 | 0,109 | 0,16 | 0,27 | 0,42 |
11 | | м2 | | 122,2 | 122,2 | 122,2 | 162,9 | 221,9 | 325,8 | 549,7 | 855,1 |
12 | | - | | 0,09 | 0,15 | 0,5 | 0,56 | 0,58 | 0,59 | 0,64 | 0,68 |
| | м2 | | 431,8 | 754,2 | 4305,2 | 5497,5 | 5899,8 | 6131,2 | 7604,7 | 9158,1 |
14 | Bобл/Sогр | - | - | 0,1 | 0,18 | 1 | 1,3 | 1,4 | 1,4 | 1,8 | 2,1 |
| | - | | 0,92 | 0,85 | 0,51 | 0,44 | 0,43 | 0,43 | 0,37 | 0,35 |
16 | | дБ | | 2,3 | 5,06 | 4,3 | 14,8 | 13,7 | 11,5 | 9,7 | 6,8 |
| | - | | 3,7·107 | 8,8·107 | 2,0·108 | 2,5·108 | 1,3·108 | 2,7·107 | 1,2·107 | 1,8·106 |
| | - | | 0,0085 | 0,0045 | 0,0005 | 0,0003 | 0,0003 | 0,0003 | 0,0002 | 0,0002 |
| | - | | 9,3·109 | 4,4·1010 | 1,6·1011 | 1,4·1011 | 9,8·1010 | 2,5·1010 | 4,6·109 | 8,1·108 |
| | - | | 7,9·107 | 2,0·108 | 8·107 | 4,2·107 | 2,9·107 | 7,5·106 | 9,2·105 | 1,6·105 |
21 | | - | | 1,2·108 | 2,9·108 | 2,8·108 | 2,92·108 | 1,6·108 | 3,5·107 | 1,3·107 | 2,0·106 |
22 | | дБ | - | 80,8 | 84,6 | 84,5 | 84,7 | 82,0 | 75,4 | 71,1 | 63 |
23 | | " | | 82,0 | 88,5 | 93,4 | 92,6 | 89,1 | 81,0 | 73,0 | 63,8 |
24 |  (в Р. Т. - 1) | " | | 1,2 | 3,9 | 8,9 | 7,9 | 7,1 | 5,6 | 1,9 | 0,8 |
Усовершенствованный метод расчета
5.6. Величина снижения уровня звукового давления

, дБ, в расчетных точках в каждой октавной полосе при применении звукопоглощающих конструкций определяется с учетом принадлежности помещения по форме к одной из трех групп по
п. 2.12.
5.7. Максимально возможное снижение октавных уровней звукового давления в расчетных точках помещения при облицовке всех ограждающих поверхностей звукопоглощающими конструкциями следует определять по формуле

, (66)
где Q - акустическое отношение в расчетной точке.
Акустическое отношение Q (отношение плотностей энергии отраженного и прямого звука в расчетной точке) вычисляют:
для соразмерных помещений по формуле

, (67)
для плоских помещений по формуле

, (68)
для длинных помещений по формуле

, (69)
5.8. Реальное снижение октавных уровней звукового давления в расчетных точках помещения

, дБ, при применении звукопоглощающих конструкций следует определять:
в соразмерных помещениях по формуле

, (70)
где
B,
Bобл - постоянные помещения, м
2, соответственно до и после установки в нем звукопоглощающих конструкций, определяемые по
п. 2.19;
для плоских и длинных помещений по формуле

, (71)
где
L - октавный уровень звукового давления, дБ, в выбранной расчетной точке помещения без звукопоглощающих конструкций, определяемый для плоских помещений, по
пп. 2.22,
2.23 или по
формуле (30); для длинных помещений -
пп. 2.24,
2.25 или по
формуле (31);
Lобл - октавный уровень звукового давления в выбранной расчетной точке помещения после установки в нем звукопоглощающих конструкций.
При вычислении
Lобл величины

,
a,
g,
Ппл,
Пдл заменяют соответственно на
Lср.обл,
aобл,
gобл,
Ппл.обл,
Пдл.обл,
где

- средний коэффициент звукопоглощения помещения со звукопоглощающими конструкциями, определяемый по
формулам (15) и
(16), в которых

заменяется на

, определяемое по
п. 2.15;
aобл - показатель звукопоглощения в помещении со звукопоглощающими конструкциями, определяемый по
п. 2.18 с заменой

на

в
формуле (17) или по номограмме
рис. 8;
gобл - корректирующий множитель, определяемый по графику
рис. 9 с заменой

на

или по правилу
п. 2.22 с заменой
a на
aобл;
Ппл.обл,
Пдл.обл - коэффициенты, учитывающие вклад рассеянного звука удаленных источников, определяемые по
п. 2.27 с заменой
a на
aобл.
5.9. Пример расчета снижения уровней звукового давления звукопоглощающей облицовкой первым упрощенным методом (см.
пп. 2.26 и
2.27).
Задание. Определить ожидаемое снижение октавных уровней звукового давления в расчетной точке механического цеха после облицовки потолка и части стен.
Дано. Геометрические и акустические параметры цеха, шумовые характеристики и размещение оборудования такие же, как в примере расчета по
п. 2.28. Общая площадь ограждающих поверхностей
Sогр = 4289 м
2, площадь облицованных звукопоглощающими конструкциями поверхностей
Sобл = 2256 м
2.
Решение. Выписываем из
табл. 11 (см. пример расчета
п. 2.28) ожидаемые уровни звукового давления
L, дБ, и, сравнивая их с нормативными
(табл. 22, п. 6), определяем

. По
формуле (69) определяем акустическое отношение
Q, а по
формуле (66) - максимально возможное снижение шума

в расчетной точке. Расчет сводим в табл. 40. Получаем, что при полной облицовке помещения возможно снизить уровни звукового давления в расчетной точке до нормативных во всем диапазоне частот, кроме октавной полосы со среднегеометрической частотой 1000 Гц.
Таблица 40
N п.п. | Величина | Единица измерения | Ссылка | Среднегеометрическая частота октавной полосы, Гц |
63 | 125 | 250 | 500 | 1000 | 2000 | 4000 | 8000 |
1 | L | дБ | | 77 | 84 | 90 | 83 | 88 | 91 | 74 | 65 |
2 | Lдоп | " | | 99 | 92 | 86 | 83 | 80 | 78 | 76 | 74 |
| | " | | - | - | 4 | 5 | 8 | 3 | - | - |
4 | | " | | 1,9 | 2,2 | 2,15 | 2,25 | 2,7 | 2,2 | 1,1 | 0,7 |
5 | | " | | 4,6 | 5,0 | 5,0 | 5,1 | 5,7 | 5,1 | 3,2 | 2,3 |
Определим фактическое снижение уровней звукового давления в расчетной точке по
формуле (31) при облицовке потолка, торцевых стен и одной длинной стены звукопоглощающей конструкцией. Реверберационный коэффициент

этой конструкции приведен в
табл. 42, поз. 27. Расчет производим для среднегеометрических частот 250, 500, 1000 и 2000 Гц, на которых уровни звукового давления превышают нормативные. Находим средние коэффициенты звукопоглощения в помещении после акустической обработки

(см.
п. 5.8), а также
aобл и
gобл. Затем вычисляем слагаемые для отраженного звука от десяти ближайших источников и источника N 30 (см. п. 2.28,
(табл. 11), но с новыми значениями:

,

,
gобл.

берем из
табл. 11 того же примера. Вычисляем сумму

и прибавляем вклад от источника N 30, находим октавные уровни звукового давления в расчетной точке после установки звукопоглощающей облицовки. Расчет сводим в табл. 41.
Таблица 41
N п. п. | Величина | Единица измерения | Ссылка | N источника шума | Среднегеометрическая частота октавной полосы, Гц |
250 | 500 | 1000 | 2000 |
| | - | | - | 2,97·108 | 1,88·108 | 1,52·108 | 4,08·107 |
2 | | - | | - | 0,11 | 0,11 | 0,11 | 0,12 |
3 | | - | | - | 0,9 | 1,0 | 1,0 | 0,97 |
4 | | м2 | Sогр - Sобл = 2033 м2 | - | 224 | 224 | 224 | 224 |
5 | | " | Sобл = 2256 м2 | - | 2030 | 2256 | 2256 | 2188 |
6 | | - | | - | 0,53 | 0,58 | 0,58 | 0,57 |
7 | | - | | - | 0,0021 | 0,0042 | 0,0058 | 0,0174 |
8 | | - | | - | 0,53 | 0,58 | 0,58 | 0,58 |
| aобл | - | | - | 0,76 | 0,87 | 0,87 | 0,87 |
10 | gобл | - | | - | 1,4 | 1,5 | 1,5 | 1,5 |
| gобл/HW | - | HW = 111,6 м2 | - | 0,012 | 0,013 | 0,013 | 0,013 |
12 | | - | | - | 0,066 | 0,048 | 0,048 | 0,048 |
| | - | Пдл = 1 | - | 0,0008 | 0,0006 | 0,0005 | 0,0006 |
| | - | | - | 2,14·1010 | 2,54·1010 | 1,86·1010 | 2,94·109 |
| | - | | - | 1,7·107 | 1,5·107 | 1,1·107 | 1,75·106 |
16 |  ,  , | - | | 30 | 0,035 | 0,03 | 0,03 | 0,03 |
при  | |
| | - | | 30 | 1,75·109 | 2,4·108 | 7,5·108 | 3·108 |
| | - | | 30 | 2,1·107 | 3,1·106 | 9,7·106 | 3,9·106 |
19 | | - | | - | 3,35·108 | 2,06·108 | 1,73·108 | 4,64·107 |
| | дБ | - | - | 85,2 | 83,1 | 82,4 | 76,7 |
| Lб/обл | " | | - | 90 | 88 | 88 | 81 |
22 | | " | | - | 4,8 | 4,9 | 5,6 | 4,3 |
23 | | " | | - | 4 | 5 | 8 | 3 |
Реальное снижение уровней

оказалось несколько ниже максимальных величин

. Однако и запроектированная облицовка обеспечивает требуемое снижение уровней звукового давления во всем диапазоне частот, кроме среднегеометрической частоты 1000 Гц, на которой фактическое снижение шума на 2 дБ ниже требуемого, что допустимо (см.
п. 5.1).
Акустические характеристики звукопоглощающих
облицовок и штучных звукопоглотителей
5.10. Звукопоглощающие конструкции можно разделить на три группы:
а) облицовки из жестких однородных звукопоглощающих материалов без перфорированного покрытия;
б) звукопоглощающие облицовки с перфорированным покрытием;
в) штучные звукопоглотители.
Первые две группы звукопоглощающих облицовок наиболее просты в изготовлении и могут укрепляться либо непосредственно на поверхности ограждения, либо с воздушным промежутком. Произвольное изменение параметров конструкции облицовки недопустимо, так как это сильно меняет их акустические характеристики.
Штучные звукопоглотители отличаются более сложной конфигурацией и несколько своеобразным способом крепления на поверхности ограждения.
5.11. Принципиальные схемы наиболее распространенных конструкций, реверберационные коэффициенты звукопоглощения, а также технические данные о них приведены в табл. 42. Эквивалентные площади звукопоглощения штучных звукопоглотителей и расстояния между центрами поглотителей и от поверхности ограждений, на которых они установлены, приведены в
табл. 43.
Таблица 42
ХАРАКТЕРИСТИКИ ЗВУКОПОГЛОЩАЮЩИХ КОНСТРУКЦИЙ
Звукопоглощающие облицовки
N п.п. | Изделия или конструкции, ГОСТ или ТУ | Средняя плотность звукопоглощающего материала  , кг/м 3 | Толщина слоя звукопоглощающего материала h, мм | Воздушный промежуток d, мм | Реверберационный коэффициент звукопоглощения  в октавных полосах со среднегеометрической частотой, Гц |
63 | 125 | 250 | 500 | 1000 | 2000 | 4000 | 8000 |
Звукопоглощающие облицовки без перфорированного покрытия 1 - элемент крепления; 2 - звукопоглощающий материал |
1 | Плиты марки ПА/О, минераловатные акустические с несквозной перфорацией по квадрату 13%, диаметром 4 мм, размер 500 x 500 мм (ТУ 21-24-60-74), комбинат "Красный строитель" | 150 | 20 | 0 | (0,02) | 0,03 | 0,17 | 0,68 | 0,98 | 0,86 | 0,45 | 0,2 |
2 | То же | 150 | 20 | 50 | (0,02) | 0,05 | 0,42 | 0,98 | 0,90 | 0,79 | 0,45 | 0,19 |
3 | Плиты марки ПА/С, минераловатные, акустические, отделка "набрызгом", размер 500 x 500 мм (ТУ 21-24-60-74), комбинат "Красный строитель" | 150 | 20 | 0 | (0,02) | 0,05 | 0,21 | 0,66 | 0,91 | 0,95 | 0,89 | 0,70 |
4 | То же | 150 | 20 | 50 | (0,02) | 0,12 | 0,36 | 0,88 | 0,94 | 0,84 | 0,80 | 0,65 |
5 | Плиты типа акмигран, акминит, минераловатные, размер 300 x 300 (ГОСТ 17918-72) | 400 | 20 | 0 | (0,02) | 0,11 | 0,30 | 0,85 | 0,9 | 0,78 | 0,72 | 0,59 |
6 | Плиты типа акмигран, акминит, минераловатные, размер 300 x 300 мм (ГОСТ 17918-72) | 400 | 20 | 50 | (0,01) | 0,2 | 0,71 | 0,88 | 0,81 | 0,71 | 0,79 | 0,65 |
7 | То же | 400 | 20 | 200 | (0,3) | 0,48 | 0,71 | 0,70 | 0,79 | 0,77 | 0,62 | 0,59 |
8 | Плиты АГП, гипсовые, размер 810 x 810 мм, с заполнением из минераловатной ваты, перфорация по квадрату 13%, диаметр 4 мм, ОСТ 21-26-76 | 80 | 20 | 0 | (0,03) | 0,09 | 0,26 | 0,54 | 0,94 | 0,67 | 0,40 | 0,30 |
9 | То же | 80 | 20 | 50 | (0,03) | 0,09 | 0,49 | 0,91 | 0,88 | 0,69 | 0,34 | 0,29 |
| | ИС МЕГАНОРМ: примечание. Взамен ГОСТ 19907-74 Постановлением Госстандарта СССР от 03.02.1983 N 622 с 1 января 1984 года введен в действие ГОСТ 19907-83. ГОСТ 19907-83 утратил силу с 1 июня 2016 года в связи с введением в действие ГОСТ 19907-2015 (Приказ Росстандарта от 06.07.2015 N 857-ст). | |
|
10 | Маты из супертонкого стекловолокна (ТУ 21-01-224-69), оболочка из стеклоткани типа ЭЗ-100 (ГОСТ 19907-74*) | 15 | 50 | 0 | (0,1) | 0,4 | 0,85 | 0,98 | 1,0 | 0,93 | 0,97 | 1,0 |
11 | Маты из супертонкого базальтового волокна (РСТ УССР 5013-76), оболочка из декоративной стеклоткани типа ТСД (ТУ 6-11-54-74) | 20 | 50 | 0 | (0,1) | 0,2 | 0,9 | 1,0 | 1,0 | 0,95 | 0,90 | 0,85 |
12 | Маты из супертонкого базальтового волокна (РСТ УССР 5013-76), оболочка из стеклоткани типа Э3-100 (ГОСТ 19907-74*) | 20 | 50 | 0 | (0,02) | 0,26 | 1,0 | 1,0 | 1,0 | 0,94 | 0,87 | 0,82 |
13 | Маты из супертонкого базальтового волокна (РСТ УССР 5013-76), оболочка из стеклоткани типа Э3-100 (ГОСТ 19907-74*) | 20 | 200 | 0 | (0,28) | 1,0 | 1,0 | 1,0 | 0,9 | 0,81 | 0,97 | 0,96 |
14 | Плиты силакпор (ОСТ 21-22-76) | 350 | 45 | 0 | (0,10) | 0,25 | 0,45 | 0,60 | 0,70 | 0,80 | 0,90 | 0,95 |
Звукопоглощающие облицовки с перфорированным покрытием 1 - звукопоглощающий материал; 2 - защитная оболочка; 3 - перфорированное покрытие |
| | ИС МЕГАНОРМ: примечание. Взамен ГОСТ 9573-72 с 1 июля 1982 года введен в действие ГОСТ 9573-82 (ИУС "Государственные стандарты", N 6, 1982). Взамен ГОСТ 9573-82 Постановлением Минстроя России от 06.12.1996 N 18-90 с 1 апреля 1997 года введен в действие ГОСТ 9573-96. | |
|
| | ИС МЕГАНОРМ: примечание. Взамен ГОСТ 19907-74 Постановлением Госстандарта СССР от 03.02.1983 N 622 с 1 января 1984 года введен в действие ГОСТ 19907-83. ГОСТ 19907-83 утратил силу с 1 июня 2016 года в связи с введением в действие ГОСТ 19907-2015 (Приказ Росстандарта от 06.07.2015 N 857-ст). | |
|
15 | 1 - минераловатная плита (ГОСТ 9573-72); 2 - стеклоткань типа Э3-100 (ГОСТ 19907-74*); 3 - гипсовая плита, размер 500 x 500 мм, толщина 6 мм, перфорация по квадрату 13%, диаметр 10 мм (ТУ 400-1-283-73) | 80 | 60 | 0 | (0,1) | 0,31 | 0,70 | 0,95 | 0,69 | 0,59 | 0,50 | 0,30 |
| То же, но перфорация гипсовой плиты по рисунку 13%, диаметр 7 - 9 мм (ТУ 400-1-283-73) | 80 | 60 | 0 | (0,1) | 0,31 | 0,95 | 0,99 | 0,80 | 0,52 | 0,46 | 0,42 |
17 | 1 - минераловатная плита (ГОСТ 9573-72); 3 - гипсовая плита, толщина 6 мм, размер 500 x 500 мм, подклеенная бязью, перфорация квадратная 13%, диаметр 10 мм (ТУ 400-1-283-73) | 150 | 70 | 0 | (0,05) | 0,42 | 0,95 | 1,0 | 0,75 | 0,60 | 0,51 | 0,35 |
18 | 1 - прошивные минераловатные маты (ТУ 21-24-51-73); 3 - гипсовая плита толщиной 6 мм, размер 500 x 500 мм, подклеенная бязью, перфорация квадратная 13%, диаметр 10 мм (ТУ 400-1-283-73) | 100 | 100 | 0 | (0,03) | 0,42 | 0,81 | 0,82 | 0,69 | 0,58 | 0,59 | 0,58 |
19 | 1 - прошивные минераловатные маты (ТУ 21-24-51-73); 3 - гипсовая плита толщиной 6 мм, размер 500 x 500 мм, подклеенная бязью, перфорация по рисунку 13%, диаметр 7 - 9 мм (ТУ 400-1-283-73) | 100 | 100 | 0 | (0,05) | 0,40 | 0,89 | 0,97 | 0,76 | 0,70 | 0,71 | 0,68 |
20 | 1 - супертонкое стекловолокно (ТУ 21-РСФСР-224-75); 2 - стеклоткань типа Э3-100 (ГОСТ 19907-74*); 3 - гипсовая плита толщиной 7 мм, размер 500 x 500 мм, перфорация по рисунку 13%, диаметр 7 - 9 мм (ТУ 400-1-283-73) | 15 | 100 | 0 | (0,03) | 0,66 | 1,0 | 1,0 | 1,0 | 0,96 | 0,7 | 0,55 |
21 | То же | 15 | 100 | 250 | (0,4) | 0,73 | 1,0 | 1,0 | 1,0 | 1,0 | 0,92 | 0,80 |
22 | 1 - прошивные минераловатные маты (ТУ 21-24-51-73); 2 - стеклоткань Э3-100 (ГОСТ 19907-74*); 3 - просечно-вытяжной лист толщиной 2 мм, перфорация 74% (ГОСТ 8706-78) | 100 | 100 | 0 | 0,11 | 0,35 | 0,75 | 1,0 | 0,95 | 0,90 | 0,92 | 0,95 |
| | ИС МЕГАНОРМ: примечание. Взамен ГОСТ 9573-72 с 1 июля 1982 года введен в действие ГОСТ 9573-82 (ИУС "Государственные стандарты", N 6, 1982). Взамен ГОСТ 9573-82 Постановлением Минстроя России от 06.12.1996 N 18-90 с 1 апреля 1997 года введен в действие ГОСТ 9573-96. | |
|
| | ИС МЕГАНОРМ: примечание. Взамен ГОСТ 19907-74 Постановлением Госстандарта СССР от 03.02.1983 N 622 с 1 января 1984 года введен в действие ГОСТ 19907-83. ГОСТ 19907-83 утратил силу с 1 июня 2016 года в связи с введением в действие ГОСТ 19907-2015 (Приказ Росстандарта от 06.07.2015 N 857-ст). | |
|
| 1 - минераловатная плита (ГОСТ 9573-72); стеклоткань типа Э3-100 (ГОСТ 19907-74*); просечно-вытяжной лист толщиной 2 мм, перфорация 74% (ГОСТ 8706-78) | 125 | 50 | 0 | 0,09 | 0,18 | 0,55 | 1,0 | 0,86 | 0,79 | 0,85 | 0,85 |
24 | То же | 125 | 50 | 100 | 0,10 | 0,27 | 0,76 | 0,90 | 0,86 | 0,92 | 0,87 | 0,87 |
25 | 1 - супертонкое стекловолокно (ТУ 21-РСФСР-224-75); 2 - стеклоткань типа Э3-100 (ГОСТ 19907-74*); 3 - просечно-вытяжной лист толщиной 2 мм, перфорация 74% (ГОСТ 8706-78) | 15 | 50 | 0 | 0,08 | 0,25 | 0,7 | 0,95 | 1,0 | 1,0 | 1,0 | 0,95 |
26 | То же | 15 | 50 | 250 | 0,25 | 0,63 | 1,0 | 1,0 | 1,0 | 1,0 | 1,0 | 0,95 |
| 1 - маты из супертонкого базальтового волокна (РСТ УССР 5013-76); 2 - стеклоткань типа Э3-100 (ГОСТ 19907-74*); 3 - перфорированная алюминиевая панель (ТУ 36-1947-76) | 25 | 40 | 0 | 0,12 | 0,23 | 0,9 | 1,0 | 1,0 | 0,97 | 0,97 | 0,92 |
28 | То же, но с защитной пленкой толщиной 25 мкм (МРТУ 6-05-1065-76) | 25 | 40 | 0 | 0,08 | 0,34 | 0,74 | 1,0 | 1,0 | 0,94 | 0,87 | 0,76 |
Таблица 43
N п.п. | Конструкции | Звукопоглощающий слой | Расстояние | Эквивалентная площадь звукопоглощения Aшт, м2, при среднегеометрической частоте октавной полосы, Гц |
Плотность, кг/м3 | Толщина, мм | между центрами (B), мм | от потолка до поглотителя R, мм | 63 | 125 | 250 | 500 | 1000 | 2000 | 4000 | 8000 |
1 - поверхность; 2 - оболочка; 3 - звукопоглотитель; 4 - каркас; 5 - точка подвеса |
| | ИС МЕГАНОРМ: примечание. Взамен ГОСТ 19907-74 Постановлением Госстандарта СССР от 03.02.1983 N 622 с 1 января 1984 года введен в действие ГОСТ 19907-83. ГОСТ 19907-83 утратил силу с 1 июня 2016 года в связи с введением в действие ГОСТ 19907-2015 (Приказ Росстандарта от 06.07.2015 N 857-ст). | |
|
1 | 1 - размер 400 x 400 x 400 мм, просечно-вытяжной лист толщиной 2 мм, перфорация 74% (ГОСТ 8706-78); 2 - стеклоткань типа Э3-100 (ГОСТ 19907-74*); 3 - супертонкое стекловолокно (ТУ 21-РСФСР-224-75) | 15 | 60 | 2500 | 1250 | 0,14 | 0,40 | 0,75 | 1,23 | 1,14 | 1,05 | 0,82 | 0,67 |
2 | То же | 15 | 60 | 1500 | 1250 | 0,08 | 0,23 | 0,55 | 1,03 | 0,97 | 0,86 | 0,75 | 0,60 |
3 | То же, но с размером 320 x 320 x 320 мм | 15 | 60 | 2000 | 1000 | 0,1 | 0,16 | 0,37 | 0,68 | 0,84 | 0,66 | 0,52 | 0,37 |
4 | То же | 15 | 60 | 1000 | 1000 | 0,05 | 0,11 | 0,34 | 0,51 | 0,60 | 0,46 | 0,40 | 0,35 |
5 | То же, но с размером 240 x 240 x 240 мм | 15 | 60 | 1500 | 750 | 0,03 | 0,09 | 0,15 | 0,29 | 0,35 | 0,37 | 0,30 | 0,20 |
6 | 1 - размер 600 x 300 x 300 мм, листы перфорированного павинола (авиапола) (ТУ 17-21-01-1-74); 3 - супертонкое стекловолокно (ТУ 21-РСФСР-224-75) | 15 | 150 | 2000 | 500 | - | 0,18 | 0,45 | 0,65 | 0,56 | 0,52 | 0,48 | 0,6 |
7 | 1 - размер 400 x 400 x 400 мм, просечно-вытяжной лист (ГОСТ 8706-78); 2 - стеклоткань Э3-100 (ГОСТ 19907-74*), 3 - супертонкое базальтовое волокно (РСТ УССР 5013-76); 4 - проволочный каркас | 20 | 400 | 1350 | 1200 | 0,15 | 0,27 | 1,08 | 1,06 | 1,17 | 1,14 | 1,0 | 1,01 |
8 | 1 - размер 2600 x 600 x 300 мм, просечно-вытяжной лист (ГОСТ 8706-78); 2 - стеклоткань типа Э3-100 (ГОСТ 19907-74*); 3 - супертонкое стекловолокно (ТУ 21-РСФСР-224-75); 4 - каркас треугольного профиля | 15 | Полностью | 0 | 0 | 0,59 | 0,66 | 1,87 | 2,1 | 2,1 | 1,7 | 1,87 | 2,5 |
| | ИС МЕГАНОРМ: примечание. Взамен ГОСТ 9573-72 с 1 июля 1982 года введен в действие ГОСТ 9573-82 (ИУС "Государственные стандарты", N 6, 1982). Взамен ГОСТ 9573-82 Постановлением Минстроя России от 06.12.1996 N 18-90 с 1 апреля 1997 года введен в действие ГОСТ 9573-96. | |
|
9 | 3 - размер 100 x 250 x 40 мм, минераловатная плита (ГОСТ 9573-72); 2 - оболочка из стеклоткани типа ТСД (ТУ 6-11-54-74) | 80 | 40 | 50 | 0 | 0,95 | 1,1 | 2,94 | 3,80 | 3,60 | 3,45 | 2,29 | 2,0 |
10 | То же | 80 | 40 | 150 | 0 | 0,6 | 0,84 | 1,48 | 1,62 | 1,38 | 1,65 | 1,84 | 1,7 |
11 | " | 80 | 40 | 250 | 0 | 0,17 | 0,38 | 0,83 | 1,01 | 0,99 | 1,2 | 1,57 | 1,4 |
12 | " | 80 | 40 | 500 | 0 | 0,1 | 0,13 | 0,43 | 0,53 | 0,66 | 0,65 | 0,61 | 0,58 |
13 | 3 - размер 500 x 500 x 40 мм, минераловатная плита (ГОСТ 9573-72); 2 - оболочка из стеклоткани типа ТСД (ТУ 6-11-54-74) | 125 | 40 | 500 | 0 | 0,28 | 0,34 | 0,60 | 0,98 | 1,45 | 1,57 | 1,56 | 1,5 |
14 | 5 - размер 1000 x 500 x 80 мм, минераловатная плита (ГОСТ 9573-72); 2 - оболочка из стеклоткани типа ТСД (ТУ 6-11-54-74) | 80 | 80 | 500 | 0 | 0,31 | 0,38 | 0,81 | 1,14 | 1,22 | 1,18 | 1,07 | 1,0 |
15 | 3 - размер 4000 x 1000 x 50 мм, маты из супертонкого базальтового волокна (РСТ УССР 5013-76); 2 - оболочка из стеклоткани типа ТСД (ТУ 6-11-54-74); 4 - металлический каркас | 20 | 50 | 1500 | 1000 | (0,28) | 0,56 | 2,52 | 4,8 | 4,95 | 6,05 | 6,41 | 5,12 |
16 | То же | 20 | 50 | 1000 | 1000 | (0,2) | 0,52 | 2,48 | 4,0 | 4,84 | 5,92 | 6,12 | 5,74 |
17 | То же, но с размером 1200 x 500 x 50 мм | 20 | 50 | 2000 | 0 | (1,0) | 2,1 | 3,6 | 9,6 | 10,5 | 9,6 | 7,6 | 7,2 |
18 | То же | 20 | 50 | 1000 | 1500 | (0,45) | 0,9 | 3,6 | 10,8 | 10,8 | 10,2 | 11,4 | 12,0 |
19 | То же, но с размером 1200 x 1000 x 50 мм | 20 | 50 | 2000 | 0 | (1,0) | 3,0 | 8,4 | 15,6 | 17,4 | 15,6 | 13,2 | 12,0 |
20 | То же | 20 | 50 | 2000 | 1000 | (1,5) | 3,6 | 7,2 | 16,8 | 19,2 | 16,8 | 15,6 | 10,8 |
| | ИС МЕГАНОРМ: примечание. Взамен ГОСТ 19907-74 Постановлением Госстандарта СССР от 03.02.1983 N 622 с 1 января 1984 года введен в действие ГОСТ 19907-83. ГОСТ 19907-83 утратил силу с 1 июня 2016 года в связи с введением в действие ГОСТ 19907-2015 (Приказ Росстандарта от 06.07.2015 N 857-ст). | |
|
21 | 3 - размер 3000 x 500 x 50 мм, маты из базальтового волокна (РСТ УССР 5013-76); 2 - оболочка из стеклоткани Э3-100 (ГОСТ 19907-74*); 4 - металлический каркас | 25 | 50 | 1300 | 1000 | (0,20) | 0,35 | 1,1 | 3,1 | 3,52 | 3,16 | 3,4 | 2,4 |
Классификация, номенклатура, общие технические требования,
область применения звукопоглощающих материалов
5.12. Строительные материалы, способные поглощать звуковую энергию и тем самым снижать уровень звукового давления в помещениях промышленных и гражданских зданий, называются звукопоглощающими материалами. Они широко применяются в различных звукопоглощающих конструкциях и шумоглушащих устройствах: в звукопоглощающих облицовках стен и потолка помещений, в штучных поглотителях, в конструкциях акустических экранов и звукоизолирующих кожухов, в многослойных ограждающих конструкциях зданий, в глушителях шума вентиляционного оборудования и газодинамических установок.
5.13. Согласно
ГОСТ 23499-79 "Материалы и изделия строительные звукопоглощающие и звукоизоляционные. Классификация и общие технические требования", строительные звукопоглощающие материалы и изделия классифицируются по следующим основным признакам: назначению, форме, жесткости (величине относительного сжатия), возгораемости, структуре.
По форме звукопоглощающие строительные материалы и изделия подразделяются на штучные (блоки, плиты), рулонные (маты, холсты, полосовые прокладки), рыхлые и сыпучие (вата минеральная и стеклянная, керамзит и другие пористые заполнители).
По величине относительного сжатия (жесткости) звукопоглощающие строительные материалы и изделия подразделяются на мягкие, полужесткие, жесткие и твердые.
По возгораемости звукопоглощающие строительные материалы и изделия подразделяются на две группы: несгораемые и трудносгораемые.
По структурным признакам звукопоглощающие материалы и изделия подразделяются на пористо-волокнистые (из минеральных и стеклянных, базальтовых и других волокон), пористо-ячеистые (из ячеистого бетона и перлита), пористо-губчатые (пенопласты, резина).
5.14. В качестве звукопоглощающих материалов и изделий полной заводской готовности (неорганических, композиционных и органических) с жесткой зернистой или ячеистой структурой следует применять:
плиты звукопоглощающие облицовочные, минераловатные на крахмальном или синтетическом связующем и с декоративной отделкой лицевой поверхности, типа акмигран и акминит с объемной массой 350 - 400 кг/м3 (ГОСТ 17918-72);
плиты звукопоглощающие ячеистобетонные, типа силакпор, с пористой структурой и неглубокой перфорацией лицевого слоя, окрашиваемые в процессе формования в различные цветные оттенки, с объемной массой 350 кг/м3 (ОСТ 21-22-76, ТУ 21-РСФСР-527-72);
| | ИС МЕГАНОРМ: примечание. Постановлением Госстроя СССР от 30.08.1990 N 75 с 1 января 1991 года введен в действие ГОСТ 9757-90. | |
блоки бетонные звукопоглощающие, изготовленные из заполнителя фракции 0,5 - 5 мм (крошка гранитного, известкового щебня, керамзита) путем формования с последующей вибрацией и пропаркой (ГОСТ 9759-76).
плиты перлитовые звукопоглощающие, получаемые формованием, сушкой и обжигом из вспученного перлитового песка на связующем из жидкого стекла или синтетических смол, с объемной массой 250 - 350 кг/м3 (ГОСТ 18109-72).
К звукопоглощающим материалам полной заводской готовности с полужесткой волокнистой или ячеистой структурой, неорганическим, органическим и композиционным относятся:
плиты минераловатные акустические на синтетическом связующем с пластифицирующими добавками и с окраской лицевой поверхности или с несквозной перфорацией на поверхности типа ПА/С, ПА/О, ПА/Д, трудносгораемые, влагостойкие (ТУ 21-24-60-74);
| | ИС МЕГАНОРМ: примечание. Взамен ГОСТ 9573-72 с 1 июля 1982 года введен в действие ГОСТ 9573-82 (ИУС "Государственные стандарты", N 6, 1982). Взамен ГОСТ 9573-82 Постановлением Минстроя России от 06.12.1996 N 18-90 с 1 апреля 1997 года введен в действие ГОСТ 9573-96. | |
плиты минераловатные полужесткие марок ПП на фенольном связующем (ГОСТ 9573-72) и ППМ на синтетическом связующем (ТУ 21-24-60-74) с диаметром волокна 5 - 10 мкм, с объемной массой 80 - 100 кг/м3, влагостойкие, несгораемые;
плиты из поропласта поливинилхлоридного полужесткого со среднепористой и мелкопористой структурой (типа винипор), с объемной массой 100 - 120 кг/м3, с огнезащитной пропиткой (ТУ 6-05-301-09-77).
5.15. В качестве звукопоглощающего слоя в конструкциях звукопоглощающих облицовок применяются волокнистые, пористые неорганические, органические, композиционные рыхлые, сыпучие материалы и изделия из них:
вата минеральная, получаемая распылением металлургических, топливных шлаков и силикатных горных пород в стекловидные волокна с диаметром не более 8 мкм и содержанием неволокнистых включений не более 3% (ТУ 21-24-51-73);
маты минераловатные прошивные на металлической сетке, изготовленные из фильерной ваты марки ВФ путем прошивки ковра минеральной ваты на металлической сетке хлопчатобумажными нитями, с размером 3000 x 500 x 50 мм, с объемной массой 100 кг/м3, влагостойкие, несгораемые (ТУ 21-24-51-73);
маты минераловатные прошивные, изготовленные центробежно-дутьевым или центробежно-многовалковым способом, с объемной массой 75 - 125 кг/м3, работающие при температуре среды до +200° (МРТУ 7-19-68);
| | ИС МЕГАНОРМ: примечание. Взамен ГОСТ 10727-73 Постановлением Госстандарта СССР от 27.12.1991 N 2199 с 1 января 1993 года введен в действие ГОСТ 10727-91. | |
вата стеклянная бесщелочная, представляющая собой слой разрыхленных прядей однонаправленных некрученых волокон со средним диаметром не более 10 микрон, вытягиваемых из расплава боросиликатного стекла с содержанием щелочей не более 2%, объемной массой 120 - 150 кг/м3 в свободном состоянии, выдерживающая температуру от -40 до +400 °C и одновременное действие вибраций (ГОСТ 10727-73);
вата из супертонкого стеклянного волокна, представляющая собой многослойный холст перепутанных штапельных волокон диаметром не более 3 мкм, полученных из стекла щелочного состава способом раздува горячими газами и удерживаемых между собой силами естественного сцепления с объемной массой 17 - 25 кг/м3 (ТУ 21-РСФСР-224-75), разрушающаяся под действием влаги;
изделия марки АТМ-I, представляющие собой маты из рыхлого слоя ультра- или супертонких штапельных стеклянных волокон диаметром не более 2 мкм, связанных фенолформальдегидной смолой, с объемной массой 7 - 15 кг/м3, облицованные с одной или с двух сторон тканью или пленкой, трудносгораемые, работающие в интервале температур от -60 до +150 °C (ТУ 18-16-152-70);
вата из супертонкого базальтового волокна БСТВ, представляющая собой слой перепутанных штапельных волокон диаметром не более 3 мкм, получаемых способом раздува первичных непрерывных волокон горячими газами и удерживаемых между собой силами естественного сцепления, с объемной массой 15 - 20 кг/м3 (РСТ УССР 5013-76);
изделия марки БЗМ, представляющие собой звукопоглощающие маты из супертонкого волокна БСТВ (РСТ УССР 5011-76), с объемной массой 20 - 25 кг/м3, зашитые в акустически прозрачную оболочку из стеклоткани;
войлок из поливинилхлоридных волокон, с объемной массой 50 кг/м3, плавящийся, но негорючий (ТУ 17-РСФСР-3941-70).
5.16. В качестве защитных оболочек в звукопоглощающих конструкциях с материалами и изделиями, перечисленными в
п. 5.10, должны применяться:
| | ИС МЕГАНОРМ: примечание. Взамен ГОСТ 19907-74 Постановлением Госстандарта СССР от 03.02.1983 N 622 с 1 января 1984 года введен в действие ГОСТ 19907-83. ГОСТ 19907-83 утратил силу с 1 июня 2016 года в связи с введением в действие ГОСТ 19907-2015 (Приказ Росстандарта от 06.07.2015 N 857-ст). | |
стеклянная ткань, представляющая собой полотно различной плотности, вырабатываемая из крученых стеклянных нитей диаметром 300 - 500 мкм, негорючая, толщиной от 70 до 100 мкм и с поверхностной массой не более 110 г/м2, с термостойкостью до +200 °C, марок А-I (ГОСТ 8481-75), Э3-100 (ГОСТ 19907-74) и их заменителей (Э1-100, Э2-100 и др.), а также стеклянная ткань толщиной до 200 мкм, с поверхностной массой от 200 до 300 г/м2, с термостойкостью до 400 °C, марок Э3-200 (ГОСТ 19907-74), Т-23 (МРТУ 6-11-231-71) и их заменителей;
стеклянная ткань декоративная марок ТСД, гладкокрашеная, негорючая, вырабатываемая из крученых нитей, с поверхностной плотностью от 150 до 200 г/м2, с термостойкостью до +100 °C (ТУ 6-11-54-74);
павинол перфорированный марки авиапол, представляющий собой декоративно-отделочный негорючий материал, изготовленный из стеклоткани с односторонним покрытием антипирированной поливинилхлоридной массой в виде чередующихся полос с процентом перфорации не менее 24 с поверхностной плотностью от 250 до 570 г/м2, с термостойкостью +200 °C (ТУ 17-21-01-1-74);
пленка полиэтилентерефталатная ПЭТФ толщиной не более 25 мкм, с поверхностной плотностью не более 30 г/м2 (МРТУ 6-05-1065-76).
5.17. В качестве защитных перфорированных экранов в конструкциях звукопоглощающих облицовок применяются:
алюминиевые перфорированные панели толщиной 0,8 мм, размером 500 x 500 мм и коэффициентом перфорации 19% (типа ПА);
алюминиевые перфорированные панели толщиной 1 мм, размерами 600 x 600 и 600 x 1200 мм с перфорацией по квадратной решетке, с коэффициентом перфораций соответственно 14 и 16% (типа ЛАП);
алюминиевые перфорированные панели толщиной 0,7 мм, размерами 100 x 3000 и 300 x 6000 мм с перфорацией по треугольнику, с коэффициентом перфорации 32% (типа ЛАК);
листы стальные перфорированные с коэффициентом перфорации от 17 до 40% (
ГОСТ 19903-74, ГОСТ 214-70);
плиты гипсовые типа АГП, штампованные, перфорированные, с коэффициентом перфорации 12%, толщиной 10 мм, размерами 500 x 500 и 500 x 1000 мм, подклеенные с тыльной стороны бязью, трудносгораемые (ТУ 400-I-283-73);
асбестоцементные перфорированные листы, негорючие, окрашенные, размером 600 x 1200 мм, толщиной 5,5 мм, с коэффициентом перфорации от 10 до 20%;
негорючие стеклопластиковые оболочки, жесткие, перфорированные, с коэффициентом перфорации не менее 33%, изготовленные на основе стеклотрикотажа и полимерного связующего, размерами 1000 x 500 x 50 и 500 x 500 x 50 мм, марки АСО (ТУ 550.2.62-74);
просечно-вытяжные листы из алюминия или стали толщиной не более 1,2 мм, с размерами ячеек 30 x 12, 26 x 11, 24 x 10 мм, с коэффициентом перфорации не менее 70% (ГОСТ 8706-78);
мелкоячеистые проволочные тканые сетки с квадратными ячейками из проволоки диаметром от 0,2 до 0,65 мм, с коэффициентом перфорации не менее 40%.
5.18. Звукопоглощающие материалы и изделия должны удовлетворять следующим требованиям:
обладать стабильными физико-механическими и акустическими показателями в течение всего периода эксплуатации;
быть биостойкими и влагостойкими;
не выделять в окружающую среду вредных веществ в количествах, превышающих предельно допустимые концентрации для атмосферного воздуха.
В табл. 44 приведен рекомендуемый перечень звукопоглощающих материалов, применение которых целесообразно и экономично решает основные задачи снижения производственного шума в промышленных и гражданских зданиях с учетом обеспечения гигиенических требований и условий пожарной безопасности.
Материал и покрытие | Звукопоглощающие облицовки помещений общественных зданий (театрально-зрелищные предприятия, магазины, кафе и т.д.) | Звукопоглощающие облицовки, штучные звукопоглотители, акустические экраны для помещений промышленных предприятий с нормальным температурно-влажностным режимом текстильные предприятия и т.д.) |
Звукопоглощающие материалы | | |
Плиты типа акмигран | + | - |
Плиты типа силакпор | + | - |
Плиты перлитовые | + | - |
Плиты типа ПА/С, ПА/О | + | - |
Плиты типа ПП и ППМ | + | - |
Плиты типа винипор | - | + |
Супертонкое щелочное стекловолокно | + | + |
Супертонкое базальтовое волокно БСТВ и изделия БЗМ | - | + |
Защитные покрытия | | |
Ткани марок Э3-100, А-1, ТСД | + | + |
Павинол марки авиапол | + | + |
Пленки типа ПЭТФ | - | + |
Алюминиевые перфорированные панели типа ПА, ЛАП, ЛАК | - | + |
Листы стальные перфорированные | - | + |
Асбоцементные перфолисты | - | + |
Плиты гипсовые типа АГП, АГШБ | + | - |
Стеклопластиковые оболочки типа АСО | + | + |
Просечно-вытяжные алюминиевые листы | + | + |
Звукопоглощающие конструкции
5.19. По конструктивным особенностям звукопоглощающие конструкции, используемые в практике строительства, подразделяются на следующие основные типы:
плоские облицовки, состоящие из слоя звукопоглощающего материала конечной толщины, укрепленного к поверхности ограждения здания;
штучные или объемные звукопоглотители, представляющие собой геометрические тела различной формы;
резонаторные звукопоглотители;
щитовые мембранные звукопоглощающие конструкции.
Последние два типа звукопоглощающих конструкций применяют только в особых случаях, поэтому в настоящем руководстве они не будут рассмотрены.
В плоских звукопоглощающих облицовках можно выделить две группы:
облицовка, выполненная из материала или жесткой зернистой, ячеистой структуры с декоративной отделкой поверхности плиты (акминит и акмигран), пористой структуры и неглубокой перфорацией лицевого слоя плит (силакпор) или полужесткой волокнистой, ячеистой структуры с окраской лицевой поверхности плиты (ПА/С, ПА/О, винипор);
облицовка, выполненная из рыхлых, сыпучих волокнистых материалов (типа минеральной или стеклянной ваты) с защитными покрытиями из ткани (пленки) и перфорированного жесткого листа.
По виду монтажа плоские звукопоглощающие облицовки подразделяются на два типа:
на жестком основании, когда слой звукопоглощающего материала крепится непосредственно на поверхности ограждения;
с воздушным промежутком между слоем материала и жестким основанием.
5.20. Объемные звукопоглощающие конструкции делятся на два основных типа: однослойные и многослойные.
Однослойный объемный звукопоглотитель состоит из материала с жесткой или полужесткой зернистой, ячеистой и волокнистой структурой плиты (ПА/С, винипор, акминит), который обеспечивает необходимую жесткость конструкции и определенную геометрическую форму (куб, призма) с воздушной полостью внутри. Офактуренная поверхность плиточных материалов обеспечивает декоративность и сохраняет форму изделия.
Многослойный объемный звукопоглотитель состоит из следующих элементов:
легкого каркаса, имеющего форму какого-либо геометрического тела (куба, призмы, пирамиды и др.);
звукопоглощающего заполнителя из рыхлых, сыпучих волокнистых материалов (типа минеральной ваты, стеклянного или базальтового волокна);
защитного покрытия в виде ткани (пленки) и перфорированного листа.
Материал может располагаться в виде поверхностного слоя конечной толщины, а в отдельных случаях заполнять весь объем штучного поглотителя.
Особым и наиболее распространенным видом объемного поглотителя являются звукопоглощающие кулисы. Кулиса представляет собой плоский параллелепипед, толщина которого значительно меньше его длины и ширины. Для этой цели рекомендуются минераловатные плиты марок ПП-80 или ПП-100 (ТУ 21-24-52-73), размером 1000 x 500 x 40 мм. Минераловатная плита помещается в акустически прозрачную оболочку из ткани или пленки. Отдельные кулисы подвешивают с помощью проволоки к потолку производственного помещения на определенном расстоянии друг от друга. Наиболее крупными областями применения звукопоглощающих кулис в промышленном строительстве являются здания текстильных предприятий и производств искусственного волокна с нормальным температурно-влажностным режимом.
6.1. Экраны следует применять для снижения уровня звукового давления от источников шума на рабочих местах и в местах постоянного пребывания людей, когда уровни звукового давления L, дБ, в расчетных точках превышают допустимые Lдоп не менее чем на 8 и не более чем на 20 дБ.
6.2. Экраны рекомендуется устанавливать около оборудования, создающего наибольший вклад прямого звука в уровень звукового давления в расчетной точке. Это оборудование должно входить в группу ближайших к расчетной точке источников, т.е. источников, удаленных от выбранной расчетной точки на расстояние

для соразмерных, длинных и

для плоских помещений (

- средняя длина свободного пробега звуковых волн в помещении).
6.3. Экраны следует применять только в сочетании со звукопоглощающей облицовкой помещения, в первую очередь потолка.
6.4. Экраны следует изготовлять из сплошных твердых листов или щитов с обязательной облицовкой звукопоглощающим материалом поверхности, обращенной к источнику шума. В качестве звукопоглощающего материала следует применять материалы, указанные в
табл. 44. Толщина слоя звукопоглощающего материала должна быть не менее 50 мм.
6.5. Величину снижения октавных уровней звукового давления в расчетной точке при совместном применении экранов и звукопоглощающей облицовки, когда на пути распространения звука от источника шума до расчетной точки располагается не более одного экрана, следует определять по формулам:
для соразмерных помещений

; (72)

, (73)
где Liпр - уровни звукового давления прямого звука от рассматриваемого источника в расчетной точке до установки экрана, дБ;

- снижение экраном октавного уровня звукового давления в расчетной точке за экраном, дБ, определяемое по
п. 6.8 или
п. 6.9;
k1 - количество источников из числа ближайших к расчетной точке, около которых установлены экраны;
B - постоянная помещения, м
2, без облицовки (до установки экранов), определяемая по
формуле (18);
B2 - постоянная помещения, м
2, после установки в нем звукопоглощающих конструкций (облицовки) и экранов, определяемая по
формуле (18). При вычислении
B2 по
формуле (18) следует заменить коэффициент

на

, определяемый по
формулам (15) и
(16), с заменой в них

на

. Величина

определяется по формуле

, (74)
где

- величина дополнительного звукопоглощения экранами, м
2, определяемая по формуле

, (75)
где Sкэкр - площадь к-го экрана, м2 (при двухсторонней облицовке экрана ее следует увеличивать в 1,5 раза);

- коэффициент звукопоглощения облицовки экрана;
k1 - общее количество экранов, установленных в помещениях. Остальные обозначения те же, что в
формулах (10) и
(11);
для плоских и длинных помещений снижение октавных уровней звукового давления определяют по формуле

, (76)
где
L - октавный уровень звукового давления, дБ, в выбранной расчетной точке помещения без звукопоглощающих конструкций и без экранов, определяемый по
формуле (30) для плоских и по
формуле (31) для длинных помещений;
Lэкр - октавный уровень звукового давления, дБ, в той же точке после установки в помещении звукопоглощающих конструкций (облицовки) и экранов, определяемый для плоских помещений по формуле

(77)
для длинных помещений по формуле

(78)

- корректирующий множитель, определяемый по графику
рис. 9 с заменой

на

или по правилу
п. 2.22 с заменой
a на

;

- средний коэффициент звукопоглощения в помещении со звукопоглощающими конструкциями и экранами. Определяется по
формулам (15) и
(16), в которых

заменяется на

, определяемое по
формуле (74);
П
обл.пл, П
обл.дл - коэффициенты, учитывающие вклад рассеянного звука удаленных источников, определяемые по
п. 2.27 с заменой
a на
aобл;

,

- значения функции

, определяемые по графику на
рис. 10 соответственно при

и

;
6.6. Размеры экрана - высоту
H и ширину
l, расстояние от (источника шума до экрана
r1 и от экрана до расчетной точки
r2, м, следует принимать в соответствии с рис. 31 и
табл. 45 и
46.
Рис. 31. Формы и конструкции акустических экранов
а - тип а; б - тип б; в - разрез экрана; г - конструкция
основания экрана; ИШ - источник шума; 1 - экран;
2 - расчетная точка; 3 - лист перфорированный;
4 - звукопоглотитель; 5 - сталь 2 мм;
6 - резиновая прокладка
Размеры экрана и координаты расчетной точки, м (рис. 31) | Снижение уровня звукового давления экраном  , дБ, при среднегеометрических частотах октавных полос, Гц |
H | h | l | r2 | 63 | 125 | 250 | 500 | 1000 | 2000 | 4000 | 8000 |
2,4 | 1,2 | 1 | 1 | 0 | 0 | 5 | 7 | 8,5 | 9 | 11,5 | 15 |
2 | 0 | 0 | 4 | 6 | 8 | 8,5 | 12 | 13,5 |
3 | 0 | 0 | 3,5 | 5,5 | 6,5 | 8 | 11 | 13 |
2,4 | 1,2 | 1,5 | 1 | 0 | 0 | 9 | 10 | 10 | 14 | 17 | 19 |
2 | 0,5 | 0,5 | 9,5 | 8,5 | 10 | 12 | 15,5 | 18,5 |
3 | 1,5 | 1 | 7 | 8 | 9,5 | 11,5 | 15 | 17 |
2,4 | 1,2 | 3,5 | 1 | 5 | 5 | 9 | 14,5 | 17,5 | 16,5 | 22 | 23 |
2 | 4,5 | 5,5 | 10 | 12 | 16,5 | 17,5 | 22 | 23,5 |
3 | 4 | 6 | 9 | 9,5 | 14 | 15 | 19,5 | 22 |
2,4 | 1,2 | 5 | 1 | 8 | 11 | 13,5 | 16 | 21,5 | 24 | 25 | 27 |
2 | 8 | 10 | 9,5 | 13 | 20 | 23 | 24 | 27 |
3 | 6 | 10 | 7 | 12 | 15,5 | 22 | 23,5 | 25 |
1,5 | 0,75 | 1,75 | 1 | 2 | 1 | 6 | 10 | 10,5 | 12 | 14 | 16 |
2 | 1 | 0 | 5,5 | 7,5 | 10,5 | 12 | 14 | 15,5 |
3 | 1,5 | 0 | 7 | 5,5 | 8,5 | 12 | 13,5 | 15 |
1,5 | 0,75 | 3,25 | 1 | 6 | 6 | 9 | 14 | 17 | 16 | 19 | 21 |
2 | 5,5 | 3 | 7,5 | 9 | 14 | 15,5 | 19 | 20 |
3 | 5,5 | 1,5 | 8,5 | 9 | 11,5 | 15 | 18 | 20 |
1,5 | 0,75 | 4,75 | 1 | 6,5 | 6,5 | 10,5 | 12 | 18 | 20 | 22 | 24 |
2 | 6,5 | 3 | 11 | 12 | 16,5 | 17 | 20,5 | 23,5 |
3 | 6,5 | 0,5 | 12 | 12,5 | 14,5 | 16,5 | 20,5 | 22,5 |
1 | 0,5 | 2,4 | 1 | 3 | 0 | 3,5 | 9 | 9,5 | 11,5 | 14 | 17 |
2 | 2 | 0 | 3 | 10 | 9 | 10 | 13 | 15,5 |
3 | 1,5 | 0 | 0 | 10 | 8,5 | 10 | 13,5 | 14 |
2 | 1 | 2,4 | 1 | 4 | 5 | 10 | 12,5 | 14,5 | 15,5 | 19,5 | 23 |
2 | 4 | 4 | 8 | 10,5 | 14,5 | 15,5 | 18,5 | 22 |
3 | 4 | 3,5 | 7,5 | 9,5 | 12,5 | 15,5 | 18,5 | 20 |
Размеры экрана и координаты расчетной точки, м | Снижение уровня звукового давления экраном  , дБ, при среднегеометрических частотах октавных полос, Гц |
H | l1 | l2 | h | r2 | 63 | 125 | 250 | 500 | 1000 | 2000 | 4000 | 8000 |
1,5 | 0,75 | 1,5 | 0,75 | 1 | 8,5 | 6,5 | 13 | 14,5 | 19 | 19,5 | 24 | 25 |
2 | 9 | 4 | 11 | 11,5 | 18,5 | 17 | 21,5 | 22,5 |
3 | 7 | 2,5 | 13,5 | 11,5 | 18,5 | 17 | 19 | 21,5 |
1,5 | 0,75 | 1,5 | 1 | 1 | 6,5 | 7 | 12 | 15 | 18 | 18 | 22,5 | 22,5 |
2 | 7 | 5 | 9 | 13,5 | 17 | 17 | 21 | 21 |
3 | 7 | 3,5 | 9,5 | 10 | 16 | 16,5 | 20 | 20 |
2,4 | 2 | 1,5 | 1,2 | 1 | 6 | 7,5 | 10,5 | 17,5 | 21,5 | 22,5 | 27 | 27,5 |
2 | 8 | 7 | 9,5 | 17 | 21 | 21,6 | 25,5 | 25 |
3 | 4 | 7 | 9 | 15 | 20 | 20,5 | 24,5 | 24 |
Линейные размеры экрана должны быть не менее чем в три раза больше линейных размеров источников шума. Предпочтительнее экраны П-образной формы.
6.7. Величину снижения экраном октавного уровня звукового давления
Lэкр, дБ, создаваемого прямым звуком от источника шума, следует определять при
r1 = 0,5 м для экрана типа а по
табл. 45, а для экрана типа б по
табл. 46, в зависимости от типоразмеров экрана и взаимного размещения источника шума, экрана и расчетной точки
(рис. 31).
Величины Lэкр, дБ, для каждой октавной полосы при r2 не более 3 м допускается определять также и по графику на рис. 32. При этом для экрана П-образной формы типа б следует принимать приведенную ширину экрана lприв = l1 + 2l2, м, вместо l экрана типа а, полагая l = lприв.
Рис. 32. Усредненные характеристики снижения
уровня звукового давления экранами
6.8. В случаях когда размеры экрана и координаты расчетной точки отличаются от приведенных в
табл. 45 и
46 и на
рис. 32, величину снижения экраном октавного уровня звукового давления

, дБ, можно определять расчетным путем. Например, по Справочнику проектировщика. Защита от шума. М., Стройиздат, 1974.
6.9. Пример расчета снижения уровней звукового давления в расчетной точке при применении экранов.
Задание. Определить снижение октавных уровней звукового давления в помещении цеха, имеющего такие же акустические и геометрические параметры, как в примерах
2.11 и
2.28 после установки экранов около оборудования с более высокими уровнями звуковой мощности по сравнению с остальным оборудованием.
Дано. В цехе
(рис. 33) установлено однотипное оборудование, отличающееся по звуковой мощности не более чем на 5 дБ, и имеются два станка (N 2 и N 4), работающие на форсированном режиме с повышенной звуковой мощностью. Уровни звуковой мощности станков N 2 и N 4, (

и

), а также усредненные уровни звуковой мощности остальных станков

приведены в табл. 47.
Величина | Единица измерения | Среднегеометрические частоты октавных полос, Гц |
63 | 125 | 250 | 500 | 1000 | 2000 | 4000 | 8000 |
| дБ | 85 | 90 | 100 | 103 | 102 | 95 | 83 | 78 |
| " | 83 | 86 | 98 | 100 | 105 | 91 | 82 | 76 |
| " | 77 | 82 | 82 | 83 | 80 | 73 | 65 | 60 |
Рис. 33. Схема расположения источников шума,
расчетной точки и акустических экранов
di - расстояние от геометрического центра источника
до вертикали, проходящей через расчетную точку;
1, 2, ..., 9 - номера источников ближайшей к расчетной
точке группы (по технологической планировке);
А. Э. - акустический экран; Р. Т. - расчетная точка
Общее количество станков 50. Одновременно может работать 45 станков (
n = 45). Станки N 1 - N 9 (см.
рис. 33) расположены соответственно на тех же местах, на которых расположены станки N 9, N 8, N 7, N 31, N 33, N 35, N 32, N 34 и N 36 на
рис. 12 (см. п. 2.28), но размеры станков другие: длина 1,5 м, ширина 1 м, высота 0,8 м. Расчетная точка выбрана около станка N 5 на расстоянии
d5 = 1,5 м от его геометрического центра. Расстояние от геометрического центра станка N 2 до расчетной точки
d2 = 4,2 м, для станка N 4
d4 = 3 м. Значения
di для остальных станков, а также площади воображаемых поверхностей
Si, окружающих станки и проходящих через расчетную точку для девяти ближайших к расчетной точке станков (N 1 - N 9) такие же, как для станков на
рис. 12. Значения
di и
Si приведены в табл. 48.
Величина | Единица измерения | N станка |
1 | 2 | 3 | 4 | 5 | 6 | 7 | 8 | 9 |
di | м | 5,4 | 4,2 | 6 | 3,0 | 1,5 | 5,0 | 6,0 | 5 | 6,5 |
Si | м2 | 197 | 122 | 241,4 | 82,9 | 23,7 | 169,8 | 241,4 | 169,8 | 282 |
Решение. Для двух наиболее шумных станков применяем экраны типа б (см.
рис. 31 и
табл. 46) со следующими размерами:
H = 2,4 м,
l1 = 2 м,
l2 = 1,5 м. Экраны устанавливаем на расстоянии
r1 = 0,5 м от поверхности выгораживаемых источников шума, как показано на схеме
рис. 33. В этом случае расстояния от экранов до расчетной точки
r2 составят для источника N 2 -
r2 = 3 м, для источника N 4 -
r2 = 2 м. Высоту расчетной точки принимаем
h = 1,2 м (что достаточно близко к действительной высоте расчетной точки, составляющей 1,5 м).
Величины снижения экранами октавных уровней звукового давления прямого звука от источника N 2 и N 4 в выбранной расчетной точке (около станка N 5) будут соответствовать приведенным в
табл. 46 для выбранных параметров экранов (см. табл. 49).
N источника | Величина | Расстояние r2, м | Ссылка | Среднегеометрические частоты октавных полос, Гц |
63 | 125 | 250 | 500 | 1000 | 2000 | 4000 | 8000 |
2 | | 3 | | 4 | 7 | 9 | 15 | 20 | 20,5 | 24,5 | 24 |
4 | | 2 | - | 8 | 7 | 9,5 | 17 | 21 | 21,5 | 25,5 | 25 |
Одновременно с экранами применяем звукопоглощающую облицовку потолка и части стен, как в примере
5.9. Площадь облицовки
Sобл = 2256 м
2. Звукопоглощением, вносимым экранами, пренебрегаем. Расчет снижения шума, полученного в расчетной точке за счет применения экранов с одновременной звукопоглощающей облицовкой ограждающих конструкций, производим по
формулам (76),
(31),
(78). При этом частично используем данные из примеров
пп. 2.28 и
5.9. Сначала производим расчет суммарных октавных уровней звукового давления в расчетной точке до применения экранов и облицовки по
формуле (31) и сводим его в табл. 50. Величины

и
Ki принимаем равными 1. Поэтому

. Значение
Si для ближайших источников берем из
табл. 48. Определяем требуемое снижение уровней звукового давления по
формуле (45). Уровни звукового давления превышают допустимые только в октавных полосах со среднегеометрическими частотами 500, 1000, 2000 Гц. Поэтому дальнейшие расчеты производим только для этих частот Снижение октавных уровней звукового давления в результате применения экранов рассчитываем по
формулам (76) и
(78).
Таблица 50
N п.п. | Величина | Единица измерения | Ссылка | N источника шума | Среднегеометрическая частота октавной полосы, Гц |
63 | 125 | 250 | 500 | 1000 | 2000 | 4000 | 8000 |
| | - | | 2 | 3,2·108 | 1·109 | 1·1010 | 2·1010 | 1,6·1010 | 3,2·109 | 2·108 | 6,3·107 |
| | - | | 4 | 2·108 | 4·108 | 6,3·109 | 1·1010 | 3,2·1010 | 1,3·109 | 1,6·108 | 4·107 |
| | - | | 1, 3, 5 6, 7, 8, 9 | 5·107 | 1,6·108 | 1,6·108 | 2,0·108 | 1·108 | 2,0·107 | 3,2·106 | 1·106 |
| | - | | 1, 3, 5 6, 7, 8, 9 | 3,5·106 | 1,1·107 | 1,1·107 | 1,4·107 | 7,1·106 | 1,4·106 | 2,2·105 | 7·104 |
| | - | | 2 и 4 | 5·106 | 1,3·107 | 1,6·108 | 2,84·108 | 5,17·108 | 4,2·108 | 3,6·106 | 1·106 |
| | - | | | 8,5·106 | 2,4·107 | 1,7·108 | 3,0·108 | 5,2·108 | 4,2·108 | 3,8·106 | 1,1·106 |
| | - | | | 5,7·108 | 1,56·109 | 1,6·1010 | 3,0·1010 | 4,8·1010 | 4,5·109 | 3,6·108 | 1,0·108 |
| | - | | | 0,008 | 0,008 | 0,009 | 0,009 | 0,009 | 0,006 | 0,005 | 0,003 |
| Пдл = 1 + 0,8 x (1 - 2a) | - | | | 1,62 | 1,62 | 1,61 | 1,61 | 1,60 | 1,57 | 1,50 | 1,32 |
10 | | - | | | 0,013 | 0,013 | 0,0145 | 0,0145 | 0,0145 | 0,009 | 0,0075 | 0,004 |
| | - | | | 7,4·106 | 2,0·107 | 2,3·108 | 4,3·108 | 7·108 | 4,1·107 | 2,7·106 | 4,0·105 |
12 | | - | | | 1,6·107 | 4,4·107 | 4,0·108 | 7,3·108 | 1,2·109 | 4,6·108 | 6,5·106 | 1,50·106 |
| | дБ | | | 72 | 76 | 86 | 89 | 91 | 87 | 68 | 62 |
14 | Lдоп | " | | | 99 | 92 | 86 | 83 | 80 | 78 | 76 | 74 |
| | " | | | - | - | - | 6 | 11 | 9 | - | - |
В
формуле (78) к = 0,
к1 = 2,
m = 9. Расчет сводим в табл. 51. Результаты расчета показывают, что совместное применение экранов и звукопоглощающей облицовки обеспечивают требуемое снижение уровней звукового давления в расчетной точке во всем диапазоне частот.
Таблица 51
N п.п. | Величина | Единица измерения | Ссылка | Среднегеометрическая частота октавной полосы, Гц |
500 | 1000 | 2000 |
1 | (S2 = 122 м2) | дБ | | 82 | 81 | 74 |
2 | | " | | 15 | 20 | 20,5 |
| | - | | 5,0·106 | 1,3·106 | 2,2·105 |
4 | (S4 = 82,9 м2) | дБ | | 81 | 86 | 72 |
5 | | " | | 17 | 21 | 19,5 |
| | - | | 2,5·106 | 3,2·106 | 1,8·105 |
| | - | | 7,5·106 | 4,5·106 | 4,0·105 |
| | - | | 1,4·107 | 7·106 | 1,4·106 |
| | - | | 3,0·1010 | 4,8·1010 | 4,5·109 |
10 | aобл | - | | 0,87 | 0,87 | 0,87 |
11 | | - | | 0,048 | 0,048 | 0,048 |
12 | gобл/HW | - | | 0,013 | 0,013 | 0,013 |
| | - | Пдл = 1 | 0,0006 | 0,0006 | 0,0006 |
| | - | | 1,8·107 | 2,9·107 | 2,7·106 |
15 | | - | | 4,0·107 | 4,1·107 | 4,5·106 |
16 | | дБ | | 76 | 76 | 67 |
17 | | " | | 13 | 15 | 20 |
18 | | " | | 6 | 11 | 9 |
ОСНОВНЫЕ АКУСТИЧЕСКИЕ ПОНЯТИЯ И ОПРЕДЕЛЕНИЯ
Звук, шум, звуковое поле, уровень звукового давления, спектр шума, уровень звука, эквивалентный уровень звука и звукового давления.
Звук как физическое явление представляет собой колебания, характеризуемые параметрами движения частиц упругой среды и, при наличии волнового движения, - параметрами звукового поля. Звук как физиологическое явление определяется ощущением, воспринимаемым органом слуха при воздействии на него звуковых волн в диапазоне частот 16 - 20000 Гц.
Шум - всякого рода звуки, мешающие восприятию полезного сигнала или нарушающие тишину, а также оказывающие вредное воздействие на организм человека.
Воздушный звук - звук, распространяющийся в воздухе.
Структурный звук - звук, распространяющийся в материале (конструкции).
Звуковое поле - область в упругой среде, в которой имеются звуковые волны.
Частота колебаний - число колебаний в 1 с.
Герц - единица измерения частоты колебаний (одно колебание в секунду - 1 Гц).
Октавная полоса частот - полоса частот, в которой верхняя граничная частота в два раза больше нижней.
Третьоктавная полоса частот - полоса частот, в которой верхняя граничная частота в 1,25 раза больше нижней.
Среднегеометрическая частота октавной или третьоктавной полосы

,
где f1 - нижняя граничная частота, Гц;
f2 - верхняя граничная частота, Гц.
Значения граничных и среднегеометрических частот стандартных октавных и третьоктавных полос приведены в табл. 1 приложения.
Таблица 1
Граничные частоты и среднегеометрические частоты
октавных и третьоктавных полос
Частота, Гц |
граничная для полос | среднегеометрическая для полос |
октавных | третьоктавных | октавных | третьоктавных |
45 - 90 | 45 - 56 | 63 | 50 |
56 - 71 | 63 |
71 - 90 | 80 |
90 - 180 | 90 - 112 | 125 | 100 |
112 - 140 | 125 |
140 - 180 | 160 |
180 - 355 | 180 - 224 | 250 | 200 |
224 - 280 | 250 |
280 - 355 | 315 |
355 - 710 | 355 - 450 | 500 | 400 |
450 - 560 | 500 |
560 - 710 | 630 |
710 - 1400 | 710 - 900 | 1000 | 800 |
900 - 1120 | 1000 |
1120 - 1400 | 1250 |
1400 - 2800 | 1400 - 1800 | 2000 | 1600 |
1800 - 2240 | 2000 |
2240 - 2800 | 2500 |
2800 - 5600 | 2800 - 3540 | 4000 | 3150 |
3540 - 4500 | 4000 |
4500 - 5600 | 5000 |
5600 - 11200 | 5600 - 7100 | 8000 | 6300 |
7100 - 9000 | 8000 |
9000 - 11200 | 10000 |
Звуковое давление p - среднее квадратическое значение избыточного давления в данной точке среды в звуковом поле по сравнению со статическим давлением при отсутствии звукового поля.
Единица измерения звукового давления Н/м2; 1 Н/м2 = 1 Па.
Уровень звукового давления определяется по формуле

,
где p - среднее квадратическое значение звукового давления в заданной полосе частот в точке измерения, Н/м2;
p0 - пороговая величина среднеквадратического звукового давления, равная 2·10-5 Н/м2.
Спектр шума - распределение уровней звукового давления по октавным полосам частот.
Уровень звука A - общий уровень звукового давления, измеренный шумомером с корректированной частотной характеристикой по шкале A шумомера. Стандартная частотная характеристика шкалы A шумомера приведена в табл. 2 приложения.
Таблица 2
Частотная характеристика измерительного тракта или шумомера
Частота, Гц | Относительная частотная характеристика, дБ (коррекция Kj, дБ) по шкале A | Частота, Гц | Относительная частотная характеристика, дБ (коррекция Kj, дБ) по шкале A |
63 | -26,2 | 800 | -0,8 |
80 | -22,5 | 1000 | 0 |
100 | -19,1 | 1250 | +0,6 |
125 | -16,1 | 1600 | +1 |
160 | -13,4 | 2000 | +1,2 |
200 | -10,9 | 2500 | +1,3 |
250 | -8,6 | 3150 | +1,2 |
315 | -6,6 | 4000 | +1 |
400 | -4,8 | 5000 | +0,5 |
500 | -3,2 | 6300 | -0,1 |
630 | -1,9 | 8000 | -1,1 |
Постоянный шум - шум, уровень звука которого, дБA, в определенном месте изменяется в зависимости от времени в течение рабочей смены не более чем на 5 дБA.
Непостоянный шум - шум, уровень звука которого, дБA, в определенном месте изменяется в зависимости от времени в течение рабочей смены более чем на 5 дБA.
Колеблющийся во времени шум - шум, уровень звука которого, дБA, непрерывно изменяется во времени.
Прерывистый шум - шум, уровень звука которого в течение определенного времени остается постоянным, а затем резко падает до уровня шумового фона, причем длительность интервалов, в течение которых уровень остается постоянным, составляет 1 с и более.
Импульсный шум - шум, состоящий из одного или нескольких звуковых импульсов, каждый длительностью менее 1 с.
Эквивалентный уровень звука - постоянный уровень звука, соответствующий непостоянному уровню звука с учетом времени его воздействия или изменения его уровня во времени.
Эквивалентный октавный уровень звукового давления - постоянный уровень звукового давления в октавной полосе, соответствующий непостоянному октавному уровню звукового давления с учетом времени его воздействия в течение рабочей смены.
Допустимый октавный уровень звукового давления (эквивалентный октавный уровень звукового давления), допустимый уровень звука (эквивалентный уровень звука).
Допустимый октавный уровень звукового давления (эквивалентный октавный уровень звукового давления) Lдоп - уровень звукового давления, дБ, в каждой из восьми октавных полос со среднегеометрическими частотами 63, 125, 250, 500, 1000, 2000 и 4000, 8000 Гц, установленный в действующих нормативных документах.
Допустимый уровень звука (эквивалентный уровень звука)

допустимый уровень звука, дБA, установленный в действующих нормативных документах.
Звуковая мощность, уровень звуковой мощности
Звуковая мощность источника P - полная звуковая энергия в заданной полосе частот, излучаемая источником звука в окружающую среду в определенном интервале времени, деленная на этот интервал. Единица измерения звуковой мощности - ватт (Вт).
Уровень звуковой мощности источника звука LP определяется по формуле

,
где P0 - пороговая величина звуковой мощности, равная 10-12 Вт.
Корректированный уровень звуковой мощности A источника звука - уровень звуковой мощности, корректированный по частотной характеристике A шумомера.
Шумовые характеристики источников шума.
Источник шума характеризуется октавными уровнями звуковой мощности

(корректированными уровнями звуковой мощности

) и характеристикой направленности излучения шума. Неравномерность излучения шума источников в различных направлениях в заданной полосе частот может быть выражена через фактор направленности


,
где pr - среднеквадратическое значение звукового давления в заданной точке, Н/м2;
prср - среднеквадратическое значение звукового давления в заданной точке при равномерном излучении той же звуковой мощности в полную сферу, Н/м2.
Реверберация, звукопоглощение
Реверберация - звуковой процесс, продолжающийся в замкнутом пространстве в результате повторных отражений или рассеяния после выключения источника звука.
Время стандартной реверберации T - время, с, в течение которого уровень звукового давления уменьшается на 60 дБ после прекращения действия источников шума.
Коэффициент звукопоглощения - отношение неотраженной звуковой энергии к падающей на ограждение.
Реверберационный коэффициент звукопоглощения

- коэффициент звукопоглощения, измеренный в диффузном звуковом поле, т.е. при хаотическом падении звука на поверхность материала.
Эквивалентная площадь звукопоглощения (объекта, поверхности или помещения) A - площадь поверхности, м2, с коэффициентом звукопоглощения, равным 1, которая могла бы поглотить такое же количество звуковой энергии, как и данный объект, поверхность или все помещение и находящиеся в нем предметы.
Акустическая обработка помещения - облицовка всех или части внутренних поверхностей помещения звукопоглощающим материалом или специальными звукопоглощающими конструкциями, размещение в помещении штучных звукопоглотителей.
Акустическая характеристика звукопоглощающей конструкции или штучного звукопоглотителя - соответственно частотная характеристика реверберационного коэффициента звукопоглощения или частотная характеристика эквивалентной площади звукопоглощения, приходящейся на один звукопоглотитель, м2.
Звукоизоляция ограждений
Звукоизоляция - способность ограждающей или разделяющей помещения конструкции или элемента этой конструкции ослабить проходящий через него звук.
Изоляция воздушного шума - величина, дБ, характеризующая снижение ограждением уровня звуковой мощности воздействующего на него воздушного шума.
Изоляция воздушного шума ограждением определяется по формуле

,
где Pпад - звуковая мощность, падающая на ограждения, Вт;
Pпр - звуковая мощность, прошедшая через ограждение, Вт.
Звукоизолирующие кабины и звукоизолирующие кожухи
Звукоизоляция кабины - разность двух уровней звукового давления, измеренных в одних и тех же точках помещения до и после установки звукоизолирующей кабины.
Звукоизоляция кожуха - разность уровней звуковой мощности, излучаемой источником шума без кожуха и с кожухом.
Суммарный уровень звукового давления или звуковой мощности
Суммарный уровень звукового давления (или суммарный уровень звуковой мощности) определяют по формуле

,
где n - общее количество слагаемых уровней, какими могут быть как спектральные составляющие шума (октавные или третьоктавные уровни звукового давления, создаваемого одним источником), так и уровни звукового давления (или мощности) от разных источников;
Li - слагаемые уровни, дБ.
Разность двух складываемых уровней, дБ | Добавка к более высокому из складываемых уровней, дБ | Разность двух складываемых уровней, дБ | Добавка к более высокому из складываемых уровней, дБ |
0 | 3 | 7 | 0,8 |
1 | 2,5 | 8 | 0,6 |
2 | 2,0 | 9 | 0,5 |
3 | 1,8 | 10 | 0,4 |
4 | 1,5 | 15 | 0,2 |
5 | 2,2 | 20 | 0 |
6 | 1,0 | | |
При пользовании
таблицей надо последовательно сложить уровни, начиная с максимального. Сначала определяют разность двух складываемых уровней, затем добавку, которую следует прибавить к большему из складываемых уровней. Дальнейшее суммирование производится аналогичным образом.
Пример. Требуется найти суммарный уровень для четырех слагаемых уровней:
L1 = 105 дБ,
L2 = 100 дБ,
L3 = 111 дБ,
L4 = 104 дБ. Пользуясь
таблицей, суммируем
L1 и
L3. Разность слагаемых уровней

, добавка к большему уровню 1,0 дБ, суммарный уровень
Lсум.1 = 111 + 1 = 112 дБ. Суммируя
Lсум.1 и
L4, получаем
Lсум.2 = 112 + 0,6 = 112,6 дБ. Суммируя
Lсум.2 и
L2, получаем сумму уровней
Lсум = 112,6 + 0,3 = 112,9 дБ.