Главная // Актуальные документы // ПособиеСПРАВКА
Источник публикации
М.: Стройиздат, 1969
Примечание к документу
Название документа
"Пособие по проектированию оснований и фундаментов зданий и сооружений на вечномерзлых грунтах"
"Пособие по проектированию оснований и фундаментов зданий и сооружений на вечномерзлых грунтах"
ПО ПРОЕКТИРОВАНИЮ ОСНОВАНИЙ И ФУНДАМЕНТОВ ЗДАНИЙ
И СООРУЖЕНИЙ НА ВЕЧНОМЕРЗЛЫХ ГРУНТАХ
| | ИС МЕГАНОРМ: примечание. СНиП II-Б.6-66 утратил силу с 01.01.1978 в связи с введением в действие СНиП II-18-76. Взамен СНиП II-18-76 Постановлением Госстроя СССР от 21.12.1988 N 252 с 01.01.1990 введен в действие СНиП 2.02.04-88. | |
В пособии рассматривается применение положений главы СНиП II-Б.6-66 "Основания и фундаменты зданий и сооружений на вечномерзлых грунтах. Нормы проектирования" в практике проектирования. Подробно излагаются методы расчета оснований и фундаментов (включая свайные) на вечномерзлых грунтах по предельным состояниям - по несущей способности и деформациям, а также теплотехнических расчетов грунтов оснований.
Пособие предназначено для широкого круга специалистов, занимающихся строительством, проектированием и научными исследованиями в области фундаментостроения на вечномерзлых грунтах.
Настоящее пособие составлено ордена Трудового Красного Знамени Научно-исследовательским институтом оснований и подземных сооружений Госстроя СССР при участии Ленморниипроекта Министерства морского флота СССР и Фундаментпроекта Министерства монтажных и специальных строительных работ СССР в развитие главы СНиП II-Б.6-66 "Основания и фундаменты зданий и сооружений на вечномерзлых грунтах. Нормы проектирования". Для удобства пользования в пособии приведены тексты пунктов главы СНиП II-Б.6-66 (отмеченные на полях слева вертикальной чертой), и по каждому пункту дано пояснение. В пояснениях приводится обоснование указаний главы, даются рекомендации о порядке пользования этими указаниями, приводятся в необходимых случаях вспомогательные графики, таблицы и методики расчета, сопровождаемые примерами. Нумерация формул, таблиц и рисунков принята в пособии двойной - в скобках даны номера, соответствующие главе СНиП.
Пособие разработано д-ром техн. наук С.С. Вяловым, кандидатами техн. наук Г.В. Порхаевым, В.Ф. Жуковым (НИИ оснований и подземных сооружений) и В.В. Докучаевым (Ленморниипроект). В разработке отдельных разделов участвовали: докт. техн. наук М.В. Малышев, инж. А.М. Фиш и канд. геол.-минерал. наук Д.И. Федорович (НИИ оснований и подземных сооружений), инженеры Н.Ф. Белоусова и А.А. Колесов (Фундаментпроект), канд. техн. наук Ю.Я. Велли, инженеры Д.Р. Шейнкман, Г.С. Факторович и канд. техн. наук П.А. Гришин (Ленморниипроект).
Руководство разработкой пособия и общая редакция осуществлялись д-ром техн. наук проф. С.С. Вяловым и канд. техн. наук Г.В. Порхаевым.
Отзывы и предложения просьба направлять по адресу: Москва Ж-389, 2-я Институтская ул., 6, НИИ оснований и подземных сооружений Госстроя СССР.
1.1. Настоящие Нормы распространяются на проектирование оснований и фундаментов зданий и сооружений, возводимых в районах распространения вечномерзлых грунтов [рис. 1 (1)]. Примечания: 1. Настоящие Нормы не распространяются на проектирование оснований гидротехнических сооружений, железных и автомобильных дорог, мостов, труб и аэродромных покрытий. 2. Проектирование оснований и фундаментов зданий и сооружений, возводимых в сейсмических районах и на подрабатываемых территориях, должно осуществляться с учетом дополнительных требований главы СНиП II-А.12-62 "Строительство в сейсмических районах. Нормы проектирования" и "Указаний по проектированию зданий и сооружений на подрабатываемых территориях" (СН 289-64). |
Рис. 1 (1). Схематическая карта распространения
вечномерзлых грунтов
К п. 1.1. На схематической карте распространения вечномерзлых грунтов показана южная граница области с вечномерзлыми грунтами и выделены районы с различной температурой и толщиной вечномерзлых грунтов. Практически южная граница представляет полосу шириной в десятки километров, в пределах которой встречаются лишь отдельные участки с вечномерзлыми грунтами, имеющими температуру, близкую к 0°. Здесь даже кратковременные (в течение нескольких лет) колебания климата приводят к оттаиванию вечномерзлых грунтов или их возникновению.
К северу от южной границы области температура вечномерзлых грунтов понижается до -12 °C, а их толщина увеличивается до 500 м и более. Но даже в северных районах (например, на широте Норильска и севернее) встречаются участки с грунтами, находящимися в талом состоянии.
На карте проведены изолинии температуры грунта на глубине 10 м. На этой глубине температура в природных условиях мало изменяется в течение года, что позволяет принимать ее для практических целей за среднегодовую.
| | ИС МЕГАНОРМ: примечание. Взамен СН 353-66 в части раздела 5 с 01.10.1972 введены в действие СНиП II-М.2-72, утв. Госстроем СССР 03.04.1972. | |
1.2. Основания и фундаменты зданий и сооружений, возводимых в районах распространения вечномерзлых грунтов, надлежит проектировать в соответствии с требованиями глав СНиП II-А.10-62 "Строительные конструкции и основания зданий и сооружений. Основные положения проектирования", II-Б.1-62* "Основания зданий и сооружений. Нормы проектирования", II-Б.5-67 "Свайные фундаменты. Нормы проектирования", "Указаний по проектированию населенных мест, предприятий, зданий и сооружений в северной строительно-климатической зоне" (СН 353-66), а также настоящей главы СНиП. Проектирование оснований и фундаментов следует вести на основе данных инженерно-геологических, гидрогеологических и мерзлотно-грунтовых изысканий и исследований, выполняемых в соответствии с требованиями действующих нормативных документов. Возможность использования для строительства зданий и сооружений площадок, подверженных оползням, карсту, термокарсту <1>, наледям и солифлюкции <2>, должна решаться на основе результатов специально проводимых исследований. |
--------------------------------
<1> Термокарст - образование провальных форм рельефа вследствие оттаивания льдистых вечномерзлых грунтов или подземного льда.
<2> Солифлюкция - течение грунта по склону, вызванное процессом сезонного промерзания-оттаивания.
К п. 1.2. Материалы изысканий помимо сведений по площадке строительства должны характеризовать природные условия по району строительства в целом. Кроме того, в них должен быть отражен опыт местного строительства и эксплуатации, если в районе имеются аналогичные проектируемым здания или сооружения.
Указаниями этого пункта не исключается застройка площадок, на которых встречаются перечисленные мерзлотные процессы. Так, например, возможность образования термокарста имеется на всякой площадке, сложенной грунтами с высокой льдистостью. Из указаний главы СНиП следует, что при застройке таких площадок необходимо производить специальные исследования, которые позволили бы обосновать проектные решения, исключающие опасные проявления мерзлотных процессов, в частности термокарста.
1.3. Основания и фундаменты должны проектироваться с учетом теплового и механического взаимодействия зданий и сооружений с грунтами оснований исходя из конструктивных особенностей и размеров, назначения, режима эксплуатации зданий и сооружений и материалов изысканий и исследований. При проектировании необходимо учитывать возможные изменения мерзлотно-грунтовых условий и температурного режима вечномерзлых грунтов, которые произойдут в результате: освоения территории застройки, эксплуатации возведенных на ней и на соседних участках зданий и сооружений, подземных и надземных коммуникаций и устройств, уничтожения растительного слоя и снегового покрова, устройства канав, водоемов и т.п. |
К п. 1.3. Тепловое и механическое взаимодействие зданий и сооружений зависит от комплекса факторов, определяемых конструктивными и технологическими особенностями зданий или сооружений и природным режимом грунтов (см.
п. 5.23). Кроме того, на температурный режим грунтов под отдельными зданиями и на мерзлотно-грунтовые условия осваиваемых участков в целом влияют:
снег, который по-разному накапливается вокруг зданий в зависимости от направления ветра;
грунтовые и поверхностные воды, режим которых изменяется на осваиваемой территории в связи с мелиоративными и строительными работами;
дорожные покрытия, растительность;
плотность застройки, ориентация зданий по странам света;
санитарно-технические коммуникации, их размещение и способы укладки (подземная, наземная, в изоляции и без изоляции и т.п.).
Изменения мерзлотно-грунтовых условий на осваиваемых участках подразделяются на общие и локальные.
Общие изменения мерзлотно-грунтовых условий заключаются в основном в повышении или понижении среднегодовой температуры грунта, изменении глубины сезонного оттаивания-промерзания, образовании перелетков (см.
п. 2.1) и т.д. Эти изменения вызываются увеличением толщины снежных отложений на территории застройки или очисткой этой территории от снега, озеленением, осушением и другими мероприятиями.
Материалы инженерно-геологических изысканий помимо характеристики мерзлотно-грунтовых условий обследуемой строительной площадки по состоянию на период проведения изысканий должны также содержать прогноз возможных общих изменений мерзлотно-грунтовых условий при освоении площадок и застройке территории.
Локальные изменения мерзлотно-грунтовых условий вызываются местными источниками тепла или охлаждения (отапливаемыми и неотапливаемыми зданиями, трубопроводами и т.п.). Локальные изменения распространяются в пределах небольших участков (под зданиями, вокруг трубопроводов). Прогноз локальных изменений мерзлотно-грунтовых условий производится при проектировании оснований и фундаментов зданий и сооружений.
1.4. Мерзлотно-грунтовые и гидрогеологические условия строительной площадки характеризуются: а) распространением и залеганием вечномерзлых грунтов; б) составом, сложением и строением грунтов; в) температурным режимом грунтов; г) толщиной сезоннооттаивающих и сезоннопромерзающих слоев; д) физико-механическими свойствами грунтов; е) мерзлотными процессами (пучение, наледи, термокарст, солифлюкция, трещинообразование); ж) наличием и видом грунтовых вод; з) климатическими условиями района строительства. |
К п. 1.4. В различных условиях вечномерзлые грунты распространяются непрерывно по всей площадке или в виде отдельных массивов "островов" и могут залегать близко от дневной поверхности непосредственно под слоем сезонного промерзания-оттаивания, или на некоторой, неодинаковой глубине ниже этого слоя.
Состав грунта характеризуется относительным содержанием различного размера минеральных частиц и служит для определения его по номенклатуре в соответствии с главой СНиП II-Б.1-62*.
Сложение грунтов определяется взаимным размещением частиц грунта, а строение - слоистостью. Вечномерзлые грунты, кроме того, характеризуются наличием ледяных включений и прослоек, создающих их специфическое строение - криогенную текстуру (см.
п. 2.7).
Основными характеристиками температурного режима вечномерзлых грунтов являются: температура грунта на глубине 10 м и толщина слоя сезонного промерзания-оттаивания.
Толщина слоя сезонного промерзания-оттаивания грунта различна в разных районах области распространения вечномерзлых грунтов. В заполярных районах этой области сезонное оттаивание грунта летом составляет в среднем 0,5 - 1,5 м, а в тундровой зоне при наличии мохоторфяного покрова может быть даже менее 0,2 - 0,3 м. Зимнее промерзание оттаявшего грунта завершается к декабрю - январю, после чего происходит охлаждение толщи вечномерзлого грунта.
В центральных районах области распространения вечномерзлых грунтов слой сезонного оттаивания составляет в среднем 1,5 - 2,5 м, а его промерзание заканчивается в январе - марте. В южных районах области глубина сезонного промерзания-оттаивания составляет в среднем 2 - 3 м, а в бесснежных районах (Забайкалье, район Братска и др.) может достигать 4 - 5 м и более.
Мерзлотные процессы обусловлены промерзанием и оттаиванием влажных грунтов.
Пучение грунтов (увеличение объема при промерзании) особенно интенсивно протекает при подтоке грунтовых вод к фронту промерзания. Оно вызывает поднятие поверхности грунта в среднем на 10 - 15 см, причем это поднятие происходит неравномерно, в отдельных случаях образуются бугры пучения, высота которых может достигать нескольких метров. Встречаются многолетние бугры пучения высотой до 10 - 20 м и более.
Наледи возникают под напором надмерзлотных вод (см.
п. 2.10) вследствие уменьшения живого сечения потока грунтовых вод при сезонном промерзании (грунтовые наледи) или сужения живого сечения реки при ее промерзании (речные наледи); причиной возникновения наледей могут быть источники подземных вод. Постепенно изливающаяся в результате растрескивания грунта или льда наледная вода замерзая образует на поверхности наледи.
Термокарст развивается на участках с большим содержанием льда в вечномерзлых грунтах при увеличении глубины сезонного оттаивания грунтов по сравнению со средней многолетней, когда оттаивание распространяется на вечномерзлые грунты. Увеличение глубины сезонного оттаивания может произойти, например, при удалении растительного покрова. При термокарсте образуются впадины различной формы, большей частью заполненные водой. Термокарстовые впадины в засушливых районах (например, в Центральной Якутии), как правило, сухие.
Солифлюкция наблюдается в тех случаях, когда грунты переувлажнены и содержат много пылеватых частиц.
Трещинообразование в грунтах в виде вертикальных трещин шириной от 2 - 3 до 10 - 20 см и более и глубиной до 3 - 4 м и более происходит при сезонном промерзании грунта в результате резких колебаний температуры в его верхнем слое. Основную опасность эти трещины представляют для подземных коммуникаций, повреждение ими фундаментов зданий и сооружений происходит крайне редко.
1.5. В районах распространения вечномерзлых грунтов необходимо проводить наблюдения за состоянием возводимых зданий и сооружений, изменениями температурного режима грунта основания и за режимом грунтовых вод в период возведения и во время эксплуатации зданий и сооружений. Программа указанных наблюдений устанавливается проектной организацией в зависимости от назначения зданий или сооружений, их класса, конструктивных особенностей, а также от мерзлотно-грунтовых условий и принятого принципа использования грунтов в качестве оснований (см. п. 3.2). При крупном строительстве с генеральной сметой свыше 10 млн. руб. с самого начала изысканий организуется мерзлотная станция для выполнения вышеуказанных требований. Мерзлотная станция организуется заказчиками объектов строительства. |
К п. 1.5. Возведение капитальных зданий и сооружений в области распространения вечномерзлых грунтов стало осуществляться в большом масштабе в последние 30 - 35 лет. В таких условиях необходимо по ходу производства работ проверять правильность и целесообразность осуществления запроектированных мероприятий во время строительства и эксплуатации зданий и сооружений.
Во время изысканий на крупных строительствах следует организовывать стационарные наблюдения за температурным режимом грунтов (на естественных площадках, на площадках с измененными условиями, например без растительного покрова, с искусственными покрытиями и т.п.), режимом грунтовых вод, мерзлотными процессами и т.д.
В период строительства и эксплуатации производятся наблюдения за температурами и водным режимом грунтов, а также за осадками фундаментов зданий и сооружений, если предусматривается оттаивание вечномерзлых грунтов в основании или основание сложено пластичномерзлыми грунтами (см.
п. 2.3).
Объем и состав стационарных наблюдений устанавливается проектной организацией.
Наблюдения следует проводить под руководством и при участии специализированной научно-исследовательской организации, с которой также уточняется объем и состав наблюдений.
2. НОМЕНКЛАТУРА ГРУНТОВ ОСНОВАНИЯ
2.1. Грунты всех видов называются мерзлыми, если они имеют отрицательную или нулевую температуру и содержат в своем составе лед; эти грунты называются вечномерзлыми, если они находятся в мерзлом состоянии в продолжении многих (от 3 и более) лет. Поверхностный слой грунта в районах распространения вечномерзлых грунтов, подвергаемый сезонному оттаиванию и промерзанию, называется: сезоннопромерзающим - оттаивающий летом и промерзающий зимой, но без слияния с толщей вечномерзлого грунта; сезоннооттаивающим - оттаивающий летом и промерзающий зимой до полного слияния с толщей вечномерзлого грунта. Примечание. Слои грунтов, замерзшие зимой и не оттаивающие в течение 1 - 2 лет, называются перелетками. 2.2. Наименование видов мерзлых грунтов принимают по номенклатуре грунтов главы СНиП II-Б.1-62* "Основания зданий и сооружений. Нормы проектирования" (пп. 2.1 - 2.4, 2.6 - 2.8 и 2.10) в соответствии с характеристиками этих грунтов, которые они приобретают после оттаивания. В отличие от номенклатуры грунтов по главе СНиП II-Б.1-62* для мерзлых глинистых грунтов, содержащих частиц размером от 0,05 до 0,005 мм больше 50%, к обычному наименованию добавляется наименование "пылеватые". |
К пп. 2.1, 2.2. В области распространения вечномерзлых грунтов основания зданий и сооружений могут находиться в мерзлом, оттаивающем, оттаявшем, талом или замерзающем состоянии. Таким образом, грунты оснований в этой области более разнообразны по своим качествам, чем вне этой области, даже при одних и тех же их составе и влажности.
Наличие пылеватых частиц в вечномерзлых грунтах представляет специфическую особенность их формирования, связанную с природными условиями, при которых происходят процессы физико-химического выветривания. Пылеватые грунты широко распространены в районах с вечномерзлыми грунтами. В оттаявшем состоянии эти грунты обладают тиксотропными свойствами, малым коэффициентом фильтрации, часто находятся в текучем состоянии, а при замерзании являются наиболее пучинистыми.
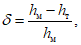
2.3. Мерзлые грунты по их состоянию подразделяются на: твердомерзлые - прочно сцементированные льдом, характеризуемые относительно хрупким разрушением и практически несжимаемостью под нагрузками от сооружения; к твердомерзлым относятся песчаные и глинистые грунты, если их температура в °C ниже: для песков пылеватых ............................. -0,3 " супесей ...................................... -0,6 " суглинков .................................... -1 " глины ........................................ -1,5 пластичномерзлые - сцементированные льдом, но обладающие вязкими свойствами (вследствие содержания в них значительного количества незамерзшей воды), характеризуемые способностью сжиматься под нагрузками от сооружения; к пластичномерзлым относятся песчаные и глинистые грунты со степенью заполнения пор льдом и незамерзшей водой G <= 0,8, если их температура находится в пределах от 0 °C до значений, указанных для твердомерзлых грунтов; величина G определяется по формуле [5 (5)]. При G > 0,8, а также при засоленности (см. п. 2.11) грунтов более 0,25% определение состояния грунтов производится на основе специальных исследований; сыпучемерзлые - несцементированные льдом вследствие малой влажности песчаные и крупнообломочные грунты. |
К п. 2.3. Подразделение мерзлых грунтов на твердомерзлые, пластичномерзлые и сыпучемерзлые произведено на основании различной их сжимаемости под нагрузкой. Твердомерзлые грунты характеризуются величинами коэффициента сжимаемости 10
-3 - 10
-4 см2/
кГ, пластичномерзлые - 10
-2 - 10
-3 см2/
кГ, а сыпучемерзлые обладают такими же свойствами сжимаемости, как и немерзлые грунты таких же составов, влажности и объемного веса.
При изменении температуры мерзлого грунта изменяется количество незамерзшей в нем воды, и грунт может перейти из твердомерзлого состояния в пластичномерзлое (при повышении температуры), и наоборот.
2.4. Сыпучемерзлые грунты и монолитные скальные грунты, как правило, не меняют своих механических свойств и не дают осадок при изменении отрицательной температуры на положительную. При использовании таких грунтов в качестве оснований следует руководствоваться требованиями главы СНиП II-Б.1-62* "Основания зданий и сооружений. Нормы проектирования". Трещиноватые скальные и крупнообломочные грунты, трещины и пустоты которых заполнены льдом, могут менять свои механические свойства и давать осадку при оттаивании, что должно учитываться при проектировании в соответствии с требованиями настоящей главы СНиП. |
К п. 2.4. В практике строительства на вечномерзлых грунтах известны случаи больших деформаций сооружений, возведенных на крупнообломочных или трещиноватых скальных грунтах. В результате тщательных обследований оснований деформированных сооружений было установлено наличие льда в трещинах и пустотах, что не удалось выявить при изысканиях. Бурение скважин в таких грунтах сопровождается сильным разогревом бурового инструмента, и лед вытаивает до извлечения керна из скважины.
2.5. Дополнительными характеристиками мерзлых грунтов по сравнению с обычными немерзлыми грунтами являются: а) суммарная влажность, включающая все виды воды в мерзлом грунте, и суммарная льдистость (см. п. 2.6); б) криогенная текстура (см. п. 2.7); в) степень заполнения объема пор мерзлого грунта льдом и незамерзшей водой (см. п. 2.8); г) объемный вес скелета мерзлого грунта; д) относительное сжатие мерзлого грунта при переходе его в оттаявшее состояние (см. п. 2.9); е) характеристики грунтов для расчета мерзлых и оттаивающих оснований по прочности и устойчивости (см. пп. 5.5 - 5.13); ж) характеристики грунтов для расчета оснований и фундаментов по устойчивости и прочности на действие сил пучения (см. пп. 5.14 - 5.21); з) характеристики грунтов для расчета мерзлых и оттаивающих оснований по деформациям (см. пп. 5.22 - 5.39); и) теплофизические характеристики грунтов: коэффициенты теплопроводности и объемной теплоемкости в мерзлом и талом состояниях (см. п. 2 приложения); |
К п. 2.5. Пояснения по каждой характеристике в отдельности даны в пунктах, указанных в скобках.
2.6. Суммарная влажность Wс, определяемая отношением веса всех видов воды, содержащейся в мерзлом грунте, к весу скелета грунта, равна Wс = Wц + Wв + Wн = Wв + Wг, [1 (1)] где Wц - влажность за счет порового льда, т.е. льда, находящегося в порах грунта и цементирующего его минеральные частицы; Wв - влажность за счет ледяных включений, т.е. линз и прослоек льда; Wн - влажность за счет незамерзшей воды, содержащейся в мерзлом грунте при данной температуре; Wг = Wц + Wн - влажность мерзлого грунта, расположенного между ледяными включениями; Wс, Wц, Wв, Wн, Wг выражаются в долях единицы, причем Wс, Wн и Wг определяются опытным путем, а Wц и Wв вычисляются из формулы [1 (1)]. Значение Wн можно определять по формуле где Wр - влажность грунта на границе раскатывания в долях единицы; kн - коэффициент, принимаемый по табл. 1 (1), в зависимости от вида грунта, числа пластичности Wп и температуры мерзлого грунта. Таблица 1 (1) |
| Наименование грунта | Число пластичности | Значения kн при температуре грунтов в °C |
-0,3 | -0,5 | -1 | -2 | -4 | -10 |
1. Пески | Wп < 1 | 0 | 0 | 0 | 0 | 0 | 0 |
2. Супеси | 1 <= Wп <= 2 | 0 | 0 | 0 | 0 | 0 | 0 |
3. Супеси | 2 < Wп <= 7 | 0,6 | 0,5 | 0,4 | 0,35 | 0,3 | 0,25 |
4. Суглинки | 7 < Wп <= 13 | 0,7 | 0,65 | 0,6 | 0,5 | 0,45 | 0,4 |
5. Суглинки | 13 < Wп <= 17 | | 0,75 | 0,65 | 0,55 | 0,5 | 0,45 |
6. Глины | Wп > 17 | | 0,95 | 0,9 | 0,65 | 0,6 | 0,55 |
<*> Вся вода в порах грунта находится в немерзлом состоянии. |
Суммарная льдистость Лс в долях единицы, определяемая отношением объема льда, содержащегося в мерзлом грунте, к объему мерзлого грунта Лс = Лц + Лв, [3 (3)] где Лц - льдистость за счет порового льда в долях единицы; Лв - льдистость за счет ледяных включений в долях единицы, определяемая по формуле  [4 (4)]  - удельный вес минеральных частиц грунта в кг/ см3;  - удельный вес льда, принимаемый равным 0,0009 кг/ см3; Примечание. Значение Лв допускается определять по результатам непосредственных измерений ледяных включений в процессе исследования грунтов основания строительной площадки. 2.7. Криогенной текстурой называется сложение мерзлого грунта, обусловленное замерзанием содержащейся в нем воды и характеризуемое формой, величиной и расположением ледяных включений. Различается массивная, слоистая и сетчатая текстуры мерзлого грунта. Массивная текстура характеризуется наличием в основном порового льда (Лв <= 0,03). Слоистая и сетчатая текстуры характеризуются наличием линз и прослоек льда (Лв > 0,03); в грунтах сетчатой текстуры эти включения расположены в виде сетки, а в грунтах слоистой текстуры ледяные включения расположены в виде прослоек и линз, чередующихся с минеральными слоями; минеральные слои характеризуются массивной текстурой. |
К пп. 2.6 и 2.7. При промерзании грунта происходит перераспределение поровой влаги. Интенсивность этого процесса зависит от вида грунта и первоначальной его общей влажности, от расположения уровня грунтовых вод и скорости промерзания грунта. В результате при промерзании грунта часть влаги скапливается в отдельных местах в виде крупных кристаллов, линз и прослоек льда.
Другая часть влаги грунта замерзает на месте в порах между минеральными частицами грунта и скрепляет ("цементирует") частицы между собой в монолитную массу. Образовавшийся лед называют льдом-цементом. Третья часть влаги, примыкающая к поверхности минеральных частиц и находящаяся в наиболее мелких порах, остается незамерзшей в мерзлом грунте. Количество незамерзшей влаги в мерзлом грунте зависит от его температуры, состава и засоленности. При понижении температуры некоторое количество этой влаги в глинистых грунтах переходит в лед-цемент; при повышении температуры происходит обратный процесс.
Каждый вид влажности и льдистости характеризует свойства грунтов в мерзлом состоянии и после их оттаивания.
Ледяные включения, количественно определяемые влажностью Wв и льдистостью Лв, дают представление об осадке грунта после оттаивания под действием собственного веса (без внешней нагрузки). Льдистость грунта Лв характеризует количество льда в мерзлом грунте за счет ледяных включений. Так, например, если Лв = 0,2, то это означает, что в слое мерзлого грунта толщиной 100 см находятся прослойки льда общей (суммарной) толщиной 20 см. При оттаивании максимально возможная осадка мерзлого грунта под действием собственного веса равна сумме толщин ледяных включений.
Мерзлые грунты с ледяными включениями при оттаивании имеют коэффициент фильтрации больше на два-три порядка коэффициента фильтрации обычных талых грунтов таких же составов и плотности, так как в процессе оттаивания влага перемещается по полостям, которые ранее были заполнены ледяными включениями.
Вид ледяных включений и их расположение в грунте определяют криогенную текстуру мерзлых грунтов. В главе СНиП различается три вида криогенной текстуры: массивная с равномерным распределением ледяных кристаллов в грунте, слоистая и сетчатая. Слоистая и сетчатая криогенные текстуры мерзлого грунта представлены на
рис. 2. От текстуры мерзлого грунта зависит его осадка при оттаивании. Наибольшую осадку дают грунты сетчатой и слоистой текстуры.
Рис. 2. Криогенная текстура мерзлых грунтов
а - слоистая; б - сетчатка; 1 - минеральная часть грунта;
2 - лед
Лед-цемент и незамерзшая влага
Wц и
Wн характеризуют осадку грунта после его оттаивания под воздействием внешней нагрузки. Эта осадка в большинстве случаев значительно меньше, чем осадка грунта под действием собственного веса при вытаивании ледяных включений. Количество незамерзшей влаги
Wн, кроме того, определяет состояние мерзлого грунта (твердомерзлое или пластичномерзлое), а также учитывается в теплотехнических расчетах (см.
приложение).
В тех случаях, когда влажность мерзлого грунта Wг = Wн + Wц нельзя определить опытным путем, ее можно принять равной Wг ~= Wр, где Wр - влажность грунта на границе раскатывания.
Льдистость Лц характеризует прочность смерзания минеральных частиц грунта. Для песчаных грунтов значение Лц не может быть больше их пористости. Если Лц песчаного грунта меньше его пористости, то такой грунт или слабо сцементирован льдом, или представляет собой сыпучую массу (находится в сыпучемерзлом состоянии).
2.8. Степень заполнения объема пор мерзлого грунта льдом и незамерзшей водой G определяется по формуле  [5 (5)]  - коэффициент пористости минеральных слоев мерзлого грунта в естественном состоянии;  - удельный вес воды, принимаемый равным 0,001 кг/ см2. |
К п. 2.8. Степень заполнения объема пор мерзлых грунтов учитывается при определении пластичномерзлого состояния грунтов (см.
п. 2.3) и для оценки прочности сцепления частиц грунта льдом. При очень малой величине
G грунт может легко разрушаться под ударной нагрузкой и быть в сыпучемерзлом состоянии. Большие значения этого коэффициента, т.е.
G >= 0,9, характеризуют распученность мерзлого грунта и, следовательно, повышенную уплотняемость его после оттаивания.
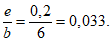
2.9. Величина относительного сжатия  мерзлого грунта при переходе его в оттаявшее состояние представляет отношение изменения толщины слоя грунта при оттаивании под нагрузкой к его первоначальной толщине и выражается формулой  [6 (6)] где hм - толщина слоя мерзлого грунта в см; hт - толщина слоя того же грунта после перехода в оттаявшее состояние в условиях невозможности бокового расширения при заданном давлении p в кГ/см2. Величина относительного сжатия оттаивающего грунта в основании определяется соответственно пп. 5.36 и 5.39 настоящих Норм. |
К п. 2.9. Величина относительного сжатия мерзлого грунта при переходе его в оттаявшее состояние изменяется в очень широких пределах в зависимости от наличия льда в мерзлом грунте. В
табл. 2 приведены средние пределы значений относительного сжатия при оттаивании под нагрузкой
p = 1
кГ/
см2 мерзлых грунтов разного вида и различной криогенной текстуры.
Таблица 2
Средние пределы относительного сжатия оттаивающих грунтов
при p = 1 кГ/см2
Вид грунта | Криогенная текстура |
массивная | слоистая | сетчатая |
Крупнообломочные | 0,003 - 0,03 | - | - |
Пески | 0,005 - 0,04 | - | - |
Супеси | 0,01 - 0,05 | 0,03 - 0,1 | - |
Суглинки | - | 0,04 - 0,15 | 0,06 - 0,2 |
Глины | - | 0,06 - 0,2 | 0,08 - 0,25 |
Встречаются и более значительные величины относительного сжатия мерзлого грунта после оттаивания, чем приведенные в
табл. 2.
Предварительная оценка величины относительного сжатия мерзлых грунтов слоистой и сетчатой текстуры после их оттаивания с целью сопоставления сжимаемости грунтов при выборе строительной площадки может быть произведена по формуле

(7)
где

- объемный вес скелета грунта между ледяными включениями (для песков - объемный вес скелета уплотненного грунта) в
кг/
см3;
Wг - влажность мерзлого грунта между ледяными включениями в долях единицы;

- удельный вес воды, равный 0,001
кг/
см3;
Wс - суммарная влажность грунта в долях единицы.
По
формуле [7] определяется возможное наибольшее относительное сжатие мерзлого грунта при оттаивании под нагрузкой, так как она выведена из условия, что после сжатия плотность грунта будет равна плотности грунтовых агрегатов. Действительная величина осадки будет меньше (см.
п. 5.35).
2.10. Грунтовые воды в районах распространения вечномерзлых грунтов подразделяются на надмерзлотные, находящиеся между сезоннопромерзающим слоем и верхней поверхностью вечномерзлых грунтов или в слое сезоннооттаивающего грунта; на межмерзлотные, движущиеся по таликам в толще вечномерзлых грунтов; на подмерзлотные, находящиеся ниже толщи вечномерзлых грунтов. |
К п. 2.10. Надмерзлотные грунтовые воды, как правило, связаны с ближайшими водосборами (заболоченными котловинами, прудами, озерами, реками). Их движение в горизонтальном направлении происходит в основном по слоям песчаных грунтов. Уровень надмерзлотных вод не постоянен, так как зависит от источника питания, которым обычно являются атмосферные осадки, а также от возможности стока грунтовых вод. В зимнее время или сухой период уровень надмерзлотных вод понижается.
Химический состав надмерзлотных вод может резко изменяться, например, вследствие того, что атмосферные осадки, проникая в грунт, будут смешиваться с какими-либо отходами производства, проникать через угольные или породные отвалы и т.п. В этих случаях ранее неагрессивные воды могут стать после освоения территории агрессивными.
Подмерзлотные грунтовые воды располагаются ниже толщи вечномерзлых грунтов. Эти воды характеризуются постоянством химического состава в течение года, постоянством напора и дебита.
Грунтовые воды могут перемещаться по таликовым щелям встречающихся в толще вечномерзлых грунтов; в этом случае их называют межмерзлотными.
2.11. Засоленность грунтов определяется как отношение веса солей в грунте к весу скелета грунта, выраженное в процентах. К засоленным относятся грунты с содержанием солей более 0,25%. |
К п. 2.11. Присутствие солей в грунтах изменяет температуру их замерзания (и оттаивания), количество незамерзшей воды в мерзлых грунтах (см.
пп. 1,
2 приложения), их сжимаемость и несущую способность. Засоленность до 0,25% практически не влияет на физико-механические характеристики мерзлых грунтов. Наиболее часто засоленные грунты встречаются на побережьях северных морей.
3. ОСНОВНЫЕ ПОЛОЖЕНИЯ ПРОЕКТИРОВАНИЯ ОСНОВАНИЙ И ФУНДАМЕНТОВ
3.1. При проектировании оснований и фундаментов надлежит предусматривать меры, обеспечивающие требуемые эксплуатационные качества и долговечность зданий и сооружений. Это достигается путем выбора или создания надежного основания, исключающего появление недопустимых деформаций зданий и сооружений. При необходимости разрешается применять конструкции зданий и сооружений, приспособленные к повышенным неравномерным осадкам. |
К п. 3.1. Обеспечение эксплуатационных качеств и долговечности зданий и сооружений должно быть достигнуто прежде всего путем создания надежного основания. Иными словами, основными мерами должно быть не приспособление конструкций сооружения к восприятию повышенных осадок, а выбор или создание такого основания, при котором исключалось бы появление недопустимых деформаций. Это достигается мероприятиями, указанными в
пп. 3.2 -
3.21, в результате выполнения которых должны быть обеспечены необходимые строительные свойства грунтов основания.
В данном пункте также подчеркивается, что при изысканиях прежде всего должны быть выявлены участки с надежными грунтами, не требующими применения специальных мероприятий. Не исключается также возможность применения конструкций зданий и сооружений, приспособленных к повышенным неравномерным осадкам.
3.2. В зависимости от природных условий и особенностей зданий и сооружений ( пп. 1.3 и 1.4) принимается один из следующих двух принципов использования вечномерзлых грунтов в качестве основания зданий и сооружений: принцип I - грунты основания используются в мерзлом состоянии в течение всего периода эксплуатации здания или сооружения; принцип II - грунты основания используются в оттаивающем и оттаявшем состоянии. Примечание. Талые грунты в условиях естественного залегания используются в качестве оснований согласно указаниям главы СНиП II-Б.1-62* при условии, если в процессе эксплуатации зданий и сооружений не будет допущено промерзание грунтов оснований. |
К п. 3.2. Следует различать принципы использования грунтов в качестве оснований от способов подготовки оснований.
Принцип использования грунтов в качестве основания определяет состав инженерных изысканий, методы исследования мерзлых грунтов, расчет оснований по предельным состояниям, правила и приемы производства работ нулевого цикла и особенности эксплуатации зданий и сооружений.
Способы подготовки основания при использовании грунтов в мерзлом состоянии могут заключаться в предварительном понижении температуры грунтов основания, промораживании его отдельных талых участков или повышении верхней поверхности вечномерзлых грунтов, если она в пределах строительной площадки не везде сливается со слоем сезонного промерзания-оттаивания.
При использовании грунтов в талом состоянии осуществляется предварительное оттаивание мерзлых грунтов или допускается оттаивание этих грунтов во время эксплуатации здания или сооружения. Предварительному оттаиванию обычно подвергаются мерзлые грунты лишь на некоторую глубину, и дальнейшее их оттаивание происходит в процессе эксплуатации здания или сооружения (см.
пп. 3.14 -
3.17).
3.3. Для каждой строительной площадки, как правило, следует предусматривать один принцип использования вечномерзлых грунтов в качестве оснований зданий и сооружений. Совместное применение двух принципов допускается только при условии, если в процессе строительства и эксплуатации будет исключено нарушение устойчивости зданий и сооружений в результате их взаимного теплового влияния на грунты основания. Для отдельных частей одного и того же здания или сооружения (кроме линейных сооружений) применение разных принципов не допускается. Эти требования надлежит учитывать также в тех случаях, когда на застроенной территории возводятся новые здания и сооружения. |
К п. 3.3. Строительство зданий и сооружений, расположенных в пределах одной строительной площадки, можно осуществлять с использованием грунтов по разным принципам только в том случае, когда это обосновано опытом строительства в данном районе или теплотехническим расчетом.
Линейные сооружения проходят непрерывно по различным участкам с различными мерзлотными условиями. Поэтому для них неизбежно применение разных принципов использования грунтов. Вместе с тем необходимо предусматривать на переходных участках специальные конструктивные приспособления для нормальной работы всего линейного сооружения.
Запроектированный режим основания зданий и сооружений должен соблюдаться и в случае их реконструкции или дополнительных построек вблизи них. Так, расширение цеха, когда грунты основания используются по принципу II, вызовет увеличение глубины оттаивания грунтов в его основании и, следовательно, дополнительные осадки конструкций. Пристройка же к зданию, когда грунты основания используются по принципу I, может, например, ухудшить вентиляцию холодного подполья (см.
п. 3.5), что снизит несущую способность грунтов основания.
3.4. При проектировании оснований и фундаментов надлежит предусматривать мероприятия по сохранению в процессе строительства и эксплуатации здания или сооружения расчетного теплового режима грунтов основания. Для этого в проект здания или сооружения должны включаться основные требования к производству работ и эксплуатации, обеспечивающие сохранение расчетного теплового режима грунтов основания. В рабочих чертежах фундаментов зданий и сооружений должны быть приведены мерзлотно-грунтовые разрезы и основные данные о характеристиках и температуре грунтов как в природном состоянии, так и в состоянии, предусмотренном проектом на период эксплуатации здания или сооружения. |
К п. 3.4. Принятый при проектировании принцип использования вечномерзлых грунтов в качестве оснований должен соблюдаться с самого начала производства строительных работ на площадке. Для этого в проекте организации работ должны быть разработаны мероприятия по соблюдению в период строительства проектных требований к температурному режиму основания. Так, например, при применении принципа I использования грунтов надлежит обеспечивать сохранение мерзлого состояния вечномерзлых грунтов и по возможности понижение их температуры во время строительства. С этой целью в летнее время при вскрытии котлованов мерзлый грунт необходимо предохранять от оттаивания; в зимнее время следует обеспечивать охлаждение грунтов основания, не допуская скапливания снега в котлованах и на площадке.
Основные требования к эксплуатации здания, обусловленные принципом использования грунтов как оснований, также должны быть изложены в проекте. Кроме того, в проекте должен быть приведен перечень необходимых наблюдений, объем и состав которых устанавливается проектной организацией.
Использование грунтов оснований в мерзлом состоянии
(принцип I)
3.5. Для сохранения грунтов основания в мерзлом состоянии и обеспечения их расчетного теплового режима предусматриваются устройства: холодных подполий (см. п. 3.6), холодных первых этажей зданий (см. п. 3.7), охлаждающих труб и каналов (см. п. 3.8), теплоизолирующих слоев. Примечание. Сохранение грунтов оснований в мерзлом состоянии под отапливаемыми зданиями, строящимися с допущением образования зоны оттаивания, возможно и без указанных в пп. 3.6 - 3.9 устройств, если фундаменты будут заложены в вечномерзлый грунт ниже расчетной глубины зоны оттаивания. Этот способ целесообразен при небольшой ширине зданий и низких температурах вечномерзлых грунтов и устанавливается в каждом случае в отдельности. |
К п. 3.5. Сохранение оснований зданий и сооружений в мерзлом состоянии, а также поддержание расчетных температур грунта обычно достигается с помощью охлаждающих устройств. В зависимости от расположения охлаждающих устройств относительно поверхности грунта они подразделяются на поверхностные и заглубленные. К поверхностным охлаждающим устройствам относятся холодные подполья, вентиляционные короба, уложенные по периметру здания или сооружения, системы каналов, расположенные непосредственно под полом здания или сооружения; к заглубленным - различные системы охлаждающих труб или каналов, закладываемые в грунты основания или искусственные подсыпки, на которых возводятся здания и сооружения (см.
п. 3.8).
Под зданиями и сооружениями с охлаждающими устройствами в летний период грунт оттаивает на некоторую глубину; в зимний период происходит промерзание оттаявшего слоя грунта и после его промерзания дополнительное охлаждение грунтов основания. Это дополнительное охлаждение должно обеспечить предусмотренные в проекте температуры грунта основания (
пп. 5.8 и
5.10).
В зависимости от времени дополнительного охлаждения и температуры воздуха внутри охлаждающего устройства этим охлаждением можно регулировать среднегодовую температуру мерзлого грунта и расчетные температуры мерзлого основания (сохранять естественные температуры, понижать их для увеличения несущей способности мерзлых грунтов, повышать при очень низких температурах вечномерзлых грунтов для уменьшения теплопотерь здания или сооружения).
Чем ниже температура грунта основания, тем можно экономичнее запроектировать фундаменты здания или сооружения. Однако в этом случае необходимо поддерживать в зимнее время в охлаждающем устройстве весьма низкие температуры. Это приведет к необходимости увеличения термического сопротивления ограждающей конструкции над охлаждающим устройством, а следовательно, вызовет и удорожание этой конструкции и самого охлаждающего устройства. Оптимальное решение может быть получено путем сопоставления различных вариантов.
Функции охлаждающего устройства могут выполнять неотапливаемые первые этажи зданий, если температурный режим внутри них обеспечивает предусмотренные в проекте температуры грунтов основания.
В некоторых случаях основания зданий могут сохраняться в мерзлом состоянии без применения охлаждающих устройств. Так, при относительно небольших размерах здания в плане, большом термическом сопротивлении нижней ограждающей конструкции и низких температурах вечномерзлых грунтов под зданием образуется зона оттаивания ограниченных размеров (2 - 3 м) или даже произойдет поднятие верхней поверхности вечномерзлых грунтов, т.е. глубина оттаивания грунта под зданием будет меньше, чем около него. Например, в Якутске под жилыми зданиями зона оттаивания будет ограниченных размеров, и нет необходимости в большинстве случаев устраивать вентилируемые подполья.
Возможность сохранения основания в мерзлом состоянии без применения охлаждающих устройств определяется теплотехническим расчетом по приложению. При применении термоизолирующих слоев в виде подсыпок из крупнообломочных или песчаных грунтов охлаждение основания происходит через поверхность подсыпки вне контуров здания, включая ее откосы. Однако это охлаждение имеет существенное значение лишь для небольших в плане зданий и сооружений при низких среднегодовых температурах грунта (ниже -3 °C). Глубина оттаивания грунта под зданием или сооружением с термоизолирующей подсыпкой определяется по приложению. При этом значение термического сопротивления пола увеличивается на величину

, где
hп - толщина подсыпки в
м;

- коэффициент теплопроводности материала подсыпки в
ккал/
м·
ч·
град).
3.6. Холодное подполье с круглогодичной естественной (а в необходимых случаях с побудительной) вентиляцией является основным мероприятием по сохранению мерзлого состояния оснований тепловыделяющих зданий и сооружений. Допускается также устройство холодного невентилируемого в зимнее время подполья. Выбор типа подполья и способа охлаждения производится на основе теплотехнического расчета или опыта местного строительства с учетом требований "Указаний по проектированию населенных мест, предприятий, зданий и сооружений в северной строительно-климатической зоне" (СН 353-66). |
| | ИС МЕГАНОРМ: примечание. Взамен СН 353-66 в части раздела 5 с 01.10.1972 введены в действие СНиП II-М.2-72, утв. Госстроем СССР 03.04.1972. | |
| | ИС МЕГАНОРМ: примечание. Взамен СНиП II-А.7-62 с 01.04.1972 введены в действие СНиП II-А.7-71, утв. Госстроем СССР 27.10.1971. | |
К п. 3.6. Холодные подполья являются наиболее простыми и надежными охлаждающими устройствами, посредством которых достигается сохранение основания в мерзлом состоянии и поддержание в нем расчетного температурного режима. Пол первого этажа в этом случае устраивается на перекрытии, приподнятом над поверхностью грунта. Поверхность грунта под зданием планируется. Перекрытие над подпольем должно удовлетворять требованиям главы СНиП II-А.7-62* и СН 353-66. Боковые ограждения подполья (цоколь здания) выполняются обычно в каменных зданиях из навесных железобетонных плит, а в деревянных - из дощатой обшивки.
По режиму охлаждения и вентилирования холодные подполья подразделяются на:
вентилируемые в течение круглого года;
вентилируемые только в летнее время;
невентилируемые.
В холодных невентилируемых подпольях удаление тепла, поступающего в подполье, происходит через цоколь здания и грунты основания. Удаление тепла через цоколь имеет существенное значение лишь при небольших размерах здания в плане с высоким подпольем. Возможность конденсации влаги в невентилируемом подполье в летнее время вследствие инфильтрации теплого наружного воздуха также ограничивает область применения подполий этого типа.
В большинстве случаев роль невентилируемого подполья в теплотехническом отношении сводится к дополнительной термической изоляции основания. Возможность применения такого подполья для сохранения основания в мерзлом состоянии определяется теплотехническим расчетом (см.
приложение). При этом в общее термическое сопротивление перекрытия над подпольем включается термическое сопротивление горизонтального воздушного прослойка между нижней поверхностью перекрытия над подпольем и поверхностью грунта.
В подпольях, вентилируемых только в летнее время, тепло, поступающее от здания, зимой отводится через цоколь и грунты основания, а в летнее время в подполье поступает дополнительно тепло за счет вентилирования более теплым наружным воздухом. Этот тип подполья может быть использован для зданий или сооружений очень небольших по площади и при достаточно низких температурах грунта (ниже -3 °C).
| | ИС МЕГАНОРМ: примечание. Взамен СН 353-66 в части раздела 5 с 01.10.1972 введены в действие СНиП II-М.2-72, утв. Госстроем СССР 03.04.1972. | |
Наиболее оправдали себя на практике подполья, вентилируемые в течение круглого года. Охлаждение грунтов основания в подпольях этого типа осуществляется главным образом за счет вентилирования в зимнее время холодным наружным воздухом. Высота круглогодично вентилируемых подполий назначается в соответствии с требованиями СН 353-66.
По способу вентилирования эти подполья подразделяют на:
вентилируемые через продухи в цоколе или через зазор между рандбалкой и поверхностью грунта (открытые подполья);
вентилируемые через вытяжные трубы.
Способ вентилирования в основном определяется условиями снегозаносимости. При среднезимних скоростях ветра менее 4 - 6 м/сек для вентилирования подполий следует предусматривать продухи в цоколе здания или открытые подполья. Вентилирование подполий через продухи или открытые подполья при больших скоростях ветра затруднено из-за образования снежных заносов. В этом случае продухи следует располагать выше поверхности снежных отложений, а высота открытых подполий должна назначаться из условия возможности свободного переноса снега под зданием. Последнее может быть обеспечено только для отдельно стоящих зданий и сооружений небольшой ширины. Если снежные отложения в районе строительства превышают 30 см, то у продухов целесообразно устраивать вентиляционные короба с приточными и вытяжными отверстиями, расположенными на 40 - 50 см выше поверхности снега.
В районах со среднезимней скоростью ветра свыше 4 - 6 м/сек, если не предусматриваются специальные меры по снегозащите населенного пункта или промышленного предприятия, для вентилирования подполий зданий и сооружений следует предусматривать вытяжные трубы. Приток воздуха в этом случае осуществляется через приточные трубы с отверстиями, расположенными выше максимальной отметки снежных отложений у стен здания. Вытяжные трубы выводятся выше конька крыши и оформляются дефлекторами. Вентилирование подполья такой системой происходит в основном за счет ветрового напора. Тепловой напор в расчетах можно не учитывать.
Не следует располагать вытяжные трубы внутри здания для усиления теплового напора, так как на наружных поверхностях таких труб может конденсироваться влага. Во избежание этого термическое сопротивление стенок трубы должно быть близким к термическому сопротивлению перекрытия над подпольем. Последнее, усложняя и удорожая устройства вытяжной вентиляции, существенно уменьшает тепловой напор. Возможным вариантом усиления теплового напора является установка в вытяжных трубах специальных нагревателей. В большинстве же случаев для вентилирования подполий через вытяжные трубы достаточно дефлекторов без применения каких-либо средств побудительной вентиляции.
Вытяжные трубы следует устанавливать таким образом, чтобы осуществлялось равномерное вентилирование подполья.
Режим вентилирования должен обеспечить расчетные температуры в основании здания или сооружения, не допуская в то же время излишнего охлаждения подполья. Излишнее охлаждение подполья приводит к необходимости увеличивать термическое сопротивление перекрытия и ухудшает условия комфорта для проживающих или работающих в здании.
Режим вентилирования и конструкция подполья назначаются на основе расчета или опыта местного строительства. Для использования опыта местного строительства необходимо иметь данные по температурному режиму основания под эксплуатируемым зданием или сооружением с вентилируемым подпольем. Следует учитывать, что глубина сезонного оттаивания грунта под эксплуатируемым зданием или сооружением может быть меньше глубины сезонного оттаивания в естественных условиях, но одновременно с этим максимальные температуры грунта под зданием или сооружением могут повыситься и даже быть близкими нулю. Основным критерием надежности работы охлаждающего устройства являются максимальные температуры грунтов основания, замеренные в конце осени или начале зимы.
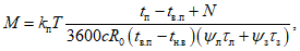
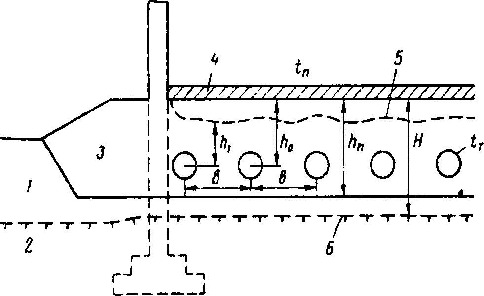
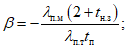
Расчет вентилируемого подполья можно провести по методу Г.В. Порхаева. В качестве величины, определяющей тепловой режим подполья, принимается модуль вентилирования

[8]
где Fв - для подполий с продухами - общая площадь продухов; для открытых подполий - площадь вентиляционного отверстия, равная произведению периметра здания на расстояние от низа рандбалки до поверхности грунта; при вентиляции через трубы - общая площадь вытяжных труб в м2;
Fс - площадь здания по наружному контуру в м2.
Значение модуля вентилирования для открытых подполий и подполий, вентилируемых через продухи, зданий с температурами воздуха внутри помещений не свыше 20 °C вычисляется по формуле

[9]
kп - коэффициент, зависящий от расстояния между зданиями;
tп - температура воздуха внутри здания или сооружения в °C;
tв.п - среднегодовая температура воздуха в подполье в °C;
R0 - термическое сопротивление перекрытия над подпольем в м2·ч·град/ккал;
vср - среднегодовая скорость ветра в м/сек;
tн.в - среднегодовая температура наружного воздуха в °C.
Слагаемым
N в числителе
формулы [9] учитывается влияние тепловыделяющих санитарно-технических сетей, проходящих в подполье здания, на тепловой режим подполья. Значение
N определяется по формуле

[10]
где n - число тепловыделяющих трубопроводов, проложенных в подполье;
lтi - длина i-го трубопровода в м;
tтi - температура теплоносителя в i-м трубопроводе в град;

- время работы
i-го трубопровода в течение года в
ч;
Rтi - термическое сопротивление теплоизоляции i-го трубопровода в м·ч·град/ккал;
T - продолжительность года, равная 8760 ч;
Величина коэффициента kп для подполий с продухами и открытых подполий принимается в зависимости от расстояния между зданиями l и их высоты h. При l >= 5h kп = 1; при l = 4h kп = 1,2 и при l = 3h kп = 1,5.
Среднегодовая температура воздуха в подполье принимается исходя из следующих положений:
если в основании здания сохраняется среднегодовая температура, равная среднегодовой температуре грунта в естественных условиях, то принимается
если основание сложено пластичномерзлыми грунтами, то температура грунта в соответствии с указаниями
п. 3.24 должна быть понижена. В этом случае следует принимать:

[12]
При очень низких среднегодовых температурах вечномерзлого грунта в естественных условиях требуемая несущая способность грунтов основания может быть обеспечена в ряде случаев при более высоких температурах. Если предусмотреть в проекте эти более высокие температуры грунта (они сформируются в процессе эксплуатации здания), назначив соответствующий режим вентилирования подполья, то можно значительно улучшить термовлажностный режим перекрытия над подпольем. Тогда среднегодовая температура воздуха в подполье более высокая, чем это необходимо для сохранения естественных среднегодовых температур в основании, принимается исходя из требуемых для обеспечения несущей способности температур грунта
tмакс и
tэ (см.
пп. 5.8 и
5.10). Из этого условия среднегодовая температура воздуха в подполье определяется следующим образом. По заданным величинам
tмакс и
tэ вычисляется допустимый коэффициент теплового влияния здания на температурный режим грунтов основания:

[13]
По полученному значению
kt по графикам (
рис. 11,
14) находится соотношение

(где

- среднегодовая температура на подошве сезоннооттаивающего слоя грунта под зданием). Среднегодовая температура воздуха в подполье принимается

[14]
Здесь значения tв.п приняты с некоторым запасом, так как в действительности среднегодовая температура грунтов будет ниже среднегодовой температуры воздуха в подполье (на 0,2 - 1,2 °C).
| | ИС МЕГАНОРМ: примечание. Взамен СНиП II-А.7-62 с 01.04.1972 введены в действие СНиП II-А.7-71, утв. Госстроем СССР 27.10.1971. | |
Перекрытие над подпольем должно удовлетворять требованиям главы СНиП II-А.7-62* (по термическому сопротивлению, теплоустойчивости, воздухопроницанию, влажностному режиму). Для определения этих показателей необходимо знать летние и зимние температуры воздуха в подполье, которые связаны с сезонным промерзанием грунта под зданием.
В зданиях с повышенным тепловыделением температура воздуха в подполье в летнее время будет выше температуры наружного воздуха. В результате глубина сезонного оттаивания грунта под зданием будет больше, чем около здания.
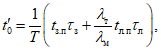
Определение летних и зимних температур воздуха в подполье, уточнение глубины сезонного оттаивания грунта под зданием и уточнение среднегодовых температур основания может быть сделано на основе полного расчета температурного режима вентилируемого подполья. Полный расчет температурного режима проводится в следующем порядке.
Определяется модуль вентилирования по формуле

[15]
где T - продолжительность года, равная 8760 ч;
c - удельная теплоемкость воздуха, равная 0,24 ккал/кг·град;

- коэффициент вентилирования для летнего периода, зависящий от способа вентилирования, в
кг/
м2·
сек;

- то же, для зимнего периода в
кг/
м2·
сек;

- продолжительность летнего периода в
ч;

- продолжительность зимнего периода в
ч;
Значения коэффициентов
kп для подполий с продухами и открытых подполий принимаются те же, что и в
формуле [9]. Для подполий, вентилируемых через вытяжные трубы,
kп = 1.
Коэффициентами вентилирования

учитываются условия аэродинамического обтекания здания потоком воздуха в зависимости от его формы в плане и ориентации по странам света (подполья с продухами и открытые подполья), а также местные гидравлические сопротивления. Этими коэффициентами для подполий, вентилируемых через вытяжные трубы, учитываются аэродинамические характеристики дефлектора и местные сопротивления вентиляционной системы.
| | ИС МЕГАНОРМ: примечание. Взамен СН 353-66 в части раздела 5 с 01.10.1972 введены в действие СНиП II-М.2-72, утв. Госстроем СССР 03.04.1972. | |
Высота вентилируемого подполья, принимаемая в соответствии с требованиями СН 353-66, на режим вентилирования практически не оказывает влияния.
Для подполий, вентилируемых через продухи в цоколе, а также открытых подполий коэффициенты

и

вычисляются по формулам

[16]
где

- объемный вес воздуха при среднелетней температуре наружного воздуха в
кг/
м3 (принимается по графику
рис. 3);

- то же, при среднезимней температуре в
кг/
м3;
vл - средняя скорость ветра за летний период в м/сек;
vз - то же, за зимний период в м/сек;
| | ИС МЕГАНОРМ: примечание. Текст дан в соответствии с официальным текстом документа. | |
mл - число случаев разных направлений ветра в летнее время, вызывающих один и тот же воздухообмен, в %;
mз - то же, в зимнее время в %;
kа - обобщенный аэродинамический коэффициент, зависящий от конфигурации здания или сооружения в плане и направления ветра (определяется по
рис. 4);
p - количество расчетных случаев, для которых обобщенный аэродинамический коэффициент kа один и тот же.
Рис. 3. Объемный вес воздуха

при температуре
t
Рис. 4. Значения обобщенных аэродинамических коэффициентов
kа в зависимости от формы здания в плане и направлений
ветра, вызывающих один и тот же воздухообмен
Число случаев направлений ветра по различным румбам принимается по данным климатических справочников. Число случаев направлений ветра, вызывающих один и тот же воздухообмен, представляет сумму числа случаев направлений ветра по различным румбам с одним и тем же значением коэффициента
kа. Так, для прямоугольного здания противоположные направления ветра вдоль длинной стороны
(рис. 4) вызывают один и тот же воздухообмен (одно и то же значение
kа); число случаев этих двух направлений ветра суммируется и умножается на коэффициент
kа (один из расчетных случаев
p).
Для подполий, вентилирование которых производится через вытяжные трубы с дефлекторами, коэффициенты

и

определяются по формулам

[17]
где
kт - коэффициент, зависящий от вида дефлектора (принимается по
табл. 3);
Таблица 3
Тип дефлектора | kт |
ЦАГИ цилиндрический | 0,29 |
ЦАГИ прямоугольный | 0,23 |
"Звездочка" | 0,27 |
Системы Григоровича | 0,25 |
В случае применения побудительной вентиляции значения коэффициентов

и

принимаются по формуле

[18]
где vт - скорость движения воздуха в вытяжной трубе, обеспечиваемая побудительной вентиляцией, в м/сек.
Температура воздуха в подполье в летнее время tл.п определяется по формуле

[19]
где

;

- коэффициент теплопроводности талого грунта в пределах сезоннооттаивающего слоя в
ккал/
м·
ч·
град;
q - теплота таяния мерзлого грунта в пределах сезоннооттаивающего слоя в
ккал/
м3, определяемая по
формуле [143 (40)] приложения;
tн.л - средняя температура наружного воздуха за летний период в °C.
Среднезимняя температура воздуха в подполье вычисляется по формуле

[20]
где

;
tн.з - среднезимняя температура наружного воздуха в °C.
По температурам воздуха в подполье в летнее
tл.п и зимнее
tз.п время можно вычислить температуру грунта на подошве слоя сезонного оттаивания под зданием

по формуле

[21]
где T = 8760 ч;

и

- продолжительность зимнего и летнего периода в
ч;

и

- коэффициенты теплопроводности грунта в пределах сезоннооттаивающего слоя в мерзлом и талом состояниях в
ккал/
м·
ч·
град.
По температурам
t0 и

определяется коэффициент теплового влияния здания на температурный режим основания (см. текст к
пп. 5.8 и
5.10).
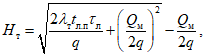
Глубина сезонного оттаивания грунта под зданием определяется по формуле

[22]
где

;
t0 - температура грунта на глубине 10 м вне контуров здания в °C;

- коэффициент теплопроводности вечномерзлого грунта основания в
ккал/
м·
ч·
град;
Cм - теплоемкость того же грунта в ккал/м3·град;
kср - коэффициент, принимаемый по
табл. 41 (11) приложения в зависимости от
tо.ср и коэффициента теплоемкости мерзлого грунта
Cм.
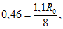
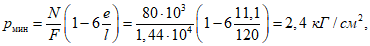
Пример 1. Под зданием, возводимым на пластичномерзлых грунтах с температурой t0 = -0,5 °C, намечается сохранить основание в мерзлом состоянии с помощью холодного подполья. Требуется определить размеры вентиляционных отверстий, обеспечивающие проектный температурный режим основания.
Размеры здания в плане Fс = 15 x 30 = 450 м2; термическое сопротивление перекрытия над подпольем R0 = 2,8 м2·ч·град/ккал; температура воздуха внутри здания tп = 18 °C.
В подполье проложены прямая и обратная линии теплопровода. Длина каждой линии
lт = 30
м. Температура теплоносителя в прямом теплопроводе
tт1 = 90 °C; в обратном
tт2 = 70 °C. Термическое сопротивление теплоизоляции теплопровода
Rт1 =
Rт2 = 1,4
м·
ч·
град/
ккал. Продолжительность отопительного периода

.
Среднегодовая температура наружного воздуха
tн.в = -6,4 °C; среднегодовая скорость ветра
vср = 4
м/
сек. Нормативная глубина сезонного оттаивания грунта (см.
п. 4.3)

.
Около здания предусматривается отмостка с асфальтовым покрытием. Расстояние от соседних зданий l равно трехкратной высоте здания h.
При среднегодовой скорости ветра 4
м/
сек вентилирование подполья может осуществляться через продухи в цоколе или может быть запроектировано открытое подполье. Модуль вентилирования подполья определяем по
формуле [9]. При
l = 3
h коэффициент
kп в этой формуле принимается равным 1,5.
Среднегодовую температуру воздуха в подполье для здания на пластичномерзлых грунтах с
t0 = -0,5 °C в соответствии с
условием [12] принимаем
tв.п = 4
t0 = 4(-0,5) = -2 °C.
Площадь вентиляционных отверстий определяем по
формуле [8]:
При такой площади вентиляционных отверстий вентилирование подполья будет обеспечено через продухи, устроенные в цоколе здания. Задавшись количеством продухов, равным 14, найдем площадь каждого продуха:
Расчетная глубина сезонного оттаивания грунта в соответствии с указаниями
п. 4.2 будет равна:
у внутренних стен
Hт = 0,8·2,1 = 1,68 м;
у наружных стен
Hт = 1,2·2,1 = 2,52 м.
| | ИС МЕГАНОРМ: примечание. Взамен СНиП II-А.7-62 с 01.04.1972 введены в действие СНиП II-А.7-71, утв. Госстроем СССР 27.10.1971. | |
Пример 2. Под зданием предусматривается вентилируемое подполье для сохранения основания в мерзлом состоянии. Требуется определить размеры вентиляционных отверстий, при которых в основании здания среднегодовая температура грунта будет равна его среднегодовой температуре до возведения здания (t0 = -5 °C), а также температуру воздуха в подполье летом и зимой, необходимую для расчета перекрытия над подпольем по указаниям главы СНиП II-А.7-62*.
Размеры здания в плане Fс = 24·42 = 1010 м2; термическое сопротивление перекрытия над подпольем R0 = 3 м2·ч·град/ккал; температура воздуха внутри здания tп = 18 °C.
Среднегодовая температура наружного воздуха
tн.в = -10,2 °C; среднелетняя
tн.л = 12,1 °C; среднезимняя
tн.з = -26,3 °C. Среднелетняя скорость ветра
vл = 3
м/
сек; среднезимняя
vз = 1,9
м/
сек. Продолжительность летнего периода

; зимнего

. Число случаев ветра по различным направлениям в летний и зимний периоды приведено в
табл. 4.
Таблица 4
Число случаев ветра (в %) по различным направлениям
Период | Направление ветра |
С | СВ | В | ЮВ | Ю | ЮЗ | З | СЗ |
Летний | 6 | 5,5 | 7,2 | 10,2 | 20,2 | 19,3 | 18,3 | 13,3 |
Зимний | 18,2 | 13,1 | 10,2 | 12,2 | 18 | 10,1 | 9,5 | 8,7 |
Коэффициенты теплопроводности грунта сезоннооттаивающего слоя

;

. Теплота таяния грунта в пределах сезоннооттаивающего слоя
q = 24000
ккал/
м3 определяется по
формуле [143 (40)] приложения. Коэффициенты теплопроводности и теплоемкости вечномерзлого грунта

;
Cм = 500
ккал/
м3·
град. Расчетная глубина оттаивания грунта у края здания
Hт = 1,7
м.
Объемные веса воздуха при температурах
tн.л = 12,1 °C и
tн.з = -26,3 °C по графику
(рис. 3) соответственно равны

и

.
Здание ориентировано длинной стороной на юг. Расстояние до соседних зданий l равно четырехкратной высоте здания h.
При среднезимней скорости ветра 1,9 м/сек вентилирование подполья целесообразно осуществлять через продухи, устроенные в цоколе.
Модуль вентилирования вычисляем по
формуле [15]. Коэффициент
kп в этой формуле при
l = 4
h равен 1,2. Среднегодовую температуру воздуха в подполье принимаем равной
t0 [формула (11)], т.е.
tв.п =
t0 = -5 °C.
Предварительно определим коэффициенты вентилирования по
формулам [16]. Для прямоугольного в плане здания обобщенные аэродинамические коэффициенты
kа представлены на
рис. 4. Для ветров северного и южного направлений
kа имеют одно и то же значение, равное 0,32. Для ветров этих направлений число случаев ветра суммируется, т.е.
mл.1 = 6 + 20,2 = 26,2; для восточного и западного направлений
kа = 0,2, а
mл.2 = 7,2 + 18,3 = 25,5; для ветров других направлений (СВ, ЮВ, ЮЗ и СЗ) соответственно имеем
kа = 0,29;
mл.з = 5,5 + 10,2 + 19,3 + 13,3 = 48,3. Аналогично определяются значения
mзi.
Таким образом, коэффициенты вентилирования по
формулам [16] равны
Задавшись количеством продухов равным 16, найдем площадь каждого продуха:
Температуру воздуха в подполье в летнее время
tл.п определяем по
формуле [19]. Предварительно вычисляем значения
Aл и
Bл:
Aл = 3600·0,00203·0,24·3·1,2 = 6,3;
Температуру воздуха в подполье в зимнее время
tз.п определяем по
формуле [20].
Предварительно вычисляем
Aз = 3600·0,24·0,00203·3·0,89 = 4,7;
Далее определяем среднегодовую температуру грунта на подошве сезоннооттаивающего слоя по
формуле [21]:
т.е. среднегодовая температура грунта в основании здания будет несколько ниже расчетной.
Глубину сезонного оттаивания грунта под зданием определяем по
формуле [22]. Предварительно вычисляем
По
табл. 41 (11) приложения для
tо.ср = -5,4 °C и
Cм = 500
ккал/
м3·
град находим
kср = 2,5.
Значение Qм равно
Расчетные температуры грунта под серединой здания определяем в соответствии с указаниями
пп. 5.8 и
5.10 при
t0 = -5 °C и
Hт = 1,06
м; у края здания - при
t0 = -5 °C и
Hт = 1,7
м.
Пример 3. Под здание запроектированы столбчатые фундаменты с заглублением в вечномерзлые грунты на 1
м (
hм = 1
м). Среднегодовая температура вечномерзлого грунта
t0 = -11 °C. Необходимая несущая способность основания (см.
п. 5.8) обеспечивается при
tмакс = -1,8 °C. Требуется определить режим вентилирования подполья при следующих исходных данных.
Размеры здания в плане Fс = 12·48 = 576 м2. Термическое сопротивление перекрытия над подпольем R0 = 3,5 м2ч·град/ккал, температура воздуха внутри здания tп = 18 °C.
Среднегодовая температура наружного воздуха
tн.в = -12,6 °C; среднелетняя
tн.л = 5 °C; среднезимняя
tн.з = -21,5 °C. Скорости ветра: среднелетняя
vл = 4,7
м/
сек; среднезимняя
vз = 5,2
м/
сек. Продолжительность летнего периода

; зимнего

.
Коэффициенты теплопроводности грунта сезоннооттаивающего слоя в талом и мерзлом состояниях

;

. Теплота таяния сезоннооттаивающего грунта
q = 27000
ккал/
м3; определяется по
формуле [143 (40)] приложения. Коэффициенты теплопроводности вечномерзлого грунта

;
C'м = 500
ккал/
м3·
град.
Расчетная глубина сезонного оттаивания грунта Hт = 1,1 м.
Определяем среднегодовую температуру воздуха в подполье, при которой будет обеспечена
tмакс = -1,8 °C на глубине заложения фундаментов под серединой здания по
формулам [13],
[14]. Для этого вычислим значение

по
табл. 21 (7):
при

Тогда коэффициент теплового влияния здания под его серединой по
формуле [13] 
. Далее по графику (
рис. 11,
а) для

и
kt = 0,53 находим соотношение

, тогда по
формуле [14] tв.п =
t'0 = 0,28
t0 = 0,28(-11) = -3,1 °C.
При среднезимней скорости ветра
v'з = 5,2
м/
сек вентилирование подполья целесообразно осуществлять вытяжными трубами с дефлекторами. Примем, что вентилирование будет производиться дефлекторами типа ЦАГИ цилиндрический с коэффициентом
kt = 0,29
(табл. 3). Объемные веса воздуха при температурах
tн.л = 5 °C и
tн.з =
-21,5 °C по графику
(рис. 3) 
и

.
По
формулам [17] вычисляем значения коэффициентов вентилирования:

откуда
Fв = 0,219/
м2.
Принимаем число вытяжных труб равным 4. Тогда поперечное сечение каждой трубы
Среднелетнюю температуру воздуха в подполье вычисляем по
формуле [19]. Предварительно находим
Aл = 3600·0,24·0,00038·3,5·1,72 = 2;
Среднезимнюю температуру воздуха в подполье вычисляем по
формуле [20]. Предварительно находим
Aз = 3600·0,24·0,00038·3,5·2,12 = 2,37;
Глубину оттаивания грунта под серединой здания определяем по
формуле [22].
Предварительно вычисляем
По значениям
tо.ср =
-7 °C и
Cм = 500
ккал/
м3·
град по
табл. 41 (11) приложения находим
kср = 1,8; тогда

.
3.7. Холодный первый этаж здания может быть использован для сохранения грунтов основания в мерзлом состоянии вместо холодного подполья, что обосновывается опытом местного строительства или теплотехническим расчетом. |
К п. 3.7. Для сохранения основания в мерзлом состоянии и поддержания в нем требуемого для обеспечения несущей способности мерзлых грунтов температурного режима необходимо, чтобы среднегодовая температура в холодном (неотапливаемом) помещении была ниже 0 °C. В летний период температура воздуха в неотапливаемом помещении будет положительной, и под зданием произойдет сезонное оттаивание грунтов. Поэтому для определения несущей способности основания и обеспечения устойчивости пола в первом этаже должны быть выявлены расчетные температуры в основании и глубина сезонного оттаивания грунта под зданием.
Определение расчетных температур по опыту местного строительства производится так же, как в случае зданий или сооружений с вентилируемыми подпольями (см. текст к
п. 3.6).
В неотапливаемом помещении в летнее время среднюю температуру воздуха можно принять равной среднелетней температуре наружного воздуха tн.л.
В зимний период в неотапливаемое помещение поступает тепло из промерзающего под зданием слоя грунта, оттаявшего за лето, а также через верхнее перекрытие при наличии второго отапливаемого этажа; это тепло отводится через стены и окна неотапливаемого помещения.
При сопротивлении воздухопроницаемости стен Rи < 2 м2·мм·вод. ст.·ч/кг существенное влияние на температурный режим неотапливаемого помещения в зимнее время оказывает инфильтрация воздуха за счет ветрового напора. Тепловой напор, вызванный перепадом температур воздуха в помещении и наружного воздуха, вследствие его относительно небольшой величины можно не учитывать.
Расчет температурного режима неотапливаемого первого этажа и основания здания производится в такой последовательности.
Температура воздуха в неотапливаемом помещении в летнее время tл.п принимается равной среднелетней температуре наружного воздуха tн.л. Далее определяется температура воздуха в этом помещении в зимний период tз.п по формуле

[23]
где
tп - температура воздуха в помещениях отапливаемого второго этажа в град;
tн.з - среднезимняя температура наружного воздуха в град;
R0 - термическое сопротивление перекрытия над неотапливаемым помещением в м2·ч·град/ккал;
R1 - то же, стен неотапливаемого помещения в м2·ч·град/ккал;
R2 - то же, окон в м2·ч·град/ккал;
Fс - площадь здания в м2;
F1 - площадь стен неотапливаемого этажа в м2;
F2 - общая площадь окон в неотапливаемом этаже в м2;
c - теплоемкость воздуха, равная 0,24 ккал/кг·град;
Rи - сопротивление стен воздухопроницанию в м2·мм·вод. ст.·ч/кг;

- коэффициент инфильтрации в
кг/
м2;

- коэффициент теплопроводности грунта сезоннооттаивающего слоя в мерзлом состоянии в
ккал/
м·
ч·
град;
q - теплота таяния мерзлого грунта в
ккал/
м3, определяемая по
формуле [143 (40)] приложения;

- продолжительность зимнего периода в
ч.
Коэффициент инфильтрации вычисляется по формуле

[24]
где

- объемный вес воздуха зимой при температуре
tн.з в
кг/
м3;
g - ускорение силы тяжести, равное 9,81 м/сек2;
vз - среднезимняя скорость ветра в м/сек;
kаi - обобщенные аэродинамические коэффициенты, принимаемые по
рис. 4;
mзi - число случаев ветра, которым соответствует kаi;
p - число расчетных случаев.
По температурам воздуха в неотапливаемом первом этаже в зимний и летний периоды по
формуле [21] определяется среднегодовая температура на подошве сезоннооттаивающего слоя грунта под зданием, а по
формуле [22] глубина сезонного оттаивания грунта под зданием.
Пример. Размеры здания в плане Fс = 15·36 = 540 м2; площадь наружных стен неотапливаемого первого этажа F1 = 264 м2; общая площадь окон в неотапливаемом первом этаже F2 = 40 м2; термическое сопротивление перекрытия над первым этажом R0 = 2 м2·ч·град/ккал; термическое сопротивление стен первого этажа R1 = 0,7 м2·ч·град/ккал; термическое сопротивление окон R2 = 0,4 м2·ч·град/ккал; температура воздуха внутри второго этажа здания tп = 18 °C. Стены первого этажа запроектированы из шлакоблоков с сопротивлением воздухопроницаемости Rи = 0,1 м2·мм·вод. ст.·ч/кг.
Среднелетняя температура наружного воздуха
tн.л = 5 °C; среднезимняя
tн.з = -21,9 °C. Среднезимняя скорость ветра
vз = 5,2
м/
сек. Продолжительность летнего периода

; зимнего

.
Среднегодовая температура грунта
t0 = -10 °C. Коэффициенты теплопроводности грунта сезоннооттаивающего слоя

;

. Теплота таяния сезоннооттаивающего грунта
q = 24 000
ккал/
м3; определяется по
формуле [143 (40)] приложения. Коэффициенты теплопроводности и теплоемкости вечномерзлого грунта

;
C'м = 400
ккал/
м3·
град.
Здание ориентировано длинной стороной с севера на юг.
Число случаев ветра по различным направлениям приведено в
табл. 5.
Таблица 5
Число случаев ветра в зимний период
в % по различным направлениям
Направление ветра |
С | СВ | В | ЮВ | Ю | ЮЗ | З | СЗ |
9,5 | 8,3 | 5 | 2,3 | 17,8 | 37,2 | 14,9 | 5 |
Температуру воздуха внутри неотапливаемого первого этажа принимаем равной среднелетней температуре наружного воздуха, т.е. tл.п = tн.л = 5 °C.
Температура воздуха в неотапливаемом первом этаже в зимнее время определяется по
формуле [23]. Предварительно находим объемный вес воздуха при температуре
tн.з = -21,9 °C по графику (см.
рис. 3)

.
Коэффициент инфильтрации вычисляем по
формуле [24], где

определяется так же, как для зданий, вентилируемых через продухи (см. текст к
п. 3.6):
Далее вычисляем значения коэффициентов
a,
b и
Bз, входящих в
формулу [23]:
Среднегодовую температуру грунта на подошве сезоннооттаивающего слоя под зданием определяем по
формуле [21]:
Глубину сезонного оттаивания грунта
Hт под зданием определяем по
формуле [22]. Предварительно вычисляем
для
tо.ср =
-7 °C и
Cм = 400
ккал/
м3·
град по
табл. 41 (11) приложения
kср = 2,4; тогда
Расчетные температуры грунта определяются в соответствии с указаниями
пп. 5.8 и
5.10.
3.8. Охлаждающие трубы или каналы следует применять для сохранения мерзлого состояния грунтов основания зданий и сооружений с большими нагрузками на пол первого этажа или с большими пролетами, а также когда по технологическим требованиям недопустимо устройство подполий. Выбор системы охлаждения, а также размеров труб (или каналов) и их количества производится на основе теплотехнического расчета. |
К п. 3.8. Охлаждающие трубы или каналы обычно укладываются на некоторой глубине под всем зданием и объединяются общими коллекторами, по которым в зимнее время подается в охлаждающие трубы и отводится холодный наружный воздух. В период положительных температур охлаждающая система закрывается.
Охлаждающие трубы, как правило, укладываются в подсыпке из крупнообломочных или песчаных грунтов. Полы устраиваются по поверхности подсыпки. В зимнее время подсыпка при прохождении по трубам холодного воздуха промерзает; летом происходит оттаивание подсыпки за счет тепла, поступающего из помещения. Трубы должны быть заложены в зоне летнего оттаивания подсыпки. В противном случае может произойти закупоривание труб льдом за счет попадания в них воды в летнее время или образования инея в конце зимнего периода, когда температура наружного воздуха выше температуры грунта, окружающего трубы. Прокладка труб в зоне оттаивания значительно упрощает эксплуатацию охлаждающей системы, так как отпадает необходимость строго выдерживать сроки ее отключения. Эти сроки при прокладке труб в зоне постоянномерзлого грунта зависят от климатических особенностей каждого года и, следовательно, будут различные в разные годы.
В зависимости от осадки грунтов естественного сезоннооттаивающего слоя может допускаться оттаивание в летнее время только грунтов подсыпки или частичное или полное оттаивание грунтов сезоннооттаивающего слоя.
Охлаждающие трубы следует применять диаметром 0,2 - 0,4 м. Эффективность охлаждения мало увеличивается при трубах больших диаметров; при меньших диаметрах труб этот эффект охлаждения резко уменьшается. Диаметр коллекторов назначается в соответствии с расчетами пропускной способности вентиляционной системы и равномерного поступления воздуха из коллекторов в охлаждающие трубы. Охлаждающие трубы следует укладывать параллельно короткой стороне здания. Как коллекторы, так и охлаждающие трубы должны иметь уклон для стока воды, которая может образоваться при таянии инея в трубах в летнее время или попасть в трубы через стыковые соединения. Кроме того, следует предусмотреть возможность очистки труб.
При относительно небольших нагрузках на полы и маловлажных грунтах сезоннооттаивающего слоя под зданием можно применить локальное охлаждение основания посредством одиночных труб или каналов, уложенных около фундаментов.
Опыт эксплуатации сооружений с трубчатыми охлаждающими системами показал, что они являются надежным средством сохранения основания в мерзлом состоянии, если эти системы правильно выполнены и строго соблюдаются правила их эксплуатации. В то же время этот опыт недостаточен для разработки надежных критериев их проектирования. Не имеется и достаточно строгих решений задачи охлаждения оснований системой труб или одиночными трубами, проложенными около фундаментов. Поэтому проект здания или сооружения с охлаждением основания через трубы должен содержать инструкцию по наблюдениям за температурным режимом основания. В этой инструкции должны быть предусмотрены наблюдения за температурами грунтов основания до глубины 6 - 7 м. Число наблюдательных скважин предусматривается не менее шести (две в середине здания и четыре по его краям). Если наблюдения показывают, что температура грунта на глубине 6 - 7 м начинает повышаться, а толщина сезоннооттаивающего слоя увеличиваться по сравнению с предусмотренными в проекте, расход воздуха в охлаждающей системе необходимо увеличить.
Приближенный расчет трубчатых охлаждающих систем производится следующим образом
(рис. 5).
Рис. 5. Схема расчета трубчатых охлаждающих систем
1 - сезоннооттаивающий слой грунта; 2 - вечномерзлый грунт;
3 - подсыпка; 4 - пол; 5 - граница сезонного промерзания
грунта под зданием; 6 - граница вечномерзлого грунта
Определяется глубина заложения охлаждающих труб в подсыпке h0 по формуле

[25]
где

- коэффициент теплопроводности материала подсыпки в талом состоянии в
ккал/
м·
ч·
град;
tп - температура воздуха в помещении в град;
tх.з - средняя температура воздуха наиболее холодного месяца в град;

- коэффициент тепловосприятия пола, равный 7,5
ккал/
м2·
ч·
град;
| | ИС МЕГАНОРМ: примечание. Взамен СНиП II-А.7-62 с 01.04.1972 введены в действие СНиП II-А.7-71, утв. Госстроем СССР 27.10.1971. | |

- нормируемый температурный перепад между температурой внутреннего воздуха и температурой поверхности пола в
град, принимаемый по указаниям главы СНиП II-А.7-62*;
R0 - термическое сопротивление конструкции пола в м2·ч·град/ккал;
d - диаметр охлаждающей трубы в м.
Определяется расстояние от центра трубы до поверхности мерзлого грунта под зданием h1 по формуле

[26]
где

- коэффициент теплопроводности материала подсыпки в мерзлом состоянии в
ккал/
м·
ч·
град;
tн.з - среднезимняя температура наружного воздуха в град.
Расстояние между трубами b вычисляется по формуле

[27]
Объем воздуха V в м3/сек, необходимый для промерзания и охлаждения грунта вокруг одной трубы, вычисляется по формуле

[28]
где B - ширина здания в м;
c - удельная теплоемкость воздуха, равная 0,24 ккал/кг·град;

- объемный вес воздуха при температуре
tн.з в
кг/
м3;

- температурный перепад по длине охлаждающей трубы, равный 4 °C.
Охлаждение основания системой заглубленных труб имеет существенное отличие от охлаждения основания посредством круглогодично вентилируемого подполья. Так, в здании с вентилируемым подпольем охлаждение и нагрев основания осуществляется через поверхность грунта под зданием. При этом охлаждение основания с понижением его температуры происходит только после полного промерзания сезоннооттаивающего слоя, образовавшегося под зданием в летний период, и продолжается короткое время. При охлаждающей системе в виде заглубленных труб понижение температуры основания начинается почти сразу же после начала вентилирования, так как трубы располагаются вблизи поверхности вечномерзлого грунта, а процессы промерзания и оттаивания в основном происходят выше труб. Во время же оттаивания грунта тепло поступает через поверхность пола. Все это приводит к быстрому понижению температуры основания, и уже в первый год вновь сформировавшаяся в основании средняя температура грунта близка к средней многолетней. Поэтому если в процессе строительства здания предусматривается вентилирование охлаждающей системы, расчетные максимальные температуры грунта определяются при температуре t'0, вычисленной по формуле

[29]
где

- продолжительность зимнего периода в
ч;
T - продолжительность года, равная 8760 ч.
Расчетные максимальные температуры грунта под зданием определяются по формуле

[30]
где hм - глубина, отсчитываемая от верхней поверхности вечномерзлого грунта, в м;

и
C'м - коэффициенты теплопроводности в
ккал/
м·
ч·
град и теплоемкости в
ккал/
м3·
град вечномерзлого грунта;

- продолжительность летнего периода в
ч.
Значение функции erf
u приведено в
табл. 6.
Таблица 6
u | 0 | 0,1 | 0,2 | 0,3 | 0,4 | 0,5 | 0,6 | 0,7 | 0,8 |
erfu | 0 | 0,11 | 0,22 | 0,33 | 0,43 | 0,52 | 0,6 | 0,68 | 0,84 |
Если в процессе строительства вентилирование не предусматривается, то максимальные температуры грунта определяются по
формуле [30] при
t'0 =
t0.
Глубина оттаивания подсыпки вычисляется по формуле

[31]
где

- продолжительность летнего периода в
ч;

[32]
q - теплота таяния мерзлой подсыпки в
ккал/
м3, определяемая по
формуле [143 (40)] приложения;
Cп.т - коэффициент теплоемкости материала подсыпки в талом состоянии в ккал/м3·град;

[33]

[34]
t0 - температура грунта на глубине 10 м вне контуров здания в град;

- коэффициент теплопроводности вечномерзлого грунта основания в
ккал/
м·
ч·
град;
C'м - теплоемкость того же грунта в ккал/м3·град;

[35]
где

[36]
Если предусматривается в летнее время частичное оттаивание грунта под подсыпкой (оттаивающего-промерзающего слоя грунта в естественных условиях до возведения здания), то для определения глубины оттаивания этого грунта предварительно вычисляются вспомогательные величины

[37]

[38]
где hп - толщина подсыпки в м;

- коэффициент теплопроводности грунта сезоннооттаивающего слоя в естественных условиях в талом состоянии в
ккал/
м·
ч·
град;

[39]
где q - теплота таяния грунта сезоннооттаивающего слоя в ккал/м3;
Cг.т - коэффициент теплоемкости того же грунта в ккал/м3·град.
Глубина оттаивания грунта под зданием от поверхности подсыпки, когда происходит частичное оттаивание грунтов естественного сезоннооттаивающего слоя, залегающего под подсыпкой, определяется по формуле

[40]
где

[41]
Пример. Требуется запроектировать охлаждающую систему из труб для здания шириной
B = 16
м. Термическое сопротивление пола
R0 = 0,3
м2·
ч·
град/
ккал. Температура воздуха внутри помещения
tп = 18 °C. Температурный перепад между воздухом в помещении и поверхностью пола

.
Продолжительность летнего периода

, зимнего

. Среднезимняя температура наружного воздуха
tн.з = -17,6 °C; среднемесячная температура воздуха в наиболее холодный месяц
tх.з = -26,8 °C.
Среднегодовая температура вечномерзлого грунта в естественных условиях
t0 = -5 °C. Коэффициенты теплопроводности и теплоемкости вечномерзлого грунта

;
C'м = 380
ккал/
м3·
град. Коэффициенты теплопроводности оттаивающего под подсыпкой грунта в талом и мерзлом состояниях

;

. Теплота таяния этого грунта
q = 21 000
ккал/
м3; определяется по
формуле [143 (40)] приложения; его коэффициент теплопроводности в талом состоянии
Cг.т = 600
ккал/
м3·
град.
Коэффициенты теплопроводности песчаного грунта, применяемого для подсыпки в талом и мерзлом состояниях:

;

. Теплота таяния песчаного грунта подсыпки
q = 6400
ккал/
м3; его коэффициент теплопроводности в талом состоянии
Cп.т = 400
ккал/м3·
град.
В процессе строительства здания намечается в течение зимы вентилировать охлаждающую систему.
Примем диаметр охлаждающих труб d = 0,3 м.
Глубину заложения охлаждающих труб определим по
формуле [25]
Толщину подсыпки назначим с таким расчетом, чтобы охлаждающие трубы находились в подсыпке и под ними был выравнивающий слой 0,1 м. Тогда
Определим расстояние от центра трубы до поверхности мерзлого грунта под зданием
(рис. 5) по
формуле [26].
Предварительно вычислим
Объем воздуха, необходимый для вентилирования одной трубы, определим по
формуле [28]:
Среднегодовая температура грунта на подошве сезоннооттаивающего слоя под зданием вычисляется по
формуле [29]:
Расчетные максимальные температуры грунта под зданием определим по
формуле [30]:
Значения
tмакс для различных глубин приведены в
табл. 7.
Таблица 7
hм в м | 0 | 1 | 2 | 3 | 4 |
tмакс в °C | 0 | -0,95 | -1,8 | -2,65 | -3,4 |
Значение
kср в
формуле [36] находим по
табл. 41 (11) приложения; для
t0.ср = -7,7 °C и
C'м = 380
ккал/
м3·
град kср = 2,3; тогда
3.9. Наряду с мероприятиями, необходимыми для сохранения мерзлого состояния грунтов в основании зданий и сооружений, перечисленными в пп. 3.5 - 3.8, должны быть также предусмотрены специальные мероприятия по инженерной подготовке территории, вертикальной планировке, прокладке инженерных сетей, расположении зданий и сооружений с мокрыми и горячими технологическими процессами и т.д. в соответствии с требованиями "Указаний по проектированию населенных мест, предприятий, зданий и сооружений в северной строительно-климатической зоне" (СН 353-66). |
| | ИС МЕГАНОРМ: примечание. Взамен СН 353-66 в части раздела 5 с 01.10.1972 введены в действие СНиП II-М.2-72, утв. Госстроем СССР 03.04.1972. | |
К п. 3.9. В соответствии с рекомендациями СН 353-66 мероприятия по инженерной подготовке территории строительства предусматриваются с учетом принятого принципа использования грунтов в качестве основания зданий или сооружений (принцип строительства). При строительстве по принципу I, если под слоем сезонного промерзания-оттаивания залегают сильно льдонасыщенные грунты или подземные льды в виде клиньев и пластов, необходимо сохранять естественный растительный покров, а вертикальную планировку осуществлять в насыпях, производя отсыпку грунта непосредственно на растительный покров. Срезку грунта при вертикальной планировке в рассматриваемом случае можно допускать как исключение; при этом сразу после срезки на поверхности грунта должен быть уложен теплоизоляционный слой из мха, торфа или грунта. Толщина теплоизоляционного слоя назначается с таким расчетом, чтобы процессы промерзания и оттаивания происходили в пределах этого слоя.
Водоотводные канавы в льдонасыщенных грунтах устраиваются с гидроизоляцией из глинистых грунтов и теплоизоляцией из слоя мха, торфа или шлака. Теплоизоляция может быть выполнена из местного грунта толщиной не менее 0,5 м. Необходимая толщина слоя термоизоляции должна быть определена расчетом. Перехват воды с косогоров при строительстве по принципу I следует осуществлять не нагорными канавами, а нагорными валиками с укрепленными откосами. Во всех случаях при устройстве нагорных канав или валиков они должны быть расположены не ближе 5 м от границ планируемой площади.
Существенное нарушение температурного режима основания здания или сооружения могут вызвать инженерные сети при строительстве по принципу I. В этом случае в соответствии с указаниями СН 353-66 расстояния от подземных трубопроводов до края фундаментов зданий и сооружений рекомендуется принимать на основании теплотехнического расчета, но эти расстояния должны быть не менее 6 м при прокладке трубопроводов в каналах.
3.10. Рекомендуются, как правило, свайные и сборные столбчатые фундаменты. Применение фундаментов ленточных и в виде сплошных плит допускается для зданий и сооружений, устраиваемых на подсыпках. |
К п. 3.10. Для большинства гражданских и промышленных зданий и сооружений, возводимых с сохранением мерзлого состояния грунтов основания, рекомендуется применять железобетонные сваи сплошного сечения (квадратного и прямоугольного) или трубчатые; возможно применение свай-оболочек, а также свай сложного сечения с развитым периметром.
Металлические сваи (трубчатые или из профилированного проката) допускается применять при соответствующем обосновании. Деревянные сваи допускается применять, как правило, для малоответственных сооружений, в том числе для одно-двухэтажных деревянных зданий; при этом должно быть предусмотрено антисептирование свай в пределах слоя сезонного оттаивания-промерзания. Свайные фундаменты рекомендуется устраивать с высокими ростверками.
Столбчатые фундаменты целесообразны при небольшой толщине слоя сезонного промерзания-оттаивания (1 - 1,5 м) и высокой несущей способности вечномерзлых грунтов.
Сборные железобетонные столбчатые фундаменты рекомендуются в виде полносборной стойки с башмаком или стойки с башмаком стаканного типа; сечение стойки должно быть не менее 30 x 30 см; башмак армируется с учетом его работы как анкерной плиты против выпучивания.
Для промышленных зданий иногда целесообразно применять отдельно стоящие бетонные фундаменты, собираемые из блоков (при непучинистых грунтах либо достаточной пригрузке весом сооружения от воздействия пучения); под машины и оборудование - сборные железобетонные рамные фундаменты, жестко связанные поверху.
Для малоэтажных зданий (жилых и производственных с небольшими размерами в плане) возможно применение фундаментов ленточных или в виде сплошных плит при заложении их подошвы на подсыпках из дренирующего материала (песка, гравия, щебня, горелой породы, шахтных отвалов и т.п.). Высота подсыпки определяется теплотехническим расчетом, но должна быть не менее 1 м. Глубина заложения ленточных фундаментов должна быть не менее 0,5 м от планировочной отметки, а фундаментов в виде сплошной плиты - не менее 0,3 м.
3.11. Для свайных фундаментов в проекте должен быть указан способ погружения свай, в зависимости от которого определяется несущая способность свайных фундаментов. По способу погружения в вечномерзлый грунт сваи подразделяются на: а) погружаемые в пробуренные скважины, диаметр которых превышает наибольший размер поперечного сечения сваи, с заполнением скважин грунтовым раствором; рекомендуется применять при наличии твердомерзлых и пластичномерзлых глинистых и песчаных грунтов, в том числе с содержанием крупнообломочных включений, при средней температуре грунтов в зоне заделки сваи - 0,5° С, и ниже; б) погружаемые с протаиванием грунта; рекомендуется применять при твердомерзлых глинистых, мелкозернистых и пылеватых песчаных грунтах, содержащих крупнообломочные включения не более 10% при средней температуре грунтов в зоне заделки сваи - 1,5 °C и ниже; в) бурозабивные, забиваемые в предварительно пробуренные скважины, диаметр которых менее наименьшего размера поперечного сечения сваи; рекомендуется применять при наличии пластичномерзлых грунтов; г) забивные, забиваемые в вечномерзлые грунты; рекомендуется применять при пластичномерзлых глинистых грунтах без крупнообломочных включений. Примечания: 1. Для ускорения смерзания грунта со сваями может быть применено искусственное охлаждение, в этом случае сваи могут погружаться в грунт с более высокой температурой, чем указано в п. 3.11 "а" и "б". 2. Возможность применения забивных или бурозабивных свай устанавливается при инженерно-геологических изысканиях. |
К п. 3.11. Конструкцию свай при погружении их способами, указанными в
п. "а" и
"б", следует принимать по типовому проекту серии ОФ-02-12 "Железобетонные сваи для строительства на вечномерзлых грунтах".
Конструкцию свай при погружении их способами, указанными в
п. "в" и
"г", следует принимать по типовому проекту серии ОФ-02-13 "Сваи забивные железобетонные сплошные квадратного сечения" с проверкой арматуры на разрыв при пучинистых грунтах слоя сезонного промерзания-оттаивания.
Назначение диаметра скважин при способах погружения свай, указанных в
п. "а" и
"б", и подбор составов грунтовых растворов для заполнения скважин
(п. "а"), а также работы по погружению свай осуществляются в соответствии с "Указаниями по проектированию и устройству свайных фундаментов на вечномерзлых грунтах" (РСН 14-62).
Искусственное охлаждение грунтов для ускорения их смерзания со сваями осуществляется путем охлаждения холодным воздухом скважин до установки свай. Целесообразно применять полые сваи, охлаждая их через полость. В этих случаях охлаждение может производиться периодически, в течение всего срока эксплуатации здания и сооружения, в результате чего будет повышена несущая способность свайных фундаментов.
Возможность применения забивных или бурозабивных свай, согласно
примечанию 2 к п. 3.11, определяется опытной забивкой свай, в процессе которой уточняется назначенное проектом соотношение между диаметром скважины и размерами поперечного сечения сваи, зависимость между весом сваи и сваебойного оборудования, а также уточняется расчетная нагрузка на сваю по результатам полевых испытаний свай статической и динамической нагрузки. Рекомендации приведены в "Указаниях по проектированию и устройству свайных фундаментов в условиях распространения пластичномерзлых грунтов" (РСН 30-67).
3.12. Расстояния между осями свай принимаются: а) для свай, погружаемых в предварительно пробуренные скважины, - не менее d + 0,5 м; б) для свай, погружаемых с протаиванием грунта, - не менее 4d; в) для забивных и бурозабивных свай - не менее 3d, где d - наибольший размер поперечного сечения сваи. |
К п. 3.12. Сваи располагаются в плане фундамента с учетом конструктивных особенностей здания и распределения нагрузок. Под несущими стенами жилых зданий этажностью не более 5 этажей (кирпичными, блочными, панельными) следует проектировать однорядное расположение свай. В случае больших внецентренных нагрузок ось свайного ряда целесообразно смещать для уменьшения эксцентриситета.
Под здания каркасной конструкции следует проектировать кустовое расположение свай или одиночные сваи-оболочки. При кустовом расположении свай способ погружения с протаиванием грунта не рекомендуется.
При однорядном расположении свай ростверки рекомендуются сборно-монолитные; по кустам свай - монолитные наголовники и сборные рандбалки.
3.13. Для предотвращения воздействия морозного пучения глинистых и пылеватых песчаных грунтов на здания и сооружения следует: заанкеривать фундаменты в грунте ниже слоя сезонного промерзания-оттаивания в соответствии с расчетом ( пп. 5.15 - 5.21); укладывать фундаментные балки и свайные ростверки с зазором между ними и поверхностью грунта; величина зазора принимается в зависимости от величины пучения грунта, но не менее 0,15 м. |
К п. 3.13. На фундаменты зданий и сооружений морозное пучение грунтов может воздействовать в виде касательных сил по боковой поверхности фундамента или нормальных сил по подошве фундамента. Воздействие нормальных сил морозного пучения на фундаменты исключается соответствующим выбором глубины его заложения
(п. 4.1).
Основным средством предотвращения деформаций зданий и сооружений касательными силами морозного пучения грунта, если нагрузка на фундаменты недостаточна, является закрепление фундамента в грунте ниже слоя сезонного промерзания-оттаивания (см.
пп. 5.15 -
5.20). Для устранения воздействия нормальных сил пучения на конструкции фундаментных балок и свайных ростверков рекомендуется устраивать зазор между конструкциями и грунтом на величину, равную возможной величине пучения поверхности грунта, - но не менее 0,15
м.
Использование грунтов оснований в оттаивающем и в оттаявшем
состоянии (принцип II)
3.14. При использовании грунтов основания в оттаивающем и оттаявшем состоянии применяется: постепенное оттаивание вечномерзлых грунтов основания в процессе строительства и эксплуатации здания или сооружения, когда расчетные деформации оттаивающего основания не превышают предельных значений (п. 5.22); предварительное искусственное оттаивание (при необходимости с уплотнением или закреплением оттаявшего грунта) до возведения зданий и сооружений или замена льдонасыщенных мерзлых грунтов талыми грунтами. Примечания: 1. Допускается предусматривать сочетание указанных выше мероприятий. 2. При повышенных деформациях оттаивающего или оттаявшего основания допускается применять конструкции зданий или сооружений, приспособленные к восприятию этих деформаций, в соответствии с требованиями "Указаний по проектированию населенных мест, предприятий, зданий и сооружений в северной строительно-климатической зоне" (СН 353-66). |
К п. 3.14. При постепенном оттаивании грунтов основания в процессе строительства и эксплуатации зданий и сооружений происходит их уплотнение, вызывающее осадку зданий или сооружений. Величины этой осадки не должны превосходить предельных значений, приведенных в табл. 10 и 11 главы СНиП II-Б.1-62*, если здания и сооружения специально не приспособлены к восприятию повышенных по сравнению с указанными в этих таблицах деформаций. Если определяемая расчетом деформация основания при использовании грунтов по принципу II получается большей, чем предельная для избранной конструкции здания или сооружения, то следует предусматривать специальные мероприятия по ее уменьшению. Одним из таких мероприятий является предварительное оттаивание грунтов основания искусственным путем.
Предварительное оттаивание вечномерзлых грунтов приводит к частичному их уплотнению в оттаивающей зоне под влиянием собственного веса до возведения сооружения, а величина деформации основания во время строительства и эксплуатации сооружения значительно уменьшается. В необходимых случаях предусматривается уплотнение оттаявших грунтов или их закрепление.
Другим мероприятием по улучшению свойств основания, используемого по принципу II, является замена льдонасыщенных грунтов талыми песчаными или крупнообломочными грунтами.
При повышенных деформациях допускается также применять конструкции зданий и сооружений, приспособленные к восприятию этих деформаций. Такое приспособление может осуществляться либо путем увеличения жесткости и прочности сооружений, либо путем придания конструкциям максимальной гибкости. В первом случае конструкции зданий или сооружений должны быть рассчитаны на восприятие дополнительных усилий, возникающих вследствие неравномерных осадок; во втором случае дополнительных усилий вследствие неравномерных осадок практически не должно возникать, и предельные деформации ограничиваются эксплуатационными требованиями к сохранению проектных уровней и уклонов.
При приспособлении зданий и сооружений к восприятию повышенных деформаций можно рекомендовать:
а) для конструкций, жесткость которых повышается, небольшие в плане сооружения проектировать в виде жестких и прочных пространственных систем или применять для них фундаменты в виде сплошной плиты или перекрестных лент;
большие по протяженности сооружения следует разделять осадочными швами на короткие жесткие блоки;
б) для конструкций, жесткость которых уменьшается, применять статически определимые схемы сооружений, увеличивая по возможности длину пролетов;
применять гибкие конструкции (металлические или деревянные);
использовать конструкции, допускающие их выравнивание при эксплуатации сооружения.
В обоих случаях рекомендуется зданиям и сооружениям придавать простую в плане форму. При необходимости допускается сочетать мероприятия, указанные выше, с целью нахождения оптимального проектного решения, обоснованного технико-экономическим расчетом.
3.15. При использовании вечномерзлых грунтов оснований зданий и сооружений с оттаиванием в процессе эксплуатации рекомендуется предусматривать мероприятия по уменьшению неравномерности осадок, для чего: а) обеспечивать возможно более равномерное оттаивание грунтов под фундаментами, что достигается его регулированием (теплоизоляцией, специальными нагревателями и пр.); б) не допускать резких изменений нагрузки по длине фундаментов. |
К п. 3.15. Неравномерность осадки основания при оттаивании вечномерзлого грунта в процессе эксплуатации здания или сооружения происходит прежде всего из-за неравномерного оттаивания основания. Как правило, оттаивание грунта меньше и развивается медленнее у края здания, чем под его серединой. Кроме того, глубина и скорость оттаивания грунтов основания зависит от температурного режима в отдельных помещениях зданий, а также от технологического процесса производства (например, мокрый процесс, при котором в аварийных случаях может попадать в грунт горячая вода, и др.).
Уменьшение неравномерности оттаивания, а следовательно, и осадки может быть достигнуто соответствующей планировкой помещений с разными режимами и даже выносом в отдельные здания тех из них, какие неизбежно создадут наибольшую неравномерность оттаивания основания. Уменьшить неравномерность оттаивания возможно также путем увеличения термического сопротивления пола в помещениях с большим тепловыделением.
В фундаментах тепловыделяющих агрегатов (котлы, печи и т.д.) следует устраивать вентиляционные каналы, сообщающиеся с помещением.
Для искусственного увеличения оттаивания грунта, например, у краев зданий или сооружений применяют трубы, укладываемые в основание. По трубам периодически пропускается горячая вода или пар для ускорения оттаивания грунта.
3.16. Предварительное оттаивание основания рекомендуется осуществлять при крупнообломочных, песчаных, а также глинистых грунтах в случаях, когда они переслаиваются фильтрующими грунтами или когда одновременно с оттаиванием глинистых грунтов (до устройства фундаментов) осуществляется их уплотнение или закрепление. 3.17. Глубина предварительного оттаивания грунтов основания, необходимость уплотнения или закрепления, а также толщина слоя заменяемого грунта назначается в соответствии с расчетом основания по деформациям; площадь, в пределах которой производится предварительное оттаивание грунта или его замена, должна распространяться за контуры здания или сооружения на половину расчетной глубины предварительного оттаивания или заменяемого слоя грунта, если эти мероприятия не осуществляются для всего комплекса сооружений. |
К пп. 3.16 и 3.17. Уплотнение мерзлых крупнообломочных и песчаных грунтов происходит одновременно с их оттаиванием, так как вода, образовавшаяся вследствие таяния льда, легко удаляется. Для получения полного эффекта уплотнения крупнообломочных и песчаных грунтов достаточно воздействовать на оттаявший грунт трамбовками или вибраторами.
Уплотнение мерзлых глинистых грунтов непосредственно при оттаивании происходит на 60 - 80% возможной осадки под нагрузкой, так как в результате вытаивания льда возникают крупные поры, по которым в первое время фильтрует вода (коэффициент фильтрации глинистых грунтов сразу же после их оттаивания во много раз больше обычных грунтов того же состава). После смыкания наиболее крупных макропор дальнейшее уплотнение оттаявшего глинистого грунта происходит медленно и только под воздействием внешней нагрузки.
При крупных ледяных прослойках, когда после осадки оттаявшего глинистого грунта могут остаться замкнутые макропоры, следует предусматривать заполнение макропор во время оттаивания грунта путем инъекции или электрохимическое закрепление грунтов.
Граница площади, на которой осуществляется предварительное оттаивание грунта, определяется из условия: осадка при оттаивании вечномерзлого грунта за пределами здания не должна влиять на его устойчивость.
3.18. При использовании в качестве основания грунтов, оттаявших в процессе эксплуатации или предварительно, можно применять фундаменты в виде лент, плит, столбчатые фундаменты, а также сваи-стойки или глубокие опоры. 3.19. Для зданий и сооружений с жесткой конструктивной схемой рекомендуется предусматривать применение фундаментов ленточных и в виде перекрестных лент или плит, рассчитанных на действие усилий, вызванных от неравномерных осадок оснований; столбчатые фундаменты допускаются, как правило, для предварительно оттаявших и уплотненных грунтов. 3.20. Для зданий и сооружений с податливой конструктивной схемой независимо от расчетной величины деформации основания рекомендуются столбчатые фундаменты. |
К пп. 3.18, 3.19 и 3.20. В тех случаях, когда деформации оттаивающих в процессе эксплуатации зданий оснований превышают предельные величины, можно производить частичную подготовку оснований (оттаивание и уплотнение верхних слоев грунта на глубину 3 - 5
м) с целью уменьшения неравномерности и абсолютной величины осадок оттаивающих грунтов.
При проектировании фундаментов под наружные стены зданий с податливой конструктивной схемой необходимо учитывать крены, которые возникают при неравномерном оттаивании в поперечном направлении здания. Крен наружных фундаментов будет направлен внутрь здания. Для уменьшения крена следует эксцентрично загружать фундаменты и применять прямоугольные в плане фундаменты с большими размерами в направлении, поперечном плоскости крена.
При проектировании зданий с податливой конструктивной схемой на оттаивающих грунтах следует предусматривать:
а) шарнирное опирание конструкций и площадки опирания увеличенных размеров с учетом горизонтального смешения конструкций при кренах фундаментов;
б) закладные детали и устройства для вертикальной рихтовки конструкций и особенно подкрановых путей.
| | ИС МЕГАНОРМ: примечание. Взамен СН 353-66 в части раздела 5 с 01.10.1972 введены в действие СНиП II-М.2-72, утв. Госстроем СССР 03.04.1972. | |
Осадочные швы намечаются в соответствии с рекомендациями СН 353-66.
3.21. В случаях когда скальные, крупнообломочные или песчаные грунты, дающие деформации, не превышающие предельных, залегают на небольшой глубине, но не менее 2 м, рекомендуется предусматривать применение фундаментов в виде свай-стоек; при глубине залегания этих грунтов менее 2 м - столбчатых фундаментов. При глубоком залегании указанных выше грунтов для зданий и сооружений с большими нагрузками целесообразно применение свай с уширенной пятой и свай-стоек, защемленных нижним концом в скале (величина защемления определяется расчетом). |
К п. 3.21. При залегании грунтов, указанных в
п. 3.21, на глубине 6 - 20
м под полами промышленных зданий следует предусматривать предварительное оттаивание или замену грунтов на глубину, определяемую расчетом, а для тяжелого технологического оборудования - устройство фундаментов глубокого заложения, в частности свай-стоек.
Для зданий с небольшим шагом колонн (до 12 м) полы в первом этаже можно устраивать подвесными.
Следует применять железобетонные сваи сплошного сечения:
а) по чертежам серии ОФ-02-12, если сваи устанавливаются в скважины, пробуренные через слой твердомерзлых грунтов, с заглублением забоя в скальные или крупнообломочные грунты; нижние концы свай в этом случае заделываются в слое цементно-песчаного раствора на высоту не менее 1 м от забоя;
б) по чертежам серии ОФ-02-13 и ОФ-02-15 (с предварительно напряженной стержневой арматурой), если сваи забиваются через слой пластичномерзлых грунтов до глубины, необходимой для защемления их нижних концов в слабовыветренных скальных или в крупнообломочных грунтах.
Глубина заделки свай в слое цементно-песчаного раствора, а также глубина их защемления определяется из расчета на вертикальные и горизонтальные нагрузки.
Для промышленных зданий с большими нагрузками и многоэтажных гражданских зданий (10 и более этажей) при глубоком залегании скальных грунтов рекомендуется применять сваи-оболочки, погружаемые в предварительно пробуренные скважины (диаметром до 1 м).
3.22. Для предотвращения воздействия морозного пучения глинистых и пылеватых грунтов на здания и сооружения следует предусматривать мероприятия, указанные в п. 3.13. Кроме того, рекомендуется устраивать снаружи зданий теплоизоляционные покрытия на поверхности грунта около фундаментов. |
К п. 3.22. При применении теплоизоляции глубина промерзания грунта у фундамента уменьшается по сравнению с естественным промерзанием. Этим достигается ослабление или даже предотвращение воздействия морозного пучения грунта на здания и сооружения. Теплоизоляция укладывается непосредственно под отмосткой в виде слоя из малотеплопроводного материала (шлак, торф и т.п.) толщиной 30 - 40
см.
Выбор принципа использования вечномерзлых грунтов основания
3.23. Выбор принципа использования грунтов основания, а также средств, которыми достигается предусмотренное в проекте их состояние (мерзлое или талое), производится для каждого случая в отдельности применительно к конкретным условиям строительства с учетом результатов технико-экономических расчетов. 3.24. Использование грунтов оснований в мерзлом состоянии (принцип I) рекомендуется, как правило, если грунты в природных условиях находятся в твердомерзлом состоянии (см. п. 2.3). Применение этого же принципа для пластичномерзлых грунтов допускается при условии осуществления мероприятий, обеспечивающих понижение температуры грунтов по сравнению с естественной. Принцип I может предусматриваться как для неотапливаемых (холодных), так и для отапливаемых (либо неотапливаемых, но с выделением технологического тепла) зданий и сооружений. Применение его для отапливаемых зданий наиболее целесообразно, если вечномерзлое состояние грунтов основания может быть сохранено путем устройства холодного подполья. 3.25. Использование грунтов оснований в оттаивающем и в оттаявшем состоянии (принцип II) рекомендуется при неглубоком залегании скальных грунтов и при наличии в пределах расчетной глубины оттаивания вечномерзлых грунтов, осадка которых при оттаивании не превышает предельных значений (см. п. 5.22), а также (вне зависимости от сжимаемости) при несплошном распространении вечномерзлых грунтов и при наличии пластичномерзлых грунтов или твердомерзлых, сильнофильтрующих в оттаявшем состоянии; принцип II может быть применен и при других мерзлотно-грунтовых условиях, если сохранение мерзлого состояния грунтов основания по технологическим или конструктивным особенностям здания или сооружения экономически нецелесообразно. Возможность допущения постепенного оттаивания грунтов основания в процессе эксплуатации здания или сооружения или необходимости предварительного их оттаивания устанавливается на основе предварительной оценки величины возможной осадки вечномерзлых грунтов основания при их оттаивании. |
К пп. 3.23 - 3.25. На площадках, сложенных мерзлыми грунтами, осадки которых при оттаивании могут достигать нескольких десятков сантиметров, прежде всего следует рассматривать возможность применения принципа I независимо от конструктивного решения сооружения.
Для пластичномерзлых грунтов применение принципа I требует особых мер предосторожности, так как в этом случае даже незначительное повышение температуры грунта в результате застройки площадки может резко изменить свойства мерзлого грунта или при вести к его оттаиванию. Поэтому в проекте предусматриваются такие мероприятия, которые будут способствовать понижению температуры грунтов (см.
п. 3.5,
3.6).
При необходимости применяется предварительное охлаждение грунтов основания, которое может достигаться, например, очисткой от снега площадки в зимний период, предшествующий началу строительства, охлаждением грунта через скважины, пробуренные для установки свай, и другими способами.
Если основание сложено вечномерзлыми грунтами, расчетные осадки которых при оттаивании менее предельных (см.
п. 5.22), применяется принцип II.
Инженерно-геологические условия площадки часто позволяют возвести сооружение как по принципу I, так и по принципу II. Поэтому выбор принципа зависит не только от этих условий, но и от особенностей возводимого сооружения (конструктивной схемы, нагрузок, теплового влияния на основание, объемно-пространственного решения), сроков строительства и производственных возможностей. Например, величина ожидаемой осадки одноэтажного здания может оказаться недопустимой при намеченном конструктивном решении, предусматривающем жесткие железобетонные конструкции; в подобном случае следует либо сохранить грунты основания в мерзлом состоянии, либо применить искусственное основание (замена грунтов, их предварительное оттаивание и др.). Однако могут быть найдены иные объемно-пространственные и конструктивные решения, при которых величины осадок основания будут меньше и они не вызовут значительных дополнительных усилий в конструкциях. Здание может быть запроектировано двухэтажным (вместо одноэтажного) с расположением источников, выделяющих большое количество тепла, во втором этаже; могут быть изменены типы и расположение оборудования, способы внутрицехового транспорта и т.п. Взамен жестких железобетонных конструкций возможно применение металлических. Чувствительность их к неравномерным осадкам может быть дополнительно уменьшена увеличением пролетов, введением полных или неполных шарниров. Подобными мероприятиями можно привести в соответствие ожидаемые и предельные значения деформаций основания.
Рациональное решение при выборе принципа использования грунтов может быть найдено только технико-экономическим сравнением. При этом следует иметь в виду, что не всегда основное значение для выбора принципа имеет сравнение вариантов по сметной стоимости строительства. Эксплуатация зданий, специально приспособленных к повышенным деформациям оснований, обходится, как правило, дороже. Поэтому часто оказывается целесообразным остановиться на варианте решения, позволяющем использовать обычную конструктивную схему здания, которая оказывается возможной при условии улучшения строительных свойств грунтов основания.
3.26. Предварительная оценка величины осадки вечномерзлого грунта при оттаивании для выбора принципа использования грунтов основания может производиться по формуле [119 (28)]; при этом значение относительного сжатия оттаявшего грунта определяется по формулам [120 (29)], [139 (36)] и [140 (37)] для давления  , где  - объемный вес оттаявшего грунта в кг/ см3, а zi - расстояние в см от поверхности грунта до середины i-го слоя. Суммирование по формуле [119 (28)] производится в пределах возможной глубины оттаивания, которая определяется по приложению. Подсчитанные таким путем возможные осадки Sср сравниваются с предельной величиной средней осадки Sпр.ср, приведенной в табл. 11 главы СНиП II-Б.1-62* "Основания зданий и сооружений. Нормы проектирования". Если возможная осадка Sср <= Sпр.ср, то может допускаться оттаивание вечномерзлых грунтов в процессе эксплуатации зданий или сооружений, а в случае, когда Sср > Sпр.ср, следует либо сохранять мерзлое состояние грунтов основания, либо, допуская оттаивание грунтов основания, предусмотреть применение необходимых мероприятий (см. пп. 3.14 и 3.15 настоящих Норм). |
К п. 3.26. Сжимаемость оттаивающего грунта зависит главным образом от содержания льда, и небольшое изменение давления не оказывает существенного влияния на ее величину. Поэтому допускается определять ожидаемую осадку с точностью, достаточной для выбора принципа использования грунтов как оснований по упрощенной схеме при давлении

. Это избавляет от необходимости предварительно задаваться размерами фундамента для определения дополнительного давления в грунте.
Возможная глубина оттаивания грунта Hс, в пределах которой производится суммирование осадок отдельных слоев толщиной hi, определяется по указаниям приложения.
Пример 1. Требуется выбрать принцип использования вечномерзлых грунтов основания для строительства домов в поселке при следующих исходных данных.
Характер застройки - крупноблочные бескаркасные здания. Высота зданий - 2 - 3 этажа; ширина B = 12 м; температура воздуха внутри помещения tп = 20 °C; термическое сопротивление пола R0 = 2,3 м2·ч·град/ккал.
По данным изысканий температура грунта на глубине 10
м t0 =
-4 °C. Физические характеристики грунта, залегающего на территории застраиваемого участка, приведены в
табл. 8. Кроме того, для суглинков определено
G = 0,9;

;
Лв = 0,04 и
kв = 0,4 (см.
п. 5.35).
Таблица 8
Физические характеристики грунтов и их осадка
N слоя грунта | Глубина грунта от поверхности в м | Наименование грунта | Wс |  в кг/ см3 | Wр | Wп | Si в см |
4 | 3 - 4 | Суглинки пылеватые с прослойками льда толщиной от 3 до 6 мм | 0,27 | 0,00157 | 0,13 | 11 | 6,3 |
5 | 4 - 6 | 0,28 | 0,00153 | 0,15 | 14 | 12,8 |
6 | 6 - 10 | 0,29 | 0,00150 | 0,18 | 13 | 18 |
Sср = 37,1 см |
Для обоснования выбора принципа производим приближенно расчет осадки фундаментов под внутренние стены, расположенные в зоне максимального оттаивания. Для этого:
| | ИС МЕГАНОРМ: примечание. В официальном тексте документа, видимо, допущена опечатка: формула [159 (52)] отсутствует. Возможно, имеется в виду формула [159 (53)]. | |
а) задаемся глубиной заложения фундаментов под внутренние стены
H = 3
м; определяем глубину возможного оттаивания грунта под серединой здания по
формуле [159 (52)] приложения. Эта глубина оказалась равной
Hс.п = 10
м. Следовательно, суммирование осадок слоев грунта должно производиться в интервале глубин от 3 до 10
м;
S4 = (1 - 0,04)0,05·100 + 0,4·0,04·100 = 6,3 см.
Аналогично подсчитанные значения осадок пятого и шестого слоев приведены в
табл. 8;
в) выбираем принцип использования вечномерзлых грунтов основания.
Расчетная осадка
Sср = 37,1
см превышает предельную для выбранного типа зданий, равную 8
см (см. табл. 11 главы СНиП II-Б.1-62*). Поэтому необходимо рассмотреть возможность улучшения строительных свойств основания или усиления конструкции здания. Подготовку основания необходимо произвести на такую глубину, при которой осадка основания была бы не больше предельной. Из
табл. 8 видно, что эта глубина составит около 8
м от поверхности.
В данном случае предварительное оттаивание применять не следует, так как основание сложено слабофильтрующими грунтами, для уплотнения которых потребуются сложные мероприятия (вертикальные дрены, электроосмос и т.д.).
Замена глинистых грунтов на необходимую глубину песчаным или крупнообломочными экономически нецелесообразна. Усиление конструкций зданий устройством армированных поясов не достигает цели, так как в этом случае предельная осадка увеличивается лишь до 15 см. Поэтому следует остановиться на принципе I использования грунтов в качестве основания и запроектировать здания с вентилируемыми подпольями. Это решение является наиболее рациональным, так как при низкой среднегодовой температуре грунтов t0 = -4 °C, небольшой ширине зданий B = 12 м и обычных нагрузках на пол первого этажа сохранение грунтов в мерзлом состоянии может быть достигнуто простейшими средствами - устройством вентилируемого подполья.
Пример 2. Требуется выбрать принцип использования вечномерзлых грунтов основания здания с тяжелыми нагрузками на пол первого этажа при следующих исходных данных.
Здание мелкоблочное шириной B = 12,6 м; температура воздуха внутри помещения tп = 18 °C; термическое сопротивление пола R0 = 1,9 м2·ч·град/ккал.
Физические характеристики грунта приведены в
табл. 9.
Таблица 9
Физические характеристики грунтов и их осадка
N слоя грунта | Глубина грунта от поверхности в м | Наименование грунта |  в кг/ см3 |  в кг/ см3 | Si в см |
3 | 2 - 3 | Гравийно-галечный с примесью пылеватого песка | 0,00193 | 0,00204 | 5,4 |
4 | 3 - 4 | Wс = 0,13 | 0,00196 | 0,00203 | 3,5 |
5 | 4 - 8 | | 0,00198 | 0,00204 | 2,9 |
Sср = 11,8 см |
Прослоек льда не обнаружено.
Расчет осадки основания производим в том же порядке, что и в
примере 1:
а) задаемся глубиной заложения фундаментов H = 2 м. Определяем глубину возможного оттаивания грунта под серединой здания, которая оказалась равной Hсп = 6,5 м;
Для третьего слоя имеем
В данном случае
Лв = 0, так как прослоек льда в грунте не обнаружено. Тогда по
формуле [119 (28)] получим
S3 = 0,054·100 = 5,4 см.
Вычисленные аналогично величины осадок грунта четвертого и пятого слоев приведены в
табл. 9.
Сравнивая величины полученной осадки Sср = 11,8 см с предельной величиной осадки для этого типа сооружения, равной 8 см (табл. 11 главы СНиП II-Б.1-62*), видим, что при принятом типе здания допустить оттаивание основания нельзя. Необходимо усилить стены здания армированными поясами либо принять меры к уменьшению ожидаемых осадок, что может быть достигнуто:
а) увеличением глубины заложения фундаментов на величину не менее 80 см, как это видно из таблицы расчета осадок;
б) заменой грунта под подошвой фундамента или его предварительным оттаиванием на глубину также не менее 80 см;
в) уменьшением глубины оттаивания путем увеличения термического сопротивления конструкции пола до R0 = 2,3 м2·ч·град/ккал.
Выбор окончательного решения производится на основании экономических расчетов.
Пример 3. Требуется проверить допустимость применения принципа II для строительства склада при следующих условиях.
Здание склада - одноэтажное двухпролетное со сборными железобетонными несущими конструкциями при шаге колонн 12 м; внутренних стен нет: ширина здания B = 18 м; температура воздуха внутри помещения tп = 12 °C; термическое сопротивление пола R0 = 1,3 м2·ч·град/ккал; температура грунта t0 = -3,5 °C.
Физико-механические характеристики грунтов площадки приведены в
табл. 10.
Таблица 10
Физико-механические характеристики грунтов и их осадка
N слоя | Глубина от поверхности в м | Наименование грунта | A | a в см2/ кГ | Si в см |
3 | 2,7 - 4,2 | Песок средней крупности | 0,012 | 0,001 | 2,1 |
4 | 4,2 - 5,1 | Суглинок с прослойками льда толщиной от 3 до 8 мм; Лв = 0,05 | | 0,01 | 5,1 |
5 | 5,1 - 6,9 | Песок средней крупности | 0,011 | 0,002 | 2,7 |
| | ИС МЕГАНОРМ: примечание. Текст в графе "Глубина от поверхности в м" дан в соответствии с официальным текстом документа. | |
|
6 | 9,6 - 10 | Песок гравелистый | 0,01 | 0,001 | 2,6 |
Sср = 12,5 см |
<*> Коэффициент оттаивания A (см. п. 5.36) определен по образцам, не включающим ледяные прослойки. |
Глубину заложения фундамента принимаем равной 3 м.
| | ИС МЕГАНОРМ: примечание. В официальном тексте документа, видимо, допущена опечатка: формула [159 (52)] отсутствует. Возможно, имеется в виду формула [159 (53)]. | |
Наибольшая глубина возможного оттаивания грунта под серединой здания равна 9
м и определяется по
формуле [159 (52)] приложения.
Для третьего слоя имеем
S3 = 0,014·150 = 2,1 см.
Для четвертого слоя
S4 = (1 - 0,05)0,039·90 + 0,4·0,05·90 = 5,1 см.
Вычисленные аналогично величины осадок грунта пятого и шестого слоев приведены в
табл. 10.
Сравнивая величины полученной осадки Sср = 12,5 см с предельной для этого типа сооружений Sпр.ср = 12 см (табл. 11 главы СНиП II-Б.1-62*), видим, что принцип II может быть применен без каких-либо предварительных мер по улучшению основания.
4. ГЛУБИНА ЗАЛОЖЕНИЯ ФУНДАМЕНТОВ
4.1. Глубина заложения фундаментов H, считая от уровня планировки (подсыпки или срезки), назначается в соответствии с требованиями п. 4.1 главы СНиП II-Б.1-62* "Основания зданий и сооружений. Нормы проектирования", а также в зависимости от принципа использования вечномерзлых грунтов в качестве основания, а именно: а) при использовании грунтов оснований с сохранением их мерзлого состояния минимальная глубина заложения фундаментов H принимается по табл. 11 (2); расчетная глубина сезонного оттаивания грунтов Hт, в зависимости от которой назначается минимальная глубина заложения фундаментов, определяется по указаниям п. 4.2 настоящих Норм; при крупнообломочных грунтах, крупных и средней крупности песках допускается заложение фундаментов в слое сезонного оттаивания. б) при использовании грунтов оснований в оттаивающем и оттаявшем состоянии минимальная глубина заложения фундаментов H принимается по указаниям пп. 4.8 - 4.11 главы СНиП II-Б.1-62*. Расчетная глубина сезонного промерзания грунта Hм, в зависимости от которой назначается минимальная глубина заложения фундамента, определяется по указаниям п. 4.2 настоящих Норм, а уровень грунтовых вод принимается с учетом образования под зданием или сооружением зоны оттаивания во время эксплуатации. Таблица 11 (2) Минимальная глубина заложения фундаментов H при использовании вечномерзлых грунтов в качестве основания с сохранением их мерзлого состояния |
| Типы фундаментов | Минимальная глубина заложения фундаментов H в м |
Столбчатые и др. | Hт + 1 м |
Свайные | Hт + 2 м |
Любые для временных зданий и сооружений | Не нормируется |
Примечание. Рекомендации табл. 11 (2) не распространяются на проектирование фундаментов зданий и сооружений, возводимых на подсыпках. |
К п. 4.1. Назначение глубины заложения фундаментов при использовании грунтов по принципу I обосновывается расчетом из условия обеспечения несущей способности основания (
пп. 5.4 -
5.13). Указанные в
табл. 11 (2) минимальные глубины заложения фундаментов приняты исходя из непредвиденных возможностей понижения поверхности вечномерзлого грунта и повышения его среднегодовой температуры.
При выборе глубины заложения фундаментов необходимо учитывать залегание подземного льда как горной породы. В этих случаях целесообразно увеличить глубину заложения и прорезать слой льда или назначить минимальную глубину заложения фундамента с тем, чтобы уменьшить касательные напряжения в подземном льде и, следовательно, предупредить развитие опасных деформаций ползучести.
Подсыпки (см.
примечание к табл. 11 (2)] устраиваются обычно с целью исключения необходимости земляных работ и разработки мерзлых грунтов. Они выполняются, как правило, из песчаных или крупнообломочных грунтов, которые хорошо поддаются уплотнению во время укладки и не пучатся при промерзании. Это позволяет располагать подошву фундаментов в пределах толщины подсыпки. Дополнительные расходы, связанные с устройством подсыпки, компенсируются общим уменьшением затрат на устройство фундаментов.
При использовании оснований по принципу II глубина заложения фундаментов назначается в соответствии с пп. 4.6 - 4.7 главы СНиП II-Б.1-62*.
При грунтах, указанных в
п. 5.14, дополнительно производится проверка устойчивости и прочности фундаментов на действие сил пучения (
пп. 5.15 -
5.21) независимо от принципа использования грунтов.
4.2. Расчетные глубины сезонного оттаивания Hт и сезонного промерзания Hм грунта определяются по формулам  [42 (7)]  [43 (7а)] где  и  - нормативные глубины сезонного оттаивания и сезонного промерзания грунта, определяемые в соответствии с указаниями пп. 4.3 и 4.4; mt - коэффициент теплового влияния зданий. При определении глубины сезонного промерзания грунта mt принимается по табл. 5 главы СНиП II-Б.1-62*; при определении глубины сезонного оттаивания грунта для зданий с холодными подпольями mt принимается равным: у наружных стен с отмостками, имеющими асфальтовые и тому подобные покрытия, - 1,2; то же, без асфальтовых покрытий - 1; у внутренних стен - 0,8. |
К п. 4.2. Глубина сезонного оттаивания (промерзания) грунта непосредственно у фундаментов, в зависимости от которой определяется минимальная глубина заложения фундамента, называется расчетной. Эта глубина может быть больше или меньше нормативной, так как сезонное оттаивание (промерзание) грунта зависит не только от теплообмена грунта с атмосферой, но также и теплового взаимодействия здания и его основания.
Глубина сезонного оттаивания грунта у наружных стен зданий с холодными подпольями мало отличается от глубины оттаивания грунта на незастроенной части площадки; поэтому значение mt принимается равным 1. Черное покрытие вокруг здания повышает температуру поверхности и увеличивает расчетную глубину сезонного оттаивания, что учитывается увеличением значения mt до 1,2. У фундаментов внутренних стен и опор зданий с холодными подпольями поверхность грунта защищена от солнечной радиации и снега, в связи с чем расчетная глубина сезонного оттаивания оказывается менее нормативной; в этом случае mt принимается равным 0,8.
4.3. Нормативная глубина сезонного оттаивания грунта  принимается равной наибольшей из ежегодных максимальных глубин сезонного оттаивания грунта по данным наблюдений (за срок не менее 10 лет) за фактическим оттаиванием грунтов на осушенной площадке без растительного и торфяного покрова, очищаемой весной от снега. При отсутствии данных многолетних наблюдений нормативную глубину сезонного оттаивания грунта  разрешается определять путем теплотехнического расчета, например, по формуле [147 (42)] приложения. 4.4. Нормативная глубина сезонного промерзания грунта  определяется по данным натурных многолетних наблюдений в соответствии с указаниями п. 4.2 главы СНиП II-Б.1-62*. |
| | ИС МЕГАНОРМ: примечание. В официальном тексте документа, видимо, допущена опечатка: формула [152 (45)] отсутствует. Возможно, имеется в виду формула [151 (45)]. | |
|
При отсутствии данных многолетних наблюдений нормативную глубину сезонного промерзания грунта  разрешается определять путем теплотехнического расчета, например, по формуле [152 (45)] приложения. |
К пп. 4.3, 4.4. Глубина сезонного оттаивания в отличие от глубины сезонного промерзания грунта определяется не как средняя за многолетний период, а как наибольшая. С увеличением глубины сезонного оттаивания снижается несущая способность мерзлого основания вследствие повышения температуры грунтов, а также увеличиваются силы пучения.
Требование норм о наблюдении за глубиной сезонного оттаивания на очищаемой весной от снега площадке обусловлено тем, что в этом случае условия на площадке будут сходны с условиями территории после ее освоения.
Как глубина сезонного оттаивания, так и глубина сезонного промерзания грунта после застройки площадки обычно увеличивается в 1,2 - 1,8 раза вследствие нарушения естественного растительного покрова и уменьшения влажности грунта в результате инженерной подготовки территории и других работ. Поэтому глубина сезонного оттаивания-промерзания, установленная при инженерных изысканиях, выполняющихся в течение одного сезона, не может быть принята непосредственно в расчете. К измеренным глубинам сезонного оттаивания и сезонного промерзания грунта необходимо вводить различные поправки или определять их расчетом, в частности, по
формулам [147 (42)] и
[151 (45)], приведенным в приложении.
5. РАСЧЕТ ОСНОВАНИЙ И ФУНДАМЕНТОВ
5.1. Расчет оснований и фундаментов производится по предельным состояниям в соответствии с главой СНиП II-А.10-62 "Строительные конструкции и основания. Основные положения проектирования". При этом следует учитывать принятый принцип использования вечномерзлых грунтов оснований и их температурный режим, определяемый теплотехническим расчетом. 5.2. Расчет оснований и фундаментов следует производить: по первому предельному состоянию (по несущей способности): по прочности - основания, сложенные твердомерзлыми грунтами (см. пп. 5.5 - 5.12) и скальными грунтами, в соответствии с требованиями глав СНиП II-Б.1-62* и СНиП II-Б.5-67, а также фундаменты всех видов (включая сваи и ростверки), согласно требованиям норм проектирования конструкций из соответствующих материалов (бетонных и железобетонных, каменных и армокаменных, деревянных и др.); по устойчивости - фундаменты и их основания, сложенные пластичномерзлыми, нескальными оттаявшими или оттаивающими в процессе эксплуатации сооружения грунтами, в случаях, если на них передаются горизонтальные нагрузки в основном сочетании или если основания ограничены вниз идущими откосами (см. п. 5.13), а фундаменты, кроме того, - на действие сил пучения (см. пп. 5.14 - 5.21); по второму предельному состоянию (по деформациям): основания, сложенные пластичномерзлыми, нескальными оттаявшими или оттаивающими в процессе эксплуатации сооружений грунтами (см. пп. 5.22 - 5.39); фундаменты или их элементы в случаях, когда это требуется нормами проектирования конструкций из соответствующих материалов, руководствуясь указаниями этих же норм; по третьему предельному состоянию (трещиностойкости): по образованию или раскрытию трещин - фундаменты или их элементы в случаях, когда это требуется нормами проектирования бетонных и железобетонных, каменных и армокаменных конструкций, руководствуясь указаниями этих же норм. |
К пп. 5.1, 5.2. При расчете по предельным состояниям оснований, сложенных мерзлыми грунтами, необходимо учитывать реологические свойства этих грунтов, проявляющиеся в явлении ползучести и в снижении сопротивления нагрузкам при их длительном воздействии. Явление ползучести заключается в том, что деформации грунта нарастают с течением времени (
рис. 6,
а,
б). Если нагрузка не очень велика, то эти деформации грунта постепенно затухают. Если же нагрузка достаточно большая, то развивается незатухающая деформация (течение), приводящая к разрушению. Зависимость между величиной разрушающей нагрузки и временем, через которое произойдет разрушение, характеризует процесс снижения прочности грунта в результате ползучести (
рис. 6,
в). Эта прочность снижается от условно-мгновенной
R0, вызывающей разрушение при быстром загружении (что равносильно понятию временного сопротивления), до предельно-длительной

, называемой пределом длительной прочности, являющемся таким напряжением, до превышения которого деформации затухают и разрушения не происходит; при превышении же возникают незатухающие деформации ползучести, заканчивающиеся разрушением или потерей устойчивости.

Рис. 6. Графики развития деформации ползучести
мерзлых грунтов
а - при постоянных нагрузках; б - при возрастающих
нагрузках; в - снижение прочности грунта в зависимости
от длительности действия нагрузок; 1 - деформация;
2 - время; 3 - разрушающее напряжение
Состояние, при котором напряжения сдвига, возникающие в основании из мерзлых грунтов, достигают предельно-длительного значения, рассматривается как первое предельное состояние основания.
Целью расчета по первому предельному состоянию является обеспечение прочности или устойчивости основания и фундамента, а также ограничение развития чрезмерных пластических деформаций. В данном случае под прочностью основания понимается то наибольшее значение местной нагрузки, при превышении которой фундамент вдавливается в грунт, разрушающийся по плоскостям сдвигов. Если же характер сдвигов в грунте таков, что при этом нарушается равновесие фундамента и он опрокидывается или перемещается вверх, то явление рассматривается как потеря им устойчивости.
Под вторым предельным состоянием подразумевается такое развитие деформаций грунтов основания (включая деформации ползучести), при котором надфундаментные конструкции переходят в одно из трех установленных для них предельных состояний. Соответственно задачей расчета оснований по второму предельному состоянию является ограничение деформаций надфундаментных конструкций такими пределами, которые гарантируют от появления недопустимых для нормальной эксплуатации конструкций трещин и повреждений, а также от изменений проектных уровней и положений.
У твердомерзлых грунтов деформации ползучести при напряжениях, меньших предела длительной прочности, незначительны, а объемная сжимаемость весьма мала. Такие грунты могут рассматриваться как практически несжимаемые, и поэтому основания, сложенные твердомерзлыми грунтами (используемыми по принципу сохранения мерзлого состояния), рассчитываются по прочности. Расчет сводится к определению предельной нагрузки, т.е. нагрузки, до превышения которой не возникает незатухающая ползучесть, приводящая к разрушению.
По прочности рассчитываются также основания, сложенные скальными грунтами. В этом случае расчет выполняется согласно указаниям п. 5.30 главы СНиП II-Б.1-62*.
Расчет по устойчивости фундаментов и их оснований, сложенных пластичномерзлыми, нескальными оттаявшими и оттаивающими грунтами, производится в случаях, когда возможно нарушение равновесия фундамента, например:
а) сдвиг части массива грунта по поверхности скольжения вместе с фундаментом. Такой случай может быть, когда сооружение возводится вблизи откоса или когда сооружению передаются большие горизонтальные нагрузки, например давление грунта (подпорная стенка);
б) опрокидывание фундамента под действием значительных горизонтальных сил, например фундамента дымовой трубы, мертвой опоры трубопровода, фундамента машины с неуравновешенной горизонтальной составляющей нагрузки и т.п.
Фундаменты, кроме того, рассчитываются по устойчивости на действие сил пучения.
При пучении грунтов слоя сезонного промерзания-оттаивания фундамент подвергается действию касательных сил, возникающих на его боковой поверхности и обусловленных смерзанием с нею грунта. Если выпучивающие силы не уравновешены нагрузкой от сооружения и реакциями грунта ниже слоя сезонного оттаивания, то фундамент будет перемещаться вверх. Задачей расчета фундамента на устойчивость при пучении и является недопущение указанных перемещений.
Расчет по второму предельному состоянию - по деформациям - производится для оснований, сложенных сжимаемыми грунтами, так как в этих случаях основной опасностью для сооружений являются не разрушения грунта, а большие осадки, которые могут наступить задолго до того, как будет исчерпана несущая способность основания.
Грунты, находящиеся в пластичномерзлом состоянии, обладают ощутимой сжимаемостью. Поэтому основания, сложенные такими грунтами (используемые с сохранением мерзлого состояния), должны рассчитываться по деформациям.
Ограничение осадок основания в еще большей степени является решающим в случаях, когда допускается оттаивание мерзлых грунтов, поскольку при переходе мерзлых грунтов в талое состояние их сжимаемость резко возрастает, достигая весьма больших значений. Как показала практика строительства, основной причиной деформации и аварий сооружений, возводимых на вечномерзлых грунтах, являются недопустимо большие осадки основания при его оттаивании. Поэтому при использовании мерзлых грунтов основания в оттаивающем или оттаявшем состоянии (принцип II) эти основания должны рассчитываться по деформациям.
Расчет конструкций фундаментов по первому, второму и третьему предельным состояниям производится согласно требованиям норм проектирования конструкций из соответствующих материалов.
5.3. Нагрузки, действующие на основания и фундаменты и сочетание нагрузок, определяются в соответствии с требованиями главы СНиП II-А.11-62 "Нагрузки и воздействия. Нормы проектирования" и пп. 5.2 - 5.4 главы СНиП II-Б.1-62*. Примечания: 1. Расчет оснований по деформациям производится на основное сочетание нагрузок, а по несущей способности - на основное и дополнительное или особое сочетание нагрузок. 2. Дополнительное усилие, возникающее вследствие проявления неравномерной осадки, считается временной длительной нагрузкой. |
К п. 5.3. В соответствии с главой
СНиП II-А.10-62 расчет фундаментов и их оснований производится при первом предельном состоянии - на действие расчетных, при втором - на действие нормативных нагрузок. Расчет по третьему предельному состоянию производится на действие нормативных или расчетных нагрузок в зависимости от характера влияния трещин на прочность и долговечность фундамента (по нормам проектирования железобетонных конструкций).
Для упрощения расчета по второму или третьему предельному состоянию разрешается определять суммарную нормативную нагрузку на основание от совместного действия постоянных и двух или более временных нагрузок, воспользовавшись усилиями от расчетных нагрузок, величины которых следует разделить на осредненный коэффициент перегрузки 1,2.
Нагрузки на основания и фундаменты определяются с учетом следующих особенностей:
| | ИС МЕГАНОРМ: примечание. Взамен СНиП II-А.11-62 Постановлением Госстроя СССР от 08.02.1974 N 16 с 01.09.1974 введены в действие СНиП II-6-74. | |
а) воздействия на фундамент, возникающие вследствие пучения грунта, рассматриваются как кратковременная нагрузка, а поэтому совместное действие этой нагрузки с другой кратковременной является дополнительным сочетанием; если же учитываются помимо пучения еще и одна из особых нагрузок, такое сочетание является особым. Согласно п. 1.8 главы СНиП II-А.11-62 к сумме кратковременных нагрузок в первом случае (дополнительное сочетание) вводится коэффициент 0,9, во втором (особое сочетание) - 0,8;
б) при сборе нагрузок рекомендуется выделять такие, которые могут действовать лишь ограниченное время (менее 24
ч), поскольку в этих случаях допускается повышать нормативные сопротивления грунтов нормальному давлению
Rн (см.
п. 5.7);
в) дополнительные усилия, возникающие в конструкциях вследствие неравномерных осадок основания, рассматриваются как длительно действующие. Так как осадки оснований (сложенных пластичномерзлыми грунтами или оттаивающими во время существования сооружения) развиваются постепенно, то они определяются от действия нормативных нагрузок без учета временных и случайных перегрузок.
Расчет по несущей способности
5.4. Расчет оснований и фундаментов по несущей способности производится по формуле  [44 (8)] где N - заданная расчетная нагрузка на основание в наиболее невыгодной комбинации;  - несущая способность основания для данного направления нагрузки N и при расчетном температурном режиме грунтов основания. 5.5. При расчете оснований центрально нагруженных фундаментов по несущей способности (по прочности) величины N и формулы [44 (8)] имеют следующие значения: N - расчетная вертикальная нагрузка от зданий и сооружений на основание, включая вес фундамента и грунта, лежащего на его уступах;  - несущая способность основания, определяемая для всех видов фундаментов по формуле  [45 (9)] где k1 и k2; m1 и m2 - соответственно коэффициенты однородности и условий работы грунта основания, принимаемые согласно указаниям п. 5.6;  - нормативное сопротивление мерзлых грунтов сдвигу по боковой поверхности смерзания в кГ/ см2 для середины i-го слоя вечномерзлого грунта, определяемое согласно п. 5.7; Fсдi - площадь поверхности сдвига i-го слоя грунта в см2; n - количество слоев вечномерзлого грунта, на которое разделяется толща основания в пределах поверхности смерзания фундаментов с грунтом; Rн - нормативное сопротивление мерзлого грунта нормальному давлению в кГ/ см2 под подошвой фундамента или под нижним концом сваи, определяемое согласно указаниям п. 5.7; F - площадь подошвы фундамента в см2 (для свай - площадь поперечного сечения у нижнего конца). Примечания: 1. Для столбчатых фундаментов смерзание грунта с боковой поверхностью, определяемое первым членом формулы [45 (9)], допускается учитывать только при условии тщательного уплотнения обратной засыпки пазух котлована влажным грунтом. При этом принимается:  [46 (9а)] где  - среднее по высоте нижней ступени фундамента нормативное сопротивление грунта сдвигу в кГ/ см2; Fсд - площадь смерзания грунта только с боковыми поверхностями нижней ступени фундамента в см2. 2. Для свайных фундаментов, если сваи прорезают талый грунт, а также если слой сезонного промерзания-оттаивания сложен песчаными и крупнообломочными грунтами, допускается учитывать сопротивление трению этих грунтов по боковой поверхности сваи. Нормативное сопротивление талых грунтов по боковой поверхности сваи принимается согласно указаниям главы СНиП II-Б.5-67 "Свайные фундаменты. Нормы проектирования" в зависимости от способа погружения свай. |
К пп. 5.4 и 5.5. Для расчета по первому предельному состоянию принято обобщенное выражение несущей способности оснований свайного и столбчатого фундаментов
(рис. 7).
Рис. 7. Расчетные схемы на вертикальную нагрузку фундаментов
а - ступенчатого; б - свайного
Под несущей способностью понимается расчетное значение предельно-длительной прочности, т.е. значение прочности грунта, определенное по нормативным характеристикам, умноженным на произведение коэффициентов однородности
k и условий работы
m. Для наиболее часто встречающегося случая осевой нагрузки несущая способность основания определяется по
формуле [45 (9)]. Эта формула включает две составляющие реакции основания - касательную к боковой поверхности фундамента, обусловленную смерзанием с нею грунта и нормальную к подошве (или нижнему концу сваи).
Вторая составляющая реакции основания, т.е. второе слагаемое в
формуле [45 (9)], определяется при значении нормативного сопротивления нормальному давлению, установленному в зависимости от максимальной температуры грунта. Практические методы определения расчетных значений температур приведены в
пп. 5.8 и
5.10.
Определение первого слагаемого в
формуле [45 (9)] требует послойного суммирования эпюры сопротивлений мерзлых грунтов сдвигу по боковой поверхности фундаментов

, так как эти сопротивления изменяются по глубине в зависимости от температуры. В свою очередь, температура изменяется во времени.
При определении нормативных сопротивлений

для свай принимается такое возможное распределение температур по глубине, при котором площадь эпюры сопротивлений сдвигу оказывается наименьшей. Для свай, сечения которых не имеют входящих углов (круглые, прямоугольные и т.п.), площадь сдвига
Fсд принимается равной площади боковой поверхности сваи в вечномерзлом грунте, а значения

определяются по
табл. 14 (5). Для свай, сечения которых имеют входящие углы (например, двутавровые и т.п.), первое слагаемое в
формуле [45 (9)] принимается как наименьшее из расчета по двум возможным формам поверхностей сдвига
(рис. 8):
а) по контакту грунта со сваей, когда следом поверхности сдвига является периметр сечения сваи; при этом значения

принимаются по
табл. 14 (5);
б) по наименьшей возможной поверхности сдвига, след которой на горизонтальную плоскость не имеет входящих углов. При этом величина

при сдвиге внутри грунтового массива может быть принята по
табл. 16, в которой даются значения сопротивления сдвигу грунта по грунту.
Рис. 8. Формы поверхностей сдвига при смерзании свай
фигурного профиля с грунтом
1 - сдвиг по поверхности смерзания;
2 - сдвиг внутри грунтового массива
Для столбчатых фундаментов допускается упрощенный способ определения сопротивления мерзлого грунта сдвигу по
формуле [46 (9а)]. Эта формула, справедливая при неглубоком заложении фундаментов в вечномерзлый грунт (до 2
м ниже глубины сезонного оттаивания), учитывает смерзание грунта с боковыми гранями только нижней ступени башмака, так как неучитываемая часть реакции основания мала и не оказывает заметного влияния на определяемые размеры подошвы фундамента. Соответственно в расчет вводится среднее значение сопротивления мерзлого грунта сдвигу

[47]
где

и

- нормативные сопротивления сдвигу на уровне верхнего обреза нижней ступени башмака и на уровне подошвы фундамента.
Значения

и

определяются по
табл. 14 (5) при соответствующих расчетных температурах грунта.
Примечанием 2 к п. 5.5 допускается при определении несущей способности сваи включать в
формулу [45 (9)] дополнительное сопротивление сдвигу талого грунта, если сваи прорезают такой грунт, и слоя сезонного промерзания-оттаивания. Однако если не исключена возможность увеличения глубины сезонного оттаивания, то учитывать сопротивление сдвигу сезоннооттаивающего грунта не следует, так как в этом случае может возникнуть осадка поверхности грунта, и грунт, перемещаясь по свае, будет ее дополнительно нагружать.
Сопротивление трения в слое сезонного оттаивания учитывается только, если он сложен песчаными или крупнообломочными грунтами, так как при глинистых грунтах вокруг сваи образуется кольцевая полость и контакт сваи с грунтом нарушается. Кроме того, сопротивление трения глинистых грунтов мало по величине и практически не оказывает существенного влияния на несущую способность сваи.
Усилия в башмаке фундамента при использовании оснований по принципу I должны определяться с учетом смерзания боковых поверхностей с вечномерзлым грунтом, сопровождающегося возникновением касательных сил по периметру башмака. При расчете прочности башмака следует рассматривать наиболее опасный случай, когда на боковые грани передается нагрузка, равная прочности сдвига при смерзании с грунтом. Эта прочность может быть принята равной нормативной, увеличенной введением коэффициента перегрузки n, учитывающего повышение прочности при кратковременном загружении или при понижении температуры грунта.
Таким образом, нагрузка в кГ/см, касательная к боковой поверхности нижней ступени башмака и линейно распределенная по периметру подошвы центрально нагруженного фундамента:

[48]
Нагрузка в кГ/см2, распределенная по подошве:

[49]
n - коэффициент перегрузки, принимаемый равным 1,2;
hб - высота нижней ступени башмака в см;
N - расчетная нагрузка на фундамент без учета веса грунта, лежащего на его уступах;
Uа, F - соответственно длина периметра в см и площадь подошвы фундамента в см2.
5.6. Значения коэффициентов однородности грунтов k1 и k2 в формуле [45 (9)] принимаются равными 0,8. Для забивных и бурозабивных свай в вечномерзлых грунтах с сетчатой и слоистой текстурами (см. п. 2.7) при льдистости (см. п. 2.6) Лв > 0,1 значения k1 умножаются на коэффициент, равный (1 - Лв); значение Лв определяется в пределах всей глубины погружения сваи в вечномерзлый грунт. Таблица 12 (3) Значения коэффициента условий работы грунта m1 |
| Вид фундаментов и условия их устройства | m1 |
1. Все виды фундаментов (кроме свайных), устанавливаемых в открытые котлованы с тщательным послойным уплотнением обратной засыпки, при температуре грунта t0 = -2 °C и ниже | 1 |
2. То же, при температуре грунта t0 выше -2 °C | 0,9 |
3. Свайные фундаменты со сваями, свободно погружаемыми в скважины, залитые раствором, или со сваями, погружаемыми с протаиванием грунта | 1 |
4. То же, с бурозабивными или забивными сваями | 1,1 |
Таблица 13 (4) Значения коэффициента условий работы грунта m2 |
| Вид фундаментов и наименование грунта | m2 |
1. Все виды фундаментов (кроме свайных) при грунтах всех видов | 1 |
2. Свайные фундаменты при грунтах крупнообломочных без значительных ледяных включений при Лв <= 0,03 | 2,5 |
3. То же, при грунтах песчаных крупных и средней крупности без значительных ледяных включений при Лв <= 0,03 | 1,5 |
4. То же, при грунтах крупнообломочных и песчаных крупных и средней крупности при Лв > 0,03, а также песчаных мелких и пылеватых и грунтах глинистых всех видов при Лв <= 0,1 | 1,2 |
5. То же, при грунтах глинистых всех видов с сетчатой и слоистой текстурой при Лв > 0,1 | 1 |
Примечания: 1. При опирании сваи на лед несущая способность основания торца свай не учитывается, т.е. m2 = 0. 2. Для деревянных свай, погруженных с применением пропаривания или погруженных в скважины, залитые раствором, принимается m2 = 0. |
К п. 5.6. Для оснований, сложенных мерзлыми грунтами, коэффициенты условий работы нормированы раздельно для двух составляющих реакций основания. Разделение вызвано тем, что на эти реакции различное влияние оказывают особенности природных условий, конструкций фундаментов и способы их возведения.
Коэффициентом условий работы m оценивается комплекс следующих особенностей:
а) качество обратной засыпки, плотность и непрерывность контакта грунта с фундаментом, обусловленные способом производства работ;
б) стабильность механических характеристик грунтов в зависимости от природного температурного режима;
в) особенность напряженного состояния и точность отражения его расчетной схемой.
Большие значения m2 для свай обусловлены увеличением сопротивления грунтов под торцом сваи по сравнению с их сопротивлением под подошвой неглубоко заложенного столбчатого фундамента, поскольку в этом случае увеличивается не только величина пригрузки от собственного веса грунта, но и вступает в работу весь массив грунта в пределах заглубления сваи.
С увеличением льдистости значения m2 уменьшаются.
Для грунтов с ледяными прослойками повышение m2 не предусматривается, потому что торец сваи может оказаться опертым непосредственно на ледяную прослойку, в то время как под подошвами фундаментов других типов это исключается в связи с устройством песчаной подушки. Если же торец сваи опирается на лед, залегающий сплошным массивом, что устанавливается на основании инженерных изысканий, то сопротивление основания под нижним концом сваи не учитывается (m2 принимается равным нулю), так как у льда нет предела длительной прочности. В равной степени не учитывается также сопротивление грунта под нижними концами малонагруженных фундаментов и деревянных свай, так как такие сваи легко выпучиваются в процессе производства работ при замерзании вокруг них грунта и, как показывают контрольные вскрытия, под их торцами обнаруживаются зазоры, не заполненные грунтом.
Коэффициентом однородности учитывается изменчивость свойств грунтов природного сложения, в том числе и обусловленная их криогенной текстурой. Изменчивость же свойств одной разновидности грунта по данным отдельных опытных определений учтена в величинах нормативных сопротивлений. Поэтому значения коэффициентов однородности для обеих составляющих реакций основания приняты одинаковыми, за исключением свай, погружаемых забивным или бурозабивным способом в грунты с большим количеством ледяных включений (Лв > 0,1). При таком способе погружения свай ледяные включения могут примыкать к боковой поверхности сваи, а поскольку лед не обладает пределом прочности, его сопротивлением сдвигу в данном случае следует пренебречь. Это учитывается в расчете снижением k1 путем умножения на (1 - Лв).
5.7. Нормативные сопротивления  и Rн в формуле [45 (9)] характеризуют предельно-длительные сопротивления грунтов данному виду нагрузки, т.е. такие сопротивления, при которых деформации грунта с течением времени затухают, а при превышении их возникают незатухающие во времени деформации ползучести. Нормативное сопротивление мерзлых грунтов сдвигу по боковой поверхности смерзания  в кГ/ см2 принимается по табл. 14 (5) для расчетной температуры в середине i-го слоя вечномерзлого грунта. Таблица 14 (5) Нормативные сопротивления мерзлых грунтов сдвигу  в кГ/см2 по бетонным и деревянным поверхностям фундаментов |
| Наименование грунтов | Нормативные сопротивления  в кГ/ см2 при температуре грунтов в °C |
-0,5 | -1 | -1,5 | -2 | -2,5 | -3 | -3,5 | -4 и ниже |
1. Песчаные всех разновидностей | 0,8 | 1,3 | 1,6 | 2 | 2,3 | 2,6 | 2,9 | 3,3 |
2. Глинистые, включая пылеватые | 0,5 | 1 | 1,3 | 1,5 | 1,8 | 2 | 2,3 | 2,5 |
Примечания: 1. Значения  при смерзании грунтов с металлическими поверхностями, если эти поверхности специально не обработаны, принимаются с коэффициентом 0,7. 2. Допускается корректировать значения  по данным опыта строительства или результатам испытания грунта. 3. Нормативные сопротивления  , приведенные в табл. 14 (5), не распространяются на мерзлые грунты с засоленностью более 0,25% (см. п. 2.11) и определяются по данным специальных испытаний. |
Нормативное сопротивление мерзлых грунтов нормальному давлению Rн в кГ/ см2 на глубине заложения подошвы фундамента или нижнего конца сваи принимается по табл. 15 (6) для температуры вечномерзлого грунта на этой глубине (см. п. 5.8). Таблица 15 (6) Нормативные сопротивления мерзлых грунтов нормальному давлению Rн в кГ/см2 |
| Наименование грунтов | Нормативные сопротивления Rн в кГ/см2 при температуре грунтов в °C |
-0,5 | -1 | -1,5 | -2 | -2,5 | -3 | -3,5 | -4 и ниже |
1. Крупнообломочные и песчаные крупные и средней крупности | 9 | 12 | 14 | 16 | 18 | 19 | 21 | 23 |
2. Песчаные мелкие и пылеватые | 7 | 9 | 11 | 13 | 14 | 16 | 17 | 18 |
3. Супеси, включая пылеватые | 5 | 7 | 9 | 10 | 11 | 13 | 14 | 15 |
4. Суглинки и глины, включая пылеватые | 4 | 6 | 7 | 8 | 9 | 10 | 11 | 12 |
5. Все виды грунтов, указанные в пп. 1 - 4, с ледяными прослойками и включениями льда при 0,2 <= Лв <= 0,4 | 3 | 4 | 5 | 6 | 7 | 8 | 8 | 9 |
2. При грунтах, указанных в п. 5 табл. 15 (6), следует предусматривать устройство песчаных подушек толщиной h >= 0,2 м.3. Нормативные сопротивления грунтов с Лв > 0,4 назначаются по данным специальных исследований. 4. Для кратковременных нагрузок, действующих в течение времени  , значения Rн могут приниматься с коэффициентами 1,5 при  ; 1,4 при  ; 1,3 при  ; 1,2 при  и 1,1 при  . Указанное повышение Rн производится при условии продолжительности перерывов в действии нагрузки не менее времени ее приложения. 5. Допускается корректировать значения Rн по данным опыта строительства или результатов испытания грунта. 6. Нормативные сопротивления Rн, приведенные в табл. 15 (6), не распространяются на мерзлые грунты с засоленностью более 0,25% (см. п. 2.11) и определяются по данным специальных испытаний. |
К п. 5.7. В соответствии с п. 5.4 главы СНиП II-Б.1-62* при расчете оснований используются нормативные и расчетные характеристики грунта. За нормативную принимается среднее значение характеристики, полученное по данным испытаний в количестве, достаточном для статистического обобщения. Расчетные характеристики определяются как произведение нормативной характеристики на коэффициент однородности и коэффициент условий работы. В данном пункте приведены нормативные характеристики, определенные как среднее значение разрушающего напряжения с учетом реологических свойств мерзлых грунтов - снижение их прочности при длительном воздействии нагрузки. Значению нормативного сопротивления соответствует предел длительной прочности (см.
пояснение к пп. 5.1 и 5.2).
При замерзании грунта его прочность повышается вследствие возникновения дополнительных связей, обусловленных цементирующим действием образующегося льда. С понижением отрицательной температуры изменяется соотношение между количеством незамерзшей воды и льдом, а также изменяются механические свойства льда и вязкость пленок незамерзшей воды. Соответственно изменяется и прочность мерзлых грунтов, что отражено в
табл. 14 (5) и
15 (6) зависимостью
Rн и

от температуры грунта.
Сопротивление мерзлых грунтов сдвигу вдоль боковой поверхности фундамента (называемое иногда в научно-технической литературе "прочностью смерзания") обусловлено силами сцепления и трения грунта, смерзшегося с боковой поверхностью фундамента.
Для свай, погруженных с оттаиванием, значения

назначаются в зависимости от состава грунта, окружающего сваю. При этом влажность грунта не учитывается, поскольку в процессе промерзания оттаянного грунта происходит перераспределение влаги и конечная влажность грунта оказывается малозависящей от естественной влажности или влажности после оттаивания.
Для свай, погруженных в скважины, заполненные грунтовым раствором, следует, как правило, принимать наименьшие значения

, соответствующие глинистым грунтам. Это обусловливается тем, что грунтовые растворы обычно содержат большую долю глинистых фракций.
Применение виброуплотнения повышает прочность смерзания грунтового раствора со сваей. Поэтому если при установке свай будет применен песчаный раствор с виброуплотнением (что должно быть оговорено в проекте), то можно принять повышенные значения

, соответствующие песчаным грунтам.
Для забивных и бурозабивных свай значения

принимаются по
табл. 14 (5); повышение же несущей способности при таких способах погружения свай учитывается некоторым увеличением коэффициента условий работы в
формуле [45 (9)] (см.
п. 5.6). Дальнейшее возможное повышение несущей способности для забивных и бурозабивных свай может быть сделано на основании данных натурных испытаний в соответствии с указаниями
п. 5.11.
Значения

, приведенные в
табл. 14 (5), могут применяться только при таких способах производства работ, которые исключают выделение льда на контакте грунта со сваей. Так, например, при производстве свайных работ в зимнее время у поверхности сваи, температура которой отрицательная, может иметь место льдовыделение вследствие миграции влаги к охлажденной поверхности. Чтобы избежать этого зимой, сваи перед погружением подогревают до положительной температуры, и это обеспечивает прочность смерзания, соответствующую нормативному значению.
Приведенные в
табл. 14 (5) значения

относятся к сопротивлению сдвигу мерзлого грунта по бетонным и деревянным поверхностям фундамента. Опыты показали, что для металлических поверхностей (например, металлические сваи) эти значения уменьшаются, что и оговорено в
примечании 1 к табл. 14 (5). Обработка этих поверхностей, например, цементным раствором может привести к увеличению нормативных сопротивлений

. В этих случаях значения

должны устанавливаться на основе специальных испытаний.
Примечание 2 к табл. 14 (5) разрешает корректировать значения

, поскольку одной таблицей невозможно охватить всего многообразия мерзлотно-грунтовых условий, а также особенностей, обусловленных типом фундамента, способом его устройства и т.д. Такое корректирование допускается на основе обобщения опыта строительства и по данным испытаний путем выдергивания свай или их продавливания при исключении работы торца.
Значения

при использовании данных
табл. 14 (5) для расчета свай или глубоко заложенных столбчатых фундаментов допускается определять по среднемесячной температуре грунта. При этом необходимо иметь в виду, что из всех кривых среднемесячных выбирается такая, которая обусловливает наименьшую площадь эпюры

по глубине.
Величины нормативных сопротивлений сдвигу в
табл. 14 (5) приведены для поверхностей смерзания грунта с фундаментом. Если же происходит сдвиг грунта по грунту, как, например, при продавливании свай фигурного сечения, то значения

могут быть приняты по
табл. 16.
Таблица 16
Нормативные сопротивления
в кГ/см2
сдвигу грунта по грунту
Наименование грунтов | Нормативные сопротивления  в кГ/см2 при температуре грунтов в °C |
-0,5 | -1 | -1,5 | -2 | -2,5 | -3 | -3,5 | -4 и ниже |
Песчаные всех разновидностей | 1,2 | 1,7 | 2,1 | 2,4 | 2,7 | 3 | 3,2 | 3,4 |
Глинистые, включая пылеватые | 0,8 | 1,2 | 1,5 | 1,7 | 1,9 | 2,1 | 2,3 | 2,5 |
Температура замерзания засоленных грунтов ниже температуры замерзания незасоленных грунтов. При этом необходимо учитывать, что грунт естественного сложения имеет более низкую температуру замерзания, чем тот же грунт при нарушенной текстуре. Для засоленных супесей и суглинков, представленных морскими отложениями, с влажностью, большей предела раскатывания, температура замерзания приближенно определяется по
табл. 17.
Таблица 17
Температура замерзания засоленных суглинков и супесей
Концентрация порового раствора k | 0,005 | 0,01 | 0,03 | 0,05 |
Температура замерзания в °C | -0,2 | -0,5 | -1,4 | -2,2 |
Примечание. Концентрация порового раствора k определяется как отношение веса растворенной в воде соли gс к весу грунтового раствора  (где gw - вес воды). |
Нормативные сопротивления мерзлых грунтов нормальному давлению
Rн, приведенные в
табл. 15 (6), характеризуют предельно-длительное сопротивление грунта под подошвой фундамента или под торцом сваи. Превышение значений
Rн приведет к раздвижению в стороны образовавшимся под фундаментом уплотненным грунтовым ядром окружающего массива грунта и возникновению незатухающих осадок ползучести. Величина этого сопротивления определяется формулами теории пластичности. В частности, для мерзлых глинистых грунтов значение
Rн (для круглого или квадратного в плане фундаментов) может быть определено по формуле

[50]
где
q - пригрузка, равная

(где

- объемный вес грунта в
кг/см3,
H - глубина заложения фундамента в
см);

- нормативное (предельно-длительное) значение эквивалентного сцепления мерзлого грунта в
кГ/см2, определяемое из испытания вдавливанием сферического штампа (по методу Н.А. Цытовича) и учитывающее как собственно сцепление, так и наличие внутреннего трения.
Значение cэкв может определяться по результатам восьмичасовых испытаний с понижающим коэффициентом 0,8.
Это значение может быть определено также из опытов на одноосное сжатие, как

(где

- нормативное сопротивление сжатию, соответствующее пределу длительной прочности на сжатие).
| | ИС МЕГАНОРМ: примечание. СНиП II-Б.6-66 утратил силу с 01.01.1978 в связи с введением в действие СНиП II-18-76. Взамен СНиП II-18-76 Постановлением Госстроя СССР от 21.12.1988 N 252 с 01.01.1990 введен в действие СНиП 2.02.04-88. | |
Нормативные сопротивления нормальному давлению
Rн, приведенные в
табл. 15 (6), отличны по своей сущности от нормативных давлений, приводимых в главе СНиП II-Б.1-62* "Основания зданий и сооружений. Нормы проектирования". Это отличие обусловлено тем, что нормативные давления в главе СНиП II-Б.1-62* используются для расчета по второму предельному состоянию, тогда как нормативные сопротивления табл. 15 (6) СНиП II-Б.6-66 используются для расчета по первому предельному состоянию, характеризуя в соответствии с главой
СНиП II-А.10-62 "Основными положениями проектирования" предельное давление на грунт основания. Иными словами, величина нормативного давления соответствует величине нормативного сопротивления, умноженной на соотношение коэффициентов

.
Значения сопротивлений
Rн, приведенные в
табл. 15 (6), приняты едиными как для определения давления под подошвой столбчатого фундамента, так и для определения давления под торцом сваи. Различие же в величине предельной нагрузки на грунт в этих случаях учитывается разными значениями коэффициентов условий работы
m2 в
формуле [45 (9)] (см.
п. 5.6 и
пояснение к нему). Значения
Rн в
табл. 15 (6) относятся к фундаментам с глубиной заложения 2,5
м. При более глубоком заложении табличные значения
Rн могут быть повышены на величину

[51]
где H - глубина заложения фундамента в см;

- объемный вес грунта в
кг/см3.
Значения
Rн дифференцированы в зависимости от состава мерзлого грунта и его температуры, причем все виды грунтов с большим льдосодержанием (0,2 <=
Лв <= 0,4) выделены в отдельную группу, поскольку влияние льда является преобладающим по сравнению с влиянием состава грунта. Значения
Rн для этого случая приняты наименьшими, так как наличие льда, обладающего способностью течь под воздействием любой, даже самой малой нагрузки, снижает предельно-длительное сопротивление мерзлого грунта. Это влияние льда особенно сказывается при передаче нагрузки непосредственно на лед и уменьшается, если ледяные включения замкнуты в грунтовом массиве. Поэтому в
примечании 2 к табл. 15 (6) оговаривается необходимость для грунтов с большим содержанием ледяных включений устраивать под подошвой фундамента песчаные подушки, предохраняющие лед от непосредственной передачи на него давления.
В
табл. 15 (6) не приведены значения
Rн для чистого льда и мерзлых грунтов с содержанием льда более 40% (
Лв > 0,4). В этих случаях значения
Rн должны назначаться согласно данным специальных исследований, что и оговорено в
примечании 3 к таблице.
Разрешается увеличивать сопротивление грунта
Rн [примечание 4 к табл. 15 (6)] при применении повышающих коэффициентов в случаях, когда нагрузки являются кратковременными. Это вытекает из сущности понятия длительной прочности. Так, из графика (
рис. 6,
в) следует, что чем меньше время воздействия нагрузки, тем большее напряжение требуется приложить, чтобы вызвать разрушение грунта. Коэффициентами, приведенными в
примечании 4, можно пользоваться в тех случаях, когда интервал времени между разгрузкой и следующим загружением достаточен для того, чтобы произошла релаксация напряжений, вызванных предыдущим нагружением, т.е. при продолжительности интервала не менее времени действия нагрузки.
Значения нормативных сопротивлений мерзлых грунтов сдвигу

и нормальному давлению
Rн приводятся в
табл. 14 (5) и
15 (6) для грунтов с температурой -0,5 °C и ниже. Для грунтов с температурами -0,2, -0,3 °C значения нормативного сопротивления нормальному давлению
Rн можно принять равными 0,6 от значений
Rн, приведенных в
табл. 15 (6) для температуры -0,5 °C. Значения сопротивлений сдвигу

для грунтов с температурой -0,3 °C можно принимать по
табл. 14 (5) для температуры -0,5 °C с введением уменьшающего коэффициента, равного 0,6 (при условии применения искусственного охлаждения грунта в соответствии с
примечанием 1 к п. 3.11). При этом предварительное определение несущей способности пластичномерзлых грунтов исходя из значений нормативных сопротивлений не заменяет расчета по деформациям, который должен выполняться в соответствии с
пп. 5.29 и
5.33.
Приближенно для морских отложений с влажностью
Wр + 0,5
Wт <=
W <= 1,5
Wт значения нормативных сопротивлений могут приниматься по
табл. 18 и
19.
Таблица 18
Нормативные сопротивления сдвигу
мерзлых засоленных грунтов
по поверхностям смерзания
с железобетонными фундаментами в кГ/см2
Наименование грунтов | Засоленность грунтов Z в % | Значения  в кГ/см2 при температуре грунтов в °C |
-1 | -1,5 | -2 | -2,5 | -3 | -3,5 | -4 |
Глинистые, включая пылеватые | 0,5 | 0,5 | 0,6 | 0,7 | 0,85 | 1 | 1,1 | 1,2 |
1 | - | - | 0,35 | 0,5 | 0,6 | 1,7 | 0,8 |
1,5 | - | - | - | - | - | - | 0,3 |
Песчаные | 0,5 | 0,6 | 0,75 | 0,85 | 1 | 1,2 | 1,35 | 1,45 |
1 | - | - | 0,45 | 0,6 | 0,75 | 0,85 | 1 |
1,5 | - | - | - | - | - | - | 0,4 |
| | ИС МЕГАНОРМ: примечание. СНиП II-Б.6-66 утратил силу с 01.01.1978 в связи с введением в действие СНиП II-18-76. Взамен СНиП II-18-76 Постановлением Госстроя СССР от 21.12.1988 N 252 с 01.01.1990 введен в действие СНиП 2.02.04-88. | |
|
Примечания: 1. При Z <= 0,25% значения  принимаются по табл. 14 (5) главы СНиП II-Б.6-66. При промежуточных значениях нормативные сопротивления определяются интерполяцией. 2. При Z = 1% и t > -2 °C, а также при Z = 1,5% и t > -4 °C смерзание грунта с фундаментами не происходит. В этих случаях сопротивление на боковых поверхностях свай принимается без учета смерзания как для талых грунтов по главе СНиП II-Б.5-67. 3. Значения  при смерзании грунтов с металлическими поверхностями, если эти поверхности специально не обработаны, принимаются с коэффициентом 0,7. |
Таблица 19
Нормативные сопротивления мерзлых засоленных грунтов
нормальному давлению Rн в кГ/см2
Наименование грунтов | Засоленность грунтов Z в % | Значение Rн в кГ/см2 при температуре грунтов в °C |
-1 | -1,5 | -2 | -2,5 | -3 | -3,5 | -4 |
1. Супеси, в том числе пылеватые | 0,5 | 4,1 | 4,9 | 5,6 | 6,2 | 6,8 | 7,2 | 7,7 |
1 | - | - | - | 2,6 | 3,2 | 3,6 | 4,2 |
2. Суглинки и глины, в том числе пылеватые | 0,5 | 1,8 | 2,2 | 3 | 3,7 | 4,5 | 5,5 | 6 |
1 | - | - | - | 1,9 | 2,3 | 2,7 | 3,1 |
| | ИС МЕГАНОРМ: примечание. СНиП II-Б.6-66 утратил силу с 01.01.1978 в связи с введением в действие СНиП II-18-76. Взамен СНиП II-18-76 Постановлением Госстроя СССР от 21.12.1988 N 252 с 01.01.1990 введен в действие СНиП 2.02.04-88. | |
|
Примечания: 1. При Z <= 0,25% значения Rн принимаются по табл. 15 (6) главы СНиП II-Б.6-66. При промежуточных значениях нормативные сопротивления Rн принимаются по интерполяции. 2. При засоленности Z >= 1% для суглинков и супесей, температура которых выше -2 °C, нормативные сопротивления принимаются как для талых грунтов с коэффициентом  . |
Расчет основания, включающего массив подземного льда, производится по двум предельным состояниям: по первому - на прочность, по второму - по деформациям в условиях ползучести.
Целью расчета по первому предельному состоянию является такое ограничение давления на подошву фундамента, при котором обеспечивается прочность слоя грунта, подстилаемого льдом, а в слое льда возникают лишь медленно развивающиеся деформации установившегося течения, без перехода в стадию прогрессирующего течения с резко возрастающей скоростью.
Прочность слоя грунта обеспечивается расчетом по схеме предельного равновесия с учетом ползучести льда на контакте с грунтом. Практически это достигается ограничением давления на подошву фундамента
где
k2,
Rн и
m2 - обозначения те же, что и в
формуле [45 (9)], принимаемые равными:
k2 = 0,8;
Rн - по
табл. 15 (6), а
m2 - по
табл. 20 в зависимости от отношения

(где
z - расстояние от подошвы фундамента до поверхности льда;
b - ширина фундамента). Значения коэффициента
m2 учитывают падение касательных напряжений на контакте грунта и льда.
Таблица 20
| 0,5 | 0,75 | 1 | 1,5 | 2 |
m2 | 0,5 | 0,6 | 0,7 | 0,8 | 0,9 |
Предупреждение развития прогрессирующего течения льда достигается ограничением величины главных касательных напряжений, которые не должны превосходить определенного предела, зависящего от температуры. Этот предел можно рассматривать как нормативное сопротивление льда сдвигу, равное

[53]
В предельном состоянии главные касательные напряжения могут быть приняты равными нормативному сопротивлению льда сдвигу

, соответственно с чем давление на подошву фундамента, имеющую форму круга или квадрата, при толщине грунтового слоя не менее

не должно превышать величины

[54]
Для ленточного фундамента или для фундамента с подошвой, стороны которой относятся как 3:1 и более:

[55]
Размеры подошвы фундамента и толщина грунтовой подушки выбираются так, чтобы давление на подошву фундамента от расчетных нагрузок не превосходило q1 и q2.
Расчет по второму предельному состоянию (на ползучесть) заключается в определении такого давления на лед, при котором деформации течения за заданный период времени (срок службы сооружения) S не превысит предельной величины, установленной для данного сооружения Sпр.
При определении осадки основания, вызванной пластическим течением льда, лед рассматривается как вязкое тело с переменным коэффициентом вязкости, зависящий от температуры t (в °C, но без учета знака) и интенсивности касательных напряжений T в кГ/см2:

[56]
где Kл - параметр, зависящий от структуры льда, который приближенно можно принимать как для льда хаотической структуры Kл ~= 0,35 см4·град/кГ2·год.
Для ленточных фундаментов, а также для фундаментов квадратной и круглой формы в плане при толщине прослойки грунта (между подошвой и льдом), равной полуширине подошвы или более, осадка за счет пластического течения льда в см равна

[57]

- время, в течение которого накапливается деформация ползучести льда, исчисляемое в годах;
b - ширина подошвы квадратного или ленточного фундамента в см;
p - давление на подошву фундамента в кГ/см2;
n - количество слоев, на которые разделяется лед в зависимости от температуры t;
|ti| - температура i-го слоя льда в °C без учета знака;

и

- значения безразмерных коэффициентов, определяемые по графику
(рис. 9) для кровли и подошвы
i-го слоя льда в зависимости от

и

.
Рис. 9. График значений

для расчета осадки льда
1 - для ленточного фундамента; 2 - для фундаментов
с круглой или квадратной подошвой
Расчетное время

, входящее в
формулу [57], определяем выражением

[58]
где

- время сезонного оттаивания грунтов поверхностного слоя в
ч;

- время промерзания грунта на глубину, равную
2/
3 толщины слоя сезонного оттаивания, определяемое по формуле, в
ч:
| | ИС МЕГАНОРМ: примечание. В официальном тексте документа, видимо, допущена опечатка: формула [152 (45)] отсутствует. Возможно, имеется в виду формула [151 (45)]. | |

- количество часов в году, т.е. 8760;

- срок эксплуатации сооружения, определяемый в зависимости от его класса по соответствующим главам СНиП.
В
формуле [57] учитываются лишь деформации, обусловленные сдвигом, поскольку течение льда вызывается именно этой компонентой напряжения; объемная деформация полагается равной нулю.
Если лед обладает высокой пористостью и уплотняется под давлением, то к деформации, определенной по
формуле [57], необходимо добавить дополнительную составляющую, обусловленную изменением объема пузырьков воздуха, которая определяется так же, как для пластичномерзлых грунтов (см.
п. 5.29), либо приближенно вычисляется по формуле

[59]
где
n - количество слоев, на которые разделяется лед в зависимости от

и

;

- толщина
i-го слоя льда в
см;
Пi - объем пор в 1 см3 льда;

- бытовое давление в середине
i-го слоя льда в
кГ/см2;

- давление, в середине
i-го слоя в
кГ/см2, передаваемое подошвой фундамента, весом грунта и льда. Значение

определяется как среднее нормальное напряжение, равное

(где

- сумма нормальных напряжений).
Для осесимметричного напряженного состояния

(где

и

- нормальные напряжения в цилиндрических координатах, направленные по вертикальной оси
z и радиусу

).
5.8. Максимальная температура вечномерзлого грунта на расчетной глубине (т.е. на глубине заложения подошвы фундамента или нижнего конца сваи) принимается на период сезонного промерзания грунта по данным инженерно-геологических исследований и с учетом изменения температурного режима грунта основания в процессе эксплуатации здания или сооружения. Допускается определять максимальную температуру вечномерзлого грунта по формуле  [60 (10)] где  - безразмерный коэффициент, принимаемый по табл. 21 (7) в зависимости от величины hм - глубина, отсчитываемая от верхней поверхности вечномерзлого грунта, для которой определяется максимальная температура вечномерзлого грунта, в м;  и  - объемная теплоемкость и коэффициент теплопроводности мерзлого грунта, принимаемые по табл. 38 (10); t0 - температура вечномерзлого грунта на глубине 10 м; kt - коэффициент теплового влияния здания или сооружения на температуру грунта, учитывающий изменение среднегодовой температуры грунта под зданием или сооружением. Значение коэффициента kt определяется теплотехническим расчетом. При наличии вентилируемого подполья допускается принимать: для грунтов у наружных стен kt = 1; для грунтов у внутренних стен kt = 0,8; то же, у внутренних стен при прокладке в подполье санитарно-технических сетей kt = 0,6. Таблица 21 (7) Значения коэффициентов и  |
| | 0 | 25 | 50 | 75 | 100 | 125 |
| 0 | 0,42 | 0,63 | 0,77 | 0,87 | 0,94 |
| 0 | 0,27 | 0,43 | 0,54 | 0,62 | 0,69 |
К п. 5.8. Нормативные сопротивления нормальному давлению
Rн определяются в зависимости от максимальной среднемесячной температуры на уровне подошвы фундамента. Когда эта температура устанавливается по данным инженерных изысканий, необходимо иметь в виду, что
tмакс на различных глубинах наступает неодновременно.
Различное распределение максимальных среднемесячных температур грунта по глубине в основании зданий и сооружений зависит от температуры воздуха в вентилируемом подполье, температуры грунта на глубине 10 м вне здания или сооружения и теплофизических характеристик грунтов сезоннооттаивающего слоя в мерзлом и талом состояниях. На глубине около 1 м ниже верхней границы вечномерзлых грунтов tмакс наступает в начале сезонного промерзания грунта с поверхности; на глубине 5 - 6 м, - когда промерзание заканчивается.
В вентилируемом подполье температура воздуха в течение года изменяется по периодическому закону. Летом эта температура положительная, зимой отрицательная. В результате под зданием или сооружением в летнее время происходит сезонное оттаивание грунта на некоторую глубину; зимой этот слой промерзает (см.
текст к п. 3.6). Кроме того, периодические изменения температуры воздуха в подполье вызывают сезонные колебания температуры грунта как в пределах слоя сезонного оттаивания, так и в вечномерзлом грунте, являющемся основанием здания или сооружения. Эти колебания происходят около некоторых среднегодовых значений температуры - оси колебаний температуры. Наибольшие отклонения температуры от оси колебаний называются амплитудами. Максимальные амплитуды в вечномерзлых грунтах наблюдаются на границе сезоннооттаивающего слоя; с глубиной эти амплитуды затухают. Затухание амплитуд характеризуется коэффициентом

, входящим в
формулу [60 (10)]. Коэффициент

в этой формуле зависит от одного и того же параметра, что и

, используемое при определении
tэ (см.
п. 5.10), поэтому их значения приведены в одной и той же таблице.
Формула [60 (10)] используется также для определения расчетного значения температуры на уровне нижних концов свай. Более точным было бы определение этой температуры на момент времени, когда полная несущая способность свай достигает минимума, однако это уточнение не дает ощутимого эффекта в связи с тем, что амплитуда сезонных колебаний температуры затухает с глубиной.
Среднегодовую температуру грунта в природных условиях t0 допускается принимать равной температуре грунтов на глубине 10 м, где ее сезонные колебания незначительны и потому могут не приниматься во внимание при расчете фундаментов. Поскольку эта температура практически постоянна, она устанавливается разовым замером при инженерных изысканиях в любое время года.
Среднегодовая температура грунта под зданием или сооружением зависит от ее значения в природных условиях
t0, температуры грунта на подошве сезоннооттаивающего слоя под зданием или сооружением

, вычисляемой по
формуле [21], а также от ширины здания или сооружения
B и расстояния от его центра. Три наиболее характерных случая распределения температур по глубине под зданием или сооружением с вентилируемым подпольем изображены на
рис. 10. На большой глубине температура грунта равна температуре вне здания или сооружения. Характер изменения среднегодовой температуры грунта по глубине зависит от соотношения температур
t0 и

. Влияние изменения среднегодовой температуры грунта на его максимальные температуры учитывается коэффициентом
kt, который представляет собой отношение среднегодовой температуры грунта под зданием или сооружением на глубине
hм к среднегодовой температуре грунта вне здания или сооружения
t0.
Рис. 10. Температуры грунта под зданиями с холодными
подпольями или неотапливаемыми первыми этажами
tг - среднегодовая температура поверхности грунта;

- то же, грунта на глубине сезонного оттаивания;
t0 - то же, грунта вне здания или сооружения;
tср - то же, грунта; tмин - минимальная температура
грунта; tмакс - максимальная температура грунта;
Hт - глубина сезонного оттаивания
Значения коэффициента теплового влияния kt приведены для зданий с подпольями, которые имеют цокольные ограждения и вентилируются через продухи. Эти значения получены в результате обработки данных наблюдений и отвечают принятым в настоящее время модулям вентилирования (отношение площади продухов к площади застройки здания). При открытых подпольях, т.е. когда отсутствуют цокольные ограждения, принимается kt = 1 как у фундаментов наружных стен, так и у внутренних. Более точные значения указанных коэффициентов принимаются на основании местного опыта или теплотехнического расчета.
Расчетные значения коэффициентов
kt для грунтов у внутренних стен (под серединой здания
kсt) и для грунтов у наружных стен (под краем здания
kкt) с холодными подпольями или холодным первым этажом приведены на
рис. 11 в зависимости от отношений

,

и

, где
Hс и
Hк - расчетные глубины сезонного оттаивания грунта под серединой и краем здания или сооружения.
Рис. 11. Значения коэффициентов теплового влияния
для здания или сооружения с холодным подпольем
или холодным первым этажом
а - для середины здания kсt; б - для края здания kкt
Если сохранение грунтов в вечномерзлом состоянии достигается без применения охлаждающих устройств (см.
примечание и
пояснения к п. 3.5), то максимальные температуры грунта под краем здания определяются также по
формуле [60 (10)], в которой коэффициент теплового влияния

принимается по графику (
рис. 12,
б). Под серединой здания не происходит сезонных изменений температур, и максимальные температуры грунта находятся по формуле

[61]
где

- коэффициент, определяемый по графику (
рис. 12,
а) для глубины
hм в зависимости от ширины здания
B и глубины оттаивания грунта под серединой здания или сооружения
Hс.
Рис. 12. Значения коэффициентов теплового влияния
для здания или сооружения с ограниченной зоной
оттаивания грунта под ним
а - для середины здания

;
б - для края здания

5.9. Для свайных фундаментов, если температура вечномерзлого грунта на глубине 10 м t0 ниже -2 °C, несущую способность основания Ф допускается вместо формулы [45 (9)] определять по формуле  [62 (9б)]  - эквивалентное значение нормативного сопротивления сдвигу по боковой поверхности смерзания в кГ/см2, определяемое по п. 5.10; Fсд - площадь поверхности сдвига грунта вдоль сваи в см2. 5.10. Эквивалентное значение нормативного сопротивления мерзлых грунтов сдвигу по боковой поверхности смерзания  в кГ/см2 в формуле [62 (9б)] принимается по табл. 14 (5) для температуры вечномерзлого грунта tэ, которая определяется по формуле  [63 (11)] где  - безразмерный коэффициент, определяемый по табл. 21 (7); |
К пп. 5.9 и 5.10. При расчете несущей способности по
формуле [45 (9)] требуется послойное суммирование эпюр сопротивления сдвигу, изменяющихся по глубине в зависимости от температуры, которая, в свою очередь, изменяется во времени.
С целью упрощения расчета разрешается определять касательные реакции более простыми способами. Для столбчатых фундаментов такой способ был рассмотрен в
п. 5.5.
Для свай можно заменить действительную эпюру

равновеликой ей прямоугольной, т.е. так подобрать значение эквивалентного нормативного сопротивления

, чтобы соблюдалось условие
С этой целью суммирование заменяется интегрированием; значения

из
табл. 14 (5) представляются в виде аналитического выражения
где для глинистых грунтов B = 1,3 кГ/см2·град и B0 = 0,3 кГ/см2; для песчаных B = 1,7 кГ/см2·град и B0 = 0,4 кГ/см2.
Применимость указанного способа определения несущей способности боковой поверхности ограничена значением среднегодовой температуры грунтов t0 не выше -2 °C, когда температура может быть выражена достаточно точно как функция глубины и времени.
Интегрирование

по глубине смерзания
hм приводит к значению несущей способности боковой поверхности сваи, зависящей также и от времени года. Из всех возможных изменяющихся во времени эпюр сопротивления сдвигу выбирается такая, площадь которой является наименьшей. Этот способ расчета и предусматривается
формулой [62 (9б)], приведенной для случая однородных по составу грунтов, прочность которых меняется по глубине только в зависимости от их температуры. Когда в составе основания встречается слой грунта, отличающийся по составу от остальных, то несущая способность боковой поверхности сваи может быть определена путем суммирования эпюр

для отдельных слоев.
В этом случае необходимо выразить площадь эпюры для
i-го слоя

через эквивалентное сопротивление сдвигу

. Так как при расчете по
формуле [62 (9б)] через эквивалентное сопротивление выражается площадь всей эпюры прочности смерзания - от верхней поверхности вечномерзлых грунтов до глубины
hм, то искомая площадь эпюры для
i-го слоя

должна быть определена как разность площадей двух эпюр, показанных на
рис. 13:
Рис. 13. Схема определения сопротивления сдвигу
по боковой поверхности сваи для
i-го слоя через

1 - кривая, ограничивающая действительную эпюру

;
2 - кривая, ограничивающая эквивалентную эпюру

Площади этих эпюр, выраженные через эквивалентные сопротивления:
Искомая площадь эпюры

в пределах
i-го слоя:
Полная несущая способность боковой поверхности сваи, прорезающей разнородное основание, состоящее из
n слоев, находится суммированием эпюр

:

[64]
где U - периметр сечения сваи в см;

и

- эквивалентные значения нормативного сопротивления по боковой поверхности смерзания, которые определяются по
табл. 14 (5) для той разновидности грунта, которая слагает
i-тый слой. Температуры
tэ i+1 и
tэ i для определения

и

вычисляются по
формуле [63 (11)], в которой коэффициенты

и

определяются по
табл. 21 (7) соответственно при значениях параметров:

и

.
Приближенное значение коэффициента теплового влияния принимается то же, что и для вычисления максимальных температур по
формуле [60 (10)]. Более точное значение этого коэффициента как среднеинтегрального в пределах глубины
hм находится по графикам: для середины (
kс.э) и края (
kк.э) здания или сооружения
(рис. 14).
Рис. 14. Значения коэффициентов теплового влияния
для здания или сооружения с холодным подпольем
или холодным первым этажом
а - для середины здания kс.э; б - для края здания kк.э
Для свайных фундаментов, если они заложены в вечномерзлый грунт ниже расчетной глубины зоны оттаивания (см.
примечание к п. 3.5), составляющая несущей способности, обусловленная смерзанием вечномерзлого грунта с боковыми поверхностями сваи под серединой здания, определяется в зависимости от
tэ, которая вычисляется по формуле

[65]
где

- находится по графику (
рис. 15,
а) к зависимости от глубины оттаивания грунта под серединой здания и сооружения и его ширины
B.
Рис. 15. Значения коэффициентов теплового влияния
для здания или сооружения с ограниченной зоной
оттаивания грунта под ним
а - для середины здания

;
б - для края здания

Значения
tэ для края здания или сооружения в этих случаях определяются по
формуле [63 (11)], но значение коэффициента теплового влияния принимается по графику

(
рис. 15,
б).
Примеры расчета оснований на осевую нагрузку
Пример 1. Требуется определить несущую способность основания одноступенчатого железобетонного фундамента под наружную стену здания в районе Нового порта. Высота башмака
hб = 30
см, размеры подошвы фундамента в плане 120 x 120
см. Проектом предусматривается обратная засыпка пазух котлована с уплотнением и промораживанием засыпаемого грунта.
Сечение стоек обусловлено конструктивным решением опирания рандбалок и принято 30 x 30 см. Здание отапливаемое и запроектировано с подпольем, вентилируемым через продухи. Расчетная нагрузка на фундаменты, включая его собственный вес и вес грунта на уступах, N = 85 Т (без учета веса грунта 77 Т).
По данным изысканий площадка сложена супесями с числом пластичности
Wп = 5, температура которых на глубине 10
м t0 = -4,5 °C. Суммарная влажность мерзлых грунтов
Wс = 0,3; льдистость за счет ледяных включений
Лв = 0,15; предел раскатывания
Wр = 0,1; объемный вес

. Расчетная глубина сезонного оттаивания
Hт = 150
см. Глубина заложения фундамента принята 300
см, откуда соответственно
hм = 150
см.
Расчет производим по
формуле [45 (9)], для чего устанавливаем величины, входящие в эту формулу. Согласно
п. 5.6, имеем
k1 = 0,8;
m1 = 1;
k2 = 0,8;
m2 = 1.
Вычисляем значения площадей:
Fсд = hбU = 30·120·4 = 1,44·104 см2;
F = 120·120 = 1,44·104 см2.
Для определения

и
Rн необходимо предварительно установить расчетные значения температур, которые находятся в зависимости от теплофизических характеристик.
По
табл. 38 (10) определяем

и

. Полученное значение

определено с учетом поправки на содержание незамерзшей воды в мерзлом грунте по
формуле [144 (41)]. Количество незамерзшей воды
Wн определялось по
формуле [2 (2)], причем значение
kн принималось по
табл. 1 (1) при температуре
t = 0,1
t0hм = 0,1(-4,5)1,5 = -0,7 °C.
Для определения температуры по
формуле [60 (10)] необходимо предварительно найти коэффициенты

по
табл. 21 (7). Вычисляем параметры, от которых зависят эти коэффициенты.
На уровне верхнего обреза башмака, где температура равна t1,
на уровне подошвы, где температура t2 = tмакс,
t1 = 0,35·1(-4,5) = -1,6 °C;
tмакс = t2 = 0,42·1(-4,5) = -1,9 °C.
Среднее по высоте башмака фундамента нормативное сопротивление сдвигу будет равно
Нормативное сопротивление мерзлой супеси нормальному давлению определяем по
табл. 15 (6) при температуре
tмакс = -1,9 °C и равно
Rн = 9,8
кГ/см2.
Несущая способность фундамента по
формуле [45 (9)] равна Ф = 0,8·1·1,4·1,44·10
4 + 0,8·1·9,8·1,44·10
4 = 129,2·10
3 кГ > 85·10
3 кГ.
Нагрузки, на которые необходимо рассчитывать прочность железобетонного башмака, определяем по
формулам [48] и
[49]:
касательная к боковой поверхности башмака и линейно распределенная по периметру подошвы фундамента qсм = 1,2·1,4·30 = 50,5 кГ/см2;
распределенная равномерно по подошве
Пример 2. Требуется определить несущую способность железобетонных свай под наружную стену здания. Сечение сваи 30 x 40 см, длина 700 см. Высота наземной части сваи 50 см. Сваи устанавливаются с предварительным оттаиванием грунта.
По данным инженерных изысканий установлено, что площадка сложена мелкими пылеватыми песками, температура которых на глубине 10 м t0 = -5 °C.
Расчетная глубина сезонного оттаивания Hт = 170 см.
Так как распределение температур грунта по глубине неизвестно, а
t0 ниже -2 °C, то несущую способность свайного фундамента определяем через эквивалентное значение нормативного сопротивления сдвигу

(см.
п. 5.9).
Устанавливаем величины, входящие в
формулу [62 (9б)]. Согласно
п. 5.6, имеем
k1 =
k2 = 0,8;
m1 = 1;
m2 = 1,2;
F = 30·40 = 1200
см2.
Определяем величины hм и Fсд:
hм = 700 - 50 - 170 = 480 см;
U = 2(30 + 40) = 140 см;
Fсд = hмU = 480·140 = 67 000 см2.
Значения теплофизических характеристик мерзлого песка, определенные по
табл. 38 (10), оказались равными:

;

. Вычисляем значение параметра, необходимого для определения температур
tэ и
tмакс:
tмакс = 0,72·1(-5) = -3,6 °C.
tэ = 0,5·1(-5) = -2,5 °C.

и
Rн = 17,5
кГ/см2.
Ф = 0,8·1·1,75·67 000 + 0,8·1,2·17,5·1200 = 110 400 кГ.
Пример 3. Требуется проверить несущую способность свай под наружную стену здания. Сваи железобетонные, сечением 30 x 30 см и длиной 800 см намечено погрузить с предварительным оттаиванием грунта. Высота надземной части сваи 100 см. Расчетная нагрузка на одну сваю N = 83 Т.
Грунтовые характеристики строительной площадки приведены в геологической колонке на
рис. 16. Там же приведены среднемесячные температуры грунта по глубине, полученные по данным изысканий. Температура грунта
t0 = -4,2 °C. Расчетная глубина сезонного оттаивания
Hт = 250
см. Значения теплофизических характеристик грунтов приведены на
рис. 16.
Рис. 16. Геологическая колонка
и среднемесячные температуры грунта
Порядок расчета:
а) разбиваем толщу вечномерзлого грунта (от глубины 2,5 до 7 м) на пять слоев: четыре толщиной по 1 м и пятый (верхний) 0,5 м;
б) определяем сопротивление сдвигу по боковым поверхностям смерзания сваи с вечномерзлым грунтом двумя способами:
первый способ - суммирование нормативных сопротивлений грунтов сдвигу
второй способ - через эквивалентное значение нормативного сопротивления грунтов сдвигу
При первом способе значения

определяются по
табл. 14 (5) для каждого слоя в зависимости от средней по толщине слоя среднемесячной температуры. Значения сопротивления грунта сдвигу приведены в
табл. 22.
Таблица 22
Определение несущей способности боковой поверхности сваи
послойным суммированием через 
N слоя грунта | Глубина от поверхности в м | Наименование | Толщина слоя в см | Средняя температура i-го слоя в °C | Среднее значение  в кГ/см2 | Fсд i в см2 | в кГ | в кГ |
1 | 2,5 - 3 | Песок | 50 | 0,9 | 1,2 | 6·103 | 7,2·103 | 7,2·103 |
2 | 3 - 4 | " | 100 | 1,5 | 1,6 | 12·103 | 19,2·103 | 26,4·103 |
3 | 4 - 5 | Супесь | 100 | 2,1 | 1,55 | 12·103 | 18,6·103 | 45·103 |
4 | 5 - 6 | " | 100 | 2,6 | 1,8 | 12·103 | 21,6·103 | 66,6·103 |
5 | 6 - 7 | Суглинок | 100 | 3 | 2 | 12·103 | 24·103 | 90,6·103 |
Несущая способность боковой поверхности
При втором способе значения эквивалентных нормативных сопротивлений определены в соответствии с
пояснениями к формуле [64]. Вычисление площадей эпюр сопротивления сдвигу приведено в
табл. 23.
Таблица 23
Определение несущей способности боковой поверхности
сваи через 
Номер i-го слоя | Глубина от поверхности в м | zi+1 в см | | | tэ i+1 | | zi в см | | | tэ i | | в кГ/см2 |
1 | 2,5 - 4 | 150 | 23 | 0,25 | -1,05 | 1,35 | 0 | 0 | - | - | - | 200 |
2 | 4 - 6 | 350 | 61 | 0,47 | -2 | 1,5 | 150 | 26 | 0,28 | -1,2 | 1,1 | 360 |
3 | 6 - 7 | 450 | 83 | 0,55 | -2,3 | 1,65 | 350 | 65 | 0,49 | -2,1 | 1,55 | 200 |
Примечание. При вычислении параметров  и  значения zi и zi+1 принимаются в м. |
Суммарная несущая способность боковой поверхности сваи равна
| | ИС МЕГАНОРМ: примечание. Формула дана в соответствии с официальным текстом документа. | |
Несущая способность боковой поверхности сваи по второму способу расчета отличается от полученной первым способом менее чем на 1%. При проектировании свайных фундаментов нет необходимости пользоваться одновременно этими двумя способами расчета. В примере они приведены для того, чтобы показать технику расчета в обоих случаях.
в) определяем сопротивление грунтов нормальному давлению под торцом сваи:
k2 = 0,8; m2 = 1; F = 30·30 = 900 см2;
tмакс = 0,79·1(-4,2) = -3,3 °C.
По
табл. 15 (6) при
tмакс = -3,3 °C находим
Rн = 10,7
кГ/см2. Следовательно,
k2m2RнF = 0,8·10,7·900 = 7700
кГ;
г) определяем несущую способность основания:
Таким образом, при заданной расчетной нагрузке на сваю, равной 85·103 кГ, несущая способность основания не будет обеспечена.
Согласно
примечанию 2 к п. 5.5, несущую способность свайного основания разрешается определять с учетом сопротивления трению песчаных грунтов в пределах слоя сезонного промерзания-оттаивания. В этом случае будем иметь
где

(по
табл. 2 главы СНиП II-Б.5-62);
F = HтU = 250·120 = 30 000 см2;
km = 0,7 - по указаниям
пп. 4.2 и
4.3 главы СНиП II-Б.5-62.
Несущая способность основания в этом случае обеспечена.
Пример 4. Требуется определить осадку фундамента за счет течения подземного льда, залегающего на глубине 60 см от подошвы фундамента. Толщина слоя льда 300 см. Средняя температура в слое льда по данным изысканий составляет -2 °C.
Ширина подошвы ленточного фундамента b = 120 см. Среднее давление на грунт под подошвой фундамента от нормативных нагрузок p = 1,5 кГ/см2. Предельная средняя осадка сооружения Sпр.ср = 10 см.
В зависимости от проектного срока существования сооружения, равного 50 годам, по
формуле [58] определено расчетное время

.
По графику
(рис. 9) определяем

(при

) и

(при

).
Принимая
Kл = 0,35
см4·
град/кГ2·
год, определим осадку по
формуле [57]:
Таким образом, при установке фундамента на прослойку грунта толщиной 60
см, подстилаемую льдом, осадка будет превышать предельную величину. Предусматриваем устройство песчаной подушки, необходимая толщина которой определится следующим образом.
Формулу [57] можно записать в виде
или
Так как

, то
Из графика
(рис. 9) получаем, что для выполнения этого условия отношение

должно быть равным 1,8.
Следовательно, толщина песчаной подушки
zi = 180·1,2 = 216 см.
Откуда необходимая глубина выемки льда
hл = 216 - 60 = 156 см.
Произведем расчет осадки фундамента из условия, что вместо ленточного фундамента будет применен квадратный с шагом 3 м при том же давлении на грунт p = 1,5 кГ/см2.
Определим размер подошвы фундамента:
Значение

по графику
(рис. 9) при

равно 0,0415.
Далее расчет производим исходя из величины Sпр.ср = 10 см:
откуда

, что может быть при

. Следовательно,
zi = 190·0,85 = 160
см.
Необходимая глубина выемки льда
hл = 160 - 60 = 100 см.
Объем льда, подлежащего выемке, при применении ленточного фундамента
V1 = 120·300·156 = 5,6·106 см3 = 5,6 м3.
То же, при квадратной форме подошвы
V2 = 190·190·100 = 3,6·106 см3 = 3,6 м3.
Следовательно, целесообразнее применить фундамент с квадратной подошвой.
Проверяем давление на подошву фундамента по
формуле [54] при

:
Фактическое давление на подошву от расчетных нагрузок
| | ИС МЕГАНОРМ: примечание. Формула дана в соответствии с официальным текстом документа. | |
np = 1,2·1,5 = 1,8 кГ/см2 < q2 = 9,8 кГ/см2.
Проверку давления на песчаную подушку при укладке ее с промораживанием можно не производить, так как очевидно, что q1 > 1,8 кГ/см2.
5.11. Несущая способность одиночной сваи может быть повышена по сравнению с определенной по формуле [45 (9)] на основании данных натурных испытаний свай статической нагрузкой; в этом случае на несущую способность принимается наибольшая величина нагрузки, при которой не возникает незатухающих осадок сваи. |
К п. 5.11. Величина несущей способности сваи, определенная по
формуле [45 (9)] с использованием значений нормативных сопротивлений из
табл. 14 (5) и
15 (6) (п. 5.7), содержит в себе некоторый запас прочности. Этот запас обусловливается тем, что данные
табл. 14 (5) и
15 (6) получены для осредненных мерзлотно-грунтовых условий, тогда как в ряде случаев эти условия могут быть более благоприятны. Возможно также повышение несущей способности в результате совершенствования технологии погружения свай. Кроме того, расчетом не учитывается понижение температуры грунта в зимний период по сравнению с расчетной и пр. Исходя из сказанного нормы позволяют повышать несущую способность одиночных свай по сравнению с получаемой по
формуле [45 (9)] для данных конкретных мерзлотно-грунтовых условий, но это повышение допустимо лишь на основании результатов испытаний свай. Такие испытания должны заключаться в ступенчатом загружении свай с выдерживанием каждой ступени нагрузки до затухания деформации; наибольшая нагрузка, при которой еще не возникает незатухающая во времени осадка (перемещение) сваи, определяет предельно-длительную нагрузку на сваю. В качестве нормативной нагрузки
Pн следует принять среднее из трех определений (в идентичных условиях) предельно-длительной нагрузки. Несущая способность одиночной сваи определится выражением
Ф = k1mPн,
где k1 - коэффициент однородности, равный 0,8;
m - коэффициент условий работы, равный 1.
Одновременно данные испытаний используются для проверки величины возможной осадки.
5.12. Для внецентренно нагруженных столбчатых фундаментов наибольшее давление на грунт у края подошвы фундамента не должно превышать 1,2 k2m2Rн, где k2, m2 и Rн обозначают то же, что и в формуле [45 (9)]. При этом эксцентриситет в см равнодействующей нагрузки на уровне подошвы фундамента определяется по формуле  [66 (12)] где M - момент внешних сил от расчетных нагрузок относительно центра тяжести подошвы фундамента в кГ·см; Mсм - часть момента M в кГ·см, воспринимаемая касательными силами смерзания вечномерзлого грунта с боковыми поверхностями нижней ступени фундамента; такое смерзание учитывается при условии тщательного уплотнения обратной засыпки пазух котлованов влажным грунтом; N - расчетная вертикальная нагрузка в кГ от зданий и сооружений на основание, включая вес фундамента и грунта, лежащего на его уступах. Значение Mсм для фундамента размером b x l в см (где l - сторона фундамента, параллельная плоскости действия момента) и при высоте нижней ступени фундамента, равной hб, принимается по формуле  [67 (13)] При Mсм >= M площадь подошвы фундамента определяется без учета влияния эксцентриситета. |
К п. 5.12. Значение момента
Mсм в
формуле [67 (13)] приведено для прямоугольного в плане фундамента и справедливо для фундаментов мелкого заложения (при
hм не более пятикратного размера поперечного сечения стойки); у таких фундаментов при работе на внецентренную нагрузку будут преобладать реакции, действующие на башмак фундамента, а реакциями грунта на боковых гранях стойки можно пренебречь. Для фундаментов глубокого заложения, наоборот, сопротивление грунта в пределах стойки оказывается настолько значительным, что момент на уровне башмака уменьшается до величины, не отражающейся на результатах расчета подошвы фундамента. Расчет столбчатых фундаментов на внецентренную нагрузку в этом случае производится аналогично расчету свай.
В
формуле [67 (13)] учтены реологические свойства грунта, которые позволяют ввести в расчет пластический момент сопротивления плоскостей смерзания. При тех же условиях для круглого в плане фундамента

[68]
где
D - диаметр фундамента в
см; остальные обозначения те же, что и в
формуле [67 (13)].
При расчете основания внецентренно нагруженного фундамента в соответствии с указаниями
п. 5.12 наибольшее давление под краем его подошвы принимается не более 20% по сравнению со средним давлением.
Для более экономичного проектирования внецентренно нагруженных фундаментов указанное превышение может быть дифференцировано в зависимости от величины относительного эксцентриситета

в соответствии с данными
табл. 24.
Значение  | 0,05 | 0,1 | 0,15 | 0,2 |
Допускаемое превышение в % | 15 | 20 | 25 | 30 |
Для определения усилий в фундаменте от внецентренной нагрузки
qсм вычисляется так же, как при осевой, т.е. по
формуле [48]. Распределенная по подошве нагрузка вычисляется по формуле внецентренного сжатия в зависимости от величины эксцентриситета:

[69]
Здесь так же, как и при расчете на осевую нагрузку, учтена возможность увеличения касательных реакций основания на боковых гранях башмака. Получаемые таким образом значения нагрузок рассматриваются как расчетные.
Пример. Условия те же, что и в
примере 1 к пп. 5.9, 5.10, но вертикальная нагрузка
N приложена с эксцентриситетом относительно центра тяжести подошвы фундамента
e = 17
см. Кроме того, на фундамент действует горизонтальная нагрузка
P = 0,75
Т с плечом
h0 = 80
см относительно уровня земли.
Требуется проверить допустимость применения фундамента без изменения его размеров, определенных расчетом из условия обеспечения несущей способности основания.
Так как вертикальная расчетная нагрузка на фундамент не увеличилась (
N = 85
Т), то проверки соблюдения
условия [45 (9)] не требуется. Поэтому определяем только наибольшее давление на грунт у края подошвы фундамента
pкр в следующем порядке:
а) вычисляем момент внешних сил на уровне подошвы фундамента от расчетных нагрузок:
M = Ne + P(h + Hт + hм) = 85·103·17 +
+ 0,75·103(80 + 150 + 150) = 17,3·105 кГ·см;
б) по
формуле [67 (13)] определяем момент, воспринимаемый касательными силами смерзания вечномерзлого грунта с боковыми гранями башмака:
в) находим эксцентриситет равнодействующей нагрузки на уровне подошвы фундамента по
формуле [66 (12)]:
г) проверяем наибольшее краевое давление:
По
табл. 24 при

находим, что превышение краевого давления над средним допустимо на 20%. Следовательно,
1,2k2m2Rн = 1,2·0,8·1,0·9,5 = 9,1 кГ/см2.
Сравнивая данные, получаем
pкр = 9,5 кГ/см2 > 1,2k2m2Rн = 9,1 кГ/см2.
Так как перенапряжение грунта основания менее 5%, то фундамент может быть применен без изменения его размеров.
Кроме выполненного расчета необходимо проверить прочность башмака фундамента на действие нагрузок:
а) касательной к боковой поверхности башмака, линейно распределенной по периметру его подошвы:
б) распределенной по подошве, равной
где

N = 77·103 - расчетная нагрузка на фундамент в кГ без учета веса грунта, лежащего на его уступах.
5.13. Расчет по несущей способности (устойчивости) фундаментов и их оснований производится по формуле [44 (8)] согласно указаниям пп. 5.31 - 5.33 главы СНиП II-Б.1-62*. Расчетные значения угла внутреннего трения  и сцепления глинистых грунтов или параметра линейности для песчаных грунтов c принимаются: для оттаивающих и предварительно оттаявших грунтов - по данным испытаний или для ориентировочных расчетов по табл. 13а и 13б главы СНиП II-Б.1-62* для такого состояния плотности и влажности этих грунтов, которое они будут иметь после оттаивания; для мерзлых грунтов - предельно длительные значения  и c по данным исследований грунтов. |
К п. 5.13. Согласно пп. 5.31 - 5.33 главы СНиП II-Б.1-62* несущая способность из условия устойчивости основания определяется образованием в грунте поверхности скольжения, охватывающей всю подошву сооружения, при этом нормальные

и касательные

напряжения в состоянии предельного равновесия связаны зависимостью
Указанная глава СНиП наряду с точными решениями теории предельного равновесия допускает применение расчетов, основанных на круглоцилиндрической форме поверхностей скольжения.
Указанной методикой следует пользоваться для случаев, когда возможен сдвиг части грунтового массива вместе с фундаментом, например, подпорных стенок, фундаментов, расположенных вблизи откосов или котлованов, и т.п.
При этом для оснований, используемых по принципу II, значения

и
c определяются из результатов испытаний, проведенных для такого состояния плотности-влажности грунтов, которое они будут иметь после оттаивания под нагрузкой, равной расчетной. Связь между плотностью-влажностью и нагрузкой устанавливается по данным опыта на компрессию при оттаивании.
При исследовании устойчивости основания, проектируемого по принципу I, следует принимать предельно-длительные значения

и
c, т.е. значения, полученные из испытания в условиях ползучести и отвечающие сдвигающей нагрузке, до превышения которой не возникает незатухающих во времени деформаций (см.
пп. 5.2 и
5.3).
Как показывает опыт, предельно-длительные значения угла внутреннего трения в 1,5 - 3 раза, а сцепления в 3 - 8 раз меньше мгновенных.
Для мерзлых глинистых грунтов можно приближенно принять, что

, а

[70]
где
Rн - нормативное сопротивление грунта нормальному давлению, определяемое по
табл. 15 (6).
Расчет оснований из пластичномерзлых или оттаивающих, а также оттаявших грунтов, по устойчивости для фундаментов, передающих горизонтальную нагрузку, производится следующим образом.
Характеристиками прочности грунта основания служат расчетные величины угла внутреннего трения

и сцепления
c:
а) предельно-длительные для максимального значения температуры пластичномерзлого грунта на уровне подошвы фундамента при устройстве основания с сохранением вечномерзлого состояния этого грунта (принцип I);
б) установленные при недренированных испытаниях для тех значений плотности-влажности грунта, которые будут иметь место непосредственно под подошвой фундамента после оттаивания грунта, если основание устраивается с допущением оттаивания в процессе возведения сооружения или его эксплуатации (принцип II);
в) установленные при консолидированно-дренированных испытаниях, если производится предварительное оттаивание основания (принцип II).
Расчет оснований по несущей способности для определения устойчивости фундаментов производится по
формуле [44 (8)].
Определение несущей способности основания Ф ленточного фундамента
(рис. 17) связано с построением предельно возможной эпюры вертикального реактивного давления, площадь которого равна вертикальной проекции силы
N, обозначенной через
N'.
Рис. 17. Расчетная схема для определения
несущей способности ленточного фундамента
Предельные ординаты эпюры реактивного давления определяются по формуле

[71]
где

- объемный вес грунта выше уровня подошвы фундамента в
т/м3;

- объемный вес грунта основания в
т/м3;
Hлев - глубина заложения левой стороны фундамента, считая от планировочной отметки, в м;
Коэффициенты
k1,
k2,
k3 определяются из
табл. 25 для соответствующих значений угла внутреннего трения

и угла наклона к вертикали

, который образует заданная расчетная нагрузка на основание в наиболее невыгодной комбинации
N, действующая на фундамент с вертикалью, причем

. Далее ведется построение предельной эпюры вертикальных давлений, для чего по
формуле [71] вычисляется
p1 при
x = 0 и
p2 при
x =
b. На
рис. 18 они отложены соответственно из точек
A и
D, причем
p1 =
AA' и
p2 =
DD'. Для того чтобы получить ординаты реактивных давлений
p3 =
DD" при
x =
b и
p4 =
AA" при
x = 0
(рис. 18), вычисление производится по формуле

[72]
где Hпр - глубина заложения фундамента с правой стороны фундамента, считая от планировочной отметки, в м;
b - ширина подошвы фундамента в м.
Таблица 25
Значения коэффициентов k1 - k6
\ | 0 | 10 | 20 | 30 | 40 |
0 | k1 | 1 | 2,47 | 6,4 | 18,4 | 64,2 |
| k2 | 5,14 | 8,34 | 14,8 | 30,1 | 75,3 |
| k3 | 0 | 0,56 | 3,16 | 15,3 | 86,5 |
| k4 | 1 | 2,47 | 6,4 | 18,4 | 64,2 |
| k5 | 5,14 | 8,34 | 14,8 | 30,1 | 75,3 |
| k6 | 0 | 0,56 | 3,16 | 15,3 | 86,3 |
10 | k1 | - | 1,5 | 4,65 | 12,9 | 42,4 |
| k2 | - | 2,84 | 10 | 20,6 | 49,3 |
| k3 | - | 0,17 | 1,54 | 7,76 | 42,4 |
| k4 | - | 1,65 | 7,79 | 23,9 | 90,5 |
| k5 | - | 3,69 | 18,7 | 39,7 | 105 |
| k6 | - | 0,78 | 5,26 | 31 | 136 |
20 | k1 | - | - | 2,09 | 7,97 | 25,4 |
| k2 | - | - | 3 | 12,1 | 29,1 |
| k3 | - | - | 0,34 | 3,1 | 17,5 |
| k4 | - | - | 3,05 | 28,3 | 117 |
| k5 | - | - | 5,64 | 47,3 | 139 |
| k6 | - | - | 7,8 | 41 | 176 |
30 | k1 | - | - | - | 2,75 | 13,1 |
| k2 | - | - | - | 3,02 | 24,4 |
| k3 | - | - | - | 0,5 | 5,73 |
| k4 | - | - | - | 6,7 | 141 |
| k5 | - | - | - | 9,85 | 167 |
| k6 | - | - | - | 46,9 | 251 |
40 | k1 | - | - | - | - | 3,42 |
| k2 | - | - | - | - | 2,88 |
| k3 | - | - | - | - | 0,64 |
| k4 | - | - | - | - | 18,8 |
| k5 | - | - | - | - | 21,2 |
| k6 | - | - | - | - | 211 |
Рис. 18. Построение эпюры предельных вертикальных давлений
Остальные обозначения прежние. Значения коэффициентов
k4,
k5,
k6 также берутся из
табл. 25. Расстояние
AF находится графически или аналитически по формуле

[73]
Подставляя значение
x для точки
F, вычисленное по
формуле [73], в
формулу [71], получаем значение
p в точке
F, т.е.
p5 =
FF'. Если
DD" >=
DD', то предельная эпюра реактивных давлений представляется одной трапецией
ADD'A'. В общем случае величина равнодействующей предельной эпюры реактивных давлений представляется суммой площадей левой
A'F'FA и правой
DFF'D" трапецией, т.е.
причем

[75]
Абсциссы центров тяжестей площадей этих трапеций, т.е. точек приложения равнодействующих Ф
1 и Ф
2, находятся с помощью графического построения или аналитически и обозначены
l1 и
l2 (рис. 18). Координата точки приложения суммарной равнодействующей Ф
' определяется по формуле

[76]
Эксцентриситет относительно середины подошвы фундамента равен

[77]
После этого по формуле внецентренного сжатия вычисляется эксцентриситет от расчетной нагрузки:

[78]
где M - расчетное значение момента внешних сил относительно середины подошвы фундамента;
N' - расчетное значение вертикальной составляющей, действующей на фундамент нагрузки N.
Очевидно, что в общем случае будет

.
Вертикальная проекция Ф" несущей способности основания Ф при заданном значении эксцентриситета e1 вычисляется по формуле

[79]
Коэффициент

, входящий в
формулу [79], определяется по графику (
рис. 19,
а) следующим образом. По оси абсцисс откладывается с учетом знака отношение

, затем из этой точки откладывается ордината, равная 1, и из конца ее по ближайшей кривой справа (или по кривой, проведенной между двумя соседними с помощью интерполяции) устанавливается значение коэффициента

, соответствующее значению абсциссы

. Если окажется, что
e1 >
e, то принимается

. Порядок отыскания коэффициента

показан на
рис. 19,
б.
Искомая величина Ф равна

[80]

[81]
Рис. 19. График для определения коэффициента

Изложенный способ может быть применен для определения несущей способности не только ленточных, но и квадратных фундаментов. В этом случае расчет ведется следующим образом:
а) вычисляется заданная расчетная нагрузка Nл на единицу длины фундамента:

[82]
где b - ширина фундамента в м;
N - заданная расчетная нагрузка в наиболее невыгодной комбинации в Т/м и расчетное значение момента относительно середины подошвы фундамента Mл в Т·м, действующего на единицу длины фундамента;

[83]
б) определяется величина Ф по рекомендациям, данным выше для ленточных фундаментов, причем считается, что нагрузки, действующие на ленточный фундамент, относятся к 1 м его длины. Поэтому применительно к расчету квадратного фундамента используются значения Nл вместо N и Mл вместо M;
в) вычисленная величина Ф для ленточного фундамента умножается на коэффициент при

, равный 1,2
b, и при

, равный 1,1
b. Полученное значение несущей способности сравнивается с нагрузкой
N. При этом должно выполняться
условие [44 (8)] п. 5.4.
Пример 1. Требуется определить несущую способность основания ленточного фундамента, запроектированного на предварительно оттаявших уплотненных от собственного веса грунтах (
рис. 20,
а).
Рис. 20. Определение несущей способности основания
ленточного фундамента на предварительно оттаявших
и уплотненных грунтах
а - равнодействующая вертикальной нагрузки, приложенная
в центре; б - вертикальная нагрузка, приложенная
с эксцентриситетом
Грунт основания - песок имеет следующие характеристики: объемный вес

; расчетное значение угла внутреннего трения

; параметр линейности
c = 0.
Глубина заложения фундамента 1,5 м; ширина фундамента b = 4 м.
Равнодействующая расчетной вертикальной нагрузки, приложенная центрально, равна 70 Т/м; равнодействующая горизонтальной расчетной нагрузки приложена на высоте 2,5 м и равна 12,2 Т/м.
Интенсивность пригрузки равна
q = 1,8·1,5 = 2,7 Т/м2.
Эксцентриситет равнодействующей равен
и направлен в сторону сдвига.
Определяем угол

Для указанного грунта выписываем из
табл. 25 значения коэффициентов
k1 = 12,9; k2 = 20,6; k3 = 7,76; k4 = 23,9; k5 = 39,7;
k6 = 31.
p1 = 12,9·1,8·1,5 + 7,76·1,8x = 34,8 + 14x.
p2 = 23,9·1,8·1,5 + 31·1,8(4 - x) = 287,7 - 55,8x.
Координату точки пересечения обеих линий, ограничивающих эпюры p, можно найти графически или аналитически. Находим ее в данном случае из уравнения 34,8 + 14x = 287,7 - 55,8x, откуда x = 3,63 м.
При x = 3,63 м p = 85,5 Т/м2.
Далее находим
Равнодействующая Ф' = 218 + 27,7 = 245,7 Т и приложена на расстоянии, равном
так как установленные графически величины l1 = 1,98 м и l = 3,82 м; эксцентриситет равен e = 2,18 - 2 = 0,18 м, относительный эксцентриситет равен
Фактический относительный эксцентриситет равен
По графику
(рис. 19) находим

и, следовательно, Ф = 245,7·0,82 = 202
Т, а несущая способность данного фундамента основания больше внешней нагрузки.
Пример 2. Требуется определить несущую способность основания ленточного фундамента, запроектированного на предварительно оттаявших уплотненных от собственного веса грунтах (
рис. 20,
б).
Грунт основания - пылеватый песок - имеет следующие характеристики: объемный вес

, расчетное значение угла внутреннего трения

, расчетное значение параметра линейности
c = 0,2
кГ/см2.
Глубина заложения фундамента 1,5 м; ширина фундамента b = 6 м.
Расчетная вертикальная нагрузка на единицу длины фундамента составляет 120 Т и приложена с эксцентриситетом 0,5 м в сторону, противоположную сдвигу; расчетная горизонтальная нагрузка на единицу длины фундамента равна 32 Т и приложена на высоте 3 м. Пригрузка равна 1 и 1,5 м.
Определяем угол

:
По
табл. 25, пользуясь линейной интерполяцией, получаем
k1 = 3,37; k2 = 6,5; k3 = 0,94; k4 = 5,42; k5 = 12,17;
k6 = 6,03.
p1 = 3,37·1,8·1 + 6,5·2 - 0,94·1,8x = 19,1 + 1,62x;
p2 = 5,42·1,8·1,5 + 12,17·2 + 6,03·1,8(6 - x) =
= 104,69 - 10,9x.
Решая их совместно, получаем x = 6,8 > 6; следовательно, правая часть эпюры будет отсутствовать. Крайнее значение ординаты эпюры получим, полагая в первой зависимости x = 6. При этом центр тяжести этой трапеции окажется на расстоянии x = 3,2 м.
Величина равнодействующей равна
Эксцентриситеты равны
e = 0,3
м,

.
Относительный эксцентриситет равен
Фактический относительный эксцентриситет равен
По графику (
рис. 19,
а) имеем коэффициент

.
Сила Ф" равна
Ф" = 144·0,91 = 131 Т.
Несущая способность равна
при действующей силе

. Следовательно, несущая способность основания фундамента больше внешней нагрузки.
Расчет фундаментов по устойчивости и прочности
на действие сил пучения
5.14. При слое сезонного промерзания-оттаивания, сложенном глинистыми, мелкими и пылеватыми песчаными грунтами, а также крупнообломочными, содержащими частицы размером менее 0,1 мм в количестве 30% по весу и более, независимо от принятого принципа использования грунтов основания, надлежит проверять фундамент на действие сил пучения согласно указаниям пп. 5.15 - 5.20. |
К п. 5.14. При промерзании грунта в природных условиях увеличение объема (пучение) замерзающего слоя сопровождается возникновением вертикальных давлений, значительно возрастающих непосредственно около фундамента, вследствие смерзания грунта с поверхностью фундамента. Увеличение давления происходит до тех пор, пока касательные напряжения не превзойдут сопротивления сдвигу по поверхности смерзания грунта с фундаментом. Тогда происходит пластический сдвиг промерзшего слоя по боковой поверхности. Эти силы, возникающие на боковой поверхности фундамента в слое сезонного оттаивания-промерзания, называются касательными силами пучения. Величина этих сил зависит от состава и влажности грунта, глубины и условий промерзания, материала фундамента и других факторов, вызванных местными условиями.
Сезонное смерзание грунтов с фундаментом происходит как в случае сохранения мерзлого состояния основания под подошвой фундамента, так и при его оттаивании. Поэтому проверка фундаментов на действие сил пучения производится при проектировании основания как по принципу I, так и по принципу II. Отличие заключается в том, что во втором случае смерзание грунтов с фундаментов может происходить не по всему периметру его поперечного сечения, а только на той части, которая обращена во внешнюю сторону от здания.
5.15. Расчет фундаментов на действие сил пучения производится по формуле  [84 (14)] где km - произведение коэффициентов однородности и условий работы грунта; km = 0,9; Qн - означает: а) при использовании грунтов оснований в мерзлом состоянии (по принципу I) - нормативное значение силы, удерживающей фундамент от выпучивания вследствие смерзания его с вечномерзлым грунтом  , в кГ, определяемое по указаниям п. 5.16; б) при использовании грунтов оснований в оттаивающем и оттаявшем (по принципу II), а также в естественном талом состоянии - нормативное значение силы, удерживающей фундамент от выпучивания вследствие трения его о грунт  , в кГ, определяемое по указаниям п. 5.17; n - коэффициент перегрузки сил пучения, принимаемый равным 1,2, если сезонномерзлый слой сливается с вечномерзлым грунтом, и 1,4, если он не сливается; n1 - коэффициент перегрузки постоянной нагрузки, действующей на фундамент, принимаемый равным 0,9;  - нормативное значение касательной силы пучения в кГ/см2, принимаемое на основании опытных данных; при отсутствии опытных данных допускается принимать  равным 0,8 кГ/см2 для районов с температурой грунтов на глубине 10 м -3 °C и выше и равным 0,6 кГ/см2 для районов с температурой грунтов (на той же глубине) ниже -3 °C; F - площадь боковой поверхности части фундамента, находящейся в пределах сезонномерзлого слоя, в см2;  - нормативное значение постоянной нагрузки, включая вес фундамента и грунта, лежащего на его уступах, в кГ. Примечания: 1. Значения  при смерзании грунтов с металлическими поверхностями, если поверхности специально не обработаны, принимаются с коэффициентом 0,7. 2. При расчете удерживающей силы анкера допускается учитывать нормальное давление на его верхнюю поверхность, возникающее при пучении грунтов. |
К п. 5.15. Касательным силам, возникающим при пучении грунта и выдергивающим фундамент, препятствуют направленная вниз вертикальная нагрузка от сооружения, а также удерживающие реактивные силы, обусловленные трением или смерзанием грунтов, примыкающих к фундаменту ниже слоя сезонного промерзания-оттаивания грунта.
Формула [84 (14)] определяет условие устойчивости фундамента для случая, когда ниже глубины сезонного промерзания-оттаивания встречаются как мерзлые, так и талые слои грунта.
Нормативная постоянная нагрузка

, если она действует снизу вверх, выдергивая фундамент, принимается в
формуле [84 (14)] со знаком "минус" и коэффициентом перегрузки
n = 1,1.
Временная нагрузка учитывается в расчете по
формуле [84 (14)] только в том случае, если она совпадает по направлению с силой, выпучивающей фундамент (см.
п. 5.20), при этом необходимо учитывать требования
п. 5.21.
Нормативная касательная сила пучения

принимается на 1
см2 части поверхности фундамента, находящейся в слое сезонного промерзания.
Значения

рекомендуется определять на основании опытных данных, отражающих местные особенности грунтов, скорость их промерзания с поверхности, режим надмерзлотных вод и т.п. Однако эти опытные данные нельзя получить при односезонных изысканиях, и тогда можно воспользоваться приведенными в
п. 5.15 численными значения

.
Нормативные значения

дифференцированы в зависимости от мерзлотных условий, комплексно отражаемых среднегодовой температурой грунтов. Кроме того, возможность увеличения касательных сил, обусловленных пучением, учтена коэффициентом перегрузки, для которого дано повышенное значение, когда слой сезонного промерзания не сливается с верхней границей вечномерзлых грунтов. Увеличение в этом случае сил, обусловленных пучением, объясняется тем, что надмерзлотная вода в талом прослойке является источником дополнительного льдообразования. Эта вода мигрирует к фронту промерзания и замерзая выделяется в виде ледяных прослойков. Если талого прослойка под слоем сезонного промерзания не остается, то запас способной к миграции воды оказывается ограниченным, и поэтому пучение грунта проявляется в несколько меньших размерах.
Следует иметь в виду, что приведенные в
п. 5.15 касательные силы пучения

относятся к осредненным мерзлотно-грунтовым условиям и не охватывают возможные неблагоприятные случаи, которые могут иметь место при наличии подтока грунтовых вод. В этих случаях силы выпучивания могут достигать весьма большой величины - до 1,5
кГ/см2 и более. Поэтому в случае обнаружения при изысканиях каких-либо неблагоприятных обстоятельств следует определять значения

непосредственно по данным испытаний. Сказанное особенно важно для фундаментов с небольшими нагрузками (эстакады, мосты, опоры, линии передач, малонагруженные фундаменты зданий и т.д.).
Поскольку сила, выпучивающая фундамент, возникает вследствие смерзания грунта с его боковой поверхностью, то к величине этой силы могут применяться те же понижающие коэффициенты, которые предусматриваются для

[см.
табл. 14 (5)]. Соответственно в
примечании 1 к п. 5.15 оговаривается, что для металлических, специально необработанных поверхностей к величине

вводится коэффициент 0,7. В зависимости от применяемого типа покрытия прочность смерзания с металлическими поверхностями, а следовательно, и

может быть больше или меньше

. Так, например, при цементных покрытиях следует принимать указанный коэффициент равным единице. Наоборот, покрытие некоторыми синтетическими материалами снижает прочность смерзания по сравнению с нормативной; возможное значение снижающего коэффициента к

в этом случае устанавливается на основании испытаний.
Примечание 2 к п. 5.15 позволяет уточнять силы, противодействующие выпучиванию фундаментов с анкерной плитой (башмаком).
Увеличивающийся в объеме замерзающий слой грунта оказывает вертикальное давление на вышележащие и нижележащие слои. Возникающие вследствие этой силы вертикальные напряжения можно пояснить следующим образом. Если представить увеличивающийся в объеме промерзающий слой грунта в виде предварительно сжатых пружин
(рис. 21), то на некотором удалении от фундамента пружины окажутся сжатыми только силами, равными весу грунта

. У фундамента растяжению пружины кроме веса грунта будет препятствовать смерзание грунта с фундаментом. Одновременно с этим пружины будут оказывать давление на анкерную плиту.
Рис. 21. Возникновение напряжений
при сезонном промерзании грунта
В расчет удобно ввести коэффициент снижения подъемной силы kп, значения которого, полученные путем численного интегрирования нормальных напряжений по верхней поверхности анкера, определяются по формуле

[85]
где a - сторона сечения стойки в см;
l - сторона квадратной анкерной плиты в см;

и

- коэффициенты, определяемые по
табл. 26, в зависимости от

;

для

и

;

для

.
Здесь z1 = Hт + hм - hб;
Hт - расчетная глубина сезонного оттаивания в см;
hм - заглубление подошвы фундамента в вечномерзлый грунт в см;
hб - высота нижней ступени башмака в см.
Таблица 26
Значения безразмерных коэффициентов
и 
m1,2 | Значения  при n1,2, равном |
0,5 | 1 | 2 | 3 | 4 | 5 | 6 |
1 | 0,029 | 0,058 | 0,088 | 0,087 | 0,082 | 0,077 | 0,074 |
2 | 0,015 | 0,031 | 0,067 | 0,085 | 0,082 | 0,078 | 0,075 |
3 | 0,007 | 0,015 | 0,034 | 0,059 | 0,075 | 0,074 | 0,07 |
4 | 0,004 | 0,008 | 0,019 | 0,032 | 0,052 | 0,066 | 0,067 |
5 | 0,003 | 0,006 | 0,012 | 0,02 | 0,029 | 0,047 | 0,058 |
6 | 0,002 | 0,004 | 0,008 | 0,013 | 0,02 | 0,028 | 0,043 |
7 | 0,002 | 0,003 | 0,006 | 0,009 | 0,013 | 0,018 | 0,025 |
8 | 0,001 | 0,002 | 0,005 | 0,007 | 0,01 | 0,013 | 0,018 |
9 | 0,001 | 0,002 | 0,004 | 0,005 | 0,008 | 0,01 | 0,013 |
10 | 0,001 | 0,001 | 0,003 | 0,004 | 0,006 | 0,008 | 0,009 |
Примечание. При значении m1,2 > 10 следует принимать kп = 1. |
С учетом этого коэффициента условие устойчивости будет иметь следующий вид:

[86]
5.16. Нормативное значение силы, удерживающей фундамент от выпучивания вследствие смерзания его с вечномерзлым грунтом основания  в кГ, определяется по формуле  [87 (15)] где  - нормативное сопротивление мерзлых грунтов сдвигу по поверхности смерзания в кГ/см2 для i-го слоя, принимаемой по табл. 14 (5); Fi - площадь поверхности сдвига в см2 для i-го слоя; n - число слоев грунта. |
К п. 5.16. Вычисление по
формуле [87 (15)] сводится к послойному суммированию сопротивлений сдвига, изменяющихся в зависимости от температуры. Это суммирование можно заменить интегрированием, представив значения

из
табл. 14 (5) в виде аналитического выражения, а температуру грунта как
t =
z grad
t; где
z - глубина от поверхности вечномерзлых грунтов; grad
t - приращение температуры (без учета знака) на 1
м глубины.
Тогда для вертикальной поверхности сдвига

[88]
где

- нормативное сопротивление сдвигу в
кГ/см2, определяемое при температуре на глубину
hм. Эта температура может определяться по
формуле [60 (10)];
F - площадь поверхности сдвига в вечномерзлом грунте в см2.
Формулой [88] можно пользоваться при глубине заложения фундамента в вечномерзлый грунт до 4
м; при большей глубине

можно определять по формуле

(где

принимается по указаниям
п. 5.10).
При значительных усилиях (например, при одновременном действии пучения и горизонтальных нагрузок) можно воспользоваться более точным методом расчета устойчивости анкерных фундаментов, приняв во внимание увеличение сопротивления сдвигу по сравнению с прочностью смерзания, которое особенно заметно для супесей. В этом случае

[89]
где Uа - периметр горизонтального сечения анкера в см;
hб - высота анкерной плиты в см;

- нормативное сопротивление грунта сдвигу в
кГ/см2 внутри массива грунта, определяемое в зависимости от температуры на глубине (
hм -
hб) по
табл. 16;
5.17. Нормативное значение силы, удерживающей фундамент от выпучивания вследствие трения фундамента о грунт  , в кГ, определяется по формуле  [90 (16)] где  - нормативное сопротивление грунта основания на боковой поверхности фундамента в кГ/см2, принимаемое для свайных фундаментов по главе СНиП II-Б.5-67 "Свайные фундаменты. Нормы проектирования", а для прочих видов фундаментов при отсутствии опытных данных: для глинистых грунтов 0,2 кГ/см2; для песчаных 0,3 кГ/см2; Fт - часть площади боковой поверхности фундамента в см2, находящаяся в грунте ниже слоя зимнего промерзания. |
К п. 5.17. Формула [90 (16)] приведена для свай и столбчатых фундаментов, не имеющих уширения в нижней части. Если фундамент проектируется с анкерной плитой (башмаком), то значение
Fт определяется как площадь поверхности сдвига, следом которой на горизонтальную плоскость является периметр фундамента
Uа.
5.18. Проверка фундаментов на действия сил пучения по формуле [84 (14)] должна производиться как для законченного здания или сооружения, так и для условий незавершенного строительства; в последнем случае нагрузка на фундамент определяется по фактическому весу незаконченного здания или сооружения. Если при этой проверке сила пучения окажется большей удерживающей силы анкера, веса фундамента и возведенной части сооружения, то в проекте должны быть предусмотрены мероприятия, предохраняющие грунт от промерзания. |
| | ИС МЕГАНОРМ: примечание. В официальном тексте документа, видимо, допущена опечатка: формула [89 (14)] отсутствует. Возможно, имеется в виду формула [84 (14)]. | |
|
Примечание. При проверке на действие сил пучения опор наземных трубопроводов в период их строительства допускается принимать по формуле [89 (14)] произведение коэффициентов km = 1. |
К п. 5.18. Данное требование введено для обеспечения устойчивости фундаментов от воздействия сил пучения не только после окончания строительства, но и в процессе строительства, если оно переходит на осенне-зимний период.
Защита от промерзания может осуществляться термоизоляцией поверхности вокруг фундамента (см.
пояснение к п. 3.22).
Могут применяться и другие способы: обработка поверхности фундамента маслянистыми веществами, бандажи, гидрофобизация грунта или замена его крупнообломочным, дренаж и т.п. Применение с этой целью засоления грунтов недопустимо, если основание используется по принципу I.
5.19. При наличии вечномерзлых грунтов основания с температурой на глубине 10 м не выше -2 °C можно для определения глубины заанкеривания фундаментов hм в см в вечномерзлый грунт вместо формулы [84 (14)] пользоваться формулой  [91 (17)] где Uа - периметр сечения фундамента в зоне заанкеривания в см; t0 - температура вечномерзлого грунта на глубине 10 м от поверхности грунта; принимается в формуле [91 (17)] со знаком "плюс"; |
К п. 5.19. В тех случаях, когда глубина заложения фундамента определяется из условия устойчивости на выпучивание, расчет по
формуле [84 (14)] неудобен, так как искомая величина находится методом попыток. Для того чтобы этого избежать, можно решить
уравнение [84 (14)] относительно
hм, подставив

из
формулы [87 (15)] и выразив температуру как функцию глубины
t =
z grad
t. Это приводит к
формуле [91 (17)], в которой градиент температуры заменен его приближенным значением, равным 0,0017
t0 град/см.
Формула [91 (17)] приведена с численным значением коэффициента 1,1 для глинистых грунтов, смерзающихся с деревянными и железобетонными поверхностями фундаментов. При других грунтах или материалах фундаментов вместо коэффициента 1,1 следует принимать значение коэффициента, равное
D, по
табл. 27.
Таблица 27
Вид фундаментов | Поверхность фундамента | Значения D в см/кГ·град для грунтов, залегающих ниже глубины сезонного оттаивания |
песчаного | глинистого |
Столбчатые с анкерной плитой | Бетон | 0,9 | 1 |
Свайные | Бетон, дерево, металл | 1 | 1,1 |
1,1 | 1,2 |
Если принятая в проекте глубина
hм равна или превосходит определенную по
формуле [91 (17)], то условие устойчивости соблюдено, и в дополнительной проверке по
формуле [84 (14)] нет необходимости.
Для анкерных фундаментов сила выпучивания в
формуле [91 (17)] может быть уменьшена умножением

на коэффициент
kп.
Для случаев, когда температура вечномерзлого грунта на глубине 10
м выше -2 °C, необходимая глубина заанкеривания фундаментов
hм, удовлетворяющая
уравнению [84 (14)], определяется по формуле

[92]
В этом случае рекомендуется принимать значения

численно равными значениям

, указанным в
п. 5.17.
5.20. Расчетное усилие P в кГ, разрывающее заанкеренный фундамент силами пучения, определяется по формуле  [93 (18)]  - нормативное значение постоянной нагрузки в кГ, включая вес части фундамента, расположенной выше расчетного сечения. |
К п. 5.20. Касательные силы пучения возникают в пределах сезонного промерзания грунта и распределяются неравномерно. Поэтому сечению стойки фундамента (от поверхности грунта и до башмака) должны быть рассчитаны на действие силы
P, определенной по
формуле [93 (18)]. Этой формулой определяется наибольшее значение растягивающего усилия в фундаменте.
Кроме проверки стойки фундамента на разрыв по
формуле [93 (18)] необходимо произвести проверку прочности башмака фундамента на расчетные нагрузки:
а) касательные к боковой поверхности нижней ступени башмака, обусловленные смерзанием и направленные сверху вниз:

[94]
б) нормальные к верхней поверхности башмака в кГ/см2, вызывающие растяжение верхних волокон башмака фундамента:

[95]
где

,
F,
n,
n1 - обозначения те же, что и в
п. 5.15;

- обозначение то же, что и в
п. 5.5;
hб - высота нижней ступени башмака в см;
Uа - периметр нижней ступени башмака фундамента в см;
F0 - площадь подошвы фундамента в см2 за вычетом сечения стойки;

- нормативная постоянная нагрузка на фундамент в
кГ без учета веса грунта, лежащего на его уступах.
| | ИС МЕГАНОРМ: примечание. Взамен СНиП II-А.11-62 Постановлением Госстроя СССР от 08.02.1974 N 16 с 01.09.1974 введены в действие СНиП II-6-74. | |
5.21. При расчете фундаментов по устойчивости и прочности на действие сил пучения следует руководствоваться указаниями п. 1.8 главы СНиП II-А.11-62 "Нагрузки и воздействия. Нормы проектирования", рассматривая силы пучения как кратковременную нагрузку. |
К п. 5.21. Если в расчетах фундаментов по устойчивости и прочности на действие сил пучения учитывается действие передаваемых от сооружения одной или более кратковременных нагрузок (ветровой, крановой и т.п.), то значения расчетной касательной силы выпучивания

и действующих расчетных кратковременных нагрузок умножаются на коэффициент, равный 0,9, согласно указаниям п. 1.8 главы СНиП II-А.11-62; если же кроме перечисленных учитывается еще и особая нагрузка, то коэффициент принимается равным 0,8.
При действии временных нагрузок, выдергивающих фундамент, они принимаются в
формулах [84 (14)],
[91 (17)],
[92] и
[93 (18)] с тем же знаком, что и

, а также с соответствующими коэффициентами перегрузки, определяемыми по указаниям главы СНиП II-А.11-62.
Пример 1. Требуется проверить устойчивость железобетонного фундамента анкерного типа по
формуле [84 (14)].
Район строительства - Дудинка. По данным изысканий площадка сложена глинистыми грунтами, температура которых t0 = -4,2 °C. Расчетная глубина сезонного оттаивания Hт = 160 см.
Фундамент заглублен в грунт на 300
см. Размер подошвы фундамента в плане 160 x 160
см, сечение стойки 40 x 40
см. На фундамент действует нагрузка

.
Необходимые для расчета величины определяются в соответствии с указаниями
п. 5.15:
km = 0,9;
n = 1,2;
n1 = 0,9;

;
F = 4·40·160 = 2,56·10
4 см2.
Для проверки устойчивости по
формуле [84 (14)] вычисляем разность между касательными силами пучения и постоянной нагрузкой:

.
Знак "-" означает, что силы пучения уравновешены с избытком одной постоянной нагрузкой и, следовательно, нет необходимости продолжать далее расчет.
Пример 2. В районе Амдермы запроектирован фундамент подкоса антенного устройства в виде высокого ростверка по металлическим трубчатым сваям, наружный диаметр которых d = 325 мм. Требуется проверить устойчивость фундамента на выпучивание при условии, что расчетная глубина сезонного оттаивания Hт = 140 см.
Значения температур суглинистого грунта по глубине, полученные по данным изысканий на начало сезонного промерзания, следующие: на верхней поверхности вечномерзлого грунта t = 0 °C; на глубине 2 м t = -0,6 °C; 3 м t = -1,4 °C; 4 м t = -2 °C; 5 м t = -2,6 °C; 6 м t = -3 °C; 10 м t = -3,8 °C.
Влажность суглинистых грунтов
W = 0,25, предел раскатывания
Wр = 0,2, число пластичности
Wп = 11 и объемный вес

.
Сваи заглублены в грунт, считая от поверхности, на 6
м. На одну сваю действуют постоянная вертикальная нагрузка, направленная вниз

, и вертикальная составляющая ветровой нагрузки, выдергивающая сваю,

.
В соответствии с указаниями
п. 5.15 имеем
km = 0,9;
n = 1,2;
n1 = 0,9;

;
F = 3,14·32,5·140 = 14 300
см2.
| | ИС МЕГАНОРМ: примечание. Взамен СНиП II-А.11-62 Постановлением Госстроя СССР от 08.02.1974 N 16 с 01.09.1974 введены в действие СНиП II-6-74. | |
Кроме того, в соответствии с
примечанием 1 к п. 5.15 значение

умножаем на коэффициент 0,7, т.е.

; в соответствии с указаниями
п. 5.21 для расчетной ветровой нагрузки, рассматриваемой как кратковременной, вводим коэффициент 0,9, т.е.

, где
nв - коэффициент перегрузки, принимаемый равным 1,3 согласно п. 6.4б главы СНиП II-А.11-62; в соответствии с указаниями
п. 5.21 для расчетной силы пучения вводим коэффициент 0,9, т.е.

.
1) вычисляется разность между силами пучения и внешними нагрузками:
Для вычисления

по
формуле [87 (15)] разделяем толщу вечномерзлого грунта, равную 6 - 1,4 = 4,6
м, на пять слоев: толщиной 0,6
м первый, а остальные четыре по 1
м.
Средние температуры грунта в середине этих слоев равны:
Здесь значение

получено по
табл. 21 (7) при

; значение

для суглинистых грунтов определено по
табл. 38 (10); значение

- по той же таблице с поправкой на содержание в мерзлом грунте незамерзшей воды, которое вычислялось по
формуле [2 (2)] при температуре
t = 0,1
t0hм = 0,1(-3,8)4,6 = -1,8 °C и составляет
Wп = 0,11. Далее вычисляем значение

и определяем значение

по
формуле [88]:

;
или 0,9·44 100 = 40 000 кГ > 18 100 кГ.
Таким образом, принятое заглубление свай обеспечивает устойчивость фундамента против выпучивания.
Расчетное усилие, разрывающее фундаменты силами пучения, определяем по
формуле [93 (18)], которая для рассматриваемого примера примет вид
или P = 6400 - (0,9·2800 - 20 500) = 24 380 кГ.
Пример 3. Требуется определить необходимую глубину заанкеривания столбчатого железобетонного фундамента в вечномерзлый грунт в районе Усть-Маи при следующих данных.
Сезоннооттаивающий слой представлен суглинком с прослойками пылеватой супеси, ниже залегают вечномерзлые песчаные грунты. Температура грунта
t0 = -1,5 °C. Расчетная глубина сезонного оттаивания
Hт = 225
см, сечение стойки фундамента 40 x 40
см, размер подошвы в плане 120 x 120
см, высота башмака
hб = 30
см. На фундамент действует нагрузка

.
Из выполненного ранее расчета несущей способности основания известно, что глубина заложения фундамента может быть принята минимальной [см.
табл. 11 (2)] и равной
H =
Hт + 1
м; следовательно,
hм = 100
см.
Определяем вспомогательные величины (см.
пп. 5.15 и
5.19):
km = 0,9;
n = 1,2;
n1 = 0,9;

;
F = 40·4·225 = 36 000
см2;
Uа = 4·120 = 480
см;
D = 1
см/кГ·
град.
Необходимую глубину заанкеривания фундамента в вечномерзлый грунт
hм определяем по
формуле [91 (17)]:
В связи с тем что необходимая глубина заложения фундамента из условия пучения оказалась большей, чем намеченная ранее из условия несущей способности основания, целесообразно определить еще раз hм уточненным способом с учетом коэффициента kп.
Определяем предварительно коэффициенты

и

по
табл. 26 при

;

.
Следовательно, окончательно принимаем hм = 100 см.
Расчет оснований по деформациям
5.22. Расчет оснований по деформациям (см. п. 5.2) производится исходя из условия где S - величина деформации основания, определяемая расчетом по указаниям настоящего раздела; Sпр - предельная величина деформации основания, соответствующая пределу эксплуатационной пригодности надфундаментной конструкции. Значения Sпр для зданий и сооружений, специально не приспособленных к повышенным неравномерным деформациям основания, не должны превосходить величин, указанных в табл. 10 и 11 главы СНиП II-Б.1-62* "Основания зданий и сооружений. Нормы проектирования". Для зданий и сооружений, специально приспособленных (см. примечание 2 к п. 3.14) к повышенным неравномерным деформациям основания, допускается принимать большие значения предельных деформаций оснований. |
К п. 5.22. Деформация основания
S зависит от свойств грунтов основания, размеров фундамента, величины нагрузки и теплового воздействия сооружения и определяется расчетом по указаниям
пп. 5.29 -
5.39.
Предельная величина деформации основания зависит от типа и конструктивных особенностей сооружения и соответствует такой деформации, при превышении которой нарушаются ее прочность и эксплуатационная пригодность.
Величины предельных деформаций S, нормированные в зависимости от типа и конструкции зданий и сооружений, даны в табл. 10 и 11 главы СНиП II-Б.1-62*. Приведенные там значения относятся лишь к зданиям и сооружениям, не приспособленным специально для восприятия повышенных неравномерных деформаций основания. Такими считаются здания обычного типа, перечисленные в указанных таблицах (включая здания с кирпичными и крупнопанельными стенами и здания, армированные железобетонными или армокирпичными поясами, если эти пояса приняты конструктивно без расчета).
Значения
Sпр разрешается увеличивать по сравнению с приведенными в этих таблицах для зданий и сооружений, специально приспособленных к восприятию повышенных неравномерных деформаций, что должно обосновываться расчетом (см.
пояснения к п. 3.14).
Особенности расчета осадок пластичномерзлых и предварительно оттаявших грунтов состоят в следующем:
расчет осадки пластичномерзлых грунтов, используемых по принципу I с сохранением их мерзлого состояния, производится так же, как и обычных немерзлых грунтов, но с учетом зависимости характеристик сжимаемости пластичномерзлого грунта от температуры;
расчет осадки предварительно оттаявших мерзлых грунтов производится так же, как и обычных немерзлых грунтов, но с учетом такого состояния плотности-влажности оттаявшего грунта, которое он будет иметь в момент передачи на него нагрузки от сооружения.
Расчет осадки мерзлых грунтов, оттаивающих в процессе эксплуатации здания или сооружения, имеет следующие отличительные особенности:
осадка оттаивающего грунта складывается из двух частей - осадки оттаивания (иногда называемой тепловой осадкой), не зависящей от давления, и осадки уплотнения, зависящей как от внешней нагрузки, передаваемой фундаментом, так и от воздействия собственного веса оттаявшего грунта; величина осадки зависит от глубины оттаивания грунта под фундаментом.
Для удобства пользования расчетными формулами ниже приводится последовательность расчетов осадок оснований в зависимости от принятого принципа использования мерзлых грунтов основания
(табл. 28).
Таблица 28
Последовательность расчета осадок оснований, сложенных
вечномерзлыми грунтами, в зависимости от принципа
их использования
N п/п | Этап расчета | Последовательность расчета осадок оснований |
пластичномерзлых грунтов, используемых с сохранением их мерзлого состояния (по принципу I) | мерзлых грунтов, используемых в оттаявшем и оттаивающем состоянии (по принципу II) |
оттаявших предварительно до возведения здания или сооружения | оттаивающих в процессе эксплуатации здания или сооружения |
1 | Подготовка исходных данных | Схематические разрезы здания или сооружения наносятся на геологический профиль, на котором проставлены исходные физические и теплофизические характеристики грунтов, необходимые для расчетов |
| Теплотехнический расчет | Определяется максимальная температура пластичномерзлого грунта по формуле [60 (10)]. Значение t0 принимается по данным изысканий. Контуры фундаментов наносятся на геологический разрез основания, на котором указываются значения температур tмакс и t0 и величина расчетной температуры, определяемой по формуле  [97] | Определяется необходимая глубина предварительного оттаивания (см. пояснение к п. 3.26), а в случае, если грунт до возведения сооружения оттает не на всю необходимую глубину, то определяется также и величина последующего оттаивания, которое произойдет в процессе эксплуатации здания или сооружения. Контуры фундаментов наносятся на геологический разрез основания, на котором показываются границы зоны предварительного оттаивания, а также границы возможного последующего оттаивания грунтов основания | Определяется положение границы зоны оттаивания основания в соответствии с пояснениями к п. 5.23 и приложением. Контуры фундамента наносятся на геологический разрез, на котором показываются границы зоны оттаивания за период эксплуатации сооружения (если необходимо, то и в заданные промежуточные моменты времени) |
3 | Назначение предварительных размеров фундаментов в соответствии с указаниями п. 5.26 | Размеры фундаментов назначаются такими, чтобы среднее давление под подошвой не превосходило бы значений, определяемых формулой [106 (20)] | Размеры фундаментов назначаются такими, чтобы среднее давление под подошвой не превосходило бы значений, определяемых по формуле [107 (21)] |
| Составление расчетной схемы основания | Основание разделяется на горизонтальные слои, соответствующие напластованию грунтов (так, чтобы каждый был однороден по физическим свойствам); толщина не должна превышать 0,4 меньшей стороны подошвы фундамента. Для каждого слоя указываются характеристики сжимаемости, входящие в формулу [113 (25)]. Эти характеристики должны соответствовать расчетному значению температуры грунтов оснований, определяемой согласно указаниям п. 2 данной таблицы. Характеристики сжимаемости определяются опытным путем из испытаний на компрессию или из полевых испытаний вдавливанием штампов | Основание разделяется на горизонтальные слои аналогично тому, как это указано для пластичномерзлых грунтов. Для каждого слоя указываются характеристики сжимаемости грунтов, входящие в формулу [113 (25)]. Эти характеристики должны соответствовать такому состоянию грунта (его пористости и влажности), которое он примет в момент передачи нагрузки; указанные данные получаются в результате испытания грунта на оттаивание при воздействии заданной нагрузки путем вдавливания штампа в полевых условиях или путем опыта на компрессию в лабораторных условиях | Основание разделяется на горизонтальные слои аналогично тому, как это указано для пластичномерзлых грунтов. Однако при большой глубине оттаивания требование о том, чтобы толщина слоя не превышала 0,4 меньшей стороны фундамента, не является обязательным. Для каждого слоя указываются характеристики сжимаемости грунта, входящие в формулу [120 (29)], определяемые из испытания на компрессию с оттаиванием мерзлого грунта (в одометрах) или из испытания "теплым" штампом в полевых условиях (что предпочтительнее) |
5 | Определение вертикальных давлений, действующих на грунт, в соответствии с указаниями п. 5.28 и схемой рис. 23 (2) | По формуле [110 (23)] определяется дополнительное давление pz, вызываемое нагрузкой на фундамент и действующее в горизонтальных сечениях на границах выделенных слоев | По формуле [110 (23)] определяется дополнительное давление pz аналогично тому, как это указано для пластичномерзлых грунтов. В тех случаях, когда грунт после предварительного оттаивания уплотнен неполностью (см. п. 5.34) или когда предварительное оттаивание производится частично, не на всю возможную глубину оттаивания, необходимо также вычислить природное давление pб,z, вызываемое собственным весом грунта | По формуле [121 (30)] определяется давление  , складывающееся из дополнительного давления и природного давления, вызываемого собственным весом грунта |
6 | Определение нижней границы зоны грунта, в пределах которой рассчитывается осадка (сжимаемой зоны) | | Граница сжимаемой зоны определяется по формуле [114 (26)] в соответствии с указаниями п. 5.31. Для грунтов, не полностью уплотненных, учитываются указания п. 5.34 | Граница сжимаемой зоны определяется в соответствии с указаниями п. 5.35 |
7 | Вычисление конечной осадки отдельного фундамента | Вычисление осадки производится согласно указаниям пп. 5.29 и 5.30: вначале по формуле [113 (25)] определяются значения относительного сжатия  для каждого из слоев, а затем суммированием этих значений, согласно формуле [112 (24)], вычисляется конечная осадка S. При однородном основании можно пользоваться формулой [116], в этом случае разбивку основания на слои (см. п. 4 настоящей таблицы) можно не производить | Вычисление осадки производится согласно указаниям пп. 5.29 и 5.30. Сначала по формуле [113 (25)] определяются значения относительного сжатия  для каждого из слоев, а затем суммированием этих значений, согласно формуле [112 (24)], вычисляется конечная осадка S. Для предварительных расчетов относительное сжатие  можно, согласно указаниям п. 5.38, вычислять по упрощенной формуле [138 (35)] | |
| При однородном по своим свойствам основании можно пользоваться формулой [116]; в этом случае разбивку основания на слои (см. п. 4 таблицы) можно не производить. При неполном уплотнении предварительно оттаявшего грунта следует руководствоваться указаниями п. 5.35. При частичном (не на всю возможную глубину) оттаивании грунтов основания следует учитывать дополнительную осадку, которая может произойти при дополнительном оттаивании основания в процессе эксплуатации сооружения. Расчет этой осадки производится аналогично расчету осадки грунтов, оттаивающих в процессе эксплуатации зданий или сооружений | |
8 | Вычисление средней осадки основания, разности осадок фундаментов, относительного прогиба и крена в соответствии с указаниями пп. 5.24 и 5.37 | Средняя осадка основания S определяется с учетом указаний п. 5.24; крен фундамента определяется согласно указаниям п. 5.37 по формулам [130 (32)] и [131 (33)]; относительный прогиб (перегиб) - по формуле  , где S1 и S3 - осадка концов рассматриваемого изгибающегося участка; S2 - наибольшая или наименьшая осадка на том же участке; l - расстояние между точками с осадками S1 и S2. Разность осадок фундаментов определяется в долях от расстояния между рассматриваемыми фундаментами (подробнее см. "Пособие по проектированию оснований зданий и сооружений", Стройиздат, М., 1964) |
9 | Сопоставление вычисленных осадок с предельными величинами деформаций в соответствии с указаниями п. 5.22 и условием [96 (19)] | Вычисленные значения разности осадок относительного прогиба и крена сравнивается с соответствующими предельными величинами деформаций, приведенными в табл. 10 главы СНиП II-Б.1-62*. В случаях, оговоренных в п. 5.24, достаточно ограничиться средней осадкой оснований Sср и предельной Sпр.ср, приведенной в табл. 11 главы СНиП II-Б.1-62*. Для зданий, специально приспособленных к восприятию повышенных неравномерных деформаций (см. пп. 3.14 и 5.22 и пояснения к ним), предельная величина деформаций устанавливается расчетом. Если величина расчетных деформаций не превышает предельных значений, то расчет осадки считается законченным. Если же условие [96 (19)] не выполняется, то проектирование и расчет основания производится вновь. Соблюдение указанного условия может быть достигнуто изменением размеров фундамента, уменьшением глубины оттаивания (при строительстве на грунтах, оттаивающих в процессе эксплуатации сооружения), применением предварительного оттаивания на необходимую глубину, уплотнением и упрочнением предварительно оттаявших грунтов, заменой просадочных грунтов, изменением принципа использования грунта основания, приспособлением конструкций сооружения к восприятию повышенных деформаций и т.д. в соответствии с указаниями п. 3.1 |
10 | Проверка окончательной величины давления на грунты оснований под подошвой фундамента | Проверка величины давления на грунты основания под подошвой фундамента производится в соответствии с указаниями п. 5.27 |
11 | Определение реактивных давлений грунта на подошву фундамента (см. п. 5.23) | Определение реактивных давлений грунта на подошву фундамента производится для определения дополнительных усилий, возникающих в конструкциях зданий или сооружений в результате неравномерной осадки грунтов основания, и в целях последующего расчета самого фундамента и надфундаментных конструкций. Определение дополнительных давлений производится по общим правилам строительной механики |
5.23. Величина деформации основания S определяется из условия совместной работы сооружения и его основания с учетом положения границы зоны оттаивания основания. Положение границы зоны оттаивания основания определяется теплотехническим расчетом по аналитическим формулам, по номограммам (см. приложение) или с помощью вычислительных машин либо аналоговых устройств, а также по данным натурных наблюдений за аналогичными сооружениями. |
К п. 5.23. Совместная работа сооружения и основания обусловливается механическим и тепловым взаимодействием сооружения и мерзлых грунтов основания.
Механическое взаимодействие проявляется в виде осадки грунта вследствие его уплотнения, что, в свою очередь, вызывает деформации надфундаментных конструкций. Если сооружение имеет статически неопределимые конструкции, то взаимодействие его с основанием скажется на перераспределении усилий в конструкциях, и это обстоятельство следует учитывать при расчете конструкций.
Для расчета системы сооружение - основание необходимо определить реактивные давления грунта под фундаментом с учетом перераспределения этих давлений в результате возможного появления пластических деформаций в грунте, что особо характерно для обладающих сравнительно малой прочностью оттаивающих грунтов со степенью заполнения объема пор льдом и незамерзшей водой, близкой к единице. При определении реактивных давлений допускается использование теории расчета балок и плит на упругом основании.
Общий метод расчета таких систем весьма сложен. Ниже приводятся упрощенные приемы расчета ленточных и жестких фундаментов, а также расчет перераспределения усилий в статически неопределимых конструкциях, опирающихся на отдельные столбчатые фундаменты.
Неравномерные осадки по длине ленточного фундамента возникают в результате неравномерного оттаивания вечномерзлого грунта в основании здания или сооружения и в результате неоднородности грунтов.
Для расчета ленточных фундаментов можно использовать метод Б.Н. Жемочкина для упругого основания, характеризуемого коэффициентом постели (винклерово основание), видоизмененный применительно к оттаивающим грунтам. Этот метод основан на том, что криволинейная эпюра реактивного давления заменяется ступенчатой эпюрой, а на каждом спрямленном участке прямоугольная эпюра заменяется одиночной сосредоточенной силой, приложенной в середине этого участка эпюры. Таким образом, в расчетной схеме ленточный фундамент заменяется упругой балкой, к которой сверху приложена нагрузка, а снизу приложены реактивные сосредоточенные силы, заменяющие упругое основание. Такую систему можно рассчитать методами строительной механики (например, методом сил или смешанным методом). Единичные перемещения, необходимые для расчета по этому способу, будут состоять из осадок поверхности оттаивающего основания, вызванной оттаиванием грунта и уплотнением его от внешней нагрузки, и прогиба балки. Предполагается, что осадки уплотнения происходят только в месте приложения нагрузки и не вызывают перемещений поверхности основания в соседних точках; такие перемещения возможны в балке при действии одиночных нагрузок. Ввиду того, что осадка от уплотнения грунта от внешней нагрузки убывает с глубиной, а осадка от уплотнения оттаивающего грунта под действием его веса возрастает с глубиной, суммарную осадку можно условно считать постоянной, не зависящей от глубины. Осадка, определенная исходя из такого допущения, близка по величине суммарной осадке, подсчитанной точно.
Обозначим:
yii; yкi - перемещения балки совместно с основанием под действием силы X в м;

и

- перемещения в
м под действием единичных сил

;

- осадки оттаивания слоя вечномерзлого грунта толщиной
hi в
м;

и

- единичные прогибы балки (фундамента), определяемые по формуле Максвелла-Мора или по таблицам (Б.Н. Жемочкин, А.П. Синицын "Практические методы расчета фундаментных балок и плит на упругом основании", Госстройиздат, М., 1962);
b - ширина балки в м;
c - расстояние между опорными стержнями в м;
ai и Ai - соответственно коэффициенты сжимаемости и оттаивания, определяемые опытным путем с помощью горячего штампа, в м2/Т.
Перемещения y11, y22, y33, ..., yii определяются из выражения

[98]

[99]

[99а]
По принятой расчетной схеме перемещения y12, y23, y34, yкi равны

[100]
Для железобетонных балок (фундаментов)

определяется из выражения

[101]
где Eб - модуль упругости бетона в Т/м2;
Jп - приведенный момент инерции сечения в м4.
Для того чтобы рассчитать фундаментную балку, составляется система уравнений, в которых за неизвестные приняты реакции грунта
Xi, а перемещения определены по
формулам [98] -
[101].
Система уравнений примет следующий вид:

[102]
где X1; X2; X3 - неизвестные реактивные усилия грунтов в т;
y0 и

- осадка и угол поворота в месте условной заделки балки: при симметричном погружении угол поворота в месте условной заделки

; при обратно симметричном погружении

;
di - расстояние до условной заделки в м;

- перемещение от внешней нагрузки по направлению
Xi в
м.
Количество неизвестных (количество участков, на которые разбивается балка) определяется желаемой точностью расчета.
Решение системы
уравнений [102] дает значения неизвестных, по которым вычисляются равнодействующие эпюры реактивных давлений:

[103]
Зная величину реактивного давления, можно вычислить моменты и поперечные силы в балке.
Расчет плит и перекрестных лент можно производить по приближенному методу, основанному на применении балочной схемы расчета. В этом случае плита в продольном направлении рассчитывается с помощью приема подробно описанного в "Справочнике проектировщика, расчетно-теоретический". Госстройиздат, 1960.
Пример. Требуется рассчитать железобетонный (гибкий) ленточный фундамент длиной 12 м, высотой 1 м, шириной 0,5 м, расположенный на слое оттаивающего вечномерзлого грунта с такими характеристиками: коэффициент оттаивания A = 0,02; коэффициент сжимаемости a = 0,01 см2/кГ = 0,001 м2/Т.
Очертание зоны оттаивания определено с помощью теплотехнического расчета; глубина оттаивания под серединой фундамента равна 10
м, под краем - 8
м; промежуточные значения глубин указаны на
рис. 22. Модуль упругости бетона
Eб = 140 000
кГ/см2 = 1400 000
т/
м2. Момент инерции сечения
На фундамент передается равномерно распределенная нагрузка интенсивностью
q = 10
Т/м. Расчетная схема приведена на
рис. 22. Опорные стержни размещены на расстоянии
c = 2,4
м.
Рис. 22. Расчет ленточного фундамента
на оттаивающем основании
а - расчетная схема; б - эпюра отпора грунта;
в - эпюра моментов; г - эпюра поперечных сил
Задача решается смешанным методом строительной механики. Для этого заделку помещаем в центре фундамента и вследствие симметрии системы рассчитываем только правую часть фундамента.
В этом случае получаются четыре неизвестных: силы X1, X2, X3 и осадка y0.
Система канонических уравнений имеет вид:

[104]
Перемещение по направлению 1 от действия единичной силы, приложенной в точке 1, равно
Перемещения в месте условной заделки от действия единичных сил, приложенных в точках 2 и 3, равны
Перемещение по направлению 2 от действия единичной силы, приложенной в точке 2, равно

где

.
Далее находим

где

;

где

.
Прогибы балки от неравномерных осадок оттаивания определяем по
формуле [99а], принимая прогиб (см.
рис. 22):
в середине балки

;
в сечении
2 
;
в сечении
3 
.
Осадку всей системы обозначим через y0.
Перемещения балки под внешней нагрузкой оказались равны
Определяем перемещения балки от действия равномерно распределенной нагрузки в месте условной заделки

. Перемещение по направлению
2 равно

. Перемещение по направлению
3 равно

.
Подставляя найденные значения перемещений в систему канонических
уравнений [104], имеем
-0,0083X1 + y0 = 0;
-0,0075X2 + 0,00023X3 + 0,016 - 0,0079 + y0 = 0;
0,00023X2 - 0,0062X3 + 0,032 - 0,023 + y0 = 0;
X1 + X2 + X3 = 60.
Решая уравнения, получим:
X1 = 5,7 Т; X2 = 15,8 Т; X3 = 38,5 Т.
По полученным значениям усилий строятся эпюры реактивных давлений грунта, моментов и поперечных сил; значения их приведены на
рис. 22.
Упрощенный расчет оттаивающих оснований из условия их совместной работы с жесткими фундаментами и надземными конструкциями может производиться при следующих допущениях (Н.И. Салтыков "Основания и фундаменты в районах распространения многолетнемерзлых грунтов". Изд. АН СССР, М., 1959):
а) подошва фундамента разделяется на три зоны в зависимости от величины давления на грунт:
зону предельного давления, где давление распределено равномерно и его величина равна предельной местной нагрузке на грунт (p = Rпр); в грунте при этом развиваются пластические деформации, величина которых ограничивается только жесткостью конструкции;
зону уплотняющих давлений, где 0 < p < Rпр и деформации подошвы повторяют деформации основания;
зону нулевого давления, где p = 0 и деформации основания не повторяют деформации подошвы; под этой зоной осадки основания возникают лишь от действия давлений в других зонах;
б) краевые осадки зоны уплотняющих давлений определяются с учетом возможной разницы в глубине оттаивания основания под фундаментом (у краев и в середине);
в) предельное давление, ограничивающее максимальное значение реактивного давления
Rпр в основании, находится по теории предельного равновесия; при определении этого давления принимаются расчетные значения сцепления
c в
кГ/см2 и угла внутреннего трения

.
Значение предельного давления Rпр в кГ/см2 в случае вертикальной нагрузки определяется по формуле

[105]
где

- объемный вес грунта в
кг/см3;
H - глубина заложения фундамента в см;
k1 и
k2 - коэффициенты, определяемые в зависимости от угла внутреннего трения по
табл. 29.
Таблица 29
Значение коэффициентов k1 и k2
Угол внутреннего трения грунта | 0 | 5 | 10 | 15 | 20 | 25 | 30 | 35 |
k1 | 1 | 1,57 | 2,47 | 3,94 | 6,4 | 10,66 | 18,4 | 33,3 |
k2 | 5,14 | 6,49 | 8,34 | 10,98 | 14,83 | 20,72 | 30,14 | 46,12 |
Для упрощения расчета кроме перечисленных возможны следующие допущения:
г) распределение давления на грунт в пределах каждой из зон принимается линейным;
д) тангенс угла поворота подошвы жесткого фундамента вычисляется как отношение разности осадок на границах зоны уплотняющих давлений к ширине этой зоны. Значения осадок определяются от действия прямоугольной эпюры давлений в зоне предельных давлений и треугольной в зоне уплотняющих.
Если сооружение на оттаивающем основании имеет отдельные столбчатые фундаменты, расчет дополнительных усилий, возникающих вследствие оттаивания основания в надфундаментных конструкциях, может производиться следующим образом:
а) производится сбор нормативных нагрузок, приходящихся на фундаменты, и определяется их осадка при заданном положении границы оттаивания и считается, что нагрузка следует за этой осадкой, не изменяясь по величине. Это соответствует предположению об абсолютной гибкости надфундаментной конструкции;
б) определяются дополнительные по отношению к первоначальным усилия в конструкции от загружения ее деформациями в местах расположения фундаментов, равными вычисленным осадкам. При этом должно соблюдаться условие равновесия (сумма проекций дополнительных усилий на вертикальную ось должна равняться нулю). Суммируя основные усилия с вычисленными дополнительными усилиями, получаем новые значения усилий, действующих на фундамент, от которых вновь определяются осадки при том же положении границы оттаивания;
в) от этих величин осадок вновь определяются дополнительные усилия в конструкциях. Если дополнительные усилия, подсчитанные во второй раз, сильно отличаются от дополнительных усилий, подсчитанных в первый раз, то расчет следует повторить требуемое количество раз в том же порядке, как указано в
подпункте "б".
Практически в большинстве случаев можно ограничиться при расчете одним вычислением дополнительных усилий и рассчитывать надфундаментную конструкцию на основные усилия и на эти дополнительные усилия.
Тепловое взаимодействие сооружения с мерзлым основанием проявляется в изменении в результате выделения тепла сооружением механических свойств грунта, особенно сильно проявляющегося при его оттаивании. Путем соответствующего регулирования теплообмена между сооружением и основанием можно влиять на ход оттаивания грунта, а следовательно, изменять протекание осадок.
Положение границы зоны оттаивания грунта в основании здания или сооружения зависит от его теплового режима, размеров в плане, величины термического сопротивления пола, теплофизических свойств грунтов основания в талом и мерзлом состояниях, количества льда, содержащегося в мерзлом грунте, температуры вечномерзлого грунта и времени, прошедшего от начала эксплуатации здания или сооружения.
Если в обычных условиях неравномерность деформаций оснований вызывается особенностями их геологического строения и распределением нагрузок, то при оттаивании мерзлого основания наибольшая неравномерность деформаций основания обусловливается, как правило, неравномерностью оттаивания вечномерзлых грунтов под зданием или сооружением. Большее оттаивание происходит под средней частью здания или сооружения, меньшее - у его края. Наличие внутри здания или сооружения источников со значительным тепловыделением, а также подвалов, приямков и т.д. увеличивает неравномерность оттаивания основания.
Формирование зоны оттаивания происходит в результате поступления тепла в грунты основания по площади всего здания или сооружения. Передача тепла через фундаменты (столбчатые, свайные, ленточные, фундаменты-стенки) практически не оказывает влияние на форму и положение границы зоны оттаивания. Исключение составляют массивные фундаменты под агрегаты с большим тепловыделением (котлы, различные печи и т.д.).
Фильтрация воды в грунтах способствует очень быстрому развитию зоны оттаивания, значительно увеличивает размеры этой зоны и неравномерность оттаивания грунтов под различными частями сооружения. Как правило, оттаивание грунтов в основании при наличии фильтрации приводит к катастрофическим осадкам, поэтому при проектировании должны быть предусмотрены мероприятия, исключающие возможность фильтрации.
Положение границы зоны оттаивания грунта в основании здания или сооружения можно определить способами, указанными в
п. 5.23.
На приборах гидравлических аналогий можно получить изменение положения границы зоны оттаивания во времени с учетом изменений ее положения у краев здания или сооружения и неоднородности грунтов в основании.
На приборах электрических аналогий можно произвести расчет лишь для стационарного состояния. В тех случаях, когда расчет можно производить для стационарного состояния, на приборах электрических аналогий наиболее просто осуществляются расчеты для зданий и сооружений, имеющих заглубленные части в виде подвалов, приямков и т.д.; на этих же приборах сравнительно легко учесть влияние на положение границы зоны оттаивания тепловыделяющих санитарно-технических сетей.
Для использования методов физического моделирования необходимо иметь специально оборудованные лаборатории, причем само определение положения границы зоны оттаивания является весьма трудоемким.
Очень трудоемок расчет положения границы зоны оттаивания методом конечных разностей, что делает его практически неприемлемым при проектировании.
Методы определения границы зоны оттаивания на электронных вычислительных машинах еще находятся в стадии разработки.
При определении положения границы оттаивания по данным натурных наблюдений необходимо, чтобы эксплуатируемые здания или сооружения находились в сходных с проектируемым зданием или сооружением мерзлотно-грунтовых условиях. Следует учитывать, что даже в пределах одного населенного пункта эти условия могут резко меняться. Так, например, в пределах Якутска температура грунта на глубине 10 м в различных частях города колеблется от -2 до -7 °C. Кроме того, срок эксплуатации здания или сооружения, по которому имеются данные натурных наблюдений, должен быть близок к сроку службы проектируемого здания или сооружения или же должно быть установлено, что в основании наблюдаемого объекта граница зоны оттаивания достигла стационарного состояния.
5.24. Если основание под всем зданием или сооружением сложено из однородных грунтов горизонтального напластования (пластичномерзлых или предварительно оттаявших), сжимаемость которых с глубиной не увеличивается, расчет основания по деформациям в целях его упрощения разрешается проводить по величинам средних осадок оснований Sср, определенных по формуле (27) главы СНиП II-Б.1-62* и указаниям п. 5.19 той же главы. Значения Sср в этом случае не должны превышать величин средних осадок по табл. 11 главы СНиП II-Б.1-62*. |
К п. 5.24. Деформации основания, согласно п. 5.6 главы СНиП II-Б.1-62*, характеризуются абсолютными осадками отдельных фундаментов, разностью, осадок фундаментов, относительным прогибом (перегибом) поверхности основания и кренами фундаментов. В табл. 10 и 11 главы СНиП II-Б.1-62* приведены предельные величины именно этих показателей деформаций. В то же время при однородных грунтах основания средним общим осадкам сооружений обычно соответствует определенная величина их неравномерности. Поэтому допускается производить упрощенный расчет, сопоставляя с предельным значением деформаций только величину средней осадки основания
Sср, определяемой по формуле (27) главы СНиП II-Б.1-62*.
5.25. При расчете деформаций оснований, слагаемых грунтами всех видов, остаются в силе указания пп. 5.6; 5.7; 5.17 и 5.18 главы СНиП II-Б.1-62* при дополнительном условии, что в формуле (17) п. 5.17 главы СНиП II-Б.1-62* значение Rн для пластичномерзлых грунтов принимается по табл. 15 (6) настоящей главы СНиП с введением коэффициента 0,6. |
К п. 5.25. В п. 5.6 главы СНиП II-Б.1-62* указываются виды деформации основания; в
п. 5.7 формулируется задача расчета оснований по деформациям; в
п. 5.17 рассматриваются вопросы проверки напряжений на кровле слабого грунта, если он имеется в пределах сжимаемой толщи основания; в
п. 5.18 изложен метод угловых точек для определения напряжений в основании прямоугольного фундамента.
5.26. Предварительное назначение давления p на грунт под подошвой фундамента от нормативных нагрузок, необходимое для расчета осадок основания, производится: а) для пластичномерзлых грунтов (используемых в мерзлом состоянии) по формуле где Rн - нормативное сопротивление нормальному давлению, принимаемое по табл. 15 (6) настоящей главы СНиП; б) для всех видов грунтов, оттаявших предварительно и оттаивающих в процессе эксплуатации сооружения, - по табл. 14 главы СНиП II-Б.1-62* "Основания зданий и сооружений. Нормы проектирования" (для состояния грунтов к концу оттаивания) с учетом п. 2.15 той же главы. В этом случае считается, что где Rн - нормативное давление по табл. 14 главы СНиП II-Б.1-62*. |
К п. 5.26. Предварительное определение значения давления на грунт производится для назначения предварительных размеров фундамента и последующего расчета осадок.
Для пластичномерзлых грунтов понижающий коэффициент 0,6 в
формуле [106 (20)] представляет собой отношение

, где
k2,
m2 и
n - соответственно коэффициенты однородности, условий работы и перегрузки, и является коэффициентом перехода от расчета по несущей способности, применительно к которому составлена
табл. 15 (6) (см.
пояснение к п. 5.7), к расчету по деформациям.
Для предварительно оттаявших и оттаивающих в процессе эксплуатации грунтов значения нормативных давлений принимаются по табл. 14 главы СНиП II-Б.1-62*, причем поскольку указанные значения предназначены для расчета оснований по деформациям, то для них не требуется введения понижающего коэффициента (см.
пояснение к п. 5.7). При использовании табл. 14 главы СНиП II-Б.1-62* необходимо исходить из таких значений физических характеристик грунта (плотности, пористости, консистенции), которые будут соответствовать фактическому состоянию грунта после его оттаивания, что устанавливается по данным испытаний на оттаивание под расчетной нагрузкой. Следует иметь в виду, что данные указанной таблицы не распространяются на пески гравелистые, крупные и средней крупности с коэффициентом пористости

; пески мелкие

; пески пылеватые

; супеси с

; суглинки с

; глины с

, а также на все глинистые грунты текучей консистенции (
B > 1). Для таких грунтов величина давления
p должна устанавливаться на основании опытов.
Если окажется, что давление на грунт не превышает 0,6 кГ/см2, то нецелесообразно использовать такой грунт как основание в немерзлом состоянии.
Предварительное определение давления на грунт не исключает расчет осадки фундаментов; такой расчет является обязательным. Для сооружений III и IV классов, возводимых на пластичномерзлых грунтах с сохранением их мерзлого состояния, допускается не производить расчет по деформациям, а ограничиться определением размеров фундаментов исходя из
условий [106 (20)].
5.27. Окончательное значение величины давления p на грунты основания под подошвой фундамента принимается в соответствии с результатами расчета осадки из условия [96 (19)]. Кроме того, величина p должна быть не более: а) для пластичномерзлых грунтов (используемых в мерзлом состоянии) - значения, определяемого по формуле  [108 (22)] где cн - нормативное значение предельно длительного сцепления мерзлого грунта в кГ/см2;  - объемный вес грунта, залегающего выше подошвы фундамента, в кг/см3; H - глубина заложения фундамента от уровня планировки (подсыпки или срезки) в см; б) для всех видов грунтов, оттаявших предварительно и оттаивающих в процессе эксплуатации сооружения, - значения, определенного по формуле [107 (21)], в которой Rн - нормативное давление, вычисленное по формулам (12) и (13) главы СНиП II-Б.1-62*. |
К п. 5.27. Окончательная величина среднего давления
p на грунт под подошвой фундамента ограничивается таким значением, при котором в грунте под фундаментом не будут развиваться значительные зоны местных нарушений прочности грунта (зоны пластических деформаций сдвига).
Для пластичномерзлых грунтов давление
p ограничивается значением, определяемым по
формуле [108 (22)] и соответствующим так называемой критической нагрузке, при которой в грунте под фундаментом начинается возникновение зон пластических деформаций. Значение предельно длительного сцепления
cн, входящее в эту формулу, определяется в соответствии с рекомендациями, приведенными в
пояснении к п. 5.7.
Значение p приближенно может быть определено по формуле

[109]
где
Rн - нормативное сопротивление, принимаемое по
табл. 15 (6) данной главы СНиП;
k2 и
m2 - коэффициенты однородности и условий работы, определены согласно указаниям
п. 5.6;
n - коэффициент перегрузки.
Для предварительно оттаявших грунтов и грунтов, оттаивающих в процессе эксплуатации зданий и сооружений, давление p ограничивается таким значением, при котором зоны местного нарушения прочности основания имеют глубину, равную 1/4 ширины фундамента. Эти значения определяются по формулам (12) и (13) главы СНиП II-Б.1-62*.
Указанные формулы характеризуют также предел применимости излагаемых далее методов расчета оснований по деформациям.
Пример 1. Требуется проверить принятое при расчете осадки значение давления
p на грунты основания под подошвой фундамента, возводимого на пластичномерзлых грунтах с сохранением мерзлого состояния. Грунт - пылеватый суглинок с максимальной температурой под подошвой фундамента
tмакс = -0,5 °C. Нормативная нагрузка на уровне подошвы фундамента с учетом веса фундамента и грунта на его обрезах
Pн = 153
т. Нормативное предельно-длительное сцепление, определенное из опытов,
cн = 0,8
кГ/см2; объемный вес

; глубина заложения фундамента
H = 2,5
м; размер в плане
b·
l = 2,5·2,5
м.
Давление на грунт под подошвой фундамента составляет
Таким образом, давление p = 2,45 кГ/см2, принятое при расчете осадки, не превышает предельного значения.
Пример 2. Требуется проверить принятое при расчете осадки значение давления p на грунты основания под подошвой ленточного фундамента, возводимого с оттаиванием мерзлых грунтов в процессе эксплуатации здания.
Грунт - суглинок, нормативные характеристики которого после полного оттаивания равны: объемный вес

; удельное сцепление
cн = 0,16
кГ/см2, угол внутреннего трения

.
Нормативная нагрузка на уровне подошвы фундамента (с учетом веса фундамента и грунта на его обрезах) Pн = 36 Т/м; глубина заложения фундамента H = 1,8 м; ширина b = 1,6 м. Давление на грунт под подошвой фундамента равно
Предел, который не должно превышать это давление, определяется по формуле (12) главы СНиП II-Б.1-62*:
По табл. 7 главы СНиП II-Б.1-62* для

имеем
A = 0,72;
B = 3,87;
D = 6,45; отсюда
(0,72·160 + 3,87·180)0,0019 + 6,45·0,16 = 2,6 кГ/см2,
что больше p = 2,25 кГ/см2.
Пример 3. Требуется проверить размеры фундамента под колонну здания, возводимого на предварительно оттаявших грунтах, при следующих условиях.
Грунты основания после оттаивания будут иметь следующие нормативные характеристики: от поверхности (уровня планировки) до глубины 2,6
м - пески средней крупности с объемным весом

, углом внутреннего трения

и параметром линейности

; ниже залегают пылеватые суглинки, характеристики которых

и

.
Глубина заложения фундаментов 1,8 м, размеры в плане 2 x 2 м. Нормативная нагрузка на уровне подошвы фундамента (с учетом его собственного веса и веса грунта на обрезах) составляет Pн = 220 Т. Давление на грунт под подошвой фундамента равно
По табл. 7 главы СНиП II-Б.1-62* для

;
A = 1,81;
B = 8,25;
D = 9,98. Тогда предел давления на уровне подошвы фундамента будет, согласно формуле (12) главы СНиП II-Б.1-62*, равен
т.е. меньше p = 5,5 кГ/см2.
Принимая
b = 2,5
м, получаем (1,81·250 + 8,25·180)0,00185 = 3,58
кГ/см2, тогда как

, т.е. не превышает предельной величины, равной 3,42
кГ/см2. Проверим давление на кровле слабого слоя (суглинка), руководствуясь указаниями
п. 5.17 и формулами (17) и (18) главы СНиП II-Б.1-62*.
Коэффициент, входящий в
формулу [110 (23)], определяем по
табл. 30 для

и для

, где
z = 0,8
м - расстояние от подошвы фундамента до кровли подстилающего слоя. Интерполируя между значениями

(
m = 0,8) и

(
m = 0,4), находим

.
Фактическое давление на уровне подошвы фундамента, определенное ранее, равно p = 3,52 кГ/см2, а природное (бытовое) давление на уровне подошвы фундамента равно
тогда
pz = 0,864(3,52 - 0,33) ~= 2,76 кГ/см2.
Полное давление на кровле слабого слоя, согласно формуле (17) главы СНиП II-Б.1-62*, будет равно
Определим предел, который не должно превосходить фактическое давление на кровле слабого слоя. Для этого вначале вычислим по формуле (18) главы СНиП II-Б.1-62* площадь условного фундамента на кровле подстилающего слоя на глубине 2,6 м от поверхности земли:
Отсюда находим ширину условного фундамента:
По табл. 7 главы СНиП II-Б.1-62* для

определяем
A = 0,51; B = 3,06; D = 5,66;
тогда, согласно выражению (12) главы СНиП II-Б.1-62*, имеем (0,51·2,82 + 3,06·260)0,00185 + 5,66·0,28 = 3,32 кГ/см2.
Следовательно, расчетное давление не превышает предельного, и можно производить расчет осадки фундамента, пользуясь формулами настоящей главы.
5.28. Расчетная схема распределения вертикального давления в грунте принимается в соответствии с рис. 23 (2). В этой схеме приняты следующие обозначения: b - меньшая сторона прямоугольной подошвы фундамента в см; l -  сторона прямоугольной подошвы фундамента в см [на рис. 23 (2) не показана]; H - глубина заложения фундамента от отметки планировки (подсыпки или срезки) в см; p - среднее фактическое давление на грунт под подошвой фундамента от нормативных нагрузок в кГ/см2 (см. п. 5.27);  - природное (бытовое) давление грунта на уровне подошвы фундамента в кГ/см2;  - давление от собственного веса грунта в кГ/см2 в горизонтальном сечении, расположенном на глубине z ниже подошвы фундамента; h - расстояние от поверхности природного рельефа до подошвы фундамента в см;  - объемный вес грунта в кг/см3; pz - дополнительное (к природному) давление в грунте в кГ/см2 в горизонтальном сечении, расположенном на глубине z ниже подошвы фундамента, определяемое по формуле  [110 (23)] где  - коэффициент изменения дополнительного давления в грунте, учитывающий форму подошвы фундамента, определяемый по табл. 8 главы СНиП II-Б.1-62* "Основания зданий и сооружений. Нормы проектирования". Примечание. Для подошвы фундамента, имеющей в плане форму круга или правильного многоугольника, значения коэффициента  берутся согласно примечаниям к п. 5.15 главы СНиП II-Б.1-62*. |

Рис. 23 (2). Расчетная схема распределения давления
на горизонтальных сечениях в грунте ниже подошвы фундамента
| | ИС МЕГАНОРМ: примечание. СНиП II-Б.6-66 утратил силу с 01.01.1978 в связи с введением в действие СНиП II-18-76. Взамен СНиП II-18-76 Постановлением Госстроя СССР от 21.12.1988 N 252 с 01.01.1990 введен в действие СНиП 2.02.04-88. | |
К п. 5.28. Расчетная схема распределения вертикального давления грунта и соответствующие ей исходные положения расчета осадки приняты в главе СНиП II-Б.6-66 такими же, как и в главе СНиП II-Б.1-62*. Расчет осадок производится так называемым методом ВИОС, основные допущения которого сводятся к следующему. Расчет осадки ведется на наибольшие вертикальные давления, действующие по оси, проходящей через центр фундамента. Это допущение завышает расчетную величину осадки. В то же время не учитывается боковое расширение грунта от воздействия горизонтальных составляющих напряжений, что уменьшает расчетную величину осадки и в определенной мере компенсирует первое допущение. Для расчета осадки грунтов, оттаивающих в процессе эксплуатации зданий и сооружений (случай, наиболее важный с точки зрения учета осадки), эти погрешности имеют меньшее значение, чем при расчете талых и пластичномерзлых грунтов, поскольку осадка уплотнения от веса сооружения составляет лишь часть от общей осадки. Определение напряжений в грунтах производится на основе решений теории линейно-деформируемой среды в соответствии с
формулой [110 (23)]. Входящие в эту формулу значения коэффициента

при равномерно распределенной нагрузке для фундаментов с прямоугольной подошвой в зависимости от отношений

и

приведены в
табл. 30. В этой же таблице даны значения коэффициента

в зависимости от
m для фундаментов ленточных и с круглой подошвой. Для круглых фундаментов величина
m считается равной

, где
r - радиус круга. Для фундаментов в форме правильного многоугольника, согласно указаниям п. 5.15 главы СНиП II-Б.1-62*, значения

принимаются как для круга, причем принимается величина

, где
F - площадь подошвы фундамента.
Таблица 30
Значения коэффициента 
m | Фундаменты |
круглые | прямоугольные с отношением сторон  | ленточные при n >= 10 |
1 | 1,2 | 1,4 | 1,6 | 1,8 | 2 | 2,4 | 2,8 | 3,2 | 4 | 5 |
0 | 1 | 1 | 1 | 1 | 1 | 1 | 1 | 1 | 1 | 1 | 1 | 1 | 1 |
0,4 | 0,949 | 0,96 | 0,968 | 0,972 | 0,974 | 0,975 | 0,976 | 0,976 | 0,977 | 0,977 | 0,977 | 0,977 | 0,977 |
0,8 | 0,756 | 0,8 | 0,83 | 0,848 | 0,859 | 0,866 | 0,87 | 0,875 | 0,878 | 0,879 | 0,88 | 0,881 | 0,881 |
1,2 | 0,547 | 0,606 | 0,652 | 0,682 | 0,703 | 0,717 | 0,727 | 0,74 | 0,746 | 0,749 | 0,753 | 0,754 | 0,755 |
1,6 | 0,39 | 0,449 | 0,496 | 0,532 | 0,558 | 0,578 | 0,593 | 0,612 | 0,623 | 0,63 | 0,636 | 0,639 | 0,642 |
2 | 0,285 | 0,336 | 0,379 | 0,414 | 0,441 | 0,463 | 0,481 | 0,505 | 0,52 | 0,529 | 0,54 | 0,545 | 0,550 |
| | | | | | | | | | | | | |
2,4 | 0,214 | 0,257 | 0,294 | 0,325 | 0,352 | 0,374 | 0,392 | 0,419 | 0,437 | 0,449 | 0,462 | 0,47 | 0,477 |
2,8 | 0,165 | 0,201 | 0,232 | 0,26 | 0,284 | 0,304 | 0,321 | 0,35 | 0,369 | 0,383 | 0,4 | 0,41 | 0,42 |
3,2 | 0,13 | 0,16 | 0,187 | 0,21 | 0,232 | 0,251 | 0,267 | 0,294 | 0,314 | 0,329 | 0,348 | 0,36 | 0,374 |
3,6 | 0,106 | 0,130 | 0,153 | 0,173 | 0,192 | 0,209 | 0,224 | 0,25 | 0,27 | 0,285 | 0,305 | 0,32 | 0,337 |
4 | 0,087 | 0,108 | 0,127 | 0,145 | 0,161 | 0,176 | 0,19 | 0,124 | 0,233 | 0,248 | 0,27 | 0,285 | 0,306 |
4,4 | 0,087 | 0,091 | 0,107 | 0,122 | 0,137 | 0,15 | 0,163 | 0,185 | 0,203 | 0,218 | 0,239 | 0,256 | 0,28 |
| | | | | | | | | | | | | |
4,8 | 0,062 | 0,077 | 0,092 | 0,105 | 0,118 | 0,13 | 0,141 | 0,161 | 0,178 | 0,192 | 0,213 | 0,23 | 0,258 |
5,2 | 0,053 | 0,066 | 0,079 | 0,091 | 0,102 | 0,112 | 0,123 | 0,141 | 0,157 | 0,17 | 0,191 | 0,208 | 0,239 |
5,6 | 0,046 | 0,058 | 0,069 | 0,079 | 0,089 | 0,099 | 0,108 | 0,124 | 0,139 | 0,152 | 0,172 | 0,189 | 0,223 |
6 | 0,04 | 0,051 | 0,06 | 0,07 | 0,078 | 0,087 | 0,095 | 0,11 | 0,124 | 0,136 | 0,155 | 0,172 | 0,208 |
6,4 | 0,036 | 0,045 | 0,053 | 0,062 | 0,07 | 0,077 | 0,085 | 0,098 | 0,111 | 0,122 | 0,141 | 0,158 | 0,196 |
6,8 | 0,032 | 0,04 | 0,048 | 0,055 | 0,062 | 0,069 | 0,076 | 0,088 | 0,1 | 0,11 | 0,128 | 0,144 | 0,184 |
| | | | | | | | | | | | | |
7,2 | 0,028 | 0,036 | 0,042 | 0,049 | 0,056 | 0,062 | 0,068 | 0,08 | 0,09 | 0,1 | 0,117 | 0,133 | 0,175 |
7,6 | 0,024 | 0,032 | 0,038 | 0,044 | 0,05 | 0,056 | 0,062 | 0,072 | 0,082 | 0,091 | 0,107 | 0,123 | 0,166 |
8 | 0,022 | 0,029 | 0,035 | 0,04 | 0,046 | 0,051 | 0,056 | 0,066 | 0,075 | 0,084 | 0,098 | 0,113 | 0,158 |
8,4 | 0,021 | 0,026 | 0,032 | 0,037 | 0,042 | 0,046 | 0,051 | 0,60 | 0,069 | 0,077 | 0,091 | 0,105 | 0,15 |
8,8 | 0,019 | 0,024 | 0,029 | 0,034 | 0,038 | 0,042 | 0,047 | 0,055 | 0,063 | 0,07 | 0,084 | 0,098 | 0,144 |
9,2 | 0,018 | 0,022 | 0,026 | 0,031 | 0,035 | 0,039 | 0,043 | 0,051 | 0,058 | 0,065 | 0,078 | 0,091 | 0,137 |
| | | | | | | | | | | | | |
9,6 | 0,016 | 0,02 | 0,024 | 0,028 | 0,032 | 0,036 | 0,04 | 0,047 | 0,054 | 0,06 | 0,072 | 0,085 | 0,132 |
10 | 0,015 | 0,019 | 0,022 | 0,026 | 0,033 | 0,033 | 0,037 | 0,044 | 0,05 | 0,056 | 0,067 | 0,079 | 0,126 |
11 | 0,011 | 0,017 | 0,02 | 0,023 | 0,027 | 0,029 | 0,033 | 0,04 | 0,044 | 0,05 | 0,06 | 0,071 | 0,144 |
12 | 0,009 | 0,015 | 0,018 | 0,02 | 0,024 | 0,026 | 0,028 | 0,034 | 0,038 | 0,044 | 0,051 | 0,06 | 0,104 |
В
формуле [110 (23)] p есть среднее фактическое давление под подошвой фундамента, равное

, где
Pн - нормативная нагрузка, передаваемая фундаментом на грунт;
F - площадь его подошвы. Эксцентричное приложение усилия
Nн относительно центра тяжести подошвы фундамента на величине давления
p, входящего в
формулу [110 (23)], не сказывается.
При определении величины давления на грунт необходимо учитывать следующее.
При расчете осадок фундаментов на пластичномерзлых грунтах (используемых с сохранением их мерзлого состояния) и на предварительно оттаявших грунтах, если их уплотнение от собственного веса закончилось до начала возведения сооружения, следует учитывать не полное давление p, передаваемое на грунт подошвой фундамента, а лишь дополнительное (к природному), равное p - pб, где pб - природное (бытовое) давление на грунт на уровне подошвы фундамента. Это указание исходит из того, что в перечисленных случаях собственный вес осадки не вызывает.
При расчете же осадок фундаментов на грунтах, оттаивающих в процессе эксплуатации зданий или сооружений, необходимо учитывать как дополнительное давление pz, так и природное давление pбz, действующее по всей глубине оттаивания, поскольку мерзлый грунт при оттаивании уплотняется как от воздействия внешней нагрузки, так и от воздействия собственного веса.
При расчете осадки оттаивающих грунтов со степенью влажности
G > 0,8 объемный вес их

следует определить с учетом взвешивания скелета в воде по формуле

[111]
где

- удельный вес минеральных частиц грунта в
кг/см2;

- удельный вес воды, принимаемый равным 0,001
кг/см3;

- коэффициент пористости в грунте после его оттаивания.
5.29. Расчет осадки S в см отдельных фундаментов, возводимых на предварительно оттаявших и пластичномерзлых грунтах, производится по формуле  [112 (24)] где  - относительное сжатие i-го слоя грунта при заданной величине уплотняющего давления, определяемое на основании полевых или лабораторных испытаний в соответствии с п. 5.30; hi - толщина i-го слоя грунта в см; при этом толщина отдельных слоев hi, на которые разбивается сжимаемая зона, не должна превышать 0,4 меньшей стороны фундамента; n - число слоев, на которое разделяется при расчете сжимаемая зона основания; толщина сжимаемой зоны определяется согласно указаниям п. 5.31. 5.30. Значение относительного сжатия  предварительно оттаявших и пластичномерзлых грунтов определяется по формуле  [113 (25)] где  - полусумма вертикальных нормальных давлений в кГ/см2, возникающих на верхней pz(i) и нижней pz(i+1) границах i-го слоя, передаваемых фундаментом и определяемых по формуле [110 (23)];  - безразмерный коэффициент, корректирующий упрощенную схему расчета, принимаемый равным 0,8; Ei - модуль деформации i-го слоя грунта в кГ/см2, определяемый опытным путем; ai - коэффициент сжимаемости i-го слоя грунта в см2/кГ, определяемый опытным путем (в условиях невозможности бокового расширения). Примечание. Для предварительно оттаиваемых грунтов значение ai (или Ei) должно определяться применительно к такому состоянию грунтов, которое они примут после оттаивания, а для пластичномерзлых грунтов должна учитываться зависимость ai (или Ei) от температуры мерзлого грунта. 5.31. Нижняя граница сжимаемой зоны основания, имеющей толщину  , в формуле [112 (24)] принимается на глубине z' ниже подошвы фундамента, на которой удовлетворяется условие pz' = 0,2 pбz'. [114 (26)] |
К пп. 5.29, 5.30 и 5.31. Формулы [112 (24)] и
[113 (25)] идентичны формуле (20) главы СНиП II-Б.1-62* для немерзлых грунтов и отличаются от последней только значением характеристик сжимаемости. Для пластичномерзлых грунтов эти характеристики зависят от температуры мерзлого грунта, а также и от величины давления. В общем случае разбивку основания на отдельные слои следует производить с учетом изменения температуры грунта по его глубине, определяя характеристики сжимаемости для каждого слоя. Учитывая, однако, что температура толщи, сложенной пластичномерзлыми грунтами, меняется незначительно, допускается в целях упрощения принимать для расчетов постоянную по глубине температуру этой толщи. Расчетное значение температуры определяется как полусумма максимальной температуры
tмакс на уровне подошвы фундамента и температуры
t0 на глубине 10
м.
Для предварительно оттаявших грунтов характеристики Ei и ai определяются для заданного в проекте состояния пористости и влажности; при этом в проекте должны быть предусмотрены меры, обеспечивающие достижение грунтом основания указанного расчетного состояния.
При расчете осадки пластичномерзлых и оттаявших грунтов можно в качестве характеристики сжимаемости пользоваться как модулем деформации
Ei, определяемым из испытания вдавливанием штампа в полевых условиях, так и коэффициентом сжимаемости, определяемым из испытания на компрессию в лабораторных условиях. Связь между этими характеристиками определяется выражением

, где

- коэффициент, корректирующий упрощенную схему расчета и зависящий от коэффициента Пуассона; значение

принимается равным 0,8.
Формула [114 (26)] служит для определения нижней границы сжимаемой зоны основания, т.е. зоны, в пределах которой происходит уплотнение грунта под действием дополнительной нагрузки
pz. Аналогично указаниям п. 5.16 главы СНиП II-Б.1-62* принимается, что такое обжатие имеет место до глубины
z', на которой дополнительное давление
pz' составляет 20% природного давления
pбz'. Глубина
z' определяется графическим построением - строятся эпюры давлений
pz' и
pбz' [см.
рис. 23 (2)] и определяется глубина
z', на которой выполняется
условие [114 (26)].
Может оказаться, что граница сжимаемой зоны предварительно оттаявшего грунта, определенная в соответствии с рекомендациями
п. 5.31, окажется в практически несжимаемом грунте (например, в пределах вечномерзлой толщи, подстилающей оттаявший грунт). В этом случае за нижнюю границу
z' сжимаемой толщи следует принимать границу между сжимаемыми и несжимаемыми грунтами. Аналогично следует поступать, если пластичномерзлые или предварительно оттаивающие грунты подстилаются скальным основанием.
Порядок расчета осадок по
формулам [112 (24)],
[113 (25)] и
[114 (26)] изложен в
пояснении к п. 5.22. Если предварительное оттаивание производится частично, т.е. не до полной глубины возможного оттаивания за весь период эксплуатации сооружения, то конечная осадка основания будет складываться из двух частей - осадки, вызванной уплотнением предварительно оттаявшего грунта весом сооружения, и осадки, обусловленной оттаиванием слоя вечномерзлого грунта в процессе эксплуатации сооружения. Порядок расчета для указанного случая изложен в
пояснении к пп. 5.35 и 5.36.
При однородном по глубине основании с постоянным коэффициентом сжимаемости ai = a = const расчет осадки как пластичномерзлых, так и предварительно оттаявших грунтов можно упростить, выполняя его следующим путем. Для определения глубины z сжимаемой толщи грунта под фундаментом используется выражение

[115]

или

[116]

- коэффициент, определяющий площадь эпюры вертикального давления под подошвой фундамента по глубине сжимаемой толщи
z' [см.
рис. 23 (2)] от единичной безразмерной нагрузки; значения коэффициентов

приводятся в
табл. 31.
Формулы [116] получены путем подстановки в
формулы [112 (24)] и
[113 (25)] значения

и величины

, где

- шаг значений
m, принятый в
табл. 30.
Таблица 31
| Фундаменты |
круглые | прямоугольные с отношением сторон  | ленточные при n >= 10 |
1 | 1,2 | 1,4 | 1,6 | 1,8 | 2 | 2,4 | 2,8 | 3,2 | 4 | 5 |
0,4 | 0,156 | 0,157 | 0,157 | 0,158 | 0,158 | 0,158 | 0,158 | 0,158 | 0,158 | 0,158 | 0,158 | 0,158 | 0,158 |
0,8 | 0,292 | 0,298 | 0,301 | 0,303 | 0,305 | 0,305 | 0,306 | 0,306 | 0,307 | 0,307 | 0,307 | 0,307 | 0,307 |
1.2 | 0,397 | 0,41 | 0,42 | 0,426 | 0,43 | 0,427 | 0,434 | 0,435 | 0,436 | 0,437 | 0,437 | 0,438 | 0,438 |
1,6 | 0,472 | 0,495 | 0,516 | 0,523 | 0,53 | 0,536 | 0,539 | 0,544 | 0,546 | 0,547 | 0,548 | 0,549 | 0,549 |
2 | 0,526 | 0,557 | 0,582 | 0,599 | 0,61 | 0,619 | 0,625 | 0,633 | 0,637 | 0,64 | 0,643 | 0,44 | 0,645 |
| | | | | | | | | | | | | |
2,4 | 0,565 | 0,605 | 0,636 | 0,658 | 0,674 | 0,686 | 0,695 | 0,707 | 0,714 | 0,718 | 0,723 | 0,725 | 0,727 |
2,8 | 0,596 | 0,641 | 0,678 | 0,704 | 0,725 | 0,74 | 0,725 | 0,768 | 0,779 | 0,785 | 0,792 | 0,795 | 0,799 |
3,2 | 0,619 | 0,67 | 0,711 | 0,742 | 0,766 | 0,784 | 0,799 | 0,82 | 0,833 | 0,842 | 0,852 | 0,857 | 0,862 |
3,6 | 0,637 | 0,693 | 0,738 | 0,773 | 0,8 | 0,821 | 0,838 | 0,863 | 0,88 | 0,891 | 0,904 | 0,911 | 0,919 |
4 | 0,654 | 0,712 | 0,761 | 0,798 | 0,828 | 0,852 | 0,871 | 0,9 | 0,92 | 0,933 | 0,95 | 0,96 | 0,971 |
| | | | | | | | | | | | | |
4,4 | 0,667 | 0,728 | 0,78 | 0,82 | 0,852 | 0,878 | 0,9 | 0,932 | 0,955 | 0,971 | 0,991 | 1,003 | 1,017 |
4,8 | 0,677 | 0,742 | 0,795 | 0,838 | 0,872 | 0,9 | 0,924 | 0,96 | 0,985 | 1,004 | 1,027 | 1,042 | 1,06 |
5,2 | 0,687 | 0,753 | 0,809 | 0,853 | 0,89 | 0,92 | 0,945 | 0,984 | 1,012 | 1,032 | 1,059 | 1,077 | 1,1 |
5,6 | 0,694 | 0,763 | 0,821 | 0,867 | 0,905 | 0,937 | 0,964 | 1,005 | 1,036 | 1,058 | 1,088 | 1,109 | 1,137 |
6 | 0,7 | 0,772 | 0,831 | 0,879 | 0,919 | 0,952 | 0,98 | 1,024 | 1,057 | 1,081 | 1,114 | 1,138 | 1,172 |
| | | | | | | | | | | | | |
6,4 | 0,707 | 0,78 | 0,84 | 0,889 | 0,93 | 0,965 | 0,994 | 1,041 | 1,076 | 1,102 | 1,138 | 1,164 | 1,204 |
6,8 | 0,713 | 0,786 | 0,848 | 0,899 | 0,941 | 0,976 | 1,007 | 1,056 | 1,093 | 1,12 | 1,159 | 1,188 | 1,226 |
7,2 | 0,718 | 0,792 | 0,856 | 0,907 | 0,95 | 0,987 | 1,019 | 1,069 | 1,108 | 1,137 | 1,179 | 1,21 | 1,255 |
7,6 | 0,722 | 0,798 | 0,862 | 0,915 | 0,959 | 0,996 | 1,029 | 1,081 | 1,122 | 1,153 | 1,197 | 1,231 | 1,282 |
8 | 0,725 | 0,803 | 0,868 | 0,921 | 0,967 | 1,005 | 1,038 | 1,092 | 1,134 | 1,167 | 1,213 | 1,25 | 1,316 |
| | | | | | | | | | | | | |
8,4 | 0,729 | 0,807 | 0,873 | 0,928 | 0,974 | 1,013 | 1,047 | 1,102 | 1,146 | 1,18 | 1,228 | 1,267 | 1,341 |
8,8 | 0,732 | 0,811 | 0,878 | 0,933 | 0,98 | 1,02 | 1,055 | 1,112 | 1,156 | 1,191 | 1,242 | 1,283 | 1,364 |
9,2 | 0,735 | 0,815 | 0,882 | 0,938 | 0,986 | 1,026 | 1,062 | 1,12 | 1,166 | 1,202 | 1,255 | 1,299 | 1,387 |
9,6 | 0,738 | 0,818 | 0,886 | 0,943 | 0,991 | 1,032 | 1,069 | 1,128 | 1,175 | 1,212 | 1,267 | 1,313 | 1,408 |
10 | 0,74 | 0,821 | 0,89 | 0,947 | 0,996 | 1,038 | 1,075 | 1,135 | 1,183 | 1,221 | 1,279 | 1,326 | 1,349 |
Пример 1. Требуется определить размеры и осадку прямоугольного фундамента под колонну здания, возводимого на предварительно оттаявших, уплотненных от собственного веса грунтах.
Глубина предварительного оттаивания
H = 8
м. Грунт основания в пределах глубины оттаивания представлен влажными пылеватыми песками средней плотности со следующими характеристиками (после оттаивания и уплотнения от собственного веса): объемный вес

; нормативное значение угла внутреннего трения

; периметр линейности
cн = 0,02
кГ/см2; модуль деформации
E = 80
кГ/см2.
Глубина заложения фундамента
h = 2
м, нормативная нагрузка на уровне подошвы фундамента с учетом веса фундамента и грунта на его обрезах
Pн = 130
Т (рис. 24).
Рис. 24. Расчет осадки фундамента на оттаявших грунтах
Предварительные размеры фундамента определяем, пользуясь данными табл. 14 главы СНиП II-Б.1-62*. Для влажных пылеватых средней плотности песков нормативное давление на основание по этой таблице равно 1,5 кГ/см2.
Принимаем размеры фундамента b = 2,5 м и l = 3,5 м. Давление на уровне подошвы фундамента будет равно

[117]
где
Для определения
pi разделим основание на слои толщиной, равной 0,2
b = 0,2·2,5 = 50
см. Тогда по
формуле [110 (23)]
принимая значения

по
табл. 30 для

, определим величины предварительного давления на кровле
pz(i) и подошве
pz(i+1) каждого выделенного слоя. Вычисления сводим в
табл. 32. Определим глубину сжимаемой толщи
z' исходя из
условия [114 (26)].
Таблица 32
Расчет осадки фундамента на предварительно оттаявших грунтах
z в см | m | | в кГ/см2 |
0 | 0 | 1 | 1,12 |
50 | 0,4 | 0,972 | 1,09 |
100 | 0,8 | 0,848 | 0,95 |
150 | 1,2 | 0,682 | 0,77 |
200 | 1,6 | 0,532 | 0,6 |
250 | 2 | 0,414 | 0,46 |
300 | 2,4 | 0,325 | 0,37 |
350 | 2,8 | 0,26 | 0,29 |
400 | 3,2 | 0,21 | 0,24 |
На глубине
z = 400
см природное давление

. Дополнительное давление на этой глубине равно
pz = 0,24
кГ/см2, т.е. составляет 0,22 от величины
pбz. Таким образом, глубина сжимаемой зоны основания может быть принята
z' = 400
см.
Полученное значение осадки оказалось меньше предельной величины Sпр = 8 см, указанной в табл. 11 главы СНиП II-Б.1-62* для данного типа здания.
Проверим, удовлетворяют ли принятые размеры фундамента условию (12) главы СНиП II-Б.1-62*:
По табл. 7 главы СНиП II-Б.1-62* для

имеем
A = 1,34;
B = 6,35;
D = 8,55; тогда
(1,34·250 + 6,35·200)0,0018 + 8,55·0,02 = 3,06 кГ/см2.
Таким образом, расчетное давление p = 1,48 кГ/см2 меньше предельного, равного 3,06 кГ/см2, а расчетная осадка S = 2,6 см меньше предельной Sпр = 8 см. Поэтому размеры фундамента можно уменьшить.
Принимаем b = 1,9 м и l = 2,3 м. Давление на уровне подошвы будет равно
Определяем осадку фундамента. Расчет произведем по упрощенной
формуле [116].
Предварительно определяем глубину сжимаемой толщи

, используя для этого
формулу [115]:
Значения
z' получаем путем подбора величин
m так, чтобы значение

для выбранного
m оказалось равным значению
табл. 30. Значения коэффициента

(при

) приведены в
табл. 33.
Таблица 33
Способ определения  | Значение  при m, равном |
4,4 | 4,8 | 5,2 |
| 0,085 | 0,09 | 0,092 |
| 0,107 | 0,092 | 0,079 |
Из
табл. 33 видно, что лучшее совпадение происходит при
m = 4,8.
Проверяем положение границы сжимаемой зоны основания:
что меньше Sпр = 8 см.
Пример 2. Требуется определить размер и осадку прямоугольного фундамента под спаренные колонны четырехэтажного каркасного промышленного здания, возводимого на пластичномерзлых грунтах (с сохранением их мерзлого состояния).
Грунты основания от поверхности до глубины 5,6
м - супесь пылеватая с объемным весом
, нормативное значение предельно-длительного сцепления
cн = 0,85
кГ/см2; от глубины 5,6 и до 11
м - глина массивной текстуры с объемным весом
.
Максимальная среднемесячная температура грунта основания на уровне подошвы фундамента
tмакс = -0,3 °C, температура грунта на глубине 10
м t0 = -0,7 °C. При такой температуре грунтов основания должны быть, согласно указаниям
п. 3.24, осуществлены мероприятия, обеспечивающие ее понижение в процессе эксплуатации сооружения. Однако расчет осадки производится исходя из указанного расчетного значения температуры, поскольку к моменту окончания строительства охлаждение основания еще не произойдет (если это охлаждение не будет осуществлено в процессе строительства). Расчетная температура грунта основания будет тогда равна
Коэффициенты сжимаемости при температуре -0,5 °C, определенные опытным путем при инженерно-геологических изысканиях, равны для супеси a1 = 0,01 см2/кГ и для глины a2 = 0,006 см2/кГ.
Глубина заложения фундамента равна 2 м.
Нормативная нагрузка на уровне подошвы фундамента с учетом веса фундамента и грунта на его обрезах
Pн = 428
Т (рис. 25).
Рис. 25. Расчет осадки фундамента
на пластичномерзлых грунтах
Предварительные размеры фундамента определяем из
условия [106 (20)]. Нормативное давление
Rн в этой формуле принимаем по
табл. 15 (6): для супеси с температурой -0,5 °C оно составляет
Rн = 5
кГ/см2, откуда
p = 0,6·5 = 3
кГ/см2.
Принимаем размеры фундамента b = 3 м и l = 4,8 м; тогда давление на уровне подошвы фундамента равно
Для определения входящих в эту формулу значений разделим основание на слои толщиной, равной
0,2b = 0,2·300 = 60 см.
Далее по
формуле [110 (23)] определим дополнительные давления на кровле
pz(i) и подошве
pz(i+1) каждого выделенного слоя.

и

Таблица 34
Расчет осадки фундамента на пластичномерзлых грунтах
z в см | m | | в кГ/см2 |
0 | 0 | 0 | 2,6 |
60 | 0,4 | 0,974 | 2,54 |
120 | 0,8 | 0,859 | 2,26 |
180 | 1,2 | 0,703 | 1,83 |
240 | 1,6 | 0,558 | 1,45 |
300 | 2 | 0,441 | 1,15 |
360 | 2,4 | 0,352 | 0,92 |
420 | 2,8 | 0,284 | 0,74 |
480 | 3,2 | 0,232 | 0,6 |
540 | 3,6 | 0,192 | 0,5 |
600 | 4 | 0,161 | 0,42 |
660 | 4,4 | 0,137 | 0,36 |
На глубине z = 660 см природное давление равно pбz = 0,00185·560 + 0,0017·300 = 1,55 кГ/см2, а дополнительное давление, согласно подсчету, проведенному в таблице, составляет 0,36 кГ/см2, т.е. приблизительно равняется 0,2pбz. Таким образом, глубина z = 660 см может быть принята в качестве нижней границы z' сжимаемой толщи.
Значение осадки, полученное из расчета, оказалось меньше предельной величины, равной Sпр = 8 см, приведенной для данного типа зданий в табл. 11 главы СНиП II-Б.1-62*.
Проверим, соответствуют ли принятые размеры фундамента
условию [108 (22)]. Предельная нагрузка равна
Расчетная же нагрузка составляет
p = 2,97
кГ/см2 (меньше предельной), т.е.
условие [108 (22)] удовлетворено.
5.32. Для пластичномерзлых и предварительно оттаявших грунтов основания осадки отдельных фундаментов рекомендуется определять с учетом влияния нагрузок от соседних фундаментов согласно указаниям п. 5.20 главы СНиП II-Б.1-62*. При этом принимается  , где aср - средневзвешенное значение коэффициента сжимаемости грунта основания (п. 5.30) по глубине сжимаемой толщи в см2/кГ. |
К п. 5.32. При расчете осадок фундаментов зданий и сооружений, возводимых на пластичномерзлых и предварительно оттаявших грунтах, необходимо учитывать влияние близко располагаемых сооружений, а также сооружений, резко отличающихся от рассматриваемого по весу, размерам и форме подошвы фундаментов (например, дымовая труба у стены здания; башня, конструктивно входящая в состав здания, и т.п.).
При расчете осадок фундаментов зданий и сооружений, возводимых на вечномерзлых грунтах, оттаивающих в процессе строительства и эксплуатации, такой учет практически нецелесообразен. Дополнительная осадка вследствие возведения соседних по отношению к рассматриваемому фундаментов в этом случае оказывается несущественной по сравнению с той осадкой, которая вызывается уплотнением грунта под фундаментом вследствие передаваемой им основанию нагрузки и собственного веса оттаивающего грунта, а также осадки за счет перехода грунта из мерзлого состояния в талое.
Если производится загрузка территории в непосредственной близости от уже существующих фундаментов (насыпи, навалов шлака, руды и т.п.), то путем расчета следует выяснить величину дополнительных осадок и кренов (при односторонней засыпке) уже существующих фундаментов.
Необходимость учета влияния на осадку рассматриваемого фундамента нагрузок от соседних фундаментов при грунтах основания, находящихся в пластичномерзлом или оттаявшем состояниях, определяется условием (21) п. 5.20 главы СНиП II-Б.1-62*.
Расчет осадок отдельных фундаментов, возводимых на пластичномерзлых и предварительно оттаявших грунтах с учетом влияния нагрузок от соседних фундаментов, связан с необходимостью вычисления вертикальных нормальных напряжений не только под центром рассчитываемого фундамента, но и за его пределами.
Напряжения в основании рекомендуется определять, пользуясь методом угловых точек. Ход вычисления по этому методу приведен в п. 5.18 главы СНиП II-Б.1-62*. В справочнике проектировщика "Основания и фундаменты" (Стройиздат, М., 1964, стр. 84 - 93) приводятся таблицы и формулы для расчета напряжений, необходимых при расчете осадок с учетом влияния нагрузок от соседних фундаментов с соответствующими пояснениями.
5.33. Расчет по деформациям (расчет осадки) свайных фундаментов из висячих свай, погруженных в пластичномерзлые грунты, производится по данным испытаний свай статическими нагрузками. |
К п. 5.33. Осадка свайного фундамента из висячих свай, погруженных в пластичномерзлые грунты, принимается равной осадке одиночной сваи по данным испытания сваи статической нагрузкой в тех же грунтовых условиях, в которых будет находиться свайный фундамент. Для определения осадок используется график зависимости осадки от нагрузки, получаемый в результате испытания, которое проводится со ступенчатым загружением сваи, причем нагрузка на каждой ступени должна составлять
1/
4 -
1/
5 расчетного сопротивления сваи и выдерживаться до затухания осадки.
Результаты испытаний свай пробной нагрузкой должны быть получены до проектирования свайных фундаментов на стадии рабочих чертежей. Длина испытываемых свай задается на стадии проектного задания.
5.34. В случае, если нагрузка от здания или сооружения на предварительно оттаявший грунт основания будет передана до окончания уплотнения этого грунта от собственного веса, относительное сжатие  в формуле [112 (24)] следует принимать с учетом остаточного уплотнения оттаявшего грунта от собственного веса по формуле  [118 (27)] pбz - обозначение то же, что и в п. 5.28; azi - коэффициент сжимаемости в см2/кГ оттаявшего грунта к началу передачи нагрузки от сооружения, определяемый опытным путем в условиях невозможности бокового расширения. |
К п. 5.34. Для уплотнения оттаявшего грунта требуется определенное время, зависящее от физических свойств грунта. Если к началу возведения сооружения на предварительно оттаявшем грунте его уплотнение от собственного веса произошло не полностью, то общая осадка сооружения увеличится по сравнению с осадкой за счет нагрузок, передаваемых основанию весом сооружения. Это обстоятельство учитывается
формулой [118 (27)], в которой первый член формулы представляет собой величину уплотнения грунта в рассматриваемом слое от воздействия нагрузки на фундамент, а второй член - дополнительное сжатие от собственного веса грунта, обусловленное завершением уплотнения оттаявшего грунта.
Коэффициенты сжимаемости в
формуле [118 (27)] ai и
azi имеют разные значения: коэффициент
ai соответствует той плотности оттаявшего грунта, которую грунт будет иметь после полного завершения его уплотнения под действием собственного веса, а коэффициент
azi соответствует плотности предварительно оттаявшего грунта к началу передачи нагрузки от сооружения.
Примечание. Осадка от действия нагрузки
pi учитывается в пределах глубины, определяемой согласно
п. 5.31, а осадка от действия собственного веса
pбz учитывается на всю глубину оттаявшего слоя вечномерзлого грунта.
5.35. Расчет осадки S в см отдельных фундаментов, возводимых на оттаивающих в процессе эксплуатации зданий и сооружений вечномерзлых грунтах, определяется по формуле  [119 (28)] где Лвi - льдистость за счет ледяных включений в долях единицы i-го слоя грунта, определяемая по указаниям п. 2.6 настоящей главы СНиП;  - относительное сжатие мерзлого грунта, заключенного между ледяными включениями в этом слое при его оттаивании под нагрузкой, определяемое в соответствии с указаниями п. 5.36; hi - толщина i-го слоя грунта; kв - коэффициент, учитывающий неполное смыкание макропор при оттаивании мерзлого грунта и принимаемый в зависимости от средней толщины ледяных включений  : при kв = 0,4; при kв = 0,6; при kв = 0,8; n - число слоев, на которые разделяется при расчете толща оттаявшего грунта. Суммирование осадки по формуле [119 (28)] вне зависимости от толщины сжимаемой зоны, устанавливаемой согласно указаниям п. 5.31, допускается производить в пределах расчетной глубины оттаивания, которая определяется в соответствии с п. 5.23 и приложением. 5.36. Значение относительного сжатия  вечномерзлого грунта основания, оттаивающего в процессе эксплуатации, определяется по формуле  [120 (29)] где Ai - коэффициент оттаивания i-го слоя грунта, характеризующий осадку грунта при его оттаивании под действием собственного веса, определяемый опытным путем; ai - коэффициент сжимаемости в см2/кГ i-го слоя оттаивающего грунта, определяемый опытным путем;  - давление в кГ/см2, возникающее в середине i-го слоя оттаивающего грунта от давления, передаваемого фундаментом, и от воздействия собственного веса оттаявшего грунта  ; определяется по формуле  [121 (30)] - объемный вес оттаявшего грунта в кг/см3; H - глубина заложения фундамента от отметки планировки (подсыпки или срезки) в см; zi ср - расстояние от подошвы фундамента до середины i-го слоя грунта в см, равное  . Примечание. При определении коэффициентов Ai и ai по результатам испытаний горячими штампами значение  в формуле [120 (29)] будет содержать в себе осадку за счет вытаивания ледяных включений; в этом случае для расчета осадки вместо формулы [119 (28)] следует пользоваться формулой  [122 (31)] |
К пп. 5.35 и 5.36. Смысл входящих в
формулу [120 (29)] параметров
Ai и
ai может быть пояснен диаграммами
(рис. 26), получаемыми из испытания мерзлого грунта на компрессию при оттаивании. На диаграммах показано, что при переходе температуры грунта через 0 °C происходит резкое изменение пористости грунта, что и характеризуется коэффициентом оттаивания
Ai. Дальнейшее изменение пористости оттаивающего грунта происходит только при увеличении давления и с определенным приближением принимается прямо пропорциональным этому давлению. Коэффициент сжимаемости
ai является коэффициентом пропорциональности между изменением пористости (осадкой) оттаивающего грунта и давлением.
Рис. 26. Изменения коэффициента пористости

и осадки
S
мерзлых грунтов при оттаивании
а - компрессионная кривая при оттаивании; б - зависимость
изменения осадки от величины внешнего давления p
Коэффициенты Ai и ai могут быть определены по данным лабораторных испытаний оттаивающего грунта на компрессию (в одометрах). Однако такие испытания дают удовлетворительные результаты лишь для грунтов массивной текстуры.
Более достоверно оценку деформативных свойств вечномерзлой толщи можно сделать на основании полевых испытаний горячими штампами. Поскольку при таких испытаниях оценивается общая осадка, включающая в себя также и осадку за счет вытаивания включений льда, то
формула [119 (28)] принимает вид
формулы [122 (31)]; в этом случае в значение коэффициента
Ai входит относительная осадка за счет вытаивания ледяных включений.
Суммирование осадок по
формулам [119 (28)] и
[122 (31)] допускается производить в пределах расчетной глубины оттаивания грунтов основания вне зависимости от глубины сжимаемой зоны. Это объясняется тем, что удельная роль осадки от давления, передаваемого фундаментом и действующего в пределах сжимаемой зоны, сравнительно невелика. Основная же часть осадки обусловлена оттаиванием грунта и его сжатием под действием собственного веса, проявляющимся по всей глубине оттаивания.
Расчет осадки оснований, сложенных однородными по сжимаемости грунтами (
ai =
a = const и
Ai =
A = const), может быть существенно упрощен путем использования вспомогательного графика
(рис. 27). На этом графике даются значения коэффициента

, представляющего собой сумму значений коэффициентов

из
формулы [110 (23)], т.е. соответствующего эпюре давлений от единичной нагрузки по всей глубине оттаявшего слоя. Таким образом, использование в расчете коэффициента

избавляет от необходимости суммировать осадки по глубине оттаявшей толщи.
Формулы [119 (28)] и
[122 (31)] соответственно принимают при этом вид:
при определении характеристик сжимаемости A и a лабораторными методами

[123]
при определении A и a из испытаний горячим штампом в полевых условиях

[124]
Рис. 27. График

для определения осадки фундамента
С помощью графика
(рис. 27) можно упростить также и расчет осадки неоднородного основания, вводя в расчет величину

, определяющую эпюру давления от единичной нагрузки в пределах
i-го слоя. В этом случае можно не разбивать всю оттаивающую толщу на большое количество горизонтальных слоев, а ограничиться лишь выделением слоев с различными характеристиками
Ai и
ai.
Формулы [119 (28)] и
[122 (31)] примут при этом соответственно следующий вид:
при определении Ai и ai лабораторными методами

[125]
при определении Ai и ai из испытаний горячим штампом в полевых условиях

[126]
hi - толщина i-го слоя грунта, в пределах которой характеристики сжимаемости имеют значения Ai и ai;
n - количество слоев грунта, отличающихся значениями Ai и ai, на которое разбивается основание в пределах глубины оттаивания;

- безразмерный коэффициент (в
формулах [123],
[124]), определяемый по графику
рис. 27 в зависимости от отношения сторон

подошвы фундамента и от отношения

, где
z - расстояние по вертикали от подошвы фундамента до границы оттаивания;

и

- безразмерные коэффициенты (в
формулах [125],
[126]), определяемые по графику
рис. 27 в зависимости от отношения сторон подошвы фундамента

и от

(или

), где
zi+1 или
zi - расстояние по вертикали от подошвы фундамента до подошвы (или кровли)
i-го слоя;
pбi - давление в грунте (в середине
i-го слоя) от собственного веса в
кГ/см2, равное

;
pб.ср - среднее по глубине
z давление в грунте от собственного веса в
кГ/см2, равное

.
Если проектом предусматривается предварительное оттаивание грунтов на глубину, меньшую, чем полная глубина оттаивания, то осадка основания будет продолжать развиваться и в процессе эксплуатации здания в результате дальнейшего оттаивания грунта основания. В этом случае общая осадка основания отдельного фундамента будет складываться из двух частей:
где Sп.о - осадка предварительного оттаявшего (до возведения сооружения) слоя грунта;
Sо - осадка слоя вечномерзлого грунта, оттаивающего в процессе эксплуатации сооружения (залегающего ниже подошвы слоя предварительно оттаянного грунта).
Осадка Sп.о для однородных по сжимаемости грунтов определяется по формуле

[128]
где
b,
p,
pб и
a - те же обозначения, что и в
п. 5.28;

- безразмерный коэффициент, определяемый по графикам
(рис. 27) при отношении

, где
z' - расстояние по вертикали от подошвы фундамента до нижней границы предварительно оттаявшего грунта.
Осадка Sп.о для грунта, имеющего различные значения коэффициента сжимаемости по глубине, определяется по формуле

[129]
Суммирование осадок по
формуле [129] производится в пределах глубины, равной расстоянию от подошвы фундамента до нижней границы предварительно оттаявших грунтов.
Осадки
Sо в
формуле [127] определяются по
формулам [125] и
[126], при этом суммирование осадок слоев грунта производится в пределах глубины, равной полной глубине оттаивания, за вычетом глубины предварительного оттаивания.
Пример 1. Требуется определить размер и осадку прямоугольного фундамента под пресс в здании, возводимом на вечномерзлых грунтах с их последующим оттаиванием в процессе эксплуатации
(рис. 28).
Рис. 28. Расчет осадки фундамента на вечномерзлых грунтах,
оттаивающих в процессе эксплуатации сооружения
Основание сложено следующими грунтами:
а) от поверхности до глубины 3
м - песок средней плотности мелкий мерзлый; объемный вес мерзлого грунта

; объемный вес скелета мерзлого грунта

. Характеристики грунта после его оттаивания: объемный вес

; нормативное значение угла внутреннего трения

; параметр линейности
cн = 0,02
кГ/см2; коэффициент оттаивания
A = 0,0184; коэффициент сжимаемости
a = 0,006
см2/кГ;
б) от глубины 3 - 5,4
м - суглинок пылеватый, мерзлый, массивной текстуры с объемным весом в мерзлом состоянии

; объемным весом скелета грунта в мерзлом состоянии

; удельным весом частиц

; влажностью на границе раскатывания
Wр = 0,2; числом пластичности
Wп = 9; коэффициентом оттаивания
A = 0,016; коэффициентом сжимаемости оттаявшего грунта
a = 0,008
см2/кГ;
в) от глубины 5,4
м и ниже - глина слоистой текстуры с объемным весом в мерзлом состоянии

; объемным весом скелета грунта в мерзлом состоянии

; влажностью на границе раскатывания
Wр = 0,275; числом пластичности
Wп = 17,5; льдистостью за счет ледяных включений
Лв = 0,05 при средней толщине ледяных прослоек

. Коэффициенты сжимаемости и оттаивания, определенные опытным путем из испытаний грунтов в одометрах, составляют: коэффициент оттаивания
A = 0,014; коэффициент сжимаемости оттаявшего грунта
a = 0,005
см2/кГ.
Конечная глубина оттаивания грунта под фундаментом (расположенным у наружной стены здания) составляет 8,6 м. Глубина заложения фундамента 1 м. Нормативная нагрузка на уровне подошвы фундамента с учетом собственного веса фундамента и грунта на его обрезах (10% внешней нагрузки) Pн = 111 Т.
Предварительные размеры фундамента назначаем из
условия [107 (21)], пользуясь данными табл. 14 главы СНиП II-Б.1-62*. Согласно этим данным для мелкого маловлажного песка средней плотности давление на грунт должно быть
p <= 2
кГ/см2.
Принимаем размеры фундамента b = 2 м и l = 2,8 м, при этом давление на грунт основания будет равно
Окончательные размеры фундамента могут быть установлены после расчета осадки фундамента.
Коэффициент
kв, согласно указаниям
п. 5.35 при

принимаем равным
kв = 0,4.
Давление

, возникающее в середине рассматриваемого слоя, определяем по
формуле [121 (30)].
Разделим основание на горизонтальные слои толщиной hi = 0,2b = 0,2·200 = 40 см.
Коэффициент

определяем по
табл. 30 для значения

и

.
На уровне подошвы фундамента при
z = 0,
m = 0 и
pz = 1,79
кГ/см2.
Промежуточные вычисления давлений

для первого слоя сведены в
табл. 35.
Таблица 35
Вычисления давления
первого слоя
z в см | m | | в кГ/см2 | pzср в кГ/см3 | H + z в см | в кГ/см2 | pб.ср в кГ/см2 | |
0 | 0 | 1 | 1,79 | 1,77 | 100 | 0,19 | 0,23 | 2 |
40 | 0,4 | 0,972 | 1,74 | 1,63 | 140 | 0,26 | 0,3 | 1,93 |
80 | 0,8 | 0,848 | 1,52 | 1,37 | 180 | 0,34 | 0,37 | 1,74 |
120 | 1,2 | 0,682 | 1,22 | 1,09 | 220 | 0,41 | 0,45 | 1,54 |
160 | 1,6 | 0,532 | 0,95 | 0,85 | 260 | 0,49 | 0,52 | 1,37 |
200 | 2 | 0,414 | 0,74 | - | 300 | 0,56 | - | - |
Вычисляя аналогично осадку второго слоя, получаем SII = 6,2 см.
Осадка третьего слоя будет равна
где значение

вычислено так же, как и для первого слоя.
Общая осадка фундамента равна
S = SI + SII + SIII = 5,8 + 6,2 + 12,8 = 24,8 см.
Согласно табл. 11 главы СНиП II-Б.1-62* для отдельно стоящих жестких фундаментов величина предельной осадки составляет
Sпр = 30
см, что больше полученного из расчета фактического значения
S = 24,8
см. Таким образом,
условие [96 (19)] расчета по деформациям удовлетворено.
Проверяем, соответствуют ли принятые размеры фундамента условию
п. 5.27, т.е. формуле (12) главы СНиП II-Б.1-62*:
Для

из табл. 7 главы СНиП II-Б.1-62* имеем
A = 1,55;
B = 7,21;
D = 9,21; тогда предельное давление равно (1,55·200 + 7,21·100)0,00187 + 9,21·0,02 = 2,04
кГ/см2. Расчетное давление
p = 1,98
кГ/
см2, т.е. не превышает предельного, равного 2,04
кГ/
см2.
Повторим расчет по упрощенному способу с использованием графика
(рис. 27) в целях иллюстрации этого способа. Соответственно расчет будем производить по
формуле [125]. Для первого слоя
z0 = 0;

;

;

. Бытовое (природное давление) на кровле первого слоя
pб = 0,19
кГ/
см2, на подошве этого слоя
pб = 0,56
кГ/
см2. Среднее давление равно
Формула [125] для расчета осадки первого слоя при
Лв = 0 примет следующий вид:
Повторяя вычисление для второго слоя, получим SII = 6,1 см. Вычисляем осадку третьего слоя:
Бытовое (природное) давление на кровле третьего слоя pб2 = 1,02 кГ/см2, на подошве pб3 = 1,54 кГ/см2.
Среднее давление равно

SIII = 200(1,98 - 0,00187·100)0,005(1,15 -
- 1)(1 - 0,05) + (0,014 + 0,005·1,28)320(1 -
- 0,05) + 0,4·0,05·320 = 12,9 см.
Общая осадка фундамента равна
S = SI + SII + SIII = 5,8 + 6,1 + 12,9 = 24,8 см.
Пример 2. Требуется определить осадку отдельного прямоугольного фундамента под пресс в здании, возводимом на вечномерзлых грунтах, оттаивающих в процессе эксплуатации сооружения.
Условия примера те же, что и в
примере 1, но коэффициенты оттаивания
A и коэффициенты сжимаемости
a определены не лабораторными методами, а в полевых условиях горячими штампами.
Результаты определения следующие:
для песка A = 0,0184; a = 0,006 см2/кГ;
для суглинка A = 0,016; a = 0,008 см2/кГ;
для глины A = 0,034; a = 0,005 см2/кГ.
Осадка первого слоя по этой формуле равна
SI = 200(1,98 - 0,00187·100)0,006·0,75 +
+ (0,0184 + 0,006·0,38)200 = 5,8 см.
Повторяя вычисление для второго и третьего слоев, получаем
SII = 6,1 см; SIII = 13,2 см.
Общая осадка фундамента равна
S = SI + SII + SIII = 5,8 + 6,1 + 13,2 = 25,1 см.
Пример 3. Требуется назначить ширину ленточного фундамента под наружные стены кирпичного здания, возводимого на вечномерзлых грунтах, с их последующим оттаиванием в процессе эксплуатации здания.
Основание на глубину до 10
м сложено плотными песками средней крупности. Конечная глубина оттаивания грунта под наружными стенами, согласно теплотехническому расчету, составляет 6,1
м. Характеристики грунта после его оттаивания следующие: объемный вес

, нормативное значение угла внутреннего трения

; параметр линейности
cн = 0,02
кГ/
см2, коэффициент оттаивания
A = 0,006; коэффициент сжимаемости
a = 0,003
см2/
кГ.
Глубина заложения фундамента равна 1,8 м.
Нормативная нагрузка на уровне подошвы фундамента с учетом веса фундамента и грунта на его обрезах Pн = 68 Т/м.
Предварительные размеры фундамента определялись из
условия [107 (21)], пользуясь данными табл. 14 главы СНиП II-Б.1-62*. Согласно этим данным давление на грунт под подошвой фундамента должно быть
p <= 3,5
кГ/
см2. Ширина фундамента равна
Принимаем b = 200 см. Тогда давление на уровне подошвы фундамента будет равно
Осадку фундамента, учитывая однородность грунтов основания, вычисляем по упрощенной
формуле [124].
Природное (бытовое) давление на уровне подошвы фундамента будет равно pб = 0,00175·180 = 0,32 кГ/см2.
Природное давление на границе оттаивания равно
pбz = 0,00175·610 = 1,07 кГ/см2.
Коэффициент

, определенный по графику
рис. 27 для

(для ленточного фундамента) и для

, равен

.
Подставляя эти значения в
формулу [124], получим, что осадка фундамента будет равна
| | ИС МЕГАНОРМ: примечание. В официальном тексте документа, видимо, допущена опечатка: формула [96 (16)] отсутствует. Возможно, имеется в виду формула [96 (19)]. | |
Согласно табл. 11 главы СНиП II-Б.1-62* для здания с кирпичными стенами величина предельной средней осадки составляет
Sпр = 10
см, что меньше полученного из расчета фактического значения. Однако величину предельной осадки можно повысить, если предусмотреть устройство армированных железобетонных поясов. В этом случае, согласно п. 3 табл. 11 главы СНиП II-Б.1-62*, имеем
Sпр = 15
см, что больше расчетного значения
Sср = 13,7
см. Для удовлетворения
условия [96 (16)] необходимо либо усилить конструкцию здания устройством поясов, либо увеличить ширину фундамента, либо применить частичное предпостроечное оттаивание основания. Выбор одного из этих вариантов производится на основании технико-экономического расчета.
Допустим, что мы выбираем вариант с усилением здания устройством поясов. Тогда проверим соответствие значения расчетного давления
p = 3,4
кГ/
см2 под подошвой фундамента условию
п. 5.27, т.е. формуле (12) главы СНиП II-Б.1-62*:
Для

из табл. 7 главы СНиП II-Б.1-62* имеем
A = 1,81;
B = 8,25;
D = 9,98; тогда предельное давление будет равно
(1,81·200 + 8,25·180)0,00175 + 9,98·0,02 = 3,34
кГ/
см2 ~= 3,4
кГ/
см2, т.е. условие
п. 5.27 удовлетворено.
Из последнего неравенства видно, что в данном случае прочностные свойства грунта основания полностью не использованы, хотя величина осадки равна предельной.
Наиболее оптимальным вариантом был бы случай, когда при удовлетворении условия деформаций S ~= Sпр расчетное давление равнялось предельному (или было близко к нему).
5.37. Крен отдельного фундамента  , вызванный эксцентричным его загружением, неравномерностью оттаивания, геологическими условиями, а также взаимным влиянием фундаментов, определяется по формуле  [130 (32)] где S1 и S2 - осадки, подсчитанные для краев фундамента, в см; b - размер фундамента в направлении крена в см. Осадки S1 и S2 определяются для пластичномерзлых и оттаявших предварительно грунтов по формуле [112 (24)], а для оттаивающих в процессе эксплуатации сооружений грунтов - по формуле [119 (28)]. При определении крена от взаимного влияния фундаментов следует руководствоваться указаниями п. 5.32 настоящей главы СНиП. Крены отдельных прямоугольных, круглых фундаментов, вызванные только эксцентричным их загружением при пластичномерзлых грунтах основания, определяются согласно указаниям п. 5.21 главы СНиП II-Б.1-62* "Основания зданий и сооружений. Нормы проектирования", причем содержащееся в расчетных формулах значение Eср допускается принимать равным  , где aср - средневзвешенные значения коэффициентов сжимаемости грунта основания (п. 5.30) по глубине сжимаемой толщи. Крены ленточных фундаментов, вызванные только эксцентричным их загружением при оттаявших предварительно и оттаивающих в процессе эксплуатации зданий и сооружений грунтах, определяются по формуле  [131 (33)] где S' - осадка в см, вызванная давлением, передаваемым фундаментом основанию, определяемая по формуле  [132 (34)] n - число слоев толщиной hi, на которые разбивается основание в пределах всей глубины оттаивания; e - расстояние от точки приложения равнодействующей вертикальных нагрузок от центра подошвы фундамента в см; b - размер фундамента в направлении крена в см; k3 - безразмерный коэффициент, определяемый по табл. 36 (8) в зависимости от отношения  ; Hф - глубина оттаивания грунтов под фундаментом в см, определяемая по пп. 5 - 8 приложения. Таблица 36 (8) |
| | k3 | |
0,2 | 2,5 |
0,5 | 2,478 |
1 | 2,093 |
1,5 | 1,78 |
2 | 1,562 |
3 | 1,263 |
5 | 0,992 |
7 | 0,863 |
10 | 0,751 |
К п. 5.37. Крен фундаментов в общем случае определяется по
формуле [130 (32)]. Для того чтобы воспользоваться этой формулой, необходимо знать осадки краев фундамента, для которого определяется крен. Однако в ряде случаев можно упростить расчет крена фундамента и обойтись без вычисления осадки у краев фундамента.
К таким относятся случаи, когда:
1) в основании находятся пластичномерзлые грунты, фундамент имеет подошву в виде прямоугольника или круга и точка приложения смещена по отношению к центру тяжести площади подошвы фундамента. Тогда следует воспользоваться формулами (23), (24) и (25) главы СНиП II-Б.1-62*, позволяющими вычислить крен только от эксцентричного приложения нагрузки.
Формулы (23), (24) и (25) главы СНиП II-Б.1-62* рекомендуется использовать для пластичномерзлых грунтов, принимая основание однородным со средними по глубине значениями характеристик сжимаемости - модуля деформации
Eср или коэффициентов сжимаемости
aср, связанных упрощенной зависимостью

. При неоднородных по сжимаемости грунтах основания средневзвешенное значение модуля деформации основания
Eср, входящее в формулы (23), (24) и (25) главы СНиП II-Б.1-62*, вычисляется по формуле

[133]
где E1, E2, ... En - модули деформации каждого из однородных слоев грунта в пределах сжимаемой толщи;
F1,
F2, ...
Fn - площади эпюр дополнительного давления

, соответствующие каждому из однородных слоев грунта в пределах сжимаемой толщи
(рис. 29).
Рис. 29. Схема для подсчета
Eср в пределах сжимаемой толщи
hI, hII и т.д. - толщина однородных слоев грунта
Величины
F1,
F2,
Fn могут быть заменены соответствующими величинами

...

, взятыми из
табл. 31. За расчетное значение коэффициента Пуассона

в случае неоднородного пластичномерзлого и оттаявшего грунта принимается минимальное из значений, приведенных в табл. 9 главы СНиП II-Б.1-62*, соответствующих грунтам, слагающим сжимаемую толщу основания;
2) вечномерзлые грунты основания оттаивают в процессе эксплуатации зданий или сооружений или оттаивают предварительно, причем поверхность, разграничивающую оттаявшую и неоттаявшую зоны в контуре фундамента, можно принять за плоскость, параллельную плоскости подошвы фундамента. Тогда крен ленточного фундамента, вызванный только эксцентричностью приложения нагрузки, определяется по
формуле [131 (33)] при значениях коэффициента
k3, определенного по
табл. 36 (8) как функции толщины оттаявшего слоя. Эта формула выведена из предположения, что слой линейно-деформируемого грунта конечной и одной и той же в плане толщины лежит на недеформируемом слое;
3) в нижней части сжимаемой толщи пластичномерзлых грунтов, определяемой из
условия [114 (26)], располагаются практически несжимаемые грунты (например, скальные), и поверхность подстилающего слоя в контуре фундамента параллельна плоскости его подошвы. Тогда для определения крена сооружения, вызванного только эксцентричным приложением нагрузки, следует воспользоваться
формулой [131 (33)], выведенной для слоя сжимаемого грунта ограниченной толщины.
Во всех остальных случаях для определения крена фундаментов следует использовать
формулу [130 (32)], вычисляя осадки под краями фундамента
S1 и
S2.
Для этого, пользуясь указаниями
п. 5.28, необходимо определить напряжения по вертикали, проходящие через середины противоположных сторон фундамента в направлении крена, а затем, пользуясь указаниями
пп. 5.29 и
5.35, вычислить осадки
S1 и
S2 этого фундамента.
Расчет для однородного по сжимаемости по глубине грунта основания при эксцентричном расположении нагрузки может быть упрощен, если воспользоваться формулами

[134]

[135]
где
p1 и
p2 - соответственно максимальные и минимальные краевые ординаты эпюры давлений на подошву фундамента, определяемые по формуле

, здесь
e - эксцентриситет приложения нагрузки на уровне подошвы фундамента в
см;
h1 и h2 - глубины оттаивания грунта под подошвой фундамента в точках 1 и 2, отсчитываемые от глубины заложения подошвы фундамента, в см;

и

- безразмерные коэффициенты, определяемые при действии на подошву фундамента равномерной нагрузки по графикам
рис. 30 в зависимости от ориентации подошвы фундамента в плане и отношения сторон

и

, причем для точки
1 значение

вычисляется при

, для точки
2 значение

при

;

и

- то же, при действии на подошву фундамента треугольной нагрузки, определяемые по графикам
рис. 31;
H - глубина заложения фундамента от уровня планировки в см.
Рис. 30. Графики

для определения крена фундаментов
при равномерной нагрузке в зависимости от ориентации
подошвы фундамента
Рис. 31. Графики

и

для определения крена фундамента
при треугольной нагрузке в зависимости от ориентации
подошвы фундамента
При использовании графиков

, приведенных на
рис. 30 и
31, в знаменатель
формулы [130 (32)] следует подставлять
b или
l в зависимости от того, в направлении какой стороны определяется крен.
В случае однородного основания при равномерной нагрузке осадки подошвы фундамента в точках 1 и 2 будут определяться выражениями:

[136]

[137]
Осадки краев фундамента
S1 и
S2 для случаев, когда применяется частичное предварительное оттаивание грунтов, могут быть также определены с помощью коэффициентов

и

; при этом необходимо учитывать, что каждое значение
S1 и
S2 будет определяться двумя составляющими.
Крен отдельного фундамента может быть вызван влиянием нагрузок от соседних фундаментов, а также односторонней загрузкой территории вблизи него и т.д. При этом необходимо учитывать влияние на данный фундамент только тех фундаментов, для которых выполняется условие (21) главы СНиП II-Б.1-62*.
Пример. Требуется определить осадку и крен ленточного фундамента здания, возводимого на предварительно оттаявших уплотненных от собственного веса грунтах, при следующих условиях.
Глубина оттаивания грунта 8
м, глубина заложения фундамента 2
м, ширина фундамента
b = 2
м, грунт - однородный пылеватый песок с объемным весом

и коэффициентом сжимаемости
a = 0,004
см2/
кГ.
Вертикальная нормативная нагрузка на уровне подошвы фундамента (с учетом веса фундамента и грунта на его обрезах) Pн = 39 Т/м; момент от нормативных нагрузок на уровне подошвы фундамента Mн = 10 Т/м.
Эксцентриситет равен
Определяем давление на уровне подошвы фундамента по формулам:
Среднее давление на уровне подошвы фундамента равно
Предел, ограничивающий фактическое давление грунта под подошвой фундамента и вычисленный по формуле (12) главы СНиП II-Б.1-62*, оказался равным 2,9
кГ/
см2. Тогда, учитывая пояснение к
п. 5.27, имеем 1,2·2,9 = 3,48
кГ/
см2 ~= 3,45
кГ/
см2, т.е. условие, выражаемое формулой (12) главы СНиП II-Б.1-62*, удовлетворяется.
Природное (бытовое) давление на границе оттаивания равно pб = 0,00175·800 = 1,34 кГ/см2, а 0,2 pбz = 0,27 кГ/см2.
Коэффициент

, согласно
табл. 30, при

равен

.
Так как
pz = 0,208(1,95 - 0,00175·200) = 0,33 кГ/см2 > 0,27 кГ/см2, граница оттаивания находится в пределах сжимаемой зоны основания.
Осадку фундамента
S определяем по
формуле [116]. Коэффициент

, согласно
табл. 31, для ленточного фундамента при
m = 6 равен

.
Тогда осадка будет равна
при

по интерполяции между значениями

(
n = 5) и

(
n = 7) имеем
k3 = 0,928.
Тогда

5.38. Для предварительных расчетов величину относительного сжатия  предварительно оттаявших вечномерзлых грунтов допускается определять по формуле  [138 (35)] где pi - давление в середине i-го слоя грунта в кГ/см2; Ei - модуль деформации грунта в кГ/см2 (по табл. 13а - 13в главы СНиП II-Б.1-62*). |
К п. 5.38. В табл. 13а - 13в главы СНиП II-Б.1-62* помещены значения нормативных и расчетных характеристик грунтов
E,
c и

для немерзлых грунтов естественного сложения. Поэтому использование указанных таблиц для предварительно оттаявших мерзлых грунтов допускается лишь для ориентировочных подсчетов осадки. При этом коэффициенты пористости и влажности на границе раскатывания выбираются такими, какими они будут в оттаявшем грунте к моменту возведения сооружения. Для окончательных расчетов осадки значение
E (или

) должно определяться по данным инженерно-геологических исследований.
Для расчета осадки фундаментов, возводимых на грунтах, оттаивающих в процессе эксплуатации здания или сооружения, пользоваться табл. 13 главы СНиП II-Б.1-62* нельзя.
5.39. Для предварительных расчетов величину относительного сжатия  вечномерзлых грунтов, оттаивающих в процессе эксплуатации, допускается определять по формулам: а) для песчаных грунтов  [139 (36)] б) для глинистых грунтов  [140 (37)] в) для глинистых грунтов имеющих G > 0,95 допускается также  [141 (38)] где  - объемный вес скелета оттаявшего грунта после уплотнения его под нагрузкой в кг/ см3; определяется опытным путем, а для ориентировочных подсчетов конечных осадок принимается равным объемному весу скелета воздушно-сухого грунта при максимальной плотности;  - объемный вес скелета мерзлого грунта в кг/ см3; kд - коэффициент, принимаемый по табл. 37 (9) в зависимости от давления  , действующего в рассматриваемом i-м слое и определяемого по формуле [121 (30)];  - удельный вес материала частиц грунта в кг/ см3;  - удельный вес воды, принимаемый равным 0,001 кг/ см3; Wр - влажность глинистого грунта на границе раскатывания в долях единицы; Wп - число пластичности; Таблица 37 (9) |
| Наименование грунта | Значения коэффициента kд при уплотняющем давлении  в кГ/ см3 |
1 | 2 | 3 | 4 | 5 |
1. Супесь с числом пластичности: | | | | | |
Wп <= 3 | 1,6 | 1,3 | 1,1 | 0,9 | 0,8 |
3 < Wп <= 5 | 1,3 | 1,1 | 0,95 | 0,8 | 0,7 |
5 < Wп <= 7 | 1,2 | 1 | 0,85 | 0,75 | 0,65 |
2. Суглинок с числом пластичности: | | | | | |
7 < Wп <= 9 | 1,1 | 0,9 | 0,8 | 0,65 | 0,55 |
9 < Wп <= 13 | 1 | 0,8 | 0,7 | 0,6 | 0,5 |
13 < Wп <= 17 | 0,9 | 0,7 | 0,6 | 0,5 | 0,4 |
3. Глина с числом пластичности: | | | | | |
17 < Wп <= 21 | 0,8 | 0,65 | 0,5 | 0,45 | 0,35 |
21 < Wп <= 26 | 0,75 | 0,55 | 0,45 | 0,35 | 0,3 |
26 < Wп <= 32 | 0,65 | 0,5 | 0,35 | 0,3 | 0,25 |
Wп > 32 | 0,55 | 0,4 | 0,3 | 0,25 | 0,2 |
 [142 (39)] где  ;  - величина относительного сжатия при нагрузке, равной 1 кГ/ см2. |
К п. 5.39. Формулы [139 (36)],
[140 (37)] и
[141 (38)] позволяют вычислить осадку фундаментов на вечномерзлых грунтах, оттаивающих в процессе эксплуатации, по простейшим физическим характеристикам без предварительного определения параметров сжимаемости
A и
a опытным путем. Эти формулы допускается применять для предварительных расчетов на стадии проектного задания.
Формула [139 (36)] выведена для песчаных грунтов в предположении, что при оттаивании этих грунтов под любой нагрузкой происходит их уплотнение до состояния максимальной плотности.
Формулы [140 (37)] и
[141 (38)] для глинистых грунтов получены путем статистической обработки большого числа результатов определения оттаивающих грунтов в одометрах и установления корреляционных связей между относительным сжатием

и влажностью грунта на границе раскатывания, а также числом пластичности. Влияние давления на относительное сжатие учтено с помощью коэффициента
kд, значения которого для давления 1 - 5
кГ/
см2 приведены в
табл. 37 (9). Для значений давлений, меньших 1
кГ/
см2, предлагается пользоваться интерполяционной
формулой [142 (39)], которая при давлении, равном нулю, дает сжимаемость, также равную нулю.
Формула [140 (37)] применяется для глинистых грунтов с любой степенью заполнения пор льдом и незамерзшей водой. Для глинистых грунтов, у которых поры почти полностью заполнены льдом и незамерзшей водой (
G > 0,95), можно пользоваться упрощенной
формулой [141 (38)]. Входящие в эту формулу физические характеристики могут определяться по образцам нарушенного сложения.
Пример. Требуется определить осадку отдельного фундамента на вечномерзлых грунтах, оттаивающих в процессе эксплуатации сооружения. Условия те же, что и в
примере 1 к пп. 5.35, 5.36, но данные о коэффициентах оттаивания
A и коэффициентах сжимаемости
a отсутствуют. В этом случае предварительный расчет осадки выполняем по
формуле [119 (28)], но значение относительного сжатия

определяем по физическим характеристикам грунта. Относительное сжатие слоя песка определяем по
формуле [139 (36)]:
Коэффициенты
kд в этой формуле определяем по
табл. 37 (9) в зависимости от среднего давления

, действующего в середине рассматриваемого слоя грунта.
Относительное сжатие суглинка равно
S = 0,026·200 + 0,037·240 + (1 - 0,05)0,029 x 320 +
+ 0,4 - 0,05·320 = 29,3 см.
ОПРЕДЕЛЕНИЕ ГЛУБИНЫ ОТТАИВАНИЯ И ПРОМЕРЗАНИЯ ГРУНТА
1. В настоящем приложении приняты следующие основные обозначения: B - ширина здания в м; L - длина здания в м; H - расстояние от поверхности планировки до пола подвала (для заглубленных зданий) в м;  - время оттаивания грунта под зданием от начала эксплуатации в ч; tп - среднегодовая температура воздуха внутри здания в °C; t0 - температура грунта на глубине 10 м в °C; q - теплота таяния мерзлого грунта в ккал/м3;  [143 (40)]  - удельная теплота плавления льда, принимаемая равной 80 000 ккал/ т; Wс - суммарная влажность грунта в долях единицы; Wн - весовое содержание незамерзшей воды в долях единицы, определяемое по указаниям п. 2.6 для температуры, равной t0;  - объемный вес грунта в т/ м3;  - объемный вес скелета мерзлого грунта в т/ м3;  и  - коэффициенты теплопроводности соответственно талого и мерзлого грунта в ккал/ м·ч·град, принимаемые по табл. 38 (10); Cт и Cм - объемная теплоемкость соответственно талого и мерзлого грунта в ккал/ м3·град, принимаемая по табл. 38 (10); R0 - сопротивление теплопередаче пола здания в м2·ч·град/ккал, определяемое по указаниям главы СНиП II-А.7-62* "Строительная теплотехника. Нормы проектирования". |
2. Расчетные значения теплофизических характеристик грунтов

,

,
Cт и
Cм приведены в
табл. 38 (10).
К пп. 1 и 2. В
табл. 38 (10) коэффициенты теплопроводности грунтов даны в зависимости от принятого их деления на виды по числу пластичности.
Таблица 38 (10) Расчетные значения теплофизических характеристик талых и мерзлых грунтов |
| Объемный вес  в т/ м3 | Суммарная влажность грунта Wс в долях единицы | Коэффициент теплопроводности грунта в ккал/м·ч·град | Объемная теплоемкость грунта в ккал/м3·град |
пески | супеси | суглинки и глины |
| | | | | | Cт | Cм |
1,2 | 0,05 | 0,4 | 0,52 | - | - | - | - | 285 | 260 |
1,2 | 0,1 | 0,62 | 0,79 | 0,38 | 0,45 | - | - | 320 | 270 |
1,4 | 0,05 | 0,57 | 0,69 | - | - | - | - | 330 | 300 |
1,4 | 0,1 | 0,87 | 1,08 | 0,52 | 0,69 | 0,44 | 0,68 | 370 | 315 |
1,4 | 0,15 | 1 | 1,25 | 0,71 | 0,88 | 0,56 | 0,84 | 410 | 330 |
1,4 | 0,2 | - | - | 0,84 | 1,05 | 0,65 | 0,94 | 450 | 345 |
1,4 | 0,25 | - | - | 0,92 | 1,16 | 0,72 | 1 | 490 | 360 |
1,6 | 0,05 | 0,75 | 0,91 | - | - | - | - | 380 | 340 |
1,6 | 0,1 | 1,05 | 1,35 | - | - | - | - | 430 | 360 |
1,6 | 0,15 | 1,25 | 1,6 | 0,93 | 1,1 | 0,72 | 0,98 | 470 | 370 |
1,6 | 0,2 | 1,36 | 1,73 | 1,05 | 1,29 | 0,88 | 1,12 | 520 | 395 |
1,6 | 0,25 | 1,41 | 1,82 | 1,16 | 1,44 | 0,96 | 1,24 | 565 | 410 |
1,6 | 0,3 | - | 1,93 | 1,2 | 1,55 | 1 | 1,3 | 610 | 430 |
1,6 | 0,35 | - | - | 1,3 | 1,65 | 1,05 | 1,35 | 650 | 445 |
1,6 | 0,4 | - | - | - | 1,72 | 1,1 | 1,41 | 700 | 465 |
1,6 | 0,6 | - | - | - | - | - | 1,5 | - | 500 |
1,8 | 0,1 | 1,3 | 1,6 | - | - | - | - | 480 | 400 |
1,8 | 0,15 | 1,55 | 1,9 | 1,19 | 1,31 | 1 | 1,23 | 530 | 420 |
1,8 | 0,2 | 1,65 | 2,1 | 1,34 | 1,52 | 1,12 | 1,38 | 580 | 440 |
1,8 | 0,25 | 1,75 | 2,23 | 1,43 | 1,7 | 1,24 | 1,53 | 640 | 460 |
1,8 | 0,3 | - | 2,32 | 1,48 | 1,82 | 1,28 | 1,61 | 690 | 480 |
1,8 | 0,35 | - | - | 1,51 | 1,93 | 1,33 | 1,66 | 740 | 500 |
1,8 | 0,4 | - | - | - | 2 | 1,4 | 1,72 | 795 | 520 |
1,8 | 0,6 | - | - | - | - | - | 1,8 | - | 560 |
2 | 0,15 | 1,76 | 2,2 | 1,4 | 1,5 | - | - | 590 | 470 |
2 | 0,2 | 2 | 2,42 | 1,56 | 1,75 | 1,24 | 1,5 | 650 | 490 |
2 | 0,25 | 2,26 | 2,72 | 1,73 | 1,93 | 1,35 | 1,65 | 705 | 510 |
2 | 0,3 | - | - | 1,8 | 2,1 | 1,44 | 1,75 | 770 | 530 |
2 | 0,35 | - | - | - | - | 1,53 | 1,86 | 820 | 555 |
Примечание. Значения Cм в табл. 38 (10) даны для температуры -10 °C. В интервале температур от -0,5 до -10 °C  определяется в зависимости от количества незамерзшей воды при заданной температуре по формуле  [144 (41)] |
Значения объемной теплоемкости грунтов в основном определяются их влажностью и объемным весом и практически не зависят от состава грунта, так как удельная теплоемкость минерального скелета различных грунтов изменяется в весьма небольших пределах (от 0,17 до 0,2).
Количество незамерзшей воды в засоленных мерзлых грунтах зависит от их состава и степени засоленности.
При отрицательной температуре в засоленном грунте существуют две категории незамерзающей воды: связанная влага и свободный поровый раствор, находящийся при данной температуре в равновесной концентрации со льдом. При малой засоленности грунта наличие воднорастворимых солей приводит к относительно небольшому понижению температуры замерзания поровых растворов и одновременному уменьшению количества рыхло связанной влаги за счет ослабления ориентирующего влияния минеральных частиц грунта на прилегающую к ним воду. Поэтому практически при засоленности грунта менее 0,5% количество незамерзающей в нем влаги не зависит от степени его засоленности и может определяться по
формуле [2 (2)] при значениях коэффициента
kн, приведенных в
табл. 39.
Таблица 39
N п/п | Наименование грунта | Число пластичности | Значения kн при температуре грунта в °C |
>= -0,5 | -1 | -2 | -4 | -10 |
1 | Супеси | 1 <= Wп <= 2 | | 0 | 0 | 0 | 0 |
2 | " | 2 < Wп <= 7 | 0,5 | 0,45 | 0,42 | 0,4 |
3 | Суглинки | 7 < Wп <= 13 | 0,65 | 0,53 | 0,47 | 0,45 |
4 | " | 13 < Wп <= 17 | 0,7 | 0,6 | 0,53 | 0,5 |
5 | Глина | Wп > 17 | 0,9 | 0,65 | 0,6 | 0,55 |
-------------------------------- <*> Вся влага в грунте находится в незамерзшем состоянии. Данные относятся к средним концентрациям поровых растворов 0,01 - 0,03. |
При засоленности грунта более 0,5% основное влияние на содержание незамерзшей воды имеет понижение температуры замерзания поровых растворов с ростом их концентрации. Содержание незамерзающей воды здесь в основном определяется количеством раствора, находящегося при данной температуре в равновесной концентрации со льдом. В зависимости от степени засоленности грунта количество незамерзшей в нем воды Wн при засоленности более 0,5% определяется по формуле

[145]
где

- количество незамерзающей влаги в долях единицы, определяемое по
формуле [2 (2)] при значениях
kн, указанных в
табл. 39;
Z - засоленность грунта в долях единицы;
kр - равновесная концентрация порового раствора в долях единицы, определяемая по
табл. 40.
Таблица 40
Равновесная концентрация растворов природных солей
(в долях единицы)
Температура в °C | -0,5 | -1 | -2 | -3 | -4 | -6 | -8 | -10 |
Равновесная концентрация kр | 0,005 | 0,012 | 0,026 | 0,045 | 0,062 | 0,100 | 0,135 | 0,168 |
При засоленности грунта более 1,5% содержание незамерзающей воды более точно выражается через максимальную гигроскопическую влажность грунта по формуле

[146]
где Wм.г - максимальная гигроскопическая влажность грунта в долях единицы, определяемая как отношение веса адсорбированной им влаги при относительной влажности воздуха >= 98% к весу абсолютно сухого грунта.
Засоленность мерзлого грунта в основном отражается на фазовом составе поровой влаги и температуре его замерзания (см.
табл. 17). Другие теплофизические свойства грунта при засолении изменяются мало. Для практических расчетов значения теплофизических характеристик засоленных грунтов можно принимать на основании соответствующих значений их для незасоленных грунтов по
табл. 38 (10). При этом величины объемной теплоемкости для засоленных мерзлых грунтов рассчитываются по
формуле [144 (41)] при значениях
Wн, определенных для засоленных грунтов.
3. Нормативная глубина сезонного оттаивания грунта  в м определяется по формуле  [147 (42)] где t1 = 1,4tв + 2,4;  ; tв - средняя температура воздуха за период положительных температур в °C;  - продолжительность периода с положительными температурами воздуха в ч;  [148 (43)]  [149 (44)] Значение tв и  принимается по табл. 1 главы СНиП II-А.6-62 "Строительная климатология и геофизика. Основные положения проектирования", причем для климатических подрайонов 1Б и 1Г значения tв и  принимаются с коэффициентом 0,9. Значение kср для глинистых грунтов определяется по табл. 41 (11) в зависимости от величины  и  , а для песчаных грунтов kср = 1. Таблица 41 (11) Значение kср для глинистых грунтов |
| Температура tср в °C | Значения kср при  в ккал/ м3·град |
300 | 400 | 500 |
-2 | 5,2 | 4,5 | 4 |
-4 | 3,7 | 3,2 | 2,8 |
-6 | 3 | 2,6 | 2,3 |
-8 | 2,5 | 2,2 | 1,9 |
-10 | 1,8 | 1,6 | 1,4 |
| | ИС МЕГАНОРМ: примечание. В официальном тексте документа, видимо, допущена опечатка: формула [142 (42)] отсутствует. Возможно, имеется в виду формула формула [147 (42)] | |
К п. 3. К началу сезонного оттаивания вечномерзлые грунты (за исключением южных районов области их распространения) имеют низкую температуру. Поэтому при сезонном оттаивании верхнего слоя грунта часть тепла расходуется на летний обогрев вечномерзлых грунтов, что в ряде случаев уменьшает глубину оттаивания на 30% и более. Расход тепла на обогрев вечномерзлого грунта в
формуле [142 (42)] учитывается величиной
Q.
Для упрощения определения значений
t1 и

, входящих в
формулу [147 (42)], на
рис. 32 и
33 приведены карты, составленные по данным табл. 1 главы СНиП II-А.6-62.
Рис. 32. Карта значений
t1
Рис. 33. Карта значений

Для площадок, где во время строительства и в течение эксплуатационного периода сохраняются растительный покров и природный режим грунтовых вод, влажность сезоннооттаивающих грунтов можно принимать равной естественной.
Для площадок, где предусматриваются вертикальная планировка, мероприятия по регулированию поверхностного стока или понижению уровня надмерзлотных вод и другие меры по инженерной подготовке территории и благоустройству, следует учитывать возможное уменьшение влажности грунтов после застройки. В этом случае рекомендуется рассчитывать

при следующих значениях влажности:
для суглинков при Wс = Wр = 0,15 - 0,25;
для супесей при Wс = 0,5Wт = 0,10 - 0,15;
для песков при Wс = Wм = 0,02 - 0,07.
Здесь Wр - влажность на границе раскатывания в долях единицы;
Wт - влажность на границе текучести в долях единицы;
Wм - максимальная молекулярная влагоемкость грунта в долях единицы.
Коэффициентом
kср, входящим в
формулу [149 (44)], учитываются фазовые переходы в вечномерзлых грунтах, подстилающих слой сезонного оттаивания. Для песчаных и крупнообломочных грунтов принимается
Wн = 0, т.е. фазовые переходы при отрицательных температурах в них практически не происходят и
kср = 1.
В
табл. 41 (11) приведены значения
kср для температуры
tср = -2 °C и ниже. При расчете

для южных районов появляется необходимость в величинах
kср при температурах
tср выше -2 °C. В этих случаях можно принимать для
tср = -1 °C значение
kср при
- равным 6,8; при
- равным 5,9 и при
- равным 5,3. При промежуточных значениях
tср (от -1 до -2 °C) величина
kср определяется по интерполяции.
При отсутствии характеристик грунтов, необходимых для вычисления глубины оттаивания по аналитическим формулам, ее приближенное значение можно определить с помощью карт (
рис. 34,
35). На этих картах нанесены изолинии глубин сезонного оттаивания для песчаных грунтов с влажностью 0,05
(рис. 34) и глинистых с влажностью 0,15
(рис. 35). Для других значений влажности нормативная глубина оттаивания вычисляется по формуле

[150]
где kw - поправочный коэффициент на влажность, приведенный на соответствующих графиках при картах;
Hт.к - значения глубин сезонного оттаивания в м, приведенные на соответствующих картах.
Рис. 34. Изолинии глубин сезонного оттаивания
песчаных грунтов
Рис. 35. Изолинии глубин сезонного оттаивания
глинистых грунтов
Если сезоннооттаивающий слой сложен песчаными грунтами, а ниже залегают глинистые грунты, то ориентировочное значение глубины сезонного оттаивания можно принимать по карте на
рис. 36.
Рис. 36. Изолинии глубин сезонного оттаивания
песчаных грунтов, подстилаемых глинистыми
Пример 1. Требуется определить нормативную глубину сезонного оттаивания

для площадки в районе Тикси при следующих данных. Площадка сложена суглинками, имеющими следующие характеристики:

;
Wс = 0,35;
Wр = 0,18. Значение
t0 = -11,5 °C. Имеющиеся данные позволяют воспользоваться
формулой [147 (42)] для определения
.
Вначале определяем среднюю температуру воздуха

за период положительных температур. Согласно табл. 1 главы СНиП II-А.6-62 (графа 24) продолжительность этого периода

, а значение
tв, согласно указанной таблице, равно
tв = 4,5 °C.
Далее вычисляем значения
t1 и

:
t1 = 1,4tв + 2,4 = 1,4·4,5 + 2,4 = 8,7 °C;
Далее вычислим объемный вес скелета мерзлого грунта:
Для определения теплофизических характеристик по
табл. 38 (10) предварительно вычисляем значение объемного веса грунта при расчетной влажности
Wс =
Wр = 0,18:
Теплофизические характеристики грунта при
Wс = 0,18 и

находим по
табл. 38 (10):

;

;
Cт = 500
ккал/м3·град; Cм = 390
ккал/м3·град.
Пример 2. Требуется определить нормативную глубину сезонного оттаивания

для площадки при тех же условиях, что и в
примере 1, но при отсутствии данных

и
t0.
Пользуясь картой
(рис. 35), получим, что для глинистых грунтов района Тикси
Hт.к = 1,15
м.
По графику
рис. 35 при
Wс = 0,18 определяем значение
kw = 0,97; следовательно,

.
Пример 3. Требуется определить нормативную глубину сезонного оттаивания

для площадки в районе Жиганска. Предусматривается осушение застраиваемой площадки. По данным изысканий до глубины 2
м площадка сложена песчаным грунтом, у которого

и
Wс = 0,2. Максимальная молекулярная влагоемкость песка
Wм = 0,06. Ниже залегают супеси с

и
Wс = 0,3. Значение
t0 =
-6,5 °C.
Вычисляем данные, необходимые для расчета:
Определим объемный вес скелета мерзлого песка:
Далее вычислим объемный вес песка при влажности
Wм = 0,06:
.
а) песчаного при
Wс =
Wм = 0,06 и

;

;
Cт = 440
ккал/
м3·
град;

;
б) супеси при
Wс = 0,3 и

;

;
.
В данном случае глубина сезонного оттаивания оказалась близкой по величине к толщине слоя песчаного грунта. Если бы она оказалась больше толщины этого слоя, то расчет следовало повторить при осредненных характеристиках грунтов.
4. Нормативная глубина сезонного промерзания грунта  в м определяется по формуле  [151 (45)] где t2 - средняя температура воздуха за период отрицательных температур в °C (в формуле [151 (45)] со знаком "плюс");  - продолжительность периода с отрицательными температурами воздуха в ч; |

[152 (46)]
К п. 4. В
формуле [151 (45)] приток тепла из талых грунтов к слою сезонного промерзания принят равным нулю. При наличии ниже слоя сезонного оттаивания толщи вечномерзлых грунтов это упрощение оказывается возможным вследствие малого значения температурного градиента в талом слое.
В
формулах [151 (45)] и
[152 (46)] значения средней температуры воздуха за период отрицательных температур
t2 определяются по данным табл. 1 главы СНиП II-А.6-62. Продолжительность периода с отрицательными температурами

определяется по данным графы 24 табл. 1 указанной главы СНиП.
Пример. Требуется определить нормативную глубину сезонного промерзания

для площадки в районе Воркуты. По данным изысканий, площадка сложена суглинками, у которых

;
Wс = 0,27 и
Wр = 0,19.

определяем по
формуле [151 (45)]:
а) принимаем необходимые для расчета данные по табл. 1 главы СНиП II-А.6-62:
t2 = 13,9 °C и
.
Теплофизические характеристики определяем по
табл. 38 (10) при
Wс = 0,19 и

;
Cт = 520
ккал/
м3·
град;
Cм = 400
ккал/
м3·
град;
.
Температура
t2 в числителе, согласно указаниям к
формуле [151 (45)] принимается со знаком "плюс", в знаменателе - со знаком "минус".
Таблица 42 (12)
| J | Значения коэффициента kI при |
| |
| 0,4 | 0,8 | 1,2 | 2 | | 0,4 | 0,8 | 1,2 | 2 |
0,1 | 1 | 0,93 | 0,87 | 0,83 | 0,8 | 1 | 1 | 0,99 | 0,97 | 0,96 |
0,25 | 0,95 | 0,85 | 0,78 | 0,74 | 0,7 | 1 | 0,97 | 0,92 | 0,89 | 0,88 |
0,5 | 0,94 | 0,78 | 0,68 | 0,66 | 0,7 | 0,99 | 0,95 | 0,88 | 0,86 | 0,88 |
1 | 0,92 | 0,7 | 0,63 | 0,66 | 0,7 | 0,97 | 0,9 | 0,84 | 0,86 | 0,88 |
1,5 | 0,9 | 0,64 | 0,63 | 0,66 | 0,7 | 0,96 | 0,87 | 0,84 | 0,86 | 0,88 |
5. Глубина оттаивания грунта (считая от поверхности грунта под полом первого этажа здания) за время  под серединой Hс и краем Hк здания в м определяется по формулам:  [153 (47)]  если  [154 (48)]  если  [154а (48а)] Расчетные коэффициенты kI,  , kс,  , kк определяются по параметрам  [155 (49)]  [156 (50)]  [157 (51)] Коэффициент kI при  определяется по табл. 42 (12), а при  принимается kI = 1. Рис. 37 (3). Номограммы для определения коэффициентов  и kсРис. 38 (4). Номограммы для определения коэффициентов  и kкЕсли при расчете Hк получается меньше нормативной глубины сезонного оттаивания  или получается отрицательным, то значение Hк принимается равным  (см. п. 3 настоящего Приложения). 6. Максимальная глубина оттаивания грунта (считая от поверхности грунта под полом первого этажа здания) под серединой Hс.п и краем Hк.п здания в м определяется по формулам:  [158 (52)]  [159 (53)]  и  - коэффициенты, определяемые по номограммам рис. 39, а, б (5, а, б);  и  - значения те же, что и в п. 5 настоящего приложения. Таблица 43 (13) Значения коэффициента kII |
| | Значения коэффициента kII при |
| 0,4 | 0,8 | 1,2 | 2 |
1 | 0,45 | 0,56 | 0,63 | 0,66 | 0,7 |
2 | 0,62 | 0,74 | 0,84 | 0,86 | 0,88 |
3 | 0,72 | 0,84 | 0,91 | 0,93 | 0,96 |
4 | 1 | 1 | 1 | 1 | 1 |
Рис. 39 (5). Номограммы для определения коэффициентов К пп. 5 и 6. Положение границы зоны оттаивания грунта под зданием или сооружением для выявления неравномерности осадки основания необходимо определять, как правило, для момента времени, соответствующего концу срока службы здания или сооружения. |
Под большей частью здания или сооружения положение границы зоны оттаивания не зависит от сезонных колебаний температуры грунтов вне здания или сооружения. Лишь у самых краев здания или сооружения на положении границы зоны оттаивания оказывается влияние этих колебаний
(рис. 40).
Рис. 40. Изменение положения границы зоны оттаивания
грунта у края здания
а - при значительном развитии зоны оттаивания;
б - при малых размерах зоны оттаивания;
1 - среднее положение; 2 - летом; 3 - зимой
Наиболее просто положение указанной границы зоны оттаивания для однородного основания определяется с помощью формул и номограмм, приведенных в настоящем приложении. Положение границы оттаивания может определяться как для стационарного (установившегося) теплового состояния, так и для нестационарного (неустановившегося) теплового состояния за время, равное сроку эксплуатации здания или сооружения. Выбор расчетной схемы (стационарная или нестационарная) зависит от соотношения параметров

,

и
J и может производиться по графику
(рис. 41), для чего по
формулам [156 (50)],
[157 (51)] предварительно определяются значения параметров

и
J.
Рис. 41. График выбора расчетной схемы
(стационарная, нестационарная)
Если точка пересечения перпендикуляров, проведенных к оси абсцисс и оси ординат для подсчитанных значений

и
J, лежит выше соответствующей линии равных значений

или на этой линии, то расчет производится для стационарного состояния; если точка окажется ниже линии значения

, подсчитанного по
формуле [155 (49)], то расчет производится для нестандартного теплового состояния. Так, например, при

,
J = 1,5 и

точка пересечения перпендикуляров лежит выше линии значения

; следовательно, расчет производится для стационарного теплового состояния.
В
формулах [153 (47)],
[154 (48)],
[154а (48а)],
[158 (52)] и
[159 (53)] трехмерность процесса учитывается коэффициентами
kI (нестационарное состояние) и
kII (стационарное состояние). При стационарном состоянии, для которого определяются максимальные глубины оттаивания, трехмерность процесса влияет в большей степени на глубины оттаивания грунта под зданием, чем при нестационарном состоянии. Лишь при соотношении сторон здания

этот коэффициент принимается равным 1
[табл. 43 (13)].
Расчетные коэффициенты

и

определяют по номограммам
рис. 39,
а (5,
а) и
39,
б (5,
б) в зависимости от параметров

и

, вычисляемых по
формулам [155 (49)] и
[156 (50)]. Поскольку максимальные глубины оттаивания определяются для стационарного состояния при

, отпадает необходимость в этом параметре, включающем время.
По номограмме
рис. 39,
б (5,
б) ряд кривых равных значений параметра

в нижней части изгибаются в сторону оси

. Это означает, что при наличии теплоизоляции под зданием при ряде соотношений значений

и

глубина оттаивания под краем здания (среднее положение границы зоны оттаивания) имеет два значения, т.е. зона оттаивания распространяется за пределы здания.
Глубина оттаивания грунта у края здания, определенная по
формулам [154 (48)],
[154а (48а)] и
[159 (53)], является средней за год. Поэтому если эта глубина получится меньше расчетной глубины сезонного оттаивания
Hт или окажется отрицательной величиной (т.е. среднегодовая граница оттаивания у края здания проходит в слое теплоизоляции), то значения
Hк и
Hк.п следует принимать равными 1,5 расчетной глубины сезонного оттаивания грунта.
Оттаивание мерзлого грунта под зданием начинается под его средней частью и постепенно распространяется к краям. Поэтому граница зоны оттаивания достигает у края здания положения, близкого к предельному гораздо позднее, чем под серединой. В результате в ряде случаев зона оттаивания принимает как бы грушевидное очертание, и на сравнительно небольшом расстоянии от края здания (по направлению к его середине) глубина оттаивания может резко увеличиваться.
Такая же картина может наблюдаться и при предельном оттаивании грунта под зданием, если под ним имеется теплоизоляция. В указанных случаях глубины оттаивания следует определять по нескольким вертикалям
(рис. 42). Для этого приводятся дополнительные формулы и номограммы.
Рис. 42. Расчетная схема оттаивания грунта под зданием
Глубина оттаивания грунтов на расстоянии 0,25
B от центра здания за время

вычисляется по формулам

если

[160]

если

[160а]
Рис. 43. Номограммы для определения коэффициентов

и
k1
Глубина оттаивания грунта на расстоянии 0,4
B от центра здания за время

вычисляется по формулам:

если

[161]

если

[161а]
Значения расчетных коэффициентов

и
k2 определяются по номограммам
рис. 44.
Рис. 44. Номограммы для определения коэффициентов

и
k2
Максимальные глубины оттаивания грунта на расстоянии 0,25B от центра здания вычисляются по формуле

[162]
а на расстоянии 0,4B от центра - по формуле

[163]
Рис. 45. Номограммы для определения коэффициентов

и

Номограммы могут быть также использованы и для определения глубин оттаивания, когда в основании залегают горизонтальные пласты грунта с разными теплофизическими характеристиками и различной влажностью. Расчет послойного оттаивания такого основания относительно трудоемок. Однако учитывая, что для определения конечных осадок здания или сооружения необходимо знать положение границы зоны оттаивания за время, равное сроку службы здания или сооружения, этот расчет существенно упрощается. С увеличением времени перемещение границы оттаивания все в меньшей степени зависит от теплоты таяния льда, содержащегося в мерзлом грунте, т.е. от величины q. При стационарном состоянии на положение границы зоны оттаивания теплота таяния не оказывает никакого влияния, так как сам процесс оттаивания прекращается. Все это позволяет с достаточной для практических целей точностью принимать в пределах зоны оттаивания средневзвешенное значение qср по формуле

[164]
где qi - теплота таяния мерзлого грунта в пределах его i-го слоя;
hi - толщина i-го слоя;
n - число слоев.
Средние коэффициенты теплопроводности грунтов

для неоднородного основания вычисляются по формуле

[165]
где

- коэффициент теплопроводности
i-го слоя грунта;
hi - толщина i-го слоя грунта;
n - число слоев.
При вычислении среднего значения коэффициента теплопроводности талого грунта

суммирование в
формуле [165] проводится в пределах зоны оттаивания грунта. При вычислении среднего значения коэффициента теплопроводности мерзлого грунта

суммирование производится до глубины 10
м, но не менее глубины оттаивания.
Для вычисления

необходимо знать глубину оттаивания грунта. Поэтому расчет производится в два этапа. На первом этапе для вычисления

следует задаться ориентировочной величиной глубины оттаивания (эта величина может отличаться от истинной глубины оттаивания более чем в 2 раза). Затем определяется глубина оттаивания. По полученной глубине оттаивания уточняется значение

, после чего находится окончательное значение глубины оттаивания.
Пример 1. Требуется определить положение границы зоны оттаивания к концу срока эксплуатации здания

. Размеры здания в плане: ширина
B = 24
м; длина
L = 48
м; температура воздуха внутри помещения
tп = 16 °C; термическое сопротивление пола
R0 = 1,2
м2·ч·
град/ккал.
Грунты основания - супесь; характеристика грунта: суммарная влажность
Wс = 0,25; число пластичности
Wп = 3; влажность на границе раскатывания
Wр = 0,1; объемный вес

объемный вес скелета

.
Температура грунта на глубине 10 м t0 = -3,2 °C; расчетная глубина сезонного оттаивания грунта около здания Hт = 2,5 м.
Вначале найдем количество незамерзшей воды в мерзлом грунте по
формуле [2 (2)]. Коэффициент
kн, входящий в эту формулу, принимаем по
табл. 1 (1); для
Wп = 3 и
t0 = -3,2 °C
kн = 0,32. Тогда количество незамерзшей воды в мерзлом грунте по
формуле [2 (2)] равно
Wн = 0,32·0,1 = 0,03.
q = 80 000(0,25 - 0,03)1,45 = 25 600 ккал/м3.
Коэффициенты теплопроводности супеси в талом и мерзлом состоянии при
Wс = 0,25 и

по
табл. 38 (10) равны

и
.
| | ИС МЕГАНОРМ: примечание. Формула дана в соответствии с официальным текстом документа. | |
Глубину оттаивания грунта под серединой здания
Hс определяем по
формуле [153 (47)]. Значение коэффициента
kI, входящего в эту формулу, находим по
табл. 42 (12): для

и
J = 0,75 имеем
kI = 0,91. Далее по номограмме
рис. 37 (3) находим значение коэффициентов

и
kс: для

;
J = 0,75 и

имеем

и
k0 = 0,1. По
формуле [153 (47)] получаем
Hс = 0,91(0,77 - 0,1)24 = 14,6 м.
По
формулам [160а] и
[161а] находим глубины оттаивания грунта под зданием на расстояниях 0,25
B и 0,4
B от его центра:
H1 = 13,7
м;
H2 = 11,1
м.
Граница зоны оттаивания грунта под зданием для рассматриваемого случая показана на
рис. 46,
а.
Рис. 46. Расчет зоны оттаивания грунта под зданиями
Пример 2. Требуется определить границу оттаивания под зданием при следующих исходных данных. Размеры здания в плане: ширина
B = 18
м, длина
L = 54
м. Термическое сопротивление пола
R0 = 2,2
м2·
ч·
град/ккал; температура воздуха внутри помещения
tп = 12 °C. Срок эксплуатации здания

.
Грунт основания - песок мелкий; суммарная влажность грунта
Wс = 0,2; объемный вес

; объемный вес скелета мерзлого грунта

.
Температура грунта на глубине 10 м t0 = -5 °C. Расчетная глубина сезонного оттаивания грунта около здания Hт = 2 м.
Количество незамерзшей воды в мерзлом песке
Wн = 0 [см.
табл. 1 (1)]. Коэффициенты теплопроводности песка в талом и мерзлом состояниях по данным
табл. 38 (10) для

и
Wс = 0,2 равны:

,
.
q = 80 000 (0,2 - 0)1,51 = 24 200 ккал/м3.
На графике
рис. 41 точка пересечения перпендикуляров, восстановленных к оси

(при

) и оси
J (при
J = 1,76), лежит выше линии равных значений

. Следовательно, в данном случае границу зоны оттаивания грунта под зданием можно определять для стационарного состояния по
формулам [158 (52)] и
[159 (53)] в середине и у края здания и по
формулам [162] и
[163] в промежуточных точках. Коэффициент
kII, входящий в эти формулы, принимаем по
табл. 43 (13); для отношения

и

имеем
kII = 0,88.
Коэффициент

находим по значениям

и

по номограммам
рис. 40,
а (5,
а); он равен

. По
формуле [158 (52)] получаем
Hс.п = 0,88·0,56·18 = 8,9
м.
| | ИС МЕГАНОРМ: примечание. В официальном тексте документа, видимо, допущена опечатка: формулы [152] и [153] отсутствуют. Возможно, имеются в виду формулы [162] и [163] соответственно. | |
По
формулам [152] и
[153] с помощью номограммы
рис. 45 аналогично находим глубины оттаивания грунта на расстояниях 0,25
B и 0,4
B от центра здания
H1п = 7,5
м,
H2п = 3,8
м.
Далее определим глубину оттаивания грунта у края здания. Кривая равных значений

на номограмме
рис. 39,
б (5,
б) не пересекает ординату значений

. Это означает, что граница оттаивания в ее среднегодовом положении не выходит за пределы теплоизоляции. В соответствии с указанием приложения в данном случае принимаем глубину оттаивания грунта у края здания:

, т.е.
Hк.п = 1,5·2 = 3
м.
Граница оттаивания грунта под зданием представлена на рис. 46, б.
Пример 3. Требуется определить границу зоны оттаивания грунтов под зданием к концу срока эксплуатации

. Размеры здания в плане: ширина
B = 18
м; длина
L = 54
м. Термическое сопротивление пола
R0 = 2
м2·
ч·
град/ккал. Температура воздуха внутри помещения
tп = 16 °C.
Характеристика грунтов основания приведена в
табл. 44. Температура грунта на глубине 10
м t0 =
-4 °C. Расчетная глубина сезонного оттаивания грунта около здания
Hт = 2,5
м.
Таблица 44
Характеристики грунтов основания
N п/п | Наименование грунта | Толщина слоя в м |  в т/ м3 |  в т/ м3 | Wс | Wп | Wр | | |  в ккал/ м |  в ч/ град |
1 | Супесь | 2 | 1,62 | 1,34 | 0,2 | 2 | 0,07 | 0 | 21 600 | 1,05 | 1,29 |
2 | Песок | 5,5 | 1,85 | 1,51 | 0,12 | - | - | 0 | 12 900 | 1,45 | 1,75 |
3 | Суглинок | 9,5 | 1,8 | 1,28 | 0,4 | 12 | 0,12 | 0,05 | 35 300 | 1,1 | 1,41 |
Предварительно по
формулам [165] и
[164] находим средние значения коэффициентов теплопроводности грунтов и теплоты таяния мерзлых грунтов:
Hс = 1(0,85 - 0,16)18 = 12,4 м.
Уточненные значения коэффициентов теплопроводности грунтов и теплоты таяния мерзлого грунта при толщине оттаявшего слоя 12,4
м, подсчитанные по
формулам [165] и
[164]:

;

;
qср = 23 200
ккал/м3, а соответствующие им значения параметров будут равны

;

;
J = 1,38. По этим параметрам, пользуясь номограммой
рис. 37 (3) и
формулой [153 (47)], находим
Hс = 13,3
м.
Аналогично находим глубины оттаивания грунта под краем здания и на расстояниях 0,25B и 0,4B от его центра: Hк = 6,6 м; H1 = 11,6 м; H2 = 9 м.
Граница зоны оттаивания грунта под зданием изображена на
рис. 46,
в.
Пример 4. Требуется определить максимальную глубину оттаивания грунта под зданием при следующих исходных данных. Размеры здания в плане
B = 10
м и
L = 16
м; термическое сопротивление пола
R0 = 3
м2·
ч·
град/ккал; температура воздуха внутри помещения
tп = 18 °C; температура вечномерзлого грунта на глубине 10
м t0 =
-8 °C; коэффициенты теплопроводности грунта в талом и мерзлом состояниях

и
.
Для этих значений

и

имеем

. Значение коэффициента
kII определяем по
табл. 43 (13) для

и

:
kII = 0,69.
Hс.п = 0,69·0,34·10 = 2,3 м.
Максимальная глубина оттаивания грунта у края здания вычисляется по
формуле [159 (53)]. Значение коэффициента

ищем с помощью номограмм
рис. 39,
б (5,
б) для

и

. На номограмме вертикальная линия для

не пересекает кривую равных значений

. Это означает, что среднегодовая нулевая изотерма (поверхность зоны оттаивания грунта под сооружением) у края здания проходит внутри теплоизоляции пола. У края здания будет только сезонное оттаивание грунта. Глубина сезонного оттаивания грунта у края здания в этом случае определяется так же, как для зданий с холодными подпольями
(п. 4.2) с коэффициентом 1,5 (см.
п. 5 приложения).
При полученной глубине оттаивания грунта под серединой здания (равной 2,3 м) фундаменты могут быть заложены в вечномерзлом грунте без применения дополнительных мероприятий по сохранению грунтов основания в мерзлом состоянии.
Пример 5. Требуется определить максимальные глубины оттаивания грунта под серединой и краем здания при следующих исходных данных. Размеры здания в плане
B = 8
м и
L = 24
м; термическое сопротивление пола
R0 = 1
м2·
ч·
град/ккал; температура воздуха внутри помещения
tп = 18 °C.
Температура вечномерзлого грунта на глубине 10
м t0 = -4,6 °C; коэффициенты теплопроводности грунта в талом и мерзлом состояниях

и
.
При этих значениях

и

по номограмме
рис. 39,
а (5,
а) находим

. Значение коэффициента
kII при

и

определяем по
табл. 43 (13):
kII = 0,8. Максимальную глубину оттаивания грунта под серединой здания вычисляем по
формуле [158 (52)]:
Hс.п = 0,8·0,98·8 = 6,3 м.
При

и

по номограмме
рис. 39,
б (5,
б) находим

.
Hк.п = 0,8·0,7·8 = 4 м.
При полученной глубине оттаивания закладывать фундаменты ниже зоны оттаивания неэкономично.
Определим термическое сопротивление пола, при котором глубина оттаивания грунта у края здания не превысит
Hк.п = 2
м. С этой целью из
формулы [159 (53)] найдем значение

, при котором
Hк.п = 2
м:
откуда

.
откуда R0 = 1,82 м2·ч·град/ккал.
Максимальную глубину оттаивания грунта
Hс.п под серединой здания при
R0 = 1,82
м2·
ч·
град/ккал определяем по
формуле [158 (52)].
Значение

при

и

по номограмме
рис. 39,
б (5,
б) равно

. Тогда
Hс.п = 0,8·0,8·8 = 5,1 м.
Если внутри контура здания не предусматриваются фундаменты под оборудование, колонны или внутренние стены, то здание может быть построено, например, на свайных фундаментах, передающих нагрузку от наружных стен на вечномерзлое основание. При этом не требуется применения специальных охлаждающих устройств.
Пример 6. Исходные данные те же, что и в
примере 5, но необходимо устраивать фундаменты под оборудование в средней части здания. При глубине оттаивания грунта под серединой здания, равной 5,1
м, закладывать фундаменты ниже зоны оттаивания нерационально.
Определяем необходимую величину термического сопротивления пола, при которой максимальная глубина оттаивания грунта под серединой здания составит Hс.п = 3 м.

откуда

откуда R0 = 3,1 м2·ч·град/ккал.
Максимальная глубина оттаивания грунта у края здания при
R0 = 3,1
м2·
ч·
град/ккал определяется так же, как в
примере 5.
7. Для заглубленного здания глубина оттаивания грунта (считая от поверхности грунта под полом подвала здания) за время  под серединой Hс и краем Hк здания в м определяется по формулам:  [166 (54)] где kI - значение то же, что и в п. 5 настоящего приложения; Рис. 47 (6). Номограммы для определения коэффициентов  (для промежуточных значений  коэффициенты определяются интерполяцией) Таблица 45 (14) |
| | 0 - 0,5 | 0,6 - 1 | 1,1 - 2 |
kIII | 0,9 | 0,85 | 0,8 |
 - коэффициент, определяемый по номограмме рис. 47 (6) в зависимости от отношения величины заглубления подвала к ширине здания  , значений  - см. формулу [156 (50)] - и J, определяемой по формуле  [168 (56)] 8. Для заглубленного здания максимальная глубина оттаивания грунта (считая от поверхности грунта под полом подвала здания) под серединой Hс.п и краем Hк.п здания в м определяется по формулам:  [169 (57)] Hк.п = kIII Hс.п, [170 (58)] где kII и kIII - те же значения, что и в пп. 6 и 7 настоящего приложения;  - коэффициент, определяемый по номограмме рис. 39, в (5, в). |
К пп. 7 и 8. Общие закономерности образования зоны оттаивания в основании заглубленных зданий и сооружений аналогичны закономерностям, рассмотренным в
п. 5.23. Некоторой особенностью заглубленных зданий является то обстоятельство, что зона оттаивания в основании этих зданий формируется в течение большего времени, чем для зданий незаглубленных. Как правило, граница зоны оттаивания для заглубленных зданий достигает стационарного (или близкого к нему) состояния за обычный срок службы здания лишь в случаях, если расстояния от пола подвала до поверхности планировки
H в 4 раза и более меньше ширины здания

и если параметр

равен или больше единицы. В большинстве же случаев положение границы зоны оттаивания грунта под заглубленными зданиями и сооружениями следует определять для нестационарного состояния. При этом для заглубленного здания
(рис. 48) и сооружения на положение границы зоны оттаивания под краем заглубленной части здания или сооружения сезонные колебания температуры грунта практически не оказывают влияния.

Рис. 48. Схема расчета заглубленного здания
Наиболее просто границу зоны оттаивания под зданием с подвалом можно определить по формулам и номограммам, приведенным в
пп. 7 и
8 приложения.
Пример 7. Требуется определить границу зоны оттаивания грунта под зданием с подвалом за

при следующих исходных данных. Размеры здания и подвала под ним в плане: ширина
B = 12
м, длина
L = 12
м; расстояние от поверхности планировки до поверхности пола в подвале
H = 3
м; термическое сопротивление пола в подвале
R0 = 3
м2·
ч·
град/ккал; температура воздуха в подвале
tп = 10 °C.
Грунт основания - суглинок; его суммарная влажность
Wс = 0,26; число пластичности
Wп = 8; влажность на пределе раскатывания
Wр = 0,15; объемный вес

; объемный вес скелета мерзлого грунта

. Температура грунта на глубине 10
м t0 = -6,5 °C.
Wн = 0,42·0,15 = 0,063.
q = 80 000(0,26 - 0,063)1,59 = 23 800 ккал/м3.
Коэффициенты теплопроводности суглинка в мерзлом и талом состояниях принимаем по
табл. 38 (10) при

;
Wс = 0,26;
;
.
Далее по номограмме
рис. 47 (6) для

,
J = 0,88 и

находим окончательно значение

. Коэффициент
kI принимаем по
табл. 42 (12): для

,
J = 0,88 и

имеем
kI = 0,63. По
формуле [166 (54)] вычисляем глубину оттаивания грунта под серединой подвала:
Hс = 0,63(0,74 - 0,285)12 = 3,4 м.
Hк = 0,85·3,4 = 2,9 м.
Граница зоны оттаивания грунта под зданием с подвалом представлена на
рис. 46,
г.
Велли Ю.Я., Докучаев В.В., Федоров Н.Ф. Здания и сооружения на Крайнем Севере. Гос. изд. лит. по строит., архитект. и строит. материалам, Л. - М., 1963.
Войтковский К.Ф., Мельников П.И., Порхаев Г.В. Фундаменты сооружений на мерзлых грунтах в Якутии. "Наука", М., 1968.
Вялов С.С. Реологические свойства и несущая способность мерзлых грунтов. Изд. АН СССР, М., 1959.
Докучаев В.В. Основания и фундаменты на вечномерзлых грунтах. Гос. изд. лит. по строит., архитект. и строит. материалам, М. - Л., 1963.
Жуков В.Ф. Предпостроечное протаивание многолетнемерзлых горных пород при возведении на них сооружений. Изд. АН СССР, М., 1958.
Киселев М.Ф. К расчету фундаментов на оттаивающих грунтах-основаниях. Госстройиздат, М., 1957.
Основы геокриологии (мерзлотоведение), ч. 1 и 2, Изд. АН СССР, 1959.
Порхаев Г.В., Фельдман Г.М. и др. Теплофизика промерзающих и протаивающих грунтов. "Наука", М., 1964.
Салтыков Н.И. Основания и фундаменты в районах распространения многолетнемерзлых грунтов. Изд. АН СССР, М., 1959.
Ушкалов В.П. Исследование работы протаивающих оснований и их расчет по предельным деформациям сооружений. Изд. АН СССР, М., 1962.
Цытович Н.А. Принципы механики мерзлых грунтов. Изд. АН СССР, М., 1952.
Цытович Н.А. Основания и фундаменты на мерзлых грунтах. Изд. АН СССР, М., 1958.