Главная // Актуальные документы // Рекомендация / РекомендацииСПРАВКА
Источник публикации
М.: ЦНИИСК им. В.А. Кучеренко, 1988
Примечание к документу
Название документа
"Рекомендации по обследованию и оценке технического состояния крупнопанельных и каменных зданий"
(утв. ЦНИИСК им. В.А. Кучеренко Госстроя СССР 28.07.1987)
"Рекомендации по обследованию и оценке технического состояния крупнопанельных и каменных зданий"
(утв. ЦНИИСК им. В.А. Кучеренко Госстроя СССР 28.07.1987)
Директором ЦНИИСК
им. В.А. Кучеренко
28 июля 1987 года
РЕКОМЕНДАЦИИ
ПО ОБСЛЕДОВАНИЮ И ОЦЕНКЕ ТЕХНИЧЕСКОГО СОСТОЯНИЯ
КРУПНОПАНЕЛЬНЫХ И КАМЕННЫХ ЗДАНИЙ
Рекомендованы к изданию решением секции "Крупнопанельные и каменные конструкции" Научно-технического совета ЦНИИСК им. В.А. Кучеренко Госстроя СССР.
Приведена методика обследования деформаций и повреждений конструкций каменных и крупнопанельных зданий и сооружений, оценки технического состояния и действительной несущей способности конструкций с учетом повреждений, приведены случаи наиболее часто встречающихся повреждений и их причины.
Для инженерно-технических работников строительных, проектных организаций и службы эксплуатации.
Конструкции зданий и сооружений в процессе строительства и эксплуатации подвергаются различного рода воздействиям (климатическим, технологическим, географическим и т.п.), которые вызывают в конструкциях различного рода повреждения и деформации, снижающие их прочность, долговечность и эксплуатационные качества.
Несущая способность и эксплуатационная надежность конструкций зависит также от качества изготовления конструкций, ведения строительно-монтажных работ и проектной документации. Пониженная или недостаточная несущая способность конструкций вызывает необходимость их усиления при надстройке, реконструкции зданий и ремонтно-восстановительных работах.
Правильность и экономичность выбора того или иного способа усиления и восстановления конструкций зависит от результатов технического обследования их состояния, фактической прочности и качества использованных материалов, величины деформаций, степени и причин повреждений.
На основании этих данных производится оценка технического состояния конструкций как по несущей способности, так и по пригодности к нормальной эксплуатации (деформациям, трещиностойкости, теплопроводности, звукопроводности, воздухопроницаемости, морозостойкости, водонепроницаемости и т.п.). Под оценкой технического состояния конструкций в рассматриваемом случае понимается степень соответствия данного признака состояния (прочность, деформативность, долговечность и т.п.) требованиям соответствующих норм (СНиП, ГОСТ и т.п.). Результаты обследования и оценки технического состояния конструкций являются основой для составления проекта восстановления, реконструкции зданий и проекта производства работ.
В Рекомендациях приводятся как простые визуальные методы обследования, получившие широкое распространение и не требующие специальной подготовки персонала, так и инструментальные способы обследований, требующие использования специального оборудования и специалистов соответствующих квалификаций. Оценка технического состояния поврежденных конструкций производится в соответствии с требованиями действующих норм с учетом понижающих коэффициентов, учитывающих влияние дефектов изготовления, производства работ, трещинообразования, огневого воздействия, влажности и т.п.
Цель Рекомендаций ознакомить широкий круг специалистов с методами обследования, оценки технического состояния конструкций зданий, а также с характерными случаями и видами повреждений конструкций при различных нагрузках и воздействиях.
Рекомендации могут быть использованы в качестве практического руководства при обследовании конструкций зданий и сооружений. Рекомендации разработаны ЦНИИСК им. В.А. Кучеренко Госстроя СССР (канд. техн. наук А.А. Емельянов). При разработке Рекомендаций использовался опыт проведения таких работ ЦНИИСК им. В.А. Кучеренко, АКХ им. К.Д. Панфилова, ЦНИИЭПжилища, ЦНИИпромзданий и другими организациями, а также литературные источники, список которых приводится в конце Рекомендаций.
Замечания и предложения по Рекомендациям направлять по адресу: 109389, Москва, 2-я Институтская, 6, ЦНИИСК им. В.А. Кучеренко, Отдел прочности крупнопанельных и каменных зданий.
1.1. Техническое обследование конструкций зданий и сооружений производится в целях получения фактических данных о размерах, прочности и повреждениях конструкций, которые необходимы при разработке проектов усиления, восстановления и реконструкции жилых, общественных и промышленных зданий, а также для выяснения причин повреждений и аварий строительных конструкций.
В процессе обследования должны быть получены исчерпывающие сведения для оценки состояния и несущей способности конструкций. По результатам технического обследования делаются выводы о состоянии конструкций, причинах их деформаций и повреждений, а также даются рекомендации по их усилению или замене и устранению причин повреждений.
1.2. Техническое обследование включает следующие этапы работ.
Предварительное (рекогносцировочное) обследование:
- сбор и анализ имеющейся технической документации (проектной, строительной, эксплуатационной);
- уточнение объемно-планировочного и конструктивного решения зданий и отдельных конструкций;
- выявление наиболее поврежденных и аварийных участков и конструкций;
- составление программы основных обследований.
Основное (техническое) обследование:
- уточнение размеров, схем опирания конструкций, нагрузок, качества и прочности материалов;
- выявление, измерение и зарисовка трещин, дефектов, повреждений конструкций;
- измерение деформаций (прогибов, наклонов, перекосов, сдвигов, осадок фундаментов и т.п.).
Дополнительное обследование:
- уточнение результатов предварительных и основных обследований;
- длительные наблюдения и измерения деформаций конструкций, температурно-влажностного режима и т.п.;
- испытание конструкций пробной нагрузкой;
- уточнение данных инженерно-геологических и геодезических изысканий.
Составление заключения (отчета):
- о состоянии и несущей способности и деформациях конструкций на основе анализа данных обследований и инженерных расчетов с учетом фактической прочности материалов, нагрузок, расчетных схем;
- о причинах и степени опасности деформаций и повреждений конструкций и здания;
- выводы о пригодности конструкций к эксплуатации, рекомендации по их усилению или восстановлению.
1.3. Сбор и анализ технической документации включает изучение:
- проектной документации (рабочих чертежей зданий, конструкций, узлов сопряжения, расчетных схем, нагрузок, расчетов, материалов инженерно-геологических изысканий);
- строительной документации (паспорта, сертификаты на материалы, акты на скрытые работы, журналы работ, авторского и геодезического контроля, отступлений от проекта);
- изменений проектных решений в процессе эксплуатации зданий (перестройки, перепланировки, результаты обследований, испытаний материалов, вскрытий, усиления, ремонтов конструкций и т.п.).
1.4. Предварительное и основное обследование производится с применением, как простейших приборов (биноклей, отвесов, лент, рулеток, уровней и т.п.), не требующих специальной подготовки персонала, так и специальных приборов и оборудования (теодолитов, нивелиров, ультразвуковых и лазерных приборов и т.п.), требующих для выполнения работ специалистов соответствующей квалификации.
1.5. Результаты измерений размеров, дефектов, повреждений и деформаций конструкций наносятся на чертежи (планы, разрезы, развертки) в масштабе 1:50 - 1:200.
Планы и развертки должны иметь координатную сетку (прямоугольную, полярную и т.п.), которая привязывается к характерным осям или точкам (реперам) здания.
Дефекты и повреждения узлов сопряжения и отдельных участков конструкций (балок, плит) фотографируются или наносятся на чертежи (эскизы) крупного масштаба (1:5 - 1:20). На чертежах указываются очертания и размеры деформаций, дефектов и повреждения конструкций, направление, длина, ширина и глубина трещин. Запись результатов измерений на планах, развертках и в таблицах рекомендуется выполнять в целях сокращения объемов в закодированном виде.
1.6. Длительные наблюдения и измерения осадок фундаментов, колонн, прогибов балок, перекрытий, раскрытия стыков, швов, трещин и т.п., производятся в целях определения характера развития деформаций во времени (прогрессирующие, затухание, стабилизация). Измерения производятся периодически по специальной программе с интервалом от нескольких часов или дней (температурные деформации) до нескольких месяцев (осадки фундаментов).
1.7. Испытание конструкций пробной нагрузкой (балок, перекрытий, ферм и т.п.) производится в случаях, когда результаты основных и дополнительных обследований не позволяют уверенно судить о несущей способности и деформативности конструкций. Испытания проводятся по специальной программе, согласованной с проектной организацией.
2. ИНСТРУМЕНТАЛЬНЫЕ ИЗМЕРЕНИЯ
Приборы
2.1. Для измерений геометрических размеров и величин деформаций и перемещений конструкций (наклонов, выпучивания, перекосов, сдвигов) используются следующие измерительные приборы:
приборы для линейных измерений в плане, по ширине (толщине) и высоте конструкций
- стальные и деревянные линейки, складные метры;
- стальные и тесмянные ленты и рулетки длиной 5, 10, 20 м и более;
приборы для угловых измерений
- обыкновенные и прецизионные теодолиты с 20 - 40-кратным увеличением трубы и минимальным расстоянием визирования 1,5 - 2 м (ТБ-1, ТТ-5, ОТШ, ТОМ, ОТ-2 и др.);
приборы для определения вертикальных перемещений
- обыкновенные и прецизионные оптические нивелиры с 20 - 30-кратным увеличением трубы и минимальным расстоянием визирования 1,5 - 2 м (НЗ, НВ-1, НТ, НА-1);
- оптические теодолиты с накладным уровнем на трубе (ТТ-4; ТОМ; ОТШ);
- гидростатические нивелиры (уровни), основанные на принципе сообщающихся сосудов типа НШТ и др., применяются для нивелирования в тесных, захламленных и сложных в плане помещениях, подвалах, коммуникационных траншеях и т.п.; точность отсчетов невооруженным глазом - 0,5 мм, при использовании специальных поплавков - до 0,1 мм;
приборы для проверки вертикальности конструкций, зданий и сооружений
- проволочные и нитяные отвесы длиной до 20 м и весом до 5 кг;
- оптические приборы вертикального визирования с 30-кратным увеличением трубы (зенит- и надирприборы ОЦП, ПОВП);
- лазерные приборы (ПМЛ-1, ЛЗЦ-1, лазерный теодолит ЛТ-75).
Обмерные работы
2.2. Обмеры зданий и конструкции по длине, ширине и высоте выполняются с помощью стальных лент, рулеток, линеек, угольников, отвесов, штангенциркулей и т.п. Точность измерений сечения и длины бетонных и каменных конструкций - 1 см, стальных элементов и арматуры - 1 мм. Результаты измерений наносятся на заранее заготовленные планы, разрезы, схемы узлов и сечений конструкций. Размеры и положение конструкций и их узлов в плане и по высоте должны увязываться с общими размерами зданий и результатами геодезической съемки (вертикальной и горизонтальной).
Измерение отклонений конструкций от вертикали
2.3. Отклонение от вертикали и выпучивание конструкций зданий и сооружений большой высоты (трубы, башни и т.п.), а также в труднодоступных местах, определяются с помощью теодолитов методом сноса вертикали (проектирования) на линейку с миллиметровыми делениями (рис. 1).
Рис. 1. Измерение горизонтального смещения
двух точек (1 и 2) стены здания методом сноса вертикали
с помощью теодолита
1, 2 - точки; 3 - теодолит;
4 - переносная линейка с миллиметровыми делениями
2.4. Отклонение от вертикали в пределах этажа стен, перегородок, столбов и колонн (наклоны, выпучивание, смещение по горизонтали и т.п.) определяются с помощью нитяных и проволочных отвесов диаметром от 0,2 мм до 1 - 2 мм, закрепленных на кронштейнах, стойках или вышележащих конструкциях. При использовании отвесов отклонения от вертикали стен, столбов и перегородок в характерных точках (рис. 2, а) находятся как разность расстояний рассматриваемых точек ai до отвеса относительно низа рассматриваемого элемента (нулевой точки). Измерение удаления точек от отвеса выполняется с помощью линейки с миллиметровыми делениями при строго горизонтальном ее положении; точность измерений при отсчете на глаз +/- 0,5 мм.
Рис. 2. Определение соосности (б) и отклонений стен
от вертикали (а) с помощью вертикального отвеса
1 - стеновые панели (перегородки); 2 - отвес;
3 - точки подвески отвеса; 4 - точки измерения;
5 - линейка; 6 - сосуд с водой; 7 - отверстие в перекрытии
2.5. Соосность стен (панелей) различных этажей и величина горизонтального смещения осей стен в уровне перекрытий определяются с помощью отвесов, пропущенных через швы или отверстия в перекрытиях (
рис. 2, б). Величина горизонтального смещения (эксцентриситет) осей стен (панелей) вышележащего и нижележащего этажей находится как разность расстояний от их поверхностей до отвеса (с учетом толщины стен).
Измерение отклонений положения конструкций
в горизонтальной плоскости
2.6. Смещения от осей и выгибы стен, перегородок, столбов и колонн в горизонтальной плоскости определяются:
- с помощью горизонтальной натянутой нити (проволоки);
- с помощью геодезических инструментов (оптических теодолитов и нивелиров, лазерных нивелиров);
- смешанными способами.
2.7. При измерении с помощью натянутой нити или проволоки отклонения конструкции от оси определяются измерением расстояния от рассматриваемой точки на поверхности конструкции до проволоки (рис. 3).
Рис. 3. Определение прогибов перекрытий и выгибов стен
с помощью горизонтальной нити
1 - перекрытие (стена); 2 - горизонтальная нить;
3 - точки закрепления нити; 4 - точки измерения
Измерения выполняются стальной линейкой с миллиметровыми делениями. Величина прогиба (выгиба) конструкции в точке i вычисляется по формуле
fi = hi - ho - (hn - ho)·li/l, (1)
где ho, hn - расстояние (ордината) от нити до начальной (o) и конечной (n) точки;
hi, li - ордината и расстояние от начала координат (o) до точки i;
l - длина конструкций.
2.8. Измерение отклонений положения конструкций в горизонтальной плоскости с использованием геодезических инструментов производится в случаях, когда применение способа натянутой нити вызывает затруднение или оказывается невозможным (большая длина, сложная планировка помещений, наличие технологического оборудования). При использовании геодезических инструментов отклонение положения конструкции от осей в горизонтальной плоскости находится измерением расстояния от линии визирования теодолита или луча лазера до рассматриваемых точек на поверхности конструкции. Положение линии визирования (луча лазера) в плане фиксируется с помощью визирных марок (вешек), перемещаемых по линии визирования.
2.9. Смешанный метод измерения отклонения положения конструкций в горизонтальной плоскости представляет собой комбинацию способа натянутой нити и геодезического метода. Применяется для протяженных зданий и помещений со сложной конфигурацией в плане и при наличии технологического оборудования, препятствующего измерениям одним из указанных способов.
Измерение вертикальных перемещений (прогибов) конструкций
2.10. Осадки фундаментов, стен, перекрытий, ферм, подкрановых балок определяются с помощью оптических и гидростатических нивелиров и теодолитов с накладным уровнем. Нивелирование производится по осям колонн, стен, опор перекрытий и балок, а также в местах просадок фундаментов. Результаты нивелирования привязываются к неподвижным точкам (реперам) или к существующей геодезической сети. Нивелирование производится с помощью переставных или навесных реек или шкаловых марок. Навесные рейки и шкаловые марки навешиваются на металлические штыри с центрирующим устройством (шариком, призмой, отверстием), заделанные в тело конструкции, или на специальные передвижные кронштейны телескопических стоек (рис. 4). Стойки устанавливаются строго вертикально в распор между полом и измеряемой конструкцией. Схема измерения осадок и прогибов конструкций с помощью гидростатического нивелира (уровня) показана на
рис. 5.
Рис. 4. Вид телескопической штанги и шкаловой марки
при определении прогибов потолков
1 - телескопическая штанга; 2 - репер с хомутиком
для навески марки; 3 - навесная шкаловая марка;
4 - круглый уровень; 5 - фиксатор штанги
Рис. 5. Схема измерения прогибов перекрытий
гидростатическим уровнем
1 - градуированная трубка; 2 - телескопическая стойка;
3 - сосуд; 4 - резиновый шланг; 5 - краник;
6 - точка измерения
2.11. Вертикальные деформации (прогибы) горизонтальных конструкций (плит, балок, перекрытий, ферм и т.п.) определяются с помощью оптических и гидростатических нивелиров
(рис. 5) или горизонтальной нити и линейки (см.
рис. 3) и прогибомеров с ценой деления 0,1 - 0,01 мм (при испытаниях конструкций пробной нагрузкой).
Измерение раскрытия швов и стыков
2.12. Деформации швов и стыков конструкций (раскрытие, сдвиг) измеряются с помощью переносных индикаторов (мессур) с ценой деления 0,01 мм или штангенциркулем. Измерение производится между двумя стальными штырями диаметром 4 - 5 мм с центрирующим устройством на концах, заделанных в тело конструкций по обе стороны шва (стыка). Для непрерывной записи деформаций на ленту в течение суток и более используются механические (с часовым механизмом) и электронные самописцы. Схемы установки для автоматической записи раскрытия (а) и сдвига (б) вертикального шва панели показаны на рис. 6.
Рис. 6. Измерение раскрытия (а) и сдвига (б) по шву
сборных элементов с помощью самописцев
1 - шов; 2 - самописец; 3 - стальная нить 0,3 мм;
4 - штырь (болтик); 5 - блок; 6 - кронштейн
2.13. В труднодоступных и опасных для измерения местах деформации швов и стыков определяются с помощью дистанционных устройств, позволяющих производить измерения (отсчеты по шкале) на расстоянии с помощью теодолита или зрительной трубы на штативе без непосредственного контакта с исследуемой конструкцией. Схема дистанционного измерения раскрытия деформационного шва с помощью шкальных марок (1) и теодолита (3) показана на рис. 7. Шкальная марка состоит из двух частей, заделанных по обе стороны шва: шкалы с миллиметровыми делениями и заостренного указателя.
Рис. 7. Схема измерений деформаций шва
с помощью дистанционного прибора
1 - прибор; 2 - деформационный шов;
3 - зрительная труба; 4 - точка центрирования трубы
Наблюдения за трещинами
2.14. Наблюдения за развитием трещин в стенах во времени осуществляются с помощью гипсовых, стеклянных или пластинчатых маяков. Рекомендуемые размеры и схемы установки указанных маяков на трещинах показаны на рис. 8.
Рис. 8. Маяки для наблюдения за раскрытием трещин
в стенах и перегородках
1 - трещина; 2 - маяк гипсовый или из стекла;
3 - металлическая пластинка; 4 - риски; 5 - гвоздь
2.15. Ширина раскрытия трещин измеряется с помощью:
- градуированных луп и микроскопов (МИР-2, МПБ-2) с 2,5 - 24-кратным увеличением;
- целлулоидных или бумажных трафаретов, с нанесенными на них линиями разной толщины от 0,05 до 2 мм, путем совмещения линий с краями трещины;
- масштабных линеек при раскрытии трещин более 2 мм (точность измерений +/- 0,3 мм).
При длительных наблюдениях ширина раскрытия трещин за рассматриваемый период определяется с помощью переносных индикаторов с ценой деления 0,01 мм и штангенциркулей с ценой деления 0,1 мм. Величина раскрытия принимается равной разности двух измерений расстояния между штырями (реперами) с центрирующим устройством, заделанными в конструкцию по обе стороны трещины.
2.16. Глубина развития несквозных (слепых) трещин hтр определяется:
- по следу трещины на поверхности керна, высверленного из тела конструкции;
- с помощью стальных калиброванных щупов различной толщины по формуле

(2)
где

- раскрытие трещины снаружи в мм (среднее из трех измерений);

,
hщ - толщина щупа и глубина погружения щупа в трещину в мм без усилия (среднее из трех измерений при смещении щупа по трещине на 1 - 2 см);
- с помощью ультразвуковых приборов (УКБ-1М; УК-10П; УЗП-62 и др.) в соответствии с указаниями РТУ УССР 92-62.
Глубина трещины определяется по разности времени прохождения ультразвуковых импульсов в МКС на длине базы

с трещиной и без трещины по формуле

(3)
где

,

- время прохождения ультразвука соответственно на участке с трещиной и без трещины.
3. ОПРЕДЕЛЕНИЕ ПРОЧНОСТИ И ФИЗИКО-МЕХАНИЧЕСКИХ
ХАРАКТЕРИСТИК МАТЕРИАЛОВ
Прочность материалов
3.1. Прочность каменных, бетонных и железобетонных конструкций (стен, фундаментов, каркасов, перекрытий и т.п.) может определяться неразрушающими и разрушающими методами.
3.2. Неразрушающие методы позволяют определять прочность конструкций без ослабления сечения и снижения несущей способности при отборе образцов, кернов или проб материалов. К неразрушающим методам относятся механические (ударные, отрыва, скалывания) и ультразвуковые способы.
3.3. Ударно-механический способ используется для определения прочности материалов, обладающих пластическими свойствами (бетоны, растворы, силикатные материалы и т.п.).
3.4. Ультразвуковой способ используется для определения прочности хрупких и нехрупких материалов в соответствии с требованиями ГОСТ 24732-80 (бетоны) и ГОСТ 17624-78 (силикатные камни). Оценка прочности конструкций производится по скорости распространения ультразвука в материале образца с помощью ультразвуковых приборов типа УКБ-1М, УК-10П, "Бетон-ЗМ" и др.
3.5. При разрушающих методах физико-механические свойства материалов (прочность, плотность, влажность и т.п.) стен, фундаментов и перекрытий определяется испытанием образцов и проб, взятых непосредственно из тела обследуемой конструкции или близлежащих участков, если имеются доказательства идентичности применяемых на этих участках материалов.
3.6. Отбор кирпича, камней и раствора из стен и фундаментов и образцов бетона из стеновых панелей и плит перекрытий производится из ненесущих (под окнами, в проемах) или слабо нагруженных элементов, или конструкций, подлежащих разборке и демонтажу.
3.7. Для оценки прочности кирпича, камней правильной формы и раствора из кладки стен и фундаментов отбираются целые, неповрежденные кирпичи или камни и пластинки раствора из горизонтальных швов.
3.8. Для определения прочности бетона и природных камней неправильной формы (бута) из фрагментов бетона или камней выпиливаются кубики с размером ребра 40 - 200 мм или высверливаются цилиндры (керны) диаметром 40 - 150 мм и длиной, превышающей диаметр на 10 - 20 мм.
3.9. Отбор проб и образцов (кернов) из несущих стен, столбов и простенков производится при условии, что ослабление сечения и несущей способности рассматриваемой конструкции не превысит при этом допустимой величины.
3.10. Отбор проб для определения влажности, плотности и физико-химических характеристик материалов производится ударным способом с помощью зубил, стальных шлямбуров с внутренним диаметром 10 - 20 мм или высверливанием кернов электродрелью со специальными полыми насадками.
3.11. Прочность (марка) полнотелого и пустотелого глиняного обыкновенного, силикатного и трепельного кирпича определяется разрушающим способом по
ГОСТ 8462-85 как средний результат испытаний при сжатии пяти образцов "двоек" из двух целых или их половинок, умноженный на коэффициент 1,2, и пяти образцов на изгиб (всего 10 образцов). Для испытания на сжатие керамических, силикатных, бетонных и природных камней правильной формы опытные образцы изготавливаются из одного камня или одной его половинки.
3.12. Прочность (марка) природных камней правильной и неправильной формы, а также мелких и крупных блоков из тяжелого, силикатного, ячеистого бетонов и бетонов на пористых заполнителях допускается определять путем испытания на сжатие образцов-кубов или цилиндров, выпиленных или высверленных из камней, целых изделий или монолита. Предел прочности природных камней и мелких и крупных блоков из указанных бетонов вычисляется умножением результатов испытаний образцов-кубов или цилиндров на масштабные коэффициенты, указанные в табл. 1.
Таблица 1
Размер ребра куба или диаметр d и высота h = d, мм | Коэффициент для |
кубов | цилиндров |
200 | 1,05 | - |
150 | 1,0 | 1,05 |
100 | 0,95 | 1,02 |
70 | 0,85 | 0,91 |
40 - 50 | 0,75 | 0,81 |
Примечание. Коэффициенты табл. 1 могут использоваться при определении предела прочности обыкновенного глиняного и силикатного кирпича по данным испытаний кубиков и цилиндров с высотой ребра или диаметром 40 - 60 мм.
| | ИС МЕГАНОРМ: примечание. Взамен СН 290-74 с 15 июля 1998 года введен в действие СП 82-101-98 (Письмо Госстроя РФ от 17.06.1998 N АБ-20-218/12). | |
3.13. Прочность (марка) раствора кладки при сжатии взятого из швов, наиболее характерных участков стен, определяется в соответствии с требованиями
ГОСТ 5802-86 и СН 290-74 путем испытания на сжатие кубов с ребрами 2 - 4 см, изготовленных из двух пластинок раствора, взятых из горизонтальных швов кладки или стыков крупнопанельных конструкций и склеенных и выровненных по контактным поверхностям гипсовым раствором толщиной 1 - 2 мм.
Испытание кубов из отвердевшего раствора производится через сутки после изготовления, а из оттаявшего раствора через 2 - 3 ч. Марка раствора определяется как средний результат пяти испытаний, умноженный на коэффициенты (табл. 2).
Таблица 2
Вид раствора | Размер ребра куба, см |
2 | 3 | 4 |
Коэффициент |
Летний | 0,56 | 0,68 | 0,8 |
Зимний, отвердевший после оттаивания | 0,46 | 0,65 | 0,75 |
3.14. Прочность раствора по длине и высоте стен, столбов, простенков может сильно изменяться. В связи с этим отбор образцов раствора из швов кладки рекомендуется производить после предварительной приближенной оценки прочности (марки) раствора с помощью лезвия ножа или другого режущего инструмента. Приближенная оценка производится по характерным признакам повреждения растворного шва при "строгающем" движении острия ножа по поверхности шва
(табл. 3).
3.15. Несущая способность кладки определяется по наименьшей прочности кирпича и раствора, если высота слоя кладки со слабым раствором составляет более трех рядов кирпича или камней.
Марка раствора (приближенно) | Характерные признаки повреждения раствора шва при испытании лезвием ножа |
0 - 2 | Раствор легко рыхлится ножом, высыпается, выдувается |
4 - 10 | Раствор легко режется ножом |
25 | Раствор режется с трудом, крошится |
50 | Раствор крошится, но не режется |
100 и более | На поверхности шва при движении лезвия ножа остается светлый или темный след |
Плотность, влажность, температура,
влагопоглощение и морозостойкость материалов
| | ИС МЕГАНОРМ: примечание. В официальном тексте документа, видимо, допущена опечатка: имеется в виду ГОСТ 6427-75, а не ГОСТ 6427-27. Взамен ГОСТ 6427-75 Постановлением Госстроя СССР от 12.02.1991 N 5 с 1 июля 1991 года введен в действие ГОСТ 7025-91. | |
| | ИС МЕГАНОРМ: примечание. Взамен ГОСТ 17177.3-81 Постановлением Госстроя СССР от 29.12.1986 N 72 с 1 июля 1987 года введен в действие ГОСТ 17177-87. | |
3.16. Плотность бетонов, каменных кладок, облицовок и теплоизоляционных материалов определяется взвешиванием образцов (кубов, цилиндров, пластин), отобранных непосредственно из тела конструкций и высушенных до постоянного веса. Плотность определяется в соответствии с требованиями ГОСТ 6427-75 и
ГОСТ 12730.1-78 (бетоны); ГОСТ 6427-27 (стеновые материалы и облицовки) и ГОСТ 17177.3-81 (теплоизоляция). Определение плотности бетонов неразрушающим радиоизотопным методом (плотномер РПП-1) производится по ГОСТ 17623-78.
| | ИС МЕГАНОРМ: примечание. Взамен ГОСТ 17177.4-81 Постановлением Госстроя СССР от 29.12.1986 N 72 с 1 июля 1987 года введен в действие ГОСТ 17177-87. | |
3.17. Влажность материалов определяется в соответствии с
ГОСТ 12730.2-78 и ГОСТ 17177.4-81 взвешиванием проб материалов, отобранных из тела конструкций с помощью шлямбуров, высверливания кернов или вырезанием образцов из тела конструкции. Влажность материалов определяется как разность весов образцов (навесок) в момент отбора и после сушки до постоянного веса в сушильном шкафу. Распределение влажности по толщине однослойных и многослойных конструкций (стен, перекрытий и т.п.) определяется путем отбора проб через 5 - 12 см, но не менее, чем в 5 точках и обязательно на контактах слоев из различных материалов.
3.18. Распределение температуры по толщине конструкций определяется с помощью термопар, термощупов самопишущих потенциометров типа ЭПП, ПСР и др. или глубинных ртутных термометров с удлиненной ножкой.
| | ИС МЕГАНОРМ: примечание. Взамен ГОСТ 7025-78 Постановлением Госстроя СССР от 12.02.1991 N 5 с 1 июля 1991 года введен в действие ГОСТ 7025-91. | |
3.19. Влагопоглощение и морозостойкость материалов стен и облицовок определяется в соответствии с требованиями ГОСТ 7025-78.
Определение толщины защитного слоя, наличия,
расположения и диаметра арматуры и металлических
элементов в железобетонных и каменных конструкциях
| | ИС МЕГАНОРМ: примечание. Взамен ГОСТ 22904-78 с 1 января 1995 года Межгосударственной научно-технической комиссией по стандартизации и техническому нормированию в строительстве (МНТКС) 10 ноября 1993 года принят ГОСТ 22904-93. | |
3.20. При неразрушающем способе определения количества стержней, положения, диаметра арматуры, толщины защитного слоя бетона определяются с помощью электромагнитных (ИСМ, ИМП, ИПА, ИЗС-2, ИЗС-10Н), индукционных (МИ-1, МИП-10, МТ-20Н) и радиометрических приборов в соответствии с указаниями ГОСТ 22904-78 и
ГОСТ 17625-83.
3.21. При разрушающем способе толщина защитного слоя бетона, количество стержней, положение, диаметр и состояние арматуры определяются путем обнажения арматуры в виде поперечных штраб (борозд), вырубаемых в бетоне шириной 5 - 10 см. Для изгибаемых элементов обнажение арматуры выполняется у опор и в середине пролета. Диаметр арматуры измеряется штангенциркулем после очистки ее от наслоений бетона и ржавчины.
3.22. Степень коррозии арматуры устанавливается измерением штангенциркулем диаметра неповрежденного сечения после удаления продуктов коррозии. При необходимости производится отбор (вырезание) образцов арматуры для проведения прочностных и металлографических испытаний стали.
4. ОЦЕНКА ТЕХНИЧЕСКОГО СОСТОЯНИЯ
КОНСТРУКЦИЙ ЗДАНИЙ И СООРУЖЕНИЙ
4.1. Техническое состояние конструкций зданий и сооружений оценивается по несущей способности (предельные состояния первой группы) с учетом износа, трещин, агрессивности среды и т.п. и по пригодности к нормальной эксплуатации (предельные состояния второй группы), исключающие возможность появления или недопустимого раскрытия трещин и перемещений (прогибов, поворотов, перекосов), промерзания, водо- и воздухопроницаемости, звукопроводности и т.п.
Оценки по несущей способности
4.2. Оценка технического состояния каменных, крупноблочных и крупнопанельных конструкций по прочности является основным видом оценки. Несущая способность армированных и неармированных каменных и крупноблочных конструкций определяется в соответствии с указаниями главы СНиП по проектированию каменных и армокаменных конструкций с использованием данных обследований: фактической прочности камня, бетона, раствора, предела текучести арматуры и стальных элементов (балок, затяжек, анкерных устройств, закладных деталей) и т.п. При этом должны учитываться факторы, снижающие несущую способность конструкций:
- наличие трещин и дефектов;
- уменьшение расчетного сечения конструкций в результате механических повреждений, агрессивных и динамических воздействий, размораживания, пожара, эрозии и коррозии, устройства штраб и отверстий;
- эксцентриситеты, связанные с отклонением стен, столбов, колонн и перегородок от вертикали и выпучиванием из плоскости;
- нарушение конструктивной связи между стенами, колоннами и перекрытиями при образовании трещин, разрывах связей;
- смещение балок, перемычек, плит на опорах.
4.3. Фактическая несущая способность обследуемой конструкции Ф с учетом указанных факторов вычисляется по формуле
где N - расчетная несущая способность конструкций, определяется в соответствии с указаниями СНиП без учета понижающих факторов подстановкой в соответствующие расчетные формулы фактических значений прочности (марок) материалов, площади сечения кладки, бетона, арматуры и т.п.;
Ктс - коэффициент технического состояния конструкций, учитывающий снижение несущей способности каменных конструкций при наличии дефектов, трещин, повреждений, при увлажнении материалов и т.п., принимается равным:
- при наличии дефектов производства работ (отсутствие перевязки, пустошовка, большая толщина растворных швов) по
табл. 4;
- для стен, столбов, простенков при наличии вертикальных трещин, возникающих вследствие перегрузки конструкций постоянными, временными и особыми (случайными) нагрузками
(рис. 9), исключая трещины, вызванные действием горизонтальных сил (температурой, усадкой, осадкой фундаментов и т.п.), принимается по
табл. 5;
- для кладки опор ферм, балок, перемычек, плит при наличии местных повреждений (трещин, сколов, раздробления,
рис. 10), возникающих при действии вертикальных и горизонтальных сил, принимается по
табл. 6;
- для стен, столбов, простенков из красного или силикатного кирпича при огневом воздействии при пожаре принимается по
табл. 7;
- для увлажненной и насыщенной водой кладки из красного и силикатного кирпича и камней - Ктс = 0,85; из природных камней правильной формы из известняка и песчаника - Ктс = 0,8.
Вид дефекта | Ктс |
Отсутствие перевязки рядов кладки (тычковых рядов, арматурных сеток, каркасов): | |
в 5 - 6 рядах (40 - 45 см) | 1,0 |
в 8 - 9 рядах (60 - 65 см) | 0,9 |
в 10 - 11 рядах (75 - 80 см) | 0,75 |
Отсутствие заполнения раствором вертикальных швов (пустошовка) | 0,9 |
При толщине горизонтальных швов более 2 см (3 - 4 шва на 1 м высоты кладки): | |
при марке раствора шва 75 и более | 1,0 |
то же, 25 - 50 | 0,9 |
то же, менее 25 | 0,8 |
Рис. 9. Степень повреждения вертикальными трещинами
каменных и армокаменных конструкций
а - отдельные трещины длиной 15 - 18 см;
б - трещины через 25 - 30 см длиной 30 - 35 см;
в - трещины через 20 - 25 см длиной 60 - 65 см;
г - трещины через 15 - 20 см длиной более 65 см
Характер повреждения кладки стен, столбов и простенков | Ктс для кладки |
неармированной | армированной |
Трещины в отдельных камнях | 1 | 1 |
Волосные трещины, пересекающие не более двух рядов кладки, длиной 15 - 18 см | 0,9 | 1 |
То же, при пересечении не более четырех рядов кладки длиной до 30 - 35 см при количестве трещин не более трех на 1 п.м ширины (толщины) стены, столба или простенка | 0,75 | 0,9 |
То же, при пересечении не более восьми рядов кладки, длиной до 60 - 65 см при количестве трещин не более четырех на 1 п.м ширины (толщины) стены, столба и простенка | 0,5 | 0,7 |
То же, при пересечении более восьми рядов кладки, длиной более 60 - 65 см (расслоение кладки) при количестве трещин более четырех на 1 п.м ширины стен, столбов и простенков | 0 | 0,5 |
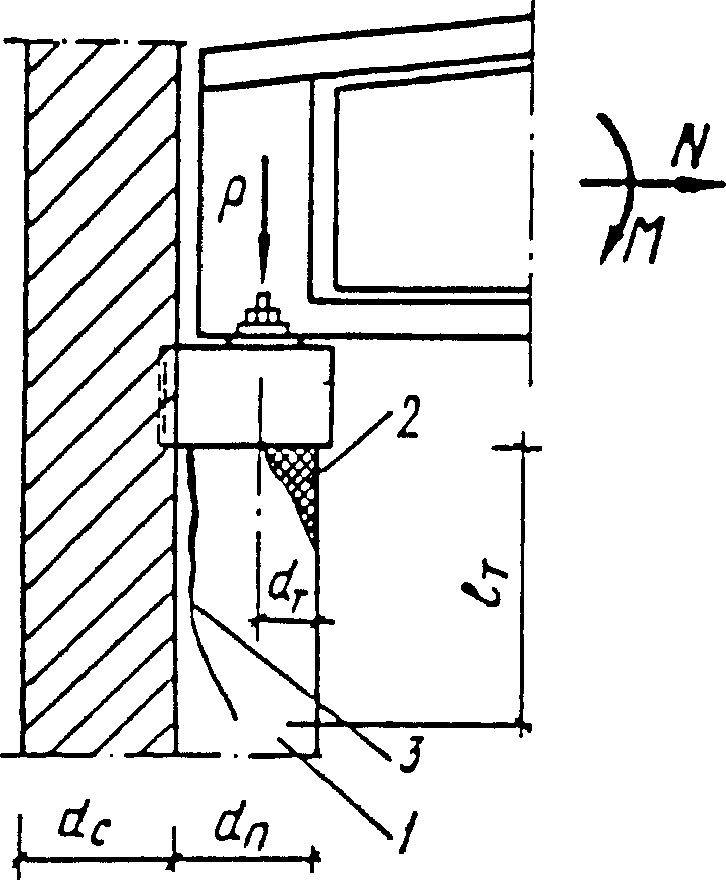
Рис. 10. Характерные случаи повреждения опорных участков
пилястр каменных стен при опирании на них ферм и балок
1 - пилястра; 2 - краевое раздробление
и сколы кладки под опорой; 3 - вертикальные трещины
Характер повреждения кладки опор | Ктс для кладки опор |
неармированной | армированной |
Местное (краевое) повреждение кладки на глубину до 2 см (трещины, сколы, раздробление) или образование вертикальных трещин по концам балок, ферм и перемычек или их опорных подушек длиной до 15 - 18 см | 0,75 | 0,9 |
То же, при длине трещин до 30 - 35 см | 0,5 | 0,75 |
Краевое повреждение кладки на глубину более 2 см при образовании по концам балок, ферм и перемычек вертикальных и косых трещин длиной более 35 см | 0 | 0,5 |
Глубина поврежденной кладки (без учета штукатурки), см | Ктс для |
стен и простенков толщиной 38 см и более | столбов при размере сечения 38 см и более |
при одностороннем нагреве | при двустороннем нагреве |
до 0,5 | 1 | 0,95 | 0,9 |
до 2 | 0,95 | 0,9 | 0,85 |
до 5 - 6 | 0,9 | 0,8 | 0,7 |
4.4. При определении несущей способности стен и простенков, имеющих вертикальные трещины, возникшие в результате действия горизонтальных растягивающих сил (температурных, осадочных, усадке и т.п.), коэффициент К
тс в
формуле (4) принимается равным единице. При этом следует учитывать ослабление трещинами расчетного сечения простенков и увеличения продольного изгиба отдельных элементов, выделенных вертикальными трещинами.
4.5. При наличии трещин в местах пересечения стен или при разрыве поперечных связей между стенами, колоннами и перекрытиями несущая способность и устойчивость стен, столбов, колонн и пилонов при действии вертикальных и горизонтальных нагрузок определяется с учетом фактической свободной высоты стен и столбов между сохранившимися точками закрепления (связями) стен или столбов по вертикали.
4.6. При смещении на опорах прогонов, балок, плит перекрытий и покрытий производится проверка несущей способности стен, столбов и пилястр на местное смятие и внецентренное сжатие по фактической величине нагрузки, эксцентриситета и площади опирания на кладку.
4.7. При местных просадках фундаментов или разрушении одного или нескольких несущих простенков нижнего этажа оставшаяся часть стены может работать по схеме свода. В этом случае несущая способность сохранившихся простенков или участков стены должна определяться с учетом их перегрузки от веса вышележащих над сводом стен и перекрытий, а также с учетом горизонтального распора, который при этом возникает.
4.8. Расчетная площадь сечения конструкций, наружные поверхности которых оказались поврежденными или разрушенными в результате размораживания, коррозии или механического, или огневого воздействия определяется после расчистки и удаления ручным инструментом поврежденных слоев.
4.9. Для целых, неповрежденных трещинами сечений, конструкции здания подлежат обязательному усилению, если фактическая несущая способность Ф, вычисленная по
формуле (4) с коэффициентом допустимой перегрузки
nпг, недостаточна для восприятия фактической или предполагаемой проектом реконструкции нагрузки
F, т.е. при условии, если
F >= Фnпг, (5)
где nпг - коэффициент допустимой перегрузки принимается равным:
- для каменных и бетонных конструкций - 1,15;
- для железобетонных конструкций - 1,1.
Для конструкций, поврежденных трещинами, применение коэффициента nпг не допускается.
4.10. Состояние, степень повреждения и необходимость конструктивного усиления каменных, крупноблочных и крупнопанельных конструкций определяются в зависимости от величины снижения (в процентах) несущей способности при наличии дефектов, трещин и повреждений. Основные градации состояний, степень повреждений конструкций и рекомендации по их усилению приводятся в табл. 8.
Таблица 8
Состояние и степень повреждения (в скобках) | Снижение несущей способности в % | Усиление конструкций |
удовлетворительное (0) | 0 - 5 | не требуется |
слабое (I) | до 15 | требуется при наличии трещин |
среднее (II) | до 25 | требуется |
сильное (III) | до 50 | требуется |
аварийное (IV) | свыше 50 | возможно при технико-экономическом обосновании или разборка |
Примечание. При снижении несущей способности конструкций на 15% и более вследствие повреждения сечения трещинами, сколами, раздроблением и т.п., усиление конструкций во всех случаях является обязательным независимо от величины действующей нагрузки. При отсутствии указанных повреждений усиление конструкций требуется в случаях, когда величина действующей нагрузки превосходит их фактическую несущую способность (с учетом пониженной прочности (марки материалов и т.п.).
5. ТЕХНИКА БЕЗОПАСНОСТИ ПРИ ОБСЛЕДОВАНИИ
5.1. Лица, проводящие обследование конструкций зданий, должны соблюдать правила техники безопасности ведения работ. Для этого перед началом работ они должны пройти инструктаж по технике безопасности, знать наиболее опасные места, угрожающие обрушением, а также насыщенные действующим оборудованием, транспортными средствами, токопроводящими линиями и оборудованием, находящимися под напряжением, зоны интенсивного выделения тепла, пара, газов.
5.2. Инструктаж выполняется лицами, ответственными за технику безопасности предприятия или цеха и оформляется документально. Ответственность за безопасное ведение работ несет руководитель организации, выполняющей обследование.
5.3. Перед обследованием конструкций намечается план безопасного ведения работ, как с временным прекращением эксплуатации, так и без прекращения эксплуатации здания или отдельных его участков. План должен предусматривать мероприятия, исключающие возможность внезапного обрушения конструкций, поражения людей газом, током, паром, огнем, наезда транспорта и т.п.
5.4. Лица, выполняющие обследование, должны обеспечиваться спецодеждой и защитными средствами (касками, очками, накидками, резиновыми сапогами, перчатками, противогазами, респираторами и т.п.) в соответствии с действующими нормами, а при работе на высоте более 1,5 м предохранительными поясами. Лица, не имеющие необходимой для данных условий спецодежды или защитных средств, к работе не допускаются.
5.5. Измерения деформаций конструкций (прогибов, наклонов, выпучивания) в опасных и труднодоступных местах, а также при длительном наблюдении рекомендуется выполнять с помощью дистанционных приборов, позволяющих вести измерения (наблюдения) на расстоянии, без непосредственного контакта с обследуемой конструкцией.
5.6. Места измерения должны иметь хорошее освещение и, в случае необходимости, ограждение, исключающее возможность падения людей с высоты или контакта их с действующим оборудованием и коммуникациями.
5.7. Применяемые для измерения лестницы, временные помосты и т.п. должны надежно закрепляться к конструкциям зданий. Одновременный подъем и спуск по лестнице двух и более человек не допускается.
5.8. При обследовании конструкций с мостового крана не разрешается находиться на мосту крана при его движении.
5.9. Работы в зоне источников тока или оборудования, находящегося под напряжением, разрешается производить только после их обесточивания.
5.10. При обследовании конструкций в сильно запыленных или задымленных цехах и помещениях должны использоваться защитные очки, накидки и респираторы, а при наличии агрессивных или токсичных газов используются противогазы.
5.11. Измерительные приборы, включаемые в сеть, должны быть заземлены. Места подключения приборов в сеть согласовываются с руководством обследуемого объекта.
6. ПОВРЕЖДЕНИЯ КОНСТРУКЦИЙ КАМЕННЫХ, КРУПНОБЛОЧНЫХ
И КРУПНОПАНЕЛЬНЫХ ЗДАНИЙ ПРИ РАЗЛИЧНЫХ ВИДАХ ВОЗДЕЙСТВИЙ
Характерные случаи повреждений конструкций каменных, крупноблочных и крупнопанельных зданий (стен, столбов, пилястр, перемычек, сводов, панелей, блоков, перекрытий, фундаментов и т.п.) при различных видах воздействий приводятся в
табл. 9 и на
рис. 9 -
20.
Рассмотрены следующие виды нагрузок и воздействий:
- вертикальные и горизонтальные нагрузки (постоянные, временные и особые);
- динамические воздействия (вибрация, импульсные и ударные);
- температурно-влажностные воздействия;
- неравномерные осадки фундаментов;
- огневое воздействие при пожаре;
- эрозия и коррозия конструкций при физическом и химическом действии окружающей среды.
Для рассмотренных случаев повреждений в
табл. 9 приводятся указания по расчетной оценке несущей способности поврежденных конструкций. На
рис. 9 -
20 помимо повреждений конструкций (трещины, сколы, раздробления) показаны также эпюры нормальных и касательных напряжений, которые вызывают эти повреждения, а также направление перемещений конструкций (сдвиги, повороты, осевые перемещения) при действии вертикальных и горизонтальных сил и изгибающих моментов.
Рис. 11. Напряженное состояние

и повреждения кладки
опор перемычек и балок при изгибе

и внецентренном сжатии (e)
а - при заделке в кладку; б - то же, при опирании
1 - трещина; 2 - раздробление кладки
Рис. 12. Образование трещин сдвига (среза)

в стенах
а - в местах сопряжения разнонагруженных
(разнодеформируемых) стен;
б - в местах нависания кладки


- касательные;

- нормальные напряжения
Рис. 13. Напряженное состояние

и повреждения
элементов каменных, блочных и панельных стен
при действии горизонтальных сил N
(температура, усадка и т.п.)
а, б - простенков (блоков) при частичном (a < b)
и сплошном (a = b) опирании перемычек; в - пилястр;
г - стеновых панелей при платформенном опирании
на перекрытие; д - то же, при растяжении
и сдвиге в плоскости стены
1 - простенок (блок); 2 - пилястра; 3 - панель (блок);
4 - перемычка; 5 - балка; 6 - плита перекрытия;
7 - трещина; 8 - скол
Рис. 14. Отклонение от вертикали (а)
и выпучивание стен из плоскости (б)
Рис. 15. Деформации и повреждения каменных
конструкций при действии горизонтальных сил
а - подпорная стенка; б - фундамент; в - каменный свод
Рис. 16. Напряженное состояние (
nt), деформации (
ut)
и развитие трещин в стенах каменных зданий
при температурно-влажностных воздействиях
а - при отсутствии продольного армирования стен (поясов);
б - то же, при армировании на длине lак (заштриховано)
Рис. 17. Деформации и развитие трещин в стенах зданий
при различных формах просадок грунта
а - на длине здания Z выпуклостью вверх; б - то же, вниз;
в - при местной просадке грунта на длине lo <= H
Рис. 18. Деформации и развитие трещин в стенах зданий
а - при отрытии траншей или котлована вблизи здания
при

; б - при пристройке нового здания
большей высоты (H2 > H1)
1 - старое здание; 2 - новое здание; 3 - осадочный шов
Рис. 19. Деформации и развитие трещин
в поперечных стенах здания
а - при просадке фундамента средней стены;
б - при осадках фундаментов стен вследствие понижения
уровня грунтовых вод при дренаже
1 - уровень грунтовых вод до дренажа;
2 - то же, после дренажа; 3 - дренажная труба
Рис. 20. Повреждение кирпичных стен
при динамических воздействиях
1 - стена; 2 - колонна; 3 - перемычка;
4 - источник вибрации; 5 - трещина;
6 - разрушение кладки опор; 7 - расслоение кладки
Конструкции | Повреждения и дефекты | Причины повреждений и дефектов | Оценка несущей способности |
1 | 2 | 3 | 4 |
Вертикальные нагрузки (постоянные, временные, особые) |
Стены, простенки, столбы, пилястры, фундаменты каменных зданий | Вертикальные трещины 0,1 - 0,5 мм, пересекающие два и более рядов кладки, при числе трещин две и более на 1 м ширины или толщины элемента (рис. 9) | Перегрузка конструкций вследствие: - недостаточной прочности кирпича, камня и раствора; - снижения прочности кладки при увлажнении, размораживании, эрозии и коррозии; - дефектов при строительстве и проектировании | По нормам и формуле (4) с учетом фактической прочности материалов, размеров и коэффициентов К тс по табл. 5 |
Опоры перемычек, балок, ферм на каменные стены, столбы, пилястры | Трещины, раздробления, сколы кладки под опорами балок при внецентренном сжатии или повороте концов балок при прогибе ( рис. 10, 11) | Местное повреждение кладки: - при значительной перегрузке опор вертикальной нагрузкой; - при большом эксцентриситете опорной реакции (внецентренное сжатие); - при повороте концов балок на опорах (заделанных или свободно опертых); - при прогибе; - при смещении балок и плит на опорах | То же, с учетом коэффициентов К тс по табл. 6 |
Сопряжение продольных, поперечных несущих стен: каменных, крупноблочных, крупнопанельных | Вертикальные и наклонные трещины сдвига (среза) в верхних этажах многоэтажных зданий с раскрытием до 5 - 10 мм в местах сопряжения разнонагруженных стен из однородных материалов или стен из разных материалов с разными деформативными свойствами ( рис. 12, а) | - Разная величина вертикальных перемещений (опрессовки) стен из однородных материалов и из материалов с различными деформативными свойствами при длительном действии нагрузки (влияние ползучести); - то же, при колебаниях температуры, влажности и солнечной радиации (для наружных стен); | По нормам с учетом фактических размеров высоты и деформативных свойств материалов стен |
То же, пилястр со стеной | Вертикальные трещины сдвига и отрыва от продольной стены в верхней части пилястры ( рис. 13, в) | - температурные деформации балок, ферм |
Слоистые стены, перегородки каменных, крупноблочных, крупнопанельных зданий | Отслоение облицовки: - из кирпича, керамических камней и плит ( рис. 12, б); - керамических и стеклянных плиток; - фактуры из цементного раствора и бетона. Продольное расслоение кладки | Различная деформативность слоев кладки, облицовки и многослойных панелей при длительном действии нагрузки вследствие различия их физико-механических свойств и ползучести (недостаточная прочность раствора) | По нормам с учетом фактической прочности материалов и площади сечения неповрежденной части кладки (за вычетом отслоения) |
Стены, столбы, перегородки каменных зданий | Выпучивание стен и столбов, перегородок из плоскости (рис. 14) | - Значительные эксцентриситеты вертикальных нагрузок; - большая гибкость стен, столбов и перегородок; - дефекты вследствие плохого качества строительных работ | По нормам с учетом фактической гибкости конструкций и эксцентриситетов вертикальных сил |
Нависание и уступы каменной кладки и облицовки из камней правильной формы над цоколем и в местах устройства горизонтальных штраб | Вертикальные продольные трещины (среза) наружного слоя в местах нависания (уступа) кладки или облицовки ( рис. 12, б); - отслоение, выпучивание и обрушение наружных слоев кладки и облицовки; - местное раздробление отдельных камней в местах нависания | Местное смятие кладки в местах уступов или ослабления кладки горизонтальными штрабами; появление скалывающих напряжений на границе между обжатым и необжатым (нависающим) сечением кладки | По нормам с учетом разной деформативности обжатой и необжатой кладки |
Перемычки каменные рядовые, клинчатые, арочные | V-образное раскрытие трещин в пролете арочных и клинчатых перемычек с выпадением отдельных камней: - отслоение нижних рядов перемычек | Перегрузка вертикальной нагрузкой; - горизонтальные и вертикальные перемещения опор сводов, арок | По нормам с учетом фактической прочности материалов, сечения и геометрии перемычек, горизонтальных и вертикальных перемещениях опор |
Своды, арки каменные | V-образное раскрытие трещин в середине и четвертях пролета с раскрытием понизу до 5 - 10 мм; - раздробление отдельных камней в замке, четвертях пролета и на опорах; - выпадение отдельных камней ( рис. 15, в), продольные, поперечные и наклонные трещины по отношению к образующей свода с раскрытием до 1 - 2 мм | То же | По нормам с учетом фактической прочности материалов, сечения и геометрии сводов, арок, горизонтальных и вертикальных перемещений опор |
Горизонтальные нагрузки (постоянные, временные, особые) |
Стены, перегородки из камней и блоков, подпорные стены, стены подвалов | V-образные горизонтальные трещины в растянутой и раздробление кладки в сжатой зоне сечения при внецентренном сжатии; - наклоны, выпучивание и опрокидывание стен и перегородок по направлению действия горизонтальных сил (рис. 15); - сдвиги кладки по горизонтальным швам или косой штрабе; - смещение балок, плит, ферм на опорах; - местное повреждение кладки в местах заделки затяжек, анкеров, распорок | Перегрузка стен и перегородок при совместном действии вертикальных и горизонтальных нагрузок (распор, давление грунта и т.п.); - недостаточная гибкость и устойчивость стен при опрокидывании; - недостаточное закрепление перегородок по контуру; - недостаточное сцепление камней (блоков) с раствором; - отсутствие или разрыв анкерных связей балок и перекрытий; - недостаточная заделка в кладку концов затяжек или анкеров | По нормам и формуле (4) с учетом фактической прочности материалов, сечения элементов и коэффициентов К тс по табл. 5, 6 |
Температурно-влажностные воздействия и усадка |
Стены, перекрытия каменных, крупнопанельных и крупноблочных зданий | Вертикальные трещины 0,1 - 3 мм в кладке, блоках и перемычках панелей нижних этажей продольных стен: - по концам армированных перемычек, балок, плит, поясов ( рис. 13 а, б и 16); - разрыв стен в середине здания с образованием сквозных трещин с раскрытием до 10 мм и более; - сколы опорных поверхностей платформенных стыков несущих панельных стен ( рис. 13, г); - разрыв или большие деформации продольных связей панелей | Продольные температурно-влажностные деформации и усилия в стенах и перекрытиях зданий, возникающие при годовых колебаниях средних температур сечения | В соответствии с рекомендациями [11], [12] |
Косые трещины в углах проемов крайних стеновых панелей нижних этажей ( рис. 13, д) | Перекос панелей в плоскости стены вследствие разных по высоте температурных деформаций перекрытий этажей | То же |
Раскрытие вертикальных и горизонтальных стыков и трещин наружных крупнопанельных и крупноблочных стен в отапливаемый период | Температурные деформации стеновых панелей и блоков из плоскости стены при наличии перепада температуры по толщине | " |
Стеновые панели, блоки, облицовка и штукатурка стен | Сетчатые (мозаичные) трещины 0,1 - 0,2 мм, глубиной до 5 - 6 см на поверхностях панелей и блоков | Неравномерное по толщине остывание и высыхание панелей и блоков при изготовлении, эксплуатации и при периодическом высокотемпературном технологическом или радиационном нагреве поверхностей | |
- Отслоение облицовки, штукатурки; - шелушение и растрескивание поверхности | Периодический высокотемпературный нагрев (горячие цеха) в сочетании с увлажнением | |
Неравномерные осадки и местные просадки фундаментов |
Продольные стены, фундаменты, перегородки, перекрытия каменных, крупнопанельных и крупноблочных зданий | V-образные вертикальные сквозные трещины по высоте здания по сплошным и ослабленным проемами участкам (сечениям) стен и стыкам панелей и блоков с раскрытием вверху до 10 мм и более ( рис. 17, а); в цоколе и фундаментах трещины отсутствуют; - отрыв и смещение на опорах сборных перемычек, балок, плит перекрытий; - трещины по контуру перегородок | Изгиб стен здания как балок на упругом основании (растяжение вверху, сжатие внизу) при неравномерных осадках фундаментов по кривой выпуклостью вверх ( рис. 17, а) | По нормам и формулам (4) с учетом фактической прочности материалов, сечений |
То же | Вертикальные и наклонные трещины при сдвиге по высоте здания столбов и простенков или сплошных участков, выделенных трещинами ( рис. 17, б): - трещины по телу и контуру стеновых панелей и перегородок; - косые трещины в перемычках между проемами; - трещины и сколы в железобетонных перемычках и кладки в местах опирания на стены | Вертикальное смещение (сдвиг) несущих простенков и столбов или сплошных участков стен, выделенных вертикальными или наклонными трещинами, перекосы стеновых панелей и перегородок при неравномерных осадках фундаментов по кривой выпуклостью вниз ( рис. 17, б) | То же |
| Сквозные трещины параболического очертания ( рис. 17, в) с раскрытием до 10 мм и более: - отрыв и смещение простенков и столбов нижних этажей; - трещины в перемычках; - трещины по телу и контуру стеновых панелей, блоков и перегородок; | Местный отрыв и осадка нижней части продольных стен при местной просадке фундаментов с образованием в стенах разгружающих арок и сводов параболического очертания; | То же |
То же | - вертикальные трещины 0,1 - 0,5 мм в простенках, расположенных вблизи места просадки фундаментов | - Значительная перегрузка простенков вблизи просадки вследствие перераспределения вертикальных нагрузок от веса стен и перекрытий, лежащих над разгружающими сводами и арками ( рис. 17, в, заштриховано) | |
- вертикальные и косые трещины в стенах и межоконных перемычках торцовой части зданий (рис. 18); - наклоны и выпучивание стен из плоскости; - V-образные горизонтальные трещины | Осадки фундаментов торцов вследствие смещения грунта при близком расположении глубоких траншей и котлованов; дренажной сети; - дополнительная опрессовка грунтов торцовой части от веса пристраиваемого здания | - |
То же, поперечные стены, фундаменты, перегородки, перекрытия | Наклонные трещины в каменных стенах, по телу и контуру стеновых панелей и перегородок с раскрытием до 10 мм (рис. 19)- разрыв горизонтальных связей стеновых панелей; - наклоны перекрытий | Неравномерные осадки фундаментов продольных стен и местные просадки фундаментов поперечных стен | - |
Динамические воздействия |
Стены, фундаменты, перегородки, перекрытия каменных зданий | Вертикальные и наклонные трещины в сплошных стенах, в углах и перемычечных поясах проемов | Неравномерные осадки фундаментов вследствие дополнительного уплотнения грунтов при динамических воздействиях (вибрации, ударах) | |
Местное повреждение кладки в углах и под концами балок, сборных перемычек, плит перекрытий | Повышенный уровень колебаний в углах зданий и проемов |
Образование в кладке над проемами наклонных сходящихся трещин (разгружающих сводиков, рис. 20) | Разрушение при вибрации кладки опор и оседание концов балок и перемычек |
Расслоение по швам кладки над перемычками и в местах опирания и заделки в стены подкрановых балок | Нарушение сцепления кирпича с раствором при вибрации и ударах |
Прогрессирующее развитие трещин по длине и высоте в стенах | Колебания стен в местах ослабления кладки трещинами |
То же, крупноблочных, панельных зданий | Трещины по контуру стеновых панелей, блоков и перегородок; - повреждение и разрушение раствора (бетона) замоноличивания вертикальных и горизонтальных стыков (швов) панелей, блоков и перегородок | Повышенный уровень колебаний по ослабленному сечению (в стыках и швах) | |
Огневое действие при пожаре |
Стены, столбы, перегородки, своды каменных, крупноблочных и панельных зданий | Отслоение штукатурки; - шелушение поверхности и бетона; - отслоение лещадок камней и бетона; - сколы углов проемов бетонных панелей; - разрушение и выпучивание перегородок; - уменьшение прочности раствора кладки при нагреве свыше 200 - 250 °C | - Термическое разрушение или повреждение защитных и отделочных слоев, поверхностных слоев кладки и бетона при действии огня во время пожара и воды при пожаротушении; - значительное различие температурных деформаций разнонагретых слоев кладки и бетона (значительные перепады температуры по толщине) | По нормам и формуле (4) с учетом фактической прочности и сечения материалов и коэффициента К ст по табл. 7 |
Уменьшение расчетного сопротивления арматуры и стали при нагреве свыше 150 °C; - прогибы железобетонных и стальных балок, перемычек, ферм | Изменение механических и упругих свойств стали при нагреве |
Эрозия (выветривание) кладки и бетона (физическое действие среды) |
Стены, столбы, своды, перекрытия, фундаменты каменных, крупнопанельных зданий | Структурное разрушение материала конструкций (распучивание с увеличением объема, расслоение, образование лещадок и т.п.) | - Морозное повреждение увлажненной кладки и бетона зимой при переменном замораживании и оттаивании вследствие: - затекания воды внутрь или на поверхности конструкций; - диффузионного увлажнения ограждающих конструкций зданий с влажным и мокрым режимами эксплуатации | |
| Продольное расслоение кладки стен и простенков; - отслоение облицовки и штукатурки | Периодическое затекание воды в кладку с последующим высыханием в теплый период года или замерзанием зимой с образованием линз льда в слоях и под штукатуркой; - накопление и кристаллизация под облицовкой (штукатуркой) солей |
Ослабление (разрыхление) структуры и сечения конструкций текущей и фильтрующей водой | Вымывание растворимых солей (извести, гипса и др.) при фильтрации воды; - размыв неводостойких материалов; - расклинивающее действие воды при периодическом увлажнении и сушке |
Истирание поверхности, выдувание растворных швов (пустошовка) | Абразивное действие песка и пыли при ветре |
Коррозия (химическое и физико-химическое действие среды) |
Стены, столбы, своды, перекрытия, фундаменты | Структурное разрушение материала конструкций (разрыхление с увеличением объема, расслоение, нарушение сплошности) | - Образование в порах и капиллярах конструкций кристаллогидратов хлористых и сернокислых солей с увеличением в объеме до 2 - 2,5 раз (солевая коррозия) | |
Химическое разрушение кладки из глиняного и силикатного кирпича и камней | Образование водорастворимых соединений при действии на кирпич и камни растворов едких щелочей (NaOH, KOH, Mg(OH)2 и др.) и плавиковой кислоты H2F |
Химическое разрушение и вымывание (выщелачивание) раствора, бетона и природных камней (известняк, песчаник) фундаментов, стен подвалов и т.п. | Образование водорастворимых соединений при действии растворов кислот, щелочей и агрессивных вод |
Стеновые панели, блоки, перемычки, балки, плиты перекрытий | Продольные трещины и отслоения кладки и бетона по направлению арматурных стержней или стальных включений; - радиальные трещины в местах заделки в кладку или бетон отдельных стержней, затяжек и т.п. | Местное повреждение трещинами кладки (бетона) в местах расположения стальных включений вследствие увеличения в 4 - 5 раз объема продуктов коррозии (окислов железа) при повышенной влажности или химической агрессивности среды | То же |
1.
Рекомендации по усилению каменных конструкций зданий и сооружений. - М.: Стройиздат, 1984. - 36 с.
2. Руководство по проведению натурных обследований промышленных зданий и сооружений. - М.: ЦНИИпромзданий, 1975. - 102 с.
3. Руководство по проведению натурных обследований строительных металлических конструкций, эксплуатирующихся в агрессивных средах. - М.: Минцветмет СССР, 1979. - 46 с.
4.
Методика определения физического износа гражданских зданий. - М.: МКХ РСФСР, 1970. - 52 с.
5. Методика обследований железобетонных конструкций. - М.: Стройиздат, 1975. - 95 с. - (Научн. тр./НИИЖБ; Вып. 21).
6. Бойко М.Д. Диагностика повреждений и методы восстановления эксплуатационных качеств зданий. - Л.: Стройиздат, 1975. - 334 с.
7. Кутуков В.Н. Реконструкция зданий. - М.: Высшая школа, 1981. - 263 с.
8. Ильин Н.А. Техническая экспертиза зданий, поврежденных пожаром. - М.: Стройиздат, 1983. - 199 с.
9. Физдель А.И. Дефекты в конструкциях и сооружениях и методы их устранения. - М.: Стройиздат, 1978. - 160 с.
10. Современные методы обследования зданий/Н.Г. Смоленская, А.Г. Ройтман, В.Д. Кириллов, Л.А. Дудышкина, Э.Ш. Шифрина. - М.: Стройиздат, 1979. - 148 с.
11. Рекомендации по расчету конструкций крупнопанельных зданий на температурно-влажностные воздействия. - М.: Стройиздат, 1983. - 136 с.
12. Руководство по проектированию каменных и армокаменных конструкций. - М.: Стройиздат, 1974. - 183 с.