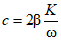
Главная // Актуальные документы // ПНСТ (Предварительный национальный стандарт)СПРАВКА
Источник публикации
М.: ФГБУ "РСТ", 2022
Примечание к документу
Документ
введен в действие с 01.04.2022 на период до 01.04.2025 (
Приказ Росстандарта от 17.01.2022 N 4-пнст).
Название документа
"ПНСТ 563-2022. Предварительный национальный стандарт Российской Федерации. Нефтяная и газовая промышленность. Системы подводной добычи. Механика морских грунтов и геотехническое проектирование"
(утв. и введен в действие Приказом Росстандарта от 17.01.2022 N 4-пнст)
"ПНСТ 563-2022. Предварительный национальный стандарт Российской Федерации. Нефтяная и газовая промышленность. Системы подводной добычи. Механика морских грунтов и геотехническое проектирование"
(утв. и введен в действие Приказом Росстандарта от 17.01.2022 N 4-пнст)
Утвержден и введен в действие
агентства по техническому
регулированию и метрологии
от 17 января 2022 г. N 4-пнст
ПРЕДВАРИТЕЛЬНЫЙ НАЦИОНАЛЬНЫЙ СТАНДАРТ РОССИЙСКОЙ ФЕДЕРАЦИИ
НЕФТЯНАЯ И ГАЗОВАЯ ПРОМЫШЛЕННОСТЬ
СИСТЕМЫ ПОДВОДНОЙ ДОБЫЧИ
МЕХАНИКА МОРСКИХ ГРУНТОВ И ГЕОТЕХНИЧЕСКОЕ ПРОЕКТИРОВАНИЕ
Petroleum and natural gas industry.
Subsea production systems. Offshore soil mechanics
and geotechnical engineering
ПНСТ 563-2022
Срок действия
с 1 апреля 2022 года
до 1 апреля 2025 года
1 РАЗРАБОТАН Обществом с ограниченной ответственностью "Газпром 335" (ООО "Газпром 335")
2 ВНЕСЕН Техническим комитетом по стандартизации ТК 023 "Нефтяная и газовая промышленность"
3 УТВЕРЖДЕН И ВВЕДЕН В ДЕЙСТВИЕ
Приказом Федерального агентства по техническому регулированию и метрологии от 17 января 2022 г. N 4-пнст
Правила применения настоящего стандарта и проведения его мониторинга установлены в ГОСТ Р 1.16-2011 (разделы 5 и 6).
Федеральное агентство по техническому регулированию и метрологии собирает сведения о практическом применении настоящего стандарта. Данные сведения, а также замечания и предложения по содержанию стандарта можно направить не позднее чем за 4 мес до истечения срока его действия разработчику настоящего стандарта по адресу: inf@gazprom335.ru и/или в Федеральное агентство по техническому регулированию и метрологии по адресу: 123112 Москва, Пресненская набережная, д. 10, стр. 2.
В случае отмены настоящего стандарта соответствующая информация будет опубликована в ежемесячном информационном указателе "Национальные стандарты" и также будет размещена на официальном сайте Федерального агентства по техническому регулированию и метрологии в сети Интернет (www.rst.gov.ru)
Создание и развитие отечественных технологий и техники для освоения нефтегазовых месторождений на шельфе и в акваториях должно быть обеспечено современными стандартами, устанавливающими требования к проектированию, строительству и эксплуатации систем подводной добычи. Для решения данной задачи Министерством промышленности и торговли Российской Федерации и Федеральным агентством по техническому регулированию и метрологии реализуется "Программа по обеспечению нормативной документацией создания отечественной системы подводной добычи для освоения морских нефтегазовых месторождений". В объеме работ программы предусмотрена разработка национальных и предварительных национальных стандартов, областью применения которых являются системы подводной добычи углеводородов.
Настоящий стандарт содержит рекомендации для планирования и проведения исследований грунта, а также для моделирования, расчета и прогнозирования работоспособности подводных фундаментов с геотехнической точки зрения.
Содержащиеся в настоящем стандарте рекомендации основаны на новейших научно-технических достижениях в области решения подводных геотехнических задач и отражают накопленный за последнее время мировой опыт проектирования, современную отраслевую практику и принципиально новые исследования. Несмотря на это, рекомендации настоящего стандарта не следует интерпретировать как непреодолимый барьер для применения альтернативных методов исследований и проектирования.
Настоящий стандарт применяется:
- для разработки методов, включаемых в программы исследования морского грунта с целью установления достоверных данных по грунтам, достаточных для геотехнического проектирования, с учетом местных условий;
- разработки рекомендаций к проектированию и расчету фундаментов для подводного оборудования и сооружений систем подводной добычи, за исключением опорных конструкций трубопроводов.
Настоящий стандарт допускается применять для геотехнического проектирования как свайных подводных фундаментов, так и подводных фундаментов мелкого заложения.
Представленные в настоящем стандарте методы расчетов устойчивости, несущей способности, деформаций и осадок фундаментов для подводных сооружений и оборудования необходимо рассматривать с учетом типа, размера и конструктивного исполнения соответствующих сооружений и оборудования.
Настоящий стандарт не распространяется на подводные фундаменты в скальном грунте.
В настоящем стандарте использованы нормативные ссылки на следующие документы:
ГОСТ 27751 Надежность строительных конструкций и оснований. Основные положения
ГОСТ Р 59304 Нефтяная и газовая промышленность. Системы подводной добычи. Термины и определения
СП 11-114-2004 Инженерные изыскания на континентальном шельфе для строительства морских нефтегазопромысловых сооружений
Примечание - При пользовании настоящим стандартом целесообразно проверить действие ссылочных стандартов (сводов правил) в информационной системе общего пользования - на официальном сайте Федерального агентства по техническому регулированию и метрологии в сети Интернет или по ежегодному информационному указателю "Национальные стандарты", который опубликован по состоянию на 1 января текущего года, и по выпускам ежемесячного информационного указателя "Национальные стандарты" за текущий год. Если заменен ссылочный документ, на который дана недатированная ссылка, то рекомендуется использовать действующую версию этого документа с учетом всех внесенных в данную версию изменений. Если заменен ссылочный документ, на который дана датированная ссылка, то рекомендуется использовать версию этого документа с указанным выше годом утверждения (принятия). Если после утверждения настоящего стандарта в ссылочный документ, на который дана датированная ссылка, внесено изменение, затрагивающее положение, на которое дана ссылка, то это положение рекомендуется применять без учета данного изменения. Если ссылочный документ отменен без замены, то положение, в котором дана ссылка на него, рекомендуется применять в части, не затрагивающей эту ссылку.
В настоящем стандарте применены термины по
ГОСТ Р 59304, а также следующие термины с соответствующими определениями:
3.1 аварийное предельное состояние (accidental limit state, ALS): Предельное состояние, гарантирующее, что конструкция выдержит случайные нагрузки и сохранит целостность и работоспособность в поврежденном состоянии.
3.2 гладкая опора (smooth footing): Тип опоры, которая не передает горизонтальные напряжения сдвига.
3.3
| | ИС МЕГАНОРМ: примечание. В официальном тексте документа, видимо, допущена опечатка: имеется в виду ГОСТ 25100-2011, ст. 3.8, а не ст. 3.3. | |
грунт (soil): Любые горные породы, почвы, осадки и техногенные образования, рассматриваемые как многокомпонентные динамичные системы и как часть геологической среды и изучаемые в связи с инженерно-хозяйственной деятельностью человека. |
3.4 деформационное упрочнение (distortional hardening): Сдвиговое упрочнение, связанное с напряжениями сдвига.
3.5 испытание Т-образным стержнем (T-bar test): Измерение сопротивляемости грунта внедрению стержня с целью дальнейшего преобразования измеренной сопротивляемости в прочность грунта путем использования коэффициента опирания, определяемого установившимся течением грунта вокруг стержня.
3.6 коэффициент запаса по материалу (material factor): Частный коэффициент надежности по материалу, на который делятся нормативная прочность или сопротивляемость для получения расчетной прочности или сопротивляемости.
3.7 кригинг (kriging): Метод интерполяции при геологическом моделировании пространственных распределений свойств грунтов.
3.8 критерий проектирования (design rule): Неравенство, которое должно учитываться в проекте, например расчетная несущая способность, превышающая расчетную нагрузку.
3.9 местный анализ (wished-in-place): Анализ допущений для сооружения или фундамента, в котором влияния строительства и монтажа игнорируются.
3.10 метод суперэлементов (superelement technique): Метод, используемый для уменьшения сложности конечно-элементной модели за счет группировки и обработки конечных элементов с созданием укрупненного конечного элемента нового типа.
3.11 напряжение предуплотнения (preconsolidation stress): Максимальное вертикальное эффективное напряжение, которому подвергается грунт и в результате уплотняется.
3.12 нормативная нагрузка (characteristic load): Номинальное значение нагрузки, используемое при определении расчетной нагрузки.
3.13 нормативная прочность (characteristic strength): Номинальное значение прочности, которое должно использоваться при определении расчетной прочности.
3.14
нормативное значение (characteristic value): Значение, устанавливаемое нормативными документами исходя из условий заданной обеспеченности или принятое по номинальному значению. [ГОСТ Р 54483-2011, статья 3.18] |
3.15 опорная конструкция гравитационного типа (gravity base structure): Опорная конструкция, устойчивость которой на морском дне обеспечивается ее собственным весом и площадью опорной поверхности.
3.16 основание (foundation soil): Массив донного грунта, взаимодействующий с фундаментом.
3.17 отказ опоры (pier failure): Отказ группы/куста свай в целом в отличие от отказа одиночных свай, когда сваи в группе близко расположены.
3.18 предельное рабочее состояние (ultimate limit state, ULS): Предельное состояние, которое соответствует пределу несущей способности, то есть максимальной сопротивляемости нагрузке.
3.19 притяжение (attraction): Отрезок оси нормальных напряжений линии предельных напряжений Мора - Кулона на диаграмме зависимости касательной составляющей напряжения от нормальной составляющей напряжения.
Примечание - Притяжение - это не физическое свойство, а некий коэффициент в представлении линии предельных напряжений, который применяется на практике при расчетах.
3.20
сопротивляемость (resistance): Способность элемента или сечения элемента выдерживать нагрузочный эффект без разрушения. [ГОСТ Р 54483-2011, статья 3.32] |
3.21 фундамент (foundation): Конструкция, которая служит опорой для подводного оборудования и обеспечивает передачу нагрузок на основание.
3.22 шероховатая опора (rough footing): Шероховатая опора на упругом полупространстве, способная передавать горизонтальное усилие не более весового усилия, умноженного на коэффициент, соответствующий углу внутреннего трения в грунте под опорой.
3.23 юбка фундамента (foundation skirt): Замкнутая полая тонкостенная стальная конструкция в нижней части фундамента, которая полностью открыта снизу и частично или полностью закрыта сверху. Конструктивно юбка может содержать внутренние и внешние ребра жесткости.
3.24 p-y кривая (p-y curve): Соотношение между боковой сопротивляемостью грунта (p) и смещением сваи на расстояние (y) в боковом направлении в рассматриваемой точке вдоль сваи.
3.25 q-z кривая (q-z curve): Соотношение между осевой сопротивляемостью нижнего конца сваи (q) и осевым смещением нижнего конца сваи (z).
3.26 t-z кривая (t-z curve): Соотношение между осевой сопротивляемостью грунта (t) и смещением сваи на расстояние (z) в осевом направлении в рассматриваемой точке вдоль сваи.
В настоящем стандарте применены следующие сокращения:
МКЭ - метод конечных элементов;
ALS - аварийное предельное состояние;
API метод - метод проектирования свай, разработанный в американском институте нефти;
CAU - анизотропно уплотненный недренированный;
CIU - изотропно уплотненный недренированный;
CPT - испытание коническим пенетрометром;
DFF - расчетный показатель усталостной прочности;
DSS - прямой простой сдвиг;
EL - эластичный;
EP - упругопластический;
GBS - опорная конструкция гравитационного типа;
ICP метод - метод проектирования свай, разработанный в Имперском колледже Лондона;
LC - центр нагрузки;
NC - нормально уплотненный;
NGI метод - метод проектирования свай, разработанный в Норвежском геотехническом институте;
OC - переуплотненный;
OCR - коэффициент переуплотнения;
PCPT - пьезометрическое конусное зондирование;
PL - пластичный;
SLS - предельное состояние по пригодности к эксплуатации;
SRD - сопротивляемость грунта во время забивки сваи;
SRV - устойчивость грунта к вибрационному монтажу свай;
ULS - предельное рабочее состояние;
UU - неуплотненный недренированный;
UWA метод - метод проектирования свай, разработанный в Университете Западной Австралии;
YSR - коэффициент предела текучести;
2D - двухмерный.
В данном разделе содержатся общие рекомендации по определению программ исследования грунта для морских фундаментов. Классификация и систематизированные свойства грунтов приведены в
ГОСТ 25100. Подробные требования к геофизическому каротажу скважины, бурению, отбору проб, полевым и лабораторным испытаниям, выбору количества скважин для инженерно-геологических изысканий и статического зондирования, глубине бурения грунта, рекомендуемому количеству точек испытания с отбором проб, рекомендуемому расстоянию между скважинами для инженерно-геологических изысканий и отчетности приведены в
СП 11-114-2004. Допускается учитывать соответствующие рекомендации, представленные в
[1].
5.2 Цель и область применения
5.2.1 Исследования грунта должны в конечном итоге предоставить все необходимые данные о грунте для выполнения подробного геотехнического проектирования в отношении разрабатываемой конструкции фундамента. Исследования грунта подразделяются на геологические, геофизические и геотехнические.
Примечание - Геологическое изучение, основанное на геологической истории, может служить основой для выбора методов и масштабов геотехнических исследований грунта. Геофизическое исследование площадки требуется для планирования количества и местоположения позиций скважин. Геофизические исследования, основанные на малоглубинной сейсморазведке, могут быть объединены с результатами геотехнического исследования грунта для установления информации о стратификации грунта и топографии морского дна на расширенной территории, такой как зона, охватываемая фундаментом на вакуумных сваях. Геотехническое исследование грунта состоит из испытаний грунта непосредственно на рабочей площадке и отбора проб грунта для лабораторных испытаний.
5.2.2 Степень исследований и выбор методов исследования грунта учитывают тип, размер и значимость устанавливаемого сооружения, сложность условий грунта и морского дна, а также фактический тип донных отложений. Территория, подлежащая проведению исследований грунта, должна учитывать необходимые допуски для выполнения позиционирования и монтажа.
Примечание - Плотность сейсмопрофилей в выбранном месте должна быть достаточно высокой для определения всех слоев грунта, имеющих значение для проектирования и монтажа фундамента. Особое внимание следует уделить возможности наличия подземных каналов эрозии с мягким наполняющим материалом и пунктам, указанным в реестре риска фундаментных грунтов.
5.2.3 Для многосоставных фундаментов стратиграфию грунта и диапазон свойств прочности грунта оценивают в каждой группе фундаментов или на основании местоположения фундамента, если это необходимо.
5.2.4 Исследования предоставляют соответствующую информацию о грунте до глубины, ниже которой возможное существование слабых образований не будет влиять на безопасность или эксплуатационные характеристики возводимого сооружения и его фундамента.
5.3.1 Общие положения
5.3.1.1 Необходимый объем информации в отношении свойств грунта обычно изменяется в зависимости от стадии разработки морского месторождения. На ранней стадии собранные данные должны быть достаточно подробными, чтобы продемонстрировать осуществимость данного проектного решения. Кроме того, информация, доступная на этом этапе, должна быть достаточной для выбора наиболее правильного местоположения сооружения в пределах заданной области. На заключительном этапе в ходе исследования грунта следует предоставить все необходимые данные для детального проектирования фундамента конкретного сооружения в определенном месте.
5.3.1.2 Инженерно-геологические исследования предполагаемой рабочей площадки также могут потребоваться для изучения факторов геологического риска, способных повлиять на безопасность планируемых сооружений или операций. Это могут быть нарушения склона или другие нестабильности и особенности морского дна, например разломы, придонный газ, газовые карманы (свободный мелкозалегающий в грунтах газ), газовые сипы, газовые гидраты, воронки и грязевые вулканы. Требования и инструкции, касающиеся таких проблем, в настоящем стандарте не рассматриваются.
5.3.1.3 Исследование грунта, необходимое для разработки месторождений, проводят последовательно, чтобы было возможно разработать конструктивное решение с учетом условий грунта. Для оптимизации масштабов исследования грунта планирование требуется проводить на основе результатов предыдущих изысканий. Факторы, такие как геологическая история, доступная информация о геофизических исследованиях или геотехнические исследования близлежащего объекта и потребности, связанные с размером и типом фундамента, определяют в объеме исследования рабочей площадки.
5.3.1.4 Последовательность задач при исследовании грунта для проектирования морских фундаментов:
- инженерно-геологическая рекогносцировка;
- сбор существующих геологических, геофизических, геотехнических данных и данных о фундаменте для выбранной площади, доступных и актуальных для фактического проектного назначения;
- проведение геофизической съемки на ранней стадии разработки месторождения, включающей в себя батиметрию, обследование морского дна и профилирование донного слоя;
- проведение геотехнического исследования объекта, необходимого на раннем этапе проектирования;
- когда тип и местоположение сооружения и фундамента определены, проводят подробное геотехническое и топографическое картографирование и обследование морского дна фактического местоположения.
5.3.2 Геофизическая разведка и геотехнические исследования
5.3.2.1 В зависимости от сложности разработки месторождения, включая количество и тип сооружений и фундаментов, и степени, в какой они уже определены, геофизические и геотехнические исследования на площадке проводят в один или несколько этапов. Геофизические исследования необходимо провести перед геотехническими исследованиями для оптимизации последних.
5.3.2.2 Геофизическая разведка необходима для описания топографии морского дна (батиметрические исследования), включая любые его характеристики, такие как следы айсберга, эрозионные особенности, воронки, оползни и поверхностные объекты, которые могут оказывать влияние на фундамент. Факторы геологического риска, такие как разломы, рябы, газовые карманы и оползневая устойчивость морского дна, исследуют и отображают в рамках геофизической разведки. Кроме того, объекты техногенного характера, которые могут находиться как на поверхности дна, так и в донных отложениях, например якоря, обломки судов и т.д., исследуют соответствующими методами, например при помощи магнитометрии, и отображают в рамках геофизической разведки. Геофизические исследования выявляют слоистость подповерхностного грунта для корреляции с инженерно-геологическими изысканиями, чтобы получить картину изменений слоистости в пределах исследуемой территории. Также должны быть закартографированы такие подповерхностные особенности, как подземные каналы эрозии, придонный газ, разломы или другие аномалии.
5.3.2.3 Объем геотехнических исследований обеспечивают информацией по существующим данным геофизической разведки выбранной площадки. Степень геотехнических исследований с точки зрения количества и глубины бурения грунта, количества точек испытаний с отбором проб и испытаний на рабочей площадке, а также количества и типов лабораторных испытаний выбирают таким образом, чтобы получить надежные данные, необходимые для проектирования конкретных фундаментов. Это зависит от типа и размера фундамента и воспринимаемых нагрузок
5.3.2.4 Количество буровых скважин и мест проведения испытаний на площадке зависит от изменчивости грунта на площади планируемых фундаментов. При обнаружении значительных колебаний глубины и толщины различных пластов грунта или выявлении большого разброса характеристик, таких как прочность на сдвиг в каждом пласту, для получения надежных данных для проектирования потребуется дополнительное бурение и тестирование местоположения. В связи с этим исследования грунта планируют и осуществляют в тесном сотрудничестве с инженерами-геотехниками, предпочтительно теми, кто участвует в проектировании фундамента для данной территории. Все скважины должны быть ориентированы на непрерывный отбор проб и глубинные испытания.
5.3.2.5 Точность информации, полученной в результате геофизических исследований, может зависеть от глубины акватории. Рекомендуется рассмотреть возможность интенсификации геотехнического исследования при уменьшении точности геофизической разведки.
5.3.2.6 Методы геопространственного моделирования, такие как кригинг и использование географических информационных систем, могут использоваться для разработки геологических моделей и исследований, основанных на оценке рисков. Геологическая модель может быть обновлена по мере проведения инженерно-геологических исследований и получения новой информации.
5.3.3 Типы данных и типы испытаний
5.3.3.1 Данные, которые необходимо собрать, должны быть тесно связаны с типом фундамента и с методами, которые предполагается использовать для прогнозирования прочности фундамента и его жесткости в возможных проектируемых ситуациях. Для различных ситуаций и методов проектирования может потребоваться сбор различных данных.
5.3.3.2 Типы собираемых данных включают данные классификации грунтов, непосредственно измеренные или полученные с помощью физических или эмпирических корреляций измеренных значений. Эти типы данных включают следующие характеристики:
- описания грунта;
- удельный вес грунта;
- удельная плотность твердых частиц;
- влажность;
- коэффициент пористости;
- гранулометрический состав;
- карбонатность и содержание органических веществ, в зависимости от того, что применимо;
- пределы пластичности и текучести и индексы пластичности и текучести;
- для песчаных пластов: максимальные и минимальные коэффициенты пористости и значения относительной плотности, предпочтительно с оценками корреляций с помощью определения плотности грунта пьезометрическим конусным зондированием;
- превышение порового давления на площадке, если применимо;
- напряжение предуплотнения и коэффициент переуплотнения;
- коэффициент проницаемости;
- скорость сдвиговой волны.
5.3.3.3 Параметры прочности на сдвиг, необходимые для проверки характеристик фундамента, включают:
- для песчаных пластов: углы дренированного трения, определенные путем различных типов испытаний, например трехосных испытаний, испытаний методом прямого сдвига или испытаний в сдвиговой коробке, выполняемые для величин относительной плотности, соответствующих тем, которые имеются на площадке объекта и охватывают диапазоны напряжений, релевантные для проектируемых ситуаций;
- для глинистых пластов: прочность недренированного грунта на сдвиг, определенная путем различных типов испытаний, таких как неуплотненные недренированные трехосные испытания, изотропно или анизотропно уплотненные недренированные трехосные испытания, испытания уплотненного прямого простого сдвига, если применимо. Требуется определить как прочность ненарушенной породы, так и прочность образцов из переформированного материала.
5.3.3.4 Параметры деформации необходимы для определения осадки и смещений, а также для анализа статического и динамического взаимодействия с конструкцией. Рассматриваемые параметры деформации включают:
- начальный модуль сдвига при малых деформациях (Gmax), например полученный из скорости сдвиговой волны;
- понижение модуля сдвига как функцию деформации;
- демпфирование в материале грунта как функцию деформации;
- параметры, описывающие деформации уплотнения, такие как компрессионный модуль деформации или коэффициент сжатия;
- коэффициент уплотнения.
Примечание - Выбор модулей сдвига и демпфирования описан в
11.4.
5.3.3.5 В любую программу исследования грунта на месте работ рекомендуется включать пьезометрическое испытание коническим пенетрометром, испытания Т-образным стержнем (T-bar) и испытания шаровым пенетрометром. В песчаных грунтах испытания PCPT необходимы для получения надежных оценок относительной плотности. Для глин испытания PCPT и T-bar косвенно обеспечивают непрерывные профили прочности недренированного грунта на сдвиг и могут выявлять любой локальный слабый пласт, который может быть не обнаружен, если выполняется только отбор образцов с лабораторными испытаниями. Сильные стороны испытаний на месте рабочей площадки оцениваются на основе корреляций с лабораторными данными по прочности. Корреляции, необходимые для определения прочности недренированного грунта на сдвиг при таких испытаниях, предпочтительно должны быть выверены в результате лабораторных испытаний проб грунта, близких к некоторым испытаниям на площадке. Следует принимать во внимание прессиометрические испытания и дилатометрические тесты, если данные этих типов испытаний требуются или рекомендуются для конкретных методов расчета. Измерения скорости сдвиговой волны целесообразны для определения модуля сдвига при малых деформациях (Gmax).
Примечание - Испытания T-bar считаются особенно целесообразными для характеристики мягких глин на очень малых глубинах, как это требуется для расчетов взаимодействия "трубопровод - грунт". Это связано с тем, что зона влияния для испытания T-bar меньше, чем для испытания коническим пенетрометром, поэтому испытания T-bar считаются более надежными на небольших глубинах. Прессиометрические испытания и дилатометрические тесты могут предоставить ценную информацию о боковом отпоре грунта, например, для моносвайных фундаментов.
5.3.3.6 Программа лабораторных испытаний для определения прочности и деформации грунта охватывает комплекс различных типов испытаний и определенное количество испытаний каждого типа, которых будет достаточно для выполнения детального проекта фундамента.
Примечание - Для глины и песка испытания на прямой простой сдвиг и трехосные испытания являются релевантными типами испытаний грунта для определения параметров прочности.
В волокнистых торфах для определения прочностных свойств грунта не рекомендуются ни испытания на прямой простой сдвиг, ни трехосные испытания. Прочность на сдвиг низинного торфа допускается определять с помощью испытаний грунта на сдвиг в кольцевой обойме.
5.3.3.7 Циклические недренированные испытания следует выполнять в качестве основы для расчета на устойчивость, прогнозирования несущей способности и оценки жесткости фундаментов сооружений, конструкции которых зависят от волновой нагрузки. Следует учитывать циклические тесты и циклические трехосные испытания
(раздел 12).
5.4 Исследования грунта для конкретных типов фундаментов
5.4.1 Общие положения
Данные о грунте, необходимые для проектирования, должны правильно отражать тип и размер фундамента, в частности, в отношении того, какие части грунта наиболее важны для взаимодействия между фундаментной конструкцией и грунтом. Данные о грунте, которые требуются для фундаментов часто встречающихся типов морских сооружений, рассматриваются в
5.3.3.2.
5.4.2 Фундаменты гравитационного типа
5.4.2.1 Для сооружений типа GBS устойчивость фундамента в значительной степени определяется нагрузками от воздействия окружающей среды. Поскольку момент, связанный с вертикальным гидродинамическим давлением на фундамент, противодействует моменту от горизонтальных сил, устойчивость фундамента обычно зависит от горизонтальной силы. Соответственно, критическая поверхность сдвига в грунте чаще всего довольно небольшая, а устойчивость может определяться слабыми поверхностными слоями. Поэтому важно получить достаточно данных о прочности на сдвиг в области мелкого залегания. В дополнение к ряду глубоких буровых скважин, которые потребуются для получения данных для расчета осадок грунта, важно собрать достаточно данных о прочности на сдвиг мелкозалегающего грунта, выполнив нескольких мелких скважин и испытаний PCPT.
5.4.2.2 Необходимое количество буровых скважин и испытаний PCPT должно отражать латеральную изменчивость, выявляемую и определяемую из испытаний, выполняемых по мере исследования грунта. Даже когда грунт кажется однородным между местами проведения испытаний, следует отобрать достаточное количество проб из соответствующих глубин для выполнения требуемых типов испытаний, включая статические и циклические DSS-испытания, трехосные испытания и тестирования одометром. При построении диаграмм циклической прочности требуется несколько испытаний с переменными уровнями среднего и циклического напряжения из того же пласта грунта.
5.4.2.3 Исследования грунта должны предоставлять соответствующую информацию о грунте на достаточной глубине, как требуется в
5.2.4.
Примечание - Для проектирования фундаментов гравитационного типа исследования грунта должны распространяться, по меньшей мере, на глубину любой критической поверхности сдвига. Кроме того, необходимо тщательно изучить все слои грунта, которые влияют на осадку фундамента. В сейсмоактивных областях может потребоваться получение информации о модуле сдвига грунта на больших глубинах.
5.4.2.4 В переуплотненных грунтах наиболее надежные методы оценки сопротивляемости внедрению юбки в грунт относятся к испытанию на проникновение конуса. Для этого необходимо провести серию испытаний PCPT на глубину ниже ожидаемой глубины внедрения юбки.
5.4.2.5 Общую классификацию, параметры прочности и деформации, описанные в
5.3.3, интерпретируют по образцам грунта из буровых скважин.
5.4.3 Свайные фундаменты
5.4.3.1 Для свайных фундаментов необходимо выполнить ряд глубоких буровых скважин с чередованием отбора проб и проведения испытаний PCPT на глубине, которая будет расположена значительно ниже предполагаемой глубины проникновения сваи. Для определения сопротивляемости нижнего конца сваи с грунтовой пробкой в переуплотненном грунте данные о прочности должны быть доступны на минимальной глубине, как описано в
5.4.3.8.
5.4.3.2 Основной вклад в осевую сопротивляемость сваи по всей ее длине вносит прочность грунта, которая, как правило, возрастает с глубиной. В случаях, когда при проектировании необходимо учитывать значение сопротивляемости торцевой поверхности опоры в специфическом слое, таком как плотный песчаный пласт, важно четко определить боковую корреляцию параметров прочности в этом пласте, наклон и толщину пласта.
5.4.3.3 Различные методы расчета несущей способности по оси сваи могут относиться к различным типам характеристик прочности. Исследования грунта должны отражать методы расчета, которые предполагается использовать в проектировании. Параметры, которые необходимы для методов расчета на основе CPT, описаны в
приложении А.
5.4.3.4 Методы основаны на эмпирических корреляциях с измеренной сопротивляемостью грунта вдавливанию конического пенетрометра для определения несущей способности по оси сваи в песке. Таким образом, в песчаных пластах следует добиваться проведения как можно более длительных испытаний PCPT.
Исследовательские испытания могут проводиться на образцах грунта, отбираемого на тех же глубинах, на которых до этого были проведены испытания PCPT. Очень важно, чтобы оборудование PCPT обладало достаточной мощностью, а сам конус был рассчитан на измерение высоких значений сопротивляемости, которые могут встречаться в очень плотных песках, без отказа.
Примечание - Оборудование для измерения должно быть рассчитано на удельную сопротивляемость нижнего конца сваи с величиной, по меньшей мере, 100 МПа.
5.4.3.5 Для глины различные способы расчета поверхностного трения относятся к прочности на сдвиг при различных испытаниях, например прочности в результате испытаний UU, испытаний DSS или испытаний грунта на сдвиг в кольцевой обойме. Очень важно, чтобы исследование грунта включало достаточное количество типов испытаний, соответствующих методам, которые предполагается использовать при проектировании. Рекомендуется проводить как можно больше испытаний на образцах, полученных из взятых проб.
5.4.3.6 Для длинных гибких свай, таких как сваи-оболочки, основной вклад в боковую сопротивляемость свай обычно приходится на верхнюю зону грунта до глубины, составляющей около 10 диаметров сваи. Требуется обеспечить требуемое количество образцов грунта из этой зоны. Эти образцы могут быть получены из скважин глубокого бурения, дополненных по возможности образцами из нескольких дополнительных неглубоких скважин.
5.4.3.7 Для проектирования свайных фундаментов при боковых нагрузках комбинацию испытаний на месте и бурение грунта с отбором проб проводят на достаточной глубине. Для тонких и гибких свай в фундаменте каркасного типа достаточно глубины до 10 диаметров сваи ниже морского дна для проектирования при боковых нагрузках. Для менее гибких моносвай с большими диаметрами достаточно глубины до половины диаметра сваи ниже предполагаемого максимального внедрения сваи для проектирования при боковых нагрузках. Для вакуумных свай потребности в исследованиях грунта допускается принять такими же, как и для других типов моносвай.
5.4.3.8 Для проектирования свай при осевых нагрузках следует проводить, по крайней мере, одно испытание CPT и одно выполненное рядом бурение, при этом отбор проб грунта проводят до предполагаемой глубины внедрения сваи плюс зона воздействия. Зона воздействия зависит от слоистости грунта и должна распространяться на глубину, которая исключает возможность пробоя. Если при проектировании не выполняются более конкретные расчеты на пробой, минимальное расстояние между нижним концом сваи и потенциальным мягким пробивным слоем следует считать равным трем диаметрам сваи. В слоистом грунте, где конкретный слой потенциально может быть использован для опирания концов, иногда требуется более широкий охват для определения латеральной изменчивости в глубинах до границ слоя и свойств конкретного слоя. Более широкий охват также может потребоваться, когда встречаются слои, способные вызвать проблемы с заглубляемостью сваи.
Примечание - Рекомендация для проведения, по крайней мере, одного CPT-испытания и одного рядом выполненного бурения с отбором проб грунта предназначена для свай в морских конструкциях опорных блоков для нефтегазовой промышленности.
В случаях, когда сопротивляемость нижнего конца сваи может иметь большой вклад в осевую сжимающую способность, исследования грунта должны выполняться на глубину, гарантирующую, что более глубоко залегающие и потенциально менее твердые слои не будут приводить к уменьшенной несущей способности, возникающей в результате отказа по пробою.
5.4.3.9 Типичные инженерные изыскания на рабочей площадке для свайного фундамента каркасной конструкции в не исследованных ранее зонах должны состоять из одного глубокого бурения на каждом углу каркасной конструкции с чередованием проб грунта и испытаниями CPT от скважины к скважине, а также с возможным бурением дополнительных скважин в случае, если латеральная изменчивость свойств грунта оказывается существенной. Для каркасных конструкций, которые служат фундаментом для ветровых турбин на ветряной электростанции, может быть достаточно выполнения одного глубокого бурения по центру каркасной конструкции. В случаях, когда данные по более ранним геотехническим скважинам в сочетании с надежными геофизическими данными и знаниями геологии участка подтверждают однородность структуры грунта с умеренной латеральной изменчивостью, может быть оправданно меньшее количество бурений.
Примечание - При проведении инженерно-геологических изысканий на рабочей площадке CPT-испытание для свай с большой величиной заглубления должно выполняться в скважинах. Для свай с незначительной величиной заглубления возможно выполнение CPT-испытания без бурения скважин, чтобы облегчить выполнение испытания.
5.4.4 Подводные фундаменты
Решения для подводных фундаментов могут состоять из свайных фундаментов, сплошных фундаментов с юбками или без них и вакуумных свай. Как правило, в месте расположения подводного сооружения требуется выполнить от двух до трех буровых скважин с отбором проб грунта и испытаниями CPT. В зависимости от изменения условий грунта, выявленных в результате этих буровых работ или других близлежащих буровых работ в сочетании с геофизическими данными, требуемое количество скважин может быть меньше или больше. Решение относительно необходимого количества скважин должно правильно отражать требования к безопасному проектированию, связанному с устойчивостью фундамента, а также требования к потенциальным возможностям установки.
5.4.5 Вакуумные сваи
Требования и рекомендации по исследованию грунта морского дна для размещения вакуумных свай приведены в
[2].
5.4.6 Основание для укладки трубопроводов
5.4.6.1 При планировании исследований грунта для укладки трубопровода следует акцентировать внимание на вариантах расчетных случаев, имеющих важное значение для трубопровода. Эти варианты включают, как минимум:
- расширение (удлинение) трубы с продольным изгибом, что часто требует исследований по всей длине коротких высокотемпературных трубопроводов и что всегда требует исследований на конце длинных трубопроводных магистралей;
- остойчивость после укладки на дно, что может требовать исследований по всей длине трубопровода (в частности, требует исследований вдоль участков трубопровода, которые находятся на мелководье);
- провисание между ледяными рифами и другими формами неровного морского дна, включая взаимодействие труб и грунта на концах провисающего участка, а также проектирование опор провисающих участков, таких как гравийные наполнители;
- опоры трубопроводов на стыках труб;
- участки с траншеей.
5.4.6.2 Грунт, на который влияет взаимодействие "трубопровод - грунт" в случае незаглубленных трубопроводов, обычно представляет собой только верхние несколько дециметров. Таким образом, взятие проб и тестирование должны быть сосредоточены на грунте с самой малой глубиной залегания. Там, где это возможно, в частности в мягкой глине, необходимо использовать коробчатый пробоотборник для получения блоков с размерами сторон до полуметра, из которых могут быть взяты образцы для лабораторных испытаний или которые могут использоваться для проведения небольших испытаний на месте работ. Помимо отбора проб коробчатым пробоотборником необходимо выполнить более глубокое бурение, в дополнение к которому следует проводить подводное тестирование на рабочей площадке, состоящее в первую очередь из испытания PCPT, а для глины - также из испытания Т-образным стволом. Последнее вблизи поверхности может обеспечить более надежную интерпретацию недренированной прочности на сдвиг, чем это позволяет тестирование PCPT. В качестве альтернативы допускается использовать тестирование шарового конуса.
5.4.6.3 Для расчета на устойчивость опор трубопровода и оценки возможностей прокладки трубопроводов в траншеи потребуется информация о грунте на большей глубине, чем указано в
5.4.6.2.
5.4.6.4 Из-за общей изменчивости грунта практически невозможно получить точные данные о грунте для каждой интересующей зоны, в которой действуют проектные сценарии, перечисленные в
5.4.6.1. Таким образом, надлежащей стратегией планирования исследований грунта является выявление из геофизических исследований, возможно в сочетании с другой соответствующей информацией, различных пластов грунта на или вблизи поверхности вдоль маршрута прокладки трубопровода, а также отбор проб грунта для определения диапазона характеристик каждого пласта вдоль маршрута. Следует отметить: получение подробной информации о верхних дециметрах грунта морского дна с помощью проведения геофизических исследований является очень сложной задачей из-за сильного отражения упругих волн от поверхности морского дна.
5.4.6.5 Предпосылкой для планирования геотехнических исследований грунта является геофизическая съемка, включающая в себя малоглубинное поддонное профилирование грунта. В областях, где имеются тонкие верхние слои, являющиеся слишком тонкими, для их идентификации с помощью поддонного профилирования, и где считается обязательным наличие информации о тонких верхних слоях, следует рассмотреть возможность проведения сейсморазведки корреляционным методом преломленных волн. Сейсморазведка методом преломленных волн имеет значительно лучшее разрешение и способность идентификации очень мелкого расслоения по сравнению с поддонным профилированием.
5.5 Нормативные значения свойств грунта
5.5.1 Определения
5.5.1.1 Нормативные значения используются для представления, например, такого свойства грунта, как прочность на сдвиг. Определение нормативного значения сильно зависит от рассматриваемой проектной задачи и геометрии. Определение среднего значения свойства обычно применяется в случаях, когда локальные флуктуации свойства грунта допускается считать средними по большим объемам грунта, как, например, в случае осевой прочности длинных висячих свай. Определение нижнего квантиля хвоста при распределении свойства обычно применяется в случаях, когда обуславливающей является местная прочность грунта, например, в случае сопротивляемости нижнего конца сваи-стойки.
Примечание - В конструкции фундамента нормативное значение свойства грунта всегда используется вместе с частным коэффициентом надежности, коэффициентом запаса по материалу

. Нормативное значение и коэффициент запаса по материалу образуют пару. Это подразумевает, что коэффициент запаса по материалу, который предназначен для использования вместе с нормативным значением, определяемым как среднее значение свойства грунта, не обязательно может использоваться вместе с нормативным значением, определяемым как нижний процент этого свойства грунта.
5.5.1.2 Когда конструкция фундамента обусловлена локальным значением прочности грунта, нормативное значение определяется как квантиль в хвосте распределения вероятности прочности грунта.
Примечание - Низкий квантиль, такой как 5%-ный квантиль, используется, если нижнее значение свойства грунта неблагоприятное. Это относится к проектированию мощности небольшой опорной подошвы. Высокий квантиль, такой как 95%-ный квантиль, используется, если верхнее значение свойства грунта неблагоприятное. Это относится к расчету сопротивляемости грунта вдавливанию юбочного фундамента в этом объеме грунта.
5.5.1.3 Когда конструкция фундамента обусловлена средним значением прочности большого объема грунта, нормативное значение определяется как среднее значение прочности грунта.
5.5.2 Оценка с достоверностью
5.5.2.1 Оценка нормативного значения с достоверностью подразумевает, что вместо использования беспристрастной наилучшей оценки нормативного значения используется консервативная оценка нормативного значения, при которой подразумевается, что вероятность получения истинной величины, более благоприятной по значению, чем при консервативной оценке, не меньше указанной достоверности.
Примечание - Для специфически установленной достоверности существует две оценки средней величины с такой достоверностью - по низкому значению и по высокому значению. Оценка по низкому значению используется в случаях, когда низкое значение является неблагоприятным. Это самый распространенный случай. Оценка по высокому значению используется только в тех случаях, когда высокое значение является неблагоприятным.
5.5.2.2 Допускается использовать более высокий уровень достоверности, чем минимальный в соответствии с требованиями, и тем самым учитывать не только эффект ограниченных данных, но и возможные другие типы неопределенности.
Примечание - Рекомендуется использовать уровень достоверности не менее 95%.
6.1.1 Сваи проникают на глубину большую, чем та, на которую будет влиять боковая нагрузка сваи. Эта глубина зависит от прочности сваи и от прочности и жесткости грунта. Для проектирования свай, таких как сваи-оболочки и сваи, работающие на выдергивание, необходимо предусмотреть несущую способность по оси сваи и несущую способность боковой поверхности сваи. Этот раздел посвящен анализу и прогнозированию несущих способностей по оси и несущих способностей боковой поверхности таких свай. Специализированные методы прогнозирования несущей способности по оси сваи приведены в
приложении А. Специализированные модели представления кривых
p-
y для несущей способности боковой поверхности свай приведены в
приложении Б.
6.1.2 Сваи-оболочки представляют собой сваи, которые поддерживают каркас или рамную конструкцию. Для геотехнического проектирования свай-оболочек необходимо учитывать предельное рабочее состояние, аварийное предельное состояние и предельное состояние по пригодности к эксплуатации.
6.1.3 Анкерные сваи представляют собой сваи, которые работают на выдергивание и поддерживают якорные растяжки и тросы станций плавучих сооружений. Для геотехнического проектирования анкерных свай необходимо учитывать предельное рабочее состояние, аварийное предельное состояние и предельное состояние по пригодности к эксплуатации.
6.1.4 Для свай-оболочек наиболее напряженные состояния возникают из-за циклических волновых нагрузок в сочетании с ветровыми нагрузками. Ударная нагрузка судна также может быть серьезной.
6.1.5 Осевая и боковая нагрузки моносвай рассматриваются в
разделе 7.
6.1.6 Характеристика фундаментной системы и связанные с этим проектные решения.
6.1.6.1 Несущая способность фундаментной системы свайной конструкции зависит:
- от индивидуальной несущей способности одиночной сваи;
- противодействия вращательному повороту на оголовке каждой сваи;
- взаимодействия между сваями в каждом кусте свай;
- способности конструкции перераспределять силы другим (еще не полностью используемым) сваям и/или кустам свай.
6.1.6.2 В расчете взаимодействия "грунт - конструкция", используемом для проектирования сваи, в качестве входных данных используют нормативные значения для определения параметров грунта, таких как прочность грунта, продольное трение на стволе и сопротивляемость на торце сваи. В этом расчете коэффициенты надежности по нагрузке применяют к нормативным входным нагрузкам, как указано в соответствующем стандарте, так, чтобы анализируемая выходная нагрузка состояла из расчетных нагрузок, действующих на оголовке свай. Структурную целостность свай проверяют на основе сочетания осевой силы и изгибающего момента, действующего в верхней части сваи и вдоль длины сваи, полученного из расчета взаимодействия "грунт - конструкция".
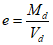
6.1.6.3 Расчетную осевую нагрузку (
Fd), полученную в результате расчета взаимодействия "грунт - конструкция", как описано в
6.1.6.2, проверяют на расчетную несущую способность (
Qd), рассчитываемую как

, (1)
где Qchar - нормативная осевая несущая способность;

- коэффициент запаса по материалу, превышающий 1,0 (устанавливается в соответствующем нормативном документе, относящемся к расчету определенного типа фундамента).
При таком подходе показатели смещения в расчете будут ограничены, а потенциал перераспределения нагрузок не будет полностью использоваться. Следовательно, будет присутствовать резервная несущая способность, которая не учитывается в традиционном проекте. Резервная несущая способность для каждой конструкции будет отличаться, свидетельствуя тем самым, что традиционный подход к проектированию приведет к непоследовательному уровню запаса прочности между различными конструкциями.
6.1.6.4 Опорный блок, имеющий более четырех опорных ног, с одиночной сваей на каждой ноге будет иметь больший потенциал перераспределения нагрузок, чем четырехногая опорная конструкция, т.е. его резервная несущая способность при выходе одной сваи из строя будет выше. Опорный блок, в котором куст свай поддерживает каждую ногу, будет иметь дополнительную способность перераспределения нагрузки. Резервная несущая способность также зависит от направления нагрузки и грузоподъемности конструкции опорного блока. Однако стальная конструкция может ограничить потенциал перераспределения, поскольку для перераспределения усилий на сваях могут потребоваться большие смещения, и структура может разрушиться в результате изменения схемы перераспределения нагрузки. Следовательно, для определения полного потенциала перераспределения обычно требуется нелинейный расчет опорной конструкции.
6.1.6.5 Нелинейные расчеты конструкций все чаще используются для обоснования целостности конструкций опорных блоков. Значения нормативной прочности грунта и связанные с ними коэффициенты запаса по материалу, указанные в настоящем стандарте (см. также
[2],
[5]), традиционно используют для линейных расчетов опорных блоков, а контрольные проверки свай выполняются, как описано в
6.1.6.1 и
6.1.6.2. Такие же проверки могут проводиться для нелинейных расчетов. Если, однако, разработчик (проектировщик) хотел бы использовать потенциал перераспределения и полностью использовать фундаментные системы, необходим более высокий коэффициент запаса по материалу, чтобы поддерживать тот же уровень запаса прочности, что и в случае, если перераспределение не учитывается. При выполнении такого расчета факторизованная несущая способность должна использоваться при анализе взаимодействия.
Примечание - Если фундаментная система задействована полностью, то дополнительный потенциал для перераспределения отсутствует, и применяется соответствующий более высокий коэффициент запаса по материалу, чем в случае, когда система используется не полностью.
6.2 Аксиально нагруженные сваи
6.2.1 Сопротивляемость свай. Общие положения
6.2.1.1 Сопротивляемость сваи (R) включает две составляющие, одна из которых представляет собой сопротивляемость ствола сваи в результате накопленной сопротивляемости из-за поверхностного трения вдоль сваи (Rs), а другая - сопротивляемость грунта на нижнем конце сваи (Rp):

, (2)
где fsi - среднее удельное поверхностное трение на стволе сваи в слое i;
Asi - площадь ствола в слое i;
qp - удельная сопротивляемость грунта на нижнем конце сваи;
Ap - площадь опорной поверхности нижнего конца сваи (может быть полной площадью или площадью кольцевого поперечного сечения стальной сваи).
Примечание - На нижнем конце сваи будет зона взаимодействия между поверхностным трением и нормальной реакцией поверхности опирания нижнего конца.
6.2.1.2 Сваи, несущие нагрузки главным образом за счет сопротивляемости опорной поверхности нижнего конца, определяются как сваи-стойки, а термин "висячие сваи" используется для свай, несущих свои нагрузки главным образом за счет трения ствола сваи.
6.2.1.3 Сопротивляемость сваи допускается оценить, используя расчет полных или эффективных напряжений, в зависимости от того, какой из них лучше всего отражает фактические условия. Все методы прогнозирования содержат некоторый эмпиризм и в некоторой степени обременены неопределенностью параметров модели.
Следует проявлять осторожность при применении любого метода прогнозирования несущей способности, поскольку различные методы могут использовать различные параметры прочности грунта.
6.2.1.4 Независимо от метода, применяемого для расчета сопротивляемости из-за трения, влияние таких факторов, как процедура монтажа свай (забивные или буронабивные сваи), тип бурового раствора и бетона, длина и геометрия сваи (цилиндрические или с увеличенным диаметром основания сваи), необходимо принимать во внимание.
6.2.1.5 Осевая сопротивляемость свай обычно прогнозируется на основе эмпирических или полуэмпирических методов, основанных на одной или нескольких базах данных испытаний свай. Методы, которые следует применять, в идеале должны быть разработаны на основе испытаний, которые напоминают существующую ситуацию в отношении условий грунта, определения параметров грунта, конфигурации сваи и условий нагрузки. Эффект циклической нагрузки следует оценивать на основе реальных условий нагрузки, принимая во внимание свойства грунта и сваи. В качестве альтернативы использованию метода прогнозирования несущей способности для определения несущей способности по оси сваи допускается использовать испытания на нагрузку в условиях локальной рабочей площадки.
6.2.1.6 Динамические формулы определения несущей способности сваи, основанные на волновой теории, не принимаются в качестве единственного метода определения сопротивляемости свай, поскольку динамическая нагрузка во время забивки сваи может значительно отличаться от нагрузки, которая преобладает во время работы.
6.2.1.7 Конструкция морских свай основана главным образом на опыте работы с береговыми сваями. Разработанные методы являются эмпирическими и зависят от ограничений и неопределенностей в базах данных, используемых для их проверки. Примеры возможных для использования методов приведены в
приложении А.
6.2.1.8 Оценка методов прогнозирования потенциальной несущей способности должна проводиться при прогнозировании осевой сопротивляемости свай.
6.2.1.9 Если значения глубин забивки свай, их диаметров или осевых нагрузок на сваи фундаментов подводных сооружений больше значений, которые содержатся в базах данных соответствующих методов прогнозирования, необходимы расчетные обоснования при экстраполяции этих методов прогнозирования.
6.2.1.10 Методы прогнозирования несущей способности по оси сваи были эталонированы по общей несущей способности, и трудно отделить и изолировать сопротивляемость из-за трения ствола и сопротивляемость опорной поверхности нижнего конца для условий испытаний свай. По этой причине сопротивляемость из-за трения ствола сваи, рассчитанную одним методом, никогда не следует сочетать с сопротивляемостью опорной поверхности нижнего конца, определенной другим методом.
6.2.1.11 Полная задействованная сопротивляемость опорной поверхности нижнего конца в более твердом слое грунта требует некоторого проникновения нижнего конца сваи в твердый слой на величину от двух до трех диаметров сваи. В случае, если более слабый пласт грунта располагается ниже нижнего конца сваи на расстоянии меньше чем три диаметра сваи, полное задействование сопротивляемости опорной поверхности нижнего конца, соответствующее бесконечно глубокому твердому слою, не может быть принято из-за эффектов смыкания, а уменьшение сопротивляемости опорной поверхности нижнего конца следует учитывать при проектировании.
6.2.1.12 Несущая способность опорной поверхности нижнего конца сваи может быть ограничена недостаточным накопленным внутренним трением, заставляя сваю прорезать грунт, а не действовать, как свая с грунтовой пробкой. Такое может, в частности, случиться, когда нижний конец сваи находится в плотном песке или в очень твердой глине. Внутреннее поверхностное трение может отличаться от внешнего трения, что необходимо учитывать в расчетах. Ограничения по грунтовой пробке реализуются в методах на основе CPT для песчаного грунта, описанных в
приложении А. Для длинных свай в нормально уплотненных или умеренно уплотненных глинах, как правило, достигается полное закупоривание.
Сваебойные башмаки (т.е. увеличенная толщина стенок внутрь сваи в области нижнего конца сваи), иногда используемые для облегчения забивки свай, следует использовать с осторожностью. При использовании башмаков необходимо учитывать влияние уменьшенного внутреннего трения.
6.2.1.13 Не существует рационального метода расчета, который учитывает влияние всех значимых факторов для прогнозирования осевой несущей способности сваи. В частности, отсутствует методология проектирования, которая позволяет оценивать влияние циклической нагрузки на морские сваи и которая включает описание соответствующих циклических испытаний грунта. Это привело к внедрению концепций проектирования, основанных на широком использовании тестирования на рабочей площадке, в том числе полевых испытаний свай, в сочетании с необходимыми вспомогательными лабораторными испытаниями, чтобы помочь в разработке характерных для данной площадки параметров конструкции сваи. Однако экстраполяция результатов мелкомасштабных испытаний на опытные образцы сваи и условия нагрузки может потребовать особых доработок, которые должны быть подробно описаны в каждом случае. Общепринятой отраслевой практикой является использование статической осевой несущей способности даже для морских свай. Однако, если имеются признаки того, что условия грунта особенно склонны к потере работоспособности при циклической нагрузке, например в иловых грунтах, необходимы особые доработки методик (см.
6.4).
6.2.1.14 Где бы ни использовалась бетонная смесь для передачи нагрузки от одного свайного элемента к другому или от свайных элементов к грунтовому основанию, поверхности должны быть свободны от ржавчины и т.д., т.к. это может уменьшить способность к передаче нагрузки. Кроме того, сама смесь должна иметь динамометрические характеристики, позволяющие переносить такие нагрузки. Это необходимо при проектировании бетонируемых соединений для передачи нагрузки между различными свайными элементами или между сваями и свайными муфтами.
6.2.2 Сопротивляемость в связных грунтах
6.2.2.1 С забивными в морской грунт сваями связаны специфические изменения в грунте, в частности разуплотнения массы грунта после монтажа свай и во время наличия комбинации статических и циклических внешних нагрузок.
6.2.2.2 Взаимодействие между забивной сваей и окружающим грунтом при осевой нагрузке зависит:
- от задействования нагрузок сдвига грунта из-за статической нагрузки на сваи;
- дополнительного напряжения сдвига в грунте, вызванного циклической нагрузкой;
- количества циклов на разных уровнях нагрузки;
- циклической скорости нагрузки, т.е. частоты циклического нагружения.
Подробные соображения относительно моделирования истории нагрузки см. в
разделе 12.
6.2.2.3 Для морских свай локальная потеря несущей способности может возникнуть между сваей и грунтом близко к уровню дна даже до того, как будет задействован грунт вблизи нижнего конца сваи. Это означает, что значительное скольжение между верхней частью сваи и окружающим грунтом может произойти до того, как нижняя часть сваи достигнет отказа. Таким образом, в размягченном грунте измеренная статическая несущая способность сваи будет меньше прогнозируемой величины, предполагающей идеальную (твердую) сваю, которая одновременно задействует пиковое поверхностное трение по всему стволу сваи. Этот эффект длины для длинной сваи важен также в отношении эффектов циклической нагрузки (см.
6.4.1.5).
6.2.2.4 Коэффициент пластичности глины является важным параметром удельного поверхностного трения. Результаты испытаний свай в низкопластичных нормально уплотненных глинах показывают низкое соотношение:
fs/su, (3)
где fs - поверхностное трение;
su - прочность недренированной глины на сдвиг.
6.2.3 Сопротивляемость в несвязных грунтах
6.2.3.1 Прогнозирование осевой несущей способности забиваемых морских свай в несвязных грунтах, таких как пески и илы, часто требует экстраполяции за пределы подтвержденной базы данных в отношении размера свай, глубины завивки свай, нагрузки на сваи и условий грунта. Это особенно характерно для свай, устанавливаемых в плотный грунт.
6.2.3.2 Для сжимаемых свай смещение, необходимое для задействования сопротивляемости нижнего конца сваи, будет на порядок больше, чем смещение, необходимое для задействования поверхностного трения. Эту разницу следует учитывать при оценке предельного значения сопротивляемости нижнего конца сваи. Это может быть важным аспектом для свай с нижним концом в песке, поскольку относительный вклад от сопротивляемости нижнего конца сваи к суммарной осевой сопротивляемости сваи может быть существенным при определенных условиях.
6.2.4 Сопротивляемость в карбонатных грунтах
6.2.4.1 Осевую нагрузку забивных свай в карбонатных грунтах допускается рассчитывать в соответствии с теми же принципами, которые применяются для свай в песчаном грунте. При этом необходимо представить расчетные обоснования соответствия предельных значений удельного поверхностного трения и сопротивляемости нижнего конца сваи. Допускается учитывать соответствующие рекомендации (см.
[3]).
6.2.4.2 Вопросы, имеющие значение для оценки предельных значений удельного поверхностного трения и сопротивляемости нижнего конца сваи для забивных свай, включают в себя, но не ограничиваются следующими параметрами: степень цементации, зернистость, относительная плотность, прочность на сжатие и карбонатность грунта.
6.2.4.3 Так как поверхностное трение буронабивных и набивных свай в известковых песках выше, чем поверхностное трение, задействованное забивными сваями в тех же формациях, при проектировании необходимо выполнить расчетные обоснования соответствия предельных значений удельного поверхностного трения и сопротивляемости нижнего конца сваи для соответствующих свай. Допускается учитывать соответствующие рекомендации (см.
[3]).
6.2.4.4 Сопротивляемость ствола буронабивных и набивных свай ограничивается прочностью на сдвиг поверхности контакта "свая - бетон", поверхности контакта "грунт - бетон" или самого грунта.
6.2.4.5 Для буронабивных и набивных свай в бетонированном карбонатном грунте предельное внутреннее трение ствола сваи часто связано с неограниченной прочностью на сжатие бетонированного грунта.
6.2.4.6 Для буронабивных и набивных свай соотношение между предельным сдвигом ствола и прочностью на одноосное сжатие горной породы, которое должно использоваться при расчетах несущей способности, должно быть разработано на основе общего опыта, полученного на месте или на основе испытаний сваи на нагрузку.
6.2.4.7 Для буронабивных и набивных свай вклад от сопротивляемости нижнего конца сваи в общую несущую способность сваи зависит от того, насколько забой очищен от всех буровых отходов до заливки бетонной смеси.
6.2.5 Сваи, подверженные растяжению
6.2.5.1 Для сваи в связных грунтах трение "свая - грунт" может быть равным при растяжении и сжатии при кратковременной нагрузке. Для длительной нагрузки или комбинации длительной и циклической нагрузки существует ограниченный опыт, и следует рассмотреть возможность использования уменьшенной силы трения при растяжении.
6.2.5.2 В несвязных грунтах поверхностное трение для свай, подверженных растяжению, обычно принимается меньше, чем для свай, подверженных сжатию
Примечание - В
приложении А представлена информация о том, как это отражается в различных методах прогнозирования несущей способности по оси сваи.
6.2.5.3 Для свай, подверженных растяжению, общепринято не учитывать сопротивляемость грунта ниже нижнего конца сваи при расчете общей сопротивляемости. Однако в однородном связном материале может возникать всасывание ниже нижнего конца сваи, и обратная несущая способность может быть оправданна. Если это так, то обратная несущая способность может быть рассчитана с использованием тех же формул и коэффициентов запаса по несущей способности, что и для обычной несущей способности. Оправданность обратной несущей способности зависит от типа грунта, продолжительности нагрузки, условий дренирования и т.д.
6.2.5.4 Для свай, подверженных растяжению и спроектированных с увеличенным диаметром основания сваи (основание сваи в виде раструба), сопротивляемость должна рассчитываться исходя либо из сопротивляемости ствола сваи, либо из сопротивляемости основания сваи. Однако применительно к нижней части сваи, т.е. к основанию сваи в виде раструба, эти две составляющие сопротивляемости не могут считаться действующими одновременно.
6.2.5.5 Следует проявлять осторожность в отношении свай, подверженных постоянному растяжению, поскольку из-за ползучести могут возникать недопустимые смещения сваи. Инженерные модели, используемые для расчетов, основывают на испытаниях свай, которые должным образом отражают состояние постоянной нагрузки.
6.2.6 Эффекты процедуры монтажа
Должное внимание необходимо уделять методу монтажа при расчете несущей способности по оси сваи. Методы, представленные в
приложении А, применяются в основном к забивным сваям открытого типа.
6.2.7 Зависимость "нагрузка - смещение" для несущей способности по оси сваи
6.2.7.1 Для расчета свай, подверженных не только осевой нагрузке, но и комбинированной осевой, боковой и моментной нагрузке, может потребоваться рассмотрение не только осевой несущей способности, как это описано в
6.2.2,
6.2.3 и
6.2.4, но также и связанных с этим смещением. Для этой цели применяют зависимость "нагрузка - смещение", представленную кривыми
t-
z. Модели кривых
t-
z см. в
приложении А.
6.2.7.2 При типе расчета, упомянутого в
6.2.7.1, сваи дискретизируются в ряд структурных элементов, соединенных в узловых точках, описанных более подробно в
6.3.2, с опорными упругими элементами грунта в выражении кривых
p-
y и
t-
z, закрепленных в этих узловых точках, чтобы представить зависимость боковых и осевых нагрузок и смещений соответственно.
6.2.8 Нормативная прочность грунта для несущей способности по оси сваи
6.2.8.1 Нормативная прочность грунта для сопротивляемости из-за трения ствола сваи определяется как среднее значение.
6.2.8.2 Для сопротивляемости нижнего конца сваи допускается определять нормативную прочность грунта как нижний квантиль.
6.3 Сваи, нагруженные в боковом направлении
6.3.1 Общие положения
6.3.1.1 Нагруженные в боковом направлении сваи могут быть рассчитаны на основе реалистичных кривых "растяжение - сжатие" для грунта и сваи. Прогибы свай, вызванные комбинацией боковой и осевой нагрузки, могут быть настолько большими, что это может привести к неупругому поведению грунта.
6.3.1.2 Для расчета свайных напряжений и боковых смещений оголовка сваи боковую сопротивляемость свай необходимо моделировать с использованием параметров нормативной прочности грунта. Необходимо принимать во внимание нелинейный отклик грунта, включая эффекты циклической нагрузки.
6.3.1.3 Для свай, используемых для поддержки конструкций опорных блоков, боковая нагрузка сдвигает грунт на ограниченную глубину, и определенная проверка несущей способности грунта не требуется. Для расчета ULS-прочности опорного блока и свай взаимодействие "грунт - конструкция" следует рассчитывать на основе расчетной прочности грунта. В соответствии с
ГОСТ 27751 расчетную прочность грунта допускается определять делением нормативной прочности грунта на соответствующий коэффициент запаса по материалу. Когда глубина внедрения сваи зависит от бокового отпора грунта, что может иметь место в случае использования свай в качестве анкеров, расчетную прочность грунта проверяют в рамках категорий предельных состояний ULS и ALS с использованием коэффициентов запаса по материалу, применяемых к нормативной прочности грунта на сдвиг.
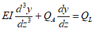
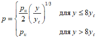
6.3.2.1 Наиболее распространенный метод расчета свай-оболочек, нагруженных в боковом направлении, основан на использовании кривых p-y. Кривая p-y определяет соотношение между интегральным значением p задействованной сопротивляемости от окружающего грунта, когда свая отклоняется на расстояние y в поперечном направлении. Свая моделируется как ряд последовательных сжато-изогнутых элементов, поддерживаемых нелинейными опорными упругими элементами, применяемыми в узловых точках между элементами. Нелинейные опорные упругие элементы характеризуются одной кривой p-y в каждой узловой точке (см. рисунок 1).
Рисунок 1 - Кривые p-y, применяемые в узловых точках сваи,
представленной в виде сжато-изогнутых элементов
Определение смещений сваи и свайных напряжений в любой точке вдоль сваи для любой приложенной нагрузки на оголовке сваи является решением дифференциального уравнения сваи:

, (4)

, (5)

, (6)
где z - положение вдоль оси сваи;
y - боковое смещение сваи;
EI - жесткость сваи на изгиб;
QA - осевая сила в свае;
QL - боковая сила в свае;
p(y) - боковая реакция грунта;
q - распределенная нагрузка вдоль сваи;
M - изгибающий момент в свае (все в положении z вдоль сваи).
6.3.2.2 Метод конечных разностей обычно образует наиболее приемлемый подход для достижения искомого решения дифференциального уравнения сваи. Для этой цели имеется ряд коммерческих компьютерных программ. Эти программы обычно обеспечивают полное решение свайных напряжений и смещений для комбинации осевой силы, боковой силы и изгибающего момента на оголовке сваи, т.е. также включается постепенная передача осевой нагрузки на грунт вдоль сваи в соответствии с методом кривых t-z касательно осевой сопротивляемости сваи.
6.3.2.3 Некоторые из доступных программ способны рассчитывать не только отдельные сваи, но и кусты свай, включая возможное взаимодействие "свая - грунт-свая" и позволяя правильно представлять конструкцию, присоединяемую к оголовкам свай: либо как жесткую заделку, либо как устройство конечной жесткости.
6.3.2.4 Существует несколько методов для представления кривых p-y, которые необходимы для решения дифференциального уравнения для свай, нагруженных в боковом направлении. Для построения кривых p-y следует учитывать тип грунта, тип нагрузки, реструктуризацию грунта из-за установки свай и эффект подмыва грунта.
6.3.2.5 Эффекты циклической нагрузки необходимо учитывать при построении кривых p-y. Эффекты циклической нагрузки наиболее значимы для свай в связных грунтах, в цементированных известковых грунтах и в мелкозернистых несвязных грунтах (иле), тогда как эти эффекты значительно менее существенны в несвязных грунтах от умеренно- до грубозернистых.
6.3.2.6 Наиболее часто применяемые процедуры построения кривых
p-
y представлены в
приложении В. Кривые
p-
y, действующие для условий циклической нагрузки и генерируемые в соответствии с этими процедурами, автоматически учитывают эффекты циклического снижения боковой сопротивляемости.
6.3.2.7 Методы, приведенные в 6.3.2 и
приложении Б для расчета бокового сопротивления свай в глине и песке, согласуются с рекомендациями, приведенными в
[4] (см. также
[3]).
Другие методы могут использоваться, если они подтверждаются соответствующими данными испытаний.
6.3.3 Руководство по проектированию
6.3.3.1 Для комбинированной боковой и моментной нагрузки для каждой одиночной сваи должна быть обеспечена достаточная несущая способность относительно этой нагрузки в ULS. Рекомендуется выполнять расчет МКЭ для уточнения соотношений между вертикальной, горизонтальной и моментной нагрузками.
6.3.3.2 Для проектирования в SLS необходимо использовать нормативные значения для расчета прочности грунта. Для нагрузок следует использовать нормативные значения нагрузки. Нагружение представляет собой нагрузки, которые в долгосрочной перспективе будут вызывать постоянные деформации грунта, что, в свою очередь, приводит к постоянным деформациям свайного фундамента (например, постоянный накопленный наклон оголовка сваи). Для этой цели поведение грунта при циклической нагрузке должно быть представлено таким образом, чтобы постоянные накопленные деформации в грунте надлежащим образом вычислялись как функция количества циклов при каждой амплитуде нагрузки в истории приложенных нагрузок SLS.
6.3.3.3 Для проектирования в SLS должно быть обеспечено, чтобы допуски на деформацию не превышались. Допуски на деформацию относятся к постоянным деформациям.
Примечание - Допуски на деформацию обычно даются в технических условиях на проектирование, они часто указываются с точки зрения максимально допустимых вращений и максимально допустимых горизонтальных перемещений свайных оголовков.
Отдельные допуски могут быть указаны для свай опорного блока для ситуации сразу после завершения монтажа и для постоянных накопленных повреждений в результате истории нагрузок SLS, приложенных к конструкции и фундаменту в течение всего срока службы.
6.4 Эффекты циклической нагрузки и факторы времени
6.4.1 Влияние циклического нагружения
6.4.1.1 Влияние циклического нагружения на прочностные свойства грунта подробно рассматривается в
разделе 12.
6.4.1.2 Влияние циклического нагружения на сопротивляемость сваи и смещение сваи учитывают при проектировании. Основная цель заключается в определении снижения прочности на сдвиг вдоль ствола сваи для нагружений различной интенсивности.
6.4.1.3 Эффекты циклического нагружения наиболее значимы для свай в связных грунтах, цементированных известковых грунтах и мелкозернистых несвязных грунтах (ил), тогда как в плотных песках эти эффекты значительно меньше. Важным фактором при оценке влияния циклического нагружения в мелкозернистом грунте является повторное прессование грунта из-за установки свай и последующее изменяющееся со временем восстановление грунта.
6.4.1.4 Наиболее важные факторы, которые следует учитывать при моделировании циклической осевой нагрузки сваи, в частности история циклического напряжения сдвига в любой точке ствола сваи, следующие:
- тип циклического нагружения (однонаправленный относительно двунаправленного, управляемый нагрузкой относительно управляемого смещением) и количество циклов (при различных уровнях напряжения);
- свойства грунта и изменение его прочности и жесткости с глубиной;
- гибкость и длина сваи;
- распределение статического напряжения вдоль сваи до циклического нагружения;
- совместимость как циклических, так и средних смещений и напряжений.
6.4.1.5 Для длинных морских свай локальная потеря несущей способности может возникнуть между сваей и грунтом близко к уровню дна даже до того, как будет задействован грунт вблизи нижнего конца сваи. Таким образом, измеренная статическая несущая способность сваи в деформационно-размягченном грунте будет меньше прогнозируемой величины, предполагающей идеальную (твердую) сваю, см.
6.2.2.3. Этот эффект длины для длинной сваи важен также в отношении эффектов циклической нагрузки. Снижение предельного поверхностного трения вследствие циклического нагружения становится значительным, когда происходит относительное скольжение между сваей и грунтом. Поверхностное трение снижается по величине и значимости с увеличением степени переуплотнения грунта, особенно когда плоскость скольжения испытывает двунаправленные циклические напряжения сдвига (обратное скольжение).
6.4.1.6 Скорость нагружения при волновой нагрузке примерно на два порядка больше, чем при обычном испытании на статическое нагружение сваи. Это относительное увеличение скорости нагружения может частично компенсировать влияние циклической нагрузки на несущую способность ствола сваи. Когда циклическая сопротивляемость определяется на основе циклических испытаний, это влияние скорости на несущую способность необходимо учитывать с помощью реалистичного циклического периода в испытаниях.
6.4.1.7 Так как расчет свай, подверженных комбинированному статическому и циклическому нагружению, может иметь недостоверные результаты из-за неопределенностей при моделировании эффектов циклического нагружения, в методики проектирования (основанные преимущественно на теоретической базе) включают мелкомасштабные и крупномасштабные испытания свай в различных типах грунтов.
6.4.1.8 Для известковых грунтов эффекты циклического нагружения на несущую способность как забивных, так и буронабивных и набивных свай могут быть значительными и должны оцениваться в каждом конкретном случае исходя из условий применения.
6.4.2 Эффект старения
6.4.2.1 Влияние эффекта старения после завершения процесса разуплотнения грунта в расчетах несущей способности сваи допускается принимать в пользу увеличения статической несущей способности сваи со временем как в глине, так и в песке. При этом величина увеличения статической несущей способности зависит от типа грунта (глина или песок). Поэтому в случае принятия в расчетах увеличения статической несущей способности сваи со временем после завершения процесса разуплотнения грунта необходимо обоснование величины увеличения в каждом конкретном случае.
6.4.2.2 При этом не рекомендуется принимать влияние эффекта старения в расчетах несущей способности сваи при циклическом нагружении в пользу увеличения несущей способности.
6.5 Эффекты группового взаимодействия
6.5.1 Общие положения
6.5.1.1 При близком расположении свай друг к другу сопротивляемость куста свай может оказаться меньше суммы несущих способностей отдельных свай как в боковом, так и в осевом направлении, а боковые и осевые составляющие сопротивляемости на любых кривых
p-
y и
t-
z, используемых для расчета сваи или прогнозирования несущей способности, должны быть соответствующим образом скорректированы. Этот эффект близко расположенных свай, ограничивающий сопротивление куста свай таким образом, что его значение оказывается меньше суммы несущих способностей отдельных свай, иногда называют эффектом затенения.
6.5.1.2 При близком расположении свай друг к другу нагрузка, оказываемая каждой сваей на окружающие ее грунты, приводит к смещению грунта, который поддерживает другие сваи, и поведение свай как группы может быть более мягким, чем если бы считалось, что у свай есть опоры, которые не были смещены под воздействием соседних свай. Этот эффект может в принципе быть объяснен упругими полупространственными решениями для смещений объема грунта из-за приложенных точечных нагрузок (см.
6.5.1.5).
6.5.1.3 Групповая сопротивляемость свай зависит от таких факторов, как расстояние между сваями, тип и прочность грунта, последовательность слоев грунта и способ установки свай. Понимание поведения комплексных свайных кустов по сравнению с поведением отдельных свай в одной и той же группе ограничено, поэтому рекомендуется использовать консервативные предположения для расчета сопротивляемости куста свай.
Примечание - Как показывает опыт, влияние одной сваи на поведение другой в кусте свай должно учитываться, когда расстояние между центрами свай, то есть расстояние свай друг от друга, равно восьми диаметрам или менее.
6.5.1.4 При оценке сопротивляемости куста свай, исходя из расчетной сопротивляемости одиночной сваи, в каждом случае требуется индивидуальный подход, чтобы учесть:
- метод установки свай;
- слабый грунт, залегающий под несущим слоем ограниченной толщины;
- отрицательное поверхностное трение вдоль ствола сваи, которое возможно при оседании грунта относительно сваи (грунт, деформирующийся вокруг сваи, стремится опускать сваю вниз, тем самым уменьшая устойчивость сваи к осадке);
- несущую способность объема грунта, окружающего куст свай.
При выполнении анализа влияния слабого грунта, залегающего ниже несущего слоя, необходимо учитывать превышение глубины влияния группы свай в сравнении с аналогичным показателем для отдельной сваи в группе.
6.5.1.5 Смещения грунта, окружающего одну сваю, вследствие передачи нагрузки от других свай в кусте могут быть рассчитаны на основе упругих полупространственных решений для постоянного или неуклонно возрастающего модуля сдвига. Следует учитывать неопределенности, связанные с выбором соответствующих эквивалентных модулей грунта, выбор должен быть связан с общим уровнем напряжения в объеме грунта в пределах и за пределами куста свай.
6.5.1.6 Анализ поведения свай в кустах свай может быть выполнен на основе расчета одиночной сваи, как изложено в
6.3.2, при условии, что кривые
p-
y для бокового смещения и сопротивляемости корректируются в зависимости от эффекта затенения для
p-значений и смягчающих эффектов смещения для
y-значений в целях учета кустового эффекта. Аналогичные поправки потребуются для
t- и
z-значений на кривой
t-
z для осевого перемещения и сопротивляемости, если при расчете используется метод кривой
t-
z для представления поведения вдоль оси сваи. Эффекты затенения определены в
6.5.1.1 и подробно описаны в 6.5.2 и
6.5.3.
6.5.2 Аксиально нагруженные группы свай
6.5.2.1 Для заданной геометрии и количества свай в кусте существует переходная зона расстояния между сваями, в пределах которой механизм разрушения при осевой нагрузке постепенно изменяется, начиная с некоторого предельного состояния опоры при малом расстоянии между сваями вплоть до предельного состояния, равного сумме таковых для одиночных свай при больших расстояниях.
6.5.2.2 В случае локальной потери несущей способности опоры осевая сопротивляемость куста свай складывается из поверхностного трения по внешнему периметру куста плюс несущей способности торцевых поверхностей свай. Более сложные случаи потери несущей способности необходимо обосновывать при проектировании.
6.5.2.3 При необходимости следует принимать во внимание сплошные опоры, охватывающие весь грунт в области куста свай (минимальная окружность опоры), а также полые опоры (минимальная площадь опоры). Следует учитывать ограничения сопротивляемости опорной поверхности нижнего конца сваи при наличии введенных ограничений на перемещения свай.
6.5.2.4 При расчетах в соответствии с
6.5.2.1 -
6.5.2.3 удельное поверхностное трение в соответствии с распространенной инженерной практикой допускается принять равным прочности недренированной глины на сдвиг и скорректированному на тангенс угла внутреннего трения горизонтальному эффективному давлению для песка на рабочей площадке.
6.5.2.5 Полное использование несущей способности опорной поверхности нижнего конца требует больших вертикальных деформаций. Таким образом, допустимые деформации определяют вклад сопротивляемости нижнего конца в суммарную групповую сопротивляемость. Для куста свай, действующего как опора, а не как одиночные сваи, деформации следует рассчитывать, как для одиночной сваи, диаметр которой принят равным эквивалентному диаметру опоры. Это правило применимо независимо от того, является ли геометрия куста свай круглой или нет.
6.5.2.6 Прочность недренированной глины на сдвиг
su и угол внутреннего трения

, которые применяются при расчетах осевой сопротивляемости свай, следует тщательно выбирать. На значения данных параметров влияют прессование глины и уплотнение песка во время установки сваи.
6.5.3 Кусты свай, нагруженные в боковом направлении
6.5.3.1 Для заданной геометрии и количества свай в кусте при действии боковой нагрузки следует учитывать боковые прогибы свай. Это в значительной степени зависит от расстояния между сваями, диаметра свай и того, как сваи либо затеняют, либо подвергают друг друга боковым нагрузкам.
6.5.3.2 В конфигурации с двумя сваями, где ведущая свая не затенена от нагрузки, а расположенная позади нее свая находится под защитой ведущей сваи, эффекты затенения приведут к тому, что воздействие внешней нагрузки на заднюю сваю окажется меньше, чем на ведущую сваю. Это относится к случаю, когда направление нагрузки параллельно вертикальной плоскости, проходящей через обе сваи. Когда вертикальная нагрузка действует под углом к вертикальной плоскости, проходящей через обе сваи, эффект от присутствия ведущей сваи на последующую сваю будет зависеть от этого угла, а также от диаметра и шага свай.
6.5.3.3 Взаимодействие "свая - грунт - свая" будет влиять на боковые прогибы свай: нагрузка на ведущую сваю подразумевает деформацию этой сваи и несущих грунтов, что приводит к дополнительным напряжениям и деформациям грунта для последующей сваи. Последующая свая при заданной нагрузке будет подвержена большим боковым изгибам, чем в случае отсутствия ведущей сваи и соответствующей ей нагрузки, т.е. поведение последующей сваи, очевидно, смягчается наличием ведущей сваи.
6.5.3.4 Эффекты затенения в грунте при близком расстоянии между сваями могут означать, что общая боковая несущая способность двух свай будет меньше суммы двух отдельных боковых несущих способностей.
6.5.3.5 Для расчета поведения кустов свай, подверженных боковой нагрузке, доступен ряд методов, в том числе:
- закрытые аналитические подходы;
- линейно-упругие методы;
- гибридные методы, сочетающие линейно-упругие методы с нелинейным графическим подходом кривой p-y;
- численные методы, такие как МКЭ и методы конечных разностей.
6.6.1 Кривые p-y и t-z при общем и локальном размыве
6.6.1.1 Эффекты размыва учитывают при расчетах осевой несущей способности сваи и несущей способности боковой поверхности сваи. Размыв приводит к полной потере боковой и осевой составляющих сопротивляемости вплоть до глубины размыва ниже исходного морского дна. Необходимо рассмотреть как общий, так и локальный размыв.
6.6.1.2 Кривые p-y и t-z необходимо строить с учетом эффектов размыва.
6.6.1.3 В случае общего размыва, который характеризуется общей эрозией и удалением грунта на большой площади, все p-y и t-z кривые необходимо строить на основе модифицированного уровня морского дна, который следует принимать в качестве исходного уровня морского дна, опущенного до высоты, равной глубине общего размыва.
6.6.1.4 Общий размыв снижает эффективное напряжение вышележащих слоев. Это оказывает влияние на боковые и осевые составляющие сопротивляемости свай в несвязных грунтах, а также влияет на глубину перехода между неглубокими и глубокими предельными боковыми составляющими сопротивляемости для свай в связных грунтах (рисунок 2).
1 - исходный уровень морского дна; 2 - уровень после общего
размыва; 3 - уровень после локального размыва; 4 - свая;
5 - боковая сопротивляемость в случае отсутствия размыва;
6 - боковая сопротивляемость в случае локального размыва;
7 - боковая сопротивляемость в случае только общего размыва;
P0' - вертикальное эффективное напряжение; Z - глубина;

- глубина общего размыва;

- глубина локального
размыва;

- глубина снижения давления вышележащих слоев
Рисунок 2 - Влияние размыва на эффективное давление
вышележащих слоев
6.6.1.5 Размыв и профилактика размыва далее рассматриваются в
7.3.
6.6.1.6 В случае локального размыва, который характеризуется эрозией и локальным удалением грунта вокруг каждой сваи, p-y и t-z кривые в идеале должны строиться с учетом глубины и поперечной протяженности воронки размыва. Угловой коэффициент воронки размыва и ее поперечная протяженность могут быть оценены на основе типа и прочности грунта. В области воронки размыва ниже исходного уровня морского дна боковая сопротивляемость грунта и, следовательно, p-y или t-z кривые не применяются. В случае куста свай, а не одиночных свай, а также для свай, устанавливаемых на мелководье, допускается ожидать больших глубин размыва, превышающих 1,3 диаметра.
6.6.1.7 Конфигурация опорной конструкции, например, с точки зрения опорных башмаков или каркаса может влиять на глубину размыва. Если данные не свидетельствуют об обратном, глубину вызванной течением воронки размыва вокруг одиночной сваи-оболочки в песке допускается считать равной 1,3 диаметра сваи. Для куста свай и для свай, устанавливаемых на мелководье, могут образовываться воронки размыва большей глубины.
7.1.1 Общие положения
7.1.1.1 В этом разделе содержатся руководства и рекомендации по расчету и проектированию моносвай и кессонов.
7.1.1.2 Хотя термины моносваи и кессоны не имеют четких определений, позволяющих их разграничить, кессоны обычно имеют больший диаметр, чем моносваи, и отличаются от последних способами установки. Моносваи, как правило, устанавливаются путем забивания и в некоторых случаях бурения, кессоны часто устанавливаются путем вдавливания или всасывания.
7.1.1.3 В этом разделе, посвященном одиночным фундаментам, таким как моносваи для морских ветряных электростанций и закрытые кессонные фундаменты для подводных манифольдов, термин "моносваи" используется взаимозаменяемо как для моносвай, так и для кессонов.
7.1.1.4 Моносваи являются простым решением в области возведения фундаментов, при котором отдельная свая большого диаметра поддерживает надстройку либо непосредственно, либо через переходную деталь, которая представляет собой переходный сегмент между конструкцией моносваи и поддерживаемой надстройкой. По сравнению со сваями-оболочками моносваи имеют обычно большие диаметры и отличаются меньшей гибкостью.
7.1.2 Принципы общего расчета
7.1.2.1 Несущая способность моносвай должна основываться на прочностных и деформационных свойствах материала сваи и на боковой сопротивляемости грунта соответствующим проектным нагрузкам.
7.1.2.2 При оценке боковой сопротивляемости грунта нагрузкам моносваи необходимо учитывать, как минимум, следующее:
- характеристики предела прочности грунта на сдвиг;
- деформационные свойства и условия напряжения в грунте на месте работ;
- конструкционную прочность;
- метод установки;
- геометрию и размеры сваи;
- тип нагрузки;
- эффекты циклической нагрузки;
- естественный период (в случае моносвай для ветряных турбин).
7.1.2.3 Руководство по установке моносвай приведено в
разделе 9. В
[2] рассматриваются особенности, касающиеся фундаментов, установленных всасыванием в глине.
7.2 Анализ моносвайных фундаментов
7.2.1 Общие положения
7.2.1.1 Для геотехнического проектирования моносвайных фундаментов учитывают как предельное рабочее состояние, так и предельное состояние по пригодности к эксплуатации.
7.2.1.2 При проектировании в предельном рабочем состоянии для расчета прочности грунта следует использовать проектные значения прочности грунта, определяемые как значения нормативной прочности грунта, деленные на указанный коэффициент запаса прочности материала. Для нагрузок следует использовать проектные значения нагрузки, причем каждая проектная нагрузка определяется как нормативная нагрузка, умноженная на соответствующий заданный коэффициент надежности по нагрузке. Нагрузки должны соответствовать экстремальным условиям нагрузки.
7.2.1.3 Фундаменты моносвай, подверженные боковой нагрузке, могут быть проанализированы с помощью подхода
p-
y, аналогичного принятому для свай-оболочек (см.
5.3.2). Однако модели кривых
p-
y, обычно рекомендуемые и используемые для свай-оболочек, например представленные в
приложении В модели, не предназначены для моносвай по причине гораздо большего диаметра последних. Поэтому для построения кривых
p-
y, применимых к моносваям, необходимы особые соображения.
Примечание - Ограничение применимости моделей кривых p-y, выверенных для свай-оболочек, для анализа моносвай относится к приложениям для оценки боковых несущих способностей и смещений таких моносвай.
Однако для установления постоянной упругости для отображения жесткости моносвайного фундамента при динамическом расчете ветровой турбины и башни, поддерживаемых моносваей, в большинстве случаев применение кривых
p-
y, выверенных для свай-оболочек, будет адекватно в отношении прогнозирования структурного отклика. Это относится к приложениям с существующими проектами башен и турбин и с соответствующими частотами вращения ротора. Для анализа жесткости верхней границы необходимо изучить полностью ограниченную поверхность контакта "грунт - конструкция". О коррекции кривых
p-
y на диаметр см.
Б.2.3.1.
7.2.2 Проверки несущей способности при комбинированной боковой и моментной нагрузке
7.2.2.1 Для комбинированной боковой и моментной нагрузки в ULS необходимо обеспечить достаточную несущую способность сваи относительно этой нагрузки. Несущая способность свай формируется боковой сопротивляемостью сваи. Подтверждение достаточности несущей способности сваи подразумевает выполнение следующих двух требований:
а) теоретическая проектная полная боковая сопротивляемость свай, которая определяется путем векторного интегрирования проектной боковой сопротивляемости по длине сваи при должном учете силы и равновесия момента, должна быть не меньше проектной боковой нагрузки, приложенной на оголовке сваи;
б) боковое смещение на оголовке сваи не должно превышать определенного предела. Боковое смещение рассчитывается для проектной боковой нагрузки и поперечного момента в сочетании с нормативными значениями сопротивляемости и жесткости грунта.
7.2.2.2 Требование
а) является обычным правилом проектирования, основанным на полной пластификации грунта. Требование
б) является необходимым дополнительным требованием, поскольку боковая сопротивляемость грунта не может быть задействована локально в зонах, близких к точкам на стволе сваи, где направление бокового прогиба сваи обратимо, т.е. грунт в этих зонах не будет полностью пластифицирован, независимо от того, насколько сильно отклоняется оголовок сваи в боковом направлении.
Примечание - Достаточная несущая способность свай относительно комбинированной боковой и моментной нагрузки может быть обеспечена с помощью анализа отдельной сваи, в котором свая дискретизируется на ряд конструктивных элементов, соединенных узловыми точками с опорными упругими элементами грунта на основании кривых
p-
y и
t-
z, привязанных к этим узловым точкам. Боковые силы и моменты опрокидывания прикладываются к оголовку сваи. Также необходимо включить вертикальные силы, действующие на оголовок сваи, поскольку они могут вносить вклад в изгибающий момент и задействование боковой сопротивляемости грунта из-за эффектов

. Это потребует оценки влияния масс, расположенных над оголовком сваи. Важно, чтобы кривые
p-
y, используемые для представления бокового отпора в этом анализе, учитывали эффекты циклического снижения боковой сопротивляемости и жесткости.
Требование
б) подразумевает, что критерием приемлемости достаточной боковой сопротивляемости сваи должен быть критерий смещения. Критерий бокового прогиба оголовка сваи или критерий вращения оголовка сваи вокруг горизонтальной оси будет являться практическим. При особенно консервативных предположениях о боковой сопротивляемости грунта требование
б) может быть отменено. Предел использования кривых
p-
y может сформировать такое практическое консервативное предположение. Как правило, этого недостаточно для обеспечения того, чтобы боковая проектная нагрузка на оголовок сваи не превышала проектную общую боковую сопротивляемость, которая теоретически доступна и может быть получена из расчета отдельной сваи. Чрезмерные (и неприемлемые) боковые смещения сваи будут иметь место на оголовке сваи до задействования общей доступной боковой сопротивляемости грунта вдоль сваи.
При проведении расчета отдельной сваи рекомендуется обратить внимание на боковые смещения оголовка сваи, которые выявляются в результате расчета отдельной сваи, и убедиться, что они не становятся слишком большими, например, путем мониторинга прогнозируемого бокового смещения оголовка сваи

как функции длины сваи
L и обеспечения того, чтобы расчетное значение находилось в допустимой области от соответствующей кривой

, где

- бесконечно малая величина. Критерий бокового смещения оголовка сваи или критерий вращения оголовка сваи вокруг горизонтальной оси будет являться практическим. Такой критерий не будет общим, он должен будет зависеть от проекта.
Также рекомендуется убедиться в том, что зоны грунта вдоль сваи, которые пластифицированы для боковых нагрузок ULS, не слишком обширны.
7.2.2.3 Если проектная длина сваи определяется максимальной боковой сопротивляемостью сваи, необходимо проверить проектную сопротивляемость в отношении ULS. Нагруженные в боковом направлении моносваи могут быть рассчитаны на основе реалистичных кривых "растяжение - сжатие" для взаимодействия "свая - грунт". Прогибы свай, вызванные комбинацией боковой и осевой нагрузок, могут быть настолько большими, что это может привести к неупругому поведению грунта.
7.2.2.4 Боковая сопротивляемость моносваи или кессона может в ULS основываться на теории пластичности при условии, что нормативная сопротивляемость соответствует признанным теоремам пластичности во избежание неконсервативных оценок безопасности. Кроме того, расчеты должны основываться на предположении, что боковые деформации сваи достаточно велики, чтобы полностью пластифицировать грунт.
7.2.3 Проверки несущей способности при осевой нагрузке
7.2.3.1 Осевая несущая способность моносвай может быть оценена методами, описанными для свай-оболочек в
разделе 6 и
приложении А.
7.2.3.2 Осевая несущая способность моносвайного фундамента для ветряной турбины может определять конструкцию моносваи в условиях, когда состояние грунта таково, что предельные значения поверхностного трения являются низкими.
7.2.3.3 Осевая несущая способность кессонов, в которых опорный башмак действует как несущий элемент, может быть оценена как комбинация поверхностного трения на юбках и несущей способности. Расчет МКЭ часто используется при анализе краткосрочной и долгосрочной осевой несущей способности кессонов.
7.2.3.4 Отдельный кессон или моносвая могут подвергаться значительной нагрузке на скручивание. В таких случаях комбинированную сопротивляемость скручиванию и осевую сопротивляемость следует учитывать при проведении проверок осевой несущей способности.
7.2.3.5 В
[2] приведены указания по расчетам несущей способности для устанавливаемых всасыванием кессонов в глине.
7.2.4 Проверка деформации при комбинированной нагрузке, включающей боковое усилие и момент
7.2.4.1 Для проектирования в SLS необходимо использовать нормативные значения для расчета прочности грунта. Для нагрузок следует использовать нормативные значения нагрузки. Нагружение должно представлять собой нагрузки, которые в долгосрочной перспективе будут вызывать остаточные деформации грунта, что, в свою очередь, приводит к остаточному смещению свайного фундамента (например, накопленный остаточный наклон оголовка сваи). Для этой цели поведение грунта при циклической нагрузке представляют таким образом, чтобы накопленные остаточные деформации в грунте надлежащим образом вычислялись как функция количества циклов при каждой амплитуде нагрузки в истории приложенных нагрузок SLS. Принципы учета эффектов циклической нагрузки приведены в
разделе 12.
7.2.4.2 Для проектирования в SLS необходимо обеспечить, чтобы допуски на деформацию не превышались. Допуски на деформацию относятся к постоянным деформациям.
Примечание - Допуски на деформацию обычно даются в технических условиях на проектирование, и они часто указываются с точки зрения максимально допустимых поворотов оголовка сваи в вертикальной плоскости. Оголовок сваи обычно устанавливается на морском дне.
Обычно указывается допуск на установку, который является требованием для максимально допустимого поворота оголовка сваи по завершении установки моносваи.
Кроме того, обычно указывается другой допуск, который является верхним пределом для накопленного остаточного поворота оголовка сваи, учитывая историю нагрузок SLS, приложенных к моносвае, на протяжении всего проектного срока службы. Накопленный остаточный поворот, который соответствует этому допуску, обычно возникает из-за накопленных остаточных деформаций грунта, вызванных циклическими волновыми и ветровыми нагрузками, относительно ненулевого среднего значения.
В некоторых случаях допуск на установку указывается вместе с допуском полного поворота вследствие установки и накопленных остаточных деформаций. Обычно это выражается как требование к повороту или наклону оголовка сваи, где оголовок сваи определяется как поперечный срез сваи на уровне морского дна. Если, например, допуск для полного поворота на морском дне составляет 0,5°, а допуск на установку на морском дне составляет 0,25°, то предел для накопленного остаточного поворота составит 0,25° на морском дне (см. рисунок 3).
Рисунок 3 - Остаточный поворот моносвайного фундамента
7.2.4.3 Проверка боковых деформаций рассматривается в
7.2.2.
7.2.5 Проверка деформации при осевом нагружении
7.2.5.1 Осадка кессонного фундамента с опорным башмаком может быть рассчитана, как указано в
разделе 9.
7.2.5.2 При проектировании кессонов необходимо учитывать неравномерную осадку. Во время установки неравномерная осадка может возникать, например, из-за слоев слабого грунта различной толщины по ширине кессона и из-за неравномерного распределения приложенных пониженных давлений по площади кессона. Неравномерные осадки могут также возникать при функционировании введенного в эксплуатацию кессона, например, вследствие неравномерного распределения веса или внецентренной нагрузки.
7.2.5.3 Следует рассмотреть вопрос о неравномерных уплотненных осадках между фундаментами в системе с несколькими фундаментами из-за неравномерного состояния грунта.
7.2.6 Взаимодействие "грунт - конструкция"
7.2.6.1 Влияние статической и динамической нагрузок на фундаменты моносвай и кессоны более подробно описано в
разделе 11.
7.3 Проектирование защиты от размыва грунта
7.3.1 Размыв грунта
7.3.1.1 Размыв грунта является результатом эрозии частиц грунта на фундаменте и вблизи него и вызывается волнами и течением. Размыв может влиять на геотехнические характеристики фундамента и, следовательно, на реакцию конструкции, которая определяет предельное рабочее состояние и предельные состояния усталости для поддерживаемой конструкции.
7.3.1.2 Влияние размыва необходимо принимать во внимание. Размыв приведет к полной потере боковой и осевой сопротивляемости вплоть до глубины размыва ниже исходного морского дна. Необходимо рассмотреть как общий размыв, так и локальный размыв, например, когда построены кривые
p-
y и
t-
z. Принципы учета общего и локального размыва при построении кривых
p-
y и
t-
z приведены в
разделе 6.
7.3.1.3 Значительный размыв грунта может развиваться вокруг моносвай и кессонов в песчаном грунте. Как следствие может потребоваться проектирование адекватной защиты от размыва, если при проектировании фундамента не предусмотрена дополнительная глубина погружения относительно исходного уровня морского дна, чтобы противодействовать эффектам размыва.
7.3.1.4 Гидравлические аспекты размыва вокруг вертикальных свай рассматриваются в
[6].
7.3.1.5 Средства предотвращения размыва и требования к таким мерам приведены в 7.3.2.
7.3.2 Мероприятия по защите от размыва
7.3.2.1 Следует учитывать риск возникновения размывов вокруг фундамента конструкции, если не будет доказано, что грунтовое основание не будет подвержено размыву для ожидаемого диапазона скоростей частиц воды.
Примечание - Когда конструкция будет смонтирована на морском дне, поток частиц воды, связанный с устоявшимися течениями и проходящими волнами, претерпит существенные изменения. Локальное изменение потока, как правило, приводит к увеличению напряжения сдвига на морском дне, и способность потока по выносу осадков будет увеличиваться. В случае морского дна, подверженного эрозии, это может привести к локальному размыву вокруг конструкции. Такой размыв будет представлять угрозу для стабильности конструкции и ее фундамента.
7.3.2.2 Эффект размыва, если это необходимо, должен учитываться как минимум одним из следующих способов:
- адекватные средства для защиты от размыва размещаются вокруг конструкции сразу после установки;
- фундамент спроектирован для условия, в соответствии с которым все подверженные размыву материалы считаются удаленными;
- морское дно вокруг конструкции находится под пристальным наблюдением, и вскоре после обнаружения размыва проводятся восстановительные работы для предотвращения дальнейшего размыва. Этот метод является приемлемым только в тех случаях, когда может произойти ограниченный размыв без неблагоприятного воздействия на конструкцию. Кроме того, этот метод нельзя использовать в качестве единственного метода, и его следует использовать только в том случае, если неясно, насколько велика будет эрозия.
7.3.2.3 При анализе размыва следует учитывать влияние устоявшегося течения, волн или течения и волн в комбинации в соответствующих случаях.
Примечание - Степень воронки размыва зависит от размеров конструкции и свойств грунта. В тех случаях, когда защита от размыва установлена, она также будет зависеть от конструкции защиты от размыва.
7.3.2.4 Материал защиты от размыва выбирают таким образом, чтобы обеспечить как внешнюю, так и внутреннюю стойкость, т.е. защиту от эрозии поверхности материала, от размыва и вымываемых частиц подстилающего природного грунта. В частности, материал, размещенный на морском дне для предотвращения выноса нижележащих подверженных эрозии отложений, должен:
- покрыть морское дно там, где движения частиц воды могут вызвать эрозию, способную оказать неблагоприятное воздействие на оцениваемую конструкцию;
- иметь достаточную толщину и вес во избежание выноса;
- предотвращать вымывание подстилающих грунтов;
- обеспечивать такое поровое давление частиц воды, которые могут образовываться в подстилающих грунтах, чтобы гарантировать свободное дренирование через размещенный материал.
7.3.2.5 Когда защита от размыва состоит из насыпной структуры, такой как последовательность искусственно выложенных слоев грунта, при выборе размеров частиц отдельных слоев насыпной структуры необходимо обеспечить соответствие стандартным критериям фильтрации. Насыпные структуры обычно состоят из гравия или горных пород, но могут также содержать компоненты песка, чтобы соответствовать критериям фильтрации.
7.3.2.6 В тех случаях, когда защита от размыва предусмотрена в конструкции фундамента и состоит из насыпной структуры, при проектировании конструкции фундамента может учитываться влияние защиты от размыва на опорные свойства окружающего грунтового массива в целом. Для этой цели подверженный размыву материал заменяется на материал защиты от размыва в объеме воронки размыва для соответствующего определяющего ULS.
7.3.2.7 Методика прогнозирования глубины размыва на вертикальной свае, установленной на морском дне, приведена в
[6].
8 Устойчивость фундаментов гравитационного типа и кессонов
8.1.1 Общие положения
8.1.1.1 Требования к устойчивости фундамента часто являются наиболее решающим фактором для определения площади опорной поверхности, заложения фундамента с точки зрения глубины внедрения юбки и веса в погруженном состоянии для сооружений с фундаментом гравитационного типа. Поэтому в процессе поиска оптимального решения при проектировании важно уделять должное внимание расчетам устойчивости фундамента.
8.1.1.2 В этом разделе приведены рекомендации по выполнению расчета устойчивости для различных свойств грунта и условий нагружения.
8.1.1.3 Проверки устойчивости фундамента чаще всего проводятся методом предельных равновесий, т.е. проверяя равновесие между расчетными нагрузками и несущими способностями, как поясняется далее в
8.4. Используя предельные равновесные методы, рекомендуется проанализировать несколько потенциальных поверхностей разрушения, чтобы найти критическую поверхность разрушения. В качестве альтернативы могут выполняться расчеты МКЭ, в результате которых определяются критические поверхности разрушения в рамках выполняемого расчета.
8.1.1.4 Консервативные представления несущей способности для идеализированных условий, как правило, не являются достаточно точными для расчетов устойчивости фундамента морского сооружения гравитационного типа. Однако такие простые вычисления могут быть целесообразны на ранней стадии проектирования.
8.1.1.5 Для фундаментов гравитационного типа с относительно небольшими площадями, таких как фундаменты опорных башмаков для временной поддержки опорных блоков или фундаменты для небольших подводных сооружений, могут быть приемлемы консервативные подходы при несущей способности. Определения несущей способности для таких случаев приведены в
8.4.5.
8.1.1.6 В соответствии с общим определением условия ULS потерю устойчивости фундамента определяют как ситуацию, при которой деформации грунта становятся настолько большими, что может произойти повреждение сооружения или жизненно важного оборудования, такого как кондукторы, обсадные колонны или райзеры. Это следует учитывать, когда для расчета на устойчивость выбираются нормативные параметры прочности на сдвиг.
8.1.1.7 Для расчета общего напряжения нормативную прочность недренированного грунта на сдвиг следует определять в соответствии с
8.1.1.6 на приемлемо низком уровне деформации, где приемлемая деформация состоит из средних (постоянных) деформаций, циклических деформаций или их комбинации.
8.1.1.8 Для расчета общего напряжения расчетная прочность на сдвиг

определяется по формуле

, (7)
где

- нормативная прочность на сдвиг, которая должна учитывать анизотропию грунта и влияние циклического нагружения, если оно имеется;

- коэффициент запаса по материалу.
8.1.1.9 Для расчета эффективного напряжения проектная прочность на сдвиг

определяется следующим образом:

, (8)
где

- эффективное нормальное напряжение на поверхности сдвига;

- нормативный угол внутреннего трения;

- коэффициент запаса по материалу.
8.1.1.10 При расчете эффективного напряжения все факторы поровых давлений учитывают для расчета эффективного нормального напряжения на поверхности сдвига (см.
8.2.3).
8.1.1.11 Следует учитывать влияние циклического нагружения на прочность при сдвиге. Обычно это требуется для традиционных фундаментов гравитационного типа, для которых волновая нагрузка определяет устойчивость фундамента. Для расчета общих напряжений должна быть установлена циклическая прочность, как описано в
разделе 12. Для расчета эффективных напряжений необходимо учитывать суммарное поровое давление, накопленное при циклическом нагружении.
8.2 Прочность грунта на сдвиг
8.2.1 Общие положения
8.2.1.1 Выбор прочности на сдвиг для использования при расчетах устойчивости должен основываться на соответствующих высококачественных лабораторных испытаниях и/или испытаниях на месте выполнения работ. В этом контексте следует рассмотреть, как минимум, следующие вопросы:
- уровень напряжений на месте выполнения работ;
- эффективные статические напряжения для расчетного случая;
- тип нагружения, например история статических или циклических нагружений;
- эффекты нескольких сценариев нагружения, например эффекты циклического нагружения, предшествующие проектным штормовым условиям.
8.2.1.2 В расчете может учитываться диссипация поровых давлений, создаваемых из-за веса конструкции в погруженном состоянии. В песке полное уплотнение обычно может приниматься до тех пор, пока во время установки не будет достигнуто расчетное условие. В глинистых грунтах уплотнение занимает больше времени, в зависимости от проницаемости, сжимаемости и толщины пластов глины. Степень уплотнения, которая должна учитываться для расчетного условия, должна быть обоснована путем расчетов или анализа, в зависимости от конкретного случая.
8.2.1.3 Для однородного пласта грунта степень уплотнения может быть рассчитана в соответствии с
9.3.1.3.
8.2.2 Расчет общего напряжения
8.2.2.1 Прочность недренированного грунта на сдвиг определяют на основе лабораторных испытаний, способных имитировать фактические условия напряжения. Для моделирования различных условий напряжения потребуются различные типы испытаний (см. рисунок 4). Трехосные испытания на сжатие, трехосные испытания на растяжение и прямые испытания по методу простого сдвига обычно требуются для интерпретации активной прочности на сдвиг, пассивной прочности на сдвиг и прямой прочности на сдвиг соответственно. Выбор прочности на сдвиг для данной части возможной поверхности сдвига может быть выполнен в соответствии с
8.3.6. Для первоначальной оценки прочности фундамента, когда анизотропия прочности еще не установлена, допускается предположить, что прямая простая прочность недренированного грунта на сдвиг,
SuDSS, приблизительно представляет собой среднюю прочность недренированного грунта на сдвиг по всей поверхности разрушения.
Рисунок 4 - Пример нагружения элементов грунта
вдоль потенциальной поверхности разрушения в фундаменте
ниже подводной опорной конструкции гравитационного
типа; упрощенный вид
8.2.2.2 Статическая прочность недренированного грунта на сдвиг может использоваться для случаев, когда определяющая нагрузка имеет в основном статический характер. Влияния скорости могут быть включены для нагрузок короткой продолжительности, таких как пиковые ударные воздействия. Влияния скорости должны быть надлежащим образом продемонстрированы с помощью испытаний.
8.2.2.3 Следует всегда учитывать влияние циклического нагружения на прочность на сдвиг. Циклическое нагружение может вызвать наращивание порового давления, что приведет к уменьшению прочности на сдвиг. Подробности см. в
разделе 12.
8.2.2.4 Расчет общего напряжения с использованием силы циклической прочности на сдвиг подходит для анализа глинистых грунтов, которые обычно считаются недренированными для всех видов нагрузки во время расчетных штормовых условий. Длительность нагрузки от одной волны может быть настолько короткой, что даже песок может считаться недренированным за время длительности расчетной волны. Очень плотный песок, который часто встречается на шельфе, может иметь большие отрицательные поровые давления (возникающие в процессе расширения грунта) и соответствующие высокие прочности недренированного грунта при сдвиге до разрушения в условиях недренированного нагружения. Тем не менее не рекомендуется полагаться без специальных подтверждений на высокую прочность недренированного грунта на сдвиг, которая зависит от больших отрицательных поровых давлений. Следует учитывать возможность рассеивания такого высокого отрицательного порового давления, и поэтому необходимо, чтобы уровень деформации достигал соответствующих состояний напряжения. Кроме того, рекомендуется принимать во внимание кавитацию поровой жидкости как ограничение для высоких отрицательных поровых давлений. Наконец, не рекомендуется полагаться на высокую статическую прочность на сдвиг без учета влияния циклического нагружения.
8.2.3 Расчет эффективного напряжения
8.2.3.1 Для расчета эффективного напряжения учитывают все факторы, способствующие поровому давлению:
- начальные поровые давления на месте работ, которые могут отличаться от гидростатических давлений, если грунт не полностью затвердел под собственным весом;
- поровое давление в результате монтажа, в том числе влияние добавочного веса конструкции и эффекта внедрения юбки, с учетом рассеивания, которое происходит после монтажа до достижения расчетного условия;
- поровые давления из-за циклического нагружения, включая наращивание и рассеивание, в зависимости от того, что применимо;
- поровое давление от мгновенной нагрузки.
8.2.3.2 Поровые давления на месте работ должны основываться на результатах исследований грунта. Отклонения от гидростатических давлений допускается ожидать только для мощных отложений глины с высокой интенсивностью осадконакопления, таких как дельтовые отложения.
8.2.3.3 Начальные поровые давления из-за веса конструкции могут быть рассчитаны в соответствии с теми же принципами, что и поровые давления для мгновенной нагрузки (см.
8.2.3.5).
8.2.3.4 Наращивание порового давления в результате циклического нагружения может быть определено по диаграммам с изолиниями поля пористого давления (см.
раздел 12).
8.2.3.5 Поровое давление из-за мгновенной нагрузки недренированного грунта может быть спрогнозировано при использовании следующей формулы:

, (9)
где

- изменение порового давления;

- изменение среднего общего напряжения

;

- изменение девиаторного напряжения

;

,

,

- большое, промежуточное и малое главное общее напряжение;
D - параметр дилатансии, который может быть определен из графика напряжений при трехосных испытаниях недренированного грунта.
На
рисунке 5 показан график напряжений, полученный в результате трехосного испытания грунта. Параметр дилатансии
D может быть рассчитан как

, (10)
в котором отклонение Sd графика напряжений определяется как

. (11)
8.2.3.6 При использовании формул эффективного напряжения и определении отказа в ULS, когда график напряжений достигает линии предельных напряжений, рассматриваемой в
8.1.1.9, истинный уровень надежности может различаться в зависимости от того, является ли поведение грунта расширяющимся или уменьшающимся в объеме при приближении предельной точки разрушения (см. рисунок 5).
Рисунок 5 - Определение отклонения
Sd из графика напряжений
при трехосном испытании на образце недренированного грунта
(здесь показано отрицательное Sd). Представлено поведение
расширения относительно поведения уменьшения в объеме
Этот вопрос следует учитывать при выборе расчетных параметров грунта для расчета эффективных напряжений.
8.3.1 Общие положения
8.3.1.1 Устойчивость фундамента обычно анализируется с помощью методов предельных равновесий, обеспечивающих равновесие между внешними усилиями и силами сопротивляемости. Пластическое равновесие для сил и опрокидывающего момента проверяется для тела, ограниченного возможной поверхностью скольжения, как описано в
8.3.4. Компьютерные программы, основанные на этих методах, позволяют анализировать несколько возможных поверхностей разрушения в поиске наиболее необходимой.
8.3.1.2 Расчет устойчивости проводят на основе общего напряжения с использованием прочности недренированного грунта на сдвиг, как указано в
8.2.2, или на основе эффективного напряжения. В последнем случае придется учитывать развитие поровых давлений, как описано в
8.2.3.
8.3.1.3 В качестве альтернативы расчету методом предельных равновесий устойчивость фундамента может быть рассчитана с использованием МКЭ, применяющих нелинейные структурные модели грунта. При расчете трехмерных моделей более точно учитывается трехмерный эффект, чем при использовании методов предельных равновесий. Для комбинаций геометрии фундамента и профилей грунта, при которых достоверные данные по трехмерным побочным эффектам с использованием методов предельного равновесия не всегда доступны, с целью оценки устойчивости фундамента необходимо рассмотреть трехмерный расчет МКЭ. В качестве альтернативы использованию нелинейных структурных моделей грунта могут быть эффективно использованы простые кусочно-линейные модели в зависимости от типа и сложности расчета. Для определения несущей способности фундамента могут использоваться линейно-упругие идеально-пластические билинейные модели грунта.
8.3.1.4 Если устойчивость фундамента определяется с помощью МКЭ, рекомендуется тщательно оценить возможные источники ошибок и их влияние на результаты. В этом контексте особую озабоченность вызывают следующие проблемы:
- структурная модель грунта и ее способность моделировать анизотропную прочность на сдвиг;
- итерационная процедура. Следует обеспечить отсутствие превышения указанных прочностей на сдвиг;
- элементная сетка.
8.3.1.5 Расчет предельного равновесия обычно выполняют путем указания расчетных нагрузок, т.е. в расчетах применяют нагрузки, в том числе коэффициенты надежности по нагрузке. После чего результаты расчета на устойчивость будут состоять из возможных к применению коэффициентов запаса по материалу.
8.3.1.6 При использовании расчета МКЭ в сочетании с принципами предельных состояний и частными коэффициентами надежности для обоснования устойчивости фундамента рекомендуется использовать расчетную прочность на сдвиг, т.е. прочность, включающую коэффициент запаса по материалу для грунта, в качестве предельной прочности в модели грунта. Далее нагрузки прикладывают поэтапно до или выше расчетной нагрузки, чтобы продемонстрировать, что отказ не будет иметь место на уровне расчетной нагрузки.
8.3.1.7 Расчет предельного состояния может стать альтернативой методам предельных равновесий и МКЭ. Расчет предельного состояния основан на теоремах пластического предельного состояния и предполагает небольшие деформации, идеально пластический материал и ассоциированный закон пластического течения.
8.3.2 Нагрузки
8.3.2.1 Все применимые силы включают в комбинации нагрузок с использованием значений нормативных нагрузок и коэффициентов надежности по нагрузке, как указано в стандартах проектирования. Стандартный расчет на устойчивость должен включать, как минимум, следующие нагрузки:
- вес конструкции в погруженном состоянии (минимальный или максимальный, в зависимости от того, что применимо);
- нагрузки от придонного течения.
8.3.2.2 Сочетание всех нагрузок на конструкцию дает результирующий набор сил: горизонтальную силу (
H), вертикальную силу (
V) и опрокидывающий момент (
M), которые обычно относятся к центру площадки фундамента на уровне дна. Кроме того, учитывают гидродинамические волновые давления

на морском дне, как показано на рисунке 6. Для сплошного фундамента предполагается, что гидродинамические давления

, действующие на вершине опорной плиты, включены в
H,
V и
M. Дифференциальное гидродинамическое давление на морском дне на противоположных сторонах фундамента будет влиять на определенные режимы отказа, например определяемые моментом равновесия, а также горизонтальные режимы отказа для юбочных фундаментов. В этом случае изотропное гидродинамическое давление будет действовать как горизонтальное давление снаружи юбок с противоположными знаками на противоположных сторонах фундамента и таким образом способствовать чистой горизонтально действующей силе (см. рисунок 6).

Рисунок 6 - Нагрузки, действующие на фундамент GBS
и прилегающее дно
8.3.3 Идеализация зоны фундамента
Когда проблема устойчивости фундамента решается с использованием трехмерного расчета МКЭ, поверхность фундамента может быть смоделирована без упрощений или с незначительными упрощениями. Методы предельных равновесий основаны на плоской напряженности, где трехмерные влияния включаются путем определения сопротивляемости вертикальным боковым областям, определяемым критическими поверхностями разрушения в результате плоской деформации. Для этого требуется прямоугольная идеализация геометрии фундамента. Эту геометрию допускается определить исходя из той же площади и того же самого инерционного момента, что и для истинной геометрии.
8.3.4 Возможные режимы отказа
Необходимо проанализировать различные возможные режимы отказа, чтобы выявить наиболее критический. Критическая поверхность разрушения будет зависеть от различных компонентов нагрузки и от изменений прочности и стратификации грунта. Она также будет зависеть от геометрии фундамента, включая размер и форму области горизонтальной проекции, конфигурации юбки и глубины заложения юбки. Типичные режимы отказа, которые необходимо учитывать, включают (но не обязательно ограничиваются):
- скольжение вдоль нижнего торца юбки;
- скольжение вдоль мягкого слоя под нижним концом юбки;
- скольжение вдоль слабого слоя между несущим основанием и нижним концом юбки с локальным разрушением вокруг нижнего конца юбки;
- стандартное глубинное разрушение под нагрузкой;
- глубинные отказы, определяемые равновесием моментов с центром вращения выше или ниже подошвы фундамента;
- отказ по пробою.
Чем выше для конструкции отношение момента опрокидывания к горизонтальной силе, тем более важными становятся глубинные режимы отказа, определяемые равновесием моментов. Возможно избежать режимы отказа, при которых задействуются более слабые грунты над нижним концом юбки, создав правильное расстояние между юбками.
Типичные режимы отказа, перечисленные выше, показаны на рисунке 7.

,

- уклоны поверхности сдвига
Рисунок 7 - Примеры возможных режимов отказа фундаментов
мелкого заложения
8.3.5 Поправки для трехмерного воздействия
Ограничивающие равновесные решения основаны на условии плоской деформации, обеспечивающей сопротивляемость на единицу длины фундамента. Эта сопротивляемость умножается на фактическую длину фундамента, а трехмерное влияние включается путем добавления боковой сопротивляемости к двум параллельным вертикальным поверхностям призмы грунта, определяемым поверхностью 2D-разрушения и длиной фундамента. Для расчета общих напряжений конструкций на грунте с относительно постоянной прочностью на сдвиг по глубине значение сопротивляемости боковой поверхности на сдвиг может быть принято как 0,4 от прямой простой недренированной прочности грунта на сдвиг. Однако для грунта с увеличивающейся по глубине недренированной прочностью на сдвиг следует использовать более низкое значение коэффициента, чем 0,4. Для сопротивляемости грунта ниже подошвы фундамента, т.е. ниже нижнего конца юбки, если фундамент имеет юбку, уместно использовать нулевую боковую сопротивляемость, поскольку в этом случае трехмерное влияние меньше. Любое выбранное значение боковой сопротивляемости сдвига должно быть обосновано.
8.3.6 Интерполяция для анизотропной прочности на сдвиг
При расчете общего напряжения недренированного грунта важно учитывать анизотропную прочность на сдвиг, как описано в
8.2.2.1. Выбор прочности на сдвиг для заданного положения возможной поверхности сдвига может быть основан на определенной активной прочности на сдвиг,
suA, прямой прочности на сдвиг,
suD, и пассивной прочности на сдвиг,
suP, следующим образом:

, (12)

, (13)
где

- уклон поверхности сдвига в рассматриваемой точке (положительное значение

- для активного сдвига, отрицательное значение

- для пассивного сдвига, а

соответствует прямому сдвигу).
8.4 Расчеты несущей способности
8.4.1.1 Расчеты несущей способности с помощью обычных выражений несущей способности имеют некоторые ограничения (выполняют согласно
8.1.1.4). Выражения несущей способности могут быть неточными для заглубленных фундаментов, включая фундаменты с юбками, из-за ограниченного диапазона допустимых значений в отношении глубины погружения. В качестве альтернативы допускается использовать идеализированные расчетные схемы, например, при расчетах МКЭ.
8.4.1.2 Руководство по различным подготовительным мероприятиям, которые необходимы для расчета несущей способности с использованием выражений общей несущей способности, приведено в
8.4.2 -
8.4.4. Расчетные силы, которые определяют расчеты устойчивости и эксцентриситет нагрузки, обеспечивающий эти силы, определяют согласно
8.4.2. Корректировку расчетных сил для возможного крутящего момента, действующего на фундамент, выполняют в соответствии с
8.4.3. Расчеты эффективных площадей фундамента, которые используются для учета эффекта эксцентриситета нагрузки, - согласно
8.4.4.
8.4.1.3 Выражения несущей способности приведены в
8.4.5 -
8.4.8.
8.4.2.1 Все горизонтальные и вертикальные силы, действующие на фундамент, передаются на опорную поверхность фундамента и объединяются в результирующие силы H и V, действующие в горизонтальном и вертикальном направлениях соответственно на поверхности контакта "фундамент - грунт".
Рисунок 8 - Нагружение фундамента
в идеализированных условиях
8.4.2.2 Предполагается, что
H и
V представляют собой расчетные силы, т.е. они являются компонентами силы или нормативными силами, умноженными на их соответствующий коэффициент надежности по нагрузке

. Это обозначается индексом
d в выражениях несущей способности; следовательно, отсюда
Hd и
Vd. Центр нагрузки, обозначенный как
LC, является точкой, в которой результирующая величина показателей
Hd и
Vd пересекает поверхность контакта "фундамент - грунт". Когда используются юбки, уровень опорной поверхности, т.е. поверхность контакта "фундамент - грунт", берется на уровне нижнего торца юбки, а не на морском дне. Центр нагрузки
LC подразумевает эксцентриситет
e вертикальной силы
vd относительно центральной линии фундамента (см.
рисунок 8). Эксцентриситет рассчитывается как

, (14)
где Md - результирующий опрокидывающий момент относительно поверхности контакта "фундамент - грунт".
8.4.3 Поправка на крутящий момент
8.4.3.1 Если на фундамент воздействует расчетный крутящий момент
MZd в дополнение к расчетным силам
Hd и
Vd, то взаимодействие между крутящим моментом и этими силами может быть объяснено заменой
Hd и
MZd эквивалентной расчетной горизонтальной силой
H'd. Тогда несущая способность фундамента должна быть оценена для комплекса сил (
H'd,
Vd) вместо комплекса сил (
Hd,
Vd). Эквивалентная расчетная горизонтальная сила может быть рассчитана как

, (15)
где
leff - длина эффективной площади, как определено в
8.4.4.
8.4.3.2 Выражение с поправкой на крутящий момент в
8.4.3.1 основано на предположении о полном задействовании сдвига между опорой и грунтом при скручивании, что подразумевает, что выражение недействительно в модели SLS и может использоваться только в модели ULS.
8.4.3.3 Поправка на крутящий момент в
8.4.3.1 может применяться только после того, как некрутящие M
X и M
Y будут учтены с помощью метода эффективной площади, изложенного в
8.4.4.
8.4.3.4 Существуют альтернативные методы введения поправок на крутящий момент, которые допускается использовать.
8.4.4 Эффективная площадь фундамента
8.4.4.1 При расчете несущей способности необходимо использование значения эффективной площади фундамента Aeff. Эффективная площадь фундамента строится таким образом, что ее геометрический центр совпадает с центром нагрузки, а граница площади выбирается таким образом, чтобы она максимально подходила к ближайшему контуру истинной площади опорной поверхности фундамента.
8.4.4.2 Для площади квадратной поверхности шириной b эффективная площадь Aeff может быть определена как
Aeff = beffleff, (16)
где beff и leff - эффективные размеры (зависят от того, какой из двух идеализированных сценариев нагружения (1 или 2) приводит к наиболее критической несущей способности для фактического фундамента).
Рисунок 9 - Квадратная опора с двумя сценариями
для определения эффективной площади фундамента:
сценарий 1) - слева, сценарий 2) - справа
Сценарий 1) соответствует эксцентриситету нагрузки относительно одной из двух осей симметрии фундамента. В этом сценарии используются следующие эффективные размерности:
beff = b - 2e, (17)
leff = b. (18)
Сценарий 2) соответствует эксцентриситету нагрузки относительно обеих осей симметрии фундамента для особого случая, когда два компонента эксцентриситета идентичны. В этом сценарии используются следующие эффективные размерности (см.
рисунок 9):

. (19)
Представление эффективной площади, которое приводит к самому критическому результату для несущей способности фундамента, - это представление эффективной площади, которую необходимо выбрать.
Отмечается, что такой метод эффективной площади для учета влияния внецентренной нагрузки может привести к большому консерватизму при проектировании в случае больших величин эксцентриситета.
Метод сценария 1) может быть обобщен до эксцентрично нагруженной прямоугольной опоры, позволяя различать ширину (
b) и эффективную длину (
leff), что представлено в левой части
рисунка 9.
8.4.4.3 Для круглого фундамента с радиусом R эффективная площадь фундамента Aeff может быть определена как

. (20)
Это понимается как площадь сегмента круга и его зеркального отображения со средней точкой на их общей секущей линии, расположенной в точке приложения нагрузки (см.
рисунок 10). Ширина этой области двойного сегмента круга
be = 2(R - e), (21)
а длина

. (22)
Рисунок 10 - Кольцевая и восьмиугольная опоры
с обозначенной эффективной площадью фундамента
Исходя из этого эффективная площадь фундамента Aeff теперь может быть представлена прямоугольником со следующими расчетами:

, (23)

. (24)
8.4.5.1 При определенных условиях, указанных в
8.1.1.4 и
8.1.1.5, устойчивость фундаментов может быть рассчитана с помощью выражений несущей способности. В таких случаях могут быть использованы процедуры, описанные в
8.4.2 и
8.4.3.
8.4.5.2 При расчете несущей способности используется эффективная площадь фундамента. Это прямоугольная область, которая устанавливается, как указано в
8.4.2 -
8.4.4.
8.4.5.3 Для анализа ULS в выражениях несущей способности следует использовать расчетные параметры прочности на сдвиг, т.е. нормативную прочность на сдвиг, деленную на соответствующий коэффициент запаса по материалу

(см.
[5] и
[6]). В тех случаях, когда в формулах несущей способности присутствуют нагрузки, как, например, в формулах для коэффициентов наклона, должны использоваться расчетные нагрузки, т.е. нормативная нагрузка, умноженная на соответствующий коэффициент надежности по нагрузке

.
Примечание - Формулы для коэффициентов наклона для дренированных условий приведены в
8.4.6.4 и для недренированных условий в
8.4.7.2,
8.4.8.2.
Коэффициент надежности по нагрузке зависит от типа нагрузки и, в зависимости от определяющего стандарта на проектирование, также может зависеть от того, является ли нагрузка неблагоприятной или благоприятной.
8.4.6 Несущая способность для полностью дренированных условий
8.4.6.1 Следующие общие выражения могут применяться для несущей способности в полностью дренированных условиях:

, (25)
где qu - предельная несущая способность;

- эффективный удельный вес водонасыщенного грунта;
po' - эффективное давление вышележащего слоя на уровне опорной поверхности (уровень опорной поверхности при использовании юбок - это уровень нижнего конца юбки);
beff - эффективная ширина фундамента;
a - притяженность грунта

;
c - сцепление грунта;

- угол внутреннего трения грунта;

,
Nq - коэффициенты запаса по несущей способности;

,
sq - коэффициенты формы;

,
dq - коэффициенты глубины;

,
iq - коэффициенты наклона нагрузки.
Примечание - Отмечается, что сцепление грунта "
c" как очевидная прочность на сдвиг при нулевом нормальном напряжении и притяженность "
a" как очевидная прочность на разрыв не отражают истинного поведения материала, но являются параметрами, которые вместе с коэффициентом трения

определяют прочность на сдвиг в пределах релевантного диапазона нормального напряжения. Следует соблюдать осторожность, чтобы не использовать указанные параметры для уровней напряжения ниже диапазона напряжений, для которого эти параметры выверены и действительны.
8.4.6.2 Коэффициент запаса по несущей способности Nq допускается принять как

, (26)
где

выражен в радианах.
Примечание - Формула основана на принципах плоской деформации и не обязательно может использоваться для интерпретации CPT, например из-за трехмерных эффектов, связанных с CPT, и из-за различных зон и диапазонов пластификации. Эти аспекты в принципе должны учитываться коэффициентами формы и глубины. Тем не менее степень правомерности этих коэффициентов обычно ограничена, поэтому может исключать применение формулы для интерпретации CPT.
8.4.6.3 Для расчета геотехнической несущей способности фундаментов рекомендуется следующее выражение для коэффициента запаса по несущей способности

:

. (27)
Выражение сходится с базами данных результатов испытаний и относится к трехосному углу внутреннего трения

.
Коэффициенты наклона нагрузки
iq и

могут быть рассчитаны как

, (28)

, (29)
где H - горизонтальная нагрузка;
V - вертикальная нагрузка;
Aeff - эффективная площадь фундамента;
c - сцепление грунта.
Угол внутреннего трения

, использующийся в формулах для каждого коэффициента наклона, должен соответствовать тому, который применяется в выражении коэффициента запаса по несущей способности, включающем коэффициент наклона.
8.4.6.4 Коэффициенты формы
sq и

для прямоугольной эффективной площади могут быть рассчитаны как:

, (30)

, (31)
где leff - эффективная длина фундамента;
beff - эффективная ширина фундамента.
Угол внутреннего трения

, использующийся в формулах для каждого коэффициента формы, должен соответствовать тому, который применяется в выражении коэффициента запаса по несущей способности, включающем коэффициент формы.
8.4.6.5 Коэффициент глубины

по определению равен единице.
8.4.6.6 Если процедура монтажа фундамента и другие критические аспекты позволяют задействовать сопротивляемость напряжениям сдвига в грунте выше уровня фундамента, допускается использовать следующую формулу для коэффициента глубины (dq), действительного для погружения D < beff:

. (32)
Угол внутреннего трения

, использующийся в формуле для каждого коэффициента глубины, должен соответствовать тому, который применяется в выражении коэффициента запаса по несущей способности, включающем коэффициент глубины.
| | ИС МЕГАНОРМ: примечание. В официальном тексте документа, видимо, допущена опечатка: п. 11.2.5 отсутствует. | |
8.4.6.7 Выражение несущей способности из
8.4.6.1 может использоваться вместе с выражением величины скольжения для построения диаграммы несущей способности при комбинации вертикальных и горизонтальных сил, как показано на примере, приведенном на рисунке 11. Диаграмма демонстрирует область устойчивости фундамента, в пределах которой фундамент будет устойчивым. Нижняя граница определяет величину скольжения (см. 11.2.5).
Рисунок 11 - Пример комбинированных
вертикально-горизонтальных областей устойчивости
фундамента - дренированные условия
Для внедренных фундаментов или фундаментов юбочного типа с низкой вертикальной силой, такой, при которой режим отказа приближается к горизонтальному скольжению, выражение несущей способности не может правильно фиксировать горизонтальную сопротивляемость. При использовании выражения несущей способности для установления области текучести при комбинированном вертикальном и горизонтальном нагружении эта область может быть отсечена горизонтальной кривой скольжения. Эта кривая может в дополнение к сопротивляемости скольжению под внедренным фундаментом включать пассивную сопротивляемость на стене внедренного фундамента или юбке соответственно.
8.4.7 Несущая способность для недренированных условий - постоянная прочность на сдвиг
8.4.7.1 Следующее общее выражение может быть применено для расчета несущей способности (
qu) при недренированных условиях для постоянной изотропной прочности на сдвиг:
qu = Ncsu(1 + sca + dca - ica) + p'0, (33)
где Nc - коэффициент запаса по несущей способности (5,14);
su - прочность недренированной глины на сдвиг;
sca - коэффициент формы;
dca - коэффициент глубины;
ica - коэффициент наклона нагрузки.
Заметим, что выражение может применяться как с нормативной прочностью на сдвиг, так и с факторизованной прочностью на сдвиг, если в формулах для коэффициента наклона, определенного в соответствии с 8.4.7.2, используется одна и та же прочность на сдвиг.
8.4.7.2 Коэффициент наклона нагрузки
ica может быть рассчитан как

, (34)
где H1 - теоретическая горизонтальная сила на горизонтальной эффективной площади (H-RHO-RHP);
Aeff - эффективная горизонтальная площадь фундамента.
Если горизонтальные силы действуют вдоль двух осей, должны быть рассчитаны два набора коэффициентов формы и наклона, один из которых основан на горизонтальной силе вдоль одной оси, а другой - на горизонтальной силе вдоль другой оси. Как результат этого получаются два соответствующих значения несущей способности qu. Следует использовать минимальное значение.
8.4.7.3 Коэффициент формы (sca) для прямоугольной эффективной площади может быть рассчитан как

. (35)
8.4.7.4 Если процедура монтажа фундамента и другие критические аспекты позволяют задействовать внутреннее трение в грунте выше уровня фундамента, допускается использовать следующее выражение для коэффициента глубины dca, действующего для погружения D < beff:

. (36)
8.4.8 Несущая способность для недренированных условий, линейно увеличивающая с глубиной прочность на сдвиг
8.4.8.1 Следующее общее выражение может быть применено для несущей способности (
qu) при недренированных условиях и линейном увеличении с глубиной прочности на сдвиг:

, (37)
где su0 - прочность недренированного грунта на сдвиг на уровне подошвы фундамента;
k - скорость увеличения с глубиной прочности недренированного грунта на сдвиг;
sca - коэффициент формы;
dca - коэффициент глубины;
ica - коэффициент наклона нагрузки;
F - поправочный коэффициент для гладких и шероховатых опор, заданный как функция от kbeff/su0 (см. рисунок 12).
Рисунок 12 - Поправочный коэффициент F
для шероховатых и гладких опор
Обратите внимание, что выражение может быть применено как с нормативной прочностью на сдвиг, так и с факторизованной прочностью на сдвиг, если в формулах для коэффициента наклона, приведенных в 8.4.8.2, используется одна и та же прочность на сдвиг.
8.4.8.2 Коэффициент наклона нагрузки
ica допускается принять как (см.
[4])

. (38)
Примечание - Данное выражение для коэффициента наклона было взято из случая постоянной по глубине прочности на сдвиг без дальнейших исследований. Однако при применении для получения области текучести устойчивости фундамента, как описано в
8.4.8.5, это приводит к получению областей текучести, идентичных значениям, полученным в результате выражения, приведенного в ISO 19905-1.
8.4.8.3 Коэффициент формы (sca) для прямоугольной эффективной площади может быть рассчитан как

, (39)
где scv - коэффициент формы для кольцевых фундаментов и чистых вертикальных нагрузок (см. таблицу 1).
Таблица 1
Коэффициент формы для вертикально нагруженных
кольцевых фундаментов
kbeff/su0 | scv |
0 | 0,20 |
2 | 0,00 |
4 | -0,05 |
6 | -0,07 |
8 | -0,09 |
10 | -0,10 |
8.4.8.4 Коэффициент глубины dca допускается принять как

, (40)
где su1 - средняя прочность недренированного грунта на сдвиг выше уровня подошвы фундамента;
su2 - эквивалентная прочность недренированного грунта на сдвиг ниже уровня подошвы фундамента (F(5,14su0 + kbeff/4)/5,14).
8.4.8.5 Выражения несущей способности в
8.4.7.1 или в
8.4.8.1 в зависимости от профиля прочности грунта могут использоваться вместе с выражением способности скольжения с целью создания диаграммы для комбинации вертикальных и горизонтальных сил, как показано на рисунке 13. На диаграмме представлены области текучести устойчивости фундамента для недренированных условий, в пределах которых фундамент будет устойчивым. Правая граница на графике определяет способность скольжения. Необходимо принять во внимание, что область, показанная на рисунке 13, не учитывает активную и пассивную боковую несущую способность в результате внедрения фундамента.
Рисунок 13 - Пример комбинированных
вертикально-горизонтальных областей устойчивости
фундамента - недренированные условия
9.1.1 Общие положения
9.1.1.1 Деформации фундамента необходимо правильно прогнозировать и контролировать. Конструктивные элементы, уязвимые к деформациям и осадке фундамента, проектируют таким образом, чтобы чрезмерные деформации, в случае их наличия, не нанесли никакого вреда прочностным свойствам и эксплуатационному поведению сооружения.
Осадка фундамента может влиять:
- на требования к ширине зазоров настила (воздушный зазор);
- врезку трубопроводов или других элементов, прикрепленных к подземной части сооружения и находящихся в контакте с морским дном;
- напряжения в кондукторах и обсадных колоннах из-за отрицательного поверхностного трения;
- зазор над устьями скважин;
- оборудование, чувствительное к наклону;
- P-delta эффекты.
Прогнозируемые величины осадки являются важными входными данными для области проектирования, в которой учитывается влияние осадки фундамента. В некоторых случаях поддержание величин осадки ниже определенного предельного значения является требованием при проектировании фундамента.
9.1.1.2 Оценка общих осадок фундамента, дифференциальных осадок и смещений в течение расчетного срока службы сооружения включает:
- первичную осадку фундамента, уплотнение и вторичное сжатие (объемная ползучесть);
- циклически индуцированные постоянные осадки фундамента и деформации;
- динамически индуцированные упругие перемещения;
- боковое смещение и наклон;
- потенциальную осадку фундамента из-за истощения коллектора или разгерметизации, разрушения вечной мерзлоты или других прогнозируемых причин.
Вклад в общую осадку разных глубин и вариации в боковом направлении в пределах и за пределами площади фундамента должен быть обоснован в соответствии с различными областями проектирования, на которые оказывают влияние осадки.
9.1.1.3 Осадки фундамента вследствие циклического нагружения происходят за счет различных механизмов, которые должны быть оценены:
- осадков, вызванных недренированными деформациями сдвига;
- осадков, вызванных диссипацией поровых давлений, возникающих при циклическом нагружении.
Используемые модели грунта должны иметь возможность правильно учитывать средние напряжения сдвига и историю циклического напряжения сдвига во всех элементах грунта. При необходимости оценка осадки фундамента в результате циклической нагрузки может основываться на записях наблюдений за поведением существующих сооружений. В этом случае должно быть продемонстрировано сходство условий (условия грунта, условия нагрузки, уровни напряжений грунта и т.д.). Анализ осадок фундамента в результате действия циклической нагрузки может быть связан с относительно большой неопределенностью и зависит от недренированных циклических испытаний, специфичных для конкретного участка работ, или альтернативно от данных циклических испытаний для типа грунта, который является репрезентативным для грунта на участке работ.
9.1.1.4 Общий алгоритм, связанный с первичной и последующей осадкой фундамента, приведен в 9.1.2, более подробная информация приведена в
9.2 -
9.4. Термин "осадка" используется для этих двух типов осадки, оба из которых вызваны действием статических нагрузок.
9.1.2 Общие процедуры расчета первичной осадки и последующей осадки фундамента
9.1.2.1 Классический метод прогнозирования осадки основан на упрощающем предположении, что осадка обусловлена только одномерным сжатием и что модуль грунта, часто называемый компрессионным модулем деформации, определяется испытаниями образцов грунта в одометрах. В этом случае классическая теория упругости дает простые выражения для идеального линейно-упругого материала, которые удобны в использовании, но во многих случаях имеют ограниченное применение для моделирования реального поведения грунта.
9.1.2.2 Другой подход к прогнозированию осадки фундамента заключается в использовании МКЭ. Это потенциально позволяет использовать более реалистичное моделирование поведения грунта, чем классические и полуэмпирические методы, и настоятельно рекомендуется для точного прогнозирования осадки. Осадки фундамента, рассчитанные МКЭ, нуждаются в корректном задании граничных условий, поскольку они могут существенно влиять на полученные результаты. Например, для упругих осадок необходимо либо использовать очень большую модель конечных элементов с большим расстоянием между конструкцией и границами, либо использовать бесконечные элементы по бокам и основанию сетки для получения результатов, близких к решениям замкнутой формы.
| | ИС МЕГАНОРМ: примечание. В официальном тексте документа, видимо, допущена опечатка: имеется в виду приложение В, а не приложение C. | |
9.1.2.3 До расчета осадки грунта должно быть определено распределение напряжений в грунте до и после приложения нагрузки. В
приложении C представлен обзор теорий распределения напряжений, в том числе основанных на классической теории упругости и подходе пластичности.
9.1.2.4 Осадка фундамента на реальном грунте является результатом двух явлений: искажения сдвига (при постоянном объеме) и уплотнения (с изменением объема). Все описанные выше методы расчета осадки, за исключением МКЭ, используются только в сочетании с полным уплотнением, т.е. скорость последующей осадки должна прогнозироваться отдельно.
9.2.1 Общие положения
9.2.1.1 Расчеты осадки фундамента традиционно основаны на теориях либо упругости, либо пластичности. Также существуют эмпирические методы, которые основаны на опытных осадках, распределении деформаций или распределении напряжений. Расчеты осадки фундамента также могут быть выполнены с помощью расчета МКЭ (см.
9.2.5).
9.2.1.2 В 9.2.2 приведены несколько выражений для расчета осадки, основанных на теории упругости. Эти выражения следует использовать с осторожностью и применять только для приблизительных оценок на начальной стадии проектирования, поскольку упругое полупространственное представление грунта с постоянным модулем деформации чаще всего связано с большими неопределенностями. В
9.2.3 и
9.2.4 дается описание методики расчета осадки фундамента, основанной на концепции касательного модуля. Перспективным методом прогнозирования осадки фундаментов является расчет МКЭ, описание которого приведено в
9.2.5.
9.2.2 Применение теории упругих деформаций
9.2.2.1 Поскольку вертикальное давление оказывает доминирующее влияние на осадку фундамента, компрессионный модуль деформации или модуль одометра M часто является основой для расчета осадки. Это сводит обобщенный закон Гука для изотропной среды к одной составляющей деформации:

, (41)
где

- вертикальное напряжение;
M - компрессионный модуль деформации.
9.2.2.2 Связь между компрессионным модулем деформации
M и модулем Юнга
E зависит от коэффициента Пуассона

и определяется как

. (42)
9.2.2.3 Нормальный диапазон

составляет от 0,125 до 0,30 для песка. Для глины, подверженной длительному нагружению, нормальный диапазон v составляет от 0,20 до 0,40, тогда как для кратковременной недренированной нагрузки

составляет 0,5. Для дренированных условий может применяться следующее выражение для приближенного вычисления:

, (43)
где

- угол внутреннего трения.
Примечание - Это выражение является приближенным и откалибровано по отношению к данным для максимального угла внутреннего трения.
Для расчета первичной осадки фундамента глину следует считать недренированной, а v - равным 0,5.
9.2.2.4 Вертикальное отклонение

в центре кольцевого, гладкого и гибкого фундамента с диаметром
B равно:

, (44)
где q - равномерно распределенная приложенная нагрузка.
Среднее отклонение

для того же фундамента:

. (45)
9.2.2.5 Средняя осадка

шероховатого и жесткого кольцевого фундамента может быть рассчитана как

. (46)
9.2.2.6 Средняя первичная осадка

гладкого гибкого фундамента, заложенного в грунт на глубину
D и имеющего жесткую границу на глубине
H ниже опорной поверхности фундамента, может быть рассчитана как

, (47)
где

и

- геометрические факторы влияния, значения которых приведены на диаграммах на рисунке 14. Фундамент может быть круглым или прямоугольным, а коэффициент Пуассона принимается как

. Рисунок 14 следует использовать только для приблизительных расчетов.
Рисунок 14 - Факторы влияния на осадку
внедренных фундаментов
9.2.3 Принцип касательного модуля Janbu
9.2.3.1 Определяет компрессионный модуль деформации
M как функцию уровня напряжения

и показатель степени напряжения
a в соответствии со следующим выражением:

, (48)
где m - безразмерный модуль;

- эталонное напряжение (100 кПа).
9.2.3.2 Выражение в
9.2.3.1 удобно использовать для большинства типов грунта. Для практических целей определяют следующие три основные категории типа грунта:
- тип EL = эластичный (a = 1);
- тип EP = упругопластический (a = 0,5);
- тип PL = пластичный (a = 0).
Каждая из этих категорий соответствует конкретному значению показателя
a, для каждой категории выражение модуля является, таким образом, частным случаем выражения в
9.2.3.1.
9.2.3.3 Тип EL определяется показателем a = 1, что соответствует

. (49)
Типичными примерами грунта, относящегося к типу EL, являются горные породы, жесткие морены и переуплотненные глины (OC глины). Компрессионный модуль деформации глины допускается считать постоянным модулем, если эффективные напряжения после уплотнения меньше, чем напряжение предуплотнения.
Величина M зависит от эффективных напряжений на рабочей площадке и степени переуплотнения.
9.2.3.4 Тип EP определяется показателем a = 0,5, что соответствует

. (50)
Модель типа EP применима к нормально уплотненным пескам и илам (рисунки 15 и
16). Она также применима к переуплотненным пескам и илам для эффективных напряжений, превышающих напряжение предуплотнения.
Рисунок 15 - Типичный диапазон для числа модуля m
в зависимости от пористости n для нормально
уплотненного песка
Рисунок 16 - Типичный диапазон для численного значения
модуля m в зависимости от пористости n
для нормально уплотненного ила
9.2.3.5 Тип PL определяется показателем
a = 0, что соответствует

. (51)
Компрессионный модуль деформации для нормально уплотненных глин (NC-глины) может быть описан этой моделью, данный грунт, таким образом, может быть классифицирован как тип PL.
Эта модель может быть успешно модифицирована, чтобы обеспечить лучшее соответствие результатам испытаний одометром; следовательно:

, (52)
где

- эталонное напряжение, интерпретируемое как отрезок, отсекаемый на оси эффективного напряжения прямой линией, соответствующей результатам испытаний одометром за пределами напряжения предуплотнения.
Рисунок 17 - Численное значение модуля m в зависимости
от содержания воды для нормально уплотненных глин
9.2.4 Процедура расчета осадки фундамента по методу Janbu
| | ИС МЕГАНОРМ: примечание. Текст дан в соответствии с официальным текстом документа. | |
9.2.4.1 Поскольку компрессионный модуль деформации, определенный в
9.2.3, основан на одном и том же определении для всех типов грунта, различные этапы анализа осадки фундамента могут быть могут быть выведены из одного и того же основного принципа. Это означает, что процедура расчета будет одинаковой для всех типов грунта.
9.2.4.2 Полное сжатие

залеганий толщиной
H находится как интеграл от вертикальной деформации по глубине
H:

, (53)
т.е. осадка фундамента равна площади диаграммы

.
9.2.4.3 Из определения компрессионного модуля деформации:

(54)
следует, что

. (55)
Следовательно, по мере роста эффективного напряжения от пластового давления

до его конечного значения

полученная деформация

определяется путем интегрирования приращения деформации между заданными пределами напряжений, т.е.:

. (56)
9.2.4.4 Объединение
9.2.3.1 и
9.2.4.3 приводит к следующему обобщенному выражению для деформации:

, (57)
которое непосредственно применимо для всего диапазона показателя степени напряжения a: от 0 до 1, за исключением варианта, когда a = 0, который представляет собой специальный граничный случай.
9.2.4.5 Выражение для деформации в
9.2.4.4 охватывает большинство эмпирических выражений для отношений "напряжение - деформация", которые были предложены в литературе, кроме того, оно удовлетворяет граничному условию

для

.
9.2.4.6 Что касается категорий типа грунта, определенных в
9.2.3.2, выражения деформаций, соответствующие этим категориям типов грунта, имеют следующий вид:
Тип EL:

, (58)
Тип EP:

, (59)
Type PL:

. (60)
Следует отметить, что выражение деформации для типа EL используется для песчаных грунтов, а выражение деформации для типа PL - для глинистых.
Также следует отметить, если компрессионный модуль деформации
M для типа PL изменяется путем введения эталонного напряжения

, как описано в
9.2.3.5, то выражение для деформации принимает вид

. (61)
9.2.4.7 Распределение с глубиной приращения напряжения

из-за приложенного дополнительного результирующего напряжения
qn может быть установлено с помощью процедур, приведенных в
приложении В, с использованием формулы

, (62)
где q - общее вертикальное напряжение на единицу площади, передаваемое на уровне фундамента на глубине D;
qn - результирующее дополнительное вертикальное напряжение на единицу площади, передаваемое на уровне фундамента на глубине D;

- удельный вес грунта на глубине
z;

- пластовое давление на глубине
D до начала строительства.
9.2.4.8 Процедура расчета осадки фундамента, которая основывается на
9.2.4.1 -
9.2.4.7, состоит из следующих шагов:
1) построить репрезентативный профиль грунта, отображающий тип грунта, число соответствующего модуля и толщину слоя;
2) установить профиль вертикального напряжения, содержащий эффективное пластовое давление

и увеличение напряжения

как функции глубины
z, представленные либо графически, либо в виде таблицы. Руководство по вычислению

приведено в
приложении В;
3) рассчитать соответствующую деформацию

для каждой нормативной глубины из
9.2.4.6 для соответствующей категории типа грунта;
4) произвести интегрирование рассчитанной деформации с учетом глубины для получения вертикальной осадки (см.
9.2.4.2).
9.2.4.9 В переуплотненных глинистых грунтах, для которых приложенная нагрузка приводит к тому, что эффективное вертикальное напряжение превышает напряжение предуплотнения, модуль типа EL должен использоваться для приращения напряжений до напряжения предуплотнения, тогда как модуль типа PL следует использовать для приращения напряжения сверх напряжения предуплотнения.
9.2.5 Расчет методом конечных элементов
9.2.5.1 Расчет МКЭ является перспективным способом прогнозирования осадки фундаментов. Преимущества использования МКЭ для анализа осадки включают:
- возможность реалистичного представления поведения грунта за счет применения современных моделей упругопластичного материала;
- уплотнение во времени может быть оценено для любой заданной геометрии;
- для фундаментов юбочного типа возможность анализа совместного воздействия увеличенного трения юбки со временем в сочетании с уплотнением;
- при проведении анализа уплотнения допускается оценить увеличение прочности грунта во времени. Однако предполагаемое увеличение прочности грунта из-за повышенных грунтовых напряжений следует оценивать с осторожностью.
9.2.5.2 При анализе осадки фундамента важно учитывать следующие аспекты:
- выбор модели материала и соответствующих параметров жесткости;
- представление проницаемости грунта;
- трение стенки юбки для анализа фундаментов юбочного типа;
- граничные условия модели;
- шаг сетки и близость границ;
- зависимость сетки и числовые настройки.
9.2.5.3 Модель материала должна быть способна представить основные деформационные характеристики грунта для указанного условия нагружения, а также надлежащим образом отражать деформационное упрочнение и объемное упрочнение. Деформационное упрочнение представляет собой сдвиговое упрочнение, связанное с напряжениями сдвига. Объемное упрочнение - это пластическое упрочнение, связанное с первичным сжатием. Для анализа уплотнения зависимость напряжения от жесткости грунта представляют в соответствии с типом грунта (см.
9.2.3).
9.2.5.4 Параметры жесткости и проницаемости в модели материала определяют на основе соответствующих испытаний грунта. Для первичной осадки фундамента следует использовать характеристики жесткости, полученные в результате трехосных испытаний и прямых испытаний на сдвиг. Для анализа уплотнения характеристики жесткости и проницаемости должны быть получены из испытаний в одометре. Диапазон напряжений, представляющий интерес, оценивают при определении параметров грунта.
9.2.5.5 В свете возможного нарушения структуры грунта при взятии пробы следует принимать во внимание качество проводимых испытаний грунта, когда они используются для определения параметров грунта. Коэффициент переуплотнения OCR и жесткость в области напряжения переуплотнения обычно будут занижены, в то время как жесткость в области напряжений нормального уплотнения может быть переоценена, когда образцы глины подвергаются нарушениям структуры грунта при взятии пробы. Указанные отличительные свойства грунта и CPT могут использоваться для корреляции свойств грунта. Это особенно актуально, когда количество испытаний в одометре ограничено и когда структура соответствующих образцов грунта подвергается большим нарушениям.
9.2.5.6 На рисунке 18 показано, как жесткость грунта может быть представлена идеализированной моделью материала и как это соотносится с фактической реакцией грунта при испытании одометром. На рисунке 18 показаны две модели, а жесткость в терминах ограниченного касательного модуля отмечена на вертикальной оси. Жесткость в модели 1 пропорциональна уровню напряжения, однако с разными градиентами жесткости для напряжения в областях напряжений NC и OC, в то время как жесткость в модели 2 имеет постоянную ограниченную жесткость при заданной глубине. Также указаны вертикальное эффективное напряжение
p'0 и напряжение предуплотнения
p'c на строительной площадке. На рисунке 18 проиллюстрирована важность правильного учета рассматриваемого диапазона напряжений. Жесткость грунта может альтернативно определяться непосредственно из кривых "напряжение - деформация", например

или

участков, где

обозначает деформацию,
e - коэффициент пористости, а

- вертикальное напряжение. Для сценария разгрузки жесткость грунта определяют на основе этапа разгрузки теста в одометре. Обратите внимание, что обе модели, показанные на рисунке 18, являются примерами доступных моделей, которые в силу своей идеализированности не способны полностью моделировать реакцию грунта при испытании в одометре.

Рисунок 18 - Компрессионный модуль деформации
относительно вертикального эффективного напряжения
Например, модель, обозначенная как модель 2, не является идеальной моделью для эффективных вертикальных напряжений сверх напряжения предуплотнения p'c.
9.2.5.7 Рекомендации по моделям материалов для конечно-элементного расчета осадки фундамента, изложенные в
9.2.5.3 -
9.2.5.6, применимы не только к конечно-элементному расчету, но и к анализу осадки в целом и могут служить дополнением к указаниям, представленным в
9.2.2 -
9.2.4.
9.2.5.8 Для фундаментов юбочного типа трение юбки будет влиять на предполагаемую осадку фундамента. Сразу же после погружения трение юбки в глинах и дисперсионных илах будет примерно равно прочности на сдвиг среды с нарушенной структурой для этих грунтов. После установки трение между стенкой юбки и грунтом будет возрастать во времени из-за тиксотропии, диссипации избыточного порового давления и увеличения эффективных горизонтальных напряжений.
9.2.5.9 Осадки ползучести могут иметь значение для долгосрочной осадки фундамента, особенно для нормально и слегка переуплотненной глины с высоким содержанием воды.
9.2.5.10 Расчетные модели для представления напряженно-деформированного состояния грунта в расчете МКЭ для прогнозирования осадки фундамента включают, но не ограничиваются следующими моделями:
- модифицированная модель Cam-clay: имеет характеристики, аналогичные характеристикам модели 1 в
9.2.5.6;
- модель упрочняющегося материала: предлагает возможность выбора зависимости напряжения от жесткости в соответствии с состоянием грунта, как указано в
9.2.3, и учитывает деформационное упрочнение.
9.2.5.11 Результаты проведенного расчета МКЭ должны быть сопоставлены с результатами при консервативном методе расчета. Если результаты расчета МКЭ отличаются от ожидаемой реакции грунта по консервативному расчету, необходимо выяснить возможные причины несоответствий и принять корректирующие действия.
9.3.1 Общие положения
9.3.1.1 Зависимость осадки фундамента от времени представляет интерес в основном для нормально уплотненных, полностью насыщенных глин и очень дисперсных илов. Крупнозернистые грунты, такие как песок и гравий, настолько проницаемы, что дренаж происходит почти одновременно с изменением напряжения.
9.3.1.2 Поскольку осадки непосредственно связаны с деформациями в различных слоях грунта, изменение деформации

в зависимости от времени и глубины определяет скорость уплотнения во времени.
9.3.1.3 Уплотнение определяется следующим дифференциальным уравнением:

, (63)
где t - время;
z - глубина;
v0 - номинальная скорость;
cv - коэффициент уплотнения.
При заданных граничных условиях решения дифференциального уравнения могут быть выражены в безразмерных единицах с использованием безразмерного фактора времени (
T) и безразмерного параметра глубины

, определяемых как

, (64)

, (65)
где
H - толщина слоя или глубина, для которой вертикальная деформация

достигает нуля, например, в случаях, когда глубина непосредственно слоя глины многократно превышает ширину фундамента.
Для слоев ограниченной толщины с двусторонним дренажем H в приведенных выше выражениях следует принимать за половину толщины слоя.
Факторы времени для уплотнения различной степени и различных распределений вертикальной деформации

с глубиной приведены на рисунке 19.
Рисунок 19 - Безразмерный фактор времени T для уплотнения
различного процентного выражения U и различных
распределений вертикальной деформации
9.3.1.4 Компьютерные программы, решающие проблему уплотнения, возможно, придется использовать для решения конкретных проблем, для которых нет типового решения.
9.4 Осадки при ползучести
9.4.1 Общие положения
9.4.1.1 Осадка при ползучести фундамента - это вторичная осадка фундамента, вызванная деформациями грунта, возникающими в условиях устойчивого эффективного напряжения в грунте в течение всего срока службы фундамента. Осадки при ползучести имеют место не только для стационарного устойчивого состояния напряжений, преобладающего после завершения осадки в результате первичного уплотнения, но также одновременно с ней, когда напряженные состояния более сложны и зависят от степени уплотнения. Подразумеваемая зависимость между первичной осадкой при уплотнении и вторичной осадкой при ползучести является важным аспектом, который следует учитывать при прогнозировании осадок при ползучести.
9.4.1.2 Скорость ползучести зависит как от времени, так и от эффективного напряжения. Наибольшая скорость ползучести ожидается для эффективных напряжений при напряжении предуплотнения и в близком к нему состоянии. Сложные модели часто устанавливаются в геотехнических исследованиях для выражения динамики ползучести. Модели, используемые в геотехнической практике, часто менее сложны.
9.4.1.3 Объемная ползучесть вносит основной вклад в эффекты старения и очевидного переуплотнения глин на рабочей площадке, которые ранее не подвергались предварительному нагружению.
9.4.1.4 Для глины осадка при ползучести может способствовать значительной части общих осадок на протяжении всего срока службы фундамента, если на глину будет действовать нагрузка, близкая или превосходящая напряжения предуплотнения.
9.4.2 Концепция сопротивляемости во времени Janbu
9.4.2.1 Сопротивляемость R во времени определяется как обратная производной от деформации по времени:

, (66)
где

- деформация ползучести;
t - время.
9.4.2.2 Сопротивляемость во времени после завершения основной части первичного уплотнения представлена как
R = rs(t - tr). (67)
Деформация ползучести

в момент времени
t равна:

, (68)
где rs - число сопротивляемости ползучести;
t - фактическое время;
Деформация ползучести

представляет собой деформацию, которая развивается по прошествии времени
tc, в течение которого происходит значительная часть первичного уплотнения, а сопротивляемость во времени
R становится линейной функцией времени. Время
tp является временем полной диссипации избыточного порового давления

(см. рисунок. 20).
Рисунок 20 - Иллюстрация сопротивляемости во времени
R
и числа сопротивляемости ползучести rs для постоянного
приращения напряжения

в испытании одометром
9.4.2.3 При применении этой концепции определенную сложность представляет определение контрольного времени t1. Определение величины t1 предпочтительно должно основываться на данных, характерных для конкретной площадки. Типичный диапазон величины сопротивляемости ползучести rs в зависимости от вертикального эффективного уровня напряжения относительно напряжения предуплотнения p'c приведен на рисунке 21.
Рисунок 21 - Пример типичного диапазона
для числа сопротивляемости ползучести
относительно вертикального эффективного напряжения
Необходимо учитывать возраст донных отложений. Старение косвенным образом учитывается с помощью определения показателя p'c.
9.4.3 Альтернативные описания жесткости
9.4.3.1 В качестве альтернативы процедуре, описанной в
9.4.2, ползучесть может быть проанализирована с помощью коэффициента вторичного сжатия
Ca. Коэффициент вторичного сжатия определяется как

, (69)
где e - коэффициент пористости;
t - время.
Коэффициент вторичного сжатия связан с числом сопротивляемости ползучести rs через формулу

, (70)
где e0 - начальный коэффициент пористости.
9.4.3.2 Коэффициент вторичного сжатия
Ca связан с коэффициентом сжатия
Cc через отношение
Ca/
Cc. Коэффициент сжатия определяется как

, (71)
где

- вертикальное эффективное напряжение.
Коэффициент сжатия Cc связан с компрессионным модулем деформации M через:

, (72)
где

- среднее значение начальных и конечных вертикальных эффективных напряжений.
9.4.3.3 Для данного грунта отношение Ca/Cc между коэффициентом вторичного сжатия и коэффициентом сжатия является достаточно постоянной величиной независимо от времени, эффективного напряжения и коэффициента пористости. Типичные диапазоны для Ca/Cc:
- 0,035 - 0,09 для аморфных и волокнистых торфов;
- 0,035 - 0,06 для органических илов;
- 0,03 - 0,075 для глины.
Следует проявлять осторожность при принятии значений
Ca/
Cc и расчете ползучести на основе
Ca из-за идеализаций, подразумеваемых этим относительно простым подходом, а также по причине того, что модель
Cc, указанная в
9.4.3.2, сама по себе представляет собой упрощение.
9.5 Деформации из-за циклической нагрузки
9.5.1 Циклическая нагрузка может вызвать постоянные деформации. Такие постоянные деформации могут быть оценены с помощью расчета МКЭ с использованием моделей грунта, описанных в
12.7.2, для расчета максимальных смещений при циклической нагрузке с последующей разгрузкой в состояние статического нагружения с использованием модели грунта, соответствующей разгрузке.
Примечание - В
12.7.2 описана методика оценки накопленной деформации для элемента грунта, подвергающегося заданному среднему нагружению и
N циклам заданного циклического нагружения. Методология является примером для случая при
N = 10. Подробная информация о методе накопления деформации приведена в
12.3.
9.5.2 Деформации, связанные с уплотнением
9.5.2.1 При диссипации накопленных поровых давлений, возникающих в грунте из-за циклической нагрузки, грунт будет уплотняться по мере фильтрации поровой воды, грунт разгружается до исходного состояния после того, как поровые давления временно уменьшают вертикальное эффективное напряжение. Это уплотнение приведет к дополнительной осадке конструкции, поддерживаемой грунтом.
9.5.2.2 Накопление поровых давлений может быть оценено способом, аналогичным для накопления деформаций на основе контурных диаграмм порового давления, которые обычно строятся из тех же циклических испытаний, которые используются для определения диаграмм контура деформации. Осадку в результате уплотнения следует рассчитывать с использованием осадочных характеристик, релевантных для повторного нагружения.
Данный раздел посвящен теме монтажа фундаментов. Установка стальных свай с открытым концом различными способами рассматривается в 10.2, тогда как монтаж фундаментов юбочного типа рассматривается в
10.3, который охватывает сопротивляемость внедрению юбки и установку с помощью собственного веса и под воздействием всасывания.
10.2 Установка стальных свай с открытым концом
10.2.1 Общие положения
10.2.1.1 В этом подразделе рассматривается тема установки стальных свай с открытым концом. Надлежащий монтаж свай, в том числе кондукторных, имеет жизненно важное значение для срока службы и устойчивости фундамента и требует, чтобы каждая свая при монтаже погружалась в грунт до проектной глубины без повреждений. Рассматриваются следующие альтернативные способы установки:
- ударная забивка;
- вибрационный метод;
- бурение и бетонирование.
10.2.1.2 Сооружения со свайными фундаментами необходимо оценивать касательно устойчивости как для рабочих условий, так и для временных расчетных условий, например до и во время монтажа сваи.
10.2.1.3 Если монтаж требует использования свайных подбабков (хомутов), то они должны быть проверены до первого использования, а также периодически во время выполнения установки, в зависимости от степени сложности забивки свай.
10.2.2 Ударная забивка
10.2.2.1 Для оценки погружаемости свай важно применять обоснованные методы или в качестве альтернативы обратные расчеты исходя из подобных свай в подобных грунтах.
10.2.2.2 Для забивки свай в неустойчивых породах и известковых материалах следует использовать опыт забивки в аналогичных грунтах.
10.2.2.3 Установка каждой сваи должна выполняться до конца с минимально возможным перерывом, чтобы максимально сократить увеличение монтажной сопротивляемости, которая часто происходит во время остановок. При минимально возможном перерыве время такого монтажа сводится к минимуму. Рабочие резервные молоты с наголовниками всегда должны быть доступны, особенно если установка сваи может быть критичной.
10.2.2.4 Анализ погружаемости свай выполняют в три основных этапа:
- оценка сопротивляемости грунта во время забивки (SRD) в соотношении с глубиной;
- оценка залога, т.е. числа ударов сваебойного молота для заданного погружения в грунт в соотношении с SRD и свайными напряжениями во время забивки с использованием для анализа уравнения одномерной сейсмоволны;
- объединение этих результатов для расчета кривых залога.
10.2.2.5 Для оценки усталостного повреждения, вызванного забивкой, должны быть оценены и проанализированы диапазоны ударных напряжений и число ударов сваебойного молота до отказа сваи для ожидаемой сопротивляемости грунта, а также может быть рассмотрена и проанализирована эффективность использования молота. В случае ограниченных данных о грунте ожидаемая сопротивляемость грунта должна оцениваться по завышенной оценке с достоверностью, а не по наилучшей оценке.
10.2.2.6 Следует рассчитать глубину погружения сваи в грунт под действием собственного веса и веса молота сверху.
10.2.2.7 В расчет входят ключевые данные соответствующих молотов согласно информации изготовителя.
10.2.2.8 Отказ сваи относится к событию, когда дальнейшая забивка сваи с помощью данного молота невозможна из-за слишком высокой прочности грунта. Критерии отказа при правильно работающем молоте обычно указываются изготовителем молота. Эти критерии отказа относятся к ситуациям, когда забивка свай с помощью данного молота должна быть остановлена и применены другие методы, чтобы предотвратить повреждение сваи и молота. Такие методы могут включать бурение, гидроподмыв или использование более мощного молота. При использовании такого метода, как бурение или гидроподмыв, следует иметь в виду, что конечная несущая способность сваи будет зависеть от выбранного метода.
10.2.2.9 Критерии отказа обычно указываются как события, при которых сопротивляемость грунта забивке сваи в соотношении с неким количеством ударов сваебойного молота превышает определенный порог, например когда количество ударов превышает:
- 250 ударов через каждое из шести последовательных приращений в 0,25 м;
- 1600 ударов для интервала в 1,0 м (т.е. в среднем 400 ударов на 0,25 м погружения);
- 650 ударов на 0,25 м на каждое приращение в 0,25 м.
10.2.2.10 Спецификация критериев отказа должна быть адаптирована к индивидуальным характеристикам грунта, ожидаемым для конкретного местоположения. При установлении таких критериев отказа следует учитывать рекомендации производителя сваебойного молота. Точная спецификация критериев отказа для конкретного монтажа должна быть разработана и согласована в ходе подготовки к выполнению работ в море.
10.2.2.11 Продолжение забивки свай после достижения указанного критерия отказа может быть оправданно, если это дает разумные шансы значительно улучшить несущую способность фундамента. В некоторых случаях, когда продолжение забивки не дает положительных результатов, сопротивляемость грунта забивке допускается уменьшить, используя такие методы, как удаление пробок, удаление грунта под нижним концом сваи, забивка двухсекционных свай с одной внешней и одной внутренней сваями, использование буровых и набивных бетонных свай. Такие методы должны быть одобрены проектной организацией до выполнения работ.
10.2.2.12 После разбуривания грунтовой пробки для облегчения достижения проектного погружения может потребоваться бетонирование пробки, чтобы обеспечить достаточную несущую способность опорной поверхности нижнего конца после достижения проектного погружения.
10.2.2.13 Достижение сваей момента отказа в соответствии с критерием отказа не гарантирует, что свая способна выдерживать свою расчетную нагрузку. Заключительный удар молота до отказа не может считаться гарантией пригодности свай.
10.2.2.14 Выходная мощность молота, как правило, варьируется контрагентом, чтобы поддерживать минимальные диапазоны напряжений в сваях. Таким образом, число ударов сваебойного молота не дает прямого указания на стратификацию и сопротивляемость грунта. Важно выполнить измерения, предоставляющие полную запись рабочих характеристик сваебойной машины, включая, например, скорость удара, ход, давление ускоряющего средства и силу удара. При поддержании минимально возможных диапазонов напряжения свай важно также поддерживать максимальное напряжение сваи ниже допустимого предельного уровня напряжения. Такой предельный уровень напряжения часто выражается в процентах от нормативного предела текучести материала сваи.
10.2.2.15 Для проверки передаваемой свае энергии рекомендуется надежное инструментальное оснащение некоторых свай, чтобы иметь возможность интерпретировать стратификацию грунта и ограничить свайные напряжения.
10.2.2.16 В тонкостенных сваях во время забивки может происходить баклинг-деформация стенок. Этот момент следует учитывать. Отмечается, что баклинг во время забивки не обязательно ограничивается деформацией только нижнего конца сваи.
10.2.3 Вибрационный монтаж
10.2.3.1 В некоторых случаях необходимо выполнять установку свай с помощью вибропогружателя. К преимуществам вибрационного метода монтажа можно отнести снижение шумового загрязнения, повышенную эффективность технического обслуживания, высокую скорость погружения свай, высокую точность по вертикали, а также преимущество извлечения и перепозиционирования свай в случае отказа.
10.2.3.2 Модели грунта для оценки устойчивости грунта к вибрационному монтажу недостаточно подтверждены, поэтому следует применять опыт установки других свай с использованием аналогичного оборудования в подобном грунте.
10.2.4 Бурение и бетонирование
10.2.4.1 Бурение отверстий для буровых и набивных свай может выполняться с буровым раствором или без него, чтобы облегчить поддержание открытого отверстия скважины. Буровой раствор может нанести ущерб поверхности некоторых грунтов. Если он используется, следует предусмотреть возможность промывки бурового раствора циркулирующей водой после завершения бурения при условии, что отверстие скважины останется открытым. Обратную циркуляцию обычно следует использовать в целях обеспечения достаточного потока для удаления шлама. Буровые операции выполняют аккуратно, чтобы поддерживать правильную центровку скважины и минимизировать вероятность ее разрушения. Заведенная свая с высаженной наружу буровой головкой на ее нижнем конце может использоваться в качестве бурильной колонны, чтобы ее можно было оставить на месте после завершения устройства скважины.
10.2.4.2 К свае прикрепляют центраторы, чтобы обеспечить равномерное кольцевое пространство между заведенной сваей и скважиной. Бетонный башмак может быть установлен вблизи нижнего конца сваи, чтобы обеспечить бетонирование кольцевого пространства без заливки бетона внутрь сваи. Может потребоваться привязывание сваи, чтобы предотвратить ее плавание в бетонной смеси, если используется бетонный башмак. Время до бетонирования скважины должно быть сведено к минимуму для грунтов, которые подвержены воздействию морской воды. Качество бетонного раствора необходимо периодически проверять во время заливки раствором каждой сваи.
10.2.4.3 Следует предусмотреть средства для определения того, что кольцевое пространство заполнено, как дополнительно описано в
10.2.6. Скважины для близко расположенных свай не следует открывать одновременно, если нет уверенности в том, что это не будет пагубно влиять на несущую способность свай и что раствор не будет мигрировать в соседнюю скважину.
10.2.4.4 Буровой раствор, который используется во время бурения скважины, влияет на адгезию между сваей и грунтом и тем самым также ограничивает поверхностное трение.
10.2.4.5 Для буронабивных свай важно проверить стабильность пробуренной скважины на промежуточном этапе до того, как свая будет установлена в отверстие.
10.2.5 Усталостное напряжение сваи при забивке
10.2.5.1 Усталостное разрушение стальной сваи в результате забивки оценивают в рамках проектирования. Расчет усталостного разрушения сваи при забивке должен основываться на наилучшей оценке сопротивляемости грунта забивке (SRD) в сочетании с ожидаемым энергетическим профилем молота.
10.2.5.2 В тех случаях, когда запланированы остановки при забивке, например из-за смены молотов во время монтажа, в оценке усталости учитывают связанные с этим эффекты структуры грунта.
10.2.5.3 Усталостное разрушение во время забивки свай и во время работы под воздействием внешних факторов окружающей среды является составляющей общего усталостного разрушения.
Для прогнозирования усталостного повреждения, вызванного забивкой, всегда должна использоваться кривая S-N (кривая "предел прочности - число циклов до отказа"), действующая для условий воздуха.
10.2.5.4 Соответствующие расчетные показатели усталостной прочности (DFF) применяют к совокупному накопленному усталостному разрушению вследствие забивки и воздействия внешних факторов окружающей среды в течение расчетного срока службы сваи.
10.2.5.5 Для свай с дополнительными приспособлениями (например, с проушинами для свай, работающих на выдергивание) решение уравнения одномерных сейсмоволн может оказаться неприемлемым для учета очагов напряжения вокруг таких приспособлений из-за сложных отражений волн напряжения. В этом случае для оценки напряжений, используемых при оценке усталости, необходим трехмерный расчет МКЭ. Внимание следует уделить как нисходящему, так и восходящему распространению волн напряжения.
10.2.5.6 Для перерасчета усталостного напряжения свай после монтажа с известными условиями забивки сваи допускается рассмотреть более низкий показатель DFF, чем тот, который требовался на этапе проектирования.
10.2.6 Замоноличивание свайной конструкции бетоном
Если в проекте требуется связывание свай и элементов конструкции, то пространства между сваями и окружающей их структурой тщательно заполняют бетонной смесью, используя соответствующее оборудование для нагнетания смеси. Оборудование должно быть способно поддерживать непрерывную подачу смеси до окончания заполнения кольцевого пространства. Если проект сооружения не требует или не допускает возврата бетонной смеси на поверхность, предусматривают средства для проверки того, что промежуточные пространства заполнены надлежащим образом. Такие средства могут включать в себя, но не ограничиваются ими: подводные средства визуального контроля, измерительные приборы и/или устройства обнаружения.
10.3 Установка фундаментов юбочного типа
10.3.1 Общие положения
10.3.1.1 Для фундаментов мелкого заложения юбки часто используются для улучшения устойчивости фундамента, для повышения жесткости фундамента при необходимости улучшения статических или динамических характеристик поддерживаемой конструкции или для использования в качестве средства защиты от размыва. Юбки также могут выступать в качестве конструкции для подфундаментного бетонирования, которое может потребоваться для обеспечения равномерного распределения вертикальных сил под подошвой фундамента.
10.3.1.2 Для фундаментов гравитационного типа юбки обычно необходимы по периметру фундамента с дополнительными юбками под центральной частью фундамента, называемыми внутренними юбками. Юбки могут быть изготовлены из стали и/или бетона. В этом контексте предполагается, что стальные юбки тонкие, толщиной от 20 до 30 мм. Бетонные юбки, используемые на фундаментах GBS, имеют клиновидную форму с типовой толщиной стенок на нижнем конце 0,3 м и вверху от 0,9 до 1,2 м. Соответствующие углы конусности составляют от 8° до 10°. Также могут быть использованы так называемые ребра, которые имеют более мелкое заложение, чем юбки, но толщину, подобную толщине бетонных юбок. Ребра используются для получения благоприятного распределения вертикальных реакционных сил, например под вертикальными стенками кессона GBS. Когда требуется подфундаментное бетонирование, юбки часто соединяются с ребрами. Ребра также будут способствовать контролируемой остановке погружения до начала бетонирования и таким образом обеспечивать необходимый и четко определенный объем между подошвой фундамента и основанием ребер, что требуется для успешной заливки бетонной смесью.
10.3.1.3 Юбки могут также применяться для фундаментов мелкого заложения, таких как фундаменты опорного башмака для временной поддержки каркасной конструкции, с юбками по периферии и часто также под подошвой фундамента. Такие юбки представляют собой стальные конструкции из плоских стальных пластин с вертикальными ребрами жесткости или из гофрированных стальных пластин. Толщина стенки обычно составляет от 15 до 30 мм.
10.3.1.4 Вакуумные сваи часто используются в качестве анкеров с закрепленным концом в выносных причалах и в качестве точек крепления в системах натяжных опор. Этот тип фундамента также обычно применяется в качестве предпочтительного технического решения для относительно тяжелых конструкций, таких как модули манифольда, и используется для поддержки морских сооружений для проектов ветряных электростанций, например ветряных турбин и подстанций. Вакуумные сваи обычно устанавливаются всасыванием за счет разницы давлений. Они представлены в широком диапазоне отношений длина-к-диаметру (L/D) и диаметр-к-толщине стенки (D/t). Вакуумные сваи могут быть оснащены внутренними юбками и/или ребрами жесткости для повышения конструктивной прочности на этапе монтажа и на этапе эксплуатации. Вакуумные сваи, используемые для швартовки, также оснащаются клюзами для крепления причального троса.
10.3.1.5 В качестве вспомогательного средства для посадки фундамента юбочного типа при установке, особенно для позиционирования и ориентационных операций, а также для предотвращения бокового ската вблизи морского дна, могут применяться штыри, выступающие под юбкой. Такие штыри часто состоят из полых труб.
10.3.1.6 Для подводных сооружений типовые фундаменты состоят из опорных башмаков с юбками, одиночных вакуумных свай или донной опорной плиты с составными фундаментами в виде полого цилиндра. Фундаменты в виде полого цилиндра могут быть оснащены внутренними юбками или ребрами жесткости, которые будут влиять на полную сопротивляемость погружению. Подводные модули со скважинными колодцами могут быть оснащены промывочными рукавами, погружающимися на несколько метров в морское дно. Для фундаментов без системы всасывания требуется полное погружение за счет собственного веса конструкции. Вакуумные сваи и фундаменты в виде полого цилиндра обычно погружаются частично за счет собственного веса конструкции и частично за счет всасывания в пределах полости юбки.
Примечание - Термин "фундамент в виде полого цилиндра" используется взаимозаменяемо с терминами "кессон" и "капсула".
10.3.2 Общие принципы расчета сопротивляемости внедрению под действием собственного веса
10.3.2.1 Сопротивляемость внедрению элементов, указанных в
10.3.1.1 -
10.3.1.6, необходимо преодолевать, когда фундамент уже установлен. Сопротивляемость внедрению представляет собой сумму поверхностной сопротивляемости и сопротивляемости грунта на нижнем конце сваи. Принципы расчета этих двух составляющих сопротивляемости внедрению изложены в
10.3.3. Обычно необходимо сделать два расчета сопротивляемости внедрению, а именно наиболее вероятной и наивысшей ожидаемой сопротивляемости. Последний будет регулировать требования к силе внедрения, т.е. весу в погруженном состоянии и/или всасыванию, в то время как первый должен сочетаться с расчетом местных напряжений реакции грунта на конструкцию фундамента в качестве входных данных для расчета конструкции. Все расчеты должны основываться на коэффициентах запаса по материалу

. Для дальнейшей оценки эксплуатационных характеристик установки может быть также рассчитана заниженная оценка ожидаемой сопротивляемости внедрению. Тем не менее это обычно не является правилом при проектировании.
10.3.2.2 Сопротивляемость внедрению может варьироваться в зависимости от площади фундамента из-за неоднородности грунтового основания. Объединив наиболее вероятную и наивысшую ожидаемую сопротивляемость внедрению, возможно разработать разумные критерии для системы балластировки, которая будет использоваться для установки. Это в основном актуально для фундаментов GBS.
10.3.2.3 Прогноз сопротивляемости внедрению должен основываться на результатах испытаний в реальных полевых условиях, подтвержденных результатами соответствующих лабораторных испытаний. Лучшим эксплуатационным испытанием, доступным для этой цели, является испытание коническим пенетрометром, поскольку этот тест обеспечивает непрерывную запись сопротивляемости с глубиной. Для получения таких непрерывных записей сопротивляемости также допускается использовать полнопоточные пенетрометры, такие как Т-образные и шаровые пенетрометры. Для песков и переуплотненных глин были разработаны корреляции между сопротивляемостью внедрению юбки и сопротивляемостью грунта вдавливанию конического пенетрометра при CPT. Однако остается несколько неопределенностей в отношении перехода от одного типа сопротивляемости внедрению к другому, например из-за эффектов разных скоростей внедрения и из-за избыточного порового давления, возникающего во время статического зондирования грунта. Поэтому постоянный набор корреляций между различными типами сопротивляемости внедрению не всегда может быть разработан. Это позволяет подчеркнуть необходимость проведения достаточно обширных изысканий рабочих площадок, чтобы обеспечить надежные прогнозы сопротивляемости внедрению для фундаментов юбочного типа.
10.3.3 Метод расчета стальных юбок и штырей
10.3.3.1 Рекомендуемый подход для прогнозирования сопротивляемости внедрению стальных юбок и штырей приведен в 10.3.3.2 -
10.3.3.5. Этот подход основан на прямой корреляции с сопротивляемостью грунта вдавливанию конического пенетрометра и выверен с помощью данных натурных испытаний фундаментов гравитационного типа, главным образом в песках и переуплотненных глинах и где внедрение было достигнуто путем балластировки.
10.3.3.2 Данный подход основывается на результатах ряда испытаний коническим пенетрометром, распределенных по площади эксплуатации рассматриваемого фундамента. Эти результаты испытаний необходимо интерпретировать следующим образом:
- определить слои грунта по результатам инженерно-геологических изысканий и CPT;
- определить для каждого CPT среднюю сопротивляемость грунта вдавливанию конического пенетрометра, qc,av, с равными интервалами глубины, например 0,2 м. Среднюю сопротивляемость грунта вдавливанию конуса на каждой рассматриваемой глубине допускается рассчитать, как скользящее среднее по выбранному интервалу глубины;
- определить для каждой глубины среднюю сопротивляемость грунта вдавливанию конического пенетрометра, обозначенную для выбранного количества отдельных значений, qc,av, по площади эксплуатации рассматриваемого фундамента.
10.3.3.3 Для отдельного фундамента с несколькими юбками следует рассчитать одну общую среднюю сопротивляемость грунта вдавливанию конического пенетрометра для всего фундамента на каждой рассматриваемой глубине. Для фундаментов, состоящих из многоюбочных опор, которые являются независимыми друг от друга и которые характерны для фундаментов подводных сооружений и фундаментов в виде полого цилиндра, должна быть рассчитана и применена одна средняя сопротивляемость грунта вдавливанию конического пенетрометра для каждой опоры.
10.3.3.4 Для одноюбочных фундаментов, для которых отсутствуют или имеются только несколько результатов испытаний коническим пенетрометром в пределах зоны фундамента, но есть больше испытаний для большей площади, окружающей фундамент юбочного типа, вариативность данных испытаний рассматривают с целью оценить репрезентативный профиль сопротивляемости грунта вдавливанию конического пенетрометра.
Примечание - Для типовых подводных фундаментов и кессонных якорей, диаметр которых мал по сравнению с диаметром фундаментов GBS, в пределах площади опоры допускается провести только одно или часто не проводить вообще испытаний CPT, если ряд испытаний CPT распределяется вблизи фундамента. Для фундаментов малого диаметра пространственные изменения в пределах опоры фундамента будут меньше, чем для большого GBS. Выбор среднего профиля CPT в окружающей зоне или использование ближайшего CPT не может быть репрезентативным для среднего значения по площади опоры фундамента. Таким образом, неопределенность, связанная с оценкой репрезентативного профиля CPT, может быть больше, чем в случае с фундаментом GBS. Консервативный подход состоял бы в том, чтобы выбрать профиль CPT в непосредственной близости, дающий самую высокую сопротивляемость внедрению.
10.3.3.5 Сопротивляемость внедрению
R одиночного фундамента или одноюбочной опоры соответственно рассчитывается с помощью следующего выражения:

, (73)
где d - глубина проникновения нижнего конца внедряющегося элемента (м);
kp(d) - эмпирический коэффициент, связывающий qc с сопротивляемостью грунта на нижнем конце сваи;
kf(z) - эмпирический коэффициент, связывающий qc с поверхностным трением;

- средняя сопротивляемость проникновению конуса по горизонтали для всей площади фундамента как функция глубины
z, МПа;
Ap - площадь нижнего конца внедряющегося элемента, м2;
As - боковая площадь внедряющегося элемента на единицу глубины внедрения, м2/м.
10.3.3.6 Исходя из
10.3.3.5 (наиболее вероятная и самая высокая ожидаемая сопротивляемость внедрению)
Rprob и
Rmax соответственно могут быть рассчитаны с использованием коэффициентов
kp и
kf для плотного песка и глины с предположительными значениями, приведенными в таблице 2.
Таблица 2
Предположительные значения коэффициентов
kp и
kf
для песка и глины
Тип грунта | Наиболее вероятная сопротивляемость внедрению (Rprob) | Самая высокая ожидаемая сопротивляемость внедрению (Rmax) |
kp | kf |
Глина | 0,4 | 0,03 | 0,6 | 0,05 |
Песок | 0,3 | 0,001 | 0,6 | 0,003 |
Примечание - Опыт использования фундаментов гравитационного типа большой площади показал, что значения kp и kf для верхних слоев от 1,0 до 1,5 м могут быть от 25% до 50% ниже, чем значения, приведенные в таблице 2, из-за местных подмывов грунта или бокового перемещения фундамента. Однако для фундаментов с достаточной пропускной способностью для водоотведения, чтобы избежать наличия этих подмывов, что обычно имеет место при использовании вакуумных свай и фундаментов в виде полого цилиндра для подводных сооружений, такие уменьшения kp и kf неприменимы. Использование юбок с увеличенной поверхностью нижнего конца или с ребрами жесткости уменьшит значения kf. Для сильно стратифицированных грунтов или смесей песка/глины значения kp и kf достигают значений между теми, которые указаны в таблице 2.
10.3.3.7 Сопротивляемость проникновению конуса, используемая в выражении в
10.3.3.5, выводится, как указано в
10.3.3.2. В сочетании с коэффициентами, приведенными в
таблице 2, для наиболее вероятной сопротивляемости внедрению
Rprob и наивысшей ожидаемой сопротивляемости внедрению
Rmax может быть определен диапазон сопротивляемости внедрению. Диапазон, полученный для наиболее неблагоприятной комбинации сопротивляемости внедрению по площади фундамента, указывает, будут ли юбки погружаться в результате собственного веса или требуется воздействие балласта или всасывания.
10.3.3.8 Для погружения юбки в глины от нормально уплотненных до слегка переуплотненных прочность переформированного недренированного грунта на сдвиг Su,r может быть непосредственно применена в качестве трения "грунт - юбка", рассчитываемого как
su,r = suD/st, (74)
где suD - прочность ненарушенного недренированного грунта на прямой сдвиг (ненарушенное DSS значение su);
st - чувствительность грунта.
Для этого расчета следует учитывать строгие оценки верхнего и нижнего профилей нормативной прочности переформированного грунта, например, путем комбинирования строгих оценок нижнего и верхнего профилей нормативной прочности ненарушенной породы с наилучшей оценкой чувствительности грунта.
Сопротивляемость нижнего конца сваи в глинах может быть принята как 7,5-кратное значение прочности на сдвиг ненарушенной глины.
Примечание - Коэффициент запаса по несущей способности 7,5 рационализирован как обычный коэффициент 5,14, скорректированный на глубинные эффекты согласно
8.4.7 для больших соотношений глубина-к-ширине.
10.3.3.9 Метод расчета, описанный в
10.3.3.5 -
10.3.3.7, в принципе применим также к штырям. Однако, когда используются штыри с устройствами для снижения трения как внутри, так и снаружи, коэффициент поверхностной сопротивляемости
kf для песка, приведенный в
таблице 2, должен быть поделен на коэффициент, равный 2 (двум). Расчеты производят с дополнительным условием, что не произойдет закупоривание.
10.3.3.10 Условие об исключении закупоривания для штырей проверяют отдельными расчетами. Если закупоривание происходит, подход, описанный в
10.3.3.5 -
10.3.3.7, применим в отношении составляющей поверхностной сопротивляемости. Сопротивляемость грунта на нижнем конце сваи рассчитывают, как для сваи большого диаметра с закрытым нижним концом (с грунтовой пробкой) (см.
раздел 6 и
приложение А).
10.3.4 Метод расчета бетонных юбок
10.3.4.1 Сопротивляемость нижнего конца qp бетонных юбок оценивают по выражениям несущей способности. Для глины сопротивляемость нижнего конца юбки исчисляется по формуле
qp = Ncsu(1 + sca + dca) + p'0, (75)
где
Nc,
sca,
dca рассчитываются в соответствии с
8.4.7.
Для песка сопротивляемость нижнего конца юбки исчисляется по формуле

, (76)
где

согласно
8.4.6 следует использовать для расчета сопротивляемости нижнего конца юбки.
10.3.4.2 Сопротивляемость из-за поверхностного трения широких бетонных юбок, предназначенных для небольших глубин погружения, в большинстве случаев мало влияет на общую сопротивляемость внедрению, поэтому этим значением допускается пренебречь. Однако если используются клинообразные бетонные юбки или юбки, предназначенные для глубин погружения более 0,5 м, этот фактор следует учитывать.
10.3.4.3 Для клинообразных бетонных юбок наиболее вероятную сопротивляемость из-за поверхностного трения допускается рассчитать по второму члену в выражении в
10.3.3.5 с более высокими значениями
kf, чем те, которые приведены в
таблице 2. Максимальное значение
kf для этого типа расчета и углов клина, превышающее 5°, должно быть для песка
k = 0,006, а для глины
k = 0,08. Для углов клина в диапазоне от 0° до 5° рекомендуется использовать линейную интерполяцию между этими значениями и значениями, приведенными в
таблице 2. Наибольшее ожидаемое поверхностное трение
fs относительно клинообразных юбок, погружаемых в песок, допускается определить, предположив, что пассивное давление грунта задействуется против юбки, таким образом:

. (77)
Коэффициент пассивного давления грунта
Kp в этом выражении является функцией нормативного угла внутреннего трения

и угла внутреннего трения о стенки

. Значения для
Kp, приведенные в таблице 3, предназначены для кривых поверхностей разрушения и коэффициента трения о стенки

, который допускается считать высоким, но все же разумным.
Таблица 3
Коэффициент пассивного давления грунта Kp
| 0,50 | 0,55 | 0,60 | 0,65 | 0,70 | 0,75 | 0,80 | 0,85 | 0,90 | 0,95 | 1,00 |
 (градусы) | 26,6 | 28,8 | 31,0 | 33,0 | 35,0 | 36,9 | 38,7 | 40,4 | 42,0 | 43,5 | 45,0 |
Kp | 4,1 | 4,7 | 5,5 | 6,3 | 7,3 | 8,6 | 9,9 | 10,7 | 13,2 | 15,3 | 17,8 |
10.3.5 Сопротивляемость внедрению ребер
Сопротивляемость внедрению ребер, которые обычно намного шире, чем стальные юбки, следует рассчитывать в соответствии с процедурой, описанной в
10.3.4 для бетонных юбок.
10.3.6 Внедрение с помощью всасывания
10.3.6.1 Для фундаментов юбочного типа, которые полностью не внедряются за счет собственного веса конструкции, может применяться подсадочное всасывание для увеличения силы внедрения и преодоления сопротивляемости внедрению. Подсадочное всасывание осуществляется за счет создания разрежения относительно внешнего гидростатического давления, т.е. за счет разности давления.
10.3.6.2 Внедрение с помощью всасывания может быть применено к различным типам фундаментов, таким как кессоны и фундаменты в виде полого цилиндра для подводных опорных плит и конструкций опорного блока.
10.3.6.3 Нижние и верхние составляющие сопротивляемости внедрению за счет собственного веса и сила всасывания при монтаже должны быть рассчитаны на основе строгих оценок нижнего и верхнего профилей нормативной прочности грунта, как описано в
10.3.3.7.
10.3.6.4 Всасывание, необходимое для преодоления сопротивляемости внедрению, является репрезентативным только на уровне ила. От уровня ила и ниже всасывание будет постепенно уменьшаться с глубиной, в зависимости от трения "грунт - юбка" в пространстве юбки. Всасывание между уровнем ила и уровнем нижнего конца юбки в целом будет иметь нелинейную вариацию, медленно уменьшающуюся с глубиной возле уровня ила и более выраженным образом, вблизи уровня нижнего конца юбки, где трение "грунт - юбка" обычно больше. Внутренние ребра жесткости, дополнительные фрикционные пластины и профили трения в конструкции юбки могут влиять на изменение всасывания с глубиной, с отклонением от этого общего контура изменений. В слоистом грунте особое внимание следует уделять градиенту порового давления по глубине во время установки. Изменение всасывания с глубиной ниже морского дна имеет отношение к расчету на продольный изгиб юбок во время внедрения путем всасывания. Отмечается, что всасывание на морском дне является движущей силой внедрения юбки, тогда как в случае песка всасывание вдоль стенок юбки ниже морского дна будет влиять на эффективные напряжения и, следовательно, сопротивляемость внедрению.
10.3.6.5 Подводная конструкция или конструкция опорного блока, состоящая из нескольких отдельных фундаментов юбочного типа, может быть выровнена путем приложения давления в пустоты между опорным башмаком и грунтом. Операция выравнивания будет вызывать дополнительные силы противодействия в грунте, что обеспечит силы защемления в конструкции. Операция выравнивания должна быть спланирована с учетом всех соответствующих расчетных требований. Рекомендации по оценке состояния выравнивания приведены в
[7].
10.3.7 Удар при посадке на морское дно
10.3.7.1 Цель оценки посадки на морском дне заключается в том, чтобы гарантировать, что во время посадки не будет иметь место отказ фундамента и что не произойдет повреждение в чувствительном к ускорению оборудовании. При посадке на песчаном дне следует учитывать необходимость избегать обширного размывания песка под плоскими фундаментами, не имеющими юбки, и избегать разрушения грунта вокруг юбок, что может помешать применению всасывания, когда это необходимо для внедрения.
10.3.7.2 Реакции на удар при опускании фундамента юбочного типа на посадку и после него на протяжении всей последующей фазы внедрения зависят от таких величин, как:
- скорость посадки;
- жесткость монтажного троса;
- геометрия и размеры фундамента;
- масса фундамента, включая массу конструкции, поддерживаемой фундаментом, и захваченную массу грунта в пределах возможных юбок;
- присоединенная масса воды;
- вес фундамента в погруженном состоянии, включая погруженный вес конструкции, поддерживаемой фундаментом, в погруженном состоянии;
- площадь для водоотвода;
- несущая способность грунта;
- сопротивляемость внедрению юбки.
Для подводной конструкции с несколькими связанными идентичными фундаментами массу и вес в погруженном состоянии поддерживаемой конструкции допускается считать равномерно распределенными между фундаментами, а воздействие посадки допускается проанализировать и оценить как для одного фундамента.
10.3.7.3 При воздействии ударных реакций при посадке и внедрении фундамент юбочного типа не должен испытывать потери вертикальной глобальной несущей способности грунта или потери локальной несущей способности вокруг периферии юбки. В частности, когда другие потенциальные контрольные параметры не могут быть изменены после того, как они были зафиксированы в результате процесса проектирования, ключом, чтобы избежать неравномерной осадки фундамента при посадке, является контроль за посадкой и областью для сброса воды.
10.3.7.4 Рекомендации и методология моделирования фазы посадки приведены в
[7]. Стандарт предоставляет подробный подход, учитывающий все элементы, перечисленные в
10.3.7.2, а также ряд упрощенных консервативных подходов.
10.3.7.5 При посадке на твердом дне, где устойчивость фундамента не является проблемой, замедление может быть значительным и должно оцениваться с учетом возможных ограничений для подводного оборудования. Скорость посадки и вертикальная жесткость фундамента являются определяющими параметрами (см.
[7]).
10.3.7.6 При посадке на песчаном дне местное вымывание грунта у края фундамента и вымывание грунта вокруг юбок почти неизбежны, за исключением случаев, когда скорость опускания очень низкая, а площади для водоотвода через опорную поверхность фундамента велики. Следует избегать открытых усадочных каналов до конца внедрения, особенно если требуется окончательное внедрение с помощью всасывания. Процесс подпочвенного размыва является сложным, и невозможно проанализировать его с достаточной точностью. Он включает в себя первоначальное вымывание грунта и перенос частиц по горизонтали на морском дне. По мере увеличения внедрения перенос частиц влечет за собой вертикальный подъем, требующий более высоких скоростей. Подпочвенный размыв с большей вероятностью будет проходить в локальных позициях по периферии, соответствующих углубленным впадинам морского дна, тогда как вдоль остальных частей периферии сопротивляемость внедрению будет постепенно нарастать и заставлять размыв останавливаться на какой-то стадии. Как представляется, нет надежного метода анализа этого процесса, поэтому следует искать эмпирические данные и использовать их для оценки потенциала подпочвенного размыва и вымывания грунта. Обследования после установки необходимы как основа для принятия решения о необходимости смягчения последствий.
10.3.7.7 Избыточное давление, состоящее из гидродинамических давлений внутри полости юбки во время посадки, может использоваться для оценки конструктивного исполнения для обеспечения достаточной надежности конструкции на этапе посадки.
10.3.8 Извлечение с помощью избыточного давления
10.3.8.1 Избыточное давление в полости юбки допускается использовать для извлечения конструкции, например, при выводе из эксплуатации. Суммарная сила, которую требуется преодолеть, представляет собой сумму погруженных грузов и сопротивляемость грунта. Для немедленного извлечения после монтажа может быть применено такое же трение на юбке, как предполагалось для установки.
10.3.8.2 Требуемое избыточное давление для извлечения будет увеличиваться со временем после монтажа, и поэтому необходимо должным образом произвести настройку с учетом эффектов тиксотропии и уплотнения для оценки этого избыточного давления.
10.3.9 Критическое давление
10.3.9.1 В глинах критическое всасывание при внедрении путем всасывания или избыточное давление для извлечения определяется как избыточное давление всасывания в полости юбки, которое может вызвать глобальное оседание грунта на уровне нижнего конца юбки. Когда применяется всасывание, это рассматривается как обратная опорная поверхность нижнего конца, где грунт всасывается в кессон вместо того, чтобы кессон проникал дальше в морское дно. И наоборот, превышая критическое избыточное давление во время извлечения, грунт может быть вытолкнут вместо дальнейшего поднятия конструкции.
10.3.9.2 Избыточное давление или всасывание могут применяться в полости юбки до тех пор, пока критическое давление не будет превышено.
10.3.9.3 Для фундамента юбочного типа в глине критическое значение всасывания или избыточное давления ucrit может быть рассчитано как

(78)
где Anet - чистая площадь фундамента;
su - эквивалентная изотропная прочность на сдвиг недренированного грунта ниже подошвы фундамента;
Nc - коэффициент запаса по несущей способности;
Qfi - сопротивляемость из-за трения на стенах юбки внутри полости юбки;

- коэффициент запаса по материалу.
10.3.9.4 В песке критическое всасывание во время монтажа - это давление всасывания, которое даст гидравлический градиент, равный критическому гидравлическому градиенту:

, (79)
где

- удельный вес воды;

- удельный вес водонасыщенного песка.
Когда гидравлический градиент приближается к критическому градиенту внутри полости юбки, может возникнуть отказ гидросистемы. При оценке гидравлического градиента следует иметь в виду следующие закономерности:
- сопротивляемость нижнего конца юбки и внутреннее трение юбки будут значительно уменьшены, так как гидравлический градиент приближается к критическому градиенту;
- внешнее трение юбки будет увеличиваться из-за повышенных эффективных горизонтальных напряжений на поверхности взаимодействия "грунт - юбка" во время установки. Повышенные грунтовые нагрузки связаны с гидравлическим градиентом за пределами юбки и взаимодействием между трением юбки и увеличением вертикальных напряжений грунта;
- соотношение между гидравлическим градиентом внутри и снаружи полости юбки будет зависеть от геометрии фундамента и глубины внедрения;
- проницаемость грунта внутри полости юбки может увеличиться из-за изменения объема песка во время фазы внедрения путем всасывания. Это может повлиять на соотношение между гидравлическим градиентом внутри и снаружи полости юбки.
10.3.9.5 Во время монтажа следует учитывать несущую способность как фундамента, так и сооружения. Разрушающая способность фундамента может потребовать детального расчета взаимодействия "грунт - конструкция", требующего свойств грунта, характерных для рабочей площадки. Свойства грунта, используемые для этого расчета, должны быть репрезентативными для характеристик грунта в рамках рассматриваемого конкретного состояния. Нагрузки, которые следует учитывать при расчете взаимодействия, должны быть определены исходя из расчета характерной для данной площадки установки. Нагрузки будут включать как дифференциальное давление воды, так и дифференциальное давление грунта.
10.3.9.6 Всасывание будет ограничиваться пределом возникновения кавитации и мощностью насоса.
10.3.10 Прочие вопросы
10.3.10.1 Необходимо оценить смещение грунта вследствие внедрения юбки. Для любой конструкции, оснащенной юбками, внедрение периферийных юбок и любых внутренних юбок приведет к внутреннему вздутию внутренней пробки грунта из-за движения грунта в отсек фундамента, ограниченный юбками. Вспучивание грунта более выражено при монтаже с помощью всасывания, чем при внедрении за счет собственного веса. Как показывает опыт, для прогнозирования вспучивания грунта допускается 50% перемещенного объема грунта принять в качестве движения грунта внутрь полости юбки при внедрении за счет собственного веса, в то время как 100%-ное движение грунта внутрь может быть принято при внедрении всасыванием.
10.3.10.2 Вакуумные сваи, используемые для анкеровки, иногда снабжены ребрами жесткости по конструктивным причинам. Такие кольцевые ребра жесткости усложняют оценку сопротивляемости внедрению, и их влияние на сопротивляемость внедрению необходимо оценивать с должной осторожностью.
10.3.10.3 Процедура монтажа с использованием меняющегося давления разрежения и избыточного давления в полости юбки во время установки оказалась успешной для ряда морских платформ. Циклическое чередование давления в полости юбки может оказать благоприятное влияние на сопротивляемость внедрению, что допускается учитывать при его оценке.
10.3.10.4 При монтаже предполагается, что грунт полностью переформировывается во время внедрения юбки. Если монтаж приостановлен и на некоторое время задерживается, то во время остановки может происходить временное уменьшение внутреннего трения из-за эффектов тиксотропии и/или эффектов уплотнения. В случае необходимости такие эффекты следует принимать во внимание и учитывать при прогнозировании сопротивляемости внедрению.
11 Взаимодействие "грунт - конструкция"
11.1.1 Взаимодействие между конструкцией и грунтом через элементы конструкции фундамента, такие как опорная плита и юбка GBS или опорные сваи фундамента каркасной конструкции, влияет на несколько аспектов реакции конструкции, например:
- глобальная реакция динамически чувствительных сооружений, где жесткость фундамента может сильно влиять на реакцию;
- контактные напряжения между грунтом и элементами конструкции, определяемые жесткостью и прочностью грунта и жесткостью конструкции;
- осадки GBS, которые в основном определяются жесткостью грунта и характеристиками уплотнения, а также жесткостью конструкции, геометрией и водопроницаемостью конструктивных элементов фундамента. Это особенно применимо к GBS с юбками глубокого заложения;
- внутренние напряжения и смещение свай и конструктивных элементов стального фундамента на сваях, определяемых прочностью грунта и жесткостью свай и конструкции.
11.1.2 Глобальная жесткость фундамента и контактные напряжения на элементах конструкции фундамента более подробно рассматриваются в 11.2 и
11.3. Осадка фундамента рассматривается отдельно в
разделе 9.
11.2 Глобальная динамическая жесткость фундаментов гравитационного типа и других фундаментов мелкого заложения или внедренных фундаментов
11.2.1 Общие положения
11.2.1.1 Глобальная жесткость фундамента и, в общем случае, комплексная сопротивляемость фундамента (жесткость, выраженная в терминах комплексных чисел) должны определяться как основа для прогнозирования динамической реакции конструкции на волновую, ветровую или сейсмическую нагрузку. Комплексная сопротивляемость фундамента, из которого реальный член интерпретируется как жесткость, а мнимый член - как демпфирование, зависит от частоты. Эта частотная зависимость должна учитываться в соответствующих случаях, особенно это важно при прогнозировании динамической реакции конструкции в результате колебаний грунта при землетрясениях.
11.2.1.2 Жесткость фундамента зависит от жесткости и прочности грунта и от жесткости элементов конструкции фундамента. В идеале грунт следует моделировать и рассчитывать совместно с конструкцией при помощи комплексного метода анализа, используя нелинейную модель грунта. Для этой цели в качестве основного подхода для оценки жесткости фундамента рекомендуется выполнение расчетов МКЭ.
11.2.1.3 Допускается использовать упрощенные подходы. Допустимая степень упрощения зависит от чувствительности циклической реакции к изменениям жесткости и демпфирования. Следует продемонстрировать, что в диапазоне неопределенностей, связанных с выполненными анализами или расчетами, критической реакции возникать не будет.
11.2.2 Расчет для определения динамической жесткости фундамента
11.2.2.1 При динамическом расчете придонного кессона с одной или несколькими колоннами масса придонной конструкции часто сосредоточена в одной точке, соединенной с множеством опорных упругих элементов или матрицей жесткости, представляющей жесткость фундамента. Поэтому важно, чтобы гибкость структуры морского дна включалась в это представление жесткости фундамента, для чего необходимо выполнять локальный расчет МКЭ конструкции фундамента с прилегающим грунтом.
11.2.2.2 Следует учитывать трехмерные эффекты на жесткость фундамента. В случае проведения двухмерных расчетов результирующие жесткости должны быть скорректированы с учетом истинной трехмерной геометрии.
11.2.2.3 В качестве альтернативы выполнению трехмерного расчета конструкции придонного фундамента с нелинейной моделью грунта допускается использовать двухмерный или осесимметричный расчет с адекватной эквивалентной моделью конструкции придонного фундамента и нелинейной моделью грунта. Получающиеся в результате эквивалентные жесткости фундамента могут использоваться для моделирования грунта в линейном расчете с истинными трехмерными геометриями.
11.2.2.4 Используемая нелинейная модель грунта должна быть способна должным образом учитывать снижение жесткости из-за циклического нагружения. Способы учета при проектировании влияния циклических нагрузок на свойства грунта представлены в
разделе 12.
11.2.2.5 Демпфирование фундамента может включать демпфирование материала грунта и геометрическое демпфирование (радиационное демпфирование). Для грунта отношения демпфирования материала, связанные с циклической деформацией сдвига, следует устанавливать на основе характерных для конкретного участка испытаний и/или соответствующих обоснованных опытных данных. Демпфирование грунта на уровне элемента грунта рассматривается в
11.4.
11.2.2.6 Динамический расчет должен давать представление о частотно-зависимых параметрах фундамента: жесткости и демпфирующей способности. Частотная зависимость жесткости фундамента на низких частотах часто может быть представлена комбинацией статической жесткости и добавленной массы грунта для различных режимов движения. Демпфирование может быть смоделировано элементом имитации вязкости путем подгонки к частотно-зависимой кривой в интервале частоты, представляющем основной интерес. Если структурный динамический расчет основан на наложении форм колебаний, относительный коэффициент демпфирования для фундамента, выраженный как доля критического демпфирования, должен быть рассчитан для каждого из структурных режимов. Доля демпфирования фундамента в демпфировании колебаний всей динамической системы должна быть взвешена в соответствии с количеством энергии, поступающей в фундамент, относительно количества энергии, поступающей в конструктивные элементы для каждого конкретного режима.
Для динамических расчетов штормовых условий фундамент часто может быть адекватно представлен набором опорных упругих элементов, если это необходимо, в сочетании с относительным коэффициентом демпфирования, соответствующим только демпфированию материала грунта.
11.2.2.7 В зависимости от чувствительности динамической реакции конструкции на моделирование фундамента могут использоваться доступные решения для упрощенных условий. Такие решения рассматриваются в 11.2.3.
11.2.3 Жесткость и демпфирование фундамента для идеальных условий
11.2.3.1 При определенных обстоятельствах может оказаться целесообразным рассчитать характеристики жесткости фундамента, основанные на доступных формулировках для идеализированных условий. Таковыми являются следующие обстоятельства:
- динамическая реакция мало чувствительна к изменениям характеристик жесткости фундамента;
- грунт однороден, нелинейные эффекты контролируются путем учета зависимости модуля сдвига грунта от уровня деформации или напряжения, планировка фундамента представляет собой круг или имеет другую правильную форму, а конструкция фундамента является относительно жесткой;
- приблизительные значения необходимы на ранней стадии проектирования.
Даже когда проводится более подробный анализ для определения характеристик жесткости фундамента, необходимо провести простые вычисления для идеализированных условий, чтобы продемонстрировать вероятность того, что результаты детального расчета находятся в пределах ожидаемого диапазона.
11.2.3.2 При условии, что фундамент круглый и опирается на поверхность грунта, которая считается жесткой, когда условия грунта являются однородными, эквивалентный модуль сдвига
G определен и репрезентативен для задействованного объема грунта и для преобладающего уровня деформации в грунте, жесткость фундамента может быть определена упрощенным способом на основе решений теории упругости. Существуют также решения, которые учитывают одно или несколько из следующих отклонений от идеализированных условий, перечисленных в
11.2.3.1:
- грунты с линейно увеличивающимся модулем сдвига или скоростью сдвига, слоистые грунты или другие неравномерности;
- внедренные фундаменты;
- различные геометрии подошвы фундамента;
- гибкие конструкции фундамента.
В большинстве случаев ни одно из доступных решений полностью не соответствует всем актуальным характеристикам, связанным с жесткостью грунта или геометрией и жесткостью фундамента. Поэтому всегда следует оценивать, соответствие каких характеристик наиболее важно. Эффекты отклонений от выбранной модели допускается оценить из других моделей, которые учитывают такие отклонения. Однако следует учитывать, что различные параметры могут быть взаимосвязаны таким образом, что это усложняет корректировку отклонения модели.
11.2.3.3 Решения для жестких кольцевых фундаментов, опирающихся на упругое полупространство, приведены в таблице 4, где показаны жесткости опорных упругих элементов, коэффициенты демпфирования, относительная масса, относительное демпфирование и эффективные массы грунта для различных режимов движения.
Таблица 4
Коэффициенты упругости и демпфирования, относительная
масса, степень демпфирования и эффективная масса грунта
для жесткого кольцевого фундамента, опирающегося
на поверхность упругого полупространства
Режим движения | Жесткость опорного упругого элемента, K | Коэффициент демпфирования, c | Относительная масса, B | Степень демпфирования,  | Эффективная масса грунта |
Вертикальное (z) | | | | | |
Горизонтальное (x) | | | | | |
Возвратно-поступательное  | | | | | |
Крутящее  | | | | | |
R - радиус фундамента; M - масса фундамента; G,  и  - модуль сдвига, коэффициент Пуассона и плотность массы упругого полупространства; Bz, Bx,  ,  - относительная масса в соответствующих режимах движения;  ,  - момент инерции массы фундамента при повороте вокруг горизонтальной и вертикальной оси соответственно. |
Жесткость соответствует статической жесткости.
Эффективную массу грунта следует рассматривать как средство для имитации снижения жесткости с увеличением частоты, т.е. не как идентифицируемую массу грунта, которая физически перемещается синхронно с фундаментом.
11.2.3.4 Если демпфирование материала фундамента должно имитироваться коэффициентом вязкого демпфирования, оно должно быть подстроено к основным частотам (основным режимам) с помощью следующего соотношения:

, (80)
где c - коэффициент демпфирования;

- степень демпфирования грунтового основания;
K - жесткость опорного упругого элемента;

- частота основного режима.
11.2.3.5 В качестве дополнения к жесткости, приведенной в
таблице 4, для жестких кольцевых фундаментов, расположенных на поверхности упругого полупространства, в
таблице 5 и в
таблице 6 приведены выражения для жесткости фундамента для следующих условий закладки фундамента:
- фундамент на поверхности пласта конечной толщины над подстилающим грунтом;
- фундамент на поверхности пласта конечной толщины над упругим полупространством, при условии, что верхний слой менее жесткий, чем лежащее ниже упругое полупространство;
- фундамент, внедренный в пласт конечной толщины над подстилающим грунтом.
Таблица 5
Жесткость опорного упругого элемента для жесткого
кольцевого фундамента на пласту над подстилающим грунтом
или на пласту над полупространством
| На пласту над подстилающим грунтом | На пласту над полупространством |
| | |
Режим движения | Жесткость фундамента | Жесткость фундамента |
Вертикальное |  , где H/R > 2 |  , где 1 <= H/R <= 5 |
Горизонтальное |  , где H/R > 1 |  , где 1 <= H/R <= 4 |
Возвратно-поступательное |  , где 1 < H/R < 4 |  , где 0,75 <= H/R <= 2 |
Крутящее |  , где H/R > 1,25 | Не предоставлено |
Таблица 6
Жесткость опорного упругого элемента для жесткого кольцевого
фундамента, внедренного в пласт над подстилающим грунтом
Диапазон допустимых значений D/R < 2 D/H < 1/2 |
Режим движения | Жесткость фундамента |
Вертикальное | |
Горизонтальное | |
Возвратно-поступательное | |
Крутящее | |
Примечание - Заметим, что справедливость выражений в
таблице 5 ограничена указанными диапазонами для
H/
R. В общем случае для
H/
R < 1 выражений не существует.
Однако для
H/
R < 2 или 1, смотря что применяется, выражения в
таблице 5 для опор на пласту над подстилающим грунтом все равно будут обеспечивать адекватные оценки фактических статических жесткостей.
Отметим, что в указанных пределах выражения в
таблицах 5 и
6 приближаются к выражениям жесткости фундамента для кольцевых опор, опирающихся на поверхность упругих полупространств, приведенных в
таблице 4.
11.3 Реакции грунта на элементы конструкции фундамента
11.3.1 Общие положения
Реакция грунта на любой элемент конструкции зависит от жесткости и прочности конструкции и от прочности и жесткости грунта. Обычно конструкция считается упругой, тогда как для грунта важно учитывать нелинейные характеристики "напряжение - деформация". Последнее зависит не только от характеристик грунта, но и от схемы нагрузок и отличается при длительных и кратковременных нагрузках, для которых грунт ведет себя как недренированный. Это следует учитывать при расчете реакций грунта. Время полного дренирования может варьироваться от нескольких секунд до нескольких лет в зависимости от состояния грунта, размера фундамента и возможного дренирования в грунте и фундаменте. Эти временные аспекты должны приниматься во внимание.
11.3.2 Реакции фундамента для свайных конструкций
11.3.2.1 Для конструкций со свайными фундаментами реакции свай предпочтительно следует определять из комплексного расчета свайного фундамента и конструкции. Нелинейности грунта могут быть учтены путем моделирования свай как упругих балок, поддерживаемых опорными упругими элементами с нелинейными характеристиками.
11.3.2.2 Нелинейные боковые опорные упругие элементы (кривые
p-
y) рассматриваются в
разделе 6 и
приложении Б. Осевые нелинейные опорные упругие элементы для имитации задействования поверхностного трения (кривые
t-
z) и сопротивляемости нижнего конца сваи (кривые
q-
z) могут быть выбраны в соответствии с признанной практикой (см.
приложение А). Для относительно длинных свай допустимы билинейные кривые
t-
z при условии, что максимальная сопротивляемость возникает при прогибе приблизительно на 0,5% диаметра сваи. Для сваи с большой долей несущей способности, принимаемой за сопротивляемость нижнего конца сваи, следует стремиться к хорошему представлению кривой
t-
z. Допускается отклонение от 5% до 10% диаметра сваи для достижения максимальной сопротивляемости нижнего конца сваи. Начальная жесткость для кривой
q-
z может быть рассчитана из теории упругого полупространства.
11.3.2.3 Комплексный расчет конструкции и системы свай может быть решен итерационно с использованием метода суперэлементов, чтобы уменьшить размер проблемы. Если взаимодействие не решается одним комплексным расчетом, матрицы жесткости сваи рассчитывают на основе расчета системы свай, которые будут использоваться в качестве входных данных для расчета конструкций. Для учета нелинейности грунта расчет свай для получения матриц жесткости сваи следует выполнять при типичном уровне нагрузки. Следует продемонстрировать совместимость между расчетом конструкций и расчетом свайного фундамента, например, применив силы оголовка сваи, полученные из расчета конструкций, в качестве входных данных для расчета свайного фундамента и сравнив полученные отклонения.
11.3.2.4 При расчете свай следует учитывать взаимодействие отдельных близко расположенных свай, т.е. кустовые эффекты, см.
6.5.
11.3.3 Реакции грунта для кессонной конструкции
11.3.3.1 В идеале глобальный расчет кессонной опорной части фундамента должен выполняться как комплексный расчет конструкции и грунта одновременно, например с применением МКЭ. Если выполнение расчета МКЭ является нецелесообразным, например из-за большого размера анализируемой модели, может потребоваться проведение локального расчета с определением реакции грунта на нагрузки для использования в последующем глобальном расчете.
11.3.3.2 Реалистичное распределение контактных напряжений по всем частям фундамента (например, подошвы фундамента и юбки) должно быть достигнуто для всех компонентов соответствующих типов нагрузок, охватывая все этапы. При определении реакций грунта необходимо учитывать следующее:
- структурную гибкость фундамента, в том числе глобальную гибкость кессона с юбками и локальную гибкость юбки и опорной плиты;
- нелинейные характеристики "напряжение - деформация" для грунта и изменение их во времени;
- эффекты монтажа.
11.3.3.3 Следующие типы реакций грунта уместны для рассмотрения в качестве основы для определения реакции грунта на варианты нагрузки;
- реакции, вызванные статическими массами тела в воде в дренированном и/или недренированном состоянии соответственно;
- реакции, обусловленные любым компонентом глобальной нагрузки окружающей среды;
- внутренние реакции грунта, не имеющие отношения к глобальным силам.
Для каждого типа реакции грунта следует установить распределение реакции грунта относительно любого из элементов конструкции, контактирующего с грунтом, например разделение вертикальной реакции на реакции опорной плиты, сопротивляемость нижнего конца юбки и трение стенки юбки, и как эти компоненты реакций изменяются по площади фундамента и со временем после установки. Из-за неопределенностей в распределении реакций, возникающих в результате неопределенностей в жесткости конструкции, жесткости грунта и процедурах анализа, может потребоваться, чтобы для одного и того же компонента нагрузки рассматривалось более одного решения для распределения реакции. Различные решения для распределения могут иметь решающее значение для различных аспектов проектирования строительных конструкций.
11.3.3.4 Сложность определения реакций грунта варьируется главным образом в зависимости от сложности геометрии опорной части фундамента и юбок, важности и сложности фактора гибкости конструктивных элементов фундамента и важности хорошего представления нелинейностей грунта. Один из способов уменьшения сложности расчета состоит в том, чтобы изначально провести анализ с нелинейным грунтом на основе упрощенной модели конструкции фундамента. Полученные модули сдвига грунта могут использоваться для расчета упругости с более подробной структурной моделью.
11.3.3.5 Одним из видов реакций грунта, которые при объединении не обеспечивают какой-либо глобальной силы, является горизонтальное давление грунта на юбки, возникающее при вертикальной нагрузке на опорную конструкцию. Это давление является самым высоким для полностью недренированных условий нагрузки, при которых следует учитывать изотропное давление.
Точно так же внедрение юбок во время установки может привести к высоким горизонтальным давлениям на юбки. Эти давления могут быть определены из расчетов горизонтальных давлений грунта при отказе, из моделей упругопластического анализа или теорий расширения полостей, которые наиболее востребованы в каждом случае. Толщина юбок и ограничения соседними юбками должны приниматься во внимание.
При проектировании строительных конструкций важно учитывать разницу в давлениях с одной и другой стороны юбок, особенно с обеих сторон периферийных юбок. Давление, вызванное внедрением юбки, в основном представляет собой поровое давление. В данном контексте всасывание во время установки является проблемой, которую необходимо принимать во внимание.
11.3.3.6 Перепады давления от одной стороны к другой стороне юбки могут уменьшаться, когда юбка является гибкой, а не жесткой. Такие сокращения разностей давлений из-за гибкости юбки должны быть надлежащим образом обоснованы, если они учитываются при проектировании.
11.4 Выбор модуля сдвига и характеристик демпфирования
11.4.1 Общие положения
11.4.1.1 Насколько это возможно, выбор модуля сдвига и характеристик демпфирования должен основываться на исследованиях грунта для конкретной площадки. Когда данных из таких исследований не хватает, выбор модуля сдвига и характеристик демпфирования может основываться на корреляциях идентифицирующих свойств и условий напряжений на месте работ из опубликованных эмпирических данных, как указано в
11.4.2 и
11.4.3. Эти корреляции могут также применяться в качестве дополнения к данным, основанным на исследованиях грунта на месте работ.
11.4.1.2 В
11.4.2 и
11.4.3 предлагаются модели и рекомендации для выбора следующего:
- модуль сдвига при малых деформациях Gmax;
- зависимое от циклической деформации уменьшение модуля сдвига;
- демпфирование материала, зависящее от циклических деформаций.
Использование зависимых от деформации модулей сдвига и демпфирования материала особенно характерно для расчета реакции площадки в сейсмическом районе, в котором нелинейность учитывается путем итерационного обновления жесткости и демпфирования. Следует проявлять осторожность при применении рекомендованных моделей в случае существенных деформаций.
11.4.1.3 Для взаимодействия между конструкцией и грунтом модели упругого грунта следует использовать с осторожностью. При использовании моделей упругого грунта следует учитывать изменения модуля сдвига при малых деформациях в объеме грунта, подверженного действию нагрузки. Следует также учитывать уровень циклических деформаций при сдвиге и соответствующее уменьшение жесткости при сдвиге, которое будет варьироваться в зависимости от объема грунта. Могут иметь значение итерационные исследования, в которых жесткость сдвига обновляется в соответствии с происходящей деформацией. Когда требуются более надежные прогнозы динамической жесткости фундамента, следует выполнять расчет МКЭ с использованием нелинейных моделей грунта, описанных в
разделе 12.
11.4.2 Модуль сдвига и демпфирование для глины
11.4.2.1 В глине модуль сдвига Gmax при малых деформациях (менее 10-6) может быть рассчитан в соответствии с выражением

, (81)
где suD - прочность недренированного грунта на прямой сдвиг;
Ip - индекс пластичности;
OCR - коэффициент переуплотнения.
Исходные данные на рисунке 22 демонстрируют большой разброс, и представленные функциональные соотношения являются общими для широкого диапазона значений OCR. Поэтому функциональные зависимости, представленные на рисунке 22, следует использовать с осторожностью, особенно при больших деформациях, при которых подразумеваемым эффектом OCR могут быть чрезмерные напряжения сдвига и при которых важно убедиться, что не будут достигнуты напряжения сдвига, превышающие прочность на сдвиг. Основываясь на прочности на сдвиг suD, модуле сдвига при малых деформациях Gmax и отношении G/Gmax с циклической деформацией сдвига, следует проверить соответствующее циклическое напряжение сдвига и в случае необходимости надлежащим образом модифицировать кривую G/Gmax для больших деформаций.
Рисунок 22 - Зависимое от деформации уменьшение
модуля сдвига для глины
Отмечено, что отношение G/Gmax уменьшается с увеличением числа циклов напряжений. Это отражено на рисунке 23, поскольку циклическая деформация сдвига возрастает с увеличением числа циклов напряжения.
Рисунок 23 - Демпфирование составляющих грунта,
зависящее от деформации, для глины
11.4.3 Модуль сдвига и демпфирование для песка
11.4.3.1 Модуль сдвига в песке сильно зависит от уровня эффективного напряжения и плотности песка. Плотность может быть представлена относительной плотностью или, альтернативно, пористостью или коэффициентом пористости.
11.4.3.2 Следующее выражение может быть применено для оценки модуля сдвига при малых деформациях
Gmax по среднему эффективному напряжению и относительной плотности:

, (82)
где Dr - относительная плотность в %;

- среднее эффективное напряжение;

- атмосферное давление.
11.4.3.3 Применяя коэффициент пористости для характеристики плотности песка, допускается использовать следующее альтернативное выражение для
Gmax:

. (83)
11.4.3.4 Два выражения, в
11.4.3.2 и
11.4.3.3, дают весьма сопоставимые оценки показателя
Gmax, несколько зависящие от значений максимального и минимального коэффициентов пористости:
emax и
emin, которые используются при связывании относительной плотности
Dr с коэффициентом пористости
e.
Рисунок 24 - Зависимое от деформации уменьшение
модуля сдвига для песка
Рисунок 25 - Зависящее от деформации демпфирование
материала для песка
11.4.4 Модуль сдвига для ила
При определении G/Gmax для ила последний допускается рассматривать как глину с очень низким индексом пластичности.
11.5 Расчет методом конечных элементов
11.5.1 Общие положения
11.5.1.1 Проблемы взаимодействия "грунт - конструкция" могут быть рассчитаны с использованием методов конечных элементов (МКЭ). Преимущества использования расчетов МКЭ для этой цели включают:
- возможность осуществления точного представления поведения грунта с использованием передовых упругопластических моделей грунта;
- возможность включения любого количества слоев грунта с различными свойствами грунта;
- возможность представления в модели основных структурных элементов с реалистичными свойствами материала;
- возможность реалистичной оценки реакций для большого разнообразия геометрий и диапазона условий нагружения;
- возможность более подробной, по сравнению с упрощенными методами, оценки распределения контактного напряжения между грунтом и элементами конструкции;
- возможность рациональной оценки условий дренирования грунта до и после анализа (дренированное поведение против недренированного поведения, частично дренированное поведение и водопроницаемость - ключевые слова в этом контексте);
- возможность визуализации и документирования полученных деформаций грунта и структурных отклонений надлежащим образом.
11.5.1.2 Расчет МКЭ может использоваться для всех проблем взаимодействия "грунт - конструкция", например:
- получить жесткость фундамента для статических и динамических условий нагружения;
- оценить контактные напряжения между грунтом и элементами фундамента;
- проанализировать силы реакции конструкции;
- проанализировать влияние свойств конструкции (например, степень гибкости и способность перераспределять нагрузки) на достижимую несущую способность грунта;
- анализировать степень дренажа во времени.
11.5.1.3 Модели МКЭ для анализа осадки грунта рассматриваются отдельно в
разделе 9.
11.5.1.4 При создании модели МКЭ необходимо сделать ряд допущений. Влияние допущений следует исследовать и оценивать. Допущения модели включают конструктивные упрощения, представление условий нагрузки и представление поведения грунта.
11.5.2 Условия нагружения
11.5.2.1 Условия нагружения следует учитывать при выборе модели грунта и соответствующих свойств материала в модели МКЭ. В частности, это означает, что:
- следует учитывать репрезентативные эффекты скорости для свойств грунта, когда грунт подвергается воздействию ударных нагрузок;
- следует учитывать влияние циклической нагрузки и связанных с ней статических и циклических накопленных деформаций на прочность грунта;
- обычно для дренированных условий следует использовать постоянные нагрузки;
- для использования на этапах разгрузки и повторной нагрузки следует выбирать модель материала, которая фиксирует реалистичное поведение при разгрузке и повторной нагрузке соответственно.
11.5.2.2 Для циклического нагружения модель материала должна определяться либо на основе полной циклической реакции, в том числе усредненного недренированного напряжения сдвига и циклического недренированного напряжения сдвига и соответствующих деформаций сдвига, либо только на основе циклической реакции грунта в зависимости от цели анализа. Более подробную информацию о циклической нагрузке и моделировании эффектов циклической нагрузки см. в
разделе 12.
11.5.3 Свойства материала
11.5.3.1 Свойства материала следует определять на основе соответствующих испытаний грунта. Качество испытаний грунта следует оценивать и при необходимости корректировать. Если количество соответствующих испытаний грунта ограничено, свойства материала допускается оценить, дополнив имеющиеся результаты испытаний имеющимися корреляционными зависимостями с классификационными характеристиками.
11.5.3.2 Когда нелинейности, связанные с большими смещениями, должны изучаться с помощью модели МКЭ, нелинейности могут быть явно представлены в модели МКЭ, или основные большие смещения могут быть смоделированы с помощью статического анализа. Следует оценить ограничения моделирования для конкретного расчета. Нелинейные эффекты большого смещения встречаются в ряде ситуаций, в том числе:
- изменения граничных условий, таких как изменения площади контактной поверхности, из-за больших смещений;
- зависящие от смещения нагрузки, такие как зависящие от смещения изменения в направлении нагрузки;
- большие деформации.
11.5.4 Сетка
11.5.4.1 Плотность дискретизированной сетки конечных элементов может влиять на расчет МКЭ реакций, особенно когда деформация грунта включает в себя локализованные режимы деформации. Поэтому при оценке результатов анализа следует проявлять осторожность. Это особенно важно, например, при оценке реакции свай, реакции грунта рядом с анкерными монтажными петлями и реакции грунта для расчета изгиба юбки.
11.5.4.2 Поскольку средний размер элемента обычно больше в трехмерных моделях, чем в двухмерных моделях, зависимость сетки в полученной реакции в целом более выражена для трехмерных моделей с их более низким разрешением сетки. Результирующая реакция может быть изменена для исправления таких эффектов сетки при условии наличия адекватного метода.
11.5.4.3 Алгоритмы численного решения и допуски сходимости могут влиять на реакцию, которая определяется в результате расчета МКЭ. Важно, чтобы используемые методы были проверены на достаточную точность. Выбранную постановку (представление конструкции, задание нагрузок и граничных условий) для решения задач методом МКЭ следует проверять на простых тестовых задачах для определения сеточной сходимости (зависимости результата от размера элемента) и на задачах, имеющих аналитическое решение.
12 Влияние циклической нагрузки
12.1.1 Общие положения
12.1.1.1 Влияние циклической нагрузки на свойства грунта, такие как прочность на сдвиг, всегда должны учитываться при геотехническом проектировании фундаментов на шельфе. Циклическая нагрузка обычно является следствием волновой и ветровой нагрузок, а также реакций на такие нагрузки.
12.1.1.2 Циклические напряжения сдвига могут приводить к постепенному увеличению порового давления. Такое нарастание порового давления и сопровождающее увеличение циклических и постоянных деформаций при сдвиге могут снизить прочность грунта на сдвиг. Эти эффекты необходимо учитывать при оценке нормативной прочности на сдвиг для использования при проектировании в рамках применимых категорий предельных состояний. Эти эффекты также необходимо учитывать при оценке циклических и постоянных смещений и кручений фундамента, что может иметь важное значение, например, для взаимодействия "грунт - конструкция".
12.1.1.3 В расчетных SLS-условиях эффекты циклической нагрузки на модуль сдвига грунта следует учитывать по мере необходимости, когда рассчитываются динамические движения, осадки фундамента и постоянные (долгосрочные) горизонтальные перемещения и кручения.
12.2.1 Управление изменением нагружения во времени
12.2.1.1 Влияние вызванной волной и ветром циклической нагрузки на свойства грунта, такие как прочность грунта, следует исследовать по необходимости. Для этого должна быть создана соответствующая история напряжений в грунте.
12.2.1.2 Для фундаментов сооружений, подверженных преобладающим волновым нагрузкам, обычно достаточно рассмотреть историю напряжений в результате одного шторма, который, как правило, является самым сильным штормом в расчетном сроке службы конструкции или специфичным расчетным штормом.
12.2.1.3 В сейсмически активных зонах, где система "конструкция - фундамент" может быть подвергнута сейсмическим ускорениям, отрицательные действия циклической нагрузки на свойства грунта следует оценивать для условий, характерных для конкретной местности, и учитывать при проектировании там, где это необходимо.
12.2.2 Представление истории напряжений
12.2.2.1 История амплитуд напряжений сдвига

может быть представлена как упорядоченная последовательность
n блоков напряжения с постоянной амплитудой с увеличением амплитуды от одного блока напряжений к следующему. Каждый блок напряжения содержит определенное количество циклов напряжений (
N) с одинаковой амплитудой

. История, как правило, является динамикой изменения напряжений, которые рассматриваемый элемент грунта будет испытывать в специфичных условиях сильного шторма. Однако иногда это может быть история, связанная с другими типами нагрузок, отличными от штормовой (см.
12.2.1.3). На рисунке 26 показан пример упорядоченной последовательности блоков напряжений постоянной амплитуды.
Рисунок 26 - Пример упорядоченной истории циклов
напряжения сдвига
12.2.2.2 Чтобы установить упорядоченную историю циклов напряжения сдвига в одном шторме, профиль шторма может использоваться в качестве начальной точки. Профиль шторма выражает высоту характерной волны
Hs как функцию времени примерно около времени
t = 0, где
Hs достигает максимума во время шторма. Максимальная высота характерной волны часто принимается за нормативную высоту характерной волны с точки зрения 100-летнего значения высоты характерной волны
Hs.
12.2.2.3 Простейшей моделью профиля шторма является идеализированный профиль (см. рисунок 27).
Рисунок 27 - Идеализированный профиль шторма
12.2.2.4 Профиль шторма может быть дискретизирован в последовательность постоянных состояний моря, т.е. интервалы постоянных высот характерной волны
Hs. С помощью функции спектральной плотности мощности для энергии волны и передаточной функции для перехода от амплитуды волны к амплитуде напряжения сдвига в грунте и с учетом узкополосной гауссовской реакции напряжения в грунте в таком интервале постоянной высоты характерной волны допускается установить кратковременное рэлеевское распределение амплитуд напряжений сдвига в грунте в этом интервале. Рэлеевские распределения амплитуд напряжений сдвига от всех постоянных интервалов
Hs в дискретизированном профиле шторма затем могут быть сгруппированы вместе для формирования распределения вероятностей всех амплитуд напряжений сдвига во время всего шторма. Это распределение может быть дискретизировано и отсортировано для формирования упорядоченной истории амплитуд напряжений сдвига, описанных в
12.2.2.2. Если реакция по напряжению в грунте не узкополосная, кратковременное распределение амплитуд напряжений сдвига в стационарном состоянии моря будет следовать распределению Райса, а не распределению Рэлея.
12.3 Накопление деформаций в связном грунте
12.3.1 Контурная диаграмма деформации
12.3.1.1 Для связного грунта, проявляющего себя недренированным для заданной циклической нагрузки, диаграмма деформации дает соотношение между числом циклов
N напряжения сдвига постоянной амплитуды

, необходимых для достижения амплитуды циклической деформации сдвига

. Общепринято нормализовать ось напряжения сдвига диаграммы деформации относительно прочности на сдвиг недренрованного грунта (
su). Это устанавливается из следующего. Пример диаграммы деформации показан на рисунке 28.

- отношение напряжения сдвига постоянной амплитуды
к прочности на сдвиг недренированного грунта
Рисунок 28 - Пример контурной диаграммы деформации
12.3.1.2 Контурные диаграммы деформации должны разрабатываться на основании ряда циклических лабораторных испытаний, выполняемых при различных уровнях напряжений, обеспечивая развитие деформации в зависимости от количества циклов. Пример результата такого испытания показан на рисунке 29. Испытания при разных уровнях напряжения имеют важное значение для разработки контурных диаграмм деформации.
Рисунок 29 - Пример результата циклического испытания
на сдвиг: деформация сдвига

относительно
количества циклов (N)
12.3.1.3 Для расчетных ситуаций, когда поведение грунта определяется нагружением, состоящим из комбинации средней и циклической нагрузок, циклическая нагрузка может вызвать увеличение как циклических, так и средних деформаций. В таких случаях лабораторные испытания проводят таким образом, чтобы было возможным разработать контурные диаграммы деформации, представляющие различные условия среднего напряжения сдвига.
12.3.1.4 Для многих связных грунтов для представления контурной диаграммы деформации допускается использовать следующее соотношение, основанное на гиперболическом частном случае общего вида отношений "напряжение - деформация":

. (84)
Поскольку амплитуды напряжения сдвига

нормализованы относительно прочности на сдвиг недренированного грунта
su, четыре коэффициента, от

до

, безразмерны.
12.3.1.5 Контурная диаграмма ожидаемой деформации используется в качестве нормативной диаграммы деформации для проектирования защиты от разрушения при циклическом нагружении. Диаграмма ожидаемой деформации может быть оценена по результатам лабораторных испытаний методом нелинейного регрессионного анализа. Диаграмма ожидаемой деформации, кроме этого, выражается через оценки коэффициентов
a1 -
a4, которые являются результатом регрессионного анализа. Для конкретного местоположения и грунта существуют различные диаграммы деформации в зависимости от того, является ли циклическая нагрузка чисто двунаправленным циклическим нагружением

, чисто однонаправленным циклическим нагружением (

и

) или гибридом (

и

), где

обозначает среднее напряжение сдвига, связанное с нагрузкой, а

- амплитуду напряжения сдвига.
12.3.1.6 Регрессия для установления оценок
a1 -
a4 должна проводиться на основе следующей модели для накопленной деформации

, установленной из выражения для контурной диаграммы деформации:

, (85)
где

- остаточная величина деформации

, соотносимая с
i-й тройкой данных (

,
Ni,

).
Где регрессия выполняется путем минимизации стандартного отклонения остаточной величины, рекомендуется, чтобы регрессионный анализ проводился с учетом предположения, что стандартное отклонение остаточной величины в накопленной циклической деформации сдвига

пропорционально квадратному корню из

.
12.3.1.7 Отмечается, что хотя контурная модель деформации
в 12.3.1.4 имеет широкий диапазон применений, существуют некоторые глины, для которых было бы нелегко подогнать поведение к гиперболической связи между амплитудой циклического напряжения сдвига и накопленной деформацией сдвига, подразумеваемой этой моделью. Это может иметь место для некоторых дилатантных глин.
12.3.2 Процедура расчета накопленной деформации в глине
12.3.2.1 Накопленная циклическая деформация сдвига, вызванная конкретной историей напряжений, например при шторме, может быть определена путем применения диаграммы деформации в сочетании с методом накопленной деформации. История напряжений упорядочивается как последовательность
n блоков напряжения постоянной амплитуды с увеличивающейся амплитудой (см.
12.2.2.2 и
рисунок 26). Обратите внимание, что на амплитуды напряжений в этом представлении истории напряжений не следует применять коэффициент надежности по нагрузке (см.
12.8.1.2).
12.3.2.2 С учетом количества циклов в первом блоке напряжений циклическая деформация сдвига после этого блока определяется непосредственно из контурной диаграммы деформации. Затем добавляются эффекты второго блока напряжения: инициирование этого блока напряжений дает мгновенное увеличение амплитуды деформации сдвига, зависящее от предыдущего уровня напряжения, нового уровня напряжения и текущего значения порового давления. Определение этого мгновенного приращения деформации рассматривается в
12.3.2.3 и
12.3.2.4. После того как это мгновенное приращение было добавлено для образования новой циклической деформации сдвига, соответствующее эквивалентное число циклов напряжений на уровне нового блока напряжений определяется по контурной диаграмме деформации. К этому числу добавляется количество циклов во втором блоке напряжений, и общая накопленная деформация после этого блока определяется по контурной диаграмме деформации. Эта процедура повторяется для остальных блоков напряжения, и деформация, определенная после
n-го блока напряжения, является, таким образом, конечной накопленной деформацией в результате всей истории нагружения. Процедура проиллюстрирована линией, показанной на контурной диаграмме деформации на рисунке 30.


- отношение напряжения сдвига постоянной амплитуды
к прочности на сдвиг недренированного грунта
Рисунок 30 - Контурная диаграмма деформации с отображением
линии накапливаемой деформации согласно методу
накопленной деформации
12.3.2.3 Мгновенное приращение деформации, вызванное увеличением амплитуды напряжений при переходе от одного блока напряжений к следующему в упорядоченной истории амплитуд напряжений, может быть рассчитано следующим образом: при наличии взаимосвязи, установленной из лабораторных испытаний циклической нагрузки, и выражении амплитуды деформации сдвига в зависимости от амплитуды сдвигового напряжения и порового давления мгновенное приращение деформации допускается рассчитать как разность между двумя деформациями, рассчитываемыми для двух участвующих амплитуд напряжений, если предположить, что поровое давление остается неизменным при увеличении амплитуды напряжения.
12.3.2.4 Если взаимосвязь между деформацией, напряжением и поровым давлением, как описано в
12.3.2.2, недоступна, мгновенное приращение деформации сдвига

может быть приблизительно оценено путем чистого изменения реакции циклической деформации сдвига для цикла
N = 1, следовательно:

(86)
где

и

- амплитуды напряжения сдвига старого и нового уровней напряжения соответственно при переходе от одного блока напряжений к следующему в упорядоченной истории напряжений.
12.3.3 Обобщение от двунаправленной к однонаправленной циклической нагрузке
Процедура, описанная в
12.3.2, относится к накоплению амплитуды деформации сдвига для чистой двунаправленной циклической нагрузки около нулевого среднего напряжения и использует контурную диаграмму деформации для чистого двунаправленного циклического нагружения. Процедура может быть обобщена на однонаправленную циклическую нагрузку, где напряжение варьирует около ненулевого среднего значения без изменения направления. Для этого случая накопленная деформация сдвига состоит из постоянной накопленной средней деформации плюс накопленная амплитуда деформации, и для каждого рассматриваемого среднего уровня напряжения сдвига имеется одна контурная диаграмма деформации.
12.4 Циклическая прочность на сдвиг и критерий разрушения при циклической нагрузке для глины
12.4.1 Циклическая прочность на сдвиг в глине
12.4.1.1 Циклическая прочность глины на сдвиг представляет собой прочность на сдвиг, которая доступна и может быть задействована, когда глина подвергается циклической нагрузке относительно конкретной истории напряжений, как описано в
12.2. Циклическая прочность на сдвиг зависит от истории приложенного напряжения и может быть спрогнозирована с помощью метода накопленной деформации, с использованием контурной диаграммы деформации, представляющей свойства глины в разрезе "деформация - напряжение".
Циклическая прочность на сдвиг обычно отличается от статической прочности грунта, и ее значение будет отражать историю приложенной нагрузки и снижения, обусловленных нарастанием порового давления. Она также будет отражать возможные эффекты скорости, связанные с частотой циклического нагружения.
12.4.1.2 Циклическая прочность на сдвиг может быть определена как величина наибольшей амплитуды напряжения сдвига в применяемой упорядоченной истории напряжений, когда эта история была масштабирована с помощью общего коэффициента для всех амплитуд напряжений таким образом, что масштабированная история приводит к накопленной амплитуде циклической деформации сдвига, которая в точности равна заданной или выбранной деформации разрушения.
12.4.1.3 Если для накапливаемой деформации в сочетании с нормативной статической недренированной прочностью на сдвиг используется контурная диаграмма ожидаемой нормализованной деформации, результат процедуры из
12.4.1.1 и
12.4.1.2 будет выдаваться как нормативная циклическая прочность на сдвиг. Относительно коэффициента запаса по материалу, который следует использовать для этой нормативной циклической прочности на сдвиг при расчетах (см.
12.8.1.3).
12.4.1.4 Критерий в
12.4.1.2 для определения циклической прочности на сдвиг применяется в случае чисто двунаправленной циклической нагрузки. В случае однонаправленной циклической нагрузки около ненулевого среднего значения критерий для определения циклической прочности на сдвиг состоит в том, что масштабированная история напряжений приводит к накопленной постоянной деформации сдвига и накопленной амплитуде деформации сдвига, сумма которых в точности равна указанной или выбранной деформации разрушения.
12.4.1.5 Когда циклическая сопротивляемость определяется на основе циклических испытаний, эффект скорости учитывается с использованием реалистичного периода цикла нагрузки в испытаниях.
12.4.1.6 Эффекты скорости могут быть учтены для нагрузок короткой продолжительности, таких как максимальное ударное усилие.
12.4.2 Диаграммы циклической прочности глины на сдвиг для расчета на устойчивость фундамента
12.4.2.1 В частности, для расчета на устойчивость рекомендуется определить различия между циклическими прочностями на сдвиг при растяжении, прямом сдвиге и сжатии, соответствующие преобладающим типам нагружения в разных зонах вдоль критической поверхности сдвига для рассматриваемой проблемы устойчивости. Также средний уровень напряжения может изменяться вдоль потенциальной поверхности разрушения. Таким образом, для разных зон применяются различные контурные диаграммы деформации.
С использованием контурных диаграмм деформации, определенных для различного среднего уровня напряжений, могут быть разработаны диаграммы циклической прочности, показывающие комбинации среднего напряжения

и циклического напряжения

, которые приводят к разрушению для различного количества циклов напряжений
NF, как показано на
рисунке 31, для трехосных напряженных условий и условий напряжения прямого сдвига.
Средние и циклические деформации сдвига обозначаются соответственно
ya и
ycy. Эффективным напряжением вертикального уплотнения является

, прочность недренированного грунта на сдвиг при сжатии обозначается

, а прямая простая прочность недренированного грунта на сдвиг обозначается

.
Примечание - Отмечается, что пример на рисунке 31 относится к лабораторно-уплотненной глине, уплотненной до уровня напряжений на месте эксплуатации. Эта лабораторно-уплотненная глина не будет обладать эффектами старения по прочности, которыми обладает нормально уплотненная глина на месте эксплуатации.
Рисунок 31 - Пример комбинации среднего напряжения сдвига

и циклического напряжения сдвига

, которые приводят
к разрушению для различного количества циклов
для а) - трехосных испытаний и б) - прямых
простых испытаний на сдвиг
12.4.2.2 Циклическая прочность на сдвиг

может быть определена из диаграмм на
рисунке 31 и представлена на диаграммах как функция количества циклов
N, что показано на рисунке 32. На кривых показан режим разрушения, то есть комбинация средних и циклических деформаций сдвига при разрушении,

и

.
Рисунок 32 - Пример циклической прочности на сдвиг
в зависимости от среднего напряжения сдвига для различного
количества циклов до разрушения для а) - трехосных
испытаний и б) - прямых простых испытаний на сдвиг
Следует подчеркнуть, что эти рисунки являются примерами диаграмм и не обязательно применимы для конкретного проекта. Объяснение других символов см. в
12.4.2.1.
12.4.3 Когда происходит сбой, разумно считать, что вдоль критической поверхности сдвига будет иметь место совместимость в деформациях сдвига, как постоянных, так и циклических, между зонами растяжения, сжатия и прямого сдвига. Обратите внимание, что такого может не быть в случае прогрессивных режимов разрушения, характерных для хрупких глин. На
рисунке 32 показано, что циклическая прочность на сдвиг сильно зависит от среднего напряжения сдвига. Среднее напряжение сдвига также оказывает сильное влияние на величины постоянной и циклической деформации, когда происходит разрушение, т.е. оно определяет режим, в котором происходит разрушение, при высокой постоянной деформации, при высокой циклической деформации или при их комбинации.
12.4.4 Критерий разрушения
12.4.4.1 Деформация разрушения обычно указывается или выбирается как деформация сдвига на уровне, где она развивается быстро, когда грунт подвергается постоянной циклической нагрузке. Деформация разрушения в глине обычно выбирается как 15% деформации сдвига. Некоторые глины таковы, что деформация разрушения может быть принята меньше 15%.
12.4.4.2 Разрушение при циклической нагрузке возникает, когда амплитуда накопленной деформации сдвига или сумма накопленных постоянных и циклических деформаций сдвига при однонаправленном циклическом нагружении превышает установленную величину деформации разрушения.
12.4.4.3 Разрушение при циклической нагрузке может альтернативно определяться как возникающее, когда наибольшая амплитуда напряжения в истории приложенной нагрузки или наибольшая сумма постоянного напряжения сдвига и амплитуды циклических напряжений сдвига в случае однонаправленного циклического нагружения превышает циклическую прочность на сдвиг, как определено в соответствии с
12.4.1.
12.5 Накопление порового давления в песчаном грунте
12.5.1 Контурная диаграмма порового давления
12.5.1.1 Накопление порового давления из-за циклического нагружения может быть спрогнозировано с помощью контурных диаграмм порового давления, полученного из циклических недренированных испытаний образцов песка. Пример контурной диаграммы порового давления показан на рисунке 33. Диаграмма показывает количество циклов, требуемых при определенной амплитуде напряжения сдвига для достижения заданного порового давления. Для конкретного рассматриваемого песчаного грунта необходимо разработать контурную диаграмму порового давления, основанную на лабораторных испытаниях образцов, имеющих относительную плотность песка, максимально приближенную к характеристике грунта на месте эксплуатации. Относительная плотность должна определяться исходя из испытаний коническим пенетрометром, проводимых на месте эксплуатации.
Рисунок 33 - Пример контурной диаграммы порового давления
12.5.2 Прогнозирование общего порового давления
12.5.2.1 Накопление порового давления в песке, вызванное применяемой историей амплитуд напряжений сдвига, например при сильном шторме, в принципе может быть спрогнозировано с помощью метода накопленного порового давления в полной аналогии с методом накопленной деформации, используемым для определения накопленных циклических деформаций в глине.
12.5.2.2 Поровое давление, возникающее из-за циклического нагружения, представляет собой одно из нескольких компонентов порового давления, которые суммируются для определения общего порового давления в песке. Это общее поровое давление может затем использоваться для расчета эффективного нормального напряжения, которое формирует вводные данные для расчета эффективных напряжений, например при расчете устойчивости фундамента (см.
раздел 8).
12.6 Циклическая прочность на сдвиг и критерий разрушения при циклической нагрузке для песка
12.6.1 Циклическая прочность на сдвиг в песке
12.6.1.1 До сих пор не было опубликовано подробное документально оформленное руководство по циклическому расчету на устойчивость фундаментов на песке с использованием циклической прочности на сдвиг. В идеале циклическая прочность на сдвиг должна быть определена также для песчаных грунтов при проверке устойчивости к волновой нагрузке с помощью полного расчета напряжений, поскольку истинное ULS-разрушение, как определено в
разделе 8, определенно будет зависеть от циклической нагрузки. Однако для песков эффекты циклической нагрузки более сложны в обработке, чем для глины, поскольку в течение определяющего циклического нагружения будет происходить значительная диссипация накопленных поровых давлений.
12.6.1.2 В принципе для песчаных грунтов возможно проведение циклических расчетов стабильности с использованием циклической прочности на основе испытаний недренированного грунта. Это требует, чтобы развитие поровых давлений учитывалось при установлении упорядоченной истории амплитуд напряжений сдвига. В этом процессе следует принимать во внимание диссипацию поровых давлений, которая имеет место в ходе определяющего циклического нагружения. Диссипация может происходить по отношению к свободным границам дренажа или путем перераспределения в песке. Такая диссипация постоянных поровых давлений может быть определена с помощью МКЭ.
12.6.1.3 Одним из упрощенных подходов при расчете циклической прочности на сдвиг в песке может быть включение только части истории определяющего напряжения при разработке циклической прочности на сдвиг для общего расчета напряжений, и в этом процессе предусмотрено учитывание песка, который должен быть недренированным. Эта часть должна иметь продолжительность несколько меньшую по времени, чем необходимо для полного уплотнения песка при переносе веса конструкции и фундамента на песок морского дна.
12.6.2 Критерий разрушения
12.6.2.1 В эффективном расчете напряжений, в котором общее поровое давление из-за циклического нагружения является частью вводных данных, разрушение определяется как событие, когда расчетное напряжение сдвига достигает или превышает расчетную прочность на сдвиг (см.
раздел 8).
12.6.2.2 В общем расчете напряжений разрушения при циклическом нагружении разрушение может быть определено как событие, когда наибольшее напряжение в расчетном сроке службы превышает циклическую прочность на сдвиг в песке, определяемую, как указано в
12.6.1. Наибольшее напряжение в расчетном сроке службы обычно совпадает с наибольшей суммой постоянного напряжения сдвига и амплитуды циклического напряжения сдвига в истории приложенного напряжения сдвига.
12.6.2.3 Чрезмерные суммарные деформации песка могут образовывать критерий разрушения.
12.7 Циклические воздействия на смещения
12.7.1 Общие положения
12.7.1.1 Моделирование взаимодействия "грунт - конструкция" должно, когда это уместно, учитывать эффект циклической нагрузки. Это может повлиять на динамические характеристики конструкции и максимальную реакцию, связанную с применением напряжений и смещениями.
12.7.1.2 Насколько это возможно, моделирование грунта должно основываться на лабораторных испытаниях образцов грунта с места эксплуатации и имитировании циклической нагрузки, и, при необходимости, дополненных соответствующими эмпирическими данными для грунтов с аналогичными общими характеристиками, такими как показатель пластичности и коэффициент переуплотнения. Реакция грунта зависит от комбинации статического и циклического нагружения.
12.7.1.3 Следует учитывать анизотропию циклических характеристик грунта.
12.7.2 Моделирование грунта на основе использования контурных диаграмм деформации
12.7.2.1 Пример контурной диаграммы деформации показан на рисунке 34, где для нагрузки типа прямого простого сдвига показана зависимость между средними и циклическими деформациями сдвига и средними и циклическими уровнями напряжения. На этой диаграмме напряжения нормализованы статической трехосной силой сжатия. Диаграмма построена в соответствии с многочисленными циклическими DSS-испытаниями, выполненными с различными соотношениями между средним и циклическим уровнями напряжений и представляет собой реакцию на N = 10 циклов нагрузки. Аналогичные диаграммы могут быть разработаны для другого количества циклов.
Рисунок 34 - Пример контурной диаграммы деформации,
показывающей зависимость между средними и циклическими
деформациями сдвига и уровнями среднего и циклического
напряжения для нагрузки прямого сдвига и снабженной
графиками напряжений
12.7.2.2 Ситуация нагружения, которая подразумевает устойчивую ненулевую среднюю нагрузку на протяжении всего циклического нагружения, приведет к развитию постоянных деформаций в грунте и соответствующим постоянным смещениям фундамента на грунте. В дополнение к статическим гравитационным нагрузкам устойчивые средние нагрузки при штормовых условиях могут возникать в результате ветровой нагрузки и среднего эффекта воздействия волн и течения. На уровне элемента грунта такая ситуация нагружения может быть смоделирована путем запуска графика напряжений начиная с нулевого горизонтального напряжения сдвига на месте эксплуатации, где следующая точка в графике представляет собой среднее напряжение, соответствующее статической гравитационной нагрузке, и где график впоследствии следует по прямой линии с фиксированным соотношением между компонентами дополнительного циклического и среднего напряжения. Этот график напряжений определяет связь между общими напряжениями и общими деформациями, причем полное напряжение представляет собой сумму средних и циклических компонентов напряжений, а общая деформация представляет собой сумму средних и циклических компонентов деформации. Благодаря этому модель грунта может быть построена для расчета общих (максимальных) смещений, соответствующих экстремальной нагрузке. На основе
рисунка 34 построена такая модель и показана на рисунке 35. Эффекты начальных напряжений в состоянии покоя должны учитываться с помощью фоновых циклических испытаний, которые выполняются на образцах грунта, уплотненных в соответствии с напряжением на месте эксплуатации.

Рисунок 35 - Пример моделей материала грунта для расчета
общих смещений (экстремальная реакция) и циклических
смещений (динамическая реакция), построенных исходя
12.7.2.3 Как видно из
рисунка 34, чисто циклическая реакция

существенно не зависит от уровня среднего напряжения сдвига, хотя слегка увеличивается с более высоким уровнем среднего напряжения. Модель грунта для имитации циклической реакции получается при следовании по траектории действия нагрузок по вертикали от уровня среднего напряжения, соответствующего прилагаемым гравитационным нагрузкам. Эта траектория действия нагрузок определяет связь между циклическими напряжениями и циклическими деформациями и, таким образом, определяет модель материала грунта для расчета циклических смещений, который должен использоваться для динамического расчета прочности конструкции. Такая модель построена на основе
рисунка 34 и показана на
рисунке 35. Видно, что чисто циклическая жесткость выше жесткости, соответствующей максимальной реакции.
12.7.2.4 Аналогичное моделирование может быть выполнено для представления нагрузок трехосного растяжения и трехосного сжатия, основанных на контурных диаграммах деформации, которые построены по результатам циклических трехосных лабораторных испытаний, выполненных с различными соотношениями между уровнями среднего и циклического напряжения. Пример такой диаграммы представлен на рисунке 36 для нормально уплотненной глины, показывая пример графика нагружения, начиная от состояния на месте эксплуатации и включая пример уровней среднего напряжения, соответствующих гравитационным нагрузкам как для активных (справа), так и для пассивных (слева) областей напряжений. Поскольку в различных зонах активно используемого грунта должна быть приблизительная совместимость деформаций, в частности по отношению к разрушению, нормализованный график напряжения активной и пассивной зон сильно отличается для нормально уплотненной глины. Для справки: пунктирные линии представляют собой постоянное соотношение между компонентой циклического напряжения и компонентой среднего напряжения от нагрузки окружающей среды. Эта разница в нормализованном графике напряжения отражает то, что грунт уже активно используется для условий напряжения на месте эксплуатации для нормально уплотненной глины. Такие значительные различия в нормализованных графиках напряжения не будут происходить в переуплотненной глине.

Рисунок 36 - Пример контурной диаграммы деформации,
показывающей зависимость между средними и циклическими
деформациями сдвига и уровнями среднего и циклического
напряжения для трехосного сдвига (разработано на основе
данных для нормально уплотненной глины Драммени),
снабженной графиками напряжений
12.7.2.5 Уровень среднего напряжения от гравитационной нагрузки и уровень среднего напряжения из-за средних устойчивых нагрузок в условиях шторма, рассмотренных в
12.7.2.2, будут изменяться в пределах грунта. Таким образом, нормализованные графики напряжений, показанные на
рисунке 34 и
рисунке 36, следует выбирать как типичные средние графики.
12.7.2.6 При использовании для анализа программного обеспечения, которое не способно учитывать анизотропию, рекомендуется использовать DSS-испытания для определения эквивалентной изотропной модели грунта.
12.8.1 Применение
12.8.1.1 Общий расчет напряжений с использованием циклической прочности на сдвиг подходит для анализа глинистых грунтов, которые обычно считаются недренированными для всех эффектов нагрузки во время расчетных штормовых условий. Рассматривая влияние ULS в условиях расчетного шторма, следует учитывать событие, имеющее место только в первый штормовой сезон после монтажа конструкции. Благоприятный эффект диссипации поровых давлений, вызванный весом погруженной в воду конструкции, может быть принят во внимание.
12.8.1.2 Когда циклическая прочность на сдвиг устанавливается методом накопленной деформации, как указано в
12.4.1.2, важно, чтобы все амплитуды напряжений сдвига в упорядоченной истории амплитуд напряжений умножались на один и тот же удельный коэффициент надежности по нагрузке

, т.е. фактически для этой конкретной задачи коэффициент надежности по нагрузке не применяется.
| | ИС МЕГАНОРМ: примечание. В официальном тексте документа, видимо, допущена опечатка: имеется в виду п. 12.3.1.6, а не п. 11.3.1.6. | |
12.8.1.3 Когда нормативная циклическая прочность на сдвиг определена методом накопленной деформации, как указано в
12.4.1.2, на основе контурной диаграммы ожидаемой деформации, установленной из данных о грунте, как указано в
12.3.1.5 и
11.3.1.6, и исходя из нормативной статической недренированной прочности на сдвиг, расчетная циклическая прочность на сдвиг в ULS должна быть рассчитана как нормативная циклическая прочность на сдвиг, деленная на коэффициент запаса по материалу

. Используемый коэффициент запаса по материалу

является таким же, как тот, который необходим для статической недренированной прочности на сдвиг, если только в применяемом стандарте не указано иное.
Примечание - В
[5] требуемый коэффициент запаса по материалу, который должен использоваться с нормативной циклической прочностью на сдвиг в ULS, составляет

, т.е. тот же коэффициент запаса по материалу, что и для нормативной статической прочности. Аналогично в
[6] требуемый коэффициент запаса по материалу, который должен использоваться с нормативной циклической прочностью на сдвиг в ULS, равен

.
Отмечается, что нормативная циклическая прочность на сдвиг, определяемая в результате использования метода накопленной деформации, изложенного в
12.3, имеет входные данные прочности и напряжения сдвига в первую очередь исходя из контурной диаграммы деформации.
12.8.1.4 Когда расчетная циклическая прочность на сдвиг применяется в сочетании с нормативными функциональными нагрузками, постоянными нагрузками и нагрузками от воздействия окружающей среды в соответствии с правилом проектирования для расчета защиты от разрушения грунта при циклическом нагружении, необходимые расчетные нагрузки должны быть получены как соответствующие нормативные нагрузки, умноженные на их соответствующие коэффициенты надежности по нагрузке

, i = 1...
N, где
N обозначает количество приложенных нагрузок. Используемые коэффициенты надежности по нагрузке

должны учитывать защиту от разрушения при статической или квазистатической нагрузке, где прочность грунта представляет собой статическую прочность на сдвиг.
12.8.1.5 Циклические лабораторные испытания обеспечивают идеальные недренированные условия, включая отрицательные поровые давления. Поскольку характеристики в полевых условиях не всегда могут быть идеально недренированными, рекомендуется с осторожностью полагаться на отрицательное поровое давление и дилатансию грунта на месте эксплуатации.
12.8.2 Низкочастотный цикл напряжений в глине
12.8.2.1 Низкочастотные циклы напряжений означают менее благоприятные эффекты скорости, чем циклы частоты волны. Таким образом, циклическое разрушение прочности на сдвиг может быть более сильным, когда прилагаемые циклы напряжения состоят из низкочастотных циклов напряжений относительно циклов частоты волны. Обычное предположение заключается в том, что нагружение состоит из циклов частоты волны. Циклы частоты волны обычно имеют период 10 с, поэтому циклические лабораторные испытания обычно проводятся с периодом в 10 с.
Примечание - Низкочастотный цикл напряжения обычно происходит в грунтах, поддерживающих якорные фундаменты в системах швартовки, и вызван компонентами низкочастотной реакции в якорных оттяжках из-за эффектов волн второго порядка и порывов ветра. Низкочастотные циклы имеют частоты ниже частотного диапазона волнового спектра, т.е. имеют частоты менее примерно 0,04 Гц. Низкочастотные циклы зависят от типа плавучего сооружения. Например, периоды интенсивной эксплуатации для фундамента могут находиться в диапазоне от 80 с до 150 с, тем самым обеспечивая частоты в нагружении якорных фундаментов в диапазоне приблизительно от 0,006 до 0,01 Гц. Более низкие частоты, чем эти, могут иметь место для других типов конструкций и других режимов деформационного отклика.
12.8.2.2 Для оценки эффектов циклического нагружения, вызванных низкочастотным циклическим нагружением, когда доступные данные испытаний циклической нагрузки состоят из данных циклических лабораторных испытаний, проведенных с периодичностью порядка 10 с, целесообразным решением перед проведением оценки было бы умножение количества циклов в каждом смоделированном блоке напряжений в соответствующей истории напряжений на подходящий коэффициент.
12.8.2.3 Низкочастотное циклическое нагружение происходит, например, при нагружении из-за шквалов и при нагружении, переносимом от плавучих объектов через якорные оттяжки и якоря.
12.8.3 Сейсмические эффекты и разжижение песка
12.8.3.1 В сейсмически активных районах, где система "конструкция - фундамент" может подвергаться сейсмическим ускорениям, отрицательное воздействие на свойства грунта, обусловленное циклическим нагружением от землетрясения, должно оцениваться и учитываться при проектировании везде, где это необходимо. В частности, необходимо учитывать накопление поровых давлений в песке из-за сейсмической нагрузки, а также диссипацию этих давлений, в том числе диссипацию от более глубоких пластов вверх до более мелко залегающих пластов с меньшим давлением вышележащих слоев, где они в присутствии песчаных грунтов могут вызвать разжижение.
(справочное)
МЕТОДЫ ПРОГНОЗИРОВАНИЯ НЕСУЩЕЙ СПОСОБНОСТИ
ПО ОСИ СВАИ И СМЕЩЕНИЙ
А.1.1 Общие положения
А.1.1.1 В этом приложении представлен ряд методов прогнозирования несущей способности по оси сваи для свай в глине и песке. Методы расчета свай в глине представлены в
А.2, а методы расчета свай в песке представлены в
А.3. Метод для представления зависимости "нагрузка - смещение" для аксиально нагруженных свай представлен в
А.4.
А.1.1.2 Сопротивляемость сваи R включает две составляющие, одна из которых представляет собой накопленную сопротивляемость поверхностного трения вдоль оси сваи, Rs, а другая часть - сопротивляемость грунта на нижнем конце сваи, Rp:

, (А.1)
где fsi - среднее удельное поверхностное трение на стволе сваи в слое i;
Asi - внешняя площадь ствола сваи (боковой поверхности сваи) в слое i;
qp - удельная сопротивляемость грунта на нижнем конце сваи;
Ap - площадь опорной поверхности нижнего конца (может быть общей площадью или площадью кольцевого сечения стальной сваи).
А.2 Метод расчета свай в глинистом грунте
А.2.1 Метод API
А.2.1.1 Удельное поверхностное трение в слое
i должно приниматься как

, (А.2)
где

- коэффициент, применяемый к
su и равный или меньший 1,0;
su - прочность недренированной глины на сдвиг, основанная на трехосных UU-испытаниях.
Коэффициент

рассчитывается как

, (А.3)

, (А.4)
где

- для рассматриваемой точки;
p'0 - эффективное давление вышележащего слоя в рассматриваемой точке (геостатическое давление).
Для получения дополнительной информации см.
[3].
А.2.1.2 Удельная сопротивляемость грунта на нижнем конце сваи, qp, для свай в преимущественно связных грунтах может быть принята в среднем в 9 раз большей прочности на сдвиг недренированного грунта на уровне нижнего конца сваи при условии, что в процессе монтажа прочность на сдвиг не уменьшена. Сопротивляемость грунта на нижнем конце сваи, однако, может быть ограничена несущей способностью внутренней грунтовой пробки в свае. Когда башмаки сваи используются в качестве средства снижения трения грунтовой пробки во время забивки свай, необходимо принять эквивалентное сокращение внутреннего поверхностного трения при оценке удельной сопротивляемости грунта на нижнем конце сваи. Опыт показывает, что размерные эффекты могут иметь важное значение в связных грунтах, т.е. сваи большого диаметра имеют меньшую удельную сопротивляемость нижнего конца сваи, чем сваи малого диаметра для такого же грунта. Смещение, необходимое для задействования удельной сопротивляемости нижнего конца сваи, будет на порядок больше, чем требуется для задействования поверхностной сопротивляемости, которое должно учитываться при прогнозировании несущей способности сваи, в частности когда сопротивляемость нижнего конца сваи составляет значительную часть общей осевой сопротивляемости сваи.
Примечание - Метод API основан на испытаниях для нормально уплотненных высокопластичных глин. Следует соблюдать осторожность при использовании метода вне диапазона его подтверждения.
А.2.2 Метод NGI
А.2.2.1 Для свай открытого типа удельное поверхностное трение в слое
i принимается в соответствии с
А.2.1.1.
А.2.2.2 Для нормально уплотненных глин коэффициент

рассчитывается как

, (А.5)
где Ip - коэффициент пластичности глины, выраженный в процентах;

- для рассматриваемой точки;
p'0 - эффективное давление вышележащего слоя в рассматриваемой точке.
Диапазон проверки достоверности для

:

.
А.2.2.3 Для высокопереуплотненных глин коэффициент

рассчитывается как

. (А.6)
Для

предлагается линейная интерполяция между

и

, как показано на рисунке А.1.
Рисунок А.1 - Коэффициент

А.2.2.4 По методу API опорную поверхность нижнего конца следует рассчитывать как девятикратную прочность недренированного грунта на сдвиг su, действующую на общую площадь нижнего конца сваи и стальной окаймляющей зоны сваи, в состоянии с грунтовой пробкой или без нее соответственно. Суммарная несущая способность сваи по оси должна приниматься как минимальная величина общих несущих способностей сваи, рассчитанных для режимов отказа сваи с грунтовой пробкой и без грунтовой пробки
А.2.3 Метод ICP
А.2.3.1 Удельное поверхностное трение в слое i выражается формулой

, (А.7)
в которой

, (А.8)
где

- локальное радиальное эффективное напряжение после выравнивания;

- угол внутреннего трения поверхности контакта, основанный на испытаниях грунта в кольцевой обойме.
Kc = (2,2 + 0,016YSR - 0,870Ivy)YSR0,42(h/R*)-0,2 x
x h/R* >= 8, (А.9)
где YSR - коэффициент предела текучести или условный коэффициент переуплотнения OCR;
Ivy = log10St;
St - чувствительность глины;
R* = (R2outer - R2inner)0,5;
Router - внешний радиус сваи;
Rinner - внутренний радиус сваи.
А.2.3.2 Для свай открытого типа значение [Dinner/DCPT + 0,45qc/Pa] определяет, считается ли свая как закрытая грунтовой пробкой или открытая без грунтовой пробки во время статического нагружения:
с грунтовой пробкой: [Dinner/DCPT + 0,45qc/Pa] < 36, (А.10)
без грунтовой пробки: [Dinner/DCPT + 0,45qc/Pa] > 36, (А.11)
где Dinner - внутренний диаметр сваи;
DCPT = 0,036 м - константа, используемая для удобства обозначения;
qc - удельная сопротивляемость проникновению конуса на нижнем конце сваи при испытании коническим пенетрометром;
Pa - атмосферное давление, 100 кПа.
А.2.3.3 Для недренированного нагружения сопротивляемость опорной поверхности нижнего конца должна приниматься как:
для сваи с грунтовой пробкой qb = 0,4qc, действующее на общую площадь нижнего конца сваи;
для сваи без грунтовой пробки qb = qc, действующее на площадь кольцевого сечения стальной сваи.
Для свай без грунтовой пробки не учитывается внутреннее поверхностное трение.
А.3 Методы расчета для свай в песчаном грунте
А.3.1 Метод API
А.3.1.1 Удельное поверхностное трение в слое i должно приниматься как

, (А.12)
где

- безразмерный коэффициент трения ствола сваи;
p'0 - эффективное давление вышележащего слоя в рассматриваемой точке.
Коэффициент трения ствола сваи зависит от относительной плотности песка, Dr, и содержания ила в песке.
Значения

могут быть взяты из
таблицы А.1. Предельные значения удельного поверхностного трения также приведены в
таблице А.1.
А.3.1.2 Удельная сопротивляемость опорной поверхности нижнего конца, qb, должна приниматься как:
qb = Nqp'0. (А.13)
Коэффициент запаса по несущей способности Nq допускается взять из таблицы А.1. Предельные значения удельной сопротивляемости опорной поверхности нижнего конца также приведены в таблице А.1.
Таблица А.1
Расчетные параметры для несвязного грунта
Относительная плотность грунта <2> | Описание грунта | Коэффициент трения ствола сваи,  [-] | Предельное трение ствола сваи [kПа] | Коэффициент запаса по несущей способности, Nq [-] | Удельная сопротивляемость опорной поверхности нижнего конца [МПа] |
Очень рыхлый | Песок | | | | |
Рыхлый | Песок |
Рыхлый | |
Средней плотности | Ил |
Плотный | Ил |
Средней плотности | | 0,29 | 67 | 12 | 3 |
Средней плотности | Песок | 0,37 | 81 | 20 | 5 |
Плотный | |
Плотный/ очень плотный | Песок | 0,46 | 96 | 40 | 10 |
Очень плотный | Песок | 0,56 | 115 | 50 | 12 |
<1> Параметры, перечисленные в этой таблице, предназначены только для руководства. Там, где доступна подробная информация, такая как протоколы CPT, испытания на прочность на высококачественных образцах, моделирующие испытания или характеристики забивки свай, могут быть справедливы другие значения. <2> Применимы следующие показатели для описания относительной плотности. Характеристика - относительная плотность [%]: очень рыхлый: 0 - 15; рыхлый: 15 - 35; средней плотности: 35 - 65; плотный: 65 - 85; очень плотный: 85 - 100. <3> В понятие "песок-ил" включаются грунты со значительными долями как песка, так и ила. Значения прочности обычно увеличиваются с увеличением доли песка и уменьшаются с увеличением фракций ила. <4> Расчетные параметры, приведенные в предыдущих изданиях [3] для таких комбинаций, как "грунт - относительная плотность", могут быть неконсервативными. В связи с этим для таких грунтов рекомендуется использовать методы на основе CPT. |
А.3.2 Метод NGI
А.3.2.1 Удельное поверхностное трение на глубине
z выражается как

, (А.14)
где FDr = 2,1(Dr - 0,1)1,7;
Fload - 1,0 для растяжения, 1,3 - для сжатия;
Ftip - 1,0 для свай открытого типа;
Fmat - 1,0 для стали;
Fsig = (p'0/pa)-0,25;
ztip - глубина внедрения нижнего конца сваи;
qc - удельная сопротивляемость конуса;
pa - атмосферное давление, 100 кПа;
p0' - эффективное давление.
Выражение z/ztip представляет собой эффект фрикционной усталости, который уменьшает локальное напряжение сдвига, когда свая забивается ниже глубины z. Значения Dr, превышающие 1,0, могут возникать и затем приниматься.
А.3.2.2 Сопротивляемость опорной поверхности нижнего конца должна приниматься как наименьшее из несущих способностей, рассчитанных для механизмов отказа при наличии грунтовой пробки и без нее.
А.3.2.3 Сопротивляемость опорной поверхности нижнего конца сваи открытого типа с грунтовой пробкой определяется как

, (А.15)
где qc,tip - сопротивляемость конуса на уровне нижнего конца сваи.
А.3.2.4 Сопротивляемость опорной поверхности нижнего конца без грунтовой пробки принимается как сумма внутреннего трения и сопротивляемость кольцевого сечения нижнего конца сваи. Внешнее трение рассчитывается в соответствии с выражением для
fsi в
А.3.2.1, внутреннее трение принимается как трехкратная величина внешнего трения, а сопротивляемость нижнего конца сваи принимается как
qc, действующее на кольцевое сечение сваи.
А.3.3 Метод ICP
А.3.3.1 Удельное поверхностное трение при сжимающей нагрузке в слое i должно рассчитываться как

, (А.16)
а удельное поверхностное трение при растягивающей нагрузке в слое i должно рассчитываться как

, (А.17)
где

- радиальное эффективное напряжение при отказе;

- радиальное эффективное напряжение после монтажа и выравнивания;

- повышение радиального напряжения из-за траектории напряжений (расширение);

- угол внутреннего трения с поверхностью контакта постоянного объема;
a = 0,9 для свай открытого типа.
Выражение для радиального эффективного напряжения

следующее:

, (А.18)
где h - расстояние над нижним концом сваи (= длина сваи - глубина);
R* = (R2outer - R2inner)0,5;
R2outer - внешний радиус сваи;
R2inner - внутренний радиус сваи;
qc - сопротивляемость проникновению конуса;
pa - атмосферное давление, 100 кПа;
p'0 - эффективное давление переуплотнения.
Увеличение радиального напряжения во время нагрузки зависит от графика напряжения и считается незначительным для морских свай большого диаметра. Однако это актуально для береговых свай и выражается как

. (А.19)
Расширение поверхности контакта,

, может быть принято как 0,02 мм для слегка покрытой ржавчиной стальной сваи. Модуль сдвига обозначается как
G.
А.3.3.2 Сваи открытого типа считаются закрытыми грунтовыми пробками, если Dinner < 0,02 * (Dr - 30), где Dinner обозначает внутренний диаметр сваи, а относительная плотность Dr указывается в процентах. Это означает, что сваи с внутренним диаметром более 1,4 м будут вести себя, как сваи без грунтовой пробки во время нагружения, если Dr = 100%. Удельная сопротивляемость опорной поверхности нижнего конца сваи открытого типа в условиях грунтовой пробки должна приниматься как

. (А.20)
Удельная сопротивляемость опорной поверхности нижнего конца сваи открытого типа в условиях отсутствия грунтовой пробки должна приниматься как

, (А.21)
где Ar - соотношение площадей Ar = 1 - (Dinner/Douter)2;

- сопротивляемость проникновению конуса, усредненная по вертикали более чем на +/- 1,5
D относительно рассматриваемой позиции;
DCPT - 0,036 м;
D - внешний диаметр сваи.
Для свай открытого типа без грунтовой пробки внутреннее трение не принимается во внимание. Однако внутреннее трение в некоторой степени учитывается за счет использования полного значения qc на кольцевом сечении сваи в выражении для сопротивляемости опорной поверхности нижнего конца.
А.3.4 Метод UWA
А.3.4.1 Удельное поверхностное трение в слое i должно приниматься как

, (А.22)
где

- радиальное эффективное напряжение при отказе;

- радиальное эффективное напряжение после монтажа и выравнивания;

- увеличение радиального напряжения из-за графика напряжений (расширение);

- угол внутреннего трения с поверхностью контакта постоянного объема;
f/fc - 1,0 для сжимающей нагрузки и 0,75 для растягивающей нагрузки.
Для свай открытого типа радиальное эффективное напряжение после монтажа и выравнивания выражается как

, (А.23)
где qc - сопротивляемость проникновению конуса;
h - относительное расстояние над нижним концом сваи (= длина сваи - глубина);
Ar,eff - эффективное соотношение площадей:

, (А.24)
где IFR - коэффициент приращений наполнения;
Douter - внешний диаметр сваи;
Dinner - внутренний диаметр сваи.
Упрощенная аппроксимация IFR, усредненная по последним 20 м проникновения, выражается как

, (А.25)
где Dinner представлен в метрах.
Из этого следует, что коэффициент приращений наполнения будет составлять 1,0 для свай с внутренним диаметром более 1,5 м, что характерно для морских свай.
Увеличение радиального напряжения во время нагружения зависит от графика напряжения и считается незначительным для морских скважин большого диаметра. Однако это актуально для береговых свай и поэтому выражается как

. (А.26)
Расширение поверхности контакта,

, может быть принято как 0,02 мм для слегка покрытой ржавчиной стальной сваи.
А.3.4.2 Удельная сопротивляемость опорной поверхности нижнего конца выражается как

, (А.27)
где qc - сопротивляемость проникновению конуса.
Arb,eff - эффективное соотношение площадей:

, (А.28)
где FFR - конечный коэффициент заполнения, измеренный в конце забивки, усредненный по 3Dinner.
Упрощенная аппроксимация FFR, усредненная по конечным 3 диаметрам внедрения, рассчитывается как

, (А.29)
где Dinner выражается в метрах.
Из этого следует, что конечный коэффициент заполнения будет составлять 1,0 для свай с внутренним диаметром более 1,5 м, что характерно для морских свай.
А.4 Зависимость "нагрузка - смещение"
А.4.1 Общие положения
А.4.1.1 Когда требуется расчет не только осевой несущей способности, но также и перемещений, связанных с задействованием осевой сопротивляемости, необходимо учитывать взаимосвязь "нагрузка - смещение" для определения реакции сваи на осевое отклонение. Зависимость "нагрузка - смещение" может быть выражена с помощью кривых t-z.
А.4.1.2 Кривая t-z показывает соотношение между интегральным значением t задействованной сопротивляемости от окружающего грунта, когда свая отклоняется на расстояние z в осевом направлении в рассматриваемой точке вдоль сваи. Свая может в этом случае быть смоделирована как ряд последовательных сжато-изогнутых элементов, поддерживаемых нелинейными опорными упругими элементами, применяемыми в узловых точках между элементами. Нелинейные опорные упругие элементы характеризуются одной кривой t-z в каждой узловой точке.
А.4.2 Модель кривой t-z
А.4.2.1 Кривые t-z могут генерироваться в соответствии с методом, с помощью которого между началом координат и точкой, в которой достигается максимальная поверхностная сопротивляемость, tmax, применяется нелинейная зависимость:

, (А.30)
где R - радиус сваи;
G0 - исходный модуль сдвига грунта;
zIF - безразмерная зона влияния, определяемая как радиус зоны воздействия вокруг сваи, деленный на R;
rf - коэффициент аппроксимации;
t - поверхностная сопротивляемость;
tmax - максимальная поверхностная сопротивляемость.
Для смещений z за пределами достижения tmax поверхностная сопротивляемость t уменьшается в линейной взаимосвязи с z до достижения остаточной поверхностной сопротивляемости tres. Для дальнейших смещений за пределами этой точки поверхностная сопротивляемость t остается постоянной. Пример кривых t-z, построенных в соответствии с этим методом, приведен на рисунке А.2.
Рисунок А.2 - Пример кривых t-z, сгенерированных по модели
Максимальная поверхностная сопротивляемость может быть рассчитана в соответствии с одним из методов прогнозирования удельного поверхностного трения, приведенного в
А.2 и
А.3.
В качестве альтернативы модели кривой
t-
z в А.4.2.1 может использоваться модель кривой
t-
z, приведенная в
[3].
(справочное)
Б.1.1 Общие положения
Б.1.1.1 Кривые p-y используются для расчета свай, нагруженных в боковом направлении. Кривые p-y выражают соотношение между интегральным значением p задействованной сопротивляемости от окружающего грунта, когда свая отклоняется на расстояние y в поперечном направлении.
Б.1.1.2 Различные модели представления кривых
p-
y представлены в Б.1.2 и
Б.1.3. Эти модели ограничены в использовании для свай-оболочек диаметром до 2,5 м и не обязательно могут применяться для моносвай большого диаметра. Руководство по построению и применению кривых
p-
y приведено в
Б.2. Относительно свай диаметром до 2,5 м в глине см.
Б.2.3.1.
Б.1.2 Кривые p-y для свай в связных грунтах
Б.1.2.1 Для статических боковых нагрузок предельная боковая сопротивляемость на единицу длины pu для свай диаметром D в мягкой глине с прочностью недренированного грунта на сдвиг su обычно изменяется между 8suD и 12suD, за исключением малых глубин, где отказ происходит в другом режиме из-за ограниченного давления вышележащего слоя. Циклические нагрузки вызывают ухудшение боковой сопротивляемости, которое становится меньше, чем для статических боковых нагрузок.
Б.1.2.2 Для сваи в связных грунтах статическую предельную боковую сопротивляемость рекомендуется рассчитывать как

, (Б.1)
где X - глубина ниже поверхности грунта;
XR - глубина перехода, ниже которой значение

, превышает
9suD;
D - диаметр сваи;
su - прочность недренированного грунта на сдвиг;

- эффективный удельный вес грунта;
J - безразмерная эмпирическая константа, значение которой находится в диапазоне от 0,25 до 0,50 с показателем 0,50, рекомендованным для мягких, нормально уплотненных глин.
Б.1.2.3 Глубина перехода XR указывает глубину до нижней части зоны уменьшенной боковой сопротивляемости на малых глубинах. Для условия постоянной силы с глубиной глубина перехода может быть выражена как

(Б.2)
Когда сила изменяется с глубиной, рекомендуется использовать два выражения для
pu в соответствии с
Б.1.2.2 относительно глубины
X. Глубина в результате первого пересечения двух соответствующих графиков в таком случае должна быть взята за глубину перехода
XR. Могут иметь место такие неравномерные изменения силы с глубиной, что эмпирические выражения
Б.1.2.2 станут неприменимы. В целом минимальные значения для
XR ожидаются в размере примерно 2,5 диаметра.
Б.1.2.4 Для статического нагружения кривая
p-
y для свай в мягкой глине может быть построена в соответствии с

, (Б.3)
где
yc - отклонение перехода (см.
Б.1.2.8).
Б.1.2.5 Для циклического нагружения и X > XR, кривая p-y для свай в мягкой глине может быть построена в соответствии с

, (Б.4)
где
yc - отклонение перехода (см.
Б.1.2.7).
Б.1.2.6 Для циклического нагружения и
X <=
XR кривая
p-
y для свай в мягкой глине может быть сгенерирована в соответствии с

, (Б.5)
где yc - отклонение перехода (см. Б.1.2.7).
Б.1.2.7 В
Б.1.2.4 -
Б.1.2.6 мягкой глиной считается глина с прочностью недренированного грунта на сдвиг до 100 кПа.
Б.1.2.8 В
Б.1.2.4 -
Б.1.2.6 отклонение перехода
yc должно приниматься как

, где
D - диаметр сваи, а

- деформация, которая возникает при половине максимальной разности основных напряжений в статических недренированных испытаниях на трехосное сжатие образцов ненарушенного грунта. Относительно кусочно-линейных аппроксимаций к нелинейным частям кривых
p-
y в
Б.1.2.4 -
Б.1.2.6 см.
Б.2.
Б.1.2.9 Среднепластичной считается глина с прочностью недренированного грунта на сдвиг свыше 100 кПа.
Б.1.2.10 Для свай в среднепластичной глине циклическое нагружение может привести к быстрому ухудшению предельной сопротивляемости pu до значения значительно меньшего, чем для статической нагрузки. Хотя среднепластичные, равно как и мягкие, глины имеют нелинейную зависимость "напряжение - деформация", они обычно более хрупкие, чем мягкие глины. При разработке кривых "напряжение - деформация", а затем кривых p-y, действительных для циклического нагружения, осмотрительный расчет для среднепластичных глин должен отражать быстрое ухудшение боковой сопротивляемости при больших отклонениях.
Б.1.3 Кривые p-y для свай в несвязных грунтах
Б.1.3.1 Для свай в несвязных грунтах статическую предельную боковую сопротивляемость рекомендуется рассчитывать как:

, (Б.6)
где X - глубина ниже поверхности грунта;
D - диаметр сваи;

- удельный вес водонасыщенного грунта;
C1,
C2 и
C3 - коэффициенты, выражающие зависимость статической предельной боковой сопротивляемости от угла внутреннего трения

(зависимость коэффициентов
C1,
C2 и
C3 от угла внутреннего трения показана на рисунке Б.1).
Рисунок Б.1 - Коэффициенты как функции угла
внутреннего трения
Б.1.3.2 Кривая p-y может быть сгенерирована в соответствии с выражением:

, (Б.7)
в котором A является коэффициентом, учитывающим статические или циклические условия нагружения следующим образом:

(Б.8)
и k - начальный модуль реакции грунтового основания, который зависит от относительной плотности Dr через следующее выражение:

, (Б.9)
где Dr выражается в процентах, а k - в МПа/м.
В качестве альтернативы начальный модуль реакции грунтового основания может быть установлен как функция угла внутреннего трения

, используя следующее выражение:

, (Б.10)
где

выражается в градусах, а
k - в МПа/м.
Кроме того,
pu обозначает статическую боковую предельную сопротивляемость,
X обозначает глубину ниже поверхности грунта, а
D обозначает диаметр сваи. Такая модель
p-
y кривой заимствована из
[3].
Б.2 Руководство по построению и применению p-y кривых
Б.2.1 Общие положения
Б.2.1.1 Нелинейные кривые
p-
y, рекомендованные в
Б.1, в первую очередь используются при расчете сваи для оценки ее боковой несущей способности в ULS. Эти кривые
p-
y были выверены для длинных свай-оболочек с диаметром до 1,0 м. Они не выверены для моносвай большого диаметра и, как правило, недействительны для таких моносвай. Кривые
p-
y, используемые для проектирования моносвай, должны быть проверены для такого использования, например, МКЭ. Использование подхода МКЭ требует осторожности, поскольку метод p-y подразумевает поддержку сваи независимыми опорными упругими элементами, тогда как метод МКЭ предполагает поддержку сваи континуумом грунта, вследствие чего могут иметь место значительные различия (например, для момента изгиба по глубине) между двумя подходами из-за их различных представлений об изменениях жесткости с глубиной.
Б.2.1.2 С осторожностью следует относиться к использованию рекомендуемых нелинейных кривых p-y в контекстах, отличных от оценки боковой несущей способности свай в ULS. Такие контексты включают, но не ограничиваются следующим: SLS-анализ сваи, расчет усталостных характеристик сваи, определение эквивалентной жесткости опорного упругого элемента, чтобы представить жесткость системы "свая - грунт" как граничное условие при расчете конструкции, которую поддерживает система "свая - грунт", и в целом все случаи, когда оказывает влияние начальный уклон кривых p-y.
Б.2.1.3 Следует проявлять осторожность независимо от того, применяются ли рекомендуемые нелинейные кривые p-y непосредственно, как они указаны в замкнутой форме, или применяются кусочно-линейные аппроксимации в соответствии с некоторой дискретизацией кривых.
Б.2.1.4 Всякий раз, когда кривые p-y используются для установления эквивалентной жесткости оголовка сваи, применяемой в качестве граничных условий для расчета конструкций, поддерживаемых системой "свая - грунт", рекомендуется провести проверку чувствительности для исследования влияния изменений или различных предположений для начальных уклонов кривых p-y.
Б.2.2 Кривые p-y для глины
Б.2.2.1 Кривые
p-
y, рекомендуемые для мягких глин в
Б.1.2, определяются как полиномы третьего порядка так, что они имеют бесконечные начальные уклоны, т.е. начальные жесткости зависимостей "нагрузка - смещение" бесконечны. Хотя это физически невозможно, кривые все-таки действительны для использования по их основному назначению, т.е. для оценки боковой несущей способности свай в ULS. Однако кривые
p-
y замкнутой формы, рекомендуемые для мягких глин, не могут использоваться непосредственно в тех случаях, когда начальная жесткость имеет решающее значение для результата оценки, например для определения эквивалентной жесткости оголовка сваи.
Б.2.2.2 Когда кривую
p-
y для пластичной глины необходимо использовать в ситуациях, где начальный уклон имеет решающее значение для результата оценки, кривую, возможно, придется дискретизировать и аппроксимировать линейными кривыми, проведенными между точками дискретизации. Дискретизация должна проводиться таким образом, чтобы первая точка кривой дискретизации за пределами начала координат была локализована таким образом, чтобы правильный начальный уклон приводил к кусочно-линейному представлению кривой
p-
y. Однако в качестве альтернативы допускается использовать аналитическую кривую третьего порядка, описанную полиномом,
Б.1.2, в сочетании с линейной начальной кривой с соответствующим конечным уклоном, определяемым либо из измерений, либо по
Б.2.2.4, если это может быть оправдано для проектирования.
Б.2.2.3 Если данные не указывают иное, начальный уклон кривой p-y в глине может быть рассчитан как

, (Б.11)
где

- эмпирический коэффициент;

- вертикальная деформация при половине максимальной разности основных напряжений при статическом недренированном трехосном компрессионном испытании образца грунта с ненарушенной структурой.
Для нормально уплотненной глины рекомендуется использовать

, а для переуплотненной глины

.
Б.2.2.4 В качестве альтернативы локализации первой точки дискретизации за пределами начала координат, при котором правильный начальный уклон приводит к кусочно-линейному приближению кривой
p-
y для глины, первая точка дискретизации за пределами начала координат может быть локализована при относительном смещении
y/
yc = 0,1 со значением ординаты
p/
pu = 0,23.
Б.2.3 Эффекты большого диаметра в глине
Б.2.3.1 Для свай диаметром до примерно 2,5 м эффекты большого диаметра могут учитываться.
Б.2.3.2 Для свай диаметром более 2,5 м, например, для моносвай и кессонов учет эффектов большого диаметра возможен только при использовании альтернативных методов расчетов, таких как расчет МКЭ.
Б.2.4 Кривые p-y для песка
Б.2.4.1 Рекомендуемые замкнутые формы кривых
p-
y для песка в
Б.1.3 имеют предельные начальные уклоны и, следовательно, предельные начальные жесткости. Всякий раз, когда дискретные аппроксимации этих кривых необходимы в расчетах с линейными кривыми, проведенными между точками дискретизации, важно наложить достаточно чистую дискретизацию вблизи начала координат кривых
p-
y, чтобы получить правильное представление начальных уклонов.
(справочное)
РАСПРЕДЕЛЕНИЯ НАПРЯЖЕНИЯ ГРУНТА
В.1 Теории распределения напряжений
В.1.1 Общие положения
В.1.1.1 Распределение напряжений в грунте составляет основу для прогнозирования осадок грунта. Несколько выбранных выражений напряжения из теории упругости представлены в
В.1.2.
В.1.1.2 Хотя преимуществом теории упругости является возможность всегда обеспечивать уникальное решение, нелинейное соотношение "напряжение - деформация" и пластичность грунтов значительно уменьшают применимость теории упругости при практическом проектировании фундамента. Это относится как к оценке распределения контактных напряжений по подошве фундамента, так и к распределению напряжений с глубиной. Тем не менее прогнозы осадки, основанные на напряжениях, рассчитанных в соответствии с теорией упругости, неоднократно показывали достаточное совпадение с измеренными величинами, что служит обоснованием дальнейшего использования доступных решений в рамках теории упругости. На практике использование теории упругости для оценки распределения напряжений в грунте должно быть подкреплено обоснованными суждениями экспертов.
В.1.2 Распределение напряжений по теории упругости
В.1.2.1 Компонент вертикального напряжения, обусловленный точечной нагрузкой Q, может быть выражен как

, (В.1)
где Q - точечная нагрузка;
z - глубина ниже поверхности;

- угол относительно вертикали для положения рассматриваемой точки, связанной с положением точечной нагрузки, также называемый углом апертуры.
Это выражение справедливо для несжимаемых грунтов с коэффициентом Пуассона

и постоянным модулем Юнга.
В.1.2.2 На основе полуэмпирического решения с введением коэффициента концентрации напряжений n получено более гибкое выражение для компонента вертикального напряжения из-за точечной нагрузки Q:

. (В.2)
В.1.2.3 Коэффициент концентрации напряжений
n относится к коэффициенту Пуассона

и параметру
d следующим образом:

, (В.3)
где параметр d является показателем, используемым для выражения изменения модуля Юнга E с глубиной
E = kzd, (В.4)
где k - константа;
z - глубина.
Для нормально уплотненных грунтов поперечно-вертикальный коэффициент напряжения
K0 относится к углу внутреннего трения

через

, (В.5)
что подразумевает

, (В.6)
и

. (В.7)
При

коэффициент концентрации напряжений
n будет равен 4, что означает, что модуль упругости линейно возрастает с глубиной. При
n становится примерно 5.
Из-за нелинейного поведения грунта в разрезе "напряжение - деформация", зависимости уровня напряжения от свойств грунта и влияния сжимаемости грунта угол внутреннего трения плотного песка значительно снизится с глубиной и приблизится к значению, которое связано с критической плотностью на больших глубинах. Это делает значения

и
n = 5, что маловероятно для песка на больших глубинах.
В.1.2.4 В качестве примера влияния поперечной анизотропии на распределение напряжений из-за точечной нагрузки, когда модуль упругости линейно возрастает с глубиной. В этом случае применяется выражение для напряжения из
В.1.2.3 с
d = 1, и отношение модулей упругости в горизонтальном и вертикальном направлениях, соответственно
Eh и
E0, считается постоянным во всей массе грунта:

. (В.8)
С такими условиями выражение для вертикального напряжения становится

, (В.9)
где функция

(В.10)
приведена на
рисунке В.1. Отмечается, что при

коэффициент концентрации напряжений
n связан с
k следующим образом:

, (В.11)
что, в частности, означает, что k = 2 для n = 3. Это соответствует условиям в предварительно нагруженном грунте, т.е. в переуплотненном грунте. Для предварительно нагруженного песка n = 4 и k = 1 будут представлять собой разумный подход на начальном этапе.
Рисунок В.1 - Соотношение между функцией

и углом апертуры

при разных значениях коэффициента
В.1.3 Распределение напряжений методом Janbu (Джанбу)
В.1.3.1 Особенностью метода упругого полупространства является условие, при котором прогнозируемые краевые напряжения для совершенно жестких фундаментов на упругих полупространствах могут быть бесконечно высокими. Эта особенность особенно нереалистична для мелких фундаментов в песке. Однако разница между прогнозом и реальностью уменьшается с увеличением глубины внедрения фундамента.
В.1.3.2 В соответствии с методом Janbu (Джанбу) максимальное задействованное напряжение при сдвиге

вблизи края фундамента выражается:

, (В.12)
где

- напряжение разрушения (прочность на сдвиг);
Fe - коэффициент безопасности по отношению к локальному пластическому течению вблизи края фундамента.
Средняя прочность на сдвиг

грунта:

, (В.13)
где F - средний коэффициент безопасности.
Коэффициент

(В.14)
представляет собой коэффициент концентрации напряжений, который указывает на изменение давления по плоскости контакта вдоль площади фундамента. Коэффициент fe обычно изменяется от 1,0 до 1,5. Разумное среднее значение составляет 1,25.
В.1.3.3 Среднее напряжение сдвига

допускается оценить для нормальных условий нагружения из выражения в
В.1.3.2. Задействованное напряжение сдвига

вблизи уровня фундамента выражается как

. (В.15)
В.1.3.4 Напряжение сдвига

по периметру нагруженной области на
рисунках В.2 и
В.3 влияет на распределение вертикального напряжения через соотношение

, (В.16)
где qn - дополнительное вертикальное напряжение на уровне фундамента;

- дополнительное вертикальное напряжение на глубине
z ниже уровня фундамента;
Af - площадь;
Of - периметр фундамента.
Обе величины,

и

, будут постепенно приближаться к нулю с увеличением глубины
z.
B - ширина фундамента;
D - глубина заглубления фундамента;
H - глубина ниже уровня фундамента до уровня, где увеличение напряжения из-за нагружения фундамента равно нулю;
z - глубина ниже уровня фундамента;
g - ускорение свободного падения;

- средняя плотность водонасыщенного грунта выше уровня фундамента;

- средняя плотность водонасыщенного грунта ниже уровня фундамента.
Рисунок В.2 - Распределение напряжений ниже опорной
поверхности на нормально уплотненном грунте
Рисунок В.3 - Влияние напряжений сдвига
по периметру на повышение давления

В.1.3.5 На глубине
H ниже уровня фундамента увеличение напряжения, связанное с нагрузкой фундамента, считается равным нулю (см.
рисунок В.2). Для поверхностной нагрузки
H зависит главным образом от коэффициента концентрации напряжений
fe, определенного в
В.1.3.2, и от формы нагруженной области. Глубина
H будет увеличиваться с увеличением приложенной нагрузки.
В.1.3.6 Для кольцевого фундамента с диаметром
B условие
В.1.3.4 приводит к следующему выражению для вертикального напряжения из-за нагрузки фундамента:

. (В.17)
В.1.3.7 При вводе безразмерных параметров
h =
H/
B и

уравнение в
В.1.3.6 может быть перегруппировано в следующее уравнение для определения нормированного вертикального напряжения в зависимости от прилагаемого вертикального напряжения фундамента
qh:

. (В.18)
В.1.3.8 Напряжение сдвига по периметру

допускается оценить, приняв пассивное давление грунта ниже края фундамента. Следовательно,

, (В.19)
где D - глубина заглубления фундамента;

- задействованный угол внутреннего трения
Kp - коэффициент пассивного давления грунта, см.
рисунок В.4;

,

- средние веса водонасыщенного грунта выше и ниже уровня фундамента соответственно.
В.1.3.9 Задействованный угол внутреннего трения

для песка должен удовлетворять уравнению общей несущей способности:

, (В.20)
где

- 1 - 0,3·
B/
L;
sq - 1,0;
Nq - коэффициент запаса по несущей способности, см.
рисунок В.4;

- коэффициент запаса по несущей способности, см.
рисунок В.4;
L - длина прямоугольной площади фундамента.
Значения
Kp,
Nq,

оцениваются по рисунку В.4.
Рисунок В.4 - Коэффициенты запаса по несущей способности

,
Nq и коэффициент пассивного давления грунта
Kp
как функции

, где

- задействованный
угол внутреннего трения
В.1.4 Теоретические распределения напряжений
В.1.4.1 На распределение напряжений ниже фундамента влияет гибкость подошвы фундамента. Чем меньше гибкость подошвы фундамента, тем больше концентрация напряжения на краю фундамента.
В.1.4.2 На
рисунке В.5 показаны два распределения контактных напряжений на квадратной пластине в идеальных условиях, а именно: параболическое распределение по жесткой пластине и равномерное распределение по гибкой квадратной опоре. Распределение напряжений с глубиной ниже центра фундамента, точка
D, показано для двух случаев на
рисунке В.6. По всей видимости, жесткость пластины влияет на распределение напряжений и, следовательно, осадку точки
D на глубину примерно 1,5·
B.
В.1.4.3 Ниже так называемой особой точки, определенной на
рисунке В.5, распределение вертикального напряжения с глубиной не зависит от распределения контактного напряжения по ширине опоры.
В.1.4.4 Для прямоугольной пластины
B·
L особые точки расположены на диагоналях на расстоянии

от центральной линии пластины. Расположение особых точек для квадратной опоры
B·
B показано на
рисунке В.5.
В.1.4.5 Для круглой области с диаметром B особые точки расположены на расстоянии 0,35·B от центра пластины.
В.1.4.6 Если распределение напряжений ниже особой точки используется в расчете осадки, нет необходимости знать фактическое распределение контактного давления по площади фундамента. Расчетная осадка в этом случае будет соответствовать средней осадке.
Рисунок В.5 - Влияние жесткости пластины
на контактное давление и определение особой точки
Рисунок В.6 - Влияние жесткости пластины на вертикальное
распределение напряжений ниже центра пластины
В.1.5 Эмпирические распределения напряжений
В.1.5.1 Предлагаются эмпирические распределения напряжений, которые не основаны на теории упругости. Для компонента вертикального напряжения под центром прямоугольного фундамента шириной B и длиной L:

, (В.21)
где z - глубина ниже фундамента;
Q - предполагаемая нагрузка.
Отмечается, что это распределение напряжений с глубиной основано на предположении о дисперсии напряжения 1:2 с глубиной. Выражение допускается обобщить следующим образом:

(В.22)
для общего случая дисперсии напряжений 1:n с глубиной.
| ИСО 19901-8:2014 | Нефтяная и газовая промышленность. Специальные требования, предъявляемые к морским сооружениям. Часть 8. Исследование морского грунта (Petroleum and natural gas industries. Specific requirements for offshore structures. Part 8: Marine soil investigations) |
| DNVGL-RP-E303-2017 | Инженерно-геологическое проектирование и установка вакуумных свай в глинистый грунт (Geotechnical design and installation of suction anchors in clay) |
| API RP 2A-WSD | Рекомендации для планирования, проектирования и строительства стационарных морских платформ. Расчет по допускаемым напряжениям (Recommended Practice for Planning, Designing and Constructing Fixed Offshore Platforms - Working Stress Design) |
| ИСО 19901-4:2016 | Нефтяная и газовая промышленность. Специальные требования, предъявляемые к морским сооружениям. Часть 4. Рекомендации по инженерно-геологическому проектированию и проектированию фундамента (Petroleum and natural gas industries. Specific requirements for offshore structures. Part 4: Geotechnical and foundation design considerations) |
| DNVGL-OS-C101 | Проектирование подводных стальных конструкций с применением коэффициентов запаса по нагрузке и прочности. Общие требования (Design of offshore steel structures, general - LRFD method) |
| DNVGL-ST-0126 | Опорные конструкции для ветряных турбин (Support structures for wind turbines) |
| DNVGL-RP-N103 | Моделирование и расчет морских операций (Modelling and analysis of marine operations) |
УДК 622.276.04 | |
Ключевые слова: нефтяная и газовая промышленность, системы подводной добычи, морские грунты, геотехническое проектирование |