Главная // Актуальные документы // Рекомендация / РекомендацииСПРАВКА
Источник публикации
М.: Стройиздат, 1988
Примечание к документу
Название документа
"Рекомендации по расчету и конструированию вентилируемых стен промышленных зданий с влажным и мокрым режимами"
"Рекомендации по расчету и конструированию вентилируемых стен промышленных зданий с влажным и мокрым режимами"
ПО РАСЧЕТУ И КОНСТРУИРОВАНИЮ ВЕНТИЛИРУЕМЫХ СТЕН
ПРОМЫШЛЕННЫХ ЗДАНИЙ С ВЛАЖНЫМ И МОКРЫМ РЕЖИМАМИ
Рекомендованы к изданию решением Научно-технического совета НИИСФ Госстроя СССР.
Изложены принципы конструирования наружных вентилируемых стен при естественном и механическом вентилировании и методики теплофизического и аэродинамического расчета параметров таких стен и воздушных прослоек, с помощью которых осуществляется их вентилирование.
Для инженерно-технических работников и проектировщиков научно-исследовательских и проектных организаций.
Производственные помещения с влажным и мокрым режимами составляют около 30% общего объема промышленных зданий.
Ограждающие конструкции таких зданий находятся в тяжелых условиях эксплуатации. Высокое влагосодержание материала стены, агрессивная или слабоагрессивная производственная среда и переменная во времени температура наружного воздуха приводят к быстрому разрушению наружных стен зданий и снижают их долговечность. Натурные исследования показали, что влагосодержание материала стен оказывает существенное влияние на скорость разрушения: чем выше влагосодержание материала, тем быстрее протекает процесс разрушения наружных стен. На ремонт таких зданий ежегодно расходуется около 2,5 млрд. руб., большая часть которых приходится на ограждающие конструкции.
Одним из направлений по повышению долговечности наружных стен зданий с повышенной влажностью воздуха является устройство вентилируемых воздушных прослоек, обеспечивающих эффективную сушку материалов стен. Натурные исследования вентилируемых стен реконструированных зданий показали значительное снижение влагосодержания материала (керамзитобетона) стен. Эксплуатация этих зданий в течение десяти лет без ремонтов наружных стен является надежным подтверждением повышения долговечности ограждающих конструкций при их вентилировании в зданиях с мокрым режимом.
Теплотехнический расчет параметров воздушной прослойки в наружных стенах обычно осуществляется по методике, основанной на стационарной тепло- и влагопередаче. Однако влажностные процессы, протекающие в ограждающих конструкциях зданий с высокой влажностью воздуха, являются существенно нестационарными, что и учитывается в настоящих Рекомендациях.
В Рекомендациях проведены расчеты теплофизических параметров вентилируемых наружных стен, аэродинамических параметров воздушных прослоек и связанных с ними воздуховодов, обеспечивающих их вентилирование. Даны также рекомендации и по конструированию вентилируемых стен с прослойками или каналами, расположенными как в наружной, так и в средней их частях.
Известные способы вентилирования: наружным воздухом за счет гравитационного перепада давления (естественное вентилирование) и подогретым воздухом при механическом вентилировании, экономически целесообразны. Первый способ вентилирования может применяться для любого типа здания, однако ограждающие конструкции должны быть многослойными с использованием в них эффективных утеплителей, обладающих высоким значением коэффициента паропроницаемости и профилированного защитного экрана на относе с наружной стороны ограждения.
Механическое вентилирование целесообразно использовать в зданиях с высоким уровнем технологического тепловыделения с применением рекуперации тепла вентиляционных выбросов для подогрева и таким образом высушивания (понижения относительной влажности) наружного воздуха, подаваемого на вход вентилируемых воздушных прослоек или каналов. При механическом вентилировании прослойки образуются либо с внутренней стороны с помощью экрана на относе, либо в средней части ограждающей конструкции преимущественно в форме каналов. В Рекомендациях рассматриваются расчет и конструирование вентилируемых стен с расположением воздушных прослоек в их средней части. Для вентилируемых стен с воздушной прослойкой, расположенной с внутренней стороны, представлен только их теплофизический расчет.
Рекомендации разработаны НИИСФ Госстроя СССР (кандидаты техн. наук В.И. Лукьянов, А.Ф. Хомутов, инж. Ю.К. Попова) совместно с ЦНИИПромзданий Госстроя СССР (канд. техн. наук В.Н. Макарцев, В.В. Пономарева, инж. А.И. Звягина).
1.1. Рекомендации предназначены для проектирования вентилируемых промышленных зданий с влажным или мокрым режимом помещений. Мокрый и влажный режимы помещений определяются в соответствии с
табл. 1 СНиП II-3-79** "Строительная теплотехника".
1.2. Основным конструктивным отличием вентилируемых стен является наличие воздушной прослойки, обеспечивающей эффективное удаление избыточной влаги из стеновых материалов, что позволяет повысить долговечность конструкций стен зданий с влажным или мокрым режимом.
1.3. Расчет вентилируемых стен при их проектировании должен включать в себя:
определение требуемой толщины элементов стены из условий: невыпадения конденсата на ее внутренней поверхности и обеспечения экономически целесообразного сопротивления теплопередаче стены (в соответствии со
СНиП II-3-79**);
расчет параметров вентилируемой воздушной прослойки.
1.4. В промышленных зданиях с влажным или мокрым режимом следует применять стены с наружным расположением экрана и естественным вентилированием воздушных прослоек или каналов наружным воздухом (
рис. 1,
а). В зданиях с высоким уровнем технологического тепловыделения при соответствующем экономическом обосновании допускается применение также двух других типов стен с расположением прослойки или каналов в их средней части (
рис. 1,
б) или экраном с внутренней стороны (
рис. 1,
в).
Рис. 1. Схемы стен с различным расположением
воздушной прослойки
а - 1-й тип - воздушная прослойка снаружи утеплителя;
б - 2-й тип - воздушная прослойка в теплозащитном слое;
в - 3-й тип - воздушная прослойка с внутренней стороны стены
между теплозащитным слоем и экраном;
1 - защитный металлический экран; 2 - воздушная прослойка;
3 - теплозащитный слой 2-го и 3-го типов, одновременно
являющийся несущим элементом стены; 4 - несущий элемент
стены; 5 - наружный защитный слой
2. ТЕПЛОФИЗИЧЕСКИЙ И АЭРОДИНАМИЧЕСКИЙ РАСЧЕТЫ ВЕНТИЛИРУЕМЫХ СТЕН ПРИ ИХ ЕСТЕСТВЕННОМ ВЕНТИЛИРОВАНИИ
2.1. Температура наружного воздуха
tн принимается равной средней температуре наиболее холодной пятидневки, устанавливаемой по
табл. СНиП 2.01.01-82 с обеспеченностью 0,92 для соответствующего района строительства.
2.2. Температура
tв и относительная влажность

воздуха в помещении устанавливаются в соответствии с нормами по проектированию соответствующих зданий и сооружений. При наличии соответствующих экспериментальных данных
tв и

принимаются равными температуре и относительной влажности воздуха на уровне входа в воздушную прослойку.
2.3. Значение коэффициента теплоотдачи

внутренней поверхности стены принимается по
табл. 4 СНиП II-3-79**.
2.4. Значение коэффициента теплоотдачи

наружной поверхности стены принимается равным среднему коэффициенту теплоотдачи поверхности воздушной прослойки для зимних условий, т.е. 10,8 Вт/(м
2·°C).
2.5. Требуемое сопротивление теплопередаче

слоев наружной стены с воздушными прослойками или каналами, представленной на рис. 2, рассчитывается для сечения на уровне входа в воздушную прослойку по
п. 2.2 СНиП II-3-79**.
Рис. 2. Вентилируемая стена 1-го типа с защитным экраном
с наружной стороны
а - на относе; б - прикрепленным вплотную;
1 - экран; 2 - швеллер; 3 - утеплитель; 4 - бетонная плита
2.6. В помещениях с относительной влажностью воздуха

необходимо нанесение слоя дополнительной пароизоляции на внутреннюю поверхность наружной стены с сопротивлением паропроницанию

не менее 0,3 м
2·ч·Па/мг. При этом для расчета этой стены принимается

, а наносимый слой пароизоляции должен обладать хорошей адгезией и быть достаточно долговечным.
2.7. Экономически целесообразное сопротивление теплопередаче

вентилируемой стены определяется по п. 2.12 изменений и дополнений к СНиП II-3-79**.
2.8. Толщина слоя, выполняющего роль несущего элемента, из конструкционного материала назначается такой, чтобы сопротивление паропроницанию этого слоя
Rп было не менее 1,6 м
2·ч·Па/мг, чему соответствует толщина слоя: 5 см из тяжелого бетона или 20 см из керамзитобетона

.
Примечания: 1. Толщина слоя несущего элемента должна удовлетворять также конструктивным требованиям к ограждению. 2. Термическое сопротивление
R1 слоя конструкционного материала определяется по
п. 2.5 СНиП II-3-79** с учетом расчетного массового отношения влаги в материале

, соответствующего условиям эксплуатации
A (по
прил. 3 этой главы СНиП). 3. Значения коэффициентов паропроницанию легких и ячеистых бетонов принимаются равными
1/
2 от значений соответствующих коэффициентов, указанных в
прил. 3 СНиП II-3-79**.
2.9. Требуемое термическое сопротивление эффективного утеплителя

рассчитывается по формуле

(1)
и его значение должно быть не менее расчетного значения

, найденного из условия, что температура
t1 границы примыкания утеплителя к конструкционному материалу должна быть не менее -5 °C при температуре наружного воздуха
tн. При этом отношение термического сопротивления

слоя утеплителя вентилируемых стен к их сопротивлению теплопередаче

не должно быть меньше

, определяемого по таблице.
Таблица
Отношение минимального термического сопротивления слоя утеплителя к сопротивлению теплопередаче | Средняя температура наиболее холодной пятидневки, °C |
Ниже -40 | От -40 до -30 | От -30 до -20 | От -20 до -10 | Свыше -10 |
| 0,6 | 0,55 | 0,5 | 0,35 | 0,15 |
2.10. Рекомендуется применять такое сочетание эффективного утеплителя с конструкционным материалом, при котором отношение их коэффициентов паропроницаемости

,

с учетом
примеч. 3 к п. 2.8 было бы не менее 3:1.
2.11. Толщина слоя утеплителя устанавливается по формуле

(2)
где

- коэффициент теплопроводности утеплителя, принятый по
прил. 3 СНиП II-3-79** для условий эксплуатации
A, Вт/(м·°C).
2.12. Длина воздушной прослойки
H принимается равной высоте помещения для участков стены, не содержащих оконных проемов в вертикальном направлении, от уровня расположения технологического оборудования, являющегося источником влаги. Для остальных участков с учетом протяженности окон: от указанного уровня до нижнего уровня окна и от верхнего уровня окна до карниза крыши.
2.13. Вентилируемые воздушные прослойки создаются с помощью защитного экрана (см.
рис. 2):
профилированным или плоским листом на относе от основной стены на расстоянии

при средней температуре наружного воздуха наиболее холодной пятидневки
tн ниже -25 °C;
профилированным листом вплотную при tн от -25 °C и свыше.
В последнем случае в области
tн от -25 °C до -15 °C устанавливается высота гофра

, ширина участка плотного примыкания к стене
l2 не более 50 мм и шириной
l1 гофра не менее 200 мм, в области
tн св. -15 °C -

,
l2 не более 100 мм и
l1 не менее 150 мм.
2.14. Толщина

воздушной прослойки устанавливается на основе положения о том, что наименьший расход воздуха
v на метр ширины должен быть не меньше следующей величины:
v >= 0,028 + 0,0019(H - 10), (3)
где v - измеряется в м2/с;
H, м - длина воздушной прослойки между входным и выходным отверстиями (щелями). При этом минимальную толщину воздушной прослойки

, м, определяют с учетом только гравитационного давления (ветровой напор не учитывается) по формуле (см.
прил. 1).

(4)
где R2 - сопротивление, м2·°C/Вт, теплопередаче части наружной стены, расположенной между воздушной полостью и помещением (R2 практически равно R0);
tн,
tв - то же, что и соответственно в
пп. 2.1 и
2.2, °C;

- сумма местных аэродинамических сопротивлений течению воздуха.
Толщины

и

воздушной прослойки устанавливают на уровне

(5)
Примечания: 1. Минимальные значения толщин

,

,

устанавливаются равными соответственно 0,04; 0,05 и 0,05 м. 2. Для стен, содержащих оконные проемы, толщины

,

,

принимаются равными наибольшему значению из полученных.
2.15. Сумму аэродинамических сопротивлений определяют по формуле

(6)
где

,

,

,

- устанавливают в зависимости от принятой конструкции входных и выходных участков
(рис. 3).
Рис. 3. Вентиляционные отверстия входа и выхода воздуха
а - д - отверстия входа воздуха; а, д - у цоколя;
б - над оконным проемом; в - к каналу в массиве стены;
г - при чешуйчатом экране; е - к - отверстия выхода воздуха;
е - под оконным проемом; ж - к - для вариантов кровель;
1 - слив; 2 - цоколь; 3 - канал в массиве стены
Для этих конструкций

(при наличии сетки на входе с живым сечением
Fж.с/
F >= 0,9);

;

(при наличии сетки, без нее - 0,5).
В начале расчетов (см. прил. 3,
примеры 1 и
2) принимаем:
для
H = от 15 до 30 м

;
"
H = от 3 до 15 м

.
Для увеличения точности расчетов рекомендуется использовать метод итераций, т.е. полученное значение

подставить в
формулу (43) и вновь произвести расчет.
2.16. Для оценки максимальной скорости воздуха
wmax в вентилируемой воздушной прослойке ее расчет производится с учетом ветрового напора по
прил. 2.
3. ТЕПЛОФИЗИЧЕСКИЙ РАСЧЕТ ВЕНТИЛИРУЕМЫХ СТЕН ПРИ ИХ МЕХАНИЧЕСКОМ ВЕНТИЛИРОВАНИИ
3.1. Экономически целесообразнее создавать воздушную прослойку 2-го типа (см.
рис. 1,
б) по сравнению с прослойкой 3-го типа (см.
рис. 1,
в).
3.2. При выборе наружной стены 3-го типа расчет требуемого сопротивления теплопередаче

необходимо проводить по
п. 2.1 СНиП II-3-79**. Нормативный перепад температуры

, °C, принимается равным

(7)
где
tвх, °C,

, % - соответственно температура и относительная влажность воздуха, подаваемого на вход воздушной прослойки;

- температура поверхности, при которой достигается относительная влажность воздуха 80%, °C; коэффициент теплоотдачи внутренней поверхности

заменяется на коэффициент теплоотдачи поверхности воздушной прослойки

.
3.3. Температуру воздуха
tвх, подаваемого в воздушную прослойку, следует выбирать равной расчетной температуре воздуха
tв в помещении (температуре воздуха на уровне расположения машин).
3.4. Коэффициент теплоотдачи поверхности прослойки

принимают равным 12 Вт/(м
2·°C).
3.5. Относительную влажность воздуха

, %, подаваемого в воздушную прослойку, рассчитывают с учетом термического сопротивления наружной части стены

, м
2·°C/Вт (по отношению к прослойке), полученного по
п. 2.15 СНиП II-3-79**, по формуле

(8)
3.6. Минимальный расход воздуха, подаваемого в воздушную прослойку, равен 0,05 м
2/с на один метр ширины вентилируемой стены. При задании толщины воздушной прослойки

, м, находят расчетную скорость движения воздуха
w, м/с, из соотношения

(9)
3.7. При выборе наружной стены 2-го типа расчет требуемого сопротивления теплопередаче

, м
2·°C/Вт, наружного слоя осуществляется по формуле

(10)
где

(11)

(12)

(13)

(14)
где
tв,

- то же, что и в
п. 3.2;
tн,
tвх - то же, что и соответственно в
п. 2.1 и
3.3;

;

, кг/м
3,
cр, Дж/(кг·°C),
w, м/с - соответственно плотность и теплоемкость воздуха при
t = 0 °C и его скорость;

,
H, м - соответственно толщина и длина воздушной прослойки.
При расчете требуемого сопротивления

наружного слоя принято, что воздушная прослойка делит наружную стену так, что сопротивления теплопередаче
R2 и
R1 относятся как
R2:
R1 = 3:1.
3.8. Расход воздуха
v, подаваемого в воздушную прослойку, на метр ширины стены, устанавливают на уровне

(15)
где v измеряется в м2/с.
При этом толщина воздушной прослойки

определяется по формуле

(16)
где

и
H в м.
Если высота
H меньше 10 м, толщина

принимается равной 0,04 м.
3.9. Расчетные значения температуры
tв и относительной влажности

воздуха принимают равными, соответственно температуре и относительной влажности воздуха в помещении в зоне расположения производящих машин.
3.10. Температура воздуха
tвх, подаваемого на вход воздушной прослойки, принимается равной 5 °C.
Примечание. Если температура наружного воздуха выше 5 °C, вентиляция отключается и в воздушную прослойку подается наружный воздух для ее естественного вентилирования. Это должно оговариваться в проекте ограждающих конструкций зданий.
3.11. Толщины наружного

, м, и внутреннего

, м, слоев находят по формулам:

(17)

(18)
где

,

- коэффициенты теплопроводности материалов соответственно наружного и внутреннего слоев, Вт/(м·°C);

- коэффициент теплоотдачи наружной поверхности для зимних условий, равный 23,2 Вт/(м
2·град);

- коэффициент теплоотдачи поверхностей воздушной прослойки, равный 10,8 Вт/(м
2·град);
Примечание. Толщины наружного

и внутреннего

слоев должны удовлетворять конструктивным требованиям к ограждению этого типа.
3.12. Относительную влажность воздуха

, %, на входе прослойки рассчитывают по формуле
в которой температура холодной поверхности воздушной прослойки на уровне ее выхода

, °C, определяется по формуле

(20)
где

(21)
--------------------------------
<*> Относительная влажность воздуха

, подаваемого в воздушную прослойку, должна быть не более 50%.
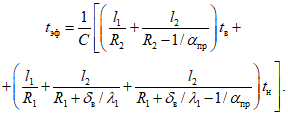
3.13. Температуру воздуха на выходе из прослойки
tвых, °C, находят по формуле
tвых = (B + 1/2R1 + 1/2R2)-1{[B - (1/2R1 +
+ 1/2R2)]tвх + tн/R1 + tв/R2}, (22)
где

(23)
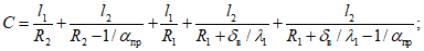
3.14. Для вентилируемой стены с каналами
(рис. 4) расчет требуемого сопротивления теплопередаче

наружного слоя толщиной

, м, осуществляется с учетом
п. 3.7 по формуле

(24)
где
| | ИС МЕГАНОРМ: примечание. Формула дана в соответствии с официальным текстом документа. | |

(25)

(26)

(27)

,
cв,
w,
H,

,

,
A,

- то же, что и в
п. 3.7;
l1,
l2,

- измеряются в м;
tв,
tн,
tвх в °C.
Рис. 4. Схема расположения вентилируемых каналов
в наружных стенах
Графическое решение этого трансцендентного уравнения приведено на
рис. 5.
Рис. 5. Графическое решение трансцендентного уровня

- семейство кривых:


- семейство кривых:

K = -4,55 Вт/(м2·°C)
3.15. Геометрические параметры вентилируемых каналов определяются следующим образом. Минимальное значение
l1 равно 0,1 м, максимальное значение
l1 и минимальное значение
l2 ограничиваются конструктивными требованиями; максимальное
l2 равно 0,15 м, ширина канала

равна 0,05 м.
3.16. Расчетные значения температуры
tв, °C, и влажности

, %, принимают по
п. 3.9.
3.17. Расчетное значение температуры воздуха
tвх, °C, на входе в воздушную прослойку принимается по
п. 3.10.
3.18. Расход воздуха
v, м
2/с, подаваемого на вход вентилируемых каналов, устанавливается
формулой (15). Скорость воздуха
w, м/с, определяют из следующего соотношения:

(28)
где
n, 1/м - количество каналов на погонный метр стены, устанавливается при конструировании стены с учетом
п. 3.15 и равно:
n = (l1 + l2)-1.
3.19. Толщины наружного

и внутреннего

слоев находят по
п. 3.11.
Примечание. Коэффициент теплоотдачи

в вентилируемом канале следует принимать равным 10,8 Вт/(м
2·°C).
3.20. Относительную влажность воздуха

на входе каналов определяют по
формуле (19).
3.21. Температуру воздуха
tвых, °C, на выходе каналов находят по формуле

(29)

(30)

(31)

,
cр,
w,
H - то же, что и в
п. 3.7;
4. АЭРОДИНАМИЧЕСКИЙ РАСЧЕТ ВОЗДУХОВОДОВ СТЕН ПРИ МЕХАНИЧЕСКОМ ВЕНТИЛИРОВАНИИ
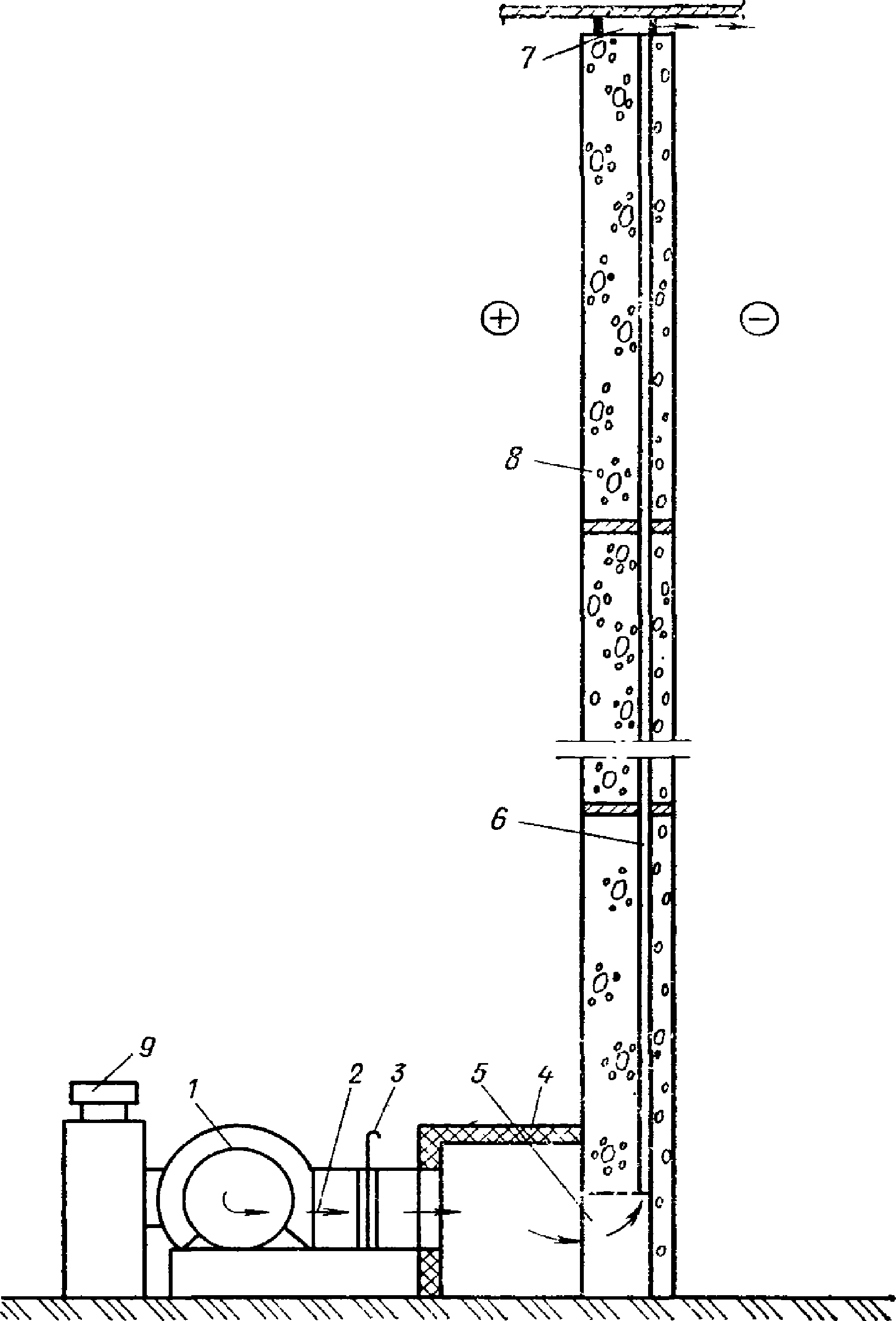
4.1. Рекомендуется следующая схема движения воздуха
(рис. 6): вентилятор
1 подает подготовленный воздух из коллектора
9 с параметрами
tвх и

в воздуховод
2 с шибером
3, далее через подводящий воздуховод
4 в раздающий коллектор
5 и выходит через каналы
6, расположенные в стене
8, в сборный коллектор
7 и выводится наружу. Выход воздуха осуществляется аналогично выходу при естественной вентиляции (см.
рис. 3).
Рис. 6. Принципиальная схема движения воздуха
через вентилируемую стену
Способ раздачи воздуха по каналам определяется конструктивными соображениями.
4.2. В ходе расчета определяется расход вентиляционного воздуха на одну систему
V1, м
3/с:
V1 = vL1, (32)
где L1 - длина участка вентилируемой стены, м;

- напор вентилятора, Па, определяемый по формуле

(33)
где

,
wвых - коэффициент сопротивления и скорость воздуха на выходе из системы;

,
wр.к - то же, раздающего коллектора;

,
wк - то же, каналов;

- коэффициент сопротивления шибера;
wдиф - скорость на выходе из диффузора вентилятора, м/с.
Потери давления в сети определяются для наиболее удаленного канала.
4.3. Скорость воздуха wвых, м/с, на выходе из системы определяется по формуле

(34)
где dс.к, м - эквивалентный гидравлический диаметр сборного коллектора, который равен:
где F - площадь сечения канала, м2;
П - периметр сечения канала, м.
4.4. Скорость воздуха wр.к, м, на входе в раздающий коллектор

(36)
где
dп.к, м - эквивалентный гидравлический диаметр подводящего коллектора, определяемый аналогично
dс.к по
формуле (35).
4.5. Скорость воздуха wдиф, м, на выходе из диффузора вентилятора равна:

(37)
где dдиф, м - эквивалентный гидравлический диаметр выходного отверстия диффузора.
4.6. Коэффициенты аэродинамического сопротивления

,

,

,

определяются в зависимости от режима течения, шероховатости каналов и их геометрии.
4.7. 
определяется с учетом поворота потока на 90°, внезапного расширения

.
4.8. Коэффициент местного сопротивления коллектора определяется зависимостью

(38)
где

(39)

(40)

(41)

(42)
где Fк - площадь канала, м2;
Fр.к - площадь раздающего канала, м2;
Fс.к - площадь сборного канала, м2.
4.9. 
- потери давления на трение в прямых свободных каналах определяются по формуле

(43)
где

- коэффициент сопротивления трению;
H - высота каналов, м;
dк - эквивалентный гидравлический диаметр канала, м.
4.10. Для труб круглого сечения при турбулентном режиме коэффициент

рассчитывается по приближенной формуле:

(44)
где

- относительная шероховатость труб

;

- шероховатость труб, зависящая от материала труб;
Re - критерий Рейнольдса (Re = wd/v).
Для труб, выполненных в железобетонных панелях,

, для бетонных труб

и т.д.
Для труб некруглого поперечного сечения -

(45)
Для труб прямоугольного сечения aпр = 1,0 - 1,1; для квадратного сечения a = 1,0; для плоской щели aпл = 1,1.
4.11. При наличии дроссельных задвижек коэффициент гидравлического сопротивления возрастает на величину

. Коэффициент местного сопротивления шибера

.
4.12. Производительность вентилятора Vв устанавливается равной 1,1V.
4.13. При установлении периметра L вентилируемых стеновых ограждений необходимо учитывать, что длины участков с оконными проемами должны быть удвоены.
4.14. В зависимости от полученных расчетом величин
Vв и

устанавливается необходимый вентилятор, как правило Ц4-70 N 8.
4.15. Геометрическая форма вентиляционных каналов в стене устанавливается по возможности правильной формы (круглой, овальной, прямоугольной).
Плоские поверхности канала следует ориентировать вдоль панели и располагать ближе к наружной стене.
5. КОНСТРУИРОВАНИЕ ВЕНТИЛИРУЕМЫХ СТЕН ПРИ ИХ ЕСТЕСТВЕННОМ ВЕНТИЛИРОВАНИИ
5.1. При естественном вентилировании стен целесообразно применять многослойную конструкцию, состоящую из основной стены и наружного экрана.
5.2. Основная стена выполняется из двухслойных панелей, объединяющих несущий бетонный слой и теплоизолирующий.
5.3. Технология изготовления двухслойных панелей должна обеспечивать надежность крепления утеплителя и сохранность качества теплоизолирующего слоя.
5.4. Несущую часть двухслойных панелей следует выполнять из конструкционного тяжелого бетона или легкого (например, керамзитобетона).
5.5. Расчет многослойной панели выполняется с учетом работы только внутренней железобетонной панели как плиты, опертой по балочной схеме на две опоры в местах крепления к колоннам каркаса.
5.6. Теплоизолирующий слой двухслойных панелей необходимо выполнять в соответствии с
п. 2.10 из эффективных крупнопористых материалов или минераловатных плит с коэффициентом паропроницаемости не менее 10·10
-2 мг/(м·ч·Па) с плотностью не более 200 кг/м
3. Толщина слоя утеплителя устанавливается расчетом по
п. 2.8 и
2.11.
5.7. Крепление двухслойных панелей к каркасу здания, а также горизонтальные и вертикальные швы следует выполнять в соответствии с действующими типовыми сериями (серия 2.432-2).
5.8. Изготовление многослойных вентилируемых стен с экраном следует выполнять в следующей последовательности:
изготовление двухслойной панели;
установка крепежных элементов для монтажа экрана;
крепление наружного экрана.
5.9. Крепежные элементы многослойных вентилируемых панелей, осуществляющие связь основной стены с наружным экраном, не должны препятствовать сквозному вертикальному движению воздуха
(рис. 7).
Рис. 7. Схемы обеспечения непрерывности воздушного потока
в вентилируемых стенах
а - многослойных со сплошной воздушной прослойкой;
б - однослойных с каналами; 1 - бетонная плита;
2 - утеплитель; 3 - воздушная прослойка или канал;
4 - наружный экран; 5 - легкий или ячеистый бетон; 6 - канал
5.10. Крепежные элементы должны быть рассчитаны на растяжение и срез с учетом влияния отрицательного давления ветра, имеющего направление от поверхности продольной стены и положительного давления, например, на торец здания, вызывающего воздействие горизонтальных сил вдоль продольной оси здания.
5.11. В качестве материалов для крепежных элементов могут быть рекомендованы гнутые стальные профили с антикоррозионной защитой и деревянные антисептированные бруски.
5.12. Наружные экраны вентилируемых стен должны обеспечивать создание воздушного зазора и предохранять стену от атмосферных воздействий. В связи с этим экраны должны обладать следующими качествами: влагонепроницаемостью, коррозионной стойкостью, способностью воспринимать ветровые нагрузки.
5.13. Крепление наружного экрана к основной стене следует выполнять вплотную или на относе в соответствии с
пп. 2.12 -
2.14.
5.14. Для экранов вентилируемых стен из выпускаемых в настоящее время листов могут быть рекомендованы:
профили стальные оцинкованные гнутые с трапециевидной формой для стен марок: С-50-749 (ТУ-34-13-5914-79) и С-44-1000 (ТУ 67-199-78);
асбестоцементные волнистые листы (ГОСТ 16233-77*).
5.15. В случае агрессивного воздействия атмосферы промплощадки профилированные стальные оцинкованные листы необходимо применять окрашенными с двух сторон, а асбестоцементные листы - покрытиями перхлорвиниловыми эмалями (ГОСТ 6993-79*) или красками
(ГОСТ 7313-75*).
5.16. Установка наружного профилированного экрана осуществляется после монтажа основной стены к продольным крепежным элементам с шагом не более 400 мм для металлического экрана и 250 мм для асбестоцементного.
5.17. Забор и выпуск воздуха в прослойке следует осуществлять конструктивными мероприятиями, позволяющими производить воздухообмен по всей высоте вентилируемой стены
(рис. 8).
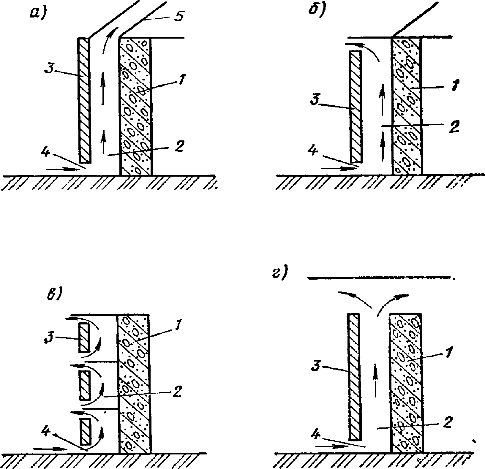
Рис. 8. Аэродинамические схемы вентилируемых стен
а - при расположении стены с наветренной стороны;
б - при расположении стены с заветренной стороны;
в - с несколькими местами входа и выхода воздуха;
г - с веерным выходом воздуха; 1 - стена; 2 - воздушная
прослойка; 3 - экран; 4 и 5 - входное и выходное отверстия
5.18. Вход воздуха в прослойку рекомендуется устраивать в нижней части здания на уровне установки оборудования, выделяющего избыточную влагу, а выход в парапетной части на высоте 0,5 м от карниза крыши.
5.19. Размеры отверстий входа и выхода в воздушную прослойку должны соответствовать (быть не менее) расчетной толщине воздушной прослойки в соответствии с
п. 2.14.
5.20. В узлах примыканий оконных проемов к вентилируемой стене необходимо предусмотреть выход воздуха под оконным проемом и вход воздуха над оконным проемом
(рис. 9).
Рис. 9. Узлы сопряжений вентилируемой стены
картонной фабрики
1 - костыль, шаг 1000; 2 - металлический экран;
3 - комплексная стеновая панель; 4 - уплотняющая прокладка;
5 - брусок деревянный антисептированный толщиной 40 мм,
l = 100 мм, шаг 1000
5.21. В узле примыканий вентилируемой стены к парапетной части наиболее целесообразно организовать выход воздуха "веерного" типа
(рис. 9).
6. КОНСТРУИРОВАНИЕ ВЕНТИЛИРУЕМЫХ СТЕН ПРИ ИХ МЕХАНИЧЕСКОМ ВЕНТИЛИРОВАНИИ
6.1. При механическом вентилировании стен рационально применять однослойные бетонные панели с каналами на всю высоту панели.
6.2. Проектирование однослойных вентилируемых панелей с каналами целесообразно выполнять с соблюдением следующих основных требований:
точного выполнения геометрических размеров каналов и расстояний между ними в соответствии с
п. 3.15;
применения длинномерных вертикальных панелей (например, 6 или 12 м).
6.3. Длинномерные однослойные вертикальные панели с каналами должны быть рассчитаны на изгиб из плоскости от горизонтальной ветровой нагрузки, а также на монтажную и эксплуатационную нагрузки.
6.4. Каналы в однослойных панелях следует выполнять прямоугольного сечения с закругленными вершинами или эллиптического сечения, с расположением их по сечению панели в соответствии с рис. 10.
Рис. 10. Схемы расположения каналов
в однослойных вентилируемых стенах
а, б - однослойных
6.5. Для однослойных панелей с каналами целесообразно применять легкие конструкционные бетоны.
6.6. Вентилирование стен с каналами производится с помощью раздающих и сборных коллекторов, соединенных с каналами (рис. 11).
Рис. 11. Каналы со сборным и раздающим коллектором
1 - канал; 2 - раздающий коллектор; 3 - сборный коллектор
6.7. Раздающий коллектор соединяют воздуховодом с вентилятором. Подводящий должен быть оборудован шибером для настройки системы на расчетный расход воздуха (см.
рис. 6).
6.8. Раздающий коллектор предпочтительнее выполнять в виде камеры статического давления, обеспечивающей равные скорости воздуха на входе в каналы, т.е. равномерную раздачу воздуха по каналам.
6.9. В случае невозможности по конструктивным соображениям применения камеры статического давления равномерная раздача воздуха обеспечивается путем установки шайб на входе в каналы или дроссельных задвижек.
РАСЧЕТ МИНИМАЛЬНОЙ ТОЛЩИНЫ ВОЗДУШНОЙ ПРОСЛОЙКИ
Изменение потока тепла, переносимого вентилируемым воздухом в прослойке шириной

, м, со скоростью воздуха
w, м/с, равно изменению потока тепла, переносимого через внутренний и наружный слои вентилируемой наружной стены в направлении, перпендикулярном направлению воздушного потока

(1)
где

, кг/м
3,
cр, Дж/(кг·°C),
dt, °C - соответственно плотность, удельная теплоемкость и изменение температуры воздуха в слое протяженностью
dH;
tв, tн, t, °C - температура воздуха соответственно внутреннего, наружного и вентилируемой прослойки;
R1, R2, м2 °C/Вт - сопротивление теплопередаче соответственно наружного и внутреннего слоев наружной стены.
После несложных преобразований и интегрирования полученного уравнения найдем температуру воздуха на выходе из воздушной прослойки tвых:

(2)
t1 = (tвR1 + tнR2)/(R1 + R2). (3)
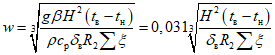
Минимальную скорость воздуха в вентилируемой прослойке, обусловленную гравитационным давлением, определяют по формуле

(4)
где g - ускорение свободного падения, м/с2;

- коэффициент объемного расширения, °C;

- сумма местных гидравлических сопротивлений.
Учитывая, что tср = (tвых + tвх)/2, получим соотношение, связывающее скорость воздуха с его температурой на выходе из воздушной прослойки:

(5)
Учитывая, что
tвх =
tн, после линеаризации
уравнения (2) и исключения
tвых из этого уравнения с помощью
соотношения (5) получим кубическое уравнение для определения минимальной скорости воздуха в воздушной прослойке:

(6)

(7)
при

,
cр = 1000 Дж/(кг·°C);

;
g = 10 м/с
2.
Для создания нормального влажностного режима наружных вентилируемых стен (по данным расчета их температурных и влажностных полей) необходимо, чтобы расход воздуха на погонный метр ширины стены v, м2/с, был не менее величины, определяемой по формуле:

(8)
где v0 - расход воздуха, необходимый для поддержания нормального влажностного состояния стены высотой H0, м, шириной 1 м, м2/с;

- коэффициент, учитывающий влияние высоты здания на расход воздуха, м/с.
При этом расчетом установлено, что минимальный расход воздуха составляет
v0 = 0,028 м
2/с при
H0 = 10 м и

.
Расход воздуха v на 1 м ширины стены равен:

(9)
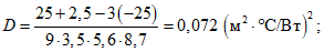
Приравнивая правые части
(8) и
(9), получим формулу для определения минимальной толщины воздушной прослойки

, м:

(10)
РАСЧЕТ СКОРОСТИ ВОЗДУХА В ВОЗДУШНОЙ ПРОСЛОЙКЕ
С УЧЕТОМ ВЛИЯНИЯ ВЕТРА
1. Исходными данными для расчета располагаемого давления при естественной вентиляции стен служат: температура, плотность и скорость наружного воздуха,
tн, °C,

, кг/м
3, и

, м/с (принимаются по справочным данным для наиболее холодной пятидневки в районе завода);
H - высота здания, м.
2. В ходе расчета определяется следующее.
Располагаемое давление воздуха,

, Н/м
2, равно

(1)
где
K1,
K2 - аэродинамические коэффициенты на входе и выходе воздуха, определяются в соответствии со
СНиП II-6-74.
Для наветренных фасадов всех зданий K1 = 0,8, K2 определяется по табл. 1.
Таблица 1
| |
0,5 | 1 | 2 |
<= 1 | -0,4 | -0,5 | -0,6 |
>= 2 | -0,5 | -0,6 | -0,6 |
Здесь:

- высота здания до карниза;

- протяженность фасада, перпендикулярного направлению света;

- ширина здания в направлении ветра;
K3 - коэффициент учета изменения ветровой нагрузки в зависимости от высоты здания и типа местности, определяемый по
табл. 2 (СНиП II-6-74).
Таблица 2
Значения коэффициента K3
Тип местности | Высота над поверхностью земли, м |
10 | 20 | 40 | 60 | 100 | 200 | 350 и св. |
Открытая местность | 1 | 1,25 | 1,55 | 1,75 | 2,1 | 2,6 | 3,1 |
Города с окраинами (местность, покрытая препятствиями высотой св. 10 м) | 0,65 | 0,9 | 1,2 | 1,45 | 1,8 | 2,45 | 3,1 |
3. Скорость воздуха в воздушной прослойке, w, м/с, определяют по формуле

(2)
где

- сумма аэродинамических местных сопротивлений течению воздуха, определяемая по
п. 2.15.
ПРИМЕРЫ РАСЧЕТА
Для проведения расчета необходимо иметь данные о количестве тепла, выделяемого в помещении технологическим оборудованием, температуре
tв и относительной влажности

воздуха в помещении, средней температуре наружного воздуха наиболее холодной пятидневки в районе строительства.
В результате расчета вычисляют требуемое сопротивление теплопередаче

наружной стены, а для стены 2-го и 3-го типов наружной части

, толщины

и

соответствующих слоев, толщину воздушной прослойки или каналов

, для стен с каналами также и параметры
l1 и
l2. Для вентилируемых стен при механическом вентилировании, кроме того, определяют скорость воздуха и полное гидравлическое сопротивление в вентилируемых каналах, а также требуемый расход воздуха и тип вентилятора.
Пример 1. Провести теплофизический расчет для климатических условий г. Харькова вентилируемой стены отапливаемого производственного здания высотой 30 м с мокрым режимом.
В отапливаемых зданиях целесообразно использовать вентилируемые стены 1-го типа. Это обусловлено тем, что для стен 2-го и 3-го типов необходим подогрев воздуха, подаваемого в вентилируемые прослойки при механическом вентилировании, что требует дополнительных затрат энергии.
Сначала необходимо установить расчетные параметры
tв,

,
tн и
H. Температура наружного воздуха для наиболее холодной пятидневки
tн в соответствии со
СНиП 2.01.01-82 "Строительная климатология и геофизика" равна -23 °C. Температура и относительная влажность воздуха в помещении
tв и

устанавливаются равными
tв = 25 °C и

в соответствии с нормами по проектированию соответствующих зданий и сооружений.
Расчет

выполняют по
п. 2.2 СНиП II-3-79**:
Сопротивление теплопередаче наружной стены
R0 определяют в соответствии с
п. 2.1 СНиП II-3-79**. Допустим,

превышает

(экономический расчет обычно выполняют после выбора материалов, входящих в состав конструкции). В дальнейшем расчет проводится для двух конструкций 1-го типа:
стены, конструкционный слой которой сделан из тяжелого бетона (железобетона);
стены с применением керамзитобетона.
Выберем толщины слоев из конструкционного материала в соответствии с
п. 2.8. Для железобетона

- толщина несущего слоя

; для керамзитобетона

-

. В соответствии с
п. 2.5 СНиП II-3-79** их термические сопротивления равны:
Rж.б 1 = 0,1/1,92 = 0,05 м2 °C/Вт;
Rк.б 1 = 0,2/0,44 = 0,45 м2 °C/Вт.
По
п. 2.9 определяем термическое сопротивление слоя утеплителя:
для панели с железобетоном
для панели с керамзитобетоном
Необходимо провести сравнение полученных значений

с расчетной величиной

, определяемой по
табл. 1 и равной 0,5
R0. В обоих случаях
| | ИС МЕГАНОРМ: примечание. В официальном тексте документа, видимо, допущена опечатка: примечание 3 к пункту 2.7 отсутствует. Возможно, имеется в виду примечание 3 к пункту 2.8. | |
По
п. 2.10 выберем утеплитель. Коэффициенты паропроницаемости железобетона и керамзитобетона (с учетом
примеч. 3 п. 2.7) равны, соответственно, 0,03 и 0,06 мг/(м·ч·Па). Коэффициент паропроницаемости утеплителя должен быть больше, чем 0,09, для железобетона и 0,18 мг/(м·ч·Па) для керамзитобетона. Минераловатная плита повышенной жесткости на органофосфатном связующем

(ТУ-21-РСФСР-3,72-76) имеет коэффициент паропроницаемости 0,45 мг/(м·ч·Па) и поэтому удовлетворяет требованию
п. 2.9.
По
п. 2.11 находим толщину слоя утеплителя:
для железобетона | - | |
керамзитобетона | - | |
Затем по
п. 2.7 устанавливаем экономически целесообразное сопротивление теплопередаче

. Если

, параметры

и

определяют при

.
Длина воздушной прослойки H определяется высотой стены здания и равна 29 м (вход на уровне 0,5 м от нулевой отметки и выход на 0,5 м ниже уровня карниза крыши).
По
п. 2.13 устанавливаем тип воздушной прослойки: температура
tн = -23 °C выше -25 °C, поэтому необходимо использовать профилированный лист, прикрепленный вплотную (см.
рис. 2,
б),
l1 = 0,2,
l2 = 0,05 м.
По
п. 2.15 вычислим

. Для этого определим

,

при
H = 29 м и

:
| | ИС МЕГАНОРМ: примечание. Формула дана в соответствии с официальным текстом документа. | |
При
H = 5 м проведем аналогичные расчеты

:
Выбираем наибольшее значение

. Поэтому

.
Проводится экономическая оценка обеих конструкций с использованием действующей Инструкции. Оказалось, что конструкция с железобетоном предпочтительнее.
Таким образом, параметры, необходимые для конструирования вентилируемых стен, соответственно равны:

(железобетон);

,
H = 29 м, воздушная полость - гофры профилированного экрана

,
l1 = 0,2 м,
l2 = 0,05 м.
| | ИС МЕГАНОРМ: примечание. В официальном тексте документа, видимо, допущена опечатка: пункт 6.13 отсутствует. | |
Указанные параметры используются при конструировании вентилируемой стены с естественным вентилированием наружным воздухом по
пп. 6.2 - 6.13.
Пример 2. Провести теплофизический расчет вентилируемой стены, указанной в
примере 1, для более суровых климатических условий г. Благовещенска.
Как и в
примере 1 выбираем вентилируемую стену 1-го типа.
Дальнейший расчет проводим для стены с конструкционным материалом - железобетоном.
Расчетная величина сопротивления теплопередаче утеплителя

по
табл. 1 равна:

.
Итак,

, т.е. условие
п. 2.9 выполняется.
По
п. 2.10 аналогично
примеру 1 в качестве утеплителя выбираем минераловатные плиты повышенной жесткости на органофосфатном связующем

(ТУ-21-РСФСР-3.72-76).
По
п. 2.11 находим толщину слоя утеплителя:
После проведения экономической оценки по
п. 2.7 устанавливают действительные значения толщины слоя утеплителя

и его термического сопротивления
Rут. Полагаем, что эти величины остались прежними и

.
По
п. 2.13 устанавливаем тип воздушной прослойки - сплошную воздушную прослойку.
Таким образом, параметры стены соответственно равны:

,

,
H = 29 м,

, воздушная полость - сплошная воздушная прослойка.
Пример 3. Провести теплофизический и аэродинамический расчеты вентилируемой стены производственного здания с высоким уровнем технологического тепловыделения и мокрым режимом для климатических условий г. Орла.
По аналогии с
примером 1 в качестве вентилируемой стены можно выбирать стену 1-го типа. Однако в зданиях с высоким уровнем технологического тепловыделения целесообразно использовать тепло вентиляционных выбросов для подогрева наружного воздуха, подаваемого в вентилируемые полости. Поэтому выполним расчет для стен 2-го типа при механическом вентилировании. Теплотехнический расчет рекуперационной системы не производится.
1. Сплошная воздушная прослойка
Расчетные параметры:
tв = 25 °C,

; по
табл. 1 СНиП 2.01.01-82
tн = -25 °C, материал: керамзитобетон

.
По
п. 3.8 устанавливаем необходимый расход воздуха

и определяем толщину воздушной прослойки

при ее длине
H = 29 м:
Скорость воздуха
w, подаваемого в воздушную прослойку, будет равна 2 м/с. По
п. 3.10 задаем
tпр = 5 °C. По
п. 3.7 найдем требуемое сопротивление теплопередаче наружного слоя

:
A = 14,6(1 - 0,0095·80) = 3,5 °C;
По
п. 3.11 определяем толщины наружного

и внутреннего

слоев:
Требуется дополнительная оценка на прочность наружной плиты из керамзитобетона

. Если полученная толщина наружной плиты не удовлетворяет конструктивным требованиям, необходимо увеличить ее до необходимого значения (это положение учитывается при конструировании).
Для определения относительной влажности воздуха

, подаваемого на вход воздушной прослойки, необходимо вычислить температуры воздуха
tвых и холодной поверхности

на выходе воздушной прослойки.
По
п. 3.13 находим температуру воздуха
tвых:
| | ИС МЕГАНОРМ: примечание. Формула дана в соответствии с официальным текстом документа. | |
По
формуле (20) определяем температуру холодной поверхности

на выходе воздушной прослойки:
По
формуле (19) находим относительную влажность воздуха

на входе в воздушную прослойку:
Таким образом, в результате теплофизического расчета получены следующие параметры вентилируемой стены со сплошной воздушной прослойкой при механическом вентилировании:

;

;

;
H = 29 м;
tвых = 5 °C;

;
w = 2 м/с.
2. Вентилируемые каналы
Для стены с каналами параметры
tн,
tв,

,
H имеют те же значения.
По
п. 3.15 определяем параметры каналов:

;
l2 = 0,1 м (это значение удовлетворяет конструктивным требованиям по керамзитобетону) и принимаем
l1 = 0,2 м.
По
п. 3.17 и см.
п. 3.10 задаем температуру воздуха
tвх на входе в воздушную прослойку
tвх = 5 °C.
По
п. 3.14 находим требуемое сопротивление теплопередаче

наружного слоя

(см.
рис. 4):
A = 14,6(1 - 0,0095·80) = 3,5 °C;
На
рис. 5 приведено решение трансцендентного уравнения для
b = 1,94;
B = 0,8;
K = -4,55: на рисунке эти кривые помечены символом *. В нашем примере
b = 2;
B = 0,31;
K = -4,55. Поскольку угловой коэффициент
K не изменился, из точки для
b = 2 проводим прямую, параллельную уже нанесенным на
рис. 5. Пересечение прямой с кривой для
B = 0,31, полученную интерполированием между заданными кривыми, дает значение

.
Для нахождения относительной влажности воздуха

определим по
п. 3.21 tвых,
C и
tэф с учетом того, что
По
п. 3.12 определяем сначала

, а затем и

:
Таким образом, параметры вентилируемой стены с каналами, необходимые для ее конструирования, имеют следующие значения:

,

,

,
l1 = 0,2 м,
l2 = 0,1 м,
H = 29 м,
tвх = 5 °C,

,
w = 3,6 м/с.
Далее производится аэродинамический расчет.
3. Сплошная воздушная прослойка
Расчетные параметры: толщина воздушной прослойки

; длина стены
L = 2(36 + 24) = 120 м; расход воздуха на метр ширины стены 0,12 м
2/с; скорость воздуха в прослойке
w = 2 м/с.
Допустим, что протяженность участка стены, содержащего оконные проемы, составляет 50 м. В этом случае для участка 70 м требуется только одна система, содержащая собирающий и раздающий коллекторы. Для оставшегося участка 50 м с оконными проемами необходимы даже две таких системы.
Выбираем следующую схему раздачи воздуха: нижняя разводка подводящего коллектора используется для всего участка стены, приходящегося на один вентилятор, верхняя разводка подводящего коллектора - только для участков стены, содержащих оконные проемы, при подаче воздуха в прослойку над окном. Собирающие коллекторы строятся наоборот - верхняя разводка включает прослойки как на участках безоконных проемов, так и с оконными проемами; нижняя разводка под оконными проемами используется только на участках, содержащих оконные проемы.
По
п. 4.2 определяем расход воздуха для нижнего подводящего коллектора
V1 = 0,12·120 = 14,4 м3/с
и верхнего коллектора
V2 = 0,12·50 = 6 м3/с.
Для нижнего коллектора необходимо использовать два вентилятора. Количество вентиляторов для верхней разводки определяется конструкцией здания. Один вентилятор рекомендуется применять в зданиях, в которых оконные проемы располагаются только на одной из стен. В противном случае необходимо использовать два вентилятора. Количество рекуперационных систем определяется системой вентиляции здания. (В данной работе теплотехнический расчет рекуперационных систем не рассматривается).
В дальнейшем расчет проводится только для системы вентилирования, содержащей один вентилятор. Поэтому наибольшая длина участка стены L1 будет равна 60 м, а наибольший расход воздуха V1 на одну систему - 7,5 м3/с.
Расстояние между каналами, подводящими воздух к воздушной прослойке, определяется шириной стеновой панели. Пусть эта величина равна 3 м. Оградительная пластина располагается на расстоянии

от верхнего края стены. Гидравлический диаметр подводящего коллектора на его входе принимаем равным 1 м, а на его выходе - 0,6 м.
Для выбора вентилятора необходимо кроме расхода воздуха
V1 вычислить располагаемое давление вентилятора

. Для этого определяем значения скоростей воздуха и коэффициентов сопротивления во всех элементах воздуховода.
Наибольшая скорость воздуха на выходе из системы
wвых определяется по
формуле (34) с учетом того, что площадь сечения собирающего коллектора для плоской щели равна

:
Скорости воздуха на входе в подводящий коллектор
wр.к и на выходе из вентилятора
wдиф вычисляем по
формуле (37):
wр.к = 4·7,5/(3,14·12) = 9,5 м/с;
wдиф = 1,1wр.к = 1,1·9,5 = 10,5 м/с.
Определяем коэффициент сопротивления трению воздуха о стенки щели по
формуле (45) с учетом
(44):
По
формуле (43) вычисляем коэффициент потери давления на трение

в прямых каналах при их наибольшей длине с учетом того, что эквивалентный гидравлический диаметр
dк плоской щели равен ее удвоенной толщине, т.е.

,
Потери давления на выходе из системы обусловлены поворотом потока на 90° и внезапным расширением. Коэффициент потерь давления на выходе из системы принимают равным:

.
Для получения большей точности в расчетах производится полный расчет. Для вычисления коэффициента местного сопротивления коллектора

необходимо определить параметры

и

соответственно по
формулам (39) -
(42):
Коэффициент местного сопротивления определяем по
формуле (38):
Потери давления на шибер принимаем

.
Располагаемое давление вентилятора определяем по
формуле (33):
Полученным параметрам - производительности 7,5 м3/с (25000 м3/ч) и напору 201 Па (20,5 кг/м2) в каталоге соответствует вентилятор Ц4-70 N 8.
Для всего здания потребуется либо три указанных вентилятора, либо два указанных и два с производительностью, в два раза меньшей при том же напоре.
4. Вентилируемые каналы
| | ИС МЕГАНОРМ: примечание. Текст дан в соответствии с официальным текстом документа. | |
Расчетные параметры: площадь поперечного сечения канала

; ширина промежутка каналами
l2 = 0,1 м; длина стены 120 м; расход воздуха 0,12 м
2/с на 1 м длины стены; скорость воздуха в каналах 3,6 м/с.
Схема раздачи воздуха аналогична схеме, рассмотренной в
п. 3 примера 3. Воздуховоды, подводящие воздух к каналам от раздающего коллектора, следуют с шагом 0,1 м.
Эквивалентный гидравлический диаметр каналов равен:
dк = 4Fк/Пк = 4·0,05·0,2/2(0,05 + 0,2) = 0,08 м.
Параметры, необходимые для расчетов располагаемого давления и имеющие те же значения, что и в
п. 3 примера 3, приведем без дополнительных вычислений:
V1 = 7,5 м3/с; wвых = 0,8 м/с;
wр.к = 9,5 м/с;
wдиф = 10,5 м/с;

Количество каналов, приходящихся на 1 м стены, определяется по
п. 3.18:
n = 1/(0,2 + 0,1) = 3,33.
Полное количество каналов N, обеспечиваемое одной системой, равно произведению n на длину участка стены L1: N = 3,33 x 60 = 200.
| | ИС МЕГАНОРМ: примечание. Текст дан в соответствии с официальным текстом документа. | |
По
формуле (38) вычисляем коэффициент местного сопротивления

:
| | ИС МЕГАНОРМ: примечание. Текст дан в соответствии с официальным текстом документа. | |
По
формуле (43) определяем коэффициент потери давления на трение в каналах

:
Располагаемое давление вентилятора определяется по
формуле (33)
Полученным параметрам - производительности 7,5 м3/с (25000 м3/ч) и напору 385 Па (39,2 кг/м2) в каталоге соответствует вентилятор Ц4-70 N 8.
Для всего здания потребуется, как и в
п. 3 примера 3, либо три указанных вентилятора, либо два указанных и два с производительностью, в два раза меньшей при том же напоре.
Пример 4. Провести теплофизический и аэродинамический расчеты вентилируемой стены производственного здания с высоким уровнем технологического тепловыделения и мокрым режимом; имеющего размеры в плане 36 x 24 м2 и высотой 30 м, для климатических условий г. Свердловска.
По аналогии с
примером 3 экономически эффективным является 2-й тип вентилируемой стены при механическом вентилировании. Теплотехнический расчет рекуперационной системы здесь не производится.
В качестве материала выберем ячеистый бетон, например, газобетон

, так как вентилирование стены расширяет область применения ячеистого бетона и снижает его влагосодержание до величины, обеспечивающей предполагаемый срок службы здания не менее 50 лет.
1. Вентилируемые каналы
Ниже производится теплофизический расчет.
Для снижения трудовых затрат при монтаже здания целесообразно собирать наружные стены из панелей с каналами. Расчетные параметры
tн,
tв,

,
tвх,
H определяем по аналогии с
примером 3. Эти параметры соответственно равны:
tн =
-35 °C,
tв = 25 °C,

,
tвх = 5 °C,
H = 29 м.
По
п. 3.15 определяем параметры каналов:

,
l2 = 0,15 м,
l1 = 0,25 м.
w = 0,12(0,25 + 0,15)/(0,25·0,05) = 3,8 м/с.
A = 3,5 °C;
В нашем примере b = 1,73, B = 0,3, K = -3,34.
Для построения графика прямой необходимо определить две точки этой прямой. Соединив эти точки, прямая пересечет кривую

при
B = 0,3, проекция точки пересечения на ось

дает искомое значение

.
Определим коэффициент теплопроводности ячеистого бетона по
СНиП II-3-79** для условий эксплуатации А, так как влагосодержание материала вентилируемых стен приближается к влагосодержанию наружных стен зданий с нормальным режимом. Интерполяция между данными
пп. 6.4 и
6.5,
прил. 3 СНиП II-3-79** приводит к тому, что

.
Ячеистый бетон с

требует защиты от переувлажнения дождевой влагой, поэтому с наружной стороны панели необходим защитный наружный слой

из более плотного материала, например, цементно-песчаного раствора.
По
п. 3.21 определяются
tвых,
C и
tэф с учетом того, что
а затем

Таким образом, параметры вентилируемой стены с каналами, необходимые для ее конструирования, имеют значения:

;

;

(наружный защитный слой);

;
l1 = 0,25 м;
l2 = 0,15 м;
H = 29 м;
tвх = 5 °C;

;
w = 3,8 м/с;
v = 0,12 м
2/с; материалы: газобетон

, цементно-песчаный раствор

.
Ниже производится аэродинамический расчет.
Расчетные параметры: площадь поперечного сечения канала

; ширина промежутка между каналами
l2 = 0,15 м; длина стены
L = 120 м; расход воздуха
v = 0,12 м
2/с; скорость воздуха в каналах
w = 3,8 м/с.
Разводку воздуха осуществляем по аналогии с разводкой воздуха в
примере 3 (п. 3). Как и в
примере 3, расход воздуха на одну вентиляционную систему принимаем равным 7,5 м
3/с, а наибольшая длина участка стены, обслуживаемого одним вентилятором, равна 60 м. Оградительная пластина располагается на расстоянии

от верхнего края стены. Гидравлический диаметр подводящего коллектора на его входе принимаем равным 1 м, а на его выходе - 0,6 м.
Определим значения скоростей воздуха и коэффициентов сопротивления во всех элементах воздуховода.
wвых = 7,5/(60·0,15) = 0,8 м/с;
wдиф = 1,1wр.к = 1,1·9,5 = 10,5 м/с.
По аналогии с
примером 3 определяем коэффициент сопротивления трению воздуха

о стенки каналов по
формуле (45):
Количество каналов N, входящих в состав одной системы, равно:
dк = 4Fк/Пк = 4·0,05·0,25/2(0,25 + 0,05) = 0,084 м.
По
формуле (43) вычисляем коэффициент потери давления на трение

в прямых каналах:
Коэффициент потерь давления на выходе из системы

аналогии с
примером 3 принимаем равными:

.
Коэффициент местного сопротивления

определяем по
формуле (38):
Потери давления на шибер принимаем равными

.
Располагаемое давление вентилятора

определяем по
формуле (33):
Полученным параметрам: производительности 7,5 м3/с (25000 м3/ч) и напору 519 Па (53 кг/м2) в каталоге соответствует вентилятор Ц4-70 N 8.
Для всего здания требуется либо три указанных вентилятора, либо два указанных и два производительностью, в два раза меньшей при том же напоре.