Главная // Актуальные документы // ПНСТ (Предварительный национальный стандарт)СПРАВКА
Источник публикации
М.: Стандартинформ, 2016
Примечание к документу
Документ утратил силу с 1 января 2018 года в связи с истечением срока действия, установленного
Приказом Росстандарта от 07.10.2016 N 68-пнст.
Документ
введен в действие с 1 января 2017 года на период по 1 января 2018 года (
Приказ Росстандарта от 07.10.2016 N 68-пнст).
Название документа
"ПНСТ 146-2016. Предварительный национальный стандарт Российской Федерации. Статистические методы. Контрольные карты. Часть 6. EWMA-карты"
(утв. и введен в действие Приказом Росстандарта от 07.10.2016 N 68-пнст)
"ПНСТ 146-2016. Предварительный национальный стандарт Российской Федерации. Статистические методы. Контрольные карты. Часть 6. EWMA-карты"
(утв. и введен в действие Приказом Росстандарта от 07.10.2016 N 68-пнст)
Утвержден и введен в действие
по техническому регулированию
и метрологии
от 7 октября 2016 г. N 68-пнст
ПРЕДВАРИТЕЛЬНЫЙ НАЦИОНАЛЬНЫЙ СТАНДАРТ РОССИЙСКОЙ ФЕДЕРАЦИИ
СТАТИСТИЧЕСКИЕ МЕТОДЫ
КОНТРОЛЬНЫЕ КАРТЫ
ЧАСТЬ 6
EWMA-КАРТЫ
Statistical methods. Control charts. Part 6. EWMA-charts
(ISO 7870-6:2016, NEQ)
ПНСТ 146-2016
Группа Т59
Срок действия
с 1 января 2017 года
по 1 января 2018 года
1 РАЗРАБОТАН Автономной некоммерческой организацией "Международный институт образования" (АНО "МИО")
2 ВНЕСЕН Техническим комитетом по стандартизации ТК 125 "Применение статистических методов"
3 УТВЕРЖДЕН И ВВЕДЕН В ДЕЙСТВИЕ
Приказом Федерального агентства по техническому регулированию и метрологии от 7 октября 2016 г. N 68-пнст
4 Настоящий стандарт разработан с учетом основных нормативных положений международного стандарта ИСО 7870-6:2016 "Контрольные карты. Часть 6. EWMA-карты" (ISO 7870-6:2016 "Control charts - Part 6: EWMA control charts", NEQ)
5 ВВЕДЕН ВПЕРВЫЕ
Правила применения настоящего стандарта и проведения его мониторинга установлены в ГОСТ Р 1.16-2011 (
разделы 5 и
6).
Федеральное агентство по техническому регулированию и метрологии собирает сведения о практическом применении настоящего стандарта. Данные сведения, а также замечания и предложения по содержанию стандарта можно направить не позднее чем за девять месяцев до истечения срока его действия разработчику настоящего стандарта по адресу: Москва, Нахимовский пр-т, д. 31, корп. 2 и в Федеральное агентство по техническому регулированию и метрологии по адресу: 109074, Москва, Китайгородский пр., д. 1, стр. 1.
В случае отмены настоящего стандарта соответствующее уведомление будет также опубликовано в ежемесячных изданиях: информационном указателе "Национальные стандарты" и журнале "Вестник технического регулирования". Уведомление также будет размещено на официальном сайте Федерального агентства по техническому регулированию и метрологии в сети Интернет (www.gost.ru)
Контрольные карты являются широко известным способом статистического управления процессами. Наиболее распространенными картами являются карты Шухарта, однако они медленно реагируют на небольшие изменения параметров процесса.
Бывают ситуации, когда изменение параметров процесса происходит медленно и усиливаются со временем (например, в случае непрерывных процессов). Для обнаружения медленных, прогрессирующих изменений процесса, более всего подходят специальные карты. Специальные карты позволяют учитывать данные предыдущих периодов и являются эффективным методом управления процессом, не требующим высоких затрат.
Карты экспоненциально взвешенных скользящих средних (EWMA) обеспечивают более быстрое обнаружение небольших и средних сдвигов распределений исследуемых характеристик процесса, чем контрольные карты Шухарта.
Как правило, EWMA-карты используют для обнаружения небольших сдвигов среднего процесса. С их помощью гораздо быстрее выявляют сдвиги величиной от 0,5 до 2 (

- среднеквадратическое отклонение). Тем не менее, такие карты медленнее выявляют большие сдвиги среднего процесса. EWMA-карты предпочтительно использовать, когда размер подгруппы равен единице.
В настоящем стандарте установлены основные принципы построения и применения контрольных карт экспоненциально взвешенных скользящих средних (EWMA-карт).
В настоящем стандарте использованы нормативные ссылки на следующие стандарты:
ГОСТ Р 50779.11-2000 Статистические методы. Статистическое управление качеством. Термины и определения
Примечание - При пользовании настоящим стандартом целесообразно проверить действие ссылочных стандартов в информационной системе общего пользования - на официальном сайте Федерального агентства по техническому регулированию в сети Интернет или по ежегодному информационному указателю "Национальные стандарты", который опубликован по состоянию на 1 января текущего года, и по выпускам ежемесячного информационного указателя "Национальные стандарты" за текущий год. Если заменен ссылочный стандарт, на который дана недатированная ссылка, то рекомендуется использовать действующую версию этого стандарта с учетом всех внесенных в данную версию изменений. Если заменен ссылочный стандарт, на который дана датированная ссылка, то рекомендуется использовать версию этого стандарта с указанным выше годом утверждения (принятия). Если после утверждения настоящего стандарта в ссылочный стандарт, на который дана датированная ссылка, внесено изменение, затрагивающее положение, на которое дана ссылка, то это положение рекомендуется применять без учета данного изменения. Если ссылочный стандарт отменен без замены, то положение, в котором дана ссылка на него, рекомендуется применять в части, не затрагивающей эту ссылку.
В настоящем стандарте применены следующие обозначения:
xi - i-е наблюдаемое значение;

- истинное среднее процесса;

- целевое значение среднего процесса;

- истинное стандартное отклонение процесса;
R - размах;

- средний размах;
s - выборочное стандартное отклонение;
CL - центральная линия;
UCL - верхняя контрольная граница;
LCL - нижняя контрольная граница.
5.1 Общее описание
На контрольную карту наносят значения экспоненциально взвешенных скользящих средних, которые вычисляют по формуле
| | ИС МЕГАНОРМ: примечание. Формула дана в соответствии с официальным текстом документа. | |

,
где
z0 - начальное значение

;

- целевое значение процесса;

- весовой коэффициент,

.
В некоторых случаях в качестве начального значения для карт EWMA может быть использовано среднее арифметическое ранее полученных данных, т.е.

.
Таким образом, на EWMA-карту по оси ординат наносят значения экспоненциально взвешенных скользящих средних zi, соответствующих значению i на абсциссе (где i - порядковый номер подгруппы или наблюдения во времени). На карте также отображают центральную линию и контрольные границы. Пример EWMA-карты приведен на рисунке 1.
Рисунок 1 - Общий вид EWMA-карты
Так как значение EWMA представляет собой взвешенное среднее значений всех наблюдений, контрольная карта EWMA не чувствительна к отклонениям от нормальности. Поэтому данный вид карт подходит для работы с отдельными наблюдениями.
5.2 Контрольные границы и центральная линия EWMA-карты
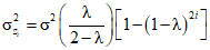
В случае, когда наблюдения представляют собой независимые случайные величины с дисперсией

, то дисперсия
zi имеет вид

.
Центральная линия:

.
Верхняя контрольная граница:

.
Нижняя контрольная граница:

.
Здесь коэффициент L определяет расстояние между верхней и нижней контрольными границами, его значение зависит от заданного уровня доверия (например, L = 2,7 соответствует уровню доверия 99,65%).
Значения zi, расположенные между контрольными границами карты, свидетельствуют о том, что исследуемый процесс находится в состоянии статистической управляемости. Выход значения zi за контрольные границы говорит о том, что процесс вышел из состояния статистической управляемости. После корректировки и запуска процесса, заполняют новую EWMA-карту с новым значением z0.
5.3 Выбор параметров карты EWMA
5.3.1 Выбор параметра

При использовании небольших значений

для вычисления экспоненциально взвешенных скользящих средних больший весовой коэффициент имеют значения ранее полученных данных. В данном случае EWMA-карта применима для обнаружения небольших сдвигов параметров процесса, но она не достаточно быстро выявляет большие и/или резкие изменения процесса. Наоборот, использование больших значений

ведет к тому, что при вычислении экспоненциально взвешенных скользящих средних, значения ранее полученных данных имеют низкий весовой коэффициент. При этом EWMA-карта хорошо обнаруживает большие, резкие сдвиги параметров процесса, но слабо реагирует на небольшие изменения.
Выбор

следует основывать на предварительно полученной информации о процессе. В общем случае, на практике выбирают

. Наиболее часто, значения

берут из интервала [0,25; 0,5].
Как указано выше, при

EWMA-карта совпадает с контрольной картой Шухарта.
5.3.2 Выбор параметра L
Параметр
L представляет собой коэффициент перед выборочным стандартным отклонением по подгруппе. Обычно значение
L выбирают близко к трем, но при небольших

,
L берут несколько меньше. Например, при

, значение
L рекомендуется выбирать из интервала [2,6; 2,8].
6. Преимущества и недостатки EWMA-карты
6.1 Преимущества
Преимущества EWMA-карты состоят в следующем:
а) выбором значения параметра

можно влиять на степень, с которой EWMA-карта учитывает предшествующие значения;
б) EWMA-карта применима к данным, распределение которых не является нормальным.
6.2 Недостатки
Недостатками EWMA-карты являются следующие:
а) EWMA-карта чувствительна к небольшим сдвигам параметров процесса, но по сравнению с контрольными картами Шухарта

хуже обнаруживает большие изменения процесса;
б) EWMA-карта не выявляет тренд, если он не выходит за контрольные границы EWMA-карты.