Главная // Актуальные документы // ПравилаСПРАВКА
Источник публикации
М., 2018
Примечание к документу
Документ утратил силу с 29.01.2024 в связи с изданием
Приказа Минстроя России от 28.12.2023 N 1019/пр, утвердившего новый Свод правил
СП 415.1325800.2023.
Документ включен в
Перечень документов в области стандартизации, в результате применения которых на добровольной основе обеспечивается соблюдение требований Федерального
закона от 30.12.2009 N 384-ФЗ "Технический регламент о безопасности зданий и сооружений" (
Приказ Росстандарта от 02.04.2020 N 687).
Документ включен в
Перечень документов в области стандартизации, в результате применения которых на добровольной основе обеспечивается соблюдение требований Федерального
закона от 30.12.2009 N 384-ФЗ "Технический регламент о безопасности зданий и сооружений" (
Приказ Росстандарта от 17.04.2019 N 831).
Документ
введен в действие с 16 мая 2019 года.
Название документа
"СП 415.1325800.2018. Свод правил. Здания общественные. Правила акустического проектирования"
(утв. Приказом Минстроя России от 15.11.2018 N 728/пр)
"СП 415.1325800.2018. Свод правил. Здания общественные. Правила акустического проектирования"
(утв. Приказом Минстроя России от 15.11.2018 N 728/пр)
и жилищно-коммунального хозяйства
Российской Федерации
от 15 ноября 2018 г. N 728/пр
СВОД ПРАВИЛ
ЗДАНИЯ ОБЩЕСТВЕННЫЕ.
ПРАВИЛА АКУСТИЧЕСКОГО ПРОЕКТИРОВАНИЯ
Public Buildings. The rules of acoustic design
СП 415.1325800.2018
Дата введения
16 мая 2019 года
Сведения о своде правил
1 ИСПОЛНИТЕЛЬ - Научно-исследовательский институт строительной физики Российской академии архитектуры и строительных наук (НИИСФ РААСН)
2 ВНЕСЕН Техническим комитетом по стандартизации ТК 465 "Строительство"
3 ПОДГОТОВЛЕН к утверждению Департаментом градостроительной деятельности и архитектуры Министерства строительства и жилищно-коммунального хозяйства Российской Федерации (Минстрой России)
4 УТВЕРЖДЕН
приказом Министерства строительства и жилищно-коммунального хозяйства Российской Федерации от 15 ноября 2018 г. N 728/пр и введен в действие с 16 мая 2019 г.
5 ЗАРЕГИСТРИРОВАН Федеральным агентством по техническому регулированию и метрологии (Росстандарт)
6 ВВЕДЕН ВПЕРВЫЕ
В случае пересмотра (замены) или отмены настоящего свода правил соответствующее уведомление будет опубликовано в установленном порядке. Соответствующая информация, уведомление и тексты размещаются также в информационной системе общего пользования - на официальном сайте разработчика (Минстрой России) в сети Интернет
Настоящий свод правил разработан в соответствии с Федеральным
законом от 30 декабря 2009 г. N 384-ФЗ "Технический регламент о безопасности зданий и сооружений", Федеральным
законом от 27 декабря 2002 г. N 184-ФЗ "О техническом регулировании" и в развитие
СП 51.13330.2011 "СНиП 23-03-2003. Защита от шума" с учетом требований
СП 118.13330.2012 "СНиП 31-06-2009. Общественные здания и сооружения".
Целью настоящего свода правил является обеспечение оптимальных акустических условий в крытых спортивно-зрелищных сооружениях большой вместимости.
Свод правил разработан авторским коллективом НИИСФ РААСН (канд. техн. наук В.Н. Сухов, канд. техн. наук Х.А. Щиржецкий, инж. А.О. Субботкин).
Настоящий свод правил распространяется на акустическое проектирование, обеспечивающее оптимальные акустические условия в новых и реконструируемых крытых залах СЗС большой вместимости различного назначения, в т.ч.:
- в универсальных спортивно-концертных залах вместимостью от 10 тыс. человек и более, со стационарной игровой площадкой, предназначенных для игровых видов спорта, с возможностью размещения зрителей на игровой площадке для проведения концертных мероприятий;
- на аренах и стадионах, с возможностью их трансформаций от открытого до полностью закрытого типа вместимостью более 20 тыс. человек.
В настоящем своде правил использованы нормативные ссылки на следующие документы:
ГОСТ 12.1.036-81 Система стандартов безопасности труда. Шум. Допустимые уровни в жилых и общественных зданиях
ГОСТ 23337-2014 Система стандартов безопасности труда. Шум. Методы измерения шума на селитебной территории и в помещениях жилых и общественных зданий
ГОСТ Р ИСО 3382-2 Акустика. Измерение акустических параметров помещений. Часть 2. Время реверберации обычных помещений
СП 271.1325800.2016 Системы шумоглушения воздушного отопления, вентиляции и кондиционирования воздуха. Правила проектирования
СП 275.1325800.2016 Конструкции ограждающие жилых и общественных зданий. Правила проектирования звукоизоляции
СН 2.2.4/2.1.8.562-96 Шум на рабочих местах, в помещениях жилых, общественных зданий и на территории жилой застройки
3.1 В настоящем своде правил применены термины и определения по
СП 51.13330, а также следующие термины с соответствующими определениями:
3.1.1 звуковая волна: Упругая продольная волна, которая распространяется в воздухе и, достигая уха человека, вызывает звуковые ощущения.
3.1.2 скорость звука в воздухе c, м/с: Скорость распространения звуковых волн в воздухе. При температуре 20 °C она равна 340 м/с; это значение принимается при акустических расчетах помещений, эксплуатируемых в обычных температурно-влажностных условиях.
3.1.3 чистый тон: Звук, форма амплитуды которого является гармонической, т.е. выражается в виде синусоидальной функции времени.
3.1.4
длина звуковой волны
, м: Величина, прямо пропорциональная скорости звука
c, м/с и обратно пропорциональная его частоте
f, Гц, определяемая по формуле

.
3.1.5 диффузное звуковое поле: Звуковое поле, во всех точках которого усредненные во времени уровень звукового давления и поток звуковой энергии, приходящий по любому направлению, постоянны.
3.1.6 акустическое отношение R: Отношение плотности звуковой энергии отраженного и прямого звука в данной точке звукового поля.
3.1.7 время реверберации T: Время, в секундах, необходимое для спада уровня звукового давления в замкнутых помещениях на 60 дБ после прекращения работы источника звука.
4 Обозначения и сокращения
4.1 В настоящем своде правил применены следующие сокращения:
СЗС - спортивно-зрелищные сооружения;
СО - система озвучения;
СЗВ - система звуковоспроизведения;
ССО - сосредоточенные системы озвучения;
ЗСО - зональные системы озвучения;
РСО - распределенные системы озвучения;
УЗД - уровень звукового давления, дБ;
ЧХП - частотная характеристика передачи;
ИТП - индивидуальный тепловой пункт.
4.2 В настоящем своде правил применены следующие обозначения:

- неравномерность звукового поля, дБ: разность между текущим максимальным и минимальным уровнями звукового давления в пределах звукового поля озвучиваемой площади;
Lтреб - требуемый уровень звукового поля, дБ.
Оптимальная методика акустического проектирования современных многофункциональных залов СЗС большого объема включает следующие последовательные этапы инженерных расчетов и разработок.
5.1 Оценка акустических параметров проектируемого объекта.
5.2 Коррекция, в случае необходимости, основной архитектурной концепции зала СЗС на основании акустического анализа его объемно-планировочного решения.
5.3 Разработка комплекса мероприятий по шумозащите и звукоизоляции зала СЗС средствами строительной акустики в соответствии с
СП 51.13330 и
разделом 7 настоящего свода правил.
5.4 Предварительный акустический расчет зала по методике, изложенной в
разделе 13 СП 51.13330.2011, с учетом современных требований к акустике музыкальных концертных площадок. Для создания необходимого звукопоглощения на низких частотах следует использовать не только широкополосные, но и специальные резонансные низкочастотные звукопоглощающие конструкции.
5.5 После согласования основных акустических требований по форме, конструкциям и материалам отделки интерьера проектируемого зала СЗС следует выполнить с помощью верифицированных компьютерных программ математического моделирования контрольный расчет времени реверберации и расчет локальных акустических критериев. Следует учесть, что эстетическая и информационно-техническая деталировки интерьера существенно повышают фонд звукопоглощения в области средних и высоких частот, что, в сочетании с заметным поглощением звука в воздухе в помещениях объемом более

, приведет к падению реверберации на частотах >= 1000 Гц ниже оптимальных значений. При этом очень важен правильный, с позиции достижения требуемого общего фонда звукопоглощения, выбор конструкций кресел проектируемого зала.
5.6 Электроакустический проект зала следует выполнять посредством компьютерного моделирования при сочетании глобальных критериев (
RT60) акустики проектируемого зала, определяемых в "живом" звуке, с локальными акустическими и электроакустическими характеристиками
(приложение А), рассчитываемыми для разных режимов озвучения.
5.7 На завершающем этапе акустического проектирования зала СЗС следует проводить обязательную проверку и визирование исполнительских чертежей, содержащих разработанные акустические мероприятия, специалистами-акустиками. Все разработки средств звукофикации проектируемого зала СЗС должны создавать благоприятную среду восприятия аудиовизуальной обстановки в зале для инвалидов с пониженным слухом и зрением.
6 Акустические требования к основным архитектурно-строительным параметрам залов СЗС
6.1 Основными архитектурно-строительными параметрами залов СЗС, определяющими их акустику, являются: общее объемно-планировочное решение зала, формы и конструкция его ограждений, деталировка и меблировка интерьера, а также все составляющие дизайн-проекта зала.
6.2 Техническое задание на акустическое проектирование соответствующего зала СЗС должно включать:
а) полный перечень всех вариантов эксплуатации зала;
б) объемно-планировочное решение каждого варианта эксплуатации зала;
в) общее количество зрителей, спортсменов и исполнителей культурно-зрелищных мероприятий;
г) перечень необходимого технологического оборудования для каждого варианта эксплуатации зала;
д) требуемую площадь (пола, арены или игрового поля) для каждого варианта эксплуатации зала.
6.3 Для каждого зала следует определять значения исходных параметров, необходимых для акустических расчетов, в т.ч.:
V1 - удельный воздушный объем на человека, м3/чел.;
Nmax - максимальное количество человек, участвующих в разных мероприятиях;
Sn - требуемая по соответствующим нормам для проектирования спортивных мероприятий максимальная площадь основания зала, м2;

и

- средние длина и ширина проектируемого зала, м;

- средняя высота проектируемого зала до потолка или нижней обвязки ферм, м;
Vmax - максимальный общий воздушный объем зала для каждой из трансформаций, м3.
Для оптимального выбора основных габаритов зала и для увеличения диффузности звукового поля в зале основные размеры и пропорции зала должны отвечать следующим требованиям:
Vmax = NmaxV1;

(6.1)

.
6.4 При акустическом проектировании зала следует исключить создание плоскопараллельных или криволинейных поверхностей большой площади. Наличие широко разнесенных плоскопараллельных поверхностей (обычно противоположных стен) ведет к возникновению "порхающего" эха, а криволинейных, с центром кривизны внутри воздушного объема зала (особенно вблизи зрительских мест), к вредным фокусировкам звука. Наличие цилиндрических и куполообразных объемов может привести к возникновению акустических дефектов, упомянутых выше.
7 Требования к звукоизоляции залов СЗС от проникающих шумов и рекомендации по расчету и разработке шумозащитных мероприятий
После оптимального выбора основных архитектурно-строительных параметров зала следует разработать мероприятия по звукоизоляции и защите от шума зала СЗС в соответствии с
ГОСТ 12.1.036,
СП 51.13330 и
СН 2.2.4/2.1.8.562.
Для обеспечения в проектируемом зале условий акустического комфорта следует разработать комплекс мероприятий по защите от шума инженерного оборудования в соответствии с
СП 51.13330 и
СП 271.1325800.
7.1 При разработке проектной документации объектов капитального строительства и реконструкции зданий требования по защите от шума должны быть рассмотрены и документально зафиксированы в виде норм в следующих разделах:
- в разделе "Архитектурно-строительные решения" (для объектов жилищно-гражданского строительства) должны быть выполнены расчеты ожидаемых уровней шума в помещениях с нормируемыми уровнями шума, определена требуемая звукоизоляция воздушного и ударного шумов ограждающими конструкциями здания и разработаны их технические решения;
- в разделе "Инженерное оборудование" на основе расчета ожидаемых уровней шума, создаваемого инженерным оборудованием здания, должны быть намечены и обоснованы соответствующими расчетами решения по звуко- и виброизоляции инженерного оборудования.
7.2 Мероприятия по защите от шума в помещениях, требующих специального акустического благоустройства и создания оптимальных условий для восприятия аудио информации (в т.ч. спортивно-зрелищные залы), должны предусматривать:
- объемно-планировочное решение зала в соответствии с
пунктом 6.3 настоящего свода правил;
- применение ограждающих конструкций, обеспечивающих требуемую звукоизоляцию от внутренних и внешних источников шума; звукопоглощающих материалов и конструкций; звукоотражающих и звукорассеивающих конструкций;
- установку глушителей шума в системах принудительной вентиляции и кондиционирования воздуха.
7.3 Акустический расчет следует производить в следующей последовательности:
- выявление источников шума и определение их шумовых характеристик в соответствии с
ГОСТ 23337;
- выбор точек в помещениях, для которых необходимо провести расчет в соответствии с
ГОСТ 23337;
- определение путей распространения шума от источника (источников) до расчетных точек и потерь звуковой энергии по каждому из путей (снижение за счет расстояния, экранирования, звукоизоляции ограждающих конструкций, звукопоглощения и др.);
- определение ожидаемых уровней шума в расчетных точках;
- определение требуемого снижения уровней шума на основе сопоставления ожидаемых уровней шума с допустимыми уровнями шума;
- разработка мероприятий по обеспечению требуемого снижения уровней шума;
- проверочный расчет достаточности выбранных шумозащитных мероприятий.
| | ИС МЕГАНОРМ: примечание. В официальном тексте документа, видимо, допущена опечатка: имеется в виду СП 271.1325800.2016, а не СП 71.1325800. | |
7.6 К защищаемым от шума помещениям относятся: спортивно-зрелищные залы для игровых видов спорта, катки с искусственным льдом для фигурного катания; аппаратные диспетчерской связи, видеозвукозаписи, звукоусиления и переводов; кабины теле- и радиокомментаторов; тренерские, учебные классы, методические кабинеты; административные помещения.
7.7 Максимальные уровни звукового давления, возникающие в залах крытых спортивных сооружений, в зависимости от вида спорта и режима работы представлены в таблице 7.1.
Таблица 7.1
Максимальные уровни звукового давления, дБ
Вид спорта, режим | Среднегеометрические частоты октавных полос, Гц |
63 | 125 | 250 | 500 | 1000 | 2000 | 4000 | 8000 |
1 Футбол: | | | | | | | | |
тренировка | 63 | 75 | 75 | 71 | 69 | 68 | 65 | 52 |
2 Хоккей на траве: | | | | | | | | |
тренировка | 65 | 70 | 73 | 69 | 68 | 67 | 62 | 52 |
3 Легкая атлетика: | | | | | | | | |
тренировка | 63 | 59 | 60 | 64 | 62 | 61 | 58 | 45 |
соревнования | 83 | 90 | 92 | 96 | 85 | 80 | 74 | 60 |
4 Гимнастика: | | | | | | | | |
тренировка | 62 | 58 | 59 | 59 | 55 | 54 | 51 | 45 |
соревнования | 70 | 76 | 76 | 80 | 79 | 73 | 66 | 54 |
5 Волейбол: | | | | | | | | |
соревнования | 75 | 83 | 88 | 90 | 96 | 92 | 92 | 80 |
6 Гандбол: | | | | | | | | |
соревнования | 60 | 67 | 75 | 79 | 77 | 76 | 76 | 68 |
7 Хоккей: | | | | | | | | |
тренировка | 63 | 64 | 64 | 66 | 75 | 73 | 70 | 62 |
соревнование | 100 | 103 | 105 | 109 | 108 | 100 | 94 | 80 |
8 Фигурное катание с музыкой: | | | | | | | | |
тренировка | 59 | 63 | 69 | 68 | 66 | 62 | 61 | 55 |
соревнование | 69 | 83 | 88 | 90 | 90 | 82 | 77 | 65 |
7.8 Уровни звукового давления, создаваемые вентиляционными установками и кондиционерами, следует определять с соответствии с
СП 271.1325800.
7.9 Значения требуемой изоляции воздушного шума между комментаторскими кабинами, обеспечиваемой разделяющей их перегородкой, должны быть не менее приведенных в таблице 7.2.
Таблица 7.2
Требуемая звукоизоляция между комментаторскими кабинами
Среднегеометрические частоты, Гц | 63 | 125 | 250 | 500 | 1000 | 2000 | 4000 | 8000 |
Звукоизоляция, дБ | 20 | 30 | 40 | 45 | 45 | 37 | 29 | 25 |
7.10 Требуемую изоляцию воздушного шума трансформируемыми перегородками, разделяющими залы на отдельные части, в зависимости от вида спорта и режима их эксплуатации следует определять расчетом в соответствии с
СП 275.1325800.
В залах, предназначенных только для проведения тренировок по разным видам спорта, когда зал разделен на части по технологическим условиям, требований к звукоизоляции перегородок не предъявляют.
7.11 Расчет фактической изоляции воздушного шума ограждающими конструкциями крытых спортивных сооружений следует производить в соответствии с требованиями
СП 275.1325800.
7.12 При разработке внутренней планировки здания необходимо, чтобы помещения с шумным оборудованием (например, вентиляционные камеры, компрессорные, ИТП и т.п.) не примыкали к спортивно-зрелищным залам и другим помещениям, требующим защиты от шума.
7.13 Коммутационный подпольный канал между комментаторскими кабинами в месте установки разделяющей перегородки следует перегораживать съемной диафрагмой (например, из фанеры, древесно-стружечных плит, технической резины и т.п. листовых материалов). Места прохода коммуникаций через диафрагму следует герметизировать с помощью специальных герметиков.
7.14 При проектировании и выполнении трансформируемых перегородок всех типов следует предусмотреть их герметизацию по контуру, а также стыков между отдельными элементами этих перегородок. Узлы примыкания перегородок к стенам и перекрытиям должны быть герметичными. Способы обеспечения герметичности этих узлов должны согласовываться со специалистами-акустиками.
7.15 Основными техногенными источниками шума инженерного оборудования в крытых спортивных сооружениях являются вентиляторы, регулирующие и дросселирующие устройства, концевые воздухораспределительные устройства систем вентиляций и кондиционирования воздуха, насосные агрегаты систем водоснабжения и отопления.
| | ИС МЕГАНОРМ: примечание. В официальном тексте документа, видимо, допущена опечатка: имеется в виду СП 51.13330.2011, а не СП 51.133302. | |
7.16 Разработку мероприятий по снижению шума систем вентиляции и кондиционирования следует осуществлять в соответствии с требованиями
СП 51.133302 и
СП 271.1325800.
7.17 В силу специфики вентиляции крытых спортивных сооружений (большие объемы помещений, высокая скорость выпуска воздуха через воздухораспределители) в качестве воздухораспределителей можно рекомендовать конструкции, основной частью которых является осесимметричное сопло. В целях генерации минимального шума величина конусности сопла (отношение площадей входного и выходного отверстий сопла) должна находиться в пределах от 3 до 3,5.
Уровни шума, генерируемого сопловыми воздухораспределителями в зависимости от конструктивных особенностей, расхода воздуха (от 250 до 25000 м3/ч), перепада давления (от 100 до 200 Па) и размеров помещения, должны находиться в диапазоне от 28 до 35 дБA.
7.18 Для центральных глушителей систем вентиляции и кондиционирования следует применять звукопоглощающие пластины толщиной до 400 мм. Допускаемая скорость воздуха в этих глушителях 8 - 10 м/с. Установка обтекателей на звукопоглощающие пластины является обязательной.
8 Акустические критерии оценки залов СЗС
8.1 Нормативные значения акустических критериев
Для акустического проектирования зала следует использовать две системы параметров акустической обстановки в СЗС:
1) глобальные, определяющие средние значения акустических характеристик зала;
2) локальные, определяющие акустическую обстановку в отдельных точках (зонах) проектируемого зала.
Глобальными критериями акустики залов являются: частотная характеристика времени реверберации и степень диффузности (равномерности) звукового поля. Нормативные требования по объемным оптимумам времени реверберации и методика его расчета представлены в
8.2.
Локальные критерии акустики залов представлены в
приложении А и их следует определять расчетом с помощью математического (компьютерного) моделирования (см.
8.3). С помощью рассчитанных параметров объективно оцениваются разборчивость речевой информации и качество восприятия музыки в различных зонах проектируемого зала (партер, трибуны, ложи и т.п.). Расчет локальных критериев следует производить только в режиме озвучения зала.
8.2 Время реверберации и звукопоглощающая отделка проектируемого зала
8.2.1 В соответствии с воздушным объемом проектируемого зала СЗС
Tопт(
V) по графику на рисунке 8.1 следует определять значение оптимального времени реверберации на средних частотах для соответствующих основному назначению объекта двух вариантов его эксплуатации: максимальное заполнение зала публикой (концертный режим) - график 1; рабочее заполнение зала со свободным основанием (спортивный режим) - график 2. Погрешность определения
Tопт(
V) - не более 0,05 с, а "трубка" допустимых значений подъема времени реверберации на низких частотах и спада на высоких частотах должна соответствовать требованиям
раздела 13 СП 51.13330.2011.
1 - концертный режим; 2 - спортивный режим
Рисунок 8.1 - Рекомендуемое время реверберации на средних
частотах (500 - 1000 Гц) в зависимости от объема зала
8.2.2 Расчет требуемого фонда звукопоглощения зала СЗС (концертный режим) следует начинать с определения критической частоты, Гц.

. (8.1)
Если fкр < 125 Гц, то расчет времени реверберации T, с, следует проводить в шести октавных полосах со среднегеометрическими частотами 125, 250, 500, 1000, 2000 и 4000 Гц по следующим формулам:
- в диапазоне


, (8.2)
- в диапазоне


, (8.3)
где V - воздушный объем помещения, м3;

- функция среднего коэффициента звукопоглощения (КЗП) помещения

;
S - общая площадь ограждений зала, м2;
n - показатель, учитывающий поглощение звука в воздухе, значения которого приведены в
приложении Г (при отсутствии точной информации о предполагаемом влажностном режиме в проектируемом зале, показатель
n при расчетах принимают равным для частоты 2000 Гц - 0,009, для частоты 4000 Гц - 0,022).
Средний КЗП помещения

в соответствующих октавных полосах частот следует определять по формуле:

. (8.4)
Суммарную эквивалентную площадь звукопоглощения (ЭПЗ) зала Aобщ, м2, следует определять по формуле

, (8.5)
где

- сумма произведений площадей отдельных поверхностей зала на соответствующие КЗП

для данной частоты;

- сумма эквивалентного звукопоглощения (ЭПЗ), вносимого слушателями и креслами, м
2;

- коэффициент добавочного звукопоглощения, учитывающий эффект, вызываемый проникновением звука в различные щели и отверстия, колебаниями находящихся в зале гибких элементов, световой арматурой и другим оборудованием зала. Коэффициент добавочного звукопоглощения на низких частотах принимают равным 0,09 и 0,05 - на средних и высоких частотах. В залах, где в соответствии с проектом сильно выражены условия, вызывающие добавочное звукопоглощение, эти значения следует увеличить на 30%, а в залах с простым интерьером - уменьшить на 30%.
В
приложениях В и
Г приведены необходимые для расчетов времени реверберации значения частотных характеристик КЗП некоторых материалов и конструкций, а также ЭПЗ спортсменов, зрителей и кресел.
Расчеты времени реверберации зала следует представлять в табулированном виде, с округлением результатов расчетов с погрешностью до +/- 0,05 с. Для четкого представления о соответствии расчетного времени реверберации зала его оптимальным значениям весь анализируемый диапазон звуковых частот

следует разделять на три характерных зоны: 1) низкие частоты

, 2) средние частоты

и 3) высокие частоты

. Нормируемым диапазоном является диапазон средних частот.
8.2.3 Следует провести контрольный расчет времени реверберации для спортивного режима. Если в результате расчета время реверберации будет соответствовать значениям графика 2 на
рисунке 8.1 с погрешностью +/- 0,05 с, то расчеты требуемой звукопоглощающей отделки для оптимизации времени реверберации зала СЗС следует считать законченными.
8.2.4 При несоответствии расчетных значений времени реверберации зала ее оптимальным значениям
Tопт(
V) следует провести коррекцию расчетных значений ЭПЗ путем обратного пересчета по
формулам (8.2) -
(8.5). При этом необходимо сближение расчетных значений ЭПЗ с оптимальными величинами путем изменения конструктивных решений ограждений зала и замены отделочных материалов. После оптимизации времени реверберации зала следует составить спецификацию необходимых специальных акустических материалов и конструкций с указанием мест их размещения в зале и дать рекомендации по меблировке и тканевой одежде зала.
8.2.5 На предварительном этапе акустического расчета зала следует разработать мероприятия по обеспечению диффузности звукового поля. Места размещения звукорассеивающих конструкций следует скоординировать с местами размещения гладких звукоотражающих конструкций и звукопоглощающей отделкой ограждений в соответствии с
СП 51.13330.
8.2.6 На следующем этапе акустического проектирования зала СЗС следует предоставить весь перечень разработанных акустических мероприятий авторам проекта для их согласования и внедрения на стадии рабочего проектирования зала.
8.3 Расчет акустических критериев зала СЗС на основе компьютерного моделирования
Математическая модель зала представляет собой совокупность плоских секций, поэтому на основании чертежей зала следует составить его модель с помощью компьютерной программы. Интерьер зала формируется из совокупности плоских секций. Каждой секции должно соответствовать (на данной октавной или 1/3-октавной полосе частот) определенное значение коэффициента звукопоглощения

в зависимости от типа материала ограждения. Конкретные значения

заимствуются из базы данных компьютерных программ. Расчеты параметров акустического качества следует производить для площади зрительских мест зала. Пример вида зала в изометрии, полученного при разработке математической (компьютерной) модели, приведен на рисунке 8.2.
Рисунок 8.2 - Вид зала в изометрии согласно математической
модели (серым цветом выделены зрительские места на трибунах)
8.3.1 В отличие от времени реверберации локальные критерии акустики проектируемого зала следует рассчитывать исключительно с помощью верифицированного программного обеспечения только в режиме озвучения проектируемого зала.
9 Требования к основным характеристикам системы озвучения залов СЗС
9.1 В залах современных крытых СЗС система озвучения (СО) эксплуатируется в следующих режимах:
- воспроизведение речи (объявления диктора, комментатора и т.д.);
- воспроизведение музыкального сопровождения мероприятий (фонограммы, звуковые эффекты и т.д.);
- усиление речи;
- усиление голосов солистов и музыкальных инструментов.
9.2 Основными субъективными характеристиками акустики зала СЗС являются:
- громкость звучания различных программ;
- понятность речевой информации;
- качество воспроизведения музыкальных программ;
- наличие шумовых помех и различных эхообразований.
9.3 Объективными аналогами субъективных характеристик акустики зала СЗС, создаваемых СО, являются:
- средние значения и неравномерность поля уровней звукового давления;
- сквозная частотная характеристика звукопередачи помещения;
- разборчивость речи и ясность музыкальных сигналов;
- громкость звука или отношение сигнал/шум при повышенном шумовом фоне;
- объективная оценка влияния на качество работы СО различных эхообразований (при их восприятии публикой).
9.4 Оптимальные значения средних уровней звукового давления и его допустимой неравномерности в зависимости от конкретной программы эксплуатации крытых залов СЗС представлены в таблице 9.1.
Таблица 9.1
Требуемые средние УЗД на площади СО
Назначение СО | Lтреб, дБ |  , дБ |
Воспроизведение музыки и театральных эффектов | 100 | +/- 3 |
Воспроизведение музыкальных программ; усиление голосов солистов | 94 - 96 | +/- 3 |
Усиление речи | 80 - 86 | +/- 4 |
Усиление речи на фоне музыкальных программ | 94 - 96 | +/- 4 |
Примечание - Требования к звуку и другим характеристикам СО открытых (полуоткрытых) спортивных арен и стадионов вместимостью более 20 тыс. человек представлены в приложении Д. |
9.5 При проектировании СО практические расчеты всех электроакустических характеристик звуковых полей и локальных критериев акустического качества следует проводить с помощью компьютерных программ акустического моделирования залов с учетом разработанных акустических критериев залов СЗС в режиме естественной акустики (см.
раздел 8).
9.6 Перед началом проектирования на компьютерной модели СО следует провести предварительные расчеты требуемой общей акустической мощности СО и АЗУ и радиуса гулкости залов СЗС. Данные параметры являются определяющими для оптимального выбора количества и расположения громкоговорителей и позволяют минимизировать сложности, возникающие у проектировщика СО: 1) перенасыщение зала СЗС избыточным количеством разветвленных акустических систем, сложных в управлении и требующих индивидуальной настройки на каждую программу эксплуатации зала СЗС; 2) связанная с этим опасность возникновения в режиме усиления микрофонов таких неприятных звуковых дефектов, как паразитная акустическая обратная связь и избыточная регенеративная реверберация.
9.7 Предварительный расчет минимально требуемой общей акустической мощности громкоговорителей Pак, Вт, следует проводить по формуле

, (9.1)
где
_ требуемые уровни звукового давления в основных частотных полосах (низкие, средние, высокие), дБ.
Для точных расчетов по
формуле (9.1) следует учитывать допустимые уровни шума в октавных полосах частот при условии, что обеспечение этих уровней уже достигнуто на предыдущих этапах расчета.
9.8 Средние значения

, рекомендованные для разных режимов эксплуатации СО, приведены в
таблице 9.1. На этапах, когда режим эксплуатации СО еще не определен, следует принимать средний уровень звукового давления на площади СО, равным

. Тогда
формула (9.1) примет вид:

. (9.2)
9.9 Общую минимально требуемую электрическую мощность Pэл, Вт, громкоговорителей следует определять по формуле

, (9.3)
где

- к.п.д. звукоизлучателей (обычно не более 1%);

- пик-фактор акустического сигнала (у средней речи не более 5).
9.10 Полученное в результате расчетов значение электрической мощности излучателей следует корректировать в сторону увеличения, в связи с введением некоторого коэффициента запаса на устойчивость системы и неравномерность звукового поля, на 12 дБ.
9.11 Выбор СО следует производить исходя из того, что в залах СЗС применяются следующие основные типы СО: ССО, ЗСО и РСО (см.
раздел 4).
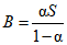
9.12 При выборе минимально необходимого количества громкоговорителей и структуры их размещения, исходя из конкретного объемно-планировочного и акустического решения зала, следует соблюдать следующие необходимые условия для достижения хорошей разборчивости речи:
- в каждой, даже самой удаленной, точке озвучения уровень прямого поля излучателя должен быть не менее чем в 2 раза выше уровня реверберационной составляющей поля (значение акустического отношения R <= 0,5);
- разность хода по времени между соседними в цепочке громкоговорителями должна быть даже в точке максимального запаздывания в зоне восприятия звука не более 20 мс, что соответствует разности хода по расстоянию около 7 м (последнее условие предусматривает одинаковую мощность излучения всех источников звука).
9.13. Окончательный выбор СО следует определять, исходя из выполнения следующего условия для радиуса действия прямого звука СО:

, (9.4)
где

- постоянная зала СЗС, зависящая от диапазона частот (низкие, средние, высокие);

- показатель направленности излучателя на исследуемую точку в зависимости от угла

(в том же диапазоне). Для предварительных расчетов допускается принимать

.
9.14 После выбора оптимальной СО проектируемого зала СЗС следует приступить к предварительному выбору типов акустических систем и соответствующего технологического оборудования.
На данном этапе на разработанной компьютерной акустической модели зала СЗС следует произвести расчет всех акустических и электроакустических характеристик на соответствие зонам оптимумов, представленных в
приложении А.
9.15 Если данные компьютерного расчета показывают полное соответствие расчетных значений зонам оптимумов, то основная часть электроакустического проекта считается завершенной.
9.16 Завершенным электроакустический проект следует считать после проведения:
- контроля опасности эхообразований выбранной системы размещения громкоговорителей;
- сравнения результатов расчета разборчивости речи, полученных разными методами;
- анализа сквозных частотных характеристик СО для настройки системы для воспроизведения речевых и музыкальных сигналов.
9.17 Проверку на отсутствие эха следует производить в соответствии с графиком на
рисунке 9.3.
При данном запаздывании

величина

не должна лежать выше пороговой кривой, показанной на рисунке 9.3.

- запаздывание звука громкоговорителя по отношению
к соседнему громкоговорителю;

- разность уровней звука
между соседними громкоговорителями
Рисунок 9.3 - Порог заметности эха
Примечание - При равномерном расположении громкоговорителей СО следует провести проверку отсутствия эха для одной точки озвучиваемой поверхности, а при неравномерном - необходимо рассмотреть несколько точек, охватывающих всю озвучиваемую поверхность.
9.18 Контрольную оценку параметров разборчивости речи в залах СЗС следует проводить по 2 методам:
1) по методу оптимизации параметра "четкости речи";
2) по методу оптимизации параметра "индекс передачи речи".
В соответствии с
ГОСТ 25902 достижение слоговой разборчивости более 80% обеспечивается при показаниях параметра "четкости речи" >= -3 дБ
(приложение А).
Параметр "индекс разборчивости речи" (STI) определяется по переходным характеристикам методом модуляционной передаточной функции (MTF). Индексы разборчивости речи, принятые по
ГОСТ Р ИСО 3382-1 и
ГОСТ Р ИСО 3382-2, представлены в таблице 9.2.
Таблица 9.2
Индексы передачи речи
Значения STI(RASTI) | 0,76 - 1,00 | 0,61 - 0,75 | 0,46 - 0,60 | 0,31 - 0,45 | 0,00 - 0,30 |
Разборчивость речи | Отличная | Хорошая | Удовлетворительная | Плохая | Недопустимо плохая |
В случае совпадения результатов контрольных расчетов по обоим методам, проблему достижения требуемой понятности речевой информации в проектируемом зале СЗС следует считать решенной.
9.19 При необходимости настройки СО индивидуально на воспроизведение речевых или музыкальных сигналов следует устанавливать сквозные частотные характеристики зала СЗС соответственно рисункам 9.4 и
9.5. При этом требования по УЗД, представленные в
таблице 9.1, следует относить только к нормируемому по основным акустическим характеристикам диапазону средних частот.
Рисунок 9.4 - Рекомендуемая форма ЧХП при звукоусилении речи
(одно деление по оси ординат равно 5 дБ)
Рисунок 9.5 - Рекомендуемая форма ЧХП
при звуковоспроизведении музыки высокого уровня
(одно деление по оси ординат равно 5 дБ)
10. Состав проектной документации по акустике проектируемого зала СЗС
На стадии рабочего проектирования должен быть разработан документ, охватывающий все мероприятия по акустическому проектированию по разделам "Акустика", "Шумозащита" и "Электроакустика". В данный документ должны быть обязательно включены результаты всех расчетных операций, предложения по форме, материалам и конструкциям ограждений, составу электроакустических трактов и режимов работы СО.
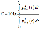
ЛОКАЛЬНЫЕ КРИТЕРИИ АКУСТИКИ ЗАЛОВ
А.1 Все интегральные энергетические параметры, основанные на обработке импульсных характеристик помещений, имеют в соответствии с
ГОСТ Р ИСО 3382-1 единую общую формулу:

, (А.1)
где tk1, tk2 - пределы интегрирования (в том числе и в случае tk1 = tk2, а также tk2 = 0), мс;

- текущее звуковое давление импульсного отзвука с переменной диаграммой направленности (0 - шаровая диаграмма приема звука, т.е. ненаправленный прием;

- диаграмма в виде "восьмерки");
А.2 Используя
формулу (А.1) можно рассчитать локальные критерии акустики залов, такие как:
А.2.1 Мера громкости
G. Зона оптимумов меры громкости

.
А.2.2 Мера четкости для речи
D50. Зона оптимумов меры четкости

. При этих условиях по проверенным опытным путем корреляционным связям со слоговой разборчивостью речи обеспечиваются субъективные оценки артикуляции I и II классов (т.е. не ниже хороших).
А.2.3 Прозрачность музыкальных звучаний C80. Ниже представлены рекомендации по зонам оптимумов для параметра C80 по типам музыкальных звучаний.
Таблица А.1
Зоны оптимумов параметра C80
Тип музыкального звучания | Органно-хоральные исполнения | Симфоническая музыка | Опера, камерная музыка | Эстрада, электронно-музыкальные инструменты |
C80, дБ | | | | |
Примечания 1 Настоящая таблица применима для залов с хорошей диффузностью (равномерностью) звукового поля. 2 Данные таблицы предполагают широкий спектр частотного анализа прозрачности музыкальных звучаний. |
А.2.4 Объемность (степень пространственного впечатления)
LE. Данный критерий является некоторым аналогом степени стереофоничности музыкальных звучаний. Зона оптимумов

ОБЩИЕ ТРЕБОВАНИЯ
К ЗВУКОПОГЛОЩАЮЩИМ МАТЕРИАЛАМ И КОНСТРУКЦИЯМ,
ДОПУСКАЕМЫМ К ПРИМЕНЕНИЮ В ЗАЛАХ СЗС
Для достижения высоких коэффициентов звукопоглощения акустических конструкций толщина плит должна быть не менее 50 - 100 мм. Акустические плиты должны удовлетворять следующим физико-техническим и эксплуатационным требованиям:
- иметь внешний вид, отвечающий требованиям дизайн-проекта и архитектурному решению интерьера;
- обладать коэффициентом формы, позволяющим создавать изогнутые (криволинейные) поверхности звукопоглощающей облицовки;
- обеспечивать выполнение противопожарных требований - быть негорючими и не способствовать распространению огня;
- быть термо- и влагостойкими, сохранять свои звукопоглощающие свойства в течение всего периода эксплуатации;
- допускать возможность очистки, в том числе и влажным способом, и сохранять свой первоначальный цвет;
- соответствовать санитарно-гигиеническим требованиям;
- обеспечивать удобство монтажа и возможность замены отдельных поврежденных элементов облицовки.
ЧАСТОТНЫЕ ХАРАКТЕРИСТИКИ КОЭФФИЦИЕНТОВ
ЗВУКОПОГЛОЩЕНИЯ НЕКОТОРЫХ МАТЕРИАЛОВ И КОНСТРУКЦИЙ
Таблица В.1
Строительные материалы и конструкции
Частоты октавных полос, Гц | 125 | 250 | 500 | 1000 | 2000 | 4000 |
Бетон окрашенный | 0,01 | 0,01 | 0,02 | 0,02 | 0,02 | 0,03 |
Штукатурка по металлической сетке | 0,04 | 0,05 | 0,06 | 0,08 | 0,05 | 0,05 |
Мрамор, гранит и другие каменные породы шлифованные | 0,01 | 0,01 | 0,01 | 0,01 | 0,02 | 0,02 |
Травертин | 0,02 | 0,03 | 0,03 | 0,03 | 0,04 | 0,04 |
Метлахская плитка | 0,01 | 0,01 | 0,02 | 0,02 | 0,02 | 0,03 |
ГКЛ толщиной 12,5 мм с воздушной прослойкой 50 - 150 мм | 0,30 | 0,25 | 0,10 | 0,08 | 0,05 | 0,04 |
Пол паркетный | 0,04 | 0,04 | 0,07 | 0,06 | 0,06 | 0,07 |
Портьеры плюшевые со складками, поверхностная плотность - 0,65 кг/м2 | 0,15 | 0,35 | 0,55 | 0,70 | 0,70 | 0,65 |
Таблица В.2
Некоторые акустические материалы и конструкции
Материал или конструкция | Коэффициент звукопоглощения на частотах, Гц |
125 | 250 | 500 | 1000 | 2000 | 4000 |
Слой пористо-волокнистого материала <1> толщиной 100 мм, покрытый стеклотканью и перфорированным металлическим экраном толщиной 1,2 мм, с коэффициентом перфорации 24%, диаметром отверстий 5,5 мм: | | | | | | |
- без воздушного относа | 0,30 | 0,90 | 0,99 | 0,99 | 0,99 | 0,95 |
- с воздушным относом | 0,47 | 0,99 | 0,99 | 0,99 | 0,99 | 0,99 |
Слой пористо-волокнистого материала <1> толщиной 100 мм, покрытый стеклотканью, размещенный без воздушного относа за панелями из просечно-вытяжного листа толщиной 1 мм, с коэффициентом перфорации 74% | 0,35 | 0,75 | 0,99 | 0,95 | 0,90 | 0,90 |
Напыляемое звукопоглощающее покрытие на основе хлопьев целлюлозы для потолков и стен. Толщина наносимого слоя от 5 до 35 мм: | | | | | | |
- толщина 15 мм | 0,14 | 0,25 | 0,26 | 0,95 | 0,97 | 1,00 |
- толщина 35 мм | 0,32 | 0,73 | 0,97 | 1,00 | 1,00 | 0,94 |
Гладкое бесшовное акустическое покрытие потолков или стен на основе базальтового волокна толщиной 35 мм | 0,23 | 0,46 | 0,95 | 0,92 | 0,92 | 0,92 |
Иглопробивное стекловолокно в оболочке из спанбонда или стеклоткани (ТЗИ) толщиной 15 мм: | | | | | | |
- с воздушным относом 100 мм | 0,20 | 0,50 | 0,90 | 0,90 | 0,80 | 0,80 |
- с воздушным относом 100 мм, заполняемым на 50 мм минплитой плотностью 40 - 60 кг/м3 | 0,50 | 0,90 | 1,00 | 0,95 | 0,85 | 0,80 |
Декоративные панели из древесного волокна на цементном связующем толщиной 35 мм, плотностью 420 кг/м3 | | | | | | |
- без воздушного относа: | 0,20 | 0,25 | 0,60 | 0,90 | 0,80 | 0,85 |
- на относе 50 мм с заполнением минплитой плотностью 40 - 60 кг/м3 | 0,35 | 0,80 | 1,00 | 0,75 | 0,80 | 0,85 |
- с воздушным относом 100 мм с заполнением 50-миллиметровой минплитой плотностью 40 - 60 кг/м3 | 0,45 | 0,95 | 0,85 | 0,60 | 0,80 | 0,80 |
<1> Слой пористо-волокнистого материала: минераловатные плиты плотностью 50 - 80 кг/м 3 или супертонкое стекловолокно плотностью 15 - 30 кг/м 3. |
ЭКВИВАЛЕНТНОЕ ЗВУКОПОГЛОЩЕНИЕ
Таблица Г.1
Эквивалентное звукопоглощение спортсменов, м2
Плотность расстановки спортсменов при отсутствии в зале зрителей | Частота, Гц |
125 | 250 | 500 | 1000 | 2000 | 4000 |
6 м2/чел. | 0,15 | 0,23 | 0,61 | 0,97 | 1,10 | 1,10 |
3 м2/чел. | 0,13 | 0,21 | 0,48 | 0,81 | 0,96 | 1,00 |
1 м2/чел. | 0,11 | 0,20 | 0,32 | 0,66 | 0,81 | 0,89 |
0,5 м2/чел. | 0,10 | 0,18 | 0,28 | 0,59 | 0,65 | 0,72 |
0,25 м2/чел. | 0,07 | 0,16 | 0,26 | 0,45 | 0,54 | 0,60 |
Таблица Г.2
Эквивалентное звукопоглощение зрителей, м2
Зрители и кресла | Частота, Гц |
125 | 250 | 500 | 1000 | 2000 | 4000 |
Зритель в мягком и полумягком кресле | 0,25 | 0,30 | 0,40 | 0,45 | 0,45 | 0,40 |
Зритель в жестком кресле | 0,20 | 0,25 | 0,30 | 0,35 | 0,35 | 0,35 |
Мягкое кресло с пористым заполнителем сиденья и спинки, закрытое воздухопроницаемой тканью | 0,08 | 0,10 | 0,15 | 0,15 | 0,20 | 0,20 |
То же кресло, закрытое искусственной кожей | 0,08 | 0,10 | 0,12 | 0,10 | 0,10 | 0,08 |
Жесткое кресло | 0,02 | 0,02 | 0,03 | 0,04 | 0,04 | 0,05 |
Таблица Г.3
Значения коэффициента n, м-1, для учета поглощения
звука в воздухе при температуре 20 °C
Относительная влажность воздуха, % | Частота, Гц |
2000 | 4000 |
30 | 0,012 | 0,038 |
40 | 0,010 | 0,029 |
50 | 0,010 | 0,024 |
60 | 0,009 | 0,022 |
70 | 0,008 | 0,021 |
80 | 0,008 | 0,020 |
90 | 0,008 | 0,020 |
К ОСНОВНЫМ ХАРАКТЕРИСТИКАМ СИСТЕМ ОЗВУЧЕНИЯ
ОТКРЫТЫХ (ПОЛУОТКРЫТЫХ) СПОРТИВНЫХ АРЕН И СТАДИОНОВ
Крупные спортивные сооружения вместимостью более 20 тыс. человек, в т.ч. стадионы и трансформируемые спортивные арены, должны иметь значения электроакустических характеристик не хуже следующих:
- максимальный уровень звукового давления - 116 дБ;
- неравномерность уровня прямого звука - +/- 3 дБ;
- неравномерность частотной характеристики:
+6/-3 дБ в диапазоне 50 - 120 Гц,
+/- 3 дБ в диапазоне 120 - 5000 Гц,
+4/-4 дБ в диапазоне 5000 - 12000 Гц;
- индекс разборчивости речи - STI > 0,55 при рекомендации STI > 0,75.
Звуковая система должна иметь возможность компенсировать атмосферные потери на высоких частотах.