Главная // Актуальные документы // ПНСТ (Предварительный национальный стандарт)СПРАВКА
Источник публикации
М.: ФГБУ "Институт стандартизации", 2022
Примечание к документу
Документ
введен в действие с 01.07.2023 на период до 01.07.2026 (
Приказ Росстандарта от 15.12.2022 N 138-пнст).
Название документа
"ПНСТ 774-2022. Предварительный национальный стандарт Российской Федерации. Безопасность в чрезвычайных ситуациях. Безопасный город. Прогнозирование лесных пожаров. Общие требования"
(утв. и введен в действие Приказом Росстандарта от 15.12.2022 N 138-пнст)
"ПНСТ 774-2022. Предварительный национальный стандарт Российской Федерации. Безопасность в чрезвычайных ситуациях. Безопасный город. Прогнозирование лесных пожаров. Общие требования"
(утв. и введен в действие Приказом Росстандарта от 15.12.2022 N 138-пнст)
Утвержден и введен в действие
агентства по техническому
регулированию и метрологии
от 15 декабря 2022 г. N 138-пнст
ПРЕДВАРИТЕЛЬНЫЙ НАЦИОНАЛЬНЫЙ СТАНДАРТ РОССИЙСКОЙ ФЕДЕРАЦИИ
БЕЗОПАСНОСТЬ В ЧРЕЗВЫЧАЙНЫХ СИТУАЦИЯХ
БЕЗОПАСНЫЙ ГОРОД.
ПРОГНОЗИРОВАНИЕ ЛЕСНЫХ ПОЖАРОВ
ОБЩИЕ ТРЕБОВАНИЯ
Safety in emergencies. Safe city.
Forest in fire forecasting. General requirements
ПНСТ 774-2022
Срок действия
с 1 июля 2023 года
до 1 июля 2026 года
1 РАЗРАБОТАН Обществом с ограниченной ответственностью "Национальный Центр Информатизации" (ООО "НЦИ")
2 ВНЕСЕН Техническим комитетом по стандартизации ТК 071 "Гражданская оборона, предупреждение и ликвидация чрезвычайных ситуаций"
3 УТВЕРЖДЕН И ВВЕДЕН В ДЕЙСТВИЕ
Приказом Федерального агентства по техническому регулированию и метрологии от 15 декабря 2022 г. N 138-пнст
Правила применения настоящего стандарта и проведения его мониторинга установлены в ГОСТ Р 1.16-2011 (разделы 5 и 6).
Федеральное агентство по техническому регулированию и метрологии собирает сведения о практическом применении настоящего стандарта. Данные сведения, а также замечания и предложения по содержанию стандарта можно направить не позднее чем за 4 мес до истечения срока его действия разработчику настоящего стандарта по адресу: info@ncinform.ru и/или в Федеральное агентство по техническому регулированию и метрологии по адресу: 123112 Москва, Пресненская набережная, д. 10, стр. 2.
В случае отмены настоящего стандарта соответствующая информация будет опубликована в ежемесячном информационном указателе "Национальные стандарты" и также будет размещена на официальном сайте Федерального агентства по техническому регулированию и метрологии в сети Интернет (www.rst.gov.ru)
1.1 Настоящий стандарт устанавливает общие требования к организации и тушению ландшафтных (природных) пожаров на контролируемых территориях (КТ), за исключением сферы организации и тушения лесных и других ландшафтных (природных) пожаров на землях лесного фонда, землях обороны и безопасности, землях особо охраняемых природных территорий, осуществляемых в соответствии с
[1],
[2] и
[3], с использованием прогнозной аналитической модели для прогнозирования лесных пожаров (ПАМ-ЛП) в составе аппаратно-программного комплекса "Безопасный город" (АПК "Безопасный город"), в качестве математической основы моделирования которой используются байесовские классификаторы.
Стандарт не содержит указаний по применению конкретных байесовских классификаторов.
Стандарт не распространяется на ПАМ, использующие для прогнозирования лесных пожаров другие математические методы.
1.2 Положения настоящего стандарта предназначены для использования федеральными органами исполнительной власти, органами государственной власти субъектов Российской Федерации и местного самоуправления, научно-исследовательскими и другими организациями, участвующими в проектировании, разработке, внедрении в промышленную эксплуатацию и эксплуатации АПК "Безопасный город".
В настоящем стандарте использованы нормативные ссылки на следующие стандарты:
ГОСТ Р 22.0.03 Безопасность в чрезвычайных ситуациях. Природные чрезвычайные ситуации. Термины и определения
ГОСТ Р 22.1.09 Безопасность в чрезвычайных ситуациях. Мониторинг и прогнозирование лесных пожаров. Общие требования
ГОСТ Р 22.7.01 Безопасность в чрезвычайных ситуациях. Единая дежурно-диспетчерская служба. Основные положения
ГОСТ Р 59058 Охрана окружающей среды. Защита, рациональное использование и воспроизводство лесов. Термины и определения
| | ИС МЕГАНОРМ: примечание. В официальном тексте документа, видимо, допущена опечатка: стандарт имеет номер ПНСТ 761-2023, а не ПНСТ 761-2022. | |
ПНСТ 761-2022 Безопасность в чрезвычайных ситуациях. Безопасный город. Термины и определения
ПНСТ 762-2022 Безопасность в чрезвычайных ситуациях. Безопасный город. Типовая прогнозная аналитическая модель с использованием метода Байеса. Общие требования
Примечание - При пользовании настоящим стандартом целесообразно проверить действие ссылочных стандартов в информационной системе общего пользования - на официальном сайте Федерального агентства по техническому регулированию и метрологии в сети Интернет или по ежегодному информационному указателю "Национальные стандарты", который опубликован по состоянию на 1 января текущего года, и по выпускам ежемесячного информационного указателя "Национальные стандарты" за текущий год. Если заменен ссылочный стандарт, на который дана недатированная ссылка, то рекомендуется использовать действующую версию этого стандарта с учетом всех внесенных в данную версию изменений. Если заменен ссылочный стандарт, на который дана датированная ссылка, то рекомендуется использовать версию этого стандарта с указанным выше годом утверждения (принятия). Если после утверждения настоящего стандарта в ссылочный стандарт, на который дана датированная ссылка, внесено изменение, затрагивающее положение, на которое дана ссылка, то это положение рекомендуется применять без учета данного изменения. Если ссылочный стандарт отменен без замены, то положение, в котором дана ссылка на него, рекомендуется применять в части, не затрагивающей эту ссылку.
3.1 вероятность воздействия опасных факторов пожара: Математическая величина возможности воздействия опасных факторов пожара с заранее заданными значениями их параметров.
3.2 вероятность возникновения пожара: Математическая величина возможности появления необходимых и достаточных условий возникновения пожара (загорания).
3.3 возникновение пожара: Совокупность процессов, приводящих к пожару.
3.4
зона пожара: Территория, на которой существует угроза причинения вреда жизни и здоровью граждан, имуществу физических и юридических лиц в результате воздействия опасных факторов пожара и (или) осуществляются действия по тушению пожара и проведению аварийно-спасательных работ, связанных с тушением пожара. |
3.5 классификация пожарной опасности в лесах в зависимости от условий погоды: Определение степени вероятности (возможности) возникновения и распространения лесных пожаров на соответствующей территории в зависимости от метеорологических условий, влияющих на пожарную опасность лесов.
3.6 контролируемая территория; КТ: Лесной участок, на котором в случае возникновения и распространения лесных пожаров возможен их переход на объекты экономики и инфраструктуры населенного пункта.
Примечание - Согласно
[2] органы местного самоуправления осуществляют охрану от пожаров лесов, находящихся в муниципальной собственности. Однако для оценки угрозы перехода лесных пожаров на населенные пункты следует контролировать также лесные участки, находящиеся в иной собственности и граничащие с соответствующими муниципальными образованиями.
3.7
лесной пожар: Разновидность ландшафтного (природного) пожара, распространяющегося по лесу. |
3.8
ландшафтный (природный) пожар: Неконтролируемый процесс горения, стихийно возникающий и распространяющийся в природной среде, охватывающий различные компоненты природного ландшафта. |
3.9
ликвидация пожара: Действия, направленные на окончательное прекращение горения, а также на исключение возможности его повторного возникновения. |
3.10
| | ИС МЕГАНОРМ: примечание. Текст дан в соответствии с официальным текстом документа. | |
локализация пожара: Действия, направленные на предотвращение возможности дальнейшего распространения горения и создание условий для его ликвидации имеющимися силами и средствами. |
3.11 наблюдаемая территория; НТ: Лесной участок, результаты наблюдения за которым используются для обучения прогнозной и аналитической модели.
3.12 опасный фактор пожара: Фактор пожара, воздействие которого приводит к травме, отравлению или гибели человека, а также к материальному ущербу.
3.13 очаг пожара: Место первоначального возникновения пожара.
3.14 опасный фактор пожара: Фактор пожара, воздействие которого приводит к травме, отравлению или гибели человека, а также к материальному ущербу.
3.15 показатель пожарной опасности: Величина, количественно характеризующая какое-либо свойство пожарной опасности.
3.16 причина пожара: Явление или обстоятельство, непосредственно обуславливающее возникновение пожара.
В настоящем стандарте применены следующие сокращения:
ЛГМ - лесогорючие материалы;
ЛП - лесной пожар;
МКП - модель краткосрочного прогнозирования;
МСП - модель среднесрочного прогнозирования;
ПАМ - прогнозная и аналитическая модель.
5.1 Настоящий стандарт содержит описание процессов формирования априорной информации для прогнозирования верховых и низовых ЛП на КТ и обработки данной информации.
5.2 ПАМ-ЛП в составе АПК "Безопасный город" должна соответствовать
ПНСТ 762-2022.
5.3 ПАМ-ЛП предназначена для автоматизации деятельности должностных лиц единой дежурно-диспетчерской службы при прогнозировании верховых и низовых ЛП на КТ.
5.4 Пользователями ПАМ-ЛП могут быть также органы, осуществляющие руководство и управление мероприятиями по предупреждению и ликвидации последствий ЛП
[2], федерального, регионального, муниципального и объектового уровней, и имеющих доступ к АПК "Безопасный город".
5.5 Прогнозирование ЛП с использованием ПАМ-ЛП осуществляется с целью повышения эффективности принимаемых управленческих решений по предупреждению и ликвидации последствий данной угрозы.
5.6 Основной задачей ПАМ-ЛП является своевременное выявление угрозы возникновения ЛП и их перехода на объекты защиты в целях разработки и реализации мер по обеспечению безопасности населения и персонала данных объектов.
Для решения указанных задач ПАМ-ЛП должна включать следующие базовые модели:
- МКП - предназначена для вероятностной оценки развития ЛП на КТ в течение ближайших 24 ч;
- МСП - предназначена для вероятностной оценки возможности возникновения и распространения ЛП на КТ в течение ближайших 10 сут.
5.7 В общем случае процесс разработки и применения ПАМ-ЛП включает следующие этапы:
- обучение ПАМ-ЛП;
- опытная эксплуатация ПАМ-ЛП на тестовых данных;
- промышленная эксплуатация ПАМ-ЛП на реальных данных.
6 Обучение моделей ПАМ-ЛП
6.1 В настоящем стандарте устанавливаются следующие основные мероприятия, обеспечивающие обучение ПАМ-ЛП:
- сбор статистики за последние пять лет о верховых и низовых ЛП, о растительности и пожароопасном состоянии НТ Российской Федерации;
- обработка собранных на предыдущем этапе данных для формирования обучающего множества ПАМ-ЛП;
- сборка обработанных данных краткосрочной и среднесрочной моделей ПАМ-ЛП в обучающие примеры;
- обработка обучающих примеров с применением байесовского классификатора.
6.2 В качестве начала наблюдения следует принимать:
- для МКП - дату и время наблюдения ЛП;
- для МСП - дату наблюдения наличия (отсутствия) ЛП.
6.3 В настоящем стандарте устанавливаются основные входные данные для формирования базового обучающего множества ПАМ-ЛП. Приведенные входные данные могут быть дополнены и/или уточнены с учетом особенностей конкретных КТ.
6.4 Сбор статистики за последние пять лет о верховых и низовых ЛП, о растительности и пожароопасном состоянии НТ Российской Федерации
Для сбора входных данных необходимо предварительно определить состав территорий (лесные участки), результаты наблюдений за которыми будут использоваться для формирования обучающего множества ПАМ-ЛП - НТ. В состав НТ, помимо лесных участков, расположенных на КТ, следует включать сопоставимые с КТ лесные участки по классу природной пожарной опасности, характеру растительности, в том числе растительного покрова, климата и рельефа местности.
6.5 Основными входными данными для формирования базового обучающего множества ПАМ-ЛП в отношении НТ являются следующие группы параметров:
- характеристики ЛП;
- параметры метеорологической обстановки;
- параметры пожарной опасности по условиям погоды;
- характеристики лесных участков;
- характеристики ландшафта территории.
6.6 Характеристики ЛП
6.6.1 К характеристикам ЛП относятся следующие наборы данных:
- входные данные, характеризующие основные параметры ЛП;
- входные данные, характеризующие распределение ЛП за наблюдаемый период времени.
Непосредственный состав наборов данных для каждой модели ПАМ-ЛП следующий:
- для МКП - входные данные, характеризующие основные параметры ЛП;
- для МСП - входные данные, характеризующие распределение ЛП за наблюдаемый период времени.
6.6.2 Входные данные, характеризующие основные параметры ЛП
6.6.2.1 Входные данные, характеризующие основные параметры ЛП, следует подготавливать по каждому наблюдаемому ЛП по состоянию на дату и время наблюдения, а также за 3 ч до указанных даты и времени. Отражение состояния основных параметров наблюдаемого ЛП за указанный период принимается за единицу наблюдения ЛП.
По одному ЛП, при наличии сведений, можно подготовить более одной единицы наблюдения. При наличии сведений по каждому наблюдаемому ЛП в общем случае рекомендуется подготавливать его основные параметры по состоянию на 3, 6, 9, 12, 15, 18, 21 и 24 ч с момента возникновения.
Остальные входные данные для МКП следует подготавливать относительно каждой единицы наблюдения ЛП.
6.6.2.2 Входными данными, характеризующими основные параметры ЛП, служат:
- дата и время наблюдения ЛП;
- вид ЛП (верховой, низовой);
- площадь низового ЛП на дату и время наблюдения;
- координаты точки регистрации очага ЛП, по состоянию за 3 ч до даты и времени наблюдения ЛП;
- площадь ЛП, по состоянию за 3 ч до даты и времени наблюдения ЛП (для низового ЛП);
- скорость распространения фронта низового (верхового) ЛП, по состоянию за 3 ч до даты и времени наблюдения ЛП.
В случае если по состоянию за 3 ч до даты и времени наблюдения ЛП указанный пожар уже действовал, то в качестве точки регистрации очага данного ЛП следует принимать его центр.
6.6.3 Входные данные, характеризующие распределение ЛП за наблюдаемый период времени
6.6.3.1 Входными данными, характеризующими распределение ЛП на НТ за наблюдаемый период времени, являются:
- дата наблюдения наличия или отсутствия низовых и/или верховых ЛП;
- общее количество зарегистрированных низовых ЛП за период 10 сут до даты наблюдения;
- общее количество зарегистрированных верховых ЛП за период 10 сут до даты наблюдения.
6.6.3.2 При сборе входных данных, характеризующих распределение ЛП за наблюдаемый период времени, должны в равной степени наблюдаться все возможные варианты событий в указанные временные периоды, в том числе:
- с наличием как низовых, так и верховых ЛП;
- с наличием только низовых ЛП;
- с наличием только верховых ЛП;
- с полным отсутствием низовых и верховых ЛП.
6.7 Параметры метеорологической обстановки
6.7.1 К параметрам метеорологической обстановки относятся следующие наборы данных:
- входные данные, характеризующие метеорологическую обстановку в стандартный срок наблюдения в течение суток;
- входные данные, характеризующие метеорологическую обстановку за сутки.
6.7.2 Параметры метеорологической обстановки следует подготавливать на базе объективных данных о метеорологическом режиме и климате на НТ в течение пожароопасного сезона, поступающих от источников метеоданных - метеорологических станций, постов и/или технических средств, обеспечивающих определение и представление метеоданных в режиме времени, близком к реальному, и находящихся в радиусе не более 25 км от указанной территории.
При наличии на территории более одного источника метеоданных, указанные параметры метеорологической обстановки следует подготавливать на базе данных, предоставляемых наименее удаленным источником от рассматриваемой территории.
6.7.3 Непосредственный состав наборов метеоданных:
- для МКП - входные данные, характеризующие метеорологическую обстановку в стандартный срок наблюдения, а также за сутки;
- для МСП - входные данные, характеризующие метеорологическую обстановку за сутки.
6.7.4 Входными данными, характеризующими метеорологическую обстановку в стандартный срок наблюдения в течение суток на НТ, являются:
- дата и время наблюдения метеопараметров;
- наименование (идентификационный номер) метеостанции;
- географические координаты расположения метеостанции;
- температура воздуха;
- атмосферное давление;
- относительная влажность воздуха;
- направление ветра;
- скорость ветра;
- количество осадков за сутки;
- температура точки росы.
Данные следует подготавливать по каждому наблюдаемому ЛП на дату и время наблюдения его основных параметров, а также на период 51 ч до указанных даты и времени наблюдения с шагом, соответствующему стандартному сроку наблюдения (как правило, каждые 3 ч).
6.7.5 Входными данными, характеризующими метеорологическую обстановку за сутки, являются:
- дата и время наблюдения метеопараметров;
- наименование (идентификационный номер) метеостанции;
- географические координаты расположения метеостанции;
- преобладающая температура воздуха ночью;
- преобладающая температура воздуха днем;
- максимальная температура воздуха ночью;
- максимальная температура воздуха днем;
- количество осадков.
Данные, характеризующие метеорологическую обстановку за сутки, следует подготавливать:
- для МКП - на период: начало - дата наблюдения основных параметров ЛП; окончание - 10 сут до начала периода наблюдения;
- для МСП - на период: начало - дата наблюдения наличия (отсутствия) ЛП; окончание - 20 сут до начала периода наблюдения.
6.8 Параметры пожарной опасности по условиям погоды
К параметрам пожарной опасности по условиям погоды относятся:
- дата наблюдения;
- наименование (идентификационный номер) метеостанции;
- географические координаты расположения метеостанции;
- комплексный показатель пожарной опасности по методике Нестерова;
- класс пожарной опасности по методике Нестерова (I, II, III, IV, V);
- комплексный показатель пожарной опасности по методике ПВ-1 (на основе влажности напочвенного покрова);
- класс пожарной опасности по методике ПВ-1 (I, II, III, IV, V).
Параметры пожарной опасности по условиям погоды следует подготавливать на базе наборов данных, характеризующих метеорологическую обстановку на НТ за каждые сутки, в границах соответствующего периода наблюдения:
- для МКП - на период: начало - дата наблюдения основных параметров ЛП; окончание - 10 сут до начала периода наблюдения;
- для МСП - на период: начало - 10 сут до даты наблюдения наличия (отсутствия) ЛП; окончание - 20 сут до начала периода наблюдения.
6.9 Характеристики лесных участков
Данными, характеризующими лесные участки, служат:
- координаты полигона лесного участка (лесничества, квартала, таксационного выдела);
- доля территории, покрытая лесом;
- класс природной пожарной опасности (I, II, III, IV, V);
- доля темнохвойных;
- доля сосняков;
- доля лиственничников;
- доля мягколиственных;
- доля кустарников;
- средняя высота древостоя;
- тип леса (теневыносливые, светолюбивые);
- степень сомкнутости полога (густые, редкие);
- средний возраст насаждений (молодые, спелые и перестойные);
- статус регистрации наличия в составе ЛГМ лишайников;
- статус регистрации наличия в составе ЛГМ мха;
- статус регистрации наличия в составе ЛГМ хвои;
- статус регистрации наличия в составе ЛГМ листьев;
- статус регистрации наличия в составе ЛГМ сухих злаков;
- статус регистрации наличия в составе ЛГМ кустарников;
- статус регистрации наличия в составе ЛГМ отходов лесозаготовок.
Данные, характеризующие лесные участки НТ, следует подготавливать по каждому лесному участку, в которых произошли наблюдаемые ЛП, в виде цифровой модели.
На начальном этапе формирования обучающего множества характеристики лесных участков допускается подготавливать по укрупненным показателям лесничества. В дальнейшем указанные данные подлежат корректировке с целью перехода от укрупненных показателей лесничества к более точным показателям за таксационные выделы.
Характеристики лесных участков НТ следует подготавливать отдельно для каждой модели ПАМ-ЛП (МКП и МСП).
6.10 Характеристики ландшафта территории
Данные, характеризующие ландшафт территории, следует подготавливать по каждому лесному участку, в которых произошли наблюдаемые ЛП.
На начальном этапе формирования обучающего множества характеристики ландшафта территории допускается подготавливать на базе глобальной цифровой модели рельефа SRTM. В дальнейшем при наличии более точных достоверных входных данных о ландшафте НТ, указанные данные подлежат корректировке.
Характеристики ландшафта НТ используются для подготовки расчетных параметров, формируемых при обработке данных, включаемых в обучаемое множество моделей ПАМ-ЛП.
6.11 Обработка собранных на предыдущем этапе данных для формирования обучающего множества ПАМ-ЛП
6.11.1 На базе сформированных входных данных подготавливаются необходимые наборы изначально не обработанных данных для обучающих множеств МКП и МСП ПАМ-ЛП.
Для формирования обучающего множества указанные наборы данных подлежат обработке, после чего на базе уже обработанных данных осуществляется сборка обучающих примеров моделей.
Обработка заключается в свертывании собранных входных данных в расчетные параметры с применением моделей или формул, группировке входных данных с использованием справочников ПАМ-ЛП, а также в подготовке параметров (ответов) гипотез.
В результате обработки каждый параметр обучающего примера должен быть приведен к бинарному или дискретному виду.
На основе отдельных входных данных осуществляется подготовка расчетных параметров, включаемых в состав обучаемого множества модели ПАМ-ЛП.
Отдельные входные данные [например, дата и время наблюдения; географические координаты полигонов (объектов) и др.] используются исключительно для сборки обучающих примеров и обработке, в том числе байесовским классификатором, не подлежат.
6.11.2 Обработка входных данных, характеризующих основные параметры ЛП
Входные данные, характеризующие основные параметры ЛП, приведенные в
6.6.2, предназначены исключительно для сборки данных в обучающие примеры МКП (не включаются в состав обучающих примеров).
Параметры "площадь низового ЛП на дату и время наблюдения" и "скорость распространения фронта низового (верхового) ЛП, по состоянию за 3 ч до даты и времени наблюдения ЛП" применяются для подготовки параметров (ответов) гипотез МКП.
6.11.3 Обработка входных данных, характеризующих распределение ЛП за наблюдаемый период времени
Входные данные, характеризующие распределение ЛП за наблюдаемый период времени, приведенные в
6.6.3, предназначены исключительно для сборки данных в обучающие примеры МСП (не включаются в состав обучающих примеров). На основе указанных данных осуществляется подготовка параметров (ответов) гипотез МСП.
6.11.4 Обработка входных данных, характеризующих метеорологическую обстановку в стандартный срок наблюдения в течение суток
В составе обучающего множества, к входным данным, характеризующим метеорологическую обстановку в стандартный срок наблюдения в течение суток, подлежащим преобразованию, относятся:
б) атмосферное давление;
в) относительная влажность воздуха;
г) направление ветра;
д) скорость ветра;
е) количество выпавших осадков за сутки;
ж) температура точки росы.
Параметры, приведенные в
перечислениях а) -
ж), подлежат обработке методом их статистической группировки согласно справочникам, приведенным в
таблицах А.1 -
А.7 приложения А соответственно.
6.11.5 Обработка входных данных, характеризующих метеорологическую обстановку за сутки
В составе обучающего множества, к входным данным, характеризующим метеорологическую обстановку за сутки, подлежащим преобразованию, относятся:
а) преобладающая температура воздуха ночью;
б) преобладающая температура воздуха днем;
в) максимальная температура воздуха ночью;
г) максимальная температура воздуха днем;
Параметры, приведенные в
перечислениях а) -
г) и
д) подлежат обработке методом их статистической группировки согласно справочникам, приведенным в
таблицах А.1 и
А.6 приложения А соответственно.
6.11.6 Параметры, приведенные в
6.7.4 и
6.7.5, - "дата и время наблюдения метеопараметров", "наименование (идентификационный номер) метеостанции", "географические координаты расположения метеостанции" не требуют проведения преобразований, предназначены для сборки данных в обучающие примеры моделей.
6.11.7 Обработка параметров пожарной опасности по условиям погоды
В составе параметров пожарной опасности по условиям погоды преобразованию подлежит комплексный показатель пожарной опасности по методике Нестерова. Обработка данного параметра осуществляется методом статистической группировки согласно справочнику, приведенному в
таблице А.8 приложения А.
Параметры, приведенные в
6.8:
а) класс пожарной опасности по методике Нестерова - обработке не подлежит, указанный параметр при необходимости может быть использован для определения среднего значения параметра комплексного показателя пожарной опасности по методике Нестерова;
б) комплексный показатель пожарной опасности по методике ПВ-1 - обработке не подлежит, указанный параметр применяется для подготовки расчетных параметров;
в) класс пожарной опасности по методике ПВ-1 - обработке не подлежит, указанный параметр при необходимости может быть использован для определения среднего значения параметра комплексного показателя пожарной опасности по методике ПВ-1.
6.11.8 Обработка характеристик лесных участков
6.11.8.1 В составе обучающего множества, к параметрам, характеризующим лесные участки, подлежащим преобразованию, относятся:
а) доля территории, покрытая лесом;
б) доля темнохвойных;
в) доля сосняков;
г) доля лиственничников;
д) доля мягколиственных;
Обработка параметров, указанных в
перечислениях а) -
е), осуществляется методом их статистической группировки согласно справочнику, приведенному в
таблице А.9 приложения А.
Параметр, приведенный в
6.9, - класс природной пожарной опасности обработке не подлежит, так как он имеет дискретный вид.
Параметры, приведенные в
6.9, и параметры, перечисленные ниже, не подлежат обработке, так как они используются для определения расчетных параметров, включаемых в обучающее множество моделей:
а) средняя высота древостоя;
б) степень сомкнутости полога;
в) тип леса;
г) средний возраст насаждений;
д) наличие в составе лесогорючих материалов лишайников;
е) наличие в составе лесогорючих материалов мха;
ж) наличие в составе лесогорючих материалов хвои;
и) наличие в составе лесогорючих материалов листьев;
к) наличие в составе лесогорючих материалов сухих злаков;
л) наличие в составе лесогорючих материалов кустарников;
м) наличие в составе лесогорючих материалов отходов лесозаготовок.
С использованием указанных параметров определяются следующие расчетные параметры:
- коэффициент распространения низового ЛП;
- расчетная скорость распространения фронта низового ЛП;
- расчетная площадь, пройденная низовым ЛП.
6.11.8.2 Для каждого наблюдаемого лесного участка (лесничества, квартала, таксационного выдела) осуществляется определение расчетного параметра "скорость распространения фронта верхового ЛП" в порядке, приведенном в
приложении Б.
6.11.8.3 Порядок определения коэффициента распространения низового ЛП, скорости распространения фронта низового ЛП и площади низового ЛП приведен в
приложении В.
6.11.8.4 После определения расчетных параметров, указанных в
6.11.8.2 и
6.11.8.3, их значения должны быть переведены в дискретный вид путем группировки согласно справочнику, сформированному с использованием формулы Стерджесса, в порядке, приведенному в
приложении Г.
6.11.9 Обработка характеристик ландшафта территории
6.11.9.1 Основным преобразованным параметром, полученным в ходе обработки характеристик ландшафта местности НТ с использованием глобальной цифровой модели рельефа SRTM или в порядке, приведенном в
приложении Д, является уклон местности в очаге низового ЛП.
6.11.9.2 Указанный параметр используется для определения следующих параметров:
а) расчетная скорость распространения фронта низового ЛП;
б) расчетная площадь, пройденная низовым ЛП.
6.12 Сборка обработанных данных краткосрочной и среднесрочной моделей ПАМ-ЛП в обучающие примеры
6.12.1 Общие требования к базовому обучающему множеству ПАМ-ЛП
6.12.1.1 В результате сбора и последующей обработки входных данных должно быть подготовлено базовое обучающее множество, представляющее собой наборы данных, предназначенных для обработки с применением байесовского классификатора, упорядоченных по дате (и времени) наблюдений в табличной форме: по вертикали - в столбцы (поля); по горизонтали - в строки (записи).
Каждая запись является обучающим примером.
Таким образом совокупность обучающих примеров является обучающим множеством.
6.12.1.2 Состав обучающего множества МКП ПАМ-ЛП
Для МКП следует подготавливать 2 (два) обучающих множества:
1 - для оценки параметров низового ЛП;
2 - для оценки параметров верхового ЛП.
Необходимые наборы данных и параметры, входящие в состав каждого обучающего примера, предназначенные для обработки байесовским классификатором, приведены в
таблице 1.
Таблица 1
Структура обучающих примеров для МКП ПАМ-ЛП
Наименование параметра | Оценка низового ЛП | Оценка верхового ЛП |
1 Метеорологическая обстановка в стандартный срок наблюдения (значения соответствующих параметров приводятся на весь период наблюдения с шагом - каждые 3 ч: начало периода - дата и время наблюдения ЛП; окончание периода - 51 ч до начала периода) |
1.1 Температура воздуха | + | + |
1.2 Атмосферное давление | + | + |
1.3 Относительная влажность воздуха | + | + |
1.4 Направление ветра | + | + |
1.5 Скорость ветра | + | + |
1.6 Количество осадков за сутки | + | + |
1.7 Температура точки росы | + | + |
2 Метеорологическая обстановка за сутки (значения соответствующих параметров приводятся на весь период наблюдения с шагом - каждые сутки: начало периода - дата наблюдения ЛП; окончание периода - 10 сут до начала периода наблюдения) |
2.1 Преобладающая температура воздуха ночью | + | + |
2.2 Преобладающая температура воздуха днем | + | + |
2.3 Максимальная температура воздуха ночью | + | + |
2.4 Максимальная температура воздуха днем | + | + |
2.5 Количество осадков | + | + |
3 Пожарная опасность по условиям погоды (значения параметра приводятся на весь период наблюдения с шагом - каждые сутки: начало периода - дата наблюдения ЛП; окончание периода - 10 сут до начала периода) |
3.1 Комплексный показатель пожарной опасности по методике Нестерова | + | + |
4 Характеристика лесных участков |
4.1 Доля территории, покрытая лесом | + | + |
4.2 Класс природной пожарной опасности | + | + |
4.3 Доля темнохвойных | + | + |
4.4 Доля сосняков | + | + |
4.5 Доля лиственничников | + | + |
4.6 Доля мягколиственных | + | + |
4.7 Доля кустарников | + | + |
5 Расчетные параметры |
5.1 Расчетная скорость распространения фронта верхового ЛП | - | + |
5.2 Коэффициент распространения низового ЛП | + | - |
5.3 Расчетная скорость распространения фронта низового ЛП | + | - |
5.4 Расчетная площадь, пройденная низовым ЛП | + | - |
6 Параметры (ответы) гипотез |
6.1 Параметры (ответы) каждой гипотезы МКП для скорости верхового ЛП | - | + |
6.2 Параметры (ответы) каждой гипотезы МКП для площади низового ЛП | + | - |
6.3 Параметры (ответы) каждой гипотезы МКП для скорости низового ЛП | + | - |
6.12.1.3 Состав обучающего множества МСП ПАМ-ЛП
Необходимые наборы данных и параметры, входящие в состав каждого обучающего примера для МСП, предназначенные для обработки байесовским классификатором, приведены в
таблице 2.
Таблица 2
Структура обучающих примеров для МСП ПАМ-ЛП
Наименование параметра |
1 Метеорологическая обстановка за сутки (значения соответствующих параметров приводятся на весь период наблюдения с шагом - каждые сутки: начало периода - дата наблюдения наличия (отсутствия) ЛП; окончание периода - 20 сут до начала периода наблюдения) |
1.1 Преобладающая температура воздуха ночью |
1.2 Преобладающая температура воздуха днем |
1.3 Максимальная температура воздуха ночью |
1.4 Максимальная температура воздуха днем |
1.5 Количество осадков |
2 Пожарная опасность по условиям погоды (значения параметра приводятся на весь период наблюдения с шагом - каждые сутки: начало периода - 10 сут до даты наблюдения наличия (отсутствия) ЛП; окончание периода - 20 сут до начала периода наблюдения) |
2.1 Комплексный показатель пожарной опасности по методике Нестерова |
3 Характеристика лесных участков |
3.1 Доля территории, покрытая лесом |
3.2 Класс природной пожарной опасности |
3.3 Доля темнохвойных |
3.4 Доля сосняков |
3.5 Доля лиственничников |
3.6 Доля мягколиственных |
3.7 Доля кустарников |
4 Параметры (ответы) гипотез |
4.1 Параметры (ответы) на каждую из гипотез N 1 - 4 МСП |
6.13 Обработка обучающих примеров с применением байесовского классификатора при обучении ПАМ-ЛП
На этапе предварительного обучения моделей ПАМ-ЛП должны быть подготовлены наборы данных (не менее по 20 обучающих примеров для каждой модели), необходимые для сборки соответствующих обучающих множеств, в объеме, обеспечивающем функциональные возможности ПАМ-ЛП. В процессе опытной эксплуатации данные обучающие множества подлежат актуализации и наращиванию на базе достоверных данных для обеспечения качества прогнозов.
7 Выбор байесовского классификатора, описание и подготовка гипотез
7.1 При выборе байесовского классификатора необходимо учитывать, что алгоритм классификации должен быть оптимизирован для обработки большого объема входных и выходных данных.
7.2 Вновь разрабатываемые методы байесовского анализа перед применением в ПАМ-ЛП должны пройти процедуру подтверждения их достоверности.
7.3 Формирование гипотез и соответствующих им параметров (ответов)
7.3.1 Вероятностной оценке - статистической обработке данных с использованием выбранного байесовского классификатора подлежат гипотезы моделей ПАМ-ЛП.
7.3.2 Гипотезы моделей должны отражать данные о состоянии оцениваемых событий на момент наблюдения, подлежащих в дальнейшем оценке с применением байесовского классификатора. Состояния оцениваемых событий [параметры (ответы) гипотез] на этапе обучения должны быть бинарными, с заранее заданными ответами.
7.3.3 Гипотезы МКП и соответствующие им параметры (ответы)
В МКП вероятностной оценке с использованием байесовского классификатора подлежат гипотезы, приведенные в
таблице 3.
Таблица 3
Перечень гипотез МКП, подлежащих проверке
для каждого параметра
Номер гипотезы | Содержание гипотезы |
1 | Фактическое значение параметра соответствует его расчетному значению |
2 | Отклонение фактического значения параметра от его расчетного значения составляет 5% в меньшую сторону |
3 | Отклонение фактического значения параметра от его расчетного значения составляет 10% в меньшую сторону |
4 | Отклонение фактического значения параметра от его расчетного значения составляет 15% в меньшую сторону |
5 | Отклонение фактического значения параметра от его расчетного значения составляет 20% в меньшую сторону |
6 | Отклонение фактического значения параметра от его расчетного значения составляет 25% в меньшую сторону |
7 | Отклонение фактического значения параметра от его расчетного значения составляет 30% в меньшую сторону |
8 | Отклонение фактического значения параметра от его расчетного значения составляет 35% в меньшую сторону |
9 | Отклонение фактического значения параметра от его расчетного значения составляет 40% в меньшую сторону |
10 | Отклонение фактического значения параметра от его расчетного значения составляет 45% в меньшую сторону |
11 | Отклонение фактического значения параметра от его расчетного значения составляет 50% в меньшую сторону |
12 | Отклонение фактического значения параметра от его расчетного значения составляет 55% в меньшую сторону |
13 | Отклонение фактического значения параметра от его расчетного значения составляет 60% в меньшую сторону |
14 | Отклонение фактического значения параметра от его расчетного значения составляет 65% в меньшую сторону |
15 | Отклонение фактического значения параметра от его расчетного значения составляет 70% в меньшую сторону |
16 | Отклонение фактического значения параметра от его расчетного значения составляет 75% в меньшую сторону |
17 | Отклонение фактического значения параметра от его расчетного значения составляет 80% в меньшую сторону |
18 | Отклонение фактического значения параметра от его расчетного значения составляет 85% в меньшую сторону |
19 | Отклонение фактического значения параметра от его расчетного значения составляет 90% в меньшую сторону |
20 | Отклонение фактического значения параметра от его расчетного значения составляет 95% в меньшую сторону |
21 | Отклонение фактического значения параметра от его расчетного значения составляет 5% в большую сторону |
22 | Отклонение фактического значения параметра от его расчетного значения составляет 10% в большую сторону |
23 | Отклонение фактического значения параметра от его расчетного значения составляет 15% в большую сторону |
24 | Отклонение фактического значения параметра от его расчетного значения составляет 20% в большую сторону |
25 | Отклонение фактического значения параметра от его расчетного значения составляет 25% в большую сторону |
26 | Отклонение фактического значения параметра от его расчетного значения составляет 30% в большую сторону |
27 | Отклонение фактического значения параметра от его расчетного значения составляет 35% в большую сторону |
28 | Отклонение фактического значения параметра от его расчетного значения составляет 40% в большую сторону |
29 | Отклонение фактического значения параметра от его расчетного значения составляет 45% в большую сторону |
30 | Отклонение фактического значения параметра от его расчетного значения составляет 50% в большую сторону |
31 | Отклонение фактического значения параметра от его расчетного значения составляет 55% в большую сторону |
32 | Отклонение фактического значения параметра от его расчетного значения составляет 60% в большую сторону |
33 | Отклонение фактического значения параметра от его расчетного значения составляет 65% в большую сторону |
34 | Отклонение фактического значения параметра от его расчетного значения составляет 70% в большую сторону |
35 | Отклонение фактического значения параметра от его расчетного значения составляет 75% в большую сторону |
36 | Отклонение фактического значения параметра от его расчетного значения составляет 80% в большую сторону |
37 | Отклонение фактического значения параметра от его расчетного значения составляет 85% в большую сторону |
38 | Отклонение фактического значения параметра от его расчетного значения составляет 90% в большую сторону |
39 | Отклонение фактического значения параметра от его расчетного значения составляет 95% в большую сторону |
В качестве параметров, указанных в
таблице 3, оценке подлежат:
- скорость верхового ЛП;
- площадь низового ЛП;
- скорость низового ЛП.
На этапе обучения МКП ПАМ-ЛП параметры (ответы) гипотез, приведенных в
таблице 3, определяют путем сравнения:
а) для скорости верхового ЛП - параметра "Скорость распространения фронта верхового ЛП, по состоянию за 3 ч до даты и времени наблюдения ЛП", приведенного в
6.6.2, с параметром "Расчетная скорость распространения фронта верхового ЛП", приведенного в
6.11.8.3;
б) для площади низового ЛП - параметра "Площадь низового ЛП на дату и время наблюдения", приведенного в
6.6.2, с параметром "Расчетная площадь, пройденная низовым ЛП", приведенного в
6.11.8.4;
в) для скорости низового ЛП - параметра "Скорость распространения фронта низового ЛП, по состоянию за 3 ч до даты и времени наблюдения ЛП", приведенного в
6.6.2, с параметром "Расчетная скорость распространения фронта низового ЛП", приведенного в
6.11.8.4.
При сравнении применяются значения соответствующих параметров без их обработки с использованием соответствующих справочников.
Непосредственное определение параметров (ответов) гипотез осуществляется по аналогии с примером, приведенным в
7.3.4.
Сведения о необходимом количестве обучающих примеров МКП для обеспечения минимальных требований ее функционирования приведены в
6.13.
7.3.4 Подготовка параметров (ответов) гипотез для МКП на этапе обучения
Для МКП ПАМ-ЛП параметры (ответы) гипотез должны быть рассчитаны на основе сравнения фактических значений наблюдаемых параметров, например, площади ЛП или скорости распространения ЛП, с расчетными значениями указанных параметров.
По каждому наблюдаемому параметру, подлежащему в дальнейшем оценке с применением байесовского классификатора, необходимо сформировать гипотезы, в которых параметры (ответы):
- по первой гипотезе отражают результаты сравнения фактических значений параметра в наблюдаемые дату и время с расчетными значениями данного параметра;
- по остальным гипотезам отражают результаты сравнения отклонений фактических значений параметра в наблюдаемые дату и время от расчетных значений данного параметра на 5%, 10%, 15%, 20%, 25%, 30%, 35%, 40%, 45%, 50%, 55%, 60%, 65%, 70%, 75%, 80%, 85%, 90%, 95% в меньшую и большую стороны.
Для этого при подготовке каждого обучающего примера предварительно должно быть рассчитано отклонение фактического значения параметра в наблюдаемые дату и время от расчетного значения данного параметра в %. После этого значение полученного отклонения должно быть округлено до ближайшего числа, кратного 5.
Пример
Фактическое значение наблюдаемой площади ЛП составляет 1000 га; расчетное значение площади ЛП составляет 744 га.
Отклонение фактического значения площади ЛП от расчетного значения данного показателя составляет 34,4% в большую сторону. Округлив указанное значение до ближайшего числа, кратного 5, получим отклонение - 35% в большую сторону.
С учетом входных данных и рассчитанного отклонения должны быть подготовлены гипотезы со следующими параметрами (ответами):
гипотеза N 1 "Фактическое значение площади ЛП соответствует расчетному значению данного показателя"
- "ЛОЖЬ";
гипотеза N 2 "Отклонение фактического значения площади ЛП от расчетного значения данного показателя составляет 5% в меньшую сторону"
- "ЛОЖЬ";
гипотеза N 3 "Отклонение фактического значения площади ЛП от расчетного значения данного показателя составляет 10% в меньшую сторону"
- "ЛОЖЬ";
...
гипотеза N 26 "Отклонение фактического значения площади ЛП от расчетного значения данного показателя составляет 30% в большую сторону"
- "ЛОЖЬ";
гипотеза N 27 "Отклонение фактического значения площади ЛП от расчетного значения данного показателя составляет 35% в большую сторону" (35% = 35%) - "ИСТИНА";
гипотеза N 28 "Отклонение фактического значения площади ЛП от расчетного значения данного показателя составляет 40% в большую сторону"
- "ЛОЖЬ"; и т.д.
7.3.5 Гипотезы МСП и соответствующие им параметры (ответы)
В МСП вероятностной оценке с использованием байесовского классификатора подлежат гипотезы, приведенные в
таблице 4.
Таблица 4
Перечень гипотез модели среднесрочного прогнозирования
Номер гипотезы | Содержание гипотезы |
1 | В течение 10 сут возник (возникнет) низовой ЛП |
2 | В течение 10 сут возникли (возникнут) 2 и более низовых ЛП |
3 | В течение 10 сут возник (возникнет) верховой ЛП |
4 | В течение 10 сут возникли (возникнут) 2 и более верховых ЛП |
В
таблице 4 содержание каждой гипотезы в прошедшем времени используется на этапе обучения ПАМ-ЛП, а содержание гипотезы в будущем времени - при прогнозировании соответствующих событий на новых значениях наблюдаемых параметров.
На этапе обучения ПАМ-ЛП параметры (ответы) гипотез МСП определяются на основе входных данных, характеризующих распределение ЛП за наблюдаемый период времени, приведенных в
6.6.3.
В зависимости от значения параметра "Общее количество зарегистрированных низовых ЛП за период 10 сут до даты наблюдения", по состоянию на наблюдаемую дату, возможны следующие параметры (ответы) гипотез для низовых ЛП (гипотезы N 1, 2):
а) значение параметра - 0 ед.:
гипотеза N 1: "В течение 10 сут возник низовой ЛП" - "ЛОЖЬ";
гипотеза N 2: "В течение 10 сут возникли 2 и более низовых ЛП" - "ЛОЖЬ";
б) значение параметра - 1 ед.:
гипотеза N 1: "В течение 10 сут возник низовой ЛП" - "ИСТИНА";
гипотеза N 2: "В течение 10 сут возникли 2 и более низовых ЛП" - "ЛОЖЬ";
в) значение параметра - от 2 ед. и более:
гипотеза N 1: "В течение 10 сут возник низовой ЛП" - "ИСТИНА";
гипотеза N 2: "В течение 10 сут возникли 2 и более низовых ЛП" - "ИСТИНА".
Параметры (ответы) гипотез для верховых ЛП (гипотезы N 3, 4) определяются по аналогии, в зависимости от значения параметра "Общее количество зарегистрированных верховых ЛП за период 10 сут до даты наблюдения", приведенных в
6.6.3.
Пример определения параметров (ответов) гипотез МСП приведен в
7.3.6. Сведения о необходимом количестве обучающих примеров МСП для обеспечения минимальных требований ее функционирования приведены в
6.13.
7.3.6 Подготовка параметров (ответов) гипотез МСП
Для модели МСП ПАМ-ЛП параметры (ответы) гипотез должны определяться следующим образом:
"ИСТИНА" - если событие, соответствующее гипотезе, произошло при наблюдаемых входных данных за соответствующий период;
"ЛОЖЬ" - в противном случае.
Пример
По состоянию на дату наблюдения, за период 10 сут до указанной даты был зарегистрирован 1 низовой ЛП и 0 верховых ЛП.
В этом случае необходимо подготовить гипотезы со следующими параметрами (ответами):
гипотеза N 1 "В течение 10 сут возник низовой ЛП" - "ИСТИНА";
гипотеза N 2 "В течение 10 сут возникли 2 и более низовых ЛП" - "ЛОЖЬ";
гипотеза N 3 "В течение 10 сут возник верховой ЛП" - "ЛОЖЬ";
гипотеза N 4 "В течение 10 сут возникли 2 и более верховых ЛП" - "ЛОЖЬ".
7.4 Полученные обработанные данные, объем которых значительно меньше относительно объема входных данных, а также гипотезы с подготовленными параметрами (ответами) предназначены для дальнейшей обработки байесовским классификатором.
8 Прогнозирование событий, с использованием байесовского классификатора, анализ и интерпретация результатов статистической обработки в ПАМ-ЛП
8.1 После обучения ПАМ-ЛП начинается процесс прогнозирования событий, соответствующих гипотезам МСП и МКП, на новых значениях наблюдаемых параметров - формирование прогнозов наблюдений.
Порядок сбора новых значений, наблюдаемых входных данных и их обработки при формировании каждого прогноза наблюдения должен в обязательном порядке соответствовать аналогичным процессам при обучении моделей ПАМ-ЛП, за исключением следующих особенностей:
а) параметры (ответы) гипотез (оценка апостериорных вероятностей гипотез) определяются байесовским классификатором;
б) в качестве начала наблюдения следует принимать:
- для МКП - дату и время, на которые составляется прогноз развития ЛП;
- для МСП - крайнюю дату периода (десятые сутки), на который прогнозируется возможность возникновения ЛП.
Отдельные наборы данных, характеризующих метеорологическую обстановку, при прогнозировании событий следует подготавливать на основе соответствующих прогнозов.
8.2 Шаг и глубина прогнозов наблюдений в ПАМ-ЛП должны соответствовать следующим требованиям:
- МКП: шаг прогнозирования - не более 3 ч; период (глубина) прогнозирования - не менее 24 ч;
- МСП: шаг прогнозирования - 1 сут; период прогнозирования - не менее 10 сут.
8.3 Особенности прогнозирования событий в МКП
8.3.1 В МКП вероятностную оценку развития зарегистрированных ЛП на КТ, в течение ближайших 24 ч следует осуществлять поэтапно:
1 На первом этапе осуществляется вероятностная оценка развития ЛП через 3 ч.
2 На втором этапе осуществляется вероятностная оценка развития ЛП через 6 ч, при этом в качестве фактических значений площади и скорости ЛП следует использовать прогнозные значения аналогичных показателей, полученных на предыдущем этапе.
3 На последующих этапах по аналогии осуществляется оценка развития ЛП через 9, 12, 15, 18, 21, 24 ч с учетом результатов, полученных на предыдущих этапах.
8.3.2 Определение прогнозируемой площади ЛП через время, соответствующее шагу прогноза
В МСП прогнозируемую площадь ЛП на КТ следует определять на основе результатов статистической обработки в зависимости от гипотез, приведенных в
таблице 3, имеющей максимальную апостериорную вероятность:
а) в случае если максимальную вероятность имеет гипотеза N 1, то прогнозируемая площадь ЛП будет соответствовать расчетному значению данного показателя;
б) в случае, если максимальную вероятность имеет одна из гипотез N 2 - 20, то прогнозируемую площадь ЛП SЛП, га, вычисляют по формуле

(1)
где

- расчетное значение площади ЛП, га;
D - отклонение, %, соответствующее гипотезе N 2 - 20, имеющей максимальную вероятность;
в) в случае, если максимальную вероятность имеет одна из гипотез N 21 - 39, то прогнозируемую площадь ЛП SЛП, га, вычисляют по формуле

(2)
8.3.3 Определение прогнозируемой скорости распространения фронта ЛП через время, соответствующее шагу прогноза
Прогнозируемую скорость распространения фронта ЛП следует определять по аналогии с определением прогнозируемой площади ЛП.
8.3.4 Определение длины кромки ЛП через время, соответствующее шагу прогноза
Длину кромки ЛП Dкромки, м, через время, соответствующее шагу прогноза, следует вычислять по формуле

(3)
где S - площадь ЛП, га.
В
формуле (3) значение площади ЛП
S следует принимать для следующих вариантов:
8.3.4.1 В случае, если осуществлялось моделирование развития действующего ЛП, то при расчете длины кромки не учитывается начальная площадь данного пожара:
S = SЛП - Sн, (4)
где Sн - площадь ЛП по состоянию на начало прогнозирования, га.
8.3.4.2 При расчете длины кромки учитывается только 10% площади ЛП:
S = 0,1SЛП. (5)
8.3.5 Определение уровня угрозы перехода ЛП на населенный пункт
Уровень угрозы перехода ЛП на населенный пункт следует определять на основе результатов статистической обработки МКП в зависимости от минимального расстояния от границы данного населенного пункта или объекта защиты до фронта ЛП.
Для низового ЛП расстояние, пройденное ЛП за прогнозируемый период, следует определять путем сложения показателей по
формулам (В.28) и
(В.30), используя полученное значение прогнозируемой скорости распространения фронта низового ЛП.
Для верхового ЛП расстояние, пройденное ЛП за прогнозируемый период, следует определять путем умножения полученного значения прогнозируемой скорости распространения фронта верхового ЛП на время, соответствующее прогнозируемому периоду.
Направление фронта ЛП должно соответствовать направлению ветра.
В зависимости от полученного расстояния устанавливаются следующие уровни угрозы перехода ЛП на населенный пункт через время, соответствующее шагу прогноза:
- свыше 10 км - низкий;
- от 10 км включительно до 6 км - средний;
- от 6 км включительно до 1 км - высокий;
- до 1 км включительно - чрезвычайно высокий.
9 Программная реализация и проверка ПАМ-ЛП
9.1 Этапы и содержание работ по программной реализации и проверке ПАМ-ЛП, перечень наименований разрабатываемых документов на ПАМ-ЛП и их комплектность, а также требования к содержанию указанных документов должны быть определены в техническом задании на разработку ПАМ-ЛП. При разработке программного обеспечения и рабочей конструкторской документации (РКД) ПАМ-ЛП рекомендуется применять национальные стандарты по предметной области серии "Комплекс стандартов на автоматизированные системы" и серии "Единая система программной документации" соответственно.
9.2 Проверку работоспособности и соответствия ПАМ-ЛП функциональным требованиям необходимо осуществлять в ходе проведения опытной эксплуатации. Предусматриваются следующие стадии проверки ПАМ-ЛП:
- опытная эксплуатация на тестовых данных;
- промышленная эксплуатация на данных объективного контроля территорий, поступающих с технических систем мониторинга в режиме времени, близком к реальному.
10 Опытная эксплуатация ПАМ-ЛП
10.1 На этапе опытной эксплуатации ПАМ-ЛП осуществляется:
а) определение источников получения требуемых входных данных ПАМ-ЛП в пилотных регионах, в качестве которых могут выступать:
- организации наблюдательной сети Росгидромета, региональных (муниципальных) наблюдательных сетей состояния окружающей среды, а также наблюдательных сетей других участников деятельности в области метеорологии;
- производители информационной продукции о состоянии окружающей среды;
- зарубежные источники данных о состоянии окружающей среды, информация от которых поступает в рамках международного сотрудничества участников деятельности в области метеорологии;
- непосредственно стационарные и подвижные пункты наблюдений за состоянием окружающей среды;
- автоматические метеорологические станции;
- федеральная государственная информационная система дистанционного мониторинга ЛП - информационная система дистанционного мониторинга лесных пожаров Федерального агентства лесного хозяйства (ИСДМ-Рослесхоз);
- региональные и муниципальные системы мониторинга леса и раннего обнаружения ЛП;
- информационные ресурсы региональных и муниципальных органов, уполномоченных в области лесных отношений;
- информационные ресурсы региональных диспетчерских служб лесного хозяйства и т.д.;
б) сбор и обработка входных данных ПАМ-ЛП
Сбор данных реализуется применительно к пилотным регионам через ранее установленные источники получения данных о КТ.
При обработке данных при наличии частично недостающих и/или некачественных (неточных, противоречивых и т.п.) входных данных они подлежат замене на синтетические данные, рассчитываемые с использованием методов статистической обработки данных или других методов.
Параллельно осуществляется подготовка цифровых карт лесной растительности и ландшафта наблюдаемых лесных участков на территории пилотных регионов с целью перехода от укрупненных показателей за лесничества к более точным показателям за таксационные выделы;
в) формирование обучающего множества моделей на базе наблюдаемых параметров пилотных регионов, переобучение ПАМ-ЛП.
По мере накопления достоверных сведений в необходимом объеме и формирования на их базе обучающих примеров, обучающие примеры, содержащие синтетические данные и укрупненные показатели за лесничества, исключаются из обучающего множества и ПАМ-ЛП подлежит переобучению;
г) оценка качества прогнозов, при необходимости наращивание обучающего множества и дообучение ПАМ-ЛП.
Для оценки качества прогнозов 80% собранных и обработанных достоверных данных пилотного региона (выбранных случайным образом) отводятся для формирования обучающего множества, 20% - для подготовки тестового набора данных прогнозов наблюдений.
В случае если качество прогнозов, подготовленных с использованием байесовского классификатора на тестовом наборе данных, составляет не менее 60%, процесс опытной эксплуатации ПАМ-ЛП на тестовых данных считается завершенным. В противном случае продолжается процесс наращивания обучающего множества на достоверных данных пилотного региона, дообучение ПАМ-ЛП и оценка качества прогнозов. Указанный процесс повторяется до достижения требуемого качества прогнозов;
д) проверка соответствия ПАМ-ЛП предъявляемым в техническом задании требованиям, доработка по результатам проведения опытной эксплуатации программного обеспечения и РКД ПАМ-ЛП.
11 Промышленная эксплуатация ПАМ-ЛП
11.1 На этапе промышленной эксплуатации осуществляется сопряжение (организуется автоматизированный информационный обмен) ПАМ-ЛП с источниками получения требуемых входных данных, определенных на этапе опытной эксплуатации, через АПК "Безопасный город".
11.2 В процессе применения ПАМ-ЛП по назначению следует осуществлять ежедневный сбор и статистическую обработку наблюдаемых параметров в режиме времени, близком к реальному в течение всего пожароопасного сезона.
11.3 ПАМ-ЛП должна автоматически архивировать данные наблюдений.
11.4 В процессе промышленной эксплуатации ПАМ-ЛП подлежит постоянному дообучению с интервалом времени не более месяца (в течение пожароопасного сезона).
11.5 Для модели МКП ПАМ-ЛП должны быть предусмотрены автоматические диагностические сообщения (сигналы) при выявлении высокого и среднего уровней угрозы перехода ЛП на объекты защиты.
11.6 Непосредственные действия пользователей по применению ПАМ-ЛП, в том числе при выявлении высокого и среднего уровней угроз перехода ЛП на объекты защиты, должны определяться отдельными регламентами и/или должностными инструкциями.
(справочное)
СПРАВОЧНИКИ НАБЛЮДАЕМЫХ ПАРАМЕТРОВ
Таблица А.1
Справочник градаций параметров: "Температура воздуха",
"Преобладающая температура воздуха ночью (днем)",
"Максимальная температура воздуха ночью (днем)"
Код параметра | Диапазон значений, °C |
1 | Менее 0 |
2 | 0 - 7 |
3 | 7 - 12 |
4 | 12 - 20 |
5 | 20 - 25 |
6 | 25 - 30 |
7 | 30 - 35 |
8 | 35 и более |
Таблица А.2
Справочник градаций параметра "Атмосферное давление"
Код параметра | Диапазон значений, мм ртутного столба |
1 | Менее 710 |
2 | 710 - 735 |
3 | 735 - 745 |
4 | 745 - 765 |
5 | 765 - 775 |
6 | 775 - 785 |
7 | 785 и более |
Таблица А.3
Справочник градаций параметра "Относительная
влажность воздуха"
Код параметра | Диапазон значений, % |
1 | Менее 5 |
2 | 5 - 25 |
3 | 25 - 50 |
4 | 50 - 75 |
5 | 75 - 95 |
6 | 95 и более |
Таблица А.4
Справочник градаций параметра "Направления ветра"
Направление, градус | Направление, румб | Наименование |
- | Ш | Штиль |
12 - 33 | ССВ | Северо-северо-восток |
34 - 56 | СВ | Северо-восток |
57 - 78 | ВСВ | Востоко-северо-восток |
79 - 101 | В | Восток |
102 - 123 | ВЮВ | Востоко-юго-восток |
124 - 146 | ЮВ | Юго-восток |
147 - 168 | ЮЮВ | Юго-юго-восток |
169 - 191 | Ю | Юг |
192 - 213 | ЮЮЗ | Юго-юго-запад |
214 - 236 | ЮЗ | Юго-запад |
237 - 258 | ЗЮЗ | Западо-юго-запад |
259 - 281 | З | Запад |
282 - 303 | ЗСЗ | Западо-северо-запад |
304 - 326 | СЗ | Северо-запад |
327 - 348 | ССЗ | Северо-северо-запад |
349 - 11 | С | Север |
- | П | Переменное |
Таблица А.5
Справочник градаций параметра "Скорость ветра"
Код параметра | Диапазон значений, м/с |
1 | Менее 0,3 |
2 | 0,3 - 1,6 |
3 | 1,6 - 3,4 |
4 | 3,4 - 5,5 |
5 | 5,5 - 8,0 |
6 | 8,0 - 10,8 |
7 | 10,8 - 13,9 |
8 | 13,9 - 17,2 |
9 | 17,2 - 20,8 |
10 | 20,8 - 24,5 |
11 | 24,5 - 28,5 |
12 | 28,5 - 32,7 |
13 | 32,7 и более |
Таблица А.6
Справочник градаций параметра "Количество осадков"
Код параметра | Диапазон значений, мм |
1 | Менее 0,5 |
2 | 0,5 - 1,5 |
3 | 1,5 - 2,5 |
4 | 2,5 - 3,0 |
5 | 3,0 - 5,5 |
6 | 5,5 - 8,0 |
7 | 8,0 и более |
Таблица А.7
Справочник градаций параметра "Температура точки росы"
Код параметра | Диапазон значений, °C |
1 | Менее минус 10 |
2 | Минус 10 - минус 5 |
3 | Минус 5 - 0 |
4 | 0 - 5 |
5 | 5 - 10 |
6 | 10 - 12 |
7 | 12 - 16 |
8 | 16 - 18 |
9 | 18 - 21 |
10 | 21 - 24 |
11 | 24 - 26 |
12 | 26 и более |
Таблица А.8
Справочник градаций параметра "Комплексный показатель
пожарной опасности"
Код параметра | Диапазон значений |
1 | Менее 113 |
2 | 113 - 226 |
3 | 226 - 339 |
4 | 339 - 452 |
5 | 452 - 565 |
6 | 565 - 678 |
7 | 678 - 791 |
8 | 791 - 904 |
9 | 904 - 1017 |
10 | 1017 - 1130 |
11 | 1130 - 1243 |
12 | 1243 - 1356 |
13 | 1356 - 1469 |
14 | 1469 - 1582 |
15 | 1582 - 1695 |
16 | 1695 - 1808 |
17 | 1808 - 1921 |
18 | 1921 - 2034 |
19 | 2034 - 2147 |
20 | 2147 - 2260 |
21 | 2260 - 2373 |
22 | 2373 - 2486 |
23 | 2486 - 2599 |
24 | 2599 - 2712 |
25 | 2712 - 2825 |
26 | 2825 - 2938 |
27 | 2938 - 3051 |
28 | 3051 - 3164 |
29 | 3164 - 3277 |
30 | 3277 - 3390 |
31 | 3390 - 3503 |
32 | 3503 - 3616 |
33 | 3616 - 3729 |
34 | 3729 - 3842 |
35 | 3842 - 4000 |
36 | 4000 - 10 000 |
37 | 10 000 и более |
Таблица А.9
Справочник градаций параметров "Доля территории, покрытая
лесом", "Доля темнохвойных (сосняков, лиственничников,
мягколиственных, кустарников)"
Код параметра | Диапазон значений |
1 | Менее 0,1 |
2 | 0,1 - 0,2 |
3 | 0,2 - 0,3 |
4 | 0,3 - 0,4 |
5 | 0,4 - 0,5 |
6 | 0,5 - 0,6 |
7 | 0,6 - 0,7 |
8 | 0,7 - 0,8 |
9 | 0,8 - 0,9 |
10 | 0,9 и более |
(рекомендуемое)
ПОРЯДОК ОПРЕДЕЛЕНИЯ РАСЧЕТНОЙ СКОРОСТИ РАСПРОСТРАНЕНИЯ
ФРОНТА ВЕРХОВОГО ЛЕСНОГО ПОЖАРА
Б.1 По данным, характеризующим основные параметры ЛП, приведенным в
6.6.2, и метеорологическую обстановку в стандартный срок наблюдения в течение суток, приведенным в
6.7.4, формируются обобщенные данные о наблюдаемых скоростях фронта верховых ЛП при различных скоростях ветра за период не менее пяти лет, по форме, представленной в таблице Б.1.
Таблица Б.1
Данные, характеризующие скорости верховых ЛП и ветра
Наименование параметра |
Год наблюдения |
Дата и время наблюдения верхового ЛП |
Местонахождение лесного участка (лесничество, квартал, таксационный выдел) |
Скорость фронта верхового ЛП, м/мин |
Скорость ветра, м/с |
Б.2 По результатам сбора обобщенных данных осуществляется расчет средней скорости фронта верхового ЛП для каждой градации скорости ветра, представленной в таблице Б.2.
Таблица Б.2
Справочник градаций значений скорости ветра
Диапазон значений, м/с |
Менее 0,3 |
0,3 - 1,6 |
1,6 - 3,4 |
3,4 - 5,5 |
5,5 - 8,0 |
8,0 - 10,8 |
10,8 - 13,9 |
13,9 - 17,2 |
17,2 - 20,8 |
20,8 - 24,5 |
24,5 - 28,5 |
28,5 - 32,7 |
32,7 и более |
Среднюю скорость фронта верхового ЛП для каждой градации скорости ветра

, м/мин, вычисляют по формуле

(Б.1)
где
j - диапазон значений скорости ветра, соответствующих
j-й градации, определяемой по
таблице Б.2;
Nj - количество верховых ЛП, зарегистрированных при скоростях ветра, находящихся в диапазоне значений, соответствующему j-й градации, ед.;
vфрi - скорость фронта i-го верхового ЛП, i = 1, ..., Nj, м/мин.
При определении средней скорости фронта верхового ЛП следует преимущественно учитывать данные согласно
таблице Б.1 за соответствующий лесной участок (лесничество, квартал, таксационный выдел).
При недостаточности данных, до момента их накопления в необходимом объеме, допускается использовать сведения в том числе за аналогичные лесные участки, для которых выполняются следующие условия:
- одинаковый класс природной пожарной опасности;
- отклонения долевых соотношений по преобладающим видам лесной растительности (из состава темнохвойных, сосновых, лиственничников, мягколиственных и кустарников) не превышает 15%, при этом для конкретного лесного участка преобладающей следует считать каждый вид лесной растительности, долевое соотношение которой составляет более 20% соответствующей территории.
В результате произведенных расчетов для каждого лесного участка формируется справочник средних скоростей фронта верхового ЛП при различных градациях скорости ветра, таблица Б.3.
Таблица Б.3
Форма справочника средних скоростей фронта верхового ЛП
при различных градациях скорости ветра
Местонахождение лесного участка (лесничество, квартал, таксационный выдел) | Средняя скорость фронта верхового ЛП, м/мин |
при скорости ветра, м/с |
Менее 0,3 | 0,3 - 1,6 | 1,6 - 3,4 | 3,4 - 5,5 | 5,5 - 8,0 | 8,0 - 10,8 | 10,8 - 13,9 | 13,9 - 17,2 | 17,2 - 20,8 | 20,8 - 24,5 | 24,5 - 28,5 | 28,5 - 32,7 | 32,7 и более |
| | | | | | | | | | | | | |
| | | | | | | | | | | | | |
| | | | | | | | | | | | | |
| | | | | | | | | | | | | |
| | | | | | | | | | | | | |
Б.3 При формировании обучающих примеров МКП ПАМ-ЛП для верховых ЛП в качестве расчетного параметра следует принимать среднюю скорость распространения фронта верхового ЛП по сформированному справочнику (согласно
таблице Б.3), соответствующей наблюдаемому лесному участку и скорости ветра, по состоянию на дату и время наблюдения верхового ЛП.
(рекомендуемое)
ПОРЯДОК ОПРЕДЕЛЕНИЯ РАСЧЕТНЫХ ПАРАМЕТРОВ
НИЗОВЫХ ЛЕСНЫХ ПОЖАРОВ
В.1 В качестве базового коэффициента распространения низовых лесных пожаров принимается значение скорости распространения фронта пожара при отсутствии ветра и склона, рассчитанное по модели Ротермела.
Кроме того, с использованием данной модели осуществляется расчет:
- скорости распространения фронта ЛП (с учетом ветра и ландшафта территории);
- площади ЛП.
В дальнейшем на базе указанных показателей осуществляется подготовка гипотез МКП ПАМ-ЛП на этапе обучения.
Модель Ротермела основывается на положении о том, что скорость распространения пламени пропорциональна отношению теплоты горения материала к теплоте нагрева новых порций горючего материала до температуры воспламенения.
В ПАМ-ЛП с использованием модели Ротермела осуществляется расчет скорости распространения фронта низового лесного пожара в зависимости от состава ЛГМ и наблюдаемой метеорологической обстановки.
Определение скорости фронта распространения низового ЛП осуществляется в следующей последовательности.
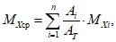
В.2 По результатам сбора характеристики лесного участка, определяется состав ЛГМ Ai для данного участка, после чего для каждого слоя ЛГМ вычисляют площадь поверхности, приходящуюся на 1 м2 территории, по формуле

(В.1)
где

- средний запас слоя ЛГМ, кг/м
2;

- удельная поверхность слоя ЛГМ, м
-1;

- плотность слоя ЛГМ, кг/м
3.
Таблица В.1
Средние характеристики напочвенного покрова
Состав | Обозначение | Лишайник | Мох Шребера | Хвоя | Листья | Сухие злаки | Кустарник | Отходы лесозаготовок |
Средний запас слоя ЛГМ, кг/м2 | | 1,7 | 1,0 | 0,3 | 0,15 | 0,225 | 0,9 |
Удельная поверхность слоя ЛГМ, м-1 | | 2000 | 2500 | 6000 | 11560 | 18170 | 6560 | 4920 |
Теплота сгорания, ккал/кг | h | 4300 | 4700 | 4500 | 4880 | 4200 | 4400 |
Плотность слоя ЛГМ, кг/м3 | | 300 | 512 | 460 | 420 | 512 |
Высота слоя, м | | 0,12 | 0,1 | 0,075 | 0,5 | 0,6 | 0,7 |
Критическое влагосодержание, кг/кг | Mx | 0,3 | 0,5 | 0,3 | 0,4 | 0,2 |
В.3 Суммарную площадь поверхности AT всех слоев ЛГМ вычисляют по формуле

(В.2)
В.4 Усреднение показателей "влагосодержание" слоев ЛГМ Mср осуществляется по соотношению:

(В.3)
Влагосодержание M принимается одинаковым для каждого слоя ЛГМ и вычисляют по формуле

(В.4)
где m - относительная влажность ЛГМ, %.
Относительную влажность ЛГМ определяют по таблице В.2 в зависимости от показателя влажности напочвенного покрова ПВ-1.
Таблица В.2
Изменение наиболее вероятной влажности напочвенного покрова
в зависимости от величины ПВ-1
ПВ-1 | 300 | 400 | 450 | 500 | 600 | 700 | 800 | 850 | 900 | 1000 |
m, % | 36,5 | 29,0 | 25,5 | 22,5 | 19,5 | 17,0 | 15,0 | 14,5 | 14,0 | 13,5 |
Продолжение таблицы В.2
ПВ-1 | 1100 | 1200 | 1300 | 1400 | 1500 | 1600 | 1700 | 1800 | 1900 |
m, % | 13,5 | 13,5 | 13,0 | 12,5 | 12,5 | 12,0 | 12,0 | 11,5 | 11,0 |
Окончание таблицы В.2
ПВ-1 | 2000 | 2100 | >= 2200 |
m, % | 11,0 | 10,5 | 10 |
Показатель ПВ-1 в
таблице В.2 определяется по данным пожарной опасности в лесах по условиям погоды на дату наблюдения лесного пожара.
В.5 Усреднение показателей "средний запас слоя ЛГМ" слоев ЛГМ

осуществляется по соотношению:

(В.5)
В.6 Усреднение показателей "предельное влагосодержание" слоев ЛГМ MXср осуществляется по соотношению:

(В.6)
В.7 Усреднение показателей "плотность" слоев ЛГМ

осуществляется по соотношению:

(В.7)
В.8 Усреднение показателей "удельная поверхность" слоев ЛГМ

осуществляется по соотношению:

(В.8)
В.9 Усреднение показателей "теплота сгорания" слоев ЛГМ hср осуществляется по соотношению:

(В.9)
В.10 Среднюю высоту ЛГМ

вычисляют по формуле

(В.10)
В.11 Скорость ветра на уровне 6 метров над кронами древостоя WZ6 вычисляют по формуле

(В.11)
где WZ10 - скорость ветра по данным ближайшей метеостанции;
Zd - средняя высота древостоя.
В.12 Пересчет скорости ветра W, полученной на ближайшей метеостанции, вычисляют по формуле

(В.12)
| | ИС МЕГАНОРМ: примечание. В официальном тексте документа, видимо, допущена опечатка: имеется в виду таблица В.3, а не таблица Г.3. | |
где f - объемная плотность полога леса, определяется по таблице Г.3.
Таблица В.3
Объемная плотность полога леса
Степень сомкнутости полога | Теневыносливые | Светолюбивые |
Молодые | Спелые и перестойные | Молодые | Спелые и перестойные |
Густые | 0,32 | 0,24 | 0,16 | 0,08 |
Редкие | 0,09 | 0,07 | 0,07 | 0,05 |
В.13 Значение показателя

вычисляют по формуле

(В.13)
В.14 Потенциальную скорость реакции горения r вычисляют по формуле

(В.14)
В.15 Долю теплового потока

, идущую на поддержание процесса горения, вычисляют по формуле

(В.15)
В.16 Эффективную плотность ЛГМ

вычисляют по формуле

(В.16)
В.17 Коэффициент замедления скорости сгорания по влагосодержанию

вычисляют по формуле

(В.17)
В.18 Теплоту воспламенения Q вычисляют по формуле
Q = 250 + 1116·
Mср, (В.18)
В.19 Скорость распространения фронта пожара при отсутствии ветра и склона

вычисляют по формуле

(В.19)

- коэффициент, учитывающий минеральный состав ЛГМ, принимается равным 0,42;
ST - содержание минеральных веществ, принимается равным 0,02;
В.20 Коэффициент заполнения слоя ЛГМ

вычисляют по формуле

(В.20)
В.21 Коэффициент влияния уклона местности

на скорость распространения фронта пожара вычисляют по формуле

(В.21)

- уклон ячейки матрицы с описанием лесного участка.
В.22 Коэффициент K1 вычисляют по формуле

(В.22)
В.23 Коэффициент K2 вычисляют по формуле

(В.23)
В.24 Коэффициент влияния ветра

на скорость распространения фронта пожара вычисляют по формуле

(В.24)
В.25 Скорость распространения фронта пожара vфр, м/мин, вычисляют по формуле

(В.25)
В.26 Определяется площадь ЛП, исходя из допущений, что низовой ЛП в однородной среде распространяется эллипсом
(рисунок В.1).

- время прогнозирования, мин
Рисунок В.1 - Эллиптическая форма контура низового ЛП
Определение площади ЛП осуществляется в следующей последовательности:
В.26.1 Вычисляют отношение длины ЛП к его ширине LB по формуле
LB = 0,936exp(0,2566·W) +
+ 0,461exp(-0,1548·W) - 0,397, (В.26)
В.26.2 Вычисляют соотношение передней кромки ЛП к его задней кромке HB по формуле

(В.27)

(В.28)

(В.29)

(В.30)
Окончательное значение величин
a,
b и
c определяется путем умножения каждой из приведенных величин на период прогнозирования в минутах [период прогнозирования модели краткосрочного прогнозирования - 3 ч, соответственно полученные значения по
формулам (В.28) -
(В.30) следует умножить на 180].
В.26.4 Вычисляют площадь ЛП SЛП по формуле

(В.31)
(рекомендуемое)
ПОРЯДОК ГРУППИРОВКИ ЗНАЧЕНИЙ ВХОДНЫХ ДАННЫХ
С ИСПОЛЬЗОВАНИЕМ ФОРМУЛЫ СТЕРДЖЕССА
Определение количества градаций значений случайной величины с использованием формулы Стерджесса осуществляется по следующей зависимости:
где n - количество групп;
N - число единиц совокупности.
Ширину значения варьирующего признака (интервал) случайной величины вычисляют по формуле

(Г.2)
где xmax - максимальное значение признака в совокупности;
xmin - минимальное значение признака в совокупности.
Если xmax или xmin сильно отличаются от смежных с ними значений вариантов в упорядоченном ряду значений группировочного признака, то для определения величины интервала следует использовать значения, несколько превышающие минимум, и несколько меньше, чем максимум.
Если размах вариации признака в совокупности велик и значения признака варьируются неравномерно, то применяется группировка с неравными интервалами, получаемыми путем объединения интервалов, содержащих небольшое количество показателей или не содержащих вообще ни одного показателя. Также объединение интервалов осуществляется в тех случаях, когда на основе статистических данных для показателей, соответствующих данным интервалам, не зафиксировано ни одного лесного пожара.
Таким образом, учитывая, что процесс наращивания обучающего множества предполагается осуществлять до достижения требуемого качества прогнозов, при компьютерной реализации ПАМ-ЛП должны быть обеспечены следующие возможности:
- получение первичных градаций значений наблюдаемого параметра с использованием
формул (Г.1) и
(Г.2) и формирование на их базе соответствующего справочника;
- изменение полученного справочника градаций значений наблюдаемого параметра пользователем ПАМ-ЛП.
(рекомендуемое)
ПОРЯДОК ОПРЕДЕЛЕНИЯ УКЛОНА МЕСТНОСТИ НА ОСНОВЕ
ГЛОБАЛЬНОЙ ЦИФРОВОЙ МОДЕЛИ РЕЛЬЕФА МЕСТНОСТИ SRTM
До получения достоверных сведений о ландшафте, определение уклона местности для соответствующей территории осуществляется на основе алгоритма Zevenbergen-Thorne.
Указанный алгоритм использует аппроксимацию рельефа территории функцией следующего вида:
z = A·x2·y2 + B·x2·y + C·x·y2 + D·x2 +
+ E·y2 + F·x·y + G·x + I, (Д.1)
где x; y - географические координаты точки с высотой z;
A ... I - коэффициенты аппроксимации, рассчитанные с помощью полиномов Лагранжа на основе значений высот в ячейках квадратной матрицы 3 x 3.
Значение уклона местности в центральной ячейке матрицы 3 x 3,
рисунок Д.1, получается в результате дифференцирования (Д.1) и решения соответствующих уравнений.
Рисунок Д.1 - Определение уклона местности
по Zevenbergen-Thorne
Определение уклона местности
Уклон местности - угол наклона в точке пересечения между горизонтальной плоскостью и плоскостью касательной к земной поверхности; фиксирует интенсивность перепада высот (градиент) между двумя заданными точками,
рисунок Д.2.
Рисунок Д.2 - Крутизна склона
Уклон местности рассчитывается с учетом изменений значений высот ячеек матрицы 3 x 3 относительно центральной ячейки в двух направлениях - с запада на восток (ось
X) и с севера на юг (ось
Y),
рисунок Д.1:

(Д.2)
где

- производная первого порядка, представляющая изменение значений абсолютных высот ячеек матрицы 3 x 3 относительно центральной ячейки с запада на восток;

- производная первого порядка, представляющая изменение значений абсолютных высот ячеек матрицы 3 x 3 относительно центральной ячейки с севера на юг.
Алгоритм определения уклона местности по алгоритму Zevenbergen-Thorne сводится к следующей последовательности действий (относительно ячеек матрицы на
рисунке Д.1):
1 Уклон местности G в направлении с востока на запад вычисляют по формуле

(Д.3)
где z4; z6 - значения высот в соответствующих ячейках матрицы высот, м;
l - пространственное разрешение матрицы высот, м.
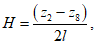
2 Уклон местности H в направлении с севера на юг вычисляют по формуле

(Д.4)
где z2 и z8 - значения высот в соответствующих ячейках матрицы высот, м.
3 Интегральное значение уклона местности a для центральной ячейки матрицы вычисляют по формуле

(Д.5)
В качестве центральной ячейки матрицы при определении уклона местности следует использовать широту и долготу точки регистрации очага ЛП,
рисунок Д.1.
| Федеральный закон от 21 декабря 1994 г. N 69-ФЗ "О пожарной безопасности" |
| Лесной кодекс Российской Федерации от 4 декабря 2006 г. N 200-ФЗ |
| Федеральный закон от 21 декабря 1994 г. N 68-ФЗ "О защите населения и территорий от чрезвычайных ситуаций природного и техногенного характера" |
УДК 614.894:006.354 | |
Ключевые слова: безопасный город, прогнозная аналитическая модель, метод Байеса, лесной пожар, прогнозирование лесных пожаров, вероятностная оценка угроз |