Главная // Актуальные документы // НормыСПРАВКА
Источник публикации
М.: ВНИИПО МВД России, 1998
Примечание к документу
Документ утратил силу с 01.01.2021 в связи с изданием
Постановления Правительства РФ от 11.07.2020 N 1034.
Введен в действие с 1 января 1998 года.
Название документа
"НПБ 247-97. Электронные изделия. Требования пожарной безопасности. Методы испытаний"
(введены в действие Приказом ГУГПС МВД РФ от 25.11.1997 N 73)
"НПБ 247-97. Электронные изделия. Требования пожарной безопасности. Методы испытаний"
(введены в действие Приказом ГУГПС МВД РФ от 25.11.1997 N 73)
Приказом ГУГПС МВД РФ
от 25 ноября 1997 г. N 73
НОРМЫ ПОЖАРНОЙ БЕЗОПАСНОСТИ
ЭЛЕКТРОННЫЕ ИЗДЕЛИЯ
ТРЕБОВАНИЯ ПОЖАРНОЙ БЕЗОПАСНОСТИ.
МЕТОДЫ ИСПЫТАНИЙ
ELECTRONICAL PRODUCTS
Requirements fire safety. Test methods
НПБ 247-97
Разработаны Всероссийским научно-исследовательским институтом противопожарной обороны (ВНИИПО) МВД России (В.А. Пехотиков, Г.И. Смелков, Г.В. Боков, С.А. Судоплатов, А.И. Яковлев, В.И. Кобец, Т.Н. Клепикова).
Внесены и подготовлены к утверждению нормативно-техническим отделом Главного управления Государственной противопожарной службы (ГУГПС) МВД России.
Утверждены главным государственным инспектором Российской Федерации по пожарному надзору.
Дата введения в действие 1 января 1998 г.
Вводятся впервые.
Настоящие нормы устанавливают требования пожарной безопасности и методы испытаний электронных изделий (ЭИ), выпускаемых в России предприятиями, организациями независимо от их правовых форм и форм собственности (далее - предприятия), а также ввозимых по импорту.
Нормы применяются при сертификационных испытаниях и при постановке продукции на производство. Вероятность возникновения пожара в электронном изделии определяется только при постановке изделия на производство.
Нормы распространяются на электронные изделия, которые непосредственно или при помощи других устройств подключаются к электрической сети переменного тока:
бытовые электронные приборы;
вычислительную технику;
радиоэлектронную аппаратуру;
радиостанции гражданской связи и телефоны с питанием от сети;
игрушки, содержащие электронные блоки и узлы;
электромузыкальные инструменты;
любые другие приборы, выполненные на основе электронных
элементов.
Элементы, блоки и узлы, входящие в состав электронных изделий в качестве комплектующих (трансформаторы, конденсаторы, резисторы, полупроводниковые приборы и др.), выпускаемые сторонними организациями, должны соответствовать требованиям настоящих норм как самостоятельные изделия.
2. ТРЕБОВАНИЯ ПОЖАРНОЙ БЕЗОПАСНОСТИ
2.1. Электронное изделие должно быть сконструировано и изготовлено таким образом, чтобы оно не представляло пожарной опасности в нормальных условиях эксплуатации и при аварийных режимах.
2.2. Применяемые в конструкции электронных изделий материалы, элементы, блоки, узлы должны обеспечивать вероятность возникновения пожара в каждом изделии не более

в год в соответствии с
ГОСТ 12.1.004. Вероятность возникновения пожара в электронном изделии определяется расчетно-экспериментальным методом на основании данных о наработке на отказ, указанных в технических условиях, характеризующих пожарную опасность комплектующих изделий, и результатов испытаний в пожароопасных аварийных режимах.
2.3. При нормальной и аварийной работе электронных изделий ни один из элементов конструкции не должен иметь температуру выше допустимых значений, установленных
ГОСТ 12.2.006, а для изделий вычислительной техники -
ГОСТ Р 50377.
2.4. Элементы электронных изделий, нагревающиеся в аварийных режимах до температур выше указанных в п. 2.3, должны быть защищены от перегрева термовыключателями, термореле и т.п. При невозможности выполнения этого требования должно применяться экранирование элементов конструкции в зоне перегрева. Температура срабатывания защитных устройств не должна превышать значений, указанных в
п. 2.3.
2.5. Цепи питания электронных изделий должны иметь защиту от токов перегрузки и короткого замыкания.
2.6. Для ограничения распространения горения по конструкции и за пределы электронного изделия должны применяться противопожарные кожухи. Допускается применять другие конструктивные решения, исключающие распространение горения.
2.7. Воздушные зазоры и расстояния по изоляции, характеризующие утечку тока между проводниками, находящимися под напряжением, должны соответствовать
ГОСТ 27570.0.
2.8. Комплектующие элементы (компоненты), входящие в состав электронного изделия, должны отвечать
ГОСТ 20.57.406.
2.9. Детали электронных изделий из неметаллических материалов, используемые для наружных частей, частей, удерживающих токопроводники и поддерживающих соединения в определенном положении, должны быть теплостойкими.
2.10. Элементы конструкции электронного изделия, нагревающиеся при возникновении неисправности, должны устанавливаться на печатные платы из материалов класса V-1 или лучше. Печатные платы, основания, комплектующие элементы, расположенные внутри цельнометаллического кожуха без вентиляционных отверстий, могут быть выполнены из материалов любого класса.
2.11. Соединительные детали между токоведущими частями электронных изделий, выполненные из изоляционных материалов, должны быть стойкими к образованию токопроводящих мостиков (трекингостойкими). Если изделие эксплуатируется в сверхжестких условиях, то указанные материалы должны соответствовать КИТ 250.
2.12. Конструкция крепления комплектующих элементов должна исключать возможность выпадания их из паяных соединений в блоке или узле при аварийных пожароопасных режимах работы.
2.13. Резисторы мощностью 2 Вт и более должны располагаться над платой на расстоянии не менее радиуса резистора.
2.14. Резисторы мощностью 2 Вт при установке под платой класса возгораемости хуже V-1 должны располагаться на расстоянии двух радиусов резистора или более от нее. Допускается уменьшение этого расстояния, если применена плата или подложка из материала класса V-1 или лучше.
2.15. Резисторы, конденсаторы и полупроводниковые приборы с корпусом из горючих материалов, которые загораются при аварийном режиме работы электронных изделий, должны быть снабжены защитными экранами, кожухами из негорючего или трудногорючего материала. Могут быть применены другие методы защиты, предотвращающие выброс раскаленных, горящих или тлеющих частиц и распространение пламени на соседние элементы.
2.16. Предельно допустимые значения мощности рассеяния комплектующих элементов, входящих в цепь аварийного режима, соответствующего
п. 2.40, не должны превышать значений, указанных в табл. 2.1, при условии несрабатывания защиты.
Таблица 2.1
Допустимые значения мощности для типовых комплектующих
элементов в аварийном режиме работы
Допустимый энергетичес- кий показа- тель | Транзисторы в пласт- массовых корпусах (без радиатора) | Микросхемы в пласт- массовых корпусах (число выводов до 16) | Резисторы |
Номинальная мощность комплектующих элементов, Вт |
менее 0,3 | от 0,3 до 1,5 | более 1,5 | менее 0,4 | 1 | 2 |
Мощность, Вт | 2 | 3 | 5 | 6 | 5 | 10 |
2.17. Разъемы блоков и узлов должны исключать возможность подключения их к местам, не предусмотренным электрической схемой, или ошибочное подключение.
2.18. Для элементов узлов и блоков, выполняющих функции электрической защиты, должны быть указаны вероятностные данные их отказа при выполнении защитных функций. Численные значения вероятностных показателей отказа защиты должны быть приведены в технических условиях на электронное изделие или аппарат защиты.
2.19. В случае, если надежность элементов защиты не позволяет обеспечить требуемый уровень вероятности возникновения пожара в электронных изделиях, установленный в
п. 2.2, должна быть предусмотрена дополнительная защита блока или узла. В качестве дополнительных элементов защиты цепей от коротких замыканий могут быть использованы дорожки печатных плат.
2.20. Конденсаторы типа К73-17, К53-19, К78-2 должны быть исключены из цепи пожароопасного режима согласно перечню
п. 2.40. При невозможности выполнения данного требования они должны отвечать требованиям
п. 2.15 настоящих норм.
2.21. Жгуты монтажных проводов должны быть стойкими к воспламенению и распространению горения при воздействии стандартного игольчатого пламени.
Допускается использовать жгуты проводов с изоляцией из поливинилхлорида.
2.22. Прокладка жгутов, монтажных проводов должна исключать соприкосновение их изоляции с комплектующими элементами, находящимися под напряжением.
2.23. Не допускается объединять монтажные и сетевые провода в один жгут. Расстояние между сетевыми и монтажными проводами должно быть не менее 10 мм.
2.24. Шнуры питания электронных изделий должны иметь двойную изоляцию.
2.25. В качестве элементов защиты от аварийных режимов должны применяться стандартные плавкие предохранители, электронные устройства, тепловые реле и т.п.
2.26. Если электронное изделие имеет заземление, то плавкими предохранителями должны защищаться оба провода сетевого питания.
2.27. Номинальное значение тока плавкого предохранителя или защитного электронного устройства, взятое из стандартного ряда, должно быть наиболее близким к току, протекающему в защищаемой цепи.
2.28. Держатели плавких предохранителей должны крепиться жестко с помощью пружинных элементов в конструкции электронных изделий.
2.29. Детали оболочек электронных изделий из неметаллических материалов должны обладать стойкостью к воспламенению и распространению горения при воздействии пламени. Данное требование не применяется к декоративным украшениям.
2.30. Детали контактных соединений и проводники, выполненные из стали, должны быть защищены от коррозии.
2.31. Части электронных изделий из неметаллических материалов должны обладать стойкостью к воздействию накаленными элементами.
Наружные части из неметаллических материалов и части из изоляционных материалов, удерживающие токопроводники в определенном положении (кроме контактных соединений), должны выдерживать воздействие накаленными элементами, имеющими температуру 550 °С.
2.32. Части из неметаллических материалов, на которых располагаются токоведущие элементы, должны обладать стойкостью к воспламенению и распространению горения при воздействии пламенем. Классификация материалов по возгораемости должна соответствовать
ГОСТ Р 50377 (V-l, V-2, HF-1). Класс материала должен соответствовать назначению детали в изделии.
2.33. Части из неметаллических материалов, удерживающие в определенном положении электрические соединения, по которым проходит ток 0,5 А или более, должны обладать стойкостью к воздействию накаленными элементами, имеющими температуру 750 °С, если электронные изделия работают под надзором.
2.34. Части электронных изделий из неметаллических материалов, удерживающие электрические соединения, должны обладать стойкостью к воздействию накаленными элементами, имеющими температуру 850 °С, если электронные изделия находятся постоянно под напряжением и без надзора.
2.35. Части электронных изделий из неметаллических материалов, работающие под напряжением 1 кВ и выше, должны быть дугостойкими и иметь класс возгораемости не ниже V-1, а по распространению горения - не ниже HF-1.
2.36. Высоковольтные элементы (компоненты) и блоки электронных изделий должны быть стойкими к воздействию игольчатого пламени.
2.37. Неметаллические материалы элементов конструкции, в которых образуется электрическая дуга (контактные переключатели и т.п.), должны быть дугостойкими.
2.38. Части электронных изделий из неметаллических материалов, поддерживающие электрические контактные соединения, должны быть стойкими к нагреву, вызванному переходным сопротивлением в дефектном контактном соединении.
2.39. Проверка соответствия электронных изделий требованиям пожарной безопасности должна проводиться методами, указанными в настоящих нормах. В стандартах или технических условиях на изделия указывается количество образцов, подвергаемых контролю на пожарную опасность, но не менее трех штук. В обоснованных случаях по согласованию с органами ГПС количество образцов может быть уменьшено и указано в протоколе испытаний на конкретное изделие.
2.40. Оценка пожарной опасности электронных изделий должна включать следующие виды испытаний:
на теплостойкость;
на возгораемость конструкционных материалов и составных частей;
для определения принадлежности к классам V-0, V-l, V-2 (классификация материалов по возгораемости соответствует
ГОСТ Р 50377);
на распространение пламени по кожухам и декоративной отделке корпусов изделий для определения принадлежности к классам НВ, HBF, HF1, HF2 (классификация материалов по распространению горения соответствует
ГОСТ Р 50377);
на стойкость к воздействию накаленными элементами;
на дугостойкость;
на трекингостойкость;
на стойкость к загоранию в аварийных режимах.
Аварийными пожароопасными режимами работы, имитируемыми в процессе испытаний, должны быть:
превышение номинального значения питающего напряжения;
пробой и короткое замыкание полупроводникового прибора;
пробой и короткое замыкание конденсатора;
перегрузка электродвигателя (например, работа с заторможенным ротором);
короткое замыкание или перегрузка трансформатора;
отказ отдельных элементов (интегральная микросхема, транзистор, конденсатор, резистор, диод и т.п.);
повышение переходного сопротивления в контактных соединениях.
Перечень аварийных режимов может быть дополнен в зависимости от схемно-конструктивного исполнения электронного изделия.
2.41. Руководство по эксплуатации электронных изделий должно содержать раздел "Правила пожарной безопасности".
3. ПОРЯДОК ПРОВЕДЕНИЯ ИСПЫТАНИЙ
3.1. Испытания на пожарную опасность материалов, комплектующих элементов, блоков, узлов и изделий должны проводиться в соответствии с требованиями настоящих норм, стандартов на соответствующие группы изделий и технических условий на конкретные изделия.
Контроль выполнения требований пожарной безопасности должен осуществляться визуально и путем испытаний.
3.2. Испытания электронных изделий на пожарную опасность должны проводиться на образцах, прошедших приемку, упакованных в соответствии с технической документацией и предназначенных для отправки потребителю. Отбор образцов для сертификационных испытаний должен осуществляться с участием представителя органа сертификации продукции в области пожарной безопасности и испытательной лаборатории методом случайной выборки и оформляться соответствующим актом.
3.3. Испытания проводят в нормальных климатических условиях при температуре окружающей среды от 15 до 35 °С, относительной влажности от 45 до 75% и атмосферном давлении от 84 до 106,7 кПа (от 630 до 800 мм рт. ст.), если в нормативной документации на конкретный тип электронного изделия нет иных указаний.
3.4. Напряжение питания при испытаниях изделий, узлов, блоков в аварийных режимах должно быть равным 1,1 номинального напряжения. Испытания в режиме повышенного напряжения проводят при таком напряжении сети, при котором потребляемая мощность составляет 1,24 номинальной мощности.
3.5. Образцы изделий, блоков, узлов, материалов и комплектующих элементов перед проведением испытаний подвергаются идентификации. Признаки идентификации должны быть отражены в отчете об испытаниях или протоколе. Идентификация электронных изделий осуществляется визуально по конструктивным признакам.
3.6. Перед проведением испытаний образцы должны быть выдержаны при нормальных климатических условиях, указанных в
п. 3.3, в течение 24 часов.
3.7. Определение вероятности возникновения пожара проводится по методике, изложенной в настоящих нормах. Данная методика должна быть доработана для конкретного вида изделия, приведена в ТУ и согласована с органами ГПС. Методика определения вероятности возникновения пожара должна предусматривать испытания электронных изделий с отказами комплектующих элементов, приводящими к пожароопасным аварийным режимам:
короткому замыканию токопроводящих частей, находящихся под разным потенциалом;
коротким замыканиям элементов;
пробою диэлектрика в конденсаторах и р-n переходе в полупроводниковых приборах;
короткому замыканию обмоток трансформаторов;
перегрузке или короткому замыканию выхода блока питания;
повышению напряжения;
заклиниванию подвижных частей электрических машин и аппаратов;
увеличению переходного сопротивления в контактных соединениях;
ухудшению теплоотвода.
Перечень имитируемых пожароопасных отказов элементов должен определяться на основе анализа конструкции электронного изделия, его электрической схемы и, при необходимости, на основании исследовательских испытаний. Перечень пожароопасных отказов элементов и порядок их имитации должны указываться в стандартах, ТУ или рабочих методиках испытаний на конкретные типы электронных изделий.
3.8. При определении вероятности возникновения пожара в испытаниях электронных изделий аппарат защиты загрубляют или отключают.
3.9. В образцах, предназначенных для испытаний в аварийных пожароопасных режимах, имитируется отказ комплектующих элементов электронных изделий, указанных в методике.
3.10. Температура нагрева элементов электронных изделий и ее превышение при нормальной и аварийной работах должна определяться с помощью термоэлектрических преобразователей и измерительных приборов, обеспечивающих погрешность измерения не более +/- 5 °С.
3.11. Испытания материалов на образование токопроводящих мостиков не проводят, если изделие предназначено для эксплуатации в нормальных условиях. Для случая эксплуатации в жестких условиях испытание проводят при напряжении 175 В.
Изделия, предназначенные для эксплуатации в сверхжестких условиях, испытывают при напряжении 250 В. В случае повреждения изделия испытания повторяют при напряжении 175 В.
3.12. Для испытаний комплектующих элементов (резисторов, конденсаторов, диодов и т.п.) представляют выборку из десяти элементов, соответствующих требованиям технических условий.
3.13. Порядок проведения испытаний комплектующих элементов на стойкость к воспламенению и при перегрузке должен соответствовать
ГОСТ 20.57.406.
3.14. Контролируемые в процессе испытаний показатели пожарной опасности электронных изделий приведены в табл. 3.1.
Таблица 3.1
Контролируемые показатели пожарной опасности
электронных изделий
Показатели пожарной опасности | Номер пункта настоящих норм | Примечание |
требование | метод испыт. |
Допустимое превышение температуры | | | |
Теплостойкость | | | |
Стойкость комплектующих эле- ментов к воспламенению | | | |
Стойкость комплектующих эле- ментов к воздействию аварий- ных электрических перегрузок | | | |
Трекингостойкость | | | |
Надежность крепления ком- плектующих элементов | | | |
Предельно допустимые значе- ния мощности рассеяния и то- ка комплектующих элементов | | | |
Стойкость жгутов и монтажных проводов к воспламенению | | | |
Стойкость неметаллических материалов к воспламенению | | | |
Стойкость неметаллических материалов к распространению горения | | | |
Стойкость неметаллических материалов к воздействию накаленными элементами | | | |
Дугостойкость | | | |
Стойкость высоковольтных элементов и блоков к воздей- ствию пламени | | | |
Стойкость неметаллических материалов к нагреву, выз- ванному переходным сопротивлением в дефектном контактном соединении | | | Применяется только для изоляцион- ных матери- алов, ис- пользуемых в конструк- циях кон- тактных соединений |
Вероятность возникновения пожара | | | Вероятность определяет- ся только при поста- новке про- дукции на произ- водство |
Расстояния от платы до резисторов, зазоры | | | |
Держатели плавких вставок и защита стальных конструкций от коррозии | | | Органолеп- тически |
3.15. Испытания электронного изделия с целью определения стойкости материалов к воздействию пламени, накаленных элементов, электрической дуги и образованию токопроводящих мостиков могут быть проведены на частях изделий, изготовленных из этих материалов.
4.1. Определение теплостойкости конструкционных и электроизоляционных материалов должно осуществляться по
ГОСТ 27570.0 при температуре (75 +/- 2) °С для наружных частей и (125 +/- 2) °С - для частей, удерживающих токоведущие части в определенном положении. Испытания могут быть проведены путем вдавливания шарика в материал по
ГОСТ Р 50377.
4.2. Испытания на стойкость к воздействию накаленными элементами должны проводиться нагретой проволокой по
ГОСТ 27483 и нагретой спиралью по
ГОСТ 28913.
Испытание нагретой спиралью проводят на образцах твердых электроизоляционных материалов с целью имитации теплового воздействия перегруженных оголенных проводников. Испытанию подвергают оболочки изделия, находящиеся на расстоянии менее 13 мм от проводников, нагревающихся при аварийных режимах до температуры, достаточной для воспламенения.
4.3. Испытания на дугостойкость электроизоляционных материалов и деталей под действием электрической дуги переменного напряжения свыше 1000 В должны проводиться по
ГОСТ 10345.1. Испытания материалов на стойкость к действию электрической дуги при напряжении ниже 1000 В должны проводиться по ГОСТ 10345.2.
4.4. Испытания электроизоляционных и конструкционных материалов, блоков и узлов на стойкость к воспламенению должны проводиться по
ГОСТ 27484.
4.5. Испытания блоков и узлов на стойкость к дефектному соединению (плохой контакт) при помощи накаленных элементов должны проводиться по
ГОСТ 27924; при невозможности провести такие испытания из-за конструкции соединения части из изоляционных материалов должны выдерживать тепловое воздействие накаленными элементами, имеющими температуру 750 °С для аппаратуры, работающей под надзором, и 850 °С - для аппаратуры, работающей без надзора. Критерии пожарной безопасности должны соответствовать
ГОСТ 27483.
4.6. Испытания электроизоляционных материалов на трекингостойкость должны проводиться по
ГОСТ 27473.
4.7. Испытания комплектующих элементов, проводов, жгутов и шнуров на стойкость к воспламенению должны проводиться по методу 409-1
ГОСТ 20.57.406.
Комплектующие элементы, сгорающие за время менее 30 с, считают соответствующими данным нормам, если в процессе испытаний высота пламени не превышала 13 мм.
4.8. Испытания комплектующих элементов на стойкость к воспламенению при аварийных электрических перегрузках должны проводиться по методу 409-2
ГОСТ 20.57.406.
4.9. Испытания высоковольтных комплектующих элементов на стойкость к воспламенению должны проводиться по
ГОСТ 12.2.006. Время горения образца после удаления пламени должно быть не более 30 с.
4.10. Испытания электроизоляционных и конструкционных материалов и материалов печатных плат на стойкость к воспламенению и к распространению горения проводятся согласно
ГОСТ Р 50377. Проверку соответствия блоков и узлов на стойкость к воспламенению проводят методом игольчатого пламени по
ГОСТ 27484 со следующими дополнениями:
пламя должно воздействовать на наиболее горючий изоляционный материал в нижней части образца;
продолжительность воздействия пламени на образец должна быть (30 +/- 1) с.
4.11. Проверка возможности выпадения комплектующих элементов из паяных соединений осуществляется визуально в процессе испытаний в аварийных режимах, связанных с определением вероятности возникновения пожара.
В процессе испытаний комплектующие элементы не должны выпадать из мест их крепления.
4.12. Ток и мощность в аварийном режиме работы электронного изделия для типовых комплектующих элементов измеряются с помощью амперметра и вольтметра, обеспечивающих абсолютную погрешность измерения по току +/- 0,01 А и по напряжению +/- 0,02 В.
4.13. Измерение расстояний по
пп. 2.7, 2.13, 2.14 осуществляется с помощью линейки с ценой деления 1 мм.
5. РАСЧЕТНО-ЭКСПЕРИМЕНТАЛЬНЫЙ МЕТОД ОПРЕДЕЛЕНИЯ
ВЕРОЯТНОСТИ ВОЗНИКНОВЕНИЯ ПОЖАРА В ЭЛЕКТРОННЫХ ИЗДЕЛИЯХ
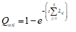
5.1. Вероятность возникновения пожара в электронном изделии определяется следующим выражением:

,
где

- вероятность возникновения i-го аварийного пожароопасного режима в составной части изделия (отказа комплектующих элементов и возникновения КЗ, перегрузки, повышения переходного сопротивления и т.п.), 1/год. Аварийные пожароопасные режимы приведены в
п. 2.40 настоящих норм;

- вероятность того, что значение характерного электрического параметра (тока, переходного сопротивления и др.) i-го режима лежит в диапазоне пожароопасных значений;

- вероятность несрабатывания аппарата защиты от i-го аварийного пожароопасного режима (электрической, тепловой и т.п.) с учетом его надежности (для изделий бытового назначения учитывается также надежность электрического аппарата защиты бытовых сетей);

- вероятность достижения горючим материалом критической температуры или его воспламенения (верхняя доверительная граница) при i-м аварийном режиме; n - количество аварийных пожароопасных режимов.
Порядок определения составляющих вероятностей для каждого i-го режима приведен ниже.
5.2. Вероятность

определяют на основании данных о надежности.
При наличии соответствующих справочных данных

может быть определена через общую интенсивность отказов комплектующих элементов изделия с введением коэффициента, учитывающего долю пожароопасных отказов (короткого замыкания, обрыва цепи, отказа контактного соединения и др.). Значение коэффициента берется из справочной и нормативно-технической документации на конкретное изделие или может быть определено методом экспертной оценки.
5.3. Аварийный пожароопасный режим испытания изделия характеризуется величиной пожароопасного диапазона электротехнического параметра, при котором возможно появление признаков загорания. Например, характерный пожароопасный режим - короткое замыкание (КЗ); характерный электрический параметр этого режима - ток КЗ.
Вероятность работы изделия в пожароопасном диапазоне определяется в общем виде выражением

,
где

,

- диапазоны пожароопасных и возможных в эксплуатации значений характерного электрического параметра (тока, мощности, сопротивления и др.).
Пожароопасный диапазон определяется в ходе испытаний, связанных с определением

. Для этого находятся максимальные и минимальные пожароопасные значения характерного электрического параметра и его граничные значения, возможные в процессе работы.
5.4. Вероятность воспламенения

определяется после проведения лабораторных испытаний в условиях равенства

по табл. 5.1 в зависимости от значений m и n, где m - количество испытаний, в которых произошло воспламенение, а n - общее количество испытаний.
Таблица 5.1
Значения вероятности воспламенения

┌──┬────┬────┬────┬────┬────┬────┬────┬────┬────┬────┬────┬────┬────┬────┬────┬────┐
│\n│ 1 │ 2 │ 3 │ 4 │ 5 │ 6 │ 7 │ 8 │ 9 │ 10 │ 20 │ 50 │100 │200 │500 │1000│
│m\│ │ │ │ │ │ │ │ │ │ │ │ │ │ │ │ │
├──┼────┼────┼────┼────┼────┼────┼────┼────┼────┼────┼────┼────┼────┼────┼────┼────┤
│ 1│1,00│1,00│0,86│0,72│0,61│0,54│0,48│0,43│0,39│0,36│0,20│0,08│0,04│0,02│0,01│0,00│
├──┼────┼────┼────┼────┼────┼────┼────┼────┼────┼────┼────┼────┼────┼────┼────┼────┤
│ 2│ │1,00│1,00│0,93│0,80│0,70│0,60│0,56│0,51│0,47│0,25│0,11│0,05│0,03│0,01│0,01│
├──┼────┼────┼────┼────┼────┼────┼────┼────┼────┼────┼────┼────┼────┼────┼────┼────┤
│ 3│ │ │1,00│1,00│0,99│0,86│0,77│0,69│0,63│0,58│0,31│0,13│0,07│0,03│0,01│0,01│
├──┼────┼────┼────┼────┼────┼────┼────┼────┼────┼────┼────┼────┼────┼────┼────┼────┤
│ 4│ │ │ │1,00│1,00│1,00│0,91│0,82│0,75│0,68│0,37│0,16│0,08│0,04│0,02│0,01│
├──┼────┼────┼────┼────┼────┼────┼────┼────┼────┼────┼────┼────┼────┼────┼────┼────┤
│ 5│ │ │ │ │1,00│1,00│1,00│0,95│0,86│0,79│0,43│0,18│0,09│0,05│0,02│0,01│
├──┼────┼────┼────┼────┼────┼────┼────┼────┼────┼────┼────┼────┼────┼────┼────┼────┤
│ 6│ │ │ │ │ │1,00│1,00│1,00│0,98│0,90│0,49│0,21│0,11│0,05│0,02│0,01│
├──┼────┼────┼────┼────┼────┼────┼────┼────┼────┼────┼────┼────┼────┼────┼────┼────┤
│ 7│ │ │ │ │ │ │1,00│1,00│1,00│1,00│0,55│0,23│0,12│0,06│0,02│0,01│
├──┼────┼────┼────┼────┼────┼────┼────┼────┼────┼────┼────┼────┼────┼────┼────┼────┤
│ 8│ │ │ │ │ │ │ │1,00│1,00│1,00│0,61│0,26│0,13│0,07│0,03│0,01│
├──┼────┼────┼────┼────┼────┼────┼────┼────┼────┼────┼────┼────┼────┼────┼────┼────┤
│ 9│ │ │ │ │ │ │ │ │1,00│1,00│0,67│0,28│0,14│0,07│0,03│0,01│
├──┼────┼────┼────┼────┼────┼────┼────┼────┼────┼────┼────┼────┼────┼────┼────┼────┤
│10│ │ │ │ │ │ │ │ │ │1,00│0,73│0,31│0,16│0,08│0,03│0,01│
└──┴────┴────┴────┴────┴────┴────┴────┴────┴────┴────┴────┴────┴────┴────┴────┴────┘
Если в испытаниях отсутствует воспламенение образцов, то в качестве критерия оценки пожарной опасности необходимо брать критическую температуру.
При использовании в качестве критерия пожарной опасности критической температуры горючего материала

должна определяться (при точечной оценке) из формулы

,

,

,

;

- критическая температура для горючего материала в точке измерения, °С (
Приложение 2);

- среднее значение температуры в наиболее нагретом месте изделия (°С), полученное по результатам N измерений;

- измеренное значение температуры горючего материала в наиболее нагретой точке изделия (°С);

- среднеквадратичное отклонение; N - количество измерений в одной наиболее нагретой точке изделия при n-м количестве испытаний.
При отрицательных значениях

определяется по формуле

при

.
Из
табл. 1 Приложения 3 по полученному значению

находится точечная оценка

.
В качестве критической температуры

при определении вероятности возникновения пожара принимается температура, составляющая 0,8 температуры воспламенения изоляционного материала, нагрев которого контролируется.
Контроль соответствия изделия требованиям пожарной безопасности осуществляется по верхнему значению вероятности положительного исхода

:

.
Значение

может быть получено расчетным путем или по
табл. 2 Приложения 3,

.
Значения

,

,

определяются по
табл. 1 Приложения 3. Численное значение h может быть получено из
табл. 2 Приложения 3 в зависимости от количества измерений в наиболее нагретой точке при n-м количестве испытаний, параметра

и доверительной вероятности

.
По табличному или расчетному значению

определяется

.
5.5. Вероятность несрабатывания электрической защиты

определяется на основании данных по ее надежности.

,
где

- интенсивность отказов j-го аппарата защиты от i-го пожароопасного аварийного режима; t - время работы ЭИ в течение года; s - количество элементов защиты (аппаратов).
При отсутствии электрической или другой предотвращающей загорание защиты значение

принимается равным единице.
5.6. Допускается при определении

заменять создание характерного пожароопасного режима на использование стандартизованного эквивалентного по тепловому воздействию источника зажигания, т.е. с эквивалентными параметрами, характеризующими зажигающую способность (мощность, температуру, площадь, периодичность и время воздействия).
5.7. Изделие считается удовлетворяющим требованиям пожарной безопасности, если

, полученное при

, удовлетворяет условию

. Если

, то принимается решение о доработке конструкции электронного изделия.
ТЕРМИНЫ И ОПРЕДЕЛЕНИЯ
1. Пожарная опасность электронного изделия (ЭИ) - это характеризуемая вероятностью возможность возникновения пожара в изделии в условиях его нормальной работы или при аварийных режимах.
2. Аварийный пожароопасный режим электронного изделия - это такой режим работы, при котором нарушается соответствие номинальных параметров или нормальных условий эксплуатации изделия и создаются условия для возникновения загорания.
3. Пожароопасный отказ электронного изделия - событие, заключающееся в нарушении работоспособности изделия (блока, узла, элемента), приведшее к возникновению аварийного пожароопасного режима.
4. Комплектующие элементы (компоненты) - отдельные элементы, совокупность которых обеспечивает единство конструкции и выполнение функций изделия.
5. Электронный элемент - комплектующий элемент, в котором осуществляется электронная или электронно-дырочная проводимость.
6. Электронный узел - группа электронных элементов, расположенных в конструкции, замена которых может быть проведена без повреждения конструкции.
Примечание. Примером электронного узла является группа элементов, смонтированных на печатной плате.
7. Электронный блок - группа узлов, по крайней мере, один из которых электронный.
8. Электронное изделие - изделие, содержащее в конструкции электронные элементы, блоки и узлы.
Примечание. Примерами электронных изделий являются телевизионные приемники, преобразователи частоты, электронные звонки.
9. Теплостойкость - способность материала сопротивляться изменению формы и размеров под внешним воздействием в условиях нагрева (материала, элемента, узла).
10. Стойкость к воспламенению - способность препятствовать загоранию с появлением пламени при воздействии стандартизованного источника зажигания.
11. Стойкость к распространению горения - способность материала, используемого в конструкции изделия, препятствовать самостоятельному распространению горения.
12. Дугостойкость - способность материала сопротивляться загоранию при воздействии электрической дуги.
13. Трекингостойкость - способность материала противостоять образованию электропроводящей дорожки в результате комбинированного воздействия электрического напряжения и электролитического загрязнения его поверхности.
14. Противопожарный кожух - часть электронного изделия (ЭИ), выполненная из негорючего материала, предназначенная для уменьшения области распространения горения, возникшего внутри электронного изделия от одного или нескольких его элементов.
15. Электронное изделие, работающее без надзора, - изделие, выполняющее свои функции в присутствии и отсутствии человека (электронные звонки, изделия охранных и пожарных систем, видеомагнитофоны и т.п.).
16. Электронное изделие, работающее под надзором, - изделие, выполняющее свои функции только в присутствии человека.
ЗНАЧЕНИЯ КРИТИЧЕСКИХ ТЕМПЕРАТУР

ДЛЯ ГОРЮЧИХ ИЗОЛЯЦИОННЫХ МАТЕРИАЛОВ,
ИСПОЛЬЗУЕМЫХ В РАСЧЕТЕ ВЕРОЯТНОСТНЫХ ПОКАЗАТЕЛЕЙ
ПОЖАРНОЙ ОПАСНОСТИ ИЗДЕЛИЙ
Материал | Температура, °С |
Гетинакс | 228 |
Текстолит | 286 |
Полиэтилен высокого давления | 272 |
Полиэтилен низкого давления | 245 |
Поливинилхлорид | 312 |
Полипропилен | 260 |
Полиметилметакрилат | 170 |
Полиамид (капрон) | 170 |
Поликарбонат | 418 |
Фенопласт | 497 |
Примечание. В качестве

принято 0,8 температуры воспламенения изоляционного материала.
Таблица 3.1
Значения функции нормального распределения
┌──────┬──────────────────────────────────────────────────────────────────────────────────────────────────────────┐
│ U │ _ /\ │
│ p │ P (Q , Q ) при гамма = 0,8 │
│ _ │ u в в │
│(h, h)├─────────┬─────────┬──────────┬──────────┬───────────┬─────────┬──────────┬─────────┬─────────┬───────────┤
│ │ 0,00 │ 0,01 │ 0,02 │ 0,03 │ 0,04 │ 0,05 │ 0,06 │ 0,07 │ 0,08 │ 0,09 │
├──────┼─────────┼─────────┼──────────┼──────────┼───────────┼─────────┼──────────┼─────────┼─────────┼───────────┤
│ 0,0 │ 0,500 │ 0,504 │ 0,508 │ 0,512 │ 0,516 │ 0,520 │ 0,524 │ 0,528 │ 0,532 │ 0,536 │
│ 0,1 │ 0,540 │ 0,544 │ 0,548 │ 0,552 │ 0,556 │ 0,560 │ 0,564 │ 0,567 │ 0,571 │ 0,575 │
│ 0,2 │ 0,579 │ 0,583 │ 0,587 │ 0,591 │ 0,595 │ 0,599 │ 0,603 │ 0,606 │ 0,610 │ 0,614 │
│ 0,3 │ 0,618 │ 0,622 │ 0,626 │ 0,629 │ 0,633 │ 0,637 │ 0,641 │ 0,644 │ 0,648 │ 0,652 │
│ 0,4 │ 0,655 │ 0,659 │ 0,663 │ 0,666 │ 0,670 │ 0,674 │ 0,677 │ 0,681 │ 0,684 │ 0,688 │
│ 0,5 │ 0,691 │ 0,695 │ 0,698 │ 0,702 │ 0,705 │ 0,709 │ 0,712 │ 0,716 │ 0,719 │ 0,722 │
│ 0,6 │ 0,726 │ 0,729 │ 0,732 │ 0,736 │ 0,739 │ 0,742 │ 0,745 │ 0,749 │ 0,752 │ 0,755 │
│ 0,7 │ 0,758 │ 0,761 │ 0,764 │ 0,767 │ 0,770 │ 0,773 │ 0,776 │ 0,779 │ 0,782 │ 0,785 │
│ 0,8 │ 0,788 │ 0,791 │ 0,794 │ 0,797 │ 0,800 │ 0,802 │ 0,805 │ 0,808 │ 0,811 │ 0,813 │
│ 0,9 │ 0,816 │ 0,819 │ 0,821 │ 0,824 │ 0,826 │ 0,829 │ 0,831 │ 0,834 │ 0,836 │ 0,839 │
│ 1,0 │ 0,841 │ 0,844 │ 0,846 │ 0,848 │ 0,851 │ 0,853 │ 0,855 │ 0,858 │ 0,860 │ 0,862 │
│ 1,1 │ 0,864 │ 0,867 │ 0,869 │ 0,871 │ 0,873 │ 0,875 │ 0,877 │ 0,879 │ 0,881 │ 0,883 │
│ 1,2 │ 0,885 │ 0,887 │ 0,889 │ 0,891 │ 0,893 │ 0,894 │ 0,896 │ 0,898 │ 0,900 │ 0,9015 │
│ 1,3 │ 0,9032 │ 0,9049 │ 0,9066 │ 0,9082 │ 0,9099 │ 0,9115 │ 0,9131 │ 0,9147 │ 0,9162 │ 0,9177 │
│ 1,4 │ 0,9192 │ 0,9207 │ 0,9222 │ 0,9236 │ 0,9251 │ 0,9265 │ 0,9279 │ 0,9292 │ 0,9306 │ 0,9319 │
│ 1,5 │ 0,9332 │ 0,9345 │ 0,9357 │ 0,9370 │ 0,9382 │ 0,9394 │ 0,9406 │ 0,9418 │ 0,9429 │ 0,9441 │
│ 1,6 │ 0,9452 │ 0,9463 │ 0,9474 │ 0,9484 │ 0,9495 │ 0,9505 │ 0,9515 │ 0,9525 │ 0,9535 │ 0,9545 │
│ 1,7 │ 0,9554 │ 0,9564 │ 0,9573 │ 0,9582 │ 0,9591 │ 0,9599 │ 0,9608 │ 0,9616 │ 0,9625 │ 0,9633 │
│ 1,8 │ 0,9641 │ 0,9649 │ 0,9656 │ 0,9664 │ 0,9671 │ 0,9678 │ 0,9686 │ 0,9693 │ 0,9699 │ 0,9767 │
│ 1,9 │ 0,9713 │ 0,9719 │ 0,9726 │ 0,9732 │ 0,9738 │ 0,9744 │ 0,9750 │ 0,9756 │ 0,9761 │ 0,9767 │
│ 2,0 │ 0,9772 │ 0,9778 │ 0,9783 │ 0,9783 │ 0,9793 │ 0,9798 │ 0,9803 │ 0,9808 │ 0,9812 │ 0,9817 │
│ 2,1 │ 0,9821 │ 0,9826 │ 0,9830 │ 0,9834 │ 0,9838 │ 0,9842 │ 0,9846 │ 0,9850 │ 0,9854 │ 0,9857 │
│ 2,0 │ 0,9772 │ 0,9778 │ 0,9783 │ 0,9783 │ 0,9793 │ 0,9798 │ 0,9803 │ 0,9808 │ 0,9812 │ 0,9817 │
│ 2,1 │ 0,9821 │ 0,9826 │ 0,9830 │ 0,9834 │ 0,9838 │ 0,9842 │ 0,9846 │ 0,9850 │ 0,9854 │ 0,9857 │
│ 2,2 │ 0,9861 │ 0,9864 │ 0,9868 │ 0,9871 │ 0,9875 │ 0,9878 │ 0,9881 │ 0,9884 │ 0,9887 │ 0,9890 │
│ 2,3 │ 0,9893 │ 0,9896 │ 0,9898 │ 0,99010 │ 0,99036 │ 0,99061 │ 0,99086 │ 0,99111 │ 0,99134 │ 0,99158 │
│ 2,4 │ 0,99180 │ 0,99202 │ 0,99224 │ 0,99245 │ 0,99266 │ 0,99286 │ 0,99305 │ 0,99324 │ 0,99343 │ 0,99361 │
│ 2,5 │ 0,99379 │ 0,99396 │ 0,99413 │ 0,99430 │ 0,99446 │ 0,99461 │ 0,99477 │ 0,99492 │ 0,99506 │ 0,99520 │
│ 3,0 │ 0,99865 │ 0,99869 │ 0,99874 │ 0,99878 │ 0,99882 │ 0,99886 │ 0,99889 │ 0,99893 │ 0,99896 │ 0,99900 │
│ 3,5 │ 0,999767│ 0,999776│ 0,999784 │ 0,999792 │ 0,999800 │ 0,999807│ 0,999815 │ 0,999822│ 0,999828│ 0,999835 │
│ 4,0 │0,9999683│0,9999867│0,99999459│0,99999789│0,999999207│0,9999793│0,99999146│0,9999966│0,9999987│0,999999521│
└──────┴─────────┴─────────┴──────────┴──────────┴───────────┴─────────┴──────────┴─────────┴─────────┴───────────┘
Таблица 3.2
Доверительные границы для параметра Z
┌─────┬──────────────────────────────────────────────────────────────┐
│ _ │ _ _ │
│ h │ h = Z / \/N при гамма = 0,8 и объеме выборки N │
│ │ t │
│ ├──────┬──────┬──────┬──────┬──────┬──────┬──────┬──────┬──────┤
│ │ 2 │ 3 │ 4 │ 5 │ 6 │ 7 │ 8 │ 9 │ 10 │
├─────┼──────┼──────┼──────┼──────┼──────┼──────┼──────┼──────┼──────┤
│ 0,50│ 1,264│ 1,307│ 0,912│ 0,914│ 0,916│ 0,917│ 0,917│ 0,783│ 0,783│
│ 0,80│ 1,559│ 1,605│ 1,230│ 1,230│ 1,229│ 1,229│ 1,228│ 1,101│ 1,099│
│ 1,00│ 1,763│ 1,811│ 1,451│ 1,447│ 1,444│ 1,442│ 1,439│ 1,317│ 1,314│
│ 1,10│ 1,868│ 1,916│ 1,563│ 1,558│ 1,553│ 1,549│ 1,546│ 1,425│ 1,422│
│ 1,20│ 1,974│ 2,022│ 1,676│ 1,669│ 1,663│ 1,658│ 1,654│ 1,536│ 1,532│
│ 1,30│ 2,081│ 2,129│ 2,790│ 1,781│ 1,773│ 1,767│ 1,762│ 1,647│ 1,641│
│ 1,40│ 2,189│ 2,237│ 1,906│ 1,894│ 1,885│ 1,877│ 1,871│ 1,758│ 1,752│
│ 1,50│ 2,299│ 2,346│ 2,022│ 2,008│ 1,997│ 1,988│ 1,981│ 1,870│ 1,863│
│ 1,60│ 2,410│ 2,456│ 2,138│ 2,122│ 2,109│ 2,099│ 2,091│ 1,982│ 1,974│
│ 1,70│ 2,522│ 2,567│ 2,256│ 2,237│ 2,222│ 2,211│ 2,202│ 2,095│ 2,086│
│ 1,80│ 2,635│ 2,679│ 2,373│ 2,352│ 2,336│ 2,323│ 2,313│ 2,208│ 2,198│
│ 1,90│ 2,749│ 2,792│ 2,492│ 2,469│ 2,450│ 2,436│ 2,424│ 2,321│ 2,311│
│ 2,00│ 2,864│ 2,906│ 2,611│ 2,585│ 2,565│ 2,549│ 2,536│ 2,435│ 2,423│
│ 2,50│ 3,450│ 3,483│ 3,211│ 3,173│ 3,144│ 3,120│ 3,102│ 3,007│ 2,991│
│ 3,00│ 4,053│ 4,074│ 3,817│ 3,768│ 3,729│ 3,698│ 3,673│ 3,583│ 3,563│
│ 4,00│ 5,284│ 5,283│ 5,041│ 4,969│ 4,912│ 4,866│ 4,829│ 4,743│ 4,714│
│ 5,00│ 6,535│ 6,515│ 6,271│ 6,178│ 6,104│ 6,044│ 5,995│ 5,009│ 5,872│
│10,00│12,878│12,773│12,420│12,255│12,098│11,975│11,874│11,770│11,699│
└─────┴──────┴──────┴──────┴──────┴──────┴──────┴──────┴──────┴──────┘
Окончание табл. 3.2
┌─────┬─────────────────────────────────────────────────────────────┐
│ _ │ _ │
│ h │ h при гамма = 0,9 и объеме выборки N │
│ ├─────┬──────┬──────┬──────┬──────┬──────┬──────┬──────┬──────┤
│ │ 2 │ 3 │ 4 │ 5 │ 6 │ 7 │ 8 │ 9 │ 10 │
├─────┼─────┼──────┼──────┼──────┼──────┼──────┼──────┼──────┼──────┤
│ 0,50│ 1,73│ 1,759│ 1,149│ 1,148│ 1,147│ 1,146│ 1,145│ 0,940│ 0,939│
│ 0,80│ 2,06│ 2,079│ 1,496│ 1,485│ 1,477│ 1,472│ 1,468│ 1,273│ 1,268│
│ 1,00│ 2,30│ 2,304│ 1,741│ 1,721│ 1,707│ 1,697│ 1,690│ 1,503│ 1,495│
│ 1,10│ 2,43│ 2,420│ 1,867│ 1,841│ 1,825│ 1,812│ 1,804│ 1,620│ 1,611│
│ 1,20│ 2,56│ 2,538│ 1,994│ 1,964│ 1,943│ 1,929│ 1,918│ 1,738│ 1,727│
│ 1,30│ 2,69│ 2,659│ 2,123│ 2,088│ 2,064│ 2,046│ 2,033│ 1,857│ 1,845│
│ 1,40│ 2,82│ 2,781│ 2,254│ 2,213│ 2,185│ 2,165│ 2,150│ 1,976│ 1,963│
│ 1,50│ 2,96│ 2,905│ 2,386│ 2,339│ 2,308│ 2,285│ 2,268│ 2,097│ 2,082│
│ 1,60│ 3,10│ 3,031│ 2,519│ 2,467│ 2,431│ 2,406│ 2,386│ 2,219│ 2,202│
│ 1,70│ 3,24│ 3,158│ 2,653│ 2,595│ 2,556│ 2,527│ 2,505│ 2,341│ 2,322│
│ 1,80│ 3,38│ 3,287│ 2,788│ 2,724│ 2,681│ 2,650│ 2,625│ 2,464│ 2,443│
│ 1,90│ 3,53│ 3,418│ 2,923│ 2,855│ 2,807│ 2,773│ 2,746│ 2,587│ 2,565│
│ 2,00│ 3,67│ 3,558│ 3,060│ 2,985│ 2,934│ 2,897│ 2,868│ 2,710│ 2,687│
│ 2,50│ 4,42│ 4,225│ 3,750│ 3,648│ 3,577│ 3,524│ 3,483│ 3,334│ 3,302│
│ 3,00│ 5,02│ 4,922│ 4,450│ 4,321│ 4,230│ 4,162│ 4,108│ 3,965│ 3,925│
│ 4,00│ 6,78│ 6,355│ 5,865│ 5,683│ 5,553│ 5,455│ 5,378│ 5,236│ 5,180│
│ 5,00│ 8,38│ 7,819│ 7,290│ 7,057│ 6,890│ 6,763│ 6,663│ 6,517│ 6,445│
│10,00│16,53│15,293│14,426│13,990│13,627│13,368│13,166│12,994│12,850│
└─────┴─────┴──────┴──────┴──────┴──────┴──────┴──────┴──────┴──────┘
Примечание. Исходными данными таблицы служат величины N, h,

, где h = (X - a)/S
НОРМАТИВНЫЕ ССЫЛКИ
В настоящих нормах использованы ссылки на следующие стандарты:
ГОСТ 27570.0-87 Безопасность бытовых и аналогичных электрических приборов. Общие требования и методы испытаний.
ГОСТ 27418-87 Аппаратура радиоэлектронная бытовая. Термины и определения.
| | ИС МЕГАНОРМ: примечание. ГОСТ 20406-75 утратил силу на территории Российской Федерации с 1 января 2011 года в связи с введением в действие ГОСТ Р 53386-2009 (Приказ Ростехрегулирования от 09.09.2009 N 320-ст). | |
ГОСТ 20406-75 Платы печатные. Термины и определения.
ГОСТ 20.57.406-81 Изделия электронной техники, квантовой электроники и электротехнические. Методы испытаний.
ГОСТ 27473-87 Материалы электроизоляционные твердые. Методы определения сравнительных и контрольных индексов трекингостойкости во влажной среде.
ГОСТ 27483-87 Испытания на пожароопасность. Методы испытаний. Испытания нагретой проволокой.
| | ИС МЕГАНОРМ: примечание. ГОСТ 15088-83 утратил силу с 1 января 2015 года в связи с введением в действие ГОСТ 15088-2014 (Приказ Росстандарта от 29.05.2014 N 463-ст). | |
ГОСТ 15088-83 Пластмассы. Метод определения температуры размягчения термопластов по методу Вика.
ГОСТ 27484-87 Испытания на пожароопасность. Методы испытаний. Испытания горелкой с игольчатым пламенем.
ГОСТ 28913-91 Материалы электроизоляционные твердые. Методы испытаний по оценке восприимчивости к зажиганию под воздействием тепловых источников.
ГОСТ 10345.1-78 Материалы электроизоляционные твердые. Метод определения стойкости к действию электрической дуги малого тока высокого напряжения.
ГОСТ 10345.2-78 Материалы электроизоляционные твердые. Метод определения стойкости к действию электрической дуги постоянного низкого напряжения.
ГОСТ 27924-88 Испытания на пожароопасность. Методы испытаний. Испытания на плохой контакт при помощи накальных элементов.
ГОСТ 12.2.006-87 (МЭК 65-85) Безопасность аппаратуры электронной сетевой и сходных с ней устройств, предназначенных для бытового и аналогичного применения. Общие требования и методы испытаний.
ГОСТ Р 50377-92 (МЭК 950-86) Безопасность оборудования информационной технологии, включая электрическое конторское оборудование.