Главная // Актуальные документы // ГОСТ Р (Государственный стандарт)СПРАВКА
Источник публикации
М.: Стандартинформ, 2011
Примечание к документу
Документ
введен в действие с 1 января 2012 года.
Название документа
"ГОСТ Р 8.731-2010. Национальный стандарт Российской Федерации. Государственная система обеспечения единства измерений. Системы допускового контроля. Основные положения"
(утв. и введен в действие Приказом Росстандарта от 23.12.2010 N 997-ст)
"ГОСТ Р 8.731-2010. Национальный стандарт Российской Федерации. Государственная система обеспечения единства измерений. Системы допускового контроля. Основные положения"
(утв. и введен в действие Приказом Росстандарта от 23.12.2010 N 997-ст)
Утвержден и введен в действие
агентства по техническому
регулированию и метрологии
от 23 декабря 2010 г. N 997-ст
НАЦИОНАЛЬНЫЙ СТАНДАРТ РОССИЙСКОЙ ФЕДЕРАЦИИ
ГОСУДАРСТВЕННАЯ СИСТЕМА ОБЕСПЕЧЕНИЯ ЕДИНСТВА ИЗМЕРЕНИЙ
СИСТЕМЫ ДОПУСКОВОГО КОНТРОЛЯ
ОСНОВНЫЕ ПОЛОЖЕНИЯ
State system for ensuring the uniformity of measurements.
Tolerance control systems. Main principles
ГОСТ Р 8.731-2010
Группа Т80
Дата введения
1 января 2012 года
Цели и принципы стандартизации в Российской Федерации установлены Федеральным
законом от 27 декабря 2002 г. N 184-ФЗ "О техническом регулировании", а правила применения национальных стандартов Российской Федерации -
ГОСТ Р 1.0-2004 "Стандартизация в Российской Федерации. Основные положения".
1. Разработан Федеральным государственным унитарным предприятием "Всероссийский научно-исследовательский институт метрологической службы" (ФГУП "ВНИИМС").
2. Внесен Управлением метрологии Федерального агентства по техническому регулированию и метрологии.
3. Утвержден и введен в действие
Приказом Федерального агентства по техническому регулированию и метрологии от 23 декабря 2010 г. N 997-ст.
4. Введен впервые.
Информация об изменениях к настоящему стандарту публикуется в ежегодно издаваемом информационном указателе "Национальные стандарты", а текст изменений и поправок - в ежемесячно издаваемых информационных указателях "Национальные стандарты". В случае пересмотра (замены) или отмены настоящего стандарта соответствующее уведомление будет опубликовано в ежемесячно издаваемом информационном указателе "Национальные стандарты". Соответствующая информация, уведомление и тексты размещаются также в информационной системе общего пользования - на официальном сайте Федерального агентства по техническому регулированию и метрологии в сети Интернет.
Настоящий стандарт разработан в целях развития и совершенствования системы метрологического обеспечения систем допускового контроля, реализуемых на предприятиях и в организациях Российской Федерации.
Настоящий стандарт устанавливает общие принципы описания систем допускового контроля, нормирования их характеристик и оценки достоверности результатов контроля.
В настоящем стандарте использованы нормативные ссылки на следующий стандарт:
ГОСТ Р 8.563-2009. Государственная система обеспечения единства измерений. Методики (методы) измерений.
Примечание. При пользовании настоящим стандартом целесообразно проверить действие ссылочного стандарта в информационной системе общего пользования - на официальном сайте Федерального агентства по техническому регулированию и метрологии в сети Интернет или по ежегодно издаваемому информационному указателю "Национальные стандарты", который опубликован по состоянию на 1 января текущего года, и по соответствующим ежемесячно издаваемым информационным указателям, опубликованным в текущем году. Если ссылочный стандарт заменен (изменен), то при пользовании настоящим стандартом следует руководствоваться заменяющим (измененным) стандартом. Если ссылочный стандарт отменен без замены, то положение, в котором дана ссылка на него, применяется в части, не затрагивающей эту ссылку.
В настоящем стандарте применены следующие термины с соответствующими определениями:
3.1. Граница поля допуска: верхнее или нижнее предельное значение, ограничивающее область приемлемых значений контролируемой величины.
3.2. Допусковый контроль: процедура, результатом которой должно быть логическое суждение о принадлежности (непринадлежности) контролируемой величины заранее определенной области значений, заданной границами допуска.
3.3. Достоверность допускового контроля: количественный показатель, отражающий степень близости полученного результата допускового контроля к истинному значению.
3.4. Метрологическое обеспечение системы допускового контроля: установление и применение научных и организационных основ, технических средств, правил и норм, необходимых для достижения заданного уровня показателей достоверности допускового контроля.
3.5. Метрологическая экспертиза документации на систему допускового контроля: экспертиза документации на систему допускового контроля, заключающаяся в анализе и оценке технических решений по выбору методик измерений, средств измерений, решающих правил, границ допусков и метрологическому обеспечению системы допускового контроля.
3.6. Решающее правило: правило, в соответствии с которым принимают решение о результатах допускового контроля.
Пример - Контролируемую величину признают принадлежащей заданной области значений, если она не превышает определенного установленного значения границы поля допуска C.
3.7. Система допускового контроля: совокупность технических устройств и организационных положений, включая решающие правила, направленных на получение результатов допускового контроля.
4. Сокращения и обозначения
В настоящем стандарте применены следующие сокращения и обозначения:
СДК - система допускового контроля;
ИИС - информационно-измерительная система;
АСУ ТП - автоматизированная система управления технологическими процессами;
ТЗ - техническое задание;

- вероятность признания годного объекта бракованным;

- вероятность признания бракованного объекта годным;

- вероятность признания годного объекта годным;

- вероятность признания бракованного объекта бракованным;

- наибольшее предельное значение;
C - граница поля допуска;
x - контролируемая величина;

- заданная вероятность;
f(x) - плотность вероятности распределения контролируемой величины;

- плотность вероятности распределения погрешности оценки значения контролируемой величины x.
5.1. СДК создают с целью получить результаты допускового контроля, использование которых исключает или сводит к допустимому уровню риск принятия неправильного решения или получения неверного управляющего сигнала в организационных или автоматизированных системах управления соответственно.
5.2. Метрологическое обеспечение СДК должно быть основано на следующем:
- исполнении положений
Закона Российской Федерации
[1] и соблюдении требований нормативных документов в области метрологии;
- использовании допущенных к применению единиц величин;
- обеспечении прослеживаемости значений границ допусков, воспроизводимых техническими средствами контроля, и полученных с их использованием оценок контролируемых величин к государственным эталонам единиц величин;
- использовании существующей или организации иной системы передачи единиц величин от эталонов к техническим средствам контроля;
- применении средств измерений, прошедших калибровку, а в сферах государственного регулирования обеспечения единства измерений - средств измерений утвержденного типа и поверенных, если в составе СДК используют средства измерений;
- применении аттестованных методик измерений при оценке значения контролируемых величин;
- использовании стандартных образцов состава и свойств веществ и материалов, применяемых при процедурах допускового контроля;
- применении стандартных справочных данных, если их используют при реализации процедуры допускового контроля.
5.3. Ответственность за ненадлежащее метрологическое обеспечение СДК несут лица, на которых эта обязанность возложена руководством предприятия (организации).
5.4. На предприятиях и в организациях, создающих и эксплуатирующих СДК, рекомендуется возлагать ответственность за создание и эксплуатацию подобных систем на лиц, ответственных за правильность решений, принимаемых на основе результатов допускового контроля.
При этом задачи метрологического обеспечения СДК целесообразно поручить метрологической службе или другому структурному подразделению, выполняющему соответствующие функции.
5.5. Организациям, проектирующим и создающим СДК или технические средства для них, рекомендуется на стадии технического или рабочего проектирования провести метрологическую экспертизу проектной, конструкторской и технологической документации. Этап проектирования, на котором проводят метрологическую экспертизу, указывают в техническом задании на разработку СДК или технических средств для нее.
5.6. Предприятиям и организациям, эксплуатирующим СДК, документация на которые не была подвергнута метрологической экспертизе, рекомендуется провести такую экспертизу в определенные руководством сроки и с привлечением компетентных специалистов.
5.7. Рекомендации по организации и проведению экспертизы проектной, конструкторской и технологической документации на СДК или технические средства для них приведены в
Приложении А.
6.1. Номенклатура контролируемых величин и границы допусков для них должны быть обоснованы разработчиком СДК и обеспечивать допусковый контроль (далее - контроль) объекта полно и адекватно, предоставляя всю необходимую информацию для принятия решений по управлению объектом контроля.
При таком обосновании следует учитывать особенности объекта контроля, содержание задач управления объектом, решаемых на основе результатов его контроля, погрешность, вносимую методиками и техническими средствами контроля, а также принятыми решающими правилами, характер распределения контролируемых величин, возможность его изменения во времени.
6.2. Требования к показателям достоверности контроля устанавливают, основываясь на необходимости исключить или снизить до допустимого уровня риск принятия неправильного решения о состоянии объекта контроля.
Требования к достоверности контроля устанавливают в виде пределов допускаемых значений таких показателей, как:
-

- вероятность признания объекта контроля не удовлетворяющим установленным требованиям (бракованным) при условии, что в действительности он этим требованиям удовлетворяет, т.е. годен.
Примечания
1. В простейшем случае, если объект характеризуется одной величиной, для которой установлена одна допусковая граница, например контролируемая величина x не должна превышать предельного значения C, объект признают годным при выполнении условия x <= C, в противном случае объект признают бракованным. Такой контроль называют одномерным двуальтернативным.
2. В общем случае состояние объекта контроля может быть описано более чем одной контролируемой величиной, причем по каждой из таких величин может быть установлено несколько допусковых границ. В этом случае состояние объекта контроля характеризуется точкой в многомерном пространстве состояний, подразделенном на множество областей, ограниченных границами допусков. Тогда решением, принимаемым по результатам контроля, будет суждение об отнесении объекта контроля к какой-либо конкретной области. Такое решение может быть истинным, если все контролируемые величины лежат внутри границ, определяющих данную область, или ложным, если хотя бы одна из величин выходит за установленные границы. Такой контроль называют многомерным многоальтернативным.
3. В большинстве практических случаев решение задач многомерного многоальтернативного контроля сводят к многократному решению задач одномерного двуальтернативного контроля.
-

- вероятность признания объекта контроля удовлетворяющим установленным требованиям (годным) при условии, что в действительности он этим требованиям не удовлетворяет, т.е. представляет собой брак.
Примечание. Следует отметить, что вероятности

(событие признания годного объекта бракованным) и

(событие признания бракованного объекта годным) не являются независимыми. Вместе с событиями признания годного объекта годным (описывается вероятностью

) и признания бракованного объекта бракованным (описывается вероятностью

) указанные вероятности составляют полную группу событий, т.е.

; (1)
-

- наибольшее предельное значение, превышающее границу допуска C, которое может принимать контролируемая величина x с заданной вероятностью

(как правило, это значение вероятности не превосходит значений 0,01; 0,05), при условии, если по результатам контроля принято решение, что x <= C.
Примечание. Если допустимые значения x ограничиваются условием x >= C, то

символизирует наименьшее значение, которое может принимать контролируемая величина с вероятностью не более

, при условии принятия по результатам контроля решения, что x находится в пределах допуска, т.е. x >= C.
Методы оценки перечисленных показателей достоверности СДК приведены в
Приложении Б.
Требования к показателям достоверности контроля устанавливают как для нормальных условий функционирования СДК, так и для условий, отличных от нормальных, если это предусмотрено ТЗ на проектирование.
6.3. Решающие правила выбираются исходя из требований к уровню допустимых рисков при контроле, требований к стоимости и производительности контроля. Например, решение может быть принято по среднему значению контролируемой характеристики, вычисленному на основании результатов многократных наблюдений, или объект может быть признан бракованным, если его бракуют хотя бы по одному из множества повторных наблюдений.
6.4. Методики измерений, при их использовании в составе процедур контроля, должны быть аттестованы в соответствии с
ГОСТ Р 8.563. Алгоритмы и программные средства, используемые для обработки результатов наблюдений, должны быть аттестованы в соответствии с рекомендациями
[2],
[3] и
[4].
6.5. Применяемые технические средства должны быть работоспособными и соответствовать требованиям, предъявляемым к ним применительно к решению задач управления объектом контроля. Средства измерений следует выбирать с учетом рекомендаций
[5].
Средства измерений, используемые в составе СДК, должны быть калиброваны, а также сертифицированы или соответствие этих средств измерений показателям, представленным в технической документации на них, должно быть подтверждено декларацией изготовителя.
В случае если контроль осуществляют в сферах государственного метрологического контроля и надзора, средства измерений должны быть утвержденных типов и поверены.
Те же требования относятся к каналам ИИС и АСУ ТП, если такие каналы участвуют в решении задач допускового контроля.
6.6. Технические средства СДК должны обеспечить погрешность оценки значения контролируемой величины, гарантирующую заданный уровень показателей достоверности контроля.
Методы и средства метрологического обеспечения средств допускового контроля должны способствовать своевременному выявлению и предупреждению возникновения их отказов.
Для средств измерений, используемых в СДК, выбирают или разрабатывают соответствующие методы и средства калибровки или поверки.
6.7. Разработчики СДК должны предусмотреть возможность оперативной проверки характеристик СДК.
Реализуемая многопараметрическая СДК при условии существования статистической зависимости между отдельными контролируемыми характеристиками объекта контроля может быть использована в целях диагностики состояния системы контроля.
(обязательное)
МЕТРОЛОГИЧЕСКАЯ ЭКСПЕРТИЗА ПРОЕКТНОЙ ДОКУМЕНТАЦИИ
НА СИСТЕМУ ДОПУСКОВОГО КОНТРОЛЯ
Цель метрологической экспертизы проектной документации на СДК заключается в анализе и оценке технических решений по выбору методик измерений, средств измерений, решающих правил, границ допусков и решений по метрологическому обеспечению системы контроля. Метрологическая экспертиза проектной документации на СДК призвана выявить ошибочные или недостаточно обоснованные решения и, если это возможно, дать рекомендации по их исправлению.
А.1. Организация работ по проведению метрологической экспертизы
А.1.1. Метрологическую экспертизу ТЗ на СДК в целом или на ее основные части проводят компетентные специалисты из числа разработчиков системы или специалисты сторонних организаций.
А.1.2. Метрологическую экспертизу проектной документации проводят при приемке эскизного или технического проекта СДК силами специалистов из состава комиссии по приемке. В состав комиссии включают специалистов-метрологов.
По решению заказчика СДК метрологическая экспертиза может быть проведена при приемке рабочего проекта.
Метрологическую экспертизу проектной документации действующей СДК проводит по решению руководителя предприятия специально назначенная им группа специалистов с участием представителей метрологической службы или иного подразделения, осуществляющего работы по метрологическому обеспечению производства.
А.1.3. Конструкторскую и технологическую документацию на отдельные части СДК или технические средства, применяемые в ее составе, подвергают метрологической экспертизе в процессе их разработки. Экспертизу проводят метрологи предприятия или специально подготовленные эксперты из числа разработчиков документации.
А.2. Основные задачи метрологической экспертизы
А.2.1. Метрологическая экспертиза технического задания на СДК
В ТЗ на СДК анализируют исходные данные, на основе которых осуществляют выбор контролируемых величин, назначение требований к показателям достоверности контроля, выбор или разработку технических средств контроля, включая средства и методики измерений.
А.2.1.1. В ТЗ на СДК проверяют наличие и ясность формулировок следующих характеристик:
- требований к надежности СДК и ее составляющим частям, включая программное обеспечение, а также техническим средствам;
- условий эксплуатации СДК, возможности ее функционирования при отклонении внешних условий от предусмотренных ТЗ (параметров питания, климатических условий, иных воздействующих факторов), необходимости и возможности обслуживания системы и входящих в ее состав технических средств;
- требований к персоналу, осуществляющему эксплуатацию и обслуживание СДК;
- условий транспортирования, хранения, монтажа, ликвидации и утилизации технических средств, входящих в состав СДК.
А.2.1.2. К анализируемым исходным данным в ТЗ на СДК относят следующие характеристики:
- номенклатуру контролируемых характеристик объекта контроля (она должна соответствовать требованиям
5.1);
- требования к достоверности контроля
(6.2);
- требования к точности оценки значений контролируемых параметров с учетом погрешностей, вносимых используемыми методиками измерений;
- требования к надежности и погрешности средств измерений или иных технических средств, используемых в составе СДК (калибров, шаблонов, каналов ИИС или АСУ ТП). Эти требования должны быть согласованы с перечисленными ранее и должны учитывать возможность возникновения методических и других неинструментальных погрешностей, вносимых, например, решающими правилами;
- требования к критериям и методикам оценки технического состояния и метрологических характеристик технических средств, входящих в состав СДК, включая поверку средств измерений и контроль программного обеспечения.
А.2.2. Метрологическая экспертиза проектной документации на СДК
К анализируемым объектам и характеристикам в проектной документации на СДК относят:
- номенклатуру контролируемых параметров, которая должна быть адекватна задачам управления объектом контроля. Наименования характеристик объекта, подлежащих контролю, не должны допускать неоднозначного толкования;
- показатели достоверности контроля (должны соответствовать установленным в ТЗ на СДК);
- способы определения точности оценки значений контролируемых параметров (должны быть основаны на соответствующих методических документах Государственной системы обеспечения единства измерений);
- методики измерений при их использовании в данной СДК (анализируют их соответствие
ГОСТ Р 8.563, возможность реализации в заданных условиях, затраты на измерения и их трудоемкость, а также, если методика не аттестована, - программу и методику аттестации);
- технические средства и средства измерений в случае их использования в данной СДК. При этом проверяют: утверждение типа (только для средств измерений), соответствие надежности и метрологических характеристик установленным в ТЗ требованиям, возможность эксплуатации в заданных условиях, наличие средств и методов контроля технического состояния и метрологических характеристик (для средств измерений - методов и средств поверки или калибровки), возможность организации контроля технических средств силами предприятия или сторонних организаций, возможность поверки или калибровки встроенных средств измерений, возможность реализации алгоритмов и устройств самоповерки или калибровки и контроля работоспособности в условиях функционирования СДК;
- алгоритмы обработки результатов наблюдений и принятия решений о результатах контроля (определяют: соответствие результата обработки значению контролируемой величины, наличие методической погрешности и ее влияние на достоверность контроля, возможность аттестации программных средств, их защищенность от непреднамеренного или умышленного искажения, возможность контроля программных средств в процессе эксплуатации).
Если в материалах проекта СДК содержится описание процедур и результатов испытаний СДК или ее частей, то кроме указанных объектов и характеристик анализируют следующее:
- соответствие условий испытаний условиям эксплуатации, а также возможным отклонениям от этих условий, если такая возможность предусмотрена ТЗ;
- методы и средства оценки показателей функционирования СДК и внешних воздействий при испытаниях (соответствие указанных методов и средств задачам испытаний);
- наличие отклонений результатов испытаний от действительных показателей функционирования СДК, связанных с погрешностью задания режимов работы СДК при испытаниях и внешними воздействиями на нее, объективность оценки указанных отклонений и их значимость для результатов испытаний.
А.2.3. Во всей технической документации, подвергаемой метрологической экспертизе, контролируют соответствие метрологических терминов, наименований измеряемых величин и обозначений их единиц установленным в соответствующих нормативных документах.
А.3. Оформление и реализация результатов метрологической экспертизы
А.3.1. Результаты метрологической экспертизы документации на объекты, указанные в
А.1.1 и
А.1.3, излагают в экспертном заключении, которое утверждает руководитель организации, проводившей метрологическую экспертизу, или иное должностное лицо, назначенное руководителем.
А.3.2. Результаты метрологической экспертизы эскизного или технического проекта излагают в соответствующих материалах комиссии по приемке (акте, протоколе и т.п.).
А.3.3. По замечаниям и предложениям, содержащимся в экспертных заключениях или материалах комиссии, которые не могут быть реализованы разработчиками документации в короткие сроки, составляют план мероприятий по реализации замечаний и предложений комиссии по приемке проекта.
А.3.4. Контроль за реализацией замечаний и предложений, содержащихся в экспертном заключении, осуществляет метрологическая служба предприятия-заказчика или иное подразделение, выполняющее работы по метрологическому обеспечению производства (в обоснованных случаях контроль может быть возложен на подразделение, которое будет эксплуатировать СДК).
(обязательное)
ОПРЕДЕЛЕНИЕ ПОКАЗАТЕЛЕЙ ДОСТОВЕРНОСТИ СИСТЕМ
ДОПУСКОВОГО КОНТРОЛЯ
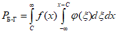
В простейшем случае однопараметрического (одномерного) двуальтернативного контроля с заданной верхней границей допуска x <= C:
- вероятность отнесения действительно годного объекта к бракованным

задают выражением

, (Б.1)
где f(x) - плотность вероятности распределения контролируемой величины;

- плотность вероятности распределения погрешности оценки значения контролируемой величины x;
- вероятность отнесения действительно бракованного объекта к годным

описывают как

. (Б.2)
Наибольшее предельное значение

, превышающее границу допуска C, которое может принимать контролируемая величина x с заданной вероятностью

при условии, что по результатам контроля принято решение отнести объект к годным x <= C, может быть оценено на основании зависимости

. (Б.3)
При этом необходимо найти такое значение

, при котором

примет заданное значение. Это легко выполнимо, если интеграл представлен в аналитических функциях. Однако при наиболее часто применяемом для аппроксимации реальных контролируемых величин и погрешностей нормальном законе распределения подынтегральная функция не удовлетворяет указанному условию и все приведенные выше показатели достоверности контроля оценивают численными методами.
[1] Федеральный
закон от 26 июня 2008 г. N 102-ФЗ "Об обеспечении единства
измерений"
[2] Рекомендации по метрологии Государственная система обеспечения
программ обработки данных при измерениях.
Основные положения
[3] Рекомендации по метрологии Государственная система обеспечения
программному обеспечению средств измерений
[4] Рекомендации по метрологии Государственная система обеспечения
аттестации программного обеспечения
средств измерений и порядок ее проведения
[5] Рекомендации по метрологии Государственная система обеспечения
средств измерений при разработке методик
выполнения измерений. Общие положения.