Главная // Актуальные документы // НормыСПРАВКА
Источник публикации
Госстрой России, ГУП ЦПП, 1997
Примечание к документу
Документ утратил силу на территории Российской Федерации с 1 января 2013 года в связи с изданием
Приказа Минрегиона России от 29.12.2011 N 622, которым утвержден Свод правил
СП 25.13330.2012.
Разделы 1, 2 (
пункты 2.5 -
2.8), 3 (
пункты 3.2 -
3.19,
3.23,
3.27 -
3.32,
3.36,
3.37), 4 (
пункты 4.1 -
4.12,
4.14 -
4.17,
4.20 -
4.22,
4.25 -
4.45),
5 -
8, 9 (
пункты 9.4 -
9.18);
Приложения 1,
3 -
5 включены в
Перечень национальных стандартов и сводов правил (частей таких стандартов и сводов правил), в результате применения которых на обязательной основе обеспечивается соблюдение требований Федерального
закона от 30.12.2009 N 384-ФЗ "Технический регламент о безопасности зданий и сооружений" (
Распоряжение Правительства РФ от 21.06.2010 N 1047-р).
В соответствии с
пунктом 2 статьи 42 Федерального закона от 30.12.2009 N 384-ФЗ строительные нормы и правила, утвержденные до дня вступления в силу Технического регламента о безопасности зданий и сооружений, признаются сводами правил.
Введен в действие с 1 января 1990 года (
Постановление Госстроя СССР от 21.12.1988 N 252).
Взамен СНиП II-18-76.
Название документа
"СНиП 2.02.04-88. Основания и фундаменты на вечномерзлых грунтах"
(утв. Постановлением Госстроя СССР от 21.12.1988 N 252)
"СНиП 2.02.04-88. Основания и фундаменты на вечномерзлых грунтах"
(утв. Постановлением Госстроя СССР от 21.12.1988 N 252)
от 21 декабря 1988 г. N 252
СТРОИТЕЛЬНЫЕ НОРМЫ И ПРАВИЛА
ОСНОВАНИЯ И ФУНДАМЕНТЫ НА ВЕЧНОМЕРЗЛЫХ ГРУНТАХ
СНиП 2.02.04-88
Срок введения в действие
1 января 1990 года
Разработаны ВНИИОСП им. Н.М. Герсеванова Госстроя СССР (канд. техн. наук А.В. Садовский, канд. геол.-минерал. наук Д.И. Федорович - руководители темы; д-р техн. наук В.О. Орлов, кандидаты техн. наук М.Р. Гохман, В.Ф. Жуков, Н.Б. Кутвицкая, В.К. Щелоков, М.Э. Слепак, С.М. Тихомиров, В.Д. Пономарев, Ю.С. Миренбург, В.М. Куприн, Е.С. Максименко и В.И. Никифоров; Е.А. Левкович, В.М. Водолазкин и Ю.Г. Федосеев), ЛенЗНИИЭП Госкомархитектуры (кандидаты техн. наук Д.Р. Шейнкман, К.Ф. Маркин, Ю.А. Велли и А.С. Герасимов), институтом "Фундаментпроект" Минмонтажспецстроя СССР (кандидаты техн. наук А.А. Колесов и В.М. Шаевич), Красноярским ПромстройНИИпроектом Минуралсибстроя СССР (кандидаты техн. наук А.А. Коновалов и Ю.М. Казаков), Якутским филиалом Забайкальского ПромстройНИИпроекта Минвостокстроя СССР (д-р геол.- минерал. наук Л.Т. Роман), ЦНИИС Минтрансстроя СССР (кандидаты техн. наук Н.М. Глотов и Е.А. Тюленев), МИСИ им. В.В. Куйбышева (д-р техн. наук С.С. Вялов) и МГУ им. М.В. Ломоносова (д-р техн. наук Л.Н. Хрусталев, канд. техн. наук Г.П. Пустовойт) Гособразования СССР.
Внесены ВНИИОСП им. Н.М. Герсеванова Госстроя СССР.
Подготовлены к утверждению Управлением стандартизации и технических норм в строительстве Госстроя СССР (О.Н. Сильницкая).
С введением в действие СНиП 2.02.04-88 с 1 января 1990 г. утрачивают силу:
СНиП II-18-76 "Основания и фундаменты на вечномерзлых грунтах";
изменения и дополнения СНиП II-18-76, утвержденные Постановлениями Госстроя СССР от 16 января 1981 г. N 4, от 12 февраля 1981 г. N 17 и от 26 февраля 1986 г. N 24.
При пользовании нормативным документом следует учитывать утвержденные изменения строительных норм и правил и государственных стандартов, публикуемые в журнале "Бюллетень строительной техники" и информационном указателе "Государственные стандарты".
Настоящие нормы распространяются на проектирование оснований и фундаментов зданий и сооружений, возводимых на территории распространения вечномерзлых грунтов, определяемой в соответствии с требованиями
СНиП 2.01.01-82.
Настоящие нормы, кроме
пп. 1.1 -
2.7, не распространяются на проектирование оснований гидротехнических сооружений, земляного полотна автомобильных и железных дорог, аэродромных покрытий и фундаментов машин с динамическими нагрузками.
1.1. Основания и фундаменты зданий и сооружений <*>, возводимых на территории распространения вечномерзлых грунтов, следует проектировать на основе результатов специальных инженерно-геокриологических (инженерно-геологических, мерзлотных и гидрогеологических) изысканий с учетом конструктивных и технологических особенностей проектируемых сооружений, их теплового и механического взаимодействия с вечномерзлыми грунтами оснований и возможных изменений геокриологических условий в результате строительства и эксплуатации сооружений и освоения территории, устанавливаемых по данным инженерных изысканий и теплотехнических расчетов оснований.
--------------------------------
<*> Далее для краткости, где это возможно, вместо термина "здания и сооружения" используется термин "сооружения".
1.2. При проектировании оснований и фундаментов на вечномерзлых грунтах следует учитывать местные условия строительства, требования к охране окружающей среды, а также имеющийся опыт проектирования, строительства и эксплуатации сооружений в аналогичных условиях.
Выбор строительных площадок и проектных решений оснований и фундаментов следует производить на основании технико-экономического сравнения возможных вариантов с оценкой по приведенным затратам с учетом надежности.
1.3. Инженерные изыскания для строительства на вечномерзлых грунтах надлежит проводить в соответствии с требованиями
СНиП 1.02.07-87, государственных стандартов и других нормативных документов по инженерным изысканиям и исследованиям грунтов для строительства.
Проектирование оснований без достаточного инженерно-геологического обоснования не допускается.
1.4. Проектирование оснований и фундаментов на вечномерзлых грунтах должно включать расчет теплового режима грунтов оснований, а также выбор и расчет устройств и мероприятий, обеспечивающих соблюдение установленного расчетом теплового режима грунтов в основании сооружения в процессе его строительства и эксплуатации
(п. 3.10).
Тепловой режим грунтов основания и необходимые для его соблюдения требования к правилам эксплуатации сооружения должны входить в состав проектной документации сооружения, передаваемой эксплуатирующей организации.
1.5. В проекте оснований и фундаментов сооружений, возводимых на вечномерзлых грунтах, должно быть предусмотрено проведение систематических натурных наблюдений за состоянием грунтов оснований и фундаментов, в том числе наблюдений за температурой грунтов как в процессе строительства, так и в период эксплуатации сооружения. Число и расположение необходимых для этого наблюдательных скважин, нивелировочных марок и программа наблюдений в процессе строительства и эксплуатации устанавливаются проектной организацией - автором проекта с учетом назначения и степени ответственности сооружения.
Соответствие состояния грунтов основания и фундаментов проектным требованиям при сдаче сооружения в эксплуатацию должно быть подтверждено результатами натурных наблюдений, выполненных в период строительства согласно программе. При сдаче законченного строительством сооружения эксплуатирующей организации должны быть переданы план расположения наблюдательных скважин, нивелировочных реперов и марок и программа дальнейших наблюдений.
2. ХАРАКТЕРИСТИКИ ВЕЧНОМЕРЗЛЫХ ГРУНТОВ ОСНОВАНИЙ
2.1. Подразделение и наименование разновидностей вечномерзлых грунтов следует производить в соответствии с ГОСТ 25100-82 с учетом особенностей их физико-механических свойств как оснований сооружений.
2.2. По особенностям физико - механических свойств среди вечномерзлых грунтов должны выделяться сильнольдистые, засоленные и биогенные (заторфованные) грунты, использование которых в качестве оснований сооружений регламентируется дополнительными требованиями, предусмотренными
разд. 5, 6 и
7, а также твердомерзлые, пластичномерзлые и сыпучемерзлые грунты, выделяемые согласно указаниям п. 2.3.
2.3. Подразделение грунтов на твердомерзлые, пластичномерзлые и сыпучемерзлые при проектировании оснований и фундаментов следует производить в зависимости от их состава, температуры и степени влажности в соответствии с ГОСТ 25100-82 с учетом сжимаемости под нагрузкой.
К твердомерзлым следует относить практически несжимаемые грунты с коэффициентом сжимаемости

(0,001 см2/кгс), к пластичномерзлым - грунты с коэффициентом сжимаемости

(0,001 см2/кгс).
Твердомерзлое или пластичномерзлое состояние засоленных и биогенных грунтов следует устанавливать только по данным опытного определения коэффициента их сжимаемости

.
2.4. Необходимые для расчета оснований и фундаментов физические и деформационно-прочностные характеристики вечномерзлых грунтов надлежит определять, как правило, на основании их непосредственных полевых или лабораторных испытаний.
2.5. В состав определяемых для расчета вечномерзлых оснований физических и механических характеристик грунтов помимо характеристик, предусмотренных
СНиП 2.02.01-83, должны дополнительно входить:
а) физические и теплофизические характеристики мерзлых грунтов, определяемые в соответствии с обязательным
Приложением 1;
б) деформационные и прочностные характеристики грунтов для расчета мерзлых оснований по деформациям и несущей способности: коэффициент сжимаемости мерзлого грунта
(п. 4.21), расчетное давление R и сопротивление мерзлого грунта или грунтового раствора сдвигу по поверхности смерзания

и
(п. 4.8);
в) деформационные характеристики грунтов для расчета оттаивающего основания по деформациям: коэффициент оттаивания

и сжимаемости дельта оттаивающего грунта и его относительная осадка
(п. 4.30);
г) характеристики грунтов слоя сезонного промерзания-оттаивания для расчета оснований и фундаментов на воздействие сил морозного пучения грунтов
(пп. 4.42 и
4.45), а также характеристики мерзлых грунтов для расчета оснований на горизонтальные статические и сейсмические воздействия
(пп. 8.5 и
8.6).
При необходимости следует определять и другие характеристики мерзлых грунтов, характеризующие особенности их состояния или взаимодействия с фундаментами (вид криогенной текстуры, коэффициент вязкости

, эквивалентное сцепление

, скорость вязкопластического течения льда

, негативное трение оттаивающего грунта

и т.п.).
2.6. Нормативные значения характеристик грунта следует устанавливать для выделенных при изысканиях инженерно-геологических элементов на основании статистической обработки результатов экспериментальных определений в соответствии с
ГОСТ 20522-75 и
СНиП 2.02.01-83 с учетом предусмотренного проектом состояния и температуры грунтов основания.
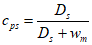
2.7. Расчетные значения характеристик грунта определяются по формуле

, (1)
где

и

- соответственно расчетное и нормативное значение данной характеристики;

- коэффициент надежности по грунту, определяемый согласно указаниям п. 2.8.
2.8. Коэффициент надежности по грунту

определяется в соответствии с
ГОСТ 20522-75 с учетом вида (назначения) определяемой расчетной характеристики, состояния грунтов в основании сооружения и доверительной вероятности

.
При определении расчетных значений деформационных и прочностных характеристик грунтов, используемых в качестве основания в мерзлом состоянии
(принцип I), коэффициент надежности по грунту

устанавливается в соответствии с
ГОСТ 20522-75 при доверительной вероятности

, принимаемой равной 0,85, а для оснований опор мостов и линий электропередач - 0,9.
При определении расчетных значений деформационных и прочностных характеристик грунтов, используемых в качестве основания в оттаивающем или оттаянном состоянии
(принцип II), коэффициент надежности по грунту

следует устанавливать:
а) для расчета оттаивающих оснований по деформациям с учетом совместной работы сооружения (фундаментов) и деформируемого основания
(п. 4.27) - в соответствии с
ГОСТ 20522-75 при доверительной вероятности

, принимаемой в соответствии с нормами проектирования конструкций сооружения, но не менее 0,95;
б) для расчета оттаивающих оснований по деформациям без учета совместной работы основания и сооружения
(п. 4.26), а также при предварительном оттаивании грунтов
(4.32) - при доверительной вероятности

, принимаемой согласно
СНиП 2.02.01-83.
При определении расчетных значений физических и теплофизических характеристик грунтов коэффициент надежности по грунту

допускается принимать равным 1,0.
2.9. Для расчета оснований сооружений II и III классов ответственности, возводимых с сохранением мерзлого состояния грунтов, а также для выполнения предварительных расчетов оснований и привязки типовых проектов к местным условиям, расчетные значения прочностных характеристик мерзлых грунтов R,

и

допускается принимать по их физическим характеристикам, составу и температуре в соответствии с табличными данными, приведенными в рекомендуемом
Приложении 2; расчетные значения теплофизических характеристик грунтов в этих случаях допускается принимать по таблицам обязательного
Приложения 1.
Примечание. Здесь и далее класс ответственности сооружений принят согласно "
Правилам учета степени ответственности зданий и сооружений при проектировании конструкций", утвержденным Госстроем СССР.
3. ОСНОВНЫЕ ПОЛОЖЕНИЯ ПРОЕКТИРОВАНИЯ ОСНОВАНИЙ
И ФУНДАМЕНТОВ
ПРИНЦИПЫ ИСПОЛЬЗОВАНИЯ ВЕЧНОМЕРЗЛЫХ
ГРУНТОВ В КАЧЕСТВЕ ОСНОВАНИЯ
3.1. При строительстве на вечномерзлых грунтах в зависимости от конструктивных и технологических особенностей зданий и сооружений, инженерно-геокриологических условий и возможности целенаправленного изменения свойств грунтов основания применяется один из следующих принципов использования вечномерзлых грунтов в качестве основания сооружений:
принцип I - вечномерзлые грунты основания используются в мерзлом состоянии, сохраняемом в процессе строительства и в течение всего периода эксплуатации сооружения;
принцип II - вечномерзлые грунты основания используются в оттаянном или оттаивающем состоянии (с их предварительным оттаиванием на расчетную глубину до начала возведения сооружения или с допущением их оттаивания в период эксплуатации сооружения).
3.2.
Принцип I следует применять, если грунты основания можно сохранить в мерзлом состоянии при экономически целесообразных затратах на мероприятия, обеспечивающие сохранение такого состояния. На участках с твердомерзлыми грунтами, а также при повышенной сейсмичности района следует принимать, как правило, использование вечномерзлых грунтов по
принципу I.
При строительстве на пластичномерзлых грунтах следует, как правило, предусматривать мероприятия по понижению температуры
(пп. 3.10 -
3.13) до установленных расчетом значений, а также учитывать в расчетах оснований пластические деформации этих грунтов под нагрузкой согласно указаниям
пп. 4.20 -
4.22.
3.3.
Принцип II следует применять при наличии в основании скальных или других малосжимаемых грунтов, деформации которых при оттаивании не превышают предельно допустимых значений для проектируемого сооружения, при несплошном распространении вечномерзлых грунтов, а также в тех случаях, когда по техническим и конструктивным особенностям сооружения и инженерно-геокриологическим условиям участка при сохранении мерзлого состояния грунтов основания не обеспечивается требуемый уровень надежности строительства.
3.4. Выбор принципа использования вечномерзлых грунтов в качестве основания сооружений, а также способов и средств, необходимых для обеспечения принятого в проекте температурного режима грунтов, следует производить на основании сравнительных технико-экономических расчетов.
3.5. В пределах застраиваемой территории (промышленный узел, поселок, городской микрорайон и т.д.) надлежит предусматривать, как правило, один принцип использования вечномерзлых грунтов в качестве оснований. Это требование следует учитывать также при проектировании новых и реконструкции существующих зданий и сооружений на застроенной территории, размещении мобильных (временных) зданий и прокладке инженерно-технических сетей.
Применение разных принципов использования вечномерзлых грунтов в пределах застраиваемой территории допускается на обособленных по рельефу и другим природным условиям участках, а в необходимых случаях - на природно-необособленных участках, если предусмотрены и подтверждены расчетом специальные меры по обеспечению расчетного теплового режима грунтов в основании соседних зданий, возведенных (или возводимых) по
принципу I (резервирование зон безопасности, устройство мерзлотных и противофильтрационных завес и т.п.).
3.6. Линейные сооружения допускается проектировать с применением на отдельных участках трассы разных принципов использования вечномерзлых грунтов в качестве основания. При этом следует предусматривать меры по приспособлению их конструкций к неравномерным деформациям основания в местах перехода от одного участка к другому, а при прокладке их в пределах застраиваемой территории следует соблюдать требования, предусмотренные
п. 3.5.
ГЛУБИНА ЗАЛОЖЕНИЯ ФУНДАМЕНТА
3.7. Глубина заложения фундаментов, считая от уровня планировки (подсыпки или срезки), назначается с учетом требований
СНиП 2.02.01-83 и принятого принципа использования вечномерзлых грунтов в качестве основания сооружения и должна проверяться расчетом по устойчивости фундаментов на действие сил морозного пучения грунтов согласно указаниям
пп. 4.41 и
4.45.
3.8. При использовании вечномерзлых грунтов в качестве основания по
принципу I минимальную глубину заложения фундаментов

необходимо принимать по табл. 1 в зависимости от расчетной глубины сезонного оттаивания грунта

, определяемой согласно обязательному
Приложению 3.
Таблица 1
────────────────────────────────┬─────────────────────────────────
Фундаменты │ Минимальная глубина заложения
│ фундаментов d , м
│ min
────────────────────────────────┼─────────────────────────────────
Фундаменты всех типов, кроме │ d + 1
свайных │ th
Свайные фундаменты зданий и │ d + 2
сооружений │ th
Сваи опор мостов │ d + 4
│ th
Фундаменты зданий и сооружений, │ Не нормируется
возводимых на подсыпках │
────────────────────────────────┴─────────────────────────────────
3.9. При использовании вечномерзлых грунтов в качестве основания по
принципу II минимальную глубину заложения фундаментов

следует принимать в соответствии с требованиями
СНиП 2.02.01-83 в зависимости от расчетной глубины сезонного промерзания грунта

, определяемой согласно обязательному
Приложению 3, и уровня подземных вод, который принимается с учетом образования под сооружением зоны оттаивания грунта.
Допускается закладывать фундаменты в слое сезонного промерзания-оттаивания грунта, если это обосновано расчетом оснований и фундаментов
(п. 4.45).
УСТРОЙСТВО ОСНОВАНИЙ И ФУНДАМЕНТОВ ПРИ ИСПОЛЬЗОВАНИИ
3.10. При использовании вечномерзлых грунтов в качестве оснований сооружений по
принципу I для сохранения мерзлого состояния грунтов основания и обеспечения их расчетного теплового режима в проектах оснований и фундаментов необходимо предусматривать: устройство холодных (вентилируемых) подполий или холодных первых этажей зданий
(п. 3.11), укладку в основании сооружения охлаждающих труб, каналов или применение вентилируемых фундаментов
(п. 3.12), установку сезоннодействующих охлаждающих устройств жидкостного или парожидкостного типов - СОУ
(п. 3.13), а также осуществление других мероприятий по устранению или уменьшению теплового воздействия сооружения на мерзлые грунты основания.
Выбор одного или сочетания указанных мероприятий должен производиться на основании теплотехнического расчета с учетом конструктивных и технологических особенностей сооружения, опыта местного строительства и экономической целесообразности.
3.11. Холодные (вентилируемые) подполья с естественной или побудительной вентиляцией следует применять для сохранения мерзлого состояния грунтов в основаниях жилых и промышленных зданий и сооружений, в том числе сооружений с повышенными тепловыделениями. Требуемый тепловой режим вентилируемого подполья устанавливается теплотехническим расчетом согласно обязательному
Приложению 4.
Подполья в соответствии с теплотехническим расчетом и условиями снегозаносимости допускается устраивать открытыми, с вентилируемыми продухами в цоколе здания или закрытыми; при необходимости у продухов следует устраивать вытяжные или приточные трубы, располагая воздухозаборные отверстия выше наибольшего уровня снегового покрова. Закрытые подполья, а также холодные первые этажи зданий рекомендуется устраивать при ширине зданий до 15 м и среднегодовых температурах грунта ниже минус 2 °С.
Высота подполья должна приниматься по условиям обеспечения его вентилирования, но не менее 1,2 м от поверхности планировки грунта до низа выступающих конструкций перекрытия; при размещении в подполье коммуникаций по условиям свободного к ним доступа, но не менее 1,4 м. Под отдельными участками сооружения шириной до 6 м при отсутствии в них коммуникаций и фундаментов высоту подполья допускается уменьшать до 0,6 м.
Поверхность грунта в подполье должна быть спланирована с уклонами в сторону наружных отмосток или водосборов, обеспечивающих беспрепятственный отвод воды, и иметь, как правило, твердое покрытие.
3.12. Охлаждающие трубы или каналы, а также вентилируемые фундаменты можно устраивать с естественной или побудительной вентиляцией и их следует преимущественно применять для сохранения мерзлого состояния грунтов в основании сооружений с полами по грунту, при устройстве малозаглубленных или поверхностных фундаментов на подсыпках, а также мобильных зданий и зданий в комплектно-блочном исполнении.
Охлаждающие трубы, каналы и вентилируемые фундаменты следует укладывать выше уровня подземных вод, как правило, в пределах подсыпки из непучинистого грунта с уклонами в сторону объединительных коллекторов. Для уменьшения теплопритока в грунт и высоты подсыпки под полами сооружения следует предусматривать укладку тепло- и гидроизоляции.
Теплотехнический расчет оснований при использовании указанных систем охлаждения грунтов следует производить согласно указаниям
п. 4.15.
3.13. Сезоннодействующие охлаждающие устройства (СОУ) следует применять, как правило, в сочетании с другими охлаждающими устройствами для сохранения мерзлого состояния грунтов оснований, для повышения несущей способности опор линейных сооружений в пластичномерзлых грунтах, а также для создания ледогрунтовых завес, восстановления нарушенного при эксплуатации сооружения теплового режима грунтов в его основании и в других целях.
3.14. Вентилируемые подполья или другие виды охлаждающих устройств при возведении фундаментов на пластичномерзлых грунтах следует проектировать исходя из условия обеспечения ими требуемого понижения температуры грунтов при эксплуатации сооружения. Для сокращения сроков строительства и повышения расчетных нагрузок на фундаменты следует предусматривать предварительное (до возведения сооружения) охлаждение пластичномерзлых грунтов (путем очистки поверхности от снега, с помощью СОУ и т.д.) при последующем поддержании расчетного температурного режима грунтов за счет постоянно действующих охлаждающих устройств.
3.15. На участках, где слой сезонного промерзания-оттаивания не сливается с вечномерзлым грунтом, необходимо предусматривать меры по стабилизации или поднятию верхней поверхности вечномерзлого грунта до расчетного уровня путем предварительного охлаждения и промораживания грунтов основания. Глубину заложения фундаментов при этом следует определять расчетом, но принимать не менее 2 м от верхней поверхности вечномерзлого грунта. Допускается закладывать фундаменты в пределах немерзлого слоя грунта, если это обосновано расчетом основания.
3.16. При использовании вечномерзлых грунтов в качестве оснований по
принципу I могут применяться свайные, столбчатые и другие типы фундаментов, в том числе фундаменты на искусственных (насыпных и намывных) основаниях. Выбор типа фундамента и способа устройства основания устанавливается проектом в зависимости от инженерно-геокриологических условий строительства, конструктивных особенностей сооружения и технико-экономической целесообразности.
3.17. Конструкции фундаментов должны удовлетворять требованиям, предъявляемым к материалу фундаментов по прочности в соответствии с требованиями
СНиП 2.03.01-84,
СНиП 2.02.03-85,
СНиП 2.05.03-84, а элементы фундаментов, находящиеся в пределах слоя сезонного промерзания и оттаивания грунта и выше, - также требованиям по морозостойкости, водонепроницаемости и устойчивости к воздействию агрессивных сред в соответствии с требованиями
СНиП 2.03.11-85 и
СНиП 2.05.03-84. Металлические и деревянные конструкции фундаментов в слое сезонного промерзания и оттаивания грунта должны быть защищены от коррозии и гниения.
3.18. При устройстве свайных фундаментов в вечномерзлых грунтах допускается применять виды и конструкции свай, предусмотренные
СНиП 2.02.03-85, в том числе буронабивные, полые и сваи-оболочки, а также составные (комбинированные) сваи из разных материалов.
3.19. В проекте свайных фундаментов должны быть указаны способы погружения свай, а также температурные условия, при которых разрешается загружение свай.
Полые сваи и сваи-оболочки, не требующие по расчету бетонного заполнения, допускается заполнять грунтом, а в пределах слоя сезонного промерзания-оттаивания и выше - бетоном класса не ниже В15 с соблюдением требований по предотвращению образования трещин, кроме опор мостов, при устройстве которых в зоне воздействия знакопеременных температур следует руководствоваться требованиями
СНиП 2.02.03-85.
При устройстве буронабивных свай в вечномерзлых грунтах, используемых в качестве оснований по
принципу I, применение химических добавок для ускорения твердения бетона, уложенного в распор с мерзлым грунтом, как правило, не допускается.
3.20. По условиям применимости и способам погружения в вечномерзлый грунт сваи подразделяются на:
а) буроопускные - сваи сплошные и полые, свободно погружаемые в скважины, диаметр которых превышает (не менее чем на 5 см) размер их наибольшего поперечного сечения, с заполнением свободного пространства раствором глинисто-песчаным, известково-песчаным или другого состава, принимаемым по условиям обеспечения заданной прочности смерзания сваи с грунтом; допускаются к применению в любых грунтах при средней температуре грунта по длине сваи минус 0,5 °С и ниже;
б) опускные - сваи сплошные и полые, свободно (или с пригрузом) погружаемые в оттаянный грунт в зоне диаметром до двух наибольших поперечных размеров сваи; допускаются к применению в твердомерзлых грунтах песчаных и пылевато-глинистых, содержащих не более 15% крупнообломочных включений при средней температуре грунта по длине сваи не выше минус 1,5 °С;
в) бурозабивные - сваи сплошные и полые, рассчитанные на восприятие ударных нагрузок и погружаемые забивкой в лидерные скважины, диаметр которых меньше наибольшего поперечного сечения сваи; допускаются к применению в пластичномерзлых грунтах без крупнообломочных включений на основании пробных погружений свай на данной площадке;
г) бурообсадные - полые сваи и сваи-оболочки, погружаемые в грунт путем его разбуривания в забое через полость сваи с периодическим осаживанием погружаемой сваи; применяются при устройстве сварных фундаментов в сложных инженерно-геокриологических условиях и при наличии межмерзлотных подземных вод.
Допускается применять другие способы погружения свай в вечномерзлые грунты, если это не приводит к недопустимому повышению температуры грунтов основания, что должно быть подтверждено экспериментальными данными и теплотехническим расчетом.
3.21. Расстояние между осями свай следует принимать равным:
для буроопускных и бурообсадных свай - не менее двух диаметров скважины при ее диаметре до 1 м включительно и не менее диаметра скважины плюс 1 м при ее диаметре 1 м и более;
для опускных и бурозабивных свай - не менее трех наибольших размеров поперечного сечения сваи.
Размещение свай в плане, их число, размеры и способы устройства ростверков назначаются в зависимости от конструкции здания, размещения технологического оборудования и нагрузок на фундаменты в соответствии с требованиями
СНиП 2.02.03-85 с учетом расчетной несущей способности свай, определяемой согласно
п. 4.7, высоты холодного подполья
(п. 3.11) и температурно-влажностных воздействий; укладка ростверков по грунту или с зазором менее 0,15 м от поверхности грунта, а для устоев мостов - менее 0,5 м не допускается.
3.22. Столбчатые фундаменты, возводимые на естественном вечномерзлом основании, следует устраивать сборно-монолитными и монолитными. Глубина заложения фундаментов, их размеры и несущая способность устанавливаются расчетом согласно указаниям
пп. 4.7 -
4.9, с учетом требований
пп. 3.7 и
3.8.
Обратную засыпку котлованов под фундаменты следует производить, как правило, влажным талым грунтом. При льдистости грунтов основания

под подошвой фундаментов следует устраивать песчаную подушку толщиной не менее 0,2 м.
3.23. При проектировании сооружений на искусственных основаниях (насыпях или подсыпках) следует предусматривать устройство фундаментов мелкого заложения (столбчатых, ленточных, плитных, с вентилируемыми каналами и др.). Фундаменты следует закладывать в пределах высоты подсыпки, определяемой теплотехническим расчетом с учетом дополнительных мероприятий по сохранению мерзлого состояния грунтов оснований, предусмотренных
п. 3.12.
Подсыпку следует устраивать из непучинистого песчаного или крупнообломочного грунта, укладываемого после промерзания сезоннооттаивающего слоя; допускается для устройства подсыпок применять шлаки или другие отходы производства, если они не подвержены пучению и морозному разрушению.
При устройстве фундаментов на подсыпках основания и фундаменты следует рассчитывать по несущей способности и деформациям в соответствии с требованиями
СНиП 2.02.01-83.
УСТРОЙСТВО ОСНОВАНИЙ И ФУНДАМЕНТОВ ПРИ ИСПОЛЬЗОВАНИИ
3.24. При проектировании оснований и фундаментов зданий и сооружений, возводимых с использованием вечномерзлых грунтов по
принципу II, следует предусматривать мероприятия по уменьшению деформаций основания
(п. 3.25) или мероприятия по приспособлению конструкций сооружения к восприятию неравномерных деформаций основания
(п. 3.28), назначаемые по результатам расчета основания по деформациям.
Выбор одного из указанных мероприятий или их сочетания производится на основании технико-экономического расчета. При этом мероприятия по уменьшению деформаций основания следует предусматривать в любом случае, если расчетные осадки сооружения превышают значения, допустимые по архитектурным и технологическим требованиям, а для сооружений, возводимых по типовым проектам, - также установленные для них предельные значения деформаций по условиям прочности и устойчивости конструкций.
Мероприятия по приспособлению конструкций сооружения к неравномерным деформациям оттаивающего основания следует назначать по результатам расчета совместной работы основания и сооружения.
3.25. Для уменьшения деформаций основания в зависимости от конкретных условий строительства следует предусматривать:
предварительное (до возведения сооружения) искусственное оттаивание и уплотнение грунтов основания;
замену льдистых грунтов основания талым или непросадочным при оттаивании песчаным или крупнообломочным грунтом;
ограничение глубины оттаивания мерзлых грунтов основания, в том числе со стабилизацией верхней поверхности вечномерзлого грунта в процессе эксплуатации сооружения;
увеличение глубины заложения фундаментов, в том числе с прорезкой льдистых грунтов и опиранием фундаментов на скальные или другие малосжимаемые при оттаивании грунты.
3.26. Глубину предварительного оттаивания или замены льдистых грунтов основания на малосжимаемые при оттаивании грунты следует устанавливать по результатам расчета основания по деформациям согласно указаниям
п. 4.32.
Контуры зоны оттаивания или замены грунтов основания в плане должны выходить за контуры сооружения не менее чем на половину глубины предварительного оттаивания грунта.
Допускается принимать меньшую площадь предварительного оттаивания или замены грунтов в плане, а также производить локальное предварительное оттаивание грунтов под фундаментами (вместо сплошного оттаивания под всей площадью сооружения), если это обосновано расчетом основания по деформациям и устойчивости.
Оттаивание грунтов оснований можно производить способами электрооттаивания, парооттаивания или за счет других источников тепла. При этом должны быть предусмотрены меры по обеспечению установленной проектом степени уплотнения оттаянного грунта.
3.27. Для ограничения глубины оттаивания грунтов в основании сооружения следует предусматривать устройство теплоизолирующих подсыпок, увеличение сопротивления теплопередаче полов первых этажей и другие мероприятия по уменьшению теплового влияния сооружения на грунты основания, а также стабилизацию верхней поверхности вечномерзлого грунта (в том числе при несливающемся сезоннопромерзающем слое) ниже глубины заложения подошвы фундаментов путем регулирования температуры воздуха в подпольях или технических этажах здания согласно обязательному
Приложению 5.
3.28. Приспособление конструкций сооружений к неравномерным деформациям основания должно обеспечиваться:
а) увеличением прочности и пространственной жесткости здания, достигаемой устройством поэтажных, связанных с перекрытиями железобетонных и армокирпичных поясов, усилением армирования конструкций, замоноличиванием сборных элементов перекрытия, усилением цокольно-фундаментной части, равномерным расположением сквозных поперечных стен, а также разрезкой протяженных зданий на отдельные отсеки длиной до полуторной ширины здания;
б) увеличением податливости и гибкости сооружения путем разрезки его конструкций деформационными швами, устройством гибких сопряжений отдельных конструкций с учетом возможности их выравнивания и рихтовки технологического оборудования.
Допускается предусматривать комбинацию указанных мероприятий применительно к особенностям проектируемого сооружения. При этом бескаркасные жилые и общественные здания следует, как правило, проектировать по жесткой конструктивной схеме; для промышленных сооружений могут применяться гибкие и комбинированные конструктивные схемы. Цокольно-фундаментную часть зданий в типовых проектах следует разрабатывать в нескольких вариантах, рассчитанных по прочности на разные пределы допустимых деформаций основания.
3.29. При использовании вечномерзлых грунтов в качестве оснований по
принципу II следует, как правило, применять:
а) для сооружений с жесткой конструктивной схемой, возводимых на оттаивающих грунтах, - усиленные армопоясами ленточные фундаменты, в том числе в виде жестких перекрестных лент, воспринимающих и перераспределяющих усилия, вызванные неравномерной осадкой оттаивающего основания, а в необходимых случаях - плитные фундаменты; на предварительно оттаянных и уплотненных грунтах допускается применять столбчатые, ленточные и другие виды фундаментов на естественном основании, а также свайные фундаменты, если это обусловлено грунтовыми условиями;
б) для сооружений с гибкой конструктивной схемой - столбчатые и отдельно стоящие фундаменты под колонны, гибкие ленточные фундаменты, а в необходимых случаях - также свайные фундаменты.
3.30. В случаях, когда в основании сооружений залегают скальные или другие малосжимаемые при оттаивании грунты, следует применять столбчатые фундаменты, свайные фундаменты из свай-стоек, в том числе из составных и буронабивных свай.
Сваи следует погружать, как правило, буроопускным способом в скважины, диаметр которых не менее чем на 15 см превышает наибольшие размеры поперечного сечения сваи, с заполнением свободного пространства грунтовым, цементно-песчаным или другим раствором. Заделку свай-стоек в скальные грунты надлежит производить в соответствии с требованиями
СНиП 2.02.03-85.
ТРЕБОВАНИЯ К ИНЖЕНЕРНОЙ ПОДГОТОВКЕ
ТЕРРИТОРИИ И ОХРАНЕ ОКРУЖАЮЩЕЙ СРЕДЫ
3.31. В проекте оснований и фундаментов на вечномерзлых грунтах должны быть предусмотрены мероприятия по инженерной подготовке территории, обеспечивающие соблюдение расчетного гидрогеологического и теплового режима грунтов основания и предотвращение эрозии, развития термокарста и других физико-геологических процессов, приводящих к изменению проектного состояния грунтов в основании сооружений при их строительстве и эксплуатации, а также к недопустимым нарушениям природных условий окружающей среды.
3.32. Инженерная подготовка отдельных строительных площадок должна быть увязана с общей инженерной подготовкой и вертикальной планировкой территории застройки в соответствии с генпланом и обеспечивать организованный отвод поверхностных и подмерзлотных вод с начала строительства.
Подъездные пути и насыпи для прохождения транспортных средств и работы строительной техники следует устраивать до начала работ по возведению фундаментов.
3.33. На территории с вечномерзлыми грунтами вертикальную планировку местности следует производить, как правило, подсыпкой. При применении в необходимых случаях срезок и выемок грунта должны быть приняты меры по защите вскрытых льдистых грунтов от протаивания, размыва и оползания склонов. Подсыпку можно выполнять сплошной по всей застраиваемой территории или под отдельные сооружения или их группы при условии обеспечения свободного стока поверхностных вод.
3.34. При использовании вечномерзлых грунтов по
принципу I подсыпку следует выполнять, как правило, в зимний период после промерзания сезоннооттаявшего слоя грунта (не менее чем на 0,2 м). Толщина и способ устройства подсыпок принимаются в зависимости от их назначения и грунтовых условий.
На участках с сильнольдистыми грунтами и подземными льдами следует устраивать сплошные по площади теплоизолирующие подсыпки, толщину которых необходимо устанавливать расчетом по условию предотвращения протаивания подстилающего льдистого грунта согласно указаниям
п. 5.2. Устройство подсыпок, используемых в качестве оснований сооружений, следует производить согласно указаниям
п. 3.23.
3.35. При использовании вечномерзлых грунтов в качестве оснований по
принципу II вертикальную планировку допускается осуществлять подсыпками и выемками грунта. Подсыпки надлежит устраивать, как правило, по оттаянному грунту слоя сезонного промерзания-оттаивания.
Уровень планировочных отметок, высоту подсыпок, уклоны водоотводящей сети следует принимать с учетом расчетных осадок грунтов при оттаивании. В необходимых случаях (сильнольдистые или заторфованные грунты, неравномерная льдистость грунтов) следует осуществлять частичное оттаивание или замену грунтов верхнего льдистого слоя.
При высоком уровне подземных вод необходимо предусматривать меры по предотвращению обводнения заглубленных подвалов или технических этажей здания: поднятие уровня планировочных отметок, устройство дренажа, противофильтрационные завесы и т.п.
3.36. В составе мероприятий по инженерной подготовке территории должны быть предусмотрены природоохранные мероприятия, направленные на восстановление нарушенных в процессе строительства природных условий, в том числе мероприятия по рекультивации и восстановлению почвенно-растительного слоя, засыпке выемок, траншей и карьеров, выполаживанию и одернованию склонов и откосов, а также по предупреждению развития эрозии, термокарста и процессов размыва грунта.
3.37. Для обеспечения устойчивости и эксплуатационной пригодности зданий и сооружений при прокладке наружных сетей систем водоснабжения, канализации, теплоснабжения следует предусматривать, как правило, тот же принцип использования вечномерзлых грунтов в качестве оснований, который принят для зданий и сооружений, размещаемых на данной территории застройки. Применение различных принципов допускается при условии прокладки сетей, как правило, в каналах на таком расстоянии от зданий и сооружений, при котором не произойдет изменения расчетных температур оснований зданий и сооружений, или при применении других мер, предусмотренных
п. 3.5.
Вводы и выпуски инженерных сетей в зданиях или сооружениях и прокладку этих сетей в подпольях и технических этажах следует осуществлять по принципу использования вечномерзлых грунтов, принятому для данного здания или сооружения. Конструкция вводов и выпусков должна быть такой, чтобы при использовании вечномерзлых грунтов в качестве основания по
принципу I исключалась возможность местного оттаивания грунтов или повышения (против установленной в проекте) их расчетной температуры, а при использовании грунтов в качестве основания по
принципу II - ускоренного местного оттаивания и, как следствие, увеличенной неравномерности деформации основания фундаментов.
4. РАСЧЕТ ОСНОВАНИЙ И ФУНДАМЕНТОВ
ОБЩИЕ УКАЗАНИЯ
4.1. При проектировании оснований и фундаментов сооружений, возводимых на вечномерзлых грунтах, следует выполнять теплотехнические расчеты основания и расчеты основания и фундаментов на силовые воздействия. В расчетах основания и фундаментов надлежит учитывать принцип использования вечномерзлых грунтов в качестве основания, тепловое и механическое взаимодействие сооружения и основания.
4.2. Основания и фундаменты следует рассчитывать по двум группам предельных состояний: по первой - по несущей способности, по второй - по деформациям (осадкам, прогибам и пр.), затрудняющим нормальную эксплуатацию конструкций сооружения или снижающим их долговечность, а элементы железобетонных конструкций - и по трещиностойкости.
При расчете по предельным состояниям несущую способность основания и его ожидаемые деформации следует устанавливать с учетом температурного режима грунтов основания, а при
принципе I - также с учетом продолжительности действия нагрузок и реологических свойств грунтов.
4.3. Расчет оснований следует производить:
а) при использовании вечномерзлых грунтов по
принципу I: по несущей способности - для твердомерзлых грунтов; по несущей способности и деформациям - для пластичномерзлых и сильнольдистых грунтов, а также подземных льдов;
б) при использовании вечномерзлых грунтов по
принципу II: по несущей способности - в случаях, предусмотренных
СНиП 2.02.01-83; по деформациям - во всех случаях, при этом для оснований, оттаивающих в процессе эксплуатации сооружения, расчет по деформациям надлежит производить из условия совместной работы основания и сооружения (фундаментов).
Расчет оснований по деформациям следует производить на основные сочетания нагрузок и воздействий; расчет по несущей способности - на основные и особые сочетания нагрузок и воздействий.
При использовании вечномерзлых грунтов по
принципу I, если грунты основания находятся в твердомерзлом состоянии, а также в случаях, предусматриваемых
СНиП 2.02.01-83, нагрузки и воздействия на основание допускается назначать без учета их перераспределения надфундаментными конструкциями сооружения.
При использовании вечномерзлых грунтов в качестве основания по
принципу II нагрузки на основание следует определять, как правило, с учетом совместной работы основания и сооружения.
4.5. Нагрузки и воздействия, которые по
СНиП 2.01.07-85 могут относиться как к длительным, так и к кратковременным, при расчете мерзлых оснований по несущей способности должны относиться к кратковременным, а при расчете оснований по деформациям - к длительным.
Воздействия, вызванные осадками грунтов при предусмотренном в проекте оттаивании их в процессе эксплуатации сооружения, следует относить к длительным; воздействия, связанные с возможным протаиванием и просадками грунтов при нарушениях эксплуатационного режима сооружения, - к особым.
РАСЧЕТ ОСНОВАНИЙ И ФУНДАМЕНТОВ ПРИ ИСПОЛЬЗОВАНИИ
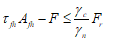
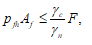
4.6. Расчет оснований фундаментов по первой группе предельных состояний (по несущей способности) производится исходя из условия

, (2)
где F - расчетная нагрузка на основание;

- несущая способность (сила предельного сопротивления) основания, определяемая расчетом
(п. 4.7), а для оснований свайных фундаментов - расчетом или по данным полевых испытаний свай
(п. 4.16);

- коэффициент надежности по назначению сооружения, принимаемый в соответствии с требованиями
СНиП 2.02.01-83 в зависимости от вида и класса ответственности сооружения, а для оснований опор мостов - согласно
СНиП 2.05.03-84 и указаниям
п. 9.13 настоящих норм.
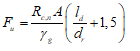
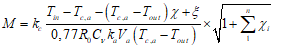
4.7. Несущая способность основания

, кН (кгс), вертикально нагруженной висячей сваи или столбчатого фундамента определяется по формуле

, (3)
где

- температурный коэффициент, учитывающий изменение температуры грунтов основания в период строительства и эксплуатации сооружения, определяемый по указаниям
п. 4.10;

- коэффициент условий работы основания, принимаемый по указаниям
п. 4.9;
R - расчетное давление на мерзлый грунт под нижним концом сваи или под подошвой столбчатого фундамента, кПа (кгс/см2), определяемое согласно указаниям
п. 4.8;
А - площадь подошвы столбчатого фундамента или площадь опирания сваи на грунт, м2 (см2), принимаемая для сплошных свай равной площади их поперечного сечения (или площади уширения), для полых свай, погруженных с открытым нижним концом, - площади поперечного сечения сваи брутто при заполнении ее полости цементно-песчаным раствором или грунтом на высоту не менее трех диаметров сваи;

- расчетное сопротивление мерзлого грунта или грунтового раствора сдвигу по боковой поверхности смерзания фундамента в пределах i-го слоя грунта, кПа (кгс/см2), определяемое согласно указаниям
п. 4.8;

- площадь поверхности смерзания i-го слоя грунта с боковой поверхностью сваи, а для столбчатого фундамента - площадь поверхности смерзания грунта с нижней ступенью фундамента, м2 (см2);
n - число выделенных при расчете слоев вечномерзлого грунта.
При однородных по составу вечномерзлых грунтах несущую способность основания висячей сваи допускается определять по формуле

, (4)
где

- расчетное сопротивление мерзлого грунта сдвигу на поверхности смерзания, кПа (кгс/см2), при средней по длине сваи (эквивалентной) температуре вечномерзлого грунта
(п. 4.12);

- площадь смерзания сваи с вечномерзлым грунтом, м2 (см2).
Примечания. 1. При расчете несущей способности основания столбчатого фундамента силы смерзания грунта, определяемые вторым слагаемым
формулы (3), учитываются только при условии выполнения обратной засыпки пазух котлована влажным грунтом, что должно быть отмечено в проекте.
2. В случаях, когда слой сезонного промерзания-оттаивания не сливается с вечномерзлым грунтом, несущую способность свай в пределах немерзлого слоя грунта допускается учитывать по
СНиП 2.02.03-85. При этом должны быть предусмотрены меры по стабилизации верхней поверхности вечномерзлого грунта.
4.8. Расчетное давление на мерзлый грунт под подошвой фундамента R и расчетные сопротивления мерзлого грунта или грунтового раствора сдвигу по поверхности смерзания фундамента

устанавливаются по данным испытаний грунтов, проводимых в соответствии с ГОСТ 24586-81, с учетом коэффициента надежности по грунту

, принимаемому согласно указаниям
п. 2.8, и расчетных температур грунта основания

,

и

, определяемых теплотехническим расчетом по указаниям
п. 4.12.
По результатам испытаний грунтов шариковым штампом или на одноосное сжатие расчетные значения R, кПа (кгс/см2), вычисляются по формуле

, (5)
где

- нормативное значение предельно длительного сцепления, кПа (кгс/см2), принимаемое равным:

при испытаниях грунтов шариковым штампом и

- при испытаниях на одноосное сжатие, где

и

- соответственно предельно длительное эквивалентное сцепление и сопротивление грунта одноосному сжатию;

- расчетное значение удельного веса грунта, кН/м3 (кгс/см3);
d - глубина заложения фундамента, м (см).
В случаях, предусмотренных
п. 2.9, расчетные значения R и

допускается принимать по таблицам рекомендуемого
Приложения 2.
При расчетах несущей способности оснований значения R следует принимать: для свайных фундаментов - при расчетной температуре грунта

на глубине z, равной глубине погружения сваи; для столбчатых фундаментов - при расчетной температуре грунта

на глубине заложения подошвы фундамента.
Расчетные сопротивления сдвигу

следует принимать: для свайных фундаментов - при температуре грунта

на глубине середины i-го слоя грунта; для столбчатых фундаментов - при температуре грунта

на глубине, соответствующей середине нижней ступени фундамента.
При расчетах по
формуле (4) значения

принимается при средней (эквивалентной) температуре грунта
(п. 4.12).
Для буроопускных свай расчетное сопротивление сдвигу необходимо принимать наименьшим из значений сдвига по поверхности смерзания сваи

и сдвига по грунту или буровому раствору

; для буронабивных свай - по значению

. При расчете несущей способности комбинированных свай (дерево-металлических, сборно-монолитных и др.) значения

следует принимать с учетом неодинаковой прочности смерзания с грунтом их различных элементов в соответствии с указаниями рекомендуемого
Приложения 2.
Для свай, опираемых на песчано-щебеночную подушку высотой не менее трех диаметров скважины, расчетное значение R допускается принимать для грунта подушки, а значение А - равным площади забоя скважины. При опирании свай на льдистые грунты с льдистостью

расчетные значения R следует принимать с понижающим коэффициентом

.
Для кратковременных нагрузок с временем действия t, равным или меньшим продолжительности перерывов между ними, расчетные значения R и

допускается принимать с повышающим коэффициентом

(кроме опор мостов) в соответствии с данными табл. 2.
Таблица 2
──────────────────────────────┬────┬────┬────┬────┬────┬────┬─────
Время действия нагрузки t, ч │ 0,1│0,25│0,5 │ 1 │ 2 │ 8 │ 24
──────────────────────────────┼────┼────┼────┼────┼────┼────┼─────
Коэффициент n │ 1,7│1,5 │1,35│1,25│1,2 │1,1 │1,05
t │ │ │ │ │ │ │
──────────────────────────────┴────┴────┴────┴────┴────┴────┴─────
4.9. Коэффициент условий работы основания

принимается по табл. 3 в зависимости от вида и способов устройства фундаментов (кроме опор мостов).
───────────────────────────────────────────────┬──────────────────
Виды фундаментов и способы их устройства │Коэффициент гамма
│ с
───────────────────────────────────────────────┼──────────────────
Столбчатые и другие виды фундаментов на естест-│ 1,0
венном основании │
То же на подсыпках │ 0,9
Буроопускные сваи с применением грунтовых │ 1,1
растворов, превышающих по прочности смерзания │
вмещающие грунты │
То же при равномерной прочности грунтовых │ 1,0
растворов и вмещающего грунта │
Опускные и буронабивные сваи │ 1,0
Бурозабивные сваи при диаметре лидерных скважин│ 1,0
менее 0,8 диаметра свай │
То же при большем диаметре лидерных скважин │ 0,9
───────────────────────────────────────────────┴──────────────────
Значения коэффициента

, приведенные в
табл. 3, допускается увеличивать пропорционально отношению полной нагрузки на фундамент к сумме постоянных и длительных временных нагрузок, но не более чем в 1,2 раза, если расчетные значения деформаций основания при этом не будут превышать предельно допустимых значений.
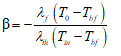
4.10. Температурный коэффициент

, учитывающий температурные условия работы основания, устанавливается расчетом в зависимости от состояния и температуры грунтов основания до загружения фундаментов и их изменения в процессе эксплуатации сооружения. Значения

допускается принимать равными:
а)

= 1,1, если расчетная среднегодовая температура вечномерзлых грунтов
(п. 8 обязательного Приложения 3) соответствует твердомерзлому состоянию грунта и не выше расчетной среднегодовой температуры на верхней поверхности вечномерзлого грунта
(п. 4.13), устанавливающейся в основании сооружения в процессе его эксплуатации;
б)

= 1,0, если расчетная среднегодовая температура вечномерзлых грунтов

соответствует пластичномерзлому состоянию грунта и выше значения температуры

, устанавливающейся в процессе эксплуатации сооружения.
При расчетах оснований трубопроводов, линий электропередач и других линейных сооружений коэффициент

следует принимать равным 0,8.
4.11. Передача на фундаменты проектных нагрузок допускается, как правило, при температуре грунтов в основании сооружения не выше установленных на эксплуатационный период расчетных значений. В необходимых случаях следует предусматривать мероприятия по предварительному (до загружения фундаментов) охлаждению пластичномерзлых грунтов
(п. 3.14) до установленных расчетом значений температуры.
При соответствующем обосновании расчетом основания по деформациям допускается загружать фундаменты при температурах грунта выше расчетных, но не выше значений:

°С - для песчаных и крупнообломочных грунтов и

°С - для пылевато-глинистых, где

- температура начала замерзания грунта
(п. 5 обязательного Приложения 1). Несущая способность основания

в этом случае должна определяться при расчетных температурах грунта, устанавливаемых без учета теплового влияния сооружения по
формуле (10), принимая коэффициент

по расчету, но не более 1,2.
4.12. Расчетные температуры грунтов

,

и

определяются расчетом теплового взаимодействия сооружения с вечномерзлыми грунтами основания в периодически установившемся тепловом режиме с учетом переменных в годовом периоде условий теплообмена на поверхности, формы и размеров сооружения, глубины заложения и расположения фундаментов в плане, а также теплового режима сооружения и принятых способов и средств сохранения мерзлого состояния грунтов основания.
При расчетах вечномерзлых оснований по несущей способности и деформациям расчетные температуры грунтов

,

и

следует принимать равными:

- максимальной в годовом периоде температуре грунта в установившемся эксплуатационном режиме на глубине заложения фундамента

, отсчитываемой от верхней поверхности вечномерзлого грунта;

- максимальной в годовом периоде средней по глубине заложения фундамента

температуре вечномерзлого грунта в установившемся эксплуатационном режиме (эквивалентная температура грунта);

- температура вечномерзлого грунта на данной глубине z от его верхней поверхности, принимаемой на момент установления температуры

.
4.13. Для оснований свайных, столбчатых и других видов фундаментов сооружений с холодным (вентилируемым) подпольем, опор трубопроводов, линий электропередач, антенно-мачтовых сооружений, кроме оснований опор мостов, расчетные температуры грунтов

,

и

допускается определять по формулам:
для оснований сооружений с холодным подпольем
под серединой сооружения

; (6)
под краем сооружения

; (7)
под углами сооружения

; (8)
для оснований опор линий электропередач,
антенно-мачтовых сооружений и трубопроводов

, (9)
где

- расчетная среднегодовая температура на верхней поверхности вечномерзлого грунта в основании сооружения, °С, определяемая согласно обязательному
Приложению 4;

- температура начала замерзания грунта, °С, определяемая согласно обязательному
Приложению 1;

- расчетная среднегодовая температура грунта, °С, определяемая согласно обязательному
Приложению 3;

,

и

- коэффициенты сезонного изменения температуры грунтов основания, принимаемые по
табл. 4 в зависимости от значения параметра

,

, где z - глубина от поверхности вечномерзлого грунта, м;

- объемная теплоемкость, Дж/(м3 x °С) [ккал/(м3 x °С), и

- теплопроводность мерзлого грунта, Вт/(м x °С) [ккал/(м x ч x °С)], определяемые согласно обязательному
Приложению 1;

,

и

- коэффициенты теплового влияния сооружения, принимаемые по
табл. 5 в зависимости от отношений z/В и L/В, L и В - соответственно длина и ширина сооружения, м;

- коэффициент теплового влияния изменения поверхностных условий при возведении фундаментов линейных сооружений, принимаемый по
табл. 6 в зависимости от вида и глубины заложения фундаментов z, м.
───────┬──────────────────────────────────────────────────────────────────
Коэффи-│ __________ 0,5 0,5
циенты │ Значение z \/c /лямбда , c (ч )
│ f f
├───┬──────┬──────┬──────┬──────┬──────┬──────┬──────┬──────┬──────
│ 0 │ 1000 │ 2000 │ 3000 │ 4000 │ 6000 │ 8000 │10000 │15000 │20000
│(0)│ (25) │ (50) │ (75) │ (100)│ (125)│ (150)│(175) │(250) │(300)
───────┼───┼──────┼──────┼──────┼──────┼──────┼──────┼──────┼──────┼──────
альфа │ 0 │ 0,28 │ 0,47 │ 0,61 │ 0,71 │ 0,85 │ 0,92 │ 0,96 │ 0,99 │ 1,00
m │(0)│(0,38)│(0,61)│(0,76)│(0,85)│(0,91)│(0,94)│(0,96)│(0,99)│(1,00)
───────┼───┼──────┼──────┼──────┼──────┼──────┼──────┼──────┼──────┼──────
альфа │ 0 │ 0,30 │ 0,52 │ 0,67 │ 0,80 │ 0,95 │ 1,02 │ 1,03 │ 1,01 │ 1,00
z │(0)│(0,40)│(0,67)│(0,85)│(0,95)│(1,01)│(1,03)│(1,03)│(1,01)│(1,00)
───────┼───┼──────┼──────┼──────┼──────┼──────┼──────┼──────┼──────┼──────
альфа │ 0 │ 0,14 │ 0,26 │ 0,38 │ 0,47 │ 0,61 │ 0,70 │ 0,77 │ 0,85 │ 0,90
e │(0)│(0,21)│(0,38)│(0,51)│(0,61)│(0,68)│(0,74)│(0,78)│(0,85)│(0,88)
───────┴───┴──────┴──────┴──────┴──────┴──────┴──────┴──────┴──────┴──────
──────┬────┬───────────────────────────────────────────────────────────
Форма │L/B │ Коэффициенты k для определения T , T , T
соору-│ │ m z e
жения │ ├───────────────────┬───────────────────┬───────────────────
в │ │ k при z/B │ k при z/B │ k при z/B
плане │ │ 1 │ 2 │ 3
│ ├────┬────┬────┬────┼────┬────┬────┬────┼────┬────┬────┬────
│ │0,25│0,5 │1,0 │2,0 │0,25│0,5 │1,0 │2,0 │0,25│0,5 │1,0 │2,0
──────┼────┼────┼────┼────┼────┼────┼────┼────┼────┼────┼────┼────┼────
Прямо-│ 1 │0,41│0,67│0,87│0,96│0,17│0,28│0,39│0,47│0,06│0,10│0,17│0,22
уголь-│ │----│----│----│----│----│----│----│----│----│----│----│----
ная │ │0,21│0,38│0,57│0,75│0,09│0,16│0,25│0,34│0,03│0,05│0,09│0,14
│ │ │ │ │ │ │ │ │ │ │ │ │
│ 2 │0,33│0,56│0,80│0,93│0,15│0,26│0,37│0,45│0,04│0,08│0,14│0,20
│ │----│----│----│----│----│----│----│----│----│----│----│----
│ │0,17│0,31│0,50│0,68│0,08│0,14│0,23│0,32│0,02│0,04│0,08│0,12
│ │ │ │ │ │ │ │ │ │ │ │ │
│ 3 │0,32│0,53│0,76│0,91│0,15│0,25│0,36│0,44│0,04│0,08│0,13│0,19
│ │----│----│----│----│----│----│----│----│----│----│----│----
│ │0,16│0,30│0,47│0,65│0,08│0,14│0,22│0,31│0,02│0,04│0,07│0,12
│ │ │ │ │ │ │ │ │ │ │ │ │
│>= 5│0,29│0,50│0,71│0,84│0,15│0,25│0,35│0,42│0,03│0,07│0,12│0,18
│ │----│----│----│----│----│----│----│----│----│----│----│----
│ │0,15│0,27│0,44│0,62│0,07│0,14│0,22│0,30│0,02│0,04│0,07│0,11
│ │ │ │ │ │ │ │ │ │ │ │ │
Круг- │ - │0,45│0,71│0,89│0,97│0,22│0,32│0,40│0,45│ - │ - │ - │ -
лая │ │----│----│----│----│----│----│----│----│ │ │ │
│ │0,23│0,41│0,62│0,78│0,13│0,20│0,28│0,36│ │ │ │
Примечания. 1. В числителе указаны значения коэффициентов k
для температур T и T , в знаменателе - для температуры T .
m z e
2. При z/B = 0 коэффициенты k , k и k следует принимать
1 2 3
равными 0.
───────────────────────────────────────────────────────────────────────
────────────────────────────────────────┬──────────────────────────
Виды фундаментов │ Коэффициент k при z, м
│ ts
├────────┬────────┬───────
│ до 2 │ от 2 │ св. 6
│ │ до 6 │
────────────────────────────────────────┼────────┼────────┼───────
Массивные и свайные с ростверком, │ 0,7 │ 0,9 │ 1,0
заглубленным в грунт │ │ │
Свайные с высоким ростверком и │ 0,9 │ 1,0 │ 1,0
сборные под опоры рамно-стоечного типа │ │ │
────────────────────────────────────────┴────────┴────────┴───────
4.14. Расчетные температуры вечномерзлых грунтов основания без учета теплового влияния сооружения определяются по формуле

, (10)
4.15. Расчетные температуры грунтов оснований фундаментов, охлаждаемых системой вентилируемых труб, каналов или полостей в фундаментах
(п. 3.12), следует определять из совместного теплотехнического расчета основания и параметров системы охлаждения исходя из условия:

, (11)
где

- расчетная среднегодовая температура на верхней поверхности вечномерзлого грунта в основании сооружения, отвечающая проектному положению границы сезонного оттаивания грунтов, включая грунты подсыпки.
При равномерном расположении охлаждающих труб или каналов под всей площадью сооружения расчетные температуры грунтов в его основании

,

и

допускается определять как для сооружений с холодным подпольем
(п. 4.13) при среднем по площади сооружения значении температуры

.
4.16. Несущая способность основания одиночной сваи

по результатам полевых испытаний свай статической вдавливающей нагрузкой определятся по формуле

, (12)
где k - коэффициент, учитывающий различие в условиях работы опытной и проектируемых свай и определяемый по формуле

, (13)
здесь

и

- значения несущей способности соответственно проектируемой и опытной свай, рассчитанные по
формулам (3) или
(4) по значениям R и

, принимаемым по таблицам рекомендуемого
Приложения 2: для проектируемой сваи - при расчетных температурах грунта, устанавливаемых согласно указаниям
пп. 4.8 и
4.12, а для опытной сваи - при температурах, измеренных при испытании;

- нормативное значение предельно длительного сопротивления основания опытной сваи статической нагрузке, определяемое по данным испытания сваи в соответствии с ГОСТ 24546-81 с учетом требований
ГОСТ 20522-75;

- коэффициент надежности по грунту, принимаемый равным 1,1.
4.17. Несущую способность основания столбчатого фундамента, нагруженного внецентренно сжимающей нагрузкой, допускается определять в соответствии с требованиями
СНиП 2.02.01-83. При этом эксцентриситеты приложения равнодействующей всех нагрузок на уровне подошвы фундамента следует определять с учетом смерзания грунта с боковой поверхностью нижней ступени фундамента по формулам:

; (14)

, (15)
где

и

- соответственно эксцентриситеты приложения равнодействующей всех нагрузок относительно осей прямоугольной подошвы фундамента со сторонами l и b, м (см);

и

соответственно моменты внешних сил от расчетных нагрузок относительно тех же осей, кН x м (кгс x см);
F - расчетная вертикальная нагрузка, кН (кгс), от сооружения на основание, включая вес фундамента и грунта, лежащего на его уступах;

- часть момента внешних сил, кН x м (кгс x см), воспринимаемая касательными силами смерзания вечномерзлого грунта с боковыми поверхностями нижней ступени фундамента высотой

и вычисляемая по формуле

, (16)

- расчетное сопротивление мерзлого грунта сдвигу, кПа (кгс/см2), принимаемое по
п. 4.8.
При эксцентриситете нагрузки относительно одной оси фундамента (

= 0) допускается

, кН x м (кгс x см), определять по формуле

, (17)
где l - сторона подошвы фундамента, параллельная плоскости действия момента, м (см).
Для мерзлых пылевато-глинистых грунтов, а также для мелких и пылеватых песков допускается принимать угол внутреннего трения

= 0 и определять несущую способность основания

, кН (кгс), при внецентренной вертикальной нагрузке по формуле

, (18)
где R - расчетное давление на мерзлый грунт, кПа (кгс/см2), принимаемое по указаниям
п. 4.8;
q - пригрузка со стороны возможного выпора грунта, кПа (кгс/см2) за вычетом давления от веса грунта на глубине 2,5 м, принимаемого равным 50 кПа (0,5 кгс/см2);
l' и b' - приведенные размеры сторон прямоугольного фундамента, м (см), определяемые по формулам:

; (19)

. (20)
4.18. Расчет свайных фундаментов на действие горизонтальных нагрузок и изгибающих моментов следует производить из условия совместной работы сваи и основания с учетом мерзлотно-грунтовых условий в соответствии с рекомендуемым
Приложением 6.
4.19. Расчет фундаментов, воспринимающих значительные горизонтальные усилия, следует производить на плоский сдвиг в соответствии с требованиями
СНиП 2.02.01-83.
4.20. Расчет оснований по второй группе предельных состояний (по деформациям) производится исходя из условия

, (21)
где

- деформация пластичномерзлого основания под нагрузкой от сооружения, определяемая согласно указаниям пп. 4.21 и
4.22;

- предельно допустимая деформация основания сооружения за расчетный срок его эксплуатации.
4.21. Осадки оснований фундаментов, возводимых на пластичномерзлых грунтах, следует определять:
а) для столбчатых фундаментов - в соответствии с указаниями
СНиП 2.02.01-83, применяя расчетную схему в виде линейно-деформируемого полупространства или линейно-деформируемого слоя конечной толщины с учетом указаний
п. 4.22;
б) для свайных фундаментов - по данным полевых испытаний свай статической вдавливающей нагрузкой, а для кустов свай согласно указаниям
СНиП 2.02.03-85 с определением осадок условного фундамента по схеме линейно-деформируемого полупространства или линейно-деформируемого слоя конечной толщины.
Расчетные деформационные характеристики пластичномерзлых грунтов (коэффициент сжимаемости

или модуль деформации

) следует принимать по данным компрессионных испытаний в соответствии с ГОСТ 24586-81 при расчетной температуре грунта, устанавливаемой по
формуле (10).
4.22. Осадки оснований, сложенных сильнольдистыми грунтами и подземными льдами, а также в случаях загружения фундаментов при температуре грунтов основания выше расчетных значений, принятых для установившегося эксплуатационного режима
(п. 4.11), следует определять с учетом изменения деформационных характеристик грунтов в зависимости от температуры и времени, а также развития пластических деформаций льда, согласно указаниям
п. 5.8 и рекомендуемого
Приложения 7.
РАСЧЕТ ОСНОВАНИЙ И ФУНДАМЕНТОВ ПРИ ИСПОЛЬЗОВАНИИ
4.23. Расчет оснований и фундаментов по первой группе предельных состояний (по несущей способности) надлежит производить в соответствии с требованиями
СНиП 2.02.01-83, для свайных фундаментов - в соответствии с требованиями
СНиП 2.02.03-85, с учетом указаний
пп. 4.37 -
4.39.
4.24. Расчет оснований по второй группе предельных состояний (по деформациям) следует производить, как правило, с учетом совместной работы основания и фундаментов (сооружения). Расчет оснований по деформациям без учета совместной работы основания и сооружения следует производить в случаях, предусмотренных
СНиП 2.02.01-83, а также для выбора принципа использования вечномерзлых грунтов в качестве оснований и необходимых мероприятий для уменьшения деформаций основания.
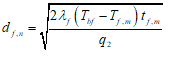
4.25. Расчеты оттаивающих оснований по деформациям необходимо производить в пределах расчетной глубины оттаивания грунтов в основании сооружения за заданный срок его эксплуатации t с учетом развития зоны оттаивания во времени.
Расчетную глубину оттаивания грунтов в основании сооружения следует определять на основании расчета теплового взаимодействия сооружения с вечномерзлым грунтом с учетом формы, размеров и теплового режима сооружения, температуры и теплофизических свойств грунтов основания.
Для простых по форме сооружений с равномерной по площади температурой, в том числе для заглубленных сооружений, расчетную глубину оттаивания грунтов в их основании Н допускается определять по рекомендуемому
Приложению 8.
4.26. Расчет оснований по деформациям без учета совместной работы оттаивающего основания и фундаментов (сооружения) надлежит производить исходя из условия

, (22)
где s - совместная деформация основания и сооружения при оттаивании грунтов в процессе эксплуатации сооружения под воздействием собственного веса грунта и дополнительной нагрузки от сооружения в пределах расчетной глубины оттаивания Н;

- предельно допустимое значение совместной деформации основания и сооружения, устанавливаемое согласно
СНиП 2.02.01-83, а для мостов -
СНиП 2.05.03-84.
4.27. Расчет оснований и фундаментов по деформациям с учетом совместной работы основания и сооружения следует производить исходя из условия

, (23)
где

- расчетные усилия, возникающие в элементах конструкций фундаментов (сооружения) при неравномерных осадках оттаивающего основания;

- предельные значения сопротивления элементов конструкции сооружения, рассчитываемые по нормам проектирования соответствующих конструкций;

- коэффициент условий работы системы "основание-сооружение", принимаемый равным 1,25;

- коэффициент надежности по назначению сооружения, принимаемый равным 1,0; 0,95 и 0,9 соответственно для сооружений I, II и III классов ответственности.
Расчет усилий в элементах фундаментных конструкций и реактивных давлений грунтов следует выполнять, как правило, численными методами на основании уравнений строительной механики с учетом зависимостей реактивных давлений от неравномерных осадок основания. При этом оттаивающее основание допускается рассматривать как линейно-деформируемый слой конечной толщины. Допускается применять другие расчетные схемы, в том числе с использованием вероятностных методов расчета, учитывающих статистическую неоднородность основания. При расчете оснований и фундаментов по деформациям среднее давление на основание под подошвой фундамента от основного сочетания нагрузок не должно превышать расчетного давления на основание R, определяемого в соответствии со
СНиП 2.02.01-83 по расчетным характеристикам оттаивающих грунтов.
4.28. Осадку оттаивающего в процессе эксплуатации сооружения основания следует определять по формуле

, (24)
где

- составляющая осадки основания, обусловленная действием собственного веса оттаивающего грунта, определяемая по указаниям
п. 4.29;

- составляющая осадки основания, обусловленная дополнительным давлением на грунт от действия веса сооружения, определяемая по указаниям
п. 4.31.
4.29. Составляющую осадки основания

, м (см), надлежит определять по формуле

, (25)
где n - число выделенных при расчете слоев грунта;

и

- коэффициент оттаивания, доли единицы, и коэффициент сжимаемости,

(см2/кгс), i-го слоя оттаивающего грунта, принимаемые по экспериментальным данным согласно указаниям
п. 4.30;

- вертикальное напряжение от собственного веса грунта в середине i-го слоя грунта, кПа (кгс/см2), определяемое расчетом для глубины

от уровня планировочных отметок с учетом взвешивающего действия воды;

- толщина i-го слоя оттаивающего грунта, м (см).
Примечание. Взвешивающее действие воды при определении

следует учитывать для водопроницаемых грунтов, залегающих ниже расчетного уровня подземных вод, но выше водоупора.
4.30. Коэффициенты оттаивания

и сжимаемости оттаивающего грунта дельта надлежит устанавливать, как правило, по результатам полевых испытаний мерзлых грунтов горячим штампом по методике ГОСТ 23253-78. Если значения

и

получены по данным лабораторных испытаний грунтов, то расчетные значения их при определении осадок оттаивающего основания следует умножать на поправочный коэффициент

, где

- разность между суммарной льдистостью i-го слоя грунта и льдистостью испытанного образца, взятого из этого слоя. Допускается вводить поправки на неполное смыкание макропор и набухание оттаивающего грунта, если это подтверждено экспериментальными данными.
4.31. Составляющую осадки основания

, м (см), при расчетной схеме в виде линейно-деформируемого слоя конечной толщины следует определять по формуле

, (26)
где

- дополнительное вертикальное давление на основание под подошвой фундамента, кПа (кгс/см2);
b - ширина подошвы фундамента, м (см);

- безразмерный коэффициент, определяемый по
табл. 7 в зависимости от отношения z/b, где z - расстояние от подошвы фундамента до нижней границы зоны оттаивания или кровли непросадочного при оттаивании грунта, м (см);

- коэффициент сжимаемости i-го слоя грунта,

(см2/кгс);

- коэффициент, определяемый по
табл. 7 в зависимости от отношения z/b, где z - расстояние от подошвы фундамента до середины i-го слоя грунта, м (см);

и

- коэффициенты, определяемые по
табл. 8 в зависимости от отношений l/b,

и

, где

и

- расстояние от подошвы фундамента соответственно до подошвы и кровли i-го слоя грунта, м (см).
───────────┬────┬─────────────────────────────────────────────────
z/b │ k │ Коэффициент k для грунтов
│ h │ мю,i
│ ├────────────┬────────────┬───────────┬───────────
│ │крупнообло- │ песчаных и │ суглинков │ глин
│ │мочных │ супесей │ │
───────────┼────┼────────────┼────────────┼───────────┼───────────
0 - 0,25│1,35│ 1,35 │ 1,35 │ 1,36 │ 1,55
0,25 - 0,5 │1,25│ 1,33 │ 1,35 │ 1,42 │ 1,79
0,5 - 1,5 │1,15│ 1,31 │ 1,35 │ 1,45 │ 1,96
1,5 - 3,5 │1,10│ 1,29 │ 1,35 │ 1,52 │ 2,15
3,5 - 5,0 │1,05│ 1,29 │ 1,35 │ 1,53 │ 2,22
5,0 │1,00│ 1,28 │ 1,35 │ 1,54 │ 2,28
───────────┴────┴────────────┴────────────┴───────────┴───────────
────────┬─────────────────────────────────────────────────────────
z/b │ Коэффициент k при l/b
├───────┬───────┬───────┬───────┬───────┬───────┬─────────
│ 1 │ 1,4 │ 1,8 │ 2,4 │ 3,2 │ 5 │ 10
────────┼───────┼───────┼───────┼───────┼───────┼───────┼─────────
0 │ 0 │ 0 │ 0 │ 0 │ 0 │ 0 │ 0
0,2 │ 0,100 │ 0,100 │ 0,100 │ 0,100 │ 0,100 │ 0,100 │ 0,104
0,4 │ 0,200 │ 0,200 │ 0,200 │ 0,200 │ 0,200 │ 0,200 │ 0,208
0,6 │ 0,299 │ 0,300 │ 0,300 │ 0,300 │ 0,300 │ 0,300 │ 0,311
0,8 │ 0,380 │ 0,394 │ 0,397 │ 0,397 │ 0,397 │ 0,397 │ 0,412
1,0 │ 0,446 │ 0,472 │ 0,482 │ 0,486 │ 0,486 │ 0,486 │ 0,511
1,2 │ 0,499 │ 0,538 │ 0,556 │ 0,565 │ 0,567 │ 0,567 │ 0,605
1,4 │ 0,542 │ 0,592 │ 0,618 │ 0,635 │ 0,640 │ 0,640 │ 0,687
1,6 │ 0,577 │ 0,637 │ 0,671 │ 0,696 │ 0,707 │ 0,709 │ 0,763
1,8 │ 0,606 │ 0,676 │ 0,717 │ 0,750 │ 0,768 │ 0,772 │ 0,831
2,0 │ 0,630 │ 0,708 │ 0,756 │ 0,796 │ 0,820 │ 0,830 │ 0,892
2,5 │ 0,676 │ 0,769 │ 0,832 │ 0,889 │ 0,928 │ 0,952 │ 1,020
3,0 │ 0,708 │ 0,814 │ 0,887 │ 0,958 │ 1,011 │ 1,056 │ 1,138
3,5 │ 0,732 │ 0,846 │ 0,927 │ 1,016 │ 1,123 │ 1,131 │ 1,230
4,0 │ 0,751 │ 0,872 │ 0,960 │ 1,051 │ 1,128 │ 1,205 │ 1,316
6,0 │ 0,794 │ 0,933 │ 1,037 │ 1,151 │ 1,257 │ 1,384 │ 1,550
10,0 │ 0,830 │ 0,983 │ 1,100 │ 1,236 │ 1,365 │ 1,547 │ 1,696
16,0 │ 0,850 │ 1,011 │ 1,137 │ 1,284 │ 1,430 │ 1,645 │ 2,095
20,0 │ 0,857 │ 1,021 │ 1,149 │ 1,300 │ 1,451 │ 1,679 │ 2,236
────────┴───────┴───────┴───────┴───────┴───────┴───────┴─────────
Примечание. Расчет развития осадок оттаивающего основания во времени следует производить по скорости протаивания грунтов под сооружением, определяемой теплотехническим расчетом.
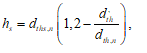
4.32. Осадку основания s при предварительном оттаивании или замене льдистых грунтов до глубины

для уменьшения деформаций основания
(п. 3.25), а также в случаях, когда слой сезонного промерзания-оттаивания не сливается с вечномерзлым грунтом, следует определять по формуле

, (27)
где

- осадка уплотнения предварительно оттаянного, замененного или естественного немерзлого слоя грунта толщиной

под воздействием веса сооружения, определяемая в соответствии со
СНиП 2.02.01-83;

- дополнительная осадка основания при оттаивании вечномерзлых грунтов в процессе эксплуатации сооружения, определяемая по
формуле (24) для интервала глубин d -

, где d - расчетная глубина оттаивания грунта, считая от уровня планировки под зданием, устанавливаемая теплотехническим расчетом по указаниям рекомендуемого
Приложения 8.
Глубину предварительного оттаивания или замены грунтов основания

следует устанавливать исходя из условия

, (28)
где

- предельно допустимая для данного сооружения осадка основания, принимаемая по
п. 4.26.
4.33. Крен фундамента i на оттаивающем основании, вызванный внецентренными нагрузками, неравномерным оттаиванием и неоднородностью грунтов, а также влиянием близко расположенных фундаментов, следует определять по формуле

, (29)
где

и

- осадка краев фундамента;
b - размер фундамента в направлении крена.
4.34. Расчет гибких ленточных фундаментов на оттаивающих в процессе эксплуатации сооружения грунтах надлежит производить с учетом переменной по длине фундамента осадки основания, обусловленной неравномерным оттаиванием грунтов под сооружением. При определении реактивных давлений оттаивающего грунта на подошву фундамента допускается рассматривать оттаивающий грунт как линейно-деформируемое основание, характеризуемое переменным по длине фундамента коэффициентом постели.
4.35. Осадку s свайных фундаментов из висячих свай, погруженных в предварительно оттаянные грунты, в том числе при их локальном оттаивании
(п. 3.26), следует определять как для условного фундамента, границы которого принимаются согласно
СНиП 2.02.03-85. При этом следует учитывать возможность проявления отрицательных (негативных) сил трения по периметру условного фундамента или по поверхности отдельных свай
(п. 4.38), а также воздействие горизонтальных усилий на фундаменты в периферийных частях зоны оттаивания.
4.36. Расчет свай-стоек по несущей способности при опирании их на скальные или другие малосжимаемые при оттаивании грунты следует производить исходя из условия

, (30)
где F - расчетная нагрузка на сваю, кН (кгс);

- несущая способность (сила предельного сопротивления) основания одиночной сваи, кН (кгс), определяемая по указаниям
п. 4.37;

- коэффициент надежности, принимаемый в соответствии с указаниями
СНиП 2.02.03-85 в зависимости от вида сооружения, конструкции фундаментов и принятого способа определения несущей способности свай;

- коэффициент условий работы грунта по боковой поверхности свай в пределах зоны оттаивания, определяемый по опытным данным с учетом способов погружения свай; допускается принимать:

= 1 - для буронабивных и буроопускных свай с цементно-песчаным заполнителем пазух и

= 0,7 - для буроопускных свай с пылевато-глинистым заполнителем пазух;

- отрицательная (негативная) сила трения, кН (кгс), определяемая по указаниям
п. 4.38.
4.37. Несущую способность (силу предельного сопротивления) основания сваи-стойки

, кН (кгс), следует определять по формулам:
для защемленных свай-стоек, заделанных в невыветрелый скальный грунт не менее чем на 0,5 м

; (31)
для незащемленных свай-стоек

, (32)
где

- нормативное значение временного сопротивления грунта под нижним концом сваи одноосному сжатию в оттаявшем водонасыщенном состоянии, кПа (кгс/см2);
А - площадь опирания сваи на грунт, м2 (см2), принимаемая для незащемленных свай-стоек сплошного сечения или полых, нижний конец которых заполнен в пределах высоты трех диаметров бетоном, равной площади поперечного сечения брутто; для защемленных свай-стоек - площади поперечного сечения нижней части (забоя) скважины;

- коэффициент надежности по грунту, принимаемый: для незащемленных свай-стоек равным 1,0, для защемленных - 1,4;

и

- соответственно глубина заделки сваи в скальный грунт и наибольшее поперечное сечение заделанной части сваи, м (см).
4.38. Отрицательную (негативную) силу трения оттаивающего грунта по боковой поверхности сваи

, кН (кгс), следует определять по формуле

, (33)
где

- периметр поперечного сечения сваи, м (см);

- отрицательное трение i-го слоя оттаивающего грунта по боковой поверхности сваи, кПа (кгс/см2), определяемое по опытным данным; допускается принимать расчетные значения

по
табл. 2 СНиП 2.02.03-85;

- толщина i-го слоя оттаивающего грунта.
4.39. Расчет свайных фундаментов по прочности материала свай следует производить в соответствии с требованиями
СНиП 2.02.03-85. Сваи-стойки по прочности материала следует рассчитывать с учетом воспринимаемых ими отрицательных сил трения

.
РАСЧЕТ ОСНОВАНИЙ И ФУНДАМЕНТОВ ПО УСТОЙЧИВОСТИ
И ПРОЧНОСТИ НА ВОЗДЕЙСТВИЕ СИЛ МОРОЗНОГО ПУЧЕНИЯ
4.40. Расчет оснований и фундаментов по устойчивости и прочности на воздействие сил морозного пучения грунтов следует производить как для условий эксплуатации сооружения, так и для условий периода строительства, если до передачи на фундаменты проектных нагрузок возможно промерзание грунтов слоя сезонного оттаивания (промерзания). При необходимости в проекте должны быть предусмотрены мероприятия по предотвращению выпучивания фундаментов в период строительства.
4.41. Устойчивость фундаментов на действие касательных сил морозного пучения грунтов надлежит проверять по условию

, (34)
где

- расчетная удельная касательная сила пучения, кПа (кгс/см2), принимаемая согласно указаниям
п. 4.42;

- площадь боковой поверхности смерзания фундамента в пределах расчетной глубины сезонного промерзания-оттаивания грунта, м2 (см2);
F - расчетная нагрузка на фундамент, кН (кгс), принимаемая с коэффициентом 0,9 по наиболее невыгодному сочетанию нагрузок и воздействий, включая выдергивающие (ветровые, крановые и т.п.);

- расчетное значение силы, удерживающей фундамент от выпучивания, кН (кгс), принимаемое по указаниям
п. 4.43;

- коэффициент условий работы, принимаемый равным 1,0;

- коэффициент надежности по назначению сооружения, принимаемый равным 1,1, а для фундаментов опор мостов - 1,3.
4.42. Расчетную удельную касательную силу морозного пучения

, кПа (кгс/см2), следует определять, как правило, опытным путем. Для сооружений II и III классов ответственности значения

допускается принимать по табл. 9 в зависимости от состава, влажности и глубины сезонного промерзания и оттаивания грунтов

.
Таблица 9
──────────────────────────────────────────┬───────────────────────
Грунты и степень водонасыщения │ Значения тау , кПа
│ fh
│(кгс/см2), при глубине
│сезонного промерзания-
│ оттаивания d , м
│ th
├───────┬───────┬───────
│ 1,0 │ 2,0 │ 3,0
──────────────────────────────────────────┼───────┼───────┼───────
Пылевато-глинистые при показателе │ 130 │ 110 │ 90
текучести I > 0,5, пески мелкие и │ (1,3) │ (1,1) │ (0,9)
L │ │ │
пылеватые при степени влажности S > 0,95 │ │ │
r │ │ │
│ │ │
Пылевато-глинистые при 0,25 < I <= 0,5, │ 100 │ 90 │ 70
L │ (1,0) │ (0,9) │ (0,7)
пески мелкие и пылеватые при │ │ │
0,8 < S <= 0,95, крупнообломочные │ │ │
r │ │ │
с заполнителем (глинистым, мелкопесчаным │ │ │
и пылеватым) свыше 30% │ │ │
│ │ │
Пылевато-глинистые при I <= 0,25, пески │ 80 │ 70 │ 50
L │ (0,8) │ (0,7) │ (0,5)
мелкие и пылеватые при 0,6 < S <= 0,8, │ │ │
r │ │ │
а также крупнообломочные с заполнителем │ │ │
(пылевато-глинистым, мелкопесчаным и │ │ │
пылеватым) от 10% до 30% │ │ │
Примечания. 1. Приведенные в таблице значения тау относятся
fh
к поверхности бетонного фундамента. Для фундаментов из других
материалов табличные значения тау должны умножаться на
fh
коэффициент гамма , значения которого даны в рекомендуемом
af
2. Для поверхностей фундаментов, покрытых специальными
составами, уменьшающими силы смерзания, а также при применении
других противопучинных мероприятий значение тау следует
fh
принимать на основании опытных данных.
──────────────────────────────────────────────────────────────────
4.43. Расчетное значение силы

, кН (кгс), удерживающей фундаменты от выпучивания, следует определять по формулам:
при использовании вечномерзлых грунтов по
принципу I

; (35)

, (36)
где u - периметр сечения поверхности сдвига, м (см), принимаемый равным: для свайных и столбчатых фундаментов без анкерной плиты - периметру сечения фундамента; для столбчатых фундаментов с анкерной плитой - периметру анкерной плиты;

- расчетное сопротивление i-го слоя вечномерзлого грунта сдвигу по поверхности смерзания, кПа (кгс/см2), принимаемое по таблицам рекомендуемого
Приложения 2;

- толщина i-го слоя мерзлого или талого грунта, расположенного ниже подошвы слоя сезонного промерзания-оттаивания, м (см);

- расчетное сопротивление i-го слоя талого грунта сдвигу по поверхности фундамента, кПа (кгс/см2), принимаемое в соответствии с требованиями
СНиП 2.02.03-85.
4.44. Заанкеренный столбчатый фундамент должен быть проверен на отрыв силами морозного пучения стойки фундамента от анкерной плиты. Усиление

, кН (кгс), разрывающее заанкеренный фундамент, определяется по формуле

, (37)
где

- площадь боковой поверхности стойки фундамента, находящейся в пределах слоя сезонного промерзания-оттаивания грунта, м2 (см2).
4.45. Поверхностные и малозаглубленные фундаменты, закладываемые в слое сезонного промерзания-оттаивания грунтов, следует рассчитывать по устойчивости на действие нормальных сил морозного пучения и по деформациям.
Устойчивость фундаментов на действие нормальных сил морозного пучения проверяется по формуле

, (38)
где

- удельное нормальное давление пучения грунта на подошву фундамента, кПа (кгс/см2), устанавливаемое по опытным данным;

- площадь подошвы фундамента, м2 (см2).
Расчет по деформациям следует производить с учетом совместной работы сооружения и неравномерно выпучиваемого основания. При этом возникающие в результате неравномерных поднятий и опусканий фундаментов дополнительные усилия в конструкциях сооружения не должны превышать предельно допустимых значений, а крены и прогибы не препятствовать нормальной эксплуатации сооружения.
5. ОСОБЕННОСТИ ПРОЕКТИРОВАНИЯ ОСНОВАНИЙ И ФУНДАМЕНТОВ
НА СИЛЬНОЛЬДИСТЫХ ВЕЧНОМЕРЗЛЫХ ГРУНТАХ И ПОДЗЕМНЫХ ЛЬДАХ
5.1. При проектировании оснований и фундаментов на сильнольдистых вечномерзлых грунтах и подземных льдах следует предусматривать использование таких грунтов в качестве основания, как правило, по
принципу I. В случаях необходимости использования сильнольдистых грунтов по
принципу II должны обязательно предусматриваться мероприятия по их предварительному оттаиванию или замене льдистых грунтов на непросадочные на расчетную глубину согласно указаниям
пп. 3.26 и
4.32.
5.2. Для предотвращения деформаций поверхности планировки у сооружений и развития термокарста вследствие оттаивания подземных льдов или сильнольдистых грунтов, залегающих на небольшой глубине от поверхности, необходимо предусматривать устройство теплоизоляционной подсыпки в пределах всей застраиваемой площадки. Толщина подсыпки

определяется теплотехническим расчетом из условия сохранения природного положения верхней поверхности вечномерзлого грунта или ее повышения. Для сплошных подсыпок значение

, м, допускается определять по формуле

(39)
где

и

- нормативные глубины сезонного оттаивания соответственно природного грунта и грунта подсыпки, м, определяемые согласно обязательному
Приложению 3;

- допустимая глубина сезонного оттаивания природного грунта под подсыпкой, м.
Требования к материалу подсыпок, способам их укладки и уплотнения устанавливаются в проекте с учетом местных условий и указаний
пп. 3.23 и
3.34.
5.3. Основания фундаментов, закладываемых в пределах толщины подсыпки, следует рассчитывать по несущей способности и деформациям в соответствии с требованиями
СНиП 2.02.01-83. При этом расстояние от цоколя сооружения до бровки подсыпки должно быть не менее 3 м, а крутизна откосов подсыпки не более 1:1,5 для крупнообломочных грунтов, 1:1,75 - для песков и 1:2 - для прочих материалов.
Если столбчатые или ленточные фундаменты устанавливаются на вечномерзлые грунты, содержащие подземные льды, между их подошвой и слоем подземного льда должна быть прослойка природного грунта или искусственно уложенная с уплотнением грунтовая подушка. Толщину этой прослойки (подушки) следует принимать исходя из расчета основания по деформации, но не менее четверти ширины подошвы фундамента.
5.4. При устройстве свайных фундаментов на участках с сильнольдистыми грунтами и подземными льдами следует применять буроопускные сваи с заливкой известково-песчаных или цементно-песчаных растворов с расстоянием в осях не менее двух диаметров скважины. Сваи не должны опираться на прослои льда, а под их торцом следует устраивать уплотненную грунтовую подушку толщиной не менее диаметра сваи.
5.5. Расчет оснований по несущей способности следует производить:
для столбчатых фундаментов на сильнольдистых грунтах и подземных льдах - по указаниям
п. 5.7;
для свайных фундаментов в сильнольдистых грунтах - по указаниям
п. 5.9, а в подземных льдах - по данным полевых испытаний свай статической вдавливающей нагрузкой.
5.6. Расчет оснований по деформациям следует производить:
для столбчатых фундаментов на сильнольдистых грунтах и подземных льдах - по указаниям
п. 5.8;
для свайных фундаментов в сильнольдистых грунтах и подземных льдах - по данным полевых испытаний свай статической вдавливающей нагрузкой.
5.7. Силу предельного сопротивления (несущую способность) основания столбчатого фундамента на сильнольдистых грунтах и подземных льдах следует определять по указаниям
п. 4.7, при этом значения R и

допускается принимать по
таблицам 2 и
3 рекомендуемого Приложения 2.
5.8. Осадку основания столбчатого фундамента на сильнольдистых грунтах и подземных льдах s следует определять по формуле

, (40)
где

- осадка, обусловленная уплотнением основания под нагрузкой, определяемая по указаниям
п. 1 рекомендуемого Приложения 7;

- осадка, обусловленная пластичновязким течением грунта за заданный срок эксплуатации сооружения, определяемая по формуле

, (41)
здесь

- заданный срок эксплуатации здания (сооружения), год;
v - скорость осадки, м/год (см/год), определяемая исходя из модели линейно- или нелинейновязкого полупространства; допускается определять по рекомендуемому
Приложению 7.
5.9. Несущую способность основания свайного фундамента

в сильнольдистых грунтах следует определять, как правило, по данным полевых испытаний свай. Допускается определять несущую способность сваи расчетом в соответствии с указаниями
пп. 4.7 и
4.8 по наименьшему значению

, полученному по условиям ее сопротивления сдвигу по грунтовому раствору и сдвигу грунтового раствора по контакту с льдистым грунтом. В последнем случае значение

, кН (кгс), следует рассчитывать по формуле

(42)
R - расчетное сопротивление сильнольдистого грунта или льда под нижним концом сваи, кПа (кгс/см2), определяемое для сильнольдистых грунтов интерполяцией между значениями R по
табл. 1 и
7 рекомендуемого Приложения 2, а для льдов по
табл. 7 того же Приложения;

- площадь поперечного сечения скважины, м2 (см2);

- льдистость за счет ледяных включений j-го слоя грунта;

;

- расчетные сопротивления сдвигу грунтового раствора по вечномерзлому грунту и грунтового раствора по льду для середины j-го слоя, кПа (кгс/см2), принимаемые соответственно по
табл. 4 и
7 рекомендуемого Приложения 2;

- площадь поверхности сдвига в j-ом слое, определяемая в зависимости от диаметра скважины, м2 (см2).
Если прочность смерзания грунтового раствора с поверхностью сваи

, то расчет несущей способности сваи F по
формуле (42) следует производить при значениях

, принимая площадь поверхности сдвига в j-ом слое грунта

равной площади поверхности сваи в этом слое.
Примечание. В случаях, когда под торцом сваи предусматривается устройство грунтовой подушки, то значение R в
формуле (42) принимается для грунта подушки. При этом предельная нагрузка на торец сваи определяется по
формуле (42), как для сваи, диаметр которой равен диаметру скважины, а длина - толщине подушки.
6. ОСОБЕННОСТИ ПРОЕКТИРОВАНИЯ ОСНОВАНИЙ И ФУНДАМЕНТОВ
НА ЗАСОЛЕННЫХ ВЕЧНОМЕРЗЛЫХ ГРУНТАХ
6.1. Для проектирования фундаментов на засоленных вечномерзлых грунтах материалы изысканий должны содержать данные об условиях залегания засоленных грунтов, степени их засоленности, а также о химическом составе водно-растворимых солей.
Засоленные вечномерзлые грунты могут использоваться в качестве основания сооружений как по
принципу I, так и по
принципу II. При этом должно учитываться повышенное коррозийное воздействие засоленных грунтов на материал фундаментов.
Примечание. Пылеватые грунты морского побережья Севера с преобладанием солей натрий-калиевого состава должны относиться к засоленным при содержании в них растворимых солей от 0,05% и выше.
6.2. Основания и фундаменты на засоленных вечномерзлых грунтах при использовании таких грунтов в качестве основания по принципу I следует проектировать согласно основным указаниям
пп. 3.10 -
3.23 с учетом следующих особенностей:
а) температура начала замерзания засоленных грунтов

ниже температуры замерзания аналогичных видов незасоленных грунтов и ее следует устанавливать опытным путем с учетом указаний обязательного
Приложения 1;
б) переход засоленных грунтов из пластично-мерзлого в твердомерзлое состояние происходит при более низких температурах, чем аналогичных незасоленных грунтов, и должен приниматься по данным опытного определения коэффициента их сжимаемости

с учетом указаний
п. 2.3;
в) засоленные мерзлые грунты отличаются пониженной прочностью и малыми значениями сопротивлений сдвигу по поверхности смерзания с фундаментом;
г) на участках с засоленными грунтами может быть несколько засоленных горизонтов с разной степенью засоленности, а также могут встречаться отдельные слои или линзы насыщенных сильно минерализованными водами грунтов, находящихся в немерзлом состоянии при отрицательной температуре (криопеги), вскрытие которых скважинами при погружении свай приводит к повышенному засолению грунтов по всей длине сваи.
6.3. При строительстве на засоленных грунтах следует применять фундаменты, обеспечивающие наиболее полное использование сопротивления мерзлых грунтов нормальному давлению (столбчатые и ленточные фундаменты, сваи с уширенной пятой и др.). При буроопускном способе погружения свай скважины должны быть диаметром не менее чем на 10 см большим поперечного сечения сваи и заполняться, как правило, известково-песчаным или цементно-песчаным раствором. Под нижним концом сваи следует устраивать уплотненную подушку из щебня.
6.4. Несущую способность оснований столбчатых и свайных фундаментов на засоленных вечномерзлых грунтах при использовании их по
принципу I следует определять согласно указаниям
пп. 4.7 -
4.8. При этом расчетные значения сопротивления грунтов нормальному давлению и сдвигу по поверхности смерзания R

и надлежит принимать, как правило, по опытным данным. Для сооружений III класса ответственности, а также при привязке типовых проектов к местным условиям значения R и

допускается принимать по
табл. 5 и
6 рекомендуемого Приложения 2.
6.5. При расчетах несущей способности оснований буроопускных свай засоленность грунтового раствора и сопротивления сдвигу по поверхности сваи

следует принимать по значениям засоленности прилегающего природного грунта. Если несущая способность буроопускных свай определена по результатам полевых испытаний, то расчетную несущую способность таких свай следует принимать с понижающим коэффициентом, учитывающим изменение степени засоленности грунтового раствора в процессе эксплуатации сооружения, устанавливаемым по опыту местного строительства или по данным специальных исследований.
Примечание. Для опускных и буроопускных свай расчетные значения

допускается принимать при средневзвешенном значении засоленности грунтов по длине сваи.
6.6. Расчет оснований и фундаментов на засоленных вечномерзлых грунтах по деформациям следует производить согласно указаниям
пп. 4.20 -
4.21, как на пластичномерзлых грунтах.
6.7. При расчетных деформациях оснований, сложенных мерзлыми засоленными грунтами, больше предельных или недостаточной несущей способности основания следует предусматривать частичную или полную замену засоленных грунтов на незасоленные, дополнительное понижение температуры грунтов, прорезку засоленных слоев грунта глубокими фундаментами, устройство фундаментов на подсыпках, распределяющих нагрузки на мерзлые грунты оснований, и другие мероприятия, а в необходимых случаях осуществлять строительство с использованием засоленных вечномерзлых грунтов в качестве оснований по
принципу II.
7. ОСОБЕННОСТИ ПРОЕКТИРОВАНИЯ ОСНОВАНИЙ И ФУНДАМЕНТОВ
НА БИОГЕННЫХ ВЕЧНОМЕРЗЛЫХ ГРУНТАХ
7.1. Основания и фундаменты на биогенных вечномерзлых грунтах (заторфованных и торфах), а также на грунтах с примесью органических остатков надлежит проектировать в соответствии с указаниями
разд. 4 и требованиями
СНиП 2.02.01-83 с учетом их большой сжимаемости под нагрузкой, проявлением пластических деформаций в широком диапазоне отрицательных температур, пониженной прочностью смерзания с фундаментами, низкой теплопроводностью и замедленной стабилизацией осадок при оттаивании.
7.2. При использовании биогенных грунтов в качестве оснований по
принципу I следует применять столбчатые и свайные фундаменты, а также малозаглубленные и поверхностные фундаменты на подсыпках. Сваи следует погружать, как правило, буроопускным способом в скважины диаметром на 10 см большим поперечного сечения сваи с заполнением пазух известково-песчаным раствором; опирание свай на прослои торфа не допускается. Под подошвой столбчатых фундаментов следует устраивать песчаную подушку толщиной не менее половины ширины подошвы фундамента. При небольшой толщине покровного торфяного слоя следует предусматривать его удаление.
7.3. Расчет несущей способности оснований столбчатых и свайных фундаментов на биогенных грунтах при их использовании по
принципу I производится согласно указаниям
пп. 4.7 -
4.8. При этом расчетные значения сопротивления этих грунтов нормальному давлению и сдвигу по поверхности смерзания с фундаментом R и

следует принимать, как правило, по опытным данным. Для сооружений III класса ответственности, а также для предварительных расчетов оснований значения R и

допускается принимать по
табл. 8 рекомендуемого Приложения 2.
Основания фундаментов, возводимых на подсыпках, следует рассчитывать по несущей способности грунтов подсыпки с проверкой силы предельного сопротивления основания на уровне поверхности природных биогенных грунтов с учетом расчетной глубины сезонного оттаивания. Если расчетная глубина оттаивания больше толщины подсыпки, то основание должно быть также рассчитано по деформациям.
7.4. Расчет оснований, сложенных биогенными грунтами, по деформациям надлежит производить: столбчатых - по указаниям
пп. 4.20 -
4.21; свайных - по результатам полевых испытаний свай статической вдавливающей нагрузкой.
8. ОСОБЕННОСТИ ПРОЕКТИРОВАНИЯ ОСНОВАНИЙ И ФУНДАМЕНТОВ
НА ВЕЧНОМЕРЗЛЫХ ГРУНТАХ В СЕЙСМИЧЕСКИХ РАЙОНАХ
8.2. Для сейсмических районов с расчетной сейсмичностью 7, 8 и 9 баллов следует предусматривать использование вечномерзлых грунтов в качестве основания, как правило, по
принципу I. При невозможности использования грунтов в качестве основания по
принципу I допускается использование их по
принципу II при условии опирания фундаментов на скальные или другие малосжимаемые при оттаивании грунты или на предварительно оттаянные и уплотненные грунты.
8.3. В сейсмических районах следует применять те же виды свай, что и в несейсмических районах, кроме свай без поперечного армирования. Глубина погружения свай в грунт (исключая сваи-стойки) должна быть не менее 4 м.
8.4. Расчет оснований и фундаментов по несущей способности на вертикальную нагрузку с учетом сейсмических воздействий следует производить согласно указаниям
п. 4.6, при этом силу предельного сопротивления основания надлежит определять с учетом указаний
пп. 8.5 -
8.6, а коэффициент надежности

принимать:
при использовании вечномерзлых грунтов в качестве основания по
принципу I - по указаниям
п. 4.6;
при использовании вечномерзлых грунтов в качестве основания по
принципу II - для фундаментов на естественном основании -

= 1,5, а для свайных - по требованиям
СНиП 2.02.03-85.
8.5. Несущую способность вертикально нагруженной висячей сваи

, а также столбчатого фундамента при использовании вечномерзлых грунтов в качестве основания по
принципу I, с учетом сейсмических воздействий следует определять согласно указаниям
п. 4.7; при этом расчетное сопротивление грунта или грунтового раствора сдвигу по поверхности смерзания с фундаментом

и расчетное давление мерзлого грунта под нижним концом сваи или подошвой столбчатого фундамента R надлежит умножать на коэффициент условий работы основания

, принимаемый по табл. 10.
Таблица 10
──────────────┬───────────────────────────────────────────────────
Расчетная │ Коэффициент условий работы гамма для грунтов
сейсмичность │ eq
в баллах ├───────────────┬──────────────────┬────────────────
│ твердомерзлых │ пластичномерзлых │ сыпучемерзлых
──────────────┼───────────────┼──────────────────┼────────────────
7 │ 1,0 │ 0,9 │ 0,95
8 │ 1,0 │ 0,8 │ 0,9
9 │ 1,0 │ 0,7 │ 0,8
Примечания. 1. Значения коэффициентов гамма следует
eq
умножать на 0,85; 1,0; 1,15 для сооружений, возводимых в районах
с повторяемостью землетрясений 1, 2, 3 соответственно.
2. При опирании свай-стоек на скальные или несжимаемые
крупноблочные грунты значение коэффициента гамма принимается
eq
равным 1,0.
──────────────────────────────────────────────────────────────────
Для свай в пластичномерзлых грунтах значение

следует принимать равным нулю в пределах от верхней границы вечномерзлых грунтов до расчетной глубины

, м (см), определяемой по формуле

, (43)
где

- коэффициент деформации системы "свая-грунт", определяемый по результатам испытаний в соответствии с п. 8.6.
8.6. Расчет свай по прочности материала на совместное действие расчетных усилий (продольной силы, изгибающего момента и поперечной силы) при использовании вечномерзлых оснований по
принципу I следует производить в зависимости от расчетных значений сейсмических нагрузок в соответствии с требованиями
СНиП 2.02.03-85 с учетом указаний
п. 4.18. При этом для свай в пластично-мерзлых грунтах коэффициент деформации системы "свая-грунт"

,

(

), следует определять по результатам испытаний свай статической горизонтальной нагрузкой по формуле

, (44)
где

- горизонтальная нагрузка, кН (кгс), принимаемая равной 0,7

;
здесь

- горизонтальная предельная нагрузка, кН (кгс), в уровне поверхности грунта, при которой перемещение испытуемой сваи начинает возрастать без увеличения нагрузки;

- горизонтальное перемещение сваи в уровне поверхности грунта, м (см), определяемое по графику зависимости горизонтальных перемещений от нагрузки при условной стабилизации перемещений, если расчет ведется на статические нагрузки, и без условной стабилизации перемещений, если расчет ведется на сейсмические воздействия;

- модуль упругости материала свай, кПа (кгс/см2);
I - момент инерции сечения сваи, м4 (см4).
8.7. Проверку основания столбчатого фундамента на горизонтальную и внецентренно сжимающую нагрузки с учетом сейсмических воздействий при использовании вечномерзлых грунтов в качестве основания по
принципу I следует производить на опрокидывание и сдвиг по подошве фундамента с учетом указаний
п. 4.17.
При действии сейсмических нагрузок, создающих моменты сил в обоих направлениях подошвы фундамента, расчет основания надлежит производить раздельно на действие сил и моментов в каждом направлении независимо друг от друга.
8.8. Расчет оснований и фундаментов с учетом сейсмических воздействий при использовании вечномерзлых грунтов по
принципу II необходимо производить в соответствии с требованиями
СНиП 2.02.01-83,
СНиП 2.02.03-85 и указаниями
пп. 4.23 -
4.37 по расчету оттаивающих оснований. При этом отрицательные (негативные) силы трения, вызванные осадкой оттаивающих грунтов, в расчетах оснований на сейсмические воздействия не учитываются, если оттаивающее основание сложено песчаными и крупнообломочными грунтами, осадки которых завершаются в процессе их оттаивания.
9. ОСОБЕННОСТИ ПРОЕКТИРОВАНИЯ ОСНОВАНИЙ И ФУНДАМЕНТОВ
МОСТОВ И ТРУБ ПОД НАСЫПЯМИ
9.1. Основания и фундаменты мостов и труб под насыпями (труб), возводимых на территориях распространения вечномерзлых грунтов, следует проектировать с учетом дополнительных требований, содержащихся в настоящем разделе.
9.2. В проектах фундаментов мостов и труб необходимо дополнительно (по сравнению с фундаментами зданий) учитывать влияние следующих факторов:
воздействие на сооружения, кроме вертикальных, значительных горизонтальных сил от временных подвижных нагрузок, давлений грунта и льда;
уменьшение несущей способности оснований вследствие размывов дна водотока или отепляющего воздействия воды на вечномерзлые грунты;
возрастание сил морозного пучения грунтов из-за повышенной их влажности вблизи водотоков и уменьшение этих сил при увеличении толщины снегового покрова;
нарушение устойчивости береговых склонов вследствие проявления оползневых процессов;
появление наледи в пределах сооружений.
9.3. Нагрузки и воздействия на фундаменты мостов и труб следует принимать в соответствии с требованиями
СНиП 2.05.03-84.
9.4. В основаниях фундаментов мостов вечномерзлые грунты следует использовать преимущественно по
принципу I, если на уровне низа свайных элементов (свай-столбов, свай-оболочек) в течение всего периода эксплуатации сооружений грунты будут находиться в твердомерзлом состоянии. Допускается использовать по
принципу I пластичномерзлые грунты, включая засоленные, при условии, что в течение всего периода эксплуатации сооружений будет обеспечена их отрицательная температура, требуемая по расчету несущей способности оснований.
Возможность использования вечномерзлых грунтов в качестве оснований по
принципу II для фундаментов мелкого заложения и свайных должна определяться исходя из общих требований
пп. 3.3, 3.4 и
3.6.
9.5. Прогноз изменений температурного режима вечномерзлых грунтов, используемых в качестве оснований по
принципу I, осуществление в случае необходимости специальных мероприятий по обеспечению мерзлого состояния грунтов и контроль их температуры в течение всего периода эксплуатации сооружений следует выполнять по указаниям ведомственных строительных норм.
9.6. Сезоннодействующие охлаждающие устройства (СОУ) необходимо применять в случаях практической невозможности или недостаточной эффективности других решений для поддержания на весь период эксплуатации сооружений температуры грунтов, требуемой по расчету несущей способности оснований. Число СОУ следует принимать по расчету с повышающим коэффициентом 1,4.
9.7. Фундаменты мостов при использовании вечномерзлых грунтов в качестве оснований по
принципам I и
II следует проектировать, как правило, свайными с ростверком, расположенным над поверхностью грунта или воды. При этом надлежит предусматривать меры, исключающие возможность повреждения свай ледоходом, карчеходом или другими неблагоприятными воздействиями.
Фундаменты мелкого заложения (на естественном основании) допускается проектировать для мостов, возводимых, как правило, на используемых по
принципу II вечномерзлых грунтах, если после полного оттаивания таких грунтов осадки и крены опор не будут превышать предельно допустимых значений по условиям нормальной эксплуатации сооружений.
Для труб следует предусматривать преимущественно фундаменты мелкого заложения независимо от вида грунтов и принципа их использования в качестве основания при условии, что суммарное значение осадки используемых по
принципу II грунтов может быть компенсировано строительным подъемом лотка труб.
9.8. Вечномерзлые грунты в основании фундаментов малого моста или трубы и прилегающих участков насыпи, как правило, следует использовать по одному принципу, не допуская опирания их частично на мерзлые и частично на немерзлые или оттаивающие грунты.
9.9. В грунтах, подверженных морозному пучению, независимо от принятого принципа их использования в качестве основания подошву фундаментов мелкого заложения для мостов и труб следует заглублять не менее чем на величину, указанную в
разд. 12 СНиП 2.02.01-83, а подошву расположенного в грунте ростверка свайных фундаментов - не менее чем на 0,25 м ниже расчетной глубины сезонного промерзания-оттаивания грунтов.
Подошву высокого ростверка свайных фундаментов мостов следует располагать с зазором от поверхности грунта не менее 0,5 м в устоях и 1 м - в промежуточных опорах.
9.10. В неподверженных морозному пучению грунтах подошву ростверка свайных фундаментов или фундаментов мелкого заложения мостов и труб допускается располагать в пределах слоя сезонного промерзания-оттаивания при условии, что нижняя граница толщи таких грунтов залегает не менее чем на 1 м ниже расчетной глубины промерзания и, кроме того, в пределах зоны промерзания отсутствует вероятность образования линзового льда, в том числе и от напорных подземных вод.
9.11. Подошву фундаментов мелкого заложения и нижние концы свай не допускается опирать непосредственно на подземные льды, сильнольдистые грунты, а также на используемые по
принципу II биогенные вечномерзлые грунты.
9.12. Расчеты оснований фундаментов мостов и труб следует производить:
а) при использовании твердомерзлых грунтов по
принципу I - по несущей способности;
б) при использовании вечномерзлых грунтов по
принципу II, а пылевато-глинистых пластичномерзлых и по
принципу I - по несущей способности и по деформациям.
Допускается не определять осадки оснований фундаментов мостов:
а) всех систем и пролетов при опирании фундаментов на вечномерзлые грунты, используемые по
принципу I, за исключением пластичномерзлых пылевато-глинистых грунтов;
б) внешне статически определимых систем железнодорожных мостов с пролетами до 55 м и автодорожных с пролетами до 105 м при опирании фундаментов на используемые по
принципу II скальные и другие малосжимаемые при оттаивании грунты.
Расчеты оснований труб следует производить, как правило, по несущей способности. На сильносжимаемых при оттаивании грунтах, используемых по
принципу II, основания труб следует рассчитывать по несущей способности и по деформациям, включая определение их осадки.
9.13. Расчет основания свай для фундаментов опор мостов по несущей способности вечномерзлых грунтов, используемых по
принципу I, следует производить согласно указаниям
пп. 4.6 и
4.7. При этом значение

в
формуле (2) следует принимать равным 1,4 независимо от числа свай в фундаменте и от положения подошвы ростверка по отношению к поверхности грунта. Значения коэффициентов

и

в
формуле (3) допускается принимать равным 1,0.
Для кратковременной части нагрузок расчетные значения R и

исходя из указаний
п. 4.8 допускается принимать с повышающим коэффициентом

, равным: для свайных фундаментов железнодорожных мостов 1,35 - при одновременном действии постоянных и временных вертикальных нагрузок; 1,5 - при действии постоянных и временных совместно с временными горизонтальными нагрузками (включая сейсмические нагрузки); для свайных фундаментов автодорожных мостов - соответственно 1,5 и 1,75.
Для железнодорожных мостов на станционных и подъездных путях, городских, а также других мостов, на которых возможны систематические остановки на неопределенное время поездов или автотранспорта, значение коэффициента

в
формуле (3) следует принимать равным 1,0.
9.14. Расчет оснований свайных фундаментов по несущей способности вечномерзлых грунтов, используемых по
принципу II, следует производить в соответствии с требованиями
СНиП 2.02.03-85. При этом расчетное сопротивление оттаивающих грунтов под торцом свай следует принимать по
СНиП 2.02.03-85, как для буровых свай.
Расчет по несущей способности оснований фундаментов мелкого заложения на вечномерзлых грунтах, используемых по
принципу II, надлежит производить по
СНиП 2.05.03-84.
9.15. Фундаменты береговых, переходных и промежуточных опор мостов на крутых склонах, а также фундаменты устоев при высоких насыпях в случаях расположения под несущим слоем пласта немерзлого или оттаивающего (в период эксплуатации моста) глинистого грунта или прослойки насыщенного водой песка, подстилаемого глинистым грунтом, необходимо рассчитывать по устойчивости против глубокого сдвига (смещения фундамента совместно с грунтом) по круглоцилиндрической или другой более опасной поверхности скольжения. Для указанных условий надлежит также проверять возможность появления местных оползневых сдвигов на ранее устойчивых склонах вследствие дополнительного их нагружения весом насыпи и опоры, нарушения устойчивости пластов грунта в процессе производства работ или изменения режима (уровня и скорости течения) подземных и поверхностных вод.
9.16. Фундаменты мостов, возводимых на вечномерзлых грунтах, используемых в качестве оснований по
принципу II, следует рассчитывать для условий полного оттаивания грунтов основания независимо от их состояния (мерзлое или талое) в период строительства. Расчет по прочности и трещиностойкости свайных элементов следует производить на усилия в расчетных сечениях, возникающие как для мерзлого, так и оттаявшего состояния грунтов основания.
9.17. Свайные фундаменты надлежит рассчитывать на совместное действие вертикальных и горизонтальных сил и моментов, принимая перемещения фундаментов пропорциональными действующим усилиям. Независимо от принципа использования грунтов в качестве основания, не следует учитывать сопротивление грунтов перемещениям заглубленного в грунт ростверка фундаментов. В расчетах, включающих определение свободной длины свай, оттаявшие и пластичномерзлые грунты допускается рассматривать как линейно-деформируемую среду, характеризуемую коэффициентом постели, принимаемым как для немерзлых грунтов.
При использовании грунтов в качестве основания по
принципу I в расчете допускается принимать, что каждый свайный элемент жестко заделан в твердомерзлом грунте на глубине d, считая от уровня, соответствующего расчетной (максимальной) температуре, при которой данный грунт переходит в твердомерзлое состояние; здесь d - диаметр или больший размер поперечного сечения элемента в направлении действия внешних нагрузок.
9.18. В сейсмических районах фундаменты мостов допускается проектировать на любых грунтах, используемых в качестве основания по
принципу I. Если грунты используются по
принципу II, то следует предусматривать опирание подошвы фундаментов или нижних концов свай преимущественно на скальные или другие малосжимаемые при оттаивании грунты. При учете сейсмических нагрузок расчет свайных фундаментов следует производить согласно указаниям
пп. 8.4 -
8.8.
Обязательное
ФИЗИЧЕСКИЕ И ТЕПЛОФИЗИЧЕСКИЕ ХАРАКТЕРИСТИКИ
ВЕЧНОМЕРЗЛЫХ ГРУНТОВ
1. В состав физических и теплофизических характеристик, определяемых для вечномерзлых грунтов, входят:
а) суммарная влажность мерзлого грунта

и влажность мерзлого грунта между включениями льда

;
б) суммарная льдистость мерзлого грунта

и льдистость мерзлого грунта за счет включений льда

;
в) степень заполнения объема пор мерзлого грунта льдом и не замерзшей водой

;
г) влажность мерзлого грунта за счет незамерзшей воды

;
д) температура начала замерзания грунта

;
е) теплофизические характеристики грунта (теплопроводность

и объемная теплоемкость С);
ж) теплота таяния (замерзания) грунта

;
2. Суммарная влажность мерзлого грунта

и влажность мерзлого грунта между включениями льда

определяются в соответствии с
ГОСТ 5180-84.
3. Суммарная льдистость мерзлого грунта

, льдистость мерзлого грунта за счет включений льда

и степень заполнения объема пор мерзлого грунта льдом и незамерзшей водой

определяются в соответствии с ГОСТ 25100-82.
4. Влажность мерзлого грунта за счет незамерзшей воды

определяется, как правило, опытным путем. В случаях, предусмотренных
п. 2.9, значения

, доли единицы, для незасоленных мерзлых грунтов допускается определять по формуле

, (1)
где

- коэффициент, принимаемый по табл. 1 в зависимости от числа пластичности

и температуры грунта Т, °С;

- влажность грунта на границе пластичности (раскатывания), доли единицы.
Таблица 1
Значения коэффициента

────────┬─────────────────┬────────────────────────────────────────────
Грунты │Число пластичнос-│Коэффициент k при температуре грунта T, °C
│ти грунтов I , │ w
│ p ├────┬────┬────┬────┬────┬────┬────┬────┬────
│доли единицы │-0,3│-0,5│-1 │-2 │-3 │-4 │-6 │-8 │-10
────────┼─────────────────┼────┼────┼────┼────┼────┼────┼────┼────┼────
Пески │ I <= 0,02│ 0 │0 │0 │0 │0 │0 │0 │0 │0
и супеси│ p │ │ │ │ │ │ │ │ │
│ │ │ │ │ │ │ │ │ │
Супеси │0,02 < I <= 0,07│0,6 │0,50│0,40│0,35│0,33│0,30│0,28│0,26│0,25
│ p │ │ │ │ │ │ │ │ │
│ │ │ │ │ │ │ │ │ │
Суглинки│0,07 < I <= 0,13│0,7 │0,65│0,60│0,50│0,48│0,45│0,43│0,41│0,40
│ p │ │ │ │ │ │ │ │ │
│ │ │ │ │ │ │ │ │ │
" │0,13 < I <= 0,17│ * │0,75│0,65│0,55│0,53│0,50│0,48│0,46│0,45
│ p │ │ │ │ │ │ │ │ │
│ │ │ │ │ │ │ │ │ │
Глины │ I > 0,17 │ * │0,95│0,90│0,65│0,63│0,60│0,58│0,56│0,55
│ p │ │ │ │ │ │ │ │ │
Примечание. В таблице знак "*" означает, что вся вода в порах
грунта незамерзшая.
──────────────────────────────────────────────────────────────────────
5. Температура начала замерзания грунта

, °С, характеризует температуру перехода грунта из талого в мерзлое состояние. Для незасоленных песчаных и крупнообломочных грунтов значение

принимается по ГОСТ 25100-82, равным 0 °С. Температуру начала замерзания пылевато-глинистых, засоленных и биогенных (заторфованных) грунтов

следует устанавливать опытным путем. Для предварительных расчетов мерзлых оснований значение

допускается принимать по табл. 2 в зависимости от вида грунта и концентрации порового раствора

, доли единицы, определяемой по формуле

, (2)
где

- степень засоленности грунта, доли единицы, устанавливаемая по ГОСТ 25100-82;

- влажность мерзлого грунта между включениями льда, доли единицы.
Таблица 2
Температура начала замерзания грунта

────────────────┬─────────────────────────────────────────────────
Грунты │Температура начала замерзания грунта T , °С, при
│ bf
│концентрации порового раствора c , доли единицы
│ ps
├───────┬───────┬───────┬───────┬───────┬─────────
│ 0 │ 0,005 │ 0,01 │ 0,02 │ 0,03 │ 0,04
────────────────┼───────┼───────┼───────┼───────┼───────┼─────────
Песчаные │ 0 │ -0,6 │ -0,8 │ -1,6 │ -2,2 │ -2,8
Пылевато- │ │ │ │ │ │
глинистые: │ │ │ │ │ │
супеси │ -0,1 │ -0,6 │ -0,9 │ -1,7 │ -2,3 │ -2,9
суглинки и │ -0,2 │ -0,6 │ -1,1 │ -1,8 │ -2,5 │ -3,2
глины │ │ │ │ │ │
────────────────┴───────┴───────┴───────┴───────┴───────┴─────────
6. Теплофизические характеристики грунта (теплопроводность

и объемная теплоемкость С) определяются опытным путем в соответствии с
ГОСТ 26263-84. В случаях, предусмотренных
п. 2.9, расчетные значения теплофизических характеристик песчаных и пылевато-глинистых грунтов, включая заторфованные и гравелистые, допускается принимать по табл. 3 в зависимости от влажности и плотности сухого грунта (скелета грунта)

.
Таблица 3
Расчетные значения теплофизических характеристик грунтов
в талом и мерзлом состоянии
──────┬───────┬───────────────────────────────────────────────────────────────────┬───────────
Плот- │Суммар-│ Теплопроводность грунта, Вт/(м x °С), [ккал/(м x ч x °C)] │Объемная
ность │ная ├────────────────┬────────────────┬────────────────┬────────────────┤теплоем-
сухого│влаж- │ Пески разной │Супеси пылеватые│Суглинки и глины│ Заторфованные │кость
грунта│ность │ крупности и │ │ │ грунты и торфы │грунта,
ро ,│грунта,│ гравелистые │ │ │ │Дж/ (м3 x
d,th │w , │ │ │ │ │ -6
ро , │ tot │ │ │ │ │x °C)10
df │доли │ │ │ │ │[ккал/м3 x
т/м3 │единицы│ │ │ │ │x °C)]
│ ├────────┬───────┼────────┬───────┼────────┬───────┼────────┬───────┼─────┬─────
│ │лямбда │лямбда │лямбда │лямбда │лямбда │лямбда │лямбда │лямбда │ C │ C
│ │ th│ f│ th│ f│ th│ f│ th│ f│ th │ f
──────┼───────┼────────┼───────┼────────┼───────┼────────┼───────┼────────┼───────┼─────┼─────
0,1 │ 9,00 │ - │ - │ - │ - │ - │ - │ 0,81 │ 1,34 │4,00 │2,31
│ │ │ │ │ │ │ │ (0,70) │ (1,15)│(950)│(550)
0,1 │ 6,00 │ - │ - │ - │ - │ - │ - │ 0,40 │ 0,70 │2,73 │1,68
│ │ │ │ │ │ │ │ (0,35) │ (0,60)│(650)│(400)
0,1 │ 4,00 │ - │ - │ - │ - │ - │ - │ 0,23 │ 0,41 │1,88 │1,26
│ │ │ │ │ │ │ │ (0,20) │ (0,35)│(450)│(300)
0,1 │ 2,00 │ - │ - │ - │ - │ - │ - │ 0,12 │ 0,23 │1,05 │0,64
│ │ │ │ │ │ │ │ (0,10) │ (0,20)│(250)│(200)
0,2 │ 4,00 │ - │ - │ - │ - │ - │ - │ 0,81 │ 1,33 │3,78 │2,40
│ │ │ │ │ │ │ │ (0,70) │ (1,15)│(900)│(570)
0,2 │ 2,00 │ - │ - │ - │ - │ - │ - │ 0,23 │ 0,52 │2,10 │1,47
│ │ │ │ │ │ │ │ (0,20) │ (0,45)│(500)│(350)
0,3 │ 3,00 │ - │ - │ - │ - │ - │ - │ 0,93 │ 1,39 │4,15 │2,40
│ │ │ │ │ │ │ │ (0,80) │ (1,20)│(990)│(570)
0,3 │ 2,00 │ - │ - │ - │ - │ - │ - │ 0,41 │ 0,70 │3,32 │2,10
│ │ │ │ │ │ │ │ (0,35) │ (0,60)│(750)│(500)
0,4 │ 2,00 │ - │ - │ - │ 2,10 │ - │ 2,10 │ 0,93 │ 1,39 │3,78 │2,73
│ │ │ │ │ (1,80)│ │ (1,80)│ (0,80) │ (1,20)│(900)│(650)
0,7 │ 1,00 │ - │ - │ - │ 2,10 │ - │ 2,10 │ - │ - │3,60 │2,10
│ │ │ │ │ (1,80)│ │ (1,75)│ │ │(855)│(500)
1,0 │ 0,60 │ - │ - │ - │ 2,00 │ - │ 1,90 │ - │ - │3,44 │2,18
│ │ │ │ │ (1,75)│ │ (1,65)│ │ │(820)│(520)
1,2 │ 0,40 │ - │ - │ - │ 1,90 │ 1,57 │ 1,80 │ - │ - │3,11 │2,12
│ │ │ │ │ (1,65)│ (1,35) │ (1,55)│ │ │(740)│(505)
1,4 │ 0,35 │ - │ - │ 1,80 │ 1,86 │ 1,57 │ 1,66 │ - │ - │3,35 │2,35
│ │ │ │ (1,55) │ (1,60)│ (1,35) │ (1,45)│ │ │(800)│(560)
1,4 │ 0,30 │ - │ - │ 1,74 │ 1,80 │ 1,45 │ 1,57 │ - │ - │3,02 │2,18
│ │ │ │ (1,50) │ (1,55)│ (1,25) │ (1,35)│ │ │(720)│(520)
1,4 │ 0,25 │ 1,91 │ 2,14 │ 1,57 │ 1,68 │ 1,33 │ 1,51 │ - │ - │2,78 │2,06
│ │ (1,65) │ (1,85)│ (1,35) │ (1,45)│ (1,15) │ (1,30)│ │ │(660)│(490)
1,4 │ 0,20 │ 1,57 │ 1,86 │ 1,33 │ 1,51 │ 1,10 │ 1,22 │ - │ - │2,48 │1,89
│ │ (1,35) │ (1,60)│ (1,15) │ (1,30)│ (0,95) │ (1,05)│ │ │(590)│(450)
1,4 │ 0,15 │ 1,39 │ 1,62 │ 1,10 │ 1,27 │ 0,87 │ 0,99 │ - │ - │2,18 │1,76
│ │ (1,20) │ (1,40)│ (0,95) │ (1,10)│ (0,75) │ (0,85)│ │ │(520)│(420)
1,4 │ 0,10 │ 1,10 │ 1,27 │ 0,93 │ 1,05 │ 0,70 │ 0,75 │ - │ - │1,89 │1,74
│ │ (0,95) │ (1,10)│ (0,80) │ (0,90)│ (0,60) │ (0,65)│ │ │(450)│(415)
1,4 │ 0,05 │ 0,75 │ 0,81 │ 0,64 │ 0,70 │ 0,46 │ 0,52 │ - │ - │1,60 │1,47
│ │ (0,65) │ (0,70)│ (0,55) │ (0,60)│ (0,40) │ (0,45)│ │ │(380)│(350)
1,6 │ 0,30 │ - │ - │ 1,86 │ 1,97 │ 1,68 │ 1,86 │ - │ - │1,84 │2,48
│ │ │ │ (1,60) │ (1,70)│ (1,45) │ (1,55)│ │ │(835)│(590)
1,6 │ 0,25 │ 2,50 │ 2,73 │ 1,80 │ 1,91 │ 1,51 │ 1,68 │ - │ - │3,15 │2,35
│ │ (2,15) │ (2,35)│ (1,55) │ (1,65)│ (1,30) │ (1,45)│ │ │(750)│(560)
1,6 │ 0,20 │ 2,15 │ 2,37 │ 1,62 │ 1,74 │ 1,33 │ 1,51 │ - │ - │2,31 │2,14
│ │ (1,85) │ (2,05)│ (1,40) │ (1,50)│ (1,15) │ (1,30)│ │ │(670)│(510)
1,6 │ 0,15 │ 1,80 │ 2,00 │ 1,45 │ 1,57 │ 1,10 │ 1,22 │ - │ - │2,48 │2,02
│ │ (1,55) │ (1,75)│ (1,25) │ (1,35)│ (0,95) │ (1,05)│ │ │(590)│(480)
1,6 │ 0,10 │ 1,45 │ 1,62 │ 1,16 │ 1,28 │ 0,87 │ 0,93 │ - │ - │2,16 │1,80
│ │ (1,25) │ (1,40)│ (1,00) │ (1,10)│ (0,75) │ (0,80)│ │ │(515)│(430)
1,6 │ 0,05 │ 1,05 │ 1,10 │ 0,81 │ 0,87 │ 0,58 │ 0,64 │ - │ - │1,83 │1,68
│ │ (0,90) │ (0,95)│ (0,70) │ (0,75)│ (0,50) │ (0,55)│ │ │(435)│(400)
1,8 │ 0,20 │ 2,67 │ 2,84 │ 1,86 │ 1,97 │ 1,57 │ 1,80 │ - │ - │3,17 │2,41
│ │ (2,30) │ (2,45)│ (1,60) │ (1,70)│ (1,35) │ (1,55)│ │ │(755)│(575)
1,8 │ 0,15 │ 2,26 │ 2,62 │ 1,68 │ 1,80 │ 1,39 │ 1,57 │ - │ - │2,78 │2,26
│ │ (1,95) │ (2,25)│ (1,45) │ (1,55)│ (1,20) │ (1,35)│ │ │(660)│(540)
1,8 │ 0,10 │ 1,97 │ 2,20 │ 1,45 │ 1,57 │ 1,05 │ 1,22 │ - │ - │2,42 │2,04
│ │ (1,70) │ (1,90)│ (1,25) │ (1,35)│ (0,90) │ (1,05)│ │ │(575)│(485)
1,8 │ 0,05 │ 1,45 │ 1,51 │ 0,99 │ 0,99 │ 0,70 │ 0,75 │ - │ - │2,04 │1,89
│ │ (1,25) │ (1,30)│ (0,85) │ (0,85)│ (0,60) │ (0,65)│ │ │(485)│(450)
2,0 │ 0,10 │ 2,73 │ 2,90 │ 1,74 │ 1,86 │ 1,28 │ 1,39 │ - │ - │2,68 │2,26
│ │ (2,35) │ (2,50)│ (1,50) │ (1,60)│ (1,10) │ (1,20)│ │ │(640)│(540)
2,0 │ 0,05 │ 2,10 │ 2,14 │ - │ - │ - │ - │ - │ - │2,26 │2,10
│ │ (1,80) │ (1,85)│ │ │ │ │ │ │(540)│(500)
Обозначения, принятые в таблице:
лямбда , лямбда - теплопроводность соответственно талого и
th f
мерзлого грунта;
C , C - объемная теплоемкость соответственно талого и
th f
мерзлого грунта;
ро , ро - плотность соответственно талого и мерзлого
d,th d,f
грунта в сухом состоянии.
─────────────────────────────────────────────────────────────────────────────────────────────
7. Теплота таяния (замерзания) грунта

принимается равной количеству теплоты, необходимой для таяния льда (замерзания воды) в единице объема грунта. Значение

, Дж/м3 (ккал/м3), определяется по формуле

, (3)
где

Дж/кг (80 ккал/кг) - удельная теплота фазовых превращений вода - лед в расчете на единицу массы;

- плотность сухого грунта (скелета грунта), кг/м3.
Рекомендуемое
РАСЧЕТНЫЕ ЗНАЧЕНИЯ ПРОЧНОСТНЫХ ХАРАКТЕРИСТИК
МЕРЗЛЫХ ГРУНТОВ
1. Расчетные давления на мерзлые грунты R, расчетные сопротивления мерзлых грунтов и грунтовых растворов сдвигу по поверхностям смерзания фундаментов

и расчетные сопротивления мерзлых грунтов сдвигу по грунту или грунтовому раствору

определяются опытным путем. При определении значений R,

,

в лабораторных условиях следует производить испытания на сдвиг в специальных приборах - для определения

и

и на одноосное сжатие или на вдавливание шарикового штампа - для определения R.
При определении

шероховатость поверхности, по которой производится сдвиг смерзшегося в ней образца грунта, должна быть такой же, как у фундаментов, применяемых в строительстве.
2. При отсутствии опытных данных допускается принимать значения R,

и

по
табл. 1 -
8 настоящего Приложения.
Расчетные давления на мерзлые грунты R под нижним концом сваи принимаются по
табл. 1, под подошвой столбчатого фундамента - по
табл. 2, для мерзлых засоленных грунтов - по
табл. 5, для льда - по
табл. 7, для биогенных мерзлых грунтов - по
табл. 8.
Расчетные сопротивления мерзлых грунтов и грунтовых растворов сдвигу по поверхностям смерзания фундаментов принимаются по
табл. 3, для мерзлых засоленных грунтов - по
табл. 6, для мерзлых биогенных грунтов - по
табл. 8.
Расчетные сопротивления мерзлых грунтов сдвигу по грунту или грунтовому раствору

принимаются по
табл. 4, льдов по грунтовому раствору

- по
табл. 7, мерзлых биогенных грунтов по грунту или грунтовому раствору - по
табл. 8. Значения расчетных сопротивлений мерзлых засоленных грунтов сдвигу по грунту или грунтовому раствору

допускается принимать равными

с учетом указаний
п. 4 настоящего Приложения.
3. Значения

в
табл. 3, 6 и
8 следует умножать на коэффициент

, зависящий от вида поверхности смерзания и принимаемый равным:
для бетонных поверхностей фундаментов, изготовляемых
в металлической опалубке .................................. 1,0
для деревянных поверхностей, не обработанных масляными
антисептиками ............................................. 1,0
для деревянных поверхностей, обработанных масляными
антисептиками ............................................. 0,9
для металлических поверхностей из горячекатаного
проката ................................................... 0,7
4. Значения

в
табл. 4 и
8 следует умножать на коэффициент

, равный:
для буронабивных свай с добавлением в бетон
противоморозных химических добавок ........................ 0,7
для всех видов свай при льдистости грунта

..... 0,9
в остальных случаях ....................................... 1,0
Примечание. При сочетании двух перечисленных в
п. 4 условий коэффициент

принимается равным 0,6.
Таблица 1
Расчетные давления на мерзлые грунты R
под нижним концом сваи
──────────────┬─────────┬───────────────────────────────────────────────────────────────────────────────────
Грунты │Глубина │ Расчетные давления R, кПа (кгс/см3), при температуре грунта, °С
│погруже- ├──────┬──────┬──────┬──────┬──────┬──────┬──────┬──────┬──────┬──────┬──────┬──────
│ния свай,│ -0,3 │ -0,5 │ -1 │ -1,5 │ -2 │ -2,5 │ -3 │ -3,5 │ -4 │ -6 │ -8 │ -10
│м │ │ │ │ │ │ │ │ │ │ │ │
──────────────┼─────────┼──────┼──────┼──────┼──────┼──────┼──────┼──────┼──────┼──────┼──────┼──────┼──────
При льдистости│ │ │ │ │ │ │ │ │ │ │ │ │
i < 0,2: │ │ │ │ │ │ │ │ │ │ │ │ │
i │ │ │ │ │ │ │ │ │ │ │ │ │
1. Крупнообло-│При любой│2500 │3000 │3500 │4000 │4300 │4500 │4800 │5300 │5800 │6300 │6800 │7300
мочные │глубине │(25,0)│(30,0)│(35,0)│(40,0)│(43,0)│(45,0)│(48,0)│(53,0)│(58,0)│(63,0)│(68,0)│(73,0)
2. Пески │То же │1500 │1800 │2100 │2400 │2500 │2700 │2800 │3100 │3400 │3700 │4600 │5500
крупные и │ │(15,0)│(18,0)│(21,0)│(24,0)│(25,0)│(27,0)│(28,0)│(31,0)│(34,0)│(37,0)│(46,0)│(55,0)
средней │ │ │ │ │ │ │ │ │ │ │ │ │
крупности │ │ │ │ │ │ │ │ │ │ │ │ │
3. Пески │3 - 5 │850 │1300 │1400 │1500 │1700 │1900 │1900 │2000 │2100 │2600 │3000 │3500
мелкие и │ │(8,5) │(13,0)│(14,0)│(15,0)│(17,0)│(19,0)│(19,0)│(20,0)│(21,0)│(26,0)│(30,0)│(35,0)
пылеватые │10 │1000 │1550 │1650 │1750 │2000 │2100 │2200 │2300 │2500 │3000 │3500 │4000
│ │(10,0)│(15,5)│(16,5)│(17,5)│(20,0)│(21,0)│(22,0)│(23,0)│(25,0)│(30,0)│(35,0)│(40,0)
│15 и │1100 │1700 │1800 │1900 │2200 │2300 │2400 │2500 │2700 │3300 │3800 │4300
│более │(11,0)│(17,0)│(18,0)│(19,0)│(22,0)│(23,0)│(24,0)│(25,0)│(27,0)│(33,0)│(38,0)│(43,0)
4. Супеси │3 - 5 │750 │850 │1100 │1200 │1300 │1400 │1500 │1700 │1800 │2300 │2700 │3000
│ │(7,5) │(8,5) │(11,0)│(12,0)│(13,0)│(14,0)│(15,0)│(17,0)│(18,0)│(23,0)│(27,0)│(30,0)
│10 │850 │950 │1250 │1350 │1450 │1600 │1700 │1900 │2000 │2600 │3000 │3500
│ │(8,5) │(9,5) │(12,5)│(13,5)│(14,5)│(16,0)│(17,0)│(19,0)│(20,0)│(26,0)│(30,0)│(35,0)
│15 и │950 │1050 │1400 │1500 │1600 │1800 │1900 │2100 │2200 │2900 │3400 │3900
│более │(9,5) │(10,5)│(14,0)│(15,0)│(16,0)│(18,0)│(19,0)│(21,0)│(22,0)│(29,0)│(34,0)│(39,0)
5. Суглинки │3 - 5 │650 │750 │850 │950 │1100 │1200 │1300 │1400 │1500 │1800 │2300 │2800
и глины │ │(6,5) │(7,5) │(8,5) │(9,5) │(11,0)│(12,0)│(13,0)│(14,0)│(15,0)│(18,0)│(23,0)│(28,0)
│10 │800 │850 │950 │1100 │1250 │1350 │1450 │1600 │1700 │2000 │2600 │3000
│ │(8,0) │(8,5) │(9,5) │(11,0)│(12,5)│(13,5)│(14,5)│(16,0)│(17,0)│(20,0)│(26,0)│(30,0)
│15 и │900 │950 │1100 │1250 │1400 │1500 │1600 │1800 │1900 │2200 │2900 │3500
│более │(9,0) │(9,5) │(11,0)│(12,5)│(14,0)│(15,0)│(16,0)│(18,0)│(19,0)│(22,0)│(29,0)│(35,0)
При льдистости│ │ │ │ │ │ │ │ │ │ │ │ │
грунтов 0,2 <=│ │ │ │ │ │ │ │ │ │ │ │ │
i <= 0,4 │ │ │ │ │ │ │ │ │ │ │ │ │
i │ │ │ │ │ │ │ │ │ │ │ │ │
6. Все виды │3 - 5 │400 │500 │600 │750 │850 │950 │1000 │1100 │1150 │1500 │1600 │1700
грунтов, │ │(4,0) │(5,0) │(6,0) │(7,5) │(8,5) │(9,5) │(10,0)│(11,0)│(11,5)│(15,0)│(16,0)│(17,0)
указанные в│10 │450 │550 │700 │800 │900 │1000 │1050 │1150 │1250 │1600 │1700 │1800
поз. 1 - 5 │ │(4,5) │(5,5) │(7,0) │(8,0) │(9,0) │(10,0)│(10,5)│(11,5)│(12,5)│(16,0)│(17,0)│(18,0)
│15 и │550 │600 │750 │850 │950 │1050 │1100 │1300 │1350 │1700 │1800 │1900
│более │(5,5) │(6,0) │(7,5) │(8,5) │(9,5) │(10,5)│(11,0)│(13,0)│(13,5)│(17,0)│(18,0)│(19,0)
──────────────┴─────────┴──────┴──────┴──────┴──────┴──────┴──────┴──────┴──────┴──────┴──────┴──────┴──────
Таблица 2
Расчетные давления на мерзлые грунты R под подошвой
столбчатого фундамента
──────────────┬─────────────────────────────────────────────────────────────────────────────────
Грунты │ Расчетные давления R, кПа (кгс/см2), при температуре грунта, °С
├─────┬─────┬──────┬──────┬──────┬──────┬──────┬──────┬──────┬──────┬──────┬──────
│-0,3 │-0,5 │ -1 │ -1,5 │ -2 │ -2,5 │ -3 │ -3,5 │ -4 │ -6 │ -8 │ -10
──────────────┼─────┼─────┼──────┼──────┼──────┼──────┼──────┼──────┼──────┼──────┼──────┼──────
При льдистости│ │ │ │ │ │ │ │ │ │ │ │
грунтов │ │ │ │ │ │ │ │ │ │ │ │
i < 0,2: │ │ │ │ │ │ │ │ │ │ │ │
i │ │ │ │ │ │ │ │ │ │ │ │
1. Крупнообло-│550 │950 │1250 │1450 │1600 │1800 │1950 │2000 │2200 │2600 │2950 │3300
мочные и │(5,5)│(9,5)│(12,5)│(14,5)│(16,0)│(18,0)│(19,5)│(20,0)│(22,0)│(26,0)│(29,5)│(33,0)
пески │ │ │ │ │ │ │ │ │ │ │ │
крупные и │ │ │ │ │ │ │ │ │ │ │ │
средней │ │ │ │ │ │ │ │ │ │ │ │
крупности │ │ │ │ │ │ │ │ │ │ │ │
2. Пески │450 │700 │900 │1100 │1300 │1400 │1600 │1700 │1800 │2200 │2550 │2850
мелкие и │(4,5)│(7,0)│(9,0) │(11,0)│(13,0)│(14,0)│(16,0)│(17,0)│(18,0)│(22,0)│(25,5)│(28,5)
пылеватые │ │ │ │ │ │ │ │ │ │ │ │
3. Супеси │300 │500 │700 │800 │1050 │1150 │1300 │1400 │1500 │1900 │2250 │2500
│(3,0)│(5,0)│(7,0) │(8,0) │(10,5)│(11,5)│(13,0)│(14,0)│(15,0)│(19,0)│(22,5)│(25,0)
4. Суглинки │250 │450 │550 │650 │800 │900 │1000 │1100 │1200 │1550 │1900 │2200
и глины │(2,5)│(4,5)│(5,5) │(6,5) │(8,0) │(9,0) │(10,0)│(11,0)│(12,0)│(15,5)│(19,0)│(22,0)
При │ │ │ │ │ │ │ │ │ │ │ │
льдистости │ │ │ │ │ │ │ │ │ │ │ │
грунтов │ │ │ │ │ │ │ │ │ │ │ │
i >= 0,2: │ │ │ │ │ │ │ │ │ │ │ │
i │ │ │ │ │ │ │ │ │ │ │ │
5. Все виды │200 │300 │400 │500 │600 │700 │750 │850 │950 │1250 │1550 │1750
грунтов, │(2,0)│(3,0)│(4,0) │(5,0) │(6,0) │(7,0) │(7,5) │(8,5) │(9,5) │(12,5)│(15,5)│(17,5)
указанные в│ │ │ │ │ │ │ │ │ │ │ │
поз. 1 - 4 │ │ │ │ │ │ │ │ │ │ │ │
──────────────┴─────┴─────┴──────┴──────┴──────┴──────┴──────┴──────┴──────┴──────┴──────┴──────
Таблица 3
Расчетные сопротивления мерзлых грунтов и грунтовых
растворов сдвигу по поверхности смерзания

─────────┬───────────────────────────────────────────────────────────────────────
Грунты │Расчетные сопротивления R , кПа (кгс/см2), при температуре грунта, °С
│ af
├─────┬─────┬─────┬─────┬─────┬─────┬─────┬─────┬─────┬─────┬─────┬─────
│-0,3 │-0,5 │ -1 │-1,5 │ -2 │-2,5 │ -3 │-3,5 │ -4 │ -6 │ -8 │ -10
─────────┼─────┼─────┼─────┼─────┼─────┼─────┼─────┼─────┼─────┼─────┼─────┼─────
Глинистые│40 │60 │100 │130 │150 │180 │200 │230 │250 │300 │340 │380
│(0,4)│(0,6)│(1,0)│(1,3)│(1,5)│(1,8)│(2,0)│(2,3)│(2,5)│(3,0)│(3,4)│(3,8)
Песчаные │50 │80 │130 │160 │200 │230 │260 │290 │330 │380 │440 │500
│(0,5)│(0,8)│(1,3)│(1,6)│(2,0)│(2,3)│(2,6)│(2,9)│(3,3)│(3,8)│(4,4)│(5,0)
Известко-│60 │90 │160 │200 │230 │260 │280 │300 │350 │400 │460 │520
во-песча-│(0,6)│(0,9)│(1,6)│(2,0)│(2,3)│(2,6)│(2,8)│(3,0)│(3,5)│(4,0)│(4,6)│(5,2)
ный │ │ │ │ │ │ │ │ │ │ │ │
раствор │ │ │ │ │ │ │ │ │ │ │ │
Примечание. Значение R для известково-песчаного раствора
af
даны для раствора следующего состава: на 1 м3 раствора песка
среднезернистого - 820 л, известкового теста плотностью 1,4
г/см3 - 300 л, воды - 230 л; осадка конуса - 10 - 12 см. При
других составах известково-песчаного раствора, а также для
цементно-песчаного раствора значения R определяются опытным
af
путем.
─────────────────────────────────────────────────────────────────────────────────
Таблица 4
Расчетные сопротивления мерзлых грунтов сдвигу по
грунту или грунтовому раствору

─────────┬───────────────────────────────────────────────────────────────────────
Грунты │Расчетные сопротивления R , кПа (кгс/см2), при температуре грунта, °С
│ sh
├─────┬─────┬─────┬─────┬─────┬─────┬─────┬─────┬─────┬─────┬─────┬─────
│-0,3 │-0,5 │ -1 │-1,5 │ -2 │-2,5 │ -3 │-3,5 │ -4 │ -6 │ -8 │ -10
─────────┼─────┼─────┼─────┼─────┼─────┼─────┼─────┼─────┼─────┼─────┼─────┼─────
Песчаные │80 │120 │170 │210 │240 │270 │300 │320 │340 │420 │480 │540
│(0,8)│(1,2)│(1,7)│(2,1)│(2,4)│(2,7)│(3,0)│(3,2)│(3,4)│(4,2)│(4,8)│(5,4)
Глинистые│50 │80 │120 │150 │170 │190 │210 │230 │250 │300 │340 │380
│(0,5)│(0,8)│(1,2)│(1,5)│(1,7)│(1,9)│(2,1)│(2,3)│(2,5)│(3,0)│(3,4)│(3,8)
─────────┴─────┴─────┴─────┴─────┴─────┴─────┴─────┴─────┴─────┴─────┴─────┴─────
Таблица 5
Расчетные давления на мерзлые засоленные грунты R под
нижним концом сваи
────────┬──────────────────────────────────────────────────────────────────────────────
Засолен-│ Расчетные давления R, кПа (кгс/см2), при температуре грунта, °С
ность ├─────────────────┬──────────────────┬────────────────────┬────────────────────
грунта │ -1 │ -2 │ -3 │ -4
D , % ├─────────────────┴──────────────────┴────────────────────┴────────────────────
sal │ Глубина погружения сваи, м
├─────┬─────┬─────┬─────┬─────┬──────┬──────┬──────┬──────┬──────┬──────┬──────
│3 - 5│ 10 │15 и │3 - 5│ 10 │ 15 и │3 - 5 │ 10 │ 15 и │3 - 5 │ 10 │ 15 и
│ │ │более│ │ │более │ │ │более │ │ │более
────────┴─────┴─────┴─────┴─────┴─────┴──────┴──────┴──────┴──────┴──────┴──────┴──────
Пески мелкие и средние
0,1 │500 │600 │850 │650 │850 │950 │800 │950 │1050 │900 │1150 │1250
│(5,0)│(6,0)│(8,5)│(6,5)│(8,5)│(9,5) │(8,0) │(9,5) │(10,5)│(9,0) │(11,5)│(12,5)
0,2 │150 │250 │350 │250 │350 │450 │350 │450 │600 │500 │600 │750
│(1,5)│(2,5)│(3,5)│(2,5)│(3,5)│(4,5) │(3,5) │(4,5) │(6,0) │(5,0) │(6,0) │(7,5)
0,3 │ - │ - │ - │150 │200 │300 │250 │350 │450 │350 │450 │550
│ │ │ │(1,5)│(2,0)│(3,0) │(2,5) │(3,5) │(4,5) │(3,5) │(4,5) │(5,5)
0,5 │ - │ - │ - │ - │ - │ - │150 │200 │300 │250 │300 │400
│ │ │ │ │ │ │(1,5) │(2,0) │(3,0) │(2,5) │(3,0) │(4,0)
Супеси
0,15 │550 │650 │750 │800 │950 │1050 │1050 │1200 │1350 │1350 │1550 │1700
│(5,5)│(6,5)│(7,5)│(8,0)│(9,5)│(10,5)│(10,5)│(12,0)│(13,5)│(13,5)│(15,5)│(17,0)
0,3 │300 │350 │450 │550 │650 │800 │750 │900 │1050 │1000 │1150 │1300
│(3,0)│(3,5)│(4,5)│(5,5)│(6,5)│(8,0) │(7,5) │(9,0) │(10,5)│(10,0)│(11,5)│(13,0)
0,5 │ - │ - │ - │300 │350 │450 │450 │550 │650 │650 │750 │900
│ │ │ │(3,0)│(3,5)│(4,5) │(4,5) │(5,5) │(6,5) │(6,5) │(7,5) │(9,0)
1,0 │ - │ - │ - │ - │ - │ - │200 │250 │350 │350 │450 │550
│ │ │ │ │ │ │(2,0) │(2,5) │(3,5) │(3,5) │(4,5) │(5,5)
Суглинки
0,2 │450 │500 │650 │700 │800 │950 │950 │1050 │1200 │1150 │1300 │1400
│(4,5)│(5,0)│(6,5)│(7,0)│(8,0)│(9,5) │(9,5) │(10,5)│(12,0)│(11,5)│(13,0)│(14,0)
0,5 │150 │250 │450 │350 │450 │550 │550 │650 │750 │750 │850 │1000
│(1,5)│(2,5)│(4,5)│(3,5)│(4,5)│(5,5) │(5,5) │(6,5) │(7,5) │(7,5) │(8,5) │(10,0)
0,75 │ - │ - │ - │200 │250 │350 │350 │450 │550 │600 │600 │750
│ │ │ │(2,0)│(2,5)│(3,5) │(3,5) │(4,5) │(5,5) │(6,0) │(6,0) │(7,5)
1,0 │ - │ - │ - │150 │200 │300 │300 │350 │450 │400 │500 │650
│ │ │ │(1,5)│(2,0)│(3,0) │(3,0) │(3,5) │(4,5) │(4,0) │(5,0) │(6,5)
Примечания. 1. Приведенные значения R даны для мерзлых
засоленных грунтов при их льдистости за счет включений i <= 0,2.
i
2. Значение R под подошвой столбчатого фундамента допускается
принимать по настоящей таблице как для свай глубиной погружения
3 - 5 м.
───────────────────────────────────────────────────────────────────────────────────────
Таблица 6
Расчетные сопротивления мерзлых засоленных грунтов
сдвигу по поверхностям смерзания

────────────┬─────────────────────────────────────────────────────
Засоленность│ Расчетные сопротивления R , кПа (кгс/см2), при
грунта │ af
D , % │ температуре грунта, °С
sal │
├────────────┬────────────┬─────────────┬─────────────
│ -1 │ -2 │ -3 │ -4
────────────┴────────────┴────────────┴─────────────┴─────────────
Пески мелкие и средние
0,1 │ 70 (0,7) │ 110 (1,1) │ 150 (1,5) │ 190 (1,9)
0,2 │ 50 (0,5) │ 80 (0,8) │ 110 (1,1) │ 140 (1,4)
0,3 │ 40 (0,4) │ 70 (0,7) │ 90 (0,9) │ 120 (1,2)
0,5 │ - │ 50 (0,5) │ 80 (0,8) │ 100 (1,0)
Супеси
0,15 │ 80 (0,8) │ 120 (1,2) │ 160 (1,6) │ 210 (2,1)
0,3 │ 60 (0,6) │ 90 (0,9) │ 130 (1,3) │ 170 (1,7)
0,5 │ 30 (0,3) │ 60 (0,6) │ 100 (1,0) │ 130 (1,3)
1,0 │ - │ - │ 50 (0,5) │ 80 (0,8)
Суглинки
0,2 │ 60 (0,6) │ 100 (1,0) │ 130 (1,3) │ 180 (1,8)
0,5 │ 30 (0,3) │ 50 (0,5) │ 90 (0,9) │ 120 (1,2)
0,75 │ 25 (0,25) │ 45 (0,45) │ 80 (0,8) │ 110 (1,1)
1,0 │ 20 (0,2) │ 40 (0,4) │ 70 (0,7) │ 100 (1,0)
────────────┴────────────┴─────────────┴────────────┴─────────────
Таблица 7
Расчетные давления на лед R под нижним концом сваи
и расчетные сопротивления льда сдвигу по поверхности
смерзания с грунтовым раствором

────────────────────┬─────────────────────────────────────────────
Температура льда, °C│ Расчетные давления, кПа (кгс/см2)
├─────────────────────┬───────────────────────
│ R │ R
│ │ sh,i
────────────────────┼─────────────────────┼───────────────────────
-1 │ 50 (0,5) │ 20 (0,2)
-1,5 │ 100 (1,0) │ 30 (0,3)
-2 │ 140 (1,4) │ 35 (0,35)
-2,5 │ 190 (1,9) │ 45 (0,45)
-3 │ 230 (2,3) │ 50 (0,5)
-3,5 │ 260 (2,6) │ 60 (0,6)
-4 │ 280 (2,8) │ 65 (0,65)
────────────────────┴─────────────────────┴───────────────────────
Таблица 8
Расчетные давления на мерзлые биогенные грунты R
под подошвой столбчатого фундамента и нижним концом сваи,
расчетные сопротивления мерзлых биогенных грунтов сдвигу
по поверхности смерзания

и расчетные сопротивления
мерзлых биогенных грунтов сдвигу по грунту
или грунтовому раствору

──────────────────┬────────────────────────────────────────────────────────────────────────────────
Грунты │ Значения R, R и R , кПа (кгс/см2), при температуре грунта, °С
│ af sh
├──────┬──────┬──────┬──────┬─────┬─────┬─────┬──────┬──────┬──────┬──────┬──────
│ -0,3 │ -0,5 │ -1 │ -1,5 │ -2 │-2,5 │ -3 │ -3,5 │ -4 │ -6 │ -8 │ -10
──────────────────┴──────┴──────┴──────┴──────┴─────┴─────┴─────┴──────┴──────┴──────┴──────┴──────
Расчетные давления на мерзлые биогенные грунты R под подошвой
столбчатого фундамента и нижним концом сваи
Песчаные: │ │ │ │ │ │ │ │ │ │ │ │
0,03 < I <= 0,1│130 │180 │250 │350 │550 │700 │900 │1000 │1200 │1500 │1700 │1900
om │(1,3) │(1,8) │(2,5) │(3,5) │(5,5)│(7,0)│(9,0)│(10,0)│(12,0)│(15,0)│(17,0)│(19,0)
0,1 < I <= 0,3 │80 │120 │190 │300 │430 │500 │600 │700 │860 │1000 │1150 │1300
om │(0,8) │(1,2) │(1,9) │(3,0) │(4,3)│(5,0)│(6,0)│(7,0) │(8,6) │(10,0)│(11,5)│(13,0)
0,3 < I <= 0,5 │60 │90 │130 │220 │310 │400 │460 │550 │650 │750 │850 │970
om │(0,6) │(0,9) │(1,3) │(2,2) │(3,1)│(4,0)│(4,6)│(5,5) │(6,5) │(7,5) │(8,5) │(9,7)
Пылевато- │ │ │ │ │ │ │ │ │ │ │ │
глинистые: │ │ │ │ │ │ │ │ │ │ │ │
0,05 < I <= 0,1│80 │120 │200 │320 │480 │590 │700 │850 │1000 │1100 │1300 │1500
om │(0,8) │(1,2) │(2,0) │(3,2) │(4,8)│(5,9)│(7,0)│(8,5) │(10,0)│(11,0)│(13,0)│(15,0)
0,1 < I <= 0,3 │60 │90 │150 │250 │350 │420 │540 │620 │700 │820 │940 │1050
om │(0,6) │(0,9) │(1,5) │(2,5) │(3,5)│(4,2)│(5,4)│(6,2) │(7,0) │(8,2) │(9,4) │(10,5)
0,3 < I <= 0,5 │40 │60 │100 │180 │280 │350 │430 │500 │570 │670 │760 │860
om │(0,4) │(0,6) │(1,0) │(1,8) │(2,8)│(3,5)│(4,3)│(5,0) │(5,7) │(6,7) │(7,6) │(8,6)
Торф │20 │40 │60 │120 │220 │270 │320 │390 │450 │520 │590 │670
│(0,2) │(0,4) │(0,6) │(1,2) │(2,2)│(2,7)│(3,2)│(3,9) │(4,5) │(5,2) │(5,9) │(6,7)
Расчетные сопротивления мерзлых биогенных грунтов
сдвигу по поверхности смерзания R
af
Песчаные: │ │ │ │ │ │ │ │ │ │ │ │
0,03 < I <= 0,1│50 │70 │90 │100 │130 │160 │160 │180 │210 │250 │280 │320
om │(0,5) │(0,7) │(0,9) │(1,0) │(1,3)│(1,6)│(1,6)│(1,8) │(2,1) │(2,5) │(2,8) │(3,2)
0,1 < I <= 0,3 │30 │40 │50 │70 │90 │110 │120 │140 │160 │190 │220 │240
om │(0,3) │(0,4) │(0,5) │(0,7) │(0,9)│(1,1)│(1,2)│(1,4) │(1,6) │(1,9) │(2,2) │(2,4)
0,3 < I <= 0,5 │20 │30 │40 │60 │70 │80 │90 │110 │130 │150 │170 │190
om │(0,2) │(0,3) │(0,4) │(0,6) │(0,7)│(0,8)│(0,9)│(1,1) │(1,3) │(1,5) │(1,7) │(1,9)
Пылевато- │ │ │ │ │ │ │ │ │ │ │ │
глинистые: │ │ │ │ │ │ │ │ │ │ │ │
0,05 < I <= 0,1│20 │40 │60 │80 │100 │110 │130 │150 │180 │200 │230 │270
om │(0,2) │(0,4) │(0,6) │(0,8) │(0,1)│(1,1)│(1,3)│(1,5) │(1,8) │(2,0) │(2,3) │(2,7)
0,1 < I <= 0,3 │10 │20 │30 │50 │60 │70 │90 │100 │120 │140 │160 │180
om │(0,1) │(0,2) │(0,3) │(0,5) │(0,6)│(0,7)│(0,9)│(1,0) │(1,2) │(1,4) │(1,6) │(1,8)
0,3 < I <= 0,5 │5 │10 │20 │30 │50 │60 │80 │90 │100 │120 │140 │160
om │(0,05)│(0,1) │(0,2) │(0,3) │(0,5)│(0,6)│(0,8)│(0,9) │(1,0) │(1,2) │(1,4) │(1,6)
Торф │3 │5 │8 │25 │40 │50 │70 │80 │90 │110 │120 │140
│(0,03)│(0,05)│(0,08)│(0,25)│(0,4)│(0,5)│(0,7)│(0,8) │(0,9) │(1,1) │(1,2) │(1,4)
Расчетные сопротивления мерзлых биогенных грунтов
сдвигу по грунту или грунтовому раствору R
sh
Песчаные: │ │ │ │ │ │ │ │ │ │ │ │
0,03 < I <= 0,1│30 │60 │100 │140 │160 │190 │230 │250 │270 │310 │330 │350
om │(0,3) │(0,6) │(1,0) │(1,4) │(1,6)│(1,9)│(2,3)│(2,5) │(2,7) │(3,1) │(3,3) │(3,5)
0,1 < I <= 0,3 │10 │30 │50 │70 │110 │120 │130 │150 │180 │200 │230 │260
om │(0,1) │(0,3) │(0,5) │(0,7) │(1,1)│(1,2)│(1,3)│(1,5) │(1,8) │(2,0) │(2,3) │(2,6)
0,3 < I <= 0,5 │8 │20 │40 │60 │80 │90 │100 │120 │140 │150 │180 │210
om │(0,08)│(0,2) │(0,4) │(0,6) │(0,8)│(0,9)│(1,0)│(1,2) │(1,4) │(1,5) │(1,8) │(2,1)
Пылевато- │ │ │ │ │ │ │ │ │ │ │ │
глинистые: │ │ │ │ │ │ │ │ │ │ │ │
0,05 < I <= 0,1│20 │50 │70 │90 │110 │120 │140 │170 │200 │250 │270 │300
om │(0,2) │(0,5) │(0,7) │(0,9) │(1,1)│(1,2)│(1,4)│(1,7) │(2,0) │(2,5) │(2,7) │(3,0)
0,1 < I <= 0,3 │5 │30 │40 │50 │70 │80 │100 │110 │130 │180 │190 │200
om │(0,05)│(0,3) │(0,4) │(0,5) │(0,7)│(0,8)│(1,0)│(1,1) │(1,3) │(1,8) │(1,9) │(2,0)
0,3 < I <= 0,5 │3 │20 │30 │40 │60 │70 │90 │100 │110 │140 │150 │170
om │(0,03)│(0,2) │(0,3) │(0,4) │(0,6)│(0,7)│(0,9)│(1,0) │(1,1) │(1,4) │(1,5) │(1,7)
Торф │2 │10 │20 │30 │40 │60 │80 │90 │100 │120 │140 │160
│(0,02)│(0,1) │(0,2) │(0,3) │(0,4)│(0,6)│(0,8)│(0,9) │(1,0) │(1,2) │(1,4) │(1,6)
──────────────────┴──────┴──────┴──────┴──────┴─────┴─────┴─────┴──────┴──────┴──────┴──────┴──────
Обязательное
СРЕДНЕГОДОВАЯ ТЕМПЕРАТУРА И ГЛУБИНА СЕЗОННОГО
ОТТАИВАНИЯ И ПРОМЕРЗАНИЯ ГРУНТА
1. Нормативная глубина сезонного оттаивания грунта

, м, определяется по данным натурных наблюдений по формуле

(1)
где

- наибольшая глубина сезонного оттаивания грунта в годовом периоде, м, устанавливаемая по данным натурных наблюдений в соответствии с
ГОСТ 26262-84;

и

- коэффициенты, принимаемые по
табл. 1 в зависимости от суммарной влажности грунта

, устанавливаемой согласно указаниям
п. 5 на период эксплуатации сооружения, и влажности грунта в период наблюдений;

- температура начала замерзания грунта, °С, определяемая по обязательному
Приложению 1;

- расчетная температура поверхности грунта в летний период, °С, определяемая по формуле

°С; (2)

- расчетная продолжительность летнего периода, ч, определяемая по формуле

; (3)
здесь

и

- соответственно средняя по многолетним данным температура воздуха за период положительных температур,°С, и продолжительность этого периода, ч, принимаемые по
СНиП 2.01.01-82, причем для климатических подрайонов IБ и IГ значения

и

следует принимать с коэффициентом 0,9;

и

- соответственно средняя температура воздуха, °С, за период положительных температур и продолжительность этого периода, ч, в год проведения наблюдений, принимаемые по метеоданным.
Таблица 1
Коэффициенты

и

──────────────────────┬───────────────────────────────────────────
Грунты │ Значения коэффициентов k и k при
│ w w,c
│ влажности грунта w
│ tot
├──────┬──────┬──────┬──────┬──────┬────────
│ 0,05 │ 0,1 │ 0,2 │ 0,3 │ 0,4 │ 0,5
──────────────────────┼──────┼──────┼──────┼──────┼──────┼────────
Песчаные │ 1,0 │ 0,92 │ 0,83 │ 0,75 │ 0,70 │ -
Пылевато-глинистые │ - │ 1,03 │ 0,94 │ 0,88 │ 0,85 │ 0,83
──────────────────────┴──────┴──────┴──────┴──────┴──────┴────────
2. Нормативная глубина сезонного промерзания грунта

, м, определяется по формуле

, (4)
где

- наибольшая глубина сезонного промерзания грунта в годовом периоде, м, устанавливаемая по данным натурных наблюдений в соответствии с
ГОСТ 24847-81;

и

- соответственно средняя по многолетним данным температура воздуха за период отрицательных температур, °С, и продолжительность этого периода, ч, принимаемые по
СНиП 2.01.01-82;

и

- соответственно средняя температура воздуха, °С, за период отрицательных температур и продолжительность этого периода, ч, в год проведения наблюдений, принимаемые по метеоданным;
3. При отсутствии данных натурных наблюдений нормативную глубину сезонного оттаивания грунта

, м, допускается определять по формуле

, (5)
где

; (6)

; (7)

и

- обозначения те же, что в формулах (1) - (3);

; (8)

- время, принимаемое равным

°С (3600 ч);

- время, принимаемое равным

°С (7500 ч);

- расчетная среднегодовая температура вечномерзлого грунта, °С, определяемая по указаниям
п. 8;

и

- теплопроводность соответственно талого и мерзлого грунта, Вт/(м x °С) [ккал/(м x ч x °С)];

и

- объемная теплоемкость соответственно талого и мерзлого грунта, Дж/(м3 x °С) [ккал/(м3 x °С)];

- коэффициент, принимаемый для песчаных грунтов равным 1,0, а для пылевато-глинистых - по
табл. 2 в зависимости от значения теплоемкости

и средней температуры грунта

, °С, определяемой по формуле

; (9)

- теплота таяния (замерзания) грунта, Дж/м3 (ккал/м3), определяемая по обязательному
Приложению 1 при температуре грунта, равной 0,5

, °С.
Таблица 2
Коэффициент

────────────┬─────────────────────────────────────────────────────
Температура │ Значения коэффициента k при объемной теплоемкости
_ │ m
T, °С │ C , Дж/(м3 x °С) [ккал/(м3 x °С)]
│ f
├────────────┬────────────┬────────────┬──────────────
│ 6 │ 6 │ 6 │ 6
│ 1,3 x 10 │ 1,7 x 10 │ 2,1 x 10 │ 2,5 x 10
│ (300) │ (400) │ (500) │ (600)
────────────┼────────────┼────────────┼────────────┼──────────────
-1 │ 6,8 │ 5,9 │ 5,3 │ 5,0
-2 │ 5,2 │ 4,5 │ 4,0 │ 3,7
-4 │ 3,7 │ 3,2 │ 2,8 │ 2,5
-6 │ 3,0 │ 2,6 │ 2,3 │ 2,1
-8 │ 2,5 │ 2,2 │ 1,9 │ 1,6
-10 │ 1,8 │ 1,6 │ 1,4 │ 1,2
────────────┴────────────┴────────────┴────────────┴──────────────
4. Нормативная глубина сезонного промерзания грунта

, м, определяется по формуле

, (10)
где

, (11)
здесь

- теплота замерзания грунта, Дж/м3 (ккал/м3), определяемая по обязательному
Приложению 1 при температуре грунта

, °С.
5. В случаях, когда предусматриваются вертикальная планировка территории подсыпкой, регулирование поверхностного стока и другие мероприятия, приводящие к понижению уровня подземных вод, значения теплофизических характеристик при расчете нормативных глубин сезонного оттаивания и промерзания грунтов по
формулам (5) и
(10), а также значения коэффициента

в
формулах (1) и
(4) следует принимать при влажности грунта, равной:
для крупнообломочных грунтов ...................... 0,04
" песков (кроме пылеватых) ...................... 0,07
" песков пылеватых .............................. 0,10
" пылевато-глинистых грунтов ....................

" биогенных грунтов .............................

,
где

и

- соответственно число пластичности и влажности грунта на границе пластичности.
6. Расчетная глубина сезонного оттаивания

и расчетная глубина сезонного промерзания грунта

определяются по формулам:

; (12)

, (13)
где

и

- нормативные глубины соответственно сезонного оттаивания и сезонного промерзания грунта;

и

- коэффициенты теплового влияния сооружения, принимаемые по табл. 3.
Таблица 3
Коэффициенты

и

──────────────────────────────────────────┬───┬───────────────────
Сооружения │k' │ k
│ h │ h
──────────────────────────────────────────┼───┼───────────────────
Здания и сооружения без холодного подполья│ - │В соответствии с
│ │требованиями
Здания и сооружения с холодным подпольем: │ │
у наружных стен с отмостками, имеющими │1,2│ -
асфальтовое и тому подобное покрытия │ │
у наружных стен с отмостками без │1,0│ -
асфальтовых покрытий │ │
у внутренних опор │0,8│ -
Мосты: │ │
промежуточные массивные опоры с │ │
фундаментами мелкого заложения или │ │
фундаментами из свай и свай-столбов с │ │
плитой (ростверком), заглубленной в │ │
грунт при ширине опор по фасаду: │ │
от 2 до 4 м │1,3│ 1,2
4 м и более │1,5│ 1,3
промежуточные столбчатые и свайные │1,2│ 1,1
опоры, рамностоечные опоры с │ │
фундаментами мелкого заложения │ │
обсыпные устои │1,0│ 1,0
Примечания. 1. Данные таблицы не распространяются на случаи
применения теплоизоляции и других специальных теплозащитных
мероприятий (вентилируемые и теплоизолирующие подсыпки,
охлаждающие устройства и т.д.).
2. Для устоев мостов, обсыпанных песчаным грунтом,
значения k' и k следует принимать по данным теплотехнического
h h
расчета, но не менее 1,2.
──────────────────────────────────────────────────────────────────
7. Нормативное значение среднегодовой температуры вечномерзлого грунта

определяется по данным полевых измерений температуры грунтов в соответствии с
ГОСТ 25358-82 на опытных площадках с естественными условиями. Допускается значение

принимать равным температуре грунта на глубине 10 м от поверхности.
8. Расчетная среднегодовая температура вечномерзлого грунта

, °С, устанавливается на основании прогнозных расчетов изменения температурного режима грунтов на застраиваемой территории. Допускается определять значение

, °С, по формуле

, (14)
где

- продолжительность года, принимаемая равной

°С (8760 ч);

и

- соответственно средняя по многолетним данным температура воздуха в период отрицательных температур, °С, и продолжительность этого периода, с(ч), принимаемые по
СНиП 2.01.01-82;

- теплота таяния (замерзания) грунта, Дж/м3 (ккал/м3), определяемая по обязательному
Приложению 1;

- термическое сопротивление снегового покрова, м2 x °С/Вт (м2 x ч x °С/ккал), определяемое по формуле

, (15)
здесь

т x °С/(м2 х Вт)[1,16 т х ч x °С/(м2 x ккал)] - коэффициент учета размерностей;

- средняя высота снегового покрова, м, принимаемая по метеоданным;

- средняя плотность снегового покрова, т/м3, принимаемая по метеоданным.
Примечания. 1. В районах со средней скоростью ветра в зимний период свыше 5 м/с рассчитанное по
формуле (15) значение

следует увеличивать в 1,3 раза.
2. Если при расчете по
формуле (14) 
, то следует принимать

.
Обязательное
РАСЧЕТ ТЕМПЕРАТУРНОГО РЕЖИМА ВЕНТИЛИРУЕМОГО ПОДПОЛЬЯ
1. Температурный режим вентилируемого подполья характеризуется среднегодовой температурой воздуха в подполье

, устанавливаемой расчетом в зависимости от предусмотренного проектом значения среднегодовой температуры вечномерзлого грунта на его верхней поверхности
(п. 4.13), теплового режима сооружения и режима вентилирования подполья.
2. Среднегодовая температура воздуха в вентилируемом подполье

, °С, обеспечивающая предусмотренную в проекте среднегодовую температуру вечномерзлого грунта на его верхней поверхности

, °С, вычисляется по формуле

, (1)
где

- коэффициент, принимаемый по
табл. 1 в зависимости от значений

и

;
здесь

- продолжительность периода с отрицательной среднесуточной температурой воздуха, сут, принимаемая по
СНиП 2.01.01-82;

и

- теплопроводность соответственно мерзлого и талого грунта.
Таблица 1
Коэффициент

───────────────────┬──────────────────────────────────────────────
лямбда / лямбда │ Значения коэффициента k при t , сут
f th│ 0 f,n
├────────┬────────┬────────┬────────┬──────────
│ 200 │ 225 │ 250 │ 275 │ 300
───────────────────┼────────┼────────┼────────┼────────┼──────────
1,0 │ 1,0 │ 1,0 │ 1,0 │ 1,0 │ 1,0
1,1 │ 0,87 │ 0,96 │ 0,98 │ 0,99 │ 1,0
1,2 │ 0,78 │ 0,93 │ 0,97 │ 0,99 │ 1,0
1,3 │ 0,72 │ 0,90 │ 0,96 │ 0,99 │ 1,0
───────────────────┴────────┴────────┴────────┴────────┴──────────
3. Среднегодовая температура вечномерзлого грунта на его верхней поверхности

, °С, определяется расчетом по условию обеспечения требуемых значений расчетной температуры грунтов в основании сооружения
(п. 4.12) с учетом мерзлотно-грунтовых и климатических условий участка строительства. Допускается принимать значение

по табл. 2 в зависимости от среднегодовой температуры грунта

, ширины сооружения В и глубины заложения фундаментов z с учетом температуры начала замерзания грунта

.
Таблица 2
Значение температур

-

──────────┬───────────┬───────────────────────────────────────────
Значения,│ Ширина │ Значения T' - T , °С, для фундаментов
T - T ,│сооружения,│ 0 bf
0 bf │ B, м ├────────────────────┬──────────────────────
°С │ │столбчатых при глу- │ свайных при глубине
│ │бине заложения z, м │ заложения z, м
│ ├──────┬──────┬──────┼──────────┬───────────
│ │ 1 │ 3 │ 5 │ 7 │ 10
──────────┼───────────┼──────┼──────┼──────┼──────────┼───────────
-0,5 │ 12 │ -10 │ -3,5 │ -5 │ -3 │ -2,5
│ 24 │ -8 │ -2,5 │ -3,5 │ -2,5 │ -2
──────────┼───────────┼──────┼──────┼──────┼──────────┼───────────
-1 │ 12 │ -10 │ -3 │ -4 │ -2,5 │ -1,5
│ 24 │ -8 │ -2,5 │ -3,5 │ -2 │ -1,5
──────────┼───────────┼──────┼──────┼──────┼──────────┼───────────
-2 │ 12 │ -9 │ -2 │ -3 │ -1,5 │ -1
│ 24 │ -7 │ -2 │ -3 │ -2 │ -1
──────────┼───────────┼──────┼──────┼──────┼──────────┼───────────
-5 │ 12 │ -6,5│ -1 │ -1 │ -1 │ -1
│ 24 │ -6 │ -1 │ -2 │ -1 │ -1
──────────┼───────────┼──────┼──────┼──────┼──────────┼───────────
-8 │ 12 │ -3 │ -1 │ -1 │ -1 │ -1
│ 24 │ -4 │ -1 │ -1 │ -1 │ -1
Примечания. 1. Глубина заложения фундаментов z отсчитывается
от уровня верхней поверхности вечномерзлого грунта.
2. При среднегодовой температуре наружного воздуха T выше
out
табличных значений T' в расчетах следует принимать T' = T .
0 0 out
──────────────────────────────────────────────────────────────────
4. Установленная расчетом по указаниям
п. 2 среднегодовая температура воздуха в подполье

при естественном вентилировании подполья за счет ветрового напора обеспечивается подбором модуля его вентилирования М, определяемого соотношением

, (2)
где

- для подполий с продухами - общая площадь продухов; для открытых подполий - площадь, равная произведению периметра здания на расстояние от поверхности грунта или отмостки до низа ростверка свайного фундамента или фундаментных балок, м2;

- площадь здания в плане по наружному контуру, м2.
Примечание. При отношении высоты подполья

к ширине здания В менее 0,02 следует применять вентиляцию с механическим побуждением.
5. Модуль вентилирования М, необходимый для обеспечения расчетной температуры воздуха в подполье

при его естественном вентилировании, вычисляется по формуле

, (3)
где

- коэффициент, принимаемый в зависимости от расстояния между зданиями а и их высоты h равным:
1,0 при а >= 5h;
1,2 при а = 4h;
1,5 при а <= 3h;

- расчетная температура воздуха в помещении, °С;

- среднегодовая температура наружного воздуха, °С;

- сопротивление теплопередаче перекрытия над подпольем, м2 x °С/Вт, (м2 x ч x °С/ккал);

- объемная теплоемкость воздуха, принимаемая равной 1300 Дж/(м3 x °С)[0,31 ккал (м3 x °С)];

- обобщенный аэродинамический коэффициент, учитывающий давление ветра и гидравлические сопротивления, принимаемый равным: для сооружений прямоугольной формы -

= 0,37; П-образной формы -

= 0,3; Т-образной формы -

= 0,33 и L-образной формы -

= 0,29;

- средняя годовая скорость ветра, м/с, (м/ч);

- безразмерный параметр; для открытых подполий принимается равным 0; для подполий с продухами определяется по формуле

, (4)
здесь

- площадь цоколя для подполий с продухами, м2;

- сопротивление теплопередаче цоколя, м2 x °С/Вт, (м2 x ч x °С/ккал);

- параметр, учитывающий влияние расположенных в подполье коммуникаций на его тепловой режим, °С, определяемый по формуле

, (5)
здесь n - число трубопроводов;

- длина j-го трубопровода, м;

- температура теплоносителя в j-ом трубопроводе, °С;

- время работы j-го трубопровода в течение года, сут;

- продолжительность года, равная 365 сут;

- сопротивление теплопередаче теплоизоляции j-го трубопровода м x °С/Вт, (м x ч x °С/ккал);

- коэффициент потери напора на отдельных участках подполья, принимаемый по табл. 3.
Таблица 3
Коэффициент

─────────────────────────────────────┬────────────────────────────
Участок подполья │ хи
│ i
─────────────────────────────────────┼────────────────────────────
Вход с сужением потока │ 0,50
Жалюзийная решетка │ 2,00
Поворот потока на 90° │ 1,32
Вход с расширением потока │ 0,64
─────────────────────────────────────┴────────────────────────────
Обязательное
РАСЧЕТ ОСНОВАНИЙ ПРИ СТРОИТЕЛЬСТВЕ ПО СПОСОБУ
СТАБИЛИЗАЦИИ ВЕРХНЕЙ ПОВЕРХНОСТИ ВЕЧНОМЕРЗЛЫХ ГРУНТОВ
1. При строительстве по способу стабилизации верхней поверхности вечномерзлого грунта
(п. 3.27) глубина заложения фундаментов d, м, должна удовлетворять условию

, (1)
где

- глубина залегания верхней поверхности вечномерзлого грунта, м, на начало эксплуатации сооружения;

- нормативная глубина сезонного промерзания грунта, м.
2. Расчет оснований фундаментов по несущей способности и деформациям следует производить в соответствии с требованиями
СНиП 2.02.01-83,
СНиП 2.02.03-85 и настоящих норм.
Проверку фундаментов на устойчивость и прочность на воздействие сил морозного пучения грунтов необходимо производить согласно указаниям
пп. 4.40 -
4.44, принимая расчетную глубину сезонного промерзания грунта

, м.
3. Требуемый температурный режим грунтов оснований обеспечивается холодным подпольем, модуль вентилирования которого М определяется по
формуле (3) обязательного Приложения 4, принимая среднегодовую температуру воздуха в подполье

, °С, равной

, (2)
где

- коэффициент, определяемый по графикам
черт. 1 в зависимости от значений параметров

и

, определяемых по формулам:

; (3)

, (4)
где

- расчетный срок эксплуатации сооружения, с(ч).
Черт. 1. Графики для определения коэффициента

Остальные обозначения те же, что в формулах обязательного
Приложения 4.
4. Положение верхней поверхности вечномерзлого грунта под сооружением при принятой
п. 3 расчетной температуре воздуха в подполье

должно быть проверено расчетом по глубине оттаивания грунта под сооружением Н, определяемой в соответствии с указаниями
п. 5 рекомендуемого Приложения 8, принимая в
формуле (15) этого приложения значение

°С и коэффициент

.
В случае если при полученной расчетом глубине оттаивания грунта Н (считая от поверхности вечномерзлого грунта) осадка основания превысит предельно допустимое для данного сооружения значение, следует предусматривать дополнительные мероприятия по регулированию глубины оттаивания основания.
Рекомендуемое
РАСЧЕТ СВАЙНЫХ ФУНДАМЕНТОВ НА ДЕЙСТВИЕ
ГОРИЗОНТАЛЬНЫХ СИЛ И ИЗГИБАЮЩИХ МОМЕНТОВ
1. При расчете свайных фундаментов на действие горизонтальных сил и изгибающих моментов следует рассматривать следующие расчетные схемы:
схема 1 - свая погружена в твердомерзлый грунт, глубина сезонного оттаивания которого

, где b - размер поперечного сечения сваи в направлении действия горизонтальной силы; свая принимается жестко заделанной в вечномерзлый грунт в сечении на глубине 1,5b от его верхней поверхности, сопротивление вышерасположенных слоев грунта не учитывается, расчетная длина сваи l принимается равной

;
схема 2 - свая погружена в твердомерзлый грунт, глубина сезонного оттаивания которого

, условия заделки сваи в вечномерзлый грунт те же, что и в
схеме 1, а вышерасположенные грунты рассматриваются, как линейно-деформируемая среда с коэффициентом постели, возрастающим пропорционально глубине; схему 2 допускается также принимать при

, если сезоннооттаивающий слой сложен маловлажными крупнообломочными и песчаными грунтами, а также пылевато-глинистыми грунтами с показателем текучести в талом состоянии

;
схема 3 - свая погружена в пластичномерзлый грунт, а также в случаях использования вечномерзлых грунтов в качестве основания по
принципу II; окружающие сваю грунты рассматриваются как линейно-деформируемая среда с коэффициентом постели, возрастающим пропорционально глубине от поверхности грунта.
Расчет свай по указанным схемам следует выполнять в соответствии с указаниями
СНиП 2.02.03-85 исходя из приведенной глубины погружения свай d', определяемой по формуле

, (1)
где d - расчетная глубина сваи, равная

при расчетах по
схеме 2 и равная фактической глубине погружения сваи при расчетах по
схеме 3, отсчитываемая от поверхности грунта при высоком ростверке и от подошвы ростверка - при низком ростверке;

- коэффициент деформации системы "свая-грунт", 1/м, определяемый:
по результатам полевых испытаний свай при расчете свайных фундаментов в пластичномерзлых грунтах по
схеме 3; значение

в этом случае допускается определять по формуле
(44) при условной стабилизации горизонтальных перемещений

испытываемой сваи.
Примечание. Расчет фундаментов опор мостов на совместное действие вертикальных и горизонтальных нагрузок следует производить в соответствии с требованиями
СНиП 2.05.03-84 с учетом указаний
п. 9.17.
Расчет свайных фундаментов на горизонтальные смещения, вызванные температурными деформациями ростверков, следует производить по
схеме 2, принимая расчетную глубину погружения свай (считая от поверхности грунта до уровня жесткой заделки) по формуле

, (2)
где

- коэффициент влияния окружающего грунта, доли единицы, принимаемый по таблице в зависимости от значения

.
──────────────────────┬────┬────┬────┬────┬────┬────┬────┬────┬───
Коэффициент │0 │0,2 │0,4 │0,6 │0,8 │1,0 │1,2 │1,4 │1,6
альфа │ │ │ │ │ │ │ │ │
эпсилон │ │ │ │ │ │ │ │ │
──────────────────────┼────┼────┼────┼────┼────┼────┼────┼────┼───
Коэффициент n │1,00│0,99│0,94│0,81│0,60│0,37│0,18│0,06│ 0
альфа │ │ │ │ │ │ │ │ │
──────────────────────┴────┴────┴────┴────┴────┴────┴────┴────┴───
Рекомендуемое
РАСЧЕТ ОСАДОК ОСНОВАНИЙ, СЛОЖЕННЫХ СИЛЬНОЛЬДИСТЫМИ
ГРУНТАМИ И ПОДЗЕМНЫМ ЛЬДОМ
1. Осадка основания столбчатого фундамента на сильнольдистых грунтах определяется согласно указаниям
пп. 4.21, 4.22 и
5.8. При этом составляющую осадки

, м (см), обусловленную уплотнением оснований под нагрузкой, допускается определять по формуле

, (1)
где n и

- соответственно число выделенных слоев грунта и их толщина, м (см);

- относительное сжатие j-го слоя грунта, доли единицы, определяемое опытным путем; для прослоев льда значение

допускается определять по формуле

, (2)
здесь

- пористость j-го слоя льда;
p - среднее давление на грунт под подошвой фундамента, кПа (кгс/см2);

- атмосферное давление, принимаемое равным 10,0 кПа (1 кгс/см2);

- природное (бытовое) давление в середине j-го слоя, кПа (кгс/см2);

- безмерный коэффициент, принимаемый по
табл. 1 в зависимости от отношения сторон подошвы фундамента l/b и относительной глубины

(здесь

и

- расстояния от подошвы фундамента соответственно до кровли и подошвы j-го слоя льда).
Таблица 1
Коэффициент

────────┬─────────────────────────────────────────────────────────
z'/b │ Значения коэффициента альфа при l/b
│ m
├──────┬──────┬──────┬──────┬──────┬──────┬──────┬────────
│ 1,0 │ 1,2 │ 1,4 │ 1,6 │ 1,8 │ 2,0 │ 3,0 │ 10,0
────────┼──────┼──────┼──────┼──────┼──────┼──────┼──────┼────────
0,4 │0,417 │0,450 │0,474 │0,492 │0,506 │0,516 │0,545 │0,569
0,6 │0,269 │0,299 │0,324 │0,343 │0,358 │0,370 │0,406 │0,438
0,8 │0,181 │0,206 │0,227 │0,245 │0,259 │0,272 │0,310 │0,350
1,0 │0,128 │0,148 │0,165 │0,180 │0,193 │0,205 │0,243 │0,289
1,5 │0,064 │0,075 │0,085 │0,095 │0,104 │0,112 │0,143 │0,196
2,0 │0,038 │0,044 │0,051 │0,057 │0,063 │0,069 │0,093 │0,145
2,5 │0,025 │0,029 │0,038 │0,038 │0,042 │0,046 │0,064 │0,112
3,0 │0,017 │0,020 │0,024 │0,027 │0,030 │0,033 │0,047 │0,090
────────┴──────┴──────┴──────┴──────┴──────┴──────┴──────┴────────
2. Скорость осадки сильнольдистых грунтов v, м/год (см/год), обусловленная их пластичновязким течением, определяется по формуле

, (3)
где m - число месяцев в году, в течение которых развиваются деформации ползучести грунтов;

- среднемесячная скорость осадки, м/мес (см/мес), определяемая согласно указаниям п. 3.
3. Среднемесячная скорость осадки сильнольдистых грунтов основания

, м/мес (см/мес), определяется по формуле

, (4)
где n - число слоев грунта, в пределах которых определяется среднемесячная температура

;

- толщина k-го слоя грунта, м (см); принимается не более 0,2b (b - меньший размер подошвы фундамента);

- скорость относительной деформации k-го слоя грунта, 1/ч, при среднемесячной температуре грунта

, определяемая по формуле

, (5)
здесь

- коэффициент вязкости k-го слоя грунта основания, кПа x ч (кгс x ч/см2), определяемый согласно указаниям
п. 5;

- напряжение, кПа (кгс/см2), в k-ом слое грунта основания, определяемое по п. 4;

- предел текучести k-го слоя грунта основания, кПа (кгс/см2), определяемый по
п. 5.
4. Напряжение

вычисляется по формуле

, (6)
где

и

- напряжения, кПа (кгс/см2), на верхней и нижней границах k-го слоя, определяемые по формуле

, (7)
здесь

- безразмерный коэффициент, принимаемый по
табл. 2 в зависимости от отношения сторон подошвы фундамента l/b и от значения z'/b (здесь z' - расстояние от низа подошвы фундамента до уровня, на котором определяется напряжение);

- дополнительное (к природному) вертикальное давление на грунт под подошвой фундамента, кПа (кгс/см2);
где p - среднее давление на грунт под подошвой фундамента от постоянной и длительных долей временных нагрузок, кПа (кгс/см2);

- природное (бытовое) давление в грунте на уровне подошвы фундамента от веса вышележащих слоев грунтов (до отметки природного рельефа), кПа (кгс/см2).
Таблица 2
Коэффициент

────────┬─────────────────────────────────────────────────────────
z'/b │ Значения коэффициента альфа при l/b
│ 0
├──────┬──────┬──────┬──────┬──────┬──────┬──────┬────────
│ 1,0 │ 1,2 │ 1,4 │ 1,6 │ 1,8 │ 2 │ 3 │ 10
────────┼──────┼──────┼──────┼──────┼──────┼──────┼──────┼────────
0,05 │0,089 │0,090 │0,077 │0,074 │0,072 │0,070 │0,066 │0,063
0,1 │0,171 │0,159 │0,150 │0,144 │0,140 │0,137 │0,129 │0,123
0,2 │0,298 │0,281 │0,269 │0,259 │0,252 │0,247 │0,232 │0,221
0,4 │0,382 │0,356 │0,373 │0,366 │0,360 │0,354 │0,334 │0,312
0,6 │0,337 │0,352 │0,359 │0,360 │0,359 │0,357 │0,342 │0,316
0,8 │0,268 │0,290 │0,304 │0,307 │0,318 │0,321 │0,316 │0,291
1,0 │0,208 │0,231 │0,248 │0,261 │0,270 │0,276 │0,282 │0,260
1,5 │0,115 │0,133 │0,147 │0,160 │0,171 │0,180 │0,204 │0,198
2,0 │0,071 │0,083 │0,094 │0,104 │0,113 │0,121 │0,148 │0,158
2,5 │0,047 │0,056 │0,064 │0,071 │0,078 │0,085 │0,109 │0,132
3,0 │0,034 │0,040 │0,046 │0,052 │0,057 │0,062 │0,083 │0,112
4,0 │0,019 │0,023 │0,027 │0,030 │0,033 │0,037 │0,051 │0,085
────────┴──────┴──────┴──────┴──────┴──────┴──────┴──────┴────────
Среднее дополнительное давление на грунт

должно удовлетворять условию

, (8)
где

- безразмерный коэффициент, принимаемый по
табл. 3 при

;

- наибольшее значение напряжения, кПа (кгс/см2), при котором сохраняется линейная зависимость скорости установившегося течения от напряжения на начальном участке реологической кривой, определяемое по
п. 5.
Таблица 3
Коэффициент

────────┬─────────────────────────────────────────────────────────
h /b │ Значения коэффициента k при l/b
s │ f
├──────┬──────┬──────┬──────┬──────┬──────┬──────┬────────
│ 1 │ 1,2 │ 1,4 │ 1,6 │ 1,8 │ 2 │ 3 │ 10
────────┼──────┼──────┼──────┼──────┼──────┼──────┼──────┼────────
0 │ 2,6 │ 2,65 │ 2,7 │ 2,7 │ 2,75 │ 2,8 │ 2,9 │ 3,2
0,5 │ 3,3 │ 3,35 │ 3,4 │ 3,4 │ 3,45 │ 3,5 │ 3,6 │ 3,8
1,0 │ 3,8 │ 4,40 │ 4,8 │ 4,8 │ 4,60 │ 4,4 │ 4,3 │ 4,6
1,5 │10,0 │ 8,70 │ 7,7 │ 7,1 │ 6,70 │ 6,4 │ 5,6 │ 5,8
2,0 │16,2 │13,8 │12,1 │11,0 │10,2 │ 9,5 │ 7,7 │ 7,5
────────┴──────┴──────┴──────┴──────┴──────┴──────┴──────┴────────
5. Расчетные характеристики сильнольдистого грунта

,

,

определяются при инженерных изысканиях из испытаний образцов мерзлого грунта на одноосное сжатие в соответствии с ГОСТ 24586-81.
Температуры

, в зависимости от которых устанавливаются значения

и

, следует определять по
формулам (6) -
(8) настоящих норм. Значения коэффициента

для определения температуры принимаются по
табл. 4 для j-го месяца и глубины залегания середины k-го слоя z, измеряемой от верхней поверхности вечномерзлых грунтов. При этом за первый месяц (j = 1) принимается тот, в котором глубина сезонного протаивания достигает наибольшего значения. Для

температура принимается равной температуре на глубине ниже подошвы фундамента на 0,5b (здесь b - ширина подошвы фундамента).
Таблица 4
Коэффициент

────┬─────────────────────────────────────────────────────────────
z, м│ Значения коэффициента альфа при j, мес.
│ j,k
├────┬────┬────┬────┬────┬────┬────┬────┬────┬────┬────┬──────
│ 1 │ 2 │ 3 │ 4 │ 5 │ 6 │ 7 │ 8 │ 9 │ 10 │ 11 │ 12
────┼────┼────┼────┼────┼────┼────┼────┼────┼────┼────┼────┼──────
1,0 │0,34│0,31│0,46│0,76│1,12│1,45│1,66│1,69│1,54│1,24│0,88│0,55
2,0 │0,62│0,51│0,53│0,68│0,91│1,17│1,38│1,49│1,47│1,32│1,09│0,83
3,0 │0,83│0,70│0,65│0,70│0,82│1,00│1,17│1,30│1,35│1,30│1,18│1,00
4,0 │0,96│0,84│0,77│0,76│0,81│0,91│1,04│1,16│1,23│1,24│1,19│1,08
5,0 │1,03│0,94│0,87│0,83│0,84│0,89│0,97│1,06│1,13│1,17│1,16│1,11
6,0 │1,06│1,00│0,94│0,90│0,88│0,90│0,94│1,00│1,06│1,10│1,12│1,10
Обозначение, принятое в табл. 4: z - расстояние от верхней
поверхности вечномерзлых грунтов до уровня, на котором
определяется температура.
──────────────────────────────────────────────────────────────────
6. Скорость осадки подземного льда v, м/год (см/год), обусловленная его пластичновязким течением, определяется по формуле

, (9)
где

- дополнительное (к природному) вертикальное давление на грунт под подошвой фундамента, кПа (кгс/см2), определяемое так же, как и в
п. 4.
b - ширина подошвы фундамента, м (см);

- параметр, характеризующий вязкость льда, определяемый из испытаний образцов льда на одноосное сжатие, °С/(кПа x ч) [см2 x х град/(кгс x ч)];
n - число слоев, на которое разделяется толща льда (толщина слоя принимается не более 0,4b);

,

- коэффициенты, 1/°С, принимаемые по
табл. 6 в зависимости от температуры основания (

-

) и расстояний от верхней поверхности вечномерзлых грунтов до кровли

и подошвы

j-го слоя льда;

,

- безразмерные коэффициенты, определяемые по табл. 5 в зависимости от отношения сторон подошвы фундамента l/b и соответственно относительных глубин

и

(здесь

и

) - расстояния от подошвы фундамента соответственно до кровли и подошвы j-го слоя льда).
Таблица 5
Коэффициент

───────────┬──────────────────────────────────────────────────────
z'/ b │ Значения коэффициента омега при l/b
├─────┬─────┬─────┬─────┬─────┬─────┬─────┬─────┬──────
│ 1 │ 1,2 │ 1,4 │ 1,6 │ 1,8 │ 2 │ 3 │ 4 │ 10
───────────┼─────┼─────┼─────┼─────┼─────┼─────┼─────┼─────┼──────
0 │0 │0 │0 │0 │0 │0 │0 │0 │0
0,5 │0,070│0,068│0,066│0,065│0,063│0,062│0,059│0,058│0,055
1,0 │0,145│0,145│0,145│0,145│0,145│0,144│0,139│0,136│0,130
1,5 │0,181│0,189│0,194│0,198│0,200│0,201│0,200│0,196│0,186
2,0 │0,204│0,216│0,224│0,230│0,235│0,238│0,243│0,242│0,231
2,5 │0,218│0,232│0,243│0,262│0,258│0,263│0,275│0,277│0,267
3,0 │0,228│0,244│0,257│0,267│0,275│0,281│0,299│0,305│0,297
3,5 │0,236│0,253│0,267│0,278│0,287│0,295│0,317│0,326│0,323
4,0 │0,241│0,259│0,274│0,286│0,297│0,305│0,332│0,344│0,346
5,0 │0,249│0,269│0,285│0,299│0,310│0,320│0,353│0,370│0,384
6,0 │0,254│0,275│0,292│0,307│0,319│0,330│0,368│0,389│0,414
───────────┴─────┴─────┴─────┴─────┴─────┴─────┴─────┴─────┴──────
Таблица 6
Значения коэффициента

────────┬─────────────────────────────────────────────────────────
z, м │ Коэффициент k , 1/°С, при температуре T - T , °C
│ t 0 bf
├──────┬──────┬──────┬──────┬──────┬──────┬──────┬────────
│ -2,5 │ -3 │ -3,5 │ -4 │ -5 │ -6 │ -8 │ -10
────────┼──────┼──────┼──────┼──────┼──────┼──────┼──────┼────────
0 │0,408 │0,377 │0,353 │0,333 │0,301 │0,277 │0,243 │0,218
1,0 │0,327 │0,295 │0,266 │0,242 │0,206 │0,179 │0,143 │0,118
1,5 │0,316 │0,279 │0,251 │0,227 │0,192 │0,166 │0,131 │0,108
2,0 │0,307 │0,269 │0,241 │0,218 │0,184 │0,158 │0,124 │0,102
2,5 │0,299 │0,263 │0,235 │0,213 │0,178 │0,153 │0,120 │0,098
3,0 │0,295 │0,259 │0,231 │0,208 │0,174 │0,150 │0,117 │0,096
4,0 │0,289 │0,255 │0,227 │0,204 │0,170 │0,146 │0,114 │0,094
5,0 │0,288 │0,252 │0,225 │0,202 │0,168 │0,144 │0,112 │0,092
6,0 │0,287 │0,251 │0,223 │0,200 │0,167 │0,143 │0,111 │0,091
Обозначение, принятое в табл. 6: z - расстояние от верхней
поверхности вечномерзлых грунтов до рассматриваемого уровня.
──────────────────────────────────────────────────────────────────
Среднее дополнительное давление

должно удовлетворять условию (8), при этом значение

определяется по
табл. 3 в зависимости от толщины грунтовой прослойки под фундаментом

и размеров подошвы l и b. Значение

определяется из испытаний образцов льда на одноосное сжатие при температуре
(п. 4.12) на уровне кровли льда.
Рекомендуемое
РАСЧЕТ ГЛУБИНЫ ОТТАИВАНИЯ ГРУНТОВ ПОД СООРУЖЕНИЯМИ
1. Расчет глубины оттаивания грунтов в основании сооружения
(п. 4.25) Н, м (считая от поверхности грунта под сооружением), за время его эксплуатации t, с(ч), производится по формулам:
под серединой сооружения

, (1)
под краем сооружения

, (2)
где

- коэффициент, определяемый по
табл. 1 в зависимости от отношения L/B (соответственно длина и ширина сооружения, м) и значений параметров

и

;

и

- коэффициенты, определяемые по графикам
черт. 1 в зависимости от значений параметров

,

и

;

и

- коэффициенты, определяемые по графикам
черт. 2 в зависимости от значений параметров

,

и

:

; (3)

; (4)

, (5)
здесь

и

- соответственно теплопроводность талого и мерзлого грунта, Вт/(м x °С) [ккал/(м x ч x °С)], принимаемые по
табл. 3 обязательного Приложения 1;

- сопротивление теплопередаче пола первого этажа или подвала сооружения, м2 x °С/Вт (м2 x °С x ч/ккал) определяемое в соответствии со
СНиП II-3-79*;

- расчетная среднегодовая температура вечномерзлого грунта, °С, определяемая в соответствии с
п. 8 обязательного Приложения 3;

- температура начала замерзания грунта, °С, определяемая по
п. 5 обязательного Приложения 1;

- расчетная температура воздуха внутри сооружения, °С;

- теплота таяния мерзлого грунта, Дж/м3 (ккал/м3), определяемая по
формуле (3) обязательного Приложения 1.
Примечания. 1. При

значения

следует определять по формуле

.
2. Если вычисленные по
формуле (2) значения

получаются меньше нормативной глубины сезонного оттаивания грунта

, то следует принимать

.
Таблица 1
Коэффициент

─────┬──────────────────────────────────────────────────────────────────────────
Пара-│ Значения коэффициента k
метр │ n
пси ├────────────────────────┬─────────────────────────────────────────────────
│ для круглых в плане │ для прямоугольных в плане сооружений, при
│ сооружений при бета, ├────────────────────────┬────────────────────────
│ равном │ L/B = 1 и бета, равном │ L/B = 2 и бета, равном
├────┬────┬────┬────┬────┼────┬────┬────┬────┬────┼────┬────┬────┬────┬────
│ 0 │0,4 │0,8 │1,2 │2,0 │ 0 │0,4 │0,8 │1,2 │2,0 │ 0 │0,4 │0,8 │1,2 │2,0
─────┼────┼────┼────┼────┼────┼────┼────┼────┼────┼────┼────┼────┼────┼────┼────
0,10│0,97│0,87│0,82│0,76│0,71│1,00│0,93│0,87│0,83│0,80│1,00│1,00│0,99│0,97│0,96
0,25│0,93│0,79│0,71│0,64│0,61│0,95│0,85│0,78│0,74│0,68│1,00│0,97│0,92│0,89│0,96
0,50│0,91│0,71│0,62│0,61│0,61│0,94│0,78│0,68│0,66│0,68│0,99│0,95│0,88│0,85│0,87
1,00│0,90│0,64│0,57│0,59│0,61│0,92│0,70│0,63│0,66│0,68│0,97│0,90│0,82│0,85│0,87
1,50│0,89│0,59│0,56│0,59│0,61│0,90│0,64│0,63│0,66│0,68│0,96│0,87│0,82│0,85│0,87
2,50│0,88│0,54│0,56│0,59│0,61│0,89│0,58│0,63│0,66│0,68│0,95│0,84│0,82│0,85│0,87
3,50│0,87│0,53│0,56│0,59│0,61│0,88│0,57│0,63│0,66│0,68│0,94│0,83│0,82│0,85│0,87
─────┴────┴────┴────┴────┴────┴────┴────┴────┴────┴────┴────┴────┴────┴────┴────
Черт. 1. Графики для определения
коэффициентов

и

Черт. 2. Графики для определения
коэффициентов

и

2. Максимальная глубина оттаивания грунта

, м, (считая от поверхности грунта под сооружением), соответствующая установившемуся предельному положению границы зоны оттаивания, определяется по формулам:
под серединой сооружения

; (6)
под краем сооружения

, (7)
где

- коэффициент, определяемый по табл. 2;
Таблица 2
Коэффициент

─────────────────┬─────┬──────────────────────────────────────────
Форма сооружения│ L/B │Значения коэффициента k при бета, равном
│ │ s
│ ├───────┬───────┬───────┬───────┬─────────
│ │ 0,2 │ 0,4 │ 0,8 │ 1,2 │ 2,0
─────────────────┼─────┼───────┼───────┼───────┼───────┼─────────
Круглая │ - │ 0,40 │ 0,49 │ 0,56 │ 0,59 │ 0,61
│ 1│ 0,45 │ 0,55 │ 0,63 │ 0,66 │ 0,68
│ 2│ 0,62 │ 0,74 │ 0,82 │ 0,85 │ 0,87
│ │ │ │ │ │
Прямоугольная │ 3│ 0,72 │ 0,83 │ 0,90 │ 0,92 │ 0,94
│ 4│ 0,79 │ 0,89 │ 0,94 │ 0,95 │ 0,96
│ 5│ 0,84 │ 0,92 │ 0,96 │ 0,97 │ 0,98
│>= 10│ 1,00 │ 1,00 │ 1,00 │ 1,00 │ 1,00
─────────────────┴─────┴───────┴───────┴───────┴───────┴──────────
Черт. 3. Графики для определения коэффициентов:
3. Для заглубленного сооружения глубина оттаивания грунта Н, м (считая от поверхности грунта под заглубленной частью сооружения), за время t, с(ч), определяется по формулам:
под серединой сооружения

; (8)
под краем сооружения

, (9)
где

- коэффициент, определяемый по
табл. 3;

- коэффициент, определяемый по графикам
черт. 4 в зависимости от отношения заглубления сооружения к его ширине H/B, параметра

и коэффициента

, определяемого по формуле

, (10)
здесь

- коэффициент, определяемый по графикам
черт. 4 в зависимости от параметров Н/В и

при

.
Таблица 3
Коэффициент

─────────┬────────────────────────────────────────────────────────
H/B │ Значения коэффициента k при бета, равном
│ d
├──────────┬──────────┬──────────┬──────────┬────────────
│ 0 - 0,2 │ 0,4 │ 0,8 │ 1,2 │ 2,0
─────────┼──────────┼──────────┼──────────┼──────────┼────────────
0 │ 0,85 │ 0,69 │ 0,39 │ 0,22 │ 0,13
0,25 │ 0,88 │ 0,76 │ 0,62 │ 0,48 │ 0,29
0,50 │ 0,90 │ 0,82 │ 0,69 │ 0,57 │ 0,38
0,75 │ 0,92 │ 0,87 │ 0,75 │ 0,63 │ 0,46
1,00 │ 0,93 │ 0,90 │ 0,78 │ 0,66 │ 0,51
─────────┴──────────┴──────────┴──────────┴──────────┴────────────
Черт. 4. Графики для определения коэффициента

4. Максимальная глубина оттаивания грунта под заглубленным сооружением

, м, определяется по формулам:
под серединой сооружения

; (11)
под краем сооружения

, (12)
где

- коэффициент, определяемый по графикам
черт. 3, в.
5. На участках, где слой сезонного промерзания не сливается с верхней поверхностью вечномерзлого грунта, глубина оттаивания грунта под серединой

и краем сооружения

, м, (считая от верхней поверхности вечномерзлого грунта) за время t, с(ч), определяется по формулам:

; (13)

, (14)
где

- коэффициент, определяемый по
п. 1, принимая

= 0 и

=

;

; (15)

и

- коэффициенты, определяемые соответственно по графикам
черт. 5 и
6 в зависимости от значения параметров

и

;
где

- глубина залегания верхней поверхности вечномерзлого грунта, м.
6. В случаях проведения мероприятий по предварительному оттаиванию или замене грунтов до глубины
(п. 3.26) расчетная глубина оттаивания Н, м, (считая от поверхности грунта под сооружением) за время t, с(ч), определяется по формуле

, (16)
где

- глубина оттаивания грунта под подошвой предварительно оттаянного или замененного слоя грунта, определяемая по
формулам (13) или
(14), принимая значения

и

' по графикам черт. 5 и 6 при значении параметра

.
Черт. 5. Графики для определения коэффициента

Черт. 6. Графики для определения коэффициента

Справочное
ОСНОВНЫЕ БУКВЕННЫЕ ОБОЗНАЧЕНИЯ ВЕЛИЧИН
Коэффициенты надежности и условий работы

- по грунту;

- по назначению сооружения;

- по виду фундаментов;

- коэффициент условий работы;

- температурный коэффициент условий работы;

- сейсмический коэффициент условий работы;

- коэффициент условий смерзания грунтов с фундаментом;

- коэффициент условий работы оттаивающего грунта.
Физические и теплофизические характеристики грунтов

- нормативные значения характеристик;

- расчетные значения характеристик;

- средние значения характеристик;

- доверительная вероятность (обеспеченность) расчетных значений характеристик;

- суммарная влажность мерзлого грунта;

- влажность мерзлого грунта за счет ледяных включений;

- влажность мерзлого грунта за счет порового льда (льда-цемента);

- влажность мерзлого грунта, расположенного между льдистыми включениями;

- влажность мерзлого грунта за счет незамерзшей воды (содержание незамерзшей воды);

- влажность грунта на границе пластичности (раскатывания);

- суммарная льдистость мерзлого грунта;

- льдистость грунта за счет ледяных включений;

- льдистость грунта за счет порового льда;

- степень заполнения объема пор мерзлого грунта льдом и незамерзшей водой (степень влажности);

- число пластичности грунта;

- относительное содержание органического вещества;

- степень засоленности мерзлого грунта;

- концентрация порового раствора в засоленном грунте;

- плотность грунта;

- плотность мерзлого грунта;

- плотность мерзлого грунта в сухом состоянии (плотность скелета мерзлого грунта);

- плотность талого грунта в сухом состоянии (плотность скелета грунта);

- плотность частиц грунта;

- плотность льда;

- плотность воды;

- коэффициент пористости мерзлого грунта;

- теплопроводность грунта в мерзлом состоянии;

- теплопроводность грунта в талом состоянии;

- объемная теплоемкость грунта в мерзлом состоянии;

- объемная теплоемкость грунта в талом состоянии.
Деформационно-прочностные характеристики и сопротивления
мерзлых грунтов на силовые воздействия
Е - модуль деформации грунта;

- эквивалентное сцепление мерзлого грунта;

- коэффициент сжимаемости мерзлого грунта;

- коэффициент сжимаемости оттаивающего грунта;

- относительное сжатие льда;

- относительная деформация оттаивающего грунта;

- коэффициент вязкости мерзлого грунта;

- предел текучести мерзлого грунта;

- коэффициент оттаивания мерзлого грунта;
R - расчетное давление на мерзлый грунт (сопротивление мерзлого грунта нормальному давлению);

- сопротивление мерзлого грунта сдвигу по поверхности смерзания с фундаментом;

- сопротивление мерзлого грунта сдвигу по грунту или грунтовому раствору;

- удельная касательная сила пучения промерзающего грунта;

- удельное нормальное давление морозного пучения грунта;

- удельное отрицательное трение оттаивающего грунта на поверхности фундамента;

- коэффициент деформации системы "свая - грунт" на горизонтальные усилия.
Нагрузки и напряжения
F - расчетная нагрузка на основание;

- несущая способность (сила предельного сопротивления) снования фундаментов;

- расчетная горизонтальная нагрузка на фундамент;

- предельная горизонтальная нагрузка на фундамент;

- расчетная сила пучения;

- сила, удерживающая фундамент от выпучивания;

- сила отрицательного (негативного) трения;

- расчетные усилия в элементах конструкции сооружения (фундаментов);

- предельные усилия в элементах конструкции;

и

- несущая способность проектируемой и опытной свай;
М - момент внешних сил;

- момент внешних сил, воспринимаемый силами смерзания грунта по боковой поверхности фундамента;

и

- моменты внешних сил по сторонам фундамента;
p - среднее давление под подошвой фундамента;

- среднее дополнительное давление под подошвой фундамента;
q - равномерно распределенная вертикальная нагрузка;

- природное (бытовое) давление в грунте;

- дополнительное вертикальное напряжение в грунте (от веса сооружения);

- атмосферное давление.
Осадки (деформации) основания
s - совместная осадка (деформация) основания и сооружения;

- предельно допустимая совместная осадка (деформация) основания и сооружения;

- осадка пластичномерзлого основания;

- составляющая осадки оттаивающего основания за счет природного (бытового) давления;

- составляющая осадки оттаивающего основания под действием нагрузки от здания;

- осадка уплотнения предварительно оттаянного слоя грунта;

- дополнительная осадка, обусловленная оттаиванием мерзлого грунта;

и

- осадки краев фундамента;

- осадка мерзлого основания, обусловленная пластичновязким течением грунта или льда;
v - скорость осадки пластичномерзлого основания.
Параметры теплотехнических расчетов оснований
Т - температура;

- расчетная среднегодовая температура вечномерзлого грунта;

- нормативная среднегодовая температура вечномерзлого грунта;

- среднегодовая температура вечномерзлого грунта на его верхней поверхности;

- расчетные температуры грунтов в основании сооружения;

- температура начала замерзания грунта;

- температура наружного воздуха;

- температура воздуха в подполье здания;

- температура в помещении;

и

- средние температуры воздуха за период с отрицательными и положительными температурами;
t - время;

- расчетный срок эксплуатации сооружения;

- коэффициент теплового влияния сооружения;

- коэффициент сезонного изменения температуры грунтов основания;
М - модуль вентилирования подполья здания;

- сопротивление теплопередаче перекрытия над подпольем;

- сопротивление теплопередаче теплоизоляции трубопроводов;

- теплота таяния (замерзания) грунта;

- удельная теплота фазовых переходов вода - лед.
Геометрические характеристики
В - ширина сооружения;
L - длина сооружения;
a и b - стороны подошвы фундамента;
l - длина сваи;
е - эксцентриситет;
А - площадь подошвы фундамента;

- площадь поверхности смерзания грунта с фундаментом;

- периметр фундамента;

- глубина заделки свай;
d - глубина заложения фундамента;

- расчетная глубина сезонного оттаивания грунта;

- нормативная глубина сезонного оттаивания грунта;

- расчетная глубина сезонного промерзания грунта;

- нормативная глубина сезонного промерзания грунта;
h - толщина слоя грунта;
Н - глубина оттаивания грунта в основании сооружения за расчетный срок его эксплуатации;

- максимальная глубина оттаивания грунта под сооружением;

- глубина предварительного оттаивания грунта;
z - глубина до расчетного уровня.