Главная // Актуальные документы // ПереченьСПРАВКА
Источник публикации
М.: "Транспорт", 1990
Примечание к документу
Название документа
"Руководство по проектированию разводных мостов"
(утв. Минтрансстроем СССР 01.03.1989 N АВ-96)
"Руководство по проектированию разводных мостов"
(утв. Минтрансстроем СССР 01.03.1989 N АВ-96)
Минтрансстроем
1 марта 1989 г. N АВ-96
Одобрено и согласовано
МПС
24 декабря 1987 г. N ЦПИ-6/28
ЦНИИСом
8 января 1988 г. N 531116/21
и Главмостостроем
1 января 1989 г. N 2502-3/1
РУКОВОДСТВО
ПО ПРОЕКТИРОВАНИЮ РАЗВОДНЫХ МОСТОВ
Руководство по проектированию разводных мостов разработано Ленгипротрансмостом в развитие
СНиП 2.05.03-84 "Мосты и трубы" и отражает специфику проектирования, строительства и эксплуатации разводных мостов, связанную, в первую очередь, с наличием в их системе механизмов разводки, на проектирование которых указанные нормы не распространяются.
В Руководстве учтены требования государственных и отраслевых стандартов, методических рекомендаций ЦНИИСа по проектированию грузоподъемных машин и оборудования и Руководящих технических материалов (РТМ) Минтяжмаша по проектированию грузоподъемных кранов.
Руководство разработано с учетом отечественного и зарубежного опыта в области проектирования, строительства и эксплуатации разводных мостов взамен действовавшего ранее Руководства по проектированию разводных мостов, 1972 г.
Руководство разработали инженеры Ленгипротрансмоста. Г.М. Степанов - руководитель работы и ответственный исполнитель по
разделам 1 и
2, В.П. Курцев - ответственный исполнитель по
разделу 3 и Б.Я. Герман - ответственный исполнитель по
разделам 4 и
5.
Общее редактирование Руководства выполнено комиссией в составе инженеров Г.М. Тимохин (председатель), А.К. Васин (зам. председателя), В.И. Ботвиник, В.Г. Ворса, В.П. Курцев, Г.М. Степанов и Н.К. Удалов.
На стадии редактирования и увязки с новыми нормами проектирования мостов
СНиП 2.05.03-84 в работе приняли участие ЦНИИС - д-р техн. наук К.П. Большаков, кандидаты техн. наук В.П. Польевко, И.И. Казей, И.И. Елинсон, Н.А. Панин и А.Н. Тарасов, ЛИИЖТ, кафедра "Мосты" - д-р техн. наук Ю.Г. Козьмин, канд. техн. наук Г.И. Богданов и НИИмостов ЛИИЖТа - д-р техн. наук А.Г. Доильницын, кандидаты техн. наук Ю.Б. Шапиро и В.М. Фиш.
Замечания и пожелания по данной работе просьба направлять по адресу:
198013, Ленинград, Подъездной пер., 1.
Выпущено по заказу Министерства транспортного строительства СССР
1.1.1. Настоящее Руководство разработано в развитие
СНиП 2.05.03-84 "Мосты и трубы" и распространяется на проектирование новых и реконструкцию существующих постоянных разводных мостов (разводных пролетов, включая опоры, механизмы, электрооборудование, сигнализацию и связь) на железных, автомобильных и городских дорогах.
1.1.2. При проектировании разводных мостов следует также руководствоваться нормативными документами, перечень которых приведен в
приложении 1.
1.1.3. Для строительных конструкций и механизмов необходимо принимать проектные решения, обеспечивающие прочность, устойчивость и статическую определенность работы разводного пролетного строения в целом, а также его отдельных элементов при наведенном положении и в процессе разводки (наводки) моста.
1.1.4. В отдельных случаях, оговариваемых заданием на проектирование, целесообразность применения разводного моста устанавливается на основании технико-экономического сравнения вариантов разводного моста (в пониженном уровне) и высокого моста (без разводного пролета).
1.2.1. Очертания и размеры подмостовых габаритов разводных мостов должны удовлетворять требованиям ГОСТ 26775-85 в зависимости от класса внутреннего водного пути, устанавливаемого министерством (ведомством), регулирующим судоходство на соответствующем внутреннем водном пути.
Подмостовые габариты разводных мостов через устьевые участки рек в границах морских портов, через проливы и заливы внутренних морей и морские судоходные каналы устанавливаются заданием на проектирование.
1.2.2. Высота подмостового габарита над расчетным (высоким) судоходным уровнем воды в разводном пролете в наведенном положении должна обеспечивать возможность движения катеров и небольших судов в этом пролете и устанавливается в задании на проектирование исходя из местных условий судоходства.
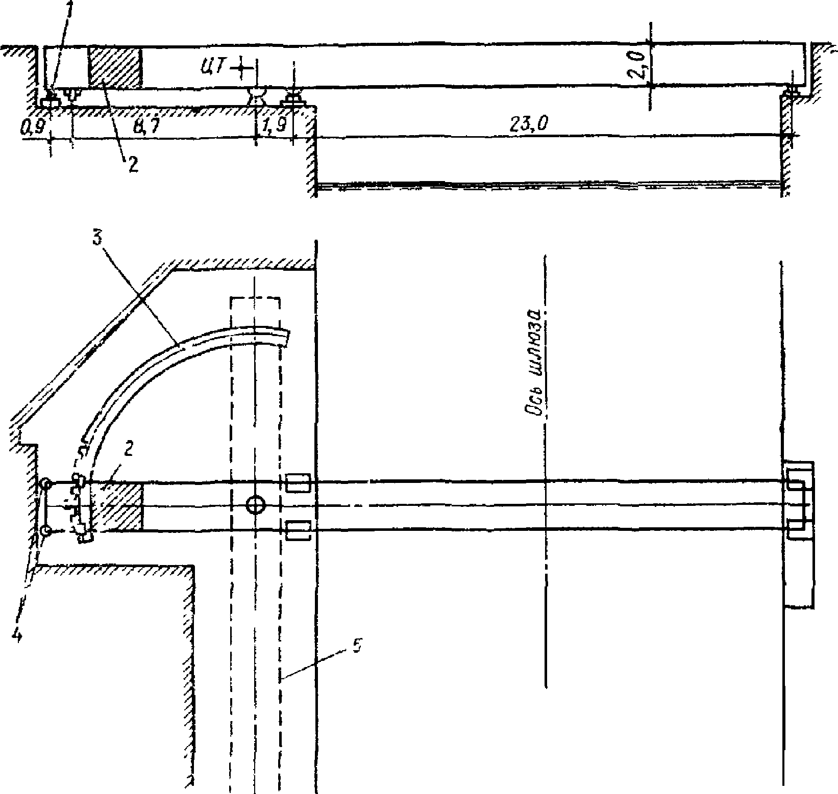
1.3. Системы разводных мостов
1.3.1. Преимущественное применение должны иметь следующие системы разводных мостов:
б) раскрывающаяся (однокрылая и двукрылая,
рис. 2 и
3);
в) поворотная (однорукавная и двухрукавная,
рис. 4 и
5).
Рис. 1. Вертикально-подъемный мост
1 - противовес; 2 - буфер; 3 - противовесные канаты;
4 - замковый механизм; 5 - световой сигнал для судоходства
Рис. 2. Однокрылый раскрывающийся мост
Рис. 3. Двукрылый раскрывающийся мост:
1 - ось вращения; 2 - противовес; 3 - гидроцилиндр
Рис. 4. Однорукавный поворотный мост
1 - поворотный и домкратный механизм; 2 - противовес;
3 - путь катания колес; 4 - домкратные опоры;
5 - пролетное строение в повернутом положении
Рис. 5. Двухрукавный поворотный мост
Применение разводных мостов других систем (например, откатных, откатно-раскрывающихся, поворотных двойных однорукавных и двухрукавных) может быть допущено только при надлежащем технико-экономическом обосновании.
Мосты под железнодорожное и совмещенное движение следует применять, как правило, вертикально-подъемной системы с разводными пролетными строениями, проектируемыми на базе типовых проектов. Применение других систем может рассматриваться только в случаях, если это оговорено заданием МПС на проектирование.
Выбор рекомендуемой системы разводного моста должен производиться на основе проектной разработки и технико-экономического сравнения вариантов. При этом проектные разработки железнодорожного разводного моста должны включать технические решения индивидуальных рельсовых замков (в случае невозможности применения типовых), разрабатываемые специализированными организациями МПС.
1.4.1. Вертикально-подъемные и раскрывающиеся пролетные строения во время разводки должны иметь небольшую неуравновешенность от собственного веса (перевес) в сторону разводного пролета, величину которой в наведенном положении моста следует принимать:
а) в вертикально-подъемных мостах - не менее 1% от массы пролетного строения с обустройствами, и, как правило, не менее 5 т;
б) в раскрывающихся мостах - не менее 3% от момента собственного веса крыла относительно оси вращения.
В указанных мостах неуравновешенность в наведенном положении должна обеспечивать плотное прилегание разводного пролетного строения к опорным частям в закрытом положении моста.
В поворотных мостах неуравновешенность пролетного строения от постоянных нагрузок должна удовлетворять условию проверки его устойчивости при разводке моста.
Неуравновешенность должна быть учтена при расчете мощности приводов механизмов, тормозов и буферных устройств.
1.5.1. Главные механизмы для разводки моста должны иметь, как правило, три привода: основной, запасной и аварийный. Для снижения скорости при посадке пролетного строения на опорные части в основном приводе может быть предусмотрен дополнительно микропривод.
Основной привод следует принимать электромеханическим или электрогидравлическим. Запасной привод устраивается того же типа, как основной привод, или от двигателя внутреннего сгорания.
Аварийный привод, как правило, принимается ручным и предназначается для пользования при неисправности основного и запасного приводов, а также регулирования механизмов в процессе их монтажа.
При основном электрогидравлическом приводе и наличии автономного электропитания аварийный привод может не устраиваться.
1.5.2. В механизмах пролетных и рельсовых замков и других вспомогательных механизмах следует предусмотреть два привода: основной и запасной, который должен приводиться в действие вручную.
1.6. Продолжительность разводки моста и посадочные скорости
пролетного строения
1.6.1. Продолжительность разводки (наводки) моста устанавливается заданием на проектирование в зависимости от интенсивности и особенностей организации движения сухопутного и водного транспорта (с учетом их перспективного развития).
При интенсивном движении по сухопутному и водному путям и многоразовых разводках моста в течение суток продолжительность разводки основным приводом следует принимать не более 2 мин, включая в это время все операции по открыванию (закрыванию) моста.
При небольшой интенсивности движения наземного и надводного транспорта и одно-, двухразовой разводке моста в сутки на относительно продолжительное время (1 - 2 ч) продолжительность разводки может быть увеличена до 5 мин. Продолжительность разводки моста запасным приводом принимается до 20 мин, а ручным приводом определяется из условия одновременной работы на приводе разводки 8 - 12 чел.
1.6.2. Проектируемые основные приводы механизмов должны обеспечивать посадочные скорости движения пролетных строений, не превышающие значений, приведенных в табл. 1.
Таблица 1
Система разводного моста | Посадочная скорость, см/с, при массе разводного пролетного строения, т |
до 300 | свыше 300 |
Вертикально-подъемная | 4,0 | 2,5 |
Раскрывающаяся | 6,5 | 4,0 |
Поворотная | 8,5 | 5,0 |
Примечания 1. Для раскрывающихся и поворотных мостов приведены линейные скорости наиболее удаленных от оси вращения точек опирания пролетных строений.
2. При электрогидравлическом приводе приведенные скорости могут быть увеличены на 30%.
3. Для двукрылого раскрывающегося моста за массу пролетного строения следует принимать массу одного крыла.
1.7. Управление приводами механизмов
1.7.1. В приводах механизмов для разводки мостов следует предусматривать два вида управления: автоматическое - для всего цикла операций в определенной последовательности и ручное - для раздельного управления каждой операцией в отдельности. Кроме того, необходимо иметь блокировочные защитные устройства и сигнализацию конечных положений пролетного строения и механизмов разводки и замков.
1.7.2. На железнодорожных разводных мостах управление приводами механизмов разводки моста должно быть увязано и сблокировано с системой СЦБ и связи прилегающих к мосту перегонов и станций и с устройствами навигационной сигнализации моста.
1.7.3. На автодорожных разводных мостах управление приводами механизмов разводки моста должно быть увязано с управлением устройствами навигационной и заградительной автодорожной сигнализации моста.
1.8. Центрирующие устройства и замки
1.8.1. Разводное пролетное строение должно иметь устройства для центрирования при его посадке на опорные части.
В двукрылом раскрывающемся пролетном строении при наличии на мосту рельсового пути или гребенок (в замковом деформационном шве) следует предусматривать в середине разводного пролета шарнирно-центрирующее устройство для взаимной фиксации крыльев в плане при наводке моста.
1.8.2. В наведенном положении разводные пролетные строения под железнодорожное и совмещенное движение должны запираться пролетными и рельсовыми замками.
Пролетные замки следует устанавливать вблизи от оси железнодорожного пути.
В автодорожных и городских разводных мостах отказ от устройства пролетных замков возможен при обосновании соответствующими расчетами невозможности саморазводки моста при эксплуатации, включая случаи уменьшения массы разводного пролетного строения при снятии покрытия проезжей части при его замене.
Рельсовые стыки на концах разводных пролетных строений железнодорожных мостов следует проектировать с учетом применения, как правило, типовых рельсовых замков.
Для запирания пролетного строения в разведенном положении, если это требуется условиями эксплуатации, должны устанавливаться специальные замки.
1.9. Тормозные и буферные устройства
1.9.1. Механизмы разводки должны быть снабжены тормозными устройствами, обеспечивающими замедление движения и плавную остановку пролетного строения в крайних положениях, а также немедленную (экстренную) остановку его в любом промежуточном положении.
При применении гидропривода торможение и остановку допускается осуществлять посредством изменения движения жидкости в гидросистеме.
1.9.2. В вертикально-подъемных мостах для смягчения ударов пролетного строения при его подходе к крайнему наведенному положению следует, как правило, предусматривать буферные устройства.
В разводных мостах других систем буферные устройства устанавливаются в качестве аварийных на случай несрабатывания конечных выключателей.
1.10. Оградительные устройства
1.10.1. Железнодорожные разводные мосты должны быть ограждены с обеих сторон сигналами прикрытия и защищены предохранительными (улавливающими) тупиками или устройствами путевого заграждения.
1.10.2. Перед автодорожными и городскими разводными мостами, кроме сигналов прикрытия, следует устраивать автоматические шлагбаумы или переносные ограждения и другие конструкции, запрещающие доступ пешеходов и транспорта на разводное пролетное строение при его разводке.
1.10.3. Поворотное пролетное строение, расположенное в разведенном положении над зеркалом воды (а не над берегом), следует ограждать устройствами от навала на него судов.
1.10.4. На опорах разводных пролетов рекомендуется предусматривать отбойные устройства, защищающие опоры или смягчающие удары судов при навалах.
Конструкции этих устройств следует проектировать с учетом переменности уровня водотока и с применением, как правило, резиновых амортизаторов.
1.11. Служебные помещения
1.11.1. Машинные помещения, павильон управления, помещения для электрооборудования, электротехнических обустройств, аппаратуры СЦБ и связи должны иметь размеры, обеспечивающие нормальные условия для технического обслуживания и ремонта расположенных в них механизмов и приборов.
1.11.2. Для обслуживающего персонала разводного моста рекомендуется предусматривать помещение для отдыха, санузел и душевую.
По отдельному требованию, оговоренному в техническом задании на проектирование, в комплексе мостового перехода могут быть предусмотрены: ремонтная мастерская, склад запасных деталей и другие вспомогательные помещения, необходимые для обеспечения эксплуатации разводного моста.
На всех железнодорожных разводных мостах должны предусматриваться служебные здания с мастерскими, бытовыми и складскими помещениями.
1.11.3. Павильон управления (помещение для оператора) следует располагать таким образом, чтобы был обеспечен обзор реки вверх по течению, а также по возможности вниз по течению и проезжей части моста и подходов к нему.
1.11.4. Ко всем помещениям и площадкам по обслуживанию механизмов, электрооборудования и сигнальных огней должен быть обеспечен безопасный доступ при любом положении разводного пролетного строения.
1.11.5. Все помещения, проходы, лестницы, площадки и другие места, где требуется периодическая проверка или текущий ремонт оборудования, должны быть обеспечены электрическим освещением.
1.11.6. Все служебные помещения разводного пролета следует проектировать как сооружение 1-й степени огнестойкости.
1.12. Электроснабжение моста
1.12.1. В отношении надежности электроснабжения электроприемники разводных мостов следует относить к первой категории по классификации
Правил устройства электроустановок и обеспечивать питанием от двух независимых взаимно резервируемых источников, расположенных, как правило, на разных берегах, с установкой на мосту автоматического включения резерва на стороне 0,4 кВ.
1.12.2. Для проведения пусконаладочных и ремонтных работ рекомендуется питание запасного привода дублировать от передвижного источника питания с установкой на мосту подключающего устройства.
1.13. Прочие обустройства
1.13.1. На всех разводных мостах вертикально-подъемной системы в каждой башне, помимо лестничных ходов, рекомендуется устраивать лифты-подъемники для доставки обслуживающего персонала и необходимого оборудования в павильон управления и машинные помещения, расположенные в верхних частях башен.
Лифты-подъемники должны быть грузоподъемностью не менее 500 кг, иметь полностью закрытые кабины и отвечать требованиям, предъявляемым к пассажирским лифтам, работающим на открытом воздухе при неотапливаемых шахтах.
1.13.2. В целях облегчения надзора и ухода за механизмами разводки вертикально-подъемных мостов, а также в случае затруднения подводных прокладок кабелей и их эксплуатации в разводном пролете, может быть предусмотрен специальный кабельный (переходной) мостик между оголовками башен.
Кабельные мостики следует предусматривать на всех железнодорожных вертикально-подъемных мостах.
1.13.3. На конструкциях разводного моста в местах, указанных в проектной документации, следует предусматривать установку специальных марок для контроля за общими деформациями сооружения в процессе эксплуатации.
1.13.4. Противопожарное оборудование на разводных пролетах следует принимать как для сооружений 1-й степени огнестойкости и согласовывать с местными управлениями пожарной охраны.
1.13.5. При проектировании навигационной сигнализации разводных мостов следует выполнять требования действующих нормативных документов, регулирующих судоходство на внутренних водных путях СССР.
Знаки и огни навигационной сигнализации следует принимать в соответствии с ГОСТ 26600-85.
Проекты навигационной сигнализации разводных мостов должны быть согласованы с местными организациями, в ведении которых находятся соответствующие водные пути.
1.13.6. Необходимость и характер маркировки и светоограждения проектируемых вертикально-подъемных и раскрывающихся мостов определяются в каждом конкретном случае соответствующими органами при согласовании проекта.
2. СТРОИТЕЛЬНЫЕ КОНСТРУКЦИИ
2.1.1. Размеры и конструктивные решения, применяемые при проектировании разводных мостов, должны быть унифицированы, если это целесообразно, с действующими типовыми проектами и заводскими нормалями и обеспечивать простоту их заводского изготовления и монтажа.
Следует отдавать предпочтение системам (конструктивным решениям), в которых работа отдельных элементов на всех стадиях строительства и эксплуатации является достаточно определенной и может быть надежно выявлена расчетами.
В стальных конструкциях разводных пролетных строений не следует допускать зоны интенсивного местного изменения напряжений и необходимо предусматривать технологические меры по снижению их концентрации. При этом особое внимание необходимо уделять приопорным участкам и местам заделки осей вращения в сплошностенчатых балках.
2.1.2. Плоскости опор, обращенные в сторону разводного пролета, в пределах гарантированных глубин, как правило, не должны иметь выступов (обрезов фундамента), опасных для судоходства.
Опоры, имеющие такие выступы, должны быть оборудованы надежными ограждающими (отбойными) устройствами.
2.1.3. Применение раздельных опор разводных пролетов (в направлении поперек моста) на самостоятельных фундаментах не допускается, кроме случаев заложения их на скальных грунтах.
2.1.4. Расчетные величины осадок и перемещений опор разводных мостов не должны превышать значений, установленных
СНиП 2.05.03-84, а также достигать значений, при которых могут возникнуть затруднения для нормальной эксплуатации моста.
При этом предельные величины продольных и поперечных смещений верха опор разводных пролетов с учетом общего размыва русла не должны, как правило, превышать значений

, см, где
l - расчетный пролет (м) разводного пролетного строения.
2.1.5. В конструкциях разводных пролетных строений следует предусматривать деформационные швы и подвижные опирания, обеспечивающие свободу соответствующих деформаций (перемещений) при разводке и в наведенном положении моста.
В стыках подвижной и неподвижной частей разводного пролета следует предусматривать, как правило, большие значения зазоров в процессе разводки, чем для наведенного положения моста.
2.2. Материалы и полуфабрикаты
2.2.1. В стальных конструкциях разводных мостов, с целью уменьшения их собственного веса и повышения коррозионной стойкости, для элементов из прокатного металла следует применять, как правило, низколегированные стали с пределом текучести 340 (35) и 390 (40) МПа (кгс/мм
2), предусмотренные
СНиП 2.05.03-84.
При надлежащем технико-экономическом обосновании для разводных пролетных строений или их элементов допускается применение высокопрочных сталей, а также алюминиевых сплавов (только для элементов, не рассчитываемых на выносливость). В этом случае должны составляться дополнения и изменения к действующим нормам проектирования мостов, утверждаемые по согласованию с Госстроем СССР.
2.2.2. Для заполнения противовесов в зависимости от требуемой по проекту их объемной плотности следует применять:
| | ИС МЕГАНОРМ: примечание. Взамен ГОСТ 26633-85 Постановлением Госстроя СССР от 16.05.1991 N 21 с 01.01.1992 введен в действие ГОСТ 26633-91. | |
а) бетон тяжелый по ГОСТ 26633-85 класса по прочности на сжатие не ниже B20 и по морозостойкости марки F200 - F300 в зависимости от климатических условий зоны строительства, расположения и конструкции противовеса;
| | ИС МЕГАНОРМ: примечание. Взамен ГОСТ 805-80 Постановлением Госстандарта РФ от 07.04.1999 N 114 с 01.01.2000 введен в действие ГОСТ 805-95. | |
б) бетон тяжелый по
п. а) с включением чушкового чугуна по ГОСТ 805-80, металлолома или железной руды;
в) чугунные отливки правильной формы из серого чугуна марок СЧ 15 и СЧ 20 по
ГОСТ 1412-85, укладываемые на раствор прочностью на 28-й день не ниже 29,4 МПа (300 кгс/см
2).
Бетон для заполнения противовесов следует применять марки по водонепроницаемости не ниже W6.
2.3. Нагрузки и воздействия
2.3.1. При расчете конструкций разводных пролетов на нагрузки и воздействия, возникающие во время разводки (наводки) моста, следует учитывать:
а) собственный вес конструкций (для движущихся частей с учетом динамического коэффициента);
б) нагрузки от действия механизмов, приводящих разводное пролетное строение в движение, с учетом динамического коэффициента;
в) ветровую нагрузку;
г) температурное климатическое воздействие.
2.3.2. При расчете опор разводного пролета для разведенного положения моста следует учитывать также нагрузку от навала судов и ледовую нагрузку, определяемые по
СНиП 2.05.03-84 и
СНиП 2.06.04-82.
При этом нагрузку от ледяного покрова следует определять с учетом его температурного расширения и наличия в разводном пролете поддерживаемой майны.
Для разводных мостов через устьевые участки рек в границах морских портов, через проливы и заливы внутренних морей и морские судоходные каналы нагрузка от навала судов устанавливается заданием на проектирование.
2.3.3. Коэффициенты сочетаний ко всем перечисленным нагрузкам и воздействиям следует во всех расчетах принимать равными 1.
2.3.4. Нормативную вертикальную нагрузку от собственного веса следует определять по проектным весам (спецификациям) элементов и частей конструкции, включая постоянные смотровые приспособления, механизмы, опоры и провода контактных линий, освещения и т.д.
Для разводных пролетных строений раскрывающейся системы нагрузку от собственного веса следует принимать с учетом действительной ее неравномерности распределения по длине пролета, для других систем разводных пролетов допускается принимать равномерным, если действительная неравномерность не превышает 10% средней величины.
Нагрузку от собственного веса башни и ее оголовка вертикально-подъемных мостов рекомендуется принимать равномерно-распределенной по длине башни (в уровне оголовка).
2.3.5. Нормативную интенсивность горизонтальной ветровой нагрузки на рабочую ветровую поверхность следует принимать равной:
а) при движении разводного пролетного строения - 0,49 кПа (50 кгс/м2);
б) в любом открытом положении (когда пролетное строение неподвижно) - 0,74 кПа (75 кгс/м2).
Рабочую ветровую поверхность противовесов, машинных помещений, павильона управления и т.п. следует принимать равной боковой поверхности наветренной плоскости (стены), при этом прикрытие их конструкциями сквозных металлических башен не учитывается.
Рабочую ветровую поверхность стальных решетчатых ферм (вместе с лестничными ходами) и оголовков башен вертикально-подъемных мостов допускается принимать равной площади, ограниченной их теоретическими контурами, с коэффициентами 0,5 - для ферм и 1,0 - для оголовков.
Распределение ветровой нагрузки по длине пролета и высоте башен, независимо от их очертания, допускается принимать равномерным.
2.3.6. Нормативную горизонтальную продольную ветровую нагрузку для разводных пролетных строений со сквозными фермами следует принимать в размере 60% полной нормативной поперечной ветровой нагрузки.
Продольную ветровую нагрузку на разводные пролетные строения со сплошностенчатыми балками и на проезжую часть допускается не учитывать.
2.3.7. В расчетах механизмов разводки и при проверке устойчивости конструкций разводных мостов против опрокидывания следует учитывать возможность возникновения вертикальной ветровой нагрузки, равнодействующая которой принимается приложенной в четверти полной ширины проезжей части с тротуарами. При этом для двухрукавных поворотных мостов следует рассматривать случай действия вертикальной ветровой нагрузки на один из рукавов.
Нормативную интенсивность вертикальной ветровой нагрузки на горизонтальную проекцию проезжей части и тротуаров следует принимать равной 0,12 кПа (12,5 кгс/м2) и учитывать в невыгодной комбинации, т.е. действующей вверх или вниз.
2.3.8. В процессе разводки моста любой системы нагрузку от массы движущихся частей пролетного строения и противовесов, включая массу механизмов, находящихся на разводном пролетном строении, а также массу шкивов и канатов в вертикально подъемных мостах, следует учитывать с динамическим коэффициентом 1,2.
2.3.9. Усилия в элементах конструкции разводного пролета (в подъемных и приводных балках, несущих конструкциях приводных зубчатых реек, сегментов, штоков, тяг, упоров и буферов, а также анкерных креплений и пр.), вызываемые действием механизмов, приводящих разводное пролетное строение в движение или останавливающих его, следует учитывать с динамическими коэффициентами 2,0 - при жесткой передаче и 1,5 - при канатной и гидравлической передачах.
2.3.10. Коэффициенты надежности по нагрузке

для нагрузок и воздействий, указанных в
пп. 2.3.1 и
2.3.2, следует принимать:
Собственный вес конструкций ...... СНиП 2.05.03-84,
п. 2.10
Нагрузки:
от действия механизмов, приводящих разводное
пролетное строение в движение ..................... 1,1
ветровая ........................................... 1,0
от навала судов ................................... 1,2
ледовая ........................................... 1,2
Температурные климатические воздействия ............. 1,2
2.4.1. Расчеты конструкций разводного пролета на нагрузки и воздействия, возникающие в наведенном положении моста, а также при строительстве, следует производить в соответствии с нормами проектирования постоянных мостов
СНиП 2.05.03-84.
При расчете гибких конструкций разводного пролета (например, стальных башен подъемных мостов, кабельных мостиков по верху башен, раскрывающихся пролетных строений и др.) с периодом собственных колебаний свыше 0,35 с следует дополнительно учитывать, руководствуясь указаниями
СНиП 2.01.07-85, влияние пульсационной составляющей ветровой нагрузки, а также выполнять проверку аэроупругой устойчивости.
2.4.2. Расчет элементов стальных конструкций на нагрузки и воздействия, возникающие в процессе эксплуатации моста как в наведенном положении, так и во время разводки, следует производить без учета ограниченного развития пластических деформаций в сечениях.
2.4.3. Устойчивость конструкций против опрокидывания в период разводки моста следует рассчитывать по
формуле (1) СНиП 2.05.03-84, принимая:
а) коэффициенты условий работы m равными: при проверке конструкций, опирающихся на отдельные опоры, - 0,95; при сплошном опирании - 0,90;
б) коэффициент надежности по назначению

равным 1,2.
2.4.4. В расчетах стальных сплошностенчатых балок переменной высоты с переломами поясов и при отсутствии в этих местах поперечных ребер жесткости, приваренных к поясу, необходимо учитывать дополнительные напряжения, возникающие вследствие этих переломов в примыкающих вертикальных стенках, в сварных швах прикрепления поясов к стенкам и в листах самих поясов.
В этих случаях прочность элементов и соединений следует проверять с учетом сложного напряженного состояния.
2.4.5. При расчете стальных конструкций и соединений разводных пролетов мостов всех назначений на нагрузки и воздействия, возникающие в процессе эксплуатации моста в наведенном положении и во время разводки, следует принимать коэффициент условий работы
m = 0,9, как для стадии эксплуатации железнодорожных и пешеходных мостов (СНиП 2.05.03-84,
табл. 60).
Для стадии строительства разводных пролетов всех назначений принимать коэффициент условий работы m = 1,0.
2.4.6. Расчетные сопротивления проката, отливок, поковок и различных видов соединений следует принимать по
разделу 4 СНиП 2.05.03-84.
2.5. Указания по расчету вертикально-подъемных мостов
2.5.1. Расчет башен вертикально-подъемных мостов должен производиться на следующие сочетания нагрузок:
На башню действуют: давление от главных шкивов, равное соответствующей части веса подъемного пролетного строения, противовеса и канатов с частями для их прикрепления; собственный вес башни, включая вес оголовка, и продольное или поперечное давление ветра интенсивностью, установленной
СНиП 2.05.03-84. Давление от направляющих роликов не учитывается.
Б. Подъемное пролетное строение находится в движении.
Учитываются нагрузки: собственный вес башни, давление от главных шкивов с динамическим коэффициентом 1,2 в сочетании с продольным (при направлении в любую сторону) или поперечным давлением ветра интенсивностью 0,49 кПа (50 кгс/м2) на башню, противовес и подъемное пролетное строение.
Передние стойки башен, за исключением их нижних элементов, следует проверять с учетом местного изгиба от давления направляющих роликов. При этом изгибающий момент в любом сечении стойки допускается принимать равным 0,6 момента в середине пролета для свободно опертого элемента.
Влияние кручения от смещения путей для качения роликов относительно оси стойки разрешается не учитывать.
В. Подъемное пролетное строение остановлено в поднятом положении.
Учитываются те же силы, что и в
п. Б, но интенсивность давления ветра принимается равной 0,74 кПа (75 кгс/м
2). Давление от главных шкивов принимается без динамического коэффициента.
Г. Мост наведен, противовесы подняты на домкратных лентах.
Вес противовеса передается на оголовок башни через домкратные балки, от главных шкивов передается только их собственный вес Давление ветра и вес башни учитываются так же, как в
п. А.
2.5.2. Нижние элементы передних стоек башен следует рассчитывать как элементы портальной рамы в предположении заделки их нижних концов.
При установке башен на фермы соседних неподвижных пролетных строений и устройстве горизонтальных порталов (для пропуска противовесов) в уровне верхнего пояса, давление ветра на поперечные связи в плоскости передних стоек следует передавать полностью на опорные узлы через нижние элементы этих стоек (разгружающее влияние горизонтальных порталов не учитывается).
Местный изгиб нижних элементов передних стоек от давления направляющих роликов подъемного пролетного строения разрешается не учитывать.
При установке башен на самостоятельные опоры допускается в расчете на устойчивость против опрокидывания учитывать анкерное закрепление их к массивам этих опор.
2.5.3. При устройстве в башне двух плоскостей поперечных связей (в плоскости передних и задних стоек) и при определении усилий в элементах по плоским расчетным схемам горизонтальные нагрузки от ветра принимаются согласно табл. 2.
Таблица 2
Нагрузка | Нагрузка на поперечные связи в процентах от полной |
в плоскости передних стоек | в плоскости задних стоек |
Давление ветра | | |
на продольные фермы башни (включая оголовок) | 60 | 60 |
на подъемное пролетное строение | 80 | 40 |
Гибкость элементов поперечных и портальных связей не должна превышать 130.
2.5.4. Усилия в элементах поперечных связей с крестовой, ромбической и треугольной решетками от деформации стоек башен следует определять от полной вертикальной нагрузки по формулам, приведенным в
СНиП 2.05.03-84.
При треугольной и ромбической системах поперечных связей необходимо учитывать в расчетах на прочность изгибающие моменты в стойках башен от деформации элементов связей в соответствии с рекомендациями
СНиП 2.05.03-84.
Усилия от вертикальной нагрузки в элементах поперечных связей полураскосной системы допускается не учитывать.
Разгружающее влияние поперечных связей на усилия в стойках башен не учитывается.
2.5.5. Для балок оголовков и балок подвешивания изгибающие моменты, поперечные силы и опорные реакции следует определять во всех случаях как для свободно опертых балок. При этом в стойках башен и подвесках подъемных пролетных строений, являющихся элементами замкнутых рам, допускается не учитывать изгибающие моменты, возникающие вследствие вертикального изгиба балок.
2.5.6. Шарнирные опирания нижних концов передних стоек башни на неподвижное пролетное строение следует рассчитывать как цилиндрические шарниры (цапфы) на местное смятие при плотном касании на усилия в передних стойках при противовесах, подвешенных на домкратных лентах.
Расчет накладок для заглушки шарниров следует производить на дополнительные усилия в стойках от перевешивания противовесов с домкратных лент на канаты.
2.5.7. В вертикально подъемных мостах, в которых противовесные канаты являются одновременно и рабочими, подъемные балки следует рассчитывать на вес подъемного пролетного строения с динамическим коэффициентом 1,2 и с учетом коэффициента надежности по нагрузке согласно
п. 2.3.10.
2.6. Указания по расчету раскрывающихся мостов
2.6.1. Главные фермы однокрылых раскрывающихся мостов и двукрылых раскрывающихся мостов с ригельными или пальцевыми замками допускается рассчитывать в закрытом состоянии на постоянную нагрузку как свободно свешивающиеся консоли длиной, равной расстоянию от опоры (или оси вращения, если она является опорой) до конца крыла.
В двукрылых раскрывающихся мостах, замыкающихся по схеме трехшарнирной арки, усилия в главных фермах следует определять как в свободно свешивающихся консолях с учетом распора. При этом минимальная суммарная величина распора от постоянной нагрузки и временной на хвостовой части должна составлять не менее 5% полного распора.
При разводке (наводке) мостов главные фермы следует рассчитывать как свободные консоли с заделкой по плоскости, проходящей через ось вращения крыла.
2.6.2. При расчете пролетных строений на временную нагрузку принимаются для главных ферм следующие расчетные схемы:
а) в однокрылых мостах - двухопорная консольно-балочная;
б) в двукрылых мостах при замках, не воспринимающих изгибающих моментов - консольно-балочная, а при пальцевых замках - в двух предположениях: с полной передачей изгибающего момента через пальцевые замки и без учета передачи изгибающего момента в середине пролета.
2.6.3. Хвостовая часть главных ферм двукрылых мостов консольной системы рассчитывается как анкерный пролет консольной балки.
При расчете конструкций анкерного крепления главных ферм на опоре следует принимать коэффициент условий работы m = 0,7.
2.6.4. Средние замки двукрылых мостов консольной системы следует рассчитывать на наибольшую поперечную силу, возникающую в замке при загружении временной нагрузкой одного крыла и определяемую из условия равенства прогибов обоих крыльев.
При расчете замков вводится коэффициент условий работы m = 0,8.
2.6.5. Металлоконструкции противовесов и их крепление к главным фермам должны быть проверены на нагрузки, действующие на них при крайних положениях крыла в период разводки моста.
2.6.6. Вычисление прогибов на конце консоли двукрылых раскрывающихся мостов следует производить с учетом деформаций хвостовой части главных ферм и конструкций анкерного крепления пролетного строения на опоре.
2.6.7. В автодорожных и городских мостах вертикальные перемещения конца хвостовой консоли от среднего положения в месте стыка подвижной и неподвижной проезжей части не должны при любых положениях временной вертикальной нагрузки превышать: 5 мм - при наличии трамвайных путей на мосту и 10 мм - при их отсутствии.
2.6.8. Расчетные периоды собственных вертикальных и горизонтальных колебаний разводных пролетных строений (с учетом противовесов) в наведенном состоянии моста должны соответствовать требованиям
СНиП 2.05.03-84.
Для разведенного состояния моста периоды собственных поперечных и продольных колебаний пролетных строений определяются только для проверки конструкций на ветровую нагрузку в соответствии с требованиями
п. 2.3.5. При консолях длиной менее 30 м эту проверку разрешается не производить.
2.6.9. В железнодорожных мостах для улучшения динамических характеристик разводных пролетных строений в наведенном положении следует применять системы с подклинкой противовесов.
2.7. Указания по расчету поворотных мостов
2.7.1. При расчете главных ферм (балок) в наведенном состоянии моста должны учитываться усилия, возникающие на опираемых концах ферм вследствие подъемки концов механизмами подклинки.
Кроме того, фермы должны быть проверены на постоянную нагрузку как свободные консоли (при разводке моста).
2.7.2. Расчет главных ферм на временную нагрузку следует производить как неразрезных, двух- или трехпролетных, в зависимости от системы моста.
2.7.3. Проверку устойчивости пролетного строения на опрокидывание в продольном направлении при разводке моста следует производить с учетом вертикального давления ветра.
2.8.1. Опоры разводных мостов должны проектироваться с учетом размещения на них узлов и групп механизмов, а также необходимых помещений в соответствии с общей схемой и конструкцией разводного пролета.
2.8.2. Установку и закрепление механизмов на опоре следует производить на специальные закладные части, заделываемые при бетонировании.
В местах установки закладных частей должно предусматриваться необходимое армирование.
2.8.3. Для получения минимальной высоты башен крайние (опорные) элементы подъемного пролетного строения должны приниматься минимальной высоты, определяемой габаритом приближения строений с учетом общей архитектурной компоновки моста.
Добавляемые в опорных узлах ферм стойки для подвешивания пролетного строения к канатам рекомендуется располагать вертикально.
2.8.4. В целях уменьшения влияния местного изгиба стоек от давления направляющих роликов подъемного пролетного строения панели башен следует назначить возможно меньшей длины.
Для удобства изготовления все длины панелей башни рекомендуется принимать одного-двух размеров.
2.8.5. Продольные фермы башен следует объединять поперечными связями в плоскости передних и задних стоек с устройством в нижней их части портальных рам.
В первой панели верхнего пояса башенного пролетного строения следует предусматривать продольные связи типа горизонтального портала, не препятствующие опусканию противовеса при разводке моста.
2.8.6. Нижние концы передних стоек башен на время их монтажа и загрузки противовесов рекомендуется присоединять к опорным узлам неподвижных пролетных строений при помощи шарниров и задних стоек - с применением регулирующих (натяжных) приспособлений.
Окончательное прикрепление стоек башен к узлам следует осуществлять на высокопрочных болтах после придания стойкам правильного положения и рассверловки отверстий для болтов по месту.
2.8.7. В раскрывающихся мостах расстояние между осями главных ферм разводного пролетного строения определяется с учетом возможности устройства перекрытия колодцев опор и размещения противовесов.
Во всех случаях следует стремиться к минимальному числу главных балок.
2.8.8. Разводные пролетные строения для уменьшения их собственного веса надлежит проектировать с применением эффективных марок сталей и, как правило, сварными.
Проезжую часть разводных пролетов автодорожных и городских мостов рекомендуется проектировать со стальной ортотропной плитой.
2.8.9. Соединения (прикрепления) элементов, работающих в тяжелых условиях сложного напряженного состояния, рекомендуется проектировать на высокопрочных болтах.
2.8.10. В стальных сплошностенчатых балках переменной высоты в местах перелома поясов необходимо предусматривать поперечные ребра жесткости, привариваемые к поясу.
2.9. Верхнее строение пути и дорожное покрытие
2.9.1. Дорожное покрытие на стальных ортотропных плитах автодорожных и городских разводных мостов следует устраивать по специальным технологическим указаниям.
Покрытие на стальных ортотропных плитах проезжей части из асфальтобетона следует предусматривать толщиной слоя не менее 45 мм, принимая меры по обеспечению надежного сцепления покрытия с поверхностью металла и защиты металлической конструкции от коррозии. При этом покрытие тротуаров и служебных проходов следует принимать, как правило, из песчаного асфальта с толщиной слоя не менее 30 мм.
На стальных ортотропных плитах однокрылых раскрывающихся мостов пролетом в свету более 40 м рекомендуется применять тонкослойные покрытия толщиной 15 - 20 мм, устраиваемые по специальным технологическим указаниям, разрабатываемым СоюздорНИИ для конкретного разводного моста.
2.9.2. Рельсовый путь на разводных пролетных строениях должен устраиваться, как правило, с непосредственным креплением рельсов к стальной ортотропной плите или на металлических поперечинах с обеспечением электроизоляции рельсов и возможности (для железнодорожных мостов) прокладки цепей СЦБ.
Устройство пути на деревянных поперечинах не рекомендуется и допускается только по согласованию с заказчиком.
2.9.3. Путь на подходах и на разводном пролете должен иметь надежное закрепление от угона с обязательной установкой противоугонов у стыков подвижной и неподвижной проезжей части моста.
Рельсовый путь на раскрывающихся мостах должен быть закреплен от смещения при разводке моста.
2.9.4. Рельсовый путь по концам разводного пролетного строения, а также в середине разводного пролета двукрылой раскрывающейся системы должен иметь рельсовые стыки, а в железнодорожных мостах, кроме того, должны предусматриваться рельсовые замки.
Рельсовые стыки и замки должны обеспечивать быстрое и надежное соединение рельсов, а также плавный (без ударов) проход подвижного состава.
2.9.5. Деформационные швы автопроезда должны обеспечивать свободу перемещения сопрягаемых частей, не нарушать плавности движения автомобилей по мосту, быть долговечными и надежными в работе.
При перемещениях до 30 мм допускается устройство швов без перекрытия зазора между сопрягаемыми частями, т.е. открытого типа.
2.9.6. Стык подвижной и неподвижной проезжей части раскрывающихся мостов должен быть простейшего очертания в плане. В пролетном строении с двумя главными балками указанный стык допустимо устраивать впереди оси вращения, при большем количестве главных балок рекомендуется устройство стыка сзади оси вращения.
2.10. Отвод воды и гидроизоляция
2.10.1. В конструкциях разводных пролетов автодорожных и городских мостов в наведенном состоянии должен быть обеспечен надежный отвод воды с проезда и из-под деформационных швов, исключающий попадание воды и грязи на расположенные под проездом конструкции и в колодцы опор разводного пролета.
В раскрывающихся автодорожных и городских мостах следует предусматривать в опорах специальные лотки для улавливания и отвода воды и грязи, проникающих в опору через стык подвижной и неподвижной проезжей части при разведенном состоянии моста.
При расположении разводного пролета на продольном уклоне водоотводные устройства следует располагать так, чтобы обеспечивался перехват воды от попадания в деформационные швы проезжей части.
2.10.2. Колодцы опор ниже уровня низкой межени (УНМ) и нормального подпорного уровня (НПУ) водохранилищ должны иметь надежную гидроизоляцию, выполняемую, как правило, из стальных листов с антикоррозионным покрытием и с надежным закреплением их в кладке опоры.
Для гидроизоляции колодцев целесообразно применять двухслойную коррозионностойкую сталь по
ГОСТ 10885-85.
Сварные швы гидроизоляции, кроме обычных методов контроля, должны подвергаться также испытанию на плотность, что указывается в чертежах этих конструкций.
Для колодцев опор в пределах колебания уровня воды рекомендуется гидроизоляция битумная мастичная БМ-3 по Инструкции
ВСН 32-81. Кладку опор в этих границах следует выполнять из бетона марки по водонепроницаемости W6.
Колодцы опор в уровне днища следует объединять в общую систему и предусматривать водосборник глубиной не менее 0,5 м.
2.10.3. Все поверхности внутри опор разводного пролета, на которые возможно попадание воды в процессе эксплуатации, следует проектировать с уклоном не менее

.
2.10.4. Все механизмы, устанавливаемые на разводном мосту, и особенно аппаратура управления, а также прокладка кабелей и напорных труб гидросистемы должны быть надежно защищены от попадания на них воды и грязи.
2.10.5. В вертикально подъемных мостах воду с крыш машинных помещений и павильона управления следует отводить поперек моста через лотки, выступающие относительно стен этих помещений не менее 0,5 м, чтобы исключить попадание воды на проезжую часть и тротуары. Крыши указанных помещений рекомендуется проектировать односкатными с продольным уклоном, как правило, не менее

.
2.11. Конструкция противовесов
2.11.1. Противовесы должны уравновешивать разводное пролетное строение в любом его положении.
Несущие противовесные канаты вертикально-подъемных мостов должны быть уравновешены, если их неуравновешенная часть составляет более 5% от тягового усилия лебедок механизмов разводки. В этом случае проектом должны предусматриваться дополнительные (съемные) противовесы.
2.11.2. Для регулирования уравновешивания разводного пролетного строения во время эксплуатации моста следует предусматривать возможность изменения массы противовеса от -3% до +5% его расчетной массы путем изъятия или добавления съемных блоков, помещаемых в специальных карманах (отсеках) противовесов.
В уравновешенных раскрывающихся пролетных строениях эти карманы следует размещать так, чтобы имелась возможность регулирования положения центра тяжести крыла с целью его совмещения с осью вращения. Регулирование в этих случаях рекомендуется осуществлять съемными блоками, помещаемыми в отсеках (карманах), располагаемых возможно ближе к задней грани коробок противовесов.
Съемные блоки противовесов рекомендуется применять массой не более 50 кг и, как правило, в виде чугунных отливок правильной формы.
В конструкциях карманов следует предусматривать металлические люки, лазы, лестницы и дренажные устройства.
2.11.3. Противовесы вертикально-подъемных мостов должны быть подвешены так, чтобы при полностью поднятом пролетном строении, и с учетом возможного удлинения несущих противовесных канатов на 2% длины, нижняя грань противовеса была выше отметки проезда (или головки рельса) не менее чем на 1 м, а на электрифицируемых железных дорогах не менее 0,5 м выше верхнего элемента конструкции подвески контактного провода.
В противовесах следует предусматривать устройства для подвешивания их к балкам оголовков башен с целью снятия нагрузки с несущих канатов (подклинка противовесов).
Противовесы следует проектировать, как правило, из бетона со стальным каркасом и армированием сетками всех наружных плоскостей.
2.11.4. В вертикально-подъемных пролетных строениях под совмещенное железнодорожное и автомобильное движение в одном уровне, в которых равнодействующая постоянной нагрузки имеет эксцентриситет относительно середины расстояния между главными фермами с целью выравнивания усилий в канатах, следует предусматривать смещение противовесов и главных шкивов в поперечном направлении.
2.11.5. Противовесы раскрывающихся мостов следует выполнять в виде металлических ящиков, разделенных на секции (отсеки), заполняемые бетоном с тяжелыми заполнителями или чугунными отливками правильной формы.
Между противовесами и конструкциями опор следует предусматривать зазоры не менее 10 см, полностью исключающие возможность задевания противовесом за опоры в процессе разводки моста.
2.11.6. Заполнение противовесов из бетона или чугунобетона может выполняться монолитным или в виде блоков. По форме блоки должны обеспечивать возможность укладки их в ящике противовеса с минимальными зазорами.
Перед укладкой в противовес заполнения (как монолитного, так и блоков) его масса должна контролироваться взвешиванием.
2.11.7. При проектировании противовесов объемную плотность заполнения рекомендуется принимать не более: 2,4 т/м3 - из бетона; 5,5 т/м3 - из монолитного чугунобетона; 4,5 т/м3 из чугунно-бетонных блоков и 6,2 т/м3 - из чугунных отливок правильной формы на цементном растворе.
В противовесах раскрывающихся мостов отсеки с большей плотностью следует располагать в большем удалении от оси вращения крыла.
Для возможности регулирования уравновешивания во время ремонта или замены дорожного покрытия в навигационный период в пролетных строениях раскрывающихся мостов рекомендуется предусматривать специальные карманы в носовой части крыльев под проездом (тротуарами), заполняемые съемными блоками с учетом возможности снятия с крыла дорожного покрытия на ширине одной полосы движения.
2.12. Конструкция опорных частей, направляющих
и центрирующих устройств
2.12.1. Подвижные концы разводных пролетных строений (включая консольные системы) должны иметь свободу продольных перемещений и строгую фиксацию положения в поперечном направлении в наведенном положении и в процессе разводки моста.
В пролетных строениях с более чем двумя фермами следует предусматривать неподвижное закрепление в поперечном направлении на одной из средних ферм, расположенной ближе к оси моста.
В раскрывающихся мостах закрепление пролетного строения в продольном и поперечном направлениях при закрытом его положении следует осуществлять, как правило, за счет специальных устройств на осях вращения и дополнительно в поперечном направлении при помощи центрирующих устройств.
2.12.2. Опорные части шарнирно-каткового или секторного типа, а также в виде качающейся стойки следует применять, как правило, литые с шарнирами (предпочтительно) свободного касания.
Для автодорожных и городских разводных мостов допускается применять сварные опорные части и с использованием полимерных материалов.
2.12.3. Неподвижные опорные части вертикально-подъемных мостов должны иметь устройства для точной посадки пролетного строения в продольном направлении.
Для центрирования в поперечном направлении с точностью +/- 1 мм на обоих концах подъемного пролетного строения должны предусматриваться специальные устройства, воспринимающие реакции от горизонтальных нагрузок, действующих на пролетное строение в опущенном положении.
Применение опорных частей, совмещенных с центрирующими устройствами в поперечном направлении, не рекомендуется.
2.12.4. В опорных частях разводного пролетного строения рекомендуется предусматривать устройства регулирования их размера по высоте при сооружении моста и его эксплуатации.
2.12.5. Опорные части с подъемным подклинивающим механизмом, осуществляющие вертикальные перемещения конца пролетного строения, должны проектироваться в соответствии с требованиями
раздела 3 настоящего Руководства.
2.12.6. Подъемное пролетное строение и противовесы должны во время движения удерживаться от раскачивания системой роликов, движущихся по направляющим, прикрепленным к опорным стойкам башен.
Пролетные строения с ездой понизу должны иметь две системы роликов - верхнюю и нижнюю, устанавливаемые на обоих его концах. В пролетных строениях с ездой поверху допускается устройство системы роликов только в одной плоскости.
Между направляющими и роликами необходимо предусматривать зазор 10 - 20 мм.
Для противовесов допускается применять направляющие приспособления в виде вилки (ползунка) с зазором не более 10 мм. Вилки следует прикреплять к каркасу в верхней и нижней его части при помощи болтов на стороне, ближайшей к вертикальной ноге башни.
2.12.7. Для уменьшения воздействия горизонтальных сил от подъемного пролетного строения направляющие пути следует размещать возможно ближе к оси передних стоек башен.
2.12.8. Направляющие пути должны иметь вертикальное положение. Выправку положения направляющих путей при монтаже (как и самих передних ног башен) рекомендуется осуществлять при помощи регулирующих приспособлений
(п. 2.8.6) и набора прокладок различной толщины в прикреплении направляющих путей к башне.
2.13. Служебные помещения
2.13.1. Механизмы разводного моста, особенно электрооборудование и гидроаппаратура, должны размещаться в закрытых помещениях.
Зубчатые рейки, гидроцилиндры и другие узлы и детали, непосредственно сочлененные с разводным пролетным строением, допускается располагать вне закрытых помещений с обеспечением удобного доступа к ним для регулярной очистки и смазки и при защите их от атмосферных осадков и грязи при помощи козырьков, кожухов, чехлов и т.д.
2.13.2. Закрытые машинные помещения, в которых размещаются насосы и гидроаппаратура, а также электроаппаратура управления и защиты должны иметь водяное или электрическое отопление для поддерживания температуры в помещениях не ниже 15 °C при работе и не ниже 5 °C в остальное время.
В указанных помещениях следует предусматривать вентиляцию.
В помещениях для оператора рекомендуется предусматривать установку кондиционера.
2.13.3. Стены, полы и потолки помещений следует предусматривать из негорючих материалов.
В помещениях, где устанавливается гидравлическое оборудование, полы должны иметь маслостойкое покрытие и уклоны, как правило, не менее

.
Полы в помещении, где располагается электрооборудование, такое как приборные доски и щиты управления, следует покрывать линолеумом, а в непосредственной близости от электрооборудования или приборов предусматривать асфальтовое или резиновое покрытие.
2.13.4. Двери помещений, как правило, должны открываться наружу и иметь запорные устройства.
Рамы в окнах рекомендуется проектировать двойными, открывающимися внутрь помещений. Для застекления следует применять небьющиеся или безосколочные стекла толщиной не менее 5 мм.
2.13.5. В помещениях рекомендуется предусматривать грузоподъемные устройства для ремонта оборудования.
3.1.1. Механизмы разводных мостов следует относить к категории механизмов грузоподъемных машин.
3.1.2. Режим работы механизмов в комплексе должен быть не менее 6К по
ГОСТ 25546-82.
Режим работы отдельных сборочных единиц механизмов должен быть не менее 5М по
ГОСТ 25835-83, за исключением механизмов поворота поворотных мостов, передвижения откатных мостов, замков запирания и пролетных, для которых группа режима работы должна быть не менее 4М.
При наличии необходимых исходных данных режимы работы механизмов допускается определять расчетным путем.
3.1.3. По классу ответственности механизмы необходимо относить к I классу.
3.1.4. Расчет механизмов разводных мостов необходимо производить по методикам Всесоюзного научно-исследовательского и проектно-конструкторского института подъемно-транспортного машиностроения, погрузочно-разгрузочного и складского оборудования и контейнеров (ВНИИПТмаш), действующим на момент проектирования в виде отраслевых стандартов, руководящих технических материалов и т.п. (см.
приложение 1) с учетом требований настоящего руководства.
При отсутствии методик ВНИИПТмаша на отдельные виды расчетов допускается использовать другие официально утвержденные нормативно-технические документы с учетом требований настоящего руководства.
3.1.5. При отсутствии в техническом задании требований к температуре наружного воздуха, при которой должны эксплуатироваться механизмы, за расчетную минимальную температуру следует принимать среднюю температуру наружного воздуха наиболее холодной пятидневки района строительства моста в соответствии с требованиями
СНиП 2.01.01-82 с обеспеченностью 0,98.
3.1.6. Расчет механизмов следует производить на однократное действие наибольших нагрузок, ожидаемых за 50 лет эксплуатации механизмов или рассчитываемой детали.
Расчет механизмов на многократное действие нагрузок, ожидаемых за 50 лет эксплуатации, необходимо производить при количестве циклов нагружения 6,3·104 и более.
3.1.7. При проектировании механизмов должны предусматриваться экономия материалов, блочность (модульность), унификация сборочных единиц и комплектующих изделий, возможно меньшая трудоемкость изготовления, монтажа и эксплуатации.
Сборочные единицы механизмов должны без разборки транспортироваться по железным и автомобильным дорогам.
3.1.8. Механизмы должны удовлетворять требованиям действующих стандартов и в течение 50 лет обеспечивать эффективное функционирование разводного пролета, сохраняя во времени значения установленных эксплуатационных показателей в заданных пределах.
3.2.1. Выбор материалов для механизмов необходимо производить в соответствии с заданным температурным диапазоном эксплуатации.
3.2.2. Материалы, применяемые для деталей механизмов, должны соответствовать рекомендациям действующих нормативно-технических документов.
3.2.3. Марки стали, применяемые для гидроцилиндров, осей, валов, деталей зубчатых и цевочных зацеплений, зубчатых колес, корпусов опорных подшипников, корпусов редукторов, балансиров опорных стоек и других элементов механического оборудования, рекомендуется выбирать в соответствии с
приложением 2.
3.2.4. Для подшипников скольжения и подпятников необходимо применять бронзы оловянные литейные марки Бр010Ф1, Бр010Ц2 и Бр010С10
ГОСТ 613-79.
3.2.5. В качестве противовесных и подъемных канатов необходимо применять стальные канаты двойной свивки с линейным касанием проволок в прядях типа ЛК-Р или ЛК-РО с одним органическим сердечником из оцинкованной проволоки для средних агрессивных условий работы, нормальной точности, маркировочной группы 1370 Н/мм
2 (140 кгс/мм
2) - 1770 Н/мм
2 (180 кгс/мм
2)
ГОСТ 2688-80, ГОСТ 8088-80 и
ГОСТ 7668-80.
При выборе канатов по государственным стандартам следует дополнительно проверить наличие выбранных канатов в отраслевом каталоге продукции черной металлургии "Металлоизделия промышленного назначения. Канаты стальные".
3.2.6. В обоснованных случаях допускается принимать для механизмов другие материалы и канаты.
3.3.1. При расчетах механизмов следует учитывать постоянные (низкочастотные) и переменные (высокочастотные) составляющие нагрузок. Низкочастотные составляющие - нормативные нагрузки - необходимо определять и учитывать средними значениями нагрузок в заданных сочетаниях, а высокочастотные составляющие - случайные нагрузки - необходимо определять в виде средних квадратичных отклонений и учитывать коэффициентом надежности по нагрузке.
Сочетания нормативных и случайных нагрузок следует выбирать наиболее неблагоприятными, но допустимыми по условиям эксплуатации.
Направления действия нагрузок в каждом сочетании должны приниматься наиболее неблагоприятными для механизмов.
3.3.2. В расчетах механизмов и их деталей должны учитываться следующие виды нагрузок:
сила тяжести пролетных строений и противовесов;
сила тяжести элементов механизмов;
динамические нагрузки (вертикальные и горизонтальные);
от приводов механизмов;
обусловленные метеорологическими факторами;
ветровые (вертикальные и горизонтальные);
от снега и обледенения;
от изменения температуры окружающей среды (только для статически неопределимых систем, работающих на открытом воздухе).
3.3.3. Сочетания нагрузок и сопротивлений перемещению пролетного строения при определении мощности приводов разводных мостов следует принимать по табл. 3.
Таблица 3
Нагрузки и сопротивления движению | Система разводного моста |
вертикально-подъемная | раскрывающаяся | поворотная |
1. | Неуравновешенность пролетного строения | Да | Да | Нет |
2. | Силы инерции движущихся масс при пуске и торможении | Да | Да | Да |
| Давление льда и снега 125 Па (12,5 кгс/м2) на проезжую часть и тротуары | Да | Да | Нет |
| Вертикальное давление ветра 125 Па (12,5 кгс/м2) на горизонтальную проекцию пролетного строения с обустройствами | Да | Да | Нет |
| Горизонтальное давление ветра 500 Па (50 кгс/м2) на вертикальную проекцию расчетной ветровой поверхности пролетного строения с обустройствами | | Да | Да |
| Трение в подшипниках главных шкивов, осей вращения, барабанах, пятах, тележках и других узлах механизмов, которые непосредственно нагружены весом пролетного строения с противовесами при разводке | Да | Да | Да |
| Трение от горизонтального ветра (по п. 5) в следующих узлах: | | | |
в центрирующих устройствах | Да | Да | Да |
в направляющих пролетного строения | Да | Нет | Нет |
в направляющих противовесов | Да | Нет | Нет |
8. | Прочие силы сопротивления движению пролетного строения: | | | |
неуравновешенность несущих канатов | Да | Нет | Нет |
жесткость несущих канатов | Да | Нет | Учитывается только при канатном приводе |
| сопротивление при переводе пролетного строения (с противовесами) с опорных частей на оси вращения, пяты и другие поворотные устройства, если эта операция производится от привода механизма разводки | Нет | Да При наличии опорных стоек | Зависит от схемы привода |
Примечания. 1. Для определения невыгодного сочетания сил сопротивления движению разводного пролетного строения составляется сводная таблица и определяется суммарная величина (алгебраически). Причем значения сил, препятствующих движению, принимаются со знаком "+", а значение сил, помогающих движению (например, попутный ветер), - со знаком "-".
2. В сводной таблице каждое сопротивление должно иметь два значения: максимальное и минимальное (за исключением неуравновешенности пролетного строения, жесткости канатов и сил инерции, которые условно принимаются постоянными).
3. Минимальное значение трения по
п. 6 определяется при коэффициенте трения, равном половине расчетного (максимального), а по
п. 7 принимается равным нулю.
4. Минимальное значение давления от льда и снега по
п. 3 принимается равным нулю.
5. Значения ветровых нагрузок по
п. 4 и
5 принимаются со знаками "+" и "-" (+/-) и совместно не учитываются.
6. Для раскрывающихся и поворотных мостов силы сопротивления движению разводного пролетного строения приводятся к моментам относительно осей вращения.
7. Горизонтальное давление ветра по
п. 5 при расчете поворотных мостов определяется с учетом угла поворота при двух расчетных условиях равномерное давление на два рукава с коэффициентов 1,0; на один рукав, с коэффициентом 0,25. В сводную таблицу заносится более невыгодное значение.
8. Для всех систем мостов, при подсчете сил сопротивления, выбранное невыгодное направление ветра, условно сохраняется без изменения в течение всего цикла разводки.
9. Примеры сводных таблиц сил сопротивлений движению пролетного строения для разных систем разводных мостов приведены в
приложениях 3,
4 и
5.
3.3.4. Динамический коэффициент для вертикальных нагрузок следует принимать

, а для горизонтальных нагрузок -

.
3.3.5. Силы инерции движущихся масс следует определять по формулам:
для вертикально-подъемных мостов относительно обода главных шкивов
где R2 - силы инерции при пуске или торможении механизмов, кН;
G1, G2 - сила тяжести пролетного строения и противовесов соответственно, кН;
v - скорость установившегося движения, м/с;
t - продолжительность пуска или торможения, с;
K1 = 1,1 - коэффициент, учитывающий инерцию движущихся частей механизма;
g = 9,8 м/с2 - ускорение силы тяжести;
для поворотных и раскрывающихся мостов относительно оси вращения
где Mи - момент сил инерции, кН·м;
- суммарный момент инерции движущихся масс, кг·м2;
r1, r2 - расстояния от центра тяжести пролетного строения и противовеса до оси вращения соответственно, м;

- угловая скорость, рад/с.
3.3.6. Сопротивления, обусловленные силами трения, следует определять по общим формулам, принятым в машиностроении, с учетом коэффициентов трения, приведенных в
приложении 6.
3.3.7. Силу сопротивления от жесткости канатов при перегибе на шкивах и блоках с углом охвата более 15° необходимо определять по эмпирической формуле
где Rж к - сила сопротивления от жесткости канатов, кН;
0,131 - эмпирический коэффициент, см-1;
dк, dш - диаметр каната и шкива соответственно, см;
Pк - сила натяжения каната, кН;
n - число канатов, шт.
3.3.8. Для разведенного и наведенного положений пролетного строения максимальные нагрузки на механизмы следует определять при давлении горизонтального ветра 750 Па (75 кгс/м2).
На указанные максимальные нагрузки проверяются тормозные и фиксирующие пролетное строение устройства, а также прочность всех звеньев механизмов, на которые эти нагрузки воздействуют.
3.3.9. Физические характеристики материалов следует принимать следующие:
Плотность  , кг/м 3 |
проката и стальных отливок | 7850 |
отливок из серого чугуна СЧ 35 - СЧ 45 | 7100 |
Коэффициент линейного расширения, °C-1 | 0,12 x 10-4 |
Модуль упругости E, МПа (кгс/см2) сталей углеродистой обыкновенного качества, углеродистой качественной конструкционной и легированной | 2,06 x 105 (2,1 x 106) |
отливок из серого чугуна СЧ 35 - СЧ 45 | 0,98 x 105 (1,0 x 106) |
СЧ 10 - СЧ 30 | 0,83 x 105 (0,85 x 106) |
Модуль сдвига прокатной стали и стальных отливок, МПа (кгс/см2) | 0,78 x 105 (0,81 x 106) |
Коэффициент поперечной деформации (Пуассона) | 0,3 |
Модуль упругости стальных канатов с органическим сердечником E, МПа (кгс/см2) | 1,18 x 105 (1,2 x 106) |
Примечание. Значение модуля упругости дано для канатов, предварительно вытянутых усилием не менее 50% разрывного усилия для каната в целом.
3.3.10. При определении расчетных усилий кинематической цепи механизмов, потери на трение следует учитывать коэффициентами полезного действия (КПД). Общий КПД механизма определяется перемножением КПД последовательно работающих звеньев. Рекомендуемые значения КПД приведены в
приложении 7.
При определении нагрузок на передачи, валы и опоры, а также при расчете необходимой мощности двигателей привода следует учитывать минимальное значение КПД.
При определении тормозных моментов учитывается максимальное значение КПД.
3.3.11. Коэффициенты трения принимаются в зависимости от пары трущихся материалов, шероховатости поверхностей трения и наличия смазки.
3.3.12. КПД цепи рычажных систем передач и шарниров подвески противовесов учитывается как произведение КПД каждого шарнира.
3.3.13. Коэффициент полезного действия для элементов гидропривода принимается по данным каталогов или определяется расчетом по методике, принятой в машиностроении.
Для ориентировочных расчетов гидропривода КПД гидроцилиндров и домкратов принимаются в зависимости от давления в системе: при давлении до 10 МПа (100 кгс/см2) - (0,90 - 0,95); при давлении свыше 10 МПа (100 кгс/см2) - (0,85 - 0,9).
3.4.1. При расчетах механизмов и их элементов должны применяться методы расчета по предельным состояниям и допускаемым напряжениям.
Метод расчета необходимо принимать в зависимости от наличия действующих методик и исходных данных.
3.4.2. При расчетах по методу предельных состояний для обеспечения прочности и устойчивости элементов механизмов должны выполняться следующие неравенства:
при сравнении усилий
KNн <= K0Nп;
при сравнении моментов
KMн <= K0Mп;
при сравнении напряжений
где
Nн,
Mн,

- соответственно усилие, момент, напряжение (нормальное, касательное или приведенное) от нормативных составляющих нагрузок, Н (кН), Н·м (кН·м), МПа;
Nп - несущая способность по усилию, Н (кН);
Mп - несущая способность по моменту, Н·м (кН·м) (при проверке двигателей и тормозов по наибольшему моменту, принимаемому равным максимальному моменту двигателя Mдв с учетом ограничения его значения электрическими и механическими устройствами или моменту тормоза Mт, на который он регулируется для обеспечения безопасной работы; при проверке устойчивости против опрокидывания - удерживающему моменту);
Rп - расчетное сопротивление, МПа, принимаемое для деталей механизмов равным меньшему из двух значений: 0,8 от предела текучести или 0,5 от предела прочности; для металлических конструкций - отношение нормативного сопротивления к коэффициенту надежности по материалу в соответствии со
СНиП II-23-81;
K - коэффициент надежности по нагрузке;
K0 - коэффициент условий работы.
3.4.3. Коэффициент надежности по нагрузке определяется по формуле
K = Kп/Kр,
где Kп, Kр - коэффициенты перегрузки и ответственности соответственно.
Коэффициент перегрузки Kп принимается: при расчете на испытательные нагрузки Kп = 1; при расчете на другие сочетания нагрузок - по табл. 4.
Вид расчета | Элементы механизмов | Коэффициент перегрузки Kп |
Проверка прочности | Поворота, передвижения, замков запирания и пролетных замков | 1,15 |
| Подъема и раскрытия | 1,50 |
Проверка двигателей по наибольшему моменту | Поворота, передвижения, подъема и раскрытия | 1,20 |
Проверка тормозов по наибольшему моменту | Поворота, передвижения, подъема и раскрытия | 1,50 |
3.4.4. Значение коэффициента ответственности с учетом характеристики безопасности следует принимать Kр = 0,85.
3.4.5. Значение коэффициента условий работы следует принимать: для элементов механизмов поворота, передвижения, замков запирания и пролетных замков - K0 = 0,85, для элементов механизмов подъема и раскрытия - K0 = 0,80, для элементов крепления канатов - K0 = 0,60.
3.4.6. При расчетах по методу допускаемых напряжений для обеспечения прочности и устойчивости элементов механизмов должны выполняться следующие условия
Nр <= [N];

или
n >= [
n],
где Nр - расчетная нагрузка, выраженная в силовых факторах (сила, момент), или другие расчетные величины (деформация, температура, срок службы и т.п.);

- расчетное напряжение при действии расчетных нагрузок;
n - расчетный коэффициент запаса прочности, устойчивости и пр.;
[
N],

, [
n] - допускаемые нагрузка или другие величины, напряжение и коэффициент запаса соответственно.
3.4.7. Мощность (кВт) приводов механизмов разводки моста для выбора двигателей предварительно допускается определять по формуле
где

- суммарная работа, расходуемая на преодоление всех сил сопротивлений движению пролетного строения на всем пути разводки, Н·м;
t0 - приведенное время, которое потребовалось бы для перемещения пролетного строения при равномерном движении от начала до конца перемещения, с.
Приближенно
t - время перемещения, с;
t1 - время пуска (разгона) двигателя, с;
t2 - время торможения двигателя, с;

- общий КПД механизма разводки от пролетного строения до двигателя.
При ориентировочных расчетах можно принимать:

, а при уточненных расчетах -

, где

,

...

и т.д. - КПД каждого звена кинематической цепи механизма.
Приближенно (с некоторым запасом)

следует принимать:
для вертикально-подъемных мостов
где

- максимальная сумма всех нагрузок и сопротивлений, приведенных к ободу шкива, Н;
h - полная высота подъема пролетного строения, м;
для раскрывающихся и поворотных мостов
где

- максимальный суммарный момент от всех нагрузок и сопротивлений относительно оси поворота пролетного строения, Н·м;

- угол поворота пролетного строения, рад.
Окончательная мощность, тип и число двигателей привода механизмов разводки принимаются с учетом данных уточненного расчета на основании нагрузочных диаграмм и других требований, приведенных в
разделе 4 настоящего Руководства.
3.4.8. Мощность (кВт) приводов механизмов подклинки и механизмов пролетных замков необходимо определять по максимальному усилию, действующему на рабочий орган механизма, с учетом пути и времени его работы по формуле
где Nmax - максимальное усилие на рабочий орган (щеколду, засов, клин и т.п.), Н;
l - ход рабочего органа под нагрузкой, м;
t - время работы механизма, с;

- КПД механизма.
Окончательная мощность, тип и число двигателей для механизмов подклинки и замков принимаются с учетом данных уточненного расчета на основании нагрузочных диаграмм и других требований, приведенных в
разделе 4 настоящего Руководства.
Независимо от данных расчета мощность двигателей приводов замков меньше 3 кВт принимать не рекомендуется.
3.5.1. Расчет зубьев закрытых и открытых зубчатых передач следует производить на прочность рабочих поверхностей и на прочность по изгибу в соответствии с рекомендуемой методикой Министерства тяжелого энергетического и транспортного машиностроения (РТМ 24.090.15-76).
3.5.2. В обоснованных случаях расчет зубчатых передач допускается производить на контактную выносливость активных поверхностей зубьев и на выносливость зубьев при изгибе в соответствии с ГОСТ 21354-75.
3.6.1. Валы и оси следует рассчитывать на прочность, выносливость и жесткость в Соответствии с рекомендуемой методикой Министерства тяжелого энергетического и транспортного машиностроения (РТМ 24.090.12-76).
3.6.2. Оси, поворачивающиеся менее чем на 100°, а также неподвижные оси, у которых направление действующих на них сил меняется менее чем на 100°, необходимо считать работающими по пульсирующему циклу с изменением нагрузки от нуля до максимума.
Остальные оси рассчитываются при симметричном цикле изменения нагрузки.
3.6.3. Максимальный прогиб валов, несущих зубчатые колеса, не должен превышать 0,0002 расстояния между опорами.
3.6.4. Угол взаимного наклона валов под шестернями должен быть меньше 0,001 рад.
3.6.5. Наибольший угол наклона вала в подшипнике скольжения - 0,001, в радиальном шариковом подшипнике - 0,01, сферическом - 0,05 рад.
3.6.6. В трансмиссионных валах углы закручивания не должны превышать 15 рад-1 на 1 м длины.
3.7. Муфты соединительные
3.7.1. Соединительные муфты следует выбирать по действующей на момент проектирования нормативно-технической документации с учетом передаваемого муфтой момента и наибольшего диаметра концов соединяемых валов.
| | ИС МЕГАНОРМ: примечание. ГОСТ 5006-83 утратил силу с 01.07.1997 в связи с введением в действие ГОСТ Р 50895-96 (Постановление Госстандарта России от 23.04.1996 N 289). | |
3.7.2. Зубчатые муфты следует выбирать в соответствии с ГОСТ 5006-83Е.
3.7.3. Отношение номинального крутящего момента муфты по нормативно-технической документации к наибольшему крутящему моменту, действующему на соединяемых валах, должно быть не менее 2,5.
3.8. Шпоночные и шлицевые соединения
3.8.1. Шпоночные соединения необходимо рассчитывать на смятие боковых рабочих граней и срез, а шлицевые соединения - на смятие рабочих граней от максимального расчетного момента с проверкой по максимальному моменту электродвигателя в соответствии с рекомендуемой методикой Министерства тяжелого энергетического и транспортного машиностроения (РТМ 24.090.16-76).
3.8.2. Призматические шпонки стандартных размеров допускается рассчитывать только на смятие боковых рабочих граней.
3.8.3. При соединении с помощью двух призматических шпонок, которые необходимо располагать под углом 120° друг к другу, следует принимать, что обе шпонки могут передать только 1,5 крутящего момента, передаваемого одной шпонкой.
3.8.4. Допускаемые напряжения (МПа) для неподвижных шпоночных и шлицевых соединений принимаются по табл. 5.
Крутящий момент, передаваемый соединением | Шпоночные соединения | Шлицевые соединения |
| | |
Наибольший расчетный | | | |
От максимального момента двигателя | | | |
Примечания: 1. При определении

надо принимать

материала менее прочной детали (вала, ступицы или шпонки).
2. Указанные в
табл. 5 допускаемые напряжения относятся к случаю постоянной или плавно изменяющейся нагрузки. В случае резко изменяющейся реверсивной нагрузки вводится дополнительный понижающий коэффициент K
1 = 0,7, а в случае ударной K
2 = 0,4.
3.8.5. Для подвижных соединений допускаемые напряжения по
табл. 5 уменьшаются на 20%.
Направляющие шпонки допускается устанавливать в неответственных или слабонагруженных соединениях, в остальных случаях рекомендуется применение шлицевых соединений.
3.8.6. При неподвижных соединениях с применением прессовых посадок допускаемые напряжения по
табл. 5 могут быть увеличены на 15%.
3.9. Подшипники и подпятники
3.9.1. Подшипники качения необходимо выбирать по статической и динамической грузоподъемностям и номинальной долговечности в соответствии с рекомендуемой Министерством тяжелого энергетического и транспортного машиностроения методикой (РТМ 24.090.17-76).
3.9.2. Требуемую номинальную долговечность подшипника необходимо определять из условий его действительного нагружения в течение 50 лет, но в любом случае требуемая долговечность не должна быть меньше 10 000 ч.
3.9.3. Выбор подшипника при отсутствии вращения или при частоте вращения до 1 об/мин следует производить по статической грузоподъемности, т.е. по статической нагрузке, допускаемой данным подшипником вне зависимости от частоты вращения и долговечности:
C0 = fsP0,
где C0, P0 - статические грузоподъемность и эквивалентная нагрузка, соответственно, Н;
fs = 1,2 - коэффициент надежности.
3.9.4. Подшипники и подпятники скольжения следует рассчитывать по среднему удельному давлению P и удельной работе трения PV.
При этом должны быть удовлетворены условия
P <= [P] и PV <= [PV].
Допускаемые значения [P] и [PV] необходимо принимать по действующим в машиностроении нормам в зависимости от материала поверхностей трения, чистоты обработки и частоты вращения.
3.10. Тормозные устройства
3.10.1. Выбор тормозов следует производить по расчетному статическому моменту сил сопротивления при разводке, приведенному к тормозному валу:
где

- суммарный расчетный момент сил сопротивления при разводке относительно оси главного шкива (или оси вращения пролетного строения);
i - общее передаточное число механизма;

- общий КПД механизма (наибольший);

- значение тормозного момента по каталогу для выбираемого тормоза;
k - коэффициент запаса торможения.
3.10.2. Коэффициент запаса торможения k (т.е. отношение тормозного момента по каталогу к расчетному) должен быть для основных тормозов не менее 1,1, а для запасных тормозов - не менее 1,2.
3.10.3. Тормоза должны удерживать пролетное строение в любом положении при увеличенной ветровой нагрузке интенсивностью 750 Па (75 кгс/см2). При этом сумма тормозных моментов всех тормозов должна быть не менее расчетного с коэффициентом 1,4.
3.11. Катки, опорные тележки и пути катания
3.11.1. Расчет ободов ходовых колес и катков производится на смятие в зависимости от сочетания формы обода с формой головки рельса или пути катания:
1) при линейном контакте, когда ось колеса неподвижно закреплена и не может поворачиваться относительно плоскости, перпендикулярной к ней, по упрощенной формуле
где P - расчетная нагрузка на колеса, Н;
b - ширина рабочей поверхности обода колеса, м;
r - радиус колеса, м;
2) при линейном контакте, когда ось колеса (или катка) не закреплена и может поворачиваться на некоторый угол относительно плоскости, перпендикулярной к ней, расчет обода стальных колес (при соотношении r/b < 5) проверяется по упрощенной формуле
где f = 0,1 - коэффициент трения поперечного скольжения стали по стали;
3) при точечном контакте стальных колес (или катков) с рельсами расчет ведется по упрощенной формуле
где r - наибольший из двух радиусов кривизны соприкасающихся поверхностей, м;
m - коэффициент, зависящий от соотношения наименьшего радиуса к наибольшему (табл. 6).
Таблица 6
| 1,0 | 0,9 | 0,8 | 0,7 | 0,6 | 0,5 | 0,4 | 0,3 | 0,2 | 0,1 |
m | 0,39 | 0,40 | 0,42 | 0,44 | 0,47 | 0,49 | 0,54 | 0,60 | 0,80 | 0,9 |
Значения допускаемых напряжений местного смятия

приведены в табл. 7.
Таблица 7
Материал колеса | Приведенный модуль упругости, МПа (кгс/см2) | Твердость поверхности обода HB | Допускаемые напряжения местного смятия  МПа (кгс/см 2) |
при линейном контакте | при поперечном контакте |
Сталь 45 | 2,06·105 (2,1·106) | <= 217 | 450 (4500) | 1100 (11000) |
300 - 400 | 750 (7500) | 1800 (18000) |
Сталь 65Г | <= 269 | 600 (6000) | 1400 (14000) |
300 - 400 | 850 (8500) | 2200 (22000) |
Сталь 40ХН | <= 255 | 550 (5500) | 1300 (13000) |
300 - 400 | 850 (8500) | 2200 (22000) |
Сталь 55ЛП | <= 217 | 450 (4500) | 1100 (11000) |
300 - 400 | 750 (7500) | 1700 (17000) |
Сталь 33ХГС-Л | <= 202 | 500 (5000) | 1200 (12000) |
300 - 400 | 800 (8000) | 2000 (20000) |
Чугун СЧ 15 | 0,83·105 (0,85·106) | 163 - 229 | 250 (2500) | 600 (6000) |
Чугун СЧ 35 | 0,98·105 (1,0·106) | 217 - 272 | 350 (3500) | 800 (8000) |
3.12. Шкивы, блоки и барабаны
3.12.1. Диаметры D шкивов, блоков и барабанов следует назначать в зависимости от диаметров канатов dк, для которых они предназначены, с соблюдением следующих соотношений:
главные шкивы противовесов | D >= 70dк; |
барабаны и блоки лебедок подъема | D >= 40dк; |
отклоняющие блоки | D >= 30dк; |
барабаны и блоки ручных лебедок и вспомогательных устройств с ручным приводом | D >= 20dк |
3.12.2. Обод шкива (или блока) допускается рассчитывать приближенно, как неразрезную балку, нагруженную равномерно распределенной нагрузкой от усилий в канатах по дуге окружности 180°. Опорами балки принимаются спицы. Спицы должны быть проверены на изгиб от крутящего момента на шкиве (блоке) и сжатие. При проверке на изгиб спица рассматривается как консольная балка, защемленная в ступице шкива (блока).
Проверку прочности необходимо вести из предположения, что одновременно работает 1/4 часть всех спиц.
Остальные элементы шкивов, блоков и барабанов принимаются в соответствии с рекомендациями справочников по грузоподъемным машинам.
3.12.3. Давление каната на шкив или блок q (МПа) следует определять по формуле:
где

- наибольшее усилие натяжения каната от действия нормативных нагрузок, Н;
D0 - диаметр шкива или блока, м;
d0 - диаметр каната, м.
Значение давления q не должно превышать допустимых давлений, приведенных в табл. 8.
Таблица 8
Свивка каната | Допустимые давления q каната на блок, МПа (кгс/см2), при материале шкива или блока |
чугун | углеродистая сталь | низколегированная сталь |
6 x 7 | крестовая | 2,1 (21) | 3,9 (39) | 10,5 (105) |
| односторонняя | 2,5 (25) | 4,2 (42) | 11,6 (116) |
6 x 19 | крестовая | 2,8 (28) | 5,6 (56) | 12,7 (127) |
| односторонняя | 3,2 (32) | 6,2 (62) | 14,1 (141) |
6 x 37 | крестовая | 4,5 (45) | 8,5 (85) | 21,0 (210) |
| односторонняя | 5,2 (52) | 9,8 (98) | 24,0 (240) |
3.13.1. Проверка прочности всех канатов должна производиться по формуле
KNн <= K0Nп;
где Nн - усилие от нормативных нагрузок, равное значению наибольшего натяжения ветви, Н;
Nп - несущая способность по усилию, равная суммарному разрывному усилию каната в целом по данным государственных стандартов, Н;
K - коэффициент надежности по нагрузке; K = 8 - для несущих противовесных канатов вертикально-подъемных мостов; K = 6 - для остальных рабочих канатов;
K0 = 0,83 - коэффициент условий работы для канатов открытой конструкции.
3.13.2. Выбор приводных цепей следует производить по передаваемой ими мощности и удельному давлению в шарнирах, которое от расчетных сил не должно превышать 35 МПа (3,5 кгс/мм2).
3.14. Буферные устройства
3.14.1. Буферные устройства необходимо рассчитывать на восприятие удара при посадке пролетного строения на опорные части.
При расчете буфера условно принимается, что скорость посадки пролетного строения на 25% превышает номинальную скорость его в процессе разводки (наводки).
Энергоемкость буфера определяется из условия поглощения буфером кинетической энергии движущихся масс пролетного строения и противовесов при величине замедления, не превышающей 0,5 м/с2.
3.14.2. Конструкция буферов должна быть проверена на прочность при максимальных усилиях с коэффициентом запаса не менее 2.
3.14.3. Удельное давление на бетон опоры под буферной подушкой должно быть не более 5 МПа (50 кгс/см2).
3.14.4. Для всех систем разводных мостов должно соблюдаться неравенство Aин <= Aб. По этому неравенству работа, на которую рассчитаны буфера (Aб), должна быть больше работы, вызываемой силами инерции движущихся масс (Aин).
Работа (кН·м), поглощаемая буферами, с достаточной точностью может быть определена по формуле:
где Rб - сила, воспринимаемая буфером при сжатии, кН;

- ход буфера, м;
nб - число буферов.
Примечания. 1. При проектировании воздушных буферов можно пользоваться формулой для определения хода поршня, предварительно задавшись его диаметром,
| | ИС МЕГАНОРМ: примечание. Текст дан в соответствии с официальным текстом документа. | |
где H0 - под поршня, м;
G1, G2 - сила тяжести пролетного строения и противовеса соответственно, Н;
g = 9,8 м/с2 - ускорение силы тяжести;
v - скорость установившегося движения пролетного строения, м/с;
k = 1,4 - показатель адиабаты;
nб - число буферов;
Dб - диаметр поршня буфера, м;
p1 = 105 Па (1 кгс/см2) - начальное давление над поршнем;
Rmin - минимальное сопротивление передвижению пролетного строения в конце наводки, Н;
Kб = 1,05 - коэффициент одновременности работы буферов.
2. При применении резиновых буферов работа Aб принимается равной энергоемкости буфера по нормативно-технической документации.
3. При проектировании гидравлических буферов следует руководствоваться методикой, рекомендуемой Минтяжмашем.
3.15.1. Расчет пролетных замков следует производить по величине максимальных сил сопротивлений перемещению пролетного строения в конце наводки, препятствующих закрытию замков.
При величине указанных сопротивлений менее 100 кН (10 тс) расчет замка необходимо производить на усилие 100 кН (10 тс).
3.15.2. Для вертикально-подъемных мостов с совмещенной ездой в случае установки двух пролетных замков на каждом конце пролетного строения нагрузку на один замок при расчете мощности привода следует принимать равной 0,7 общей нагрузки, приходящейся на два замка.
Щеколды, опорные ролики и конструкции, их поддерживающие, для каждого замка рассчитывают на полную общую нагрузку в предположении, что второй замок не работает.
3.16.1. Расчет ручного привода механизмов разводки пролетного строения следует производить на преодоление номинального момента от сил сопротивления движению. При этом силы инерции и трения при трогании с места не учитывают, а ветровую нагрузку и нагрузку от льда принимают в половинном размере от указанных в
табл. 4.
3.16.2. При определении крутящих моментов максимальное расчетное усилие рабочего на рукоятке необходимо принимать:
при длительной работе - 120 Н (12 кгс);
при кратковременной работе (менее 5 мин) - 160 Н (16 кгс).
Коэффициент одновременности приложения усилий нескольких рабочих принимают равным:
для двух человек - 1,0; четырех человек - 0,9; шести человек - 0,86; восьми человек и более - 0,75.
3.16.3. Все элементы ручного привода должны проверяться на прочность, на возможное случайное приложение усилий на половине числа рукояток по 600 Н (60 кгс). При одной рукоятке принимается усилие 800 Н (80 кгс).
3.16.4. При расчете ручного привода рекомендуется применять: плечо (радиус) вращения рукоятки не более 0,4 м, среднюю окружную скорость на рукоятке - не более 1 м/с.
3.17.1. Значения номинального рабочего давления Pном, МПа, в гидросистеме необходимо выбирать из следующего ряда величин: 6,3; 10; 16; 25; 32; 40 в соответствии с требованиями ГОСТ 12445-80 (СТ СЭВ 518-77).
3.17.2. Значение номинального расхода Пном, дм3/мин, необходимо выбирать в соответствии с ГОСТ 13825-80 (СТ СЭВ 520-77) из следующего ряда величин: 16; 20; 25; 32; 40; 50; 63; 80; 100; 125; 160; 200; 250; 320; 400.
3.17.3. Значения условного прохода Dy, мм, необходимо выбирать в соответствии с ГОСТ 16516-80 (СТ СЭВ 522-77) из следующего ряда величин: 6, 8, 10, 12, 16, 20, 25, 32, 40.
3.17.4. Значения номинальной частоты вращения nном, об/мин, следует выбирать в соответствии с ГОСТ 12446-80.
3.17.5. При расчете основных параметров гидропривода необходимо учитывать режим работы и условия эксплуатации:
1) режимы работы гидропривода определяется в зависимости от режима работы соответствующего механизма;
2) класс ответственности элементов гидропривода определяется в зависимости от класса ответственности соответствующего механизма, к которому относится данный элемент;
3) расчет номинальных параметров гидрооборудования следует вести с учетом воздействия климатических факторов внешней среды в соответствии с
ГОСТ 15150-69.
3.17.6. Баки и другие емкости, находящиеся под давлением, должны соответствовать
ГОСТ 12.2.040-79.
3.17.7. При расчете гидрооборудования, предназначенного для работы в районах с холодным климатом, необходимо учитывать требования ГОСТ 14892-69.
3.17.8. Необходимое количество рабочей жидкости, подаваемое насосами, при предварительных расчетах можно определять по формуле:
где П - количество жидкости, подаваемое насосами, л/мин;
Kп = 1,2 - коэффициент, учитывающий потери в гидросистеме, а также подачу рабочей жидкости в процессе разгона и торможения;
n - число гидроцилиндров;
Aр.п - рабочая площадь поршня, м2;
Lр - рабочий ход поршня, м;
t - продолжительность установившегося движения, с.
Полученное значение количества рабочей жидкости уточняется после построения диаграммы, учитывающей разгон, торможение и снижение скорости при подходе пролетного строения к крайним положениям.
3.17.9. Внутренний диаметр трубопровода, м, определяется по формуле:
где П1 - расход жидкости через данный трубопровод, л/мин;
v - скорость жидкости в трубопроводе, м/с.
3.17.10. Давление, развиваемое насосом (МПа), следует определять по формуле
где

- рабочее давление в гидроцилиндре (МПа);
Nmax - максимальное движущее расчетное усилие на штоке цилиндра, МН;
1,1 - коэффициент, учитывающий потери давления в гидроцилиндре;

- суммарная величина потерь давления в гидроаппаратуре, МПа; величина потерь давления приводится в паспортах гидроаппаратов;

- потери давления в трубопроводе, МПа, для предварительных расчетов рекомендуется принимать потери в трубопроводе равными 1 МПа (10 кгс/см
2).
Окончательное определение потерь производится по методике, изложенной в специальной литературе по гидроприводу.
3.17.11. Расчет прочности деталей гидроцилиндра следует производить на условное давление pу = 1,25pц.
Дополнительно необходимо проверить на испытательное давление
pи = 1,5
pу корпус, днище, крышку и болты (шпильки) гидроцилиндра. В этом случае напряжения не должны превышать

.
3.17.12. Корпус гидроцилиндра следует рассчитывать на растяжение как сосуд с внутренним давлением
где

- напряжения внутренних волокон стенки цилиндра, МПа;
Dн, Dв - наружный и внутренний диаметр цилиндра, м;

- предел текучести материала корпуса цилиндра, МПа;
K = 3 - коэффициент надежности по нагрузке для цилиндров.
3.17.13. Напряжения в днище и крышках цилиндра следует определять по формуле
где

- напряжение в днище, МПа;
s - толщина днища, м.
3.17.14. Болты фланцевого соединения необходимо рассчитывать с учетом предварительной затяжки. Усилие, действующее на болты фланцевого соединения
где

- коэффициент, учитывающий упругие свойства материала уплотняющего кольца (для меди

).
3.17.15. Шток гидроцилиндра следует рассчитывать на сжатие с учетом продольного изгиба.
Запас при проверке устойчивости штока по формуле Эйлера должен быть не менее 2,0.
3.17.16. Расчет прочности труб ведется на растяжение по формулам:
1) для тонкостенных труб (dн >= 16s)
где

- напряжения в стенках трубы, МПа;
dвн - внутренний диаметр трубы, м;
s - толщина стенки, м;

- предел прочности материала трубы, МПа;
pн - давление, развиваемое насосом, МПа;
K1 = 4 - 5 - коэффициент надежности;
2) для толстостенных труб (dн <= 16s)
где

- напряжения в стенках трубы, МПа;
dн - наружный диаметр трубы, м.
3.18. Подшипники и зубчатые передачи
3.18.1. Зубчатые передачи в механизмах разводных мостов проектируются в соответствии с нормативно-технической документацией Министерства тяжелого энергетического в транспортного машиностроения (отраслевыми стандартами, руководящими техническими материалами и т.п.).
3.18.2. Как правило, все нагруженные зубчатые передачи, передающие крутящий момент, должны проектироваться из стального литья или стальных поковок. Зубчатые передачи из чугунного литья, текстолита и синтетических материалов допускается применять только для малонагруженных кинематических передач.
Зубчатые передачи с применением бронзового литья и других цветных металлов допускается применять при соответствующем обосновании.
3.18.3. При проектировании зубчатых передач должна соблюдаться их компактность и высокая надежность в работе. Быстроходные зубчатые передачи (с частотой вращения свыше 50 об/мин) должны объединяться в редукторы, корпуса которых рекомендуется изготовлять из стального литья.
3.18.4. Тихоходные зубчатые передачи (с частотой вращения менее 50 об/мин) допускается проектировать в виде открытых передач с защитой съемными (или откидными) кожухами.
3.18.5. Винтовые и червячные передачи (кроме кинематических) должны проектироваться в виде редуктора.
3.18.6. Модули зубчатых колес должны соответствовать стандартному ряду модулей по ГОСТ 9563-60 и ГОСТ 19672-74.
3.18.7. В раскрывающихся и поворотных мостах при проектировании механизмов разводки рекомендуется для равномерного распределения моментов в ведущих шестернях применять дифференциалы, уравнительные муфты или другие устройства.
3.18.8. Установка осей и валов механизмов должна проектироваться по схеме балки на двух опорах.
Проектирование неразрезных валов на трех и более опорах допускается как исключение и должно быть технически обосновано.
3.18.9. Опоры валов и осей необходимо проектировать на подшипниках качения.
Подшипники скольжения допускаются только для валов и осей с частотой вращения не выше 50 об/мин.
3.18.10. Корпуса подшипников должны проектироваться из стального литья или стальных поковок, а также сварными из стального проката с последующей термообработкой.
Применение чугунного литья для корпусов подшипников допускается только для малонагруженных подшипников, работающих без ударов.
3.18.11. Все подшипники должны обеспечиваться надежной смазкой и допускать осмотр при снятии крышек.
| | ИС МЕГАНОРМ: примечание. Взамен ГОСТ 21150-75 Постановлением Госстандарта СССР от 01.12.1987 N 4343 с 01.01.1989 введен в действие ГОСТ 21150-87. | |
Для подшипников и тихоходных зубчатых передач применяется густая смазка марки "Литол-24" ГОСТ 21150-75.
3.18.12. Подшипники осей вращения раскрывающихся мостов и пяты для поворотных мостов при наведенном пролетном строении должны быть, как правило, разгружены и не передавать вертикальной временной нагрузки на опоры.
3.18.13. На время консервации при отсутствии плановых разводок в зимний период, а также во время ремонта подшипники осей главных шкивов вертикально-подъемных мостов должны разгружаться путем подклинки противовесов.
3.19. Главные шкивы, барабаны и блоки
3.19.1. Главные шкивы, барабаны и блоки для механизмов вертикально-подъемных мостов должны быть литыми или сварными из материалов с пределом текучести не ниже 250 МПа (2500 кгс/см2).
При диаметре шкива более 2,0 м предпочтение следует отдавать сварной конструкции.
3.19.2. Профиль канавок под канаты должен соответствовать действующей нормативно-технической документации в зависимости от диаметра каната.
Глубина канавок на главных шкивах и барабанах должна быть не менее 0,4dк. Высота ограничительных боковых реборд - не менее 2dк.
Глубина канавок рабочих и отклоняющих блоков должна быть не менее 3dк.
В конструкции установки блоков следует дополнительно предусматривать ограничители от случайного сброса канатов.
3.20. Несущие и рабочие канаты
3.20.1. Несущие канаты для вертикально-подъемных мостов по концам необходимо заделывать со стороны противовеса в стаканы, а со стороны пролетного строения - в муфты с тяговыми штангами, допускающими монтажное натяжение и регулировку неравномерности вытяжки канатов в эксплуатации (примерно 1,5% длины каната).
3.20.2. Канаты должны заделываться в стаканы и муфты загибом концов отдельных проволок в виде крючков и последующей заливкой специальным сплавом с температурой плавления не выше 300 °C.
Для заливки рекомендуется сплав следующего состава по массе, %: олово 4, свинец 77, сурьма 18, висмут 1, а также сплав типа ЦАМ9-1,5.
3.20.3. Конструкция крепления несущих канатов должна допускать их поочередную смену без нарушения графика разводок моста.
Рекомендуется при числе канатов на угол более 12 устраивать со стороны противовеса специальные уравнители (коромысловые шарнирные подвески) для автоматического выравнивания усилий в канатах.
3.20.4. Тангенс угла бокового отклонения рабочих канатов должен быть не более 1:30, а для несущих канатов главных шкивов - не более 1:40 от оси соответствующей канавки главного шкива.
3.20.5. Стыкование рабочих и несущих канатов из отдельных кусков не допускается.
3.21.1. Буферы должны воспринимать удар при посадке пролетного строения на опорные части, причем расчетная скорость посадки условно принимается на 25% больше, чем номинальная скорость перемещения пролетного строения при разводке (наводке).
3.21.2. Конструкция буферов должна быть технологичной в изготовлении и надежной в работе при температурах от минус 20° до плюс 40° C.
3.21.3. Буферы могут быть воздушные (пневматические), гидравлические, резиновые, пружинные и комбинированные.
Для вертикально-подъемных пролетных строений необходимо применять пневматические буферы.
Для раскрывающихся мостов - пневматические или резиновые буферы.
Для поворотных мостов - пружинные или резиновые буферы.
При необходимости поглощения кинетической энергии движущихся масс свыше 3 МДж (300 тс·м) следует применять гидравлические или комбинированные буферы.
3.22. Центральный барабан и пути катания
3.22.1. Центральный барабан поворотного моста должен иметь минимальный диаметр, определенный из условий устойчивости пролетного строения при повороте и размещения необходимого (по расчету) количества катков.
3.22.2. При линейном контакте с путем катания катки рекомендуется проектировать в виде усеченного конуса с вершиной на оси вращения пролетного строения (вертикальная ось шкворня).
Для обеспечения точечного касания с горизонтальной плоскостью пути катания необходимо применять сферические катки. При этом рекомендуется, чтобы радиус кривизны поперек пути катания принимался примерно в 1,2 - 1,5 раза больше радиуса катка вдоль пути катания. Для выпуклых железнодорожных и крановых рельсов допускается применение цилиндрических катков.
| | ИС МЕГАНОРМ: примечание. Взамен ГОСТ 977-75 Постановлением Госстандарта СССР от 22.12.1988 N 4458 с 01.01.1990 введен в действие ГОСТ 977-88. | |
3.22.3. Катки, как правило, следует проектировать из стального литья марок 45Л-П и 55Л-П ГОСТ 977-75 или поковок (листового проката) из легированных сталей. Ободы катков необходимо подвергать сорбитизации - до твердости HB = 300 - 360 с плавным переходом закаленного слоя к незакаленному. В зависимости от ширины и диаметра катки могут быть одностенчатые или двухстенчатые, с радиальными ребордами или без них. Катки должны свободно сидеть на осях вращения, которые крепятся к наружной и внутренней обвязкам обоймы.
Оси катков не должны воспринимать вертикальной нагрузки, они должны быть предназначены только для удержания катков от горизонтальных смещений. Оси катков необходимо принимать диаметром не менее 40 мм, в внутрь ступиц катков рекомендуется запрессовывать бронзовые втулки с устройствами смазки.
3.22.4. Нижний круг пути катания необходимо изготавливать из отдельных литых сегментов (стали марок 45Л-П или 55Л-П ГОСТ 977-75).
Для небольших разводных пролетов поворотных автодорожных мостов допускается изготовлять нижние пути катания из железнодорожных рельсов и специальных профилей подкрановых рельсов.
3.23. Центральная поворотная пята и ходовые тележки
3.23.1. Конструкция центральной поворотной пяты должна обеспечивать передачу массы поворотного пролетного строения на опору при разводке моста. В наведенном положении пролетного строения пяту необходимо разгружать. Конструкция пяты должна обеспечивать минимальное трение при повороте пролетного строения, поэтому рекомендуется пяту проектировать на сферических опорных подшипниках или на сферических бронзовых вкладышах.
В конструкции пяты должно быть предусмотрено приспособление для регулировки ее по высоте не менее +/- 10 мм.
3.23.2. Количество, расположение и конструкция ходовых тележек и поддерживающих колес в поворотных мостах с центральной пятой зависят от системы опирания пролетного строения при разводке.
При частичной передаче массы пролетного строения (30% на поддерживающие колеса) и при массе пролетного строения до 300 т достаточно иметь два колеса; при массе пролетного строения свыше 300 т количество колес необходимо увеличить до 4 - 6, а иногда и до 8 шт. В этом случае колеса рекомендуется объединить в две ходовые тележки (с балансирным распределением нагрузки между колесами).
3.23.3. В поворотных мостах с передачей (при повороте) всей массы пролетного строения на центральную пяту поддерживающие колеса следует устанавливать конструктивно для придания устойчивости от ветровых и других нагрузок. В этом случае колеса необходимо расставлять равномерно по всему кругу катания в количестве от 4 до 8.
3.24. Опорные плиты и секторы катания
откатно-раскрывающихся мостов
3.24.1. Опорные плиты путей катания и секторы дуги катания для откатно-раскрывающихся мостов следует изготавливать литыми из углеродистых и легированных сталей.
3.24.2. На плитах путей катания должны быть предусмотрены направляющие канавки и гнезда для реборд и шипов секторов дуги катания (или другие устройства), исключающие смещение и угон пролетного строения при разводках.
3.24.3. В закрытом положении пролетное строение должно или оставаться опертым через дугу катания на опорные плиты путей катания, или становиться на специальные опорные части (тангенциальные, цилиндрические и др.).
3.25. Направляющие ролики
3.25.1. На нижнем поясе вертикально-подъемного пролетного строения со стороны неподвижных опорных частей должны устанавливаться на каждом опорном узле по три ролика: два - торцевые, фиксирующие положение пролетного строения в продольном направлении, а один - фасадный, препятствующий поперечному смещению.
Со стороны подвижных опорных частей на опорных узлах нижнего пояса, а также на всех четырех крайних узлах верхнего пояса необходимо устанавливать по одному фасадному ролику (рис. 6).
Рис. 6. Схема расположения направляющих роликов
на вертикально-подъемном пролетном строении (в плане):
1 - фасадный ролик; 2 - торцевой ролик;
3 - вертикально-подъемное пролетное строение; 4 - башня;
5 - направляющие
3.25.2. Ролики должны выполняться из стального литья (или поковок) и устанавливаться на подшипниках качения.
3.25.3. Ширину фасадных роликов необходимо принимать с учетом температурных и других перемещений пролетного строения, но не менее 150 мм.
Диаметр роликов назначается по расчету, в пределах 300 - 800 мм.
3.25.4 В подшипниках качения направляющих роликов должны быть предусмотрены устройства для смазки.
3.25.5 Для регулировки зазоров между роликами и направляющими башен в конструкции роликов должно быть устройство, допускающее изменение зазоров в пределах 10 - 20 мм.
3.26. Пролетные и рельсовые замки
3.26.1. Замки проектируются из расчета запирания пролетного строения гидро- или электроприводом в течение 5 - 15 с, а ручным приводом - 5 - 10 мин.
Проектирование рельсовых замков железнодорожных мостов должно осуществляться только специализированными организациями МПС.
3.26.2. Приводы пролетных и рельсовых замков должны быть взаимно сблокированы и оборудованы контрольными устройствами для автоматического дистанционного управления.
3.26.3. Ручной привод замков должен быть увязан с системой СЦБ контрольным устройством (типа замка Мелентьева), допускающим его работу только с ведома диспетчера, дающего разрешение на разводку моста.
3.26.4. Зазоры рельсовых стыков в замках должны быть не более 5 мм, при этом подвижная часть замков должна располагаться на лафетах на неподвижных пролетных строениях.
3.26.5. Спецрельсы, рамные рельсы, остряки, уравнительные приборы и другие элементы рельсовых стыков должны соответствовать типу рельсов на разводном пролетном строении.
3.26.6. Рельсовые стыки следует проектировать с учетом подуклонки рельсовых ниток. Рельсовые стыки должны иметь изоляцию для обеспечения нормальной работы устройств СЦБ.
3.26.7. При проектировании рельсовых стыков необходимо обеспечить равноупругое опирание лафетов путем соответствующего расположения поперечин.
3.26.8. В пределах рельсовых стыков и уравнительных приборов необходимо (как и на всей длине моста) предусматривать установку контррельсов (или контруголков) с защитой прикрепляющих элементов (клемм, накладок, болтов и т.д.) от колес сошедшего с рельсов подвижного состава.
3.26.9. Конструкция рельсовых стыков должна обеспечивать самоустановку концов рельсовых ниток при наводке пролетного строения с точностью +/- 1 мм по высоте и в плане.
3.26.10. Ширина колеи в пределах рельсовых стыков не должна иметь допуск более +/- 2 мм.
3.27. Гидравлическое оборудование
3.27.1 Для обеспечения бесперебойной работы гидропривода в системе необходимо предусматривать не менее двух гидроцилиндров. При неисправности одного из гидроцилиндров разводка должна обеспечиваться оставшимися гидроцилиндрами.
3.27.2. Для подачи масла в систему гидропривода должны устанавливаться два вида насосов:
1) основные (не менее двух) - для штатной работы по заданному режиму разводки (наводки);
2) вспомогательные (один - два) - для обеспечения разводок при неисправности или самих основных насосов, или системы их электроуправления, а также для обеспечения вспомогательных операций (работы замков запирания, наладки гидропривода и т.п.).
3.27.3 Насосные установки необходимо компоновать в виде отдельных независимых агрегатов, состоящих из насоса, электродвигателя, бака, рамы (или рамы-бака) и других деталей.
Насосные установки должны оснащаться манометрами (при реверсивных насосах на напорном и сливном патрубках).
3.27.4. Если схема гидропривода предусматривает одновременную работу нескольких насосов на общую магистраль, то для снижения инерционных сил в момент пуска и торможения рекомендуется ступенчатое включение насосов, а каждый насос снабжать запирающими аппаратами, расположенными на его выходных патрубках.
У реверсивных насосов эти аппараты устанавливаются на напорном и сливном патрубках. Аппараты должны автоматически открываться при нагнетании масла в систему.
3.27.5. Если в конструкции насоса отсутствует встроенный предохранительный клапан, он должен устанавливаться вне насоса в непосредственной близости от него.
3.27.6. При работе гидропривода по открытой схеме фильтры рекомендуется устанавливать на напорной магистрали, а заполнение баков насосных установок производить предварительно отфильтрованным маслом.
Допускается также установка фильтров на напорной и сливной магистралях одновременно.
3.27.7. Баки насосных установок должны иметь водогрязеспускные краны, которые устанавливаются в самой нижней точке дна бака, а также пробоспускные краны для взятия проб масла на анализ, которые устанавливаются выше мест отстоя масла.
Баки должны быть снабжены приемными фильтрами, сапунами и маслоуказателями.
3.27.8. Магистрали слива из системы надлежит подводить к бакам на 100 - 200 мм выше уровня отстоя масла. Если схема гидропривода предусматривает одновременную работу нескольких насосов, баки всех насосных установок должны быть соединены между собой трубопроводами.
3.27.9. При применении в гидроприводе серийно изготовляемых промышленностью гидроцилиндров, гидродомкратов и гидротолкателей следует использовать не более 70% их номинальной грузоподъемности.
При проектировании индивидуальных гидроцилиндров основные габаритные размеры и конструктивные сопряжения его деталей необходимо принимать в соответствии с действующей в машиностроении нормативно-технической документацией.
3.27.10. Корпуса гидроцилиндров должны изготовляться из толстостенных стальных труб или из поковок из конструкционных и легированных сталей.
3.27.11. Штоки гидроцилиндров должны изготовляться из поковок или из круглого проката высокопрочных легированных сталей.
3.27.12. Соединение крышек и фланцев с корпусом гидроцилиндра необходимо проектировать на болтах или шпильках. Запас прочности болтов (шпилек) на растяжение относительно предела текучести материала следует принимать не менее 2.
При проверке резьбы на срез допускаемые напряжения следует принимать равными 0,1 - 0,15 от предела текучести материала.
3.27.13. Чистота обработки внутренней поверхности гидроцилиндра, наружных поверхностей поршня и штока, а также поверхностей направляющих втулок должна быть не ниже 8-го класса шероховатости, а точность обработки - не ниже 8 - 9 квалитетов.
3.27.14. Штоки гидроцилиндров должны иметь антикоррозионное покрытие (хромирование, кадмирование и др.) с толщиной слоя не менее 0,05 мм.
3.27.15. В конструкции гидроцилиндров должны быть предусмотрены защитные приспособления (кожухи, грязесъемники и т.п.) от попадания песка, грязи, ржавчины и прочего в уплотняющие манжеты штока гидроцилиндра.
3.27.16. Уплотнения на поршне при расчетном давлении не должны допускать утечки рабочей жидкости свыше 1 л/мин при диаметре поршня до 200 мм и свыше 5 л/мин при диаметре 550 мм. Для остальных размеров утечки нормируются по интерполяции.
3.27.17. Уплотнения на поршне (в зависимости от допустимой величины утечек) устраиваются как в виде направляющих бронзовых и чугунных колец, так и в виде поршневых пружинных колец.
В технически оправданных случаях допускается установка на поршне уплотняющих манжет и колец из синтетических материалов, способных работать в течение не менее 10 лет при температуре +/- 40 °C.
3.27.18. Для направляющих штока и контрштока могут применяться резинотканевые уплотнения и манжеты воротникового типа из маслостойкой резины.
3.27.19. Для уплотнения неподвижных соединений крышек и фланцев корпусов гидроцилиндров допускается применять уплотняющие кольца из мягкой отожженной меди и маслостойкой резины (в зависимости от конструкции узла соединения).
3.27.20. В крышках гидроцилиндров должны предусматриваться воздухоспускные пробки и пробки (или вентили) для слива масла при его замене.
3.27.21. Подвод масла в полости качающихся гидроцилиндров должен осуществляться посредством шарнирных узлов при соответствующих уплотнениях.
Подвод масла гибким шлангом допускается как исключение. Гибкие шланги подлежат ежегодному испытанию давлением не менее 1,5 рабочего давления. Срок службы гибких шлангов ограничивается тремя годами, после чего шланги подлежат замене.
3.27.22. Манометры необходимо устанавливать на обеих полостях гидроцилиндров.
3.27.23. На общих магистралях (напорной и сливной) следует ставить предохранительные клапаны (желательно прямого действия) и реле давления.
3.27.24. В павильоне управления должны быть установлены манометры, показывающие давление в процессе разводки (наводки) моста.
3.27.25. Для нормальной работы гидропривода при температурах от минус 20 °C до плюс 40 °C рекомендуется применять масла с температурой застывания не выше минус 45 °C (например, веретенное АУ ГОСТ 1642-75; масло всесезонное гидравлическое ВМГЗ).
3.27.26. Масло гидравлического привода должно не реже одного раза в год фильтроваться и обезвоживаться, для чего проектом следует предусмотреть сепараторы, фильтры и другие устройства.
3.27.27. В осенне-зимнее время температуру масла в баках насосов рекомендуется поддерживать не ниже 5 °C.
3.27.28. В системе гидропривода должны предусматриваться закрытые емкости (сливные баки), предназначенные для обеспечения периодической очистки масла и хранения резервного масла.
3.27.29. Трубопроводы следует проектировать из горячедеформированных и холоднодеформированных труб, изготовленных из конструкционных хорошо свариваемых сталей.
Соединение труб предпочтительно фланцевое. Изгибы труб радиусом менее трех диаметров трубы не допускаются.
В нижних точках трубопровода должны предусматриваться грязеспускные, а в верхних точках - воздухоспускные пробки. Трубы до монтажа должны быть протравлены, а после монтажа - промыты маслом. При промывке скорость масла должна быть в 2 - 3 раза больше его рабочей скорости.
3.27.30. Вся гидроаппаратура выбирается по условному давлению (pу) и пропускной способности с учетом выбранной гидросхемы привода (открытая или закрытая), а также в зависимости от схемы управления.
Управляемые гидроаппараты, выход из строя которых может привести к аварии, как правило, должны иметь блокировку, которая в момент выхода из строя аппаратов автоматически выключает насосы.
3.27.31. Для обеспечения высокого качества текущего содержания (надзора и работ по текущему содержанию) разводных мостов следует составлять местные инструкции по их эксплуатации
(приложение 8), разрабатываемые службами эксплуатации и утверждаемые руководством организаций, эксплуатирующих разводные мосты.
Раздел инструкции "Механизмы и оборудование" должен разрабатываться проектной организацией в составе рабочей документации разводного моста.
4.1.1. Проектирование электрического оборудования разводных мостов должно выполняться в соответствии с действующими нормативными документами на электроустановки, а также с указанием настоящего Руководства.
Применяемое электрооборудование и материалы должны соответствовать требованиям государственных стандартов или Техническим условиям, утвержденным в установленном порядке.
4.1.2. Электрооборудование разводных мостов, с учетом специфики его эксплуатации, рекомендуется кранового исполнения и должно иметь повышенную механическую прочность, быть устойчивым к различным перегрузкам и в то же время быть предельно простым при обслуживании и ремонте.
4.1.3. Исходными данными для проектирования силового электрооборудования разводных мостов являются:
силы сопротивления при разводке (сведенные в таблицу);
продолжительность разводки основными и запасными приводами с рабочей и пониженной скоростями;
кинематические схемы и расчеты механизмов;
принятая технологическая последовательность включения приводов механизмов;
условия эксплуатации электрооборудования (температура, влажность и т.д.);
диапазон и плавность регулирования;
коэффициент динамичности;
коэффициент надежности.
4.1.4. Состав, порядок разработки, согласования и утверждения проектно-сметной документации на электрооборудование разводных мостов необходимо предусматривать в соответствии со
СНиП 1.02.01-85.
4.2. Расчет и выбор электродвигателей
4.2.1. Расчет мощности электродвигателей механизмов разводки моста, работающих в кратковременном режиме работы, необходимо производить по методике расчета электропривода, приведенной в Методических рекомендациях по расчету грузоподъемных машин и оборудования для транспортного строительства, ЦНИИС, 1986 г.
4.2.2. Электродвигатели механизмов разводки моста, устанавливаемые внутри помещений, должны быть защищенного исполнения с влагостойкой изоляцией со степенью защиты IP23, вне помещений - закрытого исполнения со степенью защиты IP44, преимущественно крановые (с повышенными перегрузочными способностями и пусковыми моментами).
Электродвигатели насосных установок и преобразовательных агрегатов, как правило, принимаются общепромышленной серии.
4.2.3. При расчетной мощности основных приводов свыше 40 кВт рекомендуется с целью резервирования осуществлять привод от двух или нескольких одинаковых электродвигателей, причем половина электродвигателей должна в отдельности обеспечить по моменту вращения открытие и закрытие моста при ветровых нагрузках, равных 50% от расчетных, и времени разгона не более 10 с.
4.2.4. Суммарный номинальный вращающий момент электродвигателей привода механизмов разводки моста при продолжительности включения 15% должен быть не менее максимального расчетного момента сил сопротивления.
4.2.5. Минимальный пусковой момент электродвигателей всех приводов механизмов разводки моста (с учетом минусовых допусков по ГОСТу и расчетного напряжения на их зажимах) должен превышать не менее чем на 20% максимальный момент сил сопротивления и обеспечивать разгон механизма при любом положении разводного пролетного строения.
4.2.6. Для механизмов пролетных замков, как правило, должны применяться короткозамкнутые электродвигатели мощностью не менее 3 кВт при ПВ = 15%.
4.2.7. Мощность электродвигателей запасного привода механизмов разводки должна быть достаточной для работы без пауз в течение 20 мин при максимальной нагрузке.
4.2.8. Электродвигатели и аппараты должны быть установлены таким образом, чтобы они были доступны для осмотра и замены, а также по возможности для ремонта на месте установки. Если электроустановка содержит электродвигатели или аппараты массой 100 кг и более, то должны быть предусмотрены приспособления для их такелажа.
4.2.9. Вращающиеся части электродвигателей и части, соединяющие электродвигатели с механизмами (муфты, шкивы), должны иметь ограждение от случайных прикосновений.
4.2.10. Электродвигатели и их коммутационные аппараты должны быть заземлены или занулены в соответствии с требованиями
главы 1.7 Правил устройства электроустановок.
4.3. Принципы построения схем управления электроприводом
4.3.1. Напряжение силовых цепей приводов механизмов не должно превышать 380 В для переменного тока и 440 В для постоянного тока.
4.3.2. Схемы управления отдельными электродвигателями основных приводов или их группами должны позволять совместную и раздельную работу этих электродвигателей (или их групп) с питанием от сборных шин щитов управления независимыми линиями.
4.3.3. В схемах электропривода должны быть предусмотрены блокировочные зависимости с системой СЦБ при железнодорожном движении, а также с положением аппаратов включения навигационной сигнализации и заградительной автодорожной сигнализации въезда на мост.
4.3.4. В схемах управления электроприводами должны быть предусмотрены блокировки, запрещающие одновременную работу, основных, запасных и аварийных приводов механизмов.
4.3.5. При перерыве питания в силовых цепях электродвигателя должно быть обеспечено автоматическое отключение цепей управления данного электродвигателя.
4.4. Схемы включения тормозов
4.4.1. Все электродвигатели должны иметь электрические тормоза, причем включение (отключение) тормозов должно осуществляться автоматически при включении (отключении) соответствующих приводов механизмов.
4.4.2. Тормоза должны накладываться в конце движения, а также при промежуточных и экстренных остановках.
4.4.3. В основных приводах механизмов разводки необходимо предусматривать, кроме основных, запасные электрические тормоза.
4.4.4. Запасные тормоза должны растормаживаться одновременно с основными рабочими, а накладываться после наложения основных тормозов с выдержкой времени 1 - 3 с.
4.4.5. Схемы управления электрическими тормозами основных приводов должны обеспечивать действие всех тормозов основного привода механизма при работе как полным, так и половинным количеством электродвигателей.
4.4.6. Схема управления электрическими тормозами должна обеспечивать освобождение тормозов основных приводов механизмов движения пролета при полностью наведенном положении пролетного строения на период включения электродвигателей пролетных замков на закрытие.
4.5. Путевые командоаппараты и конечные выключатели
4.5.1. Все электродвигатели механизмов разводного моста должны автоматически отключаться в конце хода путевыми или конечными выключателями.
Контакты путевых и конечных выключателей, применяемые для ограничения хода механизмов, должны работать только на разрыв цепей.
После остановки механизма путевым или конечным выключателем в заданном крайнем положении необходимо обеспечивать возможность движения механизма в обратном направлении.
4.5.2. Для взаимнорезервирующих электродвигателей основных приводов механизмов разводки, как правило, следует применять обособленные путевые выключатели для замедления и ограничения хода.
4.5.3 Блокировки последовательности выполнения операций по разводке и наводке моста, а также сигнализация предельных положений механизмов осуществляются контактами путевых или конечных выключателей.
4.6. Аппараты управления и защиты
4.6.1. Защита электрооборудования разводных мостов должна выполняться в соответствии с требованиями
глав 3.1 и
5.3 Правил устройства электроустановок.
4.6.2. Силовые цепи трехфазного тока (основные и резервные) должны защищаться от токов короткого замыкания мгновенно действующими автоматическими выключателями, устанавливаемыми на мосту, а питающие линии - автоматическими выключателями или предохранителями, устанавливаемыми на щите трансформаторной подстанции или электростанции. При этом должна быть обеспечена селективность действия аппаратов защиты.
4.6.3. В силовых и оперативных цепях каждого электродвигателя или группы электродвигателей, могущих работать независимо, необходимо предусматривать отдельные аппараты управления и защиты.
В системах механизмов с "электрическим валом" аппараты управления должны позволять независимую работу каждого электродвигателя.
4.6.4. Цепи управления и контрольно-измерительной аппаратуры должны иметь индивидуальную максимально-токовую защиту.
Эти цепи могут не иметь своих устройств защиты, если защита предыдущей ступени питания рассчитана на ток не более 25 А.
4.7. Приборы измерения, контроля и сигнализации
4.7.1. В цепях каждого электродвигателя переменного тока основных приводов главных механизмов рекомендуется установка амперметра.
В цепях постоянного тока на каждой линии питания электродвигателей должны устанавливаться отдельные амперметры.
4.7.2. На всех секциях сборных шин переменного и постоянного тока, которые могут работать раздельно, рекомендуется установка вольтметра.
4.7.3. Электродвигатели с активным моментом нагрузки на валу должны быть оснащены реле ограничения скорости с уставкой 1,1 ... 1,5 наибольшей эксплуатационной.
4.7.4. На пульте управления электроприводами разводного пролета должна предусматриваться световая сигнализация промежуточных и предельных положений подъема (опускания) разводного пролетного строения и предельных положений отдельных механизмов.
4.8. Источники питания и их резервирование
4.8.1. Источниками питания электроэнергией разводных мостов, как правило, являются сети энергосистем. Как исключение (в местах, где полностью отсутствует электроэнергия или передача ее от источника на большое расстояние, экономически нецелесообразна), допускается установка собственной стационарной электростанции с двумя рабочими агрегатами с обеспечением надежности электроснабжения электроприемников разводных мостов в соответствии с
п. 1.12 настоящего руководства.
4.8.2. Подключение нагрузок моста к электросетям производится на основании полученных от Управления сетями энергосистем технических условий на присоединение, в которых должны быть указаны:
требования к понижающим подстанциям потребителя (моста);
работы по усилению существующей сети в связи с подключением дополнительной нагрузки;
требования к учету электроэнергии;
расчетные значения токов короткого замыкания и прочие дополнительные данные.
4.8.3. Проект электроснабжения должен быть согласован с Управлением сетями энергосистемы и другими организациями, интересы которых затрагиваются при строительстве устройств электроснабжения.
4.8.4. Мощность источников питания, в том числе трансформаторной подстанции (каждой в отдельности), должна быть достаточной для обеспечения запуска и нормальной работы электроприемников разводного моста по заданной технологической схеме с учетом полностью включенных электрических нагрузок отопления, освещения, сигнализации и пр.
4.8.5. Трансформаторная подстанция, как правило, должна приниматься по типовому проекту, стационарная, закрытого типа, с автоматическим включением резерва на вводах высокого напряжения и учетом электроэнергии на стороне низкого напряжения.
4.9.1. Выбор марки проводов и кабелей должен производиться с учетом условий их работы и возможных механических воздействий.
Климатическое исполнение и категория размещения кабелей и проводов должны соответствовать требованиям
ГОСТ 15150-69.
Весь стационарный монтаж электрооборудования приводов разводных мостов должен выполняться кабелями с алюминиевыми жилами сечением не менее 2,5 мм2 по условию механической прочности.
Контрольные кабели с медными жилами следует применять только для гибких перемычек между подвижными и неподвижными частями разводного пролета.
Внутренний монтаж комплектных устройств управления единичного производства (щитов, пультов, шкафов) следует производить проводами с медными жилами сечением не менее 1,5 мм2.
4.9.2. Для прокладок по мостам рекомендуется:
стационарных - кабели с алюминиевыми жилами с пластмассовой изоляцией в пластмассовой оболочке;
гибких - кабели с медными жилами с резиновой изоляцией в резиновой оболочке;
подводных - кабели с алюминиевыми жилами в свинцовой оболочке с броней из круглых оцинкованных стальных проволок.
4.9.3. Кабели питающей и распределительной сети до 1000 В должны быть рассчитаны по потере напряжения с учетом активных и индуктивных сопротивлений линии и трансформатора при пусковых и максимальных токах, а также на отключение при замыкании на землю (корпус) в системе с глухозаземленной нейтралью трансформатора и проверены на нагрев максимальным расчетным током при фактической продолжительности включения.
При расчетных сечениях более 185 мм2 рекомендуется прокладка нескольких ниток кабеля параллельно.
4.9.4. Соединение контрольных кабелей с целью увеличения их длины допускается, если длина трассы превышает строительную длину кабеля. Соединение кабелей, имеющих металлическую оболочку, следует осуществлять с установкой герметичных муфт.
Кабели с неметаллической оболочкой или с алюминиевыми жилами следует соединять на промежуточных рядах зажимов или с помощью специальных муфт, предназначенных для данного типа кабелей.
4.9.5. Кабели силовых вторичных цепей, жилы кабелей и провода, присоединяемые к сборкам зажимов или аппаратам, должны иметь маркировку.
4.9.6. Соединение аппаратов между собой в пределах одной панели следует выполнять, как правило, непосредственно без выведения соединяющих проводов на промежуточные зажимы.
На зажимы или испытательные блоки должны быть выведены цепи, в которые требуется включать испытательные и проверочные аппараты и приборы. Рекомендуется также выводить на ряд зажимов цепи, переключение которых требуется для изменения режима работы устройства.
4.10. Конструирование специальных узлов электрооборудования
4.10.1. Основные узлы электрооборудования разводных мостов (пульты, шкафы, щиты управления), состоящие из аппаратуры серийного изготовления, проектируются в соответствии с отраслевыми стандартами Минэлектротехпрома на комплектные устройства управления напряжением до 1000 В единичного производства, оформляются отдельной папкой и передаются предприятию-изготовителю.
Узлы установки блокировочных устройств (путевых выключателей, командоаппаратов и различных датчиков) проектируются индивидуально применительно к конструкции разводного пролета.
4.10.2. Комплектные устройства управления открытого исполнения должны быть закреплены не менее чем в двух точках в нижней части и двух точках в верхней части с тем, чтобы обеспечить равномерную нагрузку на рамы при механических воздействиях разводного пролета.
4.10.3. В пределах панелей, щитов и шкафов, установленных в сухих помещениях, незащищенные изолированные провода с изоляцией, рассчитанной на рабочее напряжение не ниже 660 В, могут прокладываться по металлическим, защищенным от коррозии поверхностям и притом вплотную один к другому. В этих случаях для силовых цепей должны применяться снижающие коэффициенты на токовые нагрузки, приведенные в
главе 2.1 Правил устройства электроустановок.
4.10.4. При проектировании узлов установки блокировочных устройств должны выполняться следующие требования:
блокировочные устройства необходимо устанавливать на тех элементах механизмов и конструкций моста, где обеспечивается наибольшая точность их срабатывания;
в приводах блокировочных устройств не следует применять канатные и ременные передачи;
в установке блокировочных устройств необходимо предусматривать возможность регулировки хода привода;
установку производить в местах, защищенных от атмосферных осадков, резких толчков и сильной вибрации (тряски).
4.11. Размещение электроаппаратуры
| | ИС МЕГАНОРМ: примечание. Взамен ГОСТ 14254-80 Постановлением Госстандарта России от 18.10.1996 N 601 с 01.01.1997 введен в действие ГОСТ 14254-96. | |
| | ИС МЕГАНОРМ: примечание. Взамен ГОСТ 17494-72 Постановлением Госстандарта СССР от 28.08.1987 N 3411 с 01.07.1988 введен в действие ГОСТ 17494-87. Взамен ГОСТ 17494-87 Приказом Росстандарта от 13.12.2011 N 1165-ст с 01.01.2013 введен в действие ГОСТ IEC 60034-5-2011. | |
4.11.1. Категория размещения электрооборудования и степень защиты от воздействия внешней среды принимается в соответствии с
ГОСТ 15150-69, ГОСТ 14254-80, ГОСТ 17494-72.
4.11.2. Оперативную аппаратуру, как правило, ключи и кнопки управления основных и запасных электроприводов разводки моста, рекомендуется устанавливать на пульте оператора совместно с сигнальной аппаратурой и измерительными приборами в специальном электротехническом помещении - павильоне управления.
4.11.3. Аппаратуру управления, защиты и регулирования скорости электродвигателей рекомендуется устанавливать в павильоне управления или машинных помещениях в шкафах или на открытых щитах реечного исполнения.
4.11.4. В павильоне управления и электромашинных помещениях должны быть предусмотрены противопожарные и защитные средства. Комплектование защитными средствами должно производиться в соответствии с действующими нормативными документами по технической эксплуатации (
ПТЭ и
ПТБ и т.п.).
4.11.5. Установка распределительных устройств (пультов, щитов, шкафов) в электропомещениях и на открытом воздухе и их конструкции должны быть выполнены с учетом требований
главы 4.1 Правил устройства электроустановок.
4.12. Электрическое освещение
4.12.1. Электрическое освещение разводных мостов должно выполняться в соответствии с требованиями
СНиП II-4-79,
главы 6 Правил устройства электроустановок и соответствующих инструкций, утвержденных Госстроем СССР.
4.12.2. На разводных железнодорожных мостах предусматривается охранное освещение по специальным инструкциям, на совмещенных мостах дополнительно к охранному предусматривается освещение проезжей части автопроезда и тротуаров.
Отключение этого освещения моста должно осуществляться с центрального щитка в помещении охраны.
4.12.3. Наружное освещение городских мостов выполняется по правилам и нормам уличного освещения городов и поселков.
4.12.4. В электромашинных помещениях моста необходимо предусматривать общее и ремонтное электроосвещение.
Для светильников ремонтного освещения должно применяться напряжение не выше 42 В.
4.12.5. При выборе токов аппаратов защиты должны учитываться пусковые точки мощных ламп накаливания и ламп ДРЛ, ДРИ и натриевых.
Аппараты защиты следует располагать по возможности группами в доступных для обслуживания местах. Рассредоточенная установка аппаратов защиты допускается при питании освещения от распределительных магистралей.
4.13. Заземляющие устройства
4.13.1. Разводные мосты, получающие питание от сетей городских энергосистем с глухозаземленной нейтралью трансформатора, по специфике своей работы и конструктивным особенностям относятся к категории оборудования, имеющего повышенную опасность. Поэтому корпуса электрических машин, трансформаторов, светильников, каркасы распределительных щитов и пультов управления, трубы электропроводок, металлические кабельные конструкции, а также другие металлические конструкции, на которых устанавливается электрическое оборудование напряжением выше 42 В переменного тока и более 110 В постоянного тока, должны быть надежно занулены в соответствии с
главой 1.7 Правил устройства электроустановок.
4.13.2. Дополнительно к обязательному занулению металлических конструкций и электрооборудования разводных мостов рекомендуется выполнять и их повторное заземление.
При этом в первую очередь следует использовать естественное заземление.
5.1.1. Сигнализация и связь на разводных мостах должны проектироваться при полном соблюдении требований действующих нормативно-технических документов, а также указаний, изложенных в настоящем разделе.
5.1.2. Сигнализация для железнодорожных и совмещенных разводных мостов должна предусматриваться с использованием типовых железнодорожных линзовых светофоров.
5.1.3. Сигнализацию для автодорожных и совмещенных разводных мостов со стороны автодороги необходимо предусматривать с использованием типовых автодорожных знаков и светофоров.
5.1.4. Разводной пролет для всех видов мостов необходимо оборудовать звуковым сигналом (звонок, гудок, сирена и т.п.) для оповещения о начале разводки моста.
5.1.5. Для обслуживания железнодорожных, автодорожных сигналов и знаков навигационной сигнализации и их оборудования, а также клеммников и кабельных прокладок на мосту должны предусматриваться постоянные смотровые устройства, обеспечивающие удобный доступ к сигналам и знакам без применения переносных лестниц.
5.2. Ограждение железнодорожных разводных мостов сигналами
5.2.1. Железнодорожные мосты должны ограждаться светофорами прикрытия с обеих сторон на расстоянии не менее 50 м от въездов на них, а при наличии предохранительных тупиков или сбрасывающих стрелок - на расстоянии 50 м от стрелок.
5.2.2. Светофоры прикрытия должны иметь предупредительные светофоры.
5.2.3. Светофоры прикрытия при наведенном положении разводного пролетного строения и закрытых замках должны нормально давать разрешающие показания и управляться с пульта СЦБ моста.
5.2.4. При нарушении контроля наведенного положения разводного пролетного строения и закрытия замков светофоры прикрытия должны автоматически перекрываться на запрещающее положение, а на предупредительных светофорах должны зажигаться желтые огни.
На случай экстренного перекрытия светофоров прикрытия на табло СЦБ в павильоне управления мостом должна предусматриваться запломбированная кнопка "Экстренное закрытие светофоров прикрытия".
5.2.5. Перегоны, на которых имеются мосты с разводными пролетными строениями, должны быть оборудованы путевой блокировкой.
5.2.6. На перегонах с АБ показания светофоров прикрытия зависят только от состояния ограждаемого моста.
Предупредительные светофоры могут совмещаться со светофорами АБ. В этом случае они должны иметь оповестительную табличку. На однопутных линиях лампы таких совмещенных светофоров должны гореть независимо от установленного направления движения.
5.2.7. На участках с АБ при закрытом или погасшем светофоре прикрытия на ближайшем к светофору прикрытия проходном светофоре включается запрещающее показание. Данный проходной светофор должен устанавливаться не ближе 200 м от светофора прикрытия.
5.2.8. При отсутствии на перегоне автоблокировки предупредительные светофоры от светофоров прикрытия должны устанавливаться на расстоянии 1000 м.
5.2.9. Ограждение светофорами прикрытия разводных мостов, находящихся в пределах станции или в непосредственной близости от входного (или выходного) светофора, выполняются по согласованию с МПС.
5.3. Ограждение железнодорожных разводных мостов
предохранительными тупиками
5.3.1. В соответствии с
Правилами технической эксплуатации железных дорог СССР разводные железнодорожные мосты должны быть ограждены с обеих сторон предохранительными тупиками либо сбрасывающими башмаками или стрелками.
5.3.2. Проекты ограждения предохранительными тупиками или другими устройствами должны разрабатываться с учетом длины перегона и профиля пути.
5.3.3. При коротких перегонах (до 5 км) допускается предохранительные тупики устраивать непосредственно на станциях, ограничивающих мостовой перегон, а положение их фиксировать и замыкать в маршрутах согласия на разводку моста.
5.3.4. При большой протяженности перегона стрелки предохранительных тупиков должны устанавливаться на подходах к мосту (не ближе 150 м).
5.4. Ограждение совмещенных и автодорожных мостов
5.4.1. Ограждение железнодорожного движения на совмещенных мостах выполняется по указаниям для ограждения железнодорожных разводных мостов (см.
п. 5.2.1) при увязке с требованиями на ограждение автодорожного движения.
5.4.2. Автодорожные и совмещенные мосты со стороны автомобильного движения должны ограждаться шлагбаумами и светофорной автодорожной сигнализацией, выполненной в соответствии с действующими нормативными документами и согласованной с местным управлением государственной автомобильной инспекции.
5.4.3. Шлагбаумы устанавливаются перед разводным пролетом по ходу движения транспорта по одному с каждой стороны.
5.4.4. Управление электрошлагбаумами и светофорной автодорожной сигнализацией рекомендуется предусматривать с пульта павильона управления разводного моста.
5.4.5. Кроме светофорной сигнализации, установленной на шлагбауме, в непосредственной близости от разводного пролета (2 - 3 м) с правой стороны по движению автотранспорта устанавливаются сигналы-повторители. Эти повторители нормально не горят и загораются красным светом с закрытием выходных шлагбаумов.
5.4.6. Ограждение городских разводных мостов с трамвайным движением производится по специальному заданию заказчика.
5.5. Оповестительная сигнализация
5.5.1. На разводных мостах, по утвержденному начальником дороги перечню, предусматривается акустическая автоматическая оповестительная сигнализация.
5.5.2. В качестве акустических сигналов следует применять гудки с расстоянием нормальной слышимости до 150 м, устанавливаемые в укрытиях на мостах.
5.5.3. Оповестительная сигнализация должна обеспечивать подачу сигнала о приближении поезда за 3 мин до вступления головы поезда на мост.
5.6. Навигационная сигнализация
5.6.1. Навигационная сигнализация судоходных пролетов разводных мостов должна предусматриваться специальными знаками согласно ГОСТ 26.600-85. Расстановка знаков и их оснащенность оборудованием выполняются в соответствии с требованиями органов, регулирующих судоходство на внутренних водных путях.
5.6.2. Навигационная сигнализация для пропуска судов в разводной пролет осуществляется установкой по ходу судов сигналов (светофоров) с расцветкой: красный, зеленый.
5.6.3. Включенные навигационные сигналы разводного пролета во время разводки, а также в разведенном положении моста показывают:
красный - проход судов в разводной пролет запрещен;
зеленый - проход судов в разводной пролет разрешен.
В период между разводками моста навигационные сигналы разводного пролета должны быть выключены (проход судов запрещен).
5.6.4. Когда разводной пролет используется для пропуска водного транспорта как требующего разводку, так и не требующего ее, навигационная сигнализация должна учитывать оба вида движения.
5.6.5. Местоположение и количество сигналов пропуска судов как в разводной, так и в неподвижные пролеты определяется проектом и должно быть согласовано с бассейновым управлением речного (морского) судоходства.
5.6.6. Огни светофоров, разрешающие пропуск судов при разведенном положении моста, должны быть увязаны определенной зависимостью с механизмами разводки и включаться только при полной разводке пролетного строения до установленного габарита.
5.6.7. В разводных мостах с раздельными пролетными строениями под каждое направление движения включение светофоров, разрешающих пропуск судов в разводной пролет, должно быть возможно только при полной разводке пролетных строений обоих направлений.
5.7. Блокировка устройств СЦБ с механизмами моста
5.7.1. Железнодорожные перегоны, на которых имеются мосты с разводными пролетами, должны быть оборудованы путевой блокировкой.
5.7.2. Светофоры прикрытия должны переключаться на запрещающие показания перед разводкой и блокироваться с механизмами пролетных и рельсовых замков.
5.7.3. Разводка моста должна быть возможна только при согласии двух дежурных соседних раздельных пунктов или разрешения поездного диспетчера при Д.Ц.
Согласие может быть дано только при отсутствии на перегоне поездов.
5.7.4. При выдаче разрешения на разводку моста должны быть приняты все меры по
пп. 5.7.2 -
5.7.3, исключающие возможность выхода подвижных составов со станций на мост.
5.7.5. После передачи управления разводкой с пульта СЦБ на пульт электропривода устройства СЦБ моста и станций должны быть заперты в положении, запрещающем железнодорожное движение на все время разведенного положения моста.
5.7.6. Все зависимости между устройствами СЦБ, механизмами разводки, навигационными, железнодорожными и автодорожными сигналами и шлагбаумами должны исключать возможность ошибочных действий дежурного, обслуживающего разводной мост.
5.7.7. Разрешение на открытие железнодорожного движения по мосту должно быть возможным только после окончания наводки моста и полного его закрытия пролетными и рельсовыми замками.
5.8. Управление железнодорожными устройствами СЦБ
5.8.1. Для централизованного управления устройствами СЦБ в павильоне управления устанавливается пульт-статив СЦБ.
5.8.2. На табло пульт-статива должна предусматриваться световая сигнализация положений рельсовых и пролетных замков, наведенного положения пролета, открытого и закрытого положений светофоров прикрытия и шлагбаумов (если они управляются с пульт-статива), отсутствия основного питания.
5.9. Управление автодорожной и навигационной сигнализацией
5.9.1. Управление автодорожной и навигационной сигнализацией и электрошлагбаумами рекомендуется производить с пульта управления механизмами разводки.
5.9.2. Для централизованного управления навигационной сигнализацией всех судоходных пролетов (включая разводной) на пульте управления механизмов разводки должны предусматриваться специально предназначенные для этой цели ключи или кнопки.
5.10. Телефонная и другие виды связи
5.10.1. В павильоне управления разводным мостом должны быть предусмотрены следующие виды связи:
постанционная; поездная диспетчерская; энергодиспетчерская; оперативная (связь с охраной моста); радиосвязь с проходящими судами; местная.
На автодорожных мостах применяется только местная связь и радиосвязь с проходящими судами.
5.11. Электропитание устройств СЦБ и связи
5.11.1. Электропитание устройств СЦБ и связи напряжением 220 В на железнодорожных и совмещенных разводных мостах, являющихся потребителями I категории, должно предусматриваться отдельным фидером от щита управления моста.
5.11.2. Электропитание светофоров прикрытия должно осуществляться переменным током с напряжением 12 В и дублироваться аккумуляторной батареей, работающей в буферном режиме с выпрямителем.
5.11.3. Расчет сечения питающего кабеля СЦБ и связи должен производиться по допустимой потере напряжения с проверкой на нагрев в соответствии с требованиями
главы 1.3 Правил устройства электроустановок.
НОРМАТИВНЫХ ДОКУМЕНТОВ, ТРЕБОВАНИЯ КОТОРЫХ СЛЕДУЕТ
УЧИТЫВАТЬ ПРИ ПРОЕКТИРОВАНИИ РАЗВОДНЫХ МОСТОВ
(по состоянию на 1 июля 1987 г.)
1.
СНиП 2.01.01-82 Строительная климатология и геофизика М., Стройиздат, 1983.
5.
СНиП II-4-79. Естественное и искусственное освещение. М., Госстрой СССР, 1980.
6.
СНиП 3.05.06-85 Электротехнические устройства. М., ЦИТП Госстроя СССР, 1986.
7.
СНиП III-4-80 Техника безопасности в строительстве. М., Стройиздат, 1980.
8.
СНиП III-18-75 Правила производства и приемки работ. Металлические конструкции. М., Стройиздат, 1976.
9.
Правила плавания по внутренним водным путям РСФСР. М., Транспорт, 1984.
10.
Правила устройства электроустановок. М., Энергоатомиздат, 1986.
11.
Правила технической эксплуатации электроустановок потребителей и
правила техники безопасности при эксплуатации электроустановок потребителей. М., Энергоатомиздат, 1986.
12.
Правила технической эксплуатации железных дорог Союза ССР. М., Транспорт, 1987.
13. Инструкция по сигнализации на железных дорогах Союза ССР. М., Транспорт, 1985.
14. Методические рекомендации по оценке и обеспечению надежности новой техники на стадии проектирования. М., ЦНИИС, 1983.
15. Методические рекомендации по расчету грузоподъемных машин и оборудования для транспортного строительства. М., ЦНИИС, 1986.
16. Расчеты крановых механизмов и их деталей. ВНИИПТмаш. М., Машиностроение, 1971.
17. Руководящие технические материалы Минтяжмаша, касающиеся проектирования, изготовления и технической эксплуатации механизмов и оборудования. М., Центральный научно-исследовательский институт информации и технико-экономических исследований по тяжелому и транспортному машиностроению.
РТМ 24.090.12-76 Краны грузоподъемные. Валы и оси. Методы расчета.
РТМ 24.090.15-76 Краны грузоподъемные. Соединения зубчатые (шлицевые) прямобочные и эвольвентные. Методы расчета.
РТМ 24.090.16-76 Краны грузоподъемные. Соединения шпоночные. Методы расчета.
РТМ 24.090.17-76 Краны грузоподъемные. Подшипники качения. Расчет и выбор.
РТМ 24.090.18-76 Краны грузоподъемные. Соединения деталей с гарантированным натягом. Методы расчета.
РТМ 24.090.19-76 Машины подъемно-транспортные. Тормоза механические. Метод расчета.
РТМ 24.090.21-76 Барабаны канатные. Метод расчета.
РТМ 24.090.22-76 Ресурсы элементов крановых механизмов.
РТМ 24.090.24-76 Краны грузоподъемные. Оптимизация показателей надежности.
РТМ 24.090.25-76. Краны грузоподъемные. Расчет вероятности безотказной работы элементов.
РТМ 24.090.28-77 Краны грузоподъемные. Механизм передвижения. Методы расчета.
РТМ 24.090.29-77 Краны грузоподъемные. Механизм подъема груза. Метод расчета.
РТМ 24.090.33-77 Машины подъемно-транспортные. Передачи червячные. Методы расчета на прочность.
РТМ 24.090.66-82 Нормы расчета и проектирования грузоподъемных кранов. Указания по применению СТ СЭВ 2077-80.
ТЕХНИЧЕСКИЕ ХАРАКТЕРИСТИКИ МАРОК СТАЛЕЙ,
РЕКОМЕНДУЕМЫХ ДЛЯ МЕХАНИЗМОВ РАЗВОДНЫХ МОСТОВ
Марка стали | ГОСТ | Термическая обработка | Сечение заготовки, мм | Механические свойства | Свариваемость |
| | | | aн | Твердость HB |
МПа (кгс/мм2) | % | Дж/см2 (кгс·м/см2) |
20 | | Нормализация | <= 100 | 440 (44) | 220 (22) | 24 | 53 | 55 (5,5) | 123 - 167 | Без ограничений |
100 - 300 | 400 (40) | 200 (20) | 23 | 50 | 55 (5,5) | 111 - 156 |
35 | 1050-74 | Нормализация отпуск | <= 100 | 540 (54) | 280 (28) | 20 | 40 | 45 (4,5) | 156 - 197 | Требуется подогрев |
100 - 300 | 480 (48) | 250 (25) | 19 | 42 | 40 (4) | 143 - 179 |
Нормализация отпуск | <= 100 | 580 (58) | 320 (32) | 17 | 38 | 40 (4) | 167 - 207 | Трудносвариваемая |
100 - 300 | 540 (54) | 280 (28) | 17 | 38 | 35 (3,5) | 156 - 197 |
300 - 500 | 540 (54) | 250 (25) | 15 | 32 | 30 (3) | 156 - 197 |
500 - 800 | 480 (48) | 250 (25) | 15 | 30 | 30 (3) | 143 - 179 |
45 | | Закалка-отпуск | <= 100 | 630 (63) | 400 (40) | 17 | 45 | 60 (6) | 187 - 229 |
100 - 300 | 600 (60) | 350 (35) | 17 | 40 | 65 (6,5) | 174 - 217 |
40Х | | Закалка-отпуск | <= 100 | 700 (70) | 550 (55) | 15 | 45 | 60 (6) | 223 - 262 | Трудносвариваемая |
100 - 200 | 670 (67) | 500 (50) | 15 | 45 | 60 (6) | 212 - 248 |
200 - 300 | 650 (65) | 450 (45) | 14 | 40 | 55 (5,5) | 197 - 235 |
300 - 500 | 600 (60) | 350 (60) | 14 | 38 | 50 (5) | 174 - 217 |
500 - 800 | 580 (58) | 320 (32) | 11 | 30 | 30 (3) | 167 - 207 |
35ХМ | | Закалка-отпуск | <= 100 | 750 (75) | 600 (60) | 14 | 45 | 60 (6) | 235 - 277 | Требуется подогрев |
100 - 300 | 670 (67) | 500 (50) | 13 | 40 | 55 (5,5) | 212 - 248 |
300 - 500 | 650 (65) | 450 (45) | 13 | 35 | 50 (5) | 197 - 235 |
500 - 800 | 630 (63) | 400 (40) | 11 | 30 | 40 (4) | 187 - 229 |
25ЛП | | Нормализация | <= 100 | 450 (45) | 240 (24) | 19 | 30 | 40 (4) | 121 - 151 | Без ограничений |
35ЛП | | | <= 100 | 500 (50) | 280 (28) | 15 | 25 | 35 (3,5) | 137 - 166 | Требуется подогрев |
45ЛП | 977-79 | Отпуск | <= 100 | 550 (55) | 320 (32) | 12 | 20 | 30 (3) | 153 - 229 | Трудносвариваемая |
55ЛП | | <= 100 | 600 (60) | 350 (35) | 10 | 18 | 25 (2,5) | 170 - 199 |
Примечания. 1. Условные обозначения:

- предел прочности;

- предел текучести;

- относительное удлинение;

- относительное сужение поперечного сечения;
aн - ударная вязкость.
2. Данные взяты из марочника стали и сплавов ЦНИИТмаш, Москва, 1977 г.
СВОДНАЯ ТАБЛИЦА РАСЧЕТНЫХ СИЛ СОПРОТИВЛЕНИЙ ДВИЖЕНИЮ
ВЕРТИКАЛЬНО-ПОДЪЕМНОГО ПРОЛЕТНОГО СТРОЕНИЯ, ПРИВЕДЕННЫХ
К ОБОДУ ГЛАВНОГО ШКИВА (ПРИМЕР, ЦИФРЫ УСЛОВНЫЕ)
Действующие силы | Условные обозначения | Сила сопротивления, кН, при подъеме/опускании |
в начале движения | во время установившегося движения | в конце движения |
Неуравновешенность пролетного строения | R1 | max ------ min | +6,0/-6 | +6,0/-6 | +6,0/-6 |
Сила инерции движущихся масс (при пуске и торможении) | R2 | max ------ min | +4,5/+4,5 | 0/0 | -4,5/-4,5 |
Трение в осях шкивов | R3 | max ------ min | +4/+4 ------- +2/+2 | +3/+3 ------------ +1,5/+1,5 | +4/+4 -------- +2/+2 |
Масса льда и снега в размере 125 Па (12,5 кгс/м2) на проезжую часть и тротуары | R4 | max ------ min | +4,7/0 -------- 0/-4,7 | +4,7/0 -------- 0/-4,7 | +4,7/0 -------- 0/-4,7 |
Вертикальное давление ветра 125 Па (12,5 кгс/м2) | R5 | max ------ min | +4,7/+4,7 ----------- -4,7/-4,7 | +4,7/+4,7 ------------ -4,7/-4,7 | +4,7/+4,7 ------------ -4,7/-4,7 |
Трение от горизонтального ветра и интенсивностью 500 Па (50 кгс/м2) вертикальной проекции ветровой площади пролетного строения: | | | | | |
в центрирующих устройствах | R6 | max ------ min | +2,6/0 ------- 0/0 | 0/0 ----- 0/0 | 0/+2,6 -------- 0/0 |
в направляющих пролетного строения | R7 | max ------ min | 0/+0,2 ------- 0/0 | +0,2/+0,2 ----------- 0/0 | +0,2/0 ------- 0/0 |
в направляющих противовесов | R8 | max ------ min | +0,3/+0,3 ----------- 0/0 | +0,3/+0,3 ----------- 0/0 | +0,3/+0,3 ----------- 0/0 |
Сопротивление жесткости канатов | R9 | max ------ min | +4,2/+4,2 | +4,2/+4,2 | +4,2/+4,2 |
Неуравновешенность канатов | R10 | max ------ min | 0/+2 | -1/+1 | -2/0 |
Суммарное сопротивление | | +31/+13,0 ------------ +12/-2,7 | +22,1/+7,4 ------------ +6/-8,7 | +17,6/+5,8 ------------ +1/-13,7 |
Примечание. Условно принято направление сил, препятствующих движению, со знаком "+", помогающих движению, - со знаком "-". Для сил сопротивлений
R1;
R2;
R9;
R10 значения max и min совпадают и соответственно учитываются как при

, так и при

.
СВОДНАЯ ТАБЛИЦА МОМЕНТОВ ОТ РАСЧЕТНЫХ СИЛ
СОПРОТИВЛЕНИЯ ДВИЖЕНИЮ ОДНОРУКАВНОГО ПОВОРОТНОГО
ПРОЛЕТНОГО СТРОЕНИЯ, ПРИВЕДЕННЫХ К ЕГО ОСИ ВРАЩЕНИЯ
(ПРИМЕР, ЦИФРЫ УСЛОВНЫЕ)
Наименование действующих сил | Условное обозначение момента | Моменты, кН·м |
при разводке моста | при наводке моста |
в начале разводки | | в конце разводки | в начале наводки | | в конце наводки |
Силы инерции движущихся масс | M1 | max ------ min | +19 | 0 | -19 | +19 | 0 | -19 |
Горизонтальное давление ветра интенсивностью 500 Па (50 кгс/м2) вертикальной проекции пролетного строения | | | | | | | | |
поперек оси моста | M2 | max ------ min | +41 | +29 | 0 | 0 | +29 | +41 |
-41 | -29 | 0 | 0 | -29 | -41 |
Сопротивление от сил трения | | | | | | | | |
в центральной пяте | M3 | max ------ min | +5 | +3 | +3 | + 5 | +3 | +3 |
+2,5 | +1,5 | +1,5 | +2,5 | +1,5 | +1,5 |
в поддерживающих катках (тележках) | M4 | max ------ min | +8 | +5 | + 5 | + 8 | + 5 | +5 |
+4 | +2,5 | +2,5 | +4 | +2,5 | +2,5 |
Суммарный расчетный момент от сил сопротивления | | +73 | +37 | -11 | +32 | +37 | +30 |
-15,5 | -25 | -15 | -25,5 | -25 | -56 |
Примечания. 1. Условно принято направление моментов препятствующих движению, - со знаком "+", помогающих движению, - со знаком "-". 2. При подсчете суммы моментов учитывается значение момента от ветра одного (невыгодного) направления (в данной таблице только M2). 3. Для момента M1 значения max и min совпадают и соответственно учитываются как при  , так и при  . |
СВОДНАЯ ТАБЛИЦА МОМЕНТОВ ОТ РАСЧЕТНЫХ СИЛ СОПРОТИВЛЕНИЙ
ДВИЖЕНИЮ КРЫЛА РАСКРЫВАЮЩЕГОСЯ РАЗВОДНОГО МОСТА,
ПРИВЕДЕННЫХ К ОСИ ВРАЩЕНИЯ (ПРИМЕР, ЦИФРЫ УСЛОВНЫЕ)
Действующие силы | Условное обозначение моментов | Момент, кН·м |
при открытии крыла | при закрытии крыла |
в начале  | | | | в конце  | в начале  | | | | в конце  |
1. | Неуравновешенность пролетного строения | M1 | max ------ min | +150 | +144 | +142 | +102 | +16 | -16 | -102 | -142 | -144 | -150 |
2. | Сила инерции движущихся масс (при пуске и торможении) | M2 | max ------ min | +27 | + 20 | 0 | 0 | -20 | +27 | 0 | 0 | -20 | -27 |
3 | Трение в подшипниках главных осей | M3 | max ------ min | +42 | +28 | +28 | +28 | +28 | +42 | +28 | +28 | +28 | +28 |
+21 | +14 | +14 | +14 | +14 | +14 | +14 | +14 | +14 | +14 |
4 | Масса льда и снега в размере 125 Па (12,5 кгс/м2) на проезжую часть и тротуары | M4 | max ------ min | +148 | +146 | +118 | +41 | 0 | 0 | 0 | 0 | 0 | 0 |
0 | 0 | 0 | 0 | 0 | -41 | -118 | -145 | -146 | -148 |
5 | Горизонтальное давление ветра (вдоль моста) интенсивностью 500 Па (50 кгс/м2) | M5 | max ------ min | - | - | - | +214 | +545 | +545 | +214 | - | - | - |
- | - | - | -214 | -545 | -545 | -214 | - | - | - |
6. | Вертикальное давление ветра интенсивностью 125 Па (12,5 кгс/м2) | M6 | max ------ min | +148 | +146 | +146 | - | - | - | - | +145 | +146 | +148 |
-148 | -146 | -145 | - | - | - | - | -145 | -146 | -148 |
| Суммарные силы сопротивлений при переводе пролетного строения на ось с опорных стоек | M7 | max ------ min | -110 | 0 | 0 | 0 | 0 | 0 | 0 | 0 | 0 | +220 |
-220 | 0 | 0 | 0 | 0 | 0 | 0 | 0 | 0 | +110 |
| Сопротивление от центрирующих устройств и рельсовых замков | M8 | max ------ min | +30 | 0 | 0 | 0 | 0 | 0 | 0 | 0 | 0 | +60 |
+60 | 0 | 0 | 0 | 0 | 0 | 0 | 0 | 0 | +30 |
9. | Расчетное сочетание моментов от сил сопротивления движения | | +435 | +484 | +460 | +462 | +630 | +598 | +140 | +31 | +10 | +279 |
-110 | +32 | +11 | -98 | -535 | -555 | -420 | -418 | -442 | -319 |
Примечания 1. Условно принято направление моментов, препятствующих движению, - со знаком "+", помогающих движению, - со знаком "-".
2. При подсчете суммы моментов принимается одно наибольшее значение момента от ветра (на углах до 30° - M6, а на углах свыше 30° - M5).
3. Сопротивления по
пп. 7 и
8 учитываются только в том случае, если подклинка пролетного строения и работа рельсовых замков производится от привода разводки.
4. Для моментов
M1 и
M2 значения max и min совпадают и соответственно учитываются как при

, так и при

.
КОЭФФИЦИЕНТЫ ТРЕНИЯ ДЛЯ РАСЧЕТА МЕХАНИЗМОВ РАЗВОДНЫХ МОСТОВ
Виды трения | Значения коэффициентов |
при трогании с места | при движении |
Трение в цапфах подшипников скольжения осей и валов диаметром свыше 150 мм: | | |
при одном или нескольких оборотах (до 10) в минуту | 0,10 - 0,13 | 0,06 - 0,09 |
при неполном обороте | 0,15 - 0,18 | 0,10 - 0,12 |
Приведенное трение в подшипниках качения на окружности оси или вала при n = 200 об/мин | 0,02 - 0,03 | 0,01 - 0,015 |
Трение скольжения в центральных пятах поворотных мостов (в зависимости от наличия смазки и материала трущихся пар) | 0,10 - 0,15 | 0,07 - 0,10 |
Трение качения в катках и секторах раскрывающихся откатных мостов (сталь по стали) | 0,009 | 0,006 |
Трение качения сплошных литых катков центральных барабанов | | |
при соприкасании только с одной плоскостью | 3 ----- 80r | 3 ----- 80r |
при соприкасании с двумя плоскостями | 3 ----- 40r | 3 ----- 40r |
Трение скольжения стали по стали | | |
между редко смазываемыми плоскостями | 0,20 | 0,12 |
при регулярной смазке | 0,12 | 0,08 |
Трение в клиновых устройствах (для каждой нагруженной поверхности скольжения в отдельности): | | |
при движении клина под нагрузку | 0,15 - 0,20 | 0,1 - 0,15 |
при выскальзывании клина из-под нагрузки | 0,04 - 0,05 | 0 |
Примечания. 1. Значение коэффициентов трения при расчете других узлов механизмов принимаются по соответствующим справочникам. 2. r - радиус катка, см. |
ЗНАЧЕНИЯ КОЭФФИЦИЕНТОВ ПОЛЕЗНОГО ДЕЙСТВИЯ
ОСНОВНЫХ ЗВЕНЬЕВ МЕХАНИЗМОВ
Элементы | КПД  |
подшипники скольжения | подшипники качения |
Канатные блоки и барабаны | 0,94 - 0,96 | 0,96 - 0,98 |
Промежуточные валы | 0,95 - 0,97 | 0,97 - 0,99 |
Зубчатые цилиндрические передачи в сборе с промежуточным валом: | | |
в открытых передачах | 0,93 - 0,95 | 0,95 - 0,96 |
в кожухе, при густой смазке | 0,93 - 0,95 | 0,96 - 0,98 |
в масляной ванне | 0,95 - 0,97 | 0,97 - 0,98 |
Коническая зубчатая передача в сборе с промежуточным валом: | | |
в открытых передачах | 0,92 - 0,94 | 0,93 - 0,95 |
в кожухе при густой смазке | 0,92 - 0,94 | 0,94 - 0,96 |
Зубчатые муфты при зацеплении, обеспеченном смазкой | | 0,99 |
ПРИМЕРНЫЙ СОСТАВ (ПОСТРОЕНИЕ) МЕСТНЫХ ИНСТРУКЦИЙ
ПО ТЕКУЩЕМУ СОДЕРЖАНИЮ РАЗВОДНЫХ МОСТОВ
1. Общие положения
1.1. Текущее содержание (надзор и работы по текущему содержанию) разводного пролета должно обеспечивать исправное состояние всех его элементов в течение длительного срока для бесперебойной и безопасной эксплуатации моста.
1.2 За мостом с разводными пролетами должен быть установлен специальный порядок текущего содержания с учетом конструктивных особенностей и состояния сооружения (строительных конструкций, механизмов и оборудования).
1.3. Содержание строительных конструкций разводных пролетов регламентируется действующими правилами, инструкциями и другими документами по содержанию искусственных сооружений.
Основными документами, регламентирующими содержание строительных конструкций разводных пролетов, являются:
а) автодорожных и городских мостов - Правила эксплуатации городских искусственных сооружений (М., Министерство жилищно-коммунального хозяйства РСФСР, 1983);
б) железнодорожных мостов -
Инструкция по содержанию искусственных сооружений, ЦП/4363 (М., Транспорт, 1986).
2. Механизмы и оборудование
2.1. Содержание и эксплуатация механизмов, электрооборудования, сигнализации и связи (в дальнейшем механизмов и оборудования) разводных пролетов должны осуществляться в полном соответствии с Техническим описанием и инструкцией по эксплуатации, объединенных в один эксплуатационный документ (шифр документа - техническое описание, ТО), а также руководствами и инструкциями по эксплуатации, прикладываемыми заводами-изготовителями к покупному стандартному оборудованию (насосам, клапанам, электродвигателям, электроаппаратуре и т.д.).
2.2. Техническое описание и инструкция по эксплуатации механизмов и оборудования должны содержать описание устройства механизмов и оборудования, принципа их действия, технические характеристики и сведения, необходимые для поддержания механизмов и оборудования в работоспособном состоянии, обеспечивающем их надежную и безопасную эксплуатацию.
2.3. Техническое описание должно состоять из подразделов, располагаемых в следующей последовательности:
введение;
назначение;
технические данные;
состав механизмов и оборудования;
устройство и работа механизмов и оборудования;
устройство и работа составных частей механизмов и оборудования.
2.4. В подразделе "Введение" необходимо указывать:
назначение ТО;
перечень документов, которыми следует дополнительно руководствоваться при изучении механизмов и оборудования;
принятые в ТО обозначения составных частей механизмов и оборудования, физических величин и т.п.
2.5. В подразделе "Назначение" следует приводить полное наименование и обозначение механизмов и оборудования в соответствии с рабочей документацией, их назначение и параметры, характеризующие условия эксплуатации.
2.6. В подразделе "Технические данные" следует указывать технические данные, основные параметры и характеристики, необходимые для изучения и правильной эксплуатации механизмов на всех режимах работы.
2.7. В подразделе "Состав механизмов и оборудования" необходимо указывать наименование, количество и обозначение непосредственно входящих в механизмы основных составных частей, а также комплектов (запасных частей, инструментов, принадлежностей и др.).
2.8. В подразделе "Устройство и работа механизмов и оборудования" необходимо приводить общие сведения о принципе действия, устройстве и режимах работы механизмов в целом на основании принципиальных (функциональных) схем, а также о взаимодействии основных составных частей механизмов.
2.9. В подразделе "Устройство и работа составных частей механизмов и оборудования" следует приводить последовательно для каждой составной части, указанной в подразделе "Состав механизмов и оборудования", описание ее назначения, принципа действия, устройства и условий работы в комплексе механизмов.
2.10. Инструкция по эксплуатации должна состоять из подразделов, располагаемых в следующей последовательности:
общие указания;
указания мер безопасности;
подготовка к работе;
порядок работы;
техническое обслуживание;
характерные неисправности и методы их устранения;
консервация на зимний период;
подготовка к навигации.
2.11. В подразделе "Общие указания" следует приводить указания, правила и требования, отражающие особенности обращения с механизмами и оборудованием на всех стадиях их эксплуатации.
2.12. Подраздел "Указание мер безопасности" должен содержать требования безопасности, которые необходимо соблюдать обслуживающему персоналу при подготовке механизмов и оборудования к работе, во время работы и при устранении неисправностей. Кроме того, должны быть приведены действующие нормы и правила техники безопасности, пожарной безопасности и производственной санитарии.
2.13. В подразделе "Подготовка к работе" должны быть приведены содержание и способы выполнения всех операций по подготовке механизмов и оборудования к работе:
правила и порядок заправки механизмов смазочными материалами, рабочими жидкостями и т.д.;
описание операций по подготовке механизмов и оборудования и их составных частей к включению, проверке и выключению;
описание операций по проверке механизмов и оборудования с помощью имитационной аппаратуры и контрольно-измерительных приборов, входящих в состав механизмов;
исходные положения органов управления и настройки после подготовки механизмов к работе.
2.14. В подразделе "Порядок работы" необходимо указывать:
состав обслуживающего персонала;
перечень всех режимов работы механизмов и оборудования;
порядок приведения всех составных частей механизмов и оборудования в рабочее положение при различных режимах работы;
содержание операций, проводимых с механизмами и оборудованием при всех режимах их эксплуатации;
порядок и правила перевода механизмов и оборудования и их составных частей из одного режима работы на другой;
порядок наблюдения за механизмами и оборудованием и их составными частями во время работы и кратковременных перерывов;
порядок приведения составных частей механизмов и оборудования в исходное положение;
порядок и содержание осмотра составных частей механизмов и оборудования после окончания работы.
2.15. В подразделе "Техническое обслуживание" следует приводить порядок и правила технического обслуживания механизмов и оборудования:
принятая система технического обслуживания, виды и периодичность технического обслуживания;
указания по техническому осмотру и проверке работоспособности механизмов и оборудования и их составных частей;
порядок и места смазки;
технические параметры, достигаемые регулированием (отладкой, настройкой).
2.16. В подразделе "Характерные неисправности и методы их устранения" следует приводить перечень характерных и наиболее часто встречающихся или возможных неисправностей, указывать их вероятные причины, методы наиболее быстрого и простого выявления и устранения этих неисправностей.
2.17. В подразделе "Консервация на зимний период" должны быть приведены указания о способах консервации механизмов в целом и отдельно составных частей, а также об объемах работ по консервации.
2.18. В подразделе "Подготовка к навигации" должны быть приведены указания о способах расконсервации механизмов в целом и отдельно составных частей, а также перечень и объемы подготовительных работ.
2.19. В обоснованных случаях допускается объединять или исключать, а также вводить новые подразделы.