Главная // Актуальные документы // РуководствоСПРАВКА
Источник публикации
М.: Стройиздат, 1984
Примечание к документу
Название документа
"Руководство по проектированию подпорных стен и стен подвалов для промышленного и гражданского строительства"
"Руководство по проектированию подпорных стен и стен подвалов для промышленного и гражданского строительства"
ПО ПРОЕКТИРОВАНИЮ ПОДПОРНЫХ СТЕН И СТЕН ПОДВАЛОВ
ДЛЯ ПРОМЫШЛЕННОГО И ГРАЖДАНСКОГО СТРОИТЕЛЬСТВА
Рекомендовано к изданию решением секции несущих конструкций НТС ЦНИИПромзданий.
Составлено к главам
СНиП II-15-74 и II-91-77 и содержит основные положения по расчету и конструированию подпорных стен из монолитного и сборного железобетона с примерами расчета и необходимыми табличными значениями коэффициентов, облегчающих расчет, а также рекомендации по расчету стен подвалов промышленных и гражданских зданий.
Для инженерно-технических работников проектных и строительных организаций.
Руководство разработано ЦНИИПромзданий Госстроя СССР (кандидаты техн. наук Н.А. Ушаков, А.М. Туголуков, инженеры И.Д. Залещанский, Ю.В. Фролов, С.В. Третьякова) -
разд. 1 -
9,
прил. 1 -
5 при участии институтов: НИИОСП им. Н.М. Герсеванова Госстроя СССР (д-р техн. наук Е.А. Сорочан, кандидаты техн. наук А.В. Вронский, А.С. Снарский) -
разд. 5 и
6; Киевского Промстройпроекта Госстроя СССР (инженеры В.А. Козлов, С.И. Савускан) -
разд. 2,
3,
7,
прил. 4; Гипроречтранса Минречфлота РСФСР (д-р техн. наук В.Б. Гуревич, канд. техн. наук В.Э. Даревский, инж. М.А. Орлова) -
разд. 5 и
6 и Фундаментпроекта Минмонтажспецстроя СССР (инженеры В.К. Демидов, М.Л. Моргулис, И.С. Рабинович) -
разд. 6,
8,
9,
прил. 2.
1.1. Руководство распространяется на проектирование гравитационных подпорных стен для промышленного и гражданского строительства, возводимых на естественных основаниях, а также на проектирование стен подвалов промышленных и гражданских зданий.
1.2. Руководство не распространяется на проектирование подпорных стен магистральных дорог, гидротехнических сооружений, подпорных стен специального назначения (противооползневые, противообвальные и др.), а также на проектирование подпорных стен, предназначенных для строительства в особых условиях (на вечномерзлых, набухающих, просадочных грунтах, на подрабатываемых территориях и др.).
1.3. Проектирование подпорных стен и стен подвалов должно осуществляться на основании:
чертежей генерального плана (горизонтальная и вертикальная планировка);
отчета об инженерно-геологических изысканиях;
технологического задания, содержащего данные о нагрузках и при необходимости особые требования к проектируемой конструкции, например, требования по ограничению деформаций и др.
1.4. Конструкция подпорных стен и стен подвалов должна устанавливаться по данным сравнения вариантов, исходя из технико-экономической целесообразности их применения в конкретных условиях строительства с учетом максимального снижения материалоемкости, трудоемкости и стоимости строительства, а также с учетом условий эксплуатации конструкций.
1.5. Подпорные стены, сооружаемые в населенных пунктах, следует проектировать с учетом архитектурных особенностей этих пунктов.
1.6. При проектировании подпорных стен и стен подвалов должны приниматься конструктивные схемы, обеспечивающие необходимую прочность, устойчивость и пространственную неизменяемость сооружения в целом, а также отдельных элементов его на всех стадиях возведения и эксплуатации.
1.7. Элементы сборных конструкций должны отвечать условиям индустриального изготовления их на специализированных предприятиях.
Целесообразно укрупнять элементы сборных конструкций, насколько это позволяют грузоподъемность монтажных механизмов, а также условия изготовления и транспортирования.
1.8. Для монолитных железобетонных конструкций следует предусматривать унифицированные опалубочные и габаритные размеры, позволяющие применять типовые арматурные изделия и инвентарную опалубку.
1.9. В сборных конструкциях подпорных стен и стен подвалов конструкции узлов и соединений элементов должны обеспечивать надежную передачу усилий, прочность самих элементов в зоне стыка, а также связь дополнительно уложенного бетона в стыке с бетоном конструкции.
1.10. Проектирование конструкций подпорных стен и стен подвалов при наличии агрессивной среды должно вестись с учетом дополнительных требований, предъявляемых главой СНиП III-23-76.
1.11. Проектирование мер защиты железобетонных конструкций от электрокоррозии должно производиться с учетом требований СН 65-76 "Инструкция по защите железобетонных конструкций от коррозии, вызываемой блуждающими токами".
1.12. При проектировании подпорных стен и стен подвалов следует, как правило, применять унифицированные типовые конструкции.
Проектирование индивидуальных конструкций подпорных стен и стен подвалов допускается в тех случаях, когда параметры и нагрузки для их проектирования превосходят параметры и нагрузки для типовых конструкций, либо когда применение типовых конструкций невозможно исходя из местных условий осуществления строительства.
1.13. В Руководстве рассматриваются подпорные стены и стены подвалов при засыпке их однородным грунтом.
2. МАТЕРИАЛЫ ДЛЯ ПОДПОРНЫХ СТЕН
2.1. В зависимости от принятого конструктивного решения подпорные стены могут возводиться из железобетона, бетона, бутобетона и каменной кладки.
2.2. Выбор материала для подпорных стен обусловливается технико-экономическими соображениями, требованиями долговечности, условиями производства работ, наличием местных строительных материалов и средств механизации.
2.3. Железобетонные и бетонные подпорные стены рекомендуется проектировать из бетона проектной марки по прочности на сжатие:
для сборных железобетонных конструкций - М200, М300, М400;
для монолитных железобетонных и бетонных конструкций - М150, М200.
Предварительно напряженные железобетонные конструкции следует преимущественно проектировать из бетона марки М300, М400, М500, М600. Для бетонной подготовки следует применять бетон марки М50 и М100.
2.4. Для кирпичных подпорных стен следует применять хорошо обожженный красный кирпич марки не ниже М200 на растворе марки не ниже М25, а при очень влажных грунтах - не ниже М50. Применение силикатного кирпича не допускается.
2.5. Бутовая и бутобетонная кладка для подпорных стен должна быть выполнена из камня марки не ниже 150 - 200 на портландцементном растворе марки не ниже 50.
2.6. Для конструкций, подвергающихся попеременному замораживанию и оттаиванию, в проекте должна быть оговорена марка бетона по морозостойкости.
Проектная марка бетона по морозостойкости для железобетонных конструкций подпорных стен назначается в зависимости от температурного режима их эксплуатации в соответствии с табл. 1. Температурный режим эксплуатации устанавливается исходя из значения расчетной зимней температуры наружного воздуха в районе строительства.
Таблица 1
Температурный режим эксплуатации подпорных стен | Минимальная проектная марка бетона по морозостойкости |
Ниже: | |
-40 °C | Мрз 150 |
от -20 °C до -40 °C вкл. | Мрз 75 |
от -5 °C до -20 °C вкл. | Мрз 50 |
Примечание. Расчетная зимняя температура наружного воздуха принимается как средняя температура воздуха наиболее холодной пятидневки в зависимости от района строительства.
Требования к бутобетону и каменной кладке по морозостойкости предъявляются те же, что и к бетонным и железобетонным конструкциям.
| | ИС МЕГАНОРМ: примечание. Взамен ГОСТ 5781-75 Постановлением Госстандарта СССР от 17.12.1982 N 4800 с 1 июля 1983 года введен в действие ГОСТ 5781-82. | |
| | ИС МЕГАНОРМ: примечание. Взамен ГОСТ 6727-53 Постановлением Госстандарта СССР от 15.05.1980 N 2108 с 1 января 1983 года введен в действие ГОСТ 6727-80. | |
2.7. Для армирования железобетонных конструкций, выполняемых без предварительного напряжения, следует применять стержневую горячекатаную арматурную сталь периодического профиля классов А-III и А-II по ГОСТ 5781-75. Для монтажной (распределительной) арматуры допускается применение горячекатаной арматуры класса А-I по ГОСТ 5781-75 или обыкновенной арматурной гладкой проволоки класса В-I по ГОСТ 6727-53*.
При расчетной зимней температуре ниже минус 30 °C арматурная сталь класса А-II марки ВСт5пс2 к применению не допускается.
| | ИС МЕГАНОРМ: примечание. В официальном тексте документа, видимо, допущена опечатка: стандарт имеет номер ГОСТ 10884-71, а не ГОСТ 10884-78. | |
| | ИС МЕГАНОРМ: примечание. Постановлением Госстандарта России от 13.04.1995 N 214 с 1 января 1996 года введен в действие ГОСТ 10884-94. | |
2.8. В качестве напрягаемой арматуры предварительно напряженных железобетонных элементов следует преимущественно применять термически упрочненную арматуру классов Ат-VI и Ат-V по ГОСТ 10884-78.
Допускается также применять горячекатаную арматуру классов А-V, А-IV по ГОСТ 5781-75 и термически упрочненную арматуру класса Ат-IV по ГОСТ 10884-81.
При расчетной зимней температуре ниже минус 30 °C арматурная сталь класса А-IV марки 80С к применению не допускается.
| | ИС МЕГАНОРМ: примечание. Взамен ГОСТ 380-71 в части марок и химического состава сталей Постановлением Госстандарта СССР от 30.03.88 N 924 с 1 января 1990 года введен в действие ГОСТ 380-88. Взамен ГОСТ 380-88 Постановлением Госстандарта России от 02.06.1997 N 205 с 1 января 1998 года введен в действие ГОСТ 380-94. | |
2.9. Анкерные тяги и закладные элементы должны приниматься из прокатной полосовой стали класса С38/23 (ГОСТ 380-71*) марки ВСт3кп2 при расчетной зимней температуре до минус 30 °C включительно и марки ВСт3пс6 при расчетной температуре от минус 30 °C до минус 40 °C. Для анкерных тяг рекомендуется также сталь С52/40 марки 10Г2С1 при расчетной зимней температуре до минус 40 °C включительно. Толщину полосовой стали следует принимать не менее 6 мм. Возможно также применение для анкерных тяг арматурной стали класса А-III.
2.10. В сборных железобетонных и бетонных элементах монтажные (подъемные) петли должны выполняться из арматурной стали класса А-I (марок ВСт3сп2 и ВСт3пс2) или из стали класса А-II (марка 10ГТ).
При расчетной зимней температуре ниже -40 °C применение для петель стали ВСт3пс2 не допускается.
3.1. Подпорные стены по конструктивному решению подразделяются на массивные и тонкостенные.
В массивных подпорных стенах их устойчивость на сдвиг при воздействии горизонтального давления грунта обеспечивается в основном собственным весом стены.
В тонкостенных подпорных стенах их устойчивость обеспечивается собственным весом стены и весом грунта, вовлекаемого конструкцией стены в работу.
Как правило, массивные подпорные стены более материалоемки и более трудоемки в возведении, чем тонкостенные, и могут применяться при соответствующем технико-экономическом обосновании (например, при возведении их из местных материалов, отсутствии сборного железобетона и т.д.).
3.2. Массивные стены могут возводиться из монолитного бетона, сборных бетонных блоков, бутобетона и каменной кладки.
По форме поперечного сечения массивные стены могут быть:
с двумя вертикальными гранями (рис. 1, а),
с вертикальной лицевой и наклонной тыльной гранью (рис. 1, б),
с наклонной лицевой и вертикальной тыльной гранью (рис. 1, в),
с двумя наклонными в сторону засыпки гранями (рис. 1, г),
со ступенчатой тыльной гранью (рис. 1, д),
с ломаной тыльной гранью (рис. 1, е).
Рис. 1. Массивные подпорные стены
а - с двумя вертикальными гранями; б - с вертикальной
лицевой и наклонной тыльной гранью; в - с наклонной лицевой
и вертикальной тыльной гранью; г - с двумя наклонными
в сторону засыпки гранями; д - со ступенчатой тыльной
гранью; е - с ломаной тыльной гранью
3.3. Стены с наклонными гранями (переменного сечения, утончающиеся кверху) менее материалоемки, чем стены с двумя параллельными гранями.
При наличии наклонной в сторону от засыпки тыльной грани в работу подпорной стены включается масса грунта, расположенного над этой гранью. В стенах с двумя наклонными в сторону засыпки гранями интенсивность горизонтального давления грунта уменьшается, но возведение стен такого сечения является более сложным.
Стены со ступенчатой тыльной гранью применяют главным образом при возведении массивных стен из сборных бетонных блоков.
3.4. В промышленном и гражданском строительстве, как правило, применяются тонкостенные подпорные стены уголкового типа:
консольные (рис. 2, а),
с анкерными тягами (рис. 2, б),
контрфорсные (рис. 2, в).
Примечание. Другие типы подпорных стен (ячеистые, шпунтовые, из оболочек и др.) в настоящем Руководстве не рассматриваются.
Рис. 2. Тонкостенные подпорные стены уголкового типа
а - консольные; б - с анкерными тягами; в - контрфорсные
3.5. По способу изготовления тонкостенные подпорные стены могут быть монолитными, сборными и сборно-монолитными.
3.6. Тонкостенные консольные стены уголкового типа состоят из лицевых и фундаментных плит, жестко связанных между собой.
В сборных стенах лицевые и фундаментные плиты выполняются из готовых элементов. В сборно-монолитных - лицевая плита сборная, а фундаментная - монолитная.
В монолитных подпорных стенах жесткость узлового сопряжения лицевых и фундаментных плит обеспечивается соответствующим расположением арматуры.
В сборных и сборно-монолитных подпорных стенах жесткость сопряжения обеспечивается устройством щелевого паза (рис. 3, а) или петлевого (рис. 3, б) стыка.
Рис. 3. Сопряжение лицевых и фундаментных плит
а - с помощью щелевого паза; б - с помощью петлевого стыка
3.7. В сборно-монолитных тонкостенных подпорных стенах лицевая плита выполняется сборной, а фундаментная плита (не требующая подмостей и сложной опалубки) - монолитной.
Сборно-монолитные подпорные стены выполняются в том случае, когда размеры сборной фундаментной плиты недостаточны, и к ней присоединяется дополнительная монолитная анкерная плита (рис. 4).
Рис. 4. Сборная конструкция подпорной стены
с дополнительной монолитной анкерной плитой
3.8. Тонкостенные подпорные стены с анкерными тягами состоят из лицевых и фундаментных плит, соединенных гибкими стальными анкерными тягами (связями), которые создают в плитах дополнительные опоры, облегчающие их работу.
Сопряжение лицевых и фундаментных плит может быть шарнирным или жестким.
3.9. Тонкостенные контрфорсные подпорные стены состоят из трех элементов: лицевой плиты, жесткого контрфорса и фундаментной плиты. При этом нагрузка от лицевой плиты частично или полностью передается на контрфорс.
4. ВНЕШНИЕ НАГРУЗКИ И ИХ ВОЗДЕЙСТВИЯ
4.1. Подпорные стены надлежит рассчитывать с учетом горизонтальных и вертикальных внешних нагрузок, расположенных на призме обрушения, включая нагрузки от подвижного состава железных дорог и транспортных единиц автомобильных и городских дорог, технологического оборудования, а также складируемого материала и др.
4.2. Нормативные временные вертикальные нагрузки от подвижного транспорта при расчете подпорных стен принимаются:
от подвижного состава железных дорог - в виде нагрузки СК;
от колесной нагрузки в виде НК-80;
от колонны автомобилей - в виде нагрузки Н-30;
от колонны автомобилей - в виде нагрузки Н-10.
Примечания: 1. СК - условная эквивалентная равномерно распределенная нормативная нагрузка от групп грузов, сосредоточенных на 1 м пути.
2. Нормативная автомобильная колесная нагрузка НК-80 принимается состоящей из одной машины на колесном ходу.
3. Нормативная автомобильная нагрузка Н-30 принимается состоящей из ряда следующих один за другим автомобилей весом по 30 тс.
4. Нормативная автомобильная нагрузка Н-10 принимается состоящей из ряда следующих один за другим автомобилей весом по 10 тс, среди которых имеется один утяжеленный автомобиль весом 13 тс.
4.3. При расположении подпорной стены вдоль железнодорожного пути эквивалентная нагрузка СК от подвижного состава железных дорог на уровне подошвы балластной призмы принимается в виде сплошной полосы шириной
a и интенсивностью
q (
рис. 5,
а).
Рис. 5. Схемы эквивалентных равномерно
распределенных нагрузок от подвижного транспорта
при движении его вдоль подпорной стены
а - от подвижного состава железных дорог
по схеме СК; б - от колесной нагрузки по схеме НК-80;
в - от колонны автомобилей в виде нагрузки Н-30
Ширина полосы a принимается:
a = 2,7 + 2Hб, (1)
где Hб - толщина балластного слоя под подошвой шпалы, принимается равной 0,75 м, а при отсутствии балластного слоя Hб = 0.
Интенсивность нормативной эквивалентной нагрузки (тс/м2) определяется по формуле

(2)
где CK - условная эквивалентная нагрузка, для расчета подпорных стен принимается равной 2K;
K - класс нагрузки, принимается равным 14, при соответствующем обосновании допускается снижение этой нагрузки до величины K = 10.
4.4. При расположении подпорной стены вдоль движения автотранспорта давление от колес приводится к эквивалентной нагрузке, равномерно распределенной на сплошной полосе шириной
a, равной 0,8 м в случае колесной нагрузки НК-80 и 0,6 м в случае автомобильной нагрузки Н-30 (
рис. 5,
б и
5,
в).
Интенсивность эквивалентной нормативной нагрузки
qн в пределах каждой полосы от НК-80 и Н-30 устанавливается по графику на
рис. 6 в зависимости от расстояния между задней гранью стены и осью полосы.
Рис. 6. График для определения интенсивности эквивалентной
нормативной равномерно распределенной полосовой нагрузки
от автодорожного транспорта при движении его
вдоль подпорной стены
4.5. Коэффициенты надежности для подвижных временных нагрузок приведены в табл. 2.
Нагрузки | Коэффициент надежности по нагрузке kн |
Постоянные | |
Собственный вес конструкции | 1,1 (0,9) |
Вес грунта в природном залегании | 1,1 (0,9) |
Вес уплотненного грунта засыпки | 1,1 (0,9) |
Вес дорожного покрытия проезжей части и тротуаров | 1,5 (0,9) |
Вес полотна железнодорожных путей на балласте | 1,3 (0,9) |
Временные | |
Нагрузка от подвижного состава железных дорог | 1,3 |
От колесной нагрузки в виде НК-80 | 1,1 |
От колонн автомобилей в виде нагрузки Н-30 | 1,4 |
Нагрузка от оборудования, складируемого материала, внутрицехового транспорта и равномерно распределенная нагрузка на территории | 1,2 |
Примечание. Значения коэффициентов, указанные в скобках, принимаются при расчете конструкций на устойчивость положения, когда уменьшение постоянной нагрузки может ухудшить условия работы конструкции.
Динамический коэффициент надежности для временной нагрузки принимается равным единице.
4.6. Горизонтальные и поперечные нагрузки от центробежных сил, возникающих на криволинейных участках пути, в расчете подпорных стен не учитываются.
4.7. При отсутствии конкретных нагрузок на призме обрушения подпорные стены (кроме подпорных стен, расположенных на косогорах) рассчитываются с учетом временной нормативной равномерно распределенной нагрузки интенсивностью 1 тс/м2, которая включает в себя автомобильную нагрузку Н-10.
5. ОПРЕДЕЛЕНИЕ АКТИВНОГО ДАВЛЕНИЯ ГРУНТА
5.1. В случае, когда поверхность грунта ограничена плоскостью и на призме обрушения отсутствует внешняя нагрузка, горизонтальная

и вертикальная

составляющие интенсивности активного давления несвязного грунта на глубине
H (
рис. 7,
а) определяются, исходя из предположения об образовании прямолинейной поверхности скольжения в призме обрушения, по формулам:

(3)

(4)
где

- коэффициент горизонтальной составляющей активного давления грунта;

(5)

- угол внутреннего трения грунта, определяется по
пп. 6.4 -
6.6;

- объемный вес грунта, определяется по
пп. 6.4 -
6.6;

- угол наклона задней грани стены к вертикали, принимается со знаком "плюс" при отклонении от вертикали в сторону стены;

- угол наклона поверхности грунта к горизонту, принимается со знаком "плюс" при отклонении поверхности грунта от горизонтального положения вверх;

- угол трения грунта на контакте со стеной; для стен с повышенной шероховатостью, например, со ступенчатой задней гранью, принимается равным

; для стен с задней гранью, специально обработанной для придания ей шероховатости -

; в остальных случаях, а также для мелкозернистых водонасыщенных песков и при наличии вибрационных нагрузок на поверхности засыпки принимается равным нулю.
Рис. 7. Схема к определению активного давления грунта
а - несвязного; б - связного
При


(6)
Значения коэффициента

в зависимости от

,

,

и

приведены в
прил. 3.
5.2. Для связного грунта горизонтальная

и вертикальная

составляющие интенсивности активного давления грунта на глубине
H (
рис. 7,
б) определяются по формулам:

(7)

(8)
где

- интенсивность горизонтальных сил сцепления,

(9)

(10)
c - удельное сцепление грунта засыпки, определяется по
пп. 6.4 -
6.6.
Примечание. Если значение
k, вычисленное по
формуле (10), меньше нуля, то принимается
k = 0.
При


(11)
Значения коэффициентов
k в зависимости от

,

,

и

приведены в
прил. 4.
5.3. Горизонтальная

и вертикальная

составляющие активного давления грунта определяются по формулам:
для несвязного грунта (c = 0):

(12)

(13)
для связного грунта

:

(14)

(15)
где

(16)
Точка приложения горизонтальной составляющей давления грунта располагается от подошвы стены на расстоянии, равном:
для несвязных грунтов

(17)
для связных грунтов

(18)
5.4. При наличии на горизонтальной плоской поверхности засыпки сплошной равномерно распределенной нагрузки
q (
рис. 8,
а) горизонтальная

и вертикальная

составляющие интенсивности активного давления грунта от этой нагрузки на глубине
H для связных и несвязных грунтов определяются по формулам:

(19)

(20)
Рис. 8. Схема к определению активного давления грунта
от равномерно распределенной нагрузки
а - при сплошной нагрузке; б - при фиксированной нагрузке;
в - при полосовой нагрузке
Горизонтальная Eqг и вертикальная Eqв составляющие активного давления грунта от нагрузки q определяются по формулам:

(21)

(22)
Точка приложения горизонтальной составляющей давления грунта располагается от подошвы стены на расстоянии, равном:

(23)
5.5. В случае наличия на поверхности засыпки фиксированной равномерно распределенной нагрузки
q (
рис. 8,
б) горизонтальная и вертикальная составляющие активного давления грунта от этой нагрузки определяются по формулам:

(24)

(25)
где

(26)
Угол наклона плоскости обрушения (сползания) к вертикали определяется по формуле

(27)
Точка приложения горизонтальной составляющей давления грунта в этом случае располагается от подошвы стены на расстоянии, равном:

(28)
5.6. В случае наличия на поверхности засыпки полосовой равномерно распределенной нагрузки
q (
рис. 8,
в) горизонтальная и вертикальная составляющие активного давления грунта от этой нагрузки определяются по формулам:

(29)

(30)
где

(31)
Точка приложения горизонтальной составляющей давления грунта в этом случае располагается на расстоянии, равном:

(32)
5.7. При наличии на призме обрушения равномерно распределенной нагрузки интенсивности активного давления связного грунта

и

определяются по формулам:

(33)

(34)
5.8. Активное давление грунта для уголковых подпорных стен определяется, исходя из условия образования за стеной клиновидной симметричной (а при короткой задней консоли - несимметричной) призмы обрушения.
В случае образования симметричной призмы обрушения (рис. 9,
а) активное давление грунта принимается действующим на наклонную плоскость, проведенную под углом

к вертикали.
Рис. 9. Схема к определению активного давления грунта
на уголковые подпорные стены
а - при симметричной призме обрушения;
б - при несимметричной призме обрушения
Вес грунта в контуре abcd прибавляется к весу стены.
Расчет уголковых подпорных стен производится так же, как и массивных, принимая

и

При короткой задней консоли, когда плоскость призмы обрушения пересекает заднюю грань стены, давление грунта определяется как для симметричной призмы обрушения, если расстояние от верха стены до пересечения с плоскостью обрушения не превышает 0,25 высоты стены (от верха до подошвы).
Когда плоскость обрушения пересекает стену ниже 0,25
H, давление грунта определяется отдельно для вертикальной стены и наклонной грани призмы обрушения (
рис. 9,
б).
5.9. Наибольшая величина активного давления грунта при наличии на горизонтальной поверхности засыпки равномерно распределенной нагрузки q определяется при расположении этой нагрузки в пределах всей призмы обрушения, если нагрузка не имеет фиксированного положения.
5.10. При определении расчетных усилий (изгибающих моментов и поперечных сил) в элементах подпорной стены расчетная схема нагрузок принимается согласно указаниям
пп. 6.23 -
6.29.
6.1. Подпорные стены рассчитываются по двум группам предельных состояний:
по первой группе (по несущей способности) выполняют расчеты:
устойчивости положения стены против сдвига; устойчивости основания под подошвой стены (для нескальных грунтов); прочности скального основания (для скальных грунтов); прочности элементов конструкций и узлов соединения;
по второй группе (по пригодности к эксплуатации) выполняют расчеты:
оснований по деформациям; трещиностойкости элементов конструкций.
Расчет производится на 1 м длины стены.
6.2. Расчеты производятся на расчетные нагрузки, которые определяются как произведение нормативных нагрузок на коэффициенты надежности по нагрузке, учитывающие возможное отклонение нагрузок в неблагоприятную сторону от нормативных значений и устанавливаемые в зависимости от группы предельного состояния.
6.3. Коэффициенты надежности по нагрузке при расчете по первой группе предельных состояний должны приниматься по
табл. 2, а при расчете по второй группе принимаются равными единице.
Коэффициенты надежности по нагрузке при определении вертикальных и горизонтальных составляющих давления грунта должны приниматься одинаковыми.
6.4. Значения характеристик грунтов ненарушенного сложения определяются, как правило, на основе непосредственных испытаний грунтов и обозначаются:
нормативные -

,

и
cн;
для расчетов по первой группе предельных состояний -

,

и
cI;
для расчетов по второй группе предельных состояний -

,

и
cII.
Объемный вес грунта

принимается из условия

, а

- из условия

, где

- показатель точности оценки среднего значения объемного веса грунта.
Для практических расчетов допускается принимать

, т.е.

.
Для

и
c принимаются только их минимальные значения.
6.5. При отсутствии непосредственных определений

и
c грунтов ненарушенного сложения, нормативные значения их

и
cн допускается принимать по
табл. 1 и
2 прил. 2 к СНиП II-15-74.
При этом расчетные значения этих характеристик принимаются по следующим зависимостям:
cII =
cн,
| | ИС МЕГАНОРМ: примечание. Обозначение дано в соответствии с официальным текстом документа. | |
где kг - коэффициент надежности по грунту, принимается для песчаных грунтов 1,1, для глинистых - 1,15.
6.6. Значения характеристик грунтов засыпки, уплотненных согласно главе СНиП III-8-76, устанавливаются по характеристикам тех же грунтов ненарушенного сложения и обозначаются:
для расчетов по первой группе предельных состояний -

,

и

;
для расчетов по второй группе предельных состояний -

,

и

.
Соотношения между характеристиками грунтов ненарушенного сложения и характеристиками грунтов засыпки следующие:
но не более 0,7 тс/м2; но не более 1 тс/м2.
Примечание. Для песчаных грунтов засыпки

.
6.7. При определении давления от собственного веса грунта при расчете по первой группе предельных состояний значения объемного веса грунта

и

должны быть соответственно умножены на коэффициенты надежности по нагрузке в соответствии с
табл. 2.
Расчет устойчивости положения стены против сдвига
6.8. Расчет устойчивости положения стены против сдвига осуществляется по подошве стены (плоский сдвиг) и по ломаным поверхностям скольжения (глубинный сдвиг).
6.9. Устойчивость подпорной стены против сдвига при нескальных грунтах
(рис. 10) определяется по формуле

(35)
где Tсд - сдвигающая сила, равная сумме проекций всех сдвигающих сил, действующих на стену, на горизонтальную плоскость;
Tуд - удерживающая сила, равная сумме проекций всех удерживающих сил на ту же плоскость;
1,2 - коэффициент надежности против сдвига.
Рис. 10. Схема к расчету устойчивости подпорных стен
против сдвига при горизонтальной подошве
а - для массивных стен; б - для тонкостенных,
уголкового типа; 1 - первый случай;
2 - второй случай; 3 - третий случай
6.10. Сдвигающая и удерживающая силы определяются соответственно по формулам:

(37)
где N - сумма проекций всех сил на вертикальную плоскость

(38)
Gст - собственный вес стены;

- собственный вес грунта вне призмы обрушения (в контуре
abcd и над передней консолью в уголковых стенах);
B - ширина подошвы стены;
Eп - пассивное давление грунта;

- угол наклона поверхности скольжения к горизонту, принимается со знаком "плюс" при отклонении поверхности скольжения от горизонтального положения вниз и со знаком "минус" при отклонении вверх.
Коэффициент надежности по нагрузке для объемного веса грунта в уголковых подпорных стенах в пределах всего грунта засыпки принимается одинаковым.
6.11. Расчет устойчивости подпорной стены против сдвига с горизонтальной подошвой производится для трех значений угла

:

;

и
(рис. 10).
При

имеем случай плоского сдвига по подошве стены; при

и

- имеем случай глубинного сдвига по ломаным плоскостям скольжения.
6.12. Расчет устойчивости подпорной стены против сдвига с наклонной подошвой производится для четырех значений угла

:

;

;

и

(рис. 11).
Рис. 11. Схема к расчету устойчивости подпорных стен
против сдвига при наклонной подошве
1 - первый случай; 2 - второй случай;
3 - третий случай; 4 - четвертый случай
При

- имеем случай плоского сдвига по наклонной подошве (

- угол наклона подошвы к горизонту); при

;

и

- имеем случай глубинного сдвига.
6.13. При сдвиге по подошве стены (

- для стен с горизонтальной подошвой и

- для стен с наклонной подошвой) характеристики грунта

и
cI по контакту подошва-грунт в
формуле (37) определяются по
пп. 6.4 и
6.5, но принимаются не более 30° для

и не более 0,5 тс/м
2 для
cI.
В случае глубинного сдвига угол внутреннего трения

и удельное сцепление
cI принимаются как для грунта ненарушенного сложения.
6.14. При глубинном сдвиге для стен с горизонтальной подошвой, в случае когда

, а также для стен с наклонной подошвой в случаях

и

, в
формуле (38) необходимо дополнительно учесть вес грунта под подошвой стены в пределах призмы скольжения с коэффициентом надежности по нагрузке 0,9.
6.15. Пассивное давление грунта определяется по формуле

(39)
где

- коэффициент пассивного давления грунта, принимается по формуле

(40)
В случае сдвига стены по подошве принимается

.
Пассивный отпор грунта учитывается до глубины расположения линии пересечения передней грани подошвы стены с предлагаемой плоскостью скольжения.
Коэффициент надежности по нагрузке для грунта при определении пассивного давления принимается равным 0,9 при плоском и глубинном сдвиге.
6.16. Устойчивость подпорной стены против сдвига по скальному грунту определяется по
формуле (35), где сдвигающая сила
Tсд вычисляется по
формуле (36), а удерживающая сила
Tуд определяется по формуле

(41)
где f - коэффициент трения подошвы по скальному грунту, принимается по результатам непосредственного испытания, но не более 0,65.
Расчет устойчивости основания под подошвой стены
6.17. Расчет устойчивости основания под подошвой стены производится из условия

(42)
где N - сумма проекций всех сил на вертикальную плоскость;
Ф - несущая способность грунта, выраженная вертикальной силой;
kн - коэффициент надежности, устанавливаемый проектной организацией в зависимости от ответственности здания или сооружения, значимости последствий исчерпания несущей способности основания, степени изученности грунтовых условий; принимается не менее 1,2.
6.18. Несущая способность основания под подошвой стены на 1 м ее длины определяется по формуле

(43)
где

- приведенная ширина фундамента, вычисляемая по формуле

;
B - ширина подошвы фундамента;
e - эксцентриситет приложения равнодействующей всех сил

(44)
где

- сумма моментов всех вертикальных сил относительно оси, проходящей через центр тяжести подошвы;

- сумма моментов всех горизонтальных сил относительно той же оси;

- сумма проекций всех сил на вертикальную плоскость, определяется по
формуле (38);
A1, B1, D1 - безразмерные коэффициенты, определяемые по формуле

(45)
где

,

,

- коэффициенты несущей способности грунта, определяются по табл. 3;
| 0,20 | 0,25 | 0,30 | 0,35 | 0,40 | 0,45 | 0,50 |
| 9 | 10,5 | 12 | 14 | 16 | 19 | 23 |
| 2,9 | 3,7 | 4,7 | 6 | 8 | 10 | 12 |
| 0,6 | 0,9 | 1,3 | 1,8 | 2,7 | 3,8 | 5 |
Продолжение табл. 3
| 0,55 | 0,60 | 0,65 | 0,70 | 0,75 | 0,80 | 0,85 | 0,90 |
| 27 | 32 | 48 | 45 | 53 | 64 | 77 | 92 |
| 16 | 20 | 27 | 33 | 40 | 53 | 70 | 84 |
| 7 | 10 | 14 | 20 | 27 | 36 | 50 | 70 |

,
iq,
iс - коэффициенты влияния угла наклона нагрузки, зависящие от соотношения горизонтальной и вертикальной составляющих суммарной нагрузки.

(46)

,
nq и
nс - коэффициенты влияния формы подошвы фундамента, для ленточного фундамента

;
h - меньшая в плоскости сдвига глубина заложения подошвы.
Рис. 12. Схема к расчету несущей способности основания
а - для нескального основания; б - для скального основания
Расчет прочности скального основания
6.19. Расчет прочности скального основания производится из
условия (42).
Несущая способность (прочность) скального основания Ф вычисляется по формуле
Ф = Rс(B - 2e), (47)
Rс - расчетное значение временного сопротивления образцов скального грунта сжатию в водонасыщенном состоянии определяется в соответствии с требованиями
пп. 3.13 -
3.15 главы СНиП II-15-74.
При этом величина эксцентриситета должна удовлетворять условию

.
Расчет оснований по деформациям
6.20. Расчет оснований по деформациям производится только для нескальных грунтов в соответствии с указаниями главы
СНиП II-15-74. При этом предельные деформации
Sпр принимаются по технологическим требованиям, но не более величин, указанных в
п. 2 табл. 18 главы СНиП II-15-74.
6.21. При отсутствии специальных технологических требований расчет оснований по деформациям считается удовлетворенным, если среднее давление на грунт
pср под подошвой не превышает расчетного давления на основания
R, а краевое давление
pмакс не превышает 1,2
R (
рис. 13,
а)
pср <= R; (48)
pмакс <= 1,2R. (49)
Рис. 13. Схема к определению давлений под подошвой стены
а - при малых эксцентриситетах

;
б - при больших эксцентриситетах

Краевые давления грунта под подошвой стены при эксцентриситете приложения равнодействующей всех вертикальных сил относительно центра тяжести подошвы

определяются по формуле

(50)
| | ИС МЕГАНОРМ: примечание. Обозначение дано в соответствии с официальным текстом документа. | |
где
R - расчетное давление на основание, определяется по
формуле (17) главы СНиП II-15-74;
6.22. При больших эксцентриситетах

давление под подошвой стены
pмакс (
рис. 13, б) на 1 м длины стены вычисляется по формуле

(51)
где d = 0,5B - e.
Определение усилий в элементах конструкций
6.23. Для массивной подпорной стены внутренние усилия (
N,
Q и
M) в сечении
1-
1 (
рис. 14,
а) определяются по формулам

(52)
где

- сумма всех вертикальных сил выше сечения
1-
1;

- сумма всех горизонтальных сил выше сечения
1-
1;

- сумма моментов всех вертикальных сил, относительно оси, проходящей через центр тяжести сечения
1-
1;

- сумма моментов всех горизонтальных сил относительно той же оси.
Рис. 14. Схема к расчету определения прочности
сечений подпорных стен
а - массивных; б - уголковых консольного типа
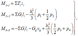
6.24. Для уголковой подпорной стены консольного типа изгибающие моменты в сечениях
1-
1,
2-
2 и
3-
3 (
рис. 14,
б) определяются по формулам:

(53)
| | ИС МЕГАНОРМ: примечание. Обозначения даны в соответствии с официальным текстом документа. | |
где

,
zi - сумма моментов всех горизонтальных сил относительно сечения
1-
1
Eг и
Eqг - соответственно горизонтальные составляющие активного давления грунта от собственного веса и нагрузки, расположенной на поверхности призмы обрушения, вычисляются для высоты грунта
H1 при

и

;
z и zq - расстояния от горизонтальных давлений грунта Eг и Eqг до сечения 1-1;
Gi - вес i-го участка стены или грунта, расположенного слева для сечения 2-2 и справа для сечения 3-3;
li - расстояние от центра тяжести i-го участка стены или грунта до рассматриваемого сечения;
Gq - равнодействующая равномерно распределенной нагрузки, расположенной на поверхности призмы обрушения в пределах участка b2;
xq - расстояние от равнодействующей равномерно распределенной нагрузки, расположенной на поверхности призмы обрушения в пределах участка b2 до сечения 3-3;
p1 и
p2 - краевые давления под подошвой стены для нескальных грунтов вычисляются по
формулам (50) или
(51), при этом значения
N и
M определяются по формулам:
Gст - собственный вес стены;

- вес грунта над передней и задней консолями;

- сумма моментов всех вертикальных сил, относительно оси, проходящей через центр тяжести подошвы стены;

- сумма моментов всех горизонтальных сил относительно той же оси
Eг и
Eqг - вычисляются для высоты грунта
H при

и

;
z и zq - расстояния от горизонтальных давлений грунта до центра тяжести подошвы.
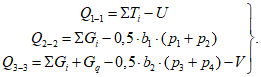
Поперечные силы в сечениях 1-1, 2-2 и 3-3 определяются по формулам:

(54)
где

- сумма всех горизонтальных сил выше сечения
1-
1.
6.25. Для скальных грунтов давление под подошвой стены вычисляется согласно указаниям
п. 6.19 настоящего Руководства.
6.26. Для уголковой подпорной стены с анкерной тягой краевые давления грунта pмакс и pмин под подошвой стены определяются по тем же формулам, что и для уголковой подпорной стены консольного типа.
6.27. При определении максимальных усилий в элементах подпорной стены с анкерной тягой рассматриваются два случая загружения призмы обрушения временной нагрузкой:
нагрузка расположена на всей поверхности призмы обрушения (
рис. 15,
а) - получаем максимальные моменты в консольной части вертикального элемента стены и максимальные усилия в нижней плите и в анкерной тяге;
нагрузка расположена на части призмы обрушения (рис. 15, б) - получаем максимальные пролетные моменты в вертикальном элементе стены.
а - нагрузка расположена по всей поверхности
призмы обрушения; б - нагрузка расположена
на части призмы обрушения
6.28. Максимальное усилие в анкерной тяге S при шарнирном сопряжении лицевой и фундаментных плит определяется из первого случая загружения по формуле

(55)
В формуле (55) z и zq - расстояния точек приложения горизонтальных составляющих давления грунта до подошвы, а Eг и Eqг вычисляются для высоты грунта, равной H.
Примечание. Учитывая возможное увеличение усилия в анкерной тяге за счет зависания грунта над ней и неравномерности натяжения, к расчетному осевому усилию в тяге вводится дополнительно коэффициент условия работы
m = 1,5. Указанное увеличение усилия в тяге учитывается при расчете тяг, их креплений и закладных элементов и не учитывается при расчете железобетонных сечений.
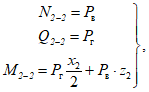
Вертикальные V и горизонтальные U реакции в местах соединения анкерной тяги с элементами подпорной стены определяются по формулам:

(56)
Усилие в анкерной тяге при жестком узле сопряжения лицевой и фундаментной плит определяется по формуле

(57)
где U1 - горизонтальная реакция в месте соединения анкерной тяги с вертикальным элементом стены, определяется из схемы на рис. 16.
Рис. 16. Расчетная схема к определению горизонтальной
реакции u1 при жестком узле сопряжения лицевой
и фундаментных плит
6.29. Изгибающие моменты и поперечные силы в сечениях
1-1, 2-2 и
3-3 стен с анкерными тягами определяются по формулам:

(58)
где eв и eг - эксцентриситеты приложения сил U и V относительно центра тяжести сечений (см. рис. 17).
Рис. 17. Схема к расчету прочности сечений уголковых
подпорных стен с анкерными тягами
Примечание. Учитывая возможное увеличение усилия в консольной части вертикального элемента стены за счет гибкости ее и перераспределения давления грунта, к расчетному моменту
M1-1, полученному по
формуле (58) для консольной части (
U = 0;
V = 0), вводится дополнительный коэффициент условия работы
m = 1,5. Указанное увеличение усилия учитывается только при расчете прочности сечений консольной части лицевой плиты и не распространяется на другие участки.

(59)
6.30. Расчет щелевого паза в случае жесткого сопряжения сборной лицевой плиты с фундаментной плитой
(рис. 18) осуществляется из условия, что при действии момента
M стеновая панель поворачивается, при этом возникают силы
P с плечом внутренней пары
a. Сдвигающая сила
Q прикладывается к верхней части стенки паза. В верхней и нижней частях стенки паза возникают сжимающие напряжения с высотой сжатой зоны
x1 и
x2.
Рис. 18. Схема к расчету щелевого паза
Расчет производится в следующей последовательности.
Задаются величиной z = 0,9l и определяют плечо внутренней пары a

(60)
Усилие внутренней пары P определяют по формуле

(61)
Горизонтальные и вертикальные составляющие внутренней пары определяют по формулам:

(62)

(63)
Определяют соответственно высоту верхней и нижней сжатой зоны x1 и x2:

(64)

(65)
где Rпр - расчетное сопротивление бетона стенки щелевого паза сжатию.
Вычисляют величину z

(66)
Если найденное значение z отличается от принятого более чем на 10%, то делают перерасчет.
Внутренние усилия в сечении 1-1 определяются по формулам:

(67)
Расчет передней стенки щелевого паза ведется как изгибаемого элемента.
Внутренние усилия в сечении 2-2 определяются по формулам:

(68)
где z2 - расстояние от центра тяжести сечения 2-2 до тыльной грани вертикального элемента стены.
Расчет задней стенки щелевого паза ведется как внецентренно растянутого элемента.
Внутренние усилия в сечении 3-3 определяются по формулам:

(69)
где z3 - расстояние от центра тяжести сечения 3-3 до лицевой грани вертикального элемента стены;
Расчет днища щелевого паза ведется как внецентренно растянутого элемента.
Примечание. При определении требуемой площади продольной арматуры в сечении 3-3 (из условия расчета щелевого паза) на расчетное сопротивление стали растяжению вводится дополнительный коэффициент условия работы, равный 0,7.
6.31. Расчет элементов железобетонных конструкций по прочности, образованию и раскрытию трещин производится в соответствии с главой
СНиП II-21-75.
7. КОНСТРУКТИВНЫЕ УКАЗАНИЯ
Назначение предварительных размеров подпорных стен
7.1. Габаритные схемы подпорных стен определяются одним параметром - высотой подпора грунта, т.е. разностью перепада планировочных отметок грунта с верховой и низовой сторон.
7.2. Предварительные размеры уголковых подпорных стен могут быть установлены по графикам на рис. 19.
Рис. 19. Графики для установления предварительных размеров
уголковых подпорных стен
а - для грунта с

;
б - для грунта с

;
в - для грунта с

Предварительные размеры подошв массивных подпорных стен обычно назначаются в пределах (0,5 - 0,7)H.
7.3. Минимальные размеры сечений элементов подпорных стен рекомендуется назначать:
для каменных и бутобетонных стен - 600 мм;
для бетонных стен - 400 мм;
для железобетонных стен - 100 мм.
7.4. Основные размеры подпорных стен: высота всей стены, высота перепада, ширина подошвы и вылет консоли от передней грани стены - назначаются кратными 300 мм.
Размеры толщины элементов стены и подошвы назначаются кратными 20 мм.
Глубина заложения подошв подпорных стен
и подготовка основания
7.5. Глубину заложения подошв подпорных стен следует назначать в соответствии с требованиями главы
СНиП II-15-74 и принимать, как правило, кратной 300 мм.
7.6. Минимальную глубину заложения подпорных стен рекомендуется принимать не менее 0,6 м при нескальных основаниях и не менее 0,3 м - при скальных. При наличии кювета глубина заложения назначается от дна кювета.
7.7. При наличии в основании стены слабых грунтов с расчетным сопротивлением 1 - 2 кгс/см2 либо глинистых пучинистых грунтов при глубине промерзания равной или большей, чем заглубление фундаментной плиты, в основании стены должна быть выполнена песчаная или щебеночная подушка.
Грунт естественного залегания вынимается на глубину 600 мм и более от подошвы стены и заменяется песком или щебнем. Песок отсыпается слоями, поливается водой и утрамбовывается.
Подушку следует отсыпать в котловане с предельно крутыми откосами. Размеры подушки должны быть больше соответствующих размеров подошвы на 400 мм (по 200 мм в каждую сторону) при засыпке котлована щебнем.
Песчаную подушку следует применять только выше уровня грунтовых вод.
7.8. Под подошвой монолитной подпорной стены следует устраивать выравнивающую бетонную подготовку толщиной 100 мм, которая должна выступать за грани подошвы не менее чем на 100 мм.
Сборные фундаментные плиты следует устанавливать на подготовленное основание в виде утрамбованного в грунт щебня. Толщина слоя щебня должна приниматься не менее 100 мм и выступать за грани подошвы не менее чем на 150 мм.
7.9. При наличии в основании подпорной стены слабых грунтов при соответствующем обосновании может быть выполнено искусственное основание в виде свайного ростверка и т.п.
7.10. В продольном направлении подошву подпорной стены следует принимать горизонтальной или с уклоном не более 0,02. При большем уклоне подошва выполняется ступенчатой.
В поперечном направлении подошву подпорной стены следует принимать горизонтальной или с уклоном в сторону засыпки не более чем 0,125.
Температурно-осадочные швы
7.11. Конструкции подпорных стен должны быть разделены на всю высоту (включая фундаменты) температурно-осадочными швами.
Расстояния между температурно-осадочными швами следует принимать не более:
в монолитных бутобетонных и бетонных конструкциях без конструктивного армирования - 10 м;
в монолитных бетонных конструкциях при наличии конструктивного армирования и в каменных конструкциях - 20 м;
в монолитных и сборно-монолитных железобетонных конструкциях - 25 м;
в сборных железобетонных конструкциях - 30 м.
При наличии в основании стенки неоднородных грунтов расстояния между температурно-осадочными швами должны быть уменьшены с таким расчетом, чтобы подошва фундамента каждого отсека опиралась на однородный грунт. Ширина швов принимается равной 30 мм. Температурно-осадочные швы в монолитных бетонных и железобетонных подпорных стенах выполняются путем постановки в тело конструкции просмоленной доски.
7.12. Обратную засыпку пазух подпорных стен рекомендуется производить дренирующими грунтами (песчаными или крупнообломочными).
Допускается использовать местные связные грунты - супеси и сухие суглинки. Уплотнение засыпки должно производиться согласно действующим СНиП на производство земляных работ.
Грунты засыпки необходимо послойно трамбовать до достижения коэффициента уплотнения 0,95.
Не допускается применять для обратных засыпок тяжелые и пластичные глины, а также грунты, содержащие органические и растворимые включения более 5% по весу.
Дренаж, гидроизоляция, антикоррозионная защита
7.13. Поверхность подпорных стен, обращенная в сторону засыпки, должна быть защищена гидроизоляцией. При отсутствии агрессивной среды допускается применение обмазочной гидроизоляции горячим битумом в два раза.
7.14. При расположении подпорных стен вне здания следует предусматривать устройство со стороны подпора грунта пристенного дренажа. Схемы дренажей показаны на рис. 20.
Рис. 20. Схемы дренажей
а - при водоносных грунтах засыпки;
б - при водоупорных грунтах засыпки;
1 - обратная засыпка водоносным грунтом; 2 - щебень
или гравий крупностью 3 - 25 мм; 3 - песок средней
крупности;
4 - дренажные отверстия

;
5 - грунт
естественного залегания; 6 - обратная засыпка водоупорным
грунтом; 7 - пристенный песчаный дренаж из песка средней
крупности; 8 - слой жирной глины h = 200 мм
В водоупорных грунтах в основании дренажа следует устраивать подготовку из жирной глины толщиной 200 мм с уклоном 0,05 в сторону стены. Пристенный песчаный дренаж выполняется из песка средней крупности толщиной 300 мм.
Дренажный коллектор из щебня или гравия крупностью 3 - 25 мм следует устраивать с продольным уклоном не менее 0,04.
В лицевых элементах подпорных стен необходимо предусматривать дренажные отверстия диаметром 50 мм через 3 - 6 м.
7.15. На косогорных участках с целью отвода атмосферных вод, за тыльной гранью стены должен быть устроен водоотводный кювет.
7.16. В случае необходимости для защиты лицевой поверхности стены от подтоков ливневой воды, особенно для стен, расположенных на косогорных участках, следует предусматривать устройство козырька со "слезником" или установку карнизных блоков (рис. 21).
Рис. 21. Устройство карниза стены
а - бетонный карнизный блок; б - железобетонный козырек
7.17. Работы по антикоррозионной защите закладных и соединительных металлических элементов, а также анкерных тяг следует проводить в соответствии с действующими нормативными документами.
7.18. Толщина защитного слоя бетона для рабочей арматуры в сборных железобетонных конструкциях принимается не менее 30 мм и не менее диаметра рабочей арматуры.
Толщина защитного слоя бетона для рабочей арматуры в монолитных конструкциях принимается не менее 35 мм и не менее диаметра рабочих стержней.
В монолитных фундаментных плитах при отсутствии бетонной подготовки защитный слой бетона для нижней рабочей арматуры должен быть не менее 70 мм.
Расположение и габариты приближения
7.19. Высота подпорных стен для грузовых рамп автомобильного транспорта со стороны подъезда автомобилей должна быть равной 1200 мм от уровня поверхности проезжей части дороги или погрузочно-разгрузочной площадки (рис. 22).
Рис. 22. Габариты приближения рамповых подпорных стен
(размеры в скобках даны для железных дорог узкой колеи)
7.20. Высота подпорных стен для грузовых и пассажирских рамп железнодорожного транспорта должна быть равной 1100 мм для колеи 1520 мм и 750 мм для колеи 750 мм.
Горизонтальное расстояние от оси ближайшего железнодорожного пути до наружного края рампы должно быть равно 1920 мм и 1370 мм соответственно для железнодорожной колеи шириной 1520 мм и 750 мм.
7.21. В насыпях на прямых участках минимальное расстояние от оси ближайшего железнодорожного пути до верха наружной грани подпорной стены следует принимать не менее 2,5 м (
рис. 23,
а)
.
7.22. В выемках на прямых участках минимальное расстояние от оси ближайшего железнодорожного пути до выступающих частей подпорной стены на уровне подошв и выше должно быть не менее 3,1 м (
рис. 23,
б).
Рис. 23. Габариты приближения железнодорожного пути
до выступающих частей подпорных стен
а - при расположении железнодорожного пути на насыпи;
б - то же, в полувыемке
7.23. На кривых участках минимальные расстояния от оси ближайшего железнодорожного пути до подпорной стены (
пп. 7.21 и
7.22) необходимо увеличить согласно табл. 4.
Таблица 4
Радиусы кривых, м | Увеличение расстояния, м |
1800 - 1200 | 0,1 |
1000 - 700 | 0,2 |
600 и менее | 0,3 |
7.24. Минимальные расстояния от оси трамвайного пути до подпорной стены при запрещении к ним доступа пешеходов принимаются:
с правой стороны по направлению движения трамвая - 2,3 м,
с левой стороны по направлению движения трамвая - 2,05 м.
7.25. На кривых участках минимальное расстояние от оси трамвайного пути до подпорной стены надлежит увеличивать:
при расположении подпорной стены с наружной стороны кривой - на величину выноса угла вагона;
при расположении подпорной стены с внутренней стороны кривой - на величину свеса середины вагона.
7.26. При возможности движения на поверхности засыпки автотранспорта по верху подпорной стены должно быть предусмотрено устройство колесоотбойного бруса, возвышающегося над отметкой планировки грунта стены на 250 мм.
В качестве колесоотбойного бруса рекомендуется применять сборные или монолитные железобетонные элементы, жестко соединенные с конструкцией стены.
7.27. При возможности хождения людей по поверхности засыпки в непосредственной близости к стенке необходимо устраивать ограждение высотой 1,0 м, рассчитанное на сосредоточенное горизонтальное усилие 70 кгс.
Армирование подпорных стен
7.28. Армирование подпорных стен следует производить, как правило, унифицированными арматурными сетками в соответствии с ГОСТ 23279-78.
7.29. Армирование монолитных консольных подпорных стен уголкового профиля производится самонесущими пространственными блоками, собираемыми из плоских сеток (
рис. 24,
а)
.
При необходимости устройства шва бетонирования, в месте сопряжения подошвы и стенки, армирование осуществляется также пространственными армокаркасами с установкой в месте шва дополнительных стыковых сеток (
рис. 24,
б).
Рис. 24. Схема армирования подпорной стены
самонесущими арматурными блоками
а - при одновременном бетонировании подошвы и стены;
б - при раздельном бетонировании подошвы и стены;
1 - арматурный блок; 2 - рабочая стыковая сетка;
3 - стыковая сетка
7.30. В целях экономии арматурной стали армирование вертикальных элементов может осуществляться двумя зонами. При этом на всю высоту стены устанавливается сетка с вертикальной рабочей арматурой, которая требуется в верхней зоне, а в нижней зоне устанавливается дополнительная сетка.
Горизонтальные плиты подпорных стен армируются, как правило, сетками без обрыва стержней.
7.31. В случае необходимости армирование монолитных подпорных стен может быть осуществлено отдельными стержнями. Схема такого армирования показана на
рис. 25.
Рис. 25. Схема армирования монолитной подпорной стены
отдельными стержнями
1 - противоусадочная арматура; 2 - 5 - рабочая арматура;
6 - распределительная арматура
7.32. Глубина заделки растянутых стержней сборных вертикальных элементов в паз фундамента должна быть не менее 25 диаметров рабочих стержней для арматуры класса А-III и не менее 20 диаметров для арматуры класса А-II. Кроме того, глубина заделки панели в паз должна быть не менее 1,5 толщины панели.
Глубину заделки растянутых рабочих стержней в паз допускается уменьшать до 15 диаметров при условии приварки к концам продольной арматуры двух анкерующих стержней диаметром не менее половины диаметра рабочих стержней и расположенных на расстоянии не менее 100 мм один от другого.
Для возможности осуществления подливки и рихтовки лицевых плит глубину паза следует принимать на 50 мм больше глубины заделки панели.
7.33. Петлевые стыки в зависимости от принятой конструкции могут воспринимать либо только осевое растяжение (что требуется, например, для присоединения дополнительной анкерной плиты из условия повышенной несущей способности стены на сдвиг), либо внецентренное растяжение или изгибающие моменты (что требуется в узле сопряжения лицевых и фундаментных плит).
Конструкция петлевых стыков приведена на
рис. 26.
Рис. 26. Конструкции петлевых стыков
а - стык фундаментной плиты, воспринимающий осевое
растяжение; б - стык фундаментной плиты, воспринимающий
изгиб; в - жесткий стык лицевой и фундаментной плиты
7.34. Петлевые выпуски по расположению и диаметру должны соответствовать требуемой по расчету арматуре стыкуемого элемента, а также требованию
п. 7.35.
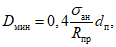
Минимальный диаметр загиба петли и соответственно диаметр бетонного ядра Dмин определяется расчетом, исходя из условия

(70)
где напряжение в петле

(71)
lн - длина прямолинейного участка растянутой ветви петли;
lан - длина анкеровки арматуры в растянутом бетоне, принимается по
п. 5.14 главы СНиП II-21-75;
Rан - расчетное сопротивление арматуры петли растяжению;
Rпр - призменная прочность бетона.
Кроме того, диаметр петли и бетонного ядра D должен быть не менее расстояния между растянутой и сжатой арматурой, т.е. петля должна огибать все расчетное сечение.
7.35. Расстояние в осях между соседними петлями должно быть не более 2
Dмин.
В бетонном ядре должны быть установлены продольные стержни, диаметр которых должен быть не менее 0,5dп (dп - диаметр арматуры петли).
Площадь сечения всех продольных стержней в бетонном ядре Fая должна удовлетворять условию
Fая >= Fап, (72)
где Fап - площадь сечения растянутой ветви петли.
Количество стержней в бетонном ядре должно быть не менее 4 в стыке, работающем на осевое растяжение, и не менее 6 в стыке, работающем на изгиб или внецентренное растяжение.
Для стыка, работающего на восприятие изгибающего момента, длина прямоугольного участка lм должна быть не менее 5dп.
При устройстве петлевых стыков необходимо тщательно обработать торцевые бетонные поверхности сопрягаемых элементов насечкой с очисткой и промывкой их водой, а также предусмотреть установку в зоне стыка дополнительных поперечных стержней, привариваемых к петлевым выпускам (рис. 27).
Рис. 27. Установка дополнительных поперечных стержней
в зоне петлевого стыка
1 - сопрягаемые железобетонные элементы;
2 - продольные стержни в бетонном ядре;
3 - дополнительные поперечные стержни
Марка бетона стыка должна быть не ниже марки бетона сопрягаемых элементов.
8. НАРУЖНЫЕ СТЕНЫ ПОДВАЛОВ
8.1. Настоящий раздел распространяется на проектирование наружных стен подвалов на естественном основании и опирающихся на перекрытия или на колонны каркаса.
8.2. Наружные стены подвалов могут выполняться из каменной кладки, бетонных блоков, сборных железобетонных панелей, монолитного бетона и железобетона.
Применяемые материалы для стен подвалов должны удовлетворять требованиям и указаниям
разд. 2 настоящего Руководства.
8.3. По конструктивному решению стены подвалов подразделяются на массивные (из каменной кладки, бетона и бетонных блоков), работающие в основном на сжатие, и гибкие (из монолитного железобетона или сборных железобетонных панелей), работающие на сжатие и изгиб в вертикальной или горизонтальной плоскостях.
8.4. Массивные стены (
рис. 28,
а) принимаются в подвалах промышленных и гражданских многоэтажных зданий с наружными несущими стенами из блоков, панелей и каменной кладки при небольшой глубине подвалов (до 3 м) и небольшой нагрузке (до 1,0 тс/м
2) на прилегающей территории.
Рис. 28. Типы наружных стен подвалов
а - массивная стена; б - гибкая стена, опертая
на перекрытие; в - гибкая стена, опертая на колонны
Гибкие стены принимаются в подвалах каркасных зданий с навесными стеновыми панелями и в самостоятельных заглубленных помещениях производственного назначения.
Стены из сборных железобетонных панелей, опертых на перекрытие и работающих на изгиб в вертикальной плоскости (
рис. 28,
б) применяются в подвалах глубиной более 3 м и при значительных нагрузках на прилегающей территории.
Стены из сборных железобетонных панелей, опирающихся на колонны и работающих на изгиб в горизонтальной плоскости (
рис. 28,
в), применяются в неглубоких (до 4 м) подвалах и при отсутствии значительных и односторонних полезных нагрузок на прилегающей территории.
Стены из монолитного железобетона следует применять при наличии грунтовых вод и когда необходимость в них диктуется условиями производства работ.
8.5. Фундаменты стен подвалов за исключением стен, опертых на колонны каркаса, следует, как правило, устраивать ленточные (при небольших нагрузках на прилегающей территории допускается применение прерывистых фундаментов).
При больших нагрузках на прилегающей к подвалу территории следует рассматривать целесообразность устройства распорных балок или фундаментов внутреннего каркаса из перекрестных лент, или в виде сплошной плиты, для восприятия сдвигающих сил, действующих на подошве фундаментов наружных стен.
8.6. Наружные стены подвалов должны быть рассчитаны на нагрузки, передаваемые надподвальными конструкциями, и на давление грунта с учетом полезной нагрузки на прилегающей территории, принимаемой в соответствии с техническим заданием на проектирование, указаниями
разд. 4 настоящего Руководства, главы СНиП по нагрузкам и воздействиям и главы
СНиП II-15-74.
8.7. При расчете стен подвалов рассматривается участок размером 1,0 м по длине (высоте) стены или равный ширине одной панели.
8.8. Давление грунта на стены подвалов определяется по формулам и указаниям
разд. 5 настоящего Руководства. Полезная нагрузка на прилегающей к подвалу территории по возможности заменяется эквивалентной равномерно распределенной. При отсутствии данных об интенсивности полезной нагрузки она принимается равной
q = 1 тс/м
2.
8.9. Усилия в стенах подвалов, опертых на перекрытие, от бокового давления грунта, вызванного его собственным весом и временной нагрузкой, определяются как для балочных плит на двух опорах с защемлением на уровне сопряжения с фундаментом, шарнирной опорой в уровне опирания перекрытия и с учетом возможного перераспределения усилий от поворота (крена) фундамента и смещения стен при загружении территории, прилегающей к подвалу, временной нагрузкой с одной его стороны (рис. 29).
Рис. 29. Схема к определению расчетных усилий
в стенах подвалов
а - перекрытие выше уровня земли;
б - перекрытие ниже уровня земли
Формулы для определения расчетных усилий (изгибающих моментов и поперечных сил) в сечениях стен подвалов приведены в табл. 5.
Расчетная схема | Расчетные формулы | N формулы |
| | |
| |
| |
| |
| (77) |
| | |
| |
| |
| |
| |

и

- горизонтальные давления на стену подвала от собственного веса грунта и эквивалентной равномерно распределенной нагрузки, расположенной на поверхности грунта (или пола цеха) с учетом сил сцепления (

;

), тс/м
2;
Mн - изгибающий момент на уровне нижней опоры стены, тс·м;
Qв - поперечная сила на верхней опоре (на уровне низа перекрытия), тс;
Qн - поперечная сила на нижней опоре (на уровне сопряжения стены с фундаментом), тс;
Mх - изгибающий момент в сечении стены, расположенной на расстоянии x от верхней опоры (пролетный момент), тс·м;
xв - расстояние от верхней опоры до максимального пролетного момента, м;
b - ширина сечения стены (по длине фундамента), м;
H - расстояние между опорами стены подвала (от уровня низа перекрытия до уровня сопряжения стены с фундаментом), м;
H1 - длина эпюры горизонтального давления грунта, м;
m1 - коэффициент, учитывающий поворот фундамента;
m2 - коэффициент, учитывающий податливость верхней опоры;

,

- коэффициенты, учитывающие изменение жесткости стеновых панелей (для стен с переменной толщиной по высоте), принимаются по табл. 6 в зависимости от отношения толщины стеновой панели в верхней части

к толщине в нижней части

в уровне сопряжения с фундаментом.
Таблица 6
| | |
1 | 0,0583 | 0,0667 |
0,7 | 0,0683 | 0,0747 |
0,6 | 0,0753 | 0,0787 |
0,5 | 0,0813 | 0,0837 |
0,4 | 0,0883 | 0,0907 |
0,3 | 0,0993 | 0,0977 |
8.10. Коэффициент m1, учитывающий поворот ленточного фундамента, принимается при наличии конструкций, препятствующих повороту фундамента (перекрестных лент для внутреннего каркаса или сплошной фундаментной плиты), равным m1 = 0,8; при отсутствии указанных конструкций m1 определяется по формуле

(83)
где Eст - модуль упругости материала стены, тс/м2;
Eгр - модуль деформации грунта основания, тс/м2;
B - ширина подошвы фундамента, м;
hф - высота фундамента, м;

- толщина стены в сечении по обрезу фундамента.
Если значение
m1 по
формуле (83) окажется более 0,8, то принимается
m1 = 0,8.
Примечание. Для фундаментов стен подвалов, имеющих распорки, установленные только против сдвига и не связанные жестко с фундаментами подвалов, коэффициент
m1 определяется по
формуле (83).
8.11. Коэффициент
m2, учитывающий податливость верхней опоры, принимается равным в случае расположения перекрытия подвала ниже уровня земли:
при невозможности горизонтального смещения верхней опоры стены (опирание перекрытия на массивные фундаменты, поперечные стены и т.п.)
m2 = m1 + 0,2;
при возможности упругого смещения верхней опоры стены
m2 = 1,2(m1 + 0,2),
а в случае расположения перекрытия подвала выше уровня земли
m2 = 1,4(m1 + 0,2).
8.12. Наружные стены подвалов, опертые на перекрытия, рассчитываются:
по первой группе предельных состояний:
на устойчивость положения стен подвалов против сдвига по подошве фундамента,
на устойчивость основания под подошвой фундаментов (для нескальных грунтов),
на прочность скального основания (для скальных грунтов),
на прочность элементов конструкций и узлов соединения;
по второй группе предельных состояний:
на деформации оснований фундаментов,
на трещиностойкость элементов конструкций.
8.13. Расчет устойчивости положения стен подвалов против сдвига по подошве фундаментов (по контакту с основанием) производится в соответствии с указаниями
разд. 6 настоящего Руководства, принимая давление грунта на условную вертикальную плоскость, проведенную через переднюю грань подошвы фундамента, при

и

.
В случае, если устойчивость стен подвала против сдвига не обеспечивается принятыми размерами фундамента, необходимо предусматривать мероприятия, препятствующие сдвигу, например устройство распорок и др.
Примечание. В сложных инженерно-геологических условиях (при наличии слабых прослоек или ослабленных зон в грунте, наличии грунтовых вод и др.) и при значительных нагрузках на примыкающей к подвалу территории общая устойчивость стены должна быть подтверждена расчетом на сдвиг по круглоцилиндрической поверхности (см.
пример 9 прил. 2).
8.14. Расчет устойчивости основания под подошвой фундамента для нескальных грунтов производится также в соответствии с указаниями
разд. 6 настоящего Руководства.
В случае устройства распорок в уровне подошвы фундамента для восприятия сдвигающих усилий коэффициенты влияния угла наклона нагрузки в
формуле (46) принимаются равными единице, т.е.
8.15. Расчет прочности скального основания выполняется в соответствии с указаниями
п. 6.19 настоящего Руководства.
При этом величина эксцентриситета должна удовлетворять условию

(84)
8.16. Расчет оснований по деформациям фундаментов стен подвалов производится в соответствии с указаниями
пп. 6.20 -
6.22 настоящего Руководства.
Причем в
формуле (17) (глава СНиП II-15-74) при определении расчетного давления на основание
R глубину заложения фундамента от уровня планировки срезной или подсыпной следует принимать не более
h = 2 +
hп (где
hп - глубина от пола подвала до подошвы фундамента, м).
8.17. Стены подвала, опертые на колонны, следует рассчитывать как разрезную балку с расчетным пролетом, равным расстоянию между осями колонн, на равномерно распределенную нагрузку интенсивностью, равной средней интенсивности давления грунта в пределах расчетной панели.
8.18. Расчеты на прочность и трещиностойкость элементов стен подвалов ведутся по главе
СНиП II-21-75.
8.19. При расположении пола подвала ниже уровня грунтовых вод должен предусматриваться пластовый дренаж под полом подвала и пристенный дренаж вокруг стен с постоянно действующей откачкой грунтовых вод. На случай засорения дренажа предусматривается возможность кратковременного подъема грунтовых вод до уровня не более 1 м выше пола подвала.
Аварийное повышение уровня грунтовых вод выше уровня пола подвала более 1 м допускается в расчете не учитывать.
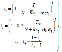
9. УЧЕТ СЕЙСМИЧЕСКОГО ВОЗДЕЙСТВИЯ
9.1. Подпорные стены и стены подвалов в районах с сейсмичностью 7 и более баллов должны проектироваться с учетом требований глав
СНиП II-7-81 и
II-15-74.
При проектировании подпорных стен в районах с сейсмичностью 7 баллов расчетная сейсмичность повышается на 1 балл и принимается равной 8 баллам.
9.2. При расчетах подпорных стен и стен подвалов горизонтальные и вертикальные интенсивности давления грунта (

и

) и равномерно распределенной нагрузки (

и

) с учетом сейсмического воздействия определяются по формулам:

(85)

(86)

(87)

(88)
где

- коэффициент горизонтальной составляющей давления грунта при сейсмическом воздействии:

(89)

(90)
- угол наклона к вертикали равнодействующей веса грунта и временной нагрузки с учетом сейсмического воздействия

(91)
| | ИС МЕГАНОРМ: примечание. В официальном тексте документа, видимо, допущена опечатка: имеется в виду СНиП II-7-81, а не СНиП II-7-80. | |
kс - коэффициент сейсмичности, принимается по главе
СНиП II-7-80.
9.3. Пассивное давление грунта с учетом сейсмического воздействия

определяется по формуле

(92)
где Eп - пассивное давление грунта без учета сейсмического воздействия.
9.4. Высота подпорных стен, выполненных из бетона, бутобетона или каменной кладки, при расчетной сейсмичности площадки 8 баллов не должна превышать 12 м, а при расчетной сейсмичности 9 баллов - 10 м. Высота железобетонных подпорных стен не ограничивается.
9.5. При расположении оснований смежных секций подпорной стены в разных уровнях, переход от одной отметки основания к другой должен производиться уступами с отношением высоты к длине уступа не более 1:2.
9.6. При применении стен из вертикальных сборных элементов поверху следует предусматривать монолитный железобетонный пояс на всю длину секции.
9.7. Подпорные стены следует разделять сквозными вертикальными швами на секции длиной не более 15 м с учетом размещения каждой секции на однородных грунтах.
ПРИМЕРЫ РАСЧЕТА ПОДПОРНЫХ СТЕН
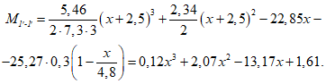
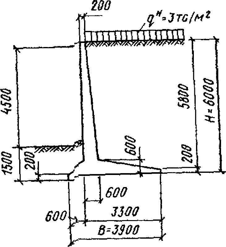
Пример 1. Расчет массивной подпорной стены
Дано: массивная бетонная подпорная стена с высотой подпора грунта 2,7 м, глубиной заложения подошвы 0,9 м. Угол наклона поверхности засыпки к горизонту

. Угол наклона задней грани стены к вертикали

. Геометрические размеры стены даны на
рис. 30. Основание и грунт засыпки - суглинки со следующими характеристиками.
Рис. 30. Общий вид и расчетная схема массивной
подпорной стены
1 - первый случай сдвига; 2 - второй случай сдвига;
3 - третий случай сдвига
грунт засыпки |
| | |
| | |
| | |
| | |
| | |
грунт основания |
| | |
| | |
| | |
Требуется проверить заданные размеры подпорной стены. Расчет ведем на 1 м длины стены.
Расчет устойчивости подпорной стены против сдвига
Расчет ведем по первому предельному состоянию.
Собственный вес стены с коэффициентом надежности по нагрузке
kн = 0,9 и

.
Gст = P1 + P2 + P3 = 3,89 + 3,89 + 3,11 = 10,89 тс.
P1 = 0,6·3·1·2,4·0,9 = 3,89 тс.
P2 = 3·1,2·0,5·2,4·0,9 = 3,89 тс.
P3 = 0,6·2,4·1·2,4·0,9 = 3,11 тс.
Коэффициент горизонтальной составляющей активного давления грунта принимаем по
табл. 9 прил. 3.
Горизонтальную и вертикальную интенсивности активного давления связного грунта определяем соответственно по
формулам (7) и
(8) с коэффициентом надежности по нагрузке
kн = 1,1.
Значение коэффициента
k определяем по
табл. 12 прил. 4.
Горизонтальную и вертикальную составляющие активного давления грунта определяем по
формулам (14) и
(15)
Расчет устойчивости подпорной стены против сдвига в соответствии с
п. 6.11 производим для трех значений угла
.
1-й случай
.
Пассивное давление грунта определяем по
формуле (39) при

и коэффициенте надежности по нагрузке
kн = 0,9
Сумма проекций всех расчетных сил на вертикальную плоскость определяем по
формуле (38)
N = 10,89 + 0 + 3,96 = 14,85 тс.
Удерживающую силу
Tуд определяем по
формуле (37), принимая
cI = 0,5 тс/м
2 в соответствии с
п. 6.13.
Tуд = 14,85tg(23° - 0°) + 2,4·1·0,5 + 0,61 = 8,1 тс.

(условие удовлетворено).
2-й случай

Tсд = 6,22 тс;
Пассивное давление грунта определяем по
формуле (39) при
cI = 2,07 тс/м
2 и коэффициенте надежности по нагрузке
kн = 0,9:
Сумма проекций всех расчетных сил на вертикальную плоскость определяем по
формуле (38) с учетом веса грунта в контуре "
def" и коэффициенте надежности по нагрузке 0,9:
Удерживающую силу определяем по
формуле (37), принимая
cI = 2,07 тс/м
2:
Tуд = 15,87tg(23° - 11°30') + 2,4·1·2,7 + 12,56 = 20,74 тс.

(условие удовлетворено).
3-случай

Tсд = 6,22 тс;
Tуд = 19,07 + 2,4·1·2,07 = 24,05 тс;

(условие удовлетворено).
Устойчивость стены против сдвига обеспечена.
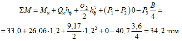
Расчет устойчивости основания
Расчет ведем по первому предельному состоянию.
Сумма проекций всех сил на вертикальную плоскость

.
Сумма моментов всех вертикальных сил относительно оси, проходящей через центр тяжести подошвы
Сумма моментов всех горизонтальных сил относительно той же оси
Величину эксцентриситета приложения равнодействующей всех сил определяем по
формуле (44):
Приведенная ширина подошвы
Коэффициенты несущей способности грунта при

по
табл. 3:

;

;

.
iq = (1 - 0,7·0,264)3 = 0,54;
A1 = 3,3·0,4·1 = 1,32;
B1 = 9·0,54·1 = 4,85;
D1 =22·0,48·1 = 10,6.
Несущая способность основания по
формуле (43): Ф = 1,8(1,32·1,8·1,9 + 4,85·0,9·1,8 + 10,6·2,07) = 62 тс.

(условие удовлетворено).
Устойчивость основания под подошвой обеспечена.
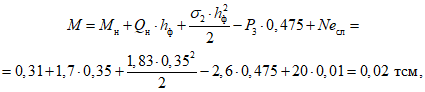
Расчет основания по деформациям
Расчет ведем по второму предельному состоянию с коэффициентом надежности по нагрузке, равным единице.
Расчетное давление на основание определяем по
формуле (17) СНиП II-15-74:
| | ИС МЕГАНОРМ: примечание. В официальном тексте документа, видимо, допущена опечатка: имеется в виду таблица 16 СНиП II-15-74. | |
A = 0,91; B = 4,12; D = 6,66.
Остальные характеристики:
kн = 1;
m1 = 1,2;
m2 = 1;

;

;
cII = 3,1 тс/м
2;
h0 = 0;
hп = 1 м;
b = 2,4 м.
Коэффициент горизонтальной составляющей активного давления грунта определяем по
табл. 9 прил. 3 при

и

:
Горизонтальную и вертикальную составляющие интенсивности активного давления связного грунта определяем соответственно по
формулам (7) и
(8):
Значения коэффициента
k определяем по
табл. 12 прил. 4
Горизонтальную и вертикальную составляющие активного давления грунта определяем по
формулам (14) и
(15):
| | ИС МЕГАНОРМ: примечание. Формула дана в соответствии с официальным текстом документа. | |
Собственный вес стены с коэффициентом надежности по нагрузке kн = 1,0
Gст = P1 + P2 + P3 = 4,32 + 4,32 + 3,46 = 12,1 тс;
P1 = 0,6·3·1·2,4 = 4,32 тс;
P2 = 3·1,2·1·0,5·2,4 = 4,32 тс;
P3 = 0,6·2,4·1·2,4 = 3,46 тс.
Сумма проекций всех сил на вертикальную плоскость
N = 12,1 + 2,76 = 14,86 тс.
Сумма моментов всех вертикальных сил относительно оси, проходящей через центр тяжести подошвы
Сумма моментов всех горизонтальных сил относительно той же оси
Величину эксцентриситета приложения равнодействующей всех сил определяем по
формуле (44):
Краевые давления на грунт под подошвой стены определяем по
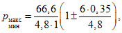
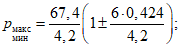
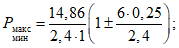
формуле (50):
Pмакс = 10,1 тс/м2 < 1,2R = 1,2·35,1 = 42 тс/м2;
Pмин = 2,32 тс/м2.
Среднее давление на грунт
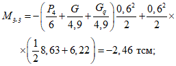
Расчет основания по деформациям удовлетворен.
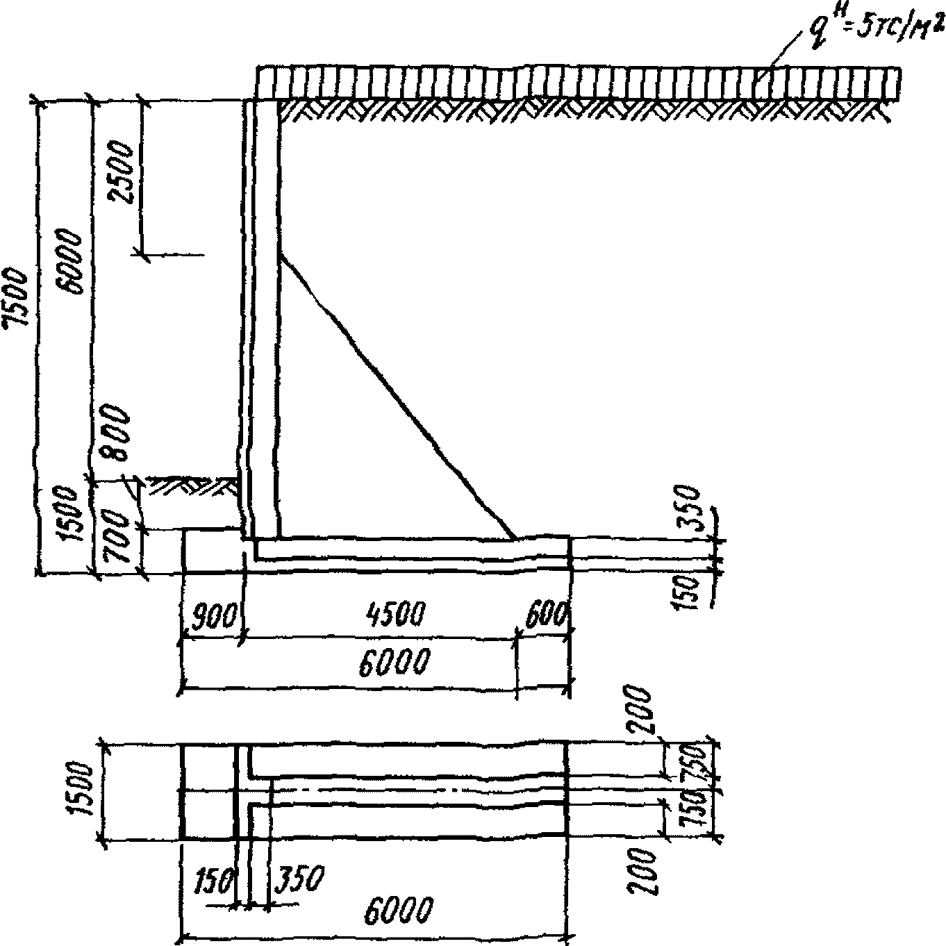
Пример 2. Расчет уголковой подпорной стены консольного типа
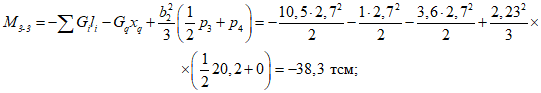
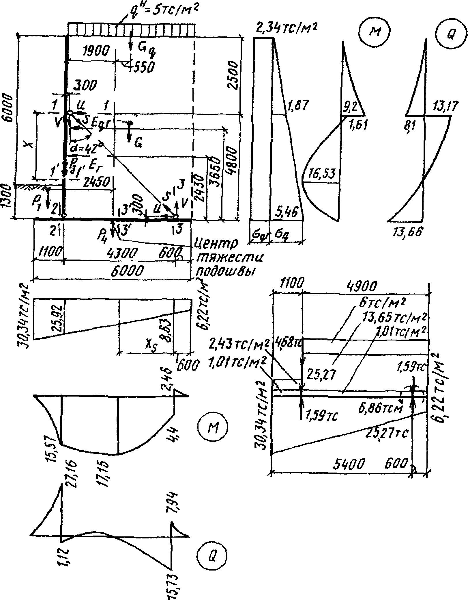
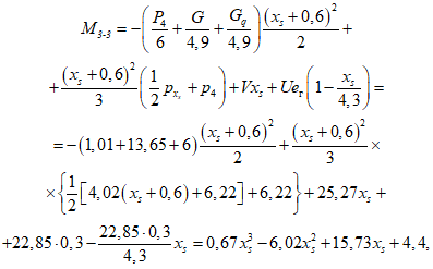
Дано: уголковая подпорная стена (рис. 31). Высота подпора грунта 4,5 м, глубина заложения подошвы фундамента 1,5 м.
Рис. 31. Общий вид уголковой консольной подпорной стены
На поверхности призмы обрушения расположена равномерно распределенная нагрузка интенсивностью qн = 3 тс/м2.
Основание и грунт засыпки - пески пылеватые со следующими расчетными характеристиками:
грунт засыпки
грунт основания
Требуется подобрать размеры монолитной железобетонной подпорной стены, определить усилия в ее элементах.
По графику на
рис. 19 определяем предварительные размеры подпорной стены:
a = 0,6 м; b = 3,3 м;
B = a + b = 3,9 м.
Минимальную высоту сечения элементов принимаем 0,2 м, максимальную 0,6 м.
Расчет ведем на 1 м длины стены.
Расчет устойчивости подпорной стены против сдвига (рис. 32)
Рис. 32. Расчетная схема к определению общей
устойчивости стены
1 - первый случай сдвига; 2 - второй случай сдвига;
3 - третий случай сдвига
Угол наклона плоскости обрушения определяем по
формуле (27), град.
Вес грунта над передней консолью с коэффициентом надежности по нагрузке
kн = 0,9 и

P1·0,9 = 1,16·0,9 = 1,08 тс.
Вес грунта в контуре "
abc" с коэффициентом надежности по нагрузке
kн = 1,1 и

P4·1,1 = 13,8·1,1 = 15,2 тс.
Общий вес грунта
Gгр = 1,08 + 15,2 = 16,28 тс.
Собственный вес стены с коэффициентом надежности по нагрузке
kн = 0,9 и

Gст = P20,9 + P30,9 = 5,4·0,9 + 4,2·0,9 = 8,64 тс.
Коэффициент горизонтальной составляющей активного давления грунта определяем по
табл. 10 прил. 3:
Горизонтальную и вертикальную составляющие интенсивности активного давления грунта на глубине 6 м с коэффициентом надежности по нагрузке
kн = 1,1 определяем по
формулам (3) и
(4)
Горизонтальную и вертикальную составляющие активного давления грунта определяем по
формулам (12) и
(13)
Горизонтальную и вертикальную составляющие интенсивности активного давления грунта от равномерно распределенной нагрузки, расположенной на поверхности призмы обрушения с коэффициентом надежности по нагрузке
kн = 1,2, определяем по
формулам (19) и
(20)
Горизонтальную и вертикальную составляющие активного давления грунта от нагрузки
q определяем по
формулам (21) и
(22)
Eqг = 1,4·6 = 8,4 тс;
Eqв = 2,24·6 = 13,44 тс.
Расчет устойчивости подпорной стены против сдвига производим для трех значений угла

: (

;

;

).
1-й случай

Tсд = 13,14 + 8,4 = 21,54 тс.
Пассивное давление грунта определяем по
формуле (39) при

и коэффициенте надежности по нагрузке
kн = 0,9
Сумму проекций всех расчетных сил на вертикальную плоскость определяем по
формуле (38)
N = 8,64 + 16,28 + 21,03 + 13,44 = 58 тс.
Tуд = 58tg(29° - 0°) + 1,72 = 33,52 тс.
2-й случай

Tсд = 21,54 тс.
Пассивное давление определяем по
формуле (39) с коэффициентом надежности по нагрузке
kн = 0,9
Сумму проекций всех расчетных сил на вертикальную плоскость определяем по
формуле (38) с учетом веса грунта в контуре "
def" с коэффициентом надежности по нагрузке
kн = 0,9 и

:
Tуд = 61,2tg(29° - 14°30') + 14,7 = 30,55 тс.
3-й случай

Tсд = 21,54 тс;
Tуд = Eп = 31 тс.
Устойчивость стены против сдвига обеспечена.
Расчет устойчивости основания
Расчет ведем по первому предельному состоянию.
Сумма проекций всех сил на вертикальную плоскость

.
Сумма моментов всех вертикальных сил относительно оси, проходящей через центр тяжести подошвы
Сумма моментов всех горизонтальных сил относительно той же оси
Величину эксцентриситета приложения равнодействующей всех сил определяем по
формуле (44)
Приведенная ширина подошвы
Коэффициенты несущей способности грунта при

и
cI = 0 по
табл. 3
A1 = 7·0,25·1 = 1,75;
B1 = 16·0,4·1 = 6,4.
Устойчивость основания под подошвой обеспечена.
Расчет ведем по второму предельному состоянию с коэффициентами надежности по нагрузке, равными единице, и с характеристиками грунта основания

;

и грунта засыпки

;

.
Расчетное давление на основание определяем по
формуле (17) главы СНиП II-15-74
A = 1,15; B = 5,59; D = 7,95.
Остальные характеристики: kн = 1,0; m1 = 1,0; m2 = 1,0; h0 = 0; hп = 1,5 м; b = 4,2 м.
Коэффициент горизонтальной составляющей активного давления грунта определяем по
табл. 10 прил. 3:
Угол наклона плоскости обрушения
Горизонтальные и вертикальные составляющие интенсивности активного давления от веса грунта и от равномерно распределенной нагрузки, расположенной на призме обрушения, определяем соответственно по
формулам (3),
(4) и
(19),
(20)
Горизонтальные и вертикальные составляющие активного давления:
Eqг = 1,14·6 = 6,84 тс;
Eqв = 1,88·6 = 11,28 тс.
Сумму проекций всех сил на вертикальную плоскость определяем по
формуле (38)
N = 9,6 + 14,96 + 19,2 + 11,28 = 55,04 тс.
Сумма проекций всех вертикальных сил относительно оси, проходящей через центр тяжести подошвы,
Сумма моментов всех горизонтальных сил, относительно той же оси
Величину эксцентриситета приложения равнодействующей всех сил определяем по
формуле (44)
Краевые давления на грунт под подошвой стены определяем по
формуле (50)
Pмакс = 25,2 тс/м2 < 1,2R = 1,2·2,7 = 32,5 тс/м2,
Pмин = 3,1 тс/м2 > 0.
Среднее давление на грунт
Расчет основания по деформациям удовлетворен.
Определение усилий в элементах подпорной стены (рис. 33)
Рис. 33. Схема к определению расчетных усилий
Расчет ведем по первому предельному состоянию.
Коэффициент горизонтальной составляющей активного давления грунта определяем по
табл. 8 прил. 3
Интенсивность активного давления грунта на глубине 6 м:
Горизонтальные составляющие активного давления грунта на глубине 6 м
Eqг = 1,41·6 = 8,45 тс.
Сумма проекций всех сил на вертикальную плоскость с коэффициентом надежности 1,1 для собственного веса стены, грунта и 1,2 - для временной нагрузки
Сумма моментов всех вертикальных сил относительно оси, проходящей через центр тяжести подошвы,
Сумма моментов всех горизонтальных сил относительно той же оси
Величину эксцентриситета приложения равнодействующей всех сил определяем по
формуле (44)
Краевые давления на грунт под подошвой стены определяем по
формуле (51)
где d = 0,5·3,9 - 0,778 = 1,142 м.
Распределенная нагрузка над передней консолью:
от веса грунта
q1 = 1,7·1,15·1,1 = 2,16 тс/м2;
от собственного веса плиты
Распределенные нагрузки над задней консолью:
от временной равномерно распределенной нагрузки
q3 = 3·1,2 = 3,6 тс/м2;
от веса грунта
q4 = 1,7·5,6·1,1 = 10,5 тс/м2;
от собственного веса плиты
Для сечения 1-1
Eqг = 1,41·5,4 = 7,6 тс,
M1-1 = 11,8·2 + 7,6·3 = 46,4 тсм,
Q1-1 = 11,8 + 7,6 = 19,4 тс.
Для сечения 2-2
Q2-2 = 0,5b1(p1 + p2) = 0,5·0,6(31 + 25,6) - 2,16·0,6 -
- 1,1·0,6 = 15 тс.
Для сечения 3-3
Пример 3. Расчет сборной железобетонной уголковой подпорной
стены с анкерными тягами
Дано: уголковая подпорная стена с анкерными тягами. Высота подпора грунта 6 м, глубина заложения подошвы фундамента - 1,5 м.
На поверхности призмы обрушения расположена равномерно распределенная нагрузка интенсивностью
qн = 5 тс/м
2 (рис. 34).
Рис. 34. Общий вид уголковой подпорной стены
с анкерными тягами
Основание и грунт засыпки - пылеватый песок со следующими характеристиками:
грунт засыпки
грунт основания
Требуется проверить устойчивость конструкции и определить усилия в ее элементах. При расчете рассматриваем участок стены длиной 1 м.
Расчет устойчивости подпорной стены против сдвига (рис. 35)
Рис. 35. Расчетная схема к определению устойчивости
подпорной стены против сдвига
1 - первый случай сдвига; 2 - второй случай сдвига;
3 - третий случай сдвига
Расчет ведем по первому предельному состоянию.
Угол наклона плоскости обрушения, град:
Вес грунта над передней консолью и в контуре "abc" соответственно с коэффициентами надежности по нагрузке kн = 0,9 и kн = 1,1
Gгр = P10,9 + P21,1 = 1,22·0,9 + 3,1·1,1 = 35,2 тс.
Собственный вес стены с коэффициентом надежности по нагрузке kн = 0,9
Gст = P30,9 + P40,9 = 4,25·0,9 + 5,5·0,9 = 8,8 тс.
Коэффициент горизонтальной составляющей активного давления грунта определяем по
табл. 10 прил. 3:
Горизонтальную и вертикальную составляющие интенсивности активного давления грунта на глубине 7,5 м с коэффициентом надежности по нагрузке
kн = 1,1 определяем по
формулам (3) и
(4):
Горизонтальную и вертикальную составляющие активного давления грунта определяем по
формулам (12) и
(13):
Горизонтальную и вертикальную интенсивности активного давления грунта от равномерно распределенной нагрузки, расположенной на поверхности призмы обрушения с коэффициентом надежности по нагрузке
kн = 1,2, определяем по
формулам (19) и
(20)
Горизонтальную и вертикальную составляющие активного давления грунта от нагрузки
q определяем по
формулам (21) и
(22)
Eqг = 2,34·7,5 = 17,55 тс;
Eqв = 3,74·7,5 = 28,05 тс.
Проверку устойчивости стены против сдвига производим для трех значений угла

.
1-й случай

Tсд = 20,48 + 17,55 = 38,03 тс.
Пассивное давление грунта определяем по
формуле (39) при

в коэффициенте надежности по нагрузке
kн = 0,9
Сумму проекций всех расчетных сил на вертикальную плоскость определяем по
формуле (38):
Tуд = 104,83tg(29° - 0) + 1,72 = 59,12 тс.
2-й случай

Tсд = 38,03 тс.
Пассивное давление грунта определяем по
формуле (39) с коэффициентом надежности по нагрузке
kн = 0,9
Сумму проекций всех расчетных сил на вертикальную плоскость определяем по
формуле (38) с учетом веса грунта в контуре
"def" с коэффициентом надежности по нагрузке
kн = 0,9
| | ИС МЕГАНОРМ: примечание. Формула дана в соответствии с официальным текстом документа. | |
Tуд = 112,32tg(29° - 14°30°) + 21,5 = 50,48 тс.
3-й случай

Tсд = 38,03 тс;
Tуд = Eп = 53,71 тс.
Устойчивость стены против сдвига обеспечена.
Расчет устойчивости основания
Расчет ведем по первому предельному состоянию.
Сумма проекций всех сил на вертикальную плоскость

.
Сумма моментов всех вертикальных сил относительно оси, проходящей через центр тяжести подошвы,
Сумма моментов всех горизонтальных сил относительно той же оси
Величину эксцентриситета приложения равнодействующей всех сил определяем по
формуле (44)
Приведенная ширина подошвы
Коэффициенты несущей способности грунта при

по
табл. 3
Коэффициенты влияния наклона нагрузки по
формуле (46) при
cI = 0:
Ai = 7·0,27·1 = 1,89;
Bi = 16·0,425·1 =6,8.
Устойчивость основания под подошвой обеспечена.
Рис. 36. Схема к расчету грунта основания. Расчетная схема
определения по деформациям
Расчет ведем по второму предельному состоянию с коэффициентами надежности по нагрузке, равными единице.
Расчетное давление на основание определяем по
формуле (17) главы СНиП II-15-74
при расчетном значении

по
табл. 16 главы СНиП II-15-74
A = 1,25; B = 5,97; D = 8,25,
остальные характеристики:
kн = 1;
m1 = 1,2;
m2 = 1;

;

;
cII = 0;
h0 = 0;
hп = 1,5 м;
b = 6 м.
Коэффициент горизонтальной составляющей активного давления грунта определяем по
табл. 10 прил. 3:
Угол наклона плоскости обрушения:
Горизонтальные и вертикальные составляющие интенсивности активного давления от грунта и от равномерно распределенной нагрузки, расположенной на призме обрушения, определяем соответственно по
формулам (3),
(4) и
(19),
(20).
Горизонтальные и вертикальные составляющие активного давления:
Eqг = 1,9·7,5 = 14,25 тс;
Eqв = 3,16·7,5 = 23,7 тс.
Сумму проекций всех сил на вертикальную плоскость определяем по
формуле (38)
Сумма моментов всех вертикальных сил относительно оси, проходящей через центр тяжести подошвы,
Сумма моментов всех горизонтальных сил относительно той же оси
Величину эксцентриситета приложения равнодействующей всех сил определяем по
формуле (44)
Краевые давления на грунт под подошвой стены определяем по
формуле (50)
Pмакс = 25,5 тс/м2 < 1,2R = 1,2·31,2 = 36,4 тс/м2;
Pмин = 6,41 тс/м2.
Среднее давление на грунт
Расчет основания по деформациям удовлетворен.
Определение усилий в элементах подпорной стены
Расчет ведем по первому предельному состоянию.
1-й случай загружения. Временная нагрузка расположена на всей призме обрушения
(рис. 37).
Рис. 37. Расчетная схема к определению внутренних усилий
(1 случай)
Коэффициент горизонтальной составляющей активного давления грунта определяем по
табл. 8 прил. 3:
Интенсивность активного давления грунта на глубине 7,3 м
Вертикальные и горизонтальные реакции в местах соединения анкерных тяг определяем по
формуле (56):
U = 34,16sin42° = 22,85 тс/м;
V = 34,16cos42° = 25,27 тс/м.
С учетом возможного зависания грунта над тягами усилия в них увеличиваем в 1,5 раза (см.
примеч. п. 6.28)
S = 34,16·1,5 = 51,24 тс/м.
Интенсивность погонной нагрузки от собственного веса вертикального элемента стены с коэффициентом надежности по нагрузке kн = 1,1
P3 = 4,25·1,1 = 4,7 тс/м.
Сечение 1-1
M1-1 = 2,34·2,5·1,25 + 1,82·2,5·0,5·0,83 = 9,2 тсм;
Q1-1 = 2,34·2,5 + 1,82·2,5·0,5 = 8,1 тс.
M1-1 = 9,2·1,5 = 13,8 тсм.
Сечение 1'-1'
Горизонтальные составляющие активного давления грунта на глубине 7,3 м:
Eqг = 2,34·7,3 = 17,08 тс.
Собственный вес грунта над передней и задней консолями
Gгр = P1 + G = 2,43 + 60,81 = 63,24 тс.
Равнодействующая равномерно распределенной нагрузки
Gq = 5·4,9 = 24,5 тс.
Сумма проекций всех сил на вертикальную плоскость с коэффициентами надежности по нагрузке для собственного веса стены и грунта kн = 1,1, временной нагрузки kн = 1,2:
Сумма моментов всех вертикальных сил относительно оси, проходящей через центр тяжести подошвы,
Сумма моментов всех горизонтальных сил относительно той же оси
Величину эксцентриситета приложения равнодействующей всех сил определяем по
формуле (44)
Краевые давления под подошвой стены вычисляем по
формуле (50)
pмакс = 30,34 тс/м2,
pмин = 6,22 гс/м2,
Максимальный пролетный момент при Q = 0
0,36x2 + 4,14x - 13,17 = 0;
x2 + 11,5x - 36,58 = 0, отсюда
x = 2,62 м.
Mмакс = 0,12·2,623 + 2,07·2,622 - 13,17·2,62 + 1,61 =
= 16,53 тсм.
Сечение 2-2
Сечение 3-3
где
Сечение 3'-3'
где
Место приложения и величина максимального пролетного момента
Mмакс = 0,67·1,883 - 6,02·1,882 + 15,73·1,88 + 4,4 =
= 17,15 тсм.
2-й случай загружения. Временная нагрузка расположена на части призмы обрушения, что создает максимальный пролетный момент в вертикальном элементе (рис. 38).
Рис. 38. Расчетная схема к определению внутренних усилий
в элементах стены (2 случай)
где
Eqг = 2,34·4,8 = 11,23 тс.
Вертикальные и горизонтальные реакции в местах соединения анкерных тяг определяем по
формуле (56)
U = 23,14sin42° = 15,48 тс;
V = 23,14cos42° = 17,2 тс.
Сечение 1'-1'
Максимальный пролетный момент при Q = 0
x2 + 11,24x - 32,16 = 0,
x = 2,36 м,
Mмакс = 0,13·2,363 + 2,11·2,362 - 12,06·2,36 - 3,21 =
= -18,28 тсм.
Пример 4. Расчет уголковой подпорной стены с контрфорсами
Дано: уголковая монолитная железобетонная подпорная стена с контрфорсами (рис. 39). Высота подпора грунта 4,5 м, глубина заложения подошвы фундамента 1,2 м, ширина подошвы фундамента предварительно принята 4,2 м.
Рис. 39. Общий вид уголковой подпорной стены с контрфорсами
На поверхности призмы обрушения расположена равномерно распределенная нагрузка интенсивностью qн = 4 тс/м2.
Высоту сечения вертикальных и горизонтальных элементов принимаем 0,3 м, толщину контрфорсов - 0,2 м, расстояние между осями контрфорсов - 3 м.
Основание подпорной стены - глинистые грунты со следующими характеристиками грунта природного сложения (по данным инженерно-геологических исследований):
| |
cI = 1,5 тс/м2; | cII = 1,7 тс/м2; |
| |
Для повышения несущей способности основания под подошвой фундамента подпорной стены предусматривается щебеночная подушка толщиной 0,6 м и шириной 4,8 м (на 300 мм больше подошвы фундамента в каждую сторону) со следующими характеристиками:
cI = cII = 0;
Грунт засыпки - песок мелкий со следующими характеристиками:
Расчет ведем на 1 м подпорной стены.
Расчет устойчивости подпорной стены против сдвига (рис. 40)
Рис. 40. Расчетная схема к определению общей
устойчивости стены
Расчет ведем по первому предельному состоянию.
Угол наклона плоскости обрушения грунта засыпки, град:
Вес грунта над передней консолью и в контуре acd
Собственный вес стены с коэффициентом надежности по нагрузке kн = 0,9
Gст = (P2 + P3 + P4)0,9 = (4,05 + 3,15 + 4,45)·0,9 = 10,5 тс.
Коэффициент горизонтальной составляющей активного давления грунта определяем по
табл. 10 прил. 3:
Горизонтальную и вертикальную составляющие интенсивности активного давления грунта засыпки на глубине 5,7 м определяем по
формулам (3) и
(4)
Горизонтальную и вертикальную составляющие активного давления грунта определяем по
формулам (12) и
(13)
Горизонтальную и вертикальную интенсивности активного давления от равномерно распределенной нагрузки, расположенной на поверхности призмы обрушения, определяем с коэффициентом надежности по нагрузке
kн = 1,2 по
формулам (19) и
(20)
Горизонтальную и вертикальную составляющие активного давления грунта определяем по
формулам (21) и
(22):
Расчет устойчивости стены производим для четырех возможных случаев сдвига.
1-й случай

- по плоскости
ef (подошва стены - щебеночная подушка)
Tсд = Eг + Eqг = 12,3 + 9 = 21,3 тс.
Пассивное давление грунта определяем по
формуле (39), принимая
Сумму проекций всех расчетных сил на вертикальную плоскость определяем по
формуле (38)
Tуд = 67,4tg(30° - 0°) + 1,36 = 40,2 тс.
2-й случай

Сдвигающая сила Tсд = 21,3 тс.
Коэффициент пассивного давления грунта определяем по
формуле (40)
Пассивное давление грунта определяем по
формуле (39), принимая

и
cI = 1,5 тс/м
2
Сумму проекций всех расчетных сил на вертикальную плоскость определяем по
формуле (38), учитывая вес грунта в контуре
fekn
Tуд = 73,4tg(16° - 8°) + 3,9·1·1,5 + 16,2 = 32,4 тс.
3-й случай

Tсд = 21,3 тс;
Tуд = 4·1·1,5 + 22,2 = 28,2 тс;
4-й случай (дополнительный) - по плоскости, проходящей по контакту "щебеночная подушка - грунт основания".
Сдвигающая сила Tсд = 21,3 тс.
Пассивное давление грунта определяем по
формуле (39), принимая

и удельное сцепление щебеночной подушки с грунтом основания равным нулю:
где коэффициент пассивного давления грунта

определяем по
формуле (40):
Сумму проекций всех расчетных сил на вертикальную плоскость определяем по
формуле (38), учитывая вес щебеночной подушки:
Удерживающую силу определяем по
формуле (37), принимая

для грунта основания:
Tуд = 72,2tg(16° - 0°) + 0 + 8,85 = 29,65 тс.
Устойчивость стены против сдвига обеспечена.
Расчет устойчивости основания
Расчет ведем по первому предельному состоянию.
Сумма проекций всех сил на вертикальную плоскость

.
Сумма моментов всех вертикальных сил относительно оси, проходящей через центр тяжести подошвы:
Сумма моментов всех горизонтальных сил относительно той же оси

.
Величину эксцентриситета приложения равнодействующей всех сил определяем по
формуле (44)
Приведенная ширина подошвы

.
Коэффициенты несущей способности грунта при

по
табл. 3
A1 = 46·0,32·1 = 13,4;
B1 = 66·0,475·1 = 31,3.
Ф1 = 3,35(13,4·3,35·2,1 + 31,3·1,2·1,6 + 0) = 515 тс.
Устойчивость основания под подошвой обеспечена.
Проверяем несущую способность грунта основания для условного фундамента шириной B = 4,8 м и глубиной заложения h = 1,2 + 0,6 = 1,8 м.
Приведенная ширина подошвы
Коэффициенты несущей способности грунта при

по
табл. 3
A1 = 1,2·0,655·1 = 0,78;
B1 = 4,5·0,755·1 = 3,4;
D1 = 11,5·0,695·1 = 8.
Ф = 3,95(0,78·3,95·1,6 + 3,4·1,8·2,09 + 8·1,5) = 117 тс.
Устойчивость основания под щебеночной подушкой также обеспечена.
Расчет ведем по второму предельному состоянию с коэффициентами надежности по нагрузке, равными единице.
Расчетное давление на основание под подошвой фундамента определяем по
формуле (17) главы СНиП II-15-74:
при расчетном значении

по
табл. 16 главы СНиП II-15-74
A = 2,46; B = 10,84; D = 11,73.
Остальные характеристики:
kн = 1;
m1 = 1,2;
m2 = 1;

;

;
cII = 0;
h0 = 0;
hп = 1,2 м;
b = 4,2 м.
Коэффициент горизонтальной составляющей активного давления грунта определяем по
табл. 10 прил. 3:
Угол наклона плоскости обрушения, град:
Горизонтальные и вертикальные составляющие интенсивности активного давления от веса грунта и от равномерно распределенной нагрузки, расположенной на призме обрушения, определяем по
формулам (3),
(4) и
(19),
(20), принимая

:
Горизонтальные и вертикальные составляющие активного давления от веса грунта и равномерно распределенной нагрузки определяем по
формулам (12),
(13) и
(21),
(22):
Сумму проекций всех сил на вертикальную плоскость определяем по
формуле (38)
N = 11,7 + 18 + 18,9 + 12,7 = 61,3 тс.
Сумма моментов всех вертикальных сил относительно оси, проходящей через центр тяжести подошвы:
Сумма моментов всех горизонтальных сил относительно той же оси
Величину эксцентриситета приложения равнодействующей всех сил определяем по
формуле (44):
Краевые давления на грунт под подошвой стены определяем по
формуле (50)
pмакс = 22,8 тс/м2 < 1,2R = 1,2·58,5 = 70,2 тс/м2,
pмин = 6,4 тс/м2,
Выполняем проверку несущей способности грунта основания, залегающего на глубине z = 0,6 м ниже подошвы фундамента.
Для условного фундамента шириной 4,8 м определяем расчетное давление, принимая характеристики грунта основания:

;

;
cII = 1,7 тс/м
2.
Остальные характеристики:
m1 =
m2 =
kн = 1;
hп = 1,8 м;
h0 = 0;

;
A = 0,4;
B = 2,58;
D = 5,15.
Величина эксцентриситета приложения равнодействующей всех сил составит
Краевые давления на грунт основания:
pмакс = 20 тс/м2 < 1,2Rz = 1,2·21,65 = 26 тс/м2,
pмин = 7,8 тс/м2,
Расчет основания по деформациям удовлетворен.
Определение усилий в элементах подпорной стены (рис. 41)
Расчет ведем по первому предельному состоянию.
Вертикальная плита. Вертикальную плиту рассчитываем как прямоугольную плиту, защемленную по трем сторонам (двумя контрфорсами и плитой основания) со свободным верхним краем.
Рис. 41. Расчетная схема к определению внутренних усилий
Коэффициент горизонтальной составляющей активного давления грунта определяем по
табл. 8 прил. 3:
Интенсивности активного давления грунта на глубине 5,4 м:
Таким образом, на вертикальную плиту действует трапециевидная нагрузка, которую можно представить в виде прямоугольной и треугольной.
При соотношении сторон плиты 5,4/2,7 = 2 моменты в пролете и на опоре от прямоугольной нагрузки

составят:
Mx = 0,0025·1,58·2,72 = 0,029 тсм/м;
My = 0,0402·1,58·2,72 = 0,44 тсм/м;
Поперечная сила на опоре составит (на 1 м высоты плиты)
Отрывающее усилие (отрыв плиты от контрфорса) составит (на 1 м высоты плиты)
N = 1,58·2,7 = 4,24 тс.
От треугольной нагрузки

имеем:
Mx = 0,002·4,1·2,72 = 0,06 тсм/м;
My = 0,0188·4,1·2,72 = 0,54 тсм/м;
Поперечная сила на опоре на 1 м высоты
Отрывающее усилие на 1 м высоты (в нижней части плиты)
Суммарные действующие усилия на плиту составят
Mx = 0,029 + 0,06 = 0,089 тсм/м;
My = 0,44 + 0,54 = 0,98 тсм/м;
Q = 2,13 + 5 = 7,13 тс/м;
N = 4,24 + 10 = 14,24 тс/м.
Контрфорс
Расчетный изгибающий момент и поперечную силу определяем у основания контрфорса.
Расстояние между контрфорсами - 3 м.
Действующая нагрузка - горизонтальное давление от собственного веса грунта и равномерно распределенной нагрузки.
Расчетный изгибающий момент составляет
Поперечная сила составляет
Фундаментная (подошвенная) плита
Определяем давление на грунт под подошвой, принимая e = 0,424 м.
pмакс = 25,6 тс/м2;
pмин = 6,4 тс/м2.
Распределенная нагрузка над передней консолью:
от веса грунта
q1 = 2,09·0,9·1,1 = 2,09 тс/м2;
от собственного веса плиты основания
Распределенная нагрузка над задней консолью:
от временной равномерно распределенной нагрузки
q3 = 4·1,2 = 4,8 тс/м2;
от веса грунта
q4 = 2,09·1,1·5,4 = 12,4 тс/м2;
от собственного веса плиты основания (с учетом контрфорса)
q5 = 1,32 тс/м2.
Определяем максимальный момент и поперечную силу в передней консоли
Определяем моменты и поперечную силу в задней консоли, рассчитывая ее как плиту, защемленную по трем сторонам (двумя контрфорсами и вертикальной плитой), со свободным четвертым краем, загруженной снизу реактивным давлением грунта и сверху - распределенной нагрузкой при соотношении сторон 3,3/2,7 = 1,2:
Mx = 0,0077·6,4·2,72 + 0,0066·15,1·2,72 -
- 0,0077·(4,8 + 12,4 + 1,32)·2,72 = 0,046 тсм/м;
My = 0,0316·6,4·2,72 + 0,0138·15,1·2,72 -
- 0,0316·18,52·2,72 = -1,27 тсм/м;
Пример 5. Определение усилий в элементах щелевого паза
По данным
примера 2 произвести расчет щелевого паза, сопрягающего сборную вертикальную плиту толщиной 400 мм с монолитной плитой
(рис. 42).
Рис. 42. Расчетная схема щелевого паза
Бетон сборного элемента М300, монолитной фундаментной плиты М200. Глубина паза 650 мм.
Определяем изгибающий момент и поперечную силу в верхней части стенки паза (на глубине 4,87 м):
Eqг = 1,37·4,87 = 6,67 тс;
M = 9,69·1,62 + 6,67·2,44 = 31,97 тсм;
Q = 9,69 + 6,67 = 16,36 тс.
Задаемся величиной z = 0,9l = 0,9·65 = 59 см.
Определяем плечо внутренней пары:
Горизонтальные и вертикальные составляющие внутренней пары определяем по
формулам (62) и
(63)
Pг = 42,7sin55° = 34,9 тс;
Pв = 42,7cos55° = 24,2 тс.
где Rпр = 75 кгс/см2 - расчетное сопротивление бетона М200.
Принятая ранее величина
z = 59 см отличается от полученной
z = 59,25 см менее чем на 10%, что удовлетворяет условию
п. 6.27. Перерасчет не требуется.
Внутренние усилия в сечении
1-1 передней стенки паза определяем по
формулам (67)
Q1-1 = 34,9 + 16,51 = 51,41 тс;
Внутренние усилия в сечении
2-2 задней стенки паза определяем по
формулам (68)
N2-2 = 24,2 тс;
Q2-2 = 34,9 тс;
Внутренние усилия для сечения
3-3 днища стенки паза определяем по
формулам (69):
N3-3 = 34,9 + 16,51 = 51,41 тс;
Q3-3 = 24,2 - 0,5·1,18(31 + 20,2) = -6 тс;
Расчет передней стенки щелевого паза (сечение
1-1) производится как изгибаемого элемента, расчет задней стенки щелевого паза (сечение
2-2) и днища (сечение
3-3) ведется как внецентренно растянутых элементов в соответствии с главой
СНиП II-21-75.
Пример 6. Определение эквивалентных нагрузок
от подвижного транспорта
Дано: на расстоянии 1,5 м от внутренней грани подпорной стены расположена наружная грань бордюрного камня, ограничивающего проезжую часть дороги.
Требуется определить интенсивность эквивалентных равномерно распределенных полосовых нагрузок от колесной нагрузки по схеме НК-80.
Определяем минимальное расстояние от внутренней грани стены до середины полос нагрузок:
По графику
(рис. 6) устанавливаем интенсивность нормативных эквивалентных нагрузок, расположенных на поверхности призмы обрушения. Ширина полос 0,8 м.
q1 = 6,25 тс/м2; q2 = 3,8 тс/м2.
ПРИМЕРЫ РАСЧЕТА СТЕН ПОДВАЛОВ
Пример 7. Расчет массивной стены подвала постоянной толщины
Дано: подвальное помещение кирпичного здания со стенами из крупнобетонных блоков шириной 50 см из бетона М200. Высота подвала H0 = 3,3 м, фундаментные плиты шириной B = 1,6 м, высотой hф = 0,35 м, глубина заложения подошвы фундамента от пола подвала - 0,5 м. Расчетная высота стены подвала H = 3,45 м (рис. 43).
Рис. 43. Общий вид и расчетная схема
массивной стены подвала
Нормативная нагрузка на отметке -0,3 м (в уровне опирания перекрытия) от вышележащих конструкций здания на 1 м стены подвала составляет 20 тс. Временная нормативная равномерно распределенная нагрузка на поверхности грунта qн = 1 тс/м2.
Основание и грунт засыпки - суглинки со следующими характеристиками:
грунт засыпки |
| |
| |
c'I = 0,5 тс/м2; | c'II = 0,75 тс/м2; |
грунт основания |
| |
| |
cI = 1 тс/м2; | cII = 1,5 тс/м2; |
E = 1400 тс/м2. |
Требуется установить размеры фундамента и определить усилия в элементах стены.
Расчет ведем на 1 м стены подвала.
Расчет устойчивости стены подвала против сдвига
Расчет ведем по первому предельному состоянию.
Коэффициент горизонтальной составляющей активного давления грунта определяем по
табл. 8 прил. 3 при

.
Интенсивности горизонтальных давлений на стену подвала на уровне подошвы фундамента от собственного веса грунта и временной нагрузки определяем по
формулам (3),
(9) и
(19):
Сдвигающая сила в уровне подошвы фундаментов
Проверку устойчивости стены производим только для значения

(плоский сдвиг по подошве).
Сумму проекций всех расчетных сил на вертикальную плоскость определяем с коэффициентами надежности по нагрузке для грунта и временной нагрузки соответственно kн = 1,1 и kн = 1,2, для собственного веса стены и внешней нагрузки kн = 0,9:
где P1 - вес фундаментной части и грунта на его обрезах, от подошвы до пола подвала P1 = 1,4·0,5·2,2 = 1,47 тс;
P2 - вес стены подвала, P2 = 0,5·3,3·2,5 = 4,13 тс;
P3 - вес грунта и временной нагрузки над левой частью фундамента при

,
P3 = 2,45·0,45·1,95 + 1·0,45 = 2,15 + 0,45 = 2,6 тс.
Пассивное давление грунта определяем по
формуле (39), принимая

и

:
Tуд = 26tg24° + 1,4·0,5 + 0,22 = 11,32 тс.
Расчет устойчивости основания
Расчет ведем по первому предельному состоянию. Определяем интенсивность горизонтального давления на уровне обреза фундамента.
| | ИС МЕГАНОРМ: примечание. Формула дана в соответствии с официальным текстом документа. | |
Модуль упругости материала стены из бетонных блоков М200 на растворе М200 равен E = 0,84·106 тс/м2.
Коэффициент m2 по формуле
m2 = 1,2(m1 + 0,2) = 1,2(0,091 + 0,2) = 0,35.
Определяем момент относительно центра тяжести подошвы
Величину эксцентриситета приложения равнодействующей определяем по
формуле (44)
Приведенная ширина подошвы
Коэффициенты несущей способности грунта при

- по
табл. 3
iq = (1 - 0,7·0,13)3 = 0,75;
A1 = 3,8·0,65·1 = 2,47;
B1 = 10·0,75·1 = 7,5;
D1 = 19·0,72·1 = 13,7.
Ф = 1,38(2,47·1,38·2,05 + 7,5·0,5·1,95 + 13,7·1) = 38,2 тс.
Устойчивость основания под подошвой фундамента обеспечена.
Расчет основания по деформациям
Расчет производим по второму предельному состоянию. Расчетное давление на основание определяем по
формуле (17) главы СНиП II-15-74.
A = 0,84; B = 4,37; D = 6,90.
Остальные характеристики:
kн = 1 (
п. 3.25 главы СНиП II-15-74);
m1 = 1,1;
m2 = 1,0 (
табл. 17 главы СНиП II-15-74);
h = 2 +
hп = 2 + 0,5 = 2,5 м (
п. 8.16 настоящего Руководства);
h0 - глубина от уровня планировки до пола подвала (
h0 = 2,45 м);

;

;
cII = 1,5 тс/м
3;
b = 1,4 м.
Коэффициент горизонтальной составляющей активного давления грунта определяем по
табл. 8 прил. 3 при

.
Интенсивности горизонтальных давлений от веса грунта и равномерно распределенной нагрузки определяем по
формулам (3),
(9) и
(19) на уровне обреза фундамента:
Определяем сумму проекций всех сил на вертикальную плоскость
Nн = 1,47 + 4,13 + 2,6 + 20 = 28,2 тс.
Внутренние усилия
Mн и
Qн определяем по
формулам (78) и
(80) при
m1 = 0,091,
m2 = 0,35 и
Определяем сумму моментов всех сил относительно оси, проходящей через центр тяжести подошвы:
где eсл - случайный эксцентриситет.
Эксцентриситет приложения равнодействующей нагрузки
Краевые давления на грунт под подошвой фундамента определяем по
формуле (50)
Расчет по деформациям удовлетворен.
Определение усилий в стене подвала
Расчет ведем по первому предельному состоянию. Значения расчетных усилий Mн и Qн принимаем из расчета основания на устойчивость:
Mн = 0,47 тсм;
Qн = 2,4 тс.
Расчет стены подвала ведется как внецентренно сжатого элемента.
Определение расчетных давлений под подошвой фундамента
Расчетное давление под подошвой фундамента для определения усилий в плитной части фундамента стены подвала определяем при
N = 1,47·1,1 + 4,13·1,1 + (2,15·1,1 + 0,45·1,2) +
+ 20·1,1 = 31,07 тс;
M = 0,32 тсм;
pмакс = 23,2 тс/м2; pмин = 21,2 тс/м2.
Пример 8. Расчет тонкостенной железобетонной стены
подвала переменной толщины
Дано: стена подвала выполнена из железобетонных панелей переменного сечения, установленных вертикально в щелевой паз ленточного фундамента. Толщина стен на уровне опирания плит покрытия принята

; на уровне обреза фундамента

. Бетон марки М300.
Верх стеновой панели расположен на отметке -1 м; глубина заложения подошвы фундамента -8,35 м, высота фундамента
hф = 1,2 м
(рис. 44). Расчетная высота стены подвала принята
H = 6,15 м. Временная нормативная равномерно распределенная нагрузка на поверхности грунта
qн = 10 тс/м
2. Основание и грунт засыпки - суглинки со следующими характеристиками:
грунт засыпки |
| |
| |
c'I = 1,1 тс/м2; | c'II = 1,25 тс/м2; |
принимаем |
c'I = 0,7 тс/м2; | c'II = 1 тс/м2; |
грунт основания |
| |
| |
cI = 2,2 тс/м2; | cII = 2,5 тс/м2; |
E = 1900 тс/м2. |
Рис. 44. Общий вид и расчетная схема гибкой стены подвала
Требуется установить размеры фундамента и определить усилия в элементах стены.
Расчет ведем на 1 м стены подвала.
Расчет устойчивости стены подвала против сдвига
Расчет ведем по первому предельному состоянию. Коэффициент горизонтальной составляющей активного давления грунта определяем по
табл. 8 прил. 3 при

.
Интенсивности горизонтальных давлений на стену подвала на уровне подошвы фундамента от собственного веса грунта и временной нагрузки определяем по
формулам (3),
(9) и
(19):
Сдвигающая сила в уровне подошвы фундаментов
Проверку устойчивости стены производим только для значения

(плоский сдвиг по подошве).
Сумму проекций всех расчетных сил на вертикальную плоскость определяем с коэффициентами надежности по нагрузке для грунта и временной нагрузки соответственно Kн = 1,1 и Kн = 1,2 для собственного веса стены и внешней нагрузки Kн = 0,9
где
P1 - вес фундаментной части и грунта на его обрезах, от подошвы до пола подвала,

;
P2 - вес конструкций подвала и пола над подвалом,

;
P3 - вес грунта и временной нагрузки над левой частью фундамента при

,

.
Пассивное давление грунта определяем по
формуле (39), принимая

и

:
Tуд = 64,8·tg22° + 1·3,6·0,5 + 1,48 = 29,2 тс.
Необходимо для восприятия сдвигающих усилий предусматривать специальные конструктивные мероприятия, например устройство железобетонных распорок.
Расчет устойчивости основания
Расчет ведем по первому предельному состоянию.
Определяем интенсивность горизонтального давления на уровне обреза фундамента
m2 = 1,2(0,44 + 0,2) = 0,77.
Mн = 0,77(0,0833·6,19 + 0,0847·12,39)·1·6,152 = 45,0 тсм;
Определяем момент относительно центра тяжести подошвы
Величину эксцентриситета приложения равнодействующей определяем по
формуле (44)
Приведенная ширина подошвы

.
Коэффициенты несущей способности грунта при

- по
табл. 3;

;

;

.
Коэффициенты влияния наклона нагрузки по
формуле (46) определяем, принимая
Tсд = 0, за счет передачи сдвигающих усилий на распорки, в соответствии с
п. 8.14:
A1 = 2,8·1·1 = 2,8;
B1 = 9,0·1·1 = 9,0;
D1 = 17·1·1 = 17.
Ф = 1,22(2,8·1,22·1,9 + 9,0·1,35·1,8 + 17·2,2) = 80,2 тс.
Устойчивость фундамента под подошвой обеспечена.
Расчет основания по деформациям
Расчет ведем по второму предельному состоянию с коэффициентами надежности по нагрузке, равными единице.
Расчетное давление на основание определяем по
формуле (17) главы СНиП II-15-74:
при значении

по
табл. 16 главы СНиП II-15-74;
A = 0,72;
B = 3,87;
D = 6,45.
Остальные характеристики: kн = 1,0; m1 = 1,2; m2 = 1,0;

;

;
cII = 2,5 тс/м
2;
hп = 1,35; h = 1,35 + 2 = 3,35 м; h0 = 7 м, ширину фундамента принимаем b = 3,6 м.
Интенсивности горизонтальных давлений грунта на уровне верха стены и на уровне обреза фундамента определяем по
формулам (3),
(9),
(19):
Значение
k = 1,35 (

;

) по
табл. 11 прил. 4.
Mн = 0,77(0,0833·4,08 + 0,0857·9,17)·1·6,152 = 33,0 тсм;
Определяем сумму проекций всех сил на вертикальную плоскость
Определяем сумму моментов всех сил относительно оси, проходящей через центр тяжести подошвы
Величину эксцентриситета приложения равнодействующей определяем по
формуле (44)
Проверяем выполнение условия
п. 6.21
pмакс = 32,5 тс/м2 < 1,2R = 1,2·37,9 = 45,5 тс/м2;
pмин = 0,83 тс/м2;
Расчет по деформациям удовлетворен.
Определение усилий в стеновой панели
Расчет ведем по первому предельному состоянию.
Значения расчетных усилий Mн и Qн принимаем из расчета основания на устойчивость:
Mн = 45,0 тсм,
Qн = 39,0 тс.
Значения расчетных усилий
Qв и
Mx определяем по
формулам (74) и
(76) при
m1 = 0,44 и
m2 = 0,77;

и

:
Расчет стены подвала ведется как изгибаемого элемента.
Определение расчетных давлений под подошвой фундамента
Расчетное давление под подошвой фундамента для определения усилий в плитной части фундамента стены подвала определяем при N = P1 + P2 + P3 = 10,21·1,1 + 9·1,1 + (22,7·1,1 + 16·1,2) = 67,7 тс; M = 76,85 тсм;
где d = 0,5·3,6 - 1,13 = 0,67 м.
Пример 9. Расчет общей устойчивости стены подвала
против сдвига по круглоцилиндрическим поверхностям
1. Центр вращения принимается в точке пересечения стены и низа перекрытия подвала. Рассматривается устойчивость грунтового массива (вместе с конструкциями), ограниченного поверхностью земли, полом подвала, стеной и дугой некоторой окружности, проведенной из принятого центра вращения (рис. 45).
Рис. 45. Расчетная схема к определению устойчивости
стены подвала против сдвига по круглоцилиндрической
поверхности скольжения
2. Для расчета рассматриваемый участок разбивается параллельными отрезками: вертикальными, когда не учитывается сейсмичность, и направленными под углом

к вертикали, когда сейсмичность района учитывается.
Устойчивость против сдвига по рассматриваемой кривой считается обеспеченной, если удовлетворяется условие, имеющее в общем случае при учете сейсмического воздействия и фильтрационного давления грунтовых вод вид:

(93)
где
gic и

- равнодействующие сил, действующих на подошву
i-го элемента с учетом сейсмического воздействия:

(94)
gi - суммарная сила от веса грунта, веса стены и от нагрузки на поверхности в i-м элементе (с учетом взвешивающего веса грунта ниже уровня воды:
| | ИС МЕГАНОРМ: примечание. Формула дана в соответствии с официальным текстом документа. | |

(95)

- вес воды в объеме между поверхностью грунтовых вод и основанием в
i-м элементе;
bi - ширина элемента по нормали к его границе, м;

- угол между нормалью к подошве элемента и направлением действия силы

(96)

- угол между подошвой элемента и горизонталью, град;

- угол наклона к вертикали равнодействующих
gic и


(97)
(при отсутствии сейсмического воздействия

);
kc - коэффициент сейсмичности участка строительства, принимаемый в соответствии с указаниями
разд. 9 настоящего Руководства;
R - равнодействующая нагрузки от надземных конструкций;

- угол между нормалью к подошве и направлением равнодействующей нагрузки от надземных конструкций (при вертикальной нагрузке

)

(98)

(99)
kу - коэффициент устойчивости

(100)
kн - коэффициент надежности, принимаемый при отсутствии сейсмического воздействия не менее kн = 1,2, при учете сейсмического воздействия kн = 1,5;
m - коэффициент условий работы, принимаемый при отсутствии сейсмичности m = 1, при учете сейсмического воздействия: для скальных крупнообломочных и песчаных (кроме рыхлых) маловлажных грунтов, а также глинистых грунтов с консистенцией JI <= 0,5 - m = 1,2;
для песков рыхлых, насыщенных водой, и глинистых грунтов с консистенцией JI >= 0,75 - m = 0,7;
для остальных грунтов m = 1;

- значение

в подошве того элемента, в котором сила
R пересекается с рассматриваемой круглоцилиндрической кривой.
В
формуле (93) знак "плюс" отвечает нисходящей, а знак "минус" - восходящей ветви кривой сдвига.
При расчете на сдвиг по круглоцилиндрической поверхности коэффициенты надежности по нагрузке для грунта и конструкций принимаются равными
n = 1. Определение сил
gi производится исходя из расчетного значения объемного веса

грунта, слагающего соответственно
i-й элемент.
Расчет следует выполнять с отысканием (при необходимости используя повторные попытки) наиболее опасной кривой, для которой значение левой части
условия (93) приобретает минимальное значение. При расчете круглоцилиндрическую кривую следует проводить через край фундамента или ниже его, пересекая слабый слой грунта, охватывая область высоких нагрузок и учитывая другие особенности участка.
Пример. Требуется произвести оценку устойчивости стены технического подвала высотой 4,8 м против сдвига по круглоцилиндрической поверхности.
Исходные данные приведены на рис. 46.
Рис. 46. Схема к определению устойчивости стены подвала
по круглоцилиндрическим поверхностям скольжения
Строительство осуществляется в районе с сейсмичностью до 6 баллов. Грунтовые воды отсутствуют.
Устойчивость стены подвала вместе с прилегающим к ней грунтом считается обеспеченной, если удовлетворяется
условие (93).
Расчет устойчивости сведен в табл. 7.
Таблица 7
N отсека |  , град | | bi, м | gi, тс |  , тс | ci, тс/м2 | bici, тс | | | | | | | | |  , тс |
1 | 2 | 3 | 4 | 5 | | 7 | | | 10 | 11 | | | | 15 | 16 | 17 |
1 | 83 | 0,370 | 0,4 | 3,5 | 1,30 | 2,083 | 0,83 | 2,13 | 0,122 | 8,14 | 3,00 | 4,00 | 0,49 | 4,35 | 0,993 | 3,48 |
2 | 62 | 0,208 | 1,2 | 16,7 | 3,47 | 0,833 | 1,00 | 4,47 | 0,470 | 1,88 | 0,39 | 1,39 | 0,65 | 6,88 | 0,883 | 14,75 |
3 | 42 | 0,208 | 2,0 | 35,5 | 7,38 | 0,833 | 1,67 | 9,05 | 0,743 | 0,93 | 0,19 | 1,19 | 0,88 | 10,28 | 0,669 | 23,75 |
4 | 24 | 0,208 | 2,0 | 39,0 | 8,11 | 0,833 | 1,67 | 9,78 | 0,914 | 0,45 | 0,09 | 1,09 | 1,00 | 9,78 | 0,407 | 15,87 |
5 | 7 | 0,208 | 2,0 | 46,3 | 9,63 | 0,833 | 1,67 | 11,30 | 0,993 | 0,12 | 0,02 | 1,02 | 1,01 | 11,19 | 0,122 | 5,65 |
6 | 6 | 0,208 | 1,6 | 8,5 | 1,77 | 0,833 | 1,33 | 3,10 | 0,995 | 0,11 | 0,02 | 0,98 | 0,97 | 3,20 | -0,105 | -0,89 |
7 | 20 | 0,370 | 1,8 | 7,3 | 2,70 | 2,083 | 3,75 | 6,45 | 0,940 | 0,36 | 0,13 | 0,87 | 0,82 | 7,87 | -0,342 | -2,50 |
8 | 30 | 0,370 | 1,0 | 2,9 | 1,50 | 2,083 | 2,08 | 3,58 | 0,866 | 0,58 | 0,21 | 0,79 | 0,68 | 5,26 | -0,500 | -1,45 |
9 | 42 | 0,337 | 1,5 | 1,85 | 0,60 | 0,583 | 0,87 | 1,47 | 0,743 | 0,93 | 0,31 | 0,69 | 0,51 | 2,88 | -0,669 | -1,24 |
| | | | | | | | | | | | | | | | |
Примечание. В графе 5 вес дан с учетом нагрузок от конструкций, попадающих в элемент

.
Результаты расчета свидетельствуют об экономичности проектного решения фундамента, так как
условие (93), оставаясь больше нуля, близко к нему, а надежность основания обеспечивается учетом в характеристиках грунта коэффициента устойчивости

.
Расчеты, проведенные по кривым, проходящим ниже и выше рассмотренной (радиусом R2 = 6,5 м и радиусом R3 = 8,7 м), показали еще большую устойчивость.
ТАБЛИЦЫ ЗНАЧЕНИЙ КОЭФФИЦИЕНТОВ


| | Значение коэффициента  при угле  , равном |
0° | 5° | 10° | 15° | 20° | 25° | 30° |
15° | | 0° | 0,59 | 0,62 | 0,64 | 0,67 | 0,69 | 0,71 | 0,74 |
10° | 0,70 | 0,74 | 0,77 | 0,81 | 0,84 | 0,88 | 0,91 |
15° | 0,93 | 0,98 | 1,02 | 1,07 | 1,12 | 1,18 | 1,24 |
16° | | 0° | 0,57 | 0,60 | 0,62 | 0,65 | 0,67 | 0,70 | 0,72 |
10° | 0,67 | 0,71 | 0,74 | 0,78 | 0,81 | 0,85 | 0,89 |
15° | 0,81 | 0,85 | 0,89 | 0,94 | 0,98 | 1,03 | 1,08 |
17° | | 0° | 0,55 | 0,58 | 0,60 | 0,63 | 0,66 | 0,68 | 0,71 |
10° | 0,65 | 0,68 | 0,72 | 0,75 | 0,79 | 0,83 | 0,87 |
15° | 0,75 | 0,80 | 0,84 | 0,88 | 0,93 | 0,97 | 1,03 |
18° | | 0° | 0,53 | 0,56 | 0,59 | 0,61 | 0,64 | 0,66 | 0,69 |
10° | 0,62 | 0,66 | 0,69 | 0,73 | 0,77 | 0,80 | 0,84 |
15° | 0,71 | 0,75 | 0,79 | 0,84 | 0,88 | 0,93 | 0,98 |
19° | | 0° | 0,51 | 0,54 | 0,57 | 0,60 | 0,63 | 0,65 | 0,68 |
10° | 0,59 | 0,63 | 0,67 | 0,71 | 0,74 | 0,78 | 0,82 |
15° | 0,67 | 0,71 | 0,76 | 0,80 | 0,85 | 0,90 | 0,95 |
20° | | 0° | 0,49 | 0,52 | 0,55 | 0,58 | 0,61 | 0,64 | 0,66 |
10° | 0,57 | 0,61 | 0,64 | 0,68 | 0,72 | 0,76 | 0,80 |
15° | 0,64 | 0,68 | 0,72 | 0,77 | 0,82 | 0,86 | 0,92 |
20° | 0,88 | 0,94 | 1,00 | 1,06 | 1,13 | 1,21 | 1,29 |
21° | | 0° | 0,47 | 0,50 | 0,53 | 0,56 | 0,59 | 0,62 | 0,65 |
10° | 0,55 | 0,58 | 0,62 | 0,66 | 0,70 | 0,74 | 0,78 |
15° | 0,61 | 0,65 | 0,70 | 0,74 | 0,79 | 0,83 | 0,89 |
20° | 0,75 | 0,80 | 0,85 | 0,91 | 0,97 | 1,03 | 1,10 |
22° | | 0° | 0,46 | 0,49 | 0,52 | 0,55 | 0,58 | 0,61 | 0,64 |
10° | 0,52 | 0,56 | 0,60 | 0,64 | 0,68 | 0,72 | 0,76 |
15° | 0,58 | 0,62 | 0,67 | 0,71 | 0,76 | 0,81 | 0,86 |
20° | 0,69 | 0,74 | 0,79 | 0,85 | 0,91 | 0,97 | 1,03 |
23° | | 0° | 0,44 | 0,47 | 0,50 | 0,53 | 0,56 | 0,59 | 0,62 |
10° | 0,50 | 0,54 | 0,58 | 0,62 | 0,66 | 0,70 | 0,74 |
15° | 0,55 | 0,60 | 0,64 | 0,69 | 0,73 | 0,78 | 0,83 |
20° | 0,64 | 0,69 | 0,75 | 0,80 | 0,86 | 0,92 | 0,98 |
24° | | 0° | 0,42 | 0,45 | 0,49 | 0,51 | 0,55 | 0,58 | 0,61 |
10° | 0,48 | 0,52 | 0,56 | 0,60 | 0,64 | 0,68 | 0,73 |
15° | 0,53 | 0,57 | 0,62 | 0,66 | 0,71 | 0,76 | 0,81 |
20° | 0,61 | 0,66 | 0,71 | 0,76 | 0,82 | 0,88 | 0,94 |
25° | | 0° | 0,41 | 0,44 | 0,47 | 0,50 | 0,53 | 0,57 | 0,60 |
10° | 0,46 | 0,50 | 0,54 | 0,58 | 0,62 | 0,66 | 0,71 |
15° | 0,51 | 0,55 | 0,59 | 0,64 | 0,69 | 0,73 | 0,79 |
20° | 0,57 | 0,62 | 0,67 | 0,73 | 0,78 | 0,84 | 0,91 |
25° | 0,82 | 0,89 | 0,96 | 1,04 | 1,12 | 1,22 | 1,32 |
26° | | 0° | 0,39 | 0,42 | 0,46 | 0,49 | 0,52 | 0,55 | 0,59 |
10° | 0,44 | 0,48 | 0,52 | 0,56 | 0,60 | 0,65 | 0,69 |
15° | 0,48 | 0,53 | 0,57 | 0,62 | 0,66 | 0,71 | 0,77 |
20° | 0,54 | 0,59 | 0,64 | 0,70 | 0,75 | 0,81 | 0,87 |
25° | 0,68 | 0,74 | 0,80 | 0,87 | 0,94 | 1,02 | 1,11 |
27° | | 0° | 0,38 | 0,41 | 0,44 | 0,47 | 0,51 | 0,54 | 0,57 |
10° | 0,43 | 0,46 | 0,50 | 0,55 | 0,59 | 0,63 | 0,67 |
15° | 0,46 | 0,50 | 0,55 | 0,60 | 0,64 | 0,69 | 0,75 |
20° | 0,51 | 0,56 | 0,61 | 0,67 | 0,72 | 0,78 | 0,84 |
25° | 0,62 | 0,68 | 0,74 | 0,80 | 0,87 | 0,95 | 1,03 |
28° | | 0° | 0,36 | 0,39 | 0,43 | 0,46 | 0,49 | 0,53 | 0,56 |
10° | 0,31 | 0,45 | 0,49 | 0,53 | 0,57 | 0,61 | 0,66 |
15° | 0,44 | 0,48 | 0,53 | 0,57 | 0,62 | 0,67 | 0,72 |
20° | 0,49 | 0,54 | 0,59 | 0,64 | 0,70 | 0,75 | 0,82 |
25° | 0,58 | 0,63 | 0,69 | 0,76 | 0,82 | 0,89 | 0,98 |
29° | | 0° | 0,35 | 0,38 | 0,41 | 0,45 | 0,48 | 0,51 | 0,55 |
10° | 0,39 | 0,43 | 0,47 | 0,51 | 0,55 | 0,60 | 0,64 |
15° | 0,42 | 0,46 | 0,51 | 0,55 | 0,60 | 0,65 | 0,71 |
20° | 0,46 | 0,51 | 0,56 | 0,62 | 0,67 | 0,73 | 0,79 |
25° | 0,54 | 0,59 | 0,65 | 0,71 | 0,78 | 0,85 | 0,93 |
30° | | 0° | 0,33 | 0,37 | 0,40 | 0,43 | 0,47 | 0,50 | 0,54 |
10° | 0,37 | 0,41 | 0,45 | 0,50 | 0,54 | 0,58 | 0,63 |
15° | 0,40 | 0,44 | 0,49 | 0,54 | 0,58 | 0,64 | 0,69 |
20° | 0,44 | 0,49 | 0,54 | 0,59 | 0,65 | 0,71 | 0,77 |
25° | 0,50 | 0,56 | 0,62 | 0,68 | 0,74 | 0,82 | 0,89 |
30° | 0,72 | 0,79 | 0,87 | 0,96 | 1,06 | 1,16 | 1,28 |
31° | | 0° | 0,32 | 0,35 | 0,39 | 0,42 | 0,46 | 0,49 | 0,53 |
10° | 0,36 | 0,40 | 0,44 | 0,48 | 0,52 | 0,57 | 0,61 |
15° | 0,38 | 0,43 | 0,47 | 0,52 | 0,57 | 0,62 | 0,67 |
20° | 0,42 | 0,47 | 0,52 | 0,57 | 0,62 | 0,68 | 0,74 |
25° | 0,48 | 0,53 | 0,59 | 0,65 | 0,71 | 0,78 | 0,86 |
30° | 0,61 | 0,67 | 0,74 | 0,82 | 0,90 | 1,00 | 1,10 |
32° | | 0° | 0,31 | 0,34 | 0,37 | 0,41 | 0,44 | 0,48 | 0,51 |
10° | 0,34 | 0,38 | 0,42 | 0,46 | 0,51 | 0,55 | 0,60 |
15° | 0,37 | 0,41 | 0,45 | 0,50 | 0,55 | 0,60 | 0,65 |
20° | 0,40 | 0,46 | 0,49 | 0,55 | 0,60 | 0,66 | 0,72 |
25° | 0,45 | 0,50 | 0,56 | 0,62 | 0,68 | 0,75 | 0,82 |
30° | 0,55 | 0,61 | 0,68 | 0,75 | 0,83 | 0,92 | 1,01 |
33° | | 0° | 0,30 | 0,33 | 0,36 | 0,40 | 0,43 | 0,47 | 0,50 |
10° | 0,33 | 0,37 | 0,41 | 0,45 | 0,49 | 0,54 | 0,58 |
15° | 0,35 | 0,39 | 0,44 | 0,48 | 0,53 | 0,58 | 0,63 |
20° | 0,38 | 0,43 | 0,47 | 0,53 | 0,58 | 0,64 | 0,70 |
25° | 0,42 | 0,47 | 0,53 | 0,59 | 0,65 | 0,72 | 0,79 |
30° | 0,50 | 0,56 | 0,63 | 0,70 | 0,78 | 0,86 | 0,95 |
34° | | 0° | 0,28 | 0,32 | 0,35 | 0,38 | 0,42 | 0,45 | 0,49 |
10° | 0,31 | 0,35 | 0,39 | 0,43 | 0,48 | 0,52 | 0,56 |
15° | 0,33 | 0,38 | 0,42 | 0,46 | 0,51 | 0,56 | 0,62 |
20° | 0,36 | 0,41 | 0,46 | 0,51 | 0,56 | 0,62 | 0,68 |
25° | 0,40 | 0,45 | 0,51 | 0,56 | 0,63 | 0,69 | 0,76 |
30° | 0,47 | 0,53 | 0,59 | 0,66 | 0,73 | 0,81 | 0,90 |
35° | | 0° | 0,27 | 0,30 | 0,34 | 0,37 | 0,41 | 0,44 | 0,48 |
10° | 0,30 | 0,37 | 0,38 | 0,42 | 0,46 | 0,51 | 0,56 |
15° | 0,32 | 0,36 | 0,40 | 0,45 | 0,50 | 0,55 | 0,60 |
20° | 0,34 | 0,39 | 0,44 | 0,49 | 0,54 | 0,60 | 0,66 |
25° | 0,38 | 0,43 | 0,48 | 0,54 | 0,60 | 0,67 | 0,74 |
30° | 0,44 | 0,49 | 0,56 | 0,62 | 0,70 | 0,78 | 0,86 |
35° | 0,64 | 0,72 | 0,81 | 0,91 | 1,01 | 1,13 | 1,27 |
36° | | 0° | 0,26 | 0,29 | 0,33 | 0,36 | 0,40 | 0,43 | 0,47 |
10° | 0,29 | 0,32 | 0,36 | 0,41 | 0,45 | 0,49 | 0,54 |
15° | 0,30 | 0,34 | 0,39 | 0,43 | 0,48 | 0,53 | 0,59 |
20° | 0,33 | 0,37 | 0,42 | 0,47 | 0,52 | 0,58 | 0,64 |
25° | 0,36 | 0,41 | 0,46 | 0,52 | 0,58 | 0,64 | 0,71 |
30° | 0,41 | 0,46 | 0,53 | 0,59 | 0,66 | 0,74 | 0,82 |
35° | 0,53 | 0,60 | 0,67 | 0,76 | 0,85 | 0,95 | 1,07 |
37° | | 0° | 0,25 | 0,28 | 0,32 | 0,35 | 0,39 | 0,42 | 0,46 |
10° | 0,27 | 0,31 | 0,35 | 0,39 | 0,44 | 0,48 | 0,53 |
15° | 0,29 | 0,33 | 0,37 | 0,42 | 0,47 | 0,52 | 0,57 |
20° | 0,31 | 0,35 | 0,40 | 0,45 | 0,50 | 0,56 | 0,62 |
25° | 0,34 | 0,39 | 0,44 | 0,50 | 0,56 | 0,62 | 0,68 |
30° | 0,38 | 0,44 | 0,50 | 0,56 | 0,63 | 0,71 | 0,79 |
35° | 0,47 | 0,54 | 0,61 | 0,69 | 0,78 | 0,88 | 0,98 |
38° | | 0° | 0,24 | 0,27 | 0,30 | 0,34 | 0,37 | 0,41 | 0,45 |
10° | 0,26 | 0,30 | 0,34 | 0,38 | 0,42 | 0,47 | 0,52 |
15° | 0,28 | 0,32 | 0,36 | 0,40 | 0,45 | 0,50 | 0,56 |
20° | 0,30 | 0,34 | 0,39 | 0,43 | 0,49 | 0,55 | 0,61 |
25° | 0,32 | 0,37 | 0,42 | 0,48 | 0,54 | 0,60 | 0,67 |
30° | 0,36 | 0,41 | 0,47 | 0,53 | 0,60 | 0,68 | 0,76 |
35° | 0,43 | 0,50 | 0,57 | 0,64 | 0,72 | 0,82 | 0,92 |
39° | | 0° | 0,23 | 0,26 | 0,29 | 0,33 | 0,36 | 0,40 | 0,44 |
10° | 0,25 | 0,29 | 0,33 | 0,37 | 0,41 | 0,45 | 0,50 |
15° | 0,26 | 0,30 | 0,35 | 0,39 | 0,44 | 0,49 | 0,54 |
20° | 0,28 | 0,32 | 0,37 | 0,42 | 0,47 | 0,53 | 0,59 |
25° | 0,30 | 0,35 | 0,40 | 0,46 | 0,52 | 0,58 | 0,65 |
30° | 0,34 | 0,39 | 0,45 | 0,51 | 0,58 | 0,65 | 0,73 |
35° | 0,40 | 0,46 | 0,53 | 0,60 | 0,68 | 0,77 | 0,87 |
40° | | 0° | 0,22 | 0,25 | 0,28 | 0,32 | 0,35 | 0,39 | 0,43 |
10° | 0,24 | 0,27 | 0,31 | 0,35 | 0,40 | 0,44 | 0,49 |
15° | 0,25 | 0,29 | 0,33 | 0,38 | 0,42 | 0,47 | 0,52 |
20° | 0,27 | 0,31 | 0,35 | 0,40 | 0,45 | 0,51 | 0,57 |
25° | 0,29 | 0,33 | 0,38 | 0,44 | 0,50 | 0,56 | 0,62 |
30° | 0,32 | 0,37 | 0,43 | 0,49 | 0,55 | 0,62 | 0,70 |
35° | 0,37 | 0,43 | 0,49 | 0,57 | 0,64 | 0,73 | 0,82 |
40° | 0,59 | 0,68 | 0,77 | 0,88 | 1,00 | 1,14 | 1,29 |

| | Значение коэффициента  при угле  , равном |
0° | 5° | 10° | 15° | 20° | 25° | 30° |
15° | | 0° | 0,54 | 0,56 | 0,58 | 0,60 | 0,62 | 0,64 | 0,65 |
10° | 0,66 | 0,70 | 0,73 | 0,76 | 0,79 | 0,82 | 0,85 |
15° | 0,93 | 0,98 | 1,02 | 1,07 | 1,12 | 1,18 | 1,24 |
16° | | 0° | 0,52 | 0,54 | 0,56 | 0,58 | 0,60 | 0,62 | 0,64 |
10° | 0,63 | 0,66 | 0,70 | 0,73 | 0,76 | 0,79 | 0,82 |
15° | 0,78 | 0,82 | 0,86 | 0,91 | 0,95 | 0,99 | 1,04 |
17° | | 0° | 0,50 | 0,52 | 0,54 | 0,56 | 0,58 | 0,60 | 0,62 |
10° | 0,60 | 0,63 | 0,67 | 0,70 | 0,73 | 0,76 | 0,79 |
15° | 0,72 | 0,76 | 0,80 | 0,84 | 0,88 | 0,93 | 0,97 |
18° | | 0° | 0,48 | 0,50 | 0,53 | 0,55 | 0,57 | 0,59 | 0,60 |
10° | 0,57 | 0,61 | 0,64 | 0,67 | 0,70 | 0,73 | 0,76 |
15° | 0,67 | 0,71 | 0,75 | 0,79 | 0,83 | 0,88 | 0,92 |
19° | | 0° | 0,46 | 0,48 | 0,51 | 0,53 | 0,55 | 0,57 | 0,59 |
10° | 0,55 | 0,58 | 0,61 | 0,64 | 0,68 | 0,71 | 0,74 |
15° | 0,63 | 0,67 | 0,71 | 0,75 | 0,79 | 0,83 | 0,88 |
20° | | 0° | 0,44 | 0,47 | 0,49 | 0,51 | 0,53 | 0,55 | 0,57 |
10° | 0,52 | 0,56 | 0,59 | 0,62 | 0,65 | 0,68 | 0,71 |
15° | 0,60 | 0,64 | 0,68 | 0,71 | 0,76 | 0,80 | 0,84 |
20° | 0,88 | 0,94 | 1,00 | 1,06 | 1,13 | 1,21 | 1,29 |
21° | | 0° | 0,42 | 0,45 | 0,47 | 0,50 | 0,52 | 0,54 | 0,35 |
10° | 0,50 | 0,53 | 0,57 | 0,60 | 0,63 | 0,66 | 0,69 |
15° | 0,57 | 0,61 | 0,64 | 0,68 | 0,72 | 0,76 | 0,80 |
20° | 0,72 | 0,77 | 0,82 | 0,88 | 0,93 | 0,99 | 1,05 |
22° | | 0° | 0,41 | 0,43 | 0,46 | 0,48 | 0,50 | 0,52 | 0,54 |
10° | 0,48 | 0,51 | 0,54 | 0,57 | 0,61 | 0,64 | 0,67 |
15° | 0,54 | 0,58 | 0,61 | 0,65 | 0,69 | 0,73 | 0,77 |
20° | 0,66 | 0,70 | 0,75 | 0,80 | 0,86 | 0,91 | 0,97 |
23° | | 0° | 0,39 | 0,42 | 0,44 | 0,46 | 0,49 | 0,51 | 0,52 |
10° | 0,46 | 0,49 | 0,52 | 0,55 | 0,59 | 0,62 | 0,65 |
15° | 0,51 | 0,55 | 0,59 | 0,62 | 0,66 | 0,70 | 0,74 |
20° | 0,61 | 0,66 | 0,70 | 0,75 | 0,80 | 0,86 | 0,91 |
24° | | 0° | 0,37 | 0,40 | 0,42 | 0,45 | 0,47 | 0,49 | 0,51 |
10° | 0,44 | 0,47 | 0,50 | 0,53 | 0,56 | 0,60 | 0,63 |
15° | 0,49 | 0,52 | 0,56 | 0,60 | 0,64 | 0,68 | 0,72 |
20° | 0,57 | 0,61 | 0,66 | 0,71 | 0,76 | 0,81 | 0,86 |
25° | | 0° | 0,36 | 0,39 | 0,41 | 0,43 | 0,46 | 0,48 | 0,50 |
10° | 0,42 | 0,45 | 0,48 | 0,51 | 0,54 | 0,58 | 0,61 |
15° | 0,46 | 0,50 | 0,54 | 0,57 | 0,61 | 0,65 | 0,69 |
20° | 0,53 | 0,58 | 0,62 | 0,67 | 0,72 | 0,77 | 0,82 |
25° | 0,82 | 0,89 | 0,96 | 1,04 | 1,12 | 1,22 | 1,32 |
26° | | 0° | 0,34 | 0,37 | 0,40 | 0,42 | 0,44 | 0,46 | 0,48 |
10° | 0,40 | 0,43 | 0,46 | 0,50 | 0,53 | 0,56 | 0,59 |
15° | 0,44 | 0,48 | 0,51 | 0,55 | 0,59 | 0,63 | 0,67 |
20° | 0,50 | 0,55 | 0,59 | 0,64 | 0,68 | 0,73 | 0,78 |
25° | 0,65 | 0,71 | 0,77 | 0,83 | 0,90 | 0,97 | 1,05 |
27° | | 0° | 0,33 | 0,36 | 0,38 | 0,41 | 0,43 | 0,45 | 0,47 |
10° | 0,38 | 0,41 | 0,45 | 0,48 | 0,51 | 0,54 | 0,57 |
15° | 0,42 | 0,45 | 0,49 | 0,53 | 0,57 | 0,60 | 0,64 |
20° | 0,47 | 0,52 | 0,56 | 0,61 | 0,65 | 0,70 | 0,75 |
25° | 0,59 | 0,64 | 0,70 | 0,76 | 0,82 | 0,89 | 0,96 |
28° | | 0° | 0,32 | 0,34 | 0,37 | 0,39 | 0,42 | 0,44 | 0,46 |
10° | 0,36 | 0,40 | 0,43 | 0,46 | 0,49 | 0,52 | 0,55 |
15° | 0,40 | 0,43 | 0,47 | 0,51 | 0,55 | 0,58 | 0,62 |
20° | 0,45 | 0,49 | 0,53 | 0,58 | 0,62 | 0,67 | 0,72 |
25° | 0,54 | 0,60 | 0,65 | 0,71 | 0,76 | 0,83 | 0,89 |
29° | | 0° | 0,30 | 0,33 | 0,36 | 0,38 | 0,40 | 0,42 | 0,44 |
10° | 0,35 | 0,38 | 0,41 | 0,44 | 0,47 | 0,51 | 0,53 |
15° | 0,38 | 0,41 | 0,45 | 0,49 | 0,52 | 0,56 | 0,60 |
20° | 0,42 | 0,47 | 0,51 | 0,55 | 0,60 | 0,64 | 0,69 |
25° | 0,50 | 0,55 | 0,61 | 0,66 | 0,72 | 0,78 | 0,84 |
30° | | 0° | 0,29 | 0,32 | 0,34 | 0,37 | 0,39 | 0,41 | 0,43 |
10° | 0,33 | 0,36 | 0,40 | 0,43 | 0,46 | 0,49 | 0,52 |
15° | 0,36 | 0,40 | 0,43 | 0,47 | 0,51 | 0,54 | 0,58 |
20° | 0,40 | 0,44 | 0,48 | 0,53 | 0,57 | 0,62 | 0,66 |
25° | 0,47 | 0,52 | 0,57 | 0,62 | 0,68 | 0,73 | 0,79 |
30° | 0,75 | 0,83 | 0,91 | 1,00 | 1,10 | 1,21 | 1,33 |
31° | | 0° | 0,28 | 0,31 | 0,33 | 0,36 | 0,38 | 0,40 | 0,42 |
10° | 0,32 | 0,35 | 0,38 | 0,41 | 0,44 | 0,47 | 0,50 |
15° | 0,34 | 0,38 | 0,42 | 0,45 | 0,49 | 0,52 | 0,56 |
20° | 0,38 | 0,42 | 0,46 | 0,50 | 0,55 | 0,59 | 0,64 |
25° | 0,44 | 0,49 | 0,54 | 0,59 | 0,64 | 0,70 | 0,75 |
30° | 0,58 | 0,65 | 0,72 | 0,78 | 0,86 | 0,94 | 1,04 |
32° | | 0° | 0,27 | 0,29 | 0,32 | 0,34 | 0,37 | 0,39 | 0,41 |
10° | 0,30 | 0,33 | 0,37 | 0,40 | 0,43 | 0,46 | 0,49 |
15° | 0,33 | 0,36 | 0,40 | 0,43 | 0,47 | 0,51 | 0,54 |
20° | 0,36 | 0,40 | 0,44 | 0,48 | 0,53 | 0,57 | 0,61 |
25° | 0,41 | 0,46 | 0,51 | 0,56 | 0,61 | 0,66 | 0,72 |
30° | 0,52 | 0,58 | 0,64 | 0,71 | 0,78 | 0,85 | 0,94 |
33° | | 0° | 0,26 | 0,28 | 0,31 | 0,33 | 0,36 | 0,38 | 0,40 |
10° | 0,29 | 0,32 | 0,35 | 0,38 | 0,41 | 0,44 | 0,47 |
15° | 0,31 | 0,35 | 0,38 | 0,42 | 0,45 | 0,49 | 0,52 |
20° | 0,34 | 0,38 | 0,42 | 0,46 | 0,50 | 0,55 | 0,59 |
25° | 0,39 | 0,43 | 0,48 | 0,53 | 0,58 | 0,63 | 0,69 |
30° | 0,47 | 0,53 | 0,59 | 0,65 | 0,72 | 0,79 | 0,86 |
34° | | 0° | 0,24 | 0,27 | 0,30 | 0,32 | 0,34 | 0,37 | 0,38 |
10° | 0,28 | 0,31 | 0,34 | 0,37 | 0,40 | 0,43 | 0,46 |
15° | 0,30 | 0,33 | 0,37 | 0,40 | 0,44 | 0,47 | 0,51 |
20° | 0,32 | 0,36 | 0,40 | 0,44 | 0,48 | 0,53 | 0,57 |
25° | 0,36 | 0,41 | 0,45 | 0,50 | 0,55 | 0,60 | 0,66 |
30° | 0,44 | 0,49 | 0,55 | 0,61 | 0,67 | 0,74 | 0,81 |
35° | | 0° | 0,23 | 0,26 | 0,29 | 0,31 | 0,33 | 0,35 | 0,37 |
10° | 0,26 | 0,29 | 0,32 | 0,36 | 0,39 | 0,41 | 0,44 |
15° | 0,28 | 0,32 | 0,35 | 0,39 | 0,42 | 0,45 | 0,49 |
20° | 0,31 | 0,35 | 0,38 | 0,42 | 0,46 | 0,50 | 0,55 |
25° | 0,34 | 0,39 | 0,43 | 0,48 | 0,53 | 0,58 | 0,63 |
30° | 0,40 | 0,46 | 0,51 | 0,57 | 0,63 | 0,69 | 0,76 |
35° | 0,67 | 0,76 | 0,85 | 0,95 | 1,06 | 1,18 | 1,32 |
36° | | 0° | 0,22 | 0,25 | 0,28 | 0,30 | 0,32 | 0,34 | 0,36 |
10° | 0,25 | 0,28 | 0,31 | 0,34 | 0,37 | 0,40 | 0,43 |
15° | 0,27 | 0,30 | 0,34 | 0,37 | 0,41 | 0,44 | 0,47 |
20° | 0,29 | 0,33 | 0,37 | 0,41 | 0,45 | 0,49 | 0,53 |
25° | 0,32 | 0,37 | 0,41 | 0,46 | 0,50 | 0,55 | 0,60 |
30° | 0,38 | 0,43 | 0,48 | 0,53 | 0,59 | 0,65 | 0,72 |
35° | 0,51 | 0,58 | 0,65 | 0,73 | 0,81 | 0,90 | 1,00 |
37° | | 0° | 0,21 | 0,24 | 0,27 | 0,29 | 0,31 | 0,33 | 0,35 |
10° | 0,24 | 0,27 | 0,30 | 0,33 | 0,36 | 0,39 | 0,42 |
15° | 0,26 | 0,29 | 0,32 | 0,36 | 0,42 | 0,43 | 0,46 |
20° | 0,28 | 0,31 | 0,35 | 0,39 | 0,43 | 0,48 | 0,51 |
25° | 0,30 | 0,35 | 0,39 | 0,43 | 0,48 | 0,53 | 0,58 |
30° | 0,35 | 0,40 | 0,45 | 0,50 | 0,56 | 0,62 | 0,68 |
35° | 0,45 | 0,51 | 0,58 | 0,65 | 0,73 | 0,81 | 0,90 |
38° | | 0° | 0,21 | 0,23 | 0,26 | 0,28 | 0,30 | 0,32 | 0,34 |
10° | 0,23 | 0,26 | 0,29 | 0,32 | 0,35 | 0,38 | 0,40 |
15° | 0,24 | 0,28 | 0,31 | 0,34 | 0,37 | 0,41 | 0,44 |
20° | 0,26 | 0,30 | 0,34 | 0,37 | 0,41 | 0,45 | 0,49 |
25° | 0,29 | 0,33 | 0,37 | 0,41 | 0,46 | 0,51 | 0,55 |
30° | 0,33 | 0,37 | 0,42 | 0,48 | 0,53 | 0,59 | 0,65 |
35° | 0,40 | 0,46 | 0,53 | 0,59 | 0,66 | 0,74 | 0,82 |
39° | | 0° | 0,20 | 0,22 | 0,25 | 0,27 | 0,29 | 0,31 | 0,33 |
10° | 0,22 | 0,25 | 0,28 | 0,31 | 0,34 | 0,36 | 0,39 |
15° | 0,23 | 0,26 | 0,30 | 0,33 | 0,36 | 0,40 | 0,43 |
20° | 0,25 | 0,28 | 0,32 | 0,36 | 0,40 | 0,43 | 0,47 |
25° | 0,27 | 0,31 | 0,35 | 0,40 | 0,44 | 0,48 | 0,53 |
30° | 0,31 | 0,35 | 0,40 | 0,45 | 0,50 | 0,56 | 0,62 |
35° | 0,37 | 0,43 | 0,49 | 0,55 | 0,62 | 0,69 | 0,77 |
40° | | 0° | 0,19 | 0,21 | 0,24 | 0,26 | 0,28 | 0,30 | 0,32 |
10° | 0,21 | 0,24 | 0,26 | 0,29 | 0,32 | 0,35 | 0,38 |
15° | 0,22 | 0,25 | 0,28 | 0,32 | 0,35 | 0,38 | 0,41 |
20° | 0,24 | 0,27 | 0,31 | 0,34 | 0,38 | 0,42 | 0,46 |
25° | 0,26 | 0,30 | 0,34 | 0,38 | 0,42 | 0,47 | 0,51 |
30° | 0,29 | 0,33 | 0,38 | 0,43 | 0,48 | 0,53 | 0,59 |
35° | 0,34 | 0,39 | 0,45 | 0,51 | 0,57 | 0,64 | 0,72 |
40° | 0,59 | 0,68 | 0,77 | 0,88 | 1,00 | 1,14 | 1,29 |

| | Значение коэффициента  при угле  , равном |
0° | 5° | 10° | 15° | 20° | 25° | 30° | 35° |
15° | | 0° | 0,50 | 0,52 | 0,54 | 0,55 | 0,57 | 0,58 | 0,58 | 0,59 |
10° | 0,63 | 0,66 | 0,69 | 0,71 | 0,74 | 0,76 | 0,79 | 0,81 |
15° | 0,93 | 0,98 | 1,02 | 1,07 | 1,12 | 1,18 | 1,24 | 1,32 |
16° | | 0° | 0,48 | 0,50 | 0,52 | 0,53 | 0,54 | 0,56 | 0,56 | 0,57 |
10° | 0,60 | 0,62 | 0,65 | 0,68 | 0,71 | 0,73 | 0,75 | 0,77 |
15° | 0,76 | 0,80 | 0,84 | 0,88 | 0,92 | 0,96 | 1,01 | 1,05 |
17° | | 0° | 0,46 | 0,48 | 0,50 | 0,51 | 0,52 | 0,54 | 0,54 | 0,55 |
10° | 0,57 | 0,60 | 0,62 | 0,65 | 0,67 | 0,70 | 0,72 | 0,74 |
15° | 0,70 | 0,73 | 0,77 | 0,81 | 0,84 | 0,88 | 0,92 | 0,96 |
18° | | 0° | 0,44 | 0,46 | 0,48 | 0,49 | 0,51 | 0,52 | 0,52 | 0,53 |
10° | 0,54 | 0,57 | 0,59 | 0,62 | 0,64 | 0,67 | 0,69 | 0,71 |
15° | 0,65 | 0,68 | 0,72 | 0,75 | 0,79 | 0,82 | 0,86 | 0,90 |
19° | | 0° | 0,42 | 0,44 | 0,46 | 0,47 | 0,49 | 0,50 | 0,51 | 0,51 |
10° | 0,51 | 0,54 | 0,57 | 0,59 | 0,62 | 0,64 | 0,66 | 0,68 |
15° | 0,60 | 0,64 | 0,67 | 0,71 | 0,74 | 0,78 | 0,81 | 0,84 |
20° | | 0° | 0,40 | 0,42 | 0,44 | 0,46 | 0,47 | 0,48 | 0,49 | 0,49 |
10° | 0,49 | 0,51 | 0,54 | 0,57 | 0,59 | 0,61 | 0,63 | 0,65 |
15° | 0,57 | 0,60 | 0,63 | 0,67 | 0,70 | 0,73 | 0,77 | 0,80 |
20° | 0,88 | 0,94 | 1,00 | 1,06 | 1,13 | 1,21 | 1,29 | 1,39 |
21° | | 0° | 0,38 | 0,40 | 0,42 | 0,44 | 0,45 | 0,46 | 0,47 | 0,47 |
10° | 0,46 | 0,49 | 0,52 | 0,54 | 0,57 | 0,59 | 0,61 | 0,62 |
15° | 0,53 | 0,57 | 0,60 | 0,63 | 0,67 | 0,70 | 0,72 | 0,75 |
20° | 0,70 | 0,75 | 0,80 | 0,84 | 0,90 | 0,95 | 1,01 | 1,07 |
22° | | 0° | 0,37 | 0,39 | 0,41 | 0,42 | 0,44 | 0,45 | 0,45 | 0,46 |
10° | 0,44 | 0,47 | 0,49 | 0,52 | 0,54 | 0,56 | 0,58 | 0,60 |
15° | 0,50 | 0,54 | 0,57 | 0,60 | 0,63 | 0,66 | 0,69 | 0,72 |
20° | 0,63 | 0,68 | 0,72 | 0,77 | 0,81 | 0,86 | 0,91 | 0,96 |
23° | | 0° | 0,35 | 0,37 | 0,39 | 0,41 | 0,42 | 0,43 | 0,44 | 0,44 |
10° | 0,42 | 0,45 | 0,47 | 0,50 | 0,52 | 0,54 | 0,56 | 0,57 |
15° | 0,48 | 0,51 | 0,54 | 0,57 | 0,60 | 0,63 | 0,66 | 0,68 |
20° | 0,58 | 0,62 | 0,67 | 0,71 | 0,75 | 0,79 | 0,84 | 0,88 |
24° | | 0° | 0,34 | 0,36 | 0,38 | 0,39 | 0,40 | 0,41 | 0,42 | 0,42 |
10° | 0,40 | 0,43 | 0,45 | 0,48 | 0,50 | 0,52 | 0,54 | 0,55 |
15° | 0,45 | 0,48 | 0,51 | 0,54 | 0,57 | 0,60 | 0,63 | 0,65 |
20° | 0,54 | 0,58 | 0,62 | 0,66 | 0,70 | 0,74 | 0,78 | 0,82 |
25° | | 0° | 0,32 | 0,34 | 0,36 | 0,38 | 0,39 | 0,40 | 0,41 | 0,41 |
10° | 0,38 | 0,41 | 0,43 | 0,46 | 0,48 | 0,50 | 0,51 | 0,52 |
15° | 0,42 | 0,46 | 0,49 | 0,52 | 0,55 | 0,57 | 0,60 | 0,62 |
20° | 0,50 | 0,54 | 0,58 | 0,62 | 0,66 | 0,70 | 0,73 | 0,77 |
25° | 0,82 | 0,89 | 0,96 | 1,04 | 1,12 | 1,22 | 1,32 | 1,45 |
26° | | 0° | 0,31 | 0,33 | 0,35 | 0,36 | 0,38 | 0,38 | 0,39 | 0,39 |
10° | 0,36 | 0,39 | 0,41 | 0,44 | 0,46 | 0,48 | 0,49 | 0,50 |
15° | 0,40 | 0,43 | 0,46 | 0,49 | 0,52 | 0,55 | 0,57 | 0,57 |
20° | 0,47 | 0,51 | 0,55 | 0,58 | 0,62 | 0,66 | 0,69 | 0,72 |
25° | 0,63 | 0,69 | 0,74 | 0,80 | 0,86 | 0,92 | 0,99 | 1,06 |
27° | | 0° | 0,29 | 0,31 | 0,33 | 0,35 | 0,36 | 0,37 | 0,38 | 0,37 |
10° | 0,34 | 0,37 | 0,40 | 0,42 | 0,44 | 0,46 | 0,47 | 0,48 |
15° | 0,38 | 0,41 | 0,44 | 0,47 | 0,50 | 0,52 | 0,54 | 0,56 |
20° | 0,44 | 0,48 | 0,51 | 0,55 | 0,59 | 0,62 | 0,65 | 0,68 |
25° | 0,56 | 0,61 | 0,66 | 0,72 | 0,77 | 0,83 | 0,88 | 0,94 |
28° | | 0° | 0,28 | 0,30 | 0,32 | 0,33 | 0,35 | 0,36 | 0,36 | 0,36 |
10° | 0,33 | 0,35 | 0,38 | 0,40 | 0,42 | 0,44 | 0,45 | 0,46 |
15° | 0,36 | 0,39 | 0,42 | 0,45 | 0,47 | 0,50 | 0,52 | 0,53 |
20° | 0,41 | 0,45 | 0,49 | 0,52 | 0,55 | 0,59 | 0,62 | 0,64 |
25° | 0,51 | 0,56 | 0,61 | 0,66 | 0,71 | 0,75 | 0,80 | 0,85 |
29° | | 0° | 0,27 | 0,29 | 0,31 | 0,32 | 0,33 | 0,34 | 0,35 | 0,34 |
10° | 0,31 | 0,34 | 0,36 | 0,38 | 0,40 | 0,42 | 0,43 | 0,44 |
15° | 0,34 | 0,37 | 0,40 | 0,43 | 0,45 | 0,48 | 0,48 | 0,51 |
20° | 0,39 | 0,42 | 0,46 | 0,49 | 0,53 | 0,56 | 0,58 | 0,61 |
25° | 0,47 | 0,52 | 0,56 | 0,61 | 0,65 | 0,70 | 0,74 | 0,78 |
30° | | 0° | 0,26 | 0,28 | 0,29 | 0,31 | 0,32 | 0,33 | 0,33 | 0,33 |
10° | 0,30 | 0,32 | 0,35 | 0,37 | 0,39 | 0,40 | 0,41 | 0,42 |
15° | 0,33 | 0,35 | 0,38 | 0,41 | 0,43 | 0,46 | 0,47 | 0,48 |
20° | 0,37 | 0,40 | 0,44 | 0,47 | 0,50 | 0,53 | 0,55 | 0,57 |
25° | 0,44 | 0,48 | 0,52 | 0,57 | 0,61 | 0,65 | 0,69 | 0,73 |
30° | 0,75 | 0,83 | 0,91 | 1,00 | 1,10 | 1,21 | 1,33 | 1,48 |
31° | | 0° | 0,25 | 0,27 | 0,28 | 0,30 | 0,31 | 0,32 | 0,32 | 0,32 |
10° | 0,28 | 0,31 | 0,33 | 0,35 | 0,37 | 0,39 | 0,40 | 0,40 |
15° | 0,31 | 0,34 | 0,37 | 0,39 | 0,41 | 0,43 | 0,45 | 0,46 |
20° | 0,35 | 0,38 | 0,41 | 0,44 | 0,47 | 0,50 | 0,52 | 0,54 |
25° | 0,41 | 0,45 | 0,49 | 0,53 | 0,57 | 0,61 | 0,65 | 0,68 |
30° | 0,56 | 0,62 | 0,68 | 0,75 | 0,83 | 0,88 | 0,97 | 1,04 |
32° | | 0° | 0,23 | 0,25 | 0,27 | 0,29 | 0,30 | 0,31 | 0,31 | 0,30 |
10° | 0,27 | 0,29 | 0,32 | 0,34 | 0,36 | 0,37 | 0,38 | 0,38 |
15° | 0,29 | 0,32 | 0,35 | 0,37 | 0,40 | 0,42 | 0,43 | 0,44 |
20° | 0,33 | 0,36 | 0,39 | 0,42 | 0,45 | 0,48 | 0,50 | 0,51 |
25° | 0,38 | 0,42 | 0,46 | 0,50 | 0,54 | 0,57 | 0,61 | 0,63 |
30° | 0,49 | 0,55 | 0,60 | 0,66 | 0,72 | 0,78 | 0,84 | 0,90 |
33° | | 0° | 0,22 | 0,24 | 0,26 | 0,27 | 0,29 | 0,29 | 0,29 | 0,29 |
10° | 0,26 | 0,28 | 0,30 | 0,32 | 0,34 | 0,35 | 0,36 | 0,36 |
15° | 0,28 | 0,31 | 0,33 | 0,36 | 0,38 | 0,40 | 0,41 | 0,41 |
20° | 0,31 | 0,34 | 0,37 | 0,40 | 0,43 | 0,45 | 0,47 | 0,48 |
25° | 0,35 | 0,39 | 0,43 | 0,47 | 0,50 | 0,54 | 0,57 | 0,59 |
30° | 0,45 | 0,50 | 0,55 | 0,60 | 0,65 | 0,71 | 0,76 | 0,80 |
34° | | 0° | 0,21 | 0,23 | 0,25 | 0,26 | 0,28 | 0,28 | 0,28 | 0,27 |
10° | 0,24 | 0,27 | 0,29 | 0,31 | 0,33 | 0,34 | 0,35 | 0,34 |
15° | 0,26 | 0,29 | 0,32 | 0,34 | 0,36 | 0,38 | 0,39 | 0,39 |
20° | 0,29 | 0,32 | 0,35 | 0,38 | 0,41 | 0,43 | 0,45 | 0,46 |
25° | 0,33 | 0,37 | 0,41 | 0,44 | 0,48 | 0,51 | 0,53 | 0,55 |
30° | 0,41 | 0,45 | 0,50 | 0,55 | 0,60 | 0,65 | 0,69 | 0,73 |
35° | | 0° | 0,20 | 0,22 | 0,24 | 0,25 | 0,26 | 0,27 | 0,27 | 0,26 |
10° | 0,23 | 0,26 | 0,28 | 0,30 | 0,31 | 0,33 | 0,33 | 0,33 |
15° | 0,25 | 0,28 | 0,30 | 0,32 | 0,35 | 0,36 | 0,37 | 0,37 |
20° | 0,28 | 0,31 | 0,33 | 0,36 | 0,39 | 0,41 | 0,43 | 0,43 |
25° | 0,31 | 0,35 | 0,38 | 0,42 | 0,45 | 0,48 | 0,50 | 0,52 |
30° | 0,37 | 0,42 | 0,46 | 0,51 | 0,55 | 0,60 | 0,64 | 0,67 |
35° | 0,67 | 0,76 | 0,85 | 0,95 | 1,06 | 1,18 | 1,32 | 1,49 |
36° | | 0° | 0,19 | 0,21 | 0,23 | 0,24 | 0,25 | 0,26 | 0,26 | 0,25 |
10° | 0,22 | 0,24 | 0,26 | 0,28 | 0,30 | 0,31 | 0,32 | 0,31 |
15° | 0,24 | 0,26 | 0,29 | 0,31 | 0,33 | 0,34 | 0,35 | 0,35 |
20° | 0,26 | 0,29 | 0,32 | 0,34 | 0,37 | 0,39 | 0,40 | 0,41 |
25° | 0,29 | 0,33 | 0,36 | 0,39 | 0,42 | 0,45 | 0,47 | 0,49 |
30° | 0,35 | 0,39 | 0,43 | 0,47 | 0,52 | 0,56 | 0,59 | 0,62 |
35° | 0,49 | 0,55 | 0,62 | 0,68 | 0,78 | 0,83 | 0,91 | 0,99 |
37° | | 0° | 0,19 | 0,20 | 0,22 | 0,23 | 0,24 | 0,25 | 0,25 | 0,24 |
10° | 0,21 | 0,23 | 0,25 | 0,27 | 0,29 | 0,30 | 0,30 | 0,29 |
15° | 0,23 | 0,25 | 0,27 | 0,30 | 0,31 | 0,33 | 0,34 | 0,33 |
20° | 0,25 | 0,27 | 0,30 | 0,33 | 0,35 | 0,37 | 0,38 | 0,38 |
25° | 0,27 | 0,31 | 0,34 | 0,37 | 0,40 | 0,43 | 0,45 | 0,45 |
30° | 0,32 | 0,36 | 0,40 | 0,44 | 0,48 | 0,52 | 0,55 | 0,57 |
35° | 0,42 | 0,48 | 0,54 | 0,60 | 0,66 | 0,72 | 0,79 | 0,84 |
38° | | 0° | 0,18 | 0,20 | 0,21 | 0,22 | 0,23 | 0,24 | 0,24 | 0,22 |
10° | 0,20 | 0,22 | 0,24 | 0,26 | 0,27 | 0,28 | 0,29 | 0,28 |
15° | 0,21 | 0,24 | 0,26 | 0,28 | 0,30 | 0,31 | 0,32 | 0,31 |
20° | 0,23 | 0,26 | 0,29 | 0,31 | 0,33 | 0,35 | 0,36 | 0,36 |
25° | 0,26 | 0,29 | 0,32 | 0,35 | 0,38 | 0,40 | 0,42 | 0,42 |
30° | 0,30 | 0,34 | 0,38 | 0,41 | 0,45 | 0,48 | 0,51 | 0,53 |
35° | 0,38 | 0,43 | 0,48 | 0,54 | 0,59 | 0,65 | 0,70 | 0,74 |
39° | | 0° | 0,17 | 0,19 | 0,20 | 0,21 | 0,22 | 0,23 | 0,22 | 0,21 |
10° | 0,19 | 0,21 | 0,23 | 0,25 | 0,26 | 0,27 | 0,27 | 0,26 |
15° | 0,20 | 0,23 | 0,25 | 0,27 | 0,29 | 0,30 | 0,30 | 0,30 |
20° | 0,22 | 0,25 | 0,27 | 0,30 | 0,32 | 0,33 | 0,34 | 0,34 |
25° | 0,24 | 0,27 | 0,30 | 0,33 | 0,36 | 0,38 | 0,39 | 0,40 |
30° | 0,28 | 0,31 | 0,35 | 0,39 | 0,42 | 0,45 | 0,48 | 0,49 |
35° | 0,34 | 0,39 | 0,44 | 0,49 | 0,54 | 0,59 | 0,63 | 0,66 |
40° | | 0° | 0,16 | 0,18 | 0,19 | 0,21 | 0,21 | 0,22 | 0,21 | 0,20 |
10° | 0,18 | 0,20 | 0,22 | 0,24 | 0,25 | 0,26 | 0,26 | 0,25 |
15° | 0,19 | 0,21 | 0,24 | 0,26 | 0,27 | 0,28 | 0,29 | 0,28 |
20° | 0,21 | 0,23 | 0,26 | 0,28 | 0,30 | 0,32 | 0,32 | 0,32 |
25° | 0,23 | 0,26 | 0,29 | 0,32 | 0,34 | 0,36 | 0,37 | 0,37 |
30° | 0,26 | 0,29 | 0,33 | 0,36 | 0,40 | 0,42 | 0,44 | 0,45 |
35° | 0,31 | 0,36 | 0,40 | 0,45 | 0,50 | 0,54 | 0,57 | 0,60 |
40° | 0,59 | 0,68 | 0,77 | 0,88 | 1,00 | 1,14 | 1,29 | 1,48 |
ТАБЛИЦЫ ЗНАЧЕНИЙ КОЭФФИЦИЕНТОВ
k

| | Значение коэффициента k при угле  , равном |
0° | 5° | 10° | 15° | 20° | 25° | 30° |
15° | | 0° | 1,53 | 1,42 | 1,34 | 1,23 | 1,16 | 1,08 | 0,97 |
10° | 1,12 | 1,01 | 0,94 | 0,84 | 0,79 | 0,70 | 0,65 |
15° | 0,26 | 0,16 | 0,10 | 0,01 | 0 | 0 | 0 |
16° | | 0° | 1,50 | 1,39 | 1,32 | 1,22 | 1,15 | 1,05 | 0,96 |
10° | 1,14 | 1,05 | 0,98 | 0,89 | 0,83 | 0,75 | 0,67 |
15° | 0,66 | 0,59 | 0,52 | 0,43 | 0,37 | 0,30 | 0,23 |
17° | | 0° | 1,47 | 1,37 | 1,30 | 1,21 | 1,12 | 1,04 | 0,95 |
10° | 1,15 | 1,08 | 1,00 | 0,92 | 0,84 | 0,77 | 0,69 |
15° | 0,82 | 0,71 | 0,65 | 0,58 | 0,50 | 0,45 | 0,35 |
18° | | 0° | 1,45 | 1,35 | 1,28 | 1,20 | 1,10 | 1,03 | 0,94 |
10° | 1,17 | 1,09 | 1,02 | 0,93 | 0,86 | 0,80 | 0,72 |
15° | 0,89 | 0,82 | 0,76 | 0,66 | 0,61 | 0,54 | 0,46 |
19° | | 0° | 1,42 | 1,34 | 1,25 | 1,18 | 1,08 | 1,02 | 0,93 |
10° | 1,18 | 1,10 | 1,03 | 0,94 | 0,88 | 0,81 | 0,74 |
15° | 0,96 | 0,89 | 0,80 | 0,74 | 0,65 | 0,58 | 0,51 |
20° | | 0° | 1,40 | 1,32 | 1,24 | 1,16 | 1,07 | 1,00 | 0,92 |
10° | 1,19 | 1,11 | 1,04 | 0,95 | 0,89 | 0,82 | 0,76 |
15° | 0,99 | 0,89 | 0,86 | 0,77 | 0,69 | 0,65 | 0,56 |
20° | 0,33 | 0,24 | 0,16 | 0,09 | 0 | 0 | 0 |
21° | | 0° | 1,38 | 1,30 | 1,22 | 1,14 | 1,06 | 0,99 | 0,91 |
10° | 1,19 | 1,12 | 1,04 | 0,96 | 0,89 | 0,82 | 0,76 |
15° | 1,02 | 0,92 | 0,88 | 0,81 | 0,73 | 0,68 | 0,60 |
20° | 0,65 | 0,58 | 0,52 | 0,44 | 0,37 | 0,31 | 0,24 |
22° | | 0° | 1,35 | 1,27 | 1,19 | 1,12 | 1,04 | 0,97 | 0,89 |
10° | 1,19 | 1,11 | 1,03 | 0,96 | 0,89 | 0,83 | 0,77 |
15° | 1,04 | 0,95 | 0,89 | 0,84 | 0,76 | 0,70 | 0,63 |
20° | 0,77 | 0,70 | 0,64 | 0,56 | 0,48 | 0,42 | 0,40 |
23° | | 0° | 1,32 | 1,25 | 1,18 | 1,11 | 1,03 | 0,96 | 0,88 |
10° | 1,18 | 1,10 | 1,03 | 0,96 | 0,89 | 0,83 | 0,77 |
15° | 1,06 | 0,98 | 0,91 | 0,84 | 0,78 | 0,72 | 0,66 |
20° | 0,85 | 0,78 | 0,69 | 0,64 | 0,56 | 0,50 | 0,45 |
24° | | 0° | 1,30 | 1,23 | 1,15 | 1,10 | 1,01 | 0,94 | 0,87 |
10° | 1,17 | 1,10 | 1,03 | 0,96 | 0,89 | 0,83 | 0,76 |
15° | 1,05 | 0,99 | 0,92 | 0,85 | 0,79 | 0,73 | 0,67 |
20° | 0,88 | 0,81 | 0,75 | 0,69 | 0,62 | 0,56 | 0,50 |
25° | | 0° | 1,27 | 1,20 | 1,14 | 1,07 | 1,01 | 0,92 | 0,86 |
10° | 1,16 | 1,09 | 1,02 | 0,96 | 0,89 | 0,84 | 0,76 |
15° | 1,05 | 1,00 | 0,94 | 0,86 | 0,79 | 0,75 | 0,68 |
20° | 0,92 | 0,86 | 0,79 | 0,72 | 0,67 | 0,60 | 0,53 |
25° | 0,39 | 0,31 | 0,24 | 0,16 | 0,03 | 0 | 0 |

| | Значение коэффициента k при угле  , равном |
0° | 5° | 10° | 15° | 20° | 25° | 30° |
15° | | 0° | 1,72 | 1,60 | 1,48 | 1,36 | 1,24 | 1,11 | 1,02 |
10° | 1,27 | 1,11 | 1,00 | 0,89 | 0,78 | 0,67 | 0,57 |
15° | 0,26 | 0,11 | 0,01 | 0 | 0 | 0 | 0 |
16° | | 0° | 1,67 | 1,56 | 1,45 | 1,33 | 1,22 | 1,10 | 0,98 |
10° | 1,29 | 1,15 | 1,03 | 0,93 | 0,82 | 0,71 | 0,61 |
15° | 0,77 | 0,65 | 0,54 | 0,40 | 0,29 | 0,19 | 0,06 |
17° | | 0° | 1,63 | 1,53 | 1,42 | 1,31 | 1,19 | 1,08 | 0,96 |
10° | 1,31 | 1,18 | 1,05 | 0,95 | 0,85 | 0,75 | 0,65 |
15° | 0,91 | 0,80 | 0,68 | 0,58 | 0,46 | 0,34 | 0,24 |
18° | | 0° | 1,60 | 1,50 | 1,37 | 1,27 | 1,16 | 1,05 | 0,94 |
10° | 1,32 | 1,19 | 1,08 | 0,98 | 0,87 | 0,77 | 0,67 |
15° | 1,01 | 0,89 | 0,79 | 0,70 | 0,57 | 0,44 | 0,34 |
19° | | 0° | 1,57 | 1,47 | 1,34 | 1,23 | 1,13 | 1,02 | 0,92 |
10° | 1,32 | 1,19 | 1,10 | 1,00 | 0,87 | 0,78 | 0,68 |
15° | 1,07 | 0,96 | 0,85 | 0,75 | 0,63 | 0,54 | 0,41 |
20° | | 0° | 1,54 | 1,43 | 1,32 | 1,20 | 1,11 | 1,00 | 0,90 |
10° | 1,32 | 1,19 | 1,09 | 0,99 | 0,89 | 0,79 | 0,70 |
15° | 1,10 | 0,99 | 0,89 | 0,80 | 0,66 | 0,57 | 0,47 |
20° | 0,33 | 0,20 | 0,08 | 0 | 0 | 0 | 0 |
21° | | 0° | 1,51 | 1,39 | 1,29 | 1,17 | 1,07 | 0,98 | 0,88 |
10° | 1,30 | 1,20 | 1,08 | 0,99 | 0,88 | 0,79 | 0,70 |
15° | 1,12 | 1,01 | 0,93 | 0,83 | 0,72 | 0,62 | 0,52 |
20° | 0,73 | 0,62 | 0,51 | 0,39 | 0,29 | 0,17 | 0,07 |
22° | | 0° | 1,46 | 1,34 | 1,26 | 1,16 | 1,05 | 0,96 | 0,86 |
10° | 1,29 | 1,19 | 1,08 | 0,99 | 0,88 | 0,79 | 0,69 |
15° | 1,14 | 1,03 | 0,94 | 0,85 | 0,74 | 0,65 | 0,55 |
20° | 0,84 | 0,75 | 0,65 | 0,54 | 0,42 | 0,33 | 0,21 |
23° | | 0° | 1,43 | 1,32 | 1,23 | 1,14 | 1,03 | 0,94 | 0,85 |
10° | 1,27 | 1,18 | 1,08 | 0,99 | 0,88 | 0,78 | 0,69 |
15° | 1,15 | 1,05 | 0,95 | 0,86 | 0,76 | 0,67 | 0,57 |
20° | 0,92 | 0,81 | 0,72 | 0,62 | 0,51 | 0,40 | 0,31 |
24° | | 0° | 1,41 | 1,30 | 1,21 | 1,11 | 1,01 | 0,92 | 0,83 |
10° | 1,26 | 1,17 | 1,07 | 0,98 | 0,88 | 0,78 | 0,69 |
15° | 1,15 | 1,06 | 0,96 | 0,87 | 0,77 | 0,68 | 0,58 |
20° | 0,97 | 0,88 | 0,77 | 0,66 | 0,56 | 0,47 | 0,37 |
25° | | 0° | 1,37 | 1,27 | 1,18 | 1,10 | 0,98 | 0,89 | 0,80 |
10° | 1,24 | 1,15 | 1,06 | 0,97 | 0,88 | 0,77 | 0,68 |
15° | 1,16 | 1,06 | 0,95 | 0,88 | 0,78 | 0,69 | 0,59 |
20° | 1,01 | 0,90 | 0,81 | 0,71 | 0,61 | 0,51 | 0,42 |
25° | 0,39 | 0,27 | 0,16 | 0,04 | 0 | 0 | 0 |
Таблица 13

| | Значение коэффициента k при угле  , равном |
0° | 5° | 10° | 15° | 20° | 25° | 30° | 35° |
15° | | 0° | 1,87 | 1,70 | 1,54 | 1,41 | 1,26 | 1,10 | 0,99 | 0,83 |
10° | 1,35 | 1,22 | 1,06 | 0,93 | 0,77 | 0,65 | 0,48 | 0,34 |
15° | 0,26 | 0,07 | 0 | 0 | 0 | 0 | 0 | 0 |
16° | | 0° | 1,81 | 1,66 | 1,49 | 1,37 | 1,24 | 1,07 | 0,96 | 0,80 |
10° | 1,39 | 1,24 | 1,10 | 0,95 | 0,80 | 0,67 | 0,53 | 0,40 |
15° | 0,84 | 0,68 | 0,51 | 0,36 | 0,19 | 0,05 | 0 | 0 |
17° | | 0° | 1,76 | 1,61 | 1,44 | 1,33 | 1,20 | 1,04 | 0,93 | 0,77 |
10° | 1,41 | 1,25 | 1,13 | 0,97 | 0,83 | 0,69 | 0,56 | 0,42 |
15° | 0,98 | 0,85 | 0,69 | 0,53 | 0,40 | 0,25 | 0,09 | 0 |
18° | | 0° | 1,72 | 1,57 | 1,41 | 1,30 | 1,14 | 1,01 | 0,90 | 0,75 |
10° | 1,42 | 1,26 | 1,13 | 0,99 | 0,86 | 0,70 | 0,58 | 0,43 |
15° | 1,08 | 0,95 | 0,78 | 0,66 | 0,49 | 0,36 | 0,21 | 0,05 |
19° | | 0° | 1,69 | 1,54 | 1,39 | 1,26 | 1,12 | 0,99 | 0,86 | 0,73 |
10° | 1,42 | 1,27 | 1,13 | 1,00 | 0,85 | 0,72 | 0,59 | 0,45 |
15° | 1,16 | 1,00 | 0,87 | 0,71 | 0,58 | 0,43 | 0,29 | 0,15 |
20° | | 0° | 1,65 | 1,51 | 1,36 | 1,22 | 1,09 | 0,96 | 0,82 | 0,70 |
10° | 1,42 | 1,28 | 1,13 | 0,99 | 0,85 | 0,73 | 0,60 | 0,46 |
15° | 1,18 | 1,05 | 0,92 | 0,76 | 0 63 | 0,50 | 0,33 | 0,20 |
20° | 0,33 | 0,16 | 0 | 0 | 0 | 0 | 0 | 0 |
21° | | 0° | 1,62 | 1,47 | 1,33 | 1,19 | 1,06 | 0,94 | 0,80 | 0,67 |
10° | 1,42 | 1,26 | 1,12 | 0,99 | 0,85 | 0,73 | 0,59 | 0,47 |
15° | 1,22 | 1,07 | 0,94 | 0,80 | 0,65 | 0,52 | 0,40 | 0,26 |
20° | 0,78 | 0,62 | 0,47 | 0,34 | 0,17 | 0,02 | 0 | 0 |
22° | | 0° | 1,56 | 1,42 | 1,29 | 1,17 | 1,03 | 0,90 | 0,77 | 0,64 |
10° | 1,39 | 1,24 | 1,12 | 0,98 | 0,85 | 0,73 | 0,59 | 0,46 |
15° | 1,24 | 1,08 | 0,95 | 0,82 | 0,69 | 0,56 | 0,42 | 0,28 |
20° | 0,92 | 0,76 | 0,62 | 0,47 | 0,34 | 0,19 | 0,04 | 0 |
23° | | 0° | 1,53 | 1,39 | 1,25 | 1,13 | 1,00 | 0,88 | 0,74 | 0,62 |
10° | 1,36 | 1,22 | 1,10 | 0,96 | 0,84 | 0,71 | 0,58 | 0,46 |
15° | 1,24 | 1,09 | 0,96 | 0,84 | 0,70 | 0,57 | 0,43 | 0,30 |
20° | 0,99 | 0,85 | 0,69 | 0,56 | 0,43 | 0,30 | 0,14 | 0 |
24° | | 0° | 1,48 | 1,35 | 1,22 | 1,10 | 0,98 | 0,85 | 0,73 | 0,60 |
10° | 1,35 | 1,21 | 1,08 | 0,95 | 0,82 | 0,70 | 0,58 | 0,45 |
15° | 1,24 | 1,10 | 0,98 | 0,85 | 0,71 | 0,58 | 0,44 | 0,32 |
20° | 1,03 | 0,90 | 0,76 | 0,62 | 0,49 | 0,36 | 0,22 | 0,08 |
25° | | 0° | 1,45 | 1,33 | 1,20 | 1,06 | 0,94 | 0,82 | 0,69 | 0,57 |
10° | 1,33 | 1,19 | 1,07 | 0,93 | 0,81 | 0,69 | 0,58 | 0,45 |
15° | 1,24 | 1,09 | 0,98 | 0,84 | 0,70 | 0,59 | 0,46 | 0,33 |
20° | 1,07 | 0,94 | 0,80 | 0,66 | 0,53 | 0,40 | 0,28 | 0,13 |
25° | 0,39 | 0,23 | 0,07 | 0 | 0 | 0 | 0 | 0 |
ТАБЛИЦА ЗНАЧЕНИЙ ТРИГОНОМЕТРИЧЕСКИХ ФУНКЦИЙ
Таблица 14
Угол | Синус | Косинус | Тангенс | Угол | Синус | Косинус | Тангенс |
0° | 0,0000 | 1,0000 | 0,0000 | 46° | 0,7193 | 0,6947 | 1,0355 |
1 | 0,0175 | 0,9998 | 0,0175 | 47 | 0,7314 | 0,6820 | 1,0724 |
2 | 0,0349 | 0,9994 | 0,0349 | 48 | 0,7431 | 0,6691 | 1,1106 |
3 | 0,0523 | 0,9986 | 0,0524 | 49 | 0,7547 | 0,6561 | 1,1504 |
4 | 0,0698 | 0,9976 | 0,0699 | 50 | 0,7660 | 0,6428 | 1,1918 |
5 | 0,0872 | 0,9962 | 0,0875 | 51 | 0,7771 | 0,6293 | 1,2349 |
6 | 0,1045 | 0,9945 | 0,1051 | 52 | 0,7880 | 0,6157 | 1,2799 |
7 | 0,1219 | 0,9925 | 0,1228 | 53 | 0,7986 | 0,6018 | 1,3270 |
8 | 0,1392 | 0,9903 | 0,1405 | 54 | 0,8090 | 0,5878 | 1,3764 |
9 | 0,1564 | 0,9877 | 0,1584 | 55 | 0,8192 | 0,5736 | 1,4281 |
10 | 0,1736 | 0,9848 | 0,1763 | 56 | 0,8290 | 0,5592 | 1,4826 |
11 | 0,1908 | 0,9816 | 0,1944 | 57 | 0,8387 | 0,5446 | 1,5399 |
12 | 0,2079 | 0,9781 | 0,2126 | 58 | 0,8480 | 0,5299 | 1,6003 |
13 | 0,2250 | 0,9744 | 0,2309 | 59 | 0,8572 | 0,5150 | 1,6643 |
14 | 0,2419 | 0,9703 | 0,2493 | 60 | 0,8660 | 0,5000 | 1,732 |
15 | 0,2588 | 0,9659 | 0,2679 | 61 | 0,8746 | 0,4848 | 1,804 |
16 | 0,2756 | 0,9613 | 0,2867 | 62 | 0,8829 | 0,4695 | 1,881 |
17 | 0,2924 | 0,9563 | 0,3057 | 63 | 0,8910 | 0,4540 | 1,963 |
18 | 0,3090 | 0,9511 | 0,3249 | 64 | 0,8988 | 0,4384 | 2,050 |
19 | 0,3256 | 0,9455 | 0,3443 | 65 | 0,9063 | 0,4226 | 2,145 |
20 | 0,3420 | 0,9397 | 0,3640 | 66 | 0,9135 | 0,4067 | 2,246 |
21 | 0,3584 | 0,9336 | 0,3839 | 67 | 0,9205 | 0,3907 | 2,356 |
22 | 0,3746 | 0,9272 | 0,4040 | 68 | 0,9272 | 0,3746 | 2,475 |
23 | 0,3907 | 0,9205 | 0,4245 | 69 | 0,9336 | 0,3584 | 2,605 |
24 | 0,4067 | 0,9135 | 0,4452 | 70 | 0,9397 | 0,3420 | 2,747 |
25 | 0,4226 | 0,9063 | 0,4663 | 71 | 0,9455 | 0,3256 | 2,904 |
26 | 0,4384 | 0,8988 | 0,4877 | 72 | 0,9511 | 0,3090 | 3,078 |
27 | 0,4540 | 0,8910 | 0,5095 | 73 | 0,9563 | 0,2924 | 3,271 |
28 | 0,4695 | 0,8829 | 0,5317 | 74 | 0,9613 | 0,2756 | 3,487 |
29 | 0,4848 | 0,8746 | 0,5543 | 75 | 0,9659 | 0,2588 | 3,732 |
30 | 0,5000 | 0,8660 | 0,5774 | 76 | 0,9703 | 0,2419 | 4,011 |
31 | 0,5150 | 0,8572 | 0,6009 | 77 | 0,9744 | 0,2250 | 4,331 |
32 | 0,5299 | 0,8480 | 0,6249 | 78 | 0,9781 | 0,2079 | 4,705 |
33 | 0,5446 | 0,8387 | 0,6494 | 79 | 0,9816 | 0,1908 | 5,145 |
34 | 0,5592 | 0,8290 | 0,6745 | 80 | 0,9848 | 0,1736 | 5,671 |
35 | 0,5736 | 0,8192 | 0,7002 | 81 | 0,9877 | 0,1564 | 6,314 |
36 | 0,5878 | 0,8090 | 0,7265 | 82 | 0,9903 | 0,1392 | 7,115 |
37 | 0,6018 | 0,7986 | 0,7536 | 83 | 0,9925 | 0,1219 | 8,144 |
38 | 0,6157 | 0,7880 | 0,7813 | 84 | 0,9945 | 0,1045 | 9,514 |
39 | 0,6293 | 0,7771 | 0,8098 | 85 | 0,9962 | 0,0872 | 11,43 |
40 | 0,6428 | 0,7660 | 0,8391 | 86 | 0,9976 | 0,0698 | 14,30 |
41 | 0,6561 | 0,7547 | 0,8693 | 87 | 0,9986 | 0,0523 | 19,08 |
42 | 0,6691 | 0,7431 | 0,9004 | 88 | 0,9994 | 0,0349 | 28,64 |
43 | 0,6820 | 0,7314 | 0,9325 | 89 | 0,9998 | 0,0175 | 57,29 |
44 | 0,6947 | 0,7193 | 0,9657 | 90 | 1,0000 | 0,0000 | |
45 | 0,7071 | 0,7071 | 1,0000 | | | | |