Главная // Актуальные документы // ПравилаСПРАВКА
Источник публикации
М., 2016
Примечание к документу
Документ включен в
Перечень документов в области стандартизации, в результате применения которых на добровольной основе обеспечивается соблюдение требований Федерального
закона от 30.12.2009 N 384-ФЗ "Технический регламент о безопасности зданий и сооружений" (
Приказ Росстандарта от 02.04.2020 N 687).
Документ включен в
Перечень документов в области стандартизации, в результате применения которых на добровольной основе обеспечивается соблюдение требований Федерального
закона от 30.12.2009 N 384-ФЗ "Технический регламент о безопасности зданий и сооружений" (
Приказ Росстандарта от 17.04.2019 N 831).
Документ
введен в действие с 17 июня 2017 года.
Название документа
"СП 271.1325800.2016. Свод правил. Системы шумоглушения воздушного отопления, вентиляции и кондиционирования воздуха. Правила проектирования"
(утв. Приказом Минстроя России от 16.12.2016 N 959/пр)
"СП 271.1325800.2016. Свод правил. Системы шумоглушения воздушного отопления, вентиляции и кондиционирования воздуха. Правила проектирования"
(утв. Приказом Минстроя России от 16.12.2016 N 959/пр)
и жилищно-коммунального
хозяйства Российской Федерации
от 16 декабря 2016 г. N 959/пр
СВОД ПРАВИЛ
СИСТЕМЫ ШУМОГЛУШЕНИЯ ВОЗДУШНОГО ОТОПЛЕНИЯ,
ВЕНТИЛЯЦИИ И КОНДИЦИОНИРОВАНИЯ ВОЗДУХА
ПРАВИЛА ПРОЕКТИРОВАНИЯ
Noise reduction system of air heating, ventilating
and air conditioning. Rules of design
СП 271.1325800.2016
Дата введения
17 июня 2017 года
Сведения о своде правил
1 ИСПОЛНИТЕЛЬ - Научно-исследовательский институт строительной физики Российской академии архитектуры и строительных наук (НИИСФ РААСН)
2 ВНЕСЕН Техническим комитетом по стандартизации ТК 465 "Строительство"
3 ПОДГОТОВЛЕН к утверждению Департаментом градостроительной деятельности и архитектуры Министерства строительства и жилищно-коммунального хозяйства Российской Федерации (Минстрой России)
4 УТВЕРЖДЕН
приказом Министерства строительства и жилищно-коммунального хозяйства Российской Федерации от 16 декабря 2016 г. N 959/пр и введен в действие с 17 июня 2017 г.
5 ЗАРЕГИСТРИРОВАН Федеральным агентством по техническому регулированию и метрологии (Росстандарт)
6 ВВЕДЕН ВПЕРВЫЕ
В случае пересмотра (замены) или отмены настоящего свода правил соответствующее уведомление будет опубликовано в установленном порядке. Соответствующая информация, уведомление и тексты размещаются также в информационной системе общего пользования - на официальном сайте разработчика (Минстрой России) в сети Интернет
В настоящем своде учтены требования и рекомендации, соответствующие целям Федерального
закона от 30 декабря 2009 г. N 384-ФЗ "Технический регламент о безопасности зданий и сооружений" и подлежащие обязательному соблюдению с учетом
части 1 статьи 46 Федерального закона от 27 декабря 2002 г. N 184-ФЗ "О техническом регулировании".
Целью настоящего свода правил является обеспечение оптимальной с точки зрения акустики и экономики защиты от шума оборудования систем отопления, вентиляции и кондиционирования воздуха на основе точного акустического расчета и выбора систем шумоглушения.
В своде правил указаны допустимые уровни шума (уровни звукового давления) для вентиляционного оборудования, даны характеристики основных источников шума и приведены данные для расчета звуковой мощности. Изложены общие принципы и порядок проведения акустических расчетов для оценки шумового режима в зданиях различного назначения и на территории застройки, рассмотрены возможные мероприятия, средства и методы снижения прогнозируемых (расчетных) или фактических уровней шума до требований санитарных норм.
Свод правил разработан авторским коллективом НИИСФ РААСН (д-р техн. наук И.Л. Шубин, д-р техн. наук В.П. Гусев, инж. М.Ю. Лешко, инж. А.В. Сидорина), ФБГОУ ВПО "Тамбовский государственный технический университет" (канд. техн. наук А.И. Антонов).
Настоящий свод правил распространяется на системы отопления, вентиляции и кондиционирования воздуха (ОВК), используемые в зданиях различного назначения, и устанавливает порядок проектирования систем шумоглушения воздушного отопления, вентиляции и кондиционирования воздуха для оптимальной защиты от шума и обеспечения нормативных параметров акустической среды в помещениях производственных, жилых и общественных зданий, а также на прилегающих к ним территориях и в рекреационных зонах.
В настоящем своде правил использованы ссылки на следующие нормативные документы:
ГОСТ 12.1.003-2014 Система стандартов безопасности труда. Шум. Общие требования безопасности
ГОСТ 5976-90 Вентиляторы радиальные общего назначения. Общие технические условия
ГОСТ 11442-90 Вентиляторы осевые общего назначения. Общие технические условия
ГОСТ 14918-80 Сталь тонколистовая оцинкованная с непрерывных линий. Технические условия
ГОСТ 21880-2011 Маты из минеральной ваты прошивные теплоизоляционные. Технические условия
ГОСТ 24814-81 Вентиляторы крышные радиальные. Общие технические условия
ГОСТ 28100-2007 (ИСО 7235:2003) Акустика. Измерения лабораторные для заглушающих устройств, устанавливаемых в воздуховодах, и воздухораспределительного оборудования. Вносимые потери, потоковый шум и падение полного давления
ГОСТ 30691-2001 (ИСО 4871-96) Шум машин. Заявление и контроль значений шумовых характеристик
ГОСТ 31352-2007 (ИСО 5136:2003) Шум машин. Определение уровней звуковой мощности, излучаемой в воздуховод вентиляторами и другими устройствами перемещения воздуха, методом измерительного воздуховода
ГОСТ 31353.2-2007 (ИСО 13347-2:2004) Шум машин. Вентиляторы промышленные. Определение уровней звуковой мощности в лабораторных условиях. Часть 2. Реверберационный метод
ГОСТ 31353.4-2007 (ИСО 13347-4:2004) Шум машин. Вентиляторы промышленные. Определение уровней звуковой мощности в лабораторных условиях. Часть 4. Метод звуковой интенсиметрии
Примечание - При пользовании настоящим сводом правил целесообразно проверить действие ссылочных документов в информационной системе общего пользования - на официальном сайте федерального органа исполнительной власти в сфере стандартизации в сети Интернет или по ежегодному информационному указателю "Национальные стандарты", который опубликован по состоянию на 1 января текущего года, и по выпускам ежемесячного информационного указателя "Национальные стандарты" за текущий год. Если заменен ссылочный документ, на который дана недатированная ссылка, то рекомендуется использовать действующую версию этого документа с учетом всех внесенных в данную версию изменений. Если заменен ссылочный документ, на который дана датированная ссылка, то рекомендуется использовать версию этого документа с указанным выше годом утверждения (принятия). Если после утверждения настоящего свода правил в ссылочный документ, на который дана датированная ссылка, внесено изменение, затрагивающее положение, на которое дана ссылка, то это положение рекомендуется применять без учета данного изменения. Если ссылочный документ отменен без замены, то положение, в котором дана ссылка на него, рекомендуется применять в части, не затрагивающей эту ссылку. Сведения о действии сводов правил целесообразно проверить в Федеральном информационном фонде стандартов.
3.1 вентиляционная сеть: Сеть воздуховодов систем ОВК.
3.2 элементы сети: Прямые участки воздуховодов, повороты, тройники, диффузоры, конфузоры, шиберы и дроссель-клапаны, воздухораспределительные устройства, глушители.
3.3 потери звуковой энергии: Разность между уровнями звуковой мощности на входе в группу элементов (элемент) сети и выходе из нее.
3.4 уровень звуковой мощности на стороне всасывания вентилятора, дБ: Уровень звуковой мощности, излучаемой входом (входным патрубком) вентилятора.
3.5 уровень звуковой мощности на стороне нагнетания вентилятора, дБ: Уровень звуковой мощности, излучаемой выходом (выходным патрубком) вентилятора.
3.6 уровень звуковой мощности корпуса вентилятора, дБ: Уровень звуковой мощности, излучаемой корпусом вентилятора в окружающее пространство.
3.7 удельный уровень звуковой мощности вентилятора: Шумовая характеристика условного вентилятора данного типа, развиваемого производительность по воздуху 1 м3/с и полное давление 1 Па.
3.8 лопаточная частота, Гц: Частота прохождения лопаток рабочего колеса вентилятора мимо некоторой контрольной точки.
4.1 В состав проектов систем ОВК, используемых в зданиях различного назначения, рекомендуется включать раздел "Защита от шума", содержащий обоснование и сами защитные меры:
- акустический расчет, определение уровней аэродинамического, воздушного и структурного шума оборудования систем ОВК в зонах воздействия на человека внутри зданий и на прилегающей территории, а также их требуемое снижение;
- комплекс (систему) строительно-акустических мероприятий, обеспечивающий требуемое снижение уровней шума в октавных полосах частот.
4.2 Акустический расчет проводят в следующей последовательности:
- выявление источников шума и определение их шумовых характеристик;
- выбор точек в помещениях и на территориях, для которых необходимо провести расчет (расчетных точек);
- определение путей распространения шума от источника (источников) до расчетных точек и потерь звуковой энергии по каждому из путей (снижение за счет расстояния, экранирования, звукоизоляции ограждающих конструкций и др.);
- определение ожидаемых уровней шума в расчетных точках;
- определение требуемого снижения уровней шума на основе сопоставления ожидаемых уровней шума с допустимыми уровнями шума;
- разработка строительно-акустических мероприятий и технических решений, обеспечивающих требуемое снижение уровней шума;
- поверочный расчет и определение достаточности выбранных мероприятий для обеспечения защиты объекта или территории от повышенного шума.
4.3 Шумовые характеристики оборудования, которые являются исходными данными для акустического расчета, приведены в
[2]. Расчет проводят с точностью до десятых долей децибела, окончательный результат округляют до целых значений.
4.4 В общем случае строительно-акустические мероприятия по защите от шума систем ОВК и его снижению на пути распространения должны предусматривать:
- рациональные с акустической точки зрения объемно-планировочные решения зданий, исключающие расположение рядом с техническими помещениями с оборудованием (венткамерами, насосными, хладоцентрами), а также над и под ними помещений, требующих повышенной защиты от шума;
- ограждающие конструкции технических помещений с требуемой звукоизоляцией;
- звукоизолирующие кожухи на шумные агрегаты и звукоизолирующие покрытия на воздуховоды и технологические трубы;
- глушители шума на сторонах всасывания и нагнетания вентиляторов, на выходе из дросселирующих поток устройств и при вводе воздуховодов в помещения;
- акустическую обработку технических помещений - установку на стены и потолки звукопоглощающих облицовок;
- установку в технических помещениях полов на упругом основании (плавающих полов) или вибродемпфирующих оснований под агрегаты (насосы, вентиляторы, кондиционеры, холодильные машины);
- акустические экраны (выгородки) у наружных блоков кондиционеров и различных воздушных охладителей;
- виброизолирование труб, воздуховодов в местах их прохода через ограждения технических помещений и крепления к строительным конструкциям здания.
5. Нормируемые параметры шума
5.1 Нормируемыми параметрами постоянного широкополосного шума в расчетных и измерительных точках являются уровни звукового давления (УЗД)
L, дБ, в октавных полосах частот со среднегеометрическими частотами 31,5; 63; 125; 250; 500; 1000; 2000; 4000 и 8000 Гц. Для ориентировочной оценки шумового режима допускается использование уровней звука
LA, дБА.
5.2 Нормируемыми параметрами непостоянного (прерывистого во времени) шума являются эквивалентные уровни звукового давления
Lэкв, дБ, и максимальные уровни звукового давления
Lмакс, дБ, в октавных полосах частот. Допускается использовать эквивалентные уровни звука

, дБА, и максимальные уровни звука

, дБА. Шум считается в пределах нормы, когда он как по эквивалентному, так и по максимальному уровню не превышает установленные нормативные значения. Превышение одного из показателей рассматривается как несоответствие санитарным нормам.
5.3 Допустимые значения уровней звукового давления (УЗД) в октавных полосах частот
Li, дБ, эквивалентных

, дБА, и максимальных уровней звука

, дБА, проникающего шума систем ОВК в помещения жилых и общественных зданий и шума на территории жилой застройки принимают по таблице 5.1.
Таблица 5.1
Допустимые УЗД, уровни звука, эквивалентные и максимальные
уровни звука, проникающего шума систем ОВК в помещения жилых
и общественных зданий и на территории жилой застройки
Назначение помещений или территории | Время суток, ч | Уровни звукового давления L, дБ, в октавных полосах частот со среднегеометрическими частотами, Гц |  , дБА |  , дБА |
31 | 63 | 125 | 250 | 500 | 1000 | 2000 | 4000 | 8000 |
1 Рабочие помещения административно-управленческого персонала производственных предприятий, лабораторий, помещений для измерительных и аналитических работ | - | 88 | 74 | 65 | 58 | 53 | 50 | 47 | 45 | 44 | 55 | 70 |
2 Рабочие помещения диспетчерских служб, кабины наблюдения и дистанционного управления с речевой связью по телефону, участки точной сборки, телефонные и телеграфные станции | - | 91 | 78 | 69 | 63 | 58 | 55 | 52 | 50 | 49 | 60 | 75 |
3 Помещения лабораторий для проведения экспериментальных работ, кабины наблюдения и дистанционного управления без речевой связи по телефону | - | 98 | 86 | 78 | 72 | 68 | 65 | 63 | 61 | 59 | 70 | 85 |
4 Помещения с постоянными рабочими местами производственных предприятий, территории предприятий с постоянными рабочими местами (за исключением работ, перечисленных в позициях 1 - 3) | - | 102 | 90 | 82 | 77 | 73 | 70 | 68 | 66 | 64 | 75 | 90 |
5 Палаты больниц и санаториев | 7.00 - 23.00 | 71 | 54 | 43 | 35 | 29 | 25 | 22 | 20 | 18 | 30 | 45 |
23.00 - 7.00 | 64 | 46 | 34 | 26 | 19 | 15 | 12 | 9 | 8 | 20 | 35 |
6 Операционные больниц, кабинеты врачей больниц, поликлиник, санаториев | - | 71 | 54 | 43 | 35 | 29 | 25 | 22 | 20 | 18 | 30 | 45 |
7 Классные помещения, учебные кабинеты, аудитории учебных заведений, конференц-залы, читальные залы библиотек, залы судебных заседаний | - | 74 | 58 | 47 | 40 | 34 | 30 | 27 | 25 | 23 | 35 | 50 |
8 Музыкальные классы | - | 71 | 54 | 43 | 35 | 29 | 25 | 22 | 20 | 18 | 30 | 45 |
9 Жилые комнаты квартир | 7.00 - 23.00 | 74 | 58 | 47 | 40 | 34 | 30 | 27 | 25 | 23 | 35 | 50 |
23.00 - 7.00 | 67 | 50 | 39 | 30 | 24 | 20 | 17 | 15 | 13 | 25 | 40 |
10 Жилые комнаты общежитий | 7.00 - 23.00 | 78 | 62 | 52 | 44 | 39 | 35 | 32 | 30 | 28 | 40 | 55 |
23.00 - 7.00 | 71 | 54 | 43 | 35 | 29 | 25 | 22 | 20 | 18 | 30 | 45 |
11 Номера гостиниц: | | | | | | | | | | | | |
- категории А (5 и 4 звезды) | 7.00 - 23.00 | 71 | 54 | 43 | 35 | 29 | 25 | 22 | 20 | 18 | 30 | 45 |
23.00 - 7.00 | 64 | 46 | 34 | 26 | 19 | 15 | 12 | 9 | 8 | 20 | 35 |
- категории Б (3 звезды) | 7.00 - 23.00 | 74 | 58 | 47 | 40 | 34 | 30 | 27 | 25 | 23 | 35 | 50 |
23.00 - 7.00 | 67 | 50 | 39 | 30 | 24 | 20 | 17 | 15 | 13 | 25 | 40 |
- категории В (2 звезды и менее) | 7.00 - 23.00 | 78 | 62 | 52 | 44 | 39 | 35 | 32 | 30 | 28 | 40 | 55 |
23.00 - 7.00 | 71 | 54 | 43 | 35 | 29 | 25 | 22 | 20 | 18 | 30 | 45 |
12 Жилые помещения домов отдыха, пансионатов, домов-интернатов, спальные помещения детских дошкольных учреждений и школ-интернатов | 7.00 - 23.00 | 74 | 58 | 47 | 40 | 34 | 30 | 27 | 25 | 23 | 35 | 50 |
23.00 - 7.00 | 67 | 50 | 39 | 30 | 24 | 20 | 17 | 15 | 13 | 25 | 40 |
13 Помещения офисов, рабочие помещения и кабинеты административных зданий, конструкторских, проектных и научно-исследовательских организаций | - | 81 | 66 | 56 | 49 | 44 | 40 | 37 | 35 | 33 | 45 | 60 |
14 Залы кафе, ресторанов | - | 84 | 70 | 61 | 54 | 49 | 45 | 42 | 40 | 38 | 50 | 65 |
15 Фойе театров и концертных залов | - | 78 | 62 | 52 | 44 | 39 | 35 | 32 | 30 | 28 | 40 | |
16 Зрительные залы театров и концертных залов | - | 67 | 50 | 39 | 30 | 24 | 20 | 17 | 15 | 13 | 25 | |
17 Многоцелевые залы | - | 71 | 54 | 43 | 35 | 29 | 25 | 22 | 20 | 18 | 30 | |
18 Кинотеатры с оборудованием "Долби" | - | 67 | 50 | 39 | 30 | 24 | 20 | 17 | 15 | 13 | 25 | 45 |
19 Спортивные залы | - | 78 | 62 | 52 | 44 | 39 | 35 | 32 | 30 | 28 | 45 | |
20 Торговые залы магазинов, пассажирские залы вокзалов и аэровокзалов | - | 88 | 74 | 65 | 58 | 53 | 50 | 47 | 45 | 44 | 55 | 65 |
21 Территории, непосредственно прилегающие к зданиям больниц и санаториев | 7.00 - 23.00 | 78 | 62 | 52 | 44 | 39 | 35 | 32 | 30 | 28 | 40 | 55 |
23.00 - 7.00 | 71 | 54 | 43 | 35 | 29 | 25 | 22 | 20 | 18 | 30 | 45 |
22 Территории, непосредственно прилегающие к жилым зданиям, домам отдыха, домам-интернатам для престарелых и инвалидов | 7.00 - 23.00 | 85 | 70 | 61 | 54 | 49 | 45 | 42 | 40 | 39 | 50 | 65 |
23.00 - 7.00 | 78 | 62 | 52 | 44 | 39 | 35 | 32 | 30 | 28 | 40 | 55 |
23 Территории, непосредственно прилегающие к зданиям поликлиник, школ и других учебных заведений, детских дошкольных учреждений, площадок отдыха микрорайонов и групп жилых домов | - | 85 | 70 | 61 | 54 | 49 | 45 | 42 | 40 | 39 | 50 | 65 |
<*> Максимальные уровни звука в данных помещениях не нормируются. Примечания 1 Допустимые УЗД указаны с учетом поправки минус 5 дБ (дБА), приведенной в [1] для шума оборудования систем ОВК и инженерно-технологического оборудования. 2 Допустимые УЗД не относятся к фэнкойлам, установленным непосредственно в обслуживаемом системой помещении и находящимся под контролем потребителя. |
5.4 При выборе допустимых УЗД проникающего шума систем ОВК учитывают уровень собственного шума в помещении, обусловленного нормальной рабочей активностью, и внешнего городского шума (транспортного шума).
6. Источники шума и их шумовые характеристики
Воздушно-отопительные агрегаты, доводчики, вентиляторы, вентиляционные установки, путевая арматура (шиберы, дроссель-клапаны, диафрагмы), фасонные элементы воздуховодов (тройники, отводы, повороты), воздухораспределительные устройства (решетки, плафоны, анемостаты), холодильные машины, воздушные и другие охладители, наружные и внутренние блоки кондиционеров, циркуляционные насосы, технологические трубы, которые являются источниками шума в системах ОВК, приведены в
[2].
6.2. Шумовые характеристики и методы их определения путем измерений
6.2.1 Способность шумового воздействия на окружающую среду элементов систем ОВК оценивается шумовой характеристикой по
ГОСТ 12.1.003,
ГОСТ 30691. Основной шумовой характеристикой (ШХ) являются уровни звуковой мощности (УЗМ) в октавных полосах частот

со среднегеометрическими частотами 63 - 8000 Гц, определяемые посредством акустических измерений в специальных измерительных камерах, на испытательных стендах или в условиях эксплуатации стандартными методами по
ГОСТ 31353.2,
ГОСТ 31353.4.
6.2.2 ШХ крупногабаритных элементов систем (например, холодильных машин, мощных воздушных охладителей) могут быть октавные уровни звукового давления
Li, измеренные на заданных опорных расстояниях от их контуров (излучающей шум поверхности) в прямом звуковом поле (как правило, 1, 5 и 10 м). Дополнительной ШХ может быть общий уровень звуковой мощности

или общий корректированный по шкале "A" уровень звуковой мощности

.
6.2.3 ШХ путевой арматуры, фасонных элементов и воздухораспределительных устройств систем ОВК

определяют посредством измерений на специальных аэроакустических стендах на режимах, охватывающих весь аэродинамический диапазон использования данного устройства по
ГОСТ 31352.
6.2.4 ШХ вентиляторов оценивают посредством шумового воздействия в оптимальном режиме их работы - в режиме максимального коэффициента полезного действия

по трем направлениям (корпус, патрубки всасывания и нагнетания). На сторонах всасывания

, нагнетания

они определяются по результатам измерений в измерительной камере и в специальных испытательных трубах, а вокруг корпуса

- в измерительных камерах или на открытых площадках.
6.2.5 При отклонении от оптимального режима работы уровень звуковой мощности вентилятора увеличивается на величину

, соответствующую этому отклонению. Кривая приближенных значений

приведена на рисунке 6.1. С помощью поправки

учитывают изменение суммарного уровня звуковой мощности на заданном режиме (в зависимости от КПД вентилятора), а с помощью поправки

определяют октавные уровни звуковой мощности шума, излучаемого, например, патрубком всасывания вентилятора в окружающее пространство.
Рисунок 6.1 - Поправка

на режим работы вентилятора
6.2.6 Основными шумовыми (акустическими) характеристиками глушителей являются или уровни снижения шума в них, или эффект их установки в канале (в статическом режиме - без потока воздуха), а также уровень звуковой мощности собственного шума, генерируемого при прохождении через глушитель потоков воздуха на заданных скоростях. УЗМ собственного шума, генерируемого в каналах глушителя, оценивают при скоростях потока воздуха более 10 м/с (при меньших скоростях влиянием потока на эффективность глушителя можно пренебречь). Зачастую, как дополнительные, необходимы аэродинамические характеристики глушителей (потери давления), которые определяют на тех же или других заданных скоростях потока по
ГОСТ 28100.
6.3. Расчет шумовых характеристик вентиляторов
6.3.1 При необходимости ШХ вентиляторов могут быть определены расчетом по критериям шумности или удельным уровням звуковой мощности с учетом режима их работы, конструктивным и рабочим параметрам. Расчетные методы определения ШХ вентиляторов базируются на результатах экспериментальных исследований, обобщенных на основании теории подобия.
Примечания
1 УЗМ на сторонах всасывания и нагнетания

, измеренные в испытательных трубах и измерительной камере, различаются на значение поправки, учитывающей влияние присоединения испытательных труб к патрубкам вентилятора (отражение звука от открытых патрубков).
2 Измеренные ШХ вентиляторов приводят в технических паспортах или каталогах. Там же указывают методы или стандарты, которые используют при их определении.
6.3.2 Октавные уровни звуковой мощности вентилятора

, дБ, излучаемой в присоединяемые воздуховоды всасывания и нагнетания, по его критерию шумности и аэродинамическим параметрам при работе с максимальным КПД

определяют по формуле

(1)
где
Lкш - критерий шумности, зависящий от типа и конструкции вентилятора, дБ (см.
таблицу А.1 приложения А);
Pv - безразмерная величина полного давления вентилятора, Па;
Q - безразмерная величина объемного расхода воздуха вентилятора, м3/с;

- поправка на режим работы вентилятора, дБ;

- поправка, учитывающая распределение звуковой мощности по октавным полосам частот и принимаемая в зависимости от типа и частоты вращения вентилятора по
таблице 6.1, дБ;

- поправка, учитывающая акустическое влияние присоединения воздуховода к вентилятору, дБ, и численно равная поправке, определяемой по
таблице 6.2.
6.3.3 Октавные уровни звуковой мощности вентилятора

, дБ, излучаемой в присоединяемые воздуховоды всасывания и нагнетания, на основе удельных уровней звуковой мощности определяют по формуле

(2)
где

- удельный уровень звуковой мощности в октавной полосе частот, дБ (см.
таблицу Б.1 приложения Б);
| | ИС МЕГАНОРМ: примечание. В официальном тексте документа, видимо, допущена опечатка: таблица Б.2 отсутствует. | |

- поправка на частоте прохождения лопаток рабочего колеса, дБ (см. таблицу Б.2 приложения Б).
Таблица 6.1
Поправка, учитывающая распределение звуковой мощности
по октавным полосам частот

, дБ
Тип и номер вентилятора | Частота вращения вентилятора, об/мин | Поправка  , дБ, при среднегеометрических частотах октавных полос, Гц |
63 | 125 | 250 | 500 | 1000 | 2000 | 4000 | 8000 |
Радиальные (центробежные) |
ВР-80-70, | 930 - 1120 | 6 | 5 | 7 | 13 | 14 | 20 | 25 | 31 |
ВЦ-4-70 | 1370 - 1700 | 6 | 5 | 5 | 10 | 14 | 17 | 22 | 27 |
N 2,5; 3,2; 4 | 2800 - 3360 | 7 | 7 | 6 | 6 | 11 | 15 | 18 | 23 |
ВР-80-70, | 350 - 450 | 4 | 6 | 9 | 12 | 16 | 23 | 30 | 38 |
ВЦ-4-70, | 460 - 600 | 5 | 5 | 8 | 11 | 15 | 20 | 27 | 34 |
ВР-86-77 | 635 - 800 | 5 | 4 | 7 | 10 | 15 | 18 | 24 | 30 |
ВЦ-4-76 | 850 - 1000 | 6 | 5 | 5 | 9 | 11 | 16 | 22 | 28 |
N 5; 6,3; 8; 10; | 1015 - 1290 | 6 | 5 | 4 | 8 | 11 | 15 | 19 | 27 |
10; 12,5 | 1300 - 1620 | 7 | 6 | 5 | 8 | 11 | 15 | 19 | 25 |
ВР-300-45, | 720 | 8 | 6 | 5 | 6 | 14 | 18 | 22 | 27 |
ВЦ-14-46 | 915 - 985 | 9 | 7 | 6 | 5 | 13 | 17 | 21 | 25 |
N 2,5; 3,2; 4; | 1360 - 1455 | 10 | 8 | 6 | 5 | 7 | 14 | 18 | 23 |
5; 6,3; 8 | 2815 - 2900 | 12 | 10 | 8 | 6 | 5 | 7 | 14 | 18 |
ВР-100-45, | 600 - 700 | 4 | 6 | 9 | 13 | 17 | 21 | 26 | 31 |
ЦП-7-40 | 800 - 1400 | 6 | 6 | 6 | 9 | 13 | 17 | 21 | 26 |
N 5; 6,3; 8 | 1410 - 2600 | 9 | 6 | 6 | 6 | 9 | 13 | 17 | 21 |
ВР-132-30, | 600 - 700 | 4 | 6 | 9 | 13 | 17 | 21 | 26 | 31 |
ВВД | 800 - 1400 | 6 | 6 | 6 | 9 | 13 | 17 | 21 | 26 |
N 5; 6,3; 8; 9; 11 | 1410 - 1900 | 9 | 6 | 6 | 6 | 9 | 13 | 17 | 21 |
ВЦ-10-28 | 2810 - 3000 | 12 | 4 | 11 | 8 | 9 | 10 | 14 | 18 |
Осевые |
ВО-14-320 N 4; 6,3 | 700 - 1400 | 13 | 8 | 8 | 5 | 7 | 9 | 15 | 23 |
ВО-18-270-1,6 | 1410 - 2800 | 18 | 13 | 8 | 8 | 5 | 7 | 9 | 15 |
| 2810 - 3000 | 23 | 18 | 13 | 8 | 8 | 5 | 7 | 9 |
Примечание - Вентиляторы изготавливают в соответствии с нормативными документами (см. также таблицу Б.1 приложения Б). |
Таблица 6.2
Поправка, учитывающая акустическое влияние присоединения
воздуховода к вентилятору

, дБ
Эквивалентный диаметр Dэ, мм | Снижение октавных уровней звуковой мощности, дБ, при среднегеометрических частотах октавных полос, Гц |
63 | 125 | 250 | 500 | 1000 | 2000 | 4000 | 8000 |
100 | 19 | 14 | 10 | 5 | 2 | 0 | 0 | 0 |
125 | 18 | 13 | 8 | 4 | 1 | 0 | 0 | 0 |
140 | 16 | 12 | 7 | 3 | 0 | 0 | 0 | 0 |
160 | 15 | 11 | 6 | 2 | 0 | 0 | 0 | 0 |
180 | 15 | 11 | 6 | 2 | 0 | 0 | 0 | 0 |
200 | 14 | 10 | 6 | 2 | 0 | 0 | 0 | 0 |
225 | 14 | 9 | 5 | 1 | 0 | 0 | 0 | 0 |
250 | 13 | 8 | 4 | 1 | 0 | 0 | 0 | 0 |
280 | 12 | 8 | 3 | 1 | 0 | 0 | 0 | 0 |
315 | 11 | 7 | 3 | 0 | 0 | 0 | 0 | 0 |
350 | 11 | 6 | 2 | 0 | 0 | 0 | 0 | 0 |
400 | 10 | 5 | 2 | 0 | 0 | 0 | 0 | 0 |
450 | 8 | 5 | 1 | 0 | 0 | 0 | 0 | 0 |
500 | 8 | 4 | 1 | 0 | 0 | 0 | 0 | 0 |
560 | 8 | 3 | 1 | 0 | 0 | 0 | 0 | 0 |
630 | 7 | 3 | 1 | 0 | 0 | 0 | 0 | 0 |
710 | 6 | 2 | 0 | 0 | 0 | 0 | 0 | 0 |
800 | 5 | 2 | 0 | 0 | 0 | 0 | 0 | 0 |
900 | 5 | 2 | 0 | 0 | 0 | 0 | 0 | 0 |
1000 | 4 | 1 | 0 | 0 | 0 | 0 | 0 | 0 |
1250 | 3 | 0 | 0 | 0 | 0 | 0 | 0 | 0 |
1400 | 2 | 0 | 0 | 0 | 0 | 0 | 0 | 0 |
1600 | 1 | 0 | 0 | 0 | 0 | 0 | 0 | 0 |
2000 | 1 | 0 | 0 | 0 | 0 | 0 | 0 | 0 |
Примечания 1 В формуле (1) и в последующих формулах условно принято, что величины под знаком lg - безразмерные. 2 Удельные уровни  справедливы при работе вентиляторов в режиме, близком к максимальному КПД  . Критерии шумности Lкш для вентиляторов, выпускаемых отечественной промышленностью, приведены в таблице А.1 приложения А; удельные УЗМ  , поправки  приведены в таблице Б.1 приложения Б. 3 В расчетах ожидаемых уровней шума вентиляторов, распространяющегося по воздуховодам, используют шумовые характеристики вентиляторов, измеренные на сторонах всасывания и нагнетания в измерительном помещении (в реверберационной камере), в которых учтена поправка на влияние присоединения воздуховодов к патрубкам вентилятора  (см. таблицу 6.2). |
6.4. Расчет шумовых характеристик путевой арматуры систем и элементов воздуховодов
6.4.1 Шумовые характеристики элементов воздуховодов (прямых участков, фасонных элементов круглого или прямоугольного сечения, шиберов и дроссель-клапанов, воздухораспределительных устройств) - шумообразование при прохождении через них потока воздуха определяют преимущественно расчетными методами.
6.4.2 УЗМ шума, генерируемого прямым участком воздуховода при прохождении по нему потока воздуха, достаточно низкий по сравнению с УЗМ шума других элементов вентиляционных сетей, таких как регулирующие и фасонные элементы. Его учитывают только в тех случаях, когда такой воздуховод проходит через помещение с жесткими акустическими требованиями, например, радио- и телестудии.
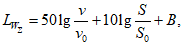
6.4.3 Суммарный (общий) уровень звуковой мощности

, дБ, генерируемой прямыми участками воздуховодов различной формы поперечного сечения, определяют по формуле

(3)
где v - скорость потока воздуха в воздуховоде, м/с;
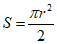
S - площадь поперечного сечения воздуховода, м2;
v0 = 1 м/с;
S0 = 1 м2;
B - экспериментальная поправка, дБ, зависящая от формы поперечного сечения воздуховода (для круглого сечения воздуховода B = 12 дБ; для квадратного - B = 8,5 дБ; для прямоугольного - B = 13 дБ).
6.4.4 Для определения составляющих спектра звуковой мощности в октавных полосах частот используют безразмерную частотную характеристику (рисунок 6.2), с помощью которой по величине
fd/
v (где
f - частота октавной полосы, 1/с;
d - гидравлический диаметр воздуховода, м;
v - скорость потока воздуха в воздуховоде, м/с) определяют зависимую от частоты поправку

. При этом октавные уровни звуковой мощности

, дБ, вычисляют по формуле

(4)

- прямоугольное;

- круглое;

- квадратное
Рисунок 6.2 - Безразмерная частотная характеристика прямых
участков воздуховодов разных сечений
6.4.5 Шум фасонных элементов вентиляционных систем (поворотов, отводов, тройников, крестовин) зависит от соотношения скоростей потоков воздуха в магистральном канале vм и в ответвлении vотв, от геометрической формы (радиуса поворота, формы поперечного сечения), степени турбулентности и неравномерности потока на входе в рассматриваемый элемент.
6.4.6 Октавный уровень излучаемой в воздуховод звуковой мощности

, дБ, генерируемой крестовинами и тройниками на ответвлении и поворотами (отводами) круглого сечения, вычисляют по формуле

(5)
где

- октавный уровень звуковой мощности, генерируемой элементом, определяется по номограмме
рисунка 6.3 по диаметру отвода (ответвления) и соотношению скоростей в магистрали и ответвлении, дБ;

- поправка, дБ, на соотношение скоростей,
vм/
vотв, определяемая по
рисунку 6.4;

- поправка, дБ, на геометрическое исполнение фасонного элемента, определяемая в зависимости от отношения радиуса закругления к диаметру ответвления
(рисунок 6.5);

- поправка, дБ, на взаимное расположение фасонных элементов.
Рисунок 6.3 - Номограмма для определения уровней звуковой
мощности шума, генерируемого воздушным потоком в фасонных
элементах воздуховодов круглого сечения
Рисунок 6.4 - Поправка

, учитывающая влияние соотношения
скоростей потока в магистрали и ответвлении
Рисунок 6.5 - Поправка

, учитывающая влияние радиуса
закругления ответвления на шумообразование
Примечание - Если перед рассматриваемым элементом (по ходу потока воздуха) на расстоянии менее четырех гидравлических диаметров (4
Dг) расположен другой фасонный элемент (поворот, крестовина, разветвление и т.п.), то турбулентность и неравномерность потока увеличивается и в результате уровни звуковой мощности, генерируемой потоком в элементе, возрастают дополнительно на 4 дБ. Если это расстояние более 4
Dг, то

.
6.4.7 Октавные уровни излучаемой в воздуховод звуковой мощности

, дБ, генерируемой тройниками, крестовинами прямоугольного и квадратного поперечного сечения для прохода и ответвления, определяют по формуле

(6)
где
K - частотный параметр, дБ, определяемый в зависимости от площади поперечного сечения ответвления
Fотв или прохода
Fпрох тройника, м
2, и безразмерного числа Струхаля

, определяемого расчетом в зависимости от гидравлического диаметра
Dг, м, скорости воздуха
v, м/с, в магистральной части тройника и частоты
f, Гц;
G - функция, дБ, определяемая в зависимости от соотношения скоростей воздуха в ответвлении
vотв и прохода
vпрох данного тройника по
рисунку 6.7;
H - частотная поправка, дБ, приведенная в
таблице 6.3 в зависимости от среднегеометрической частоты
f, Гц.
Рисунок 6.6 - Номограмма для определения частотного
параметра K для тройников прямоугольного поперечного сечения
а) тройник с острыми кромками
б) тройник с закругленными кромками
Рисунок 6.7 - Номограмма для определения параметра
G
для тройников прямоугольного поперечного сечения
6.4.8 Октавные уровни звуковой мощности, излучаемой в воздуховод, генерируемой отводами воздуховодов прямоугольного и квадратного поперечного сечения, определяют по
формуле (6) при условии, что частотный параметр
K для отводов определяется по рисунку 6.8 в зависимости от числа Струхаля
NSt, а скоростная функция
G - по
рисунку 6.9 в зависимости от скорости потока воздуха
v, м/с, и площади поперечного сечения отвода
F, м
2. Частотную поправку
H определяют в зависимости от частоты
f по
таблице 6.3.
Рисунок 6.8 - Номограмма для определения частотного
параметра K для отводов прямоугольного поперечного сечения
с острыми кромками
Рисунок 6.9 - Номограмма для определения частотного
параметра G для отводов прямоугольного поперечного сечения
с острыми кромками
Таблица 6.3
Частотная поправка
H, дБ, в зависимости
от среднегеометрической частоты
Среднегеометрические частоты октавных полос, Гц | 63 | 125 | 250 | 500 | 1000 | 2000 | 4000 | 8000 |
Частотная поправка H, дБ | 16 | 19 | 22 | 25 | 28 | 31 | 34 | 37 |
6.4.9 Для гидравлической увязки давления и расходов воздуха по вентиляционным сетям используют дросселирующие устройства. К таким устройствам относят шиберы и дроссель-клапаны. Октавные уровни излучаемой в воздуховод звуковой мощности, генерируемой шибером или дроссель-клапаном

, дБ, определяют по формуле

(7)
где v - скорость воздушного потока, набегающего на регулирующее устройство, м/с;

- коэффициент местного сопротивления регулирующего устройства, отнесенный к скорости
v;
F - площадь поперечного сечения канала в месте установки регулирующего устройства, м2;

- критерий подобия; величину

, дБ, определяют по графику на
рисунке 6.10 в зависимости от коэффициента местного сопротивления шибера или дроссель-клапана;

- поправка на акустическое влияние присоединения воздуховода к шиберу, дроссель-клапану
(таблица 6.2), дБ;
g = fa/v, (8)
где f - среднегеометрическая частота октавной полосы, Гц;
a - отношение свободного (в свету) расстояния от кромки шибера до стенки канала к ширине канала в месте установки шибера - для шибера; отношение угла поворота закрытия дроссель-клапана к 360°, - для дроссель-клапана;
v - скорость набегающего потока, м/с;

- поправка, дБ, на взаимное расположение фасонных элементов.
Рисунок 6.10 - Зависимость

от коэффициента местного
сопротивления шибера или дроссель-клапана
Таблица 6.4
Поправка

, дБ
Источник шума | Поправка  , дБ, при g, равном |
0,2 | 0,4 | 0,8 | 1 | 2 | 4 | 8 | 10 | 20 | 40 | 80 | 100 | 200 | 400 | 600 | 800 |
Шибер | 31 | 25 | 21 | 21 | 16 | 12 | 8 | 7 | 6 | 7 | 9 | 10 | 14 | 20 | 23 | 26 |
Дроссель-клапан | 20 | 15 | 11 | 10 | 8 | 7 | 7 | 8 | 10 | 12 | 16 | 17 | 21 | 26 | 28 | 31 |
1 - для шибера; 2 - для дроссель-клапана
Рисунок 6.11 - Частотная поправка

к суммарному уровню
звуковой мощности
Примечание - В воздуховоде за регулирующим устройством образуется зона с циркулирующим замкнутым вихрем, на границе которой наблюдается интенсивный импульсный обмен между вихревой зоной и основным течением в воздуховоде в месте поджатия потока. В случае размыкания вихревой зоны интенсивность импульсного обмена увеличивается, поскольку в нее начинает происходить подсос воздуха извне (своего рода эжекция). Следствием данного явления является резкое увеличение уровня шума, генерируемого регулирующим устройством. Для исключения этого эффекта регулирующие устройства устанавливают в воздуховодах таким образом, чтобы расстояние от них до выходных отверстий и разветвлений было не менее восьми гидравлических диаметров воздуховода, в котором они установлены.
6.4.10 Для подачи воздуха в помещения используют нерегулируемые и регулируемые решетки, плафоны, анемостаты, устройства на основе конических сопел. Первые три типа устройств применяют при малой и средней требуемой дальнобойности воздушной струи, четвертый тип - когда требуется большая дальнобойность. Суммарные уровни звуковой мощности

, дБ, генерируемой воздухораспределителями типа решеток, плафонов и анемостатов, определяют по формулам:
для нерегулируемых и регулируемых решеток (Р и РР)

(9)
для регулируемой решетки с направляющим аппаратом (РРНП)

(10)
для плафонов и анемостатов

(11)
Суммарные уровни звуковой мощности

, дБ, генерируемой устройствами на основе конических сопел, определяют по формуле

(12)
где v0 - скорость воздуха в характерном сечении воздухораспределителя: в живом сечении решеток, в щели плафонов и анемостатов, на срезе сопла, м/с;

- коэффициент местного сопротивления, отнесенный к скорости
v0;
F0 - площадь живого сечения решеток, щелей плафонов и анемостатов, среза выходной части сопла, м2.
6.4.11 По графикам безразмерных частотных характеристик (
рисунки 6.12 и
6.13) находят частотную поправку

, где далее

- октавный уровень звуковой мощности, дБ, генерируемой воздухораспределительным устройством в
i-й полосе частот, по формуле

(13)
где

- частотная поправка, дБ, определяемая в зависимости от безразмерной частоты

:

(14)
где f - среднегеометрическая частота октавной полосы, Гц;
d - характерный размер воздухораспределителя, м (

, здесь
F - площадь живого сечения решеток, площадь щели плафонов и анемостатов, среза выходной части сопла);
v0 - скорость потока в характерном сечении воздухораспределителя, м/с.
Примечания
1 После снижения шума вентилятора посредством, например, центрального глушителя до требуемого уровня следует ожидать проявление шума, генерируемого потоком в воздухорегулирующих (дросселирующих), фасонных и воздухораспределительных элементах воздуховодов. Шум этих элементов, обусловленный пульсациями давления и скорости, зависит не только от скорости набегающего потока, коэффициента местного сопротивления, размеров и конструкции элемента, но также от степени турбулентности набегающего потока, неравномерности скорости в поперечном сечении подводящего воздуховода и места расположения элемента в сети воздуховодов. Например, при плохих условиях входа потока в воздухораспределительное устройство уровень генерируемой им звуковой мощности может увеличиться на 5 - 15 дБ.
2 При наличии крупной (протяженной) вентиляционной системы и распространении по сети воздуховодов шума дросселирующих устройств, так же как и шума вентилятора, его уровень значительно снижается. В таких случаях в расчетах учитывают только шум, создаваемый дросселирующими и воздухораспределительными устройствами, установленными на ответвлениях к рассматриваемому (защищаемому от шума) помещению.
3 В тех случаях, когда в технических паспортах дросселирующих устройств отсутствуют ШХ, определенные экспериментально для конкретных условий их монтажа и эксплуатации, используют расчетные методы, обеспечивающие достоверные результаты.
1 - типа Р и РР; 2 - типа РРНП

; 3 - типа РРНП

Рисунок 6.12 - Безразмерные частотные характеристики решеток
1 - типа плафонов и анемостатов; 2 - типа сопел
Рисунок 6.13 - Безразмерные частотные
характеристики воздухораспределителей
7. Расчет снижения уровней звуковой мощности по пути
распространения шума
Снижение уровней (затухание) звуковой мощности источников шума, например, вентилятора или дросселя, при прохождении по воздуховодам определяют последовательно для каждого элемента сети и затем суммируют
[2]. Следует иметь в виду, что даже в акустически необработанных элементах систем собственное затухание обычно весьма значительное и его необходимо учитывать.
Суммарное снижение уровней звуковой мощности

, дБ, по пути распространения шума определяют по формуле

(15)
где

- снижение октавных уровней звуковой мощности в отдельных элементах воздуховодов, дБ;
ni - общее количество элементов сети воздуховодов.
7.2. Снижение шума в прямых участках
7.2.1 При распространении шума по прямым участкам воздуховодов их стенки начинают вибрировать под воздействием звуковых волн, и на низких частотах происходит заметное снижение уровней звуковой мощности, причем у прямоугольных каналов оно более высокое, чем у круглых. Снижение октавных уровней звуковой мощности

, дБ, на 1 м длины в прямых участках металлических воздуховодов прямоугольного и круглого сечений допускается принимать по таблице 7.1.
Таблица 7.1
Снижение уровня звуковой мощности на прямых участках
Поперечное сечение воздуховода | Гидравлический диаметр Dг, мм | Снижение уровней звуковой мощности, дБ, при среднегеометрических частотах октавных полос, Гц |
63 | 125 | 250 | 500 | 1000 | 2000 | 4000 | 8000 |
Прямоугольное | 75 - 200 | 0,6 | 0,6 | 0,45 | 0,3 | 0,3 | 0,3 | 0,3 | 0,3 |
| 210 - 400 | 0,6 | 0,6 | 0,45 | 0,3 | 0,2 | 0,2 | 0,2 | 0,2 |
| 410 - 800 | 0,6 | 0,6 | 0,3 | 0,15 | 0,15 | 0,15 | 0,15 | 0,15 |
| 810 - 1600 | 0,45 | 0,3 | 0,15 | 0,1 | 0,06 | 0,06 | 0,06 | 0,06 |
Круглое | 75 - 200 | 0,1 | 0,1 | 0,15 | 0,15 | 0,3 | 0,3 | 0,3 | 0,3 |
| 210 - 400 | 0,06 | 0,1 | 0,1 | 0,15 | 0,2 | 0,2 | 0,2 | 0,2 |
| 410 - 800 | 0,03 | 0,06 | 0,06 | 0,1 | 0,15 | 0,15 | 0,15 | 0,15 |
| 810 - 1600 | 0,03 | 0,03 | 0,03 | 0,06 | 0,06 | 0,06 | 0,06 | 0,06 |
Примечание - При наличии теплоизоляции на металлических воздуховодах данные таблицы следует увеличивать в два раза. |
7.3. Снижение шума в поворотах
7.3.1 В поворотах воздуховодов значительная часть энергии отражается обратно к источнику звука, т.е. доля распространяющейся энергии снижается. В круглых воздуховодах (каналах) отражение меньше, чем в прямоугольных воздуховодах. Снижение может быть увеличено посредством звукопоглощающей облицовки стенок канала до и после поворота.
7.3.2 Снижение уровней звуковой мощности в прямоугольных необлицованных и облицованных поворотах воздуховодов определяется по таблице 7.2 (при угле поворота менее или равном 45° снижение уровней звуковой мощности не учитывается). Для эффективного затухания необходимо облицевать именно боковые стороны в плоскости поворота. Для плавных поворотов и прямых колен с направляющими лопатками снижение уровней звуковой мощности указано в
таблице 7.3.
Таблица 7.2
Снижение уровня звуковой мощности в поворотах
Место облицовки и ширина поворота D, мм | Снижение уровней звуковой мощности, дБ, при среднегеометрических частотах октавных полос, Гц |
63 | 125 | 250 | 500 | 1000 | 2000 | 4000 | 8000 |
Без облицовки: | | | | | | | | |
125 | 0 | 0 | 0 | 1 | 5 | 7 | 5 | 3 |
250 | 0 | 0 | 1 | 5 | 7 | 5 | 3 | 3 |
500 | 0 | 1 | 5 | 7 | 5 | 3 | 3 | 3 |
1000 | 1 | 5 | 7 | 5 | 3 | 3 | 3 | 3 |
2000 | 5 | 7 | 5 | 3 | 3 | 3 | 3 | 3 |
До поворота: | | | | | | | | |
125 | 0 | 0 | 0 | 1 | 5 | 8 | 6 | 8 |
250 | 0 | 0 | 1 | 5 | 8 | 6 | 8 | 11 |
500 | 0 | 1 | 5 | 8 | 6 | 8 | 11 | 11 |
1000 | 1 | 5 | 8 | 6 | 8 | 11 | 11 | 11 |
После поворота: | | | | | | | | |
125 | 0 | 0 | 0 | 1 | 6 | 11 | 10 | 10 |
250 | 0 | 0 | 1 | 6 | 11 | 10 | 10 | 10 |
500 | 0 | 1 | 6 | 11 | 10 | 10 | 10 | 10 |
1000 | 1 | 6 | 11 | 10 | 10 | 10 | 10 | 10 |
2000 | 6 | 11 | 10 | 10 | 10 | 10 | 10 | 10 |
До и после поворота: | | | | | | | | |
125 | 0 | 0 | 0 | 1 | 6 | 12 | 14 | 16 |
250 | 0 | 0 | 1 | 6 | 12 | 14 | 16 | 18 |
500 | 0 | 1 | 6 | 12 | 14 | 16 | 18 | 18 |
1000 | 1 | 6 | 12 | 14 | 16 | 18 | 18 | 18 |
Примечание - Данные таблицы справедливы, если длина l облицованного участка составляет не менее 2D, а толщина облицовки равна 1/10 ширины поворота D. Для облицовок с меньшей толщиной длину облицованного участка следует пропорционально увеличивать. |
Таблица 7.3
Снижение уровня звуковой мощности в плавных поворотах
Ширина поворота D, мм | Снижение уровней звуковой мощности  , дБ, при среднегеометрических частотах октавных полос, Гц |
63 | 125 | 250 | 500 | 1000 | 2000 | 4000 | 8000 |
125 - 250 | 0 | 0 | 0 | 0 | 1 | 2 | 3 | 3 |
260 - 500 | 0 | 0 | 0 | 1 | 2 | 3 | 3 | 3 |
510 - 1000 | 0 | 0 | 1 | 2 | 3 | 3 | 3 | 3 |
1100 - 2000 | 0 | 1 | 2 | 3 | 3 | 3 | 3 | 3 |
7.4. Снижение шума в поперечном сечении воздуховода
7.4.1 Снижение октавных уровней звуковой мощности

, дБ, при изменении поперечного сечения воздуховода в зависимости от частоты и размеров определяют по формулам:
а) при размерах поперечного сечения воздуховода, мм, менее указанных в
таблице 7.4

(16)
где mn - отношение площадей поперечных сечений воздуховода, вычисляемое по формуле

(17)
где F1 и F2 - площади поперечного сечения воздуховода соответственно до и после изменения сечения по пути распространения звука, м2;
б) при размерах поперечного сечения воздуховода, мм, равных или более указанных в
таблице 7.4

(18)

(19)
Таблица 7.4
Размеры поперечных сечений воздуховодов при их изменении
Среднегеометрические частоты октавных полос, Гц | 63 | 125 | 250 | 500 | 1000 | 2000 | 4000 | 8000 |
Меньший размер первого по ходу звука поперечного сечения воздуховода, мм | 5000 | 2500 | 1400 | 700 | 400 | 200 | 100 | 50 |
Примечание - При плавном переходе воздуховода от одного сечения к другому снижение октавных уровней звуковой мощности не учитывают. |
7.5. Снижение шума в разветвлении сети
7.5.1 Снижение октавных уровней звуковой мощности

, дБ, после разветвления воздуховода следует определять по формуле

(20)
где mn - отношение площадей сечений воздуховодов, вычисляемое по формуле
где

- площадь поперечного сечения воздуховода рассматриваемого ответвления, м
2;
F - площадь поперечного сечения воздуховода перед разветвлением, м2;

- суммарная площадь поперечных сечений воздуховодов всех ответвлений, м
2.
7.5.2
Формула (20) учитывает снижение (затухание) за счет разделения звуковой мощности по ответвлениям и потери, обусловленные внезапным изменением площади поперечного сечения.
Если воздуховод рассматриваемого ответвления в разветвлении повернут на 90°, то к снижению октавных уровней звуковой мощности в разветвлении, рассчитываемому по
формуле (20), необходимо добавить снижение октавных УЗМ в повороте.
7.6. Снижение шума при отражении от открытого конца воздуховода
7.6.1 Когда воздух выходит в помещение через открытый конец воздуховода или вентиляционную решетку, то при этом на выходе происходит отражение звука. Снижение уровней звуковой мощности зависит от частоты, поперечного сечения решетки или воздуховода и от расположения выходного отверстия относительно ограждений помещения.
Снижение октавных уровней звуковой мощности

, дБ, в результате отражения звука от открытого конца воздуховода или решетки приведено в таблице 7.5 - для расположения заподлицо со стеной и в
таблице 7.6 - для случая, когда воздуховод (решетка) свободно выступает в помещение или атмосферу.
Таблица 7.5
Снижение уровней звуковой мощности в результате отражения
от конца воздуховода (решетка заподлицо со стеной)
Диаметр воздуховода или корень квадратный из площади прямоугольного воздуховода или решетки, мм | Снижение уровней звуковой мощности, дБ, в результате отражения от открытого конца воздуховода или решетки, заканчивающихся заподлицо со стеной или потолком, при среднегеометрических частотах октавных полос, Гц |
63 | 125 | 250 | 500 | 1000 | 2000 | 4000 | 8000 |
25 | 24 | 22 | 19 | 15 | 10 | 6 | 2 | 0 |
50 | 22 | 19 | 15 | 10 | 5 | 2 | 0 | 0 |
80 | 20 | 16 | 11 | 7 | 3 | 0 | 0 | 0 |
100 | 19 | 14 | 10 | 5 | 2 | 0 | 0 | 0 |
125 | 18 | 13 | 8 | 4 | 1 | 0 | 0 | 0 |
140 | 16 | 12 | 8 | 4 | 1 | 0 | 0 | 0 |
160 | 16 | 11 | 7 | 3 | 0 | 0 | 0 | 0 |
180 | 15 | 11 | 6 | 2 | 0 | 0 | 0 | 0 |
200 | 14 | 10 | 6 | 2 | 0 | 0 | 0 | 0 |
225 | 14 | 9 | 5 | 1 | 0 | 0 | 0 | 0 |
250 | 13 | 8 | 4 | 1 | 0 | 0 | 0 | 0 |
280 | 12 | 8 | 3 | 1 | 0 | 0 | 0 | 0 |
315 | 11 | 7 | 3 | 0 | 0 | 0 | 0 | 0 |
400 | 10 | 5 | 2 | 0 | 0 | 0 | 0 | 0 |
450 | 8 | 5 | 1 | 0 | 0 | 0 | 0 | 0: |
500 | 8 | 4 | 1 | 0 | 0 | 0 | 0 | 0 |
560 | 8 | 3 | 1 | 0 | 0 | 0 | 0 | 0 |
630 | 7 | 3 | 1 | 0 | 0 | 0 | 0 | 0 |
710 | 6 | 2 | 0 | 0 | 0 | 0 | 0 | 0 |
800 | 5 | 2 | 0 | 0 | 0 | 0 | 0 | 0 |
900 | 5 | 2 | 0 | 0 | 0 | 0 | 0 | 0 |
1000 | 4 | 1 | 0 | 0 | 0 | 0 | 0 | 0 |
1250 | 3 | 0 | 0 | 0 | 0 | 0 | 0 | 0 |
Таблица 7.6
Снижение уровней звуковой мощности в результате отражения
от конца воздуховода (воздуховод выступает в помещение)
Диаметр воздуховода или корень квадратный из площади прямоугольного воздуховода или решетки, мм | Снижение уровней звуковой мощности, дБ, в результате отражения от открытого конца воздуховода или решетки, выступающих в помещение или атмосферу, при среднегеометрических частотах октавных полос, Гц |
63 | 125 | 250 | 500 | 1000 | 2000 | 4000 | 8000 |
25 | 37 | 31 | 25 | 19 | 13 | 8 | 3 | 0 |
50 | 31 | 26 | 20 | 14 | 8 | 4 | 0 | 0 |
80 | 26 | 20 | 14 | 8 | 4 | 1 | 0 | 0 |
100 | 24 | 18 | 13 | 8 | 3 | 0 | 0 | 0 |
125 | 22 | 16 | 11 | 6 | 2 | 0 | 0 | 0 |
140 | 21 | 15 | 19 | 6 | 2 | 0 | 0 | 0 |
160 | 20 | 14 | 10 | 4 | 1 | 0 | 0 | 0 |
180 | 19 | 14 | 8 | 4 | 1 | 0 | 0 | 0 |
200 | 18 | 13 | 8 | 3 | 1 | 0 | 0 | 0 |
225 | 17 | 12 | 7 | 2 | 0 | 0 | 0 | 0 |
250 | 16 | 11 | 6 | 2 | 0 | 0 | 0 | 0 |
280 | 16 | 10 | 6 | 2 | 0 | 0 | 0 | 0 |
315 | 14 | 10 | 4 | 1 | 0 | 0 | 0 | 0 |
400 | 12 | 8 | 3 | 0 | 0 | 0 | 0 | 0 |
450 | 12 | 6 | 2 | 0 | 0 | 0 | 0 | 0 |
500 | 11 | 6 | 2 | 0 | 0 | 0 | 0 | 0 |
560 | 10 | 6 | 2 | 0 | 0 | 0 | 0 | 0 |
630 | 10 | 5 | 1 | 0 | 0 | 0 | 0 | 0 |
710 | 8 | 4 | 1 | 0 | 0 | 0 | 0 | 0 |
800 | 8 | 3 | 1 | 0 | 0 | 0 | 0 | 0 |
900 | 7 | 3 | 0 | 0 | 0 | 0 | 0 | 0 |
1000 | 6 | 2 | 0 | 0 | 0 | 0 | 0 | 0 |
1250 | 4 | 1 | 0 | 0 | 0 | 0 | 0 | 0 |
7.6.2 Снижение УЗМ в элементах вентиляционных установок (в фильтрах, секциях подогрева или охлаждения и т.п.) приводят в каталогах фирм-изготовителей. При отсутствии таких данных следует использовать приближенные данные, приведенные в таблице 7.7.
Таблица 7.7
Снижение уровней звуковой мощности
в секциях вентиляционных установок
Элементы вентиляционных установок | Снижение уровней звуковой мощности, дБ, в элементах вентиляционных установок при среднегеометрических частотах октавных полос, Гц |
63 | 125 | 250 | 500 | 1000 | 2000 | 4000 | 8000 |
Секция фильтрации | 0 | 0 | 0 | 0 | 0 | 1 | 1 | 1 |
Секция увлажнения | 1 | 3 | 4 | 7 | 10 | 11 | 14 | 14 |
Секция нагревания | 1 | 1 | 1 | 1 | 1 | 1 | 1 | 1 |
Секция охлаждения | 1 | 2 | 3 | 3 | 3 | 4 | 3 | 3 |
8. Расчет уровней звукового давления в помещениях
и на прилегающих к зданиям территориях
8.1.1 Санитарные нормы устанавливают инструментально контролируемые допустимые уровни звукового давления в местах пребывания человека (в помещении, застройке, зоне отдыха и др.) для каждой из девяти октавных полос (начиная с частоты 31,5 Гц) слышимого диапазона частот (см.
5.1). Связь между звуковой мощностью источника и звуковым давлением в точке наблюдения аналогична соотношению между теплопроизводительностью нагревательного устройства и температурой воздуха в помещении.
8.1.2 В общем случае уровни звукового давления в помещении зависят от звуковой мощности, фактора направленности излучения источника шума, количества источников шума, выбора расчетной точки (ее расположение относительно источника шума и ограждающих строительных конструкций), размеров и акустических качеств помещения.
8.1.3 Расчет ожидаемых уровней шума, создаваемых оборудованием систем ОВК, выполняется по октавным уровням звуковой мощности

на сторонах воздухозабора, выхлопа системы и вокруг корпуса (вентилятора, кондиционера, фэнкойла, доводчика и др.) в обслуживаемых ими помещениях, в технических помещениях (венткамерах) и смежных с ними помещениях, а также в помещениях, через которые проходят магистральные (транзитные) воздуховоды, в зданиях и на территориях застройки.
8.1.4 Расчет ожидаемых уровней шума, создаваемых элементами систем холодоснабжения (холодильными машинами, воздушными охладителями, сухими градирнями, циркуляционными насосами), выполняется в местах их установки (в технических помещениях, на открытых площадках), в защищаемых от шума помещениях здания и на прилегающей территории застройки по октавным уровням звуковой мощности

или звукового давления
Li, измеренным на заданных расстояниях от их контуров.
8.1.5 Расчетные точки выбирают внутри помещений в зонах постоянного пребывания человека (на рабочих, спальных и других местах, ближайших к источникам шума) на высоте 1,2 - 1,5 м от уровня пола, а на территориях застройки, например, в двух метрах от окон, защищаемых от шума помещений.
8.1.6 Октавные уровни звукового давления Li, дБ, в расчетных точках, если в помещение поступает шум от нескольких источников, излучающих шум внутрь воздуховодов (вентиляторов, воздухорегулирующих устройств, элементов сети воздуховодов), определяют для каждого источника в отдельности при проникновении шума в помещение через одно и несколько воздухораспределительных устройств. Для контрольной оценки или иной цели требуемое суммарное снижение октавных уровней звукового давления в помещении при одновременной работе всех источников шума определяют как разность между октавными уровнями звукового давления в расчетной точке от всех источников и допустимыми уровнями шума.
8.1.7 Суммировать уровни звукового давления всех источников (при одновременной работе) следует, пользуясь таблицей 8.1.
Таблица 8.1
Соотношение между разностью уровней шума
и добавкой к более высокому уровню
Разность двух складываемых уровней, дБ | 0 | 1 | 2 | 3 | 4 | 5 | 6 | 7 | 8 | 9 | 10 | 15 | 20 |
Добавка к более высокому уровню для получения суммарного уровня, дБ | 3 | 2,5 | 2 | 1,8 | 1,5 | 1,2 | 1 | 0,8 | 0,6 | 0,5 | 0,4 | 0,2 | 0 |
8.1.8 В расчете ожидаемых уровней шума систем ОВК в обслуживаемом помещении учитывают суммарное снижение уровня звуковой мощности в элементах сети воздуховодов

по пути распространения шума в элементах воздуховодов (в прямых участках, поворотах, изменениях поперечного сечения, в результате отражения от конца воздуховода), а также шумообразование в дросселирующих, воздухораспределительных устройствах и в фасонных элементах.
8.2. Источники шума в обслуживаемых системами помещениях
8.2.1 Один источник
8.2.1.1 Октавные уровни звукового давления Li, дБ, создаваемые в расчетной точке данным источником шума (фэнкойлом, решеткой, плафоном и т.п.), вычисляют по формуле

(21)
где

- октавный уровень звуковой мощности источника шума, дБ (определяется по данным
раздела 6);
Ф - фактор направленности излучения самого источника шума в направлении на расчетную точку, безразмерный (при отсутствии паспортных данных для решеток Ф принимают по кривым
рисунка 8.1, в других случаях следует принимать Ф = 1);
S - площадь воображаемой поверхности сферы или ее части, окружающей источник и проходящей через расчетную точку, м2;
B - постоянная рассматриваемого помещения, м2.
а - решетка в центре комнаты; б - в центре стены; в - вблизи
ребра; г - вблизи угла;

- приведенный размер решетки, м;
f - среднегеометрическая частота, Гц; РТ - положение
расчетной точки в помещении
Рисунок 8.1 - Фактор направленности Ф
j
8.2.1.2 При расположении источника шума в пространстве (например, на колонне в большом помещении)

(излучение в полную сферу), в средней части поверхности стены, перекрытия

(излучение в полусферу), в двугранном углу, образованном ограждающими конструкциями,

(излучение в 1/4 сферы), в трехгранном углу, образованном ограждающими конструкциями

, где
r - расстояние между акустическим центром источника и расчетной точкой, м.
Постоянную помещения B, м2, в октавных полосах частот вычисляют по формуле

(22)
где
B1000 - постоянная помещения, м
2, на среднегеометрической частоте 1000 Гц, определяемая по
таблице 8.2 в зависимости от объема
V, м
3, и типа помещения;
Примечания
1 Для небольших помещений объемом до 120 м3 и при расположении расчетной точки не менее, чем на расстоянии 2 м от решетки, и не менее, чем 3 м от других источников шума (автономные кондиционеры и т.п.), октавные уровни звукового давления допускается определять по формуле

(23)
2 Акустический центр источника шума, расположенного на полу или стене, следует считать совпадающим с проекцией геометрического центра источника шума на горизонтальную или вертикальную плоскость.
Таблица 8.2
Постоянная помещения, м
2, на среднегеометрической
частоте 1000 Гц
Тип помещения | Помещения | Постоянная помещения B1000, м2 |
1 | С небольшим количеством людей (металлообрабатывающие цехи, вентиляционные камеры, генераторные и машинные залы, испытательные стенды и т.п.) | V ---- 20 |
2 | С жесткой мебелью и большим количеством людей или с небольшим количеством людей и мягкой мебелью (лаборатории, ткацкие и деревообрабатывающие цехи, кабинеты и т.п.) | V ---- 10 |
3 | С большим количеством людей и мягкой мебелью (рабочие помещения зданий управлений, залы конструкторских бюро, аудитории учебных заведений, залы ресторанов, торговые залы магазинов, залы ожидания аэропортов и вокзалов, номера гостиниц, классные помещения в школах, читальные залы библиотек, жилые помещения и т.п.) | V ---- 6 |
4 | Помещения со звукопоглощающей облицовкой потолка и части стен | V ---- 1,5 |
Таблица 8.3
Частотный множитель для определения постоянной помещения
в октавных полосах частот
Объем помещения, V, м3 | Частотный множитель  для среднегеометрических частот октавных полос, Гц |
63 | 125 | 250 | 500 | 1000 | 2000 | 4000 | 8000 |
До 200 | 0,8 | 0,75 | 0,7 | 0,8 | 1 | 1,4 | 1,8 | 2,5 |
От 200 до 1000 вкл. | 0,65 | 0,62 | 0,64 | 0,75 | 1 | 1,5 | 2,4 | 4,2 |
Свыше 1000 | 0,5 | 0,5 | 0,55 | 0,7 | 1 | 1,6 | 3 | 6 |
8.2.2 Несколько источников
8.2.2.1 Несколько источников, генерирующих собственный шум воздухораспределительных устройств (решеток), одной системы ОВК находятся в рассматриваемом помещении.
Октавные уровни звукового давления Li, дБ, создаваемые в расчетной точке, вычисляют по формуле

(24)
где

- октавный уровень звуковой мощности, генерируемой одним воздухораспределительным устройством (решеткой), определяемый в соответствии с
разделом 6 или по паспортным данным, дБ;
m - количество воздухораспределительных устройств (решеток), ближайших к расчетной точке, от одной системы ОВК (т.е. решеток, для которых ri <= 5rмин, где rмин - расстояние, м, от расчетной точки до акустического центра ближайшей решетки);
n - общее количество воздухораспределительных устройств (решеток) одной рассматриваемой системы;
Ф
j,
Sj - то же, что в
формуле (21) для
j-го воздухораспределительного устройства (решетки).
8.3. Источник шума в сети воздуховодов
8.3.1 Шум от вентилятора или генерирующего шум дросселя, тройника и т.п. распространяется по воздуховодам систем ОВК и излучается в помещение через воздухораспределительные или воздухоприемные устройства (например, решетки или плафоны). Октавные уровни звукового давления в помещении Li, дБ, определяют для каждого источника шума по формулам:
а) при проникновении шума в помещение через одно воздухораспределительное устройство

(25)
б) при проникновении шума в помещение через несколько воздухораспределительных устройств (решеток) одной системы

(26)
где

- октавный уровень звуковой мощности источника шума (вентилятора, дроссель-клапана, тройника и т.п.), определяемый в соответствии с
разделом 6, дБ;

- суммарное снижение уровня (потери) звуковой мощности источника шума, дБ, в рассматриваемой октавной полосе частот по пути распространения шума в элементах сети до выхода в помещение через первую решетку, включая потери отражения от первой (по ходу звука) решетки;
Ф, Ф
j - фактор направленности излучения шума соответственно через воздухораспределительное или воздухоприемное устройство в направлении расчетной точки, безразмерный, определяемый для воздухораспределительных устройств (решеток) по графикам на
рисунке 8.1, в остальных случаях - по опытным данным.
Примечания
1 При расчете по
формуле (26) в

не следует включать снижение уровня звуковой мощности на нескольких решетках в одном помещении, а при определении потерь отражения от открытого конца по
таблицам 7.5,
7.6 следует брать габаритную площадь одной решетки.
2 Расчет уровней звукового давления по формулам (
21,
23 и
24) справедлив, если отношение меньшего размера помещения к большему не превышает 1:5. В других случаях (например, помещение с большой площадью пола при небольшой высоте потолка) постоянную помещения
B рекомендуется определять по
таблице 8.2 в зависимости от величины воображаемого объема
V*, вычисляемого по формуле
V* = 5h2b, (27)
где h - меньший размер помещения, м;
b - второй по величине размер помещения, м, если b <= 5h.
Если b > 5h, то V* вычисляют по формуле
V* = 25h3. (28)
Для небольших по объему помещений Li вычисляют по формуле

(29)
8.4. Источник шума в помещении, из которого шум проникает в другое помещение по воздуховоду
8.4.1 Октавные уровни звукового давления
Li, дБ, создаваемые данным источником шума в расчетной точке, находящейся в смежном помещении
(рисунок 8.2), вычисляют по формуле

(30)
где
Lш - октавный уровень звукового давления в помещении с источником шума, дБ, определяемый по формулам (
23,
24);
Sр - площадь решетки или решеток в помещении с источником шума, м2;

- суммарное снижение уровня звуковой мощности по пути распространения звука в канале, дБ, в рассматриваемой октавной полосе частот, определяемое в соответствии с
разделом 7;
Bи - постоянная изолируемого от шума помещения, м
2, вычисляемая по
формуле (22).
1 - вентиляционный канал; 2 - ответвления от вентиляционного
канала к помещениям; 3 - концевые воздухораспределительные
устройства (решетки, плафоны и т.п.); ИШ - источник шума;
РТ - расчетная точка
Рисунок 8.2 - Схема расположения источника шума и расчетной
точки в помещениях, соединенных вентиляционным каналом
8.5. Источник шума - транзитный воздуховод
8.5.1 Расчетные точки находятся в помещении, по которому проходит "шумный" воздуховод, а шум в помещение проникает через стенки воздуховода. Октавные уровни звукового давления Li, дБ, вычисляют по формуле

(31)
где

- октавный уровень звуковой мощности, излучаемый в воздуховод источником шума, дБ;

- суммарное снижение уровней (потери) звуковой мощности по пути распространения звука от источника шума (вентилятора, дросселя и т.п.) до начала рассматриваемого участка воздуховода, излучающего шум в помещение, дБ, определяемое в соответствии с
разделом 7;
S - площадь наружной поверхности участка воздуховода, через которую шум поступает в помещение, м2;
F - площадь поперечного сечения воздуховода, м2;
Rв - звукоизолирующая способность стенок воздуховода, дБ, приведенная в таблицах 8.4 и
8.5.
Таблица 8.4
Звукоизолирующая способность стенок воздуховодов
Материал воздуховода | Толщина материала, мм | Rв прямоугольных воздуховодов сечением не менее 0,25 м2, дБ, при среднегеометрических частотах октавных полос, Гц |
63 | 125 | 250 | 500 | 1000 | 2000 | 4000 | 8000 |
Сталь | 0,7 | 8 | 15 | 18 | 23 | 26 | 30 | 34 | 37 |
1 | 12 | 16 | 20 | 24 | 29 | 33 | 36 | 34 |
2 | 16 | 20 | 24 | 29 | 33 | 36 | 34 | 34 |
Сталь (1 мм) с облицовкой из минераловатных плит  | 80 | (16) | (20) | (26) | (30) | (34) | (38) | (42) | (45) |
Железобетон | 50 | 28 | 34 | 35 | 35 | 41 | 48 | 55 | 55 |
Кирпичная кладка | 130 | 32 | 39 | 40 | 43 | 48 | 54 | 60 | 60 |
Гипсобетонные плиты | 80 | (24) | 28 | 33 | 37 | 39 | 44 | 44 | - |
Керамзитобетонные плиты | 80 | (26) | 33 | 34 | 39 | 47 | 52 | - | - |
Примечание - В скобках приведены приблизительные значения. |
Таблица 8.5
Звукоизолирующая способность стенок
облицованных воздуховодов
Материал воздуховода | Толщина материала, мм | Rв круглых воздуховодов диаметром от 300 до 600 мм, дБ, при среднегеометрических частотах октавных полос, Гц |
63 | 125 | 250 | 500 | 1000 | 2000 | 4000 | 8000 |
Сталь  | | (33) | 24 | 28 | 29 | 24 | 24 | 22 | 29 |
То же, с облицовкой из асбестовой ткани | 5 | (38) | 31 | 36 | 36 | 34 | 34 | 39 | 48 |
То же, с облицовкой минераловатными плитами | 50 - 80 | (37) | 30 | 38 | 40 | 40 | 41 | 44 | 48 |
То же, с нанесением мастики ВД-17-59 | 6 | (35) | 32 | 32 | 35 | 34 | 32 | 35 | 34 |
Примечание - В скобках приведены ориентировочные значения для воздуховодов диаметром менее 300 мм. |
8.6. Источник шума в помещении, через которое проходит воздуховод
8.6.1 Шум проникает через стенки в воздуховод и далее по нему в тихое помещение. Октавные уровни звукового давления в тихом помещении давления Li, дБ, вычисляют по формуле

(32)
где S - площадь поверхности воздуховода в пределах шумного помещения, м2;
Rв - звукоизолирующая способность стенок воздуховода, дБ;

- суммарное снижение уровня звуковой мощности, дБ, по пути распространения звука от шумного до тихого помещений;
Lш - средний уровень звукового давления в шумном помещении в данной полосе частот, дБ, вычисляемый по формуле

(33)
где

- октавный уровень звуковой мощности отдельного источника шума, дБ;
Bш - постоянная шумного помещения в данной октавной полосе, м2.
Примечания
2 Расчет уровней звукового давления по
формуле (32) справедлив, если отношение меньшего размера помещения к большему не превышает 1:5.
8.7. Оценка допустимого уровня звуковой мощности источника
8.7.1 Зная значение разности

для рассматриваемого помещения и допустимый уровень звукового давления
Lдоп, можно ориентировочно определить допустимые уровни звуковой мощности шума одного источника

(например, плафона) для любой октавной полосы с учетом поправки на число источников шума
n с одинаковой звуковой мощностью по формуле

(34)
Для определения допустимого уровня звуковой мощности на одно приточное устройство из общего допустимого уровня звуковой мощности следует вычесть поправку, которая зависит от числа приточных устройств, у которых примерно одинаковая звуковая мощность (таблица 8.6).
Таблица 8.6
Поправка, зависящая от числа приточных устройств
Число приточных устройств n | 2 | 3 | 4 | 8 | 10 | 20 |
Поправка 10 lgn, дБ | 3 | 5 | 6 | 9 | 10 | 13 |
8.8. Расчет уровня звукового давления в изолируемом от шума помещении
8.8.1 Октавные уровни звукового давления Li, дБ, в расчетной точке изолируемого помещения, граничащего с шумным помещением, вычисляют по формуле
Li = Lш - 10 lgBи + 10 lgS - R, (35)
где Lш - октавный уровень звукового давления, измеренный или рассчитанный в шумном помещении, дБ;
S - площадь ограждающей конструкции, м2, между изолируемым и шумным помещением;
R - звукоизоляция шума ограждающей конструкцией, дБ (для открытого проема R = 0).
8.9. Источник шума на прилегающей к зданию территории
8.9.1 Если источник шума и расчетная точка расположены на территории, а источник шума можно считать точечным (например, при расстоянии между ними больше удесятеренного максимального размера источника шума), то октавные уровни звукового давления Li, дБ, в расчетных точках вычисляют по формуле

(36)
где

- октавный уровень звуковой мощности
m-ного источника шума, дБ;

- суммарное снижение уровня звуковой мощности по пути распространения звука в воздуховоде от
m-ного источника шума в рассматриваемой октавной полосе, дБ;

- показатель направленности излучения
m-ного источника шума, определяемый по
рисунку 8.3, дБ;

- акустическая эффективность, дБ, в октавных полосах частот экрана-преграды, расположенного между РТ и
m-ным источником шума, если таковой имеется;
rm - расстояние от m-ного источника шума до расчетной точки, м;

- пространственный угол излучения звука
m-ного источника шума (

- источник над крышей или над землей на высоте более 6 м;

- источник на земле или на крыше;

- источник на фасаде или участке фасада здания);

- снижение уровня звукового давления поверхностью земли с акустическим мягким покрытием, дБ;

- коэффициент снижения уровня звукового давления зелеными насаждениями (лесополосой), дБ;
l - ширина лесополосы, м.
а) Излучение шума через вентиляционную решетку
в стене здания
б) Излучение шума открытым концом воздуховода на кровле
в) Излучение шума через вентиляционную шахту на кровле
Рисунок 8.3 - Показатель направленности излучения шума
через отверстия вентиляционных решеток, воздуховодов, шахт
и подобных элементов
Таблица 8.7
Затухание звука в атмосфере
Среднегеометрические частоты октавных полос, Гц | 63 | 125 | 250 | 500 | 1000 | 2000 | 4000 | 8000 |
 , дБ/км | 0 | 0,7 | 1,5 | 3 | 6 | 12 | 24 | 48 |
8.9.2 При протяженном источнике ограниченного размера (цепочки вентиляторов, наружных блоков кондиционеров, линейно расположенных, и т.п.), то есть когда источник шума нельзя считать точечным либо когда источник шума расположен в застройке, и его шум претерпевает многократные отражения, октавные уровни звукового давления Li, дБ, в расчетной точке вычисляют по формуле

(37)
8.9.3 Снижение шума при распространении его сквозь плотную полосу лесонасаждений с деревьями высотой не менее 5 м и с заполнением подкронового пространства кустарником оценивают коэффициентом ослабления звука полосами лесонасаждений

, дБ/м. Коэффициент

, равный снижению уровня звукового давления на 1 м лесополосы, и вычисляют по формуле

(38)
где f - среднегеометрическая частота октавной полосы, Гц.
При расчете в дБА принимается

.
9. Оценка структурного шума
9.1.1 Структурный шум в помещениях с нормируемыми акустическими условиями, смежных с техническими помещениями (вентиляционными камерами, насосными), возникает в результате передачи динамических сил (вибрации) от оборудования рассматриваемых систем (холодильных машин, воздушных охладителей, насосов, соединительных труб, вентиляционных установок, и др.) на строительные конструкции и, в первую очередь, на перекрытия и стены.
9.2.1 Октавные уровни звукового давления, создаваемые в изолируемом от шума помещении указанным оборудованием Lи, дБ, вычисляют по формуле

(39)
где

- октавный уровень звуковой мощности структурного шума, излучаемого в это помещение при работе данной вентиляционной установкой, дБ;
Bи - постоянная изолируемого помещения, м2.
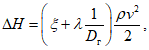
9.2.2 Октавные уровни звуковой мощности структурного шума, излучаемого в помещение при работе вентилятора, установленного на пружинные виброизоляторы,

, дБ, вычисляют по формулам:
- при расположении над изолируемым помещением

(40)
- при расположении в вентиляционной камере вне пределов перекрытия над изолируемым помещением

(41)
где

- октавный уровень звуковой мощности воздушного шума, излучаемого вентилятором в венткамеру, дБ;
Zс - суммарное волновое сопротивление пружин, на которых установлен вентилятор, Н·с/м;
Zпер - входной импеданс перекрытия (несущей плиты, при отсутствии пола на упругом основании, плиты пола - при его наличии), Н·с/м;
S - условная площадь перекрытия венткамеры над изолируемым помещением, м2;
S = S1 при S1 > Sи/4; S = Sи/4 при S1 < Sи/4 или если вентиляционная камера не находится над изолируемым помещением, но имеет одну общую с ним стену;
S1 - площадь вентиляционной камеры над изолируемым помещением, м2;
Sи - площадь изолируемого помещения, м2;
Sв - общая площадь вентиляционной камеры, м2;
R - собственная изоляция воздушного шума перекрытием, дБ.
9.2.3 Если вентилятор установлен на полу на упругом основании, собственную изоляцию воздушного шума перекрытием с полом на упругом основании R, дБ, вычисляют по формуле

(42)
где Rи - собственная изоляция воздушного шума несущей плитой перекрытия, дБ;

- дополнительная собственная изоляция воздушного шума перекрытием с полом на упругом основании, дБ.
10. Определение требуемого снижения шума
10.1.1 В общем случае требуемое снижение октавных уровней звукового давления

, дБ, рассчитывают отдельно для каждого источника шума, но при этом учитывают общее число однотипных по спектру звуковой мощности источников шума и значения уровней звукового давления, создаваемых каждым из них в расчетной точке.
Требуемое снижение шума для каждого источника должно быть таким, чтобы суммарные уровни во всех октавных полосах частот от всех источников шума не превышали допустимых уровней звукового давления. Контрольное сложение уровней можно выполнить, пользуясь, например,
таблицей 8.1.
10.2. Акустические ситуации
10.2.1 При наличии одного источника шума (например, внутреннего блока кондиционера, фэнкойла и др.) требуемое снижение октавных уровней звукового давления

, дБ, в расчетной точке в помещении или на территории вычисляют по формуле

(43)
где
Li - уровень звукового давления в расчетной точке в рассматриваемой октавной полосе частот, создаваемый данным источником шума, дБ, определяемый в соответствии с
разделом 8;
Lдоп - допустимый октавный уровень звукового давления, дБ, для систем вентиляции, кондиционирования воздуха и воздушного отопления, определяемый в соответствии с
разделом 5.
10.2.2 Требуемое снижение октавных уровней звукового давления

, дБ, в расчетной точке в помещении (или на территории) при наличии нескольких источников шума, отличающихся один от другого менее, чем на 10 дБ, вычисляют для каждого источника в отдельности по формуле

(44)
где n - общее количество принимаемых в расчет источников шума.
10.2.3 В общее количество источников шума
n при определении требуемого снижения октавных уровней звукового давления

, дБ, в расчетных точках, расположенных на территории жилой застройки или на площадках промышленных предприятий, следует включать все источники шума, которые создают в расчетной точке октавные уровни звукового давления, отличающиеся менее чем на 10 дБ.
10.2.4 К источникам шума на прилегающей территории могут относиться открыто установленные вентиляторы, холодильные машины, наружные блоки кондиционеров и т.п., а также выбросные или воздухозаборные отверстия (проемы) каналов и шахт, излучающих шум в атмосферу.
10.2.5 При определении

, дБ, для расчетных точек в помещении, защищаемом от шума оборудования систем ОВК, в общее количество принимаемых в расчет источников шума следует включать:
- при расчете требуемого снижения шума вентилятора (при расчете центрального глушителя) - количество систем, обслуживающих помещение с расчетной точкой; шум, генерируемый воздухораспределительными, воздухорегулирующими и фасонными элементами при этом не учитывается, так как их спектры шума сильно отличаются и октавные уровни шума в помещении в результате этого не увеличиваются;
- при расчете требуемого снижения шума, генерируемого воздухораспределительными устройствами одной системы (плафонами, решетками и т.п.), - количество систем, обслуживающих рассматриваемое помещение; шум вентилятора, воздухорегулирующих и фасонных элементов при этом не учитывается;
- при расчете снижения шума, генерируемого фасонными элементами и воздухорегулирующими устройствами рассматриваемого ответвления, - количество фасонных элементов и дросселей, уровни шума которых в данной октавной полосе отличаются один от другого менее чем на 10 дБ (например, тройников к ответвлению и дросселей, т.е.
n = 2); шум вентилятора и решеток при этом не учитывается, но

увеличивается на 3 дБ.
10.2.6 При определении по
формулам (36) и
(37) октавных уровней звукового давления
Li, дБ, от различных источников шума для расчета требуемого снижения УЗД в расчетной точке по
формуле (44) допускается расстояния до источников шума принимать одинаковыми и равными среднеарифметическому
rср(
ri =
rср) в случаях, когда
rмакс <= 1,5
rмин для разных источников шума.
Для одинаковых по излучаемой мощности источников шума в этом случае достаточно рассчитать требуемое снижение уровня звукового давления для одного источника, принимая
ri =
rср. Тогда требуемое снижение уровня звукового давления

будет одинаковым для всех источников шума.
10.2.7 В случае необходимости (например, для контрольной поверки) требуемое суммарное снижение октавных уровней звукового давления

в помещении при одновременной работе всех источников шума вычисляют по формуле

(45)
где Lсум - октавный уровень звукового давления в расчетной точке, создаваемый всеми источниками шума, дБ, и определяемый посредством расчета или измерения.
10.2.8 В общем количестве принимаемых в расчет источников шума не учитывают дросселирующие и воздухораспределительные устройства, устанавливаемые в магистральных воздуховодах, а также источники шума, создающие в расчетной точке к рассматриваемой октавной полосе уровни звукового давления менее, чем допустимые, на 10 дБ при их числе не более трех и на 15 дБ менее допустимых при их числе не более 10.
Примечание - Материалы, частично использованные в
разделах 6 -
10, приведены в
[2] и апробированы при решении практических задач защиты от шума систем ОВК.
11. Основные методы и средства снижения шума
11.1 Снижение шума систем ОВК может быть достигнуто, прежде всего, за счет:
- выбора вентилятора с наименьшими удельными октавными уровнями звуковой мощности;
- обеспечения работы вентилятора в режиме максимального КПД;
- снижения сопротивления сети и неприменения вентилятора, создающего избыточное давление и расход воздуха;
- обеспечения плавного подвода воздуха к входному патрубку вентилятора;
- соединения вентилятора с воздуховодами через прочные гибкие (эластичные) вставки.
В зависимости от назначения объекта вентиляторы (вентиляционные установки) следует располагать в здании в вентиляционных камерах или, если возможно, за пределами здания на открытых площадках, но не следует устанавливать рядом с помещениями с достаточно жесткими акустическими требованиями (спальными помещениями, кабинетами, офисами)
[2].
11.2 При обслуживании двух-трех помещений различного назначения одним магистральным воздуховодом систему следует располагать так, чтобы ближайшие к вентилятору воздухораспределители обслуживали помещения с более высокими допустимыми уровнями шума, а воздухораспределители, удаленные от вентилятора, - с более низкими, о чем информация приведена также в
[1]. Магистральные (транзитные) воздуховоды не следует размещать в помещениях, к которым предъявляют высокие требования по допустимым уровням шума. Не рекомендуется на одном воздуховоде устанавливать последовательно более четырех-пяти воздухораспределителей, так как в этом случае давление воздуха перед первым воздухораспределителем будет достаточно большим и может возникнуть необходимость в установке, например, дроссельной шайбы с большим коэффициентом местного сопротивления, что приведет к увеличению создаваемого шума.
11.3 Снижения шума путевой арматуры систем ОВК и воздухораспределительных устройств добиваются:
- ограничением скорости движения воздуха в сетях величиной, обеспечивающей уровни шума, генерируемого регулирующими и воздухораспределительными устройствами, в пределах допустимых значений в обслуживаемых помещениях;
- использованием воздухораспределительного устройства с минимальными значениями коэффициента местного сопротивления.
11.4 Для снижения шума приточных или вытяжных систем, распространяющегося от вентиляторов (вентиляционных установок) по воздуховодам, следует предусматривать центральные (непосредственно у вентилятора) и концевые (в воздуховоде перед вводом в обслуживаемое системой помещение) глушители, если рациональным выбором параметров вентустановки, ее соответствующей компоновкой или использованием малошумного вентилятора невозможно добиться уровня звукового давления, не превышающего допустимый уровень для данного помещения, зоны или объекта (типы, акустические и аэродинамические характеристики рекомендуемых глушителей приведены в
приложении В).
11.5 В качестве глушителей шума систем ОВК следует применять абсорбционные глушители: трубчатые, цилиндрические, пластинчатые, канальные, а, при необходимости, камерные и облицованные изнутри звукопоглощающими материалами (ЗПМ) воздуховоды и их повороты. Затухание звука в абсорбционных глушителях зависит от длины активной части, геометрии проходного сечения, толщины слоя звукопоглощающего материала (ЗПМ), его плотности и коэффициента звукопоглощения, зависящего от физико-механических свойств этого материала.
11.6 Конструкцию глушителя следует подбирать в зависимости от назначения системы, требуемого снижения уровня шума, размера воздуховода в месте установки глушителя, допустимой скорости воздуха и предельно допустимого гидравлического сопротивления в сети (см.
приложение В).
11.7 Эффективность глушителей определяют опытным путем на специальных стендах и приводят в их паспортах или каталогах. Эффективность облицованных изнутри звукопоглощающими материалами воздуховодов и поворотов определяют в натурных условиях. Создаваемое глушителями в сети гидравлическое сопротивление может быть определено путем измерения или расчета на заданных скоростях потока воздуха.
11.8 Для предотвращения проникновения повышенного шума от оборудования систем ОВК в другие помещения здания следует:
- исключать расположение рядом с техническими помещениями с оборудованием (венткамерами, насосными) помещения, требующие повышенной защиты от шума;
- виброизолировать агрегаты с помощью пружинных, резиновых или комбинированных виброизоляторов (задача изготовителей);
- осуществлять акустическую обработку технических помещений (помещений с оборудованием), а именно облицовку стен и потолков слоем ЗПМ (при необходимости дополнительного снижения шума в помещении на 3 - 7 дБ);
- применять в технических помещениях полы на упругом основании (плавающие полы) или вибродемпфирующие основания под элементы систем (вентиляторы, кондиционеры, холодильные машины, воздушные охладители, насосы и др.), параметры которых следует определять расчетом (рекомендуемые упругие материалы, а также их динамические характеристики приведены в
приложении Г);
- применять ограждающие конструкции технических помещений с оборудованием, обеспечивающие требуемую изоляцию воздушного шума, определяемую расчетом в соответствии с
СП 51.13330 (см. также
[3]);
- устанавливать на транзитные воздуховоды и технологические трубы звукоизолирующие покрытия;
- устанавливать гибкие вставки между вентиляторами и воздуховодами.
11.9 Полы на упругом основании (плавающие полы) следует выполнять по всей площади технического помещения; конструктивные параметры (толщина плиты пола, упругого основания) и выбор материала упругого основания пола зависят от количества, состава и массы оборудования, значение требуемой виброизоляции и определяются специалистами. Конструктивная схема таких полов приведена в
[2].
11.10 Воздуховоды систем вентиляции, кондиционирования воздуха и воздушного отопления в пределах технических помещений в жилых зданиях следует устанавливать на стойках, опирающихся на плавающий пол. В исключительных случаях воздуховоды могут подвешиваться к потолку, но при условии использования специальных эффективных виброизолирующих устройств и вибродемпфирующих прокладок в типовых подвесах.
В местах прохода через ограждения технических помещений воздуховоды должны быть виброизолированы по периметру (в первую очередь, в отсутствие между вентиляторами и воздуховодами гибких вставок).
11.11 Холодильные машины, циркуляционные насосы систем холодоснабжения следует размещать на подземных технических этажах зданий и устанавливать на локальных фундаментах и виброоснованиях, конструкции которых разрабатываются в зависимости от их типоразмеров. Технологические трубы к ним должны присоединяться посредством гибких вставок, отвечающих техническим требованиям. В местах крепления к строительным конструкциям здания и прохода технологических труб через ограждения технических помещений они должны быть виброизолированы. Варианты такой виброизоляции приведены в
[2].
Указанное оборудование может быть установлено на кровлях, открытых площадках зданий при условии, что под ними располагаются технические этажи или предусмотрена надежная виброизоляция, исключающая возникновение повышенного структурного шума в защищаемых от него помещениях на верхних этажах.
11.12 Оптимальным способом защиты помещений и территорий от воздушного шума холодильных машин, воздушных охладителей, сухих градирен, устанавливаемых на кровлях, открытых площадках зданий из-за их конструктивных особенностей, является экранирование - установка акустических экранов (акустически жестких преград со звукопоглощающими облицовками со стороны источника звука) и выгородок из них. Размеры экранов в каждом случае определяют расчетом
[1].
11.13 Наружные блоки местных систем кондиционирования воздуха (сплит-систем) могут быть установлены на фасадах и на кровле любого по назначению здания (жилого, общественного и др.), если предусмотрены меры по устранению передачи от них вибрации на строительные конструкции (причины возникновения структурного шума в помещениях) и защите от шума окружающей среды (помещений данного здания и прилегающей территории застройки).
Примечание - Необходимость осуществления того или иного строительно-акустического мероприятия, применения метода или средства шумоглушения систем ОВК определяется квалифицированным акустическим расчетом и определением зависимости от частоты требуемого снижения шума.
(обязательное)
КРИТЕРИИ ШУМНОСТИ ВЕНТИЛЯТОРОВ
А.1 Критерии шумности Lкш радиальных и осевых вентиляторов приведены в таблице А.1.
Таблица А.1
Критерии шумности радиальных и осевых вентиляторов
Вентилятор | Критерий шумности Lкш, дБ, для сторон |
Тип | Номер | нагнетания | всасывания | корпуса |
Радиальные (центробежные) |
ВР-80-70 | 2,5; 3,15; 4; 5; 6,3; 8; 10; 12,5; 16 | 50 | 47 | 49 |
ВР-86-77 | 8; 10; 12,5; 16; 20 | 47 | 44 | 46 |
ВР-300-45 | 2; 2,5; 3,15; 4; 5; 6,3; 8 | 51 | 48 | 50 |
ВР-132-30 | 5; 6,3; 8; 9; 11; 12 | 57 | 49 | 53 |
ВР-10-28 | 2; 2,5; 2,8; 3,15; 4; 5 | 55 | 50 | 53 |
ВР-100-45 | 5; 6,3; 8 | 55 | 50 | 53 |
Осевые |
ВО-14-320 | 3,15; 4; 5; 6,3; 8; 10; 12,5 | 49 | 49 | 49 |
(обязательное)
УДЕЛЬНЫЕ УРОВНИ ЗВУКОВОЙ МОЩНОСТИ (УУЗМ) РАДИАЛЬНЫХ, ОСЕВЫХ
И КРЫШНЫХ ВЕНТИЛЯТОРОВ ОБЩЕГО И СПЕЦИАЛЬНОГО НАЗНАЧЕНИЯ
И ПОПРАВКА НА ТОНАЛЬНУЮ СОСТАВЛЯЮЩУЮ НА ЛОПАТОЧНОЙ ЧАСТОТЕ
Б.1 Октавные значения УУЗМ

и поправка на тональную составляющую на лопаточной частоте

приведены в таблице Б.1.
Таблица Б.1
Октавные значения УУЗМ и поправка на лопаточной частоте
Тип вентилятора | |  , дБ, на среднегеометрических частотах октавных полос со среднегеометрическими, Гц | |
Направление излучения шума <**> | 63 | 125 | 250 | 500 | 1000 | 2000 | 4000 | 8000 |
1 ВР-300-45 | 200 - 250 | | | | | | | | | |
Всасывание | 21 | 22 | 25 | 28 | 29 | 25 | 19 | 17 | 5 |
Нагнетание | 24 | 25 | 28 | 31 | 32 | 28 | 24 | 20 | 5 |
300 - 400 | | | | | | | | | |
Всасывание | 20 | 21 | 23 | 23 | 23 | 17 | 13 | 6 | 5 |
Нагнетание | 23 | 24 | 26 | 26 | 26 | 20 | 16 | 9 | 5 |
2 ВЦ-14-46 | 500 - 800 | | | | | | | | | |
Всасывание | 21 | 22 | 26 | 27 | 24 | 20 | 14 | 6 | 3 |
Нагнетание | 24 | 25 | 29 | 30 | 27 | 23 | 17 | 9 | 3 |
3 ВР-86-77 | 250 - 400 | | | | | | | | | |
Всасывание | 18 | 19 | 24 | 25 | 21 | 19 | 15 | 7 | 3 |
Нагнетание | 21 | 23 | 27 | 28 | 24 | 22 | 18 | 10 | 3 |
500 - 800 | | | | | | | | | |
Всасывание | 20 | 21 | 27 | 22 | 20 | 17 | 11 | 2 | 3 |
Нагнетание | 23 | 24 | 30 | 25 | 23 | 20 | 14 | 5 | 3 |
4 ВР-80-70 | 1000 - 1250 | | | | | | | | | |
Всасывание | 24 | 23 | 21 | 19 | 16 | 11 | 4 | -6 | 2 |
Нагнетание | 27 | 26 | 24 | 22 | 19 | 14 | 7 | -3 | 2 |
5 ВР-100-35 | 250 - 400 | | | | | | | | | |
Всасывание | 28 | 29 | 29 | 28 | 28 | 23 | 20 | 16 | 3 |
Нагнетание | 31 | 32 | 32 | 31 | 31 | 26 | 23 | 19 | 3 |
500 - 850 | | | | | | | | | |
Всасывание | 13 | 15 | 18 | 21 | 24 | 18 | 14 | 9 | 3 |
Нагнетание | 16 | 18 | 21 | 24 | 27 | 21 | 17 | 12 | 3 |
6 ВР-100-42 | 250 - 400 | | | | | | | | | |
Всасывание | 17 | 19 | 20 | 22 | 25 | 20 | 18 | 15 | - |
Нагнетание | 20 | 22 | 23 | 25 | 28 | 23 | 21 | 18 | - |
500 - 850 | | | | | | | | | |
Всасывание | 13 | 15 | 18 | 20 | 20 | 17 | 13 | 7 | - |
Нагнетание | 16 | 18 | 21 | 23 | 23 | 20 | 16 | 10 | - |
7 ВР-100-50 | 800 - 900 | | | | | | | | | |
Всасывание | 13 | 15 | 19 | 19 | 17 | 15 | 13 | 6 | - |
Нагнетание | 16 | 18 | 22 | 22 | 20 | 18 | 16 | 9 | - |
8 ВР-132-30 | 300 - 630 | | | | | | | | | |
Всасывание | 7 | 9 | 17 | 21 | 22 | 20 | 17 | 11 | 3 |
Нагнетание | 10 | 12 | 20 | 24 | 25 | 23 | 20 | 14 | 3 |
800 - 1000 | | | | | | | | | |
Всасывание | 16 | 18 | 21 | 23 | 22 | 21 | 12 | 4 | 3 |
Нагнетание | 19 | 21 | 24 | 26 | 25 | 24 | 15 | 7 | 3 |
Более 1000 | | | | | | | | | |
Всасывание | 11 | 13 | 18 | 19 | 15 | 13 | 8 | -4 | 3 |
Нагнетание | 14 | 16 | 21 | 22 | 18 | 16 | 11 | -1 | 3 |
9 ВЦ-5-35 | 250 - 850 | | | | | | | | | |
Всасывание | 31 | 32 | 30 | 31 | 29 | 24 | 22 | 19 | 3 |
Нагнетание | 34 | 35 | 33 | 34 | 32 | 27 | 25 | 22 | 3 |
10 ВО-14-320 | 500 - 800 | | | | | | | | | |
Всасывание | 31 | 30 | 27 | 32 | 31 | 28 | 22 | 14 | 3 |
Нагнетание | 34 | 35 | 30 | 35 | 34 | 31 | 25 | 17 | 3 |
800 - 1000 | | | | | | | | | |
Всасывание | 28 | 30 | 33 | 34 | 31 | 27 | 21 | 13 | 3 |
Нагнетание | 31 | 33 | 36 | 37 | 34 | 30 | 24 | 16 | 3 |
Более 1000 | | | | | | | | | |
Всасывание | 33 | 36 | 41 | 42 | 38 | 32 | 25 | 15 | 3 |
Нагнетание | 36 | 39 | 44 | 45 | 41 | 35 | 28 | 18 | 3 |
11 ВР-100-45 | 300 - 630 | | | | | | | | | |
Всасывание | 25 | 27 | 31 | 30 | 27 | 26 | 20 | 11 | 4 |
Нагнетание | 28 | 30 | 34 | 33 | 30 | 29 | 23 | 14 | 4 |
700 - 1000 | | | | | | | | | |
Всасывание | 32 | 36 | 36 | 34 | 30 | 28 | 21 | 14 | 4 |
Нагнетание | 35 | 39 | 39 | 37 | 33 | 31 | 24 | 17 | 4 |
12 ВКРМ (см. ГОСТ 24814) | 300 - 630 | | | | | | | | | |
Всасывание | 30 | 32 | 34 | 34 | 26 | 23 | 16 | 8 | 5 |
Нагнетание | 33 | 35 | 37 | 37 | 29 | 26 | 19 | 11 | 5 |
800 - 1000 | | | | | | | | | |
Всасывание | 33 | 31 | 27 | 28 | 25 | 19 | 11 | 7 | 3 |
Нагнетание | 36 | 34 | 30 | 31 | 28 | 22 | 14 | 10 | 3 |
Более 1000 | | | | | | | | | |
Всасывание | 27 | 29 | 30 | 27 | 21 | 13 | 9 | 0 | 3 |
Нагнетание | 30 | 32 | 33 | 30 | 24 | 16 | 12 | 3 | 3 |
<*> D - диаметр рабочего колеса вентилятора. <**> Направление излучения шума: всасывание - воздуховод на стороне всасывания вентилятора; нагнетание - воздуховод на стороне нагнетания вентилятора. Примечание - Тональная составляющая шума вентилятора учитывается посредством внесения повышающей поправки  в октавной полосе, в которую попадает частота прохождения лопаток fл. Частоту прохождения лопаток (лопаточную частоту) вычисляют по формуле fл = z· n/60 (где z - число лопаток рабочего колеса, n - число оборотов в минуту). Повышающая поправка  на частоте прохождения лопаток - количество децибел, которое необходимо добавить к уровню звуковой мощности в октавной полосе, в которую попадет лопаточная частота. Интенсивность тональной составляющей зависит от типа вентилятора. |
(рекомендуемое)
АКУСТИЧЕСКИЕ И АЭРОДИНАМИЧЕСКИЕ ХАРАКТЕРИСТИКИ
ГЛУШИТЕЛЕЙ ШУМА
В.1 Трубчатые глушители (круглые и прямоугольные) эффективны в воздуховодах с поперечными размерами до 450 - 500 мм. Они представляют собой участки воздуховодов (каналов) круглого или прямоугольного сечения со звукопоглощающими стенками, свободное сечение глушителя равно сечению воздуховода (таблицы В.1,
В.2). Для сохранения формы канала и предотвращения выдувания ЗПМ потоком служит достаточно прозрачное для звука покрытие. Это могут быть тонкие ПВХ-покрытия, стеклоткани и пленки с перфорированным металлическим листом. Когда требуется глушитель длиной более 3 м, следует его разбивать (делить) на 2 - 3 секции с расстоянием между ними не менее одной-двух длин такой секции.
Таблица В.1
Трубчатые глушители круглого сечения
Толщина ЗПМ, характерный размер, мм | Расчетная длина глушителя, м | Снижение уровней звуковой мощности, дБ, трубчатыми глушителями шума круглого сечения в октавных полосах со среднегеометрическими частотами, Гц |
63 | 125 | 250 | 500 | 1000 | 2000 | 4000 | 8000 |
100, Dвн = 125 | 0,5 | 5 | 7 | 11 | 20 | 19 | 16 | 12 | 11 |
1,0 | 9 | 12 | 20 | 35 | 34 | 27 | 19 | 17 |
1,5 | 11 | 17 | 25 | 44 | 42 | 37 | 25 | 22 |
2,0 | 13 | 22 | 30 | 50 | 50 | 47 | 32 | 27 |
100, Dвн = 200 | 0,5 | 4 | 6 | 9 | 17 | 17 | 12 | 9 | 8 |
1,0 | 6 | 9 | 16 | 30 | 28 | 20 | 15 | 14 |
1,5 | 8 | 13 | 21 | 49 | 40 | 26 | 19 | 18 |
2,0 | 9 | 17 | 27 | 50 | 49 | 32 | 24 | 21 |
100, Dвн = 250 | 0,5 | 3 | 5 | 8 | 17 | 16 | 9 | 7 | 6 |
1,0 | 4 | 8 | 14 | 30 | 28 | 15 | 12 | 11 |
1,5 | 6 | 11 | 19 | 40 | 39 | 20 | 17 | 16 |
2,0 | 7 | 15 | 25 | 50 | 49 | 25 | 20 | 17 |
100, Dвн = 315 | 0,5 | 3 | 5 | 9 | 17 | 13 | 8 | 7 | 6 |
1,0 | 4 | 8 | 15 | 28 | 20 | 13 | 11 | 10 |
1,5 | 6 | 11 | 20 | 40 | 29 | 18 | 14 | 13 |
2,0 | 7 | 15 | 27 | 50 | 35 | 20 | 16 | 15 |
100, Dвн = 400 | 0,5 | 2 | 4 | 9 | 12 | 10 | 7 | 6 | 5 |
1,0 | 3 | 7 | 15 | 20 | 16 | 11 | 9 | 8 |
1,5 | 4 | 9 | 19 | 28 | 21 | 14 | 11 | 10 |
2,0 | 4 | 10 | 26 | 35 | 24 | 16 | 12 | 11 |
100, Dвн = 500 | 0,5 | 1 | 3 | 8 | 11 | 8 | 6 | 5 | 4 |
1,0 | 2 | 5 | 13 | 17 | 12 | 10 | 8 | 7 |
1,5 | 3 | 7 | 18 | 25 | 18 | 13 | 10 | 8 |
2,0 | 3 | 9 | 24 | 32 | 19 | 15 | 11 | 10 |
Таблица В.2
Трубчатые глушители прямоугольного сечения
Толщина ЗПМ, характерный размер, мм | Расчетная длина глушителя, м | Снижение уровней звуковой мощности, дБ, трубчатыми глушителями шума прямоугольного сечения в октавных полосах со среднегеометрическими частотами, Гц |
63 | 125 | 250 | 500 | 1000 | 2000 | 4000 | 8000 |
100, 200 x 100 | 0,5 | 2 | 7 | 10 | 18 | 20 | 16 | 10 | 8 |
1,0 | 3 | 11 | 18 | 32 | 35 | 29 | 18 | 13 |
1,5 | 4 | 13 | 22 | 37 | 39 | 34 | 25 | 19 |
2,0 | 5 | 15 | 25 | 43 | 45 | 40 | 30 | 23 |
100, 300 x 200 | 0,5 | 1 | 5 | 8 | 17 | 15 | 9 | 7 | 6 |
1,0 | 2 | 7 | 14 | 28 | 26 | 16 | 11 | 9 |
1,5 | 2 | 9 | 19 | 35 | 34 | 21 | 13 | 12 |
2,0 | 3 | 10 | 23 | 42 | 40 | 25 | 15 | 14 |
100, 400 x 200 | 0,5 | 1 | 4 | 6 | 14 | 12 | 8 | 6 | 4 |
1,0 | 2 | 6 | 11 | 25 | 22 | 13 | 10 | 7 |
1,5 | 2 | 8 | 14 | 35 | 29 | 18 | 11 | 9 |
2,0 | 3 | 9 | 18 | 42 | 40 | 22 | 14 | 12 |
100, 400 x 300 | 0,5 | 1 | 3 | 5 | 13 | 11 | 7 | 4 | 3 |
1,0 | 1 | 5 | 8 | 21 | 19 | 12 | 6 | 5 |
1,5 | 2 | 6 | 11 | 29 | 25 | 14 | 9 | 8 |
2,0 | 2 | 7 | 15 | 35 | 30 | 16 | 11 | 10 |
100, 400 x 400 | 0,5 | 1 | 2 | 4 | 12 | 8 | 5 | 4 | 3 |
1,0 | 1 | 3 | 7 | 20 | 15 | 9 | 6 | 5 |
1,5 | 2 | 5 | 10 | 27 | 21 | 12 | 8 | 7 |
2,0 | 2 | 6 | 14 | 33 | 27 | 15 | 10 | 9 |
В.2 Для увеличения затухания звука в воздуховодах с большими поперечными размерами прибегают к равномерному распределению ЗПМ по их сечению. Этот принцип использован в пластинчатых глушителях
(таблица В.3). По характеру спектра эффективности они мало отличаются от трубчатых глушителей. Толщина пластин и расстояние между ними, как правило, не меняются по сечению канала. С увеличением толщины и расстояния между пластинами область максимального затухания смещается в сторону более низких частот. Количество, высота пластин и каналов для воздуха определяются из условия равенства, как минимум, свободного сечения глушителя и сечения воздуховода, в котором глушитель установлен. Это условие обеспечивает минимальное гидравлическое сопротивление, создаваемое глушителем, соответственно минимальное шумообразование в нем. Дополнительного снижения гидравлического сопротивления добиваются путем установки на пластины на входе в глушитель и выходе из него обтекателей.
Таблица В.3
Толщина пластин, мм | Расстояние между пластинами, мм | Длина глушителя, м | Фактор свободной площади, % | Снижение уровней звуковой мощности, дБ, пластинчатыми глушителями шума в октавных полосах со среднегеометрическими частотами, Гц |
63 | 125 | 250 | 500 | 1000 | 2000 | 4000 | 8000 |
100 | 100 | 0,75 | 50 | 1 | 2 | 5 | 13 | 17 | 12 | 10 | 8 |
1,0 | 1 | 3 | 7 | 20 | 25 | 18 | 16 | 11 |
1,5 | 1 | 4 | 9 | 27 | 34 | 24 | 21 | 13 |
2,0 | 2 | 5 | 12 | 35 | 42 | 30 | 25 | 14 |
2,5 | 2 | 6 | 14 | 40 | 48 | 35 | 29 | 15 |
3,0 | 2 | 7 | 16 | 45 | 52 | 40 | 32 | 16 |
200 | 200 | 0,75 | 50 | 1 | 2 | 10 | 15 | 12 | 10 | 7 | 6 |
1,0 | 2 | 3 | 12 | 18 | 15 | 12 | 9 | 8 |
1,5 | 2 | 5 | 18 | 25 | 20 | 15 | 12 | 11 |
2,0 | 3 | 7 | 22 | 32 | 25 | 18 | 14 | 13 |
2,5 | 4 | 10 | 26 | 38 | 29 | 21 | 16 | 14 |
3,0 | 5 | 12 | 39 | 45 | 33 | 24 | 17 | 15 |
400 | 400 | 0,75 | 50 | 2 | 4 | 10 | 10 | 7 | 7 | 6 | 5 |
1,0 | 3 | 6 | 12 | 12 | 9 | 8 | 7 | 6 |
1,5 | 4 | 10 | 17 | 16 | 13 | 10 | 8 | 7 |
2,0 | 4 | 13 | 21 | 20 | 15 | 12 | 10 | 9 |
2,5 | 5 | 16 | 25 | 24 | 17 | 14 | 11 | 10 |
3,0 | 5 | 18 | 28 | 27 | 19 | 15 | 12 | 11 |
400 | 250 | 0,75 | 38 | 3 | 8 | 13 | 12 | 9 | 8 | 7 | 5 |
1,0 | 3 | 10 | 15 | 14 | 13 | 11 | 9 | 7 |
1,5 | 4 | 12 | 22 | 21 | 18 | 13 | 12 | 9 |
2,0 | 5 | 15 | 27 | 25 | 21 | 15 | 14 | 11 |
2,5 | 6 | 18 | 32 | 30 | 24 | 17 | 15 | 12 |
3,0 | 7 | 21 | 37 | 34 | 27 | 19 | 16 | 13 |
800 | 500 | 0,75 | 38 | 6 | 8 | 9 | 8 | 7 | 7 | 6 | 5 |
1,0 | 8 | 10 | 11 | 10 | 9 | 8 | 7 | 6 |
1,5 | 11 | 12 | 15 | 14 | 12 | 10 | 9 | 8 |
2,0 | 13 | 15 | 18 | 17 | 15 | 12 | 10 | 9 |
2,5 | 15 | 18 | 20 | 19 | 17 | 14 | 11 | 10 |
3,0 | 17 | 20 | 22 | 21 | 19 | 15 | 12 | 11 |
В.3 В прямоугольных воздуховодах с поперечными размерами до 800 x 500 мм пригодны так называемые канальные глушители. Это, по сути, пластинчатые глушители с одной пластиной толщиной, равной половине, как правило, меньшего размера поперечного сечения прямоугольного воздуховода (таблица В.4).
Таблица В.4
Размеры поперечного сечения, мм | Толщина слоя ЗПМ, мм | Длина активной части, мм | Снижение уровней звуковой мощности, дБ, канальными глушителями шума в октавных полосах со среднегеометрическими частотами, Гц |
63 | 125 | 250 | 500 | 1000 | 2000 | 4000 | 8000 |
300 x 150 | 75 | 900 | 1 | 3 | 13 | 23 | 29 | 20 | 14 | 11 |
400 x 200 | 100 | 2 | 3 | 12 | 22 | 25 | 19 | 12 | 10 |
500 x 250 | 125 | 3 | 3 | 10 | 17 | 20 | 13 | 10 | 9 |
500 x 300 | 150 | 3 | 4 | 9 | 17 | 16 | 11 | 10 | 10 |
600 x 300 | 150 | 3 | 4 | 9 | 16 | 16 | 10 | 9 | 9 |
600 x 350 | 175 | 3 | 5 | 8 | 14 | 13 | 8 | 8 | 8 |
700 x 400 | 200 | 4 | 5 | 9 | 13 | 11 | 8 | 8 | 8 |
800 x 500 | 250 | 4 | 6 | 6 | 11 | 8 | 6 | 6 | 6 |
1000 x 500 | 250 | 4 | 6 | 6 | 10 | 9 | 6 | 6 | 7 |
В.4 Значительное снижение уровня шума обеспечивают несоосные камерные глушители с внутренней звукопоглощающей облицовкой. Одним из основных препятствий для их применения является создаваемое ими высокое гидравлическое сопротивление в сети. Камерные глушители без внутренней облицовки менее эффективны, однако они предпочтительны по сравнению с другими глушителями при установке в вытяжных системах, обслуживающих помещения для приготовления пищи (по причине отсутствия в них ЗПМ и возможности его загрязнения и потери акустических качеств).
Примечания
1 Приведенная в
таблицах В.1 -
В.4 эффективность получена при заполнении глушителей супертонким базальтовым волокном по
ГОСТ 21880 с объемной массой набивки 20 - 25 кг/м
3.
2 Когда требуется глушитель длиной более 3 м, его следует разбивать (делить) на 2 - 3 секции с расстоянием между ними не менее одной-двух длин такой секции. Эффективность одного глушителя (всех типов) длиной 3 м не равна сумме эффективностей трех глушителей по 1 м, установленных на расстоянии 1 - 2 м друг от друга.
В.5 Если глушитель устанавливают на конечном участке воздуховода перед помещением, то допустимую скорость воздуха ориентировочно можно принимать в зависимости от допустимого уровня звука в помещении в соответствии с таблицей В.5.
Таблица В.5
Допустимый уровень звука в помещении, дБА | 25 | 30 | 40 | 50 | 55 | 70 |
Допустимая скорость воздуха в глушителе, м/с | 2,5 | 3 | 5 | 7 | 9 | 14 |
В.6 В серийно выпускаемых глушителях происходит вынужденная замена одного ЗПМ на другой. В таких случаях требуется прогнозировать эффективность глушителя с новым материалом (оценивать его акустическую эквивалентность), используя выражение

(В.1)
Данное выражение позволяет по диаметру и плотности волокон нового ЗПМ определить его объемную плотность.
Пример - Чтобы эффективность глушителя, где в качестве ЗПМ использована минеральная вата (

,
d1 = 10 мкм, плотность материала волокна

), не претерпела существенных изменений, при замене ее на стекловолокно марки "Изовер" (
d2 = 5,5 мкм,

), плотность нового ЗПМ

должна быть около 40 кг/м
3.
Выражение (В.1) получено на основе предпосылки, что волокнистый материал (1) с плотностью

, кг/м
3, и диаметром волокна
d1, мкм, является акустически эквивалентным материалу (2) с плотностью

и диаметром
d2 при условии равенства их импедансов, т.е.
Z1 = Z2, (В.2)
где Z - импеданс, вычисляемый по формуле

(В.3)
здесь l - толщина слоя, расположенного на жестком основании;
W - волновое сопротивление, вычисляемое во формуле
W = 1 + Q - iQ, (В.4)

- постоянная распространения звука в волокнистой среде, 1/м, вычисляемая по формуле

(В.5)
где k - волновое число, 1/м, вычисляемое по формуле
здесь f - частота звука, Гц;
c0 - скорость звука в воздухе, м/с;
Q - безразмерная структурная характеристика, вычисляемая по формуле

(В.6)
где

- коэффициент динамической вязкости, Па·с;

- плотность воздуха, кг/м
3;
q0 - множитель, равный q0 = 1 + 0,25 x 104/(1 - H)2;

- пористость (

- плотность материала волокна, кг/м
3).
В.7 Аэродинамическое сопротивление глушителей

, Па, вычисляют по формуле

(В.7)
где

- коэффициент местного сопротивления; для пластинчатых глушителей принимается по
таблице В.6 в зависимости от фактора свободной площади и конструктивных особенностей пластин, для трубчатых глушителей

;
l - длина глушителя, м;
Dг - гидравлический диаметр, м;

- плотность воздуха, кг/м
3;
v - скорость воздуха в живом сечении глушителя, м/с.
Таблица В.6
Коэффициент местного сопротивления глушителей
Фактор свободной площади <*> | Коэффициент местного сопротивления  для пластин |
с обтекателями на входе | без обтекателей |
0,25 | 0,72 | 0,95 |
0,3 | 0,64 | 0,85 |
0,4 | 0,49 | 0,65 |
0,5 | 0,38 | 0,5 |
0,6 | 0,27 | 0,35 |
<*> Fсв и Fг - соответственно свободные площади поперечного сечения глушителя и поперечного сечения кожуха, в котором установлены пластины. |
Таблица В.7
Гидравлический диаметр глушителя Dг, м | 0,1 | 0,2 | 0,4 | 0,6 | 1,0 | >= 1,5 |
Коэффициент трения  | 0,06 | 0,05 | 0,04 | 0,03 | 0,025 | 0,025 |
Примечание - Существенное снижение аэродинамического сопротивления пластинчатых глушителей достигается за счет обтекателей (полуцилиндров), устанавливаемых на торцы пластин (по всей высоте) на входе в глушитель.
(справочное)
ДИНАМИЧЕСКИЕ ХАРАКТЕРИСТИКИ МАТЕРИАЛОВ ДЛЯ ПОЛОВ
НА УПРУГОМ ОСНОВАНИИ
Г.1 Динамические характеристики материалов определяют по таблице Г.1.
Таблица Г.1
Динамические характеристики материалов
Материалы | Плотность, кг/м3 | Динамический модуль упругости EД, Па, и относительное сжатие  материала звукоизоляционного слоя при нагрузке на звукоизоляционный слой, Па |
2000 | 5000 | 10000 |
| | EД | | EД | | EД | |
1 Плиты минераловатные на синтетическом связующем: | | | | | | | |
полужесткие | 110 - 125 | 4,5·105 | 0,5 | 5,5·105 | 0,5 | 7,0·105 | 0,6 |
жесткие | 130 - 150 | 4,5·105 | 0,4 | 6,0·105 | 0,45 | 8,0·105 | 0,55 |
2 Плиты из базальтового волокна на синтетическом связующем | | | | | | | |
70 - 90 | 1,9·105 | 0,1 | 2,0·105 | 0,15 | 2,6·105 | 0,2 |
100 - 120 | 2,7·105 | 0,08 | 3,0·105 | 0,1 | 4,0·105 | 0,15 |
125 - 150 | 3,6·105 | 0,07 | 5,0·105 | 0,08 | 6,5·105 | 0,1 |
3 Маты минераловатные прошивные | 75 - 125 | 4,0·105 | 0,65 | 5,0·105 | 0,7 | - | - |
126 - 175 | 5,0·105 | 0,5 | 6,5·105 | 0,55 | - | - |
4 Прессованная пробка | 200 | 11,0·105 | 0,1 | 12,0·105 | 0,2 | 12,5·105 | 0,25 |
5 Материалы из пенополиэтилена и пенополипропилена: | | | | | | | |
Изолон (ППЭ, ППЭ-Л) | 50 - 100 | 2,0·105 | 0,05 | 3,4·105 | 0,1 | 4,2·105 | 0,2 |
Термофлекс | | 4,0·105 | 0,03 | 4,8·105 | 0,1 | - | - |
Этафом (ППЭ-Р) | | 6,4·105 | 0,02 | 8,5·105 | 0,1 | 9,2·105 | 0,2 |
Пенотерм (НПП-ЛЭ) | | 6,6·105 | 0,1 | 8,5·105 | 0,2 | 9,2·105 | 0,25 |
Полифом Вибро | | 7,5·105 | 0,03 | 14,4·105 | 0,05 | - | - |
Примечания 1 Для нагрузок на звукоизоляционный слой, не указанных в данной таблице, значения EД и  следует принимать по линейной интерполяции в зависимости от фактической нагрузки. 2 В таблице приведены ориентировочные значения EД и  , более точные данные следует брать из сертификатов на материалы, в которых эти значения должны быть приведены. |
[1]
СН 2.2.4/2.1.8.562-96 Шум на рабочих местах, в помещениях жилых, общественных зданий и на территории жилой застройки
[2] Гусев В.П., Леденев В.И., Лешко М.Ю. Расчет и проектирование шумоглушения систем вентиляции, кондиционирования воздуха и воздушного отопления./Справочное пособие под ред. И.Л. Шубина. - М.: НИИСФ РААСН, 2013. - 80 с.
[3]
СП 23-103-2003 Проектирование звукоизоляции ограждающих конструкций жилых и общественных зданий