Главная // Актуальные документы // Рекомендация / РекомендацииСПРАВКА
Источник публикации
М.: ПЭМ ВНИИИС Госстроя СССР, 1991
Примечание к документу
Название документа
"Рекомендации по применению бетонных забивных трехветвевых свай"
"Рекомендации по применению бетонных забивных трехветвевых свай"
ГОСУДАРСТВЕННЫЙ КОМИТЕТ СССР ПО ДЕЛАМ СТРОИТЕЛЬСТВА
ОРДЕНА ТРУДОВОГО КРАСНОГО ЗНАМЕНИ НАУЧНО-ИССЛЕДОВАТЕЛЬСКИЙ,
ПРОЕКТНО-ИЗЫСКАТЕЛЬСКИЙ И КОНСТРУКТОРСКО-ТЕХНОЛОГИЧЕСКИЙ
ИНСТИТУТ ОСНОВАНИЙ И ПОДЗЕМНЫХ СООРУЖЕНИЙ
ИМЕНИ Н.М. ГЕРСЕВАНОВА
ТРЕСТ СЫРДАРЬЯОБЛСТРОЙ N 2
ГОССТРОЯ УЗБЕКСКОЙ ССР
РЕКОМЕНДАЦИИ
ПО ПРИМЕНЕНИЮ БЕТОННЫХ ЗАБИВНЫХ ТРЕХВЕТВЕВЫХ СВАЙ
В Рекомендациях рассмотрены вопросы применения забивных бетонных (в том числе пирамидальных) свай, имеющих по сравнению с призматическими повышенную несущую способность за счет отпора грунта по их граням. Повышение экономичности указанных свай достигается в результате выполнения их без армирования.
Рекомендации разработаны Всесоюзным научно-исследовательским, проектно-изыскательским и конструкторско-технологическим институтом оснований и подземных сооружений им. Н.М. Герсеванова Госстроя СССР (д-р техн. наук Б.В. Бахолдин) и трестом Сырдарьяоблстрой N 2 Госстроя УзССР (инж. К.М. Махмудов и Л.Л. Ким) в результате исследований и опыта применения указанных свай в 1983 - 1989 гг. в Сырдарьинской обл., в том числе в г. Гулистане, Нукусе Каракалпакской АССР и Карши Кашкадарьинской обл.
Рекомендации одобрены секцией "Основания и фундаменты" НТС ВНИИОСП имени Н.М. Герсеванова Госстроя СССР и рекомендованы к изданию.
Рекомендации предназначены для инженерно-технических работников строительных и проектных организаций.
Замечания и предложения по рекомендациям просьба направлять по адресу: 109428, Москва, 2-я Институтская, 6, ВНИИОСП имени Н.М. Герсеванова.
В процессе исследований забивных бетонных трехветвевых свай (в дальнейшем называемых трехветвевыми) выполнены следующие работы:
1. Разработаны эффективные конструкции трехветвевых свай;
2. Отработана рациональная технология механизированного изготовления трехветвевых свай, в том числе два варианта специализированной раскрывающейся опалубки, предназначенной для использования ее как в полигонных, так и при поточно-агрегатных заводских условиях;
3. Проведены испытания опытных трехветвевых свай на прочность при подъемно-транспортных операциях с ними при забивке;
4. Выполнены в натурных условиях определения фактической несущей способности свай;
5. Предложена методика расчета несущей способности трехветвевых свай с использованием прочностных и простейших физико-механических характеристик грунтов их основания;
6. Даны способы контроля несущей способности трехветвевых свай по результатам их погружения;
7. Осуществлено экспериментальное строительство на трехветвевых сваях гражданских зданий и промышленных сооружений;
8. Установлена область применения трехветвевых свай и показано, что их использование в 2 - 3 раза снижает расход бетона на фундаменты по сравнению с фундаментами традиционной конструкции (свайными и на естественном основании) и одновременно в несколько раз сокращает расход стали, а также уменьшает трудоемкость работ в заводских условиях и непосредственно на строительной площадке.
Рекомендации содержат основные требования по проектированию и устройству фундаментов из трехветвевых свай.
2. ОБЛАСТЬ ПРИМЕНЕНИЯ БЕТОННЫХ ТРЕХВЕТВЕВЫХ СВАЙ
2.1. Трехветвевые сваи предназначаются для применения в фундаментах зданий и сооружений, возводимых главным образом на территориях, сложенных на большую глубину однородными (преимущественно водонасыщенными) пылевато-глинистыми грунтами от мягкопластичной до полутвердой консистенции или песками от рыхлых до средней плотности сложения.
2.2. Трехветвевые сваи могут быть как висячими сваями, передающими нагрузку на грунт преимущественно боковой поверхностью их ствола, так и сваями-стойками, опирающимися на крупнообломочные грунты.
2.3. Применение трехветвевых свай не допускается, когда под их нижними концами расположены очень слабые грунты (торф, ил, глинистые грунты текучей консистенции).
2.4. При просадочных от замачивания грунтах трехветвевые сваи рекомендуется применять, как правило, только в грунтовых условиях I типа по просадочности, применение этих свай в грунтовых условиях II типа по просадочности допускается лишь для одноэтажных зданий и сооружений III класса при условии, что обеспечивается их несущая способность, а суммарные значения возможных осадок и просадок основания не превышают допустимых предельных значений при неравномерном замачивании их основания.
2.5. Трехветвевые сваи могут применяться в районах с сейсмичностью до 7 баллов при непосредственном опирании свайных ростверков на сваи и до 9 баллов включительно при использовании их с промежуточной гравийной подушкой.
2.6. В случае применения трехветвевых свай в грунтовых условиях, характеризующихся возможностью морозного пучения грунтов, при расчетной глубине промерзания грунтов более 1 м должны предусматриваться противопучинные мероприятия как на период эксплуатации зданий и сооружений, так и на весь период строительства.
3. КОНСТРУКЦИИ ТРЕХВЕТВЕВЫХ СВАЙ И ОСОБЕННОСТИ
ПРОЕКТИРОВАНИЯ ФУНДАМЕНТОВ С ИХ ПРИМЕНЕНИЕМ
3.1. Трехветвевые сваи по своей конструкции могут быть по высоте постоянного или переменного сечения длиной от 1,5 до 6 м.
3.2. Трехветвевые сваи (марки С-"3в") выполняются с постоянным по длине их ствола сечением, имеющим двенадцать сторон с модульным размером, равным 30 - 40 см (рис. 1).
Рис. 1. Трехветвевая свая марки С-3в
3.3. Трехветвевые сваи (трехклиновые марки С-"3к") имеют линейно уменьшающееся по длине ствола поперечное сечение, причем в головной их части это сечение принимается таким же, что и указанное в
п. 3.2 сечение у трехветвевых свай, т.е. двенадцатистороннее с модульным размером, равным 30 - 40 см, а в нижнем конце их поперечное сечение принимается подобным верхнему двенадцатистороннему сечению, но с меньшим модулем, имеющим размер 15 - 20 см (рис. 2).
Рис. 2. Трехветвевая - трехклиновая свая марки С-3к
3.4. Трехветвевые сваи должны изготовляться из бетона не ниже класса 13 - 15 по прочности и не ниже 50 по морозостойкости.
3.5. Для изготовления свай, предназначенных для работы при наличии агрессивных грунтовых вод, должно быть предусмотрено применение бетонов, удовлетворяющих по плотности и водонепроницаемости требованиям СНиП по антикоррозийной защите строительных конструкций. При необходимости в указанном случае должны применяться также специальные виды цементов, антикоррозийных добавок и покрытий.
3.6. Трехветвевые сваи рекомендуется применять главным образом в качестве односвайных фундаментов под колонны зданий и сооружений и в фундаментах с однорядным ленточным расположением свай.
3.7. Длина свай устанавливается в зависимости от грунтовых условий строительной площадки, значений нагрузок, передаваемых на фундаменты от надземных конструкций, а также исходя из условий и глубины расположения подземных коммуникаций, конструктивного решения подземной части здания или сооружения и фактических условий промерзания грунтов с учетом теплового влияния зданий и сооружений.
3.8. Расстояние между осями трехветвевых свай в фундаментах должно быть не менее 3 м.
3.9. Опирание ростверков на трехветвевые сваи должно проектироваться свободным без применения анкеровочной арматуры при обязательном выполнении условия, чтобы усилие, действующее в месте их сопряжения, не выходило за пределы ядра сечения сваи (с учетом возможных отклонений свай от проектного положения). Минимальная ширина ростверка, опирающегося на трехветвевые сваи, не устанавливается и ограничивается лишь расчетом по прочности применяемых для него и для свай материалов.
3.10. В сейсмических районах опирание ростверка на сваи рекомендуется осуществлять через промежуточную гравийно-щебеночную подушку, толщина которой должна приниматься в 7-балльных условиях не менее 30 см, а на площадках с сейсмичностью 8 - 9 баллов - не менее 60 см (рис. 3).
Рис. 3. Опирание ростверка на трехветвевые сваи
через промежуточную подушку:
1 - ростверк; 2 - гравийно-щебенистая подушка; 3 - свая
4. СОРТАМЕНТ ТРЕХВЕТВЕВЫХ СВАЙ
Сортамент трехветвевых свай (постоянного сечения марок С-3в и трехветвевых-трехклиновых марок С-3к) устанавливается по табл. 1, типоразмеры которой опробированы практикой применения указанных свай. Класс бетона для всех свай не ниже B-15, а марка арматурной стали для монтажных петель АI. Применение других типоразмеров трехветвевых свай не рекомендуется, исходя из технико-экономических соображений.
Таблица 1
Сортамент трехветвевых свай
Номер рисунка | Марка сваи | Длина сваи l, мм | Модуль (сторона сечения), мм | Объем бетона, м3 | Ориентировочная масса, т | Монтажные петли (сталь АI) |
верхний | нижний |  , мм | длина, м | масса, кг |
| С-3в-1,5.40 | 1500 | 400 | 400 | 1,34 | 3,1 | 16 | 2,5 | 3,6 |
С-3в-2.40 | 2000 | 400 | 400 | 1,79 | 4,1 | 18 | 3 | 5,4 |
С-3в-3.40 | 3000 | 400 | 400 | 2,69 | 6,2 | 24 | 4 | 9,8 |
С-3в-4.40 | 4000 | 400 | 400 | 3,58 | 8,2 | 28 | 5 | 16,6 |
| С-3к-3.40x15 | 3000 | 400 | 150 | 1,37 | 3,2 | 16 | 4 | 5,8 |
С-3к-3.40x20 | 3000 | 400 | 200 | 1,56 | 3,5 | 18 | 4 | 7,2 |
С-3к-4.40x15 | 4000 | 400 | 150 | 1,80 | 4,1 | 18 | 5 | 9,1 |
С-3к-4.40x20 | 4000 | 400 | 200 | 2,08 | 4,8 | 20 | 5 | 9,6 |
С-3к-5.40x15 | 5000 | 400 | 150 | 2,26 | 5,2 | 22 | 6 | 16 |
С-3к-5.40x20 | 5000 | 400 | 200 | 2,60 | 6,0 | 22 | 6 | 16 |
С-3к-6.40x15 | 6000 | 400 | 150 | 2,71 | 6,2 | 24 | 7 | 22 |
С-3к-6.40x20 | 6000 | 400 | 200 | 3,12 | 7,2 | 25 | 7 | 23 |
5. ОПРЕДЕЛЕНИЕ НЕСУЩЕЙ СПОСОБНОСТИ ТРЕХВЕТВЕВЫХ СВАЙ
5.1. Несущая способность трехветвевых свай может определяться следующими методами:
а) расчетом по прочностным и по простейшим физико-механическим характеристикам грунтов;
б) на основании результатов динамических испытаний свай;
в) по данным статических испытаний свай.
5.2. Нагрузку N, допускаемую на трехветвевые сваи, следует определять, исходя из условия

, (1)
где F - несущая способность сваи;

- коэффициент надежности, принимаемый равным 1,3, если несущая способность определена по расчету; 1,25, если несущая способность определена по результатам динамических испытаний свай, и 1,2, если несущая способность определена по данным статических испытаний.
5.3. Расчет несущей способности трехветвевых свай по простейшим физико-механическим характеристикам грунтов аналогичен расчету, принятому для обычных забивных свай в главе
СНиП 2.02.03-85. Свайные фундаменты. При этом в случае применения трехклиновых свай в связи с увеличением их сопротивления благодаря клиновидности следует учитывать отпор грунта:

, (2)
где R - расчетное сопротивление грунта под нижним концом сваи, кПа (тс/м2), определяемое в соответствии с указаниями
п. 5.4;
A - площадь опирания на грунт нижнего конца сваи, м2;

- наружный периметр i-го сечения сваи, м;

- толщина i-го слоя грунта, соприкасающегося с боковой поверхностью сваи, м;

- расчетное сопротивление i-го слоя грунта основания на боковой поверхности сваи, кПа (тс/м2), определяемое в соответствии с указаниями
п. 5.5;

- коэффициент, зависящий от вида грунта и принимаемый по
табл. 2;

- модуль деформации i-го слоя грунта, окружающего боковую поверхность сваи, кПа (тс/м2);

- степень влажности i-го слоя грунта;

- наклон наружных граней сваи в дол. единицы;

- наклон боковых граней сваи в дол. единицы;

- наклон внутренних граней сваи в дол. единицы.
Грунты | Коэффициент  |
Пески и супеси | 0,5 |
Суглинки | 0,6 |
Глины | |
при числе пластичности  | 0,7 |
при числе пластичности  | 0,9 |
Примечание. Для глин с числом пластичности

значения коэффициента

определяются интерполяцией.
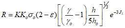
5.4. Расчетное сопротивление R грунта под нижним концом трехветвевой сваи определяется по формуле

, (3)
где K - коэффициент дисперсности грунта, принимаемый для песков крупных 0,6, средней крупности 0,5, мелких 0,3, пылеватых 0,2, глинистых грунтов 0,1;

- коэффициент пластичности, принимаемый равным для песков 1 и 10 для глинистых грунтов;

- приведенный прочностный параметр минеральной составляющей грунтов, принимаемый равным 7000 кПа;

- коэффициент пористости грунта;

- удельный вес грунта;

- удельный вес воды;
h - глубина расположения слоя грунта;

- глубина приведения, принимаемая равной 1 м;

- показатель текучести (для песков

).
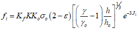
5.5. Расчетное сопротивление

грунта на боковой поверхности сваи определяется по формуле

, (4)
где

- коэффициент, принимаемый равным 0,01.
| | ИС МЕГАНОРМ: примечание. Взамен ГОСТ 5686-78 Постановлением Минстроя России от 23.02.1995 N 18-20 введен в действие с 1 января 1996 года ГОСТ 5686-94. | |
5.6. Определение несущей способности трехветвевых свай по результатам динамических и статических испытаний проводится в соответствии с требованиями главы
СНиП 2.02.03-85 с той лишь разницей, что при использовании при расчетах динамической формулы в качестве площади поперечного сечения сваи принимается ее средняя величина, а величина коэффициента

перехода от предельно допустимого значения средней осадки фундамента здания или сооружения S к осадке сваи, полученной при статических испытаниях с условной стабилизацией (затуханием) по ГОСТ 5686-78*, может приниматься равной

.
Примечание. В связи с тем, что грунт в основании трехветвевых свай проявляет при их забивке упругие свойства в значительно большей степени, чем при других типах свай, несущую способность трехветвевых свай по данным динамических испытаний следует определять по формулам, учитывающим фактически наблюдаемый упругий отказ.
5.7. Испытания трехветвевых свай следует проводить в соответствии с ГОСТ 5686-78*, причем в просадочных от замачивания грунтах с их локальным замачиванием.
5.8. Несущая способность трехветвевых свай по материалу (бетону) определяется в соответствии с требованиями норм по проектированию бетонных конструкций.
6. ИЗГОТОВЛЕНИЕ ТРЕХВЕТВЕВЫХ СВАЙ
И ПРАВИЛА ИХ ПРИЕМКИ И КОНТРОЛЯ
6.1. Трехветвевые сваи могут изготовляться поточно-агрегатным и полигонным способами в разъемной опалубке, имеющей три полости для подачи в нее пара.
6.2. Сваи следует изготавливать из тяжелого бетона по
ГОСТ 26633, класса по прочности на сжатие, указанного в
разделе 4.
| | ИС МЕГАНОРМ: примечание. В официальном тексте документа, видимо, допущена опечатка: стандарт имеет номер ГОСТ 19804-91, а не ГОСТ 19804-89. | |
6.3. Марка бетона по морозостойкости и водонепроницаемости свай в зависимости от режима их эксплуатации и значений расчетных температур наружного воздуха в районе строительства должна соответствовать требованиям
прил. 2 ГОСТ 19804-89.
6.4. Изготовленные сваи должны удовлетворять требованиям
ГОСТ 13015.0:
а) по показателям фактической прочности бетона (в проектном возрасте, передаточной и отпускной);
б) по морозостойкости и водонепроницаемости бетона.
6.5. Прочность бетона свай в момент их отгрузки с завода должна быть равна 100% класса по прочности на сжатие.
6.6. Геометрические размеры изготовленных свай не должны отличаться от проектных более чем на 5%.
6.7. Приемка свай должна осуществляться в соответствии с
ГОСТ 13015.1 по результатам периодических испытаний в части прочности бетона, морозостойкости и водонепроницаемости.
6.8. Прочность бетона свай при контроле их качества должна определяться по
ГОСТ 10180 на серии образцов, изготовленных из бетонной смеси рабочего состава и хранившихся в условиях по
ГОСТ 18105. При испытании свай неразрушающими методами передаточную отпускную прочность бетона на сжатие следует определять ультразвуковым методом по
ГОСТ 17624 или приборами механического действия по
ГОСТ 22690.
6.9. Морозостойкость бетона свай должна контролироваться по ГОСТ 10060 на серии образцов, изготовленных из бетонной смеси рабочего состава, а водонепроницаемость бетона свай - по
ГОСТ 12730.0 и
ГОСТ 12730.5.
6.10. Для контроля геометрических размеров свай из каждой изготовленной партии следует отбирать 5% свай, но не менее 5 шт. В случае, если хотя бы одна из отобранных свай не удовлетворяет требованиям
п. 6.6, то контролю подлежит вся партия свай.
7. ТРЕБОВАНИЯ К ПРОИЗВОДСТВУ РАБОТ
7.1. Работу по устройству фундаментов из трехветвевых свай, в том числе выбор молотов для их погружения, следует осуществлять в соответствии с главой СНиП 3.02.01-83 "Основания и фундаменты".
7.2. Погрузку и разгрузку трехветвевых свай постоянного поперечного сечения (марки С-3в) при их длине до 4 м, а также трехветвевых-трехклиновых свай (марки С-3к) при их длине до 3 м следует производить за подъемные петли. Погрузочно-разгрузочные работы с трехветвевыми-трехклиновыми сваями (марки С-3к) при их длине более 3 м следует производить с применением стропа, один конец которого должен быть закреплен на свае на удавке в удалении от ее острия не более 2,6 м, а другой - на петлю.
7.3. Подтаскивание свай к копру волоком запрещается.
7.4. Трехветвевые-трехклиновые сваи (марки С-3к) перед забивкой должны быть установлены своими нижними концами в лидерные скважины глубиной 1,5 м.
7.5. Забивка трехветвевых свай должна осуществляться с применением специальных оголовников, конфигурация которых соответствует поперечному сечению в голове свай.
7.6. Для обеспечения правильного положения трехветвевых свай в процессе забивки рекомендуется начальное их погружение до глубины 0,5 - 1,5 м осуществлять легкими (с высоты до 50 см) одиночными ударами молота.
7.7. В зимних условиях забивку трехветвевых свай при глубине промерзания более 0,7 м во всех случаях следует производить после предварительного оттаивания грунтов в месте забивки свай на всю глубину промерзания в радиусе не менее 1 м. Оттаивание грунта рекомендуется выполнять низковольтными (напряжением 35 В) электронагревателями.