Главная // Актуальные документы // Рекомендация / РекомендацииСПРАВКА
Источник публикации
М.: Стройиздат, 1982
Примечание к документу
Название документа
"Рекомендации по проектированию панельных конструкций с применением древесины и древесных материалов для производственных зданий"
"Рекомендации по проектированию панельных конструкций с применением древесины и древесных материалов для производственных зданий"
РЕКОМЕНДАЦИИ
ПО ПРОЕКТИРОВАНИЮ ПАНЕЛЬНЫХ КОНСТРУКЦИЙ
С ПРИМЕНЕНИЕМ ДРЕВЕСИНЫ И ДРЕВЕСНЫХ МАТЕРИАЛОВ
ДЛЯ ПРОИЗВОДСТВЕННЫХ ЗДАНИЙ
Рекомендовано к изданию решением секции деревянных конструкций НТС ЦНИИСК им. Кучеренко.
Приведены основные требования к ограждающим конструкциям на деревянном каркасе для производственных, промышленных и сельскохозяйственных зданий и сооружений, требования к материалам, правила расчета и конструирования.
Рассмотрены панельные конструкции с каркасом из древесины, в том числе армированной, из балок с фанерной стенкой и гнутоклееных фанерных профилей, панели со шпренгелем.
Для инженерно-технических работников проектных организаций.
Применение клееных деревянных несущих конструкций в сочетаний с легкими эффективными ограждающими конструкциями обеспечивает по сравнению с железобетонными снижение веса зданий в целом в 2,5 - 3 раза, экономию стали до 4,3 кг/м2, снижение трудозатрат в 1,5 - 1,8 раза и стоимости по приведенным затратам на 7 - 10%.
К настоящему времени накоплен положительный опыт по проектированию, изготовлению и применению панельных конструкций на деревянном каркасе. Настоящие рекомендации разработаны в целях обобщения накопленного опыта.
Рекомендации разработаны к главе СНиП по проектированию деревянных конструкций с использованием действующих нормативных документов и проектных материалов ЦНИИСКа, ЦНИИпромзданий, Гипролеспрома, Гипронисельхоза, ЦНИИЭПсельстроя, Южгипронисельстроя, ЦНИИЭПовцепрома, Госгорхимпроекта.
Составлены лабораторией ограждающих конструкций ЦНИИСК им. Кучеренко Госстроя СССР: кандидаты техн. наук И.М. Линьков (ответственный исполнитель), А.Ф. Михайлов, И.Н. Бойтемирова при участии кандидатов техн. наук Д.К. Арленинова, И.М. Зотовой, С.Б. Ермолова, инженеров А.С. Семиной и О.Г. Черных (ЦНИИСК им. Кучеренко), канд. техн. наук П.С. Кузнецова (ЦНИИЭПовцепром), канд. техн. наук В.Г. Житушкина, инж. С.В. Дюжева (Южгипронисельстрой), канд. техн. наук К.В. Козлова, инж. А.А. Скворцова (ЦНИИЭПсельстрой), инж. В.Н. Черноивана (Брестский ИСИ), инж. С.П. Гвоздецкого (Киевский ИСИ).
Замечания и предложения просьба направлять по адресу: 109389, Москва, 2-я Институтская, д. 6, ЦНИИСК им. Кучеренко, лаборатория ограждающих конструкций.
1.1. Плиты покрытий и панели стен с применением клееной древесины должны разрабатываться в соответствии с требованиями действующих глав СНиП по деревянным конструкциям, по нагрузкам и воздействиям, по строительной теплотехнике, по противопожарным нормам проектирования зданий и сооружений, по защите строительных конструкций и сооружений от коррозии, по единой модульной системе в строительстве.
1.2. Плиты покрытий на деревянном каркасе могут быть использованы в качестве горизонтальных связей при соответствующем конструктивном решении узлов в зданиях пролетом до 24 м.
| | ИС МЕГАНОРМ: примечание. Взамен ГОСТ 20850-75 Постановлением Госстроя СССР от 15.03.1983 N 25 с 1 января 1985 года введен в действие ГОСТ 20850-84. | |
1.3. Изготовление плит и панелей должно осуществляться в соответствии с главой СНиП на деревянные конструкции, правила производства и приемки работ, "
Руководством по индустриальному изготовлению деревянных клееных конструкций для строительства" (ЦНИИСК, М., Стройиздат, 1975) и ГОСТ 20850-75.
2.1. Плиты покрытий предназначаются для применения в качестве ограждающих конструкций покрытий в отапливаемых зданиях сельского, промышленного и гражданского строительства с относительной влажностью воздуха до 75% и неотапливаемых без выделения водяных паров. Плиты для отапливаемых зданий применяются в районах с расчетной температурой наружного воздуха до минус 50 °C.
2.2. Плиты покрытий, как правило, предназначаются для зданий с наружным отводом воды.
2.3. Плиты состоят из несущего каркаса, обшивок, утеплителя, пароизоляции. Утепленные плиты имеют верхнюю и нижнюю обшивки. Плиты для неотапливаемых зданий нижней обшивки не имеют.
2.4. Плиты покрытий классифицируются по следующим признакам:
теплотехническим свойствам - утепленные и неутепленные;
конструкции кровли - под рулонную кровлю или жесткую с применением волнистых асбестоцементных листов с уклоном 25 - 33%, стального профилированного настила;
материалам каркаса - с деревянным каркасом из цельной или клееной древесины (несущие ребра каркаса могут быть армированы), с каркасом из балок с фанерной стенкой и гнутоклееных фанерных профилей;
материалам обшивок - с обшивкой из водостойкой фанеры, плоских асбестоцементных листов, древесно-волокнистых и древесно-стружечных плит, алюминиевых листов, листовых материалов на основе пластмасс, цементно-стружечных плит;
способу соединения элементов каркаса с обшивкой - на водостойких клеях (в этом случае плита является монолитной конструкцией), на шурупах. Фанера, ДВ и ДС плиты, как правило, должны соединяться с элементами каркаса на клеях, асбестоцементные листы - на шурупах.
| | ИС МЕГАНОРМ: примечание. Постановлением Минстроя России от 6 декабря 1996 г. N 18-90 с 1 апреля 1997 года введен в действие ГОСТ 9573-96. | |
2.5. В качестве утеплителя рекомендуются минераловатные плиты на синтетическом связующем (ГОСТ 9573-72*), укладываемые на нижнюю обшивку по слою пленочной или покрасочной пароизоляции. Возможно применение и других эффективных утеплителей.
2.6. Утепленные плиты для покрытий рекомендуются следующих типов:
под рулонную трехслойную кровлю (один слой рулонного ковра наклеивается на заводе):
с двусторонними обшивками из водостойкой фанеры по деревянному каркасу;
с двусторонними обшивками из плоских асбестоцементных листов на шурупах по деревянному каркасу;
с верхней обшивкой из плоских асбестоцементных листов и нижней обшивкой из декоративного фибролита и других звукопоглощающих материалов на шурупах по деревянному каркасу;
под жесткую кровлю из волнистых асбестоцементных листов, стали и т.п.:
с нижней обшивкой из водостойкой фанеры по деревянному каркасу;
с нижней обшивкой из плоских асбестоцементных листов или декоративного фибролита и других звукопоглощающих материалов на шурупах по деревянному каркасу.
2.7. Неутепленные плиты для покрытия под рулонную кровлю рекомендуются следующих типов:
с верхней обшивкой из водостойкой фанеры по деревянному каркасу;
с верхней обшивкой из плоских асбестоцементных листов на шурупах по деревянному каркасу.
Рекомендуемые размеры плит, шаг ребер каркаса, требования к материалам и правила расчета такие же, как для утепленных панелей.
Неутепленные покрытия кровли из листовых материалов могут быть устроены по прогонам, укладываемым непосредственно на несущие конструкции.
2.8. В плитах всех типов должна быть обеспечена сквозная естественная вентиляция внутренних полостей наружным воздухом. Вентиляция может осуществляться поперек или вдоль плит. В первом случае продольные ребра каркаса плит выполняются с вентиляционными отверстиями, например составными на коротких приклеиваемых прокладках, промежутки между которыми образуют вентиляционные отверстия, расположенные над слоем утеплителя. Во втором случае продольные ребра каркаса выполняются сплошными, а вентиляционные отверстия предусматриваются в торцовых и поперечных ребрах каркаса плит. В плитах, предназначенных под кровлю из волнистых асбестоцементных листов, продольные ребра каркаса устраиваются сплошными, а поперечная вентиляция обеспечивается через волны кровельных листов.
2.9. Плиты с продольным проветриванием могут укладываться непосредственно на несущие пролетные конструкции. В этом случае вентиляция их осуществляется вдоль здания. При опирании плит на прогоны, уложенные на несущие конструкции, проветривание осуществляется вдоль ската от карниза к коньку. Плиты с поперечным проветриванием предназначены для укладки непосредственно на несущие пролетные конструкции. Вентиляция в этом случае осуществляется от карниза к коньку.
2.10. Длина опирания плит на несущие конструкции определяется расчетом, однако в любом случае фактическая длина должна быть не менее 55 мм.
2.11. Крепление плит к несущим конструкциям в местах их опирания рекомендуется устраивать сверху. Конструкция крайних продольных ребер должна допускать выполнение утепленного стыка между плитами.
2.12. Рекомендуемые размеры плит: номинальная ширина 1,5 м, высота 1/32 - 1/20 пролета, длина - до 6 м при опирании на несущие конструкции, располагаемые поперек здания. В случае опирания плит на несущие конструкции, расположенные вдоль здания, при двускатных и односкатных кровлях допускаются также плиты с номинальной длиной 9 и 12 м.
3.1. Панели стен предназначаются для применения в качестве ограждающих конструкций сельскохозяйственных и промышленных производственных зданий с относительной влажностью внутреннего воздуха не более 75%.
3.2. Панели стен с деревянным каркасом и фанерной обшивкой относятся к сгораемым конструкциям и могут быть применены в соответствии с главой
СНиП II-А.5-70* в зданиях V степени огнестойкости, предназначенных для категории производств В, Г и Д. Панели стен с деревянным несущим каркасом, асбестоцементными обшивками и утеплителем из минераловатных плит при глубокой пропитке древесины каркаса антипиренами относятся к трудносгораемым конструкциям и могут быть применены в зданиях IV и III степени огнестойкости с минимальными пределами огнестойкости 0,25 и 0,5 ч соответственно.
3.3. Панели стен классифицируются по следующим признакам:
теплотехническим свойствам - утепленные и неутепленные;
материалам каркаса - с деревянным каркасом, каркасом из гнутоклееных фанерных профилей и др.;
применяемым материалам обшивки - фанерные и с асбестоцементной обшивкой;
способу соединения элементов каркаса с обшивкой - клееные или с соединениями на шурупах.
3.4. Панели, как правило, состоят на несущего каркаса, обшивок, утеплителя и пароизоляции. Панели для отапливаемых зданий применяются в районах с расчетной температурой наружного воздуха до минус 50 °C.
3.5. Каркас панелей принимается из цельной или клееной древесины, из гнутоклееных фанерных профилей, из балок с фанерной стенкой и др.
3.6. Обшивка панелей может быть предусмотрена из следующих листовых материалов:
внутренняя из водостойкой фанеры, древесно-волокнистых плит, плоских асбестоцементных листов, листовых материалов на основе пластмасс, алюминиевых листов и других листовых материалов;
наружная, как правило, из водостойкой фанеры, листов плоских или волнистых асбестоцементных, листов алюминиевых, материалов на основе пластмасс и др.
3.7. В качестве утеплителя применяются минераловатные плиты, фибролит, пенопласты.
В случае применения утеплителя из мягких материалов необходимо предусмотреть мероприятия (например, прижимные решетки), исключающие возможность его сползания, т.е. образования неутепленных участков панели.
3.8. Пароизоляция панелей может быть как пленочной, так и покрасочной.
3.9. По принципу компоновки сечения панели могут быть с воздушным вентилируемым прослойком и без воздушного прослойка, например панели типа сэндвич.
В целях предотвращения проникновения атмосферной влаги внутрь конструкции стеновых панелей рекомендуется устройство влагозащитного экрана в виде дополнительной наружной обшивки, устанавливаемой с зазором 20 - 30 мм.
3.10. Панели цоколей зданий должны иметь обшивку, устойчивую к случайным ударам, а также к гниению в условиях повышенной влажности.
Целесообразно предусматривать цоколь высотой не менее 0,3 м от отметки отмостки из легкобетонных панелей или кирпича.
3.11. Для стен производственных зданий, как правило, применяются навесные панели горизонтальной разрезки. Для экспериментального строительства могут быть применены панели со световым проемом.
4. ТЕПЛОТЕХНИЧЕСКИЕ ТРЕБОВАНИЯ
4.1. Плиты покрытий и панели стен должны обладать достаточной теплоустойчивостью и сопротивлением теплопередаче с целью исключения переохлаждения, промерзания и конденсационных увлажнений.
4.2. Взаимное расположение слоев различных строительных материалов и пароизоляции, составляющих конструкцию, должно обеспечивать постепенность падения упругости водяных паров, воздуха, проходящих через толщу конструкций в направлении от более высоких температур воздуха внутри помещений к более низким температурам наружного воздуха.
4.3. В целях исключения конденсационного увлажнения ограждающих конструкций отапливаемых зданий должны выполняться следующие требования: в слоистых конструкциях наиболее теплопроводные материалы следует располагать со стороны более высоких температур, т.е. у внутренней поверхности ограждения, и за ними - остальные в порядке падения степени их теплопроводности. Более воздухопроницаемые материалы с наименьшей теплопроводностью располагаются со стороны более низких температур.
Пароизоляционные материалы следует располагать у внутренней поверхности, т.е. со стороны более высоких температур.
Воздушные прослойки располагаются, как правило, у наружной поверхности ограждения так, чтобы они сообщались с наружным воздухом.
Утепление плит и панелей должно назначаться теплостойким расчетом в зависимости от температурно-влажностного режима помещения и климатических условий эксплуатации.
4.4. Воздушные прослойки в плитах покрытий должны сообщаться с наружным воздухом посредством вентиляционных щелевых продухов-отверстий или с использованием аэраторов в коньке в зависимости от конструкции покрытия.
4.5. Вентиляционные продухи должны удовлетворять следующим требованиям:
обеспечивать непрерывную тягу воздуха в воздушном прослойке от карниза к коньку или в воздушных прослойках вдоль здания и давать равномерное проветривание покрытия;
удовлетворять противопожарным требованиям, для чего воздушные прослойки разбиваются на отдельные секции при помощи диафрагм;
не допускать попадания атмосферной влаги внутрь покрытия, для чего устраиваются отливы, козырьки и т.д.
4.6. Площадь вентиляционных отверстий и сечения вентиляционных коробов должны максимально приближаться к площади сечения вентилируемых каналов.
4.7. При осуществлении вентиляции вдоль здания длина вентиляционных каналов должна приниматься по табл. 1.
Таблица 1
Материал пароизоляции и его сопротивление паропроницанию  , м2 · ч · мм рт. ст./г |
рубероид  | окрасочный состав  | полиэтиленовая пленка  ,  |
Относительная влажность воздуха помещения  , %, при температуре  |
60 | 70 | 75 | 60 | 70 | 75 | 60 | 70 | 75 |
| | - | | | | | | |
| - | - | | | | или | или | или |
| | - | | | | |
| - | - | | | |
| | | | | |
| | | | | |
Примечание. Величина n обозначает любое количество повторений указанных расстояний между промежуточными выходами вентилируемых каналов при любой длине здания и его ориентации.
5. ОСНОВНЫЕ ТРЕБОВАНИЯ К СТЫКАМ
5.1. Стыки должны обеспечивать достаточную теплоизоляцию, т.е. не должны создавать "мостиков холода" и возможности промерзаний конструкции или конденсации водяных паров. В стыках должна быть обеспечена герметичность, исключающая возможность проникновения водяных паров из помещения во внутренние полости ограждающих конструкций. Для этого стыки между плитами или панелями рекомендуется уплотнять жгутами (диаметром 40 мм) из эластичных материалов: гернита, пароизола и др. После уплотнения стыки герметизируются мастикой и заполняются утеплителем.
5.2. Материалы уплотнения стыков, а также их утепления не должны закрывать вентиляционных продухов в ребрах панелей. Между ребрами плит, не имеющими вентиляционных отверстий, в качестве утеплителя могут быть использованы минеральная вата или отходы минераловатных плит. Полости между ребрами, имеющими вентиляционные отверстия, утепляются вторым жгутом из эластичного материала. Использование для утепления минеральной ваты в этом случае не допускается во избежание засорения вентиляционных продухов.
5.3. Стыки плит или панели должны исключать возможность проникновения атмосферной влаги в полости стыков плит, а также панелей. Для этого стыки между плитами или панелями должны обладать гидроизоляционными свойствами и не иметь повреждений в процессе эксплуатации. Так, при устройстве рулонной кровли по плитам покрытия перед наклейкой кровельного ковра на поперечные стыки плит сверху накладываются подкрепляющие полосы из жесткого листового материала, например из кровельной стали. Полосы прикрепляются только к одному ряду плит. После закрепления этих полос сверху на все стыки плит, как продольные, так и поперечные, наклеиваются полосы из кровельного рулонного материала, причем приклейка полос должна производиться только на один ряд плит. После прикрепления защитных полос производится наклейка рулонного ковра. Такая конструкция стыков предотвращает разрывы рулонного ковра в процессе эксплуатации покрытия.
Стыки панелей стен с наружной стороны прикрываются специальными нащельниками и отливами. Нащельники-компенсаторы из листового материала (оцинкованной стали, алюминия, пластмасс и др.) устанавливаются на вертикальные швы, а отливы - на горизонтальные. С внутренней стороны помещения стыки панелей могут быть без нащельников или прикрыты только декоративными нащельниками.
5.4. В стыках ограждающих конструкций не должно возникать условий для развития процессов разрушения древесины дереворазрушающими грибами и насекомыми-вредителями. С этой целью необходимо соблюдать условия
пп. 5.1,
5.2,
5.3. Ребра панелей рекомендуется выполнять из древесины, подвергнутой камерной сушке и антисептированию.
5.5. Конструкция стыка должна обеспечивать удобство производства работ при выполнении стыков и не должна создавать затруднений при устройстве кровли.
5.6. Герметизация стыков должна производиться в соответствии с "Указаниями по герметизации стыков при монтаже строительных конструкций"
(СН 420-71).
6. МАТЕРИАЛЫ ДЛЯ ИЗГОТОВЛЕНИЯ ПЛИТ И ПАНЕЛЕЙ
| | ИС МЕГАНОРМ: примечание. Взамен ГОСТ 20850-75 Постановлением Госстроя СССР от 15.03.1983 N 25 с 1 января 1985 года введен в действие ГОСТ 20850-84. | |
6.1. Элементы деревянного каркаса плит и панелей следует изготовлять из древесины хвойных пород (сосны, ели), удовлетворяющих требованиям элементов 2-го сорта, в соответствии с главами СНиП по проектированию, правилам производства и приемки работ деревянных конструкций и ГОСТ 20850-75.
6.2. Расчетные сопротивления древесины, а также упругие характеристики должны приниматься в соответствии с требованиями главы СНиП по проектированию деревянных конструкций. Основные расчетные сопротивления древесины сосны и ели приведены в табл. 2.
────────────────────────────┬───────────────┬──────────────────────────────
Вид напряженного состояния │ Обозначение │ Расчетные сопротивления,
и характеристика элементов │ │ кН/см2, для сортов древесины
│ ├────────┬──────────┬──────────
│ │ 1-го │ 2-го │ 3-го
────────────────────────────┼───────────────┼────────┼──────────┼──────────
Изгиб, сжатие и смятие │ R , R , R │ 1,4 │ 1,3 │ 0,85
вдоль волокон элементов │ и с см │ │ │
прямоугольного сечения │ │ │ │
высотой до 500 мм │ │ │ │
Растяжение вдоль волокон: │ │ │ │
элементы из клееной │ R │ 1,2 │ 0,9 │ -
древесины │ р │ │ │
│ │ │ │
элементы из неклееной │ R │ 1 │ 0,7 │ -
древесины │ р │ │ │
│ │ │ │
Сжатие и смятие по всей │ R ; R │ 0,18 │ 0,18 │ 0,18
площади поперек волокон │ с90 см90 │ │ │
│ │ │ │
Смятие поперек волокон │ R │ 0,3 │ 0,3 │ 0,3
местное в опорных частях │ сп90 │ │ │
конструкций и узловых │ │ │ │
примыканиях элементов │ │ │ │
Скалывание вдоль волокон: │ │ │ │
при изгибе элементов │ R │ 0,18 │ 0,16 │ 0,16
из неклееной древесины │ ск │ │ │
│ │ │ │
при изгибе клееных │ R │ 0,16 │ 0,15 │ 0,15
элементов │ ск │ │ │
Модуль упругости древесины E принимается 1000 кН/см2.
6.3. Для плит и панелей должна применяться фанера повышенной водостойкости марки ФСФ сорта не ниже В/ВВ, изготовленная из древесины березы или лиственницы, в соответствии с ГОСТ 3916-69 "Фанера клееная".
6.4. Фанеру применяют для внутренних и наружных обшивок панелей стен и плит покрытий, а также в качестве стенок продольных ребер плит и панелей.
6.5. Основные расчетные сопротивления и модули упругости фанеры из древесины березы и лиственницы представлены в табл. 3.
──────────────────────┬─────────────────────────────────────────┬──────────
Вид фанеры │ Расчетные сопротивления, кН/см2 │ Модуль
├────────┬───────┬───────┬────────┬───────┤упругости
│растя- │сжатию │изгибу │скалы- │ срезу │E , кН/см2
│жению │ R │ R │ванию │ R │ ф
│ R │ ф.с │ ф.и │ R │ ф.ср │
│ ф.р │ │ │ ф.ск │ │
──────────────────────┼────────┼───────┼───────┼────────┼───────┼──────────
Клееная березовая │ │ │ │ │ │
марки ФСФ сортов │ │ │ │ │ │
В/ВВ, ВВ/С, В/С: │ │ │ │ │ │
семислойная толщиной │ │ │ │ │ │
8 мм и более: │ │ │ │ │ │
вдоль волокон │ 1,4 │ 1,2 │ 1,6 │ 0,08 │ 0,6 │ 900
наружных слоев │ │ │ │ │ │
поперек волокон │ 0,9 │ 0,85 │ 0,65 │ 0,08 │ 0,6 │ 600
наружных слоев │ │ │ │ │ │
пятислойная толщиной │ │ │ │ │ │
5 - 7 мм: │ │ │ │ │ │
вдоль волокон │ 1,4 │ 1,3 │ 1,8 │ 0,08 │ 0,5 │ 900
наружных слоев │ │ │ │ │ │
поперек волокон │ 0,6 │ 0,7 │ 0,3 │ 0,08 │ 0,6 │ 600
наружных слоев │ │ │ │ │ │
Клееная из древесины │ │ │ │ │ │
лиственницы марки ФСФ │ │ │ │ │ │
сортов В/ВВ и ВВ/С: │ │ │ │ │ │
семислойная толщиной │ │ │ │ │ │
8 мм и более: │ │ │ │ │ │
вдоль волокон │ 0,9 │ 1,7 │ 1,8 │ 0,06 │ 0,5 │ 700
наружных слоев │ │ │ │ │ │
поперек волокон │ 0,75 │ 1,3 │ 1,1 │ 0,05 │ 0,5 │ 550
наружных слоев │ │ │ │ │ │
6.6. Профили фанерные гнутоклееные швеллерного сечения должны удовлетворять требованиям ГОСТ 22242-76.
6.7. Расчетные сопротивления и модуль упругости вдоль волокон гнутоклееных фанерных профилей, изготовленных в соответствии с ГОСТ 22242-76, должны приниматься такими же, как для трехслойной фанеры, в соответствии с главой СНиП по проектированию деревянных конструкций.
6.8. Синтетические клеи для склеивания древесины, древесины с фанерой, древесины с металлом в клееных деревянных ограждающих конструкциях должны применяться в соответствии с главой СНиП по проектированию деревянных конструкций. Рекомендуются следующие марки клеев: фенолоформальдегидный КБ-3, резорциноформальдегидный ФР-12, фенолорезорциновый ФРФ-50, алкилрезорциноформальдегидные ФР-100, ДФМК-1АМ, карбамидные (мочевиноформальдегидные) УКС, КС-68, М-19-62.
Составы клеев, порядок их приготовления и применения, а также нормативные характеристики клеевых соединений приведены в "Руководстве по индустриальному изготовлению деревянных клеевых конструкций для строительства" (М., Стройиздат, 1975) и "
Пособии по расчетным характеристикам клеевых соединений для строительных конструкций" (ЦНИИСК, М., Стройиздат, 1972).
| | ИС МЕГАНОРМ: примечание. Взамен ГОСТ 4598-74 Постановлением Госстроя СССР от 19.12.1985 N 240 с 31 января 1986 года введен в действие ГОСТ 4598-86. | |
6.9. Для обшивок плит и панелей должны применяться древесно-волокнистые плиты твердые и сверхтвердые марок Т-350, Т-400, СТ-500 плотностью не менее 1850 кг/м3 в соответствий с ГОСТ 4598-74*.
Расчетные сопротивления, модули упругости, модули сдвига, коэффициент Пуассона древесно-волокнистых плит должны приниматься согласно табл. 4.
Таблица 4
─────────────────────────────────────┬────────────────────────────
Наименование характеристик │ Вид древесно-волокнистых
и их условные обозначения │ плит
├────────────┬───────────────
│ твердые │ сверхтвердые
─────────────────────────────────────┼────────────┼───────────────
Нормативное сопротивление, МПа: │ │
│ │
н │ │
при растяжении, R │ 20 │ 30
р │ │
│ │
н │ │
" изгибе, R │ 40 │ 50
и │ │
│ │
н │ │
" сжатии, R │ 20 │ 30
с │ │
│ │
срезу поперек плоскости │ │
│ │
н │ │
плиты, R │ 12 │ 17
ср │ │
│ │
н │ │
скалыванию, R │ 2 │ 3
ск │ │
│ │
Расчетное сопротивление, МПа: │ │
│ │
при растяжении, R │ 5 │ 6
р │ │
│ │
" изгибе, R │ 10 │ 10
и │ │
│ │
" сжатии, R │ 3 │ 4
с │ │
│ │
срезу поперек плоскости │ │
│ │
плиты, R │ 3,5 │ 5
ср │ │
│ │
скалыванию, R │ 0,5 │ 1
ск │ │
│ │
Кратковременный модуль упругости, │ 3000 │ 5000
E, МПа │ │
│ │
Длительный модуль упругости, │ 750 │ 1250
E , МПа │ │
дл │ │
│ │
Кратковременный модуль сдвига, │ 1400 │ 2000
G, МПа │ │
│ │
Длительный модуль сдвига, │ 350 │ 500
G , МПа │ │
дл │ │
│ │
Коэффициент Пуассона, мю │ 0,2 │ 0,2
│ │
Коэффициент деформации │ 45 │ 35
-5 │ │
при увлажнении на 1%, 10 │ │
│ │
Коэффициент деформации │ 17 │ 17
-5 │ │
при влагоотдаче на 1%, 10 │ │
│ │
Коэффициент теплопроводности, │ 0,2 │ 0,25
лямбда, ккал/(м x ч x град) │ │
При расчете конструкций с применением древесно-волокнистых плит необходимо учитывать влияние влажностного режима эксплуатации, выражающегося коэффициентом условий работы и принимаемого согласно табл. 5. При других значениях влажностного режима эксплуатации коэффициент принимается по интерполяции.
Таблица 5
─────────────────────────────┬────────────────────────────────────
Вид древесно-волокнистых │ Коэффициент условий работы
плит │ при влажности, %, до
├────────┬────────┬────────┬─────────
│ 60 │ 75 │ 85 │ 90
─────────────────────────────┼────────┼────────┼────────┼─────────
Сверхтвердые │ 1 │ 0,85 │ 0,65 │ 0,5
Твердые │ - │ 0,75 │ 0,55 │ 0,4
6.10. Склеивание древесно-волокнистых плит между собой в стыках и с деревянным каркасом, так же как и фанеры, должно производиться на водостойких синтетических клеях.
| | ИС МЕГАНОРМ: примечание. Постановлением Минстроя России от 6 декабря 1996 г. N 18-90 с 1 апреля 1997 года введен в действие ГОСТ 9573-96. | |
6.11. Плиты из минеральной ваты на синтетическом связующем для теплоизоляции должны приниматься по ГОСТ 9573-72*, плиты из стеклянного штапельного волокна - по ГОСТ 10499-78.
| | ИС МЕГАНОРМ: примечание. Взамен ГОСТ 10354-73 Постановлением Госстандарта СССР от 02.06.1982 N 2253 с 1 июля 1983 года введен в действие ГОСТ 10354-82. | |
6.12. Полиэтиленовая пленка для пароизоляции должна приниматься по ГОСТ 10354-73.
6.13. Монтажные петли и другие закладные детали должны выполняться из стали ВСт3пс2 по ГОСТ 380-71.
Для монтажных петель, предназначенных для подъема и монтажа плит и панелей при температуре ниже минус 40 °C, следует применять сталь ВСт3сп5 по ГОСТ 380-71*.
7. РАСЧЕТ. ОБЩИЕ ПОЛОЖЕНИЯ
7.1. Расчет плит покрытий и панелей стен должен производиться по предельным состояниям в соответствии с главой СНиП по проектированию деревянных конструкций:
по несущей способности на действие расчетных нагрузок;
по деформациям на действие нормативных нагрузок.
7.2. Прогиб плит и панелей должен определяться по общим правилам строительной механики в предположении упругой работы материалов. Предельный прогиб от нормативной нагрузки не должен превышать 1/250 пролета. В соответствии с главой СНиП по проектированию деревянных конструкций влияние на прогиб длительной нагрузки учитывается понижающим коэффициентом 0,7, вводимым к жесткости EJ. В целях упрощения расчета в настоящих Рекомендациях влияние длительной нагрузки учитывается коэффициентом 1,43, вводимым к прогибу. Для плит покрытий с ребрами из балок с фанерной стенкой и с ребрами из гнутоклееных фанерных профилей коэффициенты на основе экспериментальных данных приняты 1,6 и 1,7 соответственно. Прогиб обшивок не должен превышать 1/150 расстояния между ребрами.
7.3. Плиты покрытий рассчитывают на следующие нагрузки:
постоянные (собственный вес);
временные (снеговая нагрузка).
Верхняя обшивка плит под рулонную кровлю дополнительно рассчитывается на сосредоточенную силу 1 кН с коэффициентом перегрузки 1,2.
7.4. Панели стен рассчитывают на следующие нагрузки:
на усилия, возникающие в период эксплуатации здания от собственного веса панелей (вес двух панелей - рассчитываемой и вышележащей) и ветровой нагрузки с учетом аэродинамического коэффициента 0,8 и 0,6 (отсос), на усилия, возникающие при возведении стен здания от действия собственного веса панелей (вес двух панелей - рассчитываемой и вышележащей) и ветровой нагрузки с учетом аэродинамического коэффициента 1,4 (одновременное действие ветра на обе поверхности стен - с наветренной и подветренной сторон). В этом случае расчетная ветровая нагрузка принимается с понижающим коэффициентом 0,8, учитывающим кратковременное действие нагрузки;
на усилия от собственного веса, возникающие в процессе транспортирования и монтажа панелей.
8. ПЛИТЫ ПОКРЫТИЙ С ДЕРЕВЯННЫМ КАРКАСОМ
И ФАНЕРНОЙ ОБШИВКОЙ. КОНСТРУКТИВНЫЕ
ТРЕБОВАНИЯ И РАСЧЕТНЫЕ ПОЛОЖЕНИЯ
8.1. Плиты покрытий с деревянным каркасом и фанерной обшивкой должны состоять из несущего каркаса и фанерных обшивок, соединенных с каркасом водостойким клеем в одно целое и образующих коробчатое или тавровое рабочее сечение. При расчете коробчатое сечение приводится к материалу обшивок (или ребер). Пример конструктивного решения плиты покрытия представлен на рис. 1.
Рис. 1. Плита покрытия длиной 6 м с деревянным каркасом
и фанерной обшивкой:
а - план и поперечный разрез; б - узел опирания;
в - продольный стык плит; 1 - продольные деревянные ребра;
2 - обшивки из водостойкой фанеры; 3 - утеплитель
из минераловатных плит; 4 - пароизоляция из полиэтиленовой
пленки; 5 - монтажные петли; 6 - металлическая деталь
крепления; 7 - рулонная кровля
8.2. Ребра каркасов плит могут быть неклееными из досок, устанавливаемых на ребро, клееными сплошного поперечного сечения из досок, склеиваемых по кромке или по пласти, а также в виде балок с фанерной стенкой или сквозных ребер в виде ферм.
Расстановка ребер должна производиться с учетом местного изгиба обшивки от действия основной и монтажной нагрузки и ее местной устойчивости от действия сжимающих усилий.
Минимальная ширина ребер должна назначаться из условия обеспечения необходимой надежности клеевого соединения с обшивками.
8.3. Обшивки плит должны изготавливаться из водостойкой фанеры марки ФСФ, а в особых случаях - из фанеры бакелизированной. Толщина фанерных обшивок должна быть не менее 6 мм в растянутой зоне и не менее 8 мм в сжатой. Направление волокон наружных слоев фанеры как в верхней, так и в нижней обшивке панели должно быть продольным.
| | ИС МЕГАНОРМ: примечание. Постановлением Госстандарта СССР от 27.02.1990 N 295 с 1 января 1991 года введен в действие ГОСТ 19414-90. | |
8.4. Соединение листов обшивки между собой должно осуществляться на ус. Длина уса принимается не менее 10 толщин соединяемых листов обшивок. Допускается соединение фанерных листов посредством зубчатого клеевого соединения по II группе соединений с длиной шага 10 мм (ГОСТ 19414-74). Допускается также стыкование фанеры с помощью накладок.
8.5. Под утеплителем пароизоляцию рекомендуется выполнять из полиэтиленовой пленки толщиной 0,2 мм. Над утеплителем с целью удаления конденсационной влаги и создания в полости плиты нормального температурно-влажностного режима следует предусматривать вентилируемую воздушную прослойку. В связи с необходимостью уменьшения возможности распространения огня в покрытии площадь отдельных вентилируемых прослоек не должна превышать 50 м2, для чего между торцами продольных ребер плит должны устанавливаться разделительные вкладыши.
8.6. В целях предотвращения увлажнения плит в процессе транспортирования и монтажа на верхнюю оболочку плит при изготовлении должен быть наклеен на битумной мастике один слой рубероида.
Плиты, не имеющие верхней обшивки, при транспортировке и хранении должны накрываться полиэтиленовой пленкой.
8.7. Плиты покрытий с деревянным каркасом и фанерной обшивкой относятся к сгораемым конструкциям и могут быть применены в соответствии с главой
СНиП по противопожарным нормам проектирования зданий и сооружений в зданиях V, IV и III степени огнестойкости, предназначенных для категорий производств В, Г и Д.
8.8. При расчете плит покрытий на прочность и по деформациям (прогибам) фактическое поперечное сечение плиты заменяется приведенным.
Коэффициент приведения n, равный отношению модулей упругости, определяется по формуле

, (1)
где

и

- модули упругости древесины и фанеры соответственно.
8.9. Геометрические характеристики приведенного сечения определяются по формулам. При осуществлении приведения размеры сечения древесины и фанеры по высоте сохраняются постоянными. Геометрическая схема поперечного сечения представлена на рис. 2.
Рис. 2. Схема расчетного сечения плиты покрытия
с деревянным каркасом и фанерной обшивкой
(

- коэффициент приведения)
Площадь приведенного сечения

, (2)
где

- площадь поперечного сечения фанерной нижней растянутой обшивки;

;

- то же, верхней сжатой обшивки;

;

- площадь поперечного сечения древесины ребер;

;

,

- расчетная ширина нижней и верхней фанерных обшивок; в соответствии с главой СНиП по проектированию деревянных конструкций принимается равной

при l >= 6a и

при l <= 6a (здесь b - полная ширина сечения плиты, a - расстояние между ребрами в свету, l - пролет плиты);

,

- толщины фанерной обшивки нижней и верхней соответственно;

- суммарная ширина деревянных ребер;

- высота деревянных ребер.
Приведенный статический момент сечения относительно нижней его грани (ось 1-1 на
рис. 2):

. (3)
Координата нейтральной оси относительно оси 1-1, проходящей через нижнюю грань сечения:

. (4)
Приведенный момент инерции вычисляется без учета собственных моментов инерции обшивок:

; (5)

- момент инерции ребер относительно собственной нейтральной оси;

;

,

,

- расстояние от нейтральной оси сечения соответственно до центров тяжести фанерных листов обшивки и древесины.
Моменты сопротивлений приведенного сечения для определения напряжений:
в крайних растянутых волокнах

; (6)
в крайних сжатых волокнах

. (7)
8.10. Проверка напряжений в растянутой обшивке панели производится по формуле

, (8)
где

- расчетное сопротивление фанеры растяжению;

- коэффициент, учитывающий снижение расчетного сопротивления в стыках фанерной обшивки, принимаемый равным при соединении на ус или с двусторонними накладками

для фанеры клееной и

для фанеры бакелизированной. При отсутствии стыков

.
Проверка напряжений в крайних растянутых волокнах древесины ребер производится по формуле

, (9)
где

- расчетное сопротивление древесины изгибу.
8.11. Проверка сжатой обшивки плит на устойчивость в соответствии с главой СНиП по проектированию деревянных конструкций производится по формуле

, (10)
где

;

;

;
a - расстояние между ребрами в свету, см;

- толщина верхней фанерной обшивки, см.
8.12. Проверка верхней обшивки на местный изгиб сосредоточенной монтажной нагрузкой P = 1,2 кН производится как для балки шириной 100 см, заделанной по концам (в местах приклеивания к ребрам плиты):

; 1,2; (11)

;

;
где C - расстояние между ребрами в осях;
b = 100 см;

- толщина верхней обшивки;

- расчетное сопротивление фанеры изгибу поперек волокон.
Коэффициент 1,2, учитывающий кратковременное действие монтажной нагрузки, принят в соответствии с главой СНиП по проектированию деревянных конструкций. В случае необходимости предварительного определения расстановки ребер шаг ребер между осями из условий работы верхней обшивки на местный изгиб от сосредоточенной нагрузки может быть определен по формуле

. (12)
8.13. Расчет на скалывание древесины или на скалывание по клеевому слою между шпонами фанеры производится по формуле

, (13)
где Q - расчетная поперечная сила;

- статический момент сдвигаемой части приведенного сечения относительно нейтральной оси;

- расчетная ширина сечения, принимаемая равной суммарной ширине ребер каркаса;

- расчетное сопротивление древесины скалыванию либо сопротивление скалыванию клеевых слоев между шпонами фанеры (в пределах ширины продольных ребер).
8.14. Прогиб плиты определяется по формуле

, (14)
где

- модуль упругости фанеры;

- коэффициент (с округлением), учитывающий прирост прогиба конструкции в процессе эксплуатации вследствие снижения модуля упругости материала и ползучести клеевых соединений (в соответствии с главой СНиП по проектированию деревянных конструкций принят

).
8.15. Конструирование и расчет плит покрытий с ребрами из балок с плоской фанерной стенкой должен производиться также в соответствии с главой СНиП по проектированию деревянных конструкций.
В фанерной стенке ребер имеются разрывы, расположенные с шагом 1,5 м и предназначенные для размещения торцов поперечных ребер.
8.16. Расчет плит покрытий с продольными ребрами из балок с фанерной стенкой на скалывание должен производиться в следующих сечениях:
а) между верхней обшивкой и полками

; (15)
б) в стыке фанерной стенки и полки

, (16)
где Q - расчетная поперечная сила, отнесенная к одному ребру;

и

- приведенный статический момент соответственно верхней обшивки и верхней обшивки с полкой;

- ширина дощатых полок продольных ребер плиты;

- высота шва между фанерной стенкой и дощатыми брусками полки; глубина заделки фанерной стенки в полку ребра;

- расчетное сопротивление древесины скалыванию или сопротивление скалыванию клеевых слоев между шпонами фанеры.
8.17. Фанерная стенка должна быть проверена в опорном сечении на срез и главные растягивающие напряжения по формулам:

, (17)
где

- суммарная толщина фанерных стенок;

- статический момент сдвигаемой части приведенного сечения относительно нейтральной оси;

- полный приведенный к материалу стенки момент инерции сечения на опоре, определяемый по формуле

. (18)
8.18. Фанерная стенка ребер должна проверяться на местную устойчивость от совместного действия нормальных и касательных напряжений в соответствий с главой СНиП по проектированию деревянных конструкций.
8.19. Расчет и конструирование плит покрытий с ребрами из гнутоклееных фанерных профилей должны производиться также в соответствии с главой СНиП по проектированию деревянных конструкций. Однако при определении прогибов коэффициент, учитывающий прирост прогиба плиты в процессе эксплуатации на основе экспериментальных данных, принимается

.
9. ПЛИТА ПОКРЫТИЯ ДЛИНОЙ 6 М С ДЕРЕВЯННЫМ КАРКАСОМ
И ФАНЕРНОЙ ОБШИВКОЙ. ПРИМЕР РАСЧЕТА
9.1. Проверить расчетом конструкцию плиты покрытия с деревянным каркасом и фанерной обшивкой по альбому рабочих чертежей "Деревянные клеефанерные панели длиной 6 м для покрытий отапливаемых производственных зданий", серия ПКД-01-04, вып. 3, Гипролеспром, ЦНИИСК, 1970.
| | ИС МЕГАНОРМ: примечание. Постановлением Минстроя России от 6 декабря 1996 г. N 18-90 с 1 апреля 1997 года введен в действие ГОСТ 9573-96. | |
9.2. Исходные данные. Номинальные размеры плиты (см.
рис. 1) в плане 1,5 x 6 м; обшивки из водостойкой фанеры марки ФСФ по ГОСТ 3916-69 (нижняя толщиной 6 мм, верхняя толщиной 9 мм); ребра из сосновых досок 2-го сорта. Утеплитель - минераловатные плиты толщиной 8 см на синтетическом связующем по ГОСТ 9573-72*. Объемная масса утеплителя 100 кг/м3. Пароизоляция из полиэтиленовой пленки толщиной 0,2 мм. Над утеплителем - воздушная прослойка, вентилируемая вдоль панели. Район строительства - г. Смоленск.
Каркас плиты состоит из четырех продольных ребер с шагом a = 47,4 см, высотой 17,4 см, толщиной 4,6 см. Ширина плиты понизу 149 см, поверху 147 см. Ширина площадки опирания плиты на несущую конструкцию 6 см. Расчетный пролет плиты

. Принятая высота плиты h = 18,9 см, что составляет 18,9/594 = 1/32 пролета.
9.3. Нагрузки на плиту. Плиты предназначены для укладки по балкам и фермам в зданиях без фонарей при уклоне кровли до 12% в районах со средней скоростью ветра v = 3 м/с и весом снегового покрова P = 1 кН/м2. В соответствии с главой
СНиП II-6-74 при определении нормативной снеговой нагрузки коэффициент С = 1(1,2 - 0,1v) = 1(1,2 - 0,1 x 3) = 0,9 и

. Нормативная постоянная нагрузка от собственного веса плиты и рулонной кровли

. Полная нормативная нагрузка

.
Коэффициент перегрузки для постоянной нагрузки, учитывая, что около половины ее составляет вес утеплителя и рулонной кровли, принимаем 1,2. Коэффициент перегрузки для снеговой нагрузки в соответствии с главой
СНиП II-6-74 для отношения нормативного веса покрытия к весу снегового покрова

равен

.
Расчетная нагрузка на 1 м2 плиты, кН/м2:
постоянная q = 0,4 x 1,2 = 0,48;
временная p = 0,9 x 1,6 = 1,44;
полная

.
Полные нагрузки на 1 м плиты, кН/м:
нормативная

;
расчетная

.
9.4. Расчетные характеристики материалов. Для фанеры марки ФСФ вдоль волокон наружных слоев шпона в соответствии с
табл. 3 имеем:
расчетное сопротивление растяжению при толщине 6 мм

;
расчетное сопротивление сжатию при толщине 9 мм

;
расчетное сопротивление скалыванию

;
модуль упругости

.

;

;
E = 1000 кН/см2.
9.5. Геометрические характеристики сечения. Расчетная ширина фанерных обшивок принимается

, так как l > 6a;

.
Материалы, входящие в поперечное сечение плиты, приводим к фанере обшивки. Коэффициент приведения по
формуле (1)

.

.
Приведенный статический момент сечения относительно нижней его плоскости (см.
рис. 2) по
формуле (3)
где 0,6 см и 0,9 см - толщина нижней и верхней обшивок;
17,4 см и 4,6 см - высота и толщина одного ребра.

;

.
Приведенный момент инерции (без учета собственных моментов инерции обшивок) по
формуле (5)
где

- расчетная площадь поперечного сечения растянутой нижней обшивки, равная 134,1 x 0,6 = 80,5 см2;

- расчетная площадь поперечного сечения верхней обшивки, равная 132,3 x 0,9 = 119,1 см2;

- площадь поперечного сечения ребер (4,6 x 4)17,4 = 320,2 см2;

- момент инерции ребер относительно собственной нейтральной оси

;

- расстояние от нейтральной оси до центра тяжести ребра

;

- расстояние от нейтральной оси до центра тяжести верхней обшивки

;

- расстояние от нейтральной оси до центра тяжести нижней обшивки

.
9.6. Проверка плиты на прочность. Расчетный изгибающий момент в середине пролета

.

,
где 0,6 - коэффициент, учитывающий снижение расчетного сопротивления фанеры в растянутом стыке при соединении на ус.
Проверяем устойчивость сжатой обшивки:

.
При расстоянии между ребрами в свету a = 42,9 см и толщине фанеры


,
тогда
и

.
Проверяем верхнюю обшивку на местные изгиб сосредоточенной силой 1,2 кН как заделанную по концам (у ребер) балку шириной 100 см по
формуле (11):

,
где 47,4 см - расстояние между ребрами в осях. Момент сопротивления обшивки шириной b = 100 см

.
В соответствии с главой СНиП по проектированию деревянных конструкций умножаем расчетное сопротивление фанеры изгибу на коэффициент 1,2:

.
Напряжения от изгиба сосредоточенной силой

.
Проверяем скалывающие напряжения по клеевому слою фанерной обшивки (в пределах ширины ребер). Поперечная сила равна опорной реакции

.
Приведенный статический момент верхней обшивки относительно нейтральной оси равен:

.
При расчетной ширине клеевого соединения на ширину древесины ребер

находим касательные напряжения по
формуле (13):

.
9.7. Проверка на деформативность. Относительный прогиб плиты по
формуле (14) равен:

.
10. ПЛИТА ПОКРЫТИЯ ДЛИНОЙ 12 М С ДЕРЕВЯННЫМ КАРКАСОМ
И ФАНЕРНОЙ ОБШИВКОЙ. ПРИМЕР РАСЧЕТА
10.1. Запроектировать утепленную плиту покрытия длиной 12 м с деревянным каркасом и обшивками из фанеры лиственницы.
10.2. Исходные данные. Номинальные размеры плиты (рис. 3) в плане 1,5 x 12 м; обшивки из водостойкой фанеры лиственницы марки ФСФ сорта В/ВВ (нижняя и верхняя толщина по 8 мм); ребра из сосновых досок 2-го сорта. Клей КБ-3. Утеплитель - минераловатные плиты толщиной 8 см на синтетическом связующем объемной массой 100 кг/м3.
Рис. 3. Утепленная плита покрытия длиной 12 м
с деревянным каркасом и фанерной обшивкой:
а - план; б - продольный разрез; в - поперечный разрез;
1 - верхняя фанерная обшивка; 2 - нижняя фанерная обшивка;
3 - утеплитель; 4 - продольные ребра; 5 - поперечные ребра;
6 - пароизоляция
Пароизоляция из полиэтиленовой пленки толщиной 0,2 мм. Воздушная прослойка над утеплителем - вентилируемая вдоль панели.
Каркас плиты состоит из четырех продольных ребер с шагом C = 47,5 см, высотой 40 см, толщиной 4,6 см. Ширина плиты понизу 149 см, поверху 147 см. Ширина площадки опирания плиты на несущую конструкцию 6 см. Расчетный пролет плиты

. Принятая высота плиты h = 41,6 см, что составляет

.
10.3. Нагрузки на плиту. В соответствии с
п. 9.3 нагрузки на плиту приняты, кН/м:
нормативная

;
расчетная

.
10.4. Расчетные характеристики материалов. Для фанеры из древесины лиственницы марки ФСФ вдоль волокон наружных слоев, кН/см2:
расчетное сопротивление растяжению

;
" " сжатию

;
" " скалыванию

;
модуль упругости

.
Для древесины ребер, кН/см2:
расчетное сопротивление изгибу

;
" " скалыванию

;
модуль упругости E = 1000.
10.5. Геометрические характеристики сечения. Расчетная ширина фанерных обшивок принята на 10% меньше действительной и равна:

.
Материалы, входящие в поперечное сечение плиты, приводим к фанере обшивки. Коэффициент приведения для ребер по
формуле (1)

.
где 0,8 см - толщины нижней и верхней обшивок; 40 см, 4,6 см - высота и толщина ребер.
Координаты нейтральной оси

.
Приведенный момент инерции (без учета собственных моментов инерции обшивок) по
формуле (5)
где

- расчетная площадь поперечного сечения растянутой нижней обшивки равна 132,3 x 0,8 = 105,8 см2;

- то же, верхней сжатой обшивки;

- момент инерции ребер;

;

- расстояние от нейтральной оси до центра тяжести верхней и нижней обшивок;

.
10.6. Проверка плиты на прочность. Расчетный изгибающий момент в середине пролета

.

,
где 0,6 - коэффициент, учитывающий снижение расчетного сопротивления фанеры в растянутом стыке при соединении на ус.
Проверяем устойчивость сжатой обшивки в соответствии с главой СНиП по проектированию деревянных конструкций:

.
При расстоянии между ребрами в свету 42,9 см и толщине фанеры


,
тогда

и

.
Проверяем верхнюю обшивку на местный изгиб сосредоточенной силой 1,2 кН как заделанную по концам (у ребер) балку шириной 100 см:

,
где 47,5 - расстояние между осями ребер.
Момент сопротивления обшивки шириной b = 100 см

.
В соответствии с главой СНиП по проектированию деревянных конструкций умножаем расчетное сопротивление фанеры изгибу поперек волокон на коэффициент 1,2:

.

.
Проверяем скалывающие напряжения по клеевому слою фанерной обшивки (в пределах ширины дощатых ребер). Полученная сила равна опорной реакции:

.
Приведенный статический момент верхней обшивки относительно нейтральной оси равен:

.
При расчетной ширине клеевого соединения

находим касательные напряжения по
формуле (13):

.
Проверяем скалывающие напряжения до древесине ребер

;

.
10.7. Проверка на деформативность. Относительный прогиб плиты по
формуле (14) равен:

,
где 0,7 - коэффициент, учитывающий прирост прогиба плиты в процессе эксплуатации.
11. ПЛИТА ПОКРЫТИЯ ДЛИНОЙ 12 М С РЕБРАМИ ИЗ ДВУХ КЛЕЕНЫХ
ДЕРЕВЯННЫХ БАЛОК И ФАНЕРНОЙ ОБШИВКОЙ. ПРИМЕР РАСЧЕТА
11.1. Запроектировать утепленную плиту покрытия длиной 12 м с двумя несущими ребрами из клееных балок и фанерной обшивкой.
| | ИС МЕГАНОРМ: примечание. Постановлением Минстроя России от 6 декабря 1996 г. N 18-90 с 1 апреля 1997 года введен в действие ГОСТ 9573-96. | |
11.2. Исходные данные. Номинальные размеры плиты
(рис. 4) в плане 12 x 1,5 м; верхняя обшивка из водостойкой фанеры марки ФСФ сорта В/ВВ по ГОСТ 3916-69 толщиной 10 мм; нижняя обшивка из плоских асбестоцементных листов толщиной 10 мм; основные и дополнительные ребра из сосны 2-го сорта. Клей КБ-3. Нижняя обшивка крепится к продольным и поперечным ребрам на шурупах. Утеплитель - минераловатные плиты толщиной 6 см и объемной массой 100 кг/м3 на синтетическом связующем по ГОСТ 9573-72*. Пароизоляция устраивается по нижней обшивке из полиэтиленовой пленки

. Вентиляция осуществляется вдоль панели посредством воздушной прослойки над утеплителем. Район строительства - г. Чернигов. Каркас плиты состоит из двух основных продольных клееных ребер (балок) с выступами и двух дополнительных продольных ребер с сечением 5 x 8 см. Через 150 см устраиваются поперечные несущие ребра и через 300 см - поперечные фиксирующие ребра. Асбестоцементные листы устанавливаются вместе с прикрепленными поперечными ребрами. Ширина площадки опирания плиты на несущую конструкцию 8 см. Расчетный пролет L = 1192 см. Принятая высота плиты H = 40,6 см, что составляет 1/30 пролета. В процессе изготовления плите придается строительный подъем, равный 1/250L.

Рис. 4. Плита покрытия длиной 12 м с ребрами
из двух клееных деревянных балок:
а - план; б - продольный разрез; в, г - поперечные разрезы;
1 - верхняя фанерная обшивка; 2 - асбестоцементные
плоские листы; 3 - минераловатные плиты;
4 - полиэтиленовая пленка; 5 - продольные клееные ребра;
6 - дополнительные продольные ребра; 7 - поперечные
несущие ребра; 8 - поперечные фиксирующие ребра
11.3. Нагрузки на плиту. Плиты предназначены для укладки по балкам и фермам в зданиях без фонарей при уклоне кровли до 12% в районах со средней скоростью ветра 4 м/с и весом снегового покрова

. В соответствии с главой
СНиП II-6-74 при определении нормативной снеговой нагрузки коэффициент K = 1(1,2 - 0,1v) = 1(1,2 - 0,1 x 4) = 0,8 и

.
Нормативная постоянная нагрузка от собственного веса плиты и рулонной кровли

. Полная нормативная нагрузка

.
Коэффициент перегрузки для постоянной нагрузки принимаем 1,1, поскольку 75% нагрузки составляет собственный вес плиты без учета веса утеплителя и рулонного ковра. Коэффициент перегрузки для снеговой нагрузки в соответствии с главой
СНиП II-6-74 для отношения нормативного веса покрытия к весу снегового покрова

равен:

.
Расчетные нагрузки на 1 м2 плиты, кН/м2:
постоянная g = 0,74 x 1,1 = 0,82;
временная p = 0,56 x 1,4 = 0,78;
полная q = 1,60;
полные нагрузки на 1 м плиты, кН/м:
нормативная

;
расчетная

.
11.4. Расчетные характеристики материалов. Для фанеры марки ФСФ в соответствии с главой СНиП по проектированию деревянных конструкций расчетное сопротивление сжатию вдоль волокон наружных слоев при толщине более 8 см

; расчетное сопротивление изгибу поперек волокон наружных слоев при толщине более 8 мм

; расчетное сопротивление скалыванию

; модуль упругости

.
Для древесины ребер, кН/см2:

;

;

.
Для асбестоцементных плоских листов в соответствии с
СН 265-77, кН/см2: расчетное сопротивление изгибу при продольном расположении волокон

; то же, при поперечном расположении волокон

; модуль упругости

.
11.5. Геометрические характеристики сечения. В геометрических характеристиках сечения не учитывается асбестоцементная обшивка ввиду ее расположения в нейтральном сечении и крепления на податливых связях. Дополнительные продольные ребра учитываются с понижающим эмпирическим коэффициентом K = 0,75.
Расчетная ширина фанерной обшивки принимается согласно главе СНиП по проектированию деревянных конструкций на 10% меньше действительной, так как L > 6a, и равна

.
Материалы, входящие в поперечное сечение плиты, приводим к древесине ребер. Коэффициент приведения

.
Приведенная площадь сечения
Приведенный статический момент сечения относительно нижней его плоскости
(рис. 5)
где

- толщина фанерной обшивки;

и

- соответственно высота основных и дополнительных ребер;

и

- ширина соответственно основных и дополнительных ребер.
а - поперечного сечения плиты; б - поперечного ребра;
в - нижней асбестоцементной обшивки;
г - опирания поперечного ребра

;

.
Приведенный момент инерции (без учета собственного момента инерции обшивок)
где

- расчетная площадь поперечного сечения обшивки;

;

- площадь поперечного сечения дополнительных ребер;

;

- момент инерции дополнительных ребер;

;

- площадь поперечного сечения основных ребер;

;

- момент инерции основных ребер;

;

- расстояние от нейтральной оси до центра тяжести фанерной обшивки;

;

- расстояние от нейтральной оси до центра тяжести основного ребра;

;

- расстояние от нейтральной оси до центра тяжести дополнительного ребра

.
Момент сопротивления поперечного несущего ребра

.
11.6. Проверка панели на прочность. Расчетный изгибающий момент в середине пролета

.
Напряжения растяжения в основных продольных ребрах по
формуле (8)

.
Проверяем устойчивость обшивки, подкрепленной двумя упругими ребрами, опирающимися через 3 м, по формуле (18.1) "Справочника проектировщика промышленных, жилых и общественных зданий и сооружений" (Расчетно-теоретический, Кн. 2, М., Стройиздат, 1973):

,
где D - изгибная жесткость обшивки
| | ИС МЕГАНОРМ: примечание. Формула дана в соответствии с официальным текстом документа. | |

;
K - определяется согласно формуле (18.13) указанного Справочника; параметры

и

равны:

;

;
B - жесткость при изгибе ребра;

;

;

,
тогда

.
Величина критического напряжения

.
Редукционный коэффициент

,
где

.
Напряжение в обшивке с учетом ее устойчивости

.
Проверяем обшивку на местный изгиб сосредоточенной силой 1,2 кН как заделанную по концам (у ребер) балку шириной 100 см:

,
где C = 47 см - расстояние между ребрами в осях.
Момент сопротивления обшивки шириной b = 100 см

.
В соответствии с главой СНиП по проектированию деревянных конструкций умножаем расчетное сопротивление фанеры изгибу поперек волокон на коэффициент 1,2:

.
Напряжения изгиба сосредоточенной силой

.
Проверяем скалывающие напряжения по клеевому слою фанерной обшивки (в пределах ширины основных продольных ребер). Поперечная сила равна опорной реакции

.
Приведенный статический момент верхней обшивки относительно нейтральной оси равен:

. При ширине клеевого соединения

находим касательные напряжения по
формуле (13):

.
Проверяем скалывающие напряжения в клеевых соединениях основных продольных ребер в нейтральном сечении. Приведенный статический момент нижнего сечения относительно нейтральной оси равен:

.
Максимальные касательные напряжения

.
Поперечные ребра рассчитываем как однопролетную балку пролетом

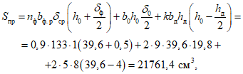
, нагруженную двумя сосредоточенными грузами от продольных дополнительных ребер (
рис. 5, б). Величина грузов равна:

;
где

- шаг поперечных ребер;

- ширина обшивки в свету между основными ребрами;

- собственный вес материалов конструкций в пределах грузовой площади. Треугольная нагрузка от веса асбестоцемента и утеплителя приведена к равномерно распределенной (
рис. 5, в);

.
Напряжения изгиба в поперечном сечении ребра 5 x 8 см

.
Проверяем на отрыв выступающую полку основного ребра в месте опирания поперечного ребра по формуле (V.41)
<*> (
рис. 5, г):

,
где

- толщина стенки;
c - толщина площадки опирания нагрузки;
0,7 кН < 4 x 0,9 x 0,5 = 1,8 кН.
--------------------------------
<*> Конструкции из дерева и пластмасс. Под ред. Г.Г. Карлсена. М., Стройиздат, 1975.
Прочность и деформативность асбестоцементной обшивки определяем как для пластинки размером 125 x 142 см с краями, защемленными на продольных ребрах и свободно опертыми на поперечных ребрах по данным, приведенным для расчета в п. 13.2.1 "Справочника проектировщика промышленных, жилых и общественных зданий и сооружений" (Расчетно-теоретический. Кн. 2, М., Стройиздат, 1973). При соотношении сторон пластинки
коэффициенты будут равны:

;

.
Максимальный изгибающий момент в пластинке

,
где

- нагрузка, равномерно распределенная по поверхности пластинки;

.
Прогиб асбестоцементной обшивки

,
что составляет по отношению к пролету

.
Расчет шурупов, прикрепляющих асбестоцементную обшивку к поперечным ребрам, производим на выдергивание согласно главе СНиП по проектированию деревянных конструкций. Несущая способность одного шурупа

,
где

- расчетное сопротивление древесины при выдергивании винта;
d = 0,5 - диаметр шурупа;

- длина выдергиваемой части шурупа.
Так как нагрузка, воспринимаемая шурупами, равна g = 280 x 0,75 = 210 Н x м, шурупы размером 5 x 60 ставим конструктивно с шагом

.

.
Плита удовлетворяет требованиям прочности и жесткости при действии поперечной нагрузки.
Проверка прочности и жесткости плиты при совместном действии нормальной и скатной составляющих нагрузки при уклоне кровли

:
скатные составляющие нагрузки, кН/м:
нормативная

;
расчетная

.
Плита в плоскости ската представляет мощное сечение H = 148 см с двумя развитыми поясами и тонкой фанерной стенкой. Считаем, что стенка воспринимает только касательные напряжения. Устойчивость стенки при изгибе проверять не следует, так как наибольшая высота ее между дополнительными ребрами

, а отношение

. Момент инерции сечения без учета собственных моментов основных ребер равен:

.
12. ПЛИТА ПОКРЫТИЯ ДЛИНОЙ 6 М С РЕБРАМИ ИЗ ГНУТОКЛЕЕНЫХ
ФАНЕРНЫХ ПРОФИЛЕЙ И ФАНЕРНОЙ ОБШИВКОЙ. ПРИМЕР РАСЧЕТА
12.1. Запроектировать утепленную плиту покрытия с ребрами из гнутоклееных фанерных швеллеров и фанерной обшивкой (см. альбом рабочих чертежей "Клеефанерные плиты покрытий с каркасом из фанерных швеллеров для сельскохозяйственных зданий". Шифр 6-76, вып. 3. ЦНИИЭПсельстрой, ЦНИИСК, 1976).
12.2. Исходные данные. Номинальные размеры плиты (рис. 6) в плане 1,5 x 6 м; обшивки из водостойкой фанеры марки ФСФ сорта В/ВВ по ГОСТ 3916-69 (нижняя толщиной 6 мм, верхняя - 10 мм).
Рис. 6. Плита покрытия длиной 6 м с ребрами
из гнутых фанерных профилей:
1 - продольное ребро; 2 - нижняя обшивка;
3 - верхняя обшивка; 4 - утеплитель;
5 - деревянные вкладыши; 6 - рубероид; 7 - пароизоляция
| | ИС МЕГАНОРМ: примечание. Постановлением Минстроя России от 6 декабря 1996 г. N 18-90 с 1 апреля 1997 года введен в действие ГОСТ 9573-96. | |
Ребра из гнутоклееных фанерных швеллеров по ГОСТ 22242-76. Утеплитель - минераловатные плиты толщиной 10 см на синтетическом связующем по ГОСТ 9573-72*. Объемный вес утеплителя 100 кг/м3.
Воздушная прослойка над утеплителем - вентилируемая вдоль панели. Район строительства - Московская область.
Каркас плиты состоит из четырех продольных ребер из гнутоклееных фанерных швеллеров N 19. На опорах в швеллеры вклеиваются деревянные вкладыши на длину 8 - 10 см. Ширина плиты понизу 149 см, поверху 147 см. Ширина площадки опирания плиты на несущую конструкцию 6 см. Расчетный пролет плиты

. Принятая высота плиты H = 20,6 см, что составляет 20,6/594 = 1/29 пролета.
12.3. Нагрузки на плиту. Плиты предназначены для укладки по балкам и фермам в зданиях без фонарей при уклоне кровли до 12% в районах со средней скоростью ветра v = 4 м/с и весом снегового покрова

. В соответствии с главой
СНиП II-6-74 при определении нормативной снеговой нагрузки коэффициент C = 1(1,2 - 0,1v) = 1(1,2 - 0,1 x 4) = 0,8,

. Нормативная постоянная нагрузка от собственного веса плиты и рулонной кровли

. Полная нормативная нагрузка

.
Коэффициент перегрузки для постоянной нагрузки с учетом того, что около половины ее составляет вес утеплителя и рулонной кровли, принимаем 1,2. Коэффициент перегрузки для снеговой нагрузки в соответствии с главой
СНиП II-6-74 для отношения нормативного веса покрытия к весу снегового покрова

равен:

.
Расчетные нагрузки на 1 м2 плиты, кН/м2:
постоянная g = 0,35 x 1,2 = 0,42;
временная p = 0,8 x 1,6 = 1,28;
полная q = 0,42 + 1,28 = 1,7.
Полные нагрузки на 1 пог. м плиты, кН/м:
расчетная

;
нормативная

.
12.4. Расчетные характеристики. Для фанеры марки ФСФ вдоль волокон наружных шпонов в соответствии с главой СНиП по проектированию деревянных конструкций имеем, кН/м2:
расчетное сопротивление растяжению при толщине 6 мм

;
расчетное сопротивление сжатию при толщине более 8 мм

;
расчетное сопротивление изгибу поперек волокон наружных слоев при толщине более 8 мм

;
модуль упругости

.
Для гнутоклееного фанерного швеллера вдоль волокон наружных слоев шпона прочностные и упругие характеристики приняты применительно к трехслойной фанере следующими, кН/см2:
расчетное сопротивление сжатию

;
расчетное сопротивление растяжению

;
расчетное сопротивление срезу

;
модуль упругости E = 1100.
12.5. Геометрические характеристики сечения. В целях упрощения расчета поперечное сечение можно представить в более простом виде без криволинейного участка швеллера, что незначительно отразится на геометрических характеристиках сечения. Расчетная схема поперечного сечения представлена на рис. 7.
Рис. 7. Расчетное сечение плиты
Расчетная ширина фанерных обшивок принимается согласно главе СНиП по проектированию деревянных конструкций
b' = 0,9b при l >= 6a,
где b - полная ширина сечения плиты;
l - пролет плиты;
a - расстояние между ребрами;
b' = 0,9 x 148 = 133 см.
Материалы, входящие в поперечное сечение плиты, приводятся к материалу швеллера. Коэффициент приведения обшивки

.
Геометрические характеристики приведенного сечения плиты подсчитываются исходя из того, что размеры высоты плиты сохраняются постоянными.
Ширина обшивки приведенного сечения:

;

.
Приведенная площадь поперечного сечения

.
Приведенный статический момент сечения относительно нижней его плоскости
где

;

;

- толщина верхней и нижней обшивок швеллера;
h = 19 см - высота швеллера;

- ширина полки швеллера;
c = 4 - количество швеллеров по ширине плиты.

;

.
Приведенный момент инерции (без учета собственных моментов инерции обшивок и момента инерции стенок швеллера относительно нейтральной оси)
12.6. Проверка плиты на прочность. Расчетный изгибающий момент в середине пролета

.
Напряжение в растянутой обшивке

,
где 0,6 - коэффициент, учитывающий снижение расчетного сопротивления фанеры в растянутом стыке при соединении на ус.
Проверяем устойчивость сжатой обшивки в соответствии с главой СНиП по проектированию деревянных конструкций:

.
При расстоянии между смежными гранями полок швеллеров в свету a' = 38 см и толщине фанеры 1 см

,
тогда
и

.
Проверяем верхнюю обшивку на местный изгиб сосредоточенной силой 1,2 кН как неразрезную трехпролетную балку шириной 100 см. Напряжение фанеры поперек волокон вычисляется по формуле

,
где 1,2 - коэффициент, принимаемый в соответствии с главой СНиП по проектированию деревянных конструкций.
Проверяем на срез стенки в зоне перегиба швеллера. Поперечная сила равна:

.
Приведенный статический момент верхней обшивки отсеченной части сечения относительно нейтральной оси равен:

.
Находим касательные напряжения

,
где 0,7 - коэффициент, учитывающий снижение расчетного сопротивления фанерного швеллера на срез в зоне перехода от стенки к полке, принятый по экспериментальным данным.
Проверку касательных напряжений по нейтральной оси не производим, так как касательные напряжения по нейтральной оси незначительно (на 5 - 7%) выше, чем в зоне перегиба, а расчетное сопротивление срезу на плоском участке на 30% выше.
12.7. Проверка на деформативность. Относительный прогиб плиты в соответствии с
формулой (14) равен:

,

(принято по экспериментальным данным).
13. ПЛИТА ПОКРЫТИЯ ДЛИНОЙ 6 М С РЕБРАМИ ИЗ БАЛОК
С ФАНЕРНОЙ СТЕНКОЙ И ФАНЕРНОЙ ОБШИВКОЙ. ПРИМЕР РАСЧЕТА
13.1. Запроектировать утепленную плиту покрытия с ребрами из двутавровых балок с плоской фанеркой стенкой и фанерной обшивкой.
13.2. Исходные данные. Номинальные размеры плиты (рис. 8) в плане 1,5 x 6 м; обшивки и стенки ребер выполняются из водостойкой фанеры марки ФСФ сорта В/ВВ по ГОСТ 3916-69; продольные ребра из двутавровых балок с плоской фанерной стенкой. Стенки ребер имеют разрыв по длине, равный 10 см, через 142 см. Полки ребер из древесины хвойных пород 2-го сорта. Стенки с полками соединяются на водостойком клее на трапецеидальный паз (в шпунт).
Рис. 8. Плита покрытия с продольными ребрами
из балок с плоской фанерной стенкой:
1 - верхняя и нижняя фанерные обшивки;
2 - минераловатные полужесткие плиты толщиной 100 мм;
3 - полиэтиленовая пленка; 4 - продольные ребра из балок
с плоской фанерной стенкой; 5 - поперечные ребра
| | ИС МЕГАНОРМ: примечание. Постановлением Минстроя России от 6 декабря 1996 г. N 18-90 с 1 апреля 1997 года введен в действие ГОСТ 9573-96. | |
Утеплитель - полужесткие минераловатные плиты толщиной 10 см с содержанием синтетического связующего до 5 - 6% по ГОСТ 9573-72* с объемной массой 100 кг/м3.
Пароизоляция из полиэтиленовой пленки толщиной 0,2 мм. Воздушная прослойка над утеплителем, вентилируемая вдоль и поперек плит. Район строительства - Московская область.
13.3. Расчет плиты. Нагрузки на плиту и расчетные сопротивления фанеры и древесины приведены в
разд. 9.
Определяем расчетный изгибающий момент:

.
Определяем толщину сжатой фанерной обшивки исходя из условия прочности при изгибе от местной сосредоточенной силы, равной 1,2 кН, задаваясь расстоянием в свету между полками ребер a = 42 см. За расчетную схему принимаем балку шириной b' = 100 см, заделанную по концам (у ребер).
Требуемый момент сопротивлений фанерной обшивки

,
где 1,2 - коэффициент, учитывающий в соответствии с главой СНиП по проектированию деревянных конструкций увеличение расчетного сопротивления при монтажных нагрузках.
Отсюда толщина обшивки

.
Принимаем верхнюю и нижнюю обшивки из фанеры толщиной 8 мм. Исходя из условия прочности нижней растянутой обшивки и устойчивости верхней сжатой обшивки, вычисляем требуемый момент сопротивления поперечного сечения конструкции:

;

,
где 0,6 - коэффициент, учитывающий снижение расчетного сопротивления фанеры в растянутом стыке при соединении на ус;

- коэффициент устойчивости сжатой фанерной обшивки, определяемый в соответствии с главой СНиП по проектированию деревянных конструкций.
При


;

;

.
Требуемый момент сопротивления поперечного сечения плиты

.
Назначаем полку ребра сечением

50 x 40 мм. На ширине плиты b = 147 см при расстоянии между полками a = 42 см размещаем четыре ребра (C = 4).
Разрывность стенки по длине балки не позволяет принимать ее в расчет на поперечный изгиб, и ее роль сводится к фиксации полок относительно друг друга и восприятию сдвигающих усилий.
Приводим полки ребер и обшивки плиты к эквивалентному сечению (рис. 9) с учетом неравномерности распределения нормальных напряжений в соответствии с главой СНиП по проектированию деревянных конструкций и с учетом различных модулей упругости. Приведенные толщины сжатой и растянутой обшивок плиты равны:

.
Принимаем

.
Рис. 9. Расчетное сечение плиты
Зная приведенную толщину нижней и верхней обшивок, определяем требуемую расчетную высоту сечения из условий прогиба плиты.
В соответствии с главой СНиП по проектированию деревянных конструкций прогиб от действия нормативной нагрузки не должен превышать 1/250 пролета.
Считая, что за счет разрывности фанерной стенки прогиб от сдвига приближенно может составить до 25% прогиба от изгиба, находим расчетную высоту конструкции:

.
Так как

, то

,
где 0,85 - коэффициент, учитывающий влияние сдвиговых усилий на прогиб плиты;

- коэффициент, учитывающий увеличение прогиба при длительном действии нагрузки (

по экспериментальным данным).
Полная высота плиты

.
Принимаем высоту плиты равной H = 29 см, что при расчетном пролете 594 см составляет 1/20 пролета. Расстояние между осями обшивок H' = 29 - 0,8 = 28,2 см.
Двутавровые ребра плиты состоят из прерывистой фанерной стенки толщиной

, высотой 190 мм и сплошных полок сечением 50 x 40

мм. Глубина заделки фанерной стенки в полки (величина трапецеидального паза)

.
Волокна наружных слоев фанерной стенки перпендикулярны полкам ребер. На опорах к стенкам ребер приклеиваются с двух сторон поперечные ребра (деревянные бруски сечением 32 x 50 мм, остроганные со стороны приклеивания к фанерной стенке).
Ширина плиты понизу 149 см, поверху 146 см.
Принятое сечение обеспечивает требуемую деформативность плиты, а также прочность и устойчивость фанерных обшивок от расчетной нагрузки.
Фанерная стенка толщиной 6 мм и высотой до 250 мм не теряет устойчивости, так как критические касательные напряжения, вызывающие потерю устойчивости, выше расчетного сопротивления на срез. Следовательно, необходимо провести проверку стенки на срез:

,
где Q - поперечная сила на опоре;

- приведенный статический момент сечения на опоре относительно нейтральной оси;

- приведенный момент инерции сечения на опоре без учета собственного момента инерции обшивок (вследствие его малости);

;
где

- модуль упругости древесины полок;

,

- модули упругости фанеры соответственно обшивок (вдоль волокон наружных слоев) и стенок (поперек волокон наружных слоев);
| | ИС МЕГАНОРМ: примечание. Формула дана в соответствии с официальным текстом документа. | |

.
Проверку на скалывание клеевого соединения фанерной обшивки с полками продольных ребер ведем по формуле

,
где

- статический момент обшивки относительно нейтральной оси.

;

.
Проверяем на скалывание клеевой слой в стыке стенки с полкой ребра:
по фанере

;
по древесине

;
где

- коэффициент непроклея

;

- расчетное сопротивление древесины полок скалыванию вдоль волокон. Для древесины сосны и ели 2-го сорта в соответствии с главой СНиП по проектированию деревянных конструкций

;

- приведенный статический момент сдвигаемой части сечения относительно нейтральной оси;

;

.
14. ПЛИТЫ ПОКРЫТИЙ С АРМИРОВАННЫМИ ПРЕДВАРИТЕЛЬНО
НАПРЯЖЕННЫМИ ДЕРЕВЯННЫМИ РЕБРАМИ И ОБШИВКАМИ
ИЗ АСБЕСТОЦЕМЕНТНЫХ ЛИСТОВ. КОНСТРУКТИВНЫЕ ТРЕБОВАНИЯ
И РАСЧЕТНЫЕ ПОЛОЖЕНИЯ
14.1. Плита состоит из деревянного несущего каркаса, нижней обшивки из плоских асбестоцементных листов, утеплителя и пароизоляции. Несущими элементами приняты продольные предварительно напряженные армированные деревянные ребра. В качестве арматуры должны использоваться стержни периодического профиля из стали класса А-IV, напрягаемые электротермическим способом
(рис. 10).
Рис. 10. Плита покрытия с армированными предварительно
напряженными деревянными ребрами:
а - общий вид плиты; б - продольное предварительно
напряженное деревянное ребро; в - расчетная схема
поперечного сечения ребра; 1 - каркас; 2 - утеплитель;
3 - пароизоляция; 4 - арматура
14.2. Предварительное напряжение при электротермическом способе натяжения достигается путем обеспечения заданного удлинения арматуры при ее нагреве электрическим током. Величина удлинения арматуры в результате нагрева должна определяться по формуле

, (19)
где

- заданная температура нагрева, °C;

- температура окружающей среды, °C;

- длина нагреваемого участка арматуры, мм;

- коэффициент линейного расширения стали (для арматуры класса А-IV равный

).
После заанкеривания и остывания арматурных стержней до температуры окружающей среды в них возникнут напряжения

, (20)
где

- первые потери напряжений в арматурном стержне, приведенные в
табл. 6;

- уменьшение предварительного напряжения в арматуре за счет упругого обжатия древесины и упругого выгиба деревянного ребра, определяемое по формуле

, (21)
где

- длина напрягаемого ребра, см;

- перемещение нижних кромок торцов ребра, см;
f - стрела упругого выгиба ребра в середине пролета, см;

- укорочение приопорных участков деревянного ребра от обжатия его наклонным стержнем, см;

- модуль упругости арматурной стали.
Факторы, вызывающие потери предварительного напряжения арматуры | Величина потерь предварительного напряжения |
А. Первые потери |
1. Укорочение арматурного стержня за счет выбора слабины и выпрямления | |
2. Укорочение арматурного стержня за время сварки его с распределительной пластиной | |
3. Смятие древесины под анкерными пластинами |  , |
где  - угол наклона анкера;  - длина напрягаемого стержня;  - смятие древесины под анкерными пластинами |
4. Удлинение наклонных анкеров |  , |
где  - абсолютное удлинение арматурного стержня во время электротермического нагрева за вычетом пп. 1 и 2 |
5. Смятие древесины под распределительными пластинами |  , |
где  - вертикальное перемещение распределительной пластины после обжатия древесины ребра |
6. Сжатие древесины в зонах анкеров |  , |
где  - укорочение участка ребра в направлении анкера в результате обжатия древесины единичным усилием  |
7. Релаксация напряжений в арматуре | |
8. Быстродействующее упругое последействие древесины | |
Б. Вторые потери |
9. Проскальзывание арматурного стержня в клеевой прослойке во время отверждения клея |  , |
где  - величина проскальзывания арматурного стержня в клеевом шве |
10. Упругое последействие древесины | |
11. Изменение температуры древесины | |
12. Изменение равновесной влажности древесины | |
Контроль натяжения осуществляется по абсолютному удлинению арматурного стержня.
14.3. Расчет ребра на прочность при изготовлении после передачи усилий предварительного натяжения на торцы производится по формуле

, (22)
где

- изгибающий момент от предварительного натяжения арматуры относительно центра тяжести приведенного сечения

; (23)
N - усилие от предварительного натяжения арматуры с учетом первых потерь и уменьшения предварительного напряжения за счет упругого обжатия и упругого выгиба;

- расстояние от оси арматуры до нейтральной оси;

- расстояние от нейтральной оси сечения до крайних волокон, в которых определяется напряжение;

- момент инерции приведенного сечения ребра;

- площадь приведенного поперечного сечения ребра;

- расчетное сопротивление при изгибе древесины.
14.4. Начальные напряжения в арматуре определяется по формуле

, (24)
где

- площадь сечения арматуры;
N - усилие в арматуре с учетом первых потерь и уменьшение усилия за счет упругого обжатия и упругого выгиба.
14.5. Расчет ребер на прочность при действии внешней нагрузки производится по формулам:
напряжения в крайних нижних волокнах растянутой зоны ребер при изгибе

, (25)
где

- расчетный изгибающий момент;
напряжения в крайних верхних волокнах сжатой зоны ребер при изгибе

; (26)
напряжения в арматуре

, (27)
где n - коэффициент приведения сечения, равный отношению модулей упругости арматуры и древесины;

. (28)
14.6. Геометрические характеристики приведенного сечения ребра должны определяться по формулам:
площадь сечения

, (29)
где

- площадь сечения древесины (нетто);

- площадь сечения арматуры;
n - коэффициент приведения (см.
п. 14.5);
положение центра тяжести приведенного к древесине сечения

, (30)
где

,

- статические моменты инерции древесины и арматуры относительно оси x - x;
момент инерции

, (31)
где

,

- собственные моменты инерции древесины и арматуры;
z - расстояние от геометрической оси сечения до центра тяжести приведенного сечения.
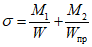
14.7. Расчет ребер на поперечные силы производится по
формуле (13).
Значение поперечной силы определяется по формуле

, (32)
где

- значение силы, возникающей от нагрузки и собственного веса плиты;

- усилие от предварительного напряжения в наклонном арматурном стержне с учетом всех потерь;

- угол между осью наклонного стержня и продольной осью ребра.
14.8. Расчет ребер по деформациям производится по формуле

, (33)
где

- прогиб от кратковременной нагрузки;

, (34)

- нормальная нормативная распределенная кратковременная нагрузка на 1 пог. м ребра;

- расчетная длина ребра;

- прогиб от длительной нагрузки;

, (35)
где

- нормативная длительно действующая равномерно распределенная нагрузка на 1 пог. м ребра;

- коэффициент, учитывающий длительность действия нагрузки, принимаемый равным 2 по экспериментальным данным;

- выгиб ребер от предварительного натяжения арматуры;

. (36)
15. ПЛИТА ПОКРЫТИЯ С ПРЕДВАРИТЕЛЬНО НАПРЯЖЕННЫМИ
ДЕРЕВЯННЫМИ РЕБРАМИ. ПРИМЕР РАСЧЕТА
15.1. Запроектировать плиту покрытия с предварительно напряженными армированными деревянными ребрами и асбестоцементной обшивкой.
15.2. Исходные данные. Внешние габариты плит покрытия: пролет 6 м, ширина 1,5 м, кровля из волнистых асбестоцементных листов унифицированного профиля марки УВ-7,5-1750, уклон кровли L = 1:4. Относительная влажность воздуха внутри помещений 75%, нормативная снеговая нагрузка 1 кН/м2, утеплитель - полужесткие минераловатные плиты толщиной 100 мм с объемной массой 100 кг/м3, пароизоляция из полиэтиленовой пленки толщиной 0,2 мм.
15.3. Нагрузки. Коэффициенты перегрузки для снега в соответствии с главой
СНиП II-6-74 определяются в зависимости от отношения собственного веса к весу снегового покрова: в данном случае при собственном весе плиты и кровле 0,66 кН/м2:

; n = 1,53.
С учетом этого составлены нагрузки на 1 пог. м ребра плиты в табл. 7.
Таблица 7
──────────────────────────────┬────────────────────────────────────────────
Вид нагрузки │ Нагрузка на 1 пог. м ребра плиты, Н/м
├──────────────────┬─────────────┬───────────
│ нормативная │ коэффициент │ расчетная
│ │ перегрузки │
──────────────────────────────┼──────────────────┼─────────────┼───────────
1. Постоянная │ │ │
Кровля из волнистых │ 180 x 0,75 = 135 │ 1,1 │ 148,5
асбестоцементных листов │ │ │
унифицированного профиля │ │ │
Собственный вес плиты │ 361 │ 1,156 │ 418,5
──────────────────────────┼──────────────────┼─────────────┼───────────
Итого │ 496,8 │ - │ 567
│ │ │
Нормальная составляющая │ 482 │ - │ 550
постоянной нагрузки │ │ │
│ │ │
2. Временная снеговая │ 750 │ 1,53 │ 1147,5
Нормальная составляющая │ 728 │ - │ 1147,5
временной снеговой нагрузки │ │ │
P = P cos24°2' │ │ │
0y 0 │ │ │
──────────────────────────┴──────────────────┴─────────────┴───────────
Полная 1210 - 1663
Максимальный нормативный и расчетный изгибающие моменты в середине пролета ребра определяем по формулам:

;

;

;

.
После заанкеривания нагретого арматурного стержня до температуры плюс 200 °C и его остывания до температуры наружного воздуха плюс 20 °C в нем возникнут напряжения без учета всех потерь и уменьшения напряжения за счет упругого обжатия и упругого выгиба, равные:

.
15.4. Вычисляем геометрические характеристики приведенного к древесине поперечного сечения деревянного ребра сечением 5 x 22 см и армированного арматурного стержня 12А-IIIв (см.
рис. 10) по
формулам (29),
(30),
(31):

;

;

;

;

.
По экспериментальным данным остывание стержня за время его сварки распределительной пластиной (равного 1 мин) произойдет на 10 °C. Укорочение стержня по
формуле (19) составит

.
Укорочение арматурного стержня за счет выбора слабины и выпрямления соответствует падению усилия на 7%:

.
Потери напряжений в арматурном стержне за счет укорочения стержня во время его приварки к распределительной пластине вычисляем по
формуле 1 табл. 6:

.
Потери напряжений за счет выбора слабины и выпрямления стержня вычисляются по
формуле 2 табл. 6:

.
Потери напряжений за счет смятия древесины под анкерными пластинами вычисляем по
формуле 3 табл. 6:

.
Потери напряжений в арматурном стержне за счет удлинения наклонных анкеров определяются по
формуле 4 табл. 6:

.
Потери напряжения в арматурном стержне за счет смятия древесины под распределительными пластинами определяются по
формуле 5 табл. 6:

.
Потери напряжения в арматурном стержне за счет сжатия древесины в зонах анкеровки определяем по
формуле 6 табл. 6:
| | ИС МЕГАНОРМ: примечание. Расчеты даны в соответствии с официальным текстом документа. | |

.
Потери напряжений в арматуре за счет релаксации напряжений определяем по
формуле 7 табл. 6:

.
Потери напряжений в арматурном стержне за счет быстронатекающего упругого последействия древесины определяем по
формуле 8 табл. 6:

.
Уменьшение напряжений в арматурном стержне за счет упругого обжатия древесины и упругого выгиба деревянного ребра определяем по
формуле (21):

.
Сумма первых потерь напряжений и уменьшения напряжения за счет упругого обжатия древесины и упругого выгиба составит

.
В результате потерь предварительного напряжения и уменьшения напряжения за счет упругого обжатия и упругого выгиба сжимающая сила в арматурном стержне уменьшится:

.
Сжимающее усилие в арматурном стержне за вычетом всех потерь предварительного напряжения и уменьшения предварительного напряжения за счет упругого обжатия и упругого выгиба определится так:

.
15.5. Расчет предварительно напряженного армированного деревянного ребра на прочность. После заанкеривания предварительно натянутой арматуры за торцы ребер плит и отверждения клея ЭПЦ-1 в пазу ребра в крайних волокнах деревянного ребра возникнут напряжения, которые определим по
формуле (22):

;

.
Напряжения в арматуре от натяжения арматуры за вычетом всех потерь и уменьшения предварительного напряжения за счет упругого обжатия древесины и упругого выгиба определяются по
формуле (24):

.
Напряжения в крайних волокнах в древесине в середине пролета ребра и в арматуре от действия расчетной эксплуатационной нагрузки определим по
формулам (25),
(26),
(27):

;

;

.

;

.
Касательные напряжения в опорной части деревянного ребра вычисляем по
формулам (13),
(32):

.
16. ПЛИТЫ ПОКРЫТИЙ С ДЕРЕВЯННЫМ КАРКАСОМ И ШПРЕНГЕЛЕМ.
КОНСТРУКТИВНЫЕ ТРЕБОВАНИЯ И РАСЧЕТНЫЕ ФОРМУЛЫ
16.1. Разработка плит должна осуществляться в соответствии с "Рекомендациями по проектированию и изготовлению асбестоцементных панелей покрытий с деревянным каркасом для экспериментального строительства" (ЦНИИСК, Гипролеспром, 1968).
16.2. Согласно Инструкции
СН 265-77 проектирование конструкций с деревянным каркасом производится без учета в расчетных сечениях асбестоцементных обшивок. Однако для экспериментального строительства, а также учитывая то, что конструкция плит со шпренгелем является комбинированной, допускается производить расчет с учетом асбестоцементных листов обшивки в работе конструкции, при условии обеспечения неразрезности обшивки, например путем склеивания листов на накладках. Расчетные предпосылки разработаны на основе экспериментальных исследований.
16.3. Плиты покрытий с деревянным каркасом и шпренгелем рекомендуются к применению в совмещенных кровлях промышленного и сельскохозяйственного строительства и в первую очередь в малоосвоенных и труднодоступных районах и лесоизбыточных районах с нормальным температурно-влажностным режимом, с наружным отводом воды.
По группе возгораемости плиты относятся к трудносгораемым и рекомендуются для зданий III, IV и V степеней огнестойкости. Предел огнестойкости плит 0,4 ч.
16.4. Плиты состоят из деревянного биостойкого каркаса и двусторонней обшивки из плоских асбестоцементных листов, прикрепляемой к каркасу шурупами, и подкрепляющего шпренгеля из арматурной стали ВСт3 (рис. 11,
12).
Рис. 11. Плиты покрытий с деревянным каркасом и шпренгелем:
а - плита со шпренгелем и поперечным расположением
внутренних брусков каркаса; б - плита со шпренгелем
и продольным расположением внутренних брусков каркаса;
1 - каркас из антисептированной древесины;
2 - асбестоцементная обшивка; 3 - шпренгель;
4 - утеплитель; 5 - пароизоляция
Рис. 12. Узлы плит покрытий с деревянным
каркасом и шпренгелем:
1 - бруски каркаса; 2 - асбестоцементная обшивка;
3 - элементы шпренгеля (тяжи, стойка, детали крепления);
4 - утеплитель; 5 - пароизоляция; 6 - поперечный брус
для упора стойки шпренгеля в панели с продольным
расположением брусков каркаса; 7 - асбестоцементная
накладка на клее; 8 - бруски для крепления утеплителя;
9 - гайка для монтажной петли;
10 - древесно-волокнистая плита
Расположение тяжей шпренгеля по диагонали плиты исключает необходимость пространственного раскрепления стойки шпренгеля.
Натяжение тяг шпренгеля осуществляется вращением нейтральной стойки, выполненной из стержня с резьбой на одном его конце. Возможно натяжение шпренгеля с помощью муфт, устанавливаемых на каждом тяже шпренгеля. При использовании сварки узлы существенно упрощаются. Натяжение создается путем обратного выгиба при изготовлении.
16.5. Деревянный каркас плит должен быть запроектирован из досок или брусьев, как цельных, так и клееных, сечением не менее 40 x 120 мм. Соединение элементов каркаса между собой может выполняться прямым сквозным шипом. Клеевые соединения следует выполнять на водостойких синтетических клеях.
16.6. Промежуточные поперечные бруски каркаса могут опираться на продольные элементы через черепные бруски. При продольном расположении основных элементов каркаса поперечные бруски могут крепиться на гвоздях. Во всех случаях расстояние между брусками (в осях) не должно превышать 750 мм.
16.7. Шурупы с потайной головкой должны быть размером не менее 5 x 60 мм. Шурупы должны ставиться в отверстия, предварительно просверленные в листах обшивки, и на небольшую глубину (5 - 6 мм) в каркасе. Диаметр отверстий в листах должен быть на 1 - 2 мм больше диаметра ненарезанной части шурупов. Минимальное расстояние от края асбестоцементных листов до оси отверстия должно быть не менее 15 мм.
Расстояние между шурупами во всех случаях принимается не менее 20 и не более 60 диаметров шурупа.
16.8. Геометрические размеры тяжей и стойки должны быть подсчитаны с учетом строительного подъема, с тем чтобы при сборке был получен обратный строительный прогиб панели. Высоту стойки шпренгеля в осях рекомендуется принимать 1/8 - 1/10 пролета плиты.
16.9. Расчет плит покрытий с деревянным каркасом и шпренгелем на временные и постоянные нагрузки при наличии неразрезных обшивок (цельные листы или стыки листов обшивок перекрыты накладками на синтетическом клее) производится с учетом работы обшивок как статически неопределимая система.
16.10. Плиты покрытий со шпренгелем рассчитываются как шпренгельные балки с учетом эксцентриситета продольных сил в верхнем поясе. <*>
--------------------------------
<*> Зубарев Г.Н. Несущая способность шпренгельных ферм с эксцентриситетами продольных сил в верхнем поясе. - В кн.: Вопросы применения дерева и пластических масс в строительстве. Под ред. Ю.М. Иванова. М., Госстройиздат, 1960.
Тяжи шпренгеля, расположенные по диагонали, при этом следует рассматривать совмещенными в одну плоскость и рассчитывать как двойной тяж. Расчетные схемы представлены на рис. 13.
Рис. 13. Расчетная схема опорного узла шпренгельной плиты:
а - график для определения коэффициента K; б - схема узла
16.11. Расчетные усилия в элементах шпренгельных плит от равномерно распределенной нагрузки должны определяться по формулам:
где

,

,

- нормальные усилия в верхнем и нижнем поясах и в стойке шпренгельной плиты, кгс;

- интенсивность равномерно распределенной расчетной нагрузки, кН/м;
l - полупролет шпренгельной плиты, см;
H - высота стойки шпренгеля, см;
K - коэффициент, меньший единицы, учитывающий влияние эксцентриситета продольных сил (см.
п. 16.13);

- угол наклона тяжа к верхнему поясу, град.
16.12. Изгибающие моменты в верхнем поясе плит должны определяться по формулам:

(38)
где

,

,

- расчетные изгибающие моменты в точках l/2, 0 и l верхнего пояса плиты, кН x см;
a - эксцентриситет продольных сил в верхнем поясе шпренгельной плиты, см.
16.13. Коэффициент K в пределах от 0 до 0,1 следует определять по графику
рис. 13, а в зависимости от отношения эксцентриситета a к высоте стойки H шпренгеля. Величина эксцентриситета a определяется из геометрической схемы опорного узла плиты (см.
рис. 13, б).
16.14. Расчет верхнего пояса шпренгельной плиты производится по изгибающему моменту и продольной силе по формуле

, (39)
где

- площадь поперечного сечения плит, приведенная нетто, см2;

,

- расчетные сопротивления асбестоцемента изгибу, растяжению, кН/см2;

- момент сопротивления нетто относительно оси x поперечного сечения плиты, см3;
K = 0,4 - коэффициент, учитывающий влияние податливости связей (шурупов) на прочность плиты. От действия изгибающего момента на плиты в асбестоцементных листах обшивки возникают сжимающие и растягивающие усилия. Определяющим для несущей способности плит будет сопротивление асбестоцемента растяжению. Поэтому напряжения, подсчитанные по
формуле (39), должны быть меньше расчетного сопротивления (или равными ему) асбестоцемента растяжению;

- коэффициент (действительный в пределах от 1 до 0), учитывающий дополнительный момент от продольной силы при деформации элемента, определяемый в соответствии с главой СНиП по проектированию деревянных конструкций по формуле

, (40)
где

- гибкость цельного коробчатого сечения, определяемая по формуле

, (41)

- расчетное сопротивление асбестоцемента сжатию, кН/см2;

- расчетная длина элемента, равная 0,8l;
r - радиус инерции сечения элемента, определяемый по формуле

, (42)

, (43)

, (44)

, (45)

- момент инерции поперечного сечения (относительно оси x), рассматриваемого как цельное коробчатое сечение плиты;

- коэффициент жесткости составного элемента на податливых связях (шурупах).
16.15. Количество шурупов

, равномерно распределенных на полупролете без шпренгеля или верхнего пояса шпренгельной панели с каждой стороны, должно удовлетворять условию

, (46)
где

- статический момент брутто одного листа обшивки относительно нейтральной оси поперечного сечения панели (верхнего пояса панели), см2;

- расчетная несущая способность одной связи (шурупа). Определяется применительно к главе СНиП по проектированию деревянных конструкций.
6.16. Прогиб верхнего пояса плит со шпренгелем проверяется в середине пролета панели по формуле

, (47)
где

- интенсивность равномерно распределенной нормативной нагрузки, кН/см;
f - прогиб плиты, см;
E = 1000 кН/см2 - модуль упругости древесины;
0,7 - коэффициент, принятый в соответствии с главой СНиП по проектированию деревянных конструкций.
Для уменьшения прогиба конструкции во времени рекомендуется при изготовлении создавать конструктивный строительный подъем, т.е. предварительный выгиб в сторону, обратную прогибу от действия расчетной нагрузки.
Величину строительного подъема рекомендуется принимать равной 1/300 пролета.
6.17. Нижний растянутый пояс должен проверяться по формуле

, (48)
где

- площадь двух тяжей, см2;

- расчетное сопротивление стали, кН/см2;
0,85 - коэффициент, учитывающий возможность перераспределения усилий в двойном тяже.
16.18. Сжатая стойка шпренгеля должна проверяться по формуле

, (49)
где

- коэффициент продольного изгиба по СНиП на металлические конструкции;

- расчетное сопротивление стали сжатию;

- площадь сечения стойки.
17. ПЛИТА ПОКРЫТИЯ СО ШПРЕНГЕЛЕМ. ПРИМЕР РАСЧЕТА
17.1. Проверить расчетом конструкцию плиты покрытия с деревянным каркасом и шпренгелем по альбому рабочих чертежей "Асбестоцементная панель покрытия с деревянным каркасом длиной 6 м для производственных зданий" (Гипролеспром, ЦНИИСК, 1967, архивн. N 1200). Марка плиты АПШ-1А-100.
| | ИС МЕГАНОРМ: примечание. Постановлением Минстроя России от 6 декабря 1996 г. N 18-90 с 1 апреля 1997 года введен в действие ГОСТ 9573-96. | |
17.2. Исходные данные. Номинальные размеры плиты в плане 1,5 x 6 м, обшивки из плоских асбестоцементных листов марки 180 толщиной 10 мм, ребра из сосновых досок 2-го сорта, клей КБ-3, утеплитель - минераловатные плиты толщиной 8 см на синтетическом связующем по ГОСТ 9573-72*. Объемная масса утеплителя 150 кг/м3. Пароизоляция из полиэтиленовой пленки толщиной 0,2 мм. Воздушная прослойка над утеплителем вентилируемая вдоль плиты. Район строительства - г. Москва.
Каркас плиты состоит из четырех продольных ребер с шагом C = 47,4 см, высотой 12,6 см, толщиной 6 и 4 см. Расчетный пролет плиты 590 см. Ширина плиты 148 см. Высота шпренгеля 1/10 пролета.
17.3. Определение нагрузок. Нагрузка от собственного веса плиты.
Для упрощения расчета рассматриваем плиту с пространственным шпренгелем как шпренгельную балку с совмещенными в одну плоскость растянутыми тяжами. Шпренгельную плиту предполагаем с треугольной шпренгельной системой, с симметричной схемой загружения и элементами постоянного сечения.
Нагрузку принимаем равномерно распределенную, что наиболее близко соответствует характеру фактических нагрузок, действующих на плиту в покрытии.
─────┬───────────────────────────────────┬───────────┬───────────┬─────────
N │ Наименование │Нормативная│Коэффициент│Расчетная
п.п.│ │ нагрузка, │перегрузки │нагрузка,
│ │ Н/м2 │ │ Н/м2
─────┼───────────────────────────────────┼───────────┼───────────┼─────────
1 │Асбестоцементные листы │ 340 │ 1,1 │ 374
│2 x 0,1 x 1700 │ │ │
2 │Деревянный каркас │ 128 │ 1,1 │ 146,8
│0,06 x 0,126 x 5,98 x 4 │ │ │
│----------------------- + │ │ │
│ 9 │ │ │
│ │ │ │
│ 0,06 x 0,126 x 0,416 x 16 │ │ │
│+ ------------------------- x 500 │ │ │
│ 9 │ │ │
│ │ │ │
3 │Утеплитель - минераловатные плиты │ 90 │ 1,2 │ 108
│на синтетическом связующем │ │ │
│гамма = 150 кг/м3; 0,06 x 150 │ │ │
4 │Подкрепляющий стальной шпренгель, │ 42 │ 1,1 │ 46,2
│шурупы, гвозди │ │ │
5 │Мягкая рулонная трехслойная кровля │ 90 │ 1,1 │ 99
│на битумной мастике │ │ │
────────────┴───────────┴───────────┴─────────
Итого q = 690 - q = 768
н р
───────────────────────────────────────────────────────────────────────────
Нагрузки, приходящиеся на плиту в покрытии:
──────┬──────────────┬───────────────┬──────────────┬──────────────
N │ Вид нагрузки │ Нормативная │ Коэффициент │ Расчетная
п.п. │ ├───────┬───────┤ перегрузки ├───────┬──────
│ │ Н/м2 │ Н/м │ │ Н/м2 │ Н/м
──────┼──────────────┼───────┼───────┼──────────────┼───────┼──────
1 │Постоянная │ 690 │ 1035 │Учтен ранее │ 770 │ 1155
2 │Снеговая │ 1000 │ 1500 │ 1,6 │ 1600 │ 2400
─────┴───────┴───────┴──────────────┴───────┴──────
Итого q = 2,54 - q = 3,56
н р

;

;

,
где

.
17.5. Определяем изгибающие моменты в верхнем поясе плиты по
формуле (38):

;

;

.
17.6. Расчет верхнего пояса шпренгельной плиты производим по изгибающему моменту

и продольной силе

по
формулам (39) -
(45):

;

,
где

,

;

;

;

;

;

;

.
17.7. Количество шурупов, равномерно расставленных на полупролете плиты с каждой стороны, определяем по
формуле (46):

, т.е. 44 шт.;

;

для шурупа диаметром 5 мм в соответствии с главой СНиП по проектированию деревянных конструкций.
Принимаем конструктивно 48 шурупов и расставляем их на двух крайних брусках панели, т.е. шаг шурупов равен 25 см:
1200: 48 = 25 см.
На двух средних брусках, которые непосредственно не воспринимают внутренних усилий от работы шпренгеля, расставляем шурупы конструктивно через 40 см.
17.8. Подбор сечения нижнего пояса. Нижний пояс плиты проектируем из двух стержней круглого сечения без нарезки из стали ВСт3кп и принимаем диаметром 12 мм, площадью

. При этом напряжение растяжения в принятом сечении по
формуле (48) равно:

,
где

- коэффициент условий работы двойного тяжа, принятый согласно главе СНиП по проектированию деревянных конструкций. Тяжи нижнего пояса имеют сваренные петлевидные концы.
17.9. Расчет стойки. По конструктивным соображениям верхний конец стойки проектируем без резьбы с опиранием его в металлический стакан, который приваривается к металлической пластинке. Металлическая пластинка крепится шурупами к опорной поперечной детали. Опорную металлическую пластину толщиной 8 мм принимаем размером в плане 80 x 180 мм. Размер металлического стакана по высоте конструктивно принимаем 60 мм.
Внутренний диаметр стакана на 2 мм больше диаметра средней стойки.
Металлическую пластину крепим 8 шурупами 5 x 50 мм.

,
где для стойки диаметром 30 мм l = 510 мм:

;

;

;

.
17.10. Проверка жесткости панели. Прогиб верхнего пояса панели проверяем в середине пролета по
формуле (47):

;

.
Таким образом, величина полученного прогиба меньше допустимого, что говорит о достаточной жесткости панели.
18. ТРЕХСЛОЙНЫЕ ПЛИТЫ ПОКРЫТИЙ.
КОНСТРУКТИВНЫЕ ТРЕБОВАНИЯ И ПРИМЕР РАСЧЕТА
18.1. Трехслойные плиты покрытий состоят из нижней обшивки из гнутоклееных фанерных профилей трапецеидального сечения, верхней обшивки из плоских фанерных листов и среднего слоя из пенопласта. При этом средний слой наряду с теплоизоляционными функциями выполняет конструктивные функции - воспринимает сдвигающие усилия, обеспечивает устойчивость верхней сжатой обшивки.
18.2. Отдельные гнутоклееные профили шириной на волну профиля должны формироваться в настил с помощью фанерных накладок, устанавливаемых на водостойких синтетических клеях. Толщина профилей должна быть не менее 8 мм. Изготовление профилей должно осуществляться с учетом требований ГОСТ 22242-76.
Высота профилей должна быть подобрана таким образом, чтобы в среднем слое плиты напряжения скалывания были минимальными.
18.3. В качестве верхней обшивки должна использоваться водостойкая фанера марки ФСФ по ГОСТ 3916-69 толщиной 4 - 8 мм.
18.4. В качестве среднего слоя должен применяться заливочный фенолоформальдегидный пенопласт марки ФРП-1 с объемной массой 60 - 100 кг/м3.
18.5. Обшивки из профилей и фанеры должны быть подвергнуты антисептической поверхностной обработке в соответствии с главой СНиП на правила производства и приемку работ по деревянным конструкциям. Нижняя поверхность обшивки из профилей должна иметь огнезащитную покраску.
18.6. Расчет трехслойных конструкций должен производиться в соответствии с требованиями "Рекомендаций по проектированию и расчету конструкций с применением пластмасс" (М., ЦНИИСК, 1969).
18.7. Запроектировать утепленную трехслойную плиту покрытия.
Исходные данные. Номинальные размеры плиты (рис. 14) в плане 1,2 x 3 м; верхняя обшивка толщиной 8 мм из водостойкой фанеры ФСФ сорта В/ВВ по ГОСТ 3916-69; нижняя обшивка из четырех гнутоклееных профилей трапецеидального сечения толщиной 8 мм, состыкованных по ширине с помощью фанерных накладок толщиной 4 мм (геометрические размеры гнутоклееного профиля см. на
рис. 15).
Рис. 14. Клеефанерная трехслойная плита покрытия:
а - план; б - продольный разрез; в - поперечный разрез;
1 - нижняя обшивка (ГФП); 2 - средний слой ФРП-1;
3 - верхняя фанерная обшивка; 4 - соединительные фанерные
накладки; 5 - деревянные опорные вкладыши
Рис. 15. Гнутоклееный фанерный профиль (ГФП)
Средний слой - заливочный фенолоформальдегидный пенопласт ФРП-1 по ВНИИСС 50-65. Объемный вес пенопласта 80 кг/м3. Согласно проведенному теплотехническому расчету требуемая толщина утеплителя должна быть не менее 2,9 см.
Кровля рулонная - три слоя рубероида на битумной мастике. Торцы плит гидро- и пароизолируются. Район строительства - г. Минск. Ширина площадки опирания плиты на несущую конструкцию 6 см. Расчетный пролет 293 см. Высота плиты H = 10 см, что составляет 1/29,3 пролета.
Обозначения
Расчетные характеристики материалов

- модуль упругости материала нижней обшивки;

- то же, верхней обшивки;

- модуль упругости материала среднего слоя (кратковременный);

- то же, длительный;

- модуль сдвига материала верхней обшивки;

- то же, нижней обшивки;

- то же, материала среднего слоя (кратковременный);

- то же, длительный;

- расчетные сопротивления материала верхней обшивки при сжатии;

- то же, нижней;

- то же, при растяжении;

- расчетные сопротивления материала верхней обшивки при изгибе;

- то же, нижней;

- расчетное сопротивление материала верхней обшивки при скалывании;

- то же, нижней;

- расчетное сопротивление материала среднего слоя на растяжение (кратковременное);

- то же, длительное;

- расчетное сопротивление материала среднего слоя на срез (кратковременное);

- то же, длительное;

- расчетное сопротивление материала среднего слоя на срез (кратковременное);

- то же, длительное.
18.8. Нагрузки на плиту. Собственный вес плиты, кН/м:
верхняя обшивка - 0,008 x 6,50 x 1,2 = 0,0624
нижняя обшивка - 0,008 x 6,50 x 1,39 = 0,0727
соединительные фанерные накладки - (0,004 x 6,50 x 0,09)3 = 0,00702
------------------------------------------------
Итого
(постоянная) - 0,142
рубероидная кровля - 0,1 x 1,2 = 0,12
средний слой (пенопласт) - 0,00074 x 80 = 0,0595
Нагрузки на плиту приведены в таблице.
────────────────────┬──────────────────┬───────────┬──────────────
Наименование │ Нормативная │Коэффициент│ Расчетная
нагрузки │ нагрузка, кН/м │ перегрузки│нагрузка, кН/м
────────────────────┼──────────────────┼───────────┼──────────────
Собственный вес │ 0,142 │ 1,1 │ 0,156
плиты │ │ │
(без утеплителя) │ │ │
Рубероидная кровля │ 0,12 │ 1,1 │ 0,132
Средний слой │ 0,0595 │ 1,2 │ 0,0714
(пенопласт ФРП-1) │ │ │
────────┼──────────────────┼───────────┼──────────────
│ н │ │ р
Итого │ q = 0,322 │ - │q = 0,36
│ │ │
Временная снеговая │0,70 x 1,2 = 0,84 │ 1,6 │ 1,344
│ │ │
│ н │ │ р
Полная │ q = 1,162 │ - │q = 1,704
────────────────────┴──────────────────┴───────────┴──────────────
18.9. Расчетные характеристики материалов. Для фанеры клееной березовой марки ФСФ сорта В/ВВ расчетные сопротивления и модули упругости вдоль волокон наружных шпонов приняты в соответствии с главой СНиП по проектированию деревянных конструкций:
семислойная толщиной 8 мм (верхняя обшивка):

;
семислойная толщиной 8 мм (нижняя обшивка - трапецеидальные клееные фанерные профили). Расчетные характеристики:

;

;

;

;
физические и механические характеристики для заливочного фенолоформальдегидного пенопласта марки ФРП-1 при

:

;

;

;

;

;

;

;

;

;

.
18.10. Геометрические характеристики сечения плиты. Материалы, входящие в поперечное сечение плиты, приводим к фанере обшивки. Коэффициент приведения

.
Площадь сечения нижней обшивки (без учета накладок)

.
Приведенная площадь сечения верхней обшивки

.
Приведенная площадь сечения обшивок

.
Расчетная высота сечения плиты (расстояние между осями обшивок)

.
Приведенный статический момент сечения плиты относительно оси верхней обшивки

.
Расстояние от нейтральной оси сечения плиты до оси верхней обшивки определяем по
формуле (4):

.
То же, до оси нижней обшивки

.
Статический момент верхней (нижней) обшивки относительно нейтральной оси сечения плиты

.
Момент инерции сечения нижней обшивки

.
Приведенный момент инерции сечения плиты

.
Цилиндрическая жесткость плиты

.
Расчетная средняя высота сечения среднего слоя

.
Коэффициент сдвиговой податливости среднего слоя

.
18.11. Проверка прочности панели. Расчетный изгибающий момент посередине пролета плиты

.
Изгибающий момент в нижней обшивке

.
Нормальное усилие в верхней (нижней) обшивке

.
Максимальные нормальные напряжения в верхней обшивке (сжимающие)

.
Максимальные нормальные напряжения в нижней обшивке (растягивающие)
Расчетная поперечная сила

.
Максимальные касательные напряжения в среднем слое

.
Дополнительно проверяем прочность верхней обшивки и среднего слоя при действии кратковременной местной сосредоточенной нагрузки

:

.
По графику рис. 16:

;

;

.
| | ИС МЕГАНОРМ: примечание. Обозначения коэффициентов даны в соответствии с официальным текстом документа. | |
Рис. 16. График коэффициентов

,

,

Нормальные напряжения в обшивке

.
Касательные напряжения в обшивке

.
Нормальные (сжимающие) напряжения в заполнителе

.
18.12. Проверка жесткости панели. Прогиб панели

.
Относительный прогиб

.
19. ПЛИТЫ ПОКРЫТИЙ С ОБШИВКАМИ ИЗ ДРЕВЕСНО-ВОЛОКНИСТЫХ ПЛИТ.
ПРИМЕР РАСЧЕТА
19.1. Запроектировать утепленную плиту покрытия вентилируемого типа на деревянном каркасе с обшивкой из древесно-волокнистой плиты. Район строительства - Чувашская АССР.
| | ИС МЕГАНОРМ: примечание. Взамен ГОСТ 4598-74 Постановлением Госстроя СССР от 19.12.1985 N 240 с 31 января 1986 года введен в действие ГОСТ 4598-86. | |
| | ИС МЕГАНОРМ: примечание. Постановлением Минстроя России от 6 декабря 1996 г. N 18-90 с 1 апреля 1997 года введен в действие ГОСТ 9573-96. | |
19.2. Исходные данные. Размер плиты в плане 3 x 1,5 м, деревянные ребра из сосновых досок 2-го сорта, обшивка из сверхтвердой древесно-волокнистой плиты марки С1-500 толщиной 4 мм по ГОСТ 4598-74*. Клей КБ-3. Запрессовка оцинкованными гвоздями К4 x 100. Утеплитель - полужесткие минераловатные плиты по ГОСТ 9573-72*. Объемная масса утеплителя 1 кН/м3. Пароизоляция из полиэтиленовой пленки толщиной 200 мкм. Каркас плиты состоит из трех продольных ребер с шагом 68 см, высотой 14,7 см, толщиной 4 см. Ширина плиты 148 см, длина 298 см. Ширина площадки опирания на несущую конструкцию по 6 см. Тогда расчетный пролет

. Плиты покрытия монтируются на металлодеревянные арки при уклоне кровли 1:4.
Согласно главе
СНиП II-6-74 по карте районирования территории по весу снегового покрова Чувашская АССР находится в IV районе, а по средним скоростям ветра - во II районе.
19.3. Нагрузки на плиту. Вес снегового покрова 1,5 кН/м2, нормативная снеговая нагрузка при коэффициенте c = 0,85. Согласно главе
СНиП II-6-74 при v = 5 м/с

. Коэффициент перегрузки согласно главе
СНиП II-6-74 определяется по отношению

, т.е. меньше, чем 0,4, тогда

.
Нормативная ветровая нагрузка при высоте здания до 10 м, угле ската 14° и H/b = 0,1, k = 1, c = 0,15,

.
──────────────────────────┬────────────────┬───────────────┬───────────────
Вид нагрузки │ Нормативная │ Коэффициент │ Расчетная
│нагрузка, кН/м2 │ перегрузки │нагрузка, кН/м2
──────────────────────────┼────────────────┼───────────────┼───────────────
Деревянный каркас │ 0,1 │ 1,1 │ 0,11
Древесно-волокнистая плита│ 0,05 │ 1,1 │ 0,055
Утеплитель │ 0,1 │ 1,2 │ 0,12
Асбестоцементная │ 0,18 │ 1,1 │ 0,198
кровля │ │ │
Временная снеговая │ 1,275 │ 1,6 │ 2,04
Временная ветровая │ 0,052 │ 1,2 │ 0,063
──────────────────────┼────────────────┼───────────────┼───────────────
Полная │ 1,757 │ - │ 2,586
Полные нагрузки на 1 м плиты:
нормативная

;
расчетная

.
Разложим нагрузки на составляющие при уклоне кровли 14°:

;

;

;

.
19.4. Расчетные характеристики материалов. Для древесины ребер каркаса плиты согласно
табл. 2 
;

; E = 1000 кН/см2.
Для древесно-волокнистой плиты марки СТ-500 согласно "Руководству по проектированию и изготовлению клееных плит покрытия с применением ДВП" (М., ЦНИИЭПсельстрой, 1976)

;

;

;

;

;

;

.
Коэффициент снижения прочностных характеристик при относительной влажности эксплуатируемой среды в птичнике 65% по интерполяции

.
19.5. Геометрические характеристики сечения. Расчетная ширина древесно-волокнистой обшивки согласно п. 3.6 "Руководства по проектированию и изготовлению клееных плит покрытия с применением ДВП" принимается равной 0,75

.
Коэффициент приведения

.
Приведенная площадь сечения

,
где

,

,

- количество, ширина и высота ребер каркаса плиты.
Приведенный статический момент сечения относительно нижней плоскости обшивки

.
Общая высота плиты

.
Расстояние от нейтральной оси до верхнего сжатого волокна

.
Расстояние от нейтральной оси плиты до центра тяжести ребер

. Приведенные моменты инерции:
где

- момент инерции ребра каркаса плиты;

- ширина плиты.
Расстояние от середины плиты до центра тяжести крайних ребер

.
19.6. Проверка плиты на прочность. Изгибающие моменты относительно осей x и y:

;

.
Максимальное растягивающее напряжение в древесно-волокнистой обшивке у крайнего ребра

,
где

.
Максимальное растягивающее напряжение в ребре деревянного каркаса
Максимальное сжимающее напряжение в ребре каркаса плиты
Проверяем скалывающее напряжение по клеевому слою древесно-волокнистой обшивки в пределах ребер деревянного каркаса плиты.
Поперечная сила относительно оси x:

.
Статический момент древесно-волокнистой плиты обшивки относительно нейтральной оси

.
Расчетная ширина клеевого слоя обшивки

.
Касательные напряжения

.
19.7. Проверка плиты на прогиб. Деформацию плиты рассчитываем согласно п. 3.13 "Руководства по проектированию и изготовлению клееных плит покрытия с применением ДВП":

.
Относительный прогиб плиты

.
20. ПАНЕЛИ СТЕН. КОНСТРУКТИВНЫЕ ТРЕБОВАНИЯ И ПРИМЕРЫ РАСЧЕТА
20.1. Стеновые панели с деревянным каркасом и фанерной обшивкой должны разрабатываться в соответствии с требованиями главы СНиП на деревянные конструкции и настоящих Рекомендаций.
20.2. Панели стен с асбестоцементной обшивкой должны разрабатываться в соответствии с "Инструкцией по проектированию асбестоцементных конструкций"
(СН 265-77) без учета работы обшивки в конструкции панели и в соответствии с "
Рекомендациями по проектированию и изготовлению асбестоцементных панелей с деревянным каркасом и соединениями на шурупах" (М., ЦНИИСК, Стройиздат, 1963) с учетом работы неразрезной обшивки в конструкции панели для экспериментального строительства.
20.3. Расчет асбестоцементных сплошных стеновых панелей с деревянным каркасом для промышленных зданий на ветровую нагрузку и собственный вес при наличии неразрезной обшивки (цельные листы или стыки листов обшивки перекрыты накладками на синтетическом клее) производится с учетом работы обшивки по формулам:
на прочность

, (50)
где

- расчетный изгибающий момент от ветровой нагрузки;

- то же, от собственного веса;

- момент сопротивления нетто относительно оси y
(рис. 17) всего поперечного сечения панели, рассматриваемого как цельное коробчатое сечение;

- коэффициент, учитывающий влияние податливости связей (шурупов) на прочность панели, при расчете на ветровую нагрузку;

- момент сопротивления относительно оси x только листов обшивки при работе их в своей плоскости (без учета каркаса) на вертикальную нагрузку (собственный вес);

- расчетное сопротивление асбестоцемента растяжению;
на прогиб от горизонтальной (ветровой) нагрузки

, (51)
где

- момент инерции поперечного сечения панели относительно оси y, рассматриваемого как цельное коробчатое сечение;

- коэффициент жесткости составного элемента на податливых соединениях.
Рис. 17. Расчетная схема стеновой панели
Определение прогиба от вертикальной нагрузки может не производиться ввиду достаточной жесткости панелей в своей плоскости.
Количество шурупов

для сплошных панелей промышленных зданий, равномерно расставленных на полупролете панели с каждой стороны, при расчете на ветровую нагрузку должно удовлетворять условию

, (52);
где

- статический момент брутто одного листа обшивки относительно нейтральной оси (ось y) поперечного сечения панели;

- момент инерции поперечного сечения панели (относительно оси y), рассматриваемого как цельное коробчатое сечение;
T - расчетная несущая способность одной связи (шурупа). Определяется применительно к главе СНиП по проектированию деревянных конструкций.
20.4. Проверить расчетом разработанную Гипролеспромом и ЦНИИСК им. Кучеренко стеновую панель по альбому серии СТД-01-01.
20.5. Исходные данные. Номинальные размеры панели
(рис. 18) 1,2 x 6 м, обшивки из водостойкой березовой фанеры марки ФСФ сорта В/ВВ толщиной 8 мм; ребра из сосновых досок 2-го сорта. Клей КБ-3. Утеплитель - минераловатные плиты толщиной 8 см на синтетическом связующем. Внутренние воздушные полости панелей сообщаются с наружным воздухом через отверстия диаметром 10 мм, расположенные в нижней части панелей. Крепление панелей стен к колоннам с шагом 6 м осуществляется при помощи опорных столиков. Район строительства - г. Красноярск.
Рис. 18. Стеновая панель с фанерными обшивками:
а - план; б - продольный разрез; в - поперечный разрез;
1 - фанерные обшивки; 2 - минераловатные плиты;
3 - пароизоляция; 4 - продольные деревянные ребра каркаса;
5 - поперечные ребра каркаса
Каркас панели состоит из двух продольных ребер высотой 9,4 см, толщиной 4,6 см. Ширина панели 119 см. Расчетный пролет панели

.
20.6. Нагрузки на панель. Нормативная постоянная нагрузка от собственного веса панелей (вес двух панелей) составляет

. Коэффициент перегрузки для постоянной нагрузки, учитывая, что часть ее составляет вес утеплителя, принимаем 1,15.
В соответствии с главой
СНиП II-6-74 нормативное значение ветровой нагрузки определяется по формуле

,
где

- скоростной напор для III ветрового района зданий высотой до 10 м, принимается равным 0,45 кН/м2;
коэффициент K в соответствии с табл. 7 главы СНиП равен 1;
c - аэродинамический коэффициент при расчете на эксплуатационную нагрузку принят равным 0,8, а при расчете на монтажную - 1,4 (0,8 + 0,6).
При этом ветровая нагрузка принимается с коэффициентом 0,8, учитывающим кратковременное действие нагрузки. Коэффициент перегрузки для ветровой нагрузки принят равным 1,2 в соответствии с главой
СНиП II-6-74.
Нормативные нагрузки на 1 м2 панели, кН/м2:
постоянная

;
ветровая

;

.
Расчетные нагрузки на 1 м2 панели, кН/м2:
постоянная

;
ветровая

;

.
ИС МЕГАНОРМ: примечание.
Единицы измерения даны в соответствии с официальным текстом документа.
Нагрузки на 1 м панели, кН/м2:
нормативные

;
ветровая

;
расчетные:
постоянная

;
ветровая

;

.
Расчетные характеристики материалов
Для березовой фанеры марки ФСФ толщиной 8 мм вдоль волокон наружных слоев в соответствии с главой СНиП по проектированию деревянных конструкций имеем:
расчетное сопротивление растяжению

;
модуль упругости

.
Для древесины ребер в соответствии с главой СНиП по проектированию деревянных конструкций E = 1000 кН/см2.
20.7. Геометрические характеристики сечения. Расчетная ширина фанерных обшивок принимается в зависимости от отношения

. Поскольку

, коэффициент вовлечения в работу фанерной обшивки равен:

.
Расчетная ширина фанерных обшивок равна:

.
Материалы, входящие в поперечное сечение плиты, приводим к фанере обшивки. Коэффициент приведения равен:

.
Приведенный момент инерции относительно оси поперечного сечения панели, рассматриваемого как цельное коробчатое сечение,
Приведенный момент сопротивления

.
Момент сопротивления относительно оси x листов обшивки при работе их в своей плоскости

.
20.8. Проверка панели на прочность. Расчетный изгибающий момент в середине пролета:
от постоянной нагрузки

;
от ветровой монтажной нагрузки

.
Напряжения в растянутой обшивке

;

.
20.9. Относительный прогиб панели:
от ветровой эксплуатационной нагрузки

;
от ветровой монтажной нагрузки

.
20.10. Проверить расчетом разработанную Гипролеспромом и ЦНИИСК им. Кучеренко стеновую панель из плоских асбестоцементных листов и деревянного каркаса.
20.11. Исходные данные. Номинальные размеры панели (рис. 19) 1,2 x 6 м. Каркас панели деревянный, состоит из двух продольных ребер сечением 46 x 146 мм и пяти поперечных ребер сечением 46 x 146 мм. Соединение брусков каркаса производится на одинарный сквозной шип на клее КБ-3. Обшивки из плоских асбестоцементных листов толщиной 8 мм крепятся к каркасу шурупами. Утеплитель из минераловатных плит толщиной 80 мм с объемной массой 100 кг/м3. Район строительства - г. Красноярск. Ширина панели 118,5 см. Расчетный пролет панели

.
Рис. 19. Стеновая панель с асбестоцементными обшивками:
а - план; б - продольный разрез; в - поперечный разрез;
1 - асбестоцементные обшивки; 2 - деревянный каркас;
3 - минераловатные плиты; 4 - пароизоляция
| | ИС МЕГАНОРМ: примечание. Текст дан в соответствии с официальным текстом документа. | |
20.12. Нагрузки на панель. Нормативная постоянная нагрузка от собственного веса панелей (вес двух панелей) составляет g = 1,04 кН/м2. Коэффициент перегрузки для постоянной нагрузки, а также нормативные и расчетные значения ветровых нагрузок приняты по аналогии с длинными
разд. 20.
Расчетная нагрузка на 1 м2 панели:
q = 1,04 x 1,15 = 1,2 кН/м2;
на 1 м панели:
q = 1,2 x 1,2 = 1,44 кН/м.
Расчетные характеристики материалов
Для асбестоцемента при временном сопротивлении изгибу 2 кН/см2 в соответствии с
табл. 2 "Инструкции по проектированию асбестоцементных конструкций" (СН 265-77. М., Стройиздат, 1978)
расчетное сопротивление растяжению

;
модуль упругости

.
Для древесины ребер в соответствии с главой СНиП по проектированию деревянных конструкций

.
20.13. Геометрические характеристики сечения. Материалы, входящие в поперечное сечение панели, приводим к древесине каркаса. Коэффициент приведения равен:

.
Приведенный момент инерции относительно оси y поперечного сечения панели, рассматриваемого как цельное коробчатое сечение,
Приведенный момент сопротивления

.
Момент сопротивления относительно оси x листов обшивки при работе их в своей плоскости

.
20.14. Проверка панели на прочность. Расчетный изгибающий момент в середине пролета:
от постоянной нагрузки

;
от ветровой (см.
п. 20.8 настоящего раздела)

.
Напряжения в растянутой обшивке
где

- коэффициент, учитывающий влияние податливости шурупов на прочность панели при расчете на ветровую нагрузку;
0,65 - коэффициент, учитывающий влияние длительности нагрузки.
20.15. Относительный прогиб панели:
от ветровой эксплуатационной нагрузки

;
от ветровой монтажной нагрузки

,
где

- коэффициент жесткости составного элемента на податливых соединениях.
21. ПАНЕЛЬ-ОБОЛОЧКА С ДЕРЕВЯННЫМ КАРКАСОМ
И ФАНЕРНОЙ ОБШИВКОЙ. ПРИМЕР РАСЧЕТА
21.1. Исходные данные. Место строительства (г. Березники) по весу снегового покрова относится к V району, а по ветровым нагрузкам - ко II. Пролет свода из панелей оболочек шириной b = 1,5 м; l = 4,7 м; стрела подъема f = 2,35 (т.е. очертание полуциркульное). Покрытие утепленное. Утеплитель из минераловатных плит.
Схема свода с применением клеефанерных панелей-оболочек показана на
рис. 20, а.
Рис. 20. Панель-оболочка с деревянным каркасом
и фанерными обшивками:
а - схема панели-оболочки; б - расчетная схема;
в - опорный узел; г - коньковый узел; 1 - фанерная обшивка
толщиной 8 мм; 2 - утеплитель; 3 - несущее гнутоклееное
ребро; 4 - промежуточное ребро; 5 - торцовое ребро;
6 - металлическая крепежная деталь; 7 - опорная несущая
конструкция; 8 - металлическая соединительная деталь;
9 - соединительный брусок; 10 - прижимная планка
| | ИС МЕГАНОРМ: примечание. Взамен СНиП II-А.6-72 Постановлением Госстроя СССР от 21.07.1982 N 188 с 1 января 1984 года введены в действие СНиП 2.01.01-82. | |
21.2. Определение нагрузок. Распределение снеговых и ветровых нагрузок, значения коэффициентов перегрузок принимаем в соответствии с главой СНиП II-А.6-72.
Вес ограждающей конструкции покрытия (на ширину одной панели-оболочки)

.
Вес 1 м2 покрытия, равный 0,35 кН/м2, принят по чертежам панелей-оболочек (шифр N 01077. Госгорхимпроект. "Клеефанерные ограждающие конструкции транспортерных галерей калийных комбинатов").
Снеговая нагрузка согласно главе СНиП II-А.6-72 распределена на части пролета 3,59 м (
рис. 20, б).
Вариант I:

- принимаем

;

- принимаем n = 1,6;

.
Вариант II:

- на левой половине свода;

;

- на правой половине свода;

.
| | ИС МЕГАНОРМ: примечание. В официальном тексте документа, видимо, допущена опечатка: имеется в виду СНиП II-А.6-72, а не СНиП II-А.6-74. | |
Ветровая нагрузка. Поверхность свода разбиваем на восемь частей. В соответствии с главой СНиП II-А.6-74 интенсивность ветровой нагрузки по участкам равна:
участки 1-2, 2-3

; k = 1,
где

- аэродинамический коэффициент;
k - коэффициент изменения скоростного напора ветра в зависимости от высоты сооружения;

;
участки 3-4, 4-5, 5-6, 6-7

; k = 1;

;
участки 7-8, 8-9

; k = 1;

.
Расчетной моделью свода из панелей оболочек является трехшарнирная арка.
Расчетных сечений девять, из них два на опорах, одно в ключе и шесть в пролетах.
Для этих расчетных сечений определяем координаты x, y и усилия

,

,

по следующим формулам:

;

;

,
где

,

- изгибающий момент и поперечная сила в сечении x балки пролетом l, шарнирно-закрепленной на опорах;

- горизонтальная реакция в левой опоре арки.
Наиболее нагруженное сечение - в середине левого полупролета, в котором усилия при наиболее невыгодных сочетаниях нагрузок:
1) M = -245 кН x см; N = 8,71 кН (сжатие);
2) M = -201 кН x см; N = 10,92 кН (сжатие).
21.3. Геометрические характеристики расчетного сечения. Материалы, входящие в поперечное сечение плиты, приводим к фанере обшивки

.
При расчете панелей-оболочек принимаем следующие величины:

;

;

- расчетная площадь сечения верхней обшивки;

- расчетная площадь сечения нижней обшивки;

- площадь сечения двух несущих ребер.

.
Статический момент приведенного сечения относительно оси, проходящей через центр тяжести верхней обшивки:
Координата нейтральной оси приведенного сечения, отсчитываемая от центра тяжести верхней обшивки по
формуле (4), равна:

.
Момент инерции приведенного сечения
Момент сопротивления приведенного сечения для крайних волокон верхней обшивки

;
для крайних волокон нижней обшивки

;
для крайних волокон несущего гнутоклееного ребра (по внутреннему диаметру)

.
21.4. Расчет панели-оболочки. Проверка напряжений в сечении свода по усилиям M = -245 кН/см; N = 8,71 кН. Верхняя обшивка растянута, нижняя сжата. Определяем гибкость свода в плоскости изгиба.
Радиус инерции

;

.
Коэффициент, учитывающий влияние дополнительного момента от продольной силы при деформации свода

:

;
Значение коэффициента

для фанеры принимается по аналогии с коэффициентами, данными для гнутых досок или брусьев, в зависимости от отношения

, где

- толщина одной изгибаемой обшивки;
для верхней обшивки

;

(сжатие, изгиб);

(растяжение);
для нижней обшивки

;

(сжатие, изгиб);

(растяжение).
Напряжение в нижней обшивке
Так как обшивка сжата, необходимо проверить ее устойчивость. Устойчивость сжатой обшивки проверяем по
формуле (10)

, где a - расстояние между поперечными ребрами;

;

;

.
Устойчивость нижней обшивки не обеспечена. При потере устойчивости нижняя обшивка выключается из работы коробчатого сечения свода.
В этом случае полагаем, что сечение свода состоит из двух несущих ребер и верхней обшивки.
Делаем перерасчет геометрических параметров сечения:

;

;

;

;

;

;

;

.
Напряжение в верхней обшивке

.
Напряжение в несущем ребре, приведенное к обшивке:

.
Напряжение в древесине ребра

;

;

(сжатие, изгиб) - для несущих ребер.
Проверка напряжений по усилиям: M = -245 кН x см; N = 10,92 кН. Сечение нижней обшивки в расчет не вводим.

.
Напряжение в верхней обшивке
Напряжение в несущем ребре