Главная // Актуальные документы // ПисьмоСПРАВКА
Источник публикации
М., 1995
Примечание к документу
Название документа
"Рекомендации по применению полых конических свай повышенной несущей способности. В развитие требований СНиП 2.02.03-85 "Свайные фундаменты"
(утв. Письмом Главного научно-технического управления Минстроя России от 07.12.1995 N 8-23/171)
"Рекомендации по применению полых конических свай повышенной несущей способности. В развитие требований СНиП 2.02.03-85 "Свайные фундаменты"
(утв. Письмом Главного научно-технического управления Минстроя России от 07.12.1995 N 8-23/171)
Письмом Главного
научно-технического
управления Министерства
строительства России
от 7 декабря 1995 г. N 8-23/171
МИНИСТЕРСТВО СТРОИТЕЛЬСТВА РОССИЙСКОЙ ФЕДЕРАЦИИ
НАУЧНО-ИССЛЕДОВАТЕЛЬСКИЙ, ПРОЕКТНО-ИЗЫСКАТЕЛЬСКИЙ
И КОНСТРУКТОРСКО-ТЕХНОЛОГИЧЕСКИЙ ИНСТИТУТ ОСНОВАНИЙ
И ПОДЗЕМНЫХ СООРУЖЕНИЙ ИМ. Н.М. ГЕРСЕВАНОВА
НИИОСП
ПЕРМСКИЙ ГОСУДАРСТВЕННЫЙ ТЕХНИЧЕСКИЙ УНИВЕРСИТЕТ
РЕКОМЕНДАЦИИ
ПО ПРИМЕНЕНИЮ ПОЛЫХ КОНИЧЕСКИХ СВАЙ
ПОВЫШЕННОЙ НЕСУЩЕЙ СПОСОБНОСТИ.
Составители: д-ра техн. наук А.А. Бартоломей, Б.В. Бахолдин, канд. техн. наук Б.С. Юшков, А.Б. Пономарев, Л.В. Сосновских.
Изложены технические требования, предъявляемые к полым коническим сваям в процессе их изготовления, транспортировки и монтажа, приведены данные о возможности применения полых конических свай в сложных геологических условиях.
Указания разработаны на основании экспериментальных и теоретических исследований, проведенных в 1983 - 1994 гг. на кафедре оснований, фундаментов и мостов Пермского государственного технического университета при участии НИИ оснований и подземных сооружений им. Н.М. Герсеванова.
Предлагаемые рекомендации распространяются на забивные железобетонные полые конические сваи для фундаментов зданий и сооружений и разработаны кафедрой оснований, фундаментов и мостов Пермского государственного технического университета при участии НИИОСП им. Н.М. Герсеванова.
Полые конические сваи, изготовленные методом центрифугирования, обладают рядом существенных преимуществ перед сваями, изготовленными из вибрированного железобетона:
- высокая механизация и автоматизация бетонных и арматурных работ;
- высокие физико-механические характеристики бетона (прочность бетона повышается в 1,2 - 1,5 раза);
- снижение расхода бетона на 40 - 50%, а стали на 10 - 20%;
- сокращение парка опалубочных форм;
- высокое качество изделий и их полная заводская готовность;
- небольшой собственный вес конструкций;
- возможность применения при слабо- и среднеагрессивных степенях воздействия.
При ударном погружении свай необходимо регулярно следить за целостностью прокладок в наголовнике молота и пришедшие в негодность своевременно заменять.
При забивке в зимнее время мерзлый грунт должен быть пройден скважиной или пробит лидером.
В грунтах с водами, обладающими слабой и средней сульфатной агрессивностью, долговечность полых конических свай выше, чем обычных забивных железобетонных свай квадратного сечения.
Сваи обозначают марками, состоящими из буквенных и цифровых обозначений, например СПК-6-38 - свая полая коническая длиной 6 м и диаметром в голове 38 см.
2. ОСНОВНЫЕ ПАРАМЕТРЫ И РАЗМЕРЫ СВАЙ
2.1. Полые конические сваи представляют собой полый усеченный конус из предварительно напряженного железобетона с армированием высокопрочной проволокой. Диаметр свай по острию принят равным 290 мм, сбег (коничность) - 1,5%. Толщина стенки сваи 70 мм.
2.2. Основные размеры полых конических свай указаны на рис. 1 и в
табл. 1.
Рис. 1
────────────┬────────────┬────────────┬───────────┬───────────┬────────────
Марка сваи │Длина сваи, │ Диаметр │Объем сваи,│Масса сваи,│ Вес
│ м │ головы, см │ м3 │ т │арматуры, кг
────────────┼────────────┼────────────┼───────────┼───────────┼────────────
СПК-3-33 │ 3,0 │ 33,5 │ 0,160 │ 0,40 │ 9,44
СПК-4-35 │ 4,0 │ 35,0 │ 0,212 │ 0,53 │ 13,08
СПК-5-36 │ 5,0 │ 36,5 │ 0,269 │ 0,67 │ 15,72
СПК-6-38 │ 6,0 │ 38,0 │ 0,330 │ 0,83 │ 25,73
СПК-7-39 │ 7,0 │ 39,5 │ 0,392 │ 0,98 │ 29,60
СПК-8-41 │ 8,0 │ 41,0 │ 0,460 │ 1,15 │ 33,46
СПК-9-42 │ 9,0 │ 42,5 │ 0,530 │ 1,33 │ 37,15
СПК-10-44 │ 10,0 │ 44,0 │ 0,600 │ 1,50 │ 54,67
СПК-11-45 │ 11,0 │ 45,5 │ 0,670 │ 1,68 │ 60,73
3. ТЕХНИЧЕСКИЕ ТРЕБОВАНИЯ
3.1. Сваи должны изготавливаться из тяжелого бетона проектных марок B25 - B30. Марка бетона по прочности на сжатие может приниматься выше или ниже указанной при соответствующем обосновании. Требуемая марка бетона устанавливается в проекте конкретного здания или сооружения.
3.2. Материалы, применяемые для приготовления бетона полых конических свай, должны удовлетворять требованиям следующих стандартов: цемент -
ГОСТ 10178-85, щебень, песок -
ГОСТ 10268-80.
3.3. Марку бетона свай по морозостойкости устанавливают при проектировании свайных фундаментов в зависимости от климатических условий района строительства и условий эксплуатации свай, и она должна быть не ниже F100 - при температуре до минус 20 °C, F150 - при температуре от минус 20 °C до минус 40 °C, F200 - при температуре ниже минус 40 °C.
3.4. Марка бетона по водопроницаемости для полых конических свай в соответствии с
ГОСТ 12730.5-84 должна быть не ниже B6.
3.5. Отпускная прочность бетона в изделии должна быть не ниже проектной прочности бетона на сжатие.
3.6. Для полых конических свай, используемых в условиях сильно агрессивной среды, в проектах назначают мероприятия в соответствии с требованиями
СНиП 2.03.11-85.
3.7. В качестве арматуры применяют сталь следующих видов и классов:
- напрягаемая арматура - высокопрочная проволока периодического профиля класса Вр-II
(ГОСТ 7348-81);
- усиливающие кольца - стержневая горячекатаная проволока периодического профиля класса А-III
(ГОСТ 5781-82);
- спираль и сетки - проволока периодического профиля класса Вр-I
(ГОСТ 6727-80) или обыкновенная гладкая проволока класса В-1
(ГОСТ 6727-80);
- монтажные кольца - стержневая горячекатаная проволока класса А-I
(ГОСТ 5781-82).
3.8. Сварные арматурные изделия и закладные детали должны удовлетворять требованиям
ГОСТ 10922-75.
3.9. Отклонения от проектных размеров полых конических свай, расположения арматуры, анкерных отверстий, а также проектной толщины защитного слоя бетона не должны превышать следующих величин, мм:
- по длине полых конических свай +/- 40;
- по размерам поперечного сечения +/- 5;
- по толщине стенки +/- 5;
- по толщине защитного слоя бетона +/- 5;
- по расстоянию от центра анкерных отверстий до конца сваи +/- 50;
- по смещению продольной арматуры от проектного положения в поперечном направлении +/- 5;
- по шагу спирали и расположению монтажных колец +/- 10;
- по расположению усиливающих колец +/- 5;
- по смещению сеток в голове сваи +/- 10.
3.10. Отклонение от перпендикулярности торцевой поверхности головной части сваи от оси сваи не допускается.
3.11. На поверхности сваи не допускаются раковины диаметром и глубиной более 5 мм, наплывы бетона высотой более 5 мм, трещины.
3.12. На боковой поверхности полых конических свай на расстоянии 50 см от торца наносят несмываемой краской:
- товарный знак предприятия-изготовителя;
- марку сваи;
- дату изготовления;
- штамп ОТК;
- массу сваи.
4.1. Приемка свай производится партиями (не более 100 шт.). В состав партии входят сваи одной марки, последовательно изготовленные на предприятиях по одной технологии из материалов одного вида и качества в течение не более одних суток.
4.2. Результаты приемочного контроля и испытаний записывают в журналах отдела технического контроля или заводской лаборатории.
4.3. Все сваи, предъявляемые к приемке, проверяют на качество поверхностей.
4.4. Для проверки формы и геометрических размеров полых конических свай от партии отбирают контрольные образцы в количестве 5%.
4.5. Для оценки прочности и трещиностойкости свай, проверки расположения арматуры и защитного слоя бетона от каждой партии отбирают контрольные образцы в количестве двух свай.
4.6. Если при проверке отобранных образцов окажется, что одна свая не соответствует требованиям настоящих технических указаний, следует отобрать удвоенное количество образцов от той же партии свай и произвести проверку. Если при повторной проверке окажется, что хотя бы одна свая не удовлетворяет требованиям настоящих технических указаний, то данная партия свай подлежит приемке поштучно.
4.7. Морозостойкость и водопроницаемость бетона определяют не реже одного раза в шесть месяцев при серийном изготовлении свай, а также при освоении производства, изменении технологии и вида применяемых материалов.
4.8. Потребитель имеет возможность производить выборочный или поштучный приемочный контроль свай на заводе-изготовителе, соблюдая при этом требования настоящих технических указаний и
ГОСТ 13015.1-81.
5.1. Проверка геометрических размеров полых конических свай производится в соответствии с требованиями
ГОСТ 13015.0-83.
| | ИС МЕГАНОРМ: примечание. Взамен ГОСТ 10180-78 введены в действие с 1 января 1991 года ГОСТ 10180-90 в части определения прочности бетона по контрольным образцам и ГОСТ 28570-90 в части определения прочности по образцам, отобранным из конструкций. | |
5.2. Прочность бетона в каждой партии свай определяют по ГОСТ 10180-78,
ГОСТ 18105.0-80,
ГОСТ 18105-86.
5.3. Морозостойкость бетона свай определяют по ГОСТ 10060-76.
5.5. Испытание полых конических свай на прочность, появление и раскрытие трещин проводят в соответствии с требованиями
ГОСТ 19804-5-83.
5.6. Расчет полых конических свай по прочности и по образованию трещин производят по государственным стандартам на усилия, возникающие при подъеме свай на копер за одну точку, расположенную на расстоянии 0,294 длины сваи от верхнего конца.
6. ТРАНСПОРТИРОВАНИЕ И ХРАНЕНИЕ
6.1. На каждую партию свай завод-изготовитель выдает установленной формы документ, в котором указываются:
- номер и дата документа;
- наименование и адрес получателя;
- марка сваи;
- количество свай в партии;
- дата изготовления свай;
- проектная марка бетона по прочности на сжатие и отпускная прочность бетона свай;
- марка бетона по морозостойкости и водопроницаемости;
- результаты испытаний свай на появление и раскрытие трещин;
- обозначение настоящих технических указаний.
6.2. Сваи хранят рассортированными по маркам в штабелях горизонтальными рядами, остриями в одну сторону.
6.3. Сваи складируют в штабеля по высоте не более 5 рядов, уложенных горизонтально на деревянные прокладки с пазами для укладки свай, расположенные на расстоянии 1/5 длины сваи от ее концов. Прокладки под нижние ряды свай укладывают по плотному, тщательно выровненному основанию с соблюдением воздушного зазора между основанием и нижним рядом свай.
6.4. Прокладки располагают по вертикали одна под другой.
6.5. Внутрицеховую транспортировку свай производят краном при помощи траверс со строповкой их в двух точках на расстоянии 0,2 длины сваи от концов.
6.6. Погрузку, выгрузку, подъем на копер полых конических свай на строительном объекте производят за анкерные отверстия либо с помощью стропов по типу "удавка".
6.7. При погрузке и разгрузке свай запрещается перемещение свай по земле волоком, сбрасывание свай с транспортных средств.
6.8. Во время транспортирования свай принимают меры к предохранению их от ударов и механических повреждений.
6.9. Для перевозки свай по железной дороге применяют схемы погрузки свай, согласованные с МПС.
7. НЕСУЩАЯ СПОСОБНОСТЬ СВАЙ
7.1. Несущую способность полых конических свай с использованием табличных значений расчетных сопротивлений по острию и боковой поверхности определяют согласно
п. 4.4 СНиП 2.02.03-85:

,
где

- коэффициент условий работы свай в грунте,

;
R - расчетное сопротивление грунта под нижним концом сваи;
A - площадь опирания сваи на грунт;
| | ИС МЕГАНОРМ: примечание. Условное обозначение дано в соответствии с официальным текстом документа. | |

- толщина i-го слоя грунта, соприкасающегося с боковой поверхностью сваи;

- расчетное сопротивление i-го слоя грунта основания на боковой поверхности сваи;

- наружный периметр i-го поперечного сечения сваи, который имеет наклон к оси сваи;

- наклон боковых граней сваи в долях единицы;

- модуль деформации i-го слоя грунта, окружающего боковую поверхность сваи;

- коэффициент, зависящий от вида грунта;

- реологический коэффициент.
| | ИС МЕГАНОРМ: примечание. Взамен ГОСТ 5686-78 Постановлением Минстроя России от 23.02.1995 N 18-20 введен в действие с 1 января 1996 года ГОСТ 5686-94. | |
7.2. Полевые испытания полых конических свай статическими и динамическими нагрузками проводят в соответствии с ГОСТ 5686-78.
7.3. Загружение свай при статических испытаниях производят ступенями по 1/10 от предполагаемой нормативной нагрузки. Величины осадки свай измеряют с точностью до 0,01 мм, причем на каждой ступени нагрузки первый отсчет снимают сразу после приложения нагрузки, три последующих отсчета - через 5 мин и каждый последующий - через 30 мин до стабилизации осадок (не более 0,1 мм за последние 2 часа).
7.4. Общую осадку свай в процессе испытания рекомендуется доводить до величин не менее средних предельно допустимых для зданий и сооружений. К графику осадка - нагрузка прилагают график осадка - время.
8. ВОЗМОЖНОСТИ ПРИМЕНЕНИЯ ПОЛЫХ КОНИЧЕСКИХ СВАЙ
8.1. Вопрос о возможности применения полых конических свай решается на основе анализа данных изысканий, проектируемой длины свай, исходя из несущей способности свай по грунту, сведений об имеющихся сваепогружающих механизмах.
8.2. Полые конические сваи рекомендуется применять при погружении в напластования глинистых грунтов текучепластичной, мягкопластичной, тугопластичной консистенции, песков пылеватых, мелких и средней крупности, рыхлого сложения и средней плотности. При этом возможно прорезание прослойки следующих видов грунтов:
- гравелистые и крупные пески - 0,5 м;
- суглинки и глины полутвердой и твердой консистенции - 1,0 м;
- возможна забивка в суглинки и глины тугопластичной консистенции - 5 м.
8.3. Опирание сваи осуществляется на суглинки и глины полутвердой, твердой консистенции, на пески крупные, гравелистые, гравийные грунты, аргиллиты, алевролиты и дресвяные грунты.
8.4. Не допускается применять полые конические сваи в набухающих, просадочных грунтах II типа, а также в грунтовых условиях, ухудшающихся с глубиной при многорядном расположении свай.
8.5. Для оценки эффективности применения полых конических свай может быть использован коэффициент эффективности

,
где

- удельная несущая способность полой конической сваи, кН/м3;

- удельная несущая способность призматической сваи, кН/м3.
Зависимость коэффициента эффективности

от грунтовых условий показана на
рис. 2, где

- показатель текучести под острием свай. Значения показателя текучести

по боковой поверхности свай представлены в виде значений графиков.
8.6. Увеличение длины свай приводит к увеличению несущей способности свай за счет повышения нагрузки, передаваемой через боковую поверхность. При этом степень увеличения у полых конических свай значительно больше, чем у призматических.
9. УЧЕТ УВЕЛИЧЕНИЯ НЕСУЩЕЙ СПОСОБНОСТИ
ПОЛЫХ КОНИЧЕСКИХ СВАЙ ВО ВРЕМЕНИ
9.1. При забивке свай в водонасыщенные глинистые грунты возникают дополнительные давления в поровой воде, происходит нарушение структурных связей скелета грунта. После забивки сваи силы трения по боковой поверхности практически равны нулю. С течением времени наблюдается релаксация напряжений, поровое давление затухает, а давление в скелете грунта возрастает до стабилизированного значения. Одновременно происходит тиксотропное упрочнение грунта, вызванное развитием в грунте новых структурных связей вследствие увеличения их количества в единице объема при уплотнении грунта сваями и упрочнения грунта под действием возникающих напряжений. Тиксотропное упрочнение и консолидация грунтов неразрывно связаны между собой. Сваи, забитые в водонасыщенные грунты, достигают полной несущей способности после окончания этих процессов.
| | ИС МЕГАНОРМ: примечание. Взамен ГОСТ 5686-78 Постановлением Минстроя России от 23.02.1995 N 18-20 введен в действие с 1 января 1996 года ГОСТ 5686-94. | |
Исследованиями установлено, что при работе свай в водонасыщенных глинистых грунтах их несущая способность со временем увеличивается более чем в 2,5 раза по сравнению с первоначальной и в 1,4 - 1,5 раза по сравнению с той, которая была бы при "отдыхе" до 6 дней, как это рекомендует ГОСТ 5686-78.
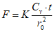
9.2. Несущая способность свай с учетом фактора времени определяется по формуле

,
где

- несущая способность свай фундамента, определенная по результатам забивки или статического зондирования;

- степень консолидации.
Для практических расчетов степень консолидации

табулирована в зависимости от показателей K и F и приведена табл. 2.
Таблица 2
───┬──────┬────────────────────────────────────────────────────────────────────────────────────
N │Сте- │ Значение F при величине K
п/п│пень ├─────┬─────┬─────┬─────┬─────┬─────┬──────┬──────┬──────┬──────┬──────┬──────┬──────
│консо-│ 2 │ 2,5 │ 3 │ 3,5 │ 4 │ 4,5 │ 5 │ 5,5 │ 6 │ 6,5 │ 7 │ 7,5 │ 8
│лида- │ │ │ │ │ │ │ │ │ │ │ │ │
│ции │ │ │ │ │ │ │ │ │ │ │ │ │
───┼──────┼─────┼─────┼─────┼─────┼─────┼─────┼──────┼──────┼──────┼──────┼──────┼──────┼──────
1 │ 0,05 │0,034│0,095│0,157│0,219│0,280│0,390│ 0,500│ 0,610│ 0,720│ 0,872│ 1,023│ 1,175│ 1,327
2 │ 0,10 │0,059│0,161│0,263│0,365│0,467│0,616│ 0,826│ 1,005│ 1,184│ 1,440│ 1,696│ 1,952│ 2,209
3 │ 0,15 │0,083│0,220│0,358│0,495│0,663│0,879│ 1,125│ 1,371│ 1,617│ 1,962│ 2,308│ 2,654│ 3,000
4 │ 0,20 │0,104│0,278│0,452│0,626│0,800│1,121│ 1,442│ 1,762│ 1,083│ 2,508│ 2,934│ 3,359│ 3,785
5 │ 0,25 │0,126│0,335│0,545│0,754│0,964│1,335│ 1,707│ 2,078│ 2,450│ 2,978│ 3,506│ 4,034│ 4,563
6 │ 0,30 │0,140│0,395│0,641│0,887│1,133│1,569│ 2,006│ 2,442│ 2,879│ 3,498│ 4,114│ 4,736│ 5,355
7 │ 0,35 │0,173│0,457│0,741│1,025│1,309│1,813│ 2,318│ 2,822│ 3,327│ 4,039│ 4,751│ 5,463│ 6,175
8 │ 0,40 │0,198│0,523│0,847│1,172│1,496│2,070│ 2,647│ 3,222│ 3,798│ 4,613│ 5,427│ 6,242│ 7,057
9 │ 0,45 │0,255│0,615│0,975│1,335│1,695│2,346│ 2,997│ 3,649│ 4,302│ 5,226│ 6,151│ 7,075│ 8,000
10 │ 0,50 │0,256│0,606│1,085│1,499│1,914│2,543│ 3,172│ 3,800│ 4,430│ 5,572│ 6,715│ 7,857│ 9,000
11 │ 0,55 │0,289│0,754│1,219│1,685│2,150│2,975│ 3,800│ 4,625│ 5,451│ 6,624│ 7,797│ 8,970│10,143
12 │ 0,60 │0,327│0,849│1,372│1,895│2,417│3,345│ 4,273│ 5,200│ 6,128│ 7,440│ 8,753│10,065│11,378
13 │ 0,65 │0,368│0,976│1,585│2,157│2,729│3,768│ 4,808│ 5,847│ 6,887│ 8,363│ 9,849│11,317│12,794
14 │ 0,70 │0,416│1,070│1,740│2,402│3,064│4,238│ 5,412│ 6,585│ 7,759│ 9,422│11,086│12,750│14,414
15 │ 0,75 │0,473│1,225│1,977│2,729│3,482│4,810│ 6,138│ 7,466│ 8,795│10,677│12,560│14,480│16,333
16 │ 0,80 │0,541│1,400│2,260│3,119│3,979│5,499│ 7,019│ 8,539│10,059│12,215│14,371│16,520│16,684
17 │ 0,85 │0,632│1,468│2,305│3,470│4,635│6,399│ 8,164│ 9,928│11,692│14,197│16,703│19,208│21,714
18 │ 0,90 │0,757│1,980│3,204│4,427│5,650│7,737│ 9,825│11,912│14,000│17,000│20,000│23,000│26,000
19 │ 0,95 │0,975│2,507│4,040│5,577│7,104│9,811│11,912│15,207│17,905│21,678│25,452│29,228│33,000
20 │ 1,00 │1,00 │ │ │ │ │ │ │ │ │ │ │ │

,
где

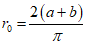
- приведенный радиус кругового свайного фундамента, определяемый по формуле

;
a, b - размеры фундамента в плане, замеренные по наружным граням свай;
R - радиус зоны уплотнения,

;
здесь L - ширина зоны уплотнения, равная в среднем 250 см (L изменяется в зависимости от коэффициента пористости и количества свай в фундаменте).

,
где t - время "засасывания" сваи, сутки;

- коэффициент консолидации (в см/сут),
K - коэффициент фильтрации, см/сут;

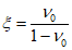
- коэффициент начального порового давления,

;

- давление грунта на боковую поверхность,

;

- удельный вес грунта, кН/м3;

- половина длины сваи, находящейся в грунте, м;

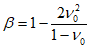
- коэффициент бокового давления,

,

- коэффициент Пуассона;

- структурная прочность грунта,
| | ИС МЕГАНОРМ: примечание. Формула дана в соответствии с официальным текстом документа. | |

,
C - удельное сцепление грунта, кПа;

- угол внутреннего трения грунта;

- удельный вес газосодержащей жидкости;
E - модуль деформации грунта;

- модуль объемного сжатия газосодержащей жидкости,

,
e - коэффициент пористости;

- атмосферное давление;

- коэффициент водонасыщенности грунта.
Величина

определяется по формуле

.
Пример расчета. Определить несущую способность свайного фундамента из 9 свай марки СПК-7-39. Шаг между сваями 3d (d - диаметр сваи). Сваи забиты в водонасыщенные мягкопластичные суглинки со следующими характеристиками:
- удельный вес

;
- степень влажности

;
- пористость n = 0,445;
- показатель текучести

;
- коэффициент пористости e = 0,801;
- модуль деформации E = 8,0 МПа;
- коэффициент Пуассона

;
- коэффициент фильтрации

;
- угол внутреннего трения

;
- удельное сцепление C = 0,019 МПа;
- несущая способность сваи при забивке F = 400 кН.
1. Коэффициент бокового давления

.
2. Структурная прочность грунта

.
3. Давление грунта на боковую поверхность сваи

.
4.

.
5. Коэффициент начального порового давления

.
6. Модуль объемного сжатия газосодержащей жидкости

.
7. Коэффициент консолидации
8. Ширину зоны уплотнения L для практических расчетов принимаем равной 250 см.
9. Приведенный радиус кругового свайного фундамента

.
10.

.
11.

.
12. Через 45 суток несущая способность свай

.
13. При K = 2 и F = 0,46 степень консолидации

.
14. Через 45 суток несущая способность сваи в фундаменте из 9 свай

.
10. РАСЧЕТ ОСАДОК ОДНОРЯДНЫХ ЛЕНТОЧНЫХ ФУНДАМЕНТОВ
ИЗ ПОЛЫХ КОНИЧЕСКИХ СВАЙ
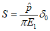
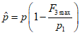
Для расчета осадок полых конических свай используется формула

, (1)
где S - осадка свайного фундамента, м;

- погонная нагрузка на свайный фундамент за вычетом силы, уравновешиваемой вертикальной составляющей

сил бокового отпора грунта;

- модуль деформации грунта активной зоны с учетом уплотнения грунта под сваями в результате их забивки, МПа;

- безразмерная компонента перемещения.
Значения

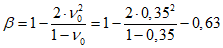
табулированы для различных случаев передачи нагрузки по боковой поверхности и плоскости острия свай и в зависимости от величины коэффициента бокового расширения грунта

, приведенной ширины свайных фундаментов

, угла наклона боковых граней

, приведенной глубины границы активной зоны
(Приложение). Для промежуточных значений

,

,

и

значения

находят путем интерполяции.
Алгоритм расчета осадки фундамента из полых конических свай
1. Находим приведенную ширину подошвы фундамента

, глубину активной зоны

и по ним определяем

.
2. Находим максимальную величину вертикальной составляющей сил отпора грунта по боковым граням сваи

.
3. Определяем предельно допустимую осадку для данной категории сооружения

. Затем по характеру грунта определяем величину

от 0,2 до 0,3 и по
формуле (1) находим величину

, равную нагрузке P за вычетом силы

, при которой осадка фундамента

. При такой осадке сила

достигает своего максимального значения

.
4. Находим соответствующую найденному значению

погонную нагрузку на фундамент из конических свай с учетом

:

.
Если заданная погонная нагрузка на фундамент p больше нагрузки

, т.е.

, то определяем

, где

- действительная погонная нагрузка на фундамент из конических свай с учетом действия сил

, если

, то

.
5. По

по
формуле (1) вычисляем осадку фундамента из полых конических свай.
Из описанного алгоритма видно, что к
формуле (1) приходится обращаться дважды: первый раз по

находим

, второй раз по

находим действительную осадку фундамента S.
Рассмотрим пример расчета осадки однорядного фундамента из полых конических свай.
Пример. Определить осадку однорядного фундамента из полых конических свай. Сваи длиной l = 12 м, с углом наклона граней

. Шаг между сваями в фундаменте 3d = 3 x 0,6 = 1,8 м (где d - средний диаметр сечения сваи, равный 0,6). Диаметр острия

. Расчетная погонная нагрузка на фундамент P = 1050 кН/м. Величина предельной осадки

.
Грунты на строительной площадке:
- глина текучепластичной консистенции. Мощность слоя 10 м, угол внутреннего трения грунта

, удельное сцепление C = 0,025 МПа, модуль деформации E = 6,0 МПа;
- песок средней крупности, водонасыщенный. Мощность слоя 5,0 м, угол внутреннего трения

, удельное сцепление C = 0,002 МПа, модуль деформации E = 21,0 МПа.
Решение:
1.

,

,

- на основе эксперимента,

,

, тогда

.
2. Для 1-го слоя при


;
для 2-го слоя при


,

.
3.

,

.
4.

,

,

,

.
5. Так как

, то

.
6.

.
ЗНАЧЕНИЕ КОМПОНЕНТЫ ПЕРЕМЕЩЕНИЯ

ДЛЯ ОДНОРЯДНЫХ ЛЕНТОЧНЫХ
ФУНДАМЕНТОВ ИЗ ПОЛЫХ КОНИЧЕСКИХ СВАЙ ПРИ РАСПРЕДЕЛЕНИИ СИЛ
ТРЕНИЯ ПО КРИВОЙ 2-ГО ПОРЯДКА И ПРИ РАВНОМЕРНОМ
РАСПРЕДЕЛЕНИИ В ПЛОСКОСТИ ОСТРИЯ
──────┬────────────────────────────────────────────────────────────────────
Z /l │ бета'
0 ├───────┬───────┬───────┬──────┬───────┬──────┬───────┬──────┬───────
│ 0,025 │ 0,05 │ 0,1 │ 0,15 │ 0,2 │ 0,25 │ 0,3 │ 0,35 │ 0,4
──────┴───────┴───────┴───────┴──────┴───────┴──────┴───────┴──────┴───────
ню = 0,3, альфа = 1°, 0
1,10 │ 0,665 │ 0,585 │ 0,452 │0,347 │ 0,259 │0,181 │ 0,109 │0,044 │-0,012
1,20 │ 1,031 │ 0,956 │ 0,824 │0,706 │ 0,600 │0,504 │ 0,415 │0,334 │ 0,261
1,30 │ 1,307 │ 1,241 │ 1,100 │0,982 │ 0,874 │0,771 │ 0,675 │0,587 │ 0,507
1,40 │ 1,530 │ 1,462 │ 1,330 │1,212 │ 1,102 │0,996 │ 0,899 │0,807 │ 0,723
1,50 │ 1,720 │ 1,654 │ 1,523 │1,407 │ 1,298 │1,193 │ 1,094 │1,001 │ 0,914
1,60 │ 1,896 │ 1,821 │ 1,690 │1,586 │ 1,470 │1,366 │ 1,266 │1,174 │ 1,086
1,70 │ 2,046 │ 1,981 │ 1,860 │1,737 │ 1,626 │1,522 │ 1,423 │1,330 │ 1,242
1,80 │ 2,184 │ 2,126 │ 1,996 │1,878 │ 1,771 │1,667 │ 1,569 │1,473 │ 1,385
1,90 │ 2,326 │ 2,252 │ 2,132 │2,010 │ 1,903 │1,797 │ 1,700 │1,604 │ 1,517
2,00 │ 2,426 │ 2,492 │ 2,348 │2,249 │ 2,145 │1,921 │ 1,821 │1,729 │ 1,637
2,10 │ 2,559 │ 2,541 │ 2,462 │2,351 │ 3,243 │2,038 │ 1,938 │1,843 │ 1,756
2,20 │ 2,640 │ 2,701 │ 2,557 │2,458 │ 2,347 │2,145 │ 2,046 │1,953 │ 1,859
2,30 │ 2,709 │ 2,900 │ 2,755 │2,628 │ 2,517 │2,243 │ 2,141 │2,054 │ 1,965
2,40 │ 2,934 │ 2,960 │ 2,845 │2,765 │ 2,634 │2,343 │ 2,246 │2,148 │ 2,065
2,50 │ 3,247 │ 3,112 │ 2,912 │2,844 │ 2,721 │2,441 │ 2,330 │2,243 │ 2,153
ню = 0,3, альфа = 2°, 0
1,10 │ 0,659 │ 0,583 │ 0,452 │0,347 │ 0,260 │0,184 │ 0,112 │0,052 │-0,003
1,20 │ 1,026 │ 0,955 │ 0,819 │0,701 │ 0,596 │0,502 │ 0,414 │0,337 │ 0,266
1,30 │ 1,296 │ 1,226 │ 1,095 │0,976 │ 0,866 │0,767 │ 0,672 │0,587 │ 0,508
1,40 │ 1,522 │ 1,452 │ 1,321 │1,203 │ 1,093 │0,991 │ 0,894 │0,805 │ 0,722
1,50 │ 1,719 │ 1,645 │ 1,515 │1,397 │ 1,288 │1,186 │ 1,088 │0,998 │ 0,912
1,60 │ 1,883 │ 1,817 │ 1,688 │1,570 │ 1,462 │1,358 │ 1,260 │1,169 │ 1,082
1,70 │ 2,039 │ 1,973 │ 1,846 │1,726 │ 1,617 │1,514 │ 1,416 │1,324 │ 1,238
1,80 │ 2,176 │ 2,104 │ 1,986 │1,871 │ 1,759 │1,657 │ 1,560 │1,468 │ 1,379
1,90 │ 2,308 │ 2,253 │ 2,116 │2,000 │ 1,891 │1,789 │ 1,691 │1,599 │ 1,511
2,00 │ 2,435 │ 2,370 │ 2,244 │2,121 │ 2,015 │1,911 │ 1,814 │1,722 │ 1,632
2,10 │ 2,534 │ 2,478 │ 2,354 │2,240 │ 2,129 │2,026 │ 1,927 │1,836 │ 1,746
2,20 │ 2,640 │ 2,593 │ 2,455 │2,345 │ 2,240 │2,138 │ 2,034 │1,945 │ 1,856
2,30 │ 2,747 │ 2,687 │ 2,564 │2,447 │ 2,336 │2,240 │ 2,137 │2,045 │ 1,957
2,40 │ 2,863 │ 2,785 │ 2,667 │2,538 │ 2,435 │2,334 │ 2,236 │2,144 │ 2,053
2,50 │ 2,965 │ 2,895 │ 2,752 │2,637 │ 2,519 │2,419 │ 2,322 │2,236 │ 2,148
ню = 0,3, альфа = 3°, 0
1,10 │ 0,653 │ 0,577 │ 0,448 │0,346 │ 0,260 │0,184 │ 0,116 │0,056 │ 0,003
1,20 │ 1,017 │ 0,944 │ 0,810 │0,695 │ 0,592 │0,499 │ 0,414 │0,337 │ 0,269
1,30 │ 1,285 │ 1,216 │ 1,084 │0,966 │ 0,860 │0,760 │ 0,669 │0,585 │ 0,509
1,40 │ 1,508 │ 1,437 │ 1,308 │1,192 │ 1,083 │0,983 │ 0,889 │0,801 │ 0,721
1,50 │ 1,699 │ 1,629 │ 1,502 │1,387 │ 1,270 │1,176 │ 1,081 │0,992 │ 0,909
1,60 │ 1,868 │ 1,800 │ 1,673 │1,557 │ 1,450 │1,349 │ 1,252 │1,162 │ 1,078
1,70 │ 2,025 │ 1,953 │ 1,828 │1,713 │ 1,605 │1,504 │ 1,407 │1,316 │ 1,233
ИС МЕГАНОРМ: примечание.
Числовое значение в графе "бета' = 0,05" дано в соответствии с
официальным текстом документа.
1,80 │ 2,158 │ 1,097 │ 1,971 │1,857 │ 1,747 │1,646 │ 1,550 │1,459 │ 1,373
1,90 │ 2,290 │ 2,230 │ 2,100 │1,985 │ 1,880 │1,778 │ 1,681 │1,589 │ 1,504
2,00 │ 2,410 │ 2,343 │ 2,224 │2,109 │ 2,002 │1,899 │ 1,803 │1,712 │ 1,625
2,10 │ 2,526 │ 2,461 │ 2,339 │2,225 │ 2,116 │2,013 │ 1,916 │1,827 │ 1,740
2,20 │ 2,640 │ 2,571 │ 2,446 │2,333 │ 2,221 │2,121 │ 2,025 │1,933 │ 1,848
2,30 │ 2,734 │ 2,672 │ 2,546 │2,432 │ 2,324 │2,224 │ 2,126 │2,035 │ 1,948
2,40 │ 2,902 │ 2,771 │ 2,643 │2,535 │ 2,424 │2,318 │ 2,221 │2,130 │ 2,045
2,50 │ 2,943 │ 2,856 │ 2,730 │2,619 │ 2,519 │2,409 │ 2,317 │2,224 │ 2,138
ню = 0,35, альфа = 1°, 0
1,10 │ 0,679 │ 0,593 │ 0,456 │0,349 │ 0,258 │0,177 │ 0,102 │0,033 │-0,026
1,20 │ 1,046 │ 0,966 │ 0,829 │0,707 │ 0,597 │0,496 │ 0,402 │0,317 │ 0,241
1,30 │ 1,327 │ 1,258 │ 1,108 │0,985 │ 0,873 │0,765 │ 0,663 │0,570 │ 0,485
1,40 │ 1,551 │ 1,480 │ 1,341 │1,217 │ 1,103 │0,991 │ 0,889 │0,791 │ 0,702
1,50 │ 1,742 │ 1,673 │ 1,536 │1,414 │ 1,301 │1,191 │ 1,085 │0,986 │ 0,895
1,60 │ 1,932 │ 1,841 │ 1,702 │1,598 │ 1,475 │1,364 │ 1,259 │1,161 │ 1,069
1,70 │ 2,074 │ 2,004 │ 1,880 │1,748 │ 1,631 │1,522 │ 1,417 │1,319 │ 1,226
1,80 │ 2,212 │ 2,153 │ 2,015 │1,891 │ 1,780 │1,669 │ 1,566 │1,463 │ 1,371
1,90 │ 2,359 │ 2,278 │ 2,155 │2,024 │ 1,912 │1,799 │ 1,698 │1,596 │ 1,504
2,00 │ 2,453 │ 2,387 │ 2,278 │2,155 │ 2,040 │1,925 │ 1,819 │1,723 │ 1,624
2,10 │ 2,596 │ 2,524 │ 2,364 │2,267 │ 2,159 │2,045 │ 1,939 │1,838 │ 1,747
2,20 │ 2,668 │ 2,551 │ 2,482 │2,367 │ 2,254 │2,152 │ 2,048 │1,951 │ 1,849
2,30 │ 2,725 │ 2,635 │ 2,576 │2,478 │ 2,360 │2,250 │ 2,141 │2,052 │ 1,959
2,40 │ 2,965 │ 2,846 │ 2,683 │2,550 │ 2,461 │2,353 │ 2,251 │2,145 │ 2,060
2,50 │ 3,128 │ 2,941 │ 2,780 │2,641 │ 2,523 │2,455 │ 2,333 │2,243 │ 2,147
ню = 0,35, альфа = 2°, 0
1,10 │ 0,673 │ 0,593 │ 0,456 │0,349 │ 0,260 │0,182 │ 0,106 │0,043 │-0,015
1,20 │ 1,042 │ 0,967 │ 0,825 │0,703 │ 0,594 │0,496 │ 0,402 │0,322 │ 0,248
1,30 │ 1,314 │ 1,241 │ 1,104 │0,980 │ 0,864 │0,762 │ 0,661 │0,572 │ 0,489
1,40 │ 1,544 │ 1,470 │ 1,332 │1,208 │ 1,093 │0,978 │ 0,883 │0,791 │ 0,703
1,50 │ 1,745 │ 1,666 │ 1,528 │1,405 │ 1,291 │1,183 │ 1,079 │0,984 │ 0,894
1,60 │ 1,909 │ 1,839 │ 1,703 │1,579 │ 1,466 │1,357 │ 1,254 │1,158 │ 1,066
1,70 │ 2,068 │ 1,998 │ 1,864 │1,737 │ 1,622 │1,514 │ 1,411 │1,314 │ 1,224
1,80 │ 2,205 │ 2,127 │ 2,005 │1,885 │ 1,766 │1,659 │ 1,557 │1,460 │ 1,366
1,90 │ 2,340 │ 2,285 │ 2,137 │2,015 │ 1,900 │1,793 │ 1,689 │1,592 │ 1,499
2,00 │ 2,470 │ 2,401 │ 2,268 │2,137 │ 2,026 │1,916 │ 1,813 │1,717 │ 1,620
2,10 │ 2,565 │ 2,509 │ 2,378 │2,259 │ 2,142 │2,032 │ 1,927 │1,832 │ 1,736
2,20 │ 2,672 │ 2,628 │ 2,478 │2,363 │ 2,255 │2,148 │ 2,035 │1,942 │ 1,848
2,30 │ 2,782 │ 2,720 │ 2,591 │2,468 │ 2,350 │2,251 │ 2,139 │2,042 │ 1,950
2,40 │ 2,934 │ 2,820 │ 2,699 │2,556 │ 2,451 │2,345 │ 2,241 │2,144 │ 2,047
2,50 │ 3,008 │ 2,938 │ 2,781 │2,661 │ 2,533 │2,428 │ 2,325 │2,237 │ 2,144
ню = 0,35, альфа = 3°, 0
1,10 │ 0,666 │ 0,586 │ 0,453 │0,349 │ 0,260 │0,182 │ 0,111 │0,047 │-0,006
1,20 │ 1,033 │ 0,956 │ 0,816 │0,697 │ 0,589 │0,492 │ 0,403 │0,322 │ 0,252
1,30 │ 1,303 │ 1,230 │ 1,092 │0,969 │ 0,858 │0,754 │ 0,658 │0,569 │ 0,490
1,40 │ 1,530 │ 1,454 │ 1,318 │1,197 │ 1,083 │0,978 │ 0,878 │0,768 │ 0,702
1,50 │ 1,723 │ 1,648 │ 1,515 │1,395 │ 1,280 │1,173 │ 1,073 │0,978 │ 0,891
1,60 │ 1,893 │ 1,821 │ 1,687 │1,566 │ 1,454 │1,347 │ 1,245 │1,150 │ 1,061
1,70 │ 2,054 │ 1,975 │ 1,844 │1,724 │ 1,610 │1,504 │ 1,402 │1,306 │ 1,218
1,80 │ 2,185 │ 2,122 │ 1,990 │1,870 │ 1,754 │1,648 │ 1,546 │1,450 │ 1,360
1,90 │ 2,319 │ 2,258 │ 2,120 │1,999 │ 1,888 │1,781 │ 1,679 │1,581 │ 1,492
2,00 │ 2,440 │ 2,369 │ 2,245 │2,125 │ 2,012 │1,904 │ 1,801 │1,706 │ 1,614
2,10 │ 2,599 │ 2,490 │ 2,363 │2,242 │ 2,127 │2,018 │ 1,916 │1,823 │ 1,731
2,20 │ 2,677 │ 2,603 │ 2,470 │2,352 │ 2,232 │2,127 │ 2,026 │1,930 │ 1,841
2,30 │ 2,769 │ 2,705 │ 2,571 │2,451 │ 2,338 │2,232 │ 2,128 │2,033 │ 1,940
2,40 │ 2,880 │ 2,806 │ 2,669 │2,559 │ 2,440 │2,326 │ 2,223 │2,127 │ 2,039
2,50 │ 2,975 │ 2,890 │ 2,756 │2,640 │ 2,537 │2,419 │ 2,323 │2,224 │ 2,133
ню = 0,4, альфа = 1°, 0
1,10 │ 0,692 │ 0,598 │ 0,456 │0,347 │ 0,254 │0,168 │ 0,086 │0,012 │-0,051
1,20 │ 1,059 │ 0,972 │ 0,830 │0,703 │ 0,589 │0,482 │ 0,380 │0,288 │ 0,207
1,30 │ 1,343 │ 1,272 │ 1,110 │0,982 │ 0,866 │0,750 │ 0,640 │0,540 │ 0,450
1,40 │ 1,569 │ 1,459 │ 1,346 │1,218 │ 1,098 │0,977 │ 0,868 │0,762 │ 0,667
1,50 │ 1,761 │ 1,688 │ 1,543 │1,416 │ 1,297 │1,179 │ 1,065 │0,959 │ 0,862
1,60 │ 1,947 │ 1,855 │ 1,708 │1,605 │ 1,472 │1,354 │ 1,240 │1,135 │ 1,037
1,70 │ 2,098 │ 2,024 │ 1,895 │1,754 │ 1,629 │1,512,│ 1,400 │1,294 │ 1,196
1,80 │ 2,235 │ 2,176 │ 2,028 │1,897 │ 1,780 │1,662 │ 1,553 │1,441 │ 1,343
1,90 │ 2,390 │ 2,300 │ 2,172 │2,031 │ 1,914 │1,792 │ 1,686 │1,575 │ 1,477
2,00 │ 2,474 │ 2,406 │ 2,296 │2,166 │ 2,046 │1,921 │ 1,806 │1,704 │ 1,597
2,10 │ 2,630 │ 2,552 │ 2,373 │2,279 │ 2,167 │2,043 │ 1,929 │1,821 │ 1,725
2,20 │ 2,689 │ 2,549 │ 2,494 │2,376 │ 2,257 │2,151 │ 2,039 │1,936 │ 1,825
2,30 │ 2,731 │ 2,765 │ 2,587 │2,492 │ 2,365 │2,247 │ 2,129 │2,037 │ 1,938
2,40 │ 2,978 │ 2,884 │ 2,699 │2,553 │ 2,468 │2,354 │ 2,246 │2,130 │ 2,042
2,50 │ 3,205 │ 2,980 │ 2,799 │2,645 │ 2,518 │2,460 │ 2,323 │2,230 │ 2,128
ню = 0,4, альфа = 2°, 0
1,10 │ 0,564 │ 0,601 │ 0,458 │0,349 │ 0,257 │0,177 │ 0,092 │0,026-│-0,036
1,20 │ 0,970 │ 0,977 │ 0,828 │0,700 │ 0,586 │0,483 │ 0,381 │0,297 │ 0,217
1,30 │ 1,260 │ 1,253 │ 1,108 │0,979 │ 0,857 │0,749 │ 0,639 │0,545 │ 0,456
1,40 │ 1,495 │ 1,484 │ 1,338 │1,209 │ 1,087 │0,975 │ 0,862 │0,764 │ 0,671
1,50 │ 1,697 │ 1,683 │ 1,537 │1,407 │ 1,287 │1,173 │ 1,060 │0,959 │ 0,863
1,60 │ 1,874 │ 1,858 │ 1,714 │1,583 │ 1,464 │1,348 │ 1,236 │1,134 │ 1,036
1,70 │ 2,034 │ 2,020 │ 1,878 │1,743 │ 1,621 │1,506 │ 1,395 │1,291 │ 1,196
1,80 │ 2,181 │ 2,145 │ 2,020 │1,894 │ 1,766 │1,652 │ 1,543 │1,440 │ 1,339
1,90 │ 2,315 │ 2,215 │ 2,153 │2,023 │ 1,902 │1,789 │ 1,677 │1,573 │ 1,473
2,00 │ 2,441 │ 2,430 │ 2,289 │2,147 │ 2,030 │1,913 │ 1,802 │1,700 │ 1,595
2,10 │ 2,558 │ 2,536 │ 2,398 │2,273 │ 2,147 │2,030 │ 1,916 │1,817 │ 1,713
2,20 │ 2,669 │ 2,660 │ 2,496 │2,376 │ 2,264 │2,150 │ 2,025 │1,928 │ 1,828
2,30 │ 2,773 │ 2,749 │ 2,614 │2,483 │ 2,356 │2,254 │ 2,131 │2,028 │ 1,930
2,40 │ 2,995 │ 2,851 │ 2,727 │2,568 │ 2,459 │2,349 │ 2,235 │2,132 │ 2,027
2,50 │ 3,223 │ 2,982 │ 2,806 │2,679 │ 2,538 │2,427 │ 2,317 │2,227 │ 2,128
ню = 0,4, альфа = 3°, 0
1,10 │ 0,679 │ 0,593 │ 0,456 │0,349 │ 0,257 │0,174 │ 0,098 │0,030 │-0,026
1,20 │ 1,048 │ 0,965 │ 0,818 │0,694 │ 0,582 │0,478 │ 0,383 │0,296 │ 0,223
1,30 │ 1,318 │ 1,242 │ 1,096 │0,966 │ 0,851 │0,739 │ 0,637 │0,542 │ 0,458
1,40 │ 1,548 │ 1,467 │ 1,324 │1,198 │ 1,077 │0,964 │ 0,858 │0,759 │ 0,671
1,50 │ 1,744 │ 1,663 │ 1,522 │1,397 │ 1,276 │1,161 │ 1,054 │0,953 │ 0,861
1,60 │ 1,915 │ 1,838 │ 1,697 │1,569 │ 1,451 │1,337 │ 1,228 │1,126 │ 1,032
1,70 │ 2,080 │ 1,994 │ 1,855 │1,729 │ 1,609 │1,495 │ 1,386 │1,283 │ 1,191
1,80 │ 2,209 │ 2,143 │ 2,004 │1,878 │ 1,754 │1,640 │ 1,532 │1,429 │ 1,333
1,90 │ 2,346 │ 2,283 │ 2,134 │2,006 │ 1,890 │1,776 │ 1,666 │1,562 │ 1,467
2,00 │ 2,468 │ 2,391 │ 2,262 │2,135 │ 2,015 │1,899 │ 1,790 │1,688 │ 1,591
2,10 │ 2,590 │ 2,516 │ 2,382 │2,255 │ 2,132 │2,015 │ 1,905 │1,807 │ 1,709
2,20 │ 2,712 │ 2,631 │ 2,490 │2,366 │ 2,237 │2,124 │ 2,017 │1,914 │ 1,821
2,30 │ 2,802 │ 2,735 │ 2,591 │2,465 │ 2,344 │2,232 │ 2,120 │2,018 │ 1,920
2,40 │ 2,960 │ 2,838 │ 2,691 │2,577 │ 2,450 │2,326 │ 2,215 │2,113 │ 2,021
2,50 │ 3,007 │ 2,920 │ 2,777 │2,655 │ 2,550 │2,419 │ 2,319 │2,212 │ 2,116
ню = 0,5, альфа = 2°, 0
1,10 │ 0,699 │ 0,602 │ 0,447 │0,335 │ 0,234 │0,139 │ 0,005 │-0,078│-0,161
1,20 │ 1,067 │ 0,979 │ 0,811 │0,671 │ 0,541 │0,420 │ 0,271 │0,165 │ 0,063
1,30 │ 1,343 │ 1,253 │ 1,093 │0,949 │ 0,807 │0,680 │ 0,527 │0,408 │ 0,296
1,40 │ 1,586 │ 1,491 │ 1,325 │1,181 │ 1,039 │0,907 │ 0,751 │0,629 │ 0,511
1,50 │ 1,803 │ 1,694 │ 1,525 │1,379 │ 1,243 │1,105 │ 0,952 │0,828 │ 0,707
1,60 │ 1,958 │ 1,872 │ 1,707 │1,556 │ 1,422 │1,281 │ 1,134 │1,007 │ 0,884
1,70 │ 2,127 │ 2,041 │ 1,879 │1,720 │ 1,579 │1,442 │ 1,295 │1,167 │ 1,050
1,80 │ 2,259 │ 2,149 │ 2,019 │1,879 │ 1,724 │1,591 │ 1,450 │1,322 │ 1,195
1,90 │ 2,404 │ 2,358 │ 2,154 │2,006 │ 1,864 │1,732 │ 1,585 │1,457 │ 1,334
2,00 │ 2,550 │ 2,466 │ 2,305 │2,130 │ 1,997 │1,857 │ 1,713 │1,589 │ 1,456
2,10 │ 2,615 │ 2,564 │ 2,407 │2,269 │ 2,117 │1,976 │ 1,827 │1,709 │ 1,577
2,20 │ 2,723 │ 2,706 │ 2,494 │2,367 │ 2,244 │2,110 │ 1,937 │1,824 │ 1,699
2,30 │ 2,852 │ 2,782 │ 2,631 │2,479 │ 2,324 │2,215 │ 2,047 │1,922 │ 1,803
2,40 │ 3,009 │ 2,890 │ 2,761 │2,550 │ 2,435 │2,306 │ 2,160 │2,034 │ 1,902
2,50 │ 3,375 │ 3,061 │ 2,828 │2,684 │ 2,499 │2,372 │ 2,232 │2,131 │ 2,012
ню = 0,5, альфа = 3°, 0
1,10 │ 0,693 │ 0,594 │ 0,446 │0,335 │ 0,231 │0,125 │ 0,018 │-0,076│-0,142
1,20 │ 1,062 │ 0,965 │ 0,799 │0,664 │ 0,535 │0,405 │ 0,279 │0,163 │ 0,077
1,30 │ 1,331 │ 1,245 │ 1,079 │0,933 │ 0,800 │0,662 │ 0,529 │0,405 │ 0,305
1,40 │ 1,568 │ 1,470 │ 1,308 │1,168 │ 1,027 │0,888 │ 0,751 │0,623 │ 0,518
1,50 │ 1,767 │ 1,668 │ 1,510 │1,371 │ 1,229 │1,088 │ 0,951 │0,821 │ 0,710
1,60 │ 1,938 │ 1,848 │ 1,686 │1,540 │ 1,406 │1,267 │ 1,128 │0,997 │ 0,885
1,70 │ 2,114 │ 2,004 │ 1,846 │1,706 │ 1,565 │1,427 │ 1,288 │1,158 │ 1,050
1,80 │ 2,231 │ 2,162 │ 2,002 │1,861 │ 1,713 │1,575 │ 1,438 │1,309 │ 1,195
1,90 │ 2,374 │ 2,311 │ 2,132 │1,985 │ 1,854 │1,714 │ 1,576 │1,443 │ 1,331
2,00 │ 2,497 │ 2,405 │ 2,265 │2,121 │ 1,981 │1,839 │ 1,702 │1,575 │ 1,458
2,10 │ 2,628 │ 2,542 │ 2,392 │2,247 │ 2,100 │1,955 │ 1,819 │1,698 │ 1,581
2,20 │ 2,764 │ 2,665 │ 2,502 │2,361 │ 2,201 │2,067 │ 1,935 │1,806 │ 1,698
2,30 │ 2,845 │ 2,772 │ 2,601 │2,458 │ 2,315 │2,181 │ 2,039 │1,914 │ 1,796
2,40 │ 2,934 │ 2,881 │ 2,706 │2,587 │ 2,431 │2,272 │ 2,133 │2,007 │ 1,902
2,50 │ 3,115 │ 2,954 │ 2,785 │2,650 │ 2,539 │2,367 │ 2,250 │2,115 │ 2,001