Главная // Актуальные документы // ПравилаСПРАВКА
Источник публикации
В данном виде документ опубликован не был.
Первоначальный текст документа опубликован в издании
М.: Минстрой России, 2018.
Информацию о публикации документов, создающих данную редакцию, см. в справке к этим документам.
Примечание к документу
Документ включен в
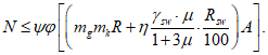
Перечень документов в области стандартизации, в результате применения которых на добровольной основе обеспечивается соблюдение требований Федерального
закона от 30.12.2009 N 384-ФЗ "Технический регламент о безопасности зданий и сооружений" (
Приказ Росстандарта от 02.04.2020 N 687).
Название документа
"СП 427.1325800.2018. Свод правил. Каменные и армокаменные конструкции. Методы усиления"
(утв. Приказом Минстроя России от 19.12.2018 N 829/пр)
(ред. от 09.08.2023)
"СП 427.1325800.2018. Свод правил. Каменные и армокаменные конструкции. Методы усиления"
(утв. Приказом Минстроя России от 19.12.2018 N 829/пр)
(ред. от 09.08.2023)
и жилищно-коммунального хозяйства
Российской Федерации
от 19 декабря 2018 г. N 829/пр
СВОД ПРАВИЛ
КАМЕННЫЕ И АРМОКАМЕННЫЕ КОНСТРУКЦИИ
МЕТОДЫ УСИЛЕНИЯ
Masonry and reinforced masonry structures
Methods of strengthening
СП 427.1325800.2018
| | Список изменяющих документов Минстроя России от 13.12.2021 N 922/пр, Минстроя России от 09.08.2023 N 573/пр) | |
Дата введения
20 июня 2019 года
Сведения о своде правил
1 ИСПОЛНИТЕЛЬ - АО "НИЦ "Строительство" - ЦНИИСК им. В.А. Кучеренко
2 ВНЕСЕН Техническим комитетом по стандартизации ТК 465 "Строительство"
3 ПОДГОТОВЛЕН к утверждению Департаментом градостроительной деятельности и архитектуры Министерства строительства и жилищно-коммунального хозяйства Российской Федерации (Минстрой России)
4 УТВЕРЖДЕН
приказом Министерства строительства и жилищно-коммунального хозяйства Российской Федерации от 19 декабря 2018 г. N 829/пр и введен в действие с 20 июня 2019 г.
5 ЗАРЕГИСТРИРОВАН Федеральным агентством по техническому регулированию и метрологии (Росстандарт)
6 ВВЕДЕН ВПЕРВЫЕ
В случае пересмотра (замены) или отмены настоящего свода правил соответствующее уведомление будет опубликовано в установленном порядке. Соответствующая информация, уведомление и тексты размещаются также в информационной системе общего пользования - на официальном сайте разработчика (Минстрой России) в сети Интернет
| | ИС МЕГАНОРМ: примечание. В официальном тексте документа, видимо, допущена опечатка: имеется в виду Федеральный закон N 123-ФЗ от 22.07.2008, а не от 22.06.2008. | |
Настоящий свод правил разработан с учетом требований федеральных законов от 27 декабря 2002 г.
N 184-ФЗ "О техническом регулировании", от 22 июня 2008 г.
N 123-ФЗ "Технический регламент о требованиях пожарной безопасности", от 30 декабря 2009 г.
N 384-ФЗ "Технический регламент о безопасности зданий и сооружений".
Разработка свода правил выполнена авторским коллективом АО "НИЦ "Строительство" - ЦНИИСК им. В.А. Кучеренко (руководитель разработки - канд. техн. наук М.К. Ищук, канд. техн. наук А.В. Грановский, канд. техн. наук О.К. Гогуа; Е.М. Ищук, И.Г. Фролова, В.А. Черемных, Х.А. Айзятуллин).
Изменение N 1 к настоящему своду правил выполнено авторским коллективом АО "НИЦ "Строительство" - ЦНИИСК им. В.А. Кучеренко (руководитель разработки - д-р техн. наук
М.К. Ищук, канд. техн. наук
О.К. Гогуа,
Е.М. Ищук,
В.А. Черемных,
Х.А. Айзятуллин) при участии д-ра техн. наук
Б.С. Соколова и канд. техн. наук
А.Б. Антакова (приложение А).
(абзац введен
Изменением N 1, утв. Приказом Минстроя России от 13.12.2021 N 922/пр)
1.1 Настоящий свод правил распространяется на методы усиления каменных и армокаменных конструкций зданий и сооружений различного назначения, эксплуатируемых в климатических условиях Российской Федерации.
1.2 Свод правил устанавливает требования к методам усиления каменных и армокаменных конструкций, возведенных с применением керамического и силикатного кирпича, керамических, силикатных, бетонных, природных камней и блоков.
1.3 Требования настоящего свода правил не распространяются на методы усиления зданий и сооружений, возводимых в сейсмоопасных районах, а также мостов, труб и тоннелей, гидротехнических сооружений, тепловых агрегатов.
В настоящем своде правил использованы нормативные ссылки на следующие документы:
ГОСТ 4.206-83 Система показателей качества продукции. Строительство. Материалы стеновые каменные. Номенклатура показателей
ГОСТ 4.210-79 Система показателей качества продукции. Строительство. Материалы керамические отделочные и облицовочные. Номенклатура показателей
| | ИС МЕГАНОРМ: примечание. В официальном тексте документа, видимо, допущена опечатка: ГОСТ 4.219-81 имеет название "Система показателей качества продукции. Строительство. Материалы облицовочные из природного камня и блоки для их изготовления. Номенклатура показателей". | |
ГОСТ 4.219-81 Система показателей качества продукции. Материалы облицовочные из природного камня и блоки для их изготовления. Номенклатура показателей
ГОСТ 24297-2013 Верификация закупленной продукции. Организация проведения и методы контроля"
(ссылка введена
Изменением N 1, утв. Приказом Минстроя России от 13.12.2021 N 922/пр)
| | ИС МЕГАНОРМ: примечание. В официальном тексте документа, видимо, допущена опечатка: имеется в виду ГОСТ 31937-2011, а не ГОСТ 31967-2011. | |
ГОСТ 31967-2011 Здания и сооружения. Правила обследования и мониторинга технического состояния
(ссылка введена
Изменением N 1, утв. Приказом Минстроя России от 13.12.2021 N 922/пр)
(в ред.
Изменения N 1, утв. Приказом Минстроя России от 13.12.2021 N 922/пр)
(в ред.
Изменения N 1, утв. Приказом Минстроя России от 13.12.2021 N 922/пр)
(ссылка введена
Изменением N 1, утв. Приказом Минстроя России от 13.12.2021 N 922/пр)
СП 63.13330.2018 "СНиП 52-01-2003 Бетонные и железобетонные конструкции. Основные положения" (с изменением N 1)
(в ред.
Изменения N 1, утв. Приказом Минстроя России от 13.12.2021 N 922/пр)
СП 164.1325800.2014 Усиление железобетонных конструкций композитными материалами (с изменением N 1)
(ссылка введена
Изменением N 1, утв. Приказом Минстроя России от 13.12.2021 N 922/пр)
СП 327.1325800.2017 Стены наружные с лицевым кирпичным слоем. Правила проектирования, эксплуатации и ремонта (с изменением N 1)
(в ред.
Изменения N 1, утв. Приказом Минстроя России от 13.12.2021 N 922/пр)
Примечание - При пользовании настоящим сводом правил целесообразно проверить действие ссылочных документов в информационной системе общего пользования - на официальном сайте федерального органа исполнительной власти в сфере стандартизации в сети Интернет или по ежегодному информационному указателю "Национальные стандарты", который опубликован по состоянию на 1 января текущего года, и по выпускам ежемесячного информационного указателя "Национальные стандарты" за текущий год. Если заменен ссылочный документ, на который дана недатированная ссылка, то рекомендуется использовать действующую версию этого документа с учетом всех внесенных в данную версию изменений. Если заменен ссылочный документ, на который дана датированная ссылка, то рекомендуется использовать версию этого документа с указанным выше годом утверждения (принятия). Если после утверждения настоящего свода правил в ссылочный документ, на который дана датированная ссылка, внесено изменение, затрагивающее положение, на которое дана ссылка, то это положение рекомендуется применять без учета данного изменения. Если ссылочный документ отменен без замены, то положение, в котором дана ссылка на него, рекомендуется применять в части, не затрагивающей эту ссылку. Сведения о действии сводов правил целесообразно проверить в Федеральном информационном фонде стандартов.
3.1 В настоящем своде правил применены следующие термины с соответствующими определениями:
3.1.1 каменная кладка: Конструкция из природных или искусственных камней (кирпича, блоков), соединенных между собой цементным или клеевым раствором, клеевым составом или пастой.
3.1.2 кирпич, камни и блоки: Полнотелые и пустотелые кладочные изделия, удовлетворяющие требованиям соответствующих нормативных документов.
3.1.3 усиление каменной конструкции: Комплекс конструктивных мероприятий и технологических работ, направленных на повышение несущей способности и эксплуатационных свойств конструкции.
3.1.4 восстановление (ремонт) каменной конструкции: Комплекс конструктивных мероприятий и технологических работ, направленных на восстановление несущей способности и эксплуатационных свойств конструкции, нарушенных вследствие дефектов изготовления или в процессе ее эксплуатации.
3.1.5 внешнее армирование (каменной конструкции): Установка наклеиванием на каменную конструкцию изделий заводского изготовления из полимерных композитных материалов (ламинатов) или послойное наклеивание термореактивными адгезивами изделий из непрерывного углеродного, стеклянного, базальтового или арамидного волокна (холстов, сеток и других тканых материалов) с последующим отверждением и образованием однослойного или многослойного композитного материала.
3.1.6 инъекция: Усиление конструкций с помощью подачи раствора под давлением в кладку.
3.1.7 комплексные элементы: Элементы каменной кладки с включением в них железобетона, работающего совместно с кладкой.
3.1.8 вычинка: Восстановление кладки на участках ее разрушения новой кладкой с перевязкой со старой.
3.1.9 деформационные трещины: Трещины, возникшие преимущественно от деформационных воздействий - неравномерных осадок фундаментов, температурно-влажностных деформаций, разности деформаций разнозагруженных участков стен.
(п. 3.1.9 введен
Изменением N 1, утв. Приказом Минстроя России от 13.12.2021 N 922/пр)
3.2 Основные буквенные обозначения величин:
A - площадь сечения кладки;
Ab - площадь сечения бетона;
Abc - площадь сжатой зоны бетона;
Ab,t - площадь вертикальных бетонных сечений обойм, расположенных в пределах высоты растянутой зоны ht;
Acs - площадь сжатой зоны кладки;
Af - площадь поперечного сечения полимерного композита;
Af,об - площадь сечения поясов композитной обоймы в пределах высоты сжато-растянутой зоны;
As, Ak - площадь сечения соответственно арматуры и кладки;
A*sh, A*ef - площади поверхностей сдвига и раздавливания (сжатия) в предельном состоянии;
A's - площадь сечения продольной арматуры;

- суммарная площадь сечения хомутов обоймы в пределах высоты растянутой зоны
ht;
At - суммарная площадь поверхностей отрыва;
At, Ash, Aef - площади поверхностей растяжения, сдвига и раздавливания (сжатия);
a - толщина защитного слоя со стороны арматуры As;
aэл, bэл - размеры сечения сжатого элемента;
B - точка сопряжения поверхности сдвига с ядром сжатия;
b - ширина прямоугольного сечения;
bх - ширина композитного пояса;
C - вершина клина;
C1 - край грузовой площадки;
dП - толщина пилястры;
dС - толщина стены;
dТ - ширина участка скола;
Ef - значение модуля деформаций композита;
Es, Es,2 - значения модулей упругости и деформаций стали;
E0 - модуль упругости кладки (начальный модуль деформаций);
E0k, Eb - начальные модули упругости кладки и бетона;
e0 - эксцентриситет действия расчетной нагрузки;
e, e' - расстояния от точки приложения продольной силы N до центра тяжести арматуры As и A's;
h - высота всего сечения;
h0 - рабочая высота;
h1, h2 - высоты сжато-растянутых зон с учетом разности сторон сечения;
hbd - высота полимерного композита;
hст - ширина кирпичного столба;
hэл - высота нагружаемого элемента;
Ik, Ib - момент инерции сечения кладки и бетона;
k1, k2 - величины соотношений геометрических параметров;
l - длина участка с трещинами;
lloc - размер грузовой площадки;
lТ - длина трещины;
M - расчетный изгибающий момент;
mb - коэффициент условий работы бетона;
mg - коэффициент, учитывающий влияние длительного воздействия нагрузки;
mk - коэффициент условий работы кладки;
N - продольная расчетная сила;
Nbt - растягивающее усилие;
Nc - расчетная несущая способность конструкций;
Ncrc - внешнее сжимающее усилие, соответствующее пределу упругости и началу трещинообразования;
Nef - сжимающее усилие, действующее в пределах ядра сжатия;
Nf - фактическая несущая способность конструкции с учетом имеющихся в ней дефектов;
Ns - растягивающее усилие в сетках армирования;
Nsh - величина усилия сдвига, действующего по поверхностям клиновидных приопорных зон;
Nt - величина растягивающего усилия, действующего по площади поверхности/поверхностей отрыва в средней сжато-растянутой области;
Nult - максимальная величина внешнего сжимающего усилия, действующего на конструкцию или элемент;
Nвн - прикладываемая нагрузка;
Nх - растягивающие усилия в хомутах обоймы;
N2 - реактивное обжимающее усилие;
n1, n2 - поправочные коэффициенты;
nn - коэффициент допустимой перегрузки;
P - вертикальная нагрузка;
Q - поперечная сила;
R - расчетное сопротивление сжатию кладки;
Rb; Rsc - расчетные сопротивления бетона и арматуры;
Rb,n, Rbt,n - нормативные сопротивления материала сжатию и растяжению;
Rbt - сопротивление материала растяжению;
Ref - сопротивление материала сжатию;
Rfn - нормативное сопротивление композита растяжению;
Rs - расчетное сопротивление стали;
Rsh - расчетное сопротивление кладки срезу;
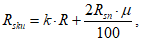
Rsku - временное сопротивление (средний предел прочности) сжатию армированной кладки;
Rs,n - нормативное сопротивление стальных хомутов обоймы;
Rsw - расчетное сопротивление поперечной арматуры;
Rt,u - временное сопротивление кладки растяжению в поперечном направлении по перевязанным швам;
Rt, Rsh, Ref - расчетные сопротивления кладки растяжению, сдвигу и раздавливанию соответственно;
R*t - приведенное сопротивление кладки растяжению;
Ru - временное сопротивление (средний предел прочности) сжатию кладки;
Rub - нормативная призменная прочность бетона;
S - шаг сеток в кладке, хомутов стальных, железобетонных или поясов композитных обойм по высоте;
S0 - статический момент всего сечения кладки относительно центра тяжести растянутой As или менее сжатой арматуры;
Sc - статический момент сжатой зоны сечения кладки относительно центра тяжести растянутой или менее сжатой арматуры As;
Skc; Sbc - статические моменты площадей сжатой части сечения кладки и бетона относительно центра тяжести арматуры As;
Sk; Sb; Ss - статические моменты площадей сечения кладки, бетона и арматуры A's относительно центра тяжести арматуры As;
Sk1; Sb1; S's - статические моменты площадей сечения кладки, бетона и арматуры As относительно центра тяжести арматуры A's;
Scs,N - статический момент сжатой зоны кладки относительно точки приложения силы;
Sbs,N - статический момент сжатой зоны бетона относительно точки приложения силы;
Sbd - площадь поперечного сечения полосы (бандажей) из полимерного композита толщиной

и высотой
hbd;
Sw - площадь участка длинной стороны hw столба, приходящаяся на одну полосу из полимерного композита высотой hbd;
tоб - толщина слоя бетона обоймы;
x - высота сжатой зоны сечения;
xt - высота сжато-растянутой зоны;
z - плечо внутренней пары сил при прямоугольном сечении;

- упругая характеристика кладки;

- угол наклона граней клина к поверхности грузовой площадки;

- угол наклона поверхностей сдвига с учетом обойменных напряжений;

- толщина полимерного композита;

- относительные продольные деформации;

,

- относительные продольные деформации предела упругости и начала трещинообразования, стадии разрушения сжатой кладки;

- относительные деформации растяжения композита;

,

,

- относительные деформации стали, соответствующие напряжениям

;

- поперечные относительные деформации сжатой кладки;

- предельные деформации кладки при растяжении;

- коэффициент, учитывающий процент армирования;

- коэффициент трения;

- коэффициент, учитывающий деформации ползучести;
- коэффициент Пуассона;

- сжимающее напряжение в сечении сжатого элемента от внешней нагрузки;

- вторичные напряжения;

,

- сжимающие напряжения в сечении элемента, соответствующие стадиям предела упругости и начала разрушения;

- напряжение в ядре сжатия;

- растягивающие напряжения в сжато-растянутой зоне;

- растягивающие напряжения в стальных хомутах обоймы;

- растягивающее напряжение в сжато-растянутой зоне в интервале

;

,

- растягивающие поперечные напряжения, ориентированные по сторонам сечения элемента;

- обойменное напряжение;

- касательные напряжения в зоне среза (сдвига);

- коэффициент продольного изгиба;

- коэффициент продольного изгиба комплексной конструкции.
(п. 3.2 в ред.
Изменения N 1, утв. Приказом Минстроя России от 13.12.2021 N 922/пр)
4.1 Восстановление и усиление каменных конструкций следует производить на основе результатов обследования их технического состояния.
Правила обследования несущих строительных конструкций зданий и сооружений приведены в
[2].
4.2 Поверочные расчеты подлежащих восстановлению и усилению конструкций следует производить при изменении действующих на них нагрузок, условий эксплуатации, а также при изменении конструктивной схемы здания или сооружения, влекущей к перераспределению усилий и изменению граничных условий. Кроме того, поверочные расчеты производятся при наличии значительных дефектов в конструкциях.
4.3 Поверочные расчеты необходимо производить с учетом результатов обследования технического состояния конструкций, их фактических геометрических размеров и примененных материалов.
4.4 На основе анализа результатов обследования и при необходимости поверочных расчетов проверяются несущая способность конструкций (предельное состояние первой группы) и пригодность к нормальной эксплуатации (предельное состояние второй группы).
4.5 Выполнение требования по предельным состояниям первой группы должно защищать конструкции:
- от потери устойчивости формы конструкции или ее положения;
- разрушения под совместным воздействием силовых факторов и неблагоприятных влияний внешней среды (размораживания, выветривания кладки, воздействия агрессивной среды на кладку, арматуру и связи).
4.6 Выполнение требования по предельным состояниям второй группы должно защищать конструкции:
- от образования или чрезмерного раскрытия трещин;
- чрезмерных перемещений, прогибов, кренов.
4.7 На основании проведенного расчета производят определение:
- усилий в конструкциях от эксплуатационных нагрузок и воздействий;
- несущей способности этих конструкций.
Сопоставление значений этих величин показывает степень реальной загруженности конструкций по сравнению с ее несущей способностью.
4.8 На основании анализа результатов обследования конструкций и поверочных расчетов
[2] определяют категорию технического состояния конструкций и принимают решение об их дальнейшей эксплуатации.
4.9 Для конструкций, не удовлетворяющих требованиям поверочных расчетов по предельным состояниям второй группы, допускается не предусматривать их усиление, если это не препятствует нормальной эксплуатации.
4.10 При проектировании методов усиления каменных и армокаменных конструкций следует применять конструктивные решения, изделия и материалы, обеспечивающие требуемую несущую способность, долговечность, пожаробезопасность, теплотехнические характеристики конструкций и температурно-влажностный режим (
ГОСТ 4.206,
ГОСТ 4.210,
ГОСТ 4.219).
4.11 При проектировании методов усиления каменных и армокаменных конструкций зданий и сооружений следует предусматривать мероприятия, обеспечивающие возможность их применения в зимних условиях.
(п. 4.11 в ред.
Изменения N 1, утв. Приказом Минстроя России от 13.12.2021 N 922/пр)
4.12 Конструктивное исполнение строительных элементов не должно быть причиной скрытого распространения горения по зданию, сооружению, строению.
При усилении каменных и армокаменных конструкций полимерными композитными материалами последние должны быть защищены от возгорания, нагрева выше температуры стеклования композитного материала и (или) термореактивного адгезива.
(абзац введен
Изменением N 1, утв. Приказом Минстроя России от 13.12.2021 N 922/пр)
4.13 Применение настоящего свода правил обеспечивает выполнение требований
[1].
4.14 К наружным стенам предъявляют требования по обеспечению термического сопротивления в соответствии с
СП 50.13330.
(п. 4.14 в ред.
Изменения N 1, утв. Приказом Минстроя России от 13.12.2021 N 922/пр)
5.1 Кирпич, камни и растворы для каменных и армокаменных конструкций, а также бетоны для изготовления камней и крупных блоков должны соответствовать
СП 15.13330. При усилении конструкций из исторической кладки следует применять кладочные материалы, идентичные примененным в усиливаемой кладке. При этом возможно отличие этих материалов по габаритам и свойствам от требований соответствующих нормативных документов.
5.2 Для армирования каменных конструкций в соответствии с
СП 63.13330 следует применять:
- арматуру классов А240 и В500 - для сетчатого армирования;
- арматуру классов А240, А300, В500 - для продольной и поперечной арматуры, анкеров и связей.
Для закладных деталей и соединительных накладок следует применять сталь в соответствии с
СП 16.13330.
Продольное армирование кладки лицевого слоя и гибкие связи в наружных многослойных стенах следует выполнять из полимерных композитных материалов и стали в соответствии с
СП 15.13330 и
СП 327.1325800.
(абзац введен
Изменением N 1, утв. Приказом Минстроя России от 13.12.2021 N 922/пр)
5.3 Допускается применение силикатных кирпича, камней и блоков; камней и блоков из ячеистых бетонов; пустотелых керамических кирпича и камней, бетонных блоков с пустотами; керамического кирпича полусухого прессования для наружных стен помещений с влажным режимом при условии нанесения на их внутренние поверхности пароизоляционного покрытия. Применение указанных материалов для наружных стен помещений с мокрым режимом не допускается.
5.4 Полимерные композитные материалы, применяемые для усиления или восстановления каменных конструкций внешним армированием, должны соответствовать требованиям действующих нормативных документов, иметь сопроводительную документацию, подтверждающую их соответствие нормативным требованиям, включая паспорта качества и (или) протоколы испытаний, и должны подвергаться входному контролю по
ГОСТ 24297.
(п. 5.4 введен
Изменением N 1, утв. Приказом Минстроя России от 13.12.2021 N 922/пр)
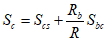
6 Расчетные характеристики
6.1 Расчетные сопротивления
R сжатию кладки приведены в
таблицах 6.2 -
6.13 СП 15.13330.2020.
(в ред.
Изменения N 1, утв. Приказом Минстроя России от 13.12.2021 N 922/пр)
Модули упругости и деформаций кладки при кратковременной и длительной нагрузке, упругие характеристики кладки, деформации усадки, коэффициенты линейного расширения и трения
6.2 Исключен с 14.01.2022. -
Изменение N 1, утв. Приказом Минстроя России от 13.12.2021 N 922/пр.
6.3 Деформации каменной кладки зависят от длительности и скорости приложения нагрузки.
Полная относительная деформация кладки

без учета влажностных деформаций (усадки или набухания) может быть выражена формулой

(1)
где

- упругая относительная деформация кладки;

- пластическая деформация, возникающая при кратковременной нагрузке (т.е. при нагрузке длительностью до 1 ч);

- деформация ползучести.
При уровне обжатия кладки

доля нелинейных кратковременных деформаций от их полной величины невелика и ими можно пренебречь, т.е. принимается

.
Наибольшие деформации ползучести протекают в первые месяцы после загружения, а затем постепенно затухают и через пять лет дальнейший их рост можно не учитывать.
(п. 6.3 в ред.
Изменения N 1, утв. Приказом Минстроя России от 13.12.2021 N 922/пр)
6.4 Относительные деформации кладки

при кратковременной нагрузке определяют по формуле

(2)
где

- напряжение, при котором определяется

;
Ru - временное сопротивление кладки сжатию, определяемое по
формуле (3);

- упругая характеристика кладки, принимаемая по
таблице 1.
Упругие характеристики кладки с сетчатым и продольным армированием принимаются по
формуле (4).
Ru - временное сопротивление (средний предел прочности) сжатию кладки определяют по формуле
где
k - коэффициент, принимаемый по
таблице 2;
R - расчетные сопротивления сжатию кладки, принимаемые по
таблицам 6.2 -
6.10 СП 15.13330.2020 с учетом коэффициентов, приведенных в примечаниях к этим таблицам, а также в
пунктах 6.13 -
6.15 СП 15.13330.2020.
Вид кладки | Упругая характеристика  при |
марках раствора | прочности раствора |
25 - 200 | 10 | 4 | 0,2 | Нулевой |
1 Из крупных блоков, изготовленных из тяжелого и крупнопористого бетона на тяжелых заполнителях и из тяжелого природного камня  | 1500 | 1000 | 750 | 750 | 500 |
2 Из камней, изготовленных из тяжелого бетона, тяжелых природных камней и бута | 1500 | 1000 | 750 | 500 | 350 |
3 Из крупных блоков, изготовленных из бетона на пористых заполнителях и поризованного, крупнопористого бетона на легких заполнителях, плотного силикатного бетона и из легкого природного камня | 1000 | 750 | 500 | 500 | 350 |
4 Из крупных блоков, изготовленных из ячеистых бетонов: | | | | | |
автоклавных | 750 | 750 | 500 | 500 | 350 |
неавтоклавных | 500 | 500 | 350 | 350 | 350 |
5 Из камней, изготовленных из ячеистых бетонов: | | | | | |
автоклавных | 750 | 500 | 350 | 350 | 200 |
неавтоклавных | 500 | 350 | 200 | 200 | 200 |
6 Из керамических камней (кроме крупноформатных) | 1200 | 1000 | 750 | 500 | 350 |
7 Из кирпича керамического пластического прессования полнотелого и пустотелого, из пустотелых силикатных камней, из камней, изготовленных из бетона на пористых заполнителях и поризованного, из легких природных камней | 1000 | 750 | 500 | 350 | 200 |
8 Из кирпича силикатного полнотелого и пустотелого | 750 | 500 | 350 | 350 | 200 |
9 Из кирпича керамического полусухого прессования полнотелого и пустотелого | 500 | 500 | 350 | 350 | 200 |
Примечания 1 При определении коэффициентов продольного изгиба для элементов с гибкостью l/i <= 28 или отношением l/h <= 8. Допускается принимать значения упругой характеристики кладки из кирпича всех видов как из кирпича пластического прессования. 2 Приведенные в настоящей таблице ( пункты 7 - 9) значения упругой характеристики  для кирпичной кладки распространяются на виброкирпичные панели и блоки. 3 Упругую характеристику бутобетона  принимают равной 2000. 4 Для кладки на легких растворах значения упругой характеристики  следует принимать с коэффициентом 0,7. 5 Упругие характеристики кладки из природных камней допускается уточнять на основе результатов экспериментальных исследований. 6 Для кладки из крупноформатных камней  следует принимать как для керамических камней с коэффициентом 0,7. |
| 0,1 | 0,2 | 0,3 | 0,4 | 0,5 | 0,6 | 0,7 | 0,8 | 0,9 | 1,0 |
B·10-3 | 0,11 | 0,22 | 0,35 | 0,50 | 0,67 | 0,86 | 1,11 | 1,43 | 1,87 | 2,64 |
Вид кладки | Коэффициент k |
1 Из кирпича и камней всех видов, из рваного бута и бутобетона | 2,0 |
2 Из крупных и мелких блоков из ячеистых бетонов | 2,2 |
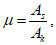
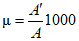
Упругую характеристику армированной кладки следует определять по формуле

(4)
В
формулах (2) и
(4) Rsku - временное сопротивление (средний предел прочности) сжатию армированной кладки из кирпича или камней при высоте ряда не более 150 мм определяют по формулам:
для кладки с продольной арматурой

(5)
для кладки с сетчатой арматурой

(6)
где

- процент армирования кладки;
для кладки с продольной арматурой

(7)
где
As и
Ak - площади сечения арматуры и кладки соответственно, для кладки с сетчатой арматурой

определяется по
пункту 7.31 СП 15.13330.2020;
Rsn - нормативные значения сопротивления арматуры в армированной кладке, принимаемые для сталей классов A240 и A300, а для стали класса B500 - с коэффициентом условий работы 0,6 в соответствии с
СП 63.13330.
В зависимости от конструктивного решения менее благоприятные результаты могут быть получены как при кратковременных, так и при длительных нагрузках. Например, в многослойной конструкции в одном из слоев вертикальные усилия с течением времени могут уменьшаться, а в другом, наоборот, увеличиваться на ту же величину. Поэтому необходимо учитывать деформации, возникающие как при кратковременной, так и при длительной нагрузках. То же можно сказать и о совместно работающих разнозагруженных или выполненных из разных по деформативности материалов.
Зависимость между напряжениями и деформациями
(формула (2)) - нелинейная, модуль деформации - величина непостоянная
(рисунок 1а).
1 - начальный модуль деформаций (модуль упругости)

;
2 - касательный модуль деформаций

;
3 - секущий
модуль деформаций

Рисунок 1а - Модули деформаций кладки
Модуль упругости (начальный модуль деформаций) для неармированной кладки
E0 при кратковременной сжимающей нагрузке

принимают равным

(8)
где

- упругая характеристика кладки, принимаемая по
таблице 1.
Модуль упругости кладки с сетчатым армированием, расположенным в горизонтальных растворных швах, и продольным армированием принимают таким же, как для неармированной кладки.
Касательный модуль деформаций принимают равным

(9)
секущий модуль деформаций:

(10)
При зависимости между напряжениями и деформациями
(формула (2)) касательный модуль деформаций определяют по формуле

(11).
(п. 6.4 в ред.
Изменения N 1, утв. Приказом Минстроя России от 13.12.2021 N 922/пр)
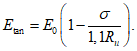
6.5 Относительную деформацию кладки с учетом ползучести определяют по формуле
(в ред.
Изменения N 1, утв. Приказом Минстроя России от 13.12.2021 N 922/пр)

, (12)
где

- напряжение, при котором определяется

;

- коэффициент, учитывающий деформации ползучести кладки:

- для кладки из керамических камней, в том числе крупноформатных, с вертикальными щелевидными пустотами (высота камня от 138 до 220 мм);

- для кладки из керамического кирпича пластического и полусухого прессования;

- для кладки из крупных блоков или камней, изготовленных из тяжелого бетона;

- для кладки из силикатного кирпича, полнотелых и пустотелых камней, а также из камней, изготовленных из бетона на пористых заполнителях или поризованного и силикатных крупных блоков;

- для кладки из мелких и крупных блоков или камней, изготовленных из автоклавных ячеистых бетонов;

- то же, из неавтоклавных ячеистых бетонов.
6.6 Модуль упругости кладки
E0 при постоянной и длительной нагрузке с учетом ползучести следует уменьшать путем деления его на коэффициент

.
Длительный модуль деформаций для различных периодов строительства и эксплуатации определяют по следующим формулам:
на момент T1 окончания непрерывно возрастающей нагрузки:

(13)
с момента окончания роста нагрузки t1 до полного затухания деформаций ползучести:

(13а)
где коэффициенты для определения полных деформаций кладки на момент окончания роста нагрузки

и с момента окончания роста нагрузки

равны:

(13б)
| | ИС МЕГАНОРМ: примечание. Формула дана в соответствии с официальным текстом документа. | |

(13в)
где t1 - безразмерный коэффициент, численно равный времени окончания роста нагрузки T1.
Коэффициенты C равны:

- для кладки из керамических камней;
0,7 - для кладки из керамического кирпича пластического прессования;
1,1 - для кладки из силикатного кирпича;
0,35 - для кладки из керамического кирпича полусухого прессования.
Значения коэффициента A, характеризующего ползучесть кладки, принимают:
- из керамических камней A = 0,38·10-3, из керамического кирпича пластического и полусухого прессования A = 0,7·10-3, из силикатного кирпича A = 1,4·10-3.
(п. 6.6 в ред.
Изменения N 1, утв. Приказом Минстроя России от 13.12.2021 N 922/пр)
6.7 Модуль упругости и деформаций кладки из природных камней допускается принимать на основе результатов экспериментальных исследований.
6.8 Деформации усадки кладки из керамического кирпича и керамических камней, в том числе крупноформатных, не учитывают.
Деформации усадки следует принимать для кладок:
из кирпича, камней, мелких и крупных блоков, изготовленных на силикатном или цементном вяжущем - 3·10-4;
из камней и блоков, изготовленных из автоклавных ячеистых бетонов на песке и вторичных продуктах обогащения различных руд - 4·10-4;
то же, из автоклавных бетонов на золе - 6·10-4.
6.9 Модуль сдвига кладки следует принимать по формуле
G = 0,4·E0, (13г)
где E0 - модуль упругости при сжатии.
(п. 6.9 в ред.
Изменения N 1, утв. Приказом Минстроя России от 13.12.2021 N 922/пр)
6.10 Значения коэффициентов линейного расширения кладки следует принимать по
таблице 6.17 СП 15.13330.2020.
(в ред.
Изменения N 1, утв. Приказом Минстроя России от 13.12.2021 N 922/пр)
6.11 Коэффициент трения

принимают по
таблице 6.18 СП 15.13330.2020.
(в ред.
Изменения N 1, утв. Приказом Минстроя России от 13.12.2021 N 922/пр)
7 Расчет элементов конструкций по предельным состояниям первой группы (по несущей способности)
7.1 Расчет не усиленных каменных конструкций следует производить по формуле
где N - расчетное усилие;
Nf - фактическая несущая способность конструкции с учетом имеющихся в ней дефектов, определяемая по формуле
Nc - расчетная несущая способность конструкций, определяемая в соответствии с
СП 15.13330 без учета понижающих факторов (коэффициентов
kmc) подстановкой в соответствующие расчетные формулы фактических значений прочности (марок) материалов, площади сечения кладки, арматуры и т.п.;
kmc - коэффициент технического состояния конструкций, учитывающий снижение несущей способности каменных конструкций при наличии дефектов, трещин, повреждений, при увлажнении материалов и т.п., принимают:
- по таблице 3 - при наличии дефектов производства работ (отсутствие перевязки, пустошовка, большая толщина растворных швов);
Таблица 3
Вид дефекта | kmc |
Отсутствие перевязки рядов кладки (тычковых рядов, арматурных сеток, каркасов): | |
в 5 - 6 рядах (40 - 45 см) | 1,0 |
в 8 - 9 рядах (60 - 65 см) | 0,9 |
в 10 - 11 рядах (75 - 80 см) | 0,75 |
Отсутствие заполнения раствором вертикальных швов (пустошовка) | |
При толщине горизонтальных швов более 2 см (3 - 4 шва на 1 м высоты кладки): | 0,9 |
при марке раствора шва 75 и более | 1,0 |
то же, 25 - 50 | 0,9 |
то же, менее 25 | 0,8 |
- по
таблице 4 - для стен, столбов, простенков при наличии вертикальных трещин, возникающих вследствие перегрузки конструкций постоянными, временными и особыми (случайными) нагрузками (рисунок 1), исключая трещины, вызванные действием горизонтальных сил (температурой, усадкой, осадкой фундаментов и т.п.);
а - отдельные трещины длиной 15 - 18 см;
б - трещины через 25 - 30 см длиной 30 - 35 см;
в - трещины через 20 - 25 см длиной 60 - 65 см;
г - трещины через 15 - 20 см длиной более 65 см
(множественные силовые трещины)
Минстроя России от 13.12.2021 N 922/пр)
Рисунок 1 - Степень повреждения вертикальными
трещинами каменных и армокаменных конструкций
Характер повреждения кладки стен, столбов и простенков | kmc для кладки |
неармированной | армированной |
Трещины в отдельных камнях | 1 | 1 |
Волосные трещины при пересечении не более двух рядов кладки длиной 15 - 18 см | 0,9 | 1 |
То же, при пересечении не более четырех рядов кладки длиной до 30 - 35 см при количестве трещин не более трех на 1 пог. м ширины (толщины) стены, столба или простенка | 0,75 | 0,9 |
То же, при пересечении не более восьми рядов кладки, длиной до 60 - 65 см, трещин не более четырех на 1 пог. м ширины (толщины) стены, столба и простенка | 0,5 | 0,7 |
То же, при пересечении более восьми рядов кладки, длиной более 60 - 65 см (расслоение кладки) при количестве трещин более четырех на 1 пог. м ширины стен, столбов и простенков | 0 | 0,5 |
- по таблице 5 - для кладки опор ферм, балок, перемычек, плит при наличии местных повреждений (трещин, сколов, раздробления,
рисунки 2,
2а), возникающих при действии вертикальных и горизонтальных сил;
(в ред.
Изменения N 1, утв. Приказом Минстроя России от 13.12.2021 N 922/пр)
Характер повреждения кладки опор | kmc для кладки опоры |
неармированной | армированной |
Местное (краевое) повреждение кладки на глубину до 2 см (трещины, сколы, раздробление) или образование вертикальных трещин по концам балок, ферм и перемычек или их опорных подушек длиной до 15 - 18 см | 0,75 | 0,9 |
То же, при длине трещин до 30 - 35 см | 0,5 | 0,75 |
Краевое повреждение кладки на глубину более 2 см при образовании по концам балок, ферм и перемычек вертикальных и косых трещин длиной более 35 см | 0 | 0,5 |
1 - краевое раздробление и сколы кладки под опорой;
2 - вертикальная трещина; 3 - пилястра
Рисунок 2 - Повреждение опорных участков пилястр
каменных стен при опирании на них ферм и балок
Минстроя России от 13.12.2021 N 922/пр)
Рисунок 2а - Трещины в кладке под опорами балок
на расстоянии от края простенка 12 см и более
Минстроя России от 13.12.2021 N 922/пр)
- по таблице 6 - для стен, столбов, простенков из керамического или силикатного кирпича при огневом воздействии при пожаре;
Таблица 6
Глубина поврежденной кладки (без учета штукатурки), см | kmc для |
стен и простенков толщиной 38 см и более | столбов при размере сечения 38 см и более |
при одностороннем нагреве | при двустороннем нагреве |
До 0,5 | 1 | 0,95 | 0,9 |
До 2 | 0,95 | 0,9 | 0,85 |
До 5,5 | 0,9 | 0,8 | 0,7 |
kmc = 0,85 - для увлажненной и насыщенной водой кладки из керамического и силикатного кирпича и камней;
kmc = 0,8 - из природных камней правильной формы из известняка и песчаника.
Несущая способность конструкций с множественными вертикальными силовыми трещинами (
рисунок 1,
г) практически исчерпана. Коэффициент технического состояния конструкций, учитывающий снижение несущей способности при наличии трещин
kmc в соответствии с
таблицей 4, а также в соответствии с
таблицей 5 при краевом повреждении кладки вертикальными и косыми трещинами под опорами балок и т.п. на глубину более 2 см принимают равным нулю. Усиление такой кладки требует особой тщательности.
(абзац введен
Изменением N 1, утв. Приказом Минстроя России от 13.12.2021 N 922/пр)
7.2 При определении несущей способности стен и простенков с вертикальными трещинами, возникшими в результате действия горизонтальных растягивающих сил (температурных, осадочных, усадке и т.п.,
рисунки 2б,
2в,
2г,
2д), коэффициент
kmc в
формуле (15) принимают равным единице. При этом следует учитывать ослабление трещинами расчетного сечения простенков и увеличения продольного изгиба отдельных элементов, разделенных вертикальными трещинами.
(в ред.
Изменения N 1, утв. Приказом Минстроя России от 13.12.2021 N 922/пр)
Деформационные трещины
(введено
Изменением N 1, утв. Приказом Минстроя России от 13.12.2021 N 922/пр)
7.3 При наличии трещин в местах пересечения стен (
рисунки 2б,
2в,
2г) или при разрыве поперечных связей между стенами, колоннами и перекрытиями несущая способность и устойчивость стен, столбов, колонн и пилонов при действии вертикальных и горизонтальных нагрузок определяется с учетом фактической свободной высоты стен и столбов между сохранившимися точками закрепления (связями) стен или столбов по вертикали.
При образовании трещин, разделивших стены или их участки на отдельные части, следует учитывать возможное перераспределение нагрузок между ними, которое протекает, как правило, во времени. При этом стены, деформации которых до образования трещин были выше, разгружаются, а участки с меньшими величинами деформаций догружаются (
рисунки 2в,
2г).
1 - наклонные трещины; 2 - вертикальные трещины; 3 - менее
деформируемые стены; 4 - более деформируемая стена;
5 - плита перекрытия; 6 - поперечные перемещения
стены;
7 - вертикальные перемещения стены;

- главные
растягивающие напряжения;

- касательные напряжения
Рисунок 2б - Схема деформационных трещин
между разнозагруженными стенами
1 - без учета появления трещин; 2 - с учетом появления
трещин; Nок - усилие на момент окончания возведения стен;

- усилие после затухания деформаций ползучести
(через 5 лет) в стенах с трещинами между ними;

- усилие
после затухания деформаций ползучести (через 5 лет) в стенах
без трещин;

- время окончания возведения;

- момент
появления трещин
Рисунок 2в - График изменения во времени t вертикальных
усилий N в более деформируемой стене
1 - без учета появления трещин; 2 - с учетом появления
трещин; Nок - усилие на момент окончания возведения стен;

- усилие после затухания деформаций ползучести
(через 5 лет) в стенах с трещинами между ними;

- усилие
после затухания деформаций ползучести (через 5 лет) в стенах
без трещин;

- время окончания возведения;

- момент
появления трещин
Рисунок 2г - График изменения во времени t вертикальных
усилий N в менее деформируемой стене
Следует различать трещины, возникшие вследствие неодинаковых вертикальных деформаций пересекающихся стен или их участков
(рисунок, 2б) и трещин от неравномерной осадки фундаментов
(рисунок 2д).
Рисунок 2д - Примеры деформационных трещин
вследствие неравномерной осадки фундаментов
Как правило, и те, и другие трещины возникают спустя некоторое время после окончания возведения здания. При этом трещины от неодинаковых вертикальных деформаций кладки развиваются в течение первых трех - пяти лет вследствие деформаций ползучести и усадки кладки.
Отличительная особенность трещин от неодинаковых деформаций кладки следующая: в верхних и средних по высоте этажах эти трещины в большинстве случаев наклонные, а в нижних этажах - вертикальные. Наибольшее раскрытие трещин наблюдается в верхних этажах.
Для уточнения причин, вызвавших трещины, производят расчет протяженных стен на разность деформаций кладки в соответствии с
приложением В СП 15.13330.2020.
В протяженных зданиях при расстояниях между вертикальными деформационными швами, превышающими предельные значения, приведенные в
таблице 9.7 СП 15.13330.2020, в холодное время года могут возникать вертикальные трещины в наружных несущих и самонесущих стенах, вызванные сдерживанием температурных деформаций кладки стен фундаментами
(рисунок 2е). Трещины проходят преимущественно по оконным и дверным проемам, наибольшее их количество и ширина раскрытия наблюдается в уровне нижнего этажа.
Рисунок 2е - Деформационные трещины в несущих и самонесущих
стенах от температурно-влажностных деформаций
В кладке лицевого слоя наружных ненесущих стен, опирающейся в уровне перекрытий на железобетонную плиту или стальные кронштейны, могут наблюдаться преимущественно вертикальные трещины, вызванные сдерживанием температурных деформаций кладки на опоре
(рисунок 2ж). Расчет таких стен выполняют в соответствии с
СП 327.1325800.
Рисунок 2ж - Деформационные трещины в лицевом слое ненесущих
стен высотой на один этаж от температурно-влажностных
деформаций на прямолинейных участках между вертикальными
деформационными швами
Трещины на углах
(рисунок 2и) образуются преимущественно на обращенных к солнцу фасадах в теплое время года. Возможны два варианта образования трещин. По одному из них может произойти излом кладки из плоскости с выключением из работы расположенных на углу связей, крепящих лицевой слой. По другому варианту образуется вертикальная трещина, при этом может сохраняться работоспособность связей по одной из стен.
1 - железобетонный пилон; 2 - внутренний слой;
3 - сохранившаяся связь; 4 - выключенная из работы связь;
5 - лицевой слой; 6 - излом кладки
Рисунок 2и - Деформационные трещины в лицевом слое ненесущих
стен высотой на один этаж от температурно-влажностных
деформаций на углу при отсутствии там деформационного шва
(п. 7.3 в ред.
Изменения N 1, утв. Приказом Минстроя России от 13.12.2021 N 922/пр)
7.4 При смещении на опорах прогонов, балок, плит перекрытий и покрытий производится проверка несущей способности стен, столбов и пилястр на местное и внецентренное сжатие по фактическому значению нагрузки, эксцентриситета и площади опирания на кладку.
7.5 При местных просадках фундаментов или разрушении одного или нескольких несущих простенков нижнего этажа оставшаяся часть стены может работать по схеме свода. В этом случае несущая способность сохранившихся простенков или участков стены должна определяться с учетом их перегрузки от веса вышележащих над сводом стен и перекрытий, а также с учетом горизонтального распора, который при этом возникает.
7.6 Расчетная площадь сечения конструкций, наружные поверхности которых оказались поврежденными или разрушенными в результате размораживания, коррозии или механического, огневого воздействия определяется после расчистки и удаления поврежденных слоев.
(в ред.
Изменения N 1, утв. Приказом Минстроя России от 13.12.2021 N 922/пр)
7.7 Для целых, неповрежденных трещинами сечений, конструкции здания подлежат обязательному усилению, если фактическая несущая способность
Nf, вычисленная по
формуле (15), увеличенная на коэффициент допустимой перегрузки
nn, недостаточна для восприятия фактического или предполагаемого проектом реконструкции усилия
N, т.е. при условии
N >= nn·Nf, (16)
где nn - коэффициент допустимой перегрузки принимают равным 1,15 для каменных конструкций.
Для конструкций, поврежденных трещинами, применение коэффициента nn не допускается.
7.8 Состояние, степень повреждения и необходимость конструктивного усиления каменных конструкций определяются в зависимости от значения снижения, %, несущей способности при наличии дефектов, трещин и повреждений. Основные градации состояний, степень повреждений конструкций и рекомендации по их усилению приведены в таблице 7.
Таблица 7
Снижение несущей способности, % | Усиление конструкций |
0 - 5 | Не требуется |
До 15 | Требуется при наличии трещин |
До 25 | Требуется |
До 50 | Требуется |
Свыше 50 | Возможно при технико-экономическом обосновании или разборке |
Примечание - При снижении несущей способности конструкций на 15% и более вследствие повреждения сечения трещинами, сколами, раздроблением и т.п., усиление конструкций обязательно независимо от значения действующей нагрузки. |
8 Усиление каменных конструкций
8.1 Усиление каменных конструкций осуществляют с помощью обойм, сердечников, набетонок, бандажей, тяжей, инъекции кладки, косвенного армирования, восстановления кладки на участках с вычинкой и утраченной кладки, устройством дополнительных опор и др.
8.2 Расчет усиливаемой каменной конструкции следует производить по общим правилам расчета каменных конструкций с учетом ее напряженно-деформированного состояния, полученного до усиления.
Элементы с продольным вертикальным армированием
8.3 Продольное армирование каменных конструкций может приметаться в отдельных конструктивных элементах (стенах, столбах, перемычках, подпорных стенах и т.п.) для восприятия растягивающих усилий во внецентренно сжатых (при больших эксцентриситетах) и изгибаемых элементах.
Продольное армирование каменных конструкций применяют для повышения сопротивляемости кладки растягивающим усилиям и обеспечения монолитности и устойчивости отдельных частей и всего сооружения в целом.
При продольном вертикальном армировании каменных конструкций арматура укладывается снаружи под слоем цементного раствора или в штрабе кладки с заполнением штрабы раствором (рисунок 3).
а - наружное расположение арматуры; б - расположение
арматуры в штрабе кладки; 1 - продольная арматура;
2 - поперечные хомуты
Рисунок 3 - Продольное армирование кирпичных
конструкций (столбов, стен и др.)
8.4 Число арматуры, учитываемой при расчете столбов и простенков, должно составлять %, не менее:
0,1 - для сжатой продольной арматуры;
0,05 - для растянутой продольной арматуры.
8.5 При расчете элементов, работающих на центральное и внецентренное сжатие, учитывают неполное использование прочности кладки при сжатии, работающей совместно с арматурой, введением коэффициента условий работы кладки 0,85, на который умножается расчетное значение сопротивления кладки, а также неполное использование работы сжатой продольной арматуры, расчетное сопротивление которой определяется по
СП 15.13330.
При расчете элементов, работающих на внецентренное сжатие, расчетное значение сопротивления кладки принимают равным

(

- принимают по
СП 15.13330).
8.6 В изгибаемых элементах применение сжатой арматуры, учитываемой в расчете, допускается только в исключительных случаях, например, при ограниченной высоте сечения, при действии знакопеременных моментов и т.п.
8.7 В элементах с продольной арматурой, расположенной снаружи кладки, площадь сечения защитных (растворных) слоев в расчете не учитывают.
8.8 Расчет армированных каменных конструкций с продольной арматурой по трещинам приведен в
[3].
8.9 Расчет элементов с продольной арматурой при центральном сжатии (
рисунок 4,
а) производится по формулам:

; (17)

; (18)

, (19)
где N - продольная расчетная сила;

- коэффициент продольного изгиба, принимаемый по
СП 15.13330;
mg - коэффициент, учитывающий влияние длительной нагрузки, (
7.7 СП 15.13330.2020);
(в ред.
Изменения N 1, утв. Приказом Минстроя России от 13.12.2021 N 922/пр)
R - расчетное значение сопротивления кладки, принимаемое по
СП 15.13330;
A - площадь сечения кладки;
Rsc - расчетное значение сопротивления продольной сжатой арматуры
[3];

- площадь сечения продольной арматуры.
Упругую характеристику кладки

с продольным армированием принимают по
таблице 2, как для неармированной кладки.
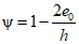
8.10 При внецентренном сжатии различают случаи внецентренно сжатых элементов (
рисунок 4 б, в):
случай 1 - соблюдается условие:
при любой форме сечения
Sc < 0,8S0; (20)
при прямоугольной форме сечения
x < 0,55h0; (21)
случай 2 - соблюдается условие:
при любой форме сечения
Sc >= 0,8S0; (22)
при прямоугольной форме сечения
а - центральное сжатие; б - случай 1 Sc < 0,8S0;
в - случай 2 Sc > 0,8S0
Рисунок 4 - Внецентренное сжатие армированной кладки
Sc - статический момент сжатой зоны сечения кладки относительно центра тяжести растянутой или менее сжатой арматуры As;
S0 - статический момент всего сечении кладки относительно центра тяжести растянутой As или менее сжатой арматуры;
x - высота сжатой зоны сечения
[3].
Статический момент S0 при любой форме сечения определяется по формуле
S0 = A(h0 - y), (24)
где A - площадь сечения кладки;
h0 - рабочая высота сечения h0 = h - a;
h - высота всего сечения;
a - толщина защитного слоя со стороны арматуры As;
y - расстояние от центра тяжести всего сечения до края наиболее сжатой грани.
При прямоугольной форме сечения

, (25)
где b - ширина прямоугольного сечения.
Статический момент
Sc зависит от формы и размеров сечения, положения нейтральной оси и защитного слоя. Формулы для расчета
Sc и внецентренно сжатых элементов с продольной арматурой приведены в
[3].
8.11 Расчет армированных изгибаемых элементов прямоугольного сечения со стержневой арматурой производится по формулам:
а) при двойной арматуре

, (26)
при этом положение нейтральной оси определяется по формуле

; (27)
б) при одиночной арматуре

, (28)
при этом положение нейтральной оси определяется по формуле
RsAs = 1,25Rbx. (29)
Высота сжатой зоны кладки должна во всех случаях удовлетворять условиям:
X <= 0,55h0 и x >= 2a'. (30)
8.12 Расчет изгибаемых элементов на поперечную силу производится по формуле
Q <= Rtwbz. (31)
При прямоугольном сечении

. (32)
Примечание - Если прочность кладки при расчете на поперечную силу окажется недостаточной, необходима установка хомутов или устройство отгибов в арматуре, расчет которых производится в соответствии с
СП 63.13330.
8.13 Расчет элементов продольно армированной кладки при центральном растяжении производится по формуле
N <= RsAs. (33)
Комплексные элементы (элементы из каменной кладки, усиленные железобетоном)
8.14 В комплексных элементах, усиленных железобетоном, железобетон рекомендуется располагать с внешней стороны кладки (рисунок 5), что позволяет проверить плотность уложенного бетона и является более рациональным при внецентренном сжатии, продольном изгибе и изгибе конструкции.
а - одностороннее расположение железобетона;
б - расположение железобетона в штрабе
Рисунок 5 - Схемы сечений комплексных элементов
8.15 Комплексные конструкции применяют в тех же случаях, что и кладку с продольным армированием, а также когда требуется значительно увеличить несущую способность сильно нагруженных элементов при центральном или внецентренном сжатии. Применение в этом случае комплексных конструкций позволяет уменьшить размеры сечений элементов.
Абзац исключен с 14.01.2022. -
Изменение N 1, утв. Приказом Минстроя России от 13.12.2021 N 922/пр.
8.16 При конструировании комплексных элементов площадь сечения всей продольной арматуры должна составлять не более 1,5% площади сечения бетона.
8.17 При расчете комплексных элементов на центральное сжатие следует соблюдать следующее условие

, (34)
где N - продольная сила;
mg - коэффициент, учитывающий влияние длительности нагрузки
(СП 15.13330);
R - расчетное значение сопротивления кладки;
A - площадь сечения кладки;
Rb и
Rsc - расчетные значения сопротивления бетона и арматуры при центральном сжатии, принимаемые по
СП 63.13330;
Ab - площадь сечения бетона;

- площадь сечения арматуры;

- коэффициент продольного изгиба комплексной конструкции
[3] при упругой характеристике кладки

. (35)
Приведенный модуль упругости комплексных элементов и приведенное временное сопротивление комплексного сечения определяются по формулам:

; (36)

, (37)
где
E0k,
Eb - начальные модули упругости кладки и бетона (для кладки приведен в
[3], для бетона определяется по
СП 63.13330);
Ik; Ib - моменты инерции сечения кладки и бетона;
RU = 2R - временное сопротивление (средний предел прочности) сжатию кладки;
Rub - нормативная призменная прочность бетона при сжатии, принимаемая по
СП 63.13330.
8.18 Различают случаи внецентренно сжатых комплексных элементов (аналогично каменным элементам с продольным армированием):
случай 1 - соблюдается условие
случай 2 - соблюдается условие
Sc < 0,8S0. (39)
В случае 1 расчет производится по формуле

. (40)
При этом, если сила
N приложена между центрами тяжести арматуры
As и

, то должно быть удовлетворено дополнительное условие

. (41)
При одиночной арматуре

расчет производится по формуле

. (42)

- статический момент площади комплексного сечения (приведенного к кладке) относительно центра тяжести растянутой или менее сжатой арматуры
As;

- статический момент площади сжатой зоны комплексного сечения относительно центра тяжести арматуры
As,
Skc и Sbc - статические моменты площадей сжатой части сечения кладки и бетона относительно центра тяжести арматуры As;
Sk;
Sb и
Ss - статические моменты площадей сечения кладки, бетона и арматуры

относительно центра тяжести арматуры
As;
Sk1;
Sb1 и

- статические моменты площадей сечения кладки, бетона и арматуры
As относительно центра тяжести арматуры

;
e и
e' - расстояния от точки приложения силы
N до центра тяжести арматуры
As и

.
Если центры тяжести арматуры
As и

находятся на расстоянии более 5 см от граней сечения, то в
формулах (41) и
(42) статические моменты и эксцентриситеты
e и
e' определяются относительно грани сечения.
При внецентренно сжатых элементах комплексных конструкций с большими эксцентриситетами (с расположением бетона с внешней стороны кладки), при которых соблюдается условие Sc < 0,8S0, расчет производится по формуле

. (43)
Положение нейтральной оси в этом случае определяется из уравнения

. (44)
В
формуле (44) знак "плюс" принимают, если сила
N приложена за пределами расстояния между центрами тяжести арматуры
As и

; знак "минус" - если сила
N приложена между центрами тяжести арматуры
As и

.
При одиночной арматуре

расчет производится по формуле

(45)
и положение нейтральной оси определяется из уравнения

. (46)
Acs - площадь сжатой зоны кладки;
Abc - площадь сжатой зоны бетона;
Scs,N - статический момент сжатой зоны кладки относительно точки приложения силы;
Sbs,N - статический момент сжатой зоны бетона относительно точки приложения силы.
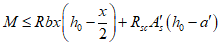
8.19 Расчет изгибаемых элементов комплексных конструкций производится по формуле
M <= RScs + RbSbc + RsSs; (47)
положение нейтральной оси определяется из уравнения

. (48)
Высота сжатой зоны комплексного сечения должна во всех случаях удовлетворять условиям:
Sc < 0,8S0 и z <= h0 - a'. (49)
При этом значения S0 и Sc, а также Scs и Sbc принимаются такими же, как при внецентренном сжатии, а плечо внутренней пары сил z принимают равным расстоянию от точки приложения равнодействующей усилий RAcs и RbAbs до центра тяжести арматуры As.
При одиночной гибкой арматуре

расчет производится по формуле
M <= RScs + RbSbc (50)
и положение нейтральной оси определяется из уравнения
RsAs = RAcs + RbAbc. (51)
8.20 Расчет изгибаемых элементов комплексных конструкций на поперечную силу производится по формуле
Q <= Rtwbz, (52)
где
Rtw - расчетное значение сопротивление кладки главным растягивающим напряжениям, принимаемое по
СП 15.13330;
b - ширина сечения;
z - плечо внутренней пары сил при прямоугольном сечении, определяемое по формуле

. (53)
В случае, когда прочность кладки при расчете на поперечную силу недостаточна, требуется установка хомутов или часть продольных стержней отгибается в соответствии с
СП 63.13330.
Элементы, усиленные обоймой
8.21 Несущая способность существующих каменных конструкций (столбов, простенков, стен и др.) может оказаться недостаточной при реконструкции зданий, надстройках, а также при наличии дефектов в кладке. Один из наиболее эффективных методов повышения несущей способности существующей каменной кладки - включение ее в обойму. В этом случае кладка работает в условиях всестороннего сжатия, что значительно увеличивает ее сопротивляемость воздействию продольной силы.
Применяют четыре основных вида обойм: стальные, железобетонные, армированные растворные и из полимерных композитных материалов.
(в ред.
Изменения N 1, утв. Приказом Минстроя России от 13.12.2021 N 922/пр)
Основные факторы, влияющие на эффективность обойм: процент поперечного армирования обоймы (хомутами), прочность бетона или штукатурного раствора и состояние кладки, а также схема передачи усилия на конструкцию.
С увеличением процента поперечного армирования хомутами прирост прочности кладки растет непропорционально, а по затухающей кривой.
Кирпичные столбы и простенки с трещинами, усиленные обоймами, полностью восстанавливают свою несущую способность.
8.22 Стальная обойма состоит из вертикальных уголков, устанавливаемых на сыром растворе по углам усиливаемого элемента, и хомутов из полосовой стали или круглых стержней, приваренных к уголкам. Расстояние между хомутами должно быть не более меньшего размера сечения и не более 50 см (рисунки 6,
а,
7,
8). Следует обеспечивать включение хомутов в работу путем их преднапряжения нагревом, механическим способом и др. Стальная обойма должна быть защищена от коррозии слоем цементного раствора толщиной 25 - 30 мм. Для надежного сцепления раствора стальные уголки закрываются металлической сеткой.
а - металлическая обойма; б - железобетонная;
в - армирование штукатуркой; 1 - планка f1 сечением
35 x 5 - 60 x 12 мм; 2 - сварка; 3 - стержни диаметром
5 - 12 мм; 4 - хомуты диаметром 4 - 10 мм; 5 - бетон класса
B7,5 - B25; 6 - штукатурка (раствор марки 50 - 100)
Рисунок 6 - Схема усиления кирпичных столбов обоймами
а - при ширине простенков в < 1,5d; б - то же при в > 1,5d;
1 - уголок; 2 - планка; 3 - полоса; 4 - болт; 5 - перемычка
Рисунок 7 - Схема усиления простенков стальными обоймами
а - металлическая обойма; б - железобетонная обойма;
1 - кирпичный столб; 2 - стальные уголки; 3 - планка;
4 - бетон; 5 - продольная арматура диаметром
6 - 12 мм; 6 - хомуты диаметром 4 - 10 мм
Рисунок 8 - Усиление столбов стальными
и железобетонными обоймами
8.23 Железобетонную обойму выполняют из бетона классов B7,5 - B25 с армированием вертикальными стержнями и сварными хомутами. Расстояние между хомутами должно быть не более 15 см. Толщину обоймы назначают по расчету и принимают от 6 до 10 см (
рисунок 6,
б).
8.24 Обойму из раствора армируют аналогично железобетонной, но вместо бетона арматуру покрывают слоем цементного раствора марки 50 - 100 (
рисунок 6,
в).
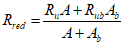
8.25 Расчет конструкций из кирпичной кладки, усиленной обоймами, при центральном и внецентренном сжатии при эксцентриситетах, не выходящих за пределы ядра сечения, производится по формулам:
при стальной обойме

; (54)
при железобетонной обойме

; (55)
Минстроя России от 09.08.2023 N 573/пр)
при армированной растворной обойме

. (56)
Коэффициенты

и

принимаются при центральном сжатии

и

; при внецентренном сжатии (по аналогии с внецентренно сжатыми элементами с сетчатым армированием) определяются по формулам:

; (57)

. (58)
N - продольная сила;
A - площадь сечения усиливаемой кладки;

- площадь сечения продольных уголков стальной обоймы или продольной арматуры железобетонной обоймы;
Ab - площадь сечения бетона обоймы, заключенная между хомутами и кладкой (без учета защитного слоя);
Rsw - расчетное сопротивление поперечной арматуры обоймы;
Rsc - расчетное сопротивление уголков или продольной сжатой арматуры;

- коэффициент продольного изгиба (при определении

значение

принимают как для не усиленной кладки);
mg - коэффициент, учитывающий влияние длительного воздействия нагрузки
(СП 15.13330);
mk - коэффициент условий работы кладки, принимаемый равным 1 для кладки без повреждений и 0,7 - для кладки с трещинами;
mb - коэффициент условий работы бетона, принимаемый равным 1 - при передаче нагрузки на обойму и наличии опоры снизу обоймы, 0,7 - при передаче нагрузки на обойму и отсутствии опоры снизу обоймы и 0,35 - без непосредственной передачи нагрузки на обойму;

- процент армирования хомутами и поперечными планками, определяемый по формуле

, (59)
где h и b - размеры сторон усиливаемого элемента;
s - расстояние между осями поперечных связей при стальных обоймах (h >= s <= b, но не более 50 см) или между хомутами при железобетонных и штукатурных обоймах (s <= 15 см).
8.26 Расчетные значения сопротивления арматуры, применяемой при устройстве обойм, принимаются по таблице 8.
Таблица 8
Тип арматуры и характер передачи нагрузки на обойму | Расчетное значение сопротивления арматуры, МПа, для стали класса |
А240 | А400 |
Поперечная арматура | 150 | 190 |
Продольная арматура без непосредственной передачи нагрузки на обойму | 43 | 55 |
То же, при передаче нагрузки на обойму с одной стороны | 130 | 160 |
То же, при передаче нагрузки с двух сторон | 190 | 240 |
8.27 С увеличением размеров сечения (ширины) элементов при соотношении их сторон от 1:1 до 1:2,5 эффективность обойм уменьшается, однако это уменьшение незначительно и практически его можно не учитывать.
Когда одна из сторон элемента, например, стена (рисунок 9), имеет значительную протяженность, то необходима установка дополнительных поперечных связей, пропускаемых через кладку и располагаемых по длине стены на расстояниях не более 2
d и не более 100 см, где
d - толщина стены. По высоте стены расстояние между связями должно быть не более 75 см. Связи должны быть надежно закреплены. Расчет дополнительных поперечных связей производится по
формуле (55), при этом коэффициент условий работы связей принимают равным 0,5.
1 - металлическая сетка; 2 - дополнительные стержни,
расположенные сверх сетки; 3 - хомуты (связи);
4 - бетон обоймы; 5 - кладка стены
Рисунок 9 - Схема усиления стены железобетонной обоймой
9 Расчет каменных конструкций, усиленных полимерными композитными материалами по предельным состояниям первой группы (по несущей способности)
9.1 Центрально-растянутые элементы
Расчет элементов каменных конструкций, усиленных внешним армированием из полимерных композитов, на прочность при осевом растяжении по неперевязанному сечению следует производить по формуле
где N - расчетная осевая сила при растяжении элемента, Н;
Rf - расчетное сопротивление при растяжении полимерного композита;
(в ред.
Изменения N 1, утв. Приказом Минстроя России от 13.12.2021 N 922/пр)
Af - площадь поперечного сечения полимерного композита.
(в ред.
Изменения N 1, утв. Приказом Минстроя России от 13.12.2021 N 922/пр)
9.2 Центрально-сжатые элементы
Расчет элементов неармированных каменных конструкций при центральном сжатии, усиленных внешним армированием из полимерных композитов
(рисунок 10), следует производить по формуле

, (61)
где N - расчетная продольная сила;
Rrf - расчетное значение сопротивления сжатию кладки, усиленной внешним армированием из полимерных композитов и определяемое по формуле

, (62)
где
R - расчетное значение сопротивления сжатию кладки, определяемое по
таблицам 6.2 -
6.10 СП 15.13330.2020;
(в ред.
Изменения N 1, утв. Приказом Минстроя России от 13.12.2021 N 922/пр)
| | ИС МЕГАНОРМ: примечание. В официальном тексте документа, видимо, допущена опечатка: имеется в виду пункт 7.2 СП 15.13330.2012, а не таблица 7.2. | |

- коэффициент продольного изгиба, определяемый по
таблице 7.1 СП 15.13330.2020;
(в ред.
Изменения N 1, утв. Приказом Минстроя России от 13.12.2021 N 922/пр)
A - площадь сечения элемента;
mg - коэффициент, учитывающий влияние длительной нагрузки и определяемый по
7.7 СП 15.13330.2020;
(в ред.
Изменения N 1, утв. Приказом Минстроя России от 13.12.2021 N 922/пр)

- коэффициент, принимаемый при пустотности кирпича (камня) до 20% включительно - 2, при пустотности от 20% до 30% включительно - 1,5, при пустотности выше 30% - 1;

- коэффициент поверхностного армирования полимерным композитом кладки усиливаемой стены, определяемый по формуле

, (63)
где
Sbd - площадь поперечного сечения полосы (бандажей) из полимерного композита толщиной

и высотой
hbd, определяемая по формуле

, (64)
где Sw - площадь участка длинной стороны hw столба, приходящаяся на одну полосу из полимерного композита высотой hbd, определяется по формуле
Sw = hw·(hbd + b); (65)
где
Rf - расчетный предел прочности при растяжении полимерного композита, определяемый по
формуле (60).
Рисунок 10 - Схема усиления кирпичного столба обоймами
(бандажами) из полимерных композитных материалов
Минстроя России от 13.12.2021 N 922/пр)
9.3 Расчет внецентренно сжатых элементов, при действии момента из плоскости стены, на срез
9.3.1 Расчет внецентренно сжатых элементов, при действии момента из плоскости стены, на срез производится в соответствии с нормативными документами.
10 Усиление каменной кладки инъекцией раствора под давлением
10.1 Инъекция раствора под давлением применяется для восстановления монолитности кладки с трещинами, расслоением, пустотами, на участках сопряжения разнородных кладок, местах закладки проемов, вычинки.
Усиление кладки методом инъекции для повышения несущей способности кладки производится только в случае наличия в кладке множественных силовых трещин (
рисунок 1,
г).
10.2 Четыре основных варианта для усиления кирпичной кладки представлены методом инъекции:
- инъекция раствора в кладку с низкой прочностью раствора в швах, без множественных трещин для повышения монолитности кладки;
- инъекция раствора в кладку с множественными трещинами для повышения монолитности кладки и ее расчетного значения сопротивления сжатию;
- инъекция раствора в кладку с отдельными трещинами для повышения монолитности кладки без увеличения ее расчетного значения сопротивления сжатию;
- инъекция раствора в кладку с множественными трещинами в сочетании с устройством косвенного армирования для повышения монолитности кладки и ее расчетного значения сопротивления сжатию.
10.3 Несущую способность конструкций из каменной кладки, усиленной инъекцией раствора под давлением, определяют по
формулам (14) и
(15) с принятием коэффициента технического состояния конструкций
kmc, учитывающего снижение несущей способности каменных конструкций при наличии трещин и определяемого по
таблицам 4 и
5, равным единице.
При этом расчетное значение сопротивления кладки, усиленной инъекцией раствора под давлением, принимают по
СП 15.13330 с коэффициентом условий работы
mi для кладки простенков, столбов и стен с множественными трещинами от силовых воздействий, расположенных на расстоянии 15 - 20 см друг от друга (
рисунок 1,
г):
- усиленных цементными и полимерцементными растворами mi = 1,1;
- усиленных раствором на основе метилметакрилата mi = 1,3;
- усиленных раствором на основе гидравлической извести с минеральными добавками mi = 1,0;
- усиленных раствором на основе эпоксидной смолы коэффициент mi определяется по графику на рисунке 11.
Рисунок 11 - Зависимость коэффициента mi от прочности
кладочного раствора R2 при инъекции раствора эпоксидной
смолы для кладки простенков, столбов и стен с множественными
трещинами от силовых воздействий, расположенных
на расстоянии 15 - 20 см друг от друга
В остальных случаях коэффициент mi принимают равным 1,0, либо по результатам испытаний кладки на сжатие.
10.4 Усиление каменной кладки с применением инъекции возможно в сочетании с такими методами усиления, как устройство обойм, сердечников, набетонок и т.п.
При усилении кладки с силовыми трещинами от местного сжатия наиболее эффективно усиление инъекцией в сочетании с косвенным армированием.
10.5 При расчете усиления кладки обоймами и т.п. расчетное значение сопротивления кладки сжатию, усиленной инъекцией раствора, принимают по
10.3.
10а Элементы из каменной кладки, усиленные косвенным армированием
(раздел 10а введен
Изменением N 1, утв. Приказом Минстроя России от 13.12.2021 N 922/пр)
10а.1 Различают два случая косвенного армирования уже возведенной кладки:
- армирование для повышения несущей способности кладки при сжатии, в том числе при местном приложении нагрузки;
- конструктивное армирование, выполняемое для восстановления монолитности кладки с трещинами, расслоившейся кладки, на участках сопряжения "старой" и "новой" кладки (при закладке проемов, ниш, штраб, ремонте с вычинкой кладки и т.п.).
Косвенное армирование кладки для повышения ее несущей способности при сжатии выполняют стальными шпильками с резьбой по всей их длине
(рисунок 11а). Шпильки устанавливают в горизонтальные отверстия, пробуренные в кладке.
Расстояния между отверстиями одного ряда принимают по горизонтали не более 15 см и по вертикали между отверстиями того же направления не более 20 см.
Отверстия заполняют клеевым составом. По концам шпилек устанавливают стальные шайбы диаметром не менее 4 см, прижимаемые стальными гайками.
Расчет конструкций из кирпичной кладки, усиленной косвенным армированием, при центральном и внецентренном сжатии при эксцентриситетах, не выходящих за пределы ядра сечения, выполняют по формуле

(65а)
Коэффициенты

и

принимают при центральном сжатии

и

; при внецентренном сжатии (по аналогии с внецентренно сжатыми элементами с сетчатым армированием) определяют по формулам:

(65б)

(65в)
N - продольная сила;
A - площадь сечения усиливаемой кладки;
R - расчетное сопротивление кладки сжатию;
Rsw - расчетное сопротивление стали шпилек, принимаемое с коэффициентом условий работы 0,6;

- коэффициент продольного изгиба (при определении

значение

принимают как для не усиленной кладки);
mg - коэффициент, учитывающий влияние длительного воздействия нагрузки
(СП 15.13330);
mk - коэффициент условий работы кладки, принимаемый равным 1,0 для кладки без повреждений и 0,7 - для кладки с трещинами;

- коэффициент условий работы косвенной арматуры (стальных шпилек) принимают:

при диаметре стальных шайб не менее 4 см, контролируемом заполнении отверстия со шпилькой клеем, предварительном натяжении шпилек с помощью расположенных на концах гаек с усилием, равным 10% предельного усилия (натяжение выполняется сразу после заполнения отверстия клеем) и при соблюдении конструктивных указаний по расстоянию между шпильками;

при диаметре стальных шайб менее 4 см, контролируемом заполнении отверстия со шпилькой клеем, предварительном натяжении шпилек с помощью расположенных на концах гаек с усилием, равным 10% предельного усилия (натяжение выполняется сразу после заполнения отверстия клеем) и при соблюдении конструктивных указаний по расстоянию между шпильками;

при установке шпилек только на клее при контролируемом заполнении отверстия и при соблюдении конструктивных указаний по расстоянию между шпильками;

- процент армирования стальными шпильками, определяемый по формуле

(65г)
где Vs, Vk - объемы кладки и находящейся в ней арматуры (шпилек) соответственно.
При несоблюдении требуемых расстояний между шпильками усиление считают конструктивным, направленным на повышение монолитности кладки. Его применяют в сочетании с инъекцией кладки на участках с деформационными трещинами, ремонта кладки с вычинкой, сопряжения разнородных кладок, при заполнении проемов, штраб, ниш и т.п.
1 - стальные шпильки с резьбой по всей их длине
Рисунок 11а - Схема усиления кладки косвенным армированием
в виде стальных шпилек
11 Замена простенков и столбов новой кладкой
11.1 Способ замены каменных конструкций новыми применяется в случаях, когда требуется повышение их несущей способности при надстройке и реконструкции зданий, а также в аварийных случаях, когда этот способ усиления по технико-экономическим соображениям наиболее целесообразен по сравнению с другими. Этот способ позволяет сохранить внешний вид заменяемых конструкций и не требует дополнительных отделочных работ.
11.2 Способ замены конструкций новыми требует предварительного устройства их временных креплений на период производства работ, после чего допускаются разборка старой кладки и выполнение новой из материалов повышенной прочности с применением сетчатого армирования.
Временные крепления рекомендуется выполнять из дерева, стальных труб, стального проката и проектировать в виде конструкций, способных воспринимать массу передающихся на них вышерасположенных стен или других нагрузок.
11.3 Конструкции временных креплений при замене узких простенков рекомендуется выполнять из стоек, опираемых на подоконные участки, поддерживающие непосредственно элементы перемычек (рисунок 12). При широких простенках (более 1 м) устанавливаются парные стойки по обеим их сторонам.
1 - стойка; 2 - подкладка; 3 - клинья;
4 - лежень; 5 - перемычка; 6 - балка
Рисунок 12 - Укрепление и разгрузка от массы
перекрытий поврежденных простенков стойками
Для более плотного прилегания верха и низа стойки устанавливаются на клинья с последующей их подбивкой.
11.4 После установки временных креплений и плотной подклинки допускается производить осторожную разборку кладки заменяемых простенков. Замену простенков рекомендуется производить поочередно.
11.5 Для возведения кладки новых простенков рекомендуется применять каменные материалы (кирпич, бетонные камни) повышенной прочности, но не ниже марки M100 и цементный раствор марки M100.
Кладку заменяемого простенка следует выполнять с плотным осаживанием кирпича для получения тонких швов кладки. В случае необходимости горизонтальные швы кладки армируются стальными сетками. Верх вновь возводимой кладки не доводится до старой на 3 - 4 см с последующей зачеканкой зазора плотным цементным раствором марки не ниже M100. В отдельных случаях для обеспечения повышенной плотности примыкания новой кладки к старой допускается забивать в не отвердевший раствор плоские стальные клинья. Наилучший результат достигается инъекцией раствора под давлением.
(в ред.
Изменения N 1, утв. Приказом Минстроя России от 13.12.2021 N 922/пр)
11.6 Расчет несущей способности временных креплений производится на нагрузки от вышерасположенных конструкций.
11.7 Снятие временных креплений при замене старых каменных конструкций новыми допускается после того, как раствор новой кладки наберет не менее 50% проектной прочности.
11.8 В связи с ответственностью производства работ, по замене старых конструкций зданий новыми, должен быть предварительно разработан проект производства работ, учитывающий технологию и правила техники безопасности при их выполнении.
12 Обеспечение пространственной жесткости зданий напряженными поясами, ненапрягаемыми связями и обвязками
Крепление стен напряженными поясами
12.1 В процессе эксплуатации зданий встречаются случаи нарушения целостности совместной работы связанных между собой стен и отдельных элементов и появления в них трещин, значительно снижающих их жесткость и прочность.
12.2 Основные причины появления деформационных трещин в стенах из массивной кладки - неравномерная осадка грунта в основании фундаментов; разнонагруженность внутренних несущих и наружных стен; различная жесткость совместно работающих стен из различных материалов.
(в ред.
Изменения N 1, утв. Приказом Минстроя России от 13.12.2021 N 922/пр)
| | ИС МЕГАНОРМ: примечание. В официальном тексте документа, видимо, допущена опечатка: имеется в виду СП 327.1325800.2017, а не СП 327.13255800. | |
Причины возникновения трещин в наружных многослойных облегченных стенах и методы их ремонта приведены в
СП 327.13255800.
12.3 В зависимости от характера дефектов стен и элементов, а также от причин, вызвавших эти дефекты, могут быть рекомендованы различные способы усиления стен и придания им необходимой жесткости и прочности.
Наиболее простой и эффективный способ обеспечения пространственной жесткости и совместной работы конструкций - крепление стен в уровне перекрытий продольными и поперечными тяжами (рисунки 13 и
14).
а - внутри здания; б - снаружи здания; в - разрез;
г - вариант укладки тяжей в штрабу; 1 - тяж; 2 - муфта
натяжения; 3 - металлическая подкладка; 4 - швеллер
N 16 - 20; 5 - уголок; 6 - цементный раствор марки M100
Рисунок 13 - Крепление стен металлическими
тяжами в уровне перекрытий
а - внутри здания; б - снаружи здания; в - разрез;
г - вариант укладки тяжей в штрабу; 1 - подкладка;
2 - траверса из швеллера N 14 - 16; 3 - стена;
4 - натяжная муфта; 5 - тяж
Рисунок 14 - Крепление стен металлическими
тяжами в уровне перекрытий
12.4 Конструкция крепления стен напряженными поясами состоит из стальных тяжей диаметром 20 - 38 мм, которые опоясывают здание или часть его.
Тяжи укладываются по поверхности стен или в борозды сечением примерно 70 x 80 мм и после их натяжения заделываются цементным раствором.
На углах здания и выступах ставятся вертикальные уголки, обжимающие углы после натяжения поясов.
Натяжение поясов производиться посредством стяжных муфт одновременно по всему контуру.
Натяжение тяжей рекомендуется выполнять после предварительного нагрева их паяльными лампами или автогеном. Для тяжей, устанавливаемых зимой, в летнее время рекомендуется проводить дополнительное натяжение.
12.5 Натяжение производится с помощью рычага длиной 1,5 м с усилием 300 - 400 Н на длинный конец рычага или домкратами. Общее усилие должно быть примерно 50 кН. Натяжение считается достаточным, если тяж без провесов и при простукивании издает чистый звук высокого тона. Рекомендуется степень натяжения по возможности определять приборами (индикаторами), установленными на тяжах.
(в ред.
Изменения N 1, утв. Приказом Минстроя России от 13.12.2021 N 922/пр)
Крепление стен ненапрягаемыми связями и обвязками
12.6 Помимо напрягаемых тяжей и связей для местного усиления выпучившихся стен и перегородок рекомендуется устанавливать ненапрягаемые связи: хомуты, анкеры, обвязки арматурной и прокатной стали, а также из полимерных композитных материалов.
12.7 В тех случаях, когда отклонение и выпучивание стен сопровождается сдвигами по горизонтальным швам, смещением перекрытий, наклонами, сдвигами поперечных стен из плоскости, перекосами, усиление следует производить следующим образом: стены с прогибом более 1/3 их толщины разбираются до отметки, где значение прогиба не превосходит допустимого по расчету, затем возводятся вновь с устройством креплений их тяжами или стальными хомутами к колоннам или поперечным стенам.
12.8 Усиление сильно поврежденных или отклонившихся стен производят установкой с двух сторон стены в уровне перекрытий металлических балок (швеллеров N 16 - 20), стянутых болтами (рисунок 15). Балки рекомендуется укладывать в борозды, вырубленные с двух сторон или по поверхности стены, после чего их следует стянуть болтами и заделать цементным раствором по металлической сетке.
1 - стяжные болты диаметром 16 - 20 мм;
2 - металлические балки из швеллера N 16 - 20
Рисунок 15 - Усиление угла металлическими балками
12.9 Сквозные трещины в стенах с раскрытием до 4 мм рекомендуется заделывать инъекцией раствора по
разделу 10 или расшивкой и зачеканкой трещин раствором.
Заделка трещин с шириной раскрытия 4 мм и более в стенах толщиной 38 см и более состоит в разборке по длине трещины кладки с двух сторон на глубину 1/2 кирпича и ширину не менее одного кирпича с последующей закладкой новым кирпичом в перевязку со старым (рисунок 16). В стенах и перегородках толщиной 25 см и менее в зоне трещины следует разобрать старую кладку и заменить ее новой или заполнить трещину инъекцией раствора под давлением.
Рисунок 16 - Заделка трещин с разборкой
12.10 Слои кладки, поврежденные огнем и размороженные, следует удалять. В случае, когда прочность и устойчивость оставшейся кладки достаточны, удаленная часть кладки заменяется новой с оштукатуриванием по сетке, наносимой торкретированием после промывки поверхности водой.
Если несущая способность оставшейся кладки недостаточна, стены усиливаются заменой или утолщением кладки с перевязкой (вычинкой), а столбы и простенки - обоймами.
12.11 Поврежденную кладку опор железобетонных и стальных перемычек следует переложить после установки в проемах под концами перемычек разгружающих деревянных стоек на клиньях или усилить с последующей инъекцией в кладку опор цементного раствора.
12.12 Железобетонные перемычки в зависимости от степени повреждения следует заменить новыми или отремонтировать. Если на перемычки опираются балки или плиты перекрытий, при замене перемычек необходимо полностью разгрузить их подводкой под балки или плиты перекрытий по всей длине перемычки временных креплений в виде стоек.
Поврежденные рядовые или клинчатые перемычки усиливаются подводкой стальных и железобетонных балок. Балки укладываются в штрабы, вырубленные с двух сторон стены, и стягиваются между собой болтами или хомутами (рисунок 17). Металлические балки покрываются сетками и оштукатуриваются.
1 - кладка: 2 - швеллер; 3 - болт; 4 - штукатурка по сетке
Рисунок 17 - Усиление рядовых и клинчатых перемычек
12.13 При наличии трещин в местах пересечений стен или стенах с пилонами необходимо установить стальные связи диаметром 20 - 25 мм в уровне перекрытий. Связи закрепляются в наружной и внутренней стенах распределительными прокладками из швеллеров или уголков (рисунок 18).
1 - продольная стена; 2 - поперечная стена;
3 - перекрытие; 4 - стальной тяж диаметром 20 - 24 мм;
5 - уголок 75 x 75 мм; 6 - шайба 75 x 75 x 8 мм
Рисунок 18 - Крепление наружных стен
к поперечным стальными связями
13 Повреждение и ремонт лицевого слоя несущих и самонесущих двухслойных стен зданий из кирпича и керамических камней
Причины повреждения лицевого слоя стен из двухслойной массивной кладки с перевязкой слоев прокладными (тычковыми) рядами
13.1 Методы расчета и усиления лицевого слоя облегченных наружных стен приведены в
СП 327.1325800.
13.2 В случае, если лицевой слой в двухслойных стенах с соединением слоев перевязкой кладки напряжен более чем кладка внутреннего слоя (например, из-за большей его жесткости), напряжение в нем продолжает возрастать с течением времени вследствие деформаций ползучести кладки и температурных колебаний.
13.3 Существенное влияние на прочность лицевого слоя оказывает качество работ (ровность, плотность и одинаковая толщина швов в кладке и облицовке). Колебания в толщине швов в кладке слоев вызывают в перевязочных тычковых камнях значительные напряжения изгиба и среза, приводящие к нарушению связи слоев.
13.4 Разрушение лицевого слоя из керамических камней чаще наблюдается в стенах, внутренний слой которых выполнен из силикатного кирпича. Разрушение лицевого слоя, как правило, начинается с появления трещин в тычковых рядах, связывающих его с кладкой внутреннего слоя. Эти трещины наблюдаются на широких наружных откосах оконных и дверных проемов. Происходят выпучивание лицевой кладки и образование вертикальных зазоров между четвертью и коробкой, которое может вызвать обрушение лицевого слоя.
| | ИС МЕГАНОРМ: примечание. Нумерация пунктов дана в соответствии с официальным текстом документа. | |
13.6 Появление вертикальных трещин в камнях простенков по фасаду свидетельствует о значительном перенапряжении кладки лицевого слоя. Увеличение деформаций ползучести кладки стены вызывает появление новых трещин и даже полное разрушение лицевого слоя.
13.7 Отслоение лицевого слоя кладки происходит быстро в случаях нарушения его связи с внутренним слоем из-за среза тычковых камней.
Ремонт лицевого слоя в двухслойных несущих и самонесущих стенах с соединением слоев перевязкой
(в ред.
Изменения N 1, утв. Приказом Минстроя России от 13.12.2021 N 922/пр)
13.8 Необходимость усиления простенков и крепления лицевого слоя зависит от напряжения в кладке внутреннего слоя и степени повреждения лицевого слоя.
Для установления степени напряжения производится проверочный расчет стен. В случаях отслоения лицевого слоя расчет следует выполнять без включения его площади в расчетное сечение. При расчете следует учитывать фактическую прочность кирпича и раствора, а не их проектные марки.
13.9 В случаях обнаружения волосных трещин в отдельных камнях лицевого слоя производится проверочный расчет стен (простенков). Если расчетом не выявлено перенапряжение кладки, то мероприятий по укреплению лицевого слоя проводить не следует.
13.10 При наличии трещин и перенапряжений в кладке необходимо установить наблюдение за ее состоянием и развитием трещин, поставить на трещины гипсовые маяки и не реже одного раза в месяц производить осмотр. В весенне-летний период под влиянием солнечной радиации в лицевом слое могут возникнуть дополнительные напряжения, увеличивающие опасность его повреждения. В этот период за лицевым слоем следует наблюдать особенно внимательно и осмотры производить чаще. При отслоении лицевого слоя или появлении новых трещин в лицевых камнях следует производить крепление лицевого слоя или усиление простенков согласно приведенному ниже.
13.11 При наличии отслоений лицевого слоя от внутреннего до 20 мм и при перенапряжении кладки (без учета лицевого слоя) не более чем на 20%, должно производиться крепление отслоившегося лицевого слоя стальными связями.
Связи выполняются из стержней диаметром 10 - 12 мм периодического профиля. Отверстия для связей - длиной 350 - 400 мм под углом 30° к горизонтали (рисунок 19).
а - места установки стержней для крепления камней;
б - детали заделки стержней для крепления облицовки;
в - место высверливания отверстия в стене;
1 - цементно-песчаная паста; 2 - стержень периодического
профиля диаметром 10 - 14 мм; 3 - швы облицовки;
4 - высверливаемое отверстие
Рисунок 19 - Крепление лицевого слоя к кладке
внутреннего слоя
Минстроя России от 13.12.2021 N 922/пр)
Отверстия просверливаются в местах пересечений горизонтального шва с вертикальным, по обе стороны которого камни расположены только ложками (но не тычками). Подготовленные отверстия промывают водой, заполняют с помощью ручного насоса или шприца клеем или полимерцементным раствором. Установка связей должна производиться с шагом 60 - 80 см по горизонтали и вертикали.
Вариант примерного расположения стальных связей для крепления облицовки приведен на рисунке 20.
1 - стержень периодического профиля диаметром 10 - 14 мм
Рисунок 20 - Вариант примерного расположения
металлических стержней для крепления основного типа
облицовки (три ряда ложков, один ряд тычков)
Зазоры между кладкой стены и облицовкой рекомендуется заинъектировать цементным раствором не ранее чем через семь суток после установки связей.
Усиление кладки методом инъекции производится в соответствии с
разделом 10.
13.12 Крепление кладки лицевого слоя рекомендуется производить захватками по ширине до 5 м и высоте не более 2 м с соблюдением техники безопасности.
К работе по креплению лицевого слоя в вышележащей захватке следует приступить не ранее чем через сутки после выполнения работ в нижележащей захватке.
13.13 При разрушении кладки лицевого слоя или ее отслоении от кладки внутреннего слоя более чем на 20 мм и при перенапряжении кладки (определяется расчетом без учета лицевого слоя) не более чем на 20%, лицевой слой необходимо заменить.
13.14 Вновь выложенную кладку лицевого слоя следует укреплять металлическими стержнями
(13.11) с прокладкой стальной сетки в горизонтальных швах кладки в местах установки связей и креплением их к сетке.
Ремонт лицевого слоя в двухслойных ненесущих стенах с соединением слоев гибкими связями
(подраздел введен
Изменением N 1, утв. Приказом Минстроя России от 13.12.2021 N 922/пр)
13.15 Крепление отслоившегося лицевого слоя в двухслойной кладке с гибкими связями рекомендуется выполнять полимеркомпозитными или стальными связями, устанавливаемыми в пробуренные под углом отверстия
(рисунок 20а).
1 - газобетонный блок; 2 - кирпичная облицовка; 3 - гибкая связь;
4 - отверстие

;
5 - эпоксидный клей;
6 - резиновая заглушка
Рисунок 20а - Крепление отслоившегося лицевого слоя
к внутреннему слою
13.16 В случае, когда лицевой слой кладки в уровне горизонтального деформационного шва выступает из-под плиты перекрытия на величину более 1 см, рекомендуется защитить его козырьком из металлопластика
(рисунок 20б).
1 - плита перекрытия; 2 - газобетонные блоки; 3 - кирпичная
облицовка; 4 - капельники; 5 - распорный анкер
Рисунок 20б - Устройство защиты горизонтального
деформационного шва
14 Временные усиления поврежденных конструкций
Усиление стен и перегородок подкосами и тяжами
14.1 Временное усиление стен и перегородок при отклонении их от вертикали или выпучивании на 1/3 их толщины и более при высоте стен и перегородок до 6 м выполняется из деревянного бруса или стальных швеллеров, двутавров, раскрепленных уголками (рисунок 21, а, б), устанавливаемых в простенках или на расстоянии 3 - 4 м друг от друга другого по длине стены. Верхние концы подкосов необходимо упирать в металлические штыри, надежно забитые в швы кладки или в специально выбитые в кладке гнезда.
а, б - при высоте стен до 6 м; в, г - при высоте
стен 6 - 12 м; 1 - подкосы; 2 - подкладка; 3 - стойка;
4 - схватки; 5 - лежень; 6 - клинья; 7 - подкладка;
8 - упорный столб; 9 - штырь
Рисунок 21 - Схемы крепления отклонившихся
и выпучившихся стен подкосами
14.2 При высоте стен 6 - 12 м применяются двойные подкосы (
рисунок 21,
в,
г).
14.3 При высоте стен более 12 м необходимо осуществлять по верху стен крепление тяжами (рисунок 22). Тяжи с натяжными муфтами, как правило, устанавливаются в проемах по обе стороны простенков; допускается заменять тяжи канатами или скрутками из 4 - 6 проволок диаметром 6 мм.
а - поперечное сечение; б - горизонтальное сечение;
1 - стойка; 2 - поперечина; 3 - проволочные
скрутки диаметром 5 - 6 см или стальные уголки;
4 - тяж диаметром 16 мм; 5 - натяжные муфты
Рисунок 22 - Крепление отклонившейся
или выпучившейся стены тяжами (расчалками)
14.4 При наклоне двух параллельных стен в противоположные стороны их следует скреплять горизонтальными стяжками из круглой стали (рисунок 23) через 4 - 5 м по высоте. При большой протяженности и высоте стены 12 м следует применять временные расчалки с натяжными муфтами, закрепляемые к нижней части соседних зданий, фундаментам или стойкам, врытым в землю с прочной анкеровкой.
а - крепление с двух сторон; б - крепление с одной
стороны с установкой распорок (пунктир); 1 - поперечина;
2 - стяжки диаметром 16 мм; 3 - расчалки диаметром
16 мм; 4 - стяжные муфты; 5 - анкер; 6 - упор
диаметром 20 - 22 см; 7 - распорки
Рисунок 23 - Крепление стен растяжками
При отсутствии возможности постановки растяжек с двух сторон здания следует осуществлять одностороннее крепление стен растяжками. При этом для придания зданию большей жесткости между продольными стенами устанавливаются диафрагмы в виде подкосно-раскосной системы.
14.5 При наличии в непосредственной близости устойчивых зданий и сооружений наклонившиеся и выпучившиеся стены следует крепить к ним горизонтальными или наклонными распорками (рисунок 24).
1 - стойка; 2 - распорка; 3 - расшивка;
4 - лежень; 5 - поперечина; 6 - расчалка диаметром 16 мм;
7 - крепление стоек стальными скрутками или уголками
Рисунок 24 - Крепление наклонившейся стены к стенам
устойчивых зданий или сооружений с помощью распорок
14.6 При образовании трещин в местах пересечения продольных и поперечных стен, а также при разрывах поперечных связей с колоннами или перекрытиями, крепление наружных стен для обеспечения их прочности и устойчивости должно выполняться с помощью стальных связей, заанкерных в поперечные стены (рисунок 25) или прикрепленных к устойчивым неповрежденным колоннам или перекрытиям.
а - к поперечной стене; б - к колонне;
1 - простенок; 2 - трещина; 3 - поперечина;
4 - проволочная скрутка или уголок; 5 - колонна;
6 - растяжка (расчалка) диаметром 16 мм
Рисунок 25 - Крепление отслоившихся или выпучившихся стен
Крепление стен, перегородок, перемычек и опор временными конструкциями
14.7 Временное крепление каменных стен и перегородок в случаях, когда разрушена нижняя их часть, а верхняя работает как распорная или консольная конструкция, для предупреждения обрушения верхних участков кладки следует предусматривать временные крепления в виде деревянных или металлических стоек на клиньях. Установкой стоек должна быть обеспечена возможность дальнейшего восстановления конструкций (кладка и укладка перемычек, балок, прогонов и т.п.) (рисунок 26).
а - обрушение в средней части здания; б - обрушение
в угловой части здания; 1 - стойка; 2 - клинья; 3 - лежень;
4 - подкладка; 5 - раскосы; 6 - трещины; 7 - маяки
Рисунок 26 - Временные крепления стен
14.8 Временное крепление несущих простенков и перемычек, поврежденных трещинами или огнем, в случаях, когда их несущая способность по расчету недостаточна, осуществляется установкой в соседних проемах поддерживающих стоек
(рисунок 12). Стойки устанавливаются на разгрузочные брусья и расклиниваются. Другой способ временного крепления простенков - временная закладка соседних проемов кирпичом или другими камнями, при этом следует обеспечивать передачу нагрузки от сохранившихся перемычек на новую кладку через плотно забитые полости, металлические или деревянные клинья.
14.9 В случае опирания на поврежденные простенки ферм, балок (прогонов) при временном восстановлении следует предусматривать разгрузку опор и простенков путем подведения под эти конструкции временных деревянных или металлических рам, кирпичных столбов на гипсовых растворах и стоек на клиньях.
При этом должна быть предусмотрена возможность последующего восстановления поврежденной кладки без удаления временного крепления.
Стойки следует устанавливать по возможности ближе к опорам ферм и балок.
При подведении стоек под нижние пояса ферм следует предусматривать дополнительные распределяющие подкладки, исключающие возможность изгиба нижних поясов ферм.
Число временных стоек устанавливается расчетом. В многоэтажных зданиях оси стоек и столбов по этажам должны совпадать.
14.10 Поврежденные железобетонные, стальные и каменные перемычки или их опоры следует укреплять установкой в проемах разгружающих деревянных или металлических стоек, а также частичной или полной закладкой проемов кирпичом.
14.11 Временное крепление подвальных или подпорных стен должно выполняться так же, как и крепление стен.
15 Расчет прочности бандажей и тяжей, обеспечивающих устойчивость стен и фрагментов здания, разрезанных деформационными трещинами
15.1 Усиление пересекающихся стен с трещинами между ними, усиленных горизонтальными поясами (бандажами), тяжами, препятствующими опрокидыванию стен
(рисунок 27) или фрагментов здания, проверяется:
- по прочности горизонтальных бандажей из стальных элементов или полимерных композитных материалов, стальных тяжей, перекрывающих трещину, растяжению;
- прочности анкеровки полос из композитного материала к основанию из кирпичной (каменной, блочной) кладки.
Рисунок 27 - Схема усиления кладки стены
с трещинами от опрокидывания
15.2 Проверку прочности бандажей или тяжей, перекрывающих трещину, растяжению, следует производить по формуле
Nf <= Nc, (66)
где Nf - суммарное растягивающее усилие, действующее по направлению, перпендикулярному к направлению трещины и воспринимаемое бандажами или тяжами, расположенными на двух стенах, определяемое по формуле
Nf = 1/h·[M - (P + N)·t/2], (67)
где h - расстояние от основания стены до бандажа или тяжа;
M - опрокидывающий момент внешних сил;
P - собственный вес стены;
N - вертикальное усилие, приложенное к стене;
t - толщина стены;
Nc - суммарная несущая способность на растяжение двух расположенных на противоположных стенах бандажей или тяжей.
МЕТОДИКА РАСЧЕТА УСИЛЕННЫХ ОБОЙМАМИ СЖАТЫХ КОНСТРУКЦИЙ
С ПРИМЕНЕНИЕМ ДИАГРАММ ДЕФОРМИРОВАНИЯ
Минстроя России от 13.12.2021 N 922/пр)
А.1 Основные положения теории силового сопротивления анизотропных материалов сжатию
А.1.1 Теория силового сопротивления анизотропных материалов при сжатии представляет собой подход к оценке прочности на основе физической модели, учитывающей все возможные схемы и механизмы разрушения, в том числе при местном действии нагрузки, двух- и трехосном сжатии с построением соответствующих критериев прочности
(рисунок А.1).
Расчетная схема физической модели (
рисунок А.1,
г) соответствует механизмам разрушения с реализацией деструктивных процессов - отрыва, сдвига по соответствующим поверхностям и раздавливания в пределах ядра сжатия. Под раздавливанием понимается разрушение материала с достижением предела прочности при сжатии.
а - упругая стадия; б - стадия развития вертикальной
трещины; в - стадия разрушения вдоль граней клина
при местном действии нагрузки; г - стадия разрушения
по вертикальной полосе между клиньями при местном действии
нагрузки; д - расчетная схема для оценки прочности;
е - расчетная схема для оценки прочности при наличии
сетчатого армирования или усиления обоймой;
1 - трещина, 2 - поверхность сдвига, 3 - поверхность отрыва
Рисунок А.1 - Физическая модель разрушения
анизотропных материалов при сжатии
А.1.2 Общее условие прочности теории силового сопротивления анизотропных материалов сжатию описывает процесс макроразрушения в предельном состоянии, как одновременное достижение напряжениями в расчетных зонах сопротивлений растяжению, сдвигу и раздавливанию и определяется по формуле

(А.1)
где Nult - внешнее сжимающее усилие, действующее на конструкцию или элемент;
Nt - величина растягивающего усилия, действующего по площади поверхности/поверхностей отрыва в средней сжато-растянутой области;
Nsh - величина усилия сдвига, действующего по поверхностям клиновидных приопорных зон;
Nef - сжимающее усилие, действующее в пределах ядра сжатия;
Nt = RtAt, Nsh = RshAsh, Nef = RefAef, (А.2)
где Rt, Rsh, Ref - соответственно расчетные сопротивления кладки растяжению, сдвигу и сжатию;

(А.3)

(А.4)

(А.5)

(А.6)
где At, Ash, Aef - площади поверхностей отрыва в средней сжато-растянутой области, сдвига в приопорных зонах и раздавливания в пределах ядра сжатия;
- угол наклона граней клина к поверхности грузовой площадки (
рисунок А.1,
б,
д), определяемый в зависимости от соотношения сопротивлений материала сжатию и растяжению;
hэл, bэл - высота и толщина нагружаемого элемента;
lloc - размер грузовой площадки.
Для сжатых конструкций, усиленных обоймами, характерны два случая разрушения: от разрыва элементов обойм (хомутов, поясов) под влиянием поперечных деформаций или компрессионное разрушение кладки. Компрессионное разрушение реализуется в следующих случаях:
- избыточная площадь сечения и (или) малый шаг хомутов в случае стальной обоймы;
- избыточное поперечное армирование в случае железобетонной обоймы;
- избыточная площадь сечения поясов в случае композитной обоймы.
В составе данного приложения приведены условия для оценки характера возможного разрушения усиленных элементов и соответствующей оптимизации принятых параметров обойм для снижения их материалоемкости.
А.2 Расчет каменных и армокаменных конструкций по прочности, жесткости и трещиностойкости с использованием диаграмм деформирования материалов
А.2.1 Усиление кладки стальной обоймой
А.2.1.1 Расчет усиления сжатой кладки стальной обоймой, стесняющей поперечные деформации сжатой конструкции
(рисунок А.2), выполняется с определением координат параметрических точек диаграмм деформирования
(рисунок А.3).
а - конструктивное решение обоймы; б - расчетная схема
Рисунок А.2 - К оценке напряженного состояния
сжатого элемента, усиленного стальной обоймой
а - продольные деформации укорочения вдоль вектора
сжимающего усилия; б - поперечные деформации растяжения
Рисунок А.3 - Расчетные диаграммы деформирования
А.2.1.2 Координаты параметрических точек диаграмм определяются следующим образом:
- напряжения

, соответствующие началу трещинообразования:

(А.7)
где k1 = At/(A - Aef) - характеристика соотношения площади поверхностей отрыва и разности площадей поперечного сечения элемента и ядра сжатия;
R*t - приведенное сопротивление кладки растяжению:

(А.8)
где

- соотношение площадей сечения растянутой зоны и хомутов обоймы в пределах ее высоты;

- угол наклона поверхностей сдвига в приопорных зонах:

(А.9)
Ru - временное сопротивление кладки сжатию, определяемое по
формуле (3);
At - суммарная площадь поверхностей отрыва, определяемая суммой At,1, At,2

(А.10)

(А.11)
h1, h2 - высоты сжато-растянутых зон с учетом возможного неравенства сторон поперечного сечения конструкции, h1 = 2,5aэл, h2 = 2,5bэл;
A - площадь поперечного сечения элемента;
Aef - площадь ядра сжатия:

(А.13)
- временное сопротивление кладки сжатию при реализации разрушения от разрыва хомутов обоймы

:

(А.14)
где k*1 = As/(Aсеч - A*ef) - характеристика соотношения площади сечения хомутов обоймы в пределах At и разности площадей поперечного сечения элемента и ядра сжатия;
k2 = A*sh/(A - A*ef) - характеристика соотношения площади поверхностей сдвига и разности площадей поперечного сечения элемента и ядра сжатия;
A*sh - площадь поверхности сдвига в приопорной зоне

(А.15)
A*ef - площадь ядра сжатия

(А.16)
R*sh - приведенное сопротивление кладки сдвигу
R*sh =
Rsh + 0,6
Rs,nAs/
Ash, (А.17)

- угол наклона поверхностей сдвига с учетом обжимающих напряжений, создаваемых обоймой:

(А.18)
где

- обойменное напряжение;
Rt,u - временное сопротивление кладки растяжению, определяемое как 2Rt.
Вычисление значений

производится из условия, что в предельном состоянии происходит разрыв хомутов обоймы:

(А.19)
где Rs,n - нормативное сопротивление стали хомутов;
As - площадь сечения хомутов обоймы в пределах растянутой зоны At;
aэл, S - размер сечения сжатого элемента и шаг хомутов по высоте.
Проверка компрессионного разрушения переармированной кладки проводится из условий:

- компрессионное разрушение не произойдет и изменение параметров обоймы не требуется;
- возможно компрессионное разрушение материала кладки и с целью оптимизации параметров обоймы рекомендуется снижение интенсивности армирования за счет уменьшения сечения хомутов либо увеличения их шага по высоте обоймы, где

- временное сопротивление материала кладки в условиях трехосного сжатия:

(А.20)
Величины напряжений

,

- параметрические координаты диаграммы деформирования
(рисунок А.3). Соответствующие им относительные продольные деформации конструкции определяют по формулам:

(А.21)

(А.22)
n1, n2 - поправочные коэффициенты, принимаемые по таблице А.1.
Таблица А.1
Значения поправочных коэффициентов
Кирпич | Поправочный коэффициент |
трещинообразование n1 | разрушение n2 |
Керамический | 0,7 | 0,7 |
Силикатный | 0,7 | 1,0 |
Деформации поперечного расширения элемента в уровне средней сжато-растянутой зоны до образования трещин:

(А.23)
где

- коэффициент Пуассона,

.
При наступлении предельного состояния, описываемого
формулой (А.14), сопровождаемого разрывом хомутов, деформации стали и, соответственно, рассчитываемого элемента в средней зоне, определяют по формуле

(А.24)
Для определения значений модуля деформаций стали используются диаграммы
(рисунок А.4), подобные приведенным в
СП 63.13330.
Рисунок А.4 - Расчетная диаграмма деформирования стали
А.2.2 Усиление кладки железобетонной обоймой
А.2.2.1 Расчет усиления сжатой кладки железобетонной обоймой, стесняющей поперечные деформации сжатой конструкции
(рисунок А.5), выполняется с определением координат параметрических точек диаграмм деформирования
(рисунок А.3).
а - конструктивное решение обоймы; б - расчетная схема
Рисунок А.5 - К расчету сжатого элемента, усиленного
железобетонной обоймой
А.2.2.2 Координаты параметрических точек диаграмм определяются следующим образом:
- напряжения

, соответствующие началу трещинообразования, определяются по
формуле (А.7), где
R*t - приведенное сопротивление кладки растяжению:

(А.25)
где

- соотношение площадей сечения растянутой зоны и хомутов обоймы в пределах ее высоты;
Ab,t - площадь вертикальных сечений железобетонной обоймы в пределах сжато-растянутых зон;
At - суммарная площадь поверхностей отрыва, определяемая по формулам (
А.10,
А.11);
- временное сопротивление кладки сжатию при реализации разрушения от разрыва хомутов обоймы

:

(А.26)
где k*1 = As/(Aсеч - Aef) - характеристика соотношения площади сечения хомутов обоймы в пределах At и разности площадей поперечного сечения элемента и ядра сжатия;
k*2 = A*sh/(A - A*ef) - характеристика соотношения площади поверхностей сдвига и разности площадей поперечного сечения элемента и ядра сжатия;
A*sh - площадь поверхности сдвига в приопорной зоне, определяемая по
формуле (А.15);
R*sh - приведенное сопротивление кладки сдвигу, определяемое по
формуле (А.17);

- угол наклона поверхностей сдвига с учетом обжимающих напряжений, создаваемых обоймой, определяется по
формуле (А.18).
Вычисление значений

производится из условия, что в предельном состоянии происходит разрыв хомутов обоймы:

(А.27)
где Rs,n - нормативное сопротивление стали хомутов;
As - площадь сечения хомутов обоймы в пределах растянутой зоны At;
aэл, S - размер сечения сжатого элемента и шаг хомутов обоймы по высоте.
Проверка условия возможности реализации компрессионного разрушения кладки, усиленной обоймой с избыточным поперечным армированием, проводится аналогично с приведенным в
А.2.1.2.
С целью исключения возможности компрессионного разрушения материала кладки и оптимизации параметров обоймы рекомендуется снижение интенсивности поперечного армирования.
А.2.3 Усиление кладки композитной обоймой
А.2.3.1 Расчет усиления сжатой кладки композитной обоймой, стесняющей поперечные деформации сжатой конструкции
(рисунок А.6), выполняется с определением координат параметрических точек диаграмм деформирования
(рисунок А.7).
а - конструктивное решение обоймы; б - расчетная схема
Рисунок А.6 - К расчету сжатого элемента, усиленного
композитной обоймой
а - продольные деформации укорочения вдоль вектора
сжимающего усилия; б - поперечные деформации растяжения
Рисунок А.7 - Расчетные диаграммы деформирования
А.2.3.2 Координаты параметрических точек диаграмм определяются следующим образом:
- напряжения

, соответствующие началу трещинообразования, определяются по
формуле (А.7), где
R*t - приведенное сопротивление кладки растяжению:

(А.28)
| | ИС МЕГАНОРМ: примечание. Текст дан в соответствии с официальным текстом документа. | |
где

- соотношение площадей сечения растянутой зоны и поясов обоймы в пределах ее высоты;
Af,об - площадь сечений поясов композитной обоймы в пределах сжато-растянутых зон;

- угол наклона поверхностей сдвига в приопорных зонах, определяемый по
формуле (А.9);
At - суммарная площадь поверхностей отрыва, определяемая по формулам (
А.10,
А.11);
A - площадь поперечного сечения элемента, определяемая по
формуле (А.12);
- временное сопротивление кладки сжатию при реализации разрушения от разрыва поясов обоймы
.

(А.29)
где k*1 = Af/(Aсеч - A*ef) - характеристика соотношения площади сечения хомутов обоймы в пределах At и разности площадей поперечного сечения элемента и ядра сжатия;
k2 = A*sh/(A - A*ef) - характеристика соотношения площади поверхностей сдвига и разности площадей поперечного сечения элемента и ядра сжатия;
A*sh - площадь поверхности сдвига в приопорной зоне, определяемая по
формуле (А.15);

- угол наклона поверхностей сдвига с учетом обжимающих напряжений, создаваемых обоймой, определяется по
формуле (А.18).
Вычисление значений

производится из условия, что в предельном состоянии происходит разрыв поясов обоймы:

(А.30)
где
Rf,n - нормативное сопротивление композита растяжению, принимаемое по
СП 164.1325800;
Af,об - площадь сечения поясов обоймы в пределах растянутой зоны At;
aэл, S - размер сечения сжатого элемента и шаг поясов обоймы по высоте.
Проверка условия возможности реализации компрессионного разрушения кладки, усиленной обоймой с избыточной площадью сечения поясов, проводится аналогично с приведенным в
А.2.1.2.
С целью исключения возможности компрессионного разрушения материала кладки и оптимизации параметров обоймы рекомендуется снижение площади сечения поясов либо увеличение их шага по высоте.
При наступлении предельного состояния, описываемого
формулой (А.29), сопровождаемого разрывом поясов, деформации композита и, соответственно, рассчитываемого элемента в средней зоне, определяют по формуле

(А.31)
Значения модуля деформаций композита приведены в таблице А.2.
Таблица А.2
Значения модуля деформаций
Материал | Модуль деформаций, МПа |
Углепластик | 100000 |
Арамидопластик | 63500 |
Стеклопластик | 48500 |
Базальтопластик | 44000 |
[1] Федеральный
закон от 30 декабря 2009 г. N 384-ФЗ "Технический регламент о безопасности зданий и сооружений"
[2]
СП 13-102-2003 Правила обследования несущих строительных конструкций зданий и сооружений
[3]
Пособие по проектированию каменных и армокаменных конструкций (к СНиП II-22-81)