Главная // Актуальные документы // Поправка / Поправки
СПРАВКА
Источник публикации
ИУС "Национальные стандарты", N 12, 2022
Примечание к документу
Документ введен в действие с 28.09.2022.
Название документа
"Поправка к ГОСТ 32569-2013 "Трубопроводы технологические стальные. Требования к устройству и эксплуатации на взрывопожароопасных и химически опасных производствах"
(введена в действие с 28.09.2022)


"Поправка к ГОСТ 32569-2013 "Трубопроводы технологические стальные. Требования к устройству и эксплуатации на взрывопожароопасных и химически опасных производствах"
(введена в действие с 28.09.2022)

МКС 75.180.20
ПОПРАВКА К ГОСТ 32569-2013
"ТРУБОПРОВОДЫ ТЕХНОЛОГИЧЕСКИЕ СТАЛЬНЫЕ.
ТРЕБОВАНИЯ К УСТРОЙСТВУ И ЭКСПЛУАТАЦИИ
НА ВЗРЫВОПОЖАРООПАСНЫХ И ХИМИЧЕСКИ ОПАСНЫХ ПРОИЗВОДСТВАХ"
Дата введения
28 сентября 2022 года
В каком месте
Напечатано
Должно быть
где - падение давления, % от испытательного давления;
Pкон, Pнач - сумма манометрического и барометрического давлений соответственно в конце и в начале испытания, МПа;
Tнач, Tкон - температура в трубопроводе соответственно в начале и в конце испытания, К.
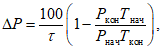
где - падение давления, % от испытательного давления;
- время испытаний, ч;
Pкон, Pнач - сумма манометрического и барометрического давлений соответственно в конце и в начале испытания, МПа;
Tнач, Tкон - температура в трубопроводе соответственно в начале и в конце испытания, К.