Главная // Актуальные документы // ПриказСПРАВКА
Источник публикации
М.: Стандартинформ, 2016
Примечание к документу
Документ
введен в действие с 1 марта 2016 года.
Название документа
"Р 50.2.096-2015. Рекомендации по метрологии. Государственная система обеспечения единства измерений. Метрологические критерии оценки соответствия объекта технического регулирования требованиям технических регламентов и стандартов"
(утв. и введены в действие Приказом Росстандарта от 04.06.2015 N 551-ст)
"Р 50.2.096-2015. Рекомендации по метрологии. Государственная система обеспечения единства измерений. Метрологические критерии оценки соответствия объекта технического регулирования требованиям технических регламентов и стандартов"
(утв. и введены в действие Приказом Росстандарта от 04.06.2015 N 551-ст)
Утверждены и введены в действие
по техническому регулированию
и метрологии
от 4 июня 2015 г. N 551-ст
РЕКОМЕНДАЦИИ ПО МЕТРОЛОГИИ
ГОСУДАРСТВЕННАЯ СИСТЕМА ОБЕСПЕЧЕНИЯ ЕДИНСТВА ИЗМЕРЕНИЙ
МЕТРОЛОГИЧЕСКИЕ КРИТЕРИИ ОЦЕНКИ СООТВЕТСТВИЯ ОБЪЕКТА
ТЕХНИЧЕСКОГО РЕГУЛИРОВАНИЯ ТРЕБОВАНИЯМ ТЕХНИЧЕСКИХ
РЕГЛАМЕНТОВ И СТАНДАРТОВ
State system for ensuring the uniformity
of measurements. Metrological criteria of conformity
assessment of the object of technical regulation
to the requirements of technical regulations and standards
Р 50.2.096-2015
Дата введения
1 марта 2016 года
1 РАЗРАБОТАНЫ Федеральным государственным унитарным предприятием "Всероссийский научно-исследовательский институт метрологической службы" (ФГУП "ВНИИМС")
2 ВНЕСЕНЫ Техническим комитетом по стандартизации ТК 53 "Основные нормы и правила по обеспечению единства измерений"
3 УТВЕРЖДЕНЫ И ВВЕДЕНЫ В ДЕЙСТВИЕ
Приказом Федерального агентства по техническому регулированию и метрологии от 4 июня 2015 г. N 551-ст
4 ВВЕДЕНЫ ВПЕРВЫЕ
Правила применения настоящих рекомендаций установлены в ГОСТ Р 1.0-2012
(раздел 8). Информация об изменениях к настоящим рекомендациям публикуется в ежегодном (по состоянию на 1 января текущего года) информационном указателе "Национальные стандарты", а официальный текст изменений и поправок - в ежемесячном информационном указателе "Национальные стандарты". В случае пересмотра (замены) или отмены настоящих рекомендаций соответствующее уведомление будет опубликовано в ближайшем выпуске ежемесячного информационного указателя "Национальные стандарты". Соответствующая информация, уведомление и тексты размещаются также в информационной системе общего пользования - на официальном сайте Федерального агентства по техническому регулированию и метрологии в сети Интернет (www.gost.ru)
1.1 Настоящие рекомендации распространяются на объекты технического регулирования, для которых установлены (или должны быть установлены) количественные критерии (требования, показатели), подлежащие определению путем измерений, испытаний или контроля и используемые при оценке соответствия указанных объектов.
1.2 Настоящие рекомендации могут быть использованы юридическими лицами и индивидуальными предпринимателями:
- осуществляющими разработку технических регламентов или стандартов, содержащих требования, необходимые для обеспечения соответствия положениям указанных технических регламентов;
- реализующими функции по сертификации продукции или услуг на соответствие требованиям технических регламентов;
- проводящими исследования (испытания) и измерения на соответствие продукции или услуг требованиям технических регламентов.
1.3 На основе положений настоящих рекомендаций могут быть разработаны методические документы, развивающие и конкретизирующие порядок и правила указания количественных критериев (требований), используемых при оценке соответствия объектов технического регулирования; оценки метрологических показателей точности определения количественных характеристик объектов технического регулирования, полученных в процессе испытаний; формирование правил принятия решений о соответствии (несоответствии) количественных характеристик объектов технического регулирования установленным требованиям.
В настоящих рекомендациях использованы нормативные ссылки на следующие документы:
ГОСТ Р 8.563-2009 Государственная система обеспечения единства измерений. Методики (методы) измерений
ГОСТ Р 8.731-2010 Государственная система обеспечения единства измерений. Системы допускового контроля. Основные положения
ГОСТ Р ИСО 5725-1-2002 Точность (правильность и прецизионность) методов и результатов измерений. Часть 1. Основные положения и определения
ГОСТ Р ИСО 10576-1-2006 Статистические методы. Руководство по оценке соответствия установленным требованиям. Часть 1. Общие принципы
ГОСТ Р 54500.3-2011/Руководство ИСО/МЭК 98-3:2008 Неопределенность измерения. Часть 3. Руководство по выражению неопределенности измерения
ГОСТ 16504-81 Система государственных испытаний продукции. Испытания и контроль качества продукции. Основные термины и определения
ГОСТ 25346-2013 Основные нормы взаимозаменяемости. Характеристики изделий геометрические. Система допусков на линейные размеры. Основные положения, допуски, отклонения и посадки
РМГ 29-2013 Государственная система обеспечения единства измерений. Метрология. Основные термины и определения
ПМГ 96-2009 Государственная система обеспечения единства измерений. Результаты и характеристики качества измерений. Формы представления
Примечание - При пользовании настоящими рекомендациями целесообразно проверить действие ссылочных документов в информационной системе общего пользования - на официальном сайте Федерального агентства по техническому регулированию и метрологии в сети Интернет или по ежегодному информационному указателю "Национальные стандарты", который опубликован по состоянию на 1 января текущего года, и по выпускам ежемесячного информационного указателя "Национальные стандарты" за текущий год. Если заменен ссылочный документ, на который дана недатированная ссылка, то рекомендуется использовать действующую версию этого документа с указанием всех внесенных в данную версию изменений. Если заменен ссылочный документ, на который дана датированная ссылка, то рекомендуется использовать версию этого документа с указанным выше годом утверждения (принятия). Если после утверждения настоящих рекомендаций в ссылочный документ, на который дана датированная ссылка, внесено изменение, затрагивающее положение, на которое дана ссылка, то это положение рекомендуется применять без учета данного изменения. Если ссылочный документ отменен без замены, то положение, в котором дана ссылка на него, рекомендуется применять в части, не затрагивающей эту ссылку.
В настоящих рекомендациях применены термины "измерение", "метрологические требования", "единица величины" по Федеральному
закону [1], "оценка соответствия", "продукция", "риск", "свод правил", "сертификация", "стандарт", "техническое регулирование", "технический регламент" по Федеральному
закону [2], "средство измерений" по международному словарю VIM
[3], "наблюдаемое значение", "точность", "правильность", "систематическая погрешность", "систематическая погрешность лаборатории при реализации конкретного метода измерений (конкретной методики измерений)", "систематическая погрешность метода измерений", "прецизионность", "повторяемость", "воспроизводимость" по
ГОСТ Р ИСО 5725-1, а также следующие термины с соответствующими определениями:
3.1 испытания: Экспериментальное определение количественных характеристик свойств объекта испытаний как результата воздействия на него при его функционировании.
3.2 контроль: Процедура оценивания соответствия путем наблюдения и суждений.
Примечание - В настоящих рекомендациях, поскольку речь идет о количественных характеристиках объектов технического регулирования, под контролем понимается допусковый контроль, то есть процедура, результатом которой должно быть логическое суждение о принадлежности (непринадлежности) контролируемой величины заранее определенной области значений, заданной границами допуска.
4.1 Целью оценки соответствия объектов технического регулирования является определение соблюдения требований, предъявляемых к ним техническим регламентом, а также стандартами или сводами правил, применяемыми на добровольной основе и обеспечивающими соблюдение положений данного технического регламента.
4.2 В техническом регламенте, а также в разработанных в целях его реализации стандартах или сводах правил должны быть отражены требования к объекту регулирования. Такие требования согласно рекомендациям
[4] могут быть заданы двумя способами:
- детальными значениями показателей;
- общими требованиями, качественно определяющими необходимый уровень безопасности.
4.3 Первый способ задания требований к продукции целесообразно применять в следующих случаях:
- если для продукции, подпадающей под действие технического регламента, существует доказательная база соответствия в виде гармонизированных с данным регламентом национальных стандартов;
- если на базе требований может быть обеспечен необходимый уровень безопасности;
- если степень гармонизации национальных стандартов с международными стандартами достаточно велика для устранения торговых барьеров;
- если государство заинтересовано в реализации единой технической политики, выраженной в задании конкретных требований безопасности, распространяющихся на конкретный сектор рынка.
4.4 Второй способ задания требований связан с установлением общих качественных требований, которые можно рассматривать как правовые нормы с учетом того, что технический регламент принимается федеральным законом или постановлением правительства страны. Такие требования не рассматриваются в настоящих рекомендациях.
4.5 Детальные значения показателей выражаются в виде числового значения с указанием принятых единиц измерений или принятых шкал измерений.
Примечание - В настоящих рекомендациях дальнейшее изложение предполагает возможность использования только количественных шкал.
4.6 Основными процедурами определения значений таких показателей с целью оценки соответствия объекта регулирования установленным требованиям являются измерения, контроль и испытания.
4.7 В
разделе 5 изложены рекомендации по указанию количественных критериев (требований), используемых при оценке соответствия объектов технического регулирования, в
разделе 6 приведены рекомендации по оценке метрологических показателей точности определения значений показателей, полученных в процессе измерений, испытаний и контроля, для которых необходимо установить соответствие указанным критериям, а в
разделе 7 содержатся рекомендации по выбору правил принятия решений о соответствии (несоответствии) количественных характеристик объектов технического регулирования установленным требованиям.
5. Рекомендации по указанию количественных критериев (требований), используемых при оценке соответствия объектов технического регулирования
5.1 Требования к количественным показателям объектов технического регулирования могут быть заданы следующими способами:
- указанием верхнего предельного значения;
- указанием нижнего предельного значения;
- совместным заданием верхнего и нижнего предельных значений;
- указанием номинального значения и допустимых отклонений.
Примеры
1 Блок не должен терять равновесия при отклонении на угол, не превышающий 10° от нормального вертикального положения (задано верхнее предельное значение).
2 Напольный блок, имеющий массу 25 кг и более (задано нижнее предельное значение), не должен опрокидываться под действием силы, не превышающей 20% веса блока, но не более 250 Н (верхнее предельное значение, заданное в относительной и абсолютной форме), прилагаемой в любом направлении (но не вверх) на высоте не более 2 м от пола (верхнее предельное значение).
3 Температура не должна выходить за пределы от 15 °C до 30 °C (совместное задание верхнего и нижнего предельных значений).
4 Отклонение давления в тормозном цилиндре при торможении не должно превышать +/- 0,01 МПа от значения давления для установленного режима торможения (заданы номинальное значение и допустимые отклонения).
Примечание - Номинальное значение - это значение, определенное в технической документации, от которого отсчитываются допустимые отклонения. Следовательно, оно необязательно должно находиться внутри допустимого интервала значений, например, если оба отклонения имеют один и тот же знак (см.
ГОСТ 25346).
5 Вал с номинальным размером 50 мм должен иметь предельные отклонения +68 мкм и +105 мкм.
Примеры задания требований в технической документации приведены в
приложении А.
5.2 При задании количественных требований к параметрам объектов технического регулирования рекомендуется избегать следующих типичных недостатков:
- при задании нижнего предельного значения содержания примеси в каком-либо веществе не рекомендуется использовать такие указания, как: "содержание примеси недопустимо", "примесь отсутствует", "содержание примеси равно 0". Соблюдение таких требований невозможно оценить, поскольку любая методика измерений обладает нижним пределом обнаружения, который отличен от нуля;
- не следует указывать номинальное значение без указания допустимых отклонений. Например, требование "полная длина стрелочных переводов и глухих пересечений не должна отличаться от номинальной, указанной в конструкторской документации", невозможно выполнить, потому что номинальное значение - это расчетная величина, заданная в конструкторской документации. Реальная величина не может точно соответствовать номинальному значению;
- следует обращать внимание на указание знаков перед заданным значением допустимых отклонений. Например, "смещение осей подкладок с ребордами относительно номинального расположения, указанного в конструкторской документации, не должно превышать 3,0 мм". Отсутствие указания знака перед числовым значением допустимого отклонения может привести к неоднозначной интерпретации требования. В данном случае можно считать, что допустимое отклонения не должно превышать +3 мм или, что оно не должно превышать +/- 3 мм;
- не рекомендуется в одном и том же тексте использовать различные кратные или дольные приставки к единицам измерений для одних и тех же параметров, например, усилие задается то в кН, то в МН. Это затрудняет правильное восприятие текста.
6. Рекомендации по оценке метрологических показателей точности определения количественных характеристик объектов технического регулирования, полученных в процессе испытаний
6.1 Для определения количественных показателей объекта технического регулирования используются такие процедуры, как измерения, испытания или контроль.
6.2 Целью измерений является получение одного или более значений величины, которые могут быть обоснованно приписаны величине.
Целью контроля является получение суждения о принадлежности или непринадлежности контролируемой величины к области допустимых значений.
Примечание - Здесь и далее рассматривается только допусковый контроль в соответствии с
ГОСТ Р 8.731, поскольку в случае задания качественных требований к объекту регулирования отсутствует необходимость в использовании метрологических критериев при оценке соответствия.
При испытаниях осуществляется экспериментальное определение количественных и (или) качественных характеристик свойств объекта испытаний как результата воздействия на него при его функционировании внешних факторов и/или режимов функционирования. При этом определение параметров объекта испытаний включает в себя оценивание (измерение) и (или) контроль.
6.3 Оценка соответствия объекта технического регулирования может быть достоверной только в случае, когда показатели точности процедур измерений, испытаний и контроля, использованных при ее осуществлении, известны, и установлено правило принятия решения о соответствии или несоответствии этого объекта установленным требованиям.
6.4 В случае, когда необходимо или желательно установить действительные значения характеристик объекта технического регулирования используют процедуры измерений.
6.5
ПМГ 96 устанавливают следующие характеристики качества измерений:
- среднее квадратическое отклонение погрешности измерений или стандартную неопределенность измерений (точечные характеристики качества измерений);
- границы интервала, в котором погрешность измерений находится с заданной вероятностью, или расширенную неопределенность измерений (интервальные характеристики качества измерений).
Примечания
1 Термин "характеристики качества измерений" используется в настоящих рекомендациях как объединяющий два понятия: характеристики погрешности и неопределенность измерений.
2 Среднее квадратическое отклонение случайной составляющей погрешности после исключения систематических погрешностей можно рассматривать как величину, эквивалентную стандартной неопределенности (в соответствии с
пунктом 2.3.1 ГОСТ Р 54500.3). Если все неисключенные составляющие систематической погрешности рассматриваются как случайные величины и добавляются к суммарной случайной погрешности, то полученное значение суммарной погрешности может рассматриваться как эквивалентное суммарной стандартной неопределенности (в соответствии с
пунктом 2.3.4 ГОСТ Р 54500.3). Границы интервала, в котором суммарная погрешность находится с заданной доверительной вероятностью, могут рассматриваться как аналог расширенной неопределенности (в соответствии с
пунктом 2.3.5 ГОСТ Р 54500.3).
3 Рекомендуемое значение заданной доверительной вероятности, как правило, в предположении нормального распределения погрешности P = 0,95.
4 Возможны случаи, когда заданную вероятность принимают равной единице (это возможно только в том случае, если плотность вероятности распределения погрешности отлична от нуля только на конечном интервале, например, при равновероятном или треугольном распределении плотности вероятности). Следует отметить, что на практике погрешность не может быть бесконечно большой, однако нормальный закон распределения является удобной аппроксимацией для значительного числа практически значимых случаев.
5 Если заданная вероятность равна единице (P = 1), то есть ни одна из реализаций погрешности не выходит за границы интервала погрешности измерений или, что одно и то же, значение измеряемой величины всегда находится в границах расширенной неопределенности, то их (границы) разрешается именовать пределами допускаемой погрешности (расширенной неопределенности) измерений и при этом вероятность P = 1 не указывают.
6 При необходимости среднее квадратическое отклонение погрешности (стандартную неопределенность) сопровождают указанием принятой аппроксимации закона распределения вероятностей погрешности или его качественным описанием (например, симметричный, одномодальный и т.п.).
6.6 В случаях, когда результаты измерений используют совместно с другими результатами измерений, а также при расчетах характеристик качества измерений величин, функционально связанных с результатами измерений (например, критериев эффективности, функций потерь и др.), за характеристики качества измерений принимают в основном точечные характеристики - среднее квадратическое отклонение погрешности или стандартную неопределенность.
6.7 В случаях, когда результаты измерений являются окончательными, пригодными для решения определенной технической задачи и не предназначенными для совместного использования с другими результатами измерений и для расчетов, применяют в основном интервальные характеристики качества измерений - границы интервала, в котором погрешность находится с заданной вероятностью, или расширенную неопределенность.
6.8 Более подробные рекомендации в отношении характеристик погрешности измерений, форм их представления и способам использования при испытаниях образцов продукции и контроле их параметров можно найти в
рекомендациях [5].
6.9 Для расчета характеристик качества измерений согласно
ГОСТ Р 8.563 в общем случае используют:
- метрологические характеристики средств измерений;
- характеристики влияющих величин, определяющие условия измерений, в частности, условия применения средств измерений;
- характеристики объекта измерений, влияющие на характеристики качества измерений.
Примечание - Рекомендации по расчету характеристик качества измерений приведены в
приложении Б.
6.10 В случае, когда для оценки соответствия достаточно установить, находится ли параметр объекта регулирования, к которому установлены требования в допустимых границах, используют процедуры контроля.
6.11 Согласно
ГОСТ Р 8.731 номенклатура контролируемых величин должна соответствовать задаче оценки пригодности объекта к применению в соответствии с его назначением, в заданных условиях и с приемлемыми показателями эффективности и безопасности. Риск возникновения аварийной ситуации или невыполнения объектом своего функционального предназначения должен быть заранее задан. При этом желательно иметь функции полезности или функции штрафа, отражающие связь между ошибками контроля объекта и тяжестью последствий, связанных с такими ошибками.
6.12 Контролируемые характеристики объекта должны быть, по возможности, независимыми.
6.13 Качество результатов контроля можно охарактеризовать показателями его достоверности, Например, вероятностями ошибок контроля, которые заключаются в отнесении объекта, соответствующего всем установленным требованиям, к числу несоответствующих объектов (ошибка первого рода) и наоборот, несоответствующего установленным требования объекта - к числу соответствующих (ошибка второго рода).
6.14 В этом случае показатели достоверности контроля оценивают, как:
- PГ-Б - вероятность признания объекта контроля не удовлетворяющим установленным требованиям (бракованным), при условии, что в действительности он этим требованиям удовлетворяет, то есть является годным.
1 В простейшем случае, если объект характеризуется одной величиной, для которой установлена одна допусковая граница, например, контролируемая величина x не должна превышать предельного значения C, объект признается годным, если наблюдается ситуация, при которой выполняется условие x <= C, в противном случае объект признается бракованным. Такой контроль называют одномерным двуальтернативным.
2 В общем случае состояние объекта может быть описано более чем одной контролируемой величиной, при этом по каждой из таких величин может быть установлено несколько допусковых границ. В этом случае состояние объекта характеризуется точкой в многомерном пространстве состояний, разбитом на множество областей, ограниченных границами допусков. Тогда решением, принимаемым по результатам контроля, является суждение об отнесении объекта контроля к какой-либо конкретной области. Такое решение может быть истинным, если все контролируемые величины лежат внутри границ, определяющих данную область, включая значения параметров, соответствующие граничным значениям, или ложным, если хотя бы одна из величин выходит за установленные границы. Такой контроль называют многомерным многоальтернативным.
3 В большинстве практических случаев решение задач многомерного многоальтернативного контроля сводится к многократному решению задач одномерного двуальтернативного контроля.
4 При использовании измерительного допускового контроля и оценки качества измерений с помощью характеристик неопределенности показатели достоверности контроля не оценивают, а для принятия решения следует воспользоваться рекомендациями ГОСТ Р ИСО 10576-1
(раздел 6);
- PБ-Г - вероятность признания объекта контроля удовлетворяющим установленным требованиям (годным), при условии, что в действительности он этим требованиям не удовлетворяет, то есть является бракованным.
Примечание - Следует отметить, что вероятности PГ-Б (событие признания годного объекта бракованным) и PБ-Г (событие признания бракованного объекта годным) не являются независимыми. Вместе с событиями признания годного объекта годным (описывается вероятностью PГ-Г) и признания бракованного объекта бракованным (описывается вероятностью PБ-Б) они составляют полную группу событий, то есть
PГ-Г + PГ-Б + PБ-Г + PБ-Б = 1. (1)
6.15 В простейшем случае однопараметрического (одномерного) двуальтернативного контроля с заданной верхней границей допуска (
x <=
C) вероятность отнесения действительно годного объекта к бракованным (
PГ-Б) определяется выражением

, (2)
где f(x) - плотность вероятности распределения контролируемой величины x;

- плотность вероятности распределения погрешности

оценки значения контролируемой величины
x;
C - предельное допустимое значение контролируемой величины x (граница поля допуска).
Вероятность отнесения действительно бракованного объекта к годным (PБ-Г) описывается как

. (3)
Более подробно методы оценки достоверности контроля описаны в рекомендациях
[6] и руководстве JCGM <1>
[7].
--------------------------------
<1> Joint Committee for Guides in Metrology (Объединенный комитет по руководствам в области метрологии).
6.16 В случае, когда для оценки соответствия требуется экспериментальное определение количественных и (или) качественных характеристик объекта регулирования, проводят его испытания. При этом на объект в процессе функционирования осуществляют воздействие заданных внешних факторов и/или задают установленные режимы его функционирования.
6.17 По характеру получаемых результатов испытания подразделяют на определительные или контрольные (см.
ГОСТ 16504).
В первом случае результатом испытаний является оценка действительных значений показателей, необходимых для оценки соответствия объекта установленным требованиям. В этом случае качество результатов испытаний оценивают по тем же показателям, что и качество измерений.
Во втором случае результатом испытаний является подтверждение того, что параметры объекта испытаний находятся в допустимых границах, или того, что хотя бы один из параметров вышел за установленные пределы. В этом случае качество испытаний оценивают аналогично качеству контроля.
6.18 При оценке показателей качества результатов испытаний (точности или достоверности) учитывают дополнительные погрешности или неопределенности, вносимые отклонением условий испытаний (воздействующих факторов и/или режимов функционирования) от их заданных значений.
7. Рекомендации по формированию правил принятия решений о соответствии (несоответствии) количественных характеристик объектов технического регулирования установленным требованиям
7.1 Результаты оценки показателей объекта технического регулирования неизбежно связаны с неточностями, вызванными несовершенством процедуры их оценки, оборудования и воздействием внешних факторов. Это может привести к неверному заключению при оценке соответствия. Поэтому можно рекомендовать установить решающее правило, на основании которого будет приниматься решение о соответствии или несоответствии объекта регулирования установленным требованиям.
7.2 Решающие правила выбирают исходя из требований к уровню допустимых рисков при оценке соответствия, требований к стоимости и трудоемкости выполнения работ по оценке соответствия. Например, решение может быть принято по среднему значению контролируемой характеристики, вычисленному на основании результатов многократных измерений, или объект может быть признан бракованным, если он бракуется хотя бы по результатам одного из множества повторных процедур контроля. Возможно также принятие решения на основе более жестких требований, чем те, которые установлены в технической документации.
7.3 Оценки рисков, возникающих при принятии решений о соответствии, могут выражаться ошибками первого (риск поставщика) и второго (риск потребителя) рода (см.
6.13) и оцениваются аналогично ошибкам контроля, описанным в
6.15. Однако, как правило, решение о соответствии принимается на основании оценки не одного, а нескольких параметров объекта регулирования (пример оценки рисков при трех контролируемых показателях приведен в
приложении В).
7.4 Если решение принимается по среднему значению контролируемой характеристики, вычисленному на основании результатов многократных измерений, то этом случае многократное повторение измерений одной и той же величины с последующей оценкой среднего значения измеряемого параметра позволяет уменьшить среднее квадратическое отклонение погрешности в

раз (где
n - число повторных измерений), при условии, что все измерения были равноточными. Это позволит уменьшить как риск поставщика, так и риск потребителя.
Однако этот метод связан с существенным повышением трудоемкости работ по оценке соответствия, не позволяет полностью избежать ошибочных заключений и не всегда реализуем из-за того, что достаточно большая серия повторных измерений может потерять свойство равноточности.
7.5 Если решение принимается по результатам многократного контроля каждого из показателей объекта регулирования, и объект признается соответствующим установленным требованиям только в том случае, если он признается годным по всем из множества повторных процедур контроля, то при многократном повторном контроле одной и той же величины с принятием решения по худшему из полученных результатов контроля (мажоритарный контроль) можно снизить риск потребителя. Однако при этом возрастает риск поставщика.
Этот метод обладает теми же недостатками, что и описанный в
7.4.
7.6 Если принятие решения осуществляется на основе более жестких требований, чем те, которые установлены в технической документации, то риск потребителя можно снизить до любой, сколь угодно малой величины (вплоть до его практического исключения).
При этом не повышается трудоемкость процедуры оценки соответствия, однако существенно возрастает риск поставщика, поскольку часть годных объектов сознательно бракуется.
7.7 Полное исключение риска потребителя не всегда экономически целесообразно, поэтому можно рекомендовать провести оценку последствий принятия каждого из решающих правил. При этом целесообразно использовать оценку рисков, проведенную разработчиками технического регламента, в соответствии с
частью 1 статьи 7 Федерального закона
[2].
7.8 При использовании характеристик неопределенности для оценки качества результатов измерений, полученных при проведении испытаний, решение о соответствии (несоответствии) количественных характеристик объектов технического регулирования установленным требованиям может быть принято в соответствии с
ГОСТ Р ИСО 10576-1 одним из следующих способов:
- если интервал неопределенности результатов измерений находится внутри области допустимых значений, может быть принято решение о соответствии установленным требованиям;
- если интервал неопределенности результатов измерений целиком лежит в области недопустимых значений, то может быть принято решение о несоответствии требованиям;
- если интервал неопределенности включает в себя границу поля допуска, оценка соответствия является неокончательной. Результат неокончательной оценки должен иметь следующую формулировку: оценка соответствия не способна продемонстрировать, что значение контролируемого параметра соответствует или не соответствует требованиям.
(справочное)
УКАЗАНИЯ КОЛИЧЕСТВЕННЫХ КРИТЕРИЕВ (ТРЕБОВАНИЙ), ИСПОЛЬЗУЕМЫХ
ПРИ ОЦЕНКЕ СООТВЕТСТВИЯ ОБЪЕКТОВ ТЕХНИЧЕСКОГО РЕГУЛИРОВАНИЯ
А.1 Задание требований к безопасным расстояниям для воздушных линий электропередачи.
При пересечении проводов ВЛ (воздушных линий электропередачи) с подземными кабелями ЛС (линий связи) и ЛПВ (линией проводного вещания) расстояние от подземной части металлической или железобетонной опоры до подземного кабеля в населенной местности должно быть не менее 3 м.
Примечание - В примере задано нижнее предельное значение для расстояния от подземной части металлической или железобетонной опоры до подземного кабеля.
А.2 Задание требований к химическому составу сталей для изготовления изделий, на которые распространяются требования технического регламента
Таблица А.1
Химический состав стали деталей
Марка стали | Содержание элементов по массе, % |
C | Mn | Si | Cr | Ni | Cu | V |
Не более |
1 | | | | | | | |
20ГЛ | 0,17 - 0,25 | 1,10 - 1,40 | 0,30 - 0,50 | 0,30 | 0,30 | 0,30 | - |
20ФЛ | 0,17 - 0,25 | 0,80 - 1,20 | 0,30 - 0,50 | 0,30 | 0,30 | 0,30 | 0,06 - 0,13 |
20Г1ФЛ | 0,17 - 0,25 | 0,90 - 1,40 | 0,30 - 0,50 | 0,30 | 0,30 | 0,30 | 0,06 - 0,13 |
Примечание - В примере в
графах с номерами 2,
3,
4 и
8 заданы верхнее и нижнее предельные значения содержания примеси.
В
графе 8 для стали 20ГЛ не указано предельно допустимое содержание ванадия, следовательно, его содержание не нормируется и не подлежит контролю при оценке соответствия.
А.3 Требования к основным размерам рельсов
Таблица А.2
Основные размеры поперечного сечения рельсов
Размер поперечного сечения | Обозначение | Значение размера, мм |
для рельса типа |
ОР50 | ОР65 | ОР75 |
Высота рельса | H | 112,0 | 140,0 | 152,0 |
Ширина головки | b | 74,0 | 77,5 | 76,0 |
Толщина шейки | e | 58,0 | 58,0 | 56,5 |
Ширина подошвы | B | 132,0 | 132,0 | 132,0 |
Ширина короткого плеча подошвы | D | 14,0 | 18,0 | 20,5 |
Высота пера подошвы | m | 16,0 | 18,0 | 20,0 |
Расстояние от левой грани шейки до сопряжения R15 и  головки | c | 69,1 | 66,5 | 63,5 |
Предельные отклонения основных размеров и формы поперечного сечения рельсов высшего сорта (класс профиля X), первого сорта (класс профиля Y) и второго сорта (класс профиля 2C) приведены в таблице 3.
Таблица А.3
Предельные отклонения размеров и формы поперечного сечения
рельсов высшего сорта (X), первого сорта (Y)
и второго сорта (2C)
Наименование показателя | Обозначение | Допустимые отклонения, мм |
Класс профиля рельса |
X | Y | 2C |
Высота рельса: | типа ОР50 | H | +0,8 -0,4 | +1,6 -0,8 |
типа ОР65 | +0,8 -0,6 | +1,6 -1,2 |
типа ОР75 | +0,8 -0,6 | +1,6 -1,2 |
Ширина головки | b | +/- 0,5 | +/- 1,0 |
Толщина шейки | e | +/- 0,5 | +/- 1,0 |
Ширина подошвы | B | +/- 1,0 | +1,5 -2,0 | +3,0 -4,0 |
Ширина короткого плеча подошвы | D | +/- 0,3 | +/- 0,5 | +/- 1,0 |
Высота пера подошвы | m | +0,75 -0,50 | +1,00 -0,50 | +2,00 -1,00 |
Расстояние от левой грани шейки до сопряжения R15 и  головки | c | +0,6 -0,5 | +1,2 -1,0 |
Отклонение формы поверхности катания от номинальной | - | +/- 0,5 | +/- 1,0 |
Выпуклость основания подошвы | - | 0,3 | 0,5 | 1,0 |
Примечание - В примере в
таблице А.2 заданы номинальные значения размеров рельсов, а в таблице А.3 - предельные допустимые отклонения для каждого параметра, указанного в
таблице А.2.
(справочное)
ПО РАСЧЕТУ ХАРАКТЕРИСТИК КАЧЕСТВА ИЗМЕРЕНИЙ <1>
--------------------------------
Б.1 Основные этапы расчета характеристик качества измерений
Б.1.1 Составление уравнения измерений.
Б.1.2 Выявление источников погрешности (неопределенности) измерений и составление перечня источников и соответствующих им составляющих погрешности (неопределенности) измерений.
Б.1.3 Формирование исходных данных для расчета характеристик качества измерений.
Б.1.4 Количественная оценка составляющих погрешности (или неопределенности) измерений, приведенных в выходу измерительной схемы (то есть рассчитанные как вклад в погрешность или неопределенность результата измерений).
Б.1.5 Объединение (суммирование) составляющих погрешности (или неопределенности) измерений - получение результирующих (суммарных) характеристик качества измерений.
Примечание - Исходные данные для расчета могут быть получены из руководств по эксплуатации средств измерений, описаний методик измерений или документов по их аттестации и т.п. При необходимости, некоторые составляющие погрешности (или неопределенности) измерений определяют экспериментально.
Б.2 Перечень типичных составляющих погрешности (неопределенности) измерений
Б.2.1 Методические составляющие:
а) составляющие, обусловленные неадекватностью выбранной модели объекта измерений его свойствам;
б) составляющие, обусловленные отклонением от номинальных значений параметров функции, связывающей измеряемую величину с величиной на входе средства измерений;
в) составляющие, обусловленные квантованием по уровню (при использовании средств измерений с аналого-цифровым преобразованием);
г) составляющие, обусловленные вычислительными алгоритмами.
Б.2.2 Инструментальные составляющие:
а) основная погрешность средства измерений;
б) дополнительные погрешности средства измерений;
в) составляющая, обусловленная вариацией (гистерезисом) средства измерений;
г) составляющая, обусловленная взаимодействием средства измерений с объектом измерений;
д) динамическая составляющая, обусловленная инерционностью средства измерений;
е) составляющие, связанные с отбором и приготовлением проб веществ.
Б.2.3 Составляющие, обусловленные действиями оператора (субъективные составляющие):
а) составляющие, обусловленные неточностью считывания результатов измерений со шкалы или диаграммы средства измерений;
б) составляющие, обусловленные воздействием оператора на объект и средство измерений (искажения температурного поля, механические воздействия и т.п.).
Б.3 Объединение (суммирование) составляющих погрешности (неопределенности) прямых измерений при инженерных расчетах
Б.3.1 Способ арифметического суммирования составляющих погрешности или неопределенности измерений

или

, (Б.1)
где

- предел допускаемой абсолютной погрешности измерений;

- абсолютная расширенная неопределенность измерений при уровне доверия
P = 1;

- предел допускаемой
i-й составляющей абсолютной погрешности;

- абсолютная расширенная неопределенность
i-й составляющей измерений при уровне доверия
P = 1;
l - общее число составляющих погрешности (неопределенности) измерений.
Примечание - Данный способ суммирования рекомендуется применять при общем числе равновеликих составляющих l <= 3.
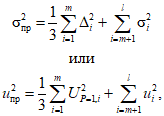
Б.3.2 Способ геометрического суммирования составляющих погрешности (неопределенности) измерений

(Б.2)
где

- среднее квадратическое отклонение абсолютной погрешности;

- абсолютная суммарная стандартная неопределенность измерений;

- предел допускаемой
i-й составляющей абсолютной погрешности;

- абсолютная расширенная неопределенность
i-й составляющей измерений при уровне доверия
P = 1;

- среднее квадратическое отклонение
i-й составляющей абсолютной погрешности измерений;
ui - стандартная неопределенность i-й составляющей неопределенности измерений;
l - общее число составляющих погрешности (неопределенности) измерений;
m - число составляющих погрешности (неопределенности) измерений (i = 1, ..., m), для которых известны пределы допускаемой погрешности (расширенной неопределенности) измерений.
Число составляющих погрешности (неопределенности) измерений (i = m + 1, ..., l), для которых определены (в том числе и экспериментально) среднеквадратичные отклонения абсолютной погрешности (абсолютная стандартная неопределенность) измерений, равно (l - m).
Примечания
1 Данный способ суммирования рекомендуется применять при общем числе равновеликих составляющих l > 3.
- функции плотности распределения вероятностей каждой из составляющих погрешности измерений относятся к классу симметричных, одномодальных, усеченных функций. Для расчета использовано предположение о распределении составляющих по закону равномерной плотности как наихудшее (дающее оценку сверху для

и

) предположение для законов распределения, относящихся к указанному классу;
- отсутствует корреляция между составляющими погрешности (неопределенности) измерений.
Б.4 Объединение (суммирование) составляющих погрешности (неопределенности) косвенных измерений при инженерных расчетах
--------------------------------
<1> Согласно
РМГ 29 это измерения, при которых измеряемую величину определяют на основании результатов прямых измерений других величин, функционально связанных известной зависимостью с измеряемой величиной.
Б.4.2 Способ арифметического суммирования составляющих погрешности (неопределенности) измерений

или

, (Б.3)
где

(
j = 1, ...,
r);
F(A1 ... Ar) = A - уравнение связи между измеряемой величиной A и величинами Aj, измеряемыми прямым методом;

- предел допускаемой абсолютной погрешности косвенных измерений;
Uкосв,P=1 - абсолютная расширенная неопределенность косвенных измерений при уровне доверия P = 1;

- предел допускаемой абсолютной погрешности прямых измерений
j-й величины
Aj;

- абсолютная расширенная неопределенность
j-й величины
Aj при уровне доверия
P = 1;
r - общее число величин Aj, измеряемых прямым методом.
Примечание - Данный способ суммирования рекомендуется применять при общем числе величин Aj, измеряемых прямым методом, r <= 3.
Б.4.3 Способ геометрического суммирования составляющих погрешности (неопределенности) измерений

(Б.4)
где

, (
j = 1, ...,
s, s + 1, ...,
r);
F(A1 ... Ar) = A - уравнение связи между измеряемой величиной A и величинами Aj, измеряемыми прямым методом;

- среднее квадратическое отклонение абсолютной погрешности косвенных измерений;
Uкосв - среднее квадратическое отклонение абсолютной суммарной стандартной неопределенности;

- предел допускаемой абсолютной погрешности прямых измерений
j-й величины
Aj;

- предел абсолютной расширенной неопределенности прямых измерений
j-й величины
Aj;

- среднее квадратическое отклонение абсолютной погрешности прямых измерений
j-й величины
Aj;
uпр,j - среднее квадратическое отклонение абсолютной стандартной неопределенности прямых измерений j-й величины Aj;
r - общее число величин Aj, измеряемых прямым методом;
s - число величин Aj, измеряемых прямым методом (j = 1, ..., s), для которых в качестве характеристик качества измерений известны пределы допускаемой абсолютной погрешности (абсолютной расширенной неопределенности) измерений.
Число величин Aj, измеряемых прямым методом (j = s + 1, ..., r), для которых в качестве характеристик качества измерений известны средние квадратические отклонения абсолютной погрешности (абсолютные стандартные неопределенности) измерений, равно (r - s).
Примечания
1 Данный способ суммирования рекомендуется применять при общем числе величин Aj, измеряемых прямым методом, r > 3.
- функции плотности распределения вероятностей каждой из погрешностей прямых измерений величин
Aj относятся к классу симметричных, одномодальных, усеченных функций. Для расчета использовано предположение о распределении погрешностей прямых измерений по закону равномерной плотности как наихудшее [дающее оценку сверху для

] предположение для законов распределения, относящихся к указанному классу;
- отсутствует корреляция между величинами Aj, измеряемыми прямым методом, и погрешностями (неопределенностями) их измерений.
Б.5 Переход к интервальным характеристикам качества измерений, соответствующих заданной вероятности P < 1, от точечных характеристик
Б.5.1 Для перехода к интервальным характеристикам качества измерений, соответствующих заданной вероятности
P < 1, от точечных характеристик, найденных в соответствии с
Б.3.2 для прямых измерений или
Б.4.3 для косвенных измерений, используют формулу

или
UP<1 =
Kpu, (Б.5)
где

- границы интервала погрешности;
UP<1 - границы расширенной неопределенности соответствующие заданной вероятности P;
KP - коэффициент расширения (коэффициент охвата по
ГОСТ Р 54500.3), значение которого зависит от закона распределения вероятностей погрешности измерений (возможных значений измеряемой величины) и заданной вероятности
P.
KP может быть определен по графику (см. рисунок Б.1).
Рисунок Б.1
Б.5.2 Для приближенных расчетов в качестве оценок сверху коэффициента KP в диапазоне значений заданной вероятности P от 0,9 до 0,98 может быть использована формула
KP = 5(P - 0,5). (Б.6)
(справочное)
ПРИМЕР ОЦЕНКИ РИСКОВ ПОСТАВЩИКА И ПОТРЕБИТЕЛЯ ПРИ ОЦЕНКЕ
СООТВЕТСТВИЯ ПО ТРЕМ ПОКАЗАТЕЛЯМ
В.1 При оценке рисков поставщика и потребителя (то есть ошибок первого и второго рода) используют четыре показателя (см.
примечание к 6.14), которые представляют собой условные вероятности:
PГ-Г - вероятность отнесения по результатам контроля изделия к годным, при условии, что оно действительно является годным;
PГ-Б - вероятность отнесения по результатам контроля изделия к годным, при условии, что в действительности оно является бракованным;
PБ-Б - вероятность отнесения по результатам контроля изделия к бракованным, при условии, что оно действительно является бракованным, и
PБ-Г - вероятность отнесения по результатам контроля изделия к бракованным, при условии, что в действительности оно является годным.
В.2 Эти четыре события составляют полную группу событий и сумма их вероятностей равна 1 (см.
примечание к 6.14).
В.3 Например, если контроль осуществляется по трем параметрам и известны все четыре условные вероятности для каждого из параметров, (обозначим их

,

,

;

,

,

;

,

,

и

,

,

соответственно), то учитывая, что решение о несоответствии объекта установленным требованиям будет принято в случае, если оно забраковано хотя бы по одному параметру, оценку суммарной вероятности отнесения годного изделия к бракованным, при контроле по трем параметрам с односторонними допусками

, можно записать в следующем виде:
В.4 Первое слагаемое в приведенном выражении описывает случай, когда изделие является годным по всем трем параметрам, но из-за ошибки контроля по первому параметру оно признано бракованным.
Однако, учитывая, что PГ-Б примерно на два порядка меньше, чем PГ-Г, слагаемыми после третьего можно пренебречь.
В.5 Если допуски будут двусторонние, то слагаемых вида
PГ-Б·
PГ-Г·
PБ-Б будет шесть, слагаемых вида
PГ-Б·
PГ-Б·
PГ-Г - 12, а слагаемых вида
PГ-Б·
PГ-Б·
PГ-Б - восемь. При этом в обозначения вероятностей добавятся еще индексы, обозначающие верхнюю и нижнюю границы допуска. Например,

,

и т.д. Всего будет 18 условных вероятностей (вероятности событий
PГ-Г и
PБ-Б рассчитываются с учетом, как верхней, так и нижней границы, поэтому для них нет необходимости использовать дополнительные индексы). Если контролируемый параметр имеет симметричное распределение и его центр группирования (математическое ожидание) совпадает с серединой поля допуска, а средство допускового контроля дает несмещенную оценку контролируемой величины (то есть результат измерений не имеет систематической погрешности), то приближенную оценку суммарной вероятности риска поставщика можно получить из выражения

.
В.6 Более строгие оценки связаны с вычислением вероятностей всех событий, как по верхним, так и по нижним границам допусков приводят к выражению
В.7 По указанным ранее причинам можно ограничиться первыми шестью слагаемыми.
В.8 Оценивают риск потребителя, который заключается в том, что в качестве годного, по результатам контроля, признается в действительности бракованное изделие. В случае одностороннего допуска получим выражение, полностью аналогичное выражению для

В.9 Изделие признается годным только в том случае, если оно признано годным по всем контролируемым параметрам. Например, первое слагаемое описывает случай, когда по первому параметру изделие является бракованным, но принимается по результатам контроля в качестве годного, а по двум другим параметрам изделие действительно является годным и признается годным.
В.10 На тех же основаниях всеми слагаемыми после третьего можно пренебречь

.
В.11 Аналогично получают выражения для оценки

в случае двусторонних допусков.
В.12 Как видно из приведенного примера, вычисление суммарных ошибок первого и второго рода весьма громоздко, но не представляет принципиальных сложностей и сравнительно легко может быть реализовано программно.
| Федеральный закон от 26 июня 2008 г. N 102-ФЗ "Об обеспечении единства измерений" |
| Федеральный закон от 27 декабря 2002 г. N 184-ФЗ "О техническом регулировании" |
| JCGM 200:2012 | International Vocabulary of Metrology - Basic and General Concepts and Associated Terms (VIM) (Международный словарь по метрологии. Основные и общие понятия и соответствующие термины (VIM)) http://www.bipm.org/utils/common/documents/jcgm/JCGM_200_2012.pdf |
| Р 50-601-47-2004 | Рекомендации по структуре, содержанию и изложению требований технических регламентов (одобрены коллегией Федерального агентства по техническому регулированию и метрологии 26.11.2004) |
| | Государственная система обеспечения единства измерений. Результаты и характеристики погрешности измерений. Формы представления. Способы использования при испытаниях образцов продукции и контроле их параметров |
| Рекомендации по метрологии МИ 3236-2010 | Государственная система обеспечения единства измерений. Разработка общих требований к системам допускового контроля |
| JCGM 106:2012 | Evaluation of measurement data. The role of measurement uncertainty in conformity assessment (Оценка результатов измерений. Роль неопределенности измерения при оценке соответствия) http://www.bipm.org/utils/common/documents/jcgm/JCGM_106_2012_E.pdf |