Главная // Актуальные документы // ПНСТ (Предварительный национальный стандарт)СПРАВКА
Источник публикации
М.: Стандартинформ, 2016
Примечание к документу
Документ утратил силу с 1 июня 2019 года в связи с истечением срока действия, установленного
Приказом Росстандарта от 21.07.2016 N 55-пнст. Взамен введен в действие
ГОСТ Р 58401.12-2019, утв.
Приказом Росстандарта от 06.06.2019 N 297-ст.
Документ
введен в действие с 1 сентября 2016 года на период по 1 июня 2019 года (
Приказ Росстандарта от 21.07.2016 N 55-пнст).
Название документа
"ПНСТ 133-2016. Предварительный национальный стандарт. Дороги автомобильные общего пользования. Смеси асфальтобетонные дорожные и асфальтобетон. Метод определения динамического модуля упругости"
(утв. и введен в действие Приказом Росстандарта от 21.07.2016 N 55-пнст)
"ПНСТ 133-2016. Предварительный национальный стандарт. Дороги автомобильные общего пользования. Смеси асфальтобетонные дорожные и асфальтобетон. Метод определения динамического модуля упругости"
(утв. и введен в действие Приказом Росстандарта от 21.07.2016 N 55-пнст)
Утвержден и введен в действие
агентства по техническому
регулированию и метрологии
от 21 июля 2016 г. N 55-пнст
ПРЕДВАРИТЕЛЬНЫЙ НАЦИОНАЛЬНЫЙ СТАНДАРТ
ДОРОГИ АВТОМОБИЛЬНЫЕ ОБЩЕГО ПОЛЬЗОВАНИЯ
СМЕСИ АСФАЛЬТОБЕТОННЫЕ ДОРОЖНЫЕ И АСФАЛЬТОБЕТОН
МЕТОД ОПРЕДЕЛЕНИЯ ДИНАМИЧЕСКОГО МОДУЛЯ УПРУГОСТИ
Automobile roads of general use. Road hot asphalt mixtures
and asphalt. Method for determination of the dynamic modulus
of elasticity
ПНСТ 133-2016
Срок действия
с 1 сентября 2016 года
по 1 июня 2019 года
1 РАЗРАБОТАН Закрытым акционерным обществом "Институт "СТРОЙПРОЕКТ" (ЗАО "Институт "СТРОЙПРОЕКТ") совместно с Автономной некоммерческой организацией "Научно-исследовательский институт транспортно-строительного комплекса" (АНО "НИИ ТСК")
2 ВНЕСЕН Техническим комитетом по стандартизации ТК 418 "Дорожное хозяйство"
3 УТВЕРЖДЕН И ВВЕДЕН В ДЕЙСТВИЕ
Приказом Федерального агентства по техническому регулированию и метрологии от 21 июля 2016 г. N 55-пнст
4 ВВЕДЕН ВПЕРВЫЕ
Правила применения настоящего стандарта и проведения его мониторинга установлены в ГОСТ Р 1.16-2011 (
разделы 5 и
6).
Федеральное агентство по техническому регулированию и метрологии собирает сведения о практическом применении настоящего стандарта. Данные сведения, а также замечания и предложения по содержанию стандарта можно направить не позднее, чем за девять месяцев до истечения срока его действия, разработчику настоящего стандарта по адресу: tk418@bk.ru и в Федеральное агентство по техническому регулированию и метрологии по адресу: Ленинский просп., д. 9, Москва В-49, ГСП-1, 119991.
В случае отмены настоящего стандарта соответствующее уведомление будет опубликовано в ежемесячно издаваемом информационном указателе "Национальные стандарты" и журнале "Вестник технического регулирования". Уведомление будет размещено также на официальном сайте Федерального агентства по техническому регулированию и метрологии в сети Интернет (www.gost.ru)
Настоящий стандарт разработан с учетом основных нормативных положений AASHTO T 342 "Стандартная методика определения динамического модуля горячей асфальтовой смеси" (AASHTO T 342 "Determining dynamic modulus of hot mix asphalt") и входит в комплекс стандартов, нормирующих метод объемного проектирования асфальтобетонных смесей в Российской Федерации.
Настоящий стандарт распространяется на асфальтобетонные дорожные смеси и асфальтобетон, предназначенные для устройства конструктивных слоев дорожной одежды, и устанавливает метод определения динамического модуля упругости асфальтобетона в определенных диапазонах температур и нагрузочных частот.
В настоящем стандарте использованы нормативные ссылки на следующие стандарты:
ГОСТ 12.4.252-2013 Система стандартов безопасности труда. Средства индивидуальной защиты рук. Перчатки. Общие технические требования. Методы испытаний
ГОСТ Р 12.1.019-2009 Система стандартов безопасности труда. Электробезопасность. Общие требования и номенклатура видов защиты
ПНСТ 92-2016 Дороги автомобильные общего пользования. Смеси асфальтобетонные дорожные и асфальтобетон. Метод определения максимальной плотности
ПНСТ 106-2016 Дороги автомобильные общего пользования. Смеси асфальтобетонные дорожные и асфальтобетон. Метод определения объемной плотности
Примечание - При пользовании настоящим стандартом целесообразно проверить действие ссылочных стандартов в информационной системе общего пользования - на официальном сайте Федерального агентства по техническому регулированию и метрологии в сети Интернет или по ежегодному информационному указателю "Национальные стандарты", который опубликован по состоянию на 1 января текущего года, и по выпускам информационного указателя "Национальные стандарты" за текущий год. Если заменен ссылочный стандарт, на который дана недатированная ссылка, то рекомендуется использовать действующую версию этого стандарта с учетом всех внесенных в данную версию изменений. Если заменен ссылочный стандарт, на который дана датированная ссылка, то рекомендуется использовать версию этого стандарта с указанным выше годом утверждения (принятия). Если после утверждения национального стандарта в ссылочный стандарт, на который дана датированная ссылка, внесено изменение, затрагивающее положение, на которое дана ссылка, то это положение рекомендуется применять без учета данного изменения. Если ссылочный стандарт отменен без замены, то положение, в котором дана ссылка на него, рекомендуется применять в части, не затрагивающей эту ссылку.
В настоящем стандарте применены следующие термины с соответствующими определениями:
3.1 комплексный модуль (complex modulus): Комплексная величина, устанавливающая взаимосвязь между напряжением и деформацией материала с линейными вязкостно-упругими свойствами.
3.2 динамический модуль (dynamic modulus): Абсолютное значение, полученное делением максимального (полного) напряжения на максимальную (полную) упругую деформацию материала, подверженного синусоидальной нагрузке.
3.3 фазовый угол (phase angle): Угол между функцией синусоидально приложенного максимального напряжения и функцией результирующей максимальной деформации во время испытания.
3.4 испытуемый образец (test sample): Уплотненная асфальтобетонная смесь цилиндрической формы, диаметром (102 +/- 2) мм и высотой (150,0 +/- 2,5) мм.
3.5 образец (SGC sample): Уплотненная асфальтобетонная смесь цилиндрической формы, диаметром (150 +/- 1) мм и высотой (170 +/- 1) мм.
4. Требования к испытательному оборудованию, средствам
измерения и вспомогательным устройствам
При выполнении работ по определению динамического модуля упругости асфальтобетона применяют следующее испытательное оборудование, средства измерений и вспомогательные устройства:
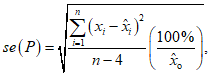
4.1 Испытательная машина, способная создавать синусоидальную сжимающую нагрузку в диапазоне частот от 0,1 до 25,0 Гц и напряжением до 2800 кПа. При синусоидальной нагрузке стандартная ошибка в значении приложенной нагрузки не должна превышать 5%. Стандартная ошибка в значении приложенной нагрузки - это разность между замеренной нагрузкой и оптимальной синусоидой нагрузки. Стандартную ошибку в значении приложенной нагрузки вычисляют по формуле

(1)
где se(P) - стандартная ошибка в значении приложенной нагрузки;
xi - измеренное напряжение в точке i, кПа;

- прогнозируемое напряжение в точке
i, снятое с оптимальной синусоиды, кПа;
n - общее число точек, в которых было измерено напряжение во время испытания;

- напряжение на амплитуде оптимальной синусоиды.
4.1.1 Система управления и сбора данных должна обеспечивать сохранение данных (уровень напряжения, осевая деформация) в их хронологической последовательности. Система должна измерять время приложения синусоидальной нагрузки и результирующих деформаций. Характеристики измерительной системы приведены в таблице 1.
Таблица 1
Измеряемая величина | Диапазон измерения | Разрешающая способность |
Нагрузка | 0,12 - 25 кН | Не более 0,0012 кН |
Деформация | <= 1 мм | Не более 0,0002 мм |
4.1.2 Климатическая камера, способная термостатировать образцы при разных температурах.
Климатическая камера должна поддерживать температуру испытания образца в диапазоне от минус 10 °C до 60 °C с точностью 0,5 °C. Камера должна быть достаточно вместительной, чтобы разместить испытуемый образец и фиктивный образец с термопарой, установленной в центре для контроля температуры.
4.2 Вращательный уплотнитель (гиратор) и вспомогательное оборудование для подготовки образцов. Уплотнитель должен быть рассчитан на уплотнение образцов высотой не менее 170 мм.
4.3 Сушильный шкаф, способный нагревать и поддерживать температуру до 220 °C с погрешностью 3 °C.
4.4 Осевые деформации следует замерять с помощью линейного дифференциального датчика (далее - ЛДД), установленного между точками контроля. Пример установки датчика ЛДД приведен на рисунке 1.
d - диаметр испытуемого образца
Рисунок 1 - Общая схема расположения точек измерения
Деформации следует измерять в четырех точках, диаметрально противоположных друг другу. Это обусловлено тем, что в случае отказа одного ЛДД можно пренебречь показаниями противоположного ЛДД и основываться на измерениях двух ЛДД для получения среднего значения деформации. Наибольший предел измерения деформации должен быть равным 0,5 мм. Деформацию следует измерять между точками на образце, удаленными друг от друга в соответствии с
рисунком 1. Система измерения деформации должна иметь функцию автоматического обнуления и функцию выбора диапазона измерений согласно таблице 2.
Таблица 2
Диапазон измерений, мм | Разрешающая способность, мм |
До 0,5 | 0,0100 |
До 0,25 | 0,0050 |
До 0,125 | 0,0025 |
До 0,0625 | 0,0010 |
4.5 Нагрузочные диски диаметром (104,5 +/- 0,5) мм, используемые для укладки сверху и снизу образца для передачи нагрузки с испытательной машины на образец.
Примечание - Как правило, эти диски изготавливаются из закаленной стали либо из высокопрочного анодированного алюминия. Если диски изготовлены из более мягкого материала, потребуется более частая их замена. Материалы с модулем упругости и твердостью ниже, чем у алюминия марки АД-33, применять не следует.
4.6 Амортизирующие прокладки, которые устанавливают между торцами образца и нагрузочными дисками для уменьшения трения. Эти прокладки состоят из двух тефлоновых листов или двух мембран из латекса толщиной (0,30 +/- 0,05) мм и диаметром (104,5 +/- 0,5) мм, между которыми нанесен слой силиконовой смазки.
4.7 Установка для распила асфальтобетона (циркулярная пила) для обработки торцов образцов. Циркулярная пила должна иметь алмазную режущую кромку и должна отпиливать торцы образцов без нагрева и ударной нагрузки.
4.8 Колонковый бур, снабженный системой охлаждения и алмазным наконечником для выбуривания образцов диаметром (102 +/- 2) мм.
Примечание - Для использования рекомендуется буровая установка со скоростью вертикальной подачи 0,05 мм/об и угловой скоростью 450 мин-1. Для отбора образцов можно также использовать электрический пробоотборник с держателем.
Сущность метода заключается в определении динамического модуля упругости асфальтобетона и фазового угла. Синусоидальное осевое сжимающее напряжение прикладывают к образцу асфальтобетона при заданной температуре и заданной частоте нагружения. Проводят измерения напряжения, приложенного к образцу и результирующей осевой деформации образца. На основе полученных данных проводят расчет динамического модуля упругости асфальтобетона и фазового угла.
6. Требования безопасности и охраны окружающей среды
При выполнении измерений соблюдают правила электробезопасности по
ГОСТ Р 12.1.019 и инструкции по эксплуатации оборудования.
7. Требования к условиям измерений
При приготовлении и испытании асфальтобетонных образцов соблюдают следующие условия для помещений:
- температура - (22 +/- 3) °C;
- относительная влажность - (55 +/- 15)%.
Если образцы не будут испытаны в течение ближайших двух суток, обертывают их в полиэтиленовую пленку и хранят в закрытом помещении при температуре (22 +/- 3) °C. Образцы при хранении не следует укладывать друг на друга.
Примечание - Для исключения влияния эффекта естественного старения на результаты испытания рекомендуется ограничить срок хранения образцов до испытания двумя неделями.
8. Подготовка к выполнению измерений
При подготовке к выполнению измерений проводят следующие работы:
- изготовление образцов;
- подготовка испытуемых образцов;
- подготовка и настройка оборудования к измерениям.
8.1 Изготовление образцов
Асфальтобетонные смеси, приготовленные в лабораторных условиях, должны быть термостатированы путем их выдерживания в сушильном шкафу при температуре 135 °C в течение (240 +/- 5) мин, при этом необходимо перемешивать асфальтобетонную смесь каждые (60 +/- 5) мин. Толщина слоя асфальтобетонной смеси на поддоне во время термостатирования должна быть в пределах от 25 до 50 мм. Образцы смеси, отобранные в полевых условиях, предварительного термостатирования перед испытаниями не требуют.
Для определения динамического модуля используют образцы из асфальтобетонной смеси, уплотненные с помощью вращательного уплотнителя (гиратора). Высота образца должна составлять (170 +/- 1) мм. Диаметр образца должен быть (150 +/- 2,5) мм.
8.2 Подготовка испытуемых образцов
При подготовке испытуемых образцов для испытания необходимо осуществить следующие операции:
- выбуривают испытуемый образец диаметром (102 +/- 2) мм из середины асфальтобетонного образца, уплотненного с помощью вращательного уплотнителя. Колонковый бур и уплотненный образец должны устанавливаться на устойчивой опоре так, чтобы выбуриваемый испытуемый образец имел строго цилиндрическую форму, а его наружные поверхности были параллельными, без уступов, гребней и бороздок;
- измеряют диаметр испытуемого образца с помощью штангенциркуля по
ГОСТ 166 в трех точках относительно высоты образца и в трех точках, расположенных под углом 90° относительно друг друга. Следует зафиксировать результаты всех шести замеров с точностью до 1 мм. Рассчитывают среднее значение и стандартное отклонение шести замеров. Если стандартное отклонение превышает 2,5 мм, испытуемый образец должен быть отбракован. Если результаты замеров приемлемы, средний диаметр, зафиксированный с точностью до 1 мм, должен использоваться во всех последующих расчетах;
- обрабатывают с помощью циркулярной пилы торцевые поверхности всех испытуемых образцов так, чтобы высота образца составляла (150,0 +/- 2,5) мм. Поверхности торцов испытуемых образцов должны быть перпендикулярными к вертикальной оси образца. Торцевая плоскость испытуемого образца не должна отклоняться от перпендикулярности более чем на 1°, что соответствует 2,7 мм при длине образца 152,4 мм. Это требование должно быть проверено на каждом образце с помощью угольника по
ГОСТ 3749 и штангенциркуля по
ГОСТ 166. Если данное требование не соблюдено, отбраковывают соответствующие образцы;
- плоскостность поверхности торцов испытуемого образца не должна превышать 0,05 мм. Это требование должно быть проверено как минимум в трех точках, отстоящих друг от друга примерно на 120° с использованием угольника по
ГОСТ 3749 и набора измерительных щупов толщиной от 0,02 до 0,05 мм;
- определяют остаточную пористость в испытуемом образце, подготовленном для окончательных испытаний, по формуле

(2)
где V - остаточная пористость, %;
Gmm - максимальная плотность асфальтобетонной смеси, определенная в соответствии с
ПНСТ 92, г/см
3;
Gmb - объемная плотность образцов, определенная в соответствии с
ПНСТ 106, г/см
3.
При определении динамического модуля упругости остаточная пористость асфальтобетона должна составлять (7,0 +/- 0,5)%. Если остаточная пористость превышает требуемое значение, образец отбраковывают.
Для испытаний рекомендуется подготовить не менее трех испытуемых образцов.
8.3 Подготовка и настройка оборудования к измерениям
Перед испытанием необходимо прикрепить монтажные шпильки ЛДД к боковым поверхностям испытуемого образца эпоксидным клеем. Расположение монтажных шпилек и крепежных средств ЛДД показано на рисунке 2.
Рисунок 2 - Схема расположения монтажных шпилек
и крепежных средств ЛДД
Примечание - Для крепления шпилек рекомендуется использовать быстросхватывающийся эпоксидный клей, прочность на отрыв которого составляет не менее 20 МПа.
Схема проведения испытания по определению динамического модуля упругости представлена на рисунке 3.
Рисунок 3 - Схема проведения испытания по определению
динамического модуля упругости
9. Порядок выполнения измерений
Для построения обобщающих кривых и анализа эксплуатационных характеристик дорожного покрытия испытание должно быть проведено при температурах минус 10 °C; 4,4 °C; 21,1 °C; 37,8 °C и 54 °C и нагрузочных частотах 0,1; 0,5; 1; 5; 10 и 25 Гц при каждой из перечисленных температур.
При определении динамического модуля упругости асфальтобетона необходимо осуществить следующие операции:
- помещают испытуемый образец в климатическую камеру и дожидаются стабилизации заданной температуры испытания. Для определения того момента, когда температура испытуемого образца достигнет тестового значения, используют контрольный образец, в центре которого закреплена термопара. В таблице 3 приведено ориентировочное время стабилизации температуры;
Таблица 3
Температура образца, °C | Время, отсчитываемое от момента, когда образец находился при комнатной температуре 25 °C, ч | Время, отсчитываемое от момента, когда образец находился при температуре предыдущего испытания, ч |
Минус 10 | 8 | 8 |
4,4 | 8 | От 4 до 8 |
21,1 | 1 | 3 |
37,8 | 2 | 2 |
54 | 3 | 1 |
- устанавливают амортизирующую прокладку на диск из закаленной стали. Устанавливают испытуемый образец на прокладку и прикрепляют осевые ЛДД к крепежным элементам, ранее приклеенным к испытуемому образцу. Регулируют ЛДД для всего диапазона деформации при испытании;
- устанавливают амортизирующую прокладку и диск из закаленной стали на верхнюю поверхность испытуемого образца. Отцентровывают испытуемый образец;
- прикладывают контактную нагрузку Pmin, равную (15 +/- 5) кПа, для обеспечения плотного прижатия испытуемого образца, не деформируя его. При необходимости регулируют электронную измерительную систему;
- прикладывают синусоидальную (динамическую) циклическую нагрузку на образец. Динамическая нагрузка должна быть отрегулирована таким образом, чтобы осевая деформация находилась в пределах от 50 до 150 мкм/м (от 0,0005 до 0,0015 мм/см). В начале испытания проводят предварительное нагружение испытуемого образца так, чтобы осевая деформация находилась в пределах от 50 до 150 мкм/м (от 0,0005 до 0,0015 мм/см), выполнив 200 циклов с частотой 25 Гц;
Примечание - Динамическая нагрузка зависит от жесткости испытуемого образца и обычно находится в пределах от 15 до 2800 кПа. Чем ниже температура, тем больше должна быть нагрузка. Типовые динамические напряжения при разных температурах представлены в таблице 4.
Таблица 4
Температура, °C | Диапазон нагружения, кПа |
Минус 10 | 1400 - 2800 |
4,4 | 700 - 1400 |
21,1 | 350 - 700 |
37,8 | 140 - 250 |
54 | 35 - 70 |
- при проведении испытаний следует начинать с самой низкой температуры и постепенно переходить к самой высокой, т.е. от минус 10 °C до 54 °C. При каждой температуре прикладывают нагрузку от самой высокой до самой низкой частоты, т.е. от 25 до 0,1 Гц. Приложение нагрузки к испытуемому образцу проводят в соответствии с таблицей 5. Стандартная выдержка между испытаниями при разной частоте - 2 мин. Выдержка между двумя испытаниями при двух разных частотах не должна превышать 30 мин.
Таблица 5
Частота, Гц | Число циклов |
25 | 200 |
10 | 200 |
5 | 100 |
1 | 20 |
0,5 | 15 |
0,1 | 15 |
После окончания серии испытаний испытуемый образец должен быть утилизирован. Если суммарная пластическая деформация превышает 1,5 мм, испытание следует проводить заново, используя новый испытуемый образец.
10. Обработка результатов измерений
В настоящем разделе приведена процедура расчетов динамического модуля

и фазового угла

с использованием данных по конкретным частотам нагрузки

.
Примечание - Данные, полученные при проведении испытаний по определению динамического модуля при частоте

, хранятся в виде нескольких массивов: массив времени [
ti], массив напряжений

и массив для каждого датчика деформации
j = 1, 2, 3,...,

. Число точек
i = 1, 2, 3,...,
n в каждом массиве должно быть одинаковым, и оно зависит от числа измерений, выполненных в пределах одного цикла нагрузки. Рекомендуется, чтобы в каждом цикле было 50 точек измерений, и таким образом при пяти циклах нагружения общее число точек измерений должно быть 250.
Для расчета динамического модуля

и фазового угла

необходимо определить ряд других показателей.
10.1 Определяют среднее напряжение по следующей формуле:

(3)
где

- среднее напряжение, кПа;

- точка измерения напряжения
i в массиве, кПа;
n - число точек в массиве данных.
10.2 Затем рассчитывают центрированные напряжения по следующей формуле:

(4)
где

- центрированное напряжение в точке
i массива данных, кПа;

- точка измерения напряжения
i в массиве данных, кПа;

- среднее напряжение, кПа.
10.3 По значению центрированного напряжения рассчитывают три коэффициента напряжения: коэффициент неравномерности, синфазный и несинфазный коэффициенты напряжения по следующим формулам:

(5)

(6)

(7)
где

- коэффициент неравномерности напряжения, кПа;

- центрированное напряжение в точке
i массива данных, кПа;

- синфазный коэффициент напряжения, кПа;

- несинфазный коэффициент напряжения, кПа;

- частота приложенного напряжения, рад/с;
ti - время измерения в точке i в массиве данных, с;
n - число точек в массиве данных.
10.4 Используя коэффициенты напряжения, рассчитывают значения напряжения и фазовые углы по следующим формулам:

(8)

(9)
где

- значение напряжения, кПа;

- синфазный коэффициент напряжения, кПа;

- несинфазный коэффициент напряжения, кПа;

- фазовый угол напряжения, град.
10.5 Рассчитывают массив прогнозируемых центрированных напряжений и стандартную ошибку в расчетах приложенных напряжений по формулам:

(10)

(11)
где

- прогнозируемое центрированное напряжение в точке
i, кПа;

- коэффициент неравномерности напряжения;
| | ИС МЕГАНОРМ: примечание. Обозначения даны в соответствии с официальным текстом документа. | |

- синфазный коэффициент напряжения, кПа;

- несинфазный коэффициент напряжения, кПа;

- частота приложенного напряжения, рад/с;
ti - время измерения в точке i в массиве данных, с;

- стандартная ошибка в расчетах приложенных напряжений, %;

- центрированное напряжение в точке
i массива данных, кПа;
n - число точек в массиве данных;

- значение напряжения, кПа.
10.6 Вычисляют среднее значение деформации, определенное каждым датчиком деформации по следующей формуле:

(12)
где

- средняя деформация, измеренная датчиком
j, мкм/м;

- деформация, измеренная датчиком
j в точке
i массива данных, мкм/м;
n - число точек в массиве данных.
10.7 Корректируют данные по деформации, используя формулу

(13)
где

- корректированное значение деформации, измеренное датчиком
j в точке
i массива данных, мкм/м;

- деформация, измеренная датчиком
j в точке
i массива данных, мкм/м;
Dj - скорость отклонений показаний датчика
j,

;
ti - время измерения в точке i в массиве данных, с;

- средняя деформация, измеренная датчиком
j, мкм/м.
10.8 По корректированным и центрированным значениям, полученным от каждого датчика, рассчитывают три коэффициента деформации: коэффициент неравномерности, синфазный и несинфазный коэффициенты по следующим формулам:

(14)

(15)

(16)
где

- коэффициент неравномерности для датчика деформации
j, мкм/м;

- синфазный коэффициент деформации для датчика
j, мкм/м;

- несинфазный коэффициент деформации для датчика
j, мкм/м;

- корректированное и центрированное значение деформации, измеренное датчиком
j в точке
i массива данных, мкм/м;

- частота приложенного напряжения, рад/с;
ti - время в точке i в массиве данных, с;
n - число точек в массиве данных.
10.9 Используя коэффициенты деформации, рассчитывают значения и фазовые углы деформации по каждому датчику по следующим формулам:
| | ИС МЕГАНОРМ: примечание. Формула дана в соответствии с официальным текстом документа. | |

(17)

(18)
где

- значение деформации, измеренное датчиком
j, мкм/м;

- синфазный коэффициент деформации для датчика
j, мкм/м;

- несинфазный коэффициент деформации для датчика
j, мкм/м;

- фазовый угол деформации для датчика
j, рад.
10.10 По каждому датчику рассчитывают массив прогнозируемых корректированных и центрированных деформаций и стандартную ошибку по следующим формулам:

(19)

(20)
где

- прогнозируемая корректированная центрированная деформация, измеренная датчиком
j в точке
i, кПа;

- коэффициент неравномерности для датчика деформации
j, мкм/м;

- синфазный коэффициент деформации для датчика
j, мкм/м;

- несинфазный коэффициент деформации для датчика
j, мкм/м;

- частота приложенного напряжения, рад/с;
ti - время замера в точке i в массиве данных, с;

- стандартная ошибка датчика деформации
j, %;

- корректированное значение деформации, измеренное датчиком
j в точке
i массива данных, мкм/м;
n - число точек в массиве данных;

- значение деформации, измеренное датчиком
j, мкм/м.
10.11 Рассчитать средний фазовый угол, значение деформации и стандартную ошибку по всем датчикам m деформации, используя два коэффициента неравномерности, выражающих отклонения измерений датчиков деформации по следующим формулам:

(21)

(22)

(23)

(24)

(25)
где

- средний фазовый угол всех датчиков деформации, град;

- фазовый угол деформации для датчика
j, град;
m - число датчиков деформации;

- среднее значение деформации, мкм/м;

- значение деформации, измеренное датчиком
j, мкм/м;

- средняя стандартная ошибка всех датчиков деформации, %;

- коэффициент неравномерности датчиков деформации, %;

- коэффициент неравномерности фазового угла, град.
10.12 Рассчитывают фазовый угол и динамический модуль при выбранной частоте

, по следующим формулам:

(26)

(27)
где

- средний фазовый угол всех датчиков деформации, град;

- фазовый угол напряжения, град;

- фазовый угол между напряжением и деформацией при частоте

, град;

- значение напряжения, кПа;

- среднее значение деформации, мкм/м;

- динамический модуль при частоте

, кПа.
Протокол испытаний должен содержать следующую информацию:
- температуру испытаний;
- частоту напряжения при проведении испытаний;
- значение динамического модуля;
- значение среднего фазового угла между приложенным напряжением и измеренной деформацией;
- среднее значение деформации;
- значение напряжения;
- стандартную ошибку в измерениях приложенного напряжения;
- среднюю стандартную ошибку при измерениях деформации;
- коэффициент неравномерности при измерениях деформации;
- коэффициент неравномерности при измерениях фазового угла;
- идентификацию испытуемого асфальтобетона;
- дату проведения измерений;
- дату отбора асфальтобетонной смеси;
- наименование организации, проводившей измерения;
- ссылку на протокол приготовления образцов с помощью вращательного уплотнителя;
- ссылку на настоящий стандарт и отклонения от его требований;
- ссылку на тип испытательного оборудования.
12. Контроль точности результата испытания
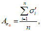
В дополнение к динамическому модулю и фазовому углу в результате анализа данных определяют четыре показателя качества данных: стандартную ошибку измерений деформации, среднюю стандартную ошибку измерений деформации, коэффициент неравномерности измерений деформации и коэффициент неравномерности измерений фазового угла.
Эти показатели качества данных могут быть использованы для оценки надежности данных. В таблице 6 приведены рекомендуемые пределы допустимых значений показателей качества данных.
Таблица 6
Показатель | Обозначение | Допуск |
Стандартная ошибка в измерениях приложенного напряжения | | <= 10% |
Средняя стандартная ошибка измерений деформации | | <= 10% |
Коэффициент неравномерности измерений деформации | | <= 10% |
Коэффициент неравномерности измерений фазового угла | | <= 10% |
Также точность результата испытания обеспечивается:
- соблюдением требований настоящего стандарта;
- проведением периодической оценки метрологических характеристик средств измерений;
- проведением периодической аттестации оборудования.
Лицо, проводящее измерения, должно быть ознакомлено с требованиями настоящего стандарта.
Испытательную систему следует калибровать до первоначального использования и, по меньшей мере, один раз в год или по требованию изготовителя либо после каждых 200 испытаний.