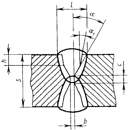
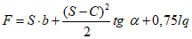
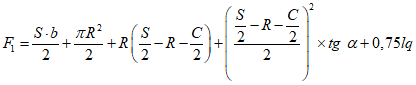
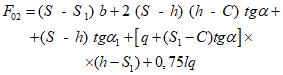
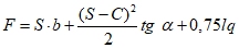
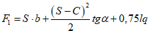
(2)
(3)
(4)
(5)
(6)
(10)
(11)Номер позиции | Наименование работ и тип производства | Номер карты и позиции | Время, мин. | Значение коэффициента |
1 | Установка и снятие изделия вручную | 0,58 | - | |
2 | Обмазка раствором поверхности металла околошовной зоны | 0,54 | - | |
3 | Сварка | 4,5 | - | |
4 | Зачистка околошовной зоны от брызг | 0,30 | - | |
5 | Тип производства - единичное | - | - | 1,3 |
6 | Подготовительно-заключительное время | 14,0 | - | |
Индекс | а | б | в |

Номер позиции | Наименование и условие выполнения работ и тип производства | Номер карты и позиции | Время, мин. | Значение коэффициента |
1 | Подготовка рабочего места | 17,0 | - | |
2 | Сварка | 45,6 | - | |
3 | Работа производится в цехе | - | 1,02 | |
4 | Сварка производится в помещении объемом более 2 м3 | - | 1,03 | |
5 | Движение рабочего ограничено | - | 1,03 | |
6 | Стык короткометражный, неповоротный | - | 1,21 | |
7 | Тип производства - мелкосерийное | - | 1,00 | |
8 | Зачистка околошовной зоны от брызг | 0,51 | - | |
Индекс | а | б | в |


С1, С2, С3, С4, С5, С6, С7, С8, С9, С10, С11, С12, С13, С14, С15, С16, С17, С18, С19, С20, С21, С23, С24, С25, С26, С27 и С28 | Полуавтоматическая дуговая сварка в среде двуокиси углерода углеродистых и низколегированных сталей | |||||||||
Карта 1 | Лист 1 | |||||||||
Основной шов | ||||||||||
Номер позиции | Тип шва | Толщина металла, мм | Площадь сечения, мм2 | Количество проходов | Диаметр проволоки, мм | |||||
0,8 | 1,0 | 1,2 | 1,4 | 1,6 | 2,0 | |||||
Неполное штучное время на 1 м шва, мин. | ||||||||||
1 | С1 ![]() | 0,5 | 5,4 | 1 | 2,8 | 2,7 | 2,4 | - | - | - |
2 | 0,8 | 5,5 | 1 | 2,9 | 2,8 | 2,5 | - | - | - | |
3 | 1,0 | 5,5 | 1 | 3,0 | 2,9 | 2,6 | - | - | - | |
4 | 1,5 | 7,3 | 1 | 3,2 | 3,0 | 2,7 | 2,3 | - | - | |
5 | 2,0 | 9,4 | 1 | 3,9 | 3,5 | 3,1 | 2,7 | - | - | |
6 | 2,5 | 11,4 | 1 | 4,5 | 4,1 | 3,5 | 3,1 | - | - | |
7 | 3,0 | 13,3 | 1 | 5,1 | 4,6 | 4,0 | 3,5 | - | - | |
8 | 4,0 | 17,1 | 1 | 6,3 | 5,7 | 4,8 | 4,2 | - | - | |
9 | С2 ![]() | 0,8 | 5,6 | 1 | 3,0 | 2,8 | 2,6 | - | - | - |
10 | 1,0 | 5,8 | 1 | 3,4 | 2,9 | 2,7 | - | - | - | |
11 | 1,5 | 6,1 | 1 | 3,6 | 3,2 | 2,8 | 2,0 | - | - | |
12 | 2,0 | 6,3 | 1 | 3,9 | 3,7 | 2,9 | 2,1 | - | - | |
13 | 2,5 | 11,0 | 1 | 4,4 | 4,0 | 3,4 | 3,0 | - | - | |
14 | 3,0 | 11,4 | 1 | 4,5 | 4,1 | 3,5 | 3,1 | - | - | |
15 | 4,0 | 12,1 | 1 | 4,7 | 4,3 | 3,7 | 3,2 | - | - | |
16 | 5,0 | 18,7 | 1 | 4,9 | 3,9 | 3,5 | 3,2 | |||
17 | 6,0 | 19,7 | 1 | 5,1 | 4,7 | 4,1 | 3,6 | 3,3 | ||
18 | С3 ![]() | 0,5 | 5,4 | 1 | 3,0 | 2,8 | 2,6 | - | - | - |
19 | 0,8 | 10,0 | 1 | 4,4 | 4,0 | 3,0 | - | - | - | |
20 | 1,0 | 10,0 | 1 | 4,7 | 4,3 | 3,2 | - | - | - | |
21 | 1,5 | 12,3 | 1 | 4,8 | 4,4 | 3,7 | 3,3 | - | - | |
22 | 2,0 | 17,9 | 1 | 6,5 | 5,9 | 5,0 | 4,3 | - | - | |
23 | 2,5 | 23,9 | 1 | 8,4 | 7,5 | 6,3 | 5,4 | - | - | |
24 | 3,0 | 30,3 | 2 | 10,9 | 9,8 | 8,2 | 7,1 | - | - | |
25 | 4,0 | 43,9 | 2 | 15,1 | 13,5 | 11,3 | 9,7 | - | - | |
26 | С4 ![]() | 0,8 | 11,8 | 1 | 4,8 | 3,9 | 3,5 | - | - | - |
27 | 1,0 | 12,3 | 1 | 5,0 | 4,0 | 3,6 | - | - | - | |
28 | 1,5 | 13,1 | 1 | 5,1 | 4,6 | 3,9 | 3,4 | - | - | |
29 | 2,0 | 13,8 | 1 | 5,3 | 4,8 | 4,1 | 3,5 | - | - | |
30 | 2,5 | 14,3 | 1 | 5,4 | 4,9 | 4,2 | 3,6 | - | - | |
31 | 3,0 | 20,5 | 1 | 7,3 | 6,6 | 5,5 | 4,8 | - | - | |
32 | 4,0 | 21,5 | 1 | 7,7 | 6,9 | 5,8 | 5,0 | - | - | |
33 | 5,0 | 33,2 | 2 | - | 8,4 | 7,7 | 6,7 | 6,0 | 5,4 | |
34 | 6,0 | 38,8 | 2 | - | 9,6 | 8,8 | 7,6 | 6,7 | 6,1 | |
35 | 7,0 | 44,3 | 2 | - | 10,7 | 9,8 | 8,4 | 7,4 | 6,7 | |
36 | 8,0 | 49,7 | 2 | - | 11,9 | 10,8 | 9,3 | 8,2 | 7,3 | |
37 | С5 ![]() | 0,8 | 4,4 | 1 | 3,3 | 3,0 | 2,2 | - | - | - |
38 | 1,0 | 5,8 | 1 | 3,4 | 3,1 | 2,6 | - | - | - | |
39 | 1,5 | 8,1 | 1 | 3,5 | 3,2 | 2,8 | 2,5 | - | - | |
40 | 2,0 | 8,7 | 1 | 3,7 | 3,4 | 2,9 | 2,6 | - | - | |
41 | 2,5 | 9,1 | 1 | 3,8 | 3,5 | 3,0 | 2,7 | - | - | |
42 | 3,0 | 13,6 | 1 | 5,2 | 4,7 | 4,0 | 3,5 | - | - | |
43 | 4,0 | 14,6 | 1 | 5,5 | 5,0 | 4,2 | 3,7 | - | - | |
44 | 5,0 | 27,0 | 1 | - | 6,6 | 6,1 | 5,2 | 4,6 | 4,1 | |
45 | 6,0 | 30,1 | 2 | - | 7,8 | 7,1 | 6,2 | 5,5 | 5,0 | |
46 | 7,0 | 39,4 | 2 | - | 9,7 | 8,9 | 7,7 | 6,8 | 6,1 | |
47 | 8,0 | 42,4 | 2 | - | 10,3 | 9,5 | 8,1 | 7,2 | 6,5 | |
Индекс | а | б | в | г | д | е | ||||
Швы стыковых соединений С1, С2, С3, С4, С5, С6, С7, С8, С9, С10, С11, С12, С13, С14, С15, С16, С17, С18, С19, С20, С21, С23, С24, С25, С26, С27 и С28 | Полуавтоматическая дуговая сварка в среде двуокиси углерода углеродистых и низколегированных сталей | |||||||||
Карта 1 | Лист 2 | |||||||||
Основной шов | ||||||||||
Номер позиции | Тип шва | Толщина металла, мм | Площадь сечения, мм2 | Количество проходов | Диаметр проволоки, мм | |||||
0,8 | 1,0 | 1,2 | 1,4 | 1,6 | 2,0 | |||||
Неполное штучное время на 1 м шва, мин. | ||||||||||
48 | С6 ![]() | 0,8 | 6,4 | 1 | 3,4 | 3,1 | 2,9 | - | - | - |
49 | 1,0 | 6,8 | 1 | 3,5 | 3,2 | 3,0 | - | - | - | |
50 | 1,5 | 8,4 | 1 | 3,6 | 3,3 | 3,1 | 2,4 | - | - | |
51 | 2,0 | 9,6 | 1 | 3,7 | 3,5 | 3,3 | 2,5 | - | - | |
52 | 2,5 | 9,9 | 1 | 4,0 | 3,6 | 3,4 | 2,6 | - | - | |
53 | 3,0 | 12,4 | 1 | 4,8 | 4,4 | 3,7 | 3,3 | - | - | |
54 | 4,0 | 13,4 | 1 | 5,1 | 4,7 | 4,0 | 3,5 | - | - | |
55 | 5,0 | 26,1 | 1 | - | 6,4 | 5,9 | 5,1 | 4,5 | 4,0 | |
56 | 6,0 | 29,1 | 2 | - | 7,6 | 7,0 | 6,1 | 5,4 | 4,9 | |
57 | 7,0 | 40,2 | 2 | - | 9,9 | 9,0 | 7,8 | 6,9 | 6,2 | |
58 | 8,0 | 43,2 | 2 | - | 10,5 | 9,6 | 8,3 | 7,3 | 6,6 | |
59 | С7 ![]() | 3,0 | 9,0 | 1 | 3,8 | 3,5 | 3,0 | 2,7 | - | - |
60 | 4,0 | 10,0 | 1 | 4,0 | 3,6 | 3,1 | 2,8 | - | - | |
61 | 5,0 | 13,6 | 1 | - | 3,8 | 3,5 | 3,1 | 2,8 | 2,6 | |
62 | 6,0 | 15,0 | 1 | - | 4,0 | 3,7 | 3,2 | 2,9, | 2,7 | |
63 | 7,0 | 20,1 | 1 | - | 5,2 | 4,7 | 4,1 | 3,7 | 3,3 | |
64 | 8,0 | 22,1 | 1 | - | 5,6 | 5,1 | 4,4 | 3,9 | 3,6 | |
65 | 9,0 | 24,0 | 1 | - | 6,0 | 5,5 | 4,7 | 4,2 | 3,8 | |
66 | 10,0 | 25,9 | 1 | - | 6,4 | 5,8 | 5,0 | 4,4 | 4,0 | |
67 | 12,0 | 33,0 | 1 | - | - | 6,7 | 5,7 | 5,1 | 4,6 | |
68 | С8 ![]() | 3,0 | 8,3 | 1 | 3,7 | 3,4 | 2,9 | 2,6 | - | - |
69 | 4,0 | 12,9 | 1 | 5,1 | 4,6 | 4,0 | 3,5 | - | - | |
70 | 5,0 | 18,2 | 1 | - | 4,9 | 4,5 | 3,9 | 3,5 | 3,2 | |
71 | 6,0 | 24,0 | 1 | - | 6,1 | 5,6 | 4,8 | 4,3 | 3,9 | |
72 | 7,0 | 30,4 | 2 | - | 8,0 | 7,3 | 6,4 | 5,7 | 5,2 | |
73 | 8,0 | 37,2 | 2 | - | 9,4 | 8,6 | 7,5 | 6,6 | 6,0 | |
74 | 9,0 | 44,6 | 2 | - | 10,9 | 10,0 | 8,6 | 7,6 | 6,9 | |
75 | 10,0 | 52,3 | 2 | - | 12,5 | 11,5 | 9,8 | 8,6 | 7,8 | |
76 | 12,0 | 77,0 | 2 | - | - | 14,8 | 12,7 | 11,1 | 9,9 | |
77 | 14,0 | 102,8 | 3 | - | - | 19,8 | 16,9 | 14,8 | 13,2 | |
78 | 16,0 | 132,1 | 3 | - | - | 24,7 | 21,0 | 18,3 | 16,3 | |
79 | 18,0 | 164,7 | 4 | - | - | 30,9 | 26,2 | 22,9 | 20,4 | |
80 | 20,0 | 200,6 | 4 | - | - | 37,0 | 31,3 | 27,2 | 24,2 | |
81 | 22,0 | 239,9 | 5 | - | - | 40,8 | 34,6 | 30,2 | 26,7 | |
82 | 24,0 | 282,3 | 6 | - | - | 47,9 | 40,6 | 35,4 | 31,4 | |
83 | 26,0 | 328,0 | 7 | - | - | 55,6 | 47,1 | 41,4 | 36,4 | |
84 | 28,0 | 376,9 | 8 | - | - | 63,7 | 54,0 | 47,1 | 41,7 | |
85 | 30,0 | 428,8 | 9 | - | - | 72,4 | 61,3 | 53,4 | 47,2 | |
86 | 32,0 | 484,0 | 10 | - | - | 75,6 | 64,1 | 55,9 | 49,8 | |
87 | 34,0 | 542,2 | 11 | - | - | 84,5 | 71,6 | 62,4 | 55,5 | |
88 | 36,0 | 603,4 | 13 | - | - | 94,4 | 80,0 | 69,8 | 62,1 | |
89 | 38,0 | 667,7 | 14 | - | - | 104,1 | 88,3 | 76,9 | 68,4 | |
90 | 40,0 | 735,1 | 15 | - | - | 114,3 | 96,8 | 84,4 | 75,0 | |
91 | 42,0 | 805,4 | 17 | - | - | 125,5 | 106,4 | 92,7 | 82,5 | |
92 | 44,0 | 878,7 | 18 | - | - | 136,5 | 115,6 | 100,7 | 89,6 | |
93 | 46,0 | 955,0 | 20 | - | - | 148,5 | 125,9 | 109,7 | 97,5 | |
94 | 48,0 | 1034,3 | 21 | - | - | 160,4 | 135,9 | 118,3 | 105,3 | |
95 | 50,0 | 1116,5 | 23 | - | - | 173,3 | 146,8 | 127,9 | 113,7 | |
96 | 52,0 | 1201,6 | 24 | - | - | 186,0 | 157,5 | 137,1 | 121,8 | |
Индекс | а | б | в | г | д | е | ||||
Швы стыковых соединений С1, С2, С3, С4, С5, С6, С7, С8, С9, С10, С11, С12, С13, С14, С15, С16, С17, С18, С19, С20, С21, С23, С24, С25, С26, С27 и С28 | Полуавтоматическая дуговая сварка в среде двуокиси углерода углеродистых и низколегированных сталей | |||||||||
Карта 1 | Лист 3 | |||||||||
Основной шов | ||||||||||
Номер позиции | Тип шва | Толщина металла, мм | Площадь сечения, мм2 | Количество проходов | Диаметр проволоки, мм | |||||
0,8 | 1,0 | 1,2 | 1,4 | 1,6 | 2,0 | |||||
Неполное штучное время на 1 м шва, мин. | ||||||||||
97 | 54,0 | 1289,6 | 26 | - | - | 199,7 | 169,1 | 147,2 | 130,8 | |
98 | 56,0 | 1380,5 | 28 | - | - | 213,8 | 181,0 | 157,6 | 140,1 | |
99 | 58,0 | 1474,3 | 30 | - | - | 228,4 | 193,4 | 168,3 | 149,6 | |
100 | 60,0 | 1570,9 | 32 | - | - | 243,3 | 206,0 | 179,3 | 159,4 | |
101 | С9 ![]() | 3,0 | 12,2 | 1 | 4,9 | 4,4 | 3,8 | 3,3 | - | - |
102 | 4,0 | 15,4 | 1 | 5,8 | 5,3 | 4,5 | 3,9 | - | - | |
103 | 5,0 | 20,7 | 1 | - | 5,4 | 4,9 | 4,3 | 3,8 | 3,5 | |
104 | 6,0 | 27,5 | 1 | - | 6,8 | 6,2 | 5,4 | 4,7 | 4,3 | |
105 | 7,0 | 35,0 | 2 | - | 8,9 | 8,2 | 7,1 | 6,3 | 5,7 | |
106 | 8,0 | 43,1 | 2 | - | 10,6 | 9,7 | 8,4 | 7,4 | 6,7 | |
107 | 9,0 | 51,8 | 2 | - | 12,4 | 11,4 | 9,7 | 8,6 | 7,7 | |
108 | 10,0 | 61,1 | 2 | - | 14,4 | 13,1 | 11,2 | 9,8 | 8,8 | |
109 | 12,0 | 81,2 | 2 | - | - | 15,5 | 13,2 | 11,6 | 10,4 | |
110 | 14,0 | 103,3 | 3 | - | - | 19,9 | 16,9 | 14,9 | 13,3 | |
111 | 16,0 | 140,4 | 3 | - | - | 26,2 | 22,2 | 19,4 | 17,2 | |
112 | 18,0 | 174,1 | 4 | - | - | 32,5 | 27,5 | 24,0 | 21,4 | |
113 | 20,0 | 211,1 | 5 | - | - | 39,3 | 33,3 | 29,1 | 25,9 | |
114 | 22,0 | 251,2 | 5 | - | - | 42,5 | 36,0 | 31,4 | 27,8 | |
115 | 24,0 | 294,5 | 6 | - | - | 49,8 | 42,2 | 36,8 | 32,6 | |
116 | 26,0 | 340,9 | 7 | - | - | 57,6 | 48,8 | 42,5 | 37,6 | |
117 | 28,0 | 390,3 | 8 | - | - | 65,8 | 55,7 | 48,5 | 42,9 | |
118 | 30,0 | 442,7 | 9 | - | - | 74,5 | 63,1 | 54,9 | 48,6 | |
119 | 32,0 | 498,0 | 10 | - | - | 77,6 | 65,8 | 57,3 | 51,0 | |
120 | 34,0 | 556,3 | 12 | - | - | 87,1 | 73,9 | 64,4 | 57,4 | |
121 | 36,0 | 617,6 | 13 | - | - | 96,4 | 81,7 | 71,3 | 63,4 | |
122 | 38,0 | 681,6 | 14 | - | - | 106,1 | 89,9 | 78,4 | 69,7 | |
123 | 40,0 | 748,6 | 15 | - | - | 116,2 | 98,5 | 85,8 | 76,2 | |
124 | 42,0 | 818,3 | 17 | - | - | 127,3 | 107,9 | 94,0 | 83,6 | |
125 | 44,0 | 890,9 | 18 | - | - | 138,2 | 117,1 | 102,0 | 90,6 | |
126 | 46,0 | 966,2 | 20 | - | - | 150,1 | 127,2 | 110,8 | 98,5 | |
127 | 48,0 | 1044,3 | 21 | - | - | 161,8 | 137,1 | 119,3 | 106,1 | |
128 | 50,0 | 1125,1 | 23 | - | - | 174,5 | 147,8 | 128,7 | 114,4 | |
129 | 52,0 | 1208,7 | 25 | - | - | 187,6 | 158,9 | 138,4 | 123,0 | |
130 | 54,0 | 1294,9 | 26 | - | - | 200,5 | 169,7 | 147,8 | 131,3 | |
131 | 56,0 | 1383,8 | 28 | - | - | 214,3 | 181,4 | 158,0 | 140,4 | |
132 | 58,0 | 1475,4 | 30 | - | - | 228,5 | 193,5 | 168,5 | 149,7 | |
133 | 60,0 | 1569,6 | 32 | - | - | 243,1 | 205,8 | 179,2 | 159,2 | |
134 | С10 ![]() | 3,0 | 8,8 | 1 | 3,8 | 3,5 | 3,0 | 2,7 | - | - |
135 | 4,0 | 13,4 | 1 | 5,2 | 4,7 | 4,0 | 3,5 | - | - | |
136 | 5,0 | 18,4 | 1 | - | 4,9 | 4,5 | 3,9 | 3,5 | 3,2 | |
137 | 6,0 | 23,8 | 1 | - | 6,0 | 5,5 | 4,8 | 4,3 | 3,9 | |
138 | 7,0 | 29,7 | 2 | - | 7,8 | 7,2 | 6,3 | 5,6 | 5,1 | |
139 | 8,0 | 38,1 | 2 | - | 9,6 | 8,8 | 7,6 | 6,7 | 6,1 | |
140 | 9,0 | 47,4 | 2 | - | 11,5 | 10,5 | 9,1 | 8,0 | 7,2 | |
141 | 10,0 | 57,7 | 2 | - | 13,7 | 12,5 | 10,7 | 9,4 | 8,4 | |
142 | 12,0 | 81,0 | 2 | - | - | 15,5 | 13,2 | 11,6 | 10,4 | |
143 | 14,0 | 107,9 | 3 | - | - | 20,6 | 17,6 | 15,4 | 13,8 | |
144 | 16,0 | 138,3 | 3 | - | - | 25,8 | 21,9 | 19,1 | 17,0 | |
145 | 18,0 | 172,4 | 4 | - | - | 32,1 | 27,3 | 23,8 | 21,2 | |
146 | 20,0 | 209,4 | 5 | - | - | 39,0 | 33,1 | 28,9 | 25,7 | |
Индекс | а | б | в | г | д | е | ||||
Швы стыковых соединений С1, С2, С3, С4, С5, С6, С7, С8, С9, С10, С11, С12, С13, С14, С15, С16, С17, С18, С19, С20, С21, С23, С24, С25, С26, С27 и С28 | Полуавтоматическая дуговая сварка в среде двуокиси углерода углеродистых и низколегированных сталей | |||||||||
Карта 1 | Лист 4 | |||||||||
Основной шов | ||||||||||
Номер позиции | Тип шва | Толщина металла, мм | Площадь сечения, мм2 | Количество проходов | Диаметр проволоки, мм | |||||
0,8 | 1,0 | 1,2 | 1,4 | 1,6 | 2,0 | |||||
Неполное штучное время на 1 м шва, мин. | ||||||||||
147 | С10 | 22,0 | 250,1 | 5 | - | - | 42,4 | 35,9 | 31,3 | 27,7 |
148 | 24,0 | 294,0 | 6 | - | - | 49,7 | 42,1 | 36,7 | 32,5 | |
149 | 26,0 | 341,1 | 7 | - | - | 57,6 | 48,8 | 42,5 | 37,6 | |
150 | 28,0 | 391,5 | 8 | - | - | 66,0 | 55,9 | 48,7 | 43,1 | |
151 | 30,0 | 445,1 | 9 | - | - | 74,9 | 63,4 | 55,2 | 48,8 | |
152 | 32,0 | 501,9 | 10 | - | - | 78,2 | 66,2 | 57,7 | 51,3 | |
153 | 34,0 | 561,7 | 12 | - | - | 87,9 | 74,5 | 65,0 | 57,8 | |
154 | 36,0 | 624,7 | 13 | - | - | 97,4 | 82,6 | 72,0 | 64,0 | |
155 | 38,0 | 690,8 | 14 | - | - | 107,4 | 91,0 | 79,3 | 70,5 | |
156 | 40,0 | 759,9 | 16 | - | - | 118,4 | 100,4 | 87,5 | 77,8 | |
157 | 42,0 | 832,0 | 17 | - | - | 129,3 | 109,5 | 95,4 | 84,8 | |
158 | 44,0 | 907,2 | 19 | - | - | 141,1 | 119,6 | 104,2 | 92,7 | |
159 | 46,0 | 985,4 | 20 | - | - | 152,9 | 129,5 | 112,8 | 100,2 | |
160 | 48,0 | 1066,5 | 22 | - | - | 165,6 | 140,3 | 122,2 | 108,6 | |
161 | 50,0 | 1150,6 | 23 | - | - | 178,2 | 150,8 | 131,3 | 116,7 | |
162 | 52,0 | 1237,6 | 25 | - | - | 191,7 | 162,3 | 141,3 | 125,6 | |
163 | 54,0 | 1327,6 | 27 | - | - | 205,7 | 174,2 | 151,7 | 134,8 | |
164 | 56,0 | 1420,4 | 29 | - | - | 220,1 | 186,4 | 162,3 | 144,2 | |
165 | 58,0 | 1516,2 | 31 | - | - | 234,9 | 198,9 | 173,2 | 153,9 | |
166 | 60,0 | 1614,8 | 33 | - | - | 250,1 | 211,8 | 184,4 | 163,9 | |
167 | С11 ![]() | 3,0 | 13,3 | 1 | 5,3 | 4,8 | 4,1 | 3,6 | - | - |
168 | 4,0 | 19,6 | 1 | 7,2 | 6,4 | 5,4 | 4,7 | - | - | |
169 | 5,0 | 26,0 | 1 | - | 6,5 | 6,0 | 5,2 | 4,6 | 4,1 | |
170 | 6,0 | 33,3 | 2 | - | 8,6 | 7,9 | 6,8 | 6,1 | 5,5 | |
171 | 7,0 | 40,7 | 2 | - | 10,1 | 9,3 | 8,0 | 7,1 | 6,4 | |
172 | 8,0 | 51,7 | 2 | - | 12,4 | 11,3 | 9,7 | 8,6 | 7,7 | |
173 | 9,0 | 63,2 | 2 | - | 14,8 | 13,5 | 11,5 | 10,1 | 9,0 | |
174 | 10,0 | 75,6 | 3 | - | 18,0 | 16,4 | 14,0 | 12,4 | 11,1 | |
175 | 12,0 | 103,2 | 3 | - | - | 19,9 | 16,9 | 14,8 | 13,3 | |
176 | 14,0 | 134,2 | 3 | - | - | 25,1 | 21,3 | 18,6 | 16,6 | |
177 | 16,0 | 168,5 | 4 | - | - | 31,5 | 26,7 | 23,3 | 20,8 | |
178 | 18,0 | 206,0 | 5 | - | - | 38,4 | 32,6 | 28,5 | 25,3 | |
179 | 20,0 | 246,5 | 5 | - | - | 45,3 | 38,3 | 33,4 | 29,6 | |
180 | 22,0 | 290,0 | 6 | - | - | 49,1 | 41,6 | 36,3 | 32,1 | |
181 | 24,0 | 336,3 | 7 | - | - | 56,9 | 48,2 | 42,0 | 37,2 | |
182 | 26,0 | 385,5 | 8 | - | - | 65,1 | 55,1 | 48,0 | 42,5 | |
183 | 28,0 | 437,4 | 9 | - | - | 73,7 | 62,4 | 54,3 | 48,1 | |
184 | 30,0 | 491,9 | 10 | - | - | 82,7 | 70,0 | 61,0 | 53,9 | |
185 | 32,0 | 549,1 | 11 | - | - | 85,5 | 72,4 | 63,1 | 56,1 | |
186 | 34,0 | 608,9 | 13 | - | - | 95,2 | 80,7 | 70,4 | 62,6 | |
187 | 36,0 | 671,2 | 14 | - | - | 104,6 | 88,7 | 77,3 | 68,7 | |
188 | 38,0 | 736,0 | 15 | - | - | 114,4 | 96,9 | 84,5 | 75,1 | |
189 | 40,0 | 803,2 | 17 | - | - | 125,2 | 106,1 | 92,5 | 82,3 | |
190 | С12 | 3,0 | 8,8 | 1 | 3,8 | 3,5 | 3,0 | 2,7 | - | - |
191 | 4,0 | 13,0 | 1 | 5,1 | 4,6 | 4,0 | 3,5 | - | - | |
192 | 5,0 | 17,6 | 1 | - | 4,7 | 4,4 | 3,8 | 3,4 | 3,1 | |
193 | 6,0 | 22,5 | 1 | - | 5,8 | 5,3 | 4,6 | 4,1 | 3,7 | |
194 | 7,0 | 27,7 | 1 | - | 6,8 | 6,3 | 5,4 | 4,8 | 4,3 | |
Индекс | а | б | в | г | д | е | ||||
Швы стыковых соединений С1, С2, С3, С4, С5, С6, С7, С8, С9, С10, С11, С12, С13, С14, С15, С16, С17, С18, С19, С20, С21, С23, С24, С25, С26, С27 и С28 | Полуавтоматическая дуговая сварка в среде двуокиси углерода углеродистых и низколегированных сталей | |||||||||
Карта 1 | Лист 5 | |||||||||
Основной шов | ||||||||||
Номер позиции | Тип шва | Толщина металла, мм | Площадь сечения, мм2 | Количество проходов | Диаметр проволоки, мм | |||||
0,8 | 1,0 | 1,2 | 1,4 | 1,6 | 2,0 | |||||
Неполное штучное время на 1 м шва, мин. | ||||||||||
195 | С12 ![]() | 8,0 | 37,5 | 2 | - | 9,5 | 8,7 | 7,5 | 6,7 | 6,0 |
196 | 9,0 | 46,7 | 2 | - | 11,4 | 10,4 | 8,9 | 7,9 | 7,1 | |
197 | 10,0 | 56,7 | 2 | - | 13,5 | 12,3 | 10,5 | 9,2 | 8,3 | |
198 | 12,0 | 79,4 | 2 | - | - | 15,2 | 13,0 | 11,4 | 10,2 | |
199 | 14,0 | 105,6 | 3 | - | - | 20,3 | 17,3 | 15,1 | 13,5 | |
200 | 16,0 | 135,1 | 3 | - | - | 25,3 | 21,4 | 18,7 | 16,7 | |
201 | 18,0 | 168,0 | 4 | - | - | 31,4 | 26,7 | 23,3 | 20,7 | |
202 | 20,0 | 204,1 | 5 | - | - | 38,1 | 32,4 | 28,2 | 25,1 | |
203 | 22,0 | 243,4 | 5 | - | - | 41,3 | 35,0 | 30,5 | 27,0 | |
204 | 24,0 | 285,8 | 6 | - | - | 48,5 | 41,1 | 35,8 | 31,7 | |
205 | 26,0 | 331,3 | 7 | - | - | 56,1 | 47,5 | 41,4 | 36,7 | |
206 | 28,0 | 379,9 | 8 | - | - | 64,2 | 54,4 | 47,4 | 42,0 | |
207 | 30,0 | 431,6 | 9 | - | - | 72,8 | 61,7 | 53,7 | 47,5 | |
208 | 32,0 | 486,2 | 10 | - | - | 75,9 | 64,4 | 56,1 | 50,0 | |
209 | 34,0 | 543,9 | 11 | - | - | 84,7 | 71,8 | 62,6 | 55,7 | |
210 | 36,0 | 604,4 | 13 | - | - | 94,5 | 80,2 | 69,9 | 62,2 | |
211 | 38,0 | 667,9 | 14 | - | - | 104,1 | 88,3 | 77,0 | 68,5 | |
212 | 40,0 | 734,3 | 15 | - | - | 114,2 | 96,7 | 84,3 | 75,0 | |
213 | 42,0 | 803,5 | 17 | - | - | 125,2 | 106,1 | 92,5 | 82,3 | |
214 | 44,0 | 875,6 | 18 | - | - | 136,1 | 115,3 | 100,4 | 89,3 | |
215 | 46,0 | 950,5 | 19 | - | - | 147,3 | 124,8 | 108,6 | 96,5 | |
216 | 48,0 | 1028,3 | 21 | - | - | 159,6 | 135,1 | 117,7 | 104,6 | |
217 | 50,0 | 1108,8 | 23 | - | - | 172,2 | 145,9 | 127,1 | 113,0 | |
218 | 52,0 | 1192,1 | 24 | - | - | 184,7 | 156,3 | 136,1 | 121,0 | |
219 | 54,0 | 1278,2 | 26 | - | - | 198,1 | 167,7 | 146,1 | 129,8 | |
220 | 56,0 | 1367,0 | 28 | - | - | 211,9 | 179,4 | 156,3 | 138,9 | |
221 | 58,0 | 1458,5 | 30 | - | - | 226,1 | 191,5 | 166,7 | 148,2 | |
222 | 60,0 | 1552,8 | 32 | - | - | 240,7 | 203,8 | 177,5 | 157,7 | |
223 | С13 ![]() | 18,0 | 160,7 | 4 | - | - | 30,2 | 25,6 | 22,4 | 20,0 |
224 | 20,0 | 190,2 | 4 | - | - | 35,2 | 29,8 | 26,0 | 23,1 | |
225 | 22,0 | 221,5 | 5 | - | - | 37,9 | 32,2 | 28,1 | 24,9 | |
226 | 24,0 | 254,6 | 6 | - | - | 43,6 | 37,1 | 32,4 | 28,7 | |
227 | 26,0 | 289,3 | 6 | - | - | 49,0 | 41,5 | 36,2 | 32,1 | |
228 | 28,0 | 325,7 | 7 | - | - | 55,2 | 46,8 | 40,8 | 36,2 | |
229 | 30,0 | 363,7 | 8 | - | - | 61,7 | 52,3 | 45,6 | 40,4 | |
230 | 32,0 | 403,3 | 9 | - | - | 63,5 | 54,0 | 47,1 | 42,0 | |
231 | 34,0 | 444,3 | 9 | - | - | 69,4 | 58,8 | 51,3 | 45,6 | |
232 | 36,0 | 486,9 | 10 | - | - | 76,0 | 64,5 | 56,2 | 50,0 | |
233 | 38,0 | 530,8 | 11 | - | - | 82,9 | 70,3 | 61,3 | 54,5 | |
234 | 40,0 | 576,2 | 12 | - | - | 89,9 | 76,2 | 66,5 | 59,1 | |
235 | 42,0 | 623,0 | 13 | - | - | 97,2 | 82,4 | 71,8 | 63,9 | |
236 | 44,0 | 671,1 | 14 | - | - | 104,6 | 88,7 | 77,3 | 68,7 | |
237 | 46,0 | 720,5 | 15 | - | - | 112,2 | 95,1 | 82,9 | 73,7 | |
238 | 48,0 | 771,3 | 16 | - | - | 120,0 | 101,7 | 88,6 | 78,8 | |
239 | 50,0 | 823,3 | 17 | - | - | 128,0 | 108,5 | 94,5 | 84,0 | |
240 | 52,0 | 876,6 | 18 | - | - | 136,2 | 115,4 | 100,5 | 89,4 | |
241 | 54,0 | 931,1 | 19 | - | - | 144,6 | 122,4 | 106,7 | 94,8 | |
242 | 56,0 | 986,9 | 20 | - | - | 153,1 | 129,7 | 112,9 | 100,4 | |
Индекс | а | б | в | г | д | е | ||||
Швы стыковых соединений С1, С2, С3, С4, С5, С6, С7, С8, С9, С10, С11, С12, С13, С14, С15, С16, С17, С18, С19, С20, С21, С23, С24, С25, С26, С27 и С28 | Полуавтоматическая дуговая сварка в среде двуокиси углерода углеродистых и низколегированных сталей | |||||||||
Карта 1 | Лист 6 | |||||||||
Основной шов | ||||||||||
Номер позиции | Тип шва | Толщина металла, мм | Площадь сечения, мм2 | Количество проходов | Диаметр проволоки, мм | |||||
0,8 | 1,0 | 1,2 | 1,4 | 1,6 | 2,0 | |||||
Неполное штучное время на 1 м шва, мин. | ||||||||||
243 | С13 | 58,0 | 1043,8 | 21 | - | - | 161,8 | 137,0 | 119,3 | 106,0 |
244 | 60,0 | 1102,0 | 22 | - | - | 170,6 | 144,5 | 125,8 | 111,8 | |
245 | 64,0 | 1221,8 | 25 | - | - | - | 144,9 | 126,4 | 112,5 | |
246 | 68,0 | 1346,2 | 27 | - | - | - | 159,3 | 138,9 | 123,6 | |
247 | 72,0 | 1475,0 | 30 | - | - | - | 174,7 | 152,3 | 135,6 | |
248 | 76,0 | 1608,2 | 33 | - | - | - | 190,5 | 166,2 | 147,9 | |
249 | 80,0 | 1745,7 | 35 | - | - | - | 206,3 | 179,8 | 160,0 | |
250 | 84,0 | 1887,3 | 38 | - | - | - | 209,7 | 183,0 | 163,0 | |
251 | 88,0 | 2033,1 | 41 | - | - | - | 225,9 | 197,1 | 175,6 | |
252 | 92,0 | 2182,8 | 44 | - | - | - | 242,4 | 211,6 | 188,4 | |
253 | 96,0 | 2336,6 | 47 | - | - | - | 259,4 | 226,4 | 201,6 | |
254 | 100,0 | 2494,2 | 50 | - | - | - | 276,7 | 241,5 | 215,0 | |
255 | С14 ![]() | 18,0 | 133,1 | 1 | - | - | 24,9 | 21,2 | 18,5 | 16,4 |
256 | 20,0 | 158,8 | 4 | - | - | 29,9 | 25,4 | 22,2 | 19,8 | |
257 | 22,0 | 186,4 | 4 | - | - | 31,9 | 27,1 | 23,7 | 21,0 | |
258 | 24,0 | 215,8 | 5 | - | - | 37,0 | 31,5 | 27,5 | 24,4 | |
259 | 26,0 | 246,9 | 5 | - | - | 41,9 | 35,5 | 30,9 | 27,4 | |
260 | 28,0 | 279,6 | 6 | - | - | 47,5 | 40,3 | 35,1 | 31,1 | |
261 | 30,0 | 314,0 | 7 | - | - | 53,4 | 45,3 | 39,5 | 35,0 | |
262 | 32,0 | 349,9 | 7 | - | - | 54,8 | 46,4 | 40,5 | 36,1 | |
263 | 34,0 | 387,4 | 8 | - | - | 60,7 | 51,5 | 44,9 | 40,0 | |
264 | 36,0 | 426,5 | 9 | - | - | 66,8 | 56,7 | 49,5 | 44,1 | |
265 | 38,0 | 467,0 | 10 | - | - | 73,2 | 62,1 | 54,2 | 48,2 | |
266 | 40,0 | 509,1 | 11 | - | - | 79,8 | 67,7 | 59,1 | 52,6 | |
267 | 42,0 | 552,6 | 12 | - | - | 86,5 | 73,4 | 64,1 | 57,0 | |
268 | 44,0 | 597,5 | 12 | - | - | 92,9 | 78,8 | 68,6 | 61,0 | |
269 | 46,0 | 643,8 | 13 | - | - | 100,1 | 84,8 | 73,9 | 65,7 | |
270 | 48,0 | 691,5 | 14 | - | - | 107,5 | 91,1 | 79,4 | 70,6 | |
271 | 50,0 | 740,6 | 15 | - | - | 113,1 | 97,5 | 84,9 | 75,5 | |
272 | 52,0 | 791,1 | 16 | - | - | 122,9 | 104,1 | 90,7 | 80,6 | |
273 | 54,0 | 842,9 | 17 | - | - | 130,8 | 110,8 | 96,5 | 85,8 | |
274 | 56,0 | 896,0 | 18 | - | - | 139,0 | 117,7 | 102,5 | 91,1 | |
275 | 58,0 | 950,4 | 19 | - | - | 147,3 | 124,7 | 108,6 | 96,5 | |
276 | 60,0 | 1006,1 | 21 | - | - | 156,4 | 132,5 | 115,5 | 102,6 | |
277 | 64,0 | 1121,3 | 23 | - | - | - | 133,1 | 116,1 | 103,4 | |
278 | 68,0 | 1241,5 | 25 | - | - | - | 147,0 | 128,2 | 114,1 | |
279 | 72,0 | 1366,7 | 28 | - | - | - | 162,0 | 141,3 | 125,8 | |
280 | 76,0 | 1496,6 | 30 | - | - | - | 177,0 | 154,3 | 137,3 | |
281 | 80,0 | 1631,3 | 33 | - | - | - | 193,0 | 168,3 | 149,8 | |
282 | 84,0 | 1770,7 | 36 | - | - | - | 197,0 | 172,0 | 153,2 | |
283 | 88,0 | 1914,6 | 39 | - | - | - | 213,0 | 185,9 | 165,6 | |
284 | 92,0 | 2063,1 | 42 | - | - | - | 229,4 | 200,3 | 178,4 | |
285 | 96,0 | 2216,0 | 45 | - | - | - | 246,3 | 215,0 | 191,5 | |
286 | 100,0 | 2373,3 | 48 | - | - | - | 263,6 | 230,1 | 204,9 | |
287 | С15 | 8,0 | 15,0 | 1 | - | 4,2 | 3,9 | 3,4 | 3,1 | 2,8 |
288 | 9,0 | 17,2 | 1 | - | 4,7 | 4,3 | 3,7 | 3,4 | 3,1 | |
289 | 10,0 | 19,4 | 1 | - | 5,1 | 4,7 | 4,1 | 3,7 | 3,3 | |
290 | 12,0 | 25,8 | 1 | - | - | 5,6 | 4,8 | 4,3 | 3,9 | |
Индекс | а | б | в | г | д | е | ||||
Швы стыковых соединений С1, С2, С3, С4, С5, С6, С7, С8, С9, С10, С11, С12, С13, С14, С15, С16, С17, С18, С19, С20, С21, С23, С24, С25, С26, С27 и С28 | Полуавтоматическая дуговая сварка в среде двуокиси углерода углеродистых и низколегированных сталей | |||||||||
Карта 1 | Лист 7 | |||||||||
Основной шов | ||||||||||
Номер позиции | Тип шва | Толщина металла, мм | Площадь сечения, мм2 | Количество проходов | Диаметр проволоки, мм | |||||
0,8 | 1,0 | 1,2 | 1,4 | 1,6 | 2,0 | |||||
Неполное штучное время на 1 м шва, мин. | ||||||||||
291 | С15 ![]() | 14,0 | 32,7 | 1 | - | - | 6,7 | 5,8 | 5,1 | 4,7 |
292 | 16,0 | 40,2 | 1 | - | - | 8,0 | 6,9 | 6,0 | 5,4 | |
293 | 18,0 | 48,1 | 1 | - | - | 9,3 | 8,0 | 7,0 | 6,3 | |
294 | 20,0 | 56,6 | 2 | - | - | 11,4 | 9,8 | 8,6 | 7,8 | |
295 | 22,0 | 71,2 | 2 | - | - | 12,9 | 11,1 | 9,8 | 8,7 | |
296 | 24,0 | 83,5 | 2 | - | - | 14,8 | 12,7 | 11,1 | 9,9 | |
297 | 26,0 | 96,7 | 2 | - | - | 16,9 | 14,4 | 12,6 | 11,2 | |
298 | 28,0 | 110,7 | 3 | - | - | 19,6 | 16,8 | 14,7 | 13,1 | |
299 | 30,0 | 125,7 | 3 | - | - | 21,9 | 18,7 | 16,4 | 14,6 | |
300 | 32,0 | 141,4 | 3 | - | - | 22,7 | 19,4 | 17,0 | 15,2 | |
301 | 34,0 | 158,0 | 4 | - | - | 25,7 | 21,9 | 19,2 | 17,2 | |
302 | 36,0 | 175,4 | 4 | - | - | 28,2 | 24,0 | 21,0 | 18,8 | |
303 | 38,0 | 193,7 | 4 | - | - | 30,8 | 26,2 | 22,9 | 20,4 | |
304 | 40,0 | 212,8 | 5 | - | - | 34,1 | 29,0 | 25,4 | 22,7 | |
305 | 42,0 | 232,6 | 5 | - | - | 36,9 | 31,4 | 27,4 | 24,5 | |
306 | 44,0 | 253,3 | 6 | - | - | 40,4 | 34,4 | 30,1 | 26,9 | |
307 | 46,0 | 274,8 | 6 | - | - | 43,5 | 36,9 | 32,3 | 28,8 | |
308 | 48,0 | 297,0 | 6 | - | - | 46,6 | 39,6 | 34,6 | 30,8 | |
309 | 50,0 | 320,1 | 7 | - | - | 50,5 | 42,9 | 37,5 | 33,4 | |
310 | 52,0 | 343,9 | 7 | - | - | 53,9 | 45,7 | 39,9 | 35,5 | |
311 | 54,0 | 368,5 | 8 | - | - | 58,0 | 49,2 | 43,0 | 38,3 | |
312 | 56,0 | 393,9 | 8 | - | - | 61,6 | 52,3 | 45,6 | 40,6 | |
313 | 58,0 | 420,0 | 9 | - | - | 65,9 | 55,9 | 48,8 | 43,5 | |
314 | 60,0 | 446,9 | 9 | - | - | 69,7 | 59,1 | 51,5 | 45,9 | |
315 | 64,0 | 502,9 | 11 | - | - | - | 60,5 | 52,9 | 47,2 | |
316 | 68,0 | 561,9 | 12 | - | - | - | 67,4 | 58,9 | 52,5 | |
317 | 72,0 | 623,9 | 13 | - | - | - | 74,5 | 65,1 | 58,0 | |
318 | 76,0 | 688,7 | 14 | - | - | - | 82,0 | 71,6 | 63,7 | |
319 | 80,0 | 756,5 | 16 | - | - | - | 90,4 | 78,9 | 70,3 | |
320 | 84,0 | 827,2 | 17 | - | - | - | 92,6 | 80,9 | 72,1 | |
321 | 88,0 | 900,7 | 18 | - | - | - | 100,4 | 87,7 | 78,2 | |
322 | 92,0 | 977,0 | 20 | - | - | - | 109,1 | 95,3 | 85,0 | |
323 | 96,0 | 1056,2 | 22 | - | - | - | 118,1 | 103,2 | 92,0 | |
324 | 100,0 | 1138,1 | 23 | - | - | - | 126,8 | 110,7 | 98,7 | |
325 | С16 ![]() | 30,0 | 139,8 | 3 | - | - | 24,1 | 20,5 | 17,9 | 15,9 |
326 | 32,0 | 154,1 | 4 | - | - | 25,1 | 21,5 | 18,8 | 16,9 | |
327 | 34,0 | 168,9 | 4 | - | - | 27,2 | 23,2 | 20,3 | 18,2 | |
328 | 36,0 | 184,2 | 4 | - | - | 29,4 | 25,0 | 21,9 | 19,6 | |
329 | 38,0 | 199,9 | 4 | - | - | 31,6 | 26,9 | 23,5 | 21,0 | |
330 | 40,0 | 216,0 | 5 | - | - | 34,5 | 29,4 | 25,7 | 23,0 | |
331 | 42,0 | 232,5 | 5 | - | - | 36,9 | 31,4 | 27,4 | 24,5 | |
332 | 44,0 | 249,5 | 5 | - | - | 39,3 | 33,4 | 29,1 | 26,0 | |
333 | 46,0 | 266,8 | 6 | - | - | 42,3 | 36,0 | 31,5 | 28,1 | |
334 | 48,0 | 284,6 | 6 | - | - | 44,9 | 38,1 | 33,3 | 29,7 | |
335 | 50,0 | 302,7 | 7 | - | - | 48,0 | 40,8 | 35,7 | 31,9 | |
336 | 52,0 | 321,2 | 7 | - | - | 50,7 | 43,0 | 37,6 | 33,5 | |
337 | 54,0 | 340,1 | 7 | - | - | 53,4 | 45,3 | 39,5 | 35,2 | |
338 | 56,0 | 359,3 | 8 | - | - | 56,7 | 48,1 | 42,0 | 37,5 | |
339 | 58,0 | 378,9 | 8 | - | - | 59,5 | 50,5 | 44,0 | 39,2 | |
340 | 60,0 | 398,8 | 8 | - | - | 62,3 | 52,6 | 45,8 | 40,0 | |
Индекс | а | б | в | г | д | е | ||||
Швы стыковых соединений С1, С2, С3, С4, С5, С6, С7, С8, С9, С10, С11, С12, С13, С14, С15, С16, С17, С18, С19, С20, С21, С23, С24, С25, С26, С27 и С28 | Полуавтоматическая дуговая сварка в среде двуокиси углерода углеродистых и низколегированных сталей | |||||||||
Карта 1 | Лист 8 | |||||||||
Основной шов | ||||||||||
Номер позиции | Тип шва | Толщина металла, мм | Площадь сечения, мм2 | Количество проходов | Диаметр проволоки, мм | |||||
0,8 | 1,0 | 1,2 | 1,4 | 1,6 | 2,0 | |||||
Неполное штучное время на 1 м шва, мин. | ||||||||||
341 | С16 | 64,0 | 439,7 | 9 | - | - | - | 52,7 | 46,0 | 41,0 |
342 | 68,0 | 481,9 | 10 | - | - | - | 57,7 | 50,4 | 45,0 | |
343 | 72,0 | 525,4 | 11 | - | - | - | 62,9 | 55,0 | 49,0 | |
344 | 76,0 | 570,1 | 12 | - | - | - | 68,3 | 59,6 | 53,1 | |
345 | 80,0 | 616,1 | 13 | - | - | - | 73,7 | 64,4 | 57,4 | |
346 | 84,0 | 663,3 | 14 | - | - | - | 74,6 | 65,2 | 58,2 | |
347 | 88,0 | 711,6 | 15 | - | - | - | 80,0 | 69,9 | 62,4 | |
348 | 92,0 | 761,1 | 16 | - | - | - | 85,5 | 74,7 | 66,6 | |
349 | 96,0 | 811,7 | 17 | - | - | - | 91,0 | 79,6 | 71,0 | |
350 | 100,0 | 863,4 | 18 | - | - | - | 96,7 | 84,5 | 75,4 | |
351 | 110,0 | 997,2 | 20 | - | - | - | 111,1 | 97,1 | 86,5 | |
352 | 120,0 | 1137,4 | 23 | - | - | - | 126,8 | 110,7 | 98,6 | |
353 | С17 ![]() | 3,0 | 8,3 | 1 | 3,6 | 3,3 | 2,9 | 2,6 | - | - |
354 | 4,0 | 12,5 | 1 | 4,9 | 4,5 | 3,8 | 3,4 | - | - | |
355 | 5,0 | 17,0 | 1 | - | 4,6 | 4,3 | 3,7 | 3,3 | 3,1 | |
356 | 6,0 | 22,0 | 1 | - | 5,7 | 5,2 | 4,5 | 4,0 | 3,6 | |
357 | 7,0 | 27,3 | 1 | - | 6,8 | 6,2 | 5,3 | 4,7 | 4,3 | |
358 | 8,0 | 33,0 | 2 | - | 8,5 | 7,8 | 6,8 | 6,1 | 5,5 | |
359 | 9,0 | 38,9 | 2 | - | 9,7 | 8,9 | 7,7 | 6,9 | 6,2 | |
360 | 10,0 | 45,1 | 2 | - | 11,0 | 10,1 | 8,7 | 7,7 | 6,9 | |
361 | 12,0 | 66,0 | 2 | - | - | 13,0 | 11,1 | 9,8 | 8,8 | |
362 | 14,0 | 88,4 | 2 | - | - | 16,8 | 14,3 | 12,5 | 11,1 | |
363 | 16,0 | 113,7 | 3 | - | - | 21,6 | 18,4 | 16,1 | 14,4 | |
364 | 18,0 | 142,1 | 3 | - | - | 26,5 | 22,4 | 19,6 | 17,4 | |
365 | 20,0 | 173,4 | 4 | - | - | 323 | 27,4 | 23,9 | 21,3 | |
366 | 22,0 | 207,7 | 5 | - | - | 35,8 | 30,4 | 26,6 | 23,6 | |
367 | 24,0 | 244,8 | 5 | - | - | 41,5 | 35,2 | 30,7 | 27,2 | |
368 | 26,0 | 284,8 | 6 | - | - | 48,3 | 41,0 | 35,7 | 31,6 | |
369 | 28,0 | 327,6 | 7 | - | - | 55,5 | 47,1 | 41,0 | 36,3 | |
370 | 30,0 | 373,3 | 8 | - | - | 63,2 | 53,5 | 46,7 | 41,3 | |
371 | 32,0 | 421,7 | 9 | - | - | 66,3 | 56,1 | 49,0 | 43,6 | |
372 | 34,0 | 472,9 | 10 | - | - | 74,0 | 62,8 | 54,8 | 48,8 | |
373 | 36,0 | 526,9 | 11 | - | - | 82,3 | 69,8 | 60,9 | 54,2 | |
374 | 38,0 | 583,5 | 12 | - | - | 91,0 | 77,1 | 67,2 | 59,8 | |
375 | 40,0 | 643,0 | 13 | - | - | 100,0 | 84,7 | 73,8 | 65,7 | |
376 | 42,0 | 705,1 | 15 | - | - | 110,0 | 93,3 | 81,3 | 72,4 | |
377 | 44,0 | 769,9 | 16 | - | - | 119,8 | 101,6 | 88,5 | 78,7 | |
378 | 46,0 | 837,3 | 17 | - | - | 130,0 | 110,2 | 95,9 | 85,3 | |
379 | 48,0 | 907,5 | 19 | - | - | 141,2 | 119,6 | 104,2 | 92,7 | |
380 | 50,0 | 980,3 | 20 | - | - | 152,1 | 128,9 | 112,2 | 99,8 | |
381 | 52,0 | 1055,7 | 22 | - | - | 164,1 | 139,0 | 121,1 | 107,7 | |
382 | 54,0 | 1133,8 | 23 | - | - | 175,8 | 148,8 | 129,6 | 115,2 | |
383 | 56,0 | 1214,4 | 25 | - | - | 188,4 | 159,6 | 139,0 | 123,5 | |
384 | 58,0 | 1297,7 | 26 | - | - | 200,9 | 170,1 | 148,0 | 131,5 | |
385 | 60,0 | 1383,6 | 28 | - | - | 214,3 | 181,4 | 157,9 | 140,4 | |
Индекс | а | б | в | г | д | е | ||||
Швы стыковых соединений С1, С2, С3, С4, С5, С6, С7, С8, С9, С10, С11, С12, С13, С14, С15, С16, С17, С18, С19, С20, С21, С23, С24, С25, С26, С27 и С28 | Полуавтоматическая дуговая сварка в среде двуокиси углерода углеродистых и низколегированных сталей | |||||||||
Карта 1 | Лист 9 | |||||||||
Основной шов | ||||||||||
Номер позиции | Тип шва | Толщина металла, мм | Площадь сечения, мм2 | Количество проходов | Диаметр проволоки, мм | |||||
0,8 | 1,0 | 1,2 | 1,4 | 1,6 | 2,0 | |||||
Неполное штучное время на 1 м шва, мин. | ||||||||||
386 | С18 ![]() | 3,0 | 12,3 | 1 | 4,9 | 4,4 | 3,8 | 3,4 | - | - |
387 | 4,0 | 17,0 | 1 | 6,4 | 5,8 | 4,9 | 4,2 | - | - | |
388 | 5,0 | 22,1 | 1 | - | 5,7 | 5,2 | 4,5 | 4,0 | 3,7 | |
389 | 6,0 | 27,2 | 1 | - | 6,7 | 6,2 | 5,3 | 4,7 | 4,2 | |
390 | 7,0 | 32,4 | 2 | - | 8,4 | 7,7 | 6,7 | 6,0 | 5,4 | |
391 | 8,0 | 37,7 | 2 | - | 9,5 | 8,7 | 7,5 | 6,7 | 6,1 | |
392 | 9,0 | 43,1 | 2 | - | 10,6 | 9,7 | 8,4 | 7,4 | 6,7 | |
393 | 10,0 | 48,6 | 2 | - | 11,8 | 10,8 | 9,2 | 8,2 | 7,3 | |
394 | 12,0 | 73,9 | 2 | - | - | 14,3 | 12,2 | 10,7 | 9,6 | |
395 | 14,0 | 97,7 | 2 | - | - | 18,3 | 15,6 | 13,6 | 12,1 | |
396 | 16,0 | 124,4 | 3 | - | - | 23,4 | 19,9 | 17,4 | 15,5 | |
397 | 18,0 | 154,0 | 4 | - | - | 29,1 | 24,7 | 21,6 | 19,2 | |
398 | 20,0 | 186,4 | 4 | - | - | 34,5 | 29,3 | 25,5 | 22,7 | |
399 | 22,0 | 221,5 | 5 | - | - | 37,9 | 32,2 | 28,1 | 24,9 | |
400 | 24,0 | 259,3 | 6 | - | - | 44,4 | 37,7 | 32,9 | 29,2 | |
401 | 26,0 | 299,8 | 6 | - | - | 50,6 | 42,9 | 37,4 | 33,1 | |
402 | 28,0 | 342,8 | 7 | - | - | 57,9 | 49,0 | 42,7 | 37,8 | |
403 | 30,0 | 388,5 | 8 | - | - | 65,5 | 55,5 | 48,3 | 42,8 | |
404 | 32,0 | 436,6 | 9 | - | - | 68,3 | 57,9 | 50,5 | 45,0 | |
405 | 34,0 | 487,3 | 10 | - | - | 76,1 | 64,5 | 56,3 | 50,1 | |
406 | 36,0 | 540,5 | 11 | - | - | 84,2 | 71,4 | 62,2 | 55,4 | |
407 | 38,0 | 596,1 | 12 | - | - | 92,7 | 78,6 | 68,5 | 60,9 | |
408 | 40,0 | 654,1 | 14 | - | - | 102,2 | 36,6 | 75,6 | 67,2 | |
409 | 42,0 | 714,5 | 15 | - | - | 111,4 | 94,4 | 82,3 | 73,2 | |
410 | 44,0 | 777,3 | 16 | - | - | 120,9 | 102,4 | 89,3 | 79,4 | |
411 | 46,0 | 842,5 | 17 | - | - | 130,8 | 110,8 | 96,5 | 85,8 | |
412 | 48,0 | 910,0 | 19 | - | - | 141,5 | 119,9 | 104,5 | 92,9 | |
413 | 50,0 | 979,8 | 20 | - | - | 152,1 | 128,8 | 112,2 | 99,7 | |
414 | 52,0 | 1052,0 | 21 | - | - | 162,9 | 138,0 | 120,1 | 106,7 | |
415 | 54,0 | 1126,4 | 23 | - | - | 174,7 | 148,0 | 128,9 | 114,5 | |
416 | 56,0 | 1203,1 | 25 | - | - | 186,8 | 158,2 | 137,8 | 122,5 | |
417 | 58,0 | 1282,0 | 26 | - | - | 198,6 | 168,2 | 146,4 | 130,1 | |
418 | 60,0 | 1363,2 | 28 | - | - | 211,4 | 179,0 | 155,9 | 138,5 | |
419 | С19 ![]() | 3,0 | 9,6 | 1 | 4,1 | 3,7 | 3,2 | 2,9 | - | - |
420 | 4,0 | 14,0 | 1 | 5,4 | 4,9 | 4,2 | 3,7 | - | - | |
421 | 5,0 | 18,8 | 1 | - | 5,0 | 4,6 | 4,0 | 3,6 | 3,3 | |
422 | 6,0 | 23,8 | 1 | - | 6,0 | 5,5 | 4,8 | 4,2 | 3,8 | |
423 | 7,0 | 29,0 | 2 | - | 7,7 | 7,1 | 6,2 | 5,5 | 5,1 | |
424 | 8,0 | 34,5 | 2 | - | 8,8 | 8,1 | 7,0 | 6,3 | 5,7 | |
425 | 9,0 | 40,3 | 2 | - | 10,0 | 9,2 | 7,9 | 7,0 | 6,4 | |
426 | 10,0 | 46,2 | 2 | - | 11,3 | 10,3 | 8,9 | 7,8 | 7,1 | |
427 | 12,0 | 71,3 | 2 | - | - | 13,9 | 11,8 | 10,4 | 9,3 | |
428 | 14,0 | 94,9 | 2 | - | - | 17,9 | 15,2 | 13,3 | 11,8 | |
429 | 16,0 | 121,6 | 3 | - | - | 23,0 | 19,5 | 17,1 | 15,2 | |
430 | 18,0 | 151,2 | 3 | - | - | 28,0 | 23,7 | 20,7 | 18,4 | |
431 | 20,0 | 183,8 | 4 | - | - | 34,1 | 28,9 | 25,2 | 22,4 | |
432 | 22,0 | 219,3 | 5 | - | - | 37,6 | 31,9 | 27,9 | 24,7 | |
433 | 24,0 | 257,7 | 6 | - | - | 44,1 | 37,5 | 32,7 | 29,0 | |
434 | 26,0 | 298,9 | 6 | - | - | 50,5 | 42,8 | 37,3 | 33,0 | |
Индекс | а | б | в | г | д | е | ||||
Швы стыковых соединений С1, С2, С3, С4, С5, С6, С7, С8, С9, С10, С11, С12, С13, С14, С15, С16, С17, С18, С19, С20, С21, С23, С24, С25, С26, С27 и С28 | Полуавтоматическая дуговая сварка в среде двуокиси углерода углеродистых и низколегированных сталей | |||||||||
Карта 1 | Лист 10 | |||||||||
Основной шов | ||||||||||
Номер позиции | Тип шва | Толщина металла, мм | Площадь сечения, мм2 | Количество проходов | Диаметр проволоки, мм | |||||
0,8 | 1,0 | 1,2 | 1,4 | 1,6 | 2,0 | |||||
Неполное штучное время на 1 м шва, мин. | ||||||||||
435 | С19 | 28,0 | 342,9 | 7 | - | - | 57,9 | 49,1 | 42,7 | 37,8 |
436 | 30,0 | 389,7 | 8 | - | - | 65,7 | 55,7 | 48,5 | 42,9 | |
437 | 32,0 | 439,2 | 9 | - | - | 68,7 | 58,2 | 50,8 | 45,2 | |
438 | 34,0 | 491,5 | 10 | - | - | 76,7 | 65,0 | 56,7 | 50,4 | |
439 | 36,0 | 546,4 | 11 | - | - | 85,1 | 72,1 | 62,8 | 55,9 | |
440 | 38,0 | 604,0 | 13 | - | - | 94,5 | 80,1 | 69,9 | 62,2 | |
441 | 40,0 | 664,2 | 14 | - | - | 103,6 | 87,8 | 76,6 | 68,1 | |
442 | 42,0 | 727,0 | 15 | - | - | 113,2 | 95,9 | 83,6 | 74,3 | |
443 | 44,0 | 792,5 | 16 | - | - | 123,1 | 104,2 | 90,8 | 80,7 | |
444 | 46,0 | 860,5 | 18 | - | - | 133,9 | 113,5 | 98,9 | 87,9 | |
445 | 48,0 | 931,1 | 19 | - | - | 144,6 | 122,4 | 106,7 | 94,8 | |
446 | 50,0 | 1004,3 | 21 | - | - | 156,2 | 132,3 | 115,3 | 102,5 | |
447 | 52,0 | 1080,0 | 22 | - | - | 167,5 | 141,9 | 123,6 | 109,8 | |
448 | 54,0 | 1158,3 | 24 | - | - | 179,8 | 152,3 | 132,7 | 118,0 | |
449 | 56,0 | 1239,0 | 25 | - | - | 191,9 | 162,5 | 141,5 | 125,7 | |
450 | 58,0 | 1322,3 | 27 | - | - | 204,9 | 173,6 | 151,1 | 134,3 | |
451 | 60,0 | 1408,0 | 29 | - | - | 218,3 | 184,9 | 161,0 | 143,1 | |
452 | С20 ![]() | 3,0 | 11,1 | 1 | 4,5 | 4,1 | 3,5 | 3,1 | - | - |
453 | 4,0 | 15,9 | 1 | 6,0 | 5,4 | 4,6 | 4,0 | - | - | |
454 | 5,0 | 21,2 | 1 | - | 5,5 | 5,0 | 4,4 | 3,9 | 3,5 | |
455 | 6,0 | 26,7 | 1 | - | 6,6 | 6,1 | 5,2 | 4,6 | 4,2 | |
456 | 7,0 | 32,4 | 2 | - | 8,4 | 7,7 | 6,7 | 6,0 | 5,4 | |
457 | 8,0 | 38,4 | 2 | - | 9,7 | 8,8 | 7,7 | 6,8 | 6,1 | |
458 | 9,0 | 44,6 | 2 | - | 10,9 | 10,0 | 8,6 | 7,6 | 6,9 | |
459 | 10,0 | 51,0 | 2 | - | 12,3 | 11,2 | 9,6 | 8,5 | 7,6 | |
460 | 12,0 | 78,0 | 2 | - | - | 15,0 | 12,8 | 11,2 | 10,0 | |
461 | 14,0 | 103,0 | 3 | - | - | 19,8 | 16,9 | 14,8 | 13,3 | |
462 | 16,0 | 131,2 | 3 | - | - | 24,6 | 20,9 | 18,2 | 16,2 | |
463 | 18,0 | 162,3 | 4 | - | - | 30,5 | 25,9 | 22,6 | 20,1 | |
464 | 20,0 | 196,4 | 4 | - | - | 36,2 | 30,7 | 26,7 | 23,8 | |
465 | 22,0 | 233,4 | 5 | - | - | 39,8 | 33,7 | 29,4 | 26,1 | |
466 | 24,0 | 273,1 | 6 | - | - | 46,5 | 39,5 | 34,4 | 30,5 | |
467 | 26,0 | 315,7 | 7 | - | - | 53,7 | 45,5 | 39,7 | 35,2 | |
468 | 28,0 | 360,9 | 8 | - | - | 61,3 | 51,9 | 45,7 | 40,1 | |
469 | 30,0 | 408,9 | 9 | - | - | 69,3 | 58,7 | 51,2 | 45,3 | |
470 | 32,0 | 459,5 | 10 | - | - | 72,1 | 61,2 | 53,4 | 47,6 | |
471 | 34,0 | 512,7 | 11 | - | - | 80,3 | 68,1 | 59,4 | 52,9 | |
472 | 36,0 | 568,6 | 12 | - | - | 88,8 | 75,3 | 65,7 | 58,4 | |
473 | 38,0 | 626,9 | 13 | - | - | 97,7 | 82,8 | 72,2 | 64,2 | |
474 | 40,0 | 687,9 | 14 | - | - | 107,0 | 90,7 | 79,0 | 70,2 | |
475 | 42,0 | 751,3 | 15 | - | - | 116,6 | 98,8 | 86,0 | 76,5 | |
476 | 44,0 | 817,2 | 17 | - | - | 127,2 | 107,8 | 93,9 | 83,5 | |
477 | 46,0 | 885,6 | 18 | - | - | 137,5 | 116,5 | 101,5 | 90,2 | |
478 | 48,0 | 956,5 | 20 | - | - | 148,8 | 126,0 | 109,8 | 97,7 | |
479 | 50,0 | 1029,8 | 21 | - | - | 159,8 | 135,3 | 117,9 | 104,8 | |
480 | 52,0 | 1105,4 | 23 | - | - | 171,7 | 145,5 | 126,7 | 112,7 | |
481 | 54,0 | 1183,5 | 24 | - | - | 183,4 | 155,3 | 135,3 | 120,2 | |
482 | 56,0 | 1263,9 | 26 | - | - | 196,1 | 166,0 | 144,6 | 128,5 | |
483 | 58,0 | 1346,7 | 27 | - | - | 208,4 | 176,5 | 153,6 | 136,5 | |
484 | 60,0 | 1431,9 | 29 | - | - | 221,7 | 187,7 | 163,4 | 145,2 | |
Индекс | а | б | в | г | д | е | ||||
Швы стыковых соединений С1, С2, С3, С4, С5, С6, С7, С8, С9, С10, С11, С12, С13, С14, С15, С16, С17, С18, С19, С20, С21, С23, С24, С25, С26, С27 и С28 | Полуавтоматическая дуговая сварка в среде двуокиси углерода углеродистых и низколегированных сталей | |||||||||
Карта 1 | Лист 11 | |||||||||
Основной шов | ||||||||||
Номер позиции | Тип шва | Толщина металла, мм | Площадь сечения, мм2 | Количество проходов | Диаметр проволоки, мм | |||||
0,8 | 1,0 | 1,2 | 1,4 | 1,6 | 2,0 | |||||
Неполное штучное время на 1 м шва, мин. | ||||||||||
485 | С21 ![]() | 3,0 | 9,1 | 1 | 3,9 | 3,6 | 3,1 | 2,8 | - | - |
486 | 4,0 | 13,5 | 1 | 5,2 | 4,8 | 4,1 | 3,6 | - | - | |
487 | 5,0 | 18,2 | 1 | - | 4,9 | 4,5 | 3,9 | 3,5 | 3,2 | |
488 | 6,0 | 23,4 | 1 | - | 5,9 | 5,4 | 4,7 | 4,2 | 3,8 | |
489 | 7,0 | 28,8 | 2 | - | 7,7 | 7,1 | 6,1 | 5,5 | 5,0 | |
490 | 8,0 | 34,6 | 2 | - | 8,8 | 8,1 | 7,0 | 6,3 | 5,7 | |
491 | 9,0 | 40,6 | 2 | - | 10,1 | 9,3 | 8,0 | 7,1 | 6,4 | |
492 | 10,0 | 46,8 | 2 | - | 11,4 | 10,4 | 9,0 | 7,9 | 7,1 | |
493 | 12,0 | 69,0 | 2 | - | - | 13,5 | 11,5 | 10,1 | 9,1 | |
494 | 14,0 | 91,8 | 2 | - | - | 17,3 | 14,7 | 12,9 | 11,5 | |
495 | 16,0 | 117,6 | 3 | - | - | 22,3 | 19,0 | 16,6 | 14,8 | |
496 | 18,0 | 146,3 | 3 | - | - | 27,2 | 23,0 | 20,1 | 17,9 | |
497 | 20,0 | 177,9 | 4 | - | - | 33,1 | 28,1 | 24,5 | 21,8 | |
498 | 22,0 | 212,4 | 5 | - | - | 36,5 | 31,0 | 27,1 | 24,1 | |
499 | 24,0 | 249,6 | 5 | - | - | 42,3 | 35,8 | 31,2 | 27,7 | |
500 | 26,0 | 289,5 | 6 | - | - | 49,0 | 41,6 | 36,2 | 32,1 | |
501 | 28,0 | 332,2 | 7 | - | - | 56,2 | 47,7 | 41,5 | 36,8 | |
502 | 30,0 | 377,5 | 8 | - | - | 63,8 | 54,1 | 47,1 | 41,7 | |
503 | 32,0 | 425,6 | 9 | - | - | 66,7 | 56,6 | 49,4 | 44,0 | |
504 | 34,0 | 476,2 | 10 | - | - | 74,5 | 63,2 | 55,1 | 49,1 | |
505 | 36,0 | 529,5 | 11 | - | - | 82,7 | 70,1 | 61,1 | 54,4 | |
506 | 38,0 | 585,4 | 12 | - | - | 91,2 | 77,3 | 67,4 | 59,9 | |
507 | 40,0 | 643,8 | 13 | - | - | 100,1 | 84,8 | 73,9 | 65,7 | |
508 | 42,0 | 704,8 | 15 | - | - | 110,0 | 93,2 | 81,3 | 72,3 | |
509 | 44,0 | 768,3 | 16 | - | - | 119,6 | 101,4 | 88,3 | 78,6 | |
510 | 46,0 | 834,4 | 17 | - | - | 129,6 | 109,8 | 95,6 | 85,0 | |
511 | 48,0 | 902,9 | 19 | - | - | 140,5 | 119,1 | 103,8 | 92,3 | |
512 | 50,0 | 973,9 | 20 | - | - | 151,2 | 128,1 | 111,6 | 99,2 | |
513 | 52,0 | 1047,4 | 21 | - | - | 162,3 | 137,4 | 119,7 | 106,3 | |
514 | 54,0 | 1123,4 | 23 | - | - | 174,3 | 147,6 | 128,6 | 114,3 | |
515 | 56,0 | 1201,8 | 24 | - | - | 186,0 | 157,5 | 137,1 | 121,8 | |
516 | 58,0 | 1282,6 | 26 | - | - | 198,7 | 168,3 | 146,5 | 130,2 | |
517 | 60,0 | 1365,9 | 28 | - | - | 211,7 | 179,3 | 156,1 | 138,8 | |
518 | С23 ![]() | 24,0 | 417,3 | 9 | - | - | 70,6 | 59,8 | 52,1 | 46,1 |
519 | 26,0 | 469,4 | 10 | - | - | 79,2 | 67,1 | 58,5 | 51,7 | |
520 | 28,0 | 523,3 | 11 | - | - | 88,2 | 74,7 | 65,0 | 57,5 | |
521 | 30,0 | 579,2 | 12 | - | - | 97,4 | 82,4 | 71,8 | 63,5 | |
522 | 32,0 | 636,8 | 13 | - | - | 99,1 | 84,0 | 73,2 | 65,1 | |
523 | 34,0 | 696,1 | 14 | - | - | 108,2 | 91,6 | 79,8 | 71,0 | |
524 | 36,0 | 757,1 | 16 | - | - | 118,0 | 100,0 | 87,2 | 77,6 | |
525 | 38,0 | 819,7 | 17 | - | - | 127,5 | 108,1 | 94,1 | 83,7 | |
526 | 40,0 | 883,8 | 18 | - | - | 137,2 | 116,2 | 101,3 | 90,0 | |
527 | 42,0 | 949,5 | 19 | - | - | 147,2 | 124,6 | 108,5 | 96,4 | |
528 | 44,0 | 1016,6 | 21 | - | - | 157,9 | 133,8 | 116,5 | 103,6 | |
529 | 46,0 | 1085,2 | 22 | - | - | 168,3 | 142,5 | 124,1 | 110,3 | |
530 | 48,0 | 1155,3 | 24 | - | - | 179,4 | 152,0 | 132,4 | 117,7 | |
531 | 50,0 | 1226,7 | 25 | - | - | 190,2 | 161,0 | 140,2 | 124,6 | |
532 | 52,0 | 1299,4 | 26 | - | - | 201,1 | 170,3 | 148,2 | 131,7 | |
533 | 54,0 | 1373,5 | 28 | - | - | 212,8 | 180,2 | 156,9 | 139,5 | |
Индекс | а | б | в | г | д | е | ||||
Швы стыковых соединений С1, С2, С3, С4, С5, С6, С7, С8, С9, С10, С11, С12, С13, С14, С15, С16, С17, С18, С19, С20, С21, С23, С24, С25, С26, С27 и С28 | Полуавтоматическая дуговая сварка в среде двуокиси углерода углеродистых и низколегированных сталей | |||||||||
Карта 1 | Лист 12 | |||||||||
Основной шов | ||||||||||
Номер позиции | Тип шва | Толщина металла, мм | Площадь сечения, мм2 | Количество проходов | Диаметр проволоки, мм | |||||
0,8 | 1,0 | 1,2 | 1,4 | 1,6 | 2,0 | |||||
Неполное штучное время на 1 м шва, мин. | ||||||||||
534 | 56,0 | 1448,9 | 29 | - | - | 224,1 | 189,7 | 165,2 | 146,7 | |
535 | 58,0 | 1525,5 | 31 | - | - | 236,2 | 200,0 | 174,1 | 154,7 | |
536 | 60,0 | 1603,4 | 33 | - | - | 248,5 | 205,0 | 176,0 | 158,0 | |
537 | 64,0 | 1762,9 | 36 | - | - | - | 208,7 | 182,0 | 162,0 | |
538 | 68,0 | 1927,1 | 39 | - | - | - | 227,8 | 198,7 | 176,8 | |
539 | 72,0 | 2095,9 | 42 | - | - | - | 247,5 | 215,7 | 191,9 | |
540 | 76,0 | 2269,1 | 46 | - | - | - | 268,2 | 233,8 | 208,0 | |
541 | 80,0 | 2446,7 | 49 | - | - | - | 288,8 | 251,7 | 223,9 | |
542 | 84,0 | 2628,5 | 53 | - | - | - | 291,8 | 254,6 | 226,8 | |
543 | 88,0 | 2814,4 | 57 | - | - | - | 312,5 | 272,7 | 242,9 | |
544 | 92,0 | 3004,4 | 61 | - | - | - | 333,6 | 291,2 | 259,3 | |
545 | 96,0 | 3198,2 | 64 | - | - | - | 354,5 | 309,3 | 275,4 | |
546 | 100,0 | 3395,8 | 68 | - | - | - | 376,4 | 328,4 | 292,4 | |
547 | С24 ![]() | 24,0 | 279,9 | 6 | - | - | 47,5 | 40,3 | 35,2 | 31,2 |
548 | 26,0 | 318,9 | 7 | - | - | 54,2 | 45,9 | 40,1 | 35,5 | |
549 | 28,0 | 360,0 | 8 | - | - | 61,1 | 51,8 | 45,2 | 40,0 | |
550 | 30,0 | 402,9 | 9 | - | - | 68,4 | 58,0 | 50,5 | 44,7 | |
551 | 32,0 | 447,7 | 9 | - | - | 69,9 | 59,2 | 51,6 | 45,9 | |
552 | 34,0 | 494,3 | 10 | - | - | 77,1 | 65,3 | 57,0 | 50,7 | |
553 | 36,0 | 542,7 | 11 | - | - | 84,6 | 71,7 | 62,5 | 55,6 | |
554 | 38,0 | 592,8 | 12 | - | - | 92,3 | 78,2 | 68,1 | 60,6 | |
555 | 40,0 | 644,6 | 13 | - | - | 100,2 | 84,9 | 74,0 | 65,8 | |
556 | 42,0 | 698,0 | 14 | - | - | 108,4 | 91,9 | 80,0 | 71,1 | |
557 | 44,0 | 753,1 | 16 | - | - | 117,4 | 99,6 | 86,8 | 77,2 | |
558 | 46,0 | 809,8 | 17 | - | - | 126,1 | 106,9 | 93,2 | 82,8 | |
559 | 48,0 | 868,1 | 18 | - | - | 135,0 | 114,4 | 99,7 | 88,6 | |
560 | 50,0 | 927,9 | 19 | - | - | 144,1 | 122,1 | 106,3 | 94,5 | |
561 | 52,0 | 989,3 | 20 | - | - | 153,4 | 129,9 | 113,2 | 100,6 | |
562 | 54,0 | 1052,2 | 21 | - | - | 163,0 | 138,0 | 120,1 | 106,8 | |
563 | 56,0 | 1116,6 | 23 | - | - | 173,3 | 146,8 | 127,9 | 113,7 | |
564 | 58,0 | 1182,5 | 24 | - | - | 183,3 | 155,2 | 135,1 | 120,1 | |
565 | 60,0 | 1249,8 | 25 | - | - | 193,4 | 163,8 | 142,6 | 126,7 | |
566 | 64,0 | 1388,7 | 28 | - | - | - | 164,4 | 143,3 | 127,5 | |
567 | 68,0 | 1533,2 | 31 | - | - | - | 181,4 | 158,2 | 140,8 | |
568 | 72,0 | 1683,2 | 34 | - | - | - | 199,1 | 173,6 | 154,5 | |
569 | 76,0 | 1838,6 | 37 | - | - | - | 217,3 | 189,5 | 168,6 | |
570 | 80,0 | 1999,2 | 40 | - | - | - | 236,1 | 205,8 | 183,1 | |
571 | 84,0 | 2165,0 | 44 | - | - | - | 240,7 | 210,1 | 187,1 | |
572 | 88,0 | 2335,9 | 47 | - | - | - | 259,3 | 226,3 | 201,6 | |
573 | 92,0 | 2511,8 | 51 | - | - | - | 279,1 | 243,6 | 216,9 | |
574 | 96,0 | 2692,6 | 54 | - | - | - | 298,7 | 260,6 | 232,1 | |
575 | 100,0 | 2878,2 | 58 | - | - | - | 319,4 | 278,7 | 248,2 | |
576 | С25 ![]() | 6,0 | 9,2 | 1 | - | 3,0 | 2,8 | 2,5 | 2,3 | 2,1 |
577 | 7,0 | 11,3 | 1 | - | 3,4 | 3,2 | 2,8 | 2,6 | 2,4 | |
578 | 8,0 | 13,5 | 1 | - | 3,9 | 3,6 | 3,2 | 2,9 | 2,6 | |
Индекс | а | б | в | г | д | е | ||||
Швы стыковых соединений С1, С2, С3, С4, С5, С6, С7, С8, С9, С10, С11, С12, С13, С14, С15, С16, С17, С18, С19, С20, С21, С23, С24, С25, С26, С27 и С28 | Полуавтоматическая дуговая сварка в среде двуокиси углерода углеродистых и низколегированных сталей | |||||||||
Карта 1 | Лист 13 | |||||||||
Основной шов | ||||||||||
Номер позиции | Тип шва | Толщина металла, мм | Площадь сечения, мм2 | Количество проходов | Диаметр проволоки, мм | |||||
0,8 | 1,0 | 1,2 | 1,4 | 1,6 | 2,0 | |||||
Неполное штучное время на 1 м шва, мин. | ||||||||||
579 | С25 | 9,0 | 15,8 | 1 | - | 4,4 | 4,0 | 3,5 | 3,2 | 2,9 |
580 | 10,0 | 18,1 | 1 | - | 4,8 | 4,5 | 3,9 | 3,5 | 3,2 | |
581 | 12,0 | 23,1 | 1 | - | - | 5,1 | 4,4 | 4,0 | 3,6 | |
582 | 14,0 | 28,4 | 1 | - | - | 6,0 | 5,2 | 4,6 | 4,2 | |
583 | 16,0 | 36,3 | 1 | - | - | 7,3 | 6,3 | 5,6 | 5,0 | |
584 | 18,0 | 44,9 | 1 | - | - | 8,8 | 7,5 | 6,6 | 5,9 | |
585 | 20,0 | 54,3 | 2 | - | - | 11,0 | 9,4 | 8,3 | 7,5 | |
586 | 22,0 | 64,4 | 2 | - | - | 11,9 | 10,2 | 9,0 | 8,1 | |
587 | 24,0 | 75,4 | 2 | - | - | 13,6 | 11,6 | 10,2 | 9,1 | |
588 | 26,0 | 87,0 | 2 | - | - | 15,4 | 13,1 | 11,5 | 10,3 | |
589 | 28,0 | 99,5 | 2 | - | - | 17,3 | 14,7 | 12,9 | 11,5 | |
590 | 30,0 | 112,6 | 3 | - | - | 19,9 | 17,0 | 14,9 | 13,3 | |
591 | 32,0 | 126,5 | 3 | - | - | 20,6 | 17,6 | 15,5 | 13,8 | |
592 | 34,0 | 141,1 | 3 | - | - | 22,7 | 19,3 | 16,9 | 15,1 | |
593 | 36,0 | 156,4 | 4 | - | - | 25,4 | 21,7 | 19,1 | 17,1 | |
594 | 38,0 | 172,3 | 4 | - | - | 27,7 | 23,6 | 20,7 | 18,5 | |
595 | 40,0 | 189,0 | 4 | - | - | 30,1 | 25,6 | 22,4 | 20,0 | |
596 | 42,0 | 206,3 | 5 | - | - | 33,1 | 28,2 | 24,7 | 22,1 | |
597 | 44,0 | 224,4 | 5 | - | - | 35,7 | 30,4 | 26,6 | 23,7 | |
598 | 46,0 | 243,0 | 5 | - | - | 38,4 | 32,6 | 28,5 | 25,4 | |
599 | 48,0 | 262,4 | 6 | - | - | 41,7 | 35,5 | 31,0 | 27,7 | |
600 | 50,0 | 282,4 | 6 | - | - | 44,6 | 37,9 | 33,1 | 29,5 | |
601 | 52,0 | 303,0 | 7 | - | - | 48,1 | 40,9 | 35,7 | 31,9 | |
602 | 54,0 | 324,3 | 7 | - | - | 51,1 | 43,4 | 37,9 | 33,8 | |
603 | 56,0 | 346,2 | 7 | - | - | 54,2 | 46,0 | 40,1 | 35,7 | |
604 | 58,0 | 368,8 | 8 | - | - | 58,0 | 49,3 | 43,0 | 38,3 | |
605 | 60,0 | 392,0 | 8 | - | - | 61,3 | 52,0 | 45,4 | 40,4 | |
606 | 64,0 | 440,3 | 9 | - | - | - | 52,7 | 46,1 | 41,1 | |
607 | 68,0 | 491,0 | 10 | - | - | - | 58,7 | 51,3 | 45,7 | |
608 | 72,0 | 544,2 | 11 | - | - | - | 64,9 | 56,7 | 50,5 | |
609 | 76,0 | 599,8 | 12 | - | - | - | 71,4 | 62,3 | 55,5 | |
610 | 80,0 | 657,8 | 14 | - | - | - | 78,7 | 68,8 | 61,3 | |
611 | 84,0 | 718,1 | 15 | - | - | - | 80,6 | 70,5 | 62,9 | |
612 | 88,0 | 780,8 | 16 | - | - | - | 87,4 | 76,4 | 68,1 | |
613 | 92,0 | 845,8 | 17 | - | - | - | 94,4 | 82,5 | 73,5 | |
614 | 96,0 | 913,1 | 19 | - | - | - | 102,2 | 89,3 | 79,7 | |
615 | 100,0 | 982,7 | 20 | - | - | - | 109,7 | 95,8 | 85,4 | |
616 | 110,0 | 1166,5 | 24 | - | - | - | 130,2 | 113,7 | 101,4 | |
617 | 120,0 | 1364,2 | 28 | - | - | - | 152,1 | 132,8 | 118,4 | |
618 | С26 ![]() | 26,0 | 178,1 | 4 | - | - | 30,6 | 26,0 | 22,7 | 20,2 |
619 | 28,0 | 197,2 | 4 | - | - | 33,6 | 28,5 | 24,9 | 22,0 | |
620 | 30,0 | 216,8 | 5 | - | - | 37,2 | 31,6 | 27,6 | 24,5 | |
621 | 32,0 | 236,9 | 5 | - | - | 37,5 | 31,9 | 27,9 | 24,8 | |
622 | 34,0 | 257,5 | 6 | - | - | 41,0 | 34,9 | 30,5 | 27,3 | |
623 | 36,0 | 278,6 | 6 | - | - | 44,0 | 36,4 | 32,7 | 29,1 | |
624 | 38,0 | 300,1 | 6 | - | - | 47,1 | 39,9 | 34,9 | 31,0 | |
625 | 40,0 | 322,0 | 7 | - | - | 50,8 | 43,1 | 37,7 | 33,6 | |
Индекс | а | б | в | г | д | е | ||||
Швы стыковых соединений С1, С2, С3, С4, С5, С6, С7, С8, С9, С10, С11, С12, С13, С14, С15, С16, С17, С18, С19, С20, С21, С23, С24, С25, С26, С27 и С28 | Полуавтоматическая дуговая сварка в среде двуокиси углерода углеродистых и низколегированных сталей | |||||||||
Карта 1 | Лист 14 | |||||||||
Основной шов | ||||||||||
Номер позиции | Тип шва | Толщина металла, мм | Площадь сечения, мм2 | Количество проходов | Диаметр проволоки, мм | |||||
0,8 | 1,0 | 1,2 | 1,4 | 1,6 | 2,0 | |||||
Неполное штучное время на 1 м шва, мин. | ||||||||||
626 | С26 | 42,0 | 344,3 | 7 | - | - | 54,0 | 45,8 | 39,9 | 35,6 |
627 | 44,0 | 367,0 | 8 | - | - | 57,8 | 49,1 | 42,8 | 38,2 | |
628 | 46,0 | 390,1 | 8 | - | - | 61,1 | 51,8 | 45,2 | 40,2 | |
629 | 48,0 | 413,6 | 9 | - | - | 65,0 | 55,2 | 48,2 | 42,9 | |
630 | 50,0 | 437,5 | 9 | - | - | 68,4 | 58,0 | 50,6 | 45,0 | |
631 | 52,0 | 461,7 | 10 | - | - | 72,4 | 61,5 | 53,6 | 47,8 | |
632 | 54,0 | 486,3 | 10 | - | - | 75,9 | 64,4 | 56,1 | 50,0 | |
633 | 56,0 | 511,2 | 11 | - | - | 80,1 | 67,9 | 59,3 | 52,8 | |
634 | 58,0 | 536,5 | 11 | - | - | 83,7 | 70,9 | 61,8 | 55,0 | |
635 | 60,0 | 562,1 | 12 | - | - | 87,9 | 74,6 | 65,0 | 57,9 | |
636 | 64,0 | 614,2 | 13 | - | - | - | 76,8 | 66,8 | 60,0 | |
637 | 68,0 | 667,5 | 14 | - | - | - | 79,8 | 69,6 | 62,1 | |
638 | 72,0 | 722,1 | 15 | - | - | - | 86,1 | 75,2 | 67,0 | |
639 | 76,0 | 777,8 | 16 | - | - | - | 92,6 | 80,8 | 72,0 | |
640 | 80,0 | 834,6 | 17 | - | - | - | 99,2 | 86,6 | 77,1 | |
641 | 84,0 | 892,4 | 18 | - | - | - | 99,6 | 87,0 | 77,5 | |
642 | 88,0 | 951,3 | 19 | - | - | - | 106,0 | 92,6 | 82,5 | |
643 | 92,0 | 1011,3 | 21 | - | - | - | 113,1 | 98,8 | 88,1 | |
644 | 96,0 | 1072,2 | 22 | - | - | - | 119,7 | 104,6 | 93,2 | |
645 | 100,0 | 1134,0 | 23 | - | - | - | 126,4 | 110,4 | 98,4 | |
646 | 110,0 | 1292,7 | 26 | - | - | - | 143,9 | 125,6 | 111,9 | |
647 | 120,0 | 1456,9 | 30 | - | - | - | 162,5 | 141,9 | 126,4 | |
648 | С27 ![]() | 26,0 | 86,2 | 2 | - | - | 15,2 | 13,0 | 11,4 | 10,2 |
649 | 28,0 | 100,7 | 2 | - | - | 17,5 | 14,9 | 13,0 | 11,6 | |
650 | 30,0 | 116,5 | 3 | - | - | 20,5 | 17,5 | 15,3 | 13,7 | |
651 | 32,0 | 133,5 | 3 | - | - | 21,6 | 18,4 | 16,2 | 14,5 | |
652 | 34,0 | 151,7 | 3 | - | - | 24,2 | 20,6 | 18,0 | 16,1 | |
653 | 36,0 | 171,1 | 4 | - | - | 27,5 | 23,5 | 20,6 | 18,4 | |
654 | 38,0 | 191,5 | 4 | - | - | 30,5 | 25,9 | 22,7 | 20,2 | |
655 | 40,0 | 213,6 | 5 | - | - | 34,2 | 29,1 | 25,5 | 22,8 | |
656 | 42,0 | 236,8 | 5 | - | - | 37,5 | 31,9 | 27,8 | 24,8 | |
657 | 44,0 | 261,2 | 6 | - | - | 41,5 | 35,3 | 30,9 | 27,6 | |
658 | 46,0 | 286,8 | 6 | - | - | 45,2 | 38,4 | 33,5 | 29,9 | |
659 | 48,0 | 313,7 | 7 | - | - | 49,6 | 42,2 | 36,8 | 32,8 | |
660 | 50,0 | 341,9 | 7 | - | - | 53,6 | 45,5 | 39,7 | 35,3 | |
661 | 52,0 | 371,4 | 8 | - | - | 58,4 | 49,6 | 43,3 | 38,6 | |
662 | 54,0 | 402,1 | 8 | - | - | 62,8 | 53,2 | 46,4 | 41,3 | |
663 | 56,0 | 434,1 | 9 | - | - | 67,9 | 57,6 | 50,3 | 44,7 | |
664 | 58,0 | 467,5 | 10 | - | - | 73,3 | 62,2 | 54,2 | 48,3 | |
665 | 60,0 | 502,1 | 10 | - | - | 78,2 | 66,3 | 57,7 | 51,4 | |
666 | 64,0 | 575,2 | 12 | - | - | - | 68,8 | 60,1 | 53,5 | |
667 | 68,0 | 653,6 | 14 | - | - | - | 78,3 | 68,4 | 60,9 | |
668 | 72,0 | 737,3 | 15 | - | - | - | 87,7 | 76,6 | 68,2 | |
669 | 76,0 | 826,2 | 17 | - | - | - | 98,3 | 85,8 | 76,4 | |
670 | 80,0 | 920,5 | 19 | - | - | - | 109,5 | 95,5 | 85,1 | |
671 | 84,0 | 1020,2 | 21 | - | - | - | 114,0 | 99,6 | 88,8 | |
672 | 88,0 | 1125,3 | 23 | - | - | - | 125,6 | 109,7 | 97,7 | |
673 | 92,0 | 1235,7 | 25 | - | - | - | 137,7 | 120,2 | 107,1 | |
674 | 96,0 | 1351,7 | 27 | - | - | - | 150,3 | 131,2 | 116,9 | |
Индекс | а | б | в | г | д | е | ||||
Швы стыковых соединений С1, С2, С3, С4, С5, С6, С7, С8, С9, С10, С11, С12, С13, С14, С15, С16, С17, С18, С19, С20, С21, С23, С24, С25, С26, С27 и С28 | Полуавтоматическая дуговая сварка в среде двуокиси углерода углеродистых и низколегированных сталей | |||||||||
Карта 1 | Лист 15 | |||||||||
Основной шов | ||||||||||
Номер позиции | Тип шва | Толщина металла, мм | Площадь сечения, мм2 | Количество проходов | Диаметр проволоки, мм | |||||
0,8 | 1,0 | 1,2 | 1,4 | 1,6 | 2,0 | |||||
Неполное штучное время на 1 м шва, мин. | ||||||||||
675 | С27 | 100,0 | 1473,1 | 30 | - | - | - | 164,1 | 143,2 | 127,6 |
676 | 110,0 | 1800,7 | 36 | - | - | - | 200,0 | 174,5 | 155,4 | |
677 | 120,0 | 2163,1 | 44 | - | - | - | 240,5 | 209,9 | 187,0 | |
678 | С28 ![]() | 1,0 | 4,0 | 1 | 2,5 | 2,3 | 2,2 | - | - | - |
679 | 1,5 | 6,5 | 1 | 3,0 | 2,8 | 2,4 | 2,2 | - | - | |
680 | 20 | 9 2 | 1 | 3,8 | 3,5 | 3,0 | 2,7 | - | - | |
681 | 2,5 | 12,1 | 1 | 4,7 | 4,3 | 3,7 | 3,2 | - | - | |
682 | 3,0 | 15,0 | 1 | 5,6 | 5,1 | 4,3 | 3,8 | - | - | |
683 | 4,0 | 23,7 | 1 | 8,3 | 7,5 | 6,3 | 5,4 | - | - | |
684 | 5,0 | 36,2 | 2 | - | 9,0 | 8,3 | 7,2 | 6,4 | 5,7 | |
685 | 6,0 | 51,1 | 2 | - | 12,2 | 11,1 | 9,5 | 8,4 | 7,5 | |
686 | 7,0 | 68,5 | 3 | - | 16,3 | 14,9 | 12,7 | 11,2 | 10,1 | |
687 | 8,0 | 88,3 | 3 | - | 20,4 | 18,6 | 15,8 | 13,9 | 12,4 | |
688 | 9,0 | 110,4 | 4 | - | 25,6 | 23,3 | 19,8 | 17,3 | 15,5 | |
689 | 10,0 | 134,8 | 4 | - | 30,6 | 27,8 | 23,6 | 20,6 | 18,4 | |
690 | 12,0 | 190,5 | 4 | - | - | 35,0 | 29,6 | 25,7 | 22,9 | |
Индекс | а | б | в | г | д | е | ||||
С12, С13, С14, С21, С23, С24 | Полуавтоматическая дуговая сварка в среде двуокиси углерода углеродистых и низколегированных сталей | |||||||||
Карта 2 | ||||||||||
Шов с противоположной стороны | ||||||||||
Номер позиции | Тип шва | Толщина металла, мм | Площадь сечения, мм2 | Количество проходов | Диаметр проволоки, мм | |||||
0,8 | 1,0 | 1,2 | 1,4 | 1,6 | 2,0 | |||||
Неполное штучное время на 1 м шва, мин. | ||||||||||
1 | С12 ![]() | 13 - 18 | 12,1 | 1 | 4,8 | 4,0 | 3,5 | 3,2 | 2,7 | 2,5 |
2 | 20 - 60 | 15,1 | 1 | - | - | 3,6 | 3,3 | 3,0 | 2,8 | |
3 | С13 ![]() | 18 - 28 | 15,1 | 1 | - | - | 3,6 | 3,3 | 3,0 | 2,8 |
4 | 30 - 60 | 22,8 | 1 | - | - | 4,7 | 4,1 | 3,7 | 3,4 | |
5 | 64 - 100 | 27,3 | 1 | - | - | - | 4,2 | 3,8 | 3,5 | |
6 | С14 ![]() | 18 - 54 | 15,1 | 1 | - | - | 3,6 | 3,3 | 3,0 | 2,8 |
7 | 56 - 100 | 18,2 | 1 | - | - | 4,0 | 3,6 | 3,1 | 2,9 | |
8 | С21 ![]() | 3 - 10 | 9,0 | 1 | 3,9 | 3,2 | 3,0 | 2,6 | 2,3 | 2,1 |
9 | 12 - 18 | 12,1 | 1 | - | - | 3,2 | 2,9 | 2,6 | 2,5 | |
10 | 20 - 60 | 15,1 | 1 | - | - | 3,6 | 3,3 | 3,0 | 2,8 | |
11 | С23 ![]() | 24 - 52 | 15,1 | 1 | - | - | 3,6 | 3,2 | 3,3 | 2,8 |
12 | 54 - 72 | 18,2 | 1 | - | - | 4,0 | 3,6 | 3,6 | 3,4 | |
13 | 76 - 100 | 27,3 | 1 | - | - | - | 4,2 | 3,7 | 3,4 | |
14 | С24 ![]() | 24 - 52 | 15,1 | 1 | - | - | 3,6 | 3,2 | 3,3 | 2,8 |
15 | 54 - 72 | 18,2 | 1 | - | - | 4,0 | 3,5 | 3,6 | 3,0 | |
16 | 76 - 100 | 27,3 | 1 | - | - | - | 4,2 | 3,8 | 3,5 | |
Индекс | а | б | в | г | д | е | ||||
У1, У2, У4, У5, У6, У7, У8, У9, У10 | Полуавтоматическая дуговая сварка в среде двуокиси углерода углеродистых и низколегированных сталей | |||||||||
Карта 3 | Лист 1 | |||||||||
Основной шов | ||||||||||
Номер позиции | Тип шва | Толщина металла, мм | Площадь сечения, мм2 | Количество проходов | Диаметр проволоки, мм | |||||
0,8 | 1,0 | 1,2 | 1,4 | 1,6 | 2,0 | |||||
Неполное штучное время на 1 м шва, мин. | ||||||||||
1 | У1 ![]() | 0,5 | 3,1 | 1 | 2,3 | 2,1 | 2,0 | - | - | - |
2 | 0,8 | 4,0 | 1 | 2,5 | 23 | 2,2 | - | - | - | |
3 | 1,0 | 4,3 | 1 | 2,6 | 2,4 | 2,3 | - | - | - | |
4 | 1,5 | 5,0 | 1 | 2,7 | 2,6 | 2,4 | 2,1 | - | - | |
5 | 2,0 | 6,3 | 1 | 3,1 | 2,9 | 2,5 | 2,3 | - | - | |
6 | 2,5 | 7,3 | 1 | 3,4 | 3,1 | 2,8 | 2,5 | - | - | |
7 | 3,0 | 8,3 | 1 | 3,7 | 3,4 | 3,0 | 2,7 | - | - | |
8 | 4,0 | 10,3 | 1 | 4,3 | 3,9 | 3,4 | 3,0 | - | - | |
9 | У2 ![]() | 1,0 | 3,6 | 1 | 2,5 | 2,3 | 2,2 | - | - | - |
10 | 1,5 | 4,7 | 1 | 2,6 | 2,4 | 2,2 | 2,0 | - | - | |
11 | 2,0 | 10,6 | 1 | 4,4 | 4,0 | 3,4 | 3,1 | - | - | |
12 | 2,5 | 12,4 | 1 | 5,0 | 4,5 | 3,9 | 3,4 | - | - | |
13 | 3,0 | 14,0 | 1 | 5,5 | 5,0 | 4,2 | 3,7 | - | - | |
14 | 4,0 | 17,1 | 1 | 6,4 | 5,8 | 4,9 | 4,3 | - | - | |
15 | 5,0 | 36,8 | 2 | - | 9,4 | 8,7 | 7,5 | 6,7 | 6,1 | |
16 | 6,0 | 42,9 | 2 | - | 10,7 | 9,8 | 8,4 | 73 | 6,8 | |
17 | 7,0 | 48,7 | 2 | - | 11,9 | 10,9 | 9,4 | 83 | 7,5 | |
18 | 8,0 | 54,4 | 2 | - | 13,1 | 12,0 | 10,3 | 9,0 | 8,1 | |
19 | 9,0 | 60,0 | 2 | - | 14,3 | 13,0 | 11,1 | 9,8 | 8,8 | |
20 | 10,0 | 89,3 | 3 | - | 21,0 | 19,1 | 16,3 | 14,3 | 12,8 | |
21 | 12,0 | 104,9 | 3 | - | - | 20,3 | 17,3 | 153 | 13,6 | |
22 | У4 ![]() | 0,8 | 4,9 | 1 | 2,9 | 2,7 | 2,6 | - | - | - |
23 | 1,0 | 5,0 | 1 | 3,0 | 2,8 | 2,6 | - | - | - | |
24 | 1,5 | 7,5 | 1 | 3,5 | 3,2 | 2,8 | 2,5 | - | - | |
25 | 2,0 | 7,8 | 1 | 3,5 | 3,3 | 2,9 | 2,6 | - | - | |
26 | 2,5 | 8,0 | 1 | 3,6 | 3,3 | 2,9 | 2,6 | - | - | |
27 | 3,0 | 12,1 | 1 | 4,9 | 4,4 | 3,8 | 3,4 | - | - | |
28 | 4,0 | 13,0 | 1 | 5,0 | 4,6 | 3,9 | 3,5 | - | - | |
29 | 5,0 | 18,3 | 1 | - | 4,8 | 4,5 | 3,9 | 3,5 | 3,2 | |
30 | 6,0 | 21,2 | 1 | - | 5,5 | 5,1 | 4,4 | 4,0 | 3,6 | |
31 | 7,0 | 21,7 | 1 | - | 5,6 | 5,2 | 4,5 | 4,0 | 3,7 | |
32 | 8,0 | 22,2 | 1 | - | 5,7 | 5,3 | 4,6 | 4,1 | 3,7 | |
33 | У5 ![]() | 0,8 | 1,9 | 1 | 1,8 | 1,7 | 1,7 | - | - | - |
34 | 1,0 | 2,0 | 1 | 1,9 | 1,8 | 1,7 | - | - | - | |
35 | 1,5 | 3,0 | 1 | 2,0 | 1,9 | 1,8 | 1,7 | - | - | |
36 | 2,0 | 3,3 | 1 | 2,1 | 2,0 | 1,8 | 1,7 | - | - | |
37 | 2,5 | 3,5 | 1 | 2,2 | 2,1 | 1,9 | 1,8 | - | - | |
38 | 3,0 | 6,0 | 1 | 2,8 | 2,6 | 2,3 | 2,1 | - | - | |
39 | 4,0 | 6,5 | 1 | 3,0 | 2,7 | 2,4 | 2,2 | - | - | |
40 | 5,0 | 8,8 | 1 | - | 2,8 | 2,6 | 2,4 | 2,1 | 1,9 | |
41 | 6,0 | 9,8 | 1 | - | 3,2 | 3,0 | 2,6 | 2,4 | 2,3 | |
42 | 7,0 | 10,3 | 1 | - | 3,3 | 3,1 | 2,7 | 2,5 | 2,3 | |
Индекс | а | б | в | г | д | е | ||||
Швы стыковых соединений У1, У2, У4, У5, У6, У7, У8, У9, У10 | Полуавтоматическая дуговая сварка в среде двуокиси углерода углеродистых и низколегированных сталей | |||||||||
Карта 3 | Лист 2 | |||||||||
Основной шов | ||||||||||
Номер позиции | Тип шва | Толщина металла, мм | Площадь сечения, мм2 | Количество проходов | Диаметр проволоки, мм | |||||
0,8 | 1,0 | 1,2 | 1,4 | 1,6 | 2,0 | |||||
Неполное штучное время на 1 м шва, мин. | ||||||||||
43 | У5 | 8,0 | 10,8 | 1 | - | 3,4 | 3,1 | 2,8 | 2,6 | 2,4 |
44 | 9,0 | 15,9 | 1 | - | 4,4 | 4,1 | 3,6 | 3,2 | 3,0 | |
45 | 10,0 | 16,4 | 1 | - | 4,5 | 4,2 | 3,7 | 3,3 | 3,0 | |
46 | 12,0 | 17,4 | 1 | - | - | 4,2 | 3,7 | 3,3 | 3,1 | |
47 | У6 ![]() | 3,0 | 8,8 | 1 | 4,0 | 3,7 | 3,2 | 2,9 | - | - |
48 | 4,0 | 13,0 | 1 | 5,3 | 4,8 | 4,1 | 3,6 | - | - | |
49 | 5,0 | 17,6 | 1 | - | 4,9 | 4,5 | 4,0 | 3,6 | 3,3 | |
50 | 6,0 | 22,5 | 1 | - | 5,9 | 5,4 | 4,7 | 4,2 | 3,9 | |
51 | 7,0 | 27,7 | 1 | - | 7,0 | 6,4 | 5,6 | 4,9 | 4,5 | |
52 | 8,0 | 36,7 | 2 | - | 9,6 | 8,8 | 7,7 | 6,8 | 6,2 | |
53 | 9,0 | 45,7 | 2 | - | 11,4 | 10,5 | 9,1 | 8,0 | 7,3 | |
54 | 10,0 | 55,6 | 2 | - | 13,5 | 12,3 | 10,6 | 9,4 | 8,4 | |
55 | 12,0 | 78,1 | 2 | - | - | 15,3 | 13,1 | 11,5 | 10,3 | |
56 | 14,0 | 104,0 | 3 | - | - | 20,4 | 17,4 | 15,3 | 13,8 | |
57 | 16,0 | 133,3 | 3 | - | - | 25,4 | 21,6 | 18,9 | 16,9 | |
58 | 18,0 | 165,9 | 4 | - | - | 31,6 | 26,9 | 25,5 | 21,0 | |
59 | 20,0 | 201,8 | 4 | - | - | 37,7 | 32,0 | 27,9 | 24,8 | |
60 | 22,0 | 240,9 | 5 | - | - | 41,6 | 35,4 | 30,9 | 27,0 | |
61 | 24,0 | 283,1 | 6 | - | - | 48,8 | 41,5 | 36,3 | 32,2 | |
62 | 26,0 | 328,5 | 7 | - | - | 56,6 | 48,1 | 42,0 | 37,3 | |
63 | 28,0 | 377,0 | 8 | - | - | 64,8 | 55,0 | 48,1 | 42,7 | |
64 | 30,0 | 428,6 | 9 | - | - | 73,5 | 62,4 | 54,5 | 48,3 | |
65 | 32,0 | 483,2 | 10 | - | - | 76,7 | 653 | 57,1 | 50,9 | |
66 | 34,0 | 540,8 | 11 | - | - | 85,7 | 72,8 | 63,6 | 56,7 | |
67 | 36,0 | 601,4 | 12 | - | - | 95,0 | 80,7 | 70,5 | 62,9 | |
68 | 38,0 | 665,0 | 14 | - | - | 105,4 | 89,7 | 78,4 | 69,9 | |
69 | 40,0 | 731,5 | 15 | - | - | 115,6 | 98,2 | 85,8 | 76,5 | |
70 | 42,0 | 800,9 | 16 | - | - | 126,2 | 107,2 | 93,6 | 83,4 | |
71 | 44,0 | 873,2 | 18 | - | - | 137,9 | 117,2 | 102,4 | 91,3 | |
72 | 46,0 | 948,4 | 19 | - | - | 149,3 | 126,8 | 110,7 | 98,6 | |
73 | 48,0 | 1026,5 | 21 | - | - | 161,8 | 137,5 | 120,0 | 107,0 | |
74 | 50,0 | 1107,4 | 23 | - | - | 174,7 | 148,5 | 129,7 | 115,6 | |
75 | 52,0 | 1191,1 | 24 | - | - | 187,4 | 159,1 | 138,9 | 123,7 | |
76 | 54,0 | 1277,6 | 26 | - | - | 201,1 | 170,8 | 149,1 | 132,8 | |
77 | 56,0 | 1366,9 | 28 | - | - | 215,2 | 182,8 | 159,6 | 142,2 | |
78 | 58,0 | 1459,0 | 30 | - | - | 229,8 | 195,1 | 170,4 | 151,8 | |
79 | 60,0 | 1553,9 | 32 | - | - | 244,7 | 207,8 | 181,4 | 161,6 | |
80 | У7 ![]() | 3,0 | 8,4 | 1 | 3,8 | 3,5 | 3,1 | 2,8 | - | - |
81 | 4,0 | 13,0 | 1 | 5,3 | 4,8 | 4,1 | 3,6 | - | - | |
82 | 5,0 | 18,2 | 1 | - | 5,0 | 4,6 | 4,1 | 3,7 | 3,3 | |
83 | 6,0 | 23,9 | 1 | - | 6,2 | 5,7 | 5,0 | 4,4 | 4,0 | |
84 | 7,0 | 30,1 | 2 | - | 8,2 | 7,6 | 6,6 | 5,9 | 5,4 | |
85 | 8,0 | 36,7 | 2 | - | 9,6 | 8,8 | 7,7 | 6,8 | 6,2 | |
86 | 9,0 | 43,8 | 2 | - | 11,1 | 10,1 | 8,8 | 7,8 | 7,1 | |
87 | 10,0 | 56,3 | 2 | - | 13,6 | 12,5 | 10,7 | 9,5 | 8,5 | |
88 | 12,0 | 78,9 | 2 | - | - | 15,4 | 13,2 | 11,6 | 10,4 | |
89 | 14,0 | 105,0 | 3 | - | - | 20,6 | 17,6 | 15,5 | 13,9 | |
90 | 16,0 | 134,5 | 3 | - | - | 25,6 | 21,8 | 19,0 | 17,0 | |
Индекс | а | б | в | г | д | е | ||||
Швы стыковых соединений У1, У2, У4, У5, У6, У7, У8, У9, У10 | Полуавтоматическая дуговая сварка в среде двуокиси углерода углеродистых и низколегированных сталей | |||||||||
Карта 3 | Лист 3 | |||||||||
Основной шов | ||||||||||
Номер позиции | Тип шва | Толщина металла, мм | Площадь сечения, мм2 | Количество проходов | Диаметр проволоки, мм | |||||
0,8 | 1,0 | 1,2 | 1,4 | 1,6 | 2,0 | |||||
Неполное штучное время на 1 м шва, мин. | ||||||||||
91 | У7 | 18,0 | 167,4 | 4 | - | - | 31,8 | 27,1 | 23,7 | 21,2 |
92 | 20,0 | 203,5 | 5 | - | - | 38,7 | 32,9 | 28,8 | 25,7 | |
93 | 22,0 | 242,8 | 5 | - | - | 41,9 | 35,6 | 31,1 | 27,7 | |
94 | 24,0 | 285,3 | 6 | - | - | 49,2 | 41,8 | 36,5 | 32,5 | |
95 | 26,0 | 331,0 | 7 | - | - | 56,9 | 48,4 | 42,3 | 37,5 | |
96 | 28,0 | 379,8 | 8 | - | - | 65,2 | 55,4 | 48,4 | 42,9 | |
97 | 30,0 | 431,6 | 9 | - | - | 73,9 | 62,8 | 54,8 | 48,6 | |
98 | 32,0 | 486,4 | 10 | - | - | 77,2 | 65,7 | 57,4 | 51,2 | |
99 | 34,0 | 544,3 | 11 | - | - | 86,1 | 73,2 | 64,0 | 57,1 | |
100 | 36,0 | 605,2 | 13 | - | - | 96,2 | 81,8 | 71,6 | 63,9 | |
101 | 38,0 | 669,0 | 14 | - | - | 106,0 | 90,1 | 78,8 | 70,3 | |
102 | 40,0 | 735,7 | 15 | - | - | 116,2 | 98,7 | 86,3 | 76,9 | |
103 | 42,0 | 805,4 | 17 | - | - | 127,5 | 108,4 | 94,8 | 84,5 | |
104 | 44,0 | 877,9 | 18 | - | - | 138,6 | 117,7 | 102,8 | 91,7 | |
105 | 46,0 | 953,4 | 20 | - | - | 150,7 | 128,1 | 111,9 | 99,8 | |
106 | 48,0 | 1031,6 | 21 | - | - | 162,6 | 138,1 | 120,6 | 107,4 | |
107 | 50,0 | 1112,8 | 23 | - | - | 175,5 | 149,1 | 130,2 | 116,1 | |
108 | 52,0 | 1196,7 | 24 | - | - | 188,2 | 159,8 | 139,5 | 124,3 | |
109 | 54,0 | 1283,4 | 26 | - | - | 201,9 | 171,5 | 149,7 | 133,4 | |
110 | 56,0 | 1372,9 | 28 | - | - | 216,1 | 183,5 | 160,2 | 142,7 | |
111 | 58,0 | 1465,2 | 30 | - | - | 230,6 | 195,8 | 171,0 | 152,4 | |
112 | 60,0 | 1560,3 | 32 | - | - | 245,6 | 208,5 | 182,1 | 162,2 | |
113 | У8 ![]() | 6,0 | 10,3 | 1 | - | 3,4 | 3,2 | 2,8 | 2,6 | 2,4 |
114 | 7,0 | 12,5 | 1 | - | 3,8 | 3,6 | 3,2 | 2,9 | 2,7 | |
115 | 8,0 | 14,9 | 1 | - | 4,3 | 4,0 | 3,5 | 3,2 | 3,0 | |
116 | 9,6 | 17,3 | 1 | - | 4,8 | 4,5 | 3,9 | 3,5 | 3,2 | |
117 | 10,0 | 19,8 | 1 | - | 5,3 | 4,9 | 4,3 | 3,9 | 3,5 | |
118 | 12,0 | 24,9 | 1 | - | - | 5,6 | 4,9 | 4,4 | 4,0 | |
119 | 14,0 | 30,3 | 1 | - | - | 6,5 | 5,6 | 5,0 | 4,6 | |
120 | 16,0 | 36,0 | 1 | - | - | 7,4 | 6,4 | 5,7 | 5,2 | |
121 | 18,0 | 45,1 | 1 | - | - | 9,0 | 7,7 | 6,8 | 6,1 | |
122 | 20,0 | 55,0 | 2 | - | - | 11,4 | 9,8 | 8,7 | 7,9 | |
123 | 22,0 | 65,7 | 2 | - | - | 12,4 | 10,7 | 9,5 | 8,5 | |
124 | 24,0 | 77,3 | 2 | - | - | 14,2 | 12,2 | 10,7 | 9,6 | |
125 | 26,0 | 89,8 | 2 | - | - | 16,1 | 13,8 | 12,1 | 10,8 | |
126 | 28,0 | 103,2 | 3 | - | - | 18,9 | 16,2 | 14,3 | 12,8 | |
127 | 30,0 | 117,4 | 3 | - | - | 21,1 | 18,0 | 15,9 | 14,2 | |
128 | 32,0 | 132,4 | 3 | - | - | 21,9 | 18,7 | 16,5 | 14,8 | |
129 | 34,0 | 148,3 | 3 | - | - | 24,1 | 20,6 | 18,1 | 16,2 | |
130 | 36,0 | 165,1 | 4 | - | - | 27,2 | 23,3 | 20,5 | 18,4 | |
131 | 38,0 | 182,6 | 4 | - | - | 29,7 | 25,4 | 22,3 | 20,0 | |
132 | 40,0 | 201,0 | 4 | - | - | 32,3 | 27,6 | 24,2 | 21,6 | |
133 | 42,0 | 220,2 | 5 | - | - | 35,8 | 30,5 | 26,8 | 24,0 | |
134 | 44,0 | 240,3 | 5 | - | - | 38,6 | 32,9 | 28,9 | 25,8 | |
135 | 46,0 | 261,1 | 6 | - | - | 42,3 | 36,1 | 31,7 | 28,3 | |
136 | 48,0 | 282,7 | 6 | - | - | 45,4 | 38,7 | 33,9 | 30,3 | |
137 | 50,0 | 305,1 | 7 | - | - | 49,3 | 42,0 | 36,9 | 33,0 | |
138 | 52,0 | 328,4 | 7 | - | - | 52,6 | 44,8 | 39,2 | 35,0 | |
139 | 54,0 | 352,4 | 7 | - | - | 56,0 | 47,6 | 41,7 | 37,2 | |
Индекс | а | б | в | г | д | е | ||||
Швы стыковых соединений У1, У2, У4, У5, У6, У7, У8, У9, У10 | Полуавтоматическая дуговая сварка в среде двуокиси углерода углеродистых и низколегированных сталей | |||||||||
Карта 3 | Лист 4 | |||||||||
Основной шов | ||||||||||
Номер позиции | Тип шва | Толщина металла, мм | Площадь сечения, мм2 | Количество проходов | Диаметр проволоки, мм | |||||
0,8 | 1,0 | 1,2 | 1,4 | 1,6 | 2,0 | |||||
Неполное штучное время на 1 м шва, мин. | ||||||||||
140 | У8 | 56,0 | 377,2 | 8 | - | - | 60,2 | 51,3 | 44,9 | 40,1 |
141 | 58,0 | 402,8 | 9 | - | - | 64,6 | 55,0 | 48,2 | 43,1 | |
142 | 60,0 | 429,1 | 9 | - | - | 68,3 | 58,1 | 50,9 | 45,4 | |
143 | 64,0 | 484,2 | 10 | - | - | - | 59,2 | 51,9 | 46,4 | |
144 | 68,0 | 542,3 | 11 | - | - | - | 66,1 | 57,9 | 51,7 | |
145 | 72,0 | 603,5 | 13 | - | - | - | 74,0 | 64,8 | 58,0 | |
146 | 76,0 | 667,7 | 14 | - | - | - | 81,5 | 71,4 | 63,8 | |
147 | 80,0 | 734,9 | 15 | - | - | - | 89,3 | 78,2 | 69,8 | |
148 | 84,0 | 805,1 | 17 | - | - | - | 92,5 | 81,1 | 72,5 | |
149 | 88,0 | 8783 | 18 | - | - | - | 100,4 | 88,0 | 78,7 | |
150 | 92,0 | 954,5 | 20 | - | - | - | 109,3 | 95,8 | 85,7 | |
151 | 96,0 | 1033,5 | 21 | - | - | - | 117,8 | 103,2 | 92,3 | |
152 | 100,0 | 1115,5 | 23 | - | - | - | 127,4 | 111,6 | 99,8 | |
153 | У9 ![]() | 3,0 | 8,6 | 1 | 3,9 | 3,6 | 3,1 | 2,8 | - | - |
154 | 4,0 | 12,9 | 1 | 5,2 | 4,7 | 4,1 | 3,6 | - | - | |
155 | 5,0 | 17,5 | 1 | - | 4,9 | 4,5 | 4,0 | 3,6 | 3,3 | |
156 | 6,0 | 22,5 | 1 | - | 5,9 | 5,4 | 4,7 | 4,2 | 3,9 | |
157 | 7,0 | 27,8 | 1 | - | 7,0 | 6,4 | 5,6 | 4,9 | 4,5 | |
158 | 8,0 | 33,4 | 2 | - | 8,9 | 8,2 | 7,1 | 6,4 | 5,8 | |
159 | 9,0 | 40,3 | 2 | - | 10,3 | 9,5 | 8,2 | 7,3 | 6,6 | |
160 | 10,0 | 49,0 | 2 | - | 12,1 | 11,1 | 9,6 | 8,5 | 7,7 | |
161 | 12,0 | 68,7 | 2 | - | - | 13,7 | 11,8 | 10,4 | 9,3 | |
162 | 14,0 | 91,5 | 2 | - | - | 17,6 | 15,0 | 13,1 | 11,7 | |
163 | 16,0 | 117,2 | 3 | - | - | 22,6 | 19,3 | 16,9 | 15,2 | |
164 | 18,0 | 145,9 | 3 | - | - | 27,5 | 23,4 | 20,4 | 18,2 | |
165 | 20,0 | 177,4 | 4 | - | - | 33,5 | 28,5 | 24,9 | 22,3 | |
166 | 22,0 | 211,8 | 5 | - | - | 37,1 | 31,6 | 27,7 | 24,7 | |
167 | 24,0 | 248,9 | 5 | - | - | 42,8 | 36,4 | 31,8 | 28,2 | |
168 | 26,0 | 288,8 | 6 | - | - | 49,7 | 42,2 | 36,9 | 32,8 | |
169 | 28,0 | 331,4 | 7 | - | - | 57,0 | 48,4 | 42,3 | 37,6 | |
170 | 30,0 | 376,6 | 8 | - | - | 64,7 | 55,0 | 48,0 | 42,6 | |
171 | 32,0 | 424,6 | 9 | - | - | 67,7 | 57,6 | 50,4 | 45,0 | |
172 | 34,0 | 475,1 | 10 | - | - | 75,6 | 64,3 | 56,3 | 50,2 | |
173 | 36,0 | 528,3 | 11 | - | - | 83,9 | 71,3 | 62,4 | 55,6 | |
174 | 38,0 | 584,1 | 12 | - | - | 92,5 | 78,6 | 68,7 | 61,3 | |
175 | 40,0 | 642,4 | 13 | - | - | 101,5 | 86,3 | 75,4 | 67,2 | |
176 | 42,0 | 703,3 | 15 | - | - | 111,6 | 94,9 | 83,0 | 74,0 | |
177 | 44,0 | 766,7 | 16 | - | - | 121,3 | 103,1 | 90,1 | 80,4 | |
178 | 46,0 | 832,7 | 17 | - | - | 131,4 | 111,6 | 97,5 | 86,9 | |
179 | 48,0 | 901,1 | 18 | - | - | 141,9 | 120,5 | 105,2 | 93,7 | |
180 | 50,0 | 972,1 | 20 | - | - | 153,4 | 130,3 | 113,8 | 101,5 | |
181 | 52,0 | 1045,5 | 21 | - | - | 164,5 | 139,7 | 122,0 | 108,7 | |
182 | 54,0 | 1121,3 | 23 | - | - | 176,7 | 150,1 | 131,1 | 116,8 | |
183 | 56,0 | 1199,6 | 24 | - | - | 188,6 | 160,1 | 139,8 | 124,5 | |
184 | 58,0 | 1280,3 | 26 | - | - | 201,5 | 171,1 | 149,4 | 133,1 | |
185 | 60,0 | 1363,5 | 28 | - | - | 214,7 | 182,4 | 159,2 | 141,9 | |
Индекс | а | б | в | г | д | е | ||||
Швы стыковых соединений У1, У2, У4, У5, У6, У7, У8, У9, У10 | Полуавтоматическая дуговая сварка в среде двуокиси углерода углеродистых и низколегированных сталей | |||||||||
Карта 3 | Лист 5 | |||||||||
Основной шов | ||||||||||
Номер позиции | Тип шва | Толщина металла, мм | Площадь сечения, мм2 | Количество проходов | Диаметр проволоки, мм | |||||
0,8 | 1,0 | 1,2 | 1,4 | 1,6 | 2,0 | |||||
Неполное штучное время на 1 м шва, мин. | ||||||||||
186 | У10 ![]() | 3,0 | 8,4 | 1 | 3,8 | 3,5 | 3,1 | 2,8 | - | - |
187 | 4,0 | 12,8 | 1 | 5,2 | 4,7 | 4,1 | 3,6 | - | - | |
188 | 5,0 | 17,7 | 1 | - | 4,9 | 4,5 | 4,0 | 3,6 | 3,3 | |
189 | 6,0 | 23,1 | 1 | - | 6,0 | 5,6 | 4,8 | 4,3 | 3,9 | |
190 | 7,0 | 28,9 | 2 | - | 7,9 | 7,3 | 6,4 | 5,8 | 5,3 | |
191 | 8,0 | 35,1 | 2 | - | 9,2 | 8,5 | 7,4 | 6,6 | 6,0 | |
192 | 9,0 | 41,7 | 2 | - | 10,6 | 9,7 | 8,4 | 7,5 | 6,8 | |
193 | 10,0 | 48,7 | 2 | - | 12,1 | 11,1 | 9,5 | 8,4 | 7,6 | |
194 | 12,0 | 66,0 | 2 | - | - | 13,2 | 11,4 | 10,0 | 9,0 | |
195 | 14,0 | 88,3 | 2 | - | - | 17,0 | 14,5 | 12,7 | 11,4 | |
196 | 16,0 | 113,6 | 3 | - | - | 22,0 | 18,8 | 16,5 | 14,8 | |
197 | 18,0 | 141,9 | 3 | - | - | 26,8 | 22,8 | 19,9 | 17,8 | |
198 | 20,0 | 173,1 | 4 | - | - | 32,8 | 27,9 | 24,4 | 21,8 | |
199 | 22,0 | 207,2 | 5 | - | - | 36,4 | 31,0 | 27,2 | 24,2 | |
200 | 24,0 | 244,1 | 5 | - | - | 42,1 | 35,8 | 31,3 | 27,8 | |
201 | 26,0 | 283,9 | 6 | - | - | 48,9 | 41,6 | 36,4 | 32,3 | |
202 | 28,0 | 326,5 | 7 | - | - | 56,3 | 47,8 | 41,8 | 37,1 | |
203 | 30,0 | 371,9 | 8 | - | - | 64,0 | 54,4 | 47,5 | 42,2 | |
204 | 32,0 | 420,0 | 9 | - | - | 67,0 | 57,1 | 49,9 | 44,6 | |
205 | 34,0 | 470,9 | 10 | - | - | 75,0 | 63,8 | 55,8 | 49,8 | |
206 | 36,0 | 524,5 | 11 | - | - | 83,3 | 70,9 | 62,0 | 55,3 | |
207 | 38,0 | 580,8 | 12 | - | - | 92,0 | 78,3 | 68,4 | 61,0 | |
208 | 40,0 | 639,8 | 13 | - | - | 101,2 | 86,0 | 75,1 | 67,0 | |
209 | 42,0 | 701,5 | 14 | - | - | 110,6 | 94,0 | 82,1 | 73,2 | |
210 | 44,0 | 765,8 | 16 | - | - | 121,2 | 103,0 | 90,0 | 80,3 | |
211 | 46,0 | 832,8 | 17 | - | - | 131,4 | 111,7 | 97,5 | 86,9 | |
212 | 48,0 | 902,4 | 18 | - | - | 142,1 | 120,6 | 105,3 | 93,8 | |
213 | 50,0 | 974,7 | 20 | - | - | 153,8 | 130,6 | 114,1 | 101,7 | |
214 | 52,0 | 1049,5 | 21 | - | - | 165,1 | 140,2 | 122,4 | 109,0 | |
215 | 54,0 | 1126,9 | 23 | - | - | 177,5 | 150,8 | 131,7 | 117,3 | |
216 | 56,0 | 1206,9 | 25 | - | - | 190,3 | 161,7 | 141,2 | 125,9 | |
217 | 58,0 | 1289,5 | 26 | - | - | 202,8 | 172,2 | 150,3 | 133,9 | |
218 | 60,0 | 1374,7 | 28 | - | - | 216,3 | 183,7 | 160,4 | 142,9 | |
Индекс | а | б | в | г | д | е | ||||
Т6, Т7, Т8, Т9 | Полуавтоматическая дуговая сварка в среде двуокиси углерода углеродистых и низколегированных сталей | |||||||||
Карта 4 | Лист 1 | |||||||||
Основной шов | ||||||||||
Номер позиции | Тип шва | Толщина металла, мм | Площадь сечения, мм2 | Количество проходов | Диаметр проволоки, мм | |||||
0,8 | 1,0 | 1,2 | 1,4 | 1,6 | 2,0 | |||||
Неполное штучное время на 1 м шва, мин. | ||||||||||
1 | Т6 ![]() | 3,0 | 7,5 | 1 | 3,6 | 3,3 | 2,9 | 2,7 | - | - |
2 | 4,0 | 13,3 | 1 | 5,4 | 4,9 | 4,2 | 3,7 | - | - | |
3 | 5,0 | 20,6 | 1 | - | 5,6 | 5,1 | 4,5 | 4,0 | 3,7 | |
4 | 6,0 | 29,5 | 2 | - | 8,0 | 7,4 | 6,5 | 5,8 | 5,4 | |
5 | 7,0 | 39,9 | 2 | - | 10,2 | 9,4 | 8,1 | 7,2 | 6,6 | |
6 | 8,0 | 51,8 | 2 | - | 12,7 | 11,6 | 10,0 | 8,8 | 8,0 | |
7 | 9,0 | 65,3 | 2 | - | 15,5 | 14,1 | 12,1 | 10,7 | 9,5 | |
8 | 10,0 | 80,3 | 3 | - | 19,3 | 17,6 | 15,1 | 13,3 | 12,0 | |
9 | 12,0 | 114,8 | 3 | - | - | 22,2 | 18,9 | 16,6 | 14,9 | |
10 | 14,0 | 155,3 | 4 | - | - | 29,7 | 25,3 | 22,2 | 19,8 | |
11 | 16,0 | 201,8 | 4 | - | - | 37,6 | 31,9 | 27,8 | 24,7 | |
12 | 18,0 | 254,2 | 6 | - | - | 47,7 | 40,6 | 35,4 | 31,6 | |
13 | 20,0 | 312,6 | 7 | - | - | 58,3 | 49,4 | 43,1 | 38,4 | |
14 | 22,0 | 376,8 | 8 | - | - | 64,4 | 54,7 | 47,7 | 42,3 | |
15 | 24,0 | 446,8 | 9 | - | - | 75,9 | 64,4 | 56,1 | 49,7 | |
16 | 26,0 | 522,7 | 11 | - | - | 88,9 | 75,4 | 65,8 | 58,3 | |
17 | 28,0 | 604,5 | 13 | - | - | 102,9 | 87,1 | 76,1 | 67,5 | |
18 | 30,0 | 692,0 | 14 | - | - | 117,1 | 99,2 | 86,5 | 76,5 | |
19 | 32,0 | 785,3 | 16 | - | - | 123,3 | 104,6 | 91,3 | 81,3 | |
20 | 34,0 | 884,4 | 18 | - | - | 138,7 | 117,7 | 102,7 | 91,4 | |
21 | 36,0 | 989,3 | 20 | - | - | 154,9 | 131,4 | 114,6 | 102,0 | |
22 | 38,0 | 1099,9 | 22 | - | - | 172,0 | 145,8 | 127,2 | 113,2 | |
23 | 40,0 | 1216,2 | 25 | - | - | 190,5 | 161,6 | 141,0 | 125,5 | |
24 | 42,0 | 1338,2 | 27 | - | - | 209,1 | 177,4 | 154,7 | 137,6 | |
25 | 44,0 | 1466,0 | 30 | - | - | 229,3 | 194,5 | 169,6 | 151,0 | |
26 | 46,0 | 1599,4 | 32 | - | - | 249,6 | 211,6 | 184,5 | 164,1 | |
27 | 48,0 | 1738,6 | 35 | - | - | 2713 | 230,1 | 200,6 | 178,5 | |
28 | 50,0 | 1883,4 | 38 | - | - | 293,9 | 249,2 | 217,3 | 193,3 | |
29 | 52,0 | 2033,9 | 41 | - | - | 317,3 | 269,0 | 234,5 | 208,6 | |
30 | 54,0 | 2190,1 | 44 | - | - | 341,5 | 289,5 | 252,3 | 224,5 | |
31 | 56,0 | 2351,9 | 47 | - | - | 366,5 | 310,6 | 270,8 | 240,8 | |
32 | 58,0 | 2519,3 | 51 | - | - | 392,9 | 333,1 | 290,4 | 258,3 | |
33 | 60,0 | 2692,4 | 54 | - | - | 419,5 | 355,6 | 309,9 | 275,7 | |
34 | Т7 ![]() | 3,0 | 7,5 | 1 | 3,6 | 3,3 | 2,9 | 2,6 | - | - |
35 | 4,0 | 13,2 | 1 | 5,4 | 4,9 | 4,2 | 3,7 | - | - | |
36 | 5,0 | 20,5 | 1 | - | 5,5 | 5,1 | 4,5 | 4,0 | 2,0 | |
37 | 6,0 | 29,4 | 2 | - | 8,0 | 7,4 | 6,5 | 5,8 | 5,4 | |
38 | 7,0 | 39,9 | 2 | - | 10,2 | 9,4 | 8,1 | 7,2 | 6,6 | |
39 | 8,0 | 51,8 | 2 | - | 12,7 | 11,6 | 10,0 | 8,8 | 8,0 | |
40 | 9,0 | 65,4 | 2 | - | 15,5 | 14,2 | 12,1 | 10,7 | 9,6 | |
41 | 10,0 | 80,4 | 3 | - | 19,3 | 17,6 | 15,1 | 13,3 | 12,0 | |
42 | 12,0 | 115,1 | 3 | - | - | 22,2 | 19,0 | 16,6 | 14,9 | |
43 | 14,0 | 155,8 | 4 | - | - | 29,8 | 25,4 | 22,2 | 19,9 | |
44 | 16,0 | 202,6 | 5 | - | - | 38,3 | 32,6 | 28,5 | 25,5 | |
Индекс | а | б | в | г | д | е | ||||
Швы тавровых соединений Т6, Т7, Т8, Т9 | Полуавтоматическая дуговая сварка в среде двуокиси углерода углеродистых и низколегированных сталей | |||||||||
Карта 4 | Лист 2 | |||||||||
Основной шов | ||||||||||
Номер позиции | Тип шва | Толщина металла, мм | Площадь сечения, мм2 | Количество проходов | Диаметр проволоки, мм | |||||
0,8 | 1,0 | 1,2 | 1,4 | 1,6 | 2,0 | |||||
Неполное штучное время на 1 м шва, мин. | ||||||||||
45 | Т7 | 18,0 | 255,5 | 6 | - | - | 48,0 | 40,7 | 35,6 | 31,7 |
46 | 20,0 | 314,3 | 7 | - | - | 58,6 | 49,7 | 43,3 | 38,6 | |
47 | 22,0 | 379,0 | 8 | - | - | 64,8 | 55,0 | 48,0 | 42,5 | |
48 | 24,0 | 449,7 | 9 | - | - | 76,3 | 64,7 | 56,4 | 50,0 | |
49 | 26,0 | 526,4 | 11 | - | - | 89,5 | 75,9 | 66,2 | 58,7 | |
50 | 28,0 | 609,0 | 13 | - | - | 103,6 | 87,9 | 76,6 | 67,9 | |
51 | 30,0 | 697,4 | 14 | - | - | 117,9 | 99,9 | 87,1 | 77,1 | |
52 | 32,0 | 791,8 | 16 | - | - | 124,2 | 105,4 | 92,0 | 81,9 | |
53 | 34,0 | 892,0 | 18 | - | - | 139,8 | 118,6 | 103,4 | 92,1 | |
54 | 36,0 | 998,1 | 20 | - | - | 156,2 | 132,5 | 115,5 | 102,8 | |
55 | 38,0 | 1110,1 | 23 | - | - | 174,0 | 147,7 | 128,9 | 114,7 | |
56 | 40,0 | 1227,9 | 25 | - | - | 192,1 | 163,0 | 142,1 | 126,5 | |
57 | 42,0 | 1351,5 | 27 | - | - | 211,0 | 178,9 | 156,0 | 138,8 | |
58 | 44,0 | 1480,9 | 30 | - | - | 231,4 | 196,2 | 171,1 | 152,3 | |
59 | 46,0 | 1616,2 | 33 | - | - | 252,6 | 214,2 | 186,8 | 166,3 | |
60 | 48,0 | 1757,2 | 36 | - | - | 274,7 | 232,9 | 203,1 | 180,8 | |
61 | 50,0 | 1904,1 | 39 | - | - | 297,5 | 252,3 | 220,0 | 195,8 | |
62 | 52,0 | 2056,7 | 42 | - | - | 321,2 | 272,4 | 237,5 | 211,3 | |
63 | 54,0 | 2215,1 | 45 | - | - | 345,7 | 293,1 | 255,5 | 227,4 | |
64 | 56,0 | 2379,3 | 48 | - | - | 371,0 | 314,5 | 274,2 | 243,9 | |
65 | 58,0 | 2549,2 | 51 | - | - | 397,2 | 336,7 | 293,4 | 261,0 | |
66 | 60,0 | 2724,9 | 55 | - | - | 424,8 | 360,1 | 313,9 | 279,2 | |
67 | Т8 ![]() | 6,0 | 12,2 | 1 | - | 3,8 | 3,5 | 3,2 | 2,9 | 2,7 |
68 | 7,0 | 15,2 | 1 | - | 4,4 | 4,1 | 3,6 | 3,3 | 3,0 | |
69 | 8,0 | 18,3 | 1 | - | 5,1 | 4,7 | 4,1 | 3,7 | 3,4 | |
70 | 9,0 | 21,6 | 1 | - | 5,8 | 5,3 | 4,6 | 4,2 | 3,8 | |
71 | 10,0 | 28,5 | 2 | - | 7,8 | 7,2 | 6,4 | 5,7 | 5,2 | |
72 | 12,0 | 38,9 | 1 | - | - | 8,0 | 6,9 | 6,1 | 5,5 | |
73 | 14,0 | 50,7 | 1 | - | - | 10,0 | 8,6 | 7,5 | 6,8 | |
74 | 16,0 | 58,5 | 2 | - | - | 12,0 | 10,3 | 9,1 | 8,2 | |
75 | 18,0 | 73,4 | 2 | - | - | 14,5 | 12,4 | 10,9 | 9,8 | |
76 | 20,0 | 90,0 | 2 | - | - | 17,3 | 14,0 | 12,9 | 11,6 | |
77 | 22,0 | 108,1 | 3 | - | - | 19,6 | 16,8 | 14,8 | 13,2 | |
78 | 24,0 | 127,8 | 3 | - | - | 22,6 | 19,3 | 17,0 | 15,1 | |
79 | 26,0 | 149,2 | 3 | - | - | 25,9 | 22,1 | 19,3 | 17,2 | |
80 | 28,0 | 172,1 | 4 | - | - | 30,1 | 25,7 | 22,5 | 20,0 | |
81 | 30,0 | 196,5 | 4 | - | - | 33,9 | 28,8 | 25,2 | 22,4 | |
82 | 32,0 | 222,6 | 5 | - | - | 36,0 | 30,7 | 26,9 | 24,1 | |
83 | 34,0 | 250,2 | 5 | - | - | 39,9 | 34,0 | 29,7 | 26,5 | |
84 | 36,0 | 279,3 | 6 | - | - | 44,7 | 38,1 | 33,3 | 29,8 | |
85 | 38,0 | 310,0 | 7 | - | - | 49,7 | 42,4 | 37,1 | 33,2 | |
86 | 40,0 | 342,2 | 7 | - | - | 54,3 | 46,2 | 40,4 | 36,0 | |
87 | 42,0 | 375,9 | 8 | - | - | 59,8 | 50,8 | 44,5 | 39,7 | |
88 | 44,0 | 411,2 | 9 | - | - | 65,4 | 55,7 | 48,7 | 43,5 | |
89 | 46,0 | 448,0 | 9 | - | - | 70,7 | 60,0 | 52,4 | 46,7 | |
90 | 48,0 | 486,3 | 10 | - | - | 76,8 | 65,2 | 57,0 | 50,8 | |
91 | 50,0 | 526,1 | 11 | - | - | 83,1 | 70,6 | 61,7 | 55,0 | |
92 | 52,0 | 567,4 | 12 | - | - | 89,6 | 76,1 | 66,5 | 59,3 | |
93 | 54,0 | 610,2 | 13 | - | - | 96,4 | 81,9 | 71,5 | 63,8 | |
Индекс | а | б | в | г | д | е | ||||
Швы тавровых соединений Т6, Т7, Т8, Т9 | Полуавтоматическая дуговая сварка в среде двуокиси углерода углеродистых и низколегированных сталей | |||||||||
Карта 4 | Лист 3 | |||||||||
Основной шов | ||||||||||
Номер позиции | Тип шва | Толщина металла, мм | Площадь сечения, мм2 | Количество проходов | Диаметр проволоки, мм | |||||
0,8 | 1,0 | 1,2 | 1,4 | 1,6 | 2,0 | |||||
Неполное штучное время на 1 м шва, мин. | ||||||||||
94 | Т8 | 56,0 | 654,5 | 14 | - | - | 103,3 | 87,8 | 76,7 | 68,4 |
95 | 58,0 | 700,3 | 14 | - | - | 109,8 | 93,2 | 81,3 | 72,4 | |
96 | 60,0 | 747,5 | 15 | - | - | 117,2 | 99,5 | 86,8 | 77,3 | |
97 | 64,0 | 846,5 | 17 | - | - | - | 101,8 | 88,9 | 79,3 | |
98 | 68,0 | 951,4 | 19 | - | - | - | 114,2 | 99,8 | 89,0 | |
99 | 72,0 | 1062,2 | 22 | - | - | - | 127,9 | 111,8 | 99,7 | |
100 | 76,0 | 1178,9 | 24 | - | - | - | 141,5 | 123,7 | 110,3 | |
101 | 80,0 | 1301,4 | 26 | - | - | - | 155,8 | 136,1 | 121,3 | |
102 | Т9 ![]() | 12,0 | 20,9 | 1 | - | - | 4,9 | 4,4 | 3,9 | 3,6 |
103 | 14,0 | 26,1 | 1 | - | - | 5,8 | 5,1 | 4,6 | 4,2 | |
104 | 16,0 | 31,7 | 1 | - | - | 6,8 | 5,9 | 5,2 | 4,7 | |
105 | 18,0 | 37,6 | 1 | - | - | 7,8 | 6,7 | 5,9 | 5,4 | |
106 | 20,0 | 45,7 | 1 | - | - | 9,1 | 7,8 | 6,9 | 6,2 | |
107 | 22,0 | 54,4 | 2 | - | - | 10,6 | 9,2 | 8,2 | 7,4 | |
108 | 24,0 | 63,9 | 2 | - | - | 12,1 | 10,4 | 9,2 | 8,3 | |
109 | 26,0 | 74,0 | 2 | - | - | 13,6 | 11,7 | 10,4 | 9,3 | |
110 | 28,0 | 84,9 | 2 | - | - | 15,3 | 13,1 | 11,6 | 10,3 | |
111 | 30,0 | 96,4 | 2 | - | - | 17,1 | 14,6 | 12,8 | 11,5 | |
112 | 32,0 | 108,5 | 3 | - | - | 18,4 | 15,9 | 14,0 | 12,6 | |
113 | 34,0 | 121,4 | 3 | - | - | 20,3 | 17,4 | 15,3 | 13,8 | |
114 | 36,0 | 134,8 | 3 | - | - | 22,2 | 19,0 | 16,7 | 15,0 | |
115 | 38,0 | 149,0 | 3 | - | - | 24,2 | 20,7 | 18,1 | 16,2 | |
116 | 40,0 | 163,7 | 4 | - | - | 26,9 | 23,1 | 20,3 | 18,2 | |
117 | 42,0 | 179,1 | 4 | - | - | 29,1 | 24,9 | 21,8 | 19,6 | |
118 | 44,0 | 195,1 | 4 | - | - | 31,4 | 26,8 | 23,5 | 21,0 | |
119 | 46,0 | 211,8 | 5 | - | - | 34,4 | 29,4 | 25,8 | 23,1 | |
120 | 48,0 | 229,0 | 5 | - | - | 36,9 | 31,5 | 27,6 | 24,7 | |
121 | 50,0 | 246,9 | 5 | - | - | 39,4 | 33,6 | 29,4 | 26,2 | |
122 | 52,0 | 265,4 | 6 | - | - | 42,7 | 36,4 | 31,9 | 28,5 | |
123 | 54,0 | 284,5 | 6 | - | - | 45,4 | 38,7 | 33,9 | 30,2 | |
124 | 56,0 | 304,2 | 7 | - | - | 48,9 | 41,7 | 36,5 | 32,6 | |
125 | 58,0 | 324,5 | 7 | - | - | 51,8 | 44,1 | 38,6 | 34,4 | |
126 | 60,0 | 345,4 | 7 | - | - | 54,8 | 46,6 | 40,7 | 36,3 | |
127 | 64,0 | 389,0 | 8 | - | - | - | 47,4 | 41,5 | 37,1 | |
128 | 68,0 | 434,9 | 9 | - | - | - | 53,0 | 46,4 | 41,4 | |
129 | 72,0 | 483,2 | 10 | - | - | - | 58,7 | 51,4 | 45,9 | |
130 | 76,0 | 533,8 | 11 | - | - | - | 64,7 | 56,6 | 50,6 | |
131 | 80,0 | 586,6 | 12 | - | - | - | 71,0 | 62,1 | 55,4 | |
132 | 84,0 | 641,8 | 13 | - | - | - | 72,9 | 63,9 | 57,1 | |
133 | 88,0 | 699,2 | 14 | - | - | - | 79,3 | 69,4 | 62,0 | |
134 | 92,0 | 758,8 | 16 | - | - | - | 86,4 | 75,7 | 67,7 | |
135 | 96,0 | 820,6 | 17 | - | - | - | 93,2 | 81,6 | 72,9 | |
136 | 100,0 | 884,7 | 18 | - | - | - | 100,2 | 87,7 | 78,3 | |
137 | ||||||||||
Индекс | а | б | в | г | д | е | ||||
У8 | Полуавтоматическая дуговая сварка в среде двуокиси углерода углеродистых и низколегированных сталей | |||||||||
Карта 5 | ||||||||||
Шов с противоположной стороны | ||||||||||
Номер позиции | Тип шва | Толщина металла, мм | Площадь сечения, мм2 | Количество проходов | Диаметр проволоки, мм | |||||
0,8 | 1,0 | 1,2 | 1,4 | 1,6 | 2,0 | |||||
Неполное штучное время на 1 м шва, мин. | ||||||||||
1 | У8 ![]() | 6,0 | 8,9 | 1 | - | 3,1 | 2,9 | 2,6 | 2,4 | 2,3 |
2 | 7,0 | 11,0 | 1 | - | 3,5 | 3,3 | 2,9 | 2,7 | 2,5 | |
3 | 8,0 | 13,3 | 1 | - | 4,0 | 3,7 | 3,3 | 3,0 | 2,8 | |
4 | 9,0 | 15,6 | 1 | - | 4,5 | 4,2 | 3,7 | 3,3 | 3,1 | |
5 | 10,0 | 18,1 | 1 | - | 5,0 | 4,6 | 4,0 | 3,6 | 3,3 | |
6 | 12,0 | 23,3 | 1 | - | - | 5,3 | 4,6 | 4,2 | 3,8 | |
7 | 14,0 | 25,8 | 1 | - | - | 6,2 | 5,4 | 4,8 | 4,4 | |
8 | 16,0 | 34,7 | 1 | - | - | 7,2 | 6,3 | 5,6 | 5,0 | |
9 | 18,0 | 44,0 | 1 | - | - | 8,8 | 7,6 | 6,7 | 6,0 | |
10 | 20,0 | 53,7 | 2 | - | - | 11,2 | 9,6 | 8,6 | 7,7 | |
11 | 22,0 | 64,3 | 2 | - | - | 12,1 | 10,5 | 9,3 | 8,4 | |
12 | 24,0 | 75,7 | 2 | - | - | 13,9 | 12,0 | 10,6 | 9,5 | |
13 | 26,0 | 88,1 | 2 | - | - | 15,8 | 13,6 | 11,9 | 10,7 | |
14 | 28,0 | 101,3 | 2 | - | - | 17,9 | 15,3 | 13,4 | 11,9 | |
15 | 30,0 | 115,4 | 3 | - | - | 20,8 | 17,8 | 15,6 | 14,0 | |
16 | 32,0 | 130,3 | 3 | - | - | 21,6 | 18,5 | 16,3 | 14,6 | |
17 | 34,0 | 146,1 | 3 | - | - | 23,8 | 20,3 | 17,9 | 16,0 | |
18 | 36,0 | 162,8 | 4 | - | - | 26,9 | 23,0 | 20,3 | 18,2 | |
19 | 38,0 | 180,2 | 4 | - | - | 29,4 | 25,1 | 22,0 | 19,7 | |
20 | 40,0 | 198,5 | 4 | - | - | 32,0 | 27,3 | 23,9 | 21,4 | |
21 | 42,0 | 217,7 | 5 | - | - | 35,4 | 30,2 | 26,6 | 23,8 | |
22 | 44,0 | 237,6 | 5 | - | - | 38,3 | 32,6 | 28,6 | 25,6 | |
23 | 46,0 | 258,4 | 6 | - | - | 41,9 | 35,8 | 31,4 | 28,1 | |
24 | 48,0 | 280,0 | 6 | - | - | 45,0 | 38,3 | 33,6 | 30,0 | |
25 | 50,0 | 302,5 | 7 | - | - | 48,9 | 41,7 | 36,6 | 32,7 | |
26 | 52,0 | 325,7 | 7 | - | - | 52,2 | 44,5 | 38,9 | 34,8 | |
27 | 54,0 | 349,7 | 7 | - | - | 55,6 | 47,3 | 41,4 | 36,9 | |
28 | 56,0 | 374,5 | 8 | - | - | 59,9 | 51,0 | 44,6 | 39,8 | |
29 | 58,0 | 400,2 | 8 | - | - | 63,5 | 54,0 | 47,2 | 42,1 | |
30 | 60,0 | 426,6 | 9 | - | - | 68,0 | 57,8 | 50,6 | 45,2 | |
31 | 64,0 | 481,8 | 10 | - | - | - | 59,0 | 51,7 | 46,2 | |
32 | 68,0 | 540,2 | 11 | - | - | - | 65,9 | 57,7 | 51,5 | |
33 | 72,0 | 601,7 | 12 | - | - | - | 73,1 | 64,0 | 57,1 | |
34 | 76,0 | 666,3 | 14 | - | - | - | 81,3 | 71,2 | 63,7 | |
35 | 80,0 | 733,9 | 15 | - | - | - | 89,2 | 78,1 | 69,7 | |
36 | 84,0 | 804,7 | 17 | - | - | - | 92,4 | 81,0 | 72,5 | |
37 | 88,0 | 878,5 | 18 | - | - | - | 100,4 | 88,0 | 78,7 | |
38 | 92,0 | 955,3 | 20 | - | - | - | 109,4 | 95,9 | 85,8 | |
39 | 96,0 | 1035,2 | 21 | - | - | - | 118,0 | 103,4 | 92,4 | |
40 | 100,0 | 1118,0 | 23 | - | - | - | 127,6 | 111,8 | 99,9 | |
Индекс | а | б | в | г | д | е | ||||
Н1, Н2, У4, У5, У7, У10, Т1, Т3 | Полуавтоматическая дуговая сварка в среде двуокиси углерода углеродистых и низколегированных сталей | |||||||||
Карта 6 | ||||||||||
Основной шов | ||||||||||
Номер позиции | Тип шва | Катет шва, мм | Площадь сечения, мм2 | Количество проходов | Диаметр проволоки, мм | |||||
0,8 | 1,0 | 1,2 | 1,4 | 1,6 | 2,0 | |||||
Неполное штучное время на 1 м шва, мин. | ||||||||||
1 | Н1 ![]() | 1,0 | 1,4 | 1 | 1,5 | 1,5 | 1,4 | - | - | - |
2 | 1,5 | 2,7 | 1 | 1,8 | 1,7 | 1,6 | 1,5 | - | - | |
3 | 2,0 | 4,2 | 1 | 2,3 | 2,1 | 1,9 | 1,8 | - | - | |
4 | Н2 ![]() | 2,5 | 5,9 | 1 | 2,8 | 2,6 | 2,3 | 2,1 | - | - |
5 | 3,0 | 7,8 | 1 | 3,4 | 3,1 | 2,7 | 2,4 | - | - | |
6 | 4,0 | 12,1 | 1 | 4,8 | 4,3 | 3,7 | 3,3 | - | - | |
7 | У4 ![]() | 5,0 | 17,1 | 1 | - | 4,6 | 4,2 | 3,7 | 3,3 | 3,0 |
8 | 6,0 | 30,7 | 2 | - | 8,0 | 7,3 | 6,4 | 5,7 | 5,2 | |
9 | 7,0 | 40,6 | 2 | - | 10,0 | 9,2 | 7,9 | 7,0 | 6,3 | |
10 | У5 ![]() | 8,0 | 51,7 | 2 | - | 12,3 | 11,3 | 9,6 | 8,5 | 7,6 |
11 | 9,0 | 64,0 | 2 | - | 14,9 | 13,6 | 11,6 | 10,1 | 9,1 | |
12 | 10,0 | 77,5 | 3 | - | 18,3 | 6,7 | 14,2 | 12,5 | 11,2 | |
13 | У7 ![]() | 12,0 | 107,8 | 3 | - | - | 70,5 | 17,5 | 15,3 | 13,7 |
14 | 14,0 | 142,5 | 3 | - | - | 26,4 | 22,4 | 19,5 | 17,3 | |
15 | У10 ![]() | 16,0 | 181,5 | 4 | - | - | 33,6 | 28,4 | 24,8 | 22,0 |
16 | 18,0 | 224,6 | 5 | - | - | 41,5 | 35,1 | 10,6 | 22,2 | |
17 | 20,0 | 266,0 | 5 | - | - | 46,4 | 38,3 | 14,7 | 30,0 | |
18 | Т1 ![]() | 22,0 | 314,0 | 6 | - | - | 53,4 | 44,8 | 38,5 | 34,7 |
19 | Т3 ![]() | 24,0 | 364,0 | 7 | - | - | 59,9 | 49,0 | 42,9 | 38,1 |
20 | 26,0 | 418,0 | 8 | - | - | 64,4 | 52,5 | 47,5 | 41,4 | |
21 | 28,0 | 475,3 | 9 | - | - | 72,2 | 59,1 | 53,7 | 46,0 | |
22 | 30,0 | 535,4 | 10 | - | - | 77,8 | 64,3 | 57,5 | 52,6 | |
Индекс | а | б | в | г | д | е | ||||
С2, С4, С8, С10, С17, С18, С49, С50, С51, С52, С53, С54, С55 | Полуавтоматическая дуговая сварка труб в среде двуокиси углерода из углеродистых и низколегированных сталей | |||||||||
Карта 7 | Лист 1 | |||||||||
Основной шов | ||||||||||
Номер позиции | Тип шва | Толщина металла, мм | Площадь сечения, мм2 | Количество проходов | Диаметр проволоки, мм | |||||
0,8 | 1,0 | 1,2 | 1,4 | 1,6 | 2,0 | |||||
Неполное штучное время на 1 м шва, мин. | ||||||||||
1 | С2 ![]() | 2,0 | 5,8 | 1 | 3,1 | 2,9 | 2,5 | 2,3 | - | - |
2 | 2,5 | 7,2 | 1 | 3,5 | 3,3 | 2,9 | 2,6 | - | - | |
3 | 3,0 | 8,5 | 1 | 4,0 | 3,7 | 3,2 | 2,8 | - | - | |
4 | 4,0 | 11,1 | 1 | 4,9 | 4,5 | 3,8 | 3,4 | - | - | |
5 | 5,0 | 13,6 | 1 | - | 4,2 | 4,0 | 3,5 | 3,1 | 2,9 | |
6 | С4 ![]() | 2,0 | 10,6 | 1 | 4,7 | 4,3 | 3,7 | 3,3 | - | - |
7 | 2,5 | 12,0 | 1 | 5,2 | 4,7 | 4,1 | 3,6 | - | - | |
8 | 3,0 | 13,3 | 1 | 5,6 | 5,1 | 4,4 | 3,8 | - | - | |
9 | 4,0 | 15,6 | 1 | 6,4 | 5,8 | 4,9 | 4,3 | - | - | |
10 | С8 ![]() | 3,0 | 17,8 | 1 | 7,3 | 6,6 | 5,6 | 4,8 | - | - |
11 | 4,0 | 25,9 | 1 | 10,0 | 9,1 | 7,6 | 6,5 | - | - | |
12 | 5,0 | 34,6 | 2 | - | 9,8 | 8,8 | 7,8 | 7,0 | 6,3 | |
13 | 6,0 | 43,8 | 2 | - | 11,9 | 10,6 | 9,4 | 8,3 | 7,5 | |
14 | 7,0 | 53,4 | 2 | - | 14,2 | 12,6 | 11,1 | 9,8 | 8,8 | |
15 | 8,0 | 63,5 | 2 | - | 16,5 | 14,6 | 12,8 | 11,3 | 10,1 | |
16 | 9,0 | 88,6 | 3 | - | 22,9 | 20,3 | 17,8 | 15,6 | 14,0 | |
17 | 10,0 | 104,9 | 3 | - | 26,7 | 23,5 | 20,7 | 18,1 | 16,1 | |
18 | 12,0 | 140,4 | 3 | - | - | 29,0 | 24,6 | 21,5 | 19,1 | |
19 | 14,0 | 179,7 | 4 | - | - | 37,1 | 31,4 | 27,4 | 24,4 | |
20 | 16,0 | 222,6 | 5 | - | - | 45,8 | 38,8 | 33,8 | 30,1 | |
21 | 18,0 | 268,8 | 6 | - | - | 55,1 | 46,7 | 40,6 | 36,2 | |
22 | 20,0 | 318,2 | 7 | - | - | 65,1 | 55,0 | 47,9 | 42,7 | |
23 | С10 ![]() | 2,0 | 20,6 | 1 | 8,2 | 7,5 | 6,3 | 5,4 | - | - |
24 | 2,5 | 25,5 | 1 | 9,9 | 8,9 | 7,5 | 6,4 | - | - | |
25 | 3,0 | 30,4 | 2 | 12,2 | 11,1 | 9,3 | 8,1 | - | - | |
26 | 4,0 | 39,9 | 2 | 15,5 | 14,0 | 11,7 | 10,0 | - | - | |
27 | 5,0 | 49,4 | 2 | - | 14,8 | 12,4 | 11,0 | 9,2 | 8,2 | |
28 | 6,0 | 58,7 | 2 | - | 15,4 | 13,6 | 12,0 | 10,6 | 9,4 | |
29 | 7,0 | 68,0 | 3 | - | 18,2 | 16,1 | 14,3 | 12,6 | 11,3 | |
30 | 8,0 | 103,1 | 3 | - | 26,3 | 23,2 | 20,3 | 17,8 | 15,8 | |
31 | 9,0 | 123,4 | 4 | - | 31,6 | 27,9 | 24,5 | 21,5 | 19,1 | |
32 | 10,0 | 144,9 | 4 | - | 36,6 | 32,2 | 28,2 | 24,7 | 21,9 | |
33 | 12,0 | 191,3 | 4 | - | - | 39,3 | 33,2 | 28,9 | 25,8 | |
34 | 14,0 | 241,9 | 5 | - | - | 49,4 | 41,8 | 36,4 | 32,4 | |
35 | 16,0 | 296,6 | 6 | - | - | 60,4 | 51,0 | 44,3 | 39,5 | |
36 | 18,0 | 354,9 | 8 | - | - | 72,6 | 61,4 | 53,5 | 47,6 | |
37 | 20,0 | 416,7 | 9 | - | - | 84,9 | 71,8 | 62,4 | 55,5 | |
38 | С17 ![]() | 3,0 | 16,1 | 1 | 6,7 | 6,1 | 5,2 | 4,5 | - | - |
39 | 4,0 | 24,0 | 1 | 9,4 | 8,5 | 7,1 | 6,1 | - | - | |
40 | 5,0 | 32,7 | 2 | - | 9,4 | 8,4 | 7,5 | 6,7 | 6,1 | |
41 | 6,0 | 42,1 | 2 | - | 11,5 | 10,3 | 9,1 | 8,1 | 7,3 | |
42 | 7,0 | 52,1 | 2 | - | 13,9 | 12,3 | 10,9 | 9,6 | 8,6 | |
43 | 8,0 | 62,6 | 2 | - | 16,3 | 14,4 | 12,7 | 11,1 | 10,0 | |
44 | 9,0 | 87,8 | 3 | - | 22,7 | 20,1 | 17,7 | 15,5 | 13,9 | |
45 | 10,0 | 103,2 | 3 | - | 26,3 | 23,2 | 20,4 | 17,8 | 15,9 | |
46 | 12,0 | 136,7 | 3 | - | - | 28,4 | 24,0 | 21,0 | 18,7 | |
47 | 14,0 | 173,4 | 4 | - | - | 35,9 | 30,4 | 26,5 | 23,7 | |
48 | 16,0 | 213,0 | 5 | - | - | 44,0 | 37,3 | 32,5 | 29,0 | |
Индекс | а | б | в | г | д | е | ||||
Швы стыковых соединений С1, С4, С8, С10, С17, С18, С49, С50, С51, С52, С53, С54, С55 | Полуавтоматическая дуговая сварка труб в среде двуокиси углерода из углеродистых и низколегированных сталей | |||||||||
Карта 7 | Лист 2 | |||||||||
Основной шов | ||||||||||
Номер позиции | Тип шва | Толщина металла, мм | Площадь сечения, мм2 | Количество проходов | Диаметр проволоки, мм | |||||
0,8 | 1,0 | 1,2 | 1,4 | 1,6 | 2,0 | |||||
Неполное штучное время на 1 м шва, мин. | ||||||||||
49 | 18,0 | 255,3 | 6 | - | - | 52,6 | 44,5 | 38,8 | 34,6 | |
50 | 20,0 | 300,3 | 6 | - | - | 61,1 | 51,6 | 44,8 | 39,9 | |
51 | С18 ![]() | 2,0 | 17,0 | 1 | 7,0 | 6,4 | 5,4 | 4,7 | - | - |
52 | 2,5 | 21,5 | 1 | 8,6 | 7,7 | 6,5 | 5,6 | - | - | |
53 | 3,0 | 26,1 | 1 | 10,1 | 9,1 | 7,6 | 6,5 | - | - | |
54 | 4,0 | 35,3 | 2 | 13,9 | 12,6 | 10,5 | 9,1 | - | - | |
55 | 5,0 | 48,3 | 2 | - | 13,4 | 11,3 | 9,6 | 8,5 | 8,1 | |
56 | 6,0 | 54,1 | 2 | - | 14,3 | 12,7 | 11,2 | 9,9 | 8,8 | |
57 | 7,0 | 64,3 | 2 | - | 16,7 | 14,8 | 13,0 | 11,4 | 10,2 | |
58 | 8,0 | 80,8 | 3 | - | 21,1 | 18,7 | 16,5 | 14,5 | 13,0 | |
59 | 9,0 | 98,9 | 3 | - | 25,3 | 22,3 | 19,6 | 17,2 | 15,3 | |
60 | 10,0 | 118,4 | 4 | - | 30,5 | 26,9 | 23,7 | 20,7 | 18,5 | |
61 | 12,0 | 161,8 | 4 | - | - | 33,7 | 28,6 | 25,0 | 22,3 | |
62 | 14,0 | 210,7 | 5 | - | - | 43,6 | 36,9 | 32,2 | 28,7 | |
63 | 16,0 | 264,8 | 6 | - | - | 54,4 | 46,0 | 40,1 | 35,7 | |
64 | 18,0 | 323,9 | 7 | - | - | 66,2 | 55,9 | 48,7 | 43,3 | |
65 | 20,0 | 387,9 | 8 | - | - | 78,9 | 66,6 | 57,9 | 51,5 | |
66 | 22,0 | 456,6 | 10 | - | - | 85,7 | 72,7 | 63,2 | 56,0 | |
67 | 24,0 | 529,9 | 11 | - | - | 99,0 | 83,9 | 72,9 | 64,5 | |
68 | 26,0 | 607,7 | 13 | - | - | 113,6 | 96,3 | 83,7 | 74,1 | |
69 | 28,0 | 689,8 | 14 | - | - | 128,4 | 108,8 | 94,4 | 83,5 | |
70 | 30,0 | 776,2 | 16 | - | - | 144,5 | 122,4 | 106,3 | 94,0 | |
71 | 32,0 | 866,9 | 18 | - | - | 149,8 | 127,0 | 110,6 | 98,4 | |
72 | 34,0 | 961,6 | 20 | - | - | 166,1 | 140,7 | 122,6 | 109,0 | |
73 | 36,0 | 1060,4 | 22 | - | - | 183,0 | 155,0 | 135,1 | 120,1 | |
74 | 38,0 | 1163,2 | 24 | - | - | 200,6 | 169,9 | 148,0 | 131,5 | |
75 | 40,0 | 1269,9 | 26 | - | - | 218,7 | 185,2 | 161,3 | 143,3 | |
76 | С49 ![]() | 6,0 | 54,6 | 2 | - | 14,4 | 12,8 | 11,3 | 9,9 | 8,9 |
77 | 7,0 | 70,1 | 3 | - | 18,6 | 16,5 | 14,6 | 12,9 | 11,6 | |
78 | 8,0 | 87,0 | 3 | - | 22,6 | 19,9 | 17,6 | 15,4 | 13,7 | |
79 | 9,0 | 105,3 | 3 | - | 26,8 | 23,6 | 20,7 | 18,1 | 16,1 | |
80 | 10,0 | 124,9 | 4 | - | 32,0 | 28,2 | 24,8 | 21,7 | 19,3 | |
81 | 12,0 | 167,9 | 4 | - | - | 34,9 | 29,6 | 25,8 | 23,0 | |
82 | 14,0 | 215,6 | 5 | - | - | 44,5 | 37,7 | 32,8 | 29,3 | |
83 | 16,0 | 267,7 | 6 | - | - | 54,9 | 46,5 | 40,5 | 36,1 | |
84 | 18,0 | 324,0 | 7 | - | - | 66,2 | 56,0 | 48,7 | 43,3 | |
85 | 20,0 | 384,4 | 8 | - | - | 78,2 | 66,1 | 57,4 | 51,1 | |
86 | С50 ![]() | 6,0 | 85,6 | 3 | - | 22,2 | 19,7 | 17,3 | 15,2 | 13,6 |
87 | 7,0 | 103,8 | 3 | - | 26,3 | 23,3 | 20,5 | 17,9 | 15,9 | |
88 | 8,0 | 122,7 | 4 | - | 31,5 | 27,8 | 24,4 | 21,4 | 19,0 | |
89 | 9,0 | 142,3 | 4 | - | 36,0 | 31,7 | 27,8 | 24,3 | 21,6 | |
90 | 10,0 | 162,3 | 5 | - | 41,3 | 36,4 | 31,9 | 27,9 | 24,8 | |
91 | 12,0 | 204,0 | 5 | - | - | 42,3 | 35,9 | 31,3 | 27,9 | |
92 | 14,0 | 247,5 | 5 | - | - | 50,5 | 42,7 | 37,1 | 33,0 | |
93 | 16,0 | 292,6 | 6 | - | - | 59,6 | 50,4 | 43,8 | 39,0 | |
94 | 18,0 | 339,1 | 7 | - | - | 69,0 | 58,3 | 50,7 | 45,1 | |
95 | 20,0 | 387,0 | 8 | - | - | 78,7 | 66,5 | 57,8 | 51,4 | |
96 | С51 ![]() | 2,0 | 19,4 | 1 | 7,8 | 7,1 | 6,0 | 5,2 | - | - |
97 | 2,5 | 23,2 | 1 | 9,1 | 8,3 | 6,9 | 6,0 | - | - | |
98 | 3,0 | 26,9 | 1 | 10,4 | 9,4 | 7,8 | 6,7 | - | - | |
99 | 4,0 | 34,0 | 2 | 13,5 | 12,2 | 10,2 | 8,8 | - | - | |
100 | 5,0 | 40,7 | 2 | - | 12,5 | 11,0 | 8,9 | 7,9 | 7,1 | |
Индекс | а | б | в | г | д | е | ||||
Швы стыковых соединений С1, С4, С8, С10, С17, С18, С49, С50, С51, С52, С53, С54, С55 | Полуавтоматическая дуговая сварка труб в среде двуокиси углерода из углеродистых и низколегированных сталей | |||||||||
Карта 7 | Лист 3 | |||||||||
Основной шов | ||||||||||
Номер позиции | Тип шва | Толщина металла, мм | Площадь сечения, мм2 | Количество проходов | Диаметр проволоки, мм | |||||
0,8 | 1,0 | 1,2 | 1,4 | 1,6 | 2,0 | |||||
Неполное штучное время на 1 м шва, мин. | ||||||||||
101 | С51 | 6,0 | 47,2 | 2 | - | 12,7 | 11,3 | 10,0 | 8,8 | 7,9 |
102 | С52 ![]() | 7,0 | 102,5 | 3 | - | 26,2 | 23,1 | 20,3 | 17,7 | 15,8 |
103 | 8,0 | 121,9 | 4 | - | 31,3 | 27,6 | 24,3 | 21,3 | 18,9 | |
104 | 9,0 | 142,1 | 4 | - | 35,9 | 31,7 | 27,8 | 24,3 | 21,5 | |
105 | 10,0 | 163,0 | 5 | - | 41,4 | 36,5 | 32,0 | 28,0 | 24,9 | |
106 | 12,0 | 206,5 | 5 | - | - | 42,8 | 36,2 | 31,6 | 28,2 | |
107 | 14,0 | 252,3 | 5 | - | - | 51,4 | 43,4 | 37,8 | 33,6 | |
108 | 16,0 | 300,1 | 6 | - | - | 61,0 | 51,6 | 44,8 | 39,9 | |
109 | 18,0 | 349,7 | 7 | - | - | 71,0 | 60,0 | 52,1 | 46,4 | |
110 | 20,0 | 401,0 | 8 | - | - | 81,3 | 68,7 | 59,7 | 53,1 | |
111 | 22,0 | 453,9 | 10 | - | - | 85,3 | 72,3 | 62,9 | 55,7 | |
112 | 24,0 | 508,2 | 11 | - | - | 95,2 | 80,8 | 70,2 | 62,1 | |
113 | 26,0 | 563,9 | 12 | - | - | 105,5 | 89,4 | 77,7 | 68,7 | |
114 | 28,0 | 620,9 | 13 | - | - | 115,9 | 98,2 | 85,3 | 75,5 | |
115 | 30,0 | 679,1 | 14 | - | - | 126,6 | 107,2 | 93,1 | 82,3 | |
116 | 32,0 | 738,5 | 15 | - | - | 127,6 | 108,1 | 94,2 | 83,8 | |
117 | 34,0 | 799,0 | 16 | - | - | 137,8 | 116,7 | 101,7 | 90,4 | |
118 | 36,0 | 860,6 | 18 | - | - | 148,8 | 126,1 | 109,9 | 97,8 | |
119 | 38,0 | 923,2 | 19 | - | - | 159,4 | 135,0 | 117,6 | 104,6 | |
120 | 40,0 | 986,8 | 20 | - | - | 170,1 | 144,1 | 125,5 | 111,5 | |
121 | 42,0 | 1051,4 | 21 | - | - | 181,0 | 153,2 | 133,4 | 118,5 | |
122 | 44,0 | 1116,9 | 23 | - | - | 192,6 | 163,1 | 142,1 | 126,3 | |
123 | 46,0 | 1183,3 | 24 | - | - | 203,7 | 172,5 | 150,2 | 133,5 | |
124 | 48,0 | 1250,5 | 25 | - | - | 215,0 | 182,0 | 158,5 | 140,8 | |
125 | 50,0 | 1318,6 | 27 | - | - | 227,1 | 192,3 | 167,4 | 148,8 | |
126 | 52,0 | 1387,6 | 28 | - | - | 238,6 | 202,0 | 175,9 | 156,3 | |
127 | 54,0 | 1457,3 | 30 | - | - | 250,9 | 212,5 | 185,0 | 164,4 | |
128 | 56,0 | 1527,8 | 31 | - | - | 262,7 | 222,4 | 193,6 | 172,0 | |
129 | 58,0 | 1599,0 | 32 | - | - | 274,6 | 232,5 | 202,3 | 179,7 | |
130 | 60,0 | 1671,0 | 34 | - | - | 287,3 | 243,2 | 211,7 | 188,1 | |
131 | С53 ![]() | 16,0 | 296,2 | 6 | - | - | 60,3 | 51,0 | 44,3 | 39,4 |
132 | 18,0 | 346,1 | 7 | - | - | 70,3 | 59,4 | 51,6 | 45,9 | |
133 | 20,0 | 397,9 | 8 | - | - | 80,7 | 68,2 | 59,2 | 52,7 | |
134 | 22,0 | 451,3 | 9 | - | - | 84,2 | 71,3 | 62,0 | 54,8 | |
135 | 24,0 | 506,3 | 11 | - | - | 94,9 | 80,5 | 70,0 | 61,9 | |
136 | 26,0 | 562,9 | 12 | - | - | 105,3 | 89,3 | 77,6 | 68,6 | |
137 | 28,0 | 620,8 | 13 | - | - | 115,9 | 98,2 | 85,3 | 75,5 | |
138 | 30,0 | 680,1 | 14 | - | - | 126,7 | 107,4 | 93,2 | 82,4 | |
139 | 32,0 | 740,7 | 15 | - | - | 128,0 | 108,4 | 94,5 | 84,0 | |
140 | 34,0 | 802,5 | 17 | - | - | 139,0 | 117,8 | 102,7 | 91,4 | |
141 | 36,0 | 865,5 | 18 | - | - | 149,6 | 126,8 | 110,5 | 98,2 | |
142 | 38,0 | 929,6 | 19 | - | - | 160,4 | 135,9 | 118,4 | 105,2 | |
143 | 40,0 | 994,8 | 20 | - | - | 171,4 | 145,1 | 126,4 | 112,3 | |
144 | 42,0 | 1061,1 | 22 | - | - | 183,1 | 155,1 | 135,1 | 120,1 | |
145 | 44,0 | 1128,4 | 23 | - | - | 194,4 | 164,6 | 143,4 | 127,4 | |
146 | 46,0 | 1196,7 | 24 | - | - | 205,9 | 174,3 | 151,7 | 134,8 | |
147 | 48,0 | 1266,0 | 26 | - | - | 218,1 | 184,7 | 160,8 | 142,9 | |
148 | 50,0 | 1336,2 | 27 | - | - | 229,8 | 194,6 | 169,4 | 150,5 | |
Индекс | а | б | в | г | д | е | ||||
Швы стыковых соединений С2, С4, С8, С10, С17, С18, С49, С50, С51, С52, С53, С54, С55 | Полуавтоматическая дуговая сварка труб в среде двуокиси углерода из углеродистых и низколегированных сталей | |||||||||
Карта 7 | Лист 4 | |||||||||
Основной шов | ||||||||||
Номер позиции | Тип шва | Толщина металла, мм | Площадь сечения, мм2 | Количество проходов | Диаметр проволоки, мм | |||||
0,8 | 1,0 | 1,2 | 1,4 | 1,6 | 2,0 | |||||
Неполное штучное время на 1 м шва, мин. | ||||||||||
149 | 52,0 | 1407,3 | 29 | - | - | 242,4 | 205,2 | 178,7 | 158,8 | |
150 | 54,0 | 1479,3 | 30 | - | - | 254,4 | 215,4 | 187,5 | 166,6 | |
151 | 56,0 | 1552,1 | 31 | - | - | 266,6 | 225,6 | 196,4 | 174,4 | |
152 | 58,0 | 1625,9 | 33 | - | - | 279,5 | 236,6 | 206,0 | 183,0 | |
153 | 60,0 | 1700,4 | 34 | - | - | 292,0 | 247,1 | 215,1 | 191,0 | |
154 | С54 ![]() | 3,0 | 22,2 | 1 | 8,8 | 7,9 | 6,7 | 5,7 | - | - |
155 | 4,0 | 31,4 | 2 | 12,6 | 11,4 | 9,6 | 8,3 | - | - | |
156 | 5,0 | 41,1 | 2 | - | 11,8 | 10,1 | 8,9 | 7,9 | 7,2 | |
157 | 6,0 | 51,2 | 2 | - | 13,7 | 12,1 | 10,7 | 9,4 | 8,5 | |
158 | 7,0 | 61,7 | 2 | - | 16,1 | 14,2 | 12,5 | 11,0 | 9,8 | |
159 | 8,0 | 72,5 | 3 | - | 19,2 | 17,0 | 15,0 | 13,2 | 11,9 | |
160 | 9,0 | 96,5 | 3 | - | 24,8 | 21,9 | 19,2 | 16,8 | 15,0 | |
161 | 10,0 | 114,4 | 4 | - | 29,5 | 26,1 | 23,0 | 20,1 | 18,0 | |
162 | 12,0 | 153,6 | 4 | - | - | 32,2 | 27,3 | 23,9 | 21,3 | |
163 | 14,0 | 197,1 | 4 | - | - | 40,4 | 34,1 | 29,7 | 26,5 | |
164 | 16,0 | 244,6 | 5 | - | - | 46,9 | 42,2 | 36,7 | 32,7 | |
165 | 18,0 | 295,9 | 6 | - | - | 60,2 | 50,9 | 44,3 | 39,4 | |
166 | 20,0 | 350,8 | 7 | - | - | 71,2 | 60,2 | 52,3 | 46,5 | |
167 | 22,0 | 409,2 | 9 | - | - | 76,9 | 65,3 | 56,8 | 50,3 | |
168 | 24,0 | 471,0 | 10 | - | - | 88,2 | 74,8 | 65,0 | 57,5 | |
169 | 25,0 | 503,1 | 11 | - | - | 94,4 | 80,0 | 69,6 | 61,6 | |
170 | С55 ![]() | 3,0 | 23,3 | 1 | 9,1 | 8,3 | 6,9 | 6,0 | - | - |
171 | 4,0 | 33,8 | 2 | 13,4 | 12,1 | 10,2 | 8,8 | - | - | |
172 | 5,0 | 45,2 | 2 | - | 12,3 | 10,9 | 9,7 | 8,6 | 7,7 | |
173 | 6,0 | 57,4 | 2 | - | 15,1 | 13,4 | 11,8 | 10,4 | 9,3 | |
174 | 7,0 | 70,1 | 3 | - | 18,7 | 16,6 | 14,6 | 12,9 | 11,6 | |
175 | 8,0 | 83,4 | 3 | - | 21,7 | 19,2 | 16,9 | 14,9 | 13,3 | |
176 | 9,0 | 107,3 | 3 | - | 27,3 | 24,0 | 21,1 | 18,4 | 16,4 | |
177 | 10,0 | 128,3 | 4 | - | 32,8 | 28,9 | 25,4 | 22,2 | 19,8 | |
178 | 12,0 | 174,9 | 4 | - | - | 36,2 | 30,7 | 25,7 | 23,8 | |
179 | 14,0 | 227,3 | 5 | - | - | 46,7 | 39,5 | 34,4 | 30,7 | |
180 | 16,0 | 285,2 | 6 | - | - | 58,2 | 49,2 | 42,8 | 38,1 | |
181 | 18,0 | 348,4 | 7 | - | - | 70,8 | 59,8 | 51,9 | 46,2 | |
182 | 20,0 | 416,7 | 9 | - | - | 84,9 | 71,8 | 62,4 | 55,5 | |
183 | 22,0 | 490,0 | 10 | - | - | 91,5 | 77,5 | 67,3 | 59,6 | |
184 | 24,0 | 568,0 | 12 | - | - | 106,2 | 90,0 | 78,2 | 69,2 | |
185 | 25,0 | 608,8 | 13 | - | - | 113,8 | 96,5 | 83,8 | 74,2 | |
Индекс | а | б | в | г | д | е | ||||
С54 | Полуавтоматическая дуговая сварка труб в среде двуокиси углерода из углеродистых и низколегированных сталей | |||||||||
Карта 8 | ||||||||||
Шов с противоположной стороны | ||||||||||
Номер позиции | Тип шва | Толщина металла, мм | Площадь сечения, мм2 | Количество проходов | Диаметр проволоки, мм | |||||
0,8 | 1,0 | 1,2 | 1,4 | 1,6 | 2,0 | |||||
Неполное штучное время на 1 м шва, мин. | ||||||||||
1 | С54 ![]() | 3 - 25 | 4,5 | 1 | 2,7 | 2,4 | 2,2 | 2,0 | 1,9 | 1,8 |
Индекс | а | б | в | г | д | е | ||||
Швы угловых соединений У17, У19, У20 | Полуавтоматическая дуговая сварка труб в среде двуокиси углерода из углеродистых и низколегированных сталей | |||||||||
Карта 9 | Лист 1 | |||||||||
Основной шов | ||||||||||
Номер позиции | Тип шва | Толщина металла, мм | Площадь сечения, мм2 | Количество проходов | Диаметр проволоки, мм | |||||
0,8 | 1,0 | 1,2 | 1,4 | 1,6 | 2,0 | |||||
Неполное штучное время на 1 м шва, мин. | ||||||||||
1 | У17 ![]() | 2,0 | 8,5 | 1 | 4,1 | 3,8 | 3,3 | 3,0 | - | - |
2 | 2,5 | 12,0 | 1 | 5,3 | 4,9 | 4,2 | 3,7 | - | - | |
3 | 3,0 | 15,9 | 1 | 6,7 | 6,1 | 5,2 | 4,5 | - | - | |
4 | 4,0 | 24,9 | 1 | 9,8 | 8,8 | 7,4 | 6,4 | - | - | |
5 | 5,0 | 35,2 | 2 | - | 10,1 | 9,0 | 8,0 | 7,2 | 6,5 | |
6 | 6,0 | 46,8 | 2 | - | 12,7 | 11,3 | 10,1 | 8,9 | 8,0 | |
7 | 7,0 | 59,4 | 2 | - | 15,7 | 13,9 | 12,3 | 10,8 | 9,6 | |
8 | 8,0 | 73,1 | 3 | - | 19,5 | 17,3 | 15,3 | 13,5 | 12,1 | |
9 | 9,0 | 87,8 | 3 | - | 22,9 | 20,3 | 17,9 | 15,7 | 14,0 | |
10 | 10,0 | 103,4 | 3 | - | 26,5 | 23,4 | 20,6 | 18,0 | 16,1 | |
11 | 12,0 | 137,2 | 3 | - | - | 28,6 | 24,3 | 21,2 | 18,9 | |
12 | 14,0 | 174,2 | 4 | - | - | 36,3 | 30,8 | 26,9 | 24,0 | |
13 | 16,0 | 214,3 | 5 | - | - | 44,5 | 37,8 | 33,0 | 29,4 | |
14 | 18,0 | 257,3 | 6 | - | - | 53,3 | 45,2 | 39,4 | 35,2 | |
15 | 20,0 | 303,0 | 7 | - | - | 62,7 | 53,1 | 46,3 | 41,3 | |
16 | 22,0 | 390,9 | 8 | - | - | 73,6 | 62,5 | 54,4 | 48,2 | |
17 | 24,0 | 457,8 | 10 | - | - | 86,6 | 73,5 | 64,0 | 56,7 | |
18 | 25,0 | 493,1 | 10 | - | - | 92,6 | 78,6 | 68,3 | 60,5 | |
Индекс | а | б | в | г | д | е | ||||
У17, У19, У20 | Полуавтоматическая дуговая сварка труб в среде двуокиси углерода из углеродистых и низколегированных сталей | |||||||||
Карта 9 | Лист 2 | |||||||||
Основной шов | ||||||||||
Номер позиции | Тип шва | Толщина металла, мм | Площадь сечения, мм2 | Количество проходов | Диаметр проволоки, мм | |||||
0,8 | 1,0 | 1,2 | 1,4 | 1,6 | 2,0 | |||||
Неполное штучное время на 1 м шва, мин. | ||||||||||
19 | У19 ![]() | 4,0 | 48,3 | 2 | 18,7 | 16,9 | 14,1 | 12,1 | - | - |
20 | 5,0 | 63,8 | 2 | - | 16,9 | 15,0 | 13,2 | 11,6 | 10,4 | |
21 | 6,0 | 80,1 | 3 | - | 21,4 | 19,0 | 16,8 | 14,8 | 13,3 | |
22 | 7,0 | 97,0 | 3 | - | 25,3 | 22,4 | 19,8 | 17,4 | 15,5 | |
23 | 8,0 | 114,6 | 4 | - | 30,2 | 26,7 | 23,6 | 20,7 | 18,6 | |
24 | 9,0 | 132,6 | 4 | - | 34,4 | 30,4 | 26,7 | 23,4 | 20,9 | |
25 | 10,0 | 151,2 | 5 | - | 39,4 | 34,9 | 30,7 | 27,0 | 24,1 | |
26 | 12,0 | 236,9 | 5 | - | - | 49,2 | 41,8 | 36,4 | 32,5 | |
27 | 14,0 | 297,2 | 6 | - | - | 61,4 | 52,0 | 45,3 | 40,4 | |
28 | 16,0 | 361,8 | 8 | - | - | 75,1 | 63,7 | 55,5 | 49,6 | |
29 | 18,0 | 430,3 | 9 | - | - | 88,8 | 75,2 | 65,5 | 58,4 | |
30 | 20,0 | 502,5 | 11 | - | - | 103,9 | 88,1 | 76,8 | 68,5 | |
31 | 22,0 | 578,2 | 12 | - | - | 109,6 | 93,2 | 81,2 | 72,0 | |
32 | 24,0 | 657,2 | 14 | - | - | 124,8 | 106,1 | 92,4 | 82,0 | |
33 | 25,0 | 697,9 | 14 | - | - | 131,8 | 111,9 | 97,4 | 86,3 | |
34 | У20 ![]() | 4,0 | 52,4 | 2 | 20,1 | 18,1 | 15,1 | 12,9 | - | - |
35 | 5,0 | 61,1 | 2 | - | 16,3 | 14,4 | 12,7 | 11,2 | 10,1 | |
36 | 6,0 | 117,1 | 4 | - | 30,8 | 27,2 | 24,0 | 21,1 | 18,9 | |
37 | 7,0 | 149,2 | 5 | - | 39,0 | 34,5 | 30,4 | 26,7 | 23,8 | |
38 | 8,0 | 184,1 | 5 | - | 47,0 | 41,5 | 36,4 | 31,9 | 28,4 | |
39 | 9,0 | 232,6 | 7 | - | 59,8 | 52,8 | 46,4 | 40,6 | 36,2 | |
40 | 10,0 | 270,9 | 8 | - | 69,4 | 61,3 | 53,8 | 47,1 | 42,0 | |
41 | 12,0 | 352,9 | 8 | - | - | 73,4 | 62,3 | 54,3 | 48,5 | |
42 | 14,0 | 441,2 | 9 | - | - | 90,8 | 76,9 | 67,0 | 59,7 | |
43 | 16,0 | 535,4 | 11 | - | - | 110,1 | 93,2 | 81,2 | 72,4 | |
44 | 18,0 | 635,0 | 13 | - | - | 130,4 | 110,4 | 96,1 | 85,7 | |
45 | 20,0 | 739,8 | 15 | - | - | 151,7 | 128,4 | 111,7 | 99,6 | |
Индекс | а | б | в | г | д | е | ||||
Н1, Н3, Н4, У5, У7, У8, У15, У16, У17, У18 | Полуавтоматическая дуговая сварка труб в среде двуокиси углерода из углеродистых и низколегированных сталей | |||||||||
Карта 10 | Лист 1 | |||||||||
Основной шов | ||||||||||
Номер позиции | Тип шва | Катет шва, мм | Площадь сечения, мм2 | Количество проходов | Диаметр проволоки, мм | |||||
0,8 | 1,0 | 1,2 | 1,4 | 1,6 | 2,0 | |||||
Неполное штучное время на 1 м шва, мин. | ||||||||||
1 | Н1 ![]() | 2,0 | 4,5 | 1 | 2,7 | 2,5 | 2,2 | 2,0 | - | - |
2 | 2,5 | 6,6 | 1 | 3,4 | 3,1 | 2,8 | 2,5 | - | - | |
3 | 3,0 | 9,1 | 1 | 4,2 | 3,9 | 3,3 | 3,0 | - | - | |
4 | Н3 ![]() | 4,0 | 14,8 | 1 | 6,2 | 5,6 | 4,8 | 4,2 | - | - |
5 | 5,0 | 21,6 | 1 | - | 6,1 | 5,4 | 4,9 | 4,3 | 3,9 | |
6 | 6,0 | 29,4 | 2 | - | 8,5 | 7,6 | 6,8 | 6,1 | 5,5 | |
7 | Н4 ![]() | 7,0 | 38,1 | 2 | - | 10,5 | 9,4 | 8,4 | 7,4 | 6,7 |
8 | 8,0 | 47,8, | 2 | - | 12,8 | 11,4 | 10,0 | 8,8 | 7,9 | |
9 | У5 ![]() | 9,0 | 58,4 | 2 | - | 15,5 | 13,5 | 11,9 | 10,4 | 9,3 |
10 | У7 ![]() | 10,0 | 69,8 | 3 | - | 18,5 | 16,4 | 14,5 | 12,7 | 11,4 |
11 | 12,0 | 95,0 | 2 | - | - | 19,8 | 16,8 | 14,6 | 13,1 | |
12 | 14,0 | 123,3 | 3 | - | - | 25,7 | 21,8 | 19,1 | 17,0 | |
13 | У8 ![]() | 16,0 | 154,6 | 4 | - | - | 32,2 | 27,4 | 23,9 | 21,3 |
14 | 18,0 | 188,7 | 4 | - | - | 38,7 | 32,7 | 28,5 | 25,4 | |
15 | У15 ![]() | 20,0 | 225,5 | 5 | - | - | 46,2 | 39,1 | 34,0 | 30,3 |
16 | 22,0 | 287,6 | 6 | - | - | 53,9 | 45,7 | 39,7 | 35,2 | |
17 | У16 ![]() | 24,0 | 337,9 | 7 | - | - | 63,2 | 53,5 | 46,5 | 41,2 |
Индекс | а | б | в | г | д | е | ||||
Швы нахлесточных и угловых соединений Н1, Н3, Н4, У5, У7, У8, У15, У16, У17, У18 | Полуавтоматическая дуговая сварка труб в среде двуокиси углерода из углеродистых низколегированных сталей | |||||||||
Карта 10 | Лист 2 | |||||||||
Основной шов | ||||||||||
Номер позиции | Тип шва | Катет шва, мм | Площадь сечения, мм2 | Количество проходов | Диаметр проволоки, мм | |||||
0,8 | 1,0 | 1,2 | 1,4 | 1,6 | 2,0 | |||||
Неполное штучное время на 1 м шва, мин. | ||||||||||
18 | У17 ![]() | 26,0 | 391,8 | 8 | - | - | 73,1 | 61,9 | 53,8 | 47,5 |
У18 ![]() | ||||||||||
Индекс | а | б | в | г | д | е | ||||
С1, С2, С3, С4, С5, С6, С7, С8, С9, С10, С11, С12, С13, С14, С15, С16, С17, С18, С19, С20, С21, С23, С24, С25, С26, С27, С28 | Полуавтоматическая дуговая сварка в среде двуокиси углерода легированных и высоколегированных сталей | |||||||||
Карта 11 | Лист 1 | |||||||||
Основной шов | ||||||||||
Номер позиции | Тип шва | Толщина металла, мм | Площадь сечения, мм2 | Количество проходов | Диаметр проволоки, мм | |||||
0,8 | 1,0 | 1,2 | 1,4 | 1,6 | 2,0 | |||||
Неполное штучное время на 1 м шва, мин. | ||||||||||
1 | С1 ![]() | 0,5 | 5,4 | 1 | 3,3 | 3,1 | 2,9 | - | - | - |
2 | 0,8 | 5,5 | 1 | 3,4 | 3,1 | 2,9 | - | - | - | |
3 | 1,0 | 5,5 | 1 | 3,4 | 3,1 | 2,9 | - | - | - | |
4 | 1,5 | 7,3 | 1 | 3,6 | 3,3 | 2,9 | 2,6 | - | - | |
5 | 2,0 | 9,4 | 1 | 4,4 | 4,0 | 3,4 | 3,0 | - | - | |
6 | 2,5 | 11,4 | 1 | 5,1 | 4,6 | 3,9 | 3,4 | - | - | |
7 | 3,0 | 13,3 | 1 | 5,8 | 5,3 | 4,4 | 3,9 | - | - | |
8 | 4,0 | 17,1 | 1 | 7,2 | 6,5 | 5,4 | 4,7 | - | - | |
9 | С2 ![]() | 0,8 | 5,6 | 1 | 3,4 | 3,1 | 2,9 | - | - | - |
10 | 1,0 | 5,8 | 1 | 3,5 | 3,2 | 3,0 | - | - | - | |
11 | 1,5 | 7,0 | 1 | 3,6 | 3,4 | 3,1 | 2,1 | - | - | |
12 | 2,0 | 8,0 | 1 | 4,0 | 3,6 | 3,2 | 2,3 | - | - | |
13 | 2,5 | 11,0 | 1 | 4,9 | 4,5 | 3,8 | 3,4 | - | - | |
14 | 3,0 | 11,4 | 1 | 5,1 | 4,6 | 3,9 | 3,4 | - | - | |
15 | 4,0 | 12,1 | 1 | 5,4 | 4,9 | 4,1 | 3,6 | - | - | |
16 | 5,0 | 18,7 | 1 | - | 5,5 | 5,1 | 4,4 | 3,9 | 3,5 | |
17 | 6,0 | 19,7 | 1 | - | 5,8 | 5,3 | 4,6 | 4,1 | 3,7 | |
18 | С3 ![]() | 0,5 | 5,4 | 1 | 3,3 | 3,1 | 2,8 | - | - | - |
19 | 0,8 | 10,0 | 1 | 5,3 | 4,8 | 4,4 | - | - | - | |
20 | 1,0 | 10,0 | 1 | 5,3 | 4,8 | 4,4 | - | - | - | |
21 | 1,5 | 12,3 | 1 | 5,4 | 4,9 | 4,6 | 3,7 | - | - | |
22 | 2,0 | 17,9 | 1 | 7,5 | 6,7 | 5,6 | 4,9 | - | - | |
23 | 2,5 | 23,9 | 1 | 9,6 | 8,6 | 7,2 | 6,2 | - | - | |
24 | 3,0 | 30,3 | 2 | 12,5 | 11,2 | 9,4 | 8,1 | - | - | |
25 | 4,0 | 43,9 | 2 | 17,4 | 15,6 | 12,9 | 11,0 | - | - | |
26 | С4 ![]() | 0,8 | 8,0 | 1 | 4,7 | 4,2 | 4,0 | - | - | - |
27 | 1,0 | 9,0 | 1 | 5,2 | 4,6 | 4,3 | - | - | - | |
28 | 1,5 | 13,1 | 1 | 5,7 | 5,2 | 4,4 | 3,8 | - | - | |
29 | 2,0 | 13,8 | 1 | 6,0 | 5,4 | 4,6 | 4,0 | - | - | |
30 | 2,5 | 14,3 | 1 | 6,2 | 5,6 | 4,7 | 4,1 | - | - | |
31 | 3,0 | 20,5 | 1 | 8,4 | 7,5 | 6,3 | 5,4 | - | - | |
32 | 4,0 | 21,5 | 1 | 8,8 | 7,9 | 6,6 | 5,6 | - | - | |
33 | 5,0 | 33,2 | 2 | - | 9,6 | 8,8 | 7,6 | 6,7 | 6,1 | |
34 | 6,0 | 38,8 | 2 | - | 11,0 | 10,0 | 8,6 | 7,6 | 6,8 | |
35 | 7,0 | 44,3 | 2 | - | 12,3 | 11,2 | 9,6 | 8,4 | 7,6 | |
36 | 8,0 | 49,7 | 2 | - | 13,6 | 12,4 | 10,6 | 9,3 | 8,3 | |
37 | С5 ![]() | 0,8 | 6,2 | 1 | 3,7 | 3,4 | 3,1 | - | - | - |
38 | 1,0 | 6,4 | 1 | 3,8 | 3,5 | 3,2 | - | - | - | |
39 | 1,5 | 8,1 | 1 | 3,9 | 3,6 | 3,3 | 2,7 | - | - | |
40 | 2,0 | 8,7 | 1 | 4,1 | 3,8 | 3,5 | 2,9 | - | - | |
41 | 2,5 | 9,1 | 1 | 4,3 | 3,9 | 3,6 | 3,0 | - | - | |
42 | 3,0 | 13,6 | 1 | 5,9 | 5,3 | 4,5 | 3,9 | - | - | |
43 | 4,0 | 14,6 | 1 | 6,3 | 5,7 | 4,8 | 4,1 | - | - | |
44 | 5,0 | 27,0 | 1 | - | 7,6 | 6,9 | 5,9 | 5,2 | 4,7 | |
45 | 6,0 | 30,1 | 2 | - | 8,8 | 8,1 | 7,0 | 6,2 | 5,6 | |
Индекс | а | б | в | г | д | е | ||||
Швы стыковых соединений С1, С2, С3, С4, С5, С6, С7, С8, С9, С10, С11, С12, С13, С14, С15, С16, С17, С18, С19, С20, С21, С23, С24, С25, С26, С27, С28 | Полуавтоматическая дуговая сварка в среде двуокиси углерода легированных и высоколегированных сталей | |||||||||
Карта 11 | Лист 2 | |||||||||
Основной шов | ||||||||||
Номер позиции | Тип шва | Толщина металла, мм | Площадь сечения, мм2 | Количество проходов | Диаметр проволоки, мм | |||||
0,8 | 1,0 | 1,2 | 1,4 | 1,6 | 2,0 | |||||
Неполное штучное время на 1 м шва, мин. | ||||||||||
46 | С5 | 7,0 | 39,4 | 2 | - | 11,1 | 10,1 | 8,7 | 7,7 | 6,9 |
47 | 8,0 | 42,4 | 2 | - | 11,8 | 10,8 | 9,3 | 8,1 | 7,3 | |
48 | С6 ![]() | 0,8 | 5,0 | 1 | 3,2 | 2,9 | 2,7 | - | - | - |
49 | 1,0 | 5,6 | 1 | 3,5 | 3,1 | 2,9 | - | - | - | |
50 | 1,5 | 7,6 | 1 | 3,7 | 3,4 | 3,0 | 2,6 | - | - | |
51 | 2,0 | 8,3 | 1 | 4,0 | 3,6 | 3,1 | 2,8 | - | - | |
52 | 2,5 | 8,8 | 1 | 4,2 | 3,8 | 3,3 | 2,9 | - | - | |
53 | 3,0 | 12,4 | 1 | 5,5 | 4,9 | 4,2 | 3,7 | - | - | |
54 | 4,0 | 13,4 | 1 | 5,8 | 5,3 | 4,5 | 3,9 | - | - | |
55 | 5,0 | 26,1 | 1 | - | 7,3 | 6,7 | 5,7 | 5,1 | 4,6 | |
56 | 6,0 | 29,1 | 2 | - | 8,6 | 7,9 | 6,8 | 6,1 | 5,5 | |
57 | 7,0 | 40,2 | 2 | - | 11,3 | 10,3 | 8,8 | 7,8 | 7,0 | |
58 | 8,0 | 43,2 | 2 | - | 12,0 | 11,0 | 9,4 | 8,3 | 7,4 | |
59 | С7 ![]() | 3,0 | 9,0 | 1 | 4,3 | 3,9 | 3,3 | 2,9 | - | - |
60 | 4,0 | 9,0 | 1 | 4,3 | 3,9 | 3,3 | 2,9 | - | - | |
61 | 5,0 | 13,6 | 1 | - | 4,3 | 4,0 | 3,5 | 3,1 | 2,8 | |
62 | 6,0 | 13,6 | 1 | - | 4,3 | 4,0 | 3,5 | 3,1 | 2,8 | |
63 | 7,0 | 20,1 | 1 | - | 5,9 | 5,4 | 4,6 | 4,1 | 3,7 | |
64 | 8,0 | 22,1 | 1 | - | 6,3 | 5,8 | 5,0 | 4,4 | 4,0 | |
65 | 9,0 | 24,0 | 1 | - | 6,8 | 6,2 | 5,4 | 4,7 | 4,3 | |
66 | 10,0 | 25,9 | 1 | - | 7,3 | 6,7 | 5,7 | 5,0 | 4,5 | |
67 | 12,0 | 33,0 | 1 | - | - | 7,6 | 6,5 | 5,8 | 5,2 | |
68 | С8 ![]() | 3,0 | 8,3 | 1 | 4,1 | 3,7 | 3,2 | 2,9 | - | - |
69 | 4,0 | 12,9 | 1 | 5,8 | 5,2 | 4,4 | 3,9 | - | - | |
70 | 5,0 | 18,2 | 1 | - | 5,5 | 5,1 | 4,4 | 3,9 | 3,5 | |
71 | 6,0 | 24,0 | 1 | - | 6,9 | 6,3 | 5,4 | 4,8 | 4,4 | |
72 | 7,0 | 30,4 | 2 | - | 9,0 | 8,3 | 7,2 | 6,4 | 5,8 | |
73 | 8,0 | 37,2 | 2 | - | 10,7 | 9,8 | 8,4 | 7,5 | 6,7 | |
74 | 9,0 | 44,6 | 2 | - | 12,5 | 11,4 | 9,8 | 8,6 | 7,7 | |
75 | 10,0 | 52,3 | 2 | - | 14,4 | 13,1 | 11,2 | 9,8 | 8,8 | |
76 | 12,0 | 77,0 | 2 | - | - | 17,0 | 14,5 | 12,7 | 11,3 | |
77 | 14,0 | 102,8 | 3 | - | - | 22,7 | 19,3 | 16,9 | 15,1 | |
78 | 16,0 | 132,1 | 3 | - | - | 28,5 | 24,2 | 21,0 | 18,7 | |
79 | 18,0 | 164,7 | 4 | - | - | 35,6 | 30,1 | 26,2 | 23,3 | |
80 | 20,0 | 200,6 | 4 | - | - | 42,7 | 36,1 | 31,3 | 27,8 | |
81 | 22,0 | 239,9 | 5 | - | - | 47,0 | 39,8 | 34,6 | 30,6 | |
82 | 24,0 | 282,3 | 6 | - | - | 55,3 | 46,8 | 40,7 | 36,0 | |
83 | 26,0 | 328,0 | 7 | - | - | 64,1 | 54,2 | 47,2 | 41,7 | |
84 | 28,0 | 376,9 | 8 | - | - | 73,6 | 62,2 | 54,1 | 47,8 | |
85 | 30,0 | 428,8 | 9 | - | - | 83,5 | 70,6 | 61,4 | 54,2 | |
86 | 32,0 | 484,0 | 10 | - | - | 87,2 | 73,8 | 64,2 | 57,0 | |
87 | 34,0 | 542,2 | 11 | - | - | 97,5 | 82,4 | 71,7 | 63,6 | |
88 | 36,0 | 603,4 | 13 | - | - | 108,8 | 92,1 | 80,1 | 71,2 | |
89 | 38,0 | 667,7 | 14 | - | - | 120,1 | 101,6 | 88,4 | 78,4 | |
90 | 40,0 | 735,1 | 15 | - | - | 131,9 | 111,5 | 97,0 | 86,0 | |
91 | 42,0 | 805,4 | 17 | - | - | 144,8 | 122,4 | 106,5 | 94,5 | |
92 | 44,0 | 878,7 | 19 | - | - | 157,6 | 133,2 | 115,8 | 102,7 | |
Индекс | а | б | в | г | д | е | ||||
Швы стыковых соединений С1, С2, С3, С4, С5, С6, С7, С8, С9, С10, С11, С12, С13, С14, С15, С16, С17, С18, С19, С20, С21, С23, С24, С25, С26, С27, С28 | Полуавтоматическая дуговая сварка в среде двуокиси углерода легированных и высоколегированных сталей | |||||||||
Карта 11 | Лист 3 | |||||||||
Основной шов | ||||||||||
Номер позиции | Тип шва | Толщина металла, мм | Площадь сечения, мм2 | Количество проходов | Диаметр проволоки, мм | |||||
0,8 | 1,0 | 1,2 | 1,4 | 1,6 | 2,0 | |||||
Неполное штучное время на 1 м шва, мин. | ||||||||||
93 | С8 | 46,0 | 955,0 | 20 | - | - | 171,4 | 144,9 | 126,0 | 111,8 |
94 | 48,0 | 1034,3 | 21 | - | - | 185,2 | 156,5 | 136,0 | 120,6 | |
95 | 50,0 | 1116,5 | 23 | - | - | 200,0 | 169,1 | 147,0 | 130,4 | |
96 | 52,0 | 1201,6 | 24 | - | - | 214,8 | 181,5 | 157,7 | 139,8 | |
97 | 54,0 | 1289,6 | 26 | - | - | 230,6 | 194,8 | 169,3 | 150,1 | |
98 | 56,0 | 1380,5 | 28 | - | - | 246,9 | 208,6 | 181,3 | 160,7 | |
99 | 58,0 | 1474,3 | 30 | - | - | 263,7 | 222,8 | 193,6 | 171,7 | |
100 | 60,0 | 1570,9 | 32 | - | - | 280,9 | 237,4 | 206,2 | 182,9 | |
101 | С9 ![]() | 3,0 | 12,2 | 1 | 5,5 | 5,0 | 4,2 | 3,7 | - | - |
102 | 4,0 | 15,4 | 1 | 6,6 | 6,0 | 5,1 | 4,4 | - | - | |
103 | 5,0 | 20,7 | 1 | - | 6,1 | 5,6 | 4,8 | 4,3 | 3,9 | |
104 | 6,0 | 27,5 | 1 | - | 7,8 | 7,1 | 6,1 | 5,4 | 4,8 | |
105 | 7,0 | 35,0 | 2 | - | 10,2 | 9,3 | 8,0 | 7,1 | 6,4 | |
106 | 8,0 | 43,1 | 2 | - | 12,1 | 11,1 | 9,5 | 8,4 | 7,5 | |
107 | 9,0 | 51,8 | 2 | - | 14,5 | 13,0 | 11,1 | 9,7 | 8,7 | |
108 | 10,0 | 61,1 | 2 | - | 16,5 | 15,0 | 12,8 | 11,2 | 10,0 | |
109 | 12,0 | 81,2 | 2 | - | - | 17,9 | 15,2 | 13,3 | 11,8 | |
110 | 14,0 | 103,3 | 3 | - | - | 22,8 | 19,4 | 17,0 | 15,1 | |
111 | 16,0 | 140,4 | 3 | - | - | 30,2 | 25,5 | 22,2 | 19,7 | |
112 | 18,0 | 174,1 | 4 | - | - | 37,4 | 31,7 | 27,6 | 24,5 | |
113 | 20,0 | 211,1 | 5 | - | - | 45,3 | 38,4 | 33,4 | 29,7 | |
114 | 22,0 | 251,2 | 5 | - | - | 49,1 | 41,5 | 36,1 | 31,9 | |
115 | 24,0 | 294,5 | 6 | - | - | 57,5 | 48,6 | 42,3 | 37,3 | |
116 | 26,0 | 340,9 | 7 | - | - | 66,5 | 56,2 | 48,8 | 43,1 | |
117 | 28,0 | 390,3 | 8 | - | - | 76,0 | 64,2 | 55,8 | 49,3 | |
118 | 30,0 | 442,7 | 9 | - | - | 86,0 | 72,7 | 63,2 | 55,7 | |
119 | 32,0 | 498,0 | 10 | - | - | 89,5 | 75,7 | 65,9 | 58,5 | |
120 | 34,0 | 556,3 | 12 | - | - | 100,4 | 85,0 | 74,0 | 65,7 | |
121 | 36,0 | 617,6 | 13 | - | - | 111,2 | 94,1 | 81,8 | 72,6 | |
122 | 38,0 | 681,6 | 14 | - | - | 122,4 | 103,5 | 90,0 | 79,9 | |
123 | 40,0 | 748,6 | 15 | - | - | 134,2 | 113,4 | 98,6 | 87,4 | |
124 | 42,0 | 818,3 | 17 | - | - | 146,9 | 124,2 | 108,0 | 95,9 | |
125 | 44,0 | 890,9 | 18 | - | - | 159,6 | 134,9 | 117,2 | 104,0 | |
126 | 46,0 | 966,2 | 20 | - | - | 173,3 | 146,5 | 127,3 | 113,0 | |
127 | 48,0 | 1044,3 | 21 | - | - | 186,9 | 157,9 | 137,2 | 121,7 | |
128 | 50,0 | 1125,1 | 23 | - | - | 201,5 | 170,3 | 148,0 | 131,3 | |
129 | 52,0 | 1208,7 | 25 | - | - | 216,6 | 183,0 | 159,1 | 141,1 | |
130 | 54,0 | 1294,9 | 26 | - | - | 231,5 | 195,6 | 169,9 | 150,7 | |
131 | 56,0 | 1383,8 | 28 | - | - | 247,5 | 209,1 | 181,6 | 161,1 | |
132 | 58,0 | 1475,4 | 30 | - | - | 263,9 | 222,9 | 193,7 | 171,8 | |
133 | 60,0 | 1569,6 | 32 | - | - | 280,7 | 237,2 | 206,1 | 182,7 | |
134 | С10 ![]() | 3,0 | 8,8 | 1 | 4,3 | 3,9 | 3,4 | 3,0 | - | - |
135 | 4,0 | 13,4 | 1 | 5,9 | 5,4 | 4,5 | 4,0 | - | - | |
136 | 5,0 | 18,4 | 1 | - | 5,5 | 5,1 | 4,4 | 3,9 | 3,6 | |
137 | 6,0 | 23,8 | 1 | - | 6,9 | 6,3 | 5,4 | 4,8 | 4,3 | |
138 | 7,0 | 29,7 | 2 | - | 8,9 | 8,2 | 7,1 | 6,3 | 5,7 | |
139 | 8,0 | 38,1 | 2 | - | 10,9 | 10,0 | 8,6 | 7,6 | 6,9 | |
Индекс | а | б | в | г | д | е | ||||
Швы стыковых соединений С1, С2, С3, С4, С5, С6, С7, С8, С9, С10, С11, С12, С13, С14, С15, С16, С17, С18, С19, С20, С21, С23, С24, С25, С26, С27, С28 | Полуавтоматическая дуговая сварка в среде двуокиси углерода легированных и высоколегированных сталей | |||||||||
Карта 11 | Лист 4 | |||||||||
Основной шов | ||||||||||
Номер позиции | Тип шва | Толщина металла, мм | Площадь сечения, мм2 | Количество проходов | Диаметр проволоки, мм | |||||
0,8 | 1,0 | 1,2 | 1,4 | 1,6 | 2,0 | |||||
Неполное штучное время на 1 м шва, мин. | ||||||||||
140 | С10 | 9,0 | 47,4 | 2 | - | 13,2 | 12,0 | 10,3 | 9,1 | 8,1 |
141 | 10,0 | 57,7 | 2 | - | 15,7 | 14,3 | 12,2 | 10,7 | 9,5 | |
142 | 12,0 | 81,0 | 2 | - | - | 17,8 | 15,1 | 13,2 | 11,8 | |
143 | 14,0 | 107,9 | 3 | - | - | 23,7 | 20,2 | 17,6 | 15,7 | |
144 | 16,0 | 138,3 | 3 | - | - | 29,8 | 25,2 | 21,9 | 19,5 | |
145 | 18,0 | 172,2 | 4 | - | - | 37,0 | 31,4 | 27,3 | 24,3 | |
146 | 20,0 | 209,4 | 5 | - | - | 45,0 | 38,1 | 33,2 | 29,4 | |
147 | 22,0 | 250,1 | 5 | - | - | 48,9 | 41,3 | 35,9 | 31,7 | |
148 | 24,0 | 294,0 | 6 | - | - | 57,4 | 48,5 | 42,2 | 37,3 | |
149 | 26,0 | 341,1 | 7 | - | - | 66,5 | 56,2 | 48,9 | 43,2 | |
150 | 28,0 | 391,5 | 8 | - | - | 76,2 | 64,4 | 56,0 | 49,4 | |
151 | 30,0 | 445,1 | 9 | - | - | 86,5 | 73,1 | 63,5 | 56,0 | |
152 | 32,0 | 501,9 | 10 | - | - | 90,2 | 76,3 | 66,3 | 58,9 | |
153 | 34,0 | 561,7 | 12 | - | - | 101,3 | 85,7 | 74,6 | 66,2 | |
154 | 36,0 | 624,7 | 13 | - | - | 112,4 | 95,0 | 82,7 | 73,4 | |
155 | 38,0 | 690,8 | 14 | - | - | 124,0 | 104,8 | 91,1 | 80,8 | |
156 | 40,0 | 759,9 | 16 | - | - | 136,6 | 115,5 | 100,5 | 89,2 | |
157 | 42,0 | 832,0 | 17 | - | - | 149,2 | 126,1 | 109,6 | 97,3 | |
158 | 44,0 | 907,2 | 19 | - | - | 162,9 | 137,7 | 119,7 | 106,3 | |
159 | 46,0 | 985,4 | 20 | - | - | 176,5 | 149,1 | 129,6 | 115,0 | |
160 | 48,0 | 1066,5 | 22 | - | - | 191,1 | 161,6 | 140,4 | 124,6 | |
161 | 50,0 | 1150,6 | 23, | - | - | 205,7 | 173,8 | 151,0 | 133,9 | |
162 | 52,0 | 1237,6 | 25 | - | - | 221,4 | 187,0 | 162,5 | 144,1 | |
163 | 54,0 | 1327,6 | 27 | - | - | 237,5 | 200,7 | 174,4 | 154,7 | |
164 | 56,0 | 1420,4 | 29 | - | - | 254,1 | 214,7 | 186,6 | 165,5 | |
165 | 58,0 | 1516,2 | 31 | - | - | 271,2 | 229,2 | 199,1 | 176,6 | |
166 | 60,0 | 1614,8 | 33 | - | - | 288,8 | 244,0 | 212,0 | 188,0 | |
167 | С11 ![]() | 3,0 | 13,5 | 1 | 6,0 | 5,4 | 4,6 | 4,0 | - | - |
168 | 4,0 | 19,6 | 1 | 8,2 | 7,4 | 6,2 | 5,3 | - | - | |
169 | 5,0 | 26,3 | 1 | - | 7,5 | 6,8 | 5,9 | 5,2 | 4,7 | |
170 | 6,0 | 33,3 | 2 | - | 9,7 | 8,9 | 7,7 | 6,9 | 6,2 | |
171 | 7,0 | 40,7 | 2 | - | 11,6 | 10,6 | 9,1 | 8,0 | 7,2 | |
172 | 8,0 | 51,7 | 2 | - | 14,2 | 13,0 | 11,1 | 9,7 | 8,7 | |
173 | 9,0 | 63,2 | 2 | - | 17,0 | 15,5 | 13,2 | 11,5 | 10,3 | |
174 | 10,0 | 75,6 | 3 | - | 20,6 | 18,8 | 16,0 | 14,1 | 12,6 | |
175 | 12,0 | 103,2 | 3 | - | - | 22,8 | 19,4 | 16,9 | 15,1 | |
176 | 14,0 | 134,2 | 3 | - | - | 28,9 | 24,5 | 21,3 | 19,0 | |
177 | 16,0 | 168,5 | 4 | - | - | 36,3 | 30,7 | 26,8 | 23,8 | |
178 | 18,0 | 206,0 | 5 | - | - | 44,3 | 37,5 | 32,7 | 29,0 | |
179 | 20,0 | 246,5 | 5 | - | - | 52,4 | 44,2 | 38,4 | 34,0 | |
180 | 22,0 | 290,0 | 6 | - | - | 56,7 | 47,9 | 41,7 | 36,8 | |
181 | 24,0 | 336,3 | 7 | - | - | 65,6 | 55,5 | 48,2 | 42,6 | |
182 | 26,0 | 385,5 | 8 | - | - | 75,1 | 63,5 | 55,2 | 48,7 | |
183 | 28,0 | 437,4 | 9 | - | - | 85,1 | 71,9 | 62,5 | 55,1 | |
184 | 30,0 | 491,9 | 10 | - | - | 95,5 | 80,7 | 70,1 | 61,9 | |
185 | 32,0 | 549,1 | 11 | - | - | 98,6 | 83,4 | 72,5 | 64,4 | |
186 | 34,0 | 608,9 | 13 | - | - | 109,7 | 92,9 | 80,8 | 71,7 | |
187 | 36,0 | 671,2 | 14 | - | - | 120,7 | 102,1 | 88,8 | 78,8 | |
188 | 38,0 | 736,0 | 15 | - | - | 132,1 | 111,6 | 97,1 | 86,1 | |
189 | 40,0 | 803,2 | 17 | - | - | 144,4 | 122,1 | 106,2 | 94,3 | |
Индекс | а | б | в | г | д | е | ||||
Швы стыковых соединений С1, С2, С3, С4, С5, С6, С7, С8, С9, С10, С11, С12, С13, С14, С15, С16, С17, С18, С19, С20, С21, С23, С24, С25, С26, С27, С28 | Полуавтоматическая дуговая сварка в среде двуокиси углерода легированных и высоколегированных сталей | |||||||||
Карта 11 | Лист 5 | |||||||||
Основной шов | ||||||||||
Номер позиции | Тип шва | Толщина металла, мм | Площадь сечения, мм2 | Количество проходов | Диаметр проволоки, мм | |||||
0,8 | 1,0 | 1,2 | 1,4 | 1,6 | 2,0 | |||||
Неполное штучное время на 1 м шва, мин. | ||||||||||
190 | С12 ![]() | 3,0 | 8,8 | 1 | 4,3 | 3,9 | 3,4 | 3,0 | - | - |
191 | 4,0 | 13,0 | 1 | 5,8 | 5,2 | 4,5 | 3,9 | - | - | |
192 | 5,0 | 17,6 | 1 | - | 5,4 | 4,9 | 4,3 | 3,8 | 3,5 | |
193 | 6,0 | 22,5 | 1 | - | 6,5 | 6,0 | 5,2 | 4,6 | 4,1 | |
194 | 7,0 | 27,7 | 1 | - | 7,8 | 7,1 | 6,1 | 5,4 | 4,9 | |
195 | 8,0 | 37,5 | 2 | - | 10,8 | 9,9 | 8,5 | 7,5 | 6,8 | |
196 | 9,0 | 46,7 | 2 | - | 13,0 | 11,9 | 10,2 | 8,9 | 8,0 | |
197 | 10,0 | 56,7 | 2 | - | 15,4 | 14,1 | 12,0 | 10,5 | 9,4 | |
198 | 12,0 | 79,4 | 2 | - | - | 17,5 | 14,9 | 13,0 | 11,6 | |
199 | 14,0 | 105,6 | 3 | - | - | 23,3 | 19,8 | 17,3 | 15,4 | |
200 | 16,0 | 135,1 | 3 | - | - | 29,1 | 24,7 | 21,5 | 19,1 | |
201 | 18,0 | 168,0 | 4 | - | - | 36,2 | 30,7 | 26,7 | 23,7 | |
202 | 20,0 | 204,1 | 5 | - | - | 43,9 | 37,2 | 32,4 | 28,8 | |
203 | 22,0 | 243,4 | 5 | - | - | 47,7 | 40,3 | 35,1 | 31,0 | |
204 | 24,0 | 285,8 | 6 | - | - | 55,9 | 47,3 | 41,1 | 36,3 | |
205 | 26,0 | 331,3 | 7 | - | - | 64,7 | 54,7 | 47,6 | 42,0 | |
206 | 28,0 | 379,9 | 8 | - | - | 74,1 | 62,7 | 54,5 | 48,1 | |
207 | 30,0 | 431,6 | 9 | - | - | 84,0 | 71,0 | 61,7 | 54,5 | |
208 | 32,0 | 486,2 | 10 | - | - | 87,6 | 74,1 | 64,5 | 57,2 | |
209 | 34,0 | 543,9 | 11 | - | - | 97,8 | 82,7 | 71,9 | 63,8 | |
210 | 36,0 | 604,4 | 13 | - | - | 109,0 | 92,2 | 80,3 | 71,3 | |
211 | 38,0 | 667,9 | 14 | - | - | 120,1 | 101,6 | 88,4 | 78,5 | |
212 | 40,0 | 734,3 | 15 | - | - | 131,8 | 111,4 | 96,9 | 85,9 | |
213 | 42,0 | 803,5 | 17 | - | - | 144,5 | 122,2 | 106,3 | 94,3 | |
214 | 44,0 | 875,6 | 18 | - | - | 157,0 | 132,8 | 115,4 | 102,4 | |
215 | 46,0 | 950,5 | 19 | - | - | 170,1 | 143,7 | 124,9 | 110,8 | |
216 | 48,0 | 1028,3 | 21 | - | - | 184,2 | 155,7 | 135,3 | 120,0 | |
217 | 50,0 | 1108,8 | 23 | - | - | 198,8 | 168,0 | 146,0 | 129,6 | |
218 | 52,0 | 1192,1 | 24 | - | - | 213,2 | 180,1 | 156,5 | 138,8 | |
219 | 54,0 | 1278,2 | 26 | - | - | 228,7 | 193,2 | 167,9 | 148,9 | |
220 | 56,0 | 1367,0 | 28 | - | - | 244,6 | 206,7 | 179,6 | 159,3 | |
221 | 58,0 | 1458,5 | 30 | - | - | 261,0 | 220,6 | 191,7 | 170,0 | |
222 | 60,0 | 1552,8 | 32 | - | - | 277,9 | 234,8 | 204,1 | 181,0 | |
223 | С13 ![]() | 18,0 | 160,7 | 4 | - | - | 34,8 | 29,5 | 25,7 | 22,8 |
224 | 20,0 | 190,2 | 4 | - | - | 40,6 | 34,3 | 29,8 | 26,5 | |
225 | 22,0 | 221,5 | 5 | - | - | 43,7 | 37,0 | 32,3 | 28,5 | |
226 | 24,0 | 254,6 | 6 | - | - | 50,3 | 42,6 | 37,1 | 32,8 | |
227 | 26,0 | 289,3 | 6 | - | - | 56,5 | 47,8 | 41,6 | 36,7 | |
228 | 28,0 | 325,7 | 7 | - | - | 63,7 | 53,9 | 46,9 | 41,4 | |
229 | 30,0 | 363,7 | 8 | - | - | 71,2 | 60,2 | 52,4 | 46,3 | |
230 | 32,0 | 403,3 | 9 | - | - | 73,2 | 62,0 | 54,0 | 48,0 | |
231 | 34,0 | 444,3 | 9 | - | - | 80,0 | 67,7 | 58,9 | 52,3 | |
232 | 36,0 | 486,9 | 10 | - | - | 87,7 | 74,2 | 64,5 | 57,3 | |
233 | 38,0 | 530,8 | 11 | - | - | 95,6 | 80,9 | 70,3 | 62,5 | |
234 | 40,0 | 576,2 | 12 | - | - | 103,7 | 87,7 | 76,3 | 67,8 | |
235 | 42,0 | 623,0 | 13 | - | - | 112,1 | 94,8 | 82,5 | 73,2 | |
236 | 44,0 | 671,1 | 14 | - | - | 120,7 | 102,1 | 88,8 | 78,8 | |
237 | 46,0 | 720,5 | 15 | - | - | 129,5 | 109,5 | 95,2 | 84,5 | |
238 | 48,0 | 771,3 | 16 | - | - | 138,5 | 117,1 | 101,8 | 90,4 | |
Индекс | а | б | в | г | д | е | ||||
Швы стыковых соединений С1, С2, С3, С4, С5, С6, С7, С8, С9, С10, С11, С12, С13, С14, С15, С16, С17, С18, С19, С20, С21, С23, С24, С25, С26, С27, С28 | Полуавтоматическая дуговая сварка в среде двуокиси углерода легированных и высоколегированных сталей | |||||||||
Карта 11 | Лист 6 | |||||||||
Основной шов | ||||||||||
Номер позиции | Тип шва | Толщина металла, мм | Площадь сечения, мм2 | Количество проходов | Диаметр проволоки, мм | |||||
0,8 | 1,0 | 1,2 | 1,4 | 1,6 | 2,0 | |||||
Неполное штучное время на 1 м шва, мин. | ||||||||||
239 | С13 | 50,0 | 823,3 | 17 | - | - | 147,8 | 124,9 | 108,6 | 96,4 |
240 | 52,0 | 876,6 | 18 | - | - | 157,2 | 132,9 | 115,5 | 102,5 | |
241 | 54,0 | 931,1 | 19 | - | - | 166,9 | 141,0 | 122,6 | 108,8 | |
242 | 56,0 | 986,9 | 20 | - | - | 176,7 | 149,4 | 129,8 | 115,1 | |
243 | 58,0 | 1043,8 | 21 | - | - | 186,8 | 157,8 | 137,2 | 121,6 | |
244 | 60,0 | 1102,0 | 22 | - | - | 197,1 | 166,5 | 144,7 | 128,3 | |
245 | 64,0 | 1221,8 | 25 | - | - | - | 166,7 | 145,1 | 128,9 | |
246 | 68,0 | 1346,2 | 27 | - | - | - | 183,3 | 159,4 | 141,6 | |
247 | 72,0 | 1475,0 | 30 | - | - | - | 201,0 | 174,9 | 155,3 | |
248 | 76,0 | 1608,2 | 33 | - | - | - | 219,2 | 190,8 | 169,4 | |
249 | 80,0 | 1745,7 | 35 | - | - | - | 237,4 | 206,5 | 183,3 | |
250 | 84,0 | 1887,3 | 38 | - | - | - | 241,1 | 209,9 | 186,6 | |
251 | 88,0 | 2033,1 | 41 | - | - | - | 259,7 | 226,1 | 201,0 | |
252 | 92,0 | 2182,8 | 44 | - | - | - | 278,7 | 242,7 | 215,7 | |
253 | 96,0 | 2336,6 | 47 | - | - | - | 298,3 | 259,7 | 230,8 | |
254 | 100,0 | 2494,2 | 50 | - | - | - | 318,2 | 277,0 | 246,2 | |
255 | С14 ![]() | 18,0 | 133,1 | 3 | - | - | 28,7 | 24,3 | 21,2 | 18,8 |
256 | 20,0 | 158,8 | 4 | - | - | 34,4 | 29,2 | 25,4 | 22,6 | |
257 | 22,0 | 186,4 | 4 | - | - | 36,8 | 31,2 | 27,1 | 24,0 | |
258 | 24,0 | 215,8 | 5 | - | - | 42,7 | 36,2 | 31,5 | 27,9 | |
259 | 26,0 | 246,9 | 5 | - | - | 48,3 | 40,8 | 35,5 | 31,4 | |
260 | 28,0 | 279,6 | 6 | - | - | 54,8 | 46,4 | 40,3 | 35,6 | |
261 | 30,0 | 314,0 | 7 | - | - | 61,6 | 52,1 | 45,4 | 40,1 | |
262 | 32,0 | 349,9 | 7 | - | - | 63,1 | 53,4 | 46,5 | 41,3 | |
263 | 34,0 | 387,4 | 8 | - | - | 70,0 | 59,2 | 51,5 | 45,8 | |
264 | 36,0 | 426,5 | 9 | - | - | 77,1 | 65,2 | 56,8 | 50,4 | |
265 | 38,0 | 467,0 | 10 | - | - | 84,4 | 71,4 | 62,2 | 55,2 | |
266 | 40,0 | 509,1 | 11 | - | - | 92,0 | 77,8 | 67,8 | 60,2 | |
267 | 42,0 | 552,6 | 12 | - | - | 99,8 | 84,5 | 73,5 | 65,3 | |
268 | 44,0 | 597,5 | 12 | - | - | 107,3 | 90,7 | 78,9 | 70,0 | |
269 | 46,0 | 643,8 | 13 | - | - | 115,6 | 97,7 | 84,9 | 75,4 | |
270 | 48,0 | 691,5 | 14 | - | - | 124,1 | 104,9 | 91,2 | 80,9 | |
271 | 50,0 | 740,6 | 15 | - | - | 132,8 | 112,3 | 97,6 | 86,6 | |
272 | 52,0 | 791,1 | 16 | - | - | 141,8 | 119,9 | 104,2 | 92,4 | |
273 | 54,0 | 842,9 | 17 | - | - | 151,0 | 127,6 | 110,9 | 98,4 | |
274 | 56,0 | 896,0 | 18 | - | - | 160,4 | 135,6 | 117,8 | 104,5 | |
275 | 58,0 | 950,4 | 19 | - | - | 170,1 | 143,7 | 124,9 | 110,8 | |
276 | 60,0 | 1006,1 | 21 | - | - | 180,5 | 152,6 | 132,7 | 117,7 | |
277 | 64,0 | 1121,3 | 23 | - | - | - | 153,1 | 133,3 | 118,4 | |
278 | 68,0 | 1241,5 | 25 | - | - | - | 169,1 | 147,2 | 130,7 | |
279 | 72,0 | 1366,7 | 28 | - | - | - | 186,4 | 162,2 | 144,1 | |
280 | 76,0 | 1496,6 | 30 | - | - | - | 203,6 | 177,2 | 157,3 | |
281 | 80,0 | 1631,3 | 33 | - | - | - | 222,1 | 193,2 | 171,6 | |
282 | 84,0 | 1770,7 | 36 | - | - | - | 226,5 | 197,2 | 175,3 | |
Индекс | а | б | в | г | д | е | ||||
Швы стыковых соединений С1, С2, С3, С4, С5, С6, С7, С8, С9, С10, С11, С12, С13, С14, С15, С16, С17, С18, С19, С20, С21, С23, С24, С25, С26, С27, С28 | Полуавтоматическая дуговая сварка в среде двуокиси углерода легированных и высоколегированных сталей | |||||||||
Карта 11 | Лист 7 | |||||||||
Основной шов | ||||||||||
Номер позиции | Тип шва | Толщина металла, мм | Площадь сечения, мм2 | Количество проходов | Диаметр проволоки, мм | |||||
0,8 | 1,0 | 1,2 | 1,4 | 1,6 | 2,0 | |||||
Неполное штучное время на 1 м шва, мин. | ||||||||||
283 | С14 | 88,0 | 1914,6 | 39 | - | - | - | 244,8 | 213,2 | 189,5 |
284 | 92,0 | 2063,1 | 42 | - | - | - | 263,7 | 229,7 | 204,1 | |
285 | 96,0 | 2216,0 | 45 | - | - | - | 283,2 | 246,6 | 219,1 | |
286 | 100,0 | 2373,3 | 48 | - | - | - | 303,1 | 263,9 | 234,5 | |
287 | С15 ![]() | 8,0 | 15,0 | 1 | - | 4,7 | 4,4 | 3,8 | 3,4 | 3,1 |
288 | 9,0 | 17,0 | 1 | - | 5,3 | 4,8 | 4,2 | 3,8 | 3,4 | |
289 | 10,0 | 19,4 | 1 | - | 5,8 | 5,3 | 4,6 | 4,1 | 3,7 | |
290 | 12,0 | 25,8 | 1 | - | - | 6,3 | 5,4 | 4,8 | 4,4 | |
291 | 14,0 | 32,7 | 1 | - | - | 7,7 | 6,6 | 5,8 | 5,2 | |
292 | 16,0 | 40,2 | 1 | - | - | 9,1 | 7,8 | 6,9 | 6,2 | |
293 | 18,0 | 48,1 | 1 | - | - | 10,7 | 9,1 | 8,0 | 7,1 | |
294 | 20,0 | 56,6 | 2 | - | - | 13,0 | 11,1 | 9,8 | 8,8 | |
295 | 22,0 | 71,2 | 2 | - | - | 14,8 | 12,6 | 11,1 | 9,9 | |
296 | 24,0 | 83,5 | 2 | - | - | 17,0 | 14,5 | 12,7 | 11,3 | |
297 | 26,0 | 96,7 | 2 | - | - | 19,4 | 16,5 | 14,4 | 12,7 | |
298 | 28,0 | 110,7 | 3 | - | - | 22,5 | 19,2 | 16,8 | 14,9 | |
299 | 30,0 | 125,7 | 3 | - | - | 25,2 | 21,4 | 18,7 | 16,6 | |
300 | 32,0 | 141,4 | 3 | - | - | 26,1 | 22,2 | 19,4 | 17,3 | |
301 | 34,0 | 158,0 | 4 | - | - | 29,5 | 25,1 | 21,9 | 19,6 | |
302 | 36,0 | 175,4 | 4 | - | - | 32,4 | 27,5 | 24,0 | 21,4 | |
303 | 38,0 | 193,7 | 4 | - | - | 35,4 | 30,0 | 26,2 | 23,3 | |
304 | 40,0 | 212,8 | 5 | - | - | 39,2 | 33,2 | 29,0 | 25,9 | |
305 | 42,0 | 232,6 | 5 | - | - | 42,5 | 36,0 | 31,4 | 27,9 | |
306 | 44,0 | 253,3 | 6 | - | - | 46,5 | 39,5 | 34,4 | 30,7 | |
307 | 46,0 | 274,8 | 6 | - | - | 50,1 | 42,4 | 37,0 | 32,9 | |
308 | 48,0 | 297,0 | 6 | - | - | 53,8 | 45,5 | 39,6 | 35,2 | |
309 | 50,0 | 320,1 | 7 | - | - | 58,2 | 49,3 | 43,0 | 38,2 | |
310 | 52,0 | 343,9 | 7 | - | - | 62,1 | 52,6 | 45,8 | 40,7 | |
311 | 54,0 | 368,5 | 8 | - | - | 66,8 | 56,6 | 49,3 | 43,8 | |
312 | 56,0 | 393,9 | 8 | - | - | 71,0 | 60,1 | 52,3 | 46,5 | |
313 | 58,0 | 420,0 | 9 | - | - | 76,0 | 64,3 | 56,0 | 49,8 | |
314 | 60,0 | 446,9 | 9 | - | - | 80,4 | 68,0 | 59,2 | 52,6 | |
315 | 64,0 | 502,9 | 11 | - | - | - | 69,5 | 60,6 | 53,9 | |
316 | 68,0 | 561,9 | 12 | - | - | - | 77,4 | 67,5 | 60,0 | |
317 | 72,0 | 623,9 | 13 | - | - | - | 85,6 | 74,6 | 66,3 | |
318 | 76,0 | 688,7 | 14 | - | - | - | 94,3 | 82,1 | 73,0 | |
319 | 80,0 | 756,5 | 16 | - | - | - | 103,8 | 90,4 | 80,4 | |
320 | 84,0 | 827,2 | 17 | - | - | - | 106,3 | 92,7 | 82,4 | |
321 | 88,0 | 900,7 | 18 | - | - | - | 115,4 | 100,5 | 89,4 | |
322 | 92,0 | 977,0 | 20 | - | - | - | 125,4 | 109,3 | 97,2 | |
323 | 96,0 | 1056,2 | 22 | - | - | - | 135,7 | 118,3 | 105,2 | |
324 | 100,0 | 1138,1 | 23 | - | - | - | 145,8 | 127,0 | 112,9 | |
325 | С16 ![]() | 30,0 | 139,8 | 3 | - | - | 27,7 | 23,5 | 20,5 | 18,2 |
326 | 32,0 | 154,1 | 4 | - | - | 28,8 | 24,5 | 21,5 | 19,2 | |
327 | 34,0 | 168,9 | 4 | - | - | 31,3 | 26,6 | 23,2 | 20,7 | |
328 | 36,0 | 184,2 | 4 | - | - | 33,8 | 28,7 | 25,1 | 22,3 | |
329 | 38,0 | 199,9 | 4 | - | - | 36,4 | 30,9 | 26,9 | 24,0 | |
330 | 40,0 | 216,0 | 5 | - | - | 39,7 | 33,7 | 29,4 | 26,4 | |
331 | 42,0 | 232,5 | 5 | - | - | 42,5 | 36,0 | 31,4 | 27,9 | |
Индекс | а | б | в | г | д | е | ||||
Швы стыковых соединений С1, С2, С3, С4, С5, С6, С7, С8, С9, С10, С11, С12, С13, С14, С15, С16, С17, С18, С19, С20, С21, С23, С24, С25, С26, С27, С28 | Полуавтоматическая дуговая сварка в среде двуокиси углерода легированных и высоколегированных сталей | |||||||||
Карта 11 | Лист 8 | |||||||||
Основной шов | ||||||||||
Номер позиции | Тип шва | Толщина металла, мм | Площадь сечения, мм2 | Количество проходов | Диаметр проволоки, мм | |||||
0,8 | 1,0 | 1,2 | 1,4 | 1,6 | 2,0 | |||||
Неполное штучное время на 1 м шва, мин. | ||||||||||
332 | С16 | 44,0 | 249,5 | 5 | - | - | 45,3 | 38,3 | 33,4 | 29,7 |
333 | 46,0 | 266,8 | 6 | - | - | 48,7 | 41,3 | 36,0 | 32,1 | |
334 | 48,0 | 284,6 | 6 | - | - | 51,7 | 43,8 | 38,2 | 33,9 | |
335 | 50,0 | 302,7 | 7 | - | - | 55,3 | 46,9 | 40,9 | 36,4 | |
336 | 52,0 | 321,2 | 7 | - | - | 58,4 | 49,5 | 43,1 | 38,3 | |
337 | 54,0 | 340,1 | 7 | - | - | 61,5 | 52,1 | 45,3 | 40,3 | |
338 | 56,0 | 359,3 | 8 | - | - | 65,3 | 55,3 | 48,2 | 42,9 | |
339 | 58,0 | 378,9 | 8 | - | - | 68,5 | 58,0 | 50,5 | 44,9 | |
340 | 60,0 | 398,8 | 8 | - | - | 71,9 | 60,8 | 52,9 | 47,0 | |
341 | 64,0 | 439,7 | 9 | - | - | - | 63,0 | 54,6 | 48,3 | |
342 | 68,0 | 481,9 | 10 | - | - | - | 66,3 | 57,8 | 51,4 | |
343 | 72,0 | 525,4 | 11 | - | - | - | 72,3 | 63,0 | 56,0 | |
344 | 76,0 | 570,1 | 12 | - | - | - | 78,4 | 68,3 | 60,8 | |
345 | 80,0 | 616,1 | 13 | - | - | - | 84,7 | 73,8 | 65,5 | |
346 | 84,0 | 663,3 | 14 | - | - | - | 85,6 | 74,7 | 66,5 | |
347 | 88,0 | 711,6 | 15 | - | - | - | 91,8 | 80,1 | 71,3 | |
348 | 92,0 | 761,1 | 16 | - | - | - | 98,1 | 85,6 | 76,1 | |
349 | 96,0 | 811,7 | 17 | - | - | - | 104,5 | 91,1 | 81,1 | |
350 | 100,0 | 863,4 | 18 | - | - | - | 111,1 | 96,8 | 86,2 | |
351 | 110,0 | 997,2 | 20 | - | - | - | 127,7 | 111,3 | 98,9 | |
352 | 120,0 | 1137,4 | 23 | - | - | - | 145,7 | 126,9 | 112,8 | |
353 | С17 ![]() | 3,0 | 8,3 | 1 | 4,1 | 3,7 | 3,2 | 2,9 | - | - |
354 | 4,0 | 12,5 | 1 | 5,6 | 5,1 | 4,3 | 3,8 | - | - | |
355 | 5,0 | 17,0 | 1 | - | 5,2 | 4,8 | 4,2 | 3,7 | 3,4 | |
356 | 6,0 | 22,0 | 1 | - | 6,4 | 5,9 | 5,1 | 4,5 | 4,1 | |
357 | 7,0 | 27,3 | 1 | - | 7,7 | 7,1 | 6,1 | 5,3 | 4,8 | |
358 | 8,0 | 33,0 | 2 | - | 9,7 | 8,9 | 7,7 | 6,8 | 6,2 | |
359 | 9,0 | 38,9 | 2 | - | 11,1 | 10,2 | 8,8 | 7,7 | 7,0 | |
360 | 10,0 | 45,1 | 2 | - | 12,6 | 11,5 | 9,9 | 8,7 | 7,8 | |
361 | 12,0 | 66,0 | 2 | - | - | 14,8 | 12,7 | 11,1 | 9,9 | |
362 | 14,0 | 88,4 | 2 | - | - | 19,3 | 16,4 | 14,3 | 12,7 | |
363 | 16,0 | 113,7 | 3 | - | - | 24,9 | 21,1 | 18,4 | 16,4 | |
364 | 18,0 | 142,1 | 3 | - | - | 30,5 | 25,8 | 22,5 | 19,9 | |
365 | 20,0 | 173,4 | 4 | - | - | 37,3 | 31,6 | 27,5 | 24,4 | |
366 | 22,0 | 207,7 | 5 | - | - | 41,2 | 34,9 | 30,5 | 27,0 | |
367 | 24,0 | 244,8 | 5 | - | - | 47,9 | 40,5 | 35,3 | 31,2 | |
368 | 26,0 | 284,8 | 6 | - | - | 55,7 | 47,1 | 41,0 | 36,2 | |
369 | 28,0 | 327,6 | 7 | - | - | 64,1 | 54,2 | 47,1 | 41,6 | |
370 | 30,0 | 373,3 | 8 | - | - | 72,9 | 61,6 | 53,6 | 47,3 | |
371 | 32,0 | 421,7 | 9 | - | - | 76,3 | 64,6 | 56,2 | 49,9 | |
372 | 34,0 | 472,9 | 10 | - | - | 85,4 | 72,2 | 62,9 | 55,8 | |
373 | 36,0 | 526,9 | 11 | - | - | 94,9 | 80,3 | 69,9 | 62,0 | |
374 | 38,0 | 583,5 | 12 | - | - | 104,9 | 88,8 | 77,2 | 68,5 | |
375 | 40,0 | 643,0 | 13 | - | - | 115,4 | 97,6 | 84,8 | 75,3 | |
376 | 42,0 | 705,1 | 15 | - | - | 126,9 | 107,4 | 93,4 | 82,9 | |
377 | 44,0 | 769,9 | 16 | - | - | 138,3 | 116,9 | 101,7 | 90,2 | |
378 | 46,0 | 837,3 | 16 | - | - | 150,1 | 126,9 | 110,3 | 97,8 | |
379 | 48,0 | 907,5 | 19 | - | - | 162,9 | 137,8 | 119,8 | 106,3 | |
Индекс | а | б | в | г | д | е | ||||
Швы стыковых соединений С1, С2, С3, С4, С5, С6, С7, С8, С9, С10, С11, С12, С13, С14, С15, С16, С17, С18, С19, С20, С21, С23, С24, С25, С26, С27, С28 | Полуавтоматическая дуговая сварка в среде двуокиси углерода легированных и высоколегированных сталей | |||||||||
Карта 11 | Лист 9 | |||||||||
Основной шов | ||||||||||
Номер позиции | Тип шва | Толщина металла, мм | Площадь сечения, мм2 | Количество проходов | Диаметр проволоки, мм | |||||
0,8 | 1,0 | 1,2 | 1,4 | 1,6 | 2,0 | |||||
Неполное штучное время на 1 м шва, мин. | ||||||||||
380 | С17 | 50,0 | 980,3 | 20 | - | - | 175,6 | 148,4 | 129,0 | 114,4 |
381 | 52,0 | 1055,7 | 22 | - | - | 189,3 | 160,1 | 139,2 | 123,5 | |
382 | 54,0 | 1133,8 | 23 | - | - | 202,9 | 171,5 | 149,0 | 132,2 | |
383 | 56,0 | 1214,4 | 25 | - | - | 217,5 | 183,8 | 159,8 | 141,7 | |
384 | 58,0 | 1297,7 | 26 | - | - | 232,0 | 196,0 | 170,3 | 151,0 | |
385 | 60,0 | 1383,6 | 28 | - | - | 247,4 | 209,0 | 181,6 | 161,1 | |
386 | С18 ![]() | 3,0 | 12,3 | 1 | 5,5 | 5,0 | 4,3 | 3,7 | - | - |
387 | 4,0 | 17,1 | 1 | 7,3 | 6,6 | 5,5 | 4,8 | - | - | |
388 | 5,0 | 22,1 | 1 | - | 7,0 | 5,9 | 5,1 | 4,5 | 4,1 | |
389 | 6,0 | 27,2 | 1 | - | 7,7 | 7,0 | 6,0 | 5,3 | 4,8 | |
390 | 7,0 | 32,4 | 2 | - | 9,5 | 8,7 | 7,6 | 6,7 | 6,1 | |
391 | 8,0 | 37,7 | 2 | - | 10,8 | 9,9 | 8,5 | 7,5 | 6,8 | |
392 | 9,0 | 43,1 | 2 | - | 12,1 | 11,1 | 9,5 | 8,4 | 7,5 | |
393 | 10,0 | 48,6 | 2 | - | 13,5 | 12,3 | 10,5 | 9,3 | 8,3 | |
394 | 12,0 | 73,9 | 2 | - | - | 16,4 | 14,0 | 12,2 | 10,9 | |
395 | 14,0 | 97,7 | 2 | - | - | 21,1 | 17,9 | 15,6 | 13,9 | |
396 | 16,0 | 124,4 | 3 | - | - | 27,0 | 22,9 | 19,9 | 17,8 | |
397 | 18,0 | 154,0 | 4 | - | - | 33,4 | 28,4 | 24,7 | 22,0 | |
398 | 20,0 | 186,4 | 4 | - | - | 39,9 | 33,7 | 29,3 | 26,0 | |
399 | 22,0 | 221,5 | 5 | - | - | 43,7 | 37,0 | 32,3 | 28,5 | |
400 | 24,0 | 259,3 | 6 | - | - | 51,1 | 43,3 | 37,7 | 33,4 | |
401 | 26,0 | 299,8 | 6 | - | - | 58,4 | 49,4 | 42,9 | 37,9 | |
402 | 28,0 | 342,8 | 7 | - | - | 66,8 | 56,5 | 49,1 | 43,3 | |
403 | 30,0 | 388,5 | 8 | - | - | 75,6 | 63,9 | 55,6 | 49,1 | |
404 | 32,0 | 436,6 | 9 | - | - | 78,7 | 66,6 | 58,0 | 51,5 | |
405 | 34,0 | 487,3 | 10 | - | - | 87,8 | 74,2 | 64,6 | 57,3 | |
406 | 36,0 | 540,5 | 11 | - | - | 97,2 | 82,2 | 71,5 | 63,5 | |
407 | 38,0 | 596,1 | 12 | - | - | 107,0 | 90,5 | 78,7 | 69,8 | |
408 | 40,0 | 654,1 | 14 | - | - | 117,8 | 99,7 | 86,7 | 77,0 | |
409 | 42,0 | 714,5 | 15 | - | - | 128,5 | 108,7 | 94,5 | 83,9 | |
410 | 44,0 | 777,3 | 16 | - | - | 139,5 | 118,0 | 102,6 | 91,0 | |
411 | 46,0 | 842,5 | 17 | - | - | 151,0 | 127,6 | 110,9 | 98,4 | |
412 | 48,0 | 910,0 | 19 | - | - | 163,4 | 138,1 | 120,1 | 106,6 | |
413 | 50,0 | 979,8 | 20 | - | - | 175,6 | 148,4 | 129,0 | 114,4 | |
414 | 52,0 | 1052,0 | 21 | - | - | 188,1 | 159,0 | 138,1 | 122,5 | |
415 | 54,0 | 1126,4 | 23 | - | - | 201,7 | 170,5 | 148,1 | 131,4 | |
416 | 56,0 | 1203,1 | 25 | - | - | 215,6 | 182,3 | 158,4 | 140,5 | |
417 | 58,0 | 1282,0 | 26 | - | - | 229,3 | 193,8 | 168,4 | 149,3 | |
418 | 60,0 | 1363,2 | 28 | - | - | 244,0 | 206,2 | 179,2 | 158,9 | |
419 | С19 ![]() | 3,0 | 9,6 | 1 | 4,6 | 4,2 | 3,6 | 3,2 | - | - |
420 | 4,0 | 14,0 | 1 | 6,1 | 5,6 | 4,7 | 4,1 | - | - | |
421 | 5,0 | 18,8 | 1 | - | 5,6 | 5,2 | 4,5 | 4,0 | 3,6 | |
422 | 6,0 | 23,8 | 1 | - | 6,8 | 6,3 | 5,4 | 4,8 | 4,3 | |
423 | 7,0 | 29,0 | 2 | - | 8,7 | 8,0 | 7,0 | 6,2 | 5,6 | |
424 | 8,0 | 34,5 | 2 | - | 10,1 | 9,2 | 7,9 | 7,0 | 6,4 | |
425 | 9,0 | 40,3 | 2 | - | 11,4 | 10,5 | 9,0 | 7,9 | 7,2 | |
426 | 10,0 | 46,2 | 2 | - | 12,9 | 11,8 | 10,1 | 8,9 | 8,0 | |
427 | 12,0 | 71,3 | 2 | - | - | 15,9 | 13,5 | 11,9 | 10,6 | |
Индекс | а | б | в | г | д | е | ||||
Швы стыковых соединений С1, С2, С3, С4, С5, С6, С7, С8, С9, С10, С11, С12, С13, С14, С15, С16, С17, С18, С19, С20, С21, С23, С24, С25, С26, С27, С28 | Полуавтоматическая дуговая сварка в среде двуокиси углерода легированных и высоколегированных сталей | |||||||||
Карта 11 | Лист 10 | |||||||||
Основной шов | ||||||||||
Номер позиции | Тип шва | Толщина металла, мм | Площадь сечения, мм2 | Количество проходов | Диаметр проволоки, мм | |||||
0,8 | 1,0 | 1,2 | 1,4 | 1,6 | 2,0 | |||||
Неполное штучное время на 1 м шва, мин. | ||||||||||
428 | С19 | 14,0 | 94,9 | 2 | - | - | 20,6 | 17,4 | 15,2 | 13,5 |
429 | 16,0 | 121,6 | 3 | - | - | 26,4 | 22,4 | 19,5 | 17,4 | |
430 | 18,0 | 151,2 | 3 | - | - | 32,3 | 27,3 | 23,7 | 21,1 | |
431 | 20,0 | 183,8 | 4 | - | - | 39,4 | 33,3 | 28,9 | 25,7 | |
432 | 22,0 | 219,3 | 5 | - | - | 43,3 | 3,67 | 32,0 | 28,3 | |
433 | 24,0 | 257,7 | 6 | - | - | 50,8 | 43,1 | 37,5 | 33,2 | |
434 | 26,0 | 298,9 | 6 | - | - | 58,3 | 49,3 | 42,8 | 37,8 | |
435 | 28,0 | 342,9 | 7 | - | - | 66,8 | 56,5 | 49,1 | 43,4 | |
436 | 30,0 | 389,7 | 8 | - | - | 75,9 | 64,1 | 55,7 | 49,2 | |
437 | 32,0 | 439,2 | 9 | - | - | 79,2 | 67,0 | 58,3 | 51,8 | |
438 | 34,0 | 491,5 | 10 | - | - | 88,5 | 74,8 | 65,1 | 57,8 | |
439 | 36,0 | 546,4 | 11 | - | - | 98,2 | 83,0 | 72,2 | 64,1 | |
440 | 38,0 | 604,0 | 13 | - | - | 108,9 | 92,2 | 80,2 | 71,2 | |
441 | 40,0 | 664,2 | 14 | - | - | 119,5 | 101,1 | 87,9 | 78,1 | |
442 | 42,0 | 727,0 | 15 | - | - | 130,6 | 110,4 | 96,0 | 85,2 | |
443 | 44,0 | 792,5 | 16 | - | - | 142,0 | 120,1 | 104,4 | 92,6 | |
444 | 46,0 | 860,5 | 18 | - | - | 154,5 | 130,7 | 113,6 | 100,8 | |
445 | 48,0 | 931,1 | 19 | - | - | 166,9 | 141,0 | 122,6 | 108,8 | |
446 | 50,0 | 1004,3 | 21 | - | - | 180,2 | 152,4 | 132,5 | 117,5 | |
447 | 52,0 | 1080,0 | 22 | - | - | 193,4 | 163,4 | 142,0 | 126,0 | |
448 | 54,0 | 1158,3 | 24 | - | - | 207,6 | 175,5 | 152,5 | 135,3 | |
449 | 56,0 | 1239,0 | 25 | - | - | 221,6 | 187,2 | 162,7 | 144,3 | |
450 | 58,0 | 1322,3 | 27 | - | - | 236,6 | 199,9 | 173,8 | 154,1 | |
451 | 60,0 | 1408,0 | 29 | - | - | 252,1 | 213,0 | 185,1 | 164,2 | |
452 | С20 ![]() | 3,0 | 11,1 | 1 | 5,1 | 4,6 | 4,0 | 3,5 | - | - |
453 | 4,0 | 15,9 | 1 | 6,8 | 6,2 | 5,2 | 4,5 | - | - | |
454 | 5,0 | 21,2 | 1 | - | 6,2 | 5,7 | 4,9 | 4,4 | 4,0 | |
455 | 6,0 | 26,7 | 1 | - | 7,6 | 6,9 | 5,9 | 5,2 | 4,7 | |
456 | 7,0 | 32,4 | 2 | - | 9,5 | 8,8 | 7,6 | 6,7 | 6,1 | |
457 | 8,0 | 38,4 | 2 | - | 11,0 | 10,1 | 8,7 | 7,7 | 6,9 | |
458 | 9,0 | 44,6 | 2 | - | 12,5 | 11,4 | 9,8 | 8,6 | 7,7 | |
459 | 10,0 | 51,0 | 2 | - | 14,1 | 12,8 | 10,9 | 9,6 | 8,6 | |
460 | 12,0 | 78,0 | 2 | - | - | 17,2 | 14,6 | 12,8 | 11,4 | |
461 | 14,0 | 103,0 | 3 | - | - | 22,8 | 19,4 | 16,9 | 15,1 | |
462 | 16,0 | 131,2 | 3 | - | - | 28,3 | 24,0 | 20,9 | 18,6 | |
463 | 18,0 | 162,3 | 4 | - | - | 35,1 | 29,7 | 25,9 | 23,0 | |
464 | 20,0 | 196,4 | 4 | - | - | 41,8 | 35,4 | 30,7 | 27,3 | |
465 | 22,0 | 233,4 | 5 | - | - | 45,8 | 38,8 | 33,8 | 29,9 | |
466 | 24,0 | 273,1 | 6 | - | - | 53,6 | 45,4 | 39,5 | 34,9 | |
467 | 26,0 | 315,7 | 7 | - | - | 61,9 | 52,4 | 45,6 | 40,3 | |
468 | 28,0 | 360,9 | 8 | - | - | 70,7 | 59,8 | 52,0 | 46,0 | |
469 | 30,0 | 408,9 | 9 | - | - | 79,9 | 67,6 | 58,8 | 51,9 | |
470 | 32,0 | 459,5 | 10 | - | - | 83,1 | 70,4 | 61,3 | 54,4 | |
471 | 34,0 | 512,7 | 11 | - | - | 92,6 | 78,4 | 68,2 | 60,6 | |
472 | 36,0 | 568,6 | 12 | - | - | 102,4 | 86,7 | 75,4 | 67,0 | |
473 | 38,0 | 626,9 | 13 | - | - | 112,7 | 95,4 | 82,9 | 73,6 | |
474 | 40,0 | 687,9 | 14 | - | - | 123,5 | 104,4 | 90,8 | 80,5 | |
475 | 42,0 | 751,3 | 15 | - | - | 134,6 | 113,8 | 98,9 | 87,7 | |
476 | 44,0 | 817,2 | 17 | - | - | 146,7 | 124,1 | 107,9 | 95,7 | |
Индекс | а | б | в | г | д | е | ||||
Швы стыковых соединений С1, С2, С3, С4, С5, С6, С7, С8, С9, С10, С11, С12, С13, С14, С15, С16, С17, С18, С19, С20, С215 С23, С24, С25, С26, С27, С28 | Полуавтоматическая дуговая сварка в среде двуокиси углерода легированных и высоколегированных сталей | |||||||||
Карта 11 | Лист 11 | |||||||||
Основной шов | ||||||||||
Номер позиции | Тип шва | Толщина металла, мм | Площадь сечения, мм2 | Количество проходов | Диаметр проволоки, мм | |||||
0,8 | 1,0 | 1,2 | 1,4 | 1,6 | 2,0 | |||||
Неполное штучное время на 1 м шва, мин. | ||||||||||
477 | С20 | 46,0 | 885,6 | 18 | - | - | 158,7 | 134,2 | 116,6 | 103,4 |
478 | 48,0 | 956,5 | 20 | - | - | 171,7 | 145,1 | 126,2 | 112,0 | |
479 | 50,0 | 1029,8 | 21 | - | - | 184,4 | 155,9 | 135,5 | 120,2 | |
480 | 52,0 | 1105,4 | 23 | - | - | 198,2 | 167,5 | 145,6 | 129,2 | |
481 | 54,0 | 1183,5 | 24 | - | - | 211,8 | 179,0 | 155,5 | 137,9 | |
482 | 56,0 | 1263,9 | 26 | - | - | 226,3 | 191,3 | 166,2 | 147,5 | |
483 | 58,0 | 1346,7 | 27 | - | - | 240,7 | 203,3 | 176,7 | 156,6 | |
484 | 60,0 | 1431,9 | 29 | - | - | 256,0 | 216,3 | 187,9 | 166,7 | |
485 | С21 ![]() | 3,0 | 9,1 | 1 | 4,4 | 4,0 | 3,4 | 3,0 | - | - |
486 | 4,0 | 13,5 | 1 | 5,9 | 5,4 | 4,6 | 4,0 | - | - | |
487 | 5,0 | 18,2 | 1 | - | 5,5 | 5,1 | 4,4 | 3,9 | 3,6 | |
488 | 6,0 | 23,4 | 1 | - | 6,8 | 6,2 | 5,3 | 4,7 | 4,3 | |
489 | 7,0 | 28,8 | 2 | - | 8,7 | 8,0 | 6,9 | 6,2 | 5,6 | |
490 | 8,0 | 34,6 | 2 | - | 10,1 | 9,2 | 8,0 | 7,1 | 6,4 | |
491 | 9,0 | 40,6 | 2 | - | 11,5 | 10,5 | 9,0 | 8,0 | 7,2 | |
492 | 10,0 | 46,8 | 2 | - | 13,0 | 11,9 | 10,2 | 9,0 | 8,1 | |
493 | 12,0 | 69,0 | 2 | - | - | 15,4 | 13,2 | 11,5 | 10,3 | |
494 | 14,0 | 91,8 | 2 | - | - | 20,0 | 16,9 | 14,8 | 13,1 | |
495 | 16,0 | 117,6 | 3 | - | - | 25,6 | 21,8 | 19,0 | 16,9 | |
496 | 18,0 | 146,3 | 3 | - | - | 31,3 | 26,5 | 23,1 | 20,5 | |
497 | 20,0 | 177,9 | 4 | - | - | 38,2 | 32,3 | 28,1 | 25,0 | |
498 | 22,0 | 212,4 | 5 | - | - | 42,0 | 35,6 | 31,1 | 27,5 | |
499 | 24,0 | 249,6 | 5 | - | - | 48,8 | 41,3 | 35,9 | 31,7 | |
500 | 26,0 | 289,5 | 6 | - | - | 56,6 | 47,9 | 41,6 | 36,8 | |
501 | 28,0 | 332,2 | 7 | - | - | 64,9 | 54,9 | 47,7 | 42,1 | |
502 | 30,0 | 377,5 | 8 | - | - | 73,7 | 62,3 | 54,2 | 47,8 | |
503 | 32,0 | 425,6 | 9 | - | - | 76,9 | 65,1 | 56,7 | 50,3 | |
504 | 34,0 | 476,2 | 10 | - | - | 85,9 | 72,7 | 63,3 | 56,2 | |
505 | 36,0 | 529,5 | 11 | - | - | 95,4 | 80,7 | 70,2 | 62,3 | |
506 | 38,0 | 585,4 | 12 | - | - | 105,2 | 89,0 | 77,4 | 68,7 | |
507 | 40,0 | 643,8 | 13 | - | - | 115,5 | 97,7 | 84,9 | 75,4 | |
508 | 42,0 | 704,8 | 15 | - | - | 126,9 | 107,3 | 93,4 | 82,9 | |
509 | 44,0 | 768,3 | 16 | - | - | 138,0 | 116,7 | 101,5 | 90,1 | |
510 | 46,0 | 834,4 | 17 | - | - | 149,6 | 126,5 | 109,9 | 97,5 | |
511 | 48,0 | 902,9 | 19 | - | - | 162,2 | 137,1 | 119,2 | 105,8 | |
512 | 50,0 | 973,9 | 20 | - | - | 174,6 | 147,6 | 128,3 | 113,8 | |
513 | 52,0 | 1047,4 | 21 | - | - | 187,4 | 158,3 | 137,6 | 122,0 | |
514 | 54,0 | 1123,4 | 23 | - | - | 201,2 | 170,0 | 147,8 | 131,1 | |
515 | 56,0 | 1201,8 | 24 | - | - | 214,8 | 181,5 | 157,7 | 139,8 | |
516 | 58,0 | 1282,6 | 26 | - | - | 229,4 | 193,9 | 168,5 | 149,4 | |
517 | 60,0 | 1365,9 | 28 | - | - | 244,5 | 206,6 | 179,5 | 159,2 | |
518 | С23 ![]() | 24,0 | 417,3 | 9 | - | - | 81,4 | 68,9 | 59,9 | 52,9 |
519 | 26,0 | 469,4 | 10 | - | - | 91,5 | 77,3 | 67,2 | 59,3 | |
520 | 28,0 | 523,3 | 11 | - | - | 101,8 | 86,0 | 74,7 | 66,0 | |
521 | 30,0 | 579,2 | 12 | - | - | 112,5 | 95,0 | 82,5 | 72,8 | |
522 | 32,0 | 636,8 | 13 | - | - | 114,4 | 96,7 | 84,1 | 74,6 | |
523 | 34,0 | 696,1 | 14 | - | - | 124,8 | 105,5 | 91,7 | 81,4 | |
524 | 36,0 | 757,1 | 16 | - | - | 136,2 | 115,2 | 100,2 | 88,9 | |
Индекс | а | б | в | г | д | е | ||||
Швы стыковых соединений С1, С2, С3, С4, С5, С6, С7, С8, С9, С10, С11, С12, С13, С14, С15, С16, С17, С18, С19, С20, С21, С23, С24, С25, С26, С27, С28 | Полуавтоматическая дуговая сварка в среде двуокиси углерода легированных и высоколегированных сталей | |||||||||
Карта 11 | Лист 12 | |||||||||
Основной шов | ||||||||||
Номер позиции | Тип шва | Толщина металла, мм | Площадь сечения, мм2 | Количество проходов | Диаметр проволоки, мм | |||||
0,8 | 1,0 | 1,2 | 1,4 | 1,6 | 2,0 | |||||
Неполное штучное время на 1 м шва, мин. | ||||||||||
525 | С23 | 38,0 | 819,7 | 17 | - | - | 147,1 | 124,4 | 108,2 | 96,0 |
526 | 40,0 | 883,8 | 18 | - | - | 158,4 | 133,9 | 116,4 | 103,3 | |
527 | 42,0 | 949,5 | 19 | - | - | 169,9 | 143,6 | 124,8 | 110,7 | |
528 | 44,0 | 1016,6 | 21 | - | - | 182,3 | 154,1 | 133,9 | 118,8 | |
529 | 46,0 | 1085,2 | 22 | - | - | 194,3 | 164,2 | 142,7 | 126,5 | |
530 | 48,0 | 1155,3 | 24 | - | - | 207,1 | 175,0 | 152,1 | 135,0 | |
531 | 50,0 | 1226,7 | 25 | - | - | 219,5 | 185,5 | 161,2 | 143,0 | |
532 | 52,0 | 1299,4 | 26 | - | - | 232,2 | 196,2 | 170,5 | 151,1 | |
533 | 54,0 | 1373,5 | 28 | - | - | 245,7 | 207,6 | 180,4 | 160,0 | |
534 | 56,0 | 1448,9 | 29 | - | - | 258,9 | 218,7 | 190,0 | 168,4 | |
535 | 58,0 | 1525,5 | 31 | - | - | 272,8 | 230,5 | 200,2 | 177,6 | |
536 | 60,0 | 1603,4 | 33 | - | - | 286,9 | 242,4 | 210,7 | 186,8 | |
537 | 64,0 | 1762,9 | 36 | - | - | - | 250,1 | 218,0 | 196,2 | |
538 | 68,0 | 1927,1 | 39 | - | - | - | 262,2 | 228,1 | 202,5 | |
539 | 72,0 | 2095,9 | 42 | - | - | - | 284,8 | 247,8 | 220,0 | |
540 | 76,0 | 2269,1 | 46 | - | - | - | 308,6 | 268,5 | 238,4 | |
541 | 80,0 | 2446,7 | 49 | - | - | - | 332,4 | 289,1 | 256,6 | |
542 | 84,0 | 2628,5 | 53 | - | - | - | 335,5 | 292,1 | 259,6 | |
543 | 88,0 | 2814,4 | 57 | - | - | - | 359,3 | 312,9 | 278,0 | |
544 | 92,0 | 3004,4 | 61 | - | - | - | 383,6 | 334,0 | 296,8 | |
545 | 96,0 | 3198,2 | 64 | - | - | - | 407,8 | 354,9 | 315,3 | |
546 | 100,0 | 3395,8 | 68 | - | - | - | 432,9 | 376,9 | 334,8 | |
547 | С24 ![]() | 24,0 | 279,9 | 6 | - | - | 54,8 | 46,4 | 40,4 | 35,7 |
548 | 26,0 | 318,9 | 7 | - | - | 62,5 | 52,9 | 46,0 | 40,7 | |
549 | 28,0 | 360,0 | 8 | - | - | 70,5 | 59,6 | 51,9 | 45,9 | |
550 | 30,0 | 402,9 | 9 | - | - | 78,9 | 66,7 | 58,0 | 51,3 | |
551 | 32,0 | 447,7 | 9 | - | - | 80,6 | 68,2 | 59,3 | 52,6 | |
552 | 34,0 | 494,3 | 10 | - | - | 88,9 | 75,2 | 65,4 | 58,1 | |
553 | 36,0 | 542,7 | 11 | - | - | 97,6 | 82,5 | 71,7 | 63,7 | |
554 | 38,0 | 592,8 | 12 | - | - | 106,5 | 90,0 | 78,3 | 69,5 | |
555 | 40,0 | 644,6 | 13 | - | - | 115,7 | 97,8 | 85,0 | 75,4 | |
556 | 42,0 | 698,0 | 14 | - | - | 125,2 | 105,8 | 92,0 | 81,6 | |
557 | 44,0 | 753,1 | 16 | - | - | 135,5 | 114,6 | 99,7 | 88,5 | |
558 | 46,0 | 809,8 | 17 | - | - | 145,5 | 123,1 | 107,0 | 95,0 | |
559 | 48,0 | 868,1 | 18 | - | - | 155,8 | 131,7 | 114,5 | 101,6 | |
560 | 50,0 | 927,9 | 19 | - | - | 166,3 | 140,6 | 122,2 | 108,4 | |
561 | 52,0 | 989,3 | 20 | - | - | 177,1 | 149,7 | 130,1 | 115,4 | |
562 | 54,0 | 1052,2 | 21 | - | - | 188,2 | 159,0 | 138,1 | 122,5 | |
563 | 56,0 | 1116,6 | 23 | - | - | 200,1 | 169,1 | 147,0 | 130,4 | |
564 | 58,0 | 1182,5 | 24 | - | - | 211,6 | 178,8 | 155,4 | 137,8 | |
565 | 60,0 | 1249,8 | 25 | - | - | 223,4 | 188,7 | 164,0 | 145,4 | |
566 | 64,0 | 1388,7 | 28 | - | - | - | 189,1 | 164,5 | 146,1 | |
567 | 68,0 | 1533,2 | 31 | - | - | - | 208,8 | 181,6 | 161,3 | |
568 | 72,0 | 1683,2 | 34 | - | - | - | 229,1 | 199,3 | 177,0 | |
569 | 76,0 | 1838,6 | 37 | - | - | - | 250,1 | 217,5 | 193,2 | |
570 | 80,0 | 1999,2 | 40 | - | - | - | 271,7 | 236,3 | 209,8 | |
571 | 84,0 | 2165,0 | 44 | - | - | - | 276,7 | 240,9 | 214,1 | |
572 | 88,0 | 2335,9 | 47 | - | - | - | 298,2 | 259,6 | 230,7 | |
573 | 92,0 | 2511,8 | 51 | - | - | - | 320,8 | 279,4 | 248,3 | |
Индекс | а | б | в | г | д | е | ||||
Швы стыковых соединений С1, С2, С3, С4, С5, С6, С7, С8, С9, С10, С11, С12, С13, С14, С15, С16, С17, С18, С19, С20, С21, С23, С24, С25, С26, С27, С28 | Полуавтоматическая дуговая сварка в среде двуокиси углерода легированных и высоколегированных сталей | |||||||||
Карта 11 | Лист 13 | |||||||||
Основной шов | ||||||||||
Номер позиции | Тип шва | Толщина металла, мм | Площадь сечения, мм2 | Количество проходов | Диаметр проволоки, мм | |||||
0,8 | 1,0 | 1,2 | 1,4 | 1,6 | 2,0 | |||||
Неполное штучное время на 1 м шва, мин. | ||||||||||
574 | С24 | 96,0 | 2692,6 | 54 | - | - | - | 343,5 | 299,0 | 265,7 |
575 | 100,0 | 2878,2 | 58 | - | - | - | 367,3 | 319,8 | 284,1 | |
576 | С25 ![]() | 6,0 | 9,2 | 1 | - | 3,3 | 3,1 | 2,7 | 2,5 | 2,3 |
577 | 7,0 | 11,3 | 1 | - | 3,8 | 3,5 | 3,1 | 2,8 | 2,6 | |
578 | 8,0 | 13,5 | 1 | - | 4,3 | 4,0 | 3,5 | 3,2 | 2,9 | |
579 | 9,0 | 15,8 | 1 | - | 4,9 | 4,5 | 3,9 | 3,5 | 3,2 | |
580 | 10,0 | 18,1 | 1 | - | 5,5 | 5,0 | 4,4 | 3,9 | 3,5 | |
581 | 12,0 | 23,1 | 1 | - | - | 5,8 | 5,0 | 4,5 | 4,0 | |
582 | 14,0 | 28,4 | 1 | - | - | 6,8 | 5,9 | 5,2 | 4,7 | |
583 | 16,0 | 36,3 | 1 | - | - | 8,4 | 7,2 | 6,3 | 5,7 | |
584 | 18,0 | 44,9 | 1 | - | - | 10,1 | 8,6 | 7,5 | 6,7 | |
585 | 20,0 | 54,3 | 2 | - | - | 12,5 | 10,7 | 9,4 | 8,5 | |
586 | 22,0 | 64,4 | 2 | - | - | 13,5 | 11,6 | 10,2 | 9,1 | |
587 | 24,0 | 75,4 | 2 | - | - | 15,5 | 13,2 | 11,6 | 10,4 | |
588 | 26,0 | 87,0 | 2 | - | - | 17,6 | 15,0 | 13,1 | 11,7 | |
589 | 28,0 | 99,5 | 2 | - | - | 19,9 | 16,9 | 14,7 | 13,1 | |
590 | 30,0 | 112,6 | 3 | - | - | 22,8 | 19,4 | 17,0 | 15,1 | |
591 | 32,0 | 126,5 | 3 | - | - | 23,6 | 20,1 | 17,6 | 15,7 | |
592 | 34,0 | 141,1 | 3 | - | - | 26,1 | 22,1 | 19,4 | 17,3 | |
593 | 36,0 | 156,4 | 4 | - | - | 29,2 | 24,8 | 21,7 | 19,4 | |
594 | 38,0 | 172,3 | 4 | - | - | 31,8 | 27,1 | 23,6 | 21,1 | |
595 | 40,0 | 189,0 | 4 | - | - | 34,6 | 29,4 | 25,6 | 22,8 | |
596 | 42,0 | 206,3 | 5 | - | - | 38,1 | 32,4 | 28,3 | 25,2 | |
597 | 44,0 | 224,4 | 5 | - | - | 41,1 | 34,9 | 30,4 | 27,1 | |
598 | 46,0 | 243,0 | 5 | - | - | 44,2 | 37,4 | 32,6 | 29,0 | |
599 | 48,0 | 262,4 | 6 | - | - | 48,0 | 40,7 | 35,5 | 31,6 | |
600 | 50,0 | 282,4 | 6 | - | - | 51,3 | 43,5 | 37,9 | 33,7 | |
601 | 52,0 | 303,0 | 7 | - | - | 55,3 | 46,9 | 40,9 | 36,4 | |
602 | 54,0 | 324,3 | 7 | - | - | 58,9 | 49,9 | 43,5 | 38,6 | |
603 | 56,0 | 346,2 | 7 | - | - | 62,5 | 52,9 | 46,1 | 40,9 | |
604 | 58,0 | 368,8 | 8 | - | - | 66,9 | 56,6 | 49,3 | 43,8 | |
605 | 60,0 | 392,0 | 8 | - | - | 70,7 | 59,9 | 52,1 | 46,3 | |
606 | 64,0 | 440,3 | 9 | - | - | - | 60,6 | 52,8 | 47,0 | |
607 | 68,0 | 491,0 | 10 | - | - | - | 67,5 | 58,8 | 52,3 | |
608 | 72,0 | 544,2 | 11 | - | - | - | 74,6 | 65,0 | 57,8 | |
609 | 76,0 | 599,8 | 12 | - | - | - | 82,1 | 71,5 | 63,5 | |
610 | 80,0 | 657,8 | 14 | - | - | - | 90,4 | 78,8 | 70,1 | |
611 | 84,0 | 718,1 | 15 | - | - | - | 92,6 | 80,7 | 71,8 | |
612 | 88,0 | 780,8 | 16 | - | - | - | 100,4 | 87,5 | 77,8 | |
613 | 92,0 | 845,8 | 17 | - | - | - | 108,5 | 94,5 | 84,1 | |
614 | 96,0 | 913,1 | 19 | - | - | - | 117,4 | 102,4 | 91,1 | |
615 | 100,0 | 982,7 | 20 | - | - | - | 126,1 | 109,8 | 97,7 | |
616 | 110,0 | 1166,5 | 24 | - | - | - | 149,6 | 130,4 | 115,9 | |
617 | 120,0 | 1364,2 | 28 | - | - | - | 174,8 | 152,3 | 135,4 | |
Индекс | а | б | в | г | д | е | ||||
Швы стыковых соединений С1, С2, С3, С4, С5, С6, С7, С8, С9, С10, С11, С12, С13, С14, С15, С16, С17, С18, С19, С20, С21, С23, С24, С25, С26, С27, С28 | Полуавтоматическая дуговая сварка в среде двуокиси углерода легированных и высоколегированных сталей | |||||||||
Карта 11 | Лист 14 | |||||||||
Основной шов | ||||||||||
Номер позиции | Тип шва | Толщина металла, мм | Площадь сечения, мм2 | Количество проходов | Диаметр проволоки, мм | |||||
0,8 | 1,0 | 1,2 | 1,4 | 1,6 | 2,0 | |||||
Неполное штучное время на 1 м шва, мин. | ||||||||||
618 | С26 ![]() | 26,0 | 178,1 | 4 | - | - | 35,3 | 29,9 | 26,1 | 23,1 |
619 | 28,0 | 197,2 | 4 | - | - | 38,7 | 32,8 | 28,5 | 25,2 | |
620 | 30,0 | 216,8 | 5 | - | - | 42,9 | 36,3 | 31,6 | 28,0 | |
621 | 32,0 | 236,9 | 5 | - | - | 43,2 | 36,6 | 31,9 | 28,4 | |
622 | 34,0 | 257,5 | 6 | - | - | 47,2 | 40,6 | 34,9 | 31,1 | |
623 | 36,0 | 278,6 | 6 | - | - | 50,7 | 43,0 | 37,4 | 33,3 | |
624 | 38,0 | 300,1 | 6 | - | - | 54,3 | 45,9 | 40,0 | 35,5 | |
625 | 40,0 | 322,0 | 7 | - | - | 58,5 | 49,6 | 43,2 | 38,4 | |
626 | 42,0 | 344,3 | 7 | - | - | 62,2 | 52,7 | 45,8 | 40,7 | |
627 | 44,0 | 367,0 | 8 | - | - | 66,6 | 56,4 | 49,1 | 43,7 | |
628 | 46,0 | 390,1 | 8 | - | - | 70,4 | 59,6 | 51,9 | 46,1 | |
629 | 48,0 | 413,6 | 9 | - | - | 74,9 | 63,4 | 55,2 | 49,1 | |
630 | 50,0 | 437,5 | 9 | - | - | 78,9 | 66,8 | 58,1 | 51,6 | |
631 | 52,0 | 461,7 | 10 | - | - | 83,5 | 70,7 | 61,5 | 54,7 | |
632 | 54,0 | 486,3 | 10 | - | - | 87,6 | 74,1 | 64,5 | 57,2 | |
633 | 56,0 | 511,2 | 11 | - | - | 92,3 | 78,1 | 68,0 | 60,4 | |
634 | 58,0 | 536,5 | 11 | - | - | 96,5 | 81,6 | 71,0 | 63,0 | |
635 | 60,0 | 562,1 | 12 | - | - | 101,4 | 85,8 | 74,6 | 66,3 | |
636 | 64,0 | 614,2 | 13 | - | - | - | 88,5 | 76,6 | 68,4 | |
637 | 68,0 | 667,5 | 14 | - | - | - | 91,6 | 79,8 | 71,0 | |
638 | 72,0 | 722,1 | 15 | - | - | - | 99,0 | 86,2 | 76,6 | |
639 | 76,0 | 777,8 | 16 | - | - | - | 106,5 | 92,7 | 82,4 | |
640 | 80,0 | 834,6 | 17 | - | - | - | 114,1 | 99,3 | 88,2 | |
641 | 84,0 | 892,4 | 18 | - | - | - | 114,5 | 99,7 | 88,7 | |
642 | 88,0 | 951,3 | 19 | - | - | - | 121,9 | 106,1 | 94,4 | |
643 | 92,0 | 1011,3 | 21 | - | - | - | 129,9 | 113,2 | 100,7 | |
644 | 96,0 | 1072,2 | 22 | - | - | - | 137,6 | 119,9 | 106,6 | |
645 | 100,0 | 1134,0 | 23 | - | - | - | 145,3 | 126,6 | 112,5 | |
646 | 110,0 | 1292,7 | 26 | - | - | - | 165,4 | 144,0 | 128,0 | |
647 | 120,0 | 1456,9 | 30 | - | - | - | 186,7 | 162,6 | 144,6 | |
648 | С27 ![]() | 26,0 | 86,2 | 2 | - | - | 17,5 | 14,9 | 13,0 | 11,6 |
649 | 28,0 | 100,7 | 2 | - | - | 20,1 | 17,1 | 14,9 | 13,2 | |
650 | 30,0 | 116,5 | 3 | - | - | 23,5 | 20,0 | 17,5 | 15,6 | |
651 | 32,0 | 133,5 | 3 | - | - | 24,8 | 21,1 | 18,4 | 16,5 | |
652 | 34,0 | 151,7 | 3 | - | - | 27,8 | 23,6 | 20,6 | 18,4 | |
653 | 36,0 | 171,1 | 4 | - | - | 31,6 | 26,9 | 23,5 | 21,0 | |
654 | 38,0 | 191,8 | 4 | - | - | 35,1 | 29,8 | 26,0 | 23,1 | |
655 | 40,0 | 213,6 | 5 | - | - | 39,3 | 33,4 | 29,1 | 26,0 | |
656 | 42,0 | 236,8 | 5 | - | - | 43,2 | 36,6 | 31,9 | 28,4 | |
657 | 44,0 | 261,2 | 6 | - | - | 47,8 | 40,6 | 35,4 | 31,5 | |
658 | 46,0 | 286,8 | 6 | - | - | 52,1 | 44,1 | 38,4 | 34,2 | |
659 | 48,0 | 313,7 | 7 | - | - | 57,1 | 48,4 | 42,4 | 37,5 | |
660 | 50,0 | 341,9 | 7 | - | - | 61,8 | 52,3 | 45,6 | 40,5 | |
661 | 52,0 | 371,4 | 8 | - | - | 67,3 | 57,0 | 49,6 | 44,1 | |
662 | 54,0 | 402,1 | 8 | - | - | 72,4 | 61,3 | 53,3 | 47,3 | |
663 | 56,0 | 434,1 | 9 | - | - | 78,3 | 66,3 | 57,7 | 51,2 | |
664 | 58,0 | 467,5 | 10 | - | - | 84,5 | 71,5 | 62,2 | 55,8 | |
665 | 60,0 | 502,1 | 10 | - | - | 90,2 | 76,3 | 66,3 | 58,9 | |
666 | 64,0 | 575,2 | 12 | - | - | - | 79,1 | 68,9 | 61,2 | |
Индекс | а | б | в | г | д | е | ||||
Швы стыковых соединений С1, С2, С3, С4, С5, С6, С7, С8, С9, С10, С11, С12, С13, С14, С15, С16, С17, С18, С19, С20, С21, С23, С24 С25, С26, С27, С28 | Полуавтоматическая дуговая сварка в среде двуокиси углерода легированных и высоколегированных сталей | |||||||||
Карта 11 | Лист 15 | |||||||||
Основной шов | ||||||||||
Номер позиции | Тип шва | Толщина металла, мм | Площадь сечения, мм2 | Количество проходов | Диаметр проволоки, мм | |||||
0,8 | 1,0 | 1,2 | 1,4 | 1,6 | 2,0 | |||||
Неполное штучное время на 1 м шва, мин. | ||||||||||
667 | С27 | 68,0 | 653,6 | 14 | - | - | - | 89,9 | 78,4 | 69,7 |
668 | 72,0 | 737,3 | 15 | - | - | - | 100,9 | 87,8 | 78,0 | |
669 | 76,0 | 826,2 | 17 | - | - | - | 113,0 | 98,4 | 87,5 | |
670 | 80,0 | 920,5 | 19 | - | - | - | 125,9 | 109,6 | 97,4 | |
671 | 84,0 | 1020,2 | 21 | - | - | - | 131,0 | 114,1 | 101,5 | |
672 | 88,0 | 1125,3 | 23 | - | - | - | 144,3 | 125,7 | 111,8 | |
673 | 92,0 | 1235,7 | 25 | - | - | - | 158,2 | 137,8 | 122,5 | |
674 | 96,0 | 1351,7 | 27 | - | - | - | 172,8 | 150,5 | 133,7 | |
675 | 100,0 | 1473,1 | 30 | - | - | - | 188,6 | 164,2 | 146,0 | |
676 | 110,0 | 1800,7 | 36 | - | - | - | 229,9 | 200,2 | 177,9 | |
677 | 120,0 | 2163,1 | 44 | - | - | - | 276,5 | 240,8 | 214,0 | |
678 | С28 ![]() | 1,5 | 6,5 | 1 | 3,3 | 3,1 | 2,7 | 2,4 | - | - |
679 | 2,0 | 9,2 | 1 | 4,3 | 3,9 | 3,4 | 3,0 | - | - | |
680 | 2,5 | 12,1 | 1 | 5,4 | 4,9 | 4,1 | 3,6 | - | - | |
681 | 3,0 | 15,0 | 1 | 6,4 | 5,8 | 4,9 | 4,2 | - | - | |
682 | 4,0 | 23,7 | 1 | 9,6 | 8,6 | 7,1 | 6,1 | - | - | |
683 | 5,0 | 36,2 | 2 | - | 10,3 | 9,4 | 8,1 | 7,2 | 6,2 | |
684 | 6,0 | 51,1 | 2 | - | 14,0 | 12,7 | 10,8 | 9,5 | 8,5 | |
685 | 7,0 | 68,5 | 3 | - | 18,7 | 17,0 | 14,5 | 12,8 | 11,4 | |
686 | 8,0 | 88,3 | 3 | - | 23,5 | 21,4 | 18,1 | 15,8 | 14,1 | |
687 | 9,0 | 110,4 | 4 | - | 29,4 | 26,7 | 22,7 | 19,8 | 17,7 | |
688 | 10,0 | 134,8 | 4 | - | 35,4 | 32,1 | 27,2 | 23,6 | 21,0 | |
689 | 12,0 | 190,5 | 4 | - | - | 40,4 | 34,1 | 29,6 | 26,3 | |
Индекс | а | б | в | г | д | е | ||||
С12, С13, С14, С21, С23, С24 | Полуавтоматическая дуговая сварка в среде двуокиси углерода легированных и высоколегированных сталей | |||||||||
Карта 12 | ||||||||||
Шов с противоположной стороны | ||||||||||
Номер позиции | Тип шва | Толщина металла, мм | Площадь сечения, мм2 | Количество проходов | Диаметр проволоки, мм | |||||
0,8 | 1,0 | 1,2 | 1,4 | 1,6 | 2,0 | |||||
Неполное штучное время на 1 м шва, мин. | ||||||||||
1 | С12 ![]() | 3 - 18 | 12,1 | 1 | 5,4 | 4,5 | 4,0 | 3,5 | 3,0 | 2,7 |
2 | 20 - 60 | 15,1 | 1 | - | - | 4,0 | 3,5 | 3,3 | 3,0 | |
3 | С13 ![]() | 18 - 28 | 15,1 | 1 | - | - | 4,0 | 3,6 | 3,3 | 3,0 |
4 | 30 - 60 | 22,8 | 1 | - | - | 5,3 | 4,6 | 4,1 | 3,8 | |
5 | 64 - 100 | 27,3 | 1 | 2,0 | - | - | 4,7 | 4,2 | 3,9 | |
6 | С14 ![]() | 18 - 54 | 15,1 | 1 | - | - | 4,0 | 3,6 | 3,3 | 3,0 |
7 | 56 - 100 | 18,2 | 1 | - | - | 4,4 | 3,7 | 3,3 | 3,2 | |
8 | С21 ![]() | 3 - 10 | 9,0 | 1 | 4,3 | 3,6 | 3,3 | 2,9 | 2,5 | 2,3 |
9 | 12 - 18 | 12,1 | 1 | - | - | 3,6 | 3,2 | 2,9 | 2,7 | |
10 | 20 - 130 | 15,1 | 1 | - | - | 3,9 | 3,5 | 3,2 | 3,0 | |
11 | С23 ![]() | 24 - 52 | 15,1 | 1 | - | - | 3,9 | 3,5 | 3,2 | 3,0 |
12 | 54 - 72 | 18,2 | 1 | - | - | 4,4 | 3,8 | 3,5 | 3,2 | |
13 | 76 - 100 | 27,3 | 1 | - | - | - | 4,7 | 4,2 | 3,9 | |
14 | С24 ![]() | 24 - 52 | 15,1 | 1 | - | - | 4,0 | 3,6 | 3,3 | 3,0 |
15 | 54 - 72 | 18,2 | 1 | - | - | 4,4 | 3,8 | 3,5 | 3,2 | |
16 | 76 - 100 | 27,3 | 1 | - | - | - | 4,7 | 4,2 | 3,9 | |
Индекс | а | б | в | г | д | е | ||||
У1, У2, У4, У5, У6, У7, У8, У9, У10 | Полуавтоматическая дуговая сварка в среде двуокиси углерода легированных и высоколегированных сталей | |||||||||
Карта 13 | Лист 1 | |||||||||
Основной шов | ||||||||||
Номер позиции | Тип шва | Толщина металла, мм | Площадь сечения, мм2 | Количество проходов | Диаметр проволоки, мм | |||||
0,8 | 1,0 | 1,2 | 1,4 | 1,6 | 2,0 | |||||
Неполное штучное время на 1 м шва, мин. | ||||||||||
1 | У1 ![]() | 0,5 | 3,1 | 1 | 2,5 | 2,3 | 2,2 | - | - | - |
2 | 0,8 | 4,0 | 1 | 2,9 | 2,7 | 2,5 | - | - | - | |
3 | 1,0 | 4,0 | 1 | 2,9 | 2,7 | 2,5 | - | - | - | |
4 | 1,5 | 5,2 | 1 | 3,0 | 2,8 | 2,5 | 2,3 | - | - | |
5 | 2,0 | 6,3 | 1 | 3,4 | 3,1 | 2,8 | 2,5 | - | - | |
6 | 2,5 | 7,3 | 1 | 3,8 | 3,5 | 3,0 | 2,7 | - | - | |
7 | 3,0 | 8,3 | 1 | 4,1 | 3,8 | 3,3 | 2,9 | - | - | |
8 | 4,0 | 10,3 | 1 | 4,8 | 4,4 | 3,8 | 3,3 | - | - | |
9 | У2 ![]() | 1,0 | 3,6 | 1 | 2,7 | 2,5 | 2,4 | - | - | - |
10 | 1,5 | 4,7 | 1 | 2,8 | 2,6 | 2,3 | 2,1 | - | - | |
11 | 2,0 | 10,6 | 1 | 5,0 | 4,5 | 3,9 | 3,4 | - | - | |
12 | 2,5 | 12,4 | 1 | 5,6 | 5,1 | 4,3 | 3,8 | - | - | |
13 | 3,0 | 14,0 | 1 | 6,2 | 5,6 | 4,8 | 4,2 | - | - | |
14 | 4,0 | 17,1 | 1 | 7,3 | 6,6 | 5,6 | 4,8 | - | - | |
15 | 5,0 | 36,8 | 2 | - | 10,7 | 9,8 | 8,5 | 7,5 | 6,8 | |
16 | 6,0 | 42,9 | 2 | - | 12,2 | 11,1 | 9,6 | 8,5 | 7,6 | |
17 | 7,0 | 48,7 | 2 | - | 13,6 | 12,4 | 10,7 | 9,4 | 8,4 | |
18 | 8,0 | 54,4 | 2 | - | 15,0 | 13,7 | 11,7 | 10,3 | 9,2 | |
19 | 9,0 | 60,0 | 2 | - | 16,4 | 14,9 | 12,7 | 11,1 | 10,0 | |
20 | 10,0 | 89,3 | 3 | - | 24,1 | 21,9 | 18,7 | 16,4 | 14,6 | |
21 | 12,0 | 104,9 | 3 | - | - | 23,3 | 19,8 | 17,3 | 15,5 | |
22 | У4 ![]() | 0,8 | 4,9 | 1 | 3,3 | 3,0 | 2,8 | - | - | - |
23 | 1,0 | 5,0 | 1 | 3,3 | 3,1 | 2,9 | - | - | - | |
24 | 1,5 | 7,5 | 1 | 3,8 | 3,5 | 3,1 | 2,8 | - | - | |
25 | 2,0 | 7,8 | 1 | 4,0 | 3,6 | 3,2 | 2,8 | - | - | |
26 | 2,5 | 8,0 | 1 | 4,0 | 3,7 | 3,2 | 2,9 | - | - | |
27 | 3,0 | 9,0 | 1 | 5,5 | 3,8 | 3,3 | 3,0 | - | - | |
28 | 4,0 | 10,0 | 1 | 5,7 | 4,2 | 3,5 | 3,3 | - | - | |
29 | 5,0 | 13,1 | 1 | - | 4,3 | 4,0 | 3,5 | 3,2 | 2,9 | |
30 | 6,0 | 21,2 | 1 | - | 6,3 | 5,8 | 5,0 | 4,4 | 4,0 | |
31 | 7,0 | 21,7 | 1 | - | 6,4 | 5,9 | 5,1 | 4,5 | 4,1 | |
32 | 8,0 | 22,2 | 1 | - | 6,5 | 6,0 | 5,2 | 4,6 | 4,2 | |
33 | У5 ![]() | 0,8 | 1,9 | 1 | 1,9 | 1,8 | 1,8 | - | - | - |
34 | 1,0 | 2,0 | 1 | 2,0 | 1,9 | 1,8 | - | - | - | |
35 | 1,5 | 3,0 | 1 | 2,2 | 2,1 | 1,9 | 1,8 | - | - | |
36 | 2,0 | 3,3 | 1 | 2,3 | 2,2 | 2,0 | 1,8 | - | - | |
37 | 2,5 | 3,5 | 1 | 2,4 | 2,2 | 2,0 | 1,9 | - | - | |
38 | 3,0 | 6,0 | 1 | 3,3 | 3,0 | 2,7 | 2,4 | - | - | |
39 | 4,0 | 6,5 | 1 | 3,5 | 3,1 | 2,8 | 2,5 | - | - | |
40 | 5,0 | 7,0 | 1 | - | 3,3 | 2,9 | 2,6 | 2,2 | 2,1 | |
41 | 6,0 | 9,8 | 1 | - | 3,5 | 3,3 | 2,9 | 2,6 | 2,5 | |
42 | 7,0 | 10,3 | 1 | - | 3,6 | 3,4 | 3,0 | 2,7 | 2,5 | |
43 | 8,0 | 10,8 | 1 | - | 3,7 | 3,5 | 3,1 | 2,8 | 2,6 | |
44 | 9,0 | 15,9 | 1 | - | 5,0 | 4,6 | 4,0 | 3,6 | 3,3 | |
45 | 10,0 | 16,4 | 1 | - | 5,1 | 4,7 | 4,1 | 3,7 | 3,4 | |
46 | 12,0 | 17,4 | 1 | - | - | 4,7 | 4,1 | 3,7 | 3,4 | |
а | б | в | г | д | е | |||||
Швы угловых соединений У1, У2, У4, У5, У6, У7, У8, У9, У10 | Полуавтоматическая дуговая сварка в среде двуокиси углерода легированных и высоколегированных сталей | |||||||||
Карта 13 | Лист 2 | |||||||||
Основной шов | ||||||||||
Номер позиции | Тип шва | Толщина металла, мм | Площадь сечения, мм2 | Количество проходов | Диаметр проволоки, мм | |||||
0,8 | 1,0 | 1,2 | 1,4 | 1,6 | 2,0 | |||||
Неполное штучное время на 1 м шва, мин. | ||||||||||
47 | У6 ![]() | 3,0 | 8,8 | 1 | 4,4 | 4,1 | 3,5 | 3,1 | - | - |
48 | 4,0 | 13,0 | 1 | 5,9 | 5,4 | 4,6 | 4,0 | - | - | |
49 | 5,0 | 17,6 | 1 | - | 5,5 | 5,1 | 4,4 | 4,0 | 3,6 | |
50 | 6,0 | 22,5 | 1 | - | 6,7 | 6,2 | 5,3 | 4,7 | 4,3 | |
51 | 7,0 | 27,7 | 1 | - | 8,0 | 7,3 | 6,3 | 5,6 | 5,0 | |
52 | 8,0 | 36,7 | 2 | - | 10,9 | 10,0 | 8,6 | 7,7 | 7,0 | |
53 | 9,0 | 45,7 | 2 | - | 13,1 | 11,5 | 10,3 | 9,1 | 8,2 | |
54 | 10,0 | 55,6 | 2 | - | 15,5 | 14,1 | 12,1 | 10,6 | 9,5 | |
55 | 12,0 | 78,1 | 2 | - | - | 17,5 | 14,9 | 13,1 | 11,7 | |
56 | 14,0 | 104,0 | 3 | - | - | 23,3 | 19,9 | 17,5 | 15,6 | |
57 | 16,0 | 133,3 | 3 | - | - | 29,2 | 24,7 | 21,6 | 19,2 | |
58 | 18,0 | 165,9 | 4 | - | - | 36,3 | 30,8 | 26,9 | 24,0 | |
59 | 20,0 | 201,8 | 4 | - | - | 43,4 | 36,8 | 32,0 | 28,4 | |
60 | 22,0 | 240,9 | 5 | - | - | 47,9 | 40,6 | 35,4 | 31,4 | |
61 | 24,0 | 283,1 | 6 | - | - | 56,2 | 47,7 | 41,6 | 36,8 | |
62 | 26,0 | 328,5 | 7 | - | - | 65,1 | 55,2 | 48,1 | 42,6 | |
63 | 28,0 | 377,0 | 8 | - | - | 74,6 | 63,2 | 55,1 | 48,8 | |
64 | 30,0 | 428,6 | 9 | - | - | 84,6 | 71,7 | 62,5 | 55,3 | |
65 | 32,0 | 483,2 | 10 | - | - | 88,3 | 74,9 | 65,3 | 58,2 | |
66 | 34,0 | 540,8 | 11 | - | - | 98,6 | 83,6 | 72,9 | 64,8 | |
67 | 36,0 | 601,4 | 12 | - | - | 109,4 | 92,7 | 80,8 | 71,9 | |
68 | 38,0 | 665,0 | 14 | - | - | 121,4 | 102,9 | 89,7 | 79,9 | |
69 | 40,0 | 731,5 | 15 | - | - | 133,1 | 112,8 | 98,4 | 87,5 | |
70 | 42,0 | 800,9 | 16 | - | - | 145,4 | 123,2 | 107,3 | 95,4 | |
71 | 44,0 | 873,2 | 18 | - | - | 158,8 | 134,6 | 117,3 | 104,3 | |
72 | 46,0 | 948,4 | 19 | - | - | 172,0 | 145,7 | 126,9 | 112,8 | |
73 | 48,0 | 1026,5 | 21 | - | - | 186,4 | 157,9 | 137,6 | 122,4 | |
74 | 50,0 | 1107,4 | 23 | - | - | 201,3 | 170,6 | 148,6 | 132,2 | |
75 | 52,0 | 1191,1 | 24 | - | - | 215,9 | 182,9 | 159,3 | 141,6 | |
76 | 54,0 | 1277,6 | 26 | - | - | 231,7 | 196,3 | 171,0 | 152,0 | |
77 | 56,0 | 1366,9 | 28 | - | - | 248,0 | 210,1 | 183,0 | 162,7 | |
78 | 58,0 | 1459,0 | 30 | - | - | 264,7 | 224,2 | 195,3 | 173,6 | |
79 | 60,0 | 1553,9 | 32 | - | - | 281,9 | 238,8 | 208,0 | 184,9 | |
80 | У7 ![]() | 3,0 | 8,4 | 1 | 4,3 | 3,9 | 3,4 | 3,1 | - | - |
81 | 4,0 | 13,0 | 1 | 5,9 | 5,4 | 4,6 | 4,0 | - | - | |
82 | 5,0 | 18,2 | 1 | - | 5,6 | 5,2 | 4,5 | 4,1 | 3,7 | |
83 | 6,0 | 23,9 | 1 | - | 7,0 | 6,5 | 5,6 | 5,0 | 4,5 | |
84 | 7,0 | 30,1 | 2 | - | 9,2 | 8,5 | 7,4 | 6,6 | 6,0 | |
85 | 8,0 | 36,7 | 2 | - | 10,9 | 10,0 | 8,6 | 7,7 | 7,0 | |
86 | 9,0 | 43,8 | 2 | - | 12,6 | 11,5 | 9,9 | 8,8 | 7,9 | |
87 | 10,0 | 56,3 | 2 | - | 15,6 | 14,2 | 12,2 | 10,7 | 9,6 | |
88 | 12,0 | 78,9 | 2 | - | - | 17,7 | 15,1 | 13,2 | 11,8 | |
89 | 14,0 | 105,0 | 3 | - | - | 23,6 | 20,1 | 17,6 | 15,7 | |
90 | 16,0 | 134,5 | 3 | - | - | 29,4 | 25,0 | 21,8 | 19,4 | |
91 | 18,0 | 167,4 | 4 | - | - | 36,6 | 31,1 | 27,1 | 24,2 | |
92 | 20,0 | 203,5 | 5 | - | - | 44,5 | 37,7 | 32,9 | 29,3 | |
93 | 22,0 | 242,8 | 5 | - | - | 48,2 | 40,9 | 35,7 | 31,6 | |
94 | 24,0 | 285,3 | 6 | - | - | 56,6 | 48,0 | 41,9 | 37,1 | |
Индекс | а | б | в | г | д | е | ||||
Швы угловых соединений У1, У2, У4, У5, У6, У7, У8, У9, У10 | Полуавтоматическая дуговая сварка в среде двуокиси углерода легированных и высоколегированных сталей | |||||||||
Карта 13 | Лист 3 | |||||||||
Основной шов | ||||||||||
Номер позиции | Тип шва | Толщина металла, мм | Площадь сечения, мм2 | Количество проходов | Диаметр проволоки, мм | |||||
0,8 | 1,0 | 1,2 | 1,4 | 1,6 | 2,0 | |||||
Неполное штучное время на 1 м шва, мин. | ||||||||||
95 | У7 | 26,0 | 331,0 | 7 | - | - | 65,6 | 55,6 | 48,5 | 42,9 |
96 | 28,0 | 397,8 | 8 | - | - | 75,1 | 63,6 | 55,5 | 49,1 | |
97 | 30,0 | 431,6 | 9 | - | - | 85,2 | 72,1 | 62,8 | 55,6 | |
98 | 32,0 | 486,4 | 10 | - | - | 88,9 | 75,4 | 65,7 | 58,5 | |
99 | 34,0 | 544,3 | 11 | - | - | 99,2 | 84,1 | 73,3 | 65,2 | |
100 | 36,0 | 605,2 | 13 | - | - | 110,7 | 93,9 | 81,9 | 72,9 | |
101 | 38,0 | 669,0 | 14 | - | - | 122,0 | 103,5 | 90,2 | 80,3 | |
102 | 40,0 | 735,7 | 15 | - | - | 133,8 | 113,4 | 98,9 | 87,9 | |
103 | 42,0 | 805,4 | 17 | - | - | 146,8 | 124,5 | 108,5 | 96,6 | |
104 | 44,0 | 877,9 | 18 | - | - | 159,6 | 135,3 | 117,9 | 104,8 | |
105 | 46,0 | 953,4 | 20 | - | - | 173,6 | 147,1 | 128,2 | 114,1 | |
106 | 48,0 | 1031,6 | 21 | - | - | 187,3 | 158,7 | 138,2 | 122,9 | |
107 | 50,0 | 1112,8 | 23 | - | - | 202,2 | 171,7 | 149,3 | 132,7 | |
108 | 52,0 | 1196,7 | 24 | - | - | 216,9 | 183,7 | 159,9 | 142,2 | |
109 | 54,0 | 1283,4 | 26 | - | - | 232,7 | 197,1 | 171,7 | 152,6 | |
110 | 56,0 | 1372,9 | 28 | - | - | 249,0 | 210,9 | 183,7 | 163,3 | |
111 | 58,0 | 1465,2 | 30 | - | - | 265,7 | 225,1 | 196,1 | 174,3 | |
112 | 60,0 | 1560,3 | 32 | - | - | 283,0 | 239,7 | 208,8 | 185,6 | |
113 | У8 ![]() | 6,0 | 10,3 | 1 | - | 3,7 | 3,5 | 3,1 | 2,8 | 2,6 |
114 | 7,0 | 12,5 | 1 | - | 4,3 | 4,0 | 3,5 | 3,2 | 2,9 | |
115 | 8,0 | 14,9 | 1 | - | 4,8 | 4,5 | 3,9 | 3,5 | 3,3 | |
116 | 9,0 | 17,3 | 1 | - | 5,4 | 5,0 | 4,4 | 3,9 | 3,6 | |
117 | 10,0 | 19,8 | 1 | - | 6,0 | 5,6 | 4,8 | 4,3 | 3,9 | |
118 | 12,0 | 24,9 | 1 | - | - | 6,3 | 5,5 | 4,9 | 4,4 | |
119 | 14,0 | 30,3 | 1 | - | - | 7,4 | 6,4 | 5,6 | 5,1 | |
120 | 16,0 | 36,0 | 1 | - | - | 8,5 | 7,3 | 6,4 | 5,8 | |
121 | 18,0 | 45,1 | 1 | - | - | 10,3 | 8,8 | 7,7 | 6,9 | |
122 | 20,0 | 55,0 | 2 | - | - | 12,9 | 11,1 | 9,8 | 8,9 | |
123 | 22,0 | 65,7 | 2 | - | - | 14,1 | 12,1 | 10,7 | 9,6 | |
124 | 24,0 | 77,3 | 2 | - | - | 16,2 | 13,8 | 12,2 | 10,9 | |
125 | 26,0 | 89,8 | 2 | - | - | 18,4 | 15,7 | 13,8 | 12,3 | |
126 | 28,0 | 103,2 | 3 | - | - | 21,5 | 18,4 | 16,2 | 14,5 | |
127 | 30,0 | 117,4 | 3 | - | - | 24,1 | 20,6 | 18,0 | 16,1 | |
128 | 32,0 | 132,4 | 3 | - | - | 25,0 | 21,4 | 18,7 | 16,8 | |
129 | 34,0 | 148,3 | 3 | - | - | 27,7 | 23,6 | 20,6 | 18,4 | |
130 | 36,0 | 165,1 | 4 | - | - | 31,2 | 26,6 | 23,3 | 20,9 | |
131 | 38,0 | 182,6 | 4 | - | - | 34,1 | 29,0 | 25,4 | 22,7 | |
132 | 40,0 | 201,0 | 4 | - | - | 37,2 | 31,6 | 27,6 | 24,6 | |
133 | 42,0 | 220,2 | 5 | - | - | 41,1 | 34,9 | 30,6 | 27,3 | |
134 | 44,0 | 240,3 | 5 | - | - | 44,4 | 37,7 | 33,0 | 29,4 | |
135 | 46,0 | 261,1 | 6 | - | - | 48,6 | 41,3 | 36,1 | 32,3 | |
136 | 48,0 | 282,7 | 6 | - | - | 52,1 | 44,3 | 38,7 | 34,5 | |
137 | 50,0 | 305,1 | 7 | - | - | 56,6 | 48,1 | 42,1 | 37,5 | |
138 | 52,0 | 328,4 | 7 | - | - | 60,4 | 51,3 | 44,8 | 40,0 | |
139 | 54,0 | 352,4 | 7 | - | - | 64,4 | 54,7 | 47,7 | 42,5 | |
140 | 56,0 | 377,2 | 8 | - | - | 69,3 | 58,8 | 51,3 | 45,7 | |
141 | 58,0 | 402,8 | 9 | - | - | 74,2 | 63,1 | 55,1 | 49,1 | |
142 | 60,0 | 429,1 | 9 | - | - | 78,6 | 66,7 | 58,2 | 51,8 | |
Индекс | а | б | в | г | д | е | ||||
Швы угловых соединений У1, У2, У4, У5, У6, У7, У8, У9, У10 | Полуавтоматическая дуговая сварка в среде двуокиси углерода легированных и высоколегированных сталей | |||||||||
Карта 13 | Лист 4 | |||||||||
Основной шов | ||||||||||
Номер позиции | Тип шва | Толщина металла, мм | Площадь сечения, мм2 | Количество проходов | Диаметр проволоки, мм | |||||
0,8 | 1,0 | 1,2 | 1,4 | 1,6 | 2,0 | |||||
Неполное штучное время на 1 м шва, мин. | ||||||||||
143 | У8 | 64,0 | 484,2 | 10 | - | - | - | 67,9 | 59,3 | 52,9 |
144 | 68,0 | 542,3 | 11 | - | - | - | 75,8 | 66,2 | 59,0 | |
145 | 72,0 | 603,5 | 13 | - | - | - | 84,7 | 74,0 | 66,0 | |
146 | 76,0 | 667,7 | 14 | - | - | - | 93,4 | 81,6 | 72,7 | |
147 | 80,0 | 734,9 | 15 | - | - | - | 102,4 | 89,4 | 79,6 | |
148 | 84,0 | 805,1 | 17 | - | - | - | 105,8 | 92,6 | 82,6 | |
149 | 88,0 | 878,3 | 18 | - | - | - | 115,0 | 100,5 | 89,6 | |
150 | 92,0 | 954,5 | 20 | - | - | - | 125,2 | 109,4 | 97,6 | |
151 | 96,0 | 1033,5 | 21 | - | - | - | 135,0 | 118,0 | 105,2 | |
152 | 100,0 | 1115,5 | 23 | - | - | - | 145,9 | 127,5 | 113,7 | |
153 | У9 ![]() | 3,0 | 8,6 | 1 | 4,4 | 4,0 | 3,5 | 3,1 | - | - |
154 | 4,0 | 12,9 | 1 | 5,9 | 5,3 | 4,6 | 4,0 | - | - | |
155 | 5,0 | 17,5 | 1 | - | 5,5 | 5,1 | 4,4 | 4,0 | 3,6 | |
156 | 6,0 | 22,5 | 1 | - | 6,7 | 6,1 | 5,3 | 4,7 | 4,3 | |
157 | 7,0 | 27,8 | 1 | - | 8,0 | 7,3 | 6,3 | 5,6 | 5,0 | |
158 | 8,0 | 33,4 | 2 | - | 10,0 | 9,2 | 8,0 | 7,1 | 6,5 | |
159 | 9,0 | 40,3 | 2 | - | 11,7 | 10,7 | 9,3 | 8,2 | 7,4 | |
160 | 10,0 | 49,0 | 2 | - | 13,8 | 12,7 | 10,9 | 9,6 | 8,6 | |
161 | 12,0 | 68,7 | 2 | - | - | 15,7 | 13,4 | 11,8 | 10,6 | |
162 | 14,0 | 91,5 | 2 | - | - | 20,2 | 17,2 | 15,0 | 13,4 | |
163 | 16,0 | 117,2 | 3 | - | - | 26,0 | 22,1 | 19,3 | 17,3 | |
164 | 18,0 | 145,9 | 3 | - | - | 31,7 | 26,8 | 23,4 | 20,8 | |
165 | 20,0 | 177,4 | 4 | - | - | 38,6 | 32,7 | 28,6 | 25,4 | |
166 | 22,0 | 211,8 | 5 | - | - | 42,6 | 36,2 | 31,6 | 28,1 | |
167 | 24,0 | 248,9 | 5 | - | - | 49,3 | 41,8 | 36,4 | 32,3 | |
168 | 26,0 | 288,8 | 6 | - | - | 57,2 | 48,5 | 42,3 | 37,5 | |
169 | 28,0 | 331,4 | 7 | - | - | 65,6 | 55,6 | 48,5 | 42,9 | |
170 | 30,0 | 376,6 | 8 | - | - | 74,5 | 63,2 | 55,0 | 48,7 | |
171 | 32,0 | 424,6 | 9 | - | - | 77,9 | 66,1 | 57,7 | 51,4 | |
172 | 34,0 | 475,1 | 10 | - | - | 87,0 | 73,8 | 64,4 | 57,3 | |
173 | 36,0 | 528,3 | 11 | - | - | 96,5 | 81,9 | 71,4 | 63,5 | |
174 | 38,0 | 584,1 | 12 | - | - | 106,5 | 90,3 | 78,7 | 70,1 | |
175 | 40,0 | 642,4 | 13 | - | - | 116,9 | 99,1 | 86,4 | 76,8 | |
176 | 42,0 | 703,3 | 15 | - | - | 128,4 | 108,9 | 95,0 | 84,6 | |
177 | 44,0 | 766,7 | 16 | - | - | 139,7 | 118,4 | 103,2 | 91,8 | |
178 | 46,0 | 832,7 | 17 | - | - | 151,4 | 128,3 | 111,8 | 99,4 | |
179 | 48,0 | 901,1 | 18 | - | - | 163,5 | 138,5 | 120,6 | 107,2 | |
180 | 50,0 | 972,1 | 20 | - | - | 176,7 | 149,7 | 130,4 | 116,0 | |
181 | 52,0 | 1045,5 | 21 | - | - | 189,6 | 160,6 | 139,9 | 124,3 | |
182 | 54,0 | 1121,3 | 23 | - | - | 203,6 | 172,5 | 150,3 | 133,6 | |
183 | 56,0 | 1199,6 | 24 | - | - | 217,3 | 184,1 | 160,3 | 142,5 | |
184 | 58,0 | 1280,3 | 26 | - | - | 232,2 | 196,7 | 171,3 | 152,3 | |
185 | 60,0 | 1363,5 | 28 | - | - | 247,4 | 209,6 | 182,6 | 162,3 | |
Индекс | а | б | в | г | д | е | ||||
Швы угловых соединений У1, У2, У4, У5, У6, У7, У8, У9, У10 | Полуавтоматическая дуговая сварка в среде двуокиси углерода легированных и высоколегированных сталей | |||||||||
Карта 13 | Лист 5 | |||||||||
Основной шов | ||||||||||
Номер позиции | Тип шва | Толщина металла, мм | Площадь сечения, мм2 | Количество проходов | Диаметр проволоки, мм | |||||
0,8 | 1,0 | 1,2 | 1,4 | 1,6 | 2,0 | |||||
Неполное штучное время на 1 м шва, мин. | ||||||||||
186 | У10 ![]() | 3,0 | 8,4 | 1 | 4,3 | 3,9 | 3,4 | 3,0 | - | - |
187 | 4,0 | 12,8 | 1 | 5,8 | 5,3 | 4,5 | 4,0 | - | - | |
188 | 5,0 | 17,7 | 1 | - | 5,5 | 5,1 | 4,4 | 4,0 | 3,6 | |
189 | 6,0 | 23,1 | 1 | - | 6,8 | 6,3 | 5,4 | 4,8 | 4,4 | |
190 | 7,0 | 28,9 | 2 | - | 9,0 | 8,3 | 7,2 | 6,4 | 5,9 | |
191 | 8,0 | 35,1 | 2 | - | 10,5 | 9,6 | 8,3 | 7,4 | 6,7 | |
192 | 9,0 | 41,7 | 2 | - | 12,1 | 11,1 | 9,5 | 8,4 | 7,6 | |
193 | 10,0 | 48,7 | 2 | - | 13,8 | 12,6 | 10,8 | 9,5 | 8,6 | |
194 | 12,0 | 66,0 | 2 | - | - | 15,1 | 13,0 | 11,4 | 10,2 | |
195 | 14,0 | 88,3 | 2 | - | - | 19,5 | 16,6 | 14,6 | 13,0 | |
196 | 16,0 | 113,6 | 3 | - | - | 25,3 | 21,5 | 18,8 | 16,8 | |
197 | 18,0 | 141,9 | 3 | - | - | 30,9 | 26,2 | 22,8 | 20,3 | |
198 | 20,0 | 173,1 | 4 | - | - | 37,7 | 32,0 | 27,9 | 24,9 | |
199 | 22,0 | 207,2 | 5 | - | - | 41,8 | 35,5 | 31,1 | 27,6 | |
200 | 24,0 | 244,1 | 5 | - | - | 48,5 | 41,1 | 35,8 | 31,7 | |
201 | 26,0 | 283,9 | 6 | - | - | 56,3 | 47,8 | 41,7 | 36,9 | |
202 | 28,0 | 326,5 | 7 | - | - | 64,8 | 54,9 | 47,9 | 42,4 | |
203 | 30,0 | 371,9 | 8 | - | - | 73,7 | 62,4 | 54,4 | 48,2 | |
204 | 32,0 | 420,0 | 9 | - | - | 77,1 | 65,5 | 57,1 | 50,9 | |
205 | 34,0 | 470,9 | 10 | - | - | 86,3 | 73,2 | 63,9 | 56,9 | |
206 | 36,0 | 524,5 | 11 | - | - | 95,9 | 81,3 | 71,0 | 63,2 | |
207 | 38,0 | 580,8 | 12 | - | - | 106,0 | 89,9 | 78,3 | 69,7 | |
208 | 40,0 | 639,8 | 13 | - | - | 116,5 | 98,7 | 86,1 | 76,6 | |
209 | 42,0 | 701,5 | 14 | - | - | 127,4 | 108,0 | 94,1 | 83,7 | |
210 | 44,0 | 765,8 | 16 | - | - | 139,5 | 118,3 | 103,1 | 91,8 | |
211 | 46,0 | 832,8 | 17 | - | - | 151,4 | 128,3 | 111,8 | 99,4 | |
212 | 48,0 | 902,4 | 18 | - | - | 163,7 | 138,6 | 120,8 | 107,4 | |
213 | 50,0 | 974,7 | 20 | - | - | 177,1 | 150,1 | 130,8 | 116,3 | |
214 | 52,0 | 1049,5 | 21 | - | - | 190,3 | 161,1 | 140,4 | 124,8 | |
215 | 54,0 | 1126,9 | 23 | - | - | 204,5 | 173,3 | 151,0 | 134,2 | |
216 | 56,0 | 1206,9 | 25 | - | - | 219,3 | 185,8 | 161,9 | 143,9 | |
217 | 58,0 | 1289,5 | 26 | - | - | 233,7 | 197,9 | 172,4 | 153,2 | |
218 | 60,0 | 1374,7 | 28 | - | - | 249,3 | 211,1 | 183,9 | 163,5 | |
Индекс | а | б | в | г | д | е | ||||
У8 | Полуавтоматическая дуговая сварка в среде двуокиси углерода легированных и высоколегированных сталей | |||||||||
Карта 14 | ||||||||||
Шов с противоположной стороны | ||||||||||
Номер позиции | Тип шва | Толщина металла, мм | Площадь сечения, мм2 | Количество проходов | Диаметр проволоки, мм | |||||
0,8 | 1,0 | 1,2 | 1,4 | 1,6 | 2,0 | |||||
Неполное штучное время на 1 м шва, мин. | ||||||||||
1 | У8 ![]() | 6,0 | 8,9 | 1 | - | 3,4 | 3,2 | 2,0 | 2,6 | 2,4 |
2 | 7,0 | 11,0 | 1 | - | 3,9 | 3,6 | 3,2 | 2,9 | 2,7 | |
3 | 8,0 | 13,3 | 1 | - | 4,5 | 4,1 | 3,6 | 3,3 | 3,0 | |
4 | 9,0 | 15,6 | 1 | - | 5,0 | 4,7 | 4,1 | 3,7 | 3,4 | |
5 | 10,0 | 18,1 | 1 | - | 5,6 | 5,2 | 4,5 | 4,1 | 3,7 | |
6 | 12,0 | 23,3 | 1 | - | - | 6,0 | 5,2 | 4,7 | 4,2 | |
7 | 14,0 | 28,8 | 1 | - | - | 7,1 | 6,1 | 5,4 | 4,9 | |
8 | 16,0 | 34,7 | 1 | - | - | 8,2 | 7,1 | 6,3 | 5,6 | |
9 | 18,0 | 44,0 | 1 | - | - | 10,1 | 8,6 | 7,6 | 6,8 | |
10 | 20,0 | 53,7 | 2 | - | - | 12,7 | 10,9 | 9,6 | 8,7 | |
11 | 22,0 | 64,3 | 2 | - | - | 13,8 | 11,9 | 10,5 | 9,4 | |
12 | 24,0 | 75,6 | 2 | - | - | 15,9 | 13,6 | 12,0 | 10,7 | |
13 | 26,0 | 88,1 | 2 | - | - | 18,1 | 15,5 | 13,6 | 12,1 | |
14 | 28,0 | 101,3 | 2 | - | - | 20,5 | 17,5 | 15,3 | 13,6 | |
15 | 30,0 | 115,4 | 3 | - | - | 23,8 | 20,3 | 17,8 | 15,0 | |
16 | 32,0 | 130,3 | 3 | - | - | 24,7 | 21,1 | 18,5 | 16,6 | |
17 | 34,0 | 146,1 | 3 | - | - | 27,3 | 23,3 | 20,4 | 18,2 | |
18 | 36,0 | 162,8 | 4 | - | - | 30,8 | 26,3 | 23,1 | 20,6 | |
19 | 38,0 | 180,2 | 4 | - | - | 33,7 | 28,7 | 25,1 | 22,4 | |
20 | 40,0 | 198,5 | 4 | - | - | 36,7 | 31,2 | 27,3 | 24,4 | |
21 | 42,0 | 217,7 | 5 | - | - | 40,6 | 34,6 | 30,3 | 27,0 | |
22 | 44,0 | 237,6 | 5 | - | - | 44,0 | 37,4 | 32,7 | 29,1 | |
23 | 46,0 | 258,4 | 6 | - | - | 48,1 | 40,9 | 35,8 | 32,0 | |
24 | 48,0 | 280,0 | 6 | - | - | 51,7 | 43,9 | 38,4 | 34,2 | |
25 | 50,0 | 302,5 | 7 | - | - | 56,1 | 47,8 | 41,8 | 37,3 | |
26 | 52,0 | 325,7 | 7 | - | - | 60,0 | 51,0 | 44,5 | 39,7 | |
27 | 54,0 | 349,7 | 7 | - | - | 64,0 | 54,3 | 47,4 | 42,2 | |
28 | 56,0 | 374,5 | 8 | - | - | 68,8 | 58,4 | 51,0 | 45,5 | |
29 | 58,0 | 400,2 | 8 | - | - | 73,1 | 62,0 | 54,1 | 48,1 | |
30 | 60,0 | 426,6 | 9 | - | - | 78,2 | 66,4 | 57,9 | 51,6 | |
31 | 64,0 | 481,8 | 10 | - | - | - | 67,6 | 59,0 | 52,6 | |
32 | 68,0 | 540,2 | 11 | - | - | - | 75,5 | 65,9 | 58,8 | |
33 | 72,0 | 601,7 | 12 | - | - | - | 83,8 | 73,2 | 65,2 | |
34 | 76,0 | 666,3 | 14 | - | - | - | 93,2 | 81,4 | 72,6 | |
35 | 80,0 | 733,9 | 15 | - | - | - | 102,3 | 89,3 | 79,6 | |
36 | 84,0 | 804,7 | 17 | - | - | - | 105,8 | 92,5 | 82,5 | |
37 | 88,0 | 878,5 | 18 | - | - | - | 115,0 | 100,5 | 89,6 | |
38 | 92,0 | 955,3 | 20 | - | - | - | 125,3 | 109,5 | 97,7 | |
39 | 96,0 | 1035,2 | 21 | - | - | - | 135,2 | 118,1 | 105,3 | |
40 | 108,0 | 1118,0 | 23 | - | - | - | 146,2 | 127,7 | 113,9 | |
Индекс | а | б | в | г | д | е | ||||
Т6, Т7, Т8, Т9 | Полуавтоматическая дуговая сварка в среде двуокиси углерода легированных и высоколегированных сталей | |||||||||
Карта 15 | Лист 1 | |||||||||
Основной шов | ||||||||||
Номер позиции | Тип шва | Толщина металла, мм | Площадь сечения, мм2 | Количество проходов | Диаметр проволоки, мм | |||||
0,8 | 1,0 | 1,2 | 1,4 | 1,6 | 2,0 | |||||
Неполное штучное время на 1 м шва, мин. | ||||||||||
1 | Т6 ![]() | 3,0 | 7,5 | 1 | 4,0 | 3,7 | 3,2 | 2,9 | - | - |
2 | 4,0 | 13,3 | 1 | 6,1 | 5,5 | 4,7 | 4,1 | - | - | |
3 | 5,0 | 20,6 | 1 | - | 6,3 | 5,8 | 5,0 | 4,5 | 4,1 | |
4 | 6,0 | 29,5 | 2 | - | 9,1 | 8,4 | 7,3 | 6,5 | 5,9 | |
5 | 7,0 | 39,9 | 2 | - | 11,6 | 10,6 | 94 | 8,1 | 7,4 | |
6 | 8,0 | 51,8 | 2 | - | 14,5 | 13,3 | 11,4 | 10,0 | 9,0 | |
7 | 9,0 | 65,3 | 2 | - | 17,8 | 16,2 | 13,8 | 12,1 | 10,8 | |
8 | 10,0 | 80,3 | 3 | - | 22,1 | 20,1 | 17,2 | 15,1 | 13,5 | |
9 | 12,0 | 114,8 | 3 | - | - | 25,4 | 21,6 | 18,9 | 16,9 | |
10 | 14,0 | 155,3 | 4 | - | - | 34,1 | 29,0 | 254 | 22,6 | |
11 | 16,0 | 201,8 | 4 | - | - | 434 | 36,7 | 31,9 | 28,3 | |
12 | 18,0 | 254,2 | 6 | - | - | 55,0 | 46,6 | 40,6 | 36,1 | |
13 | 20,0 | 312,6 | 7 | - | - | 67,2 | 56,9 | 494 | 44,0 | |
14 | 22,0 | 376,8 | 8 | - | - | 74,2 | 62,9 | 54,7 | 48,4 | |
15 | 24,0 | 446,8 | 9 | - | - | 87,5 | 74,1 | 64,4 | 57,0 | |
16 | 26,0 | 522,7 | 11 | - | - | 102,6 | 86,8 | 75,5 | 66,8 | |
17 | 28,0 | 604,5 | 13 | - | - | 118,6 | 100,4 | 87,4 | 77,3 | |
18 | 30,0 | 692,0 | 14 | - | - | 135,1 | 114,3 | 99,4 | 87,7 | |
19 | 32,0 | 785,3 | 16 | - | - | 142,1 | 120,3 | 104,7 | 93,1 | |
20 | 34,0 | 884,4 | 18 | - | - | 159,9 | 135,3 | 117,8 | 104,7 | |
21 | 36,0 | 989,3 | 20 | - | - | 178,6 | 151,2 | 131,6 | 116,9 | |
22 | 38,0 | 1099,0 | 22 | - | - | 198,3 | 167,8 | 146,0 | 129,7 | |
23 | 40,0 | 1216,2 | 25 | - | - | 219,6 | 185,9 | 161,8 | 143,7 | |
24 | 42,0 | 1338,2 | 27 | - | - | 241,2 | 204,1 | 177,6 | 157,7 | |
25 | 44,0 | 1466,0 | 30 | - | - | 264,4 | 223,7 | 194,7 | 172,9 | |
26 | 46,0 | 1599,4 | 32 | - | - | 287,9 | 243,5 | 211,0 | 188,1 | |
27 | 48,0 | 1738,6 | 35 | - | - | 313,0 | 264,8 | 230,3 | 204,5 | |
28 | 50,0 | 1883,4 | 38 | - | - | 339,0 | 286,8 | 249,5 | 221,5 | |
29 | 52,0 | 2033,9 | 41 | - | - | 366,0 | 309,6 | 2694 | 239,1 | |
30 | 54,0 | 2190,1 | 44 | - | - | 394,0 | 333,2 | 289,8 | 257,3 | |
31 | 56,0 | 2351,9 | 47 | - | - | 422,8 | 357,6 | 311,0 | 276,0 | |
32 | 58,0 | 2519,3 | 51 | - | - | 453,3 | 383,4 | 333,5 | 296,0 | |
33 | 60,0 | 2692,4 | 54 | - | - | 484,0 | 409,3 | 356,0 | 316,0 | |
34 | Т7 ![]() | 3,0 | 7,5 | 1 | 4,0 | 3,7 | 3,2 | 2,9 | - | - |
35 | 4,0 | 13,2 | 1 | 6,1 | 5,5 | 4,7 | 4,1 | - | - | |
36 | 5,0 | 20,5 | 1 | - | 6,3 | 5,8 | 5,0 | 4,5 | 4,1 | |
37 | 6,0 | 29,4 | 2 | - | 9,1 | 8,4 | 7,3 | 6,5 | 5,9 | |
38 | 7,0 | 39,9 | 2 | - | 11,6 | 10,6 | 9,2 | 8,1 | 7,4 | |
39 | 8,0 | 51,8 | 2 | - | 14,5 | 13,3 | 11,4 | 10,0 | 9,0 | |
40 | 9,0 | 65,4 | 2 | - | 17,8 | 16,2 | 13,8 | 12,1 | 10,8 | |
41 | 10,0 | 80,4 | 3 | - | 22,1 | 20,2 | 17,2 | 15,1 | 13,6 | |
42 | 12,0 | 115,1 | 3 | - | - | 25,5 | 21,7 | 19,0 | 16,9 | |
43 | 14,0 | 155,8 | 4 | - | - | 34,2 | 29,1 | 25,4 | 22,6 | |
44 | 16,0 | 202,6 | 5 | - | - | 44,1 | 37,4 | 32,7 | 29,1 | |
45 | 18,0 | 255,5 | 6 | - | - | 55,2 | 46,8 | 40,8 | 36,3 | |
46 | 20,0 | 314,3 | 7 | - | - | 67,5 | 57,2 | 49,7 | 44,2 | |
47 | 22,0 | 379,0 | 8 | - | - | 74,6 | 63,2 | 55,0 | 48,7 | |
48 | 24,0 | 449,7 | 9 | - | - | 88,1 | 74,5 | 64,8 | 57,3 | |
49 | 26,0 | 526,4 | 11 | - | - | 103,2 | 87,4 | 76,0 | 67,2 | |
Индекс | а | б | в | г | д | е | ||||
Швы тавровых соединений Т6, Т7, Т8, Т9 | Полуавтоматическая дуговая сварка в среде двуокиси углерода легированных и высоколегированных сталей | |||||||||
Карта 15 | Лист 2 | |||||||||
Основной шов | ||||||||||
Номер позиции | Тип шва | Толщина металла, мм | Площадь сечения, мм2 | Количество проходов | Диаметр проволоки, мм | |||||
0,8 | 1,0 | 1,2 | 1,4 | 1,6 | 2,0 | |||||
Неполное штучное время на 1 м шва, мин. | ||||||||||
50 | Т7 | 28,0 | 609,0 | 13 | - | - | 119,4 | 101,1 | 88,0 | 77,8 |
51 | 30,0 | 697,4 | 14 | - | - | 136,1 | 115,1 | 100,1 | 88,4 | |
52 | 32,0 | 791,8 | 16 | - | - | 143,2 | 121,2 | 105,5 | 93,7 | |
53 | 34,0 | 892,0 | 18 | - | - | 161,1 | 136,4 | 118,7 | 105,5 | |
54 | 36,0 | 998,1 | 20 | - | - | 180,1 | 152,4 | 132,6 | 117,8 | |
55 | 38,0 | 1110,1 | 23 | - | - | 200,6 | 169,9 | 147,9 | 131,4 | |
56 | 40,0 | 1227,9 | 25 | - | - | 221,5 | 187,5 | 163,2 | 144,9 | |
57 | 42,0 | 1351,5 | 27 | - | - | 243,4 | 205,9 | 179,1 | 159,1 | |
58 | 44,0 | 1480,9 | 30 | - | - | 266,9 | 225,8 | 196,5 | 174,5 | |
59 | 46,0 | 1616,2 | 33 | - | - | 291,3 | 246,5 | 214,5 | 190,5 | |
60 | 48,0 | 1757,2 | 36 | - | - | 316,7 | 268,0 | 233,2 | 207,1 | |
61 | 50,0 | 1904,1 | 39 | - | - | 343,1 | 290,3 | 252,6 | 224,3 | |
62 | 52,0 | 1956,7 | 42 | - | - | 370,5 | 313,4 | 272,7 | 242,1 | |
63 | 54,0 | 2215,1 | 45 | - | - | 398,8 | 337,3 | 293,4 | 260,5 | |
64 | 56,0 | 2379,3 | 48 | - | - | 428,0 | 362,0 | 314,9 | 279,5 | |
65 | 58,0 | 2549,2 | 51 | - | - | 458,3 | 387,5 | 337,0 | 299,2 | |
66 | 60,0 | 2724,9 | 55 | - | - | 490,1 | 414,5 | 360,5 | 320,0 | |
67 | Т8 ![]() | 6,0 | 12,2 | 1 | - | 4,2 | 3,9 | 3,5 | 3,2 | 2,9 |
68 | 7,0 | 15,2 | 1 | 4,9 | 4,9 | 4,6 | 4,0 | 3,6 | 3,3 | |
69 | 8,0 | 18,3 | 1 | - | 5,7 | 5,3 | 4,6 | 4,1 | 3,8 | |
70 | 9,0 | 21,6 | 1 | - | 6,5 | 6,0 | 5,2 | 4,6 | 4,2 | |
71 | 10,0 | 28,5 | 2 | - | 8,8 | 8,1 | 7,1 | 6,4 | 5,8 | |
72 | 12,0 | 38,9 | 1 | - | - | 9,1 | 7,8 | 6,9 | 6,2 | |
73 | 14,0 | 50,7 | 1 | - | - | 11,4 | 9,8 | 8,6 | 7,7 | |
74 | 16,0 | 58,5 | 2 | - | - | 13,6 | 11,7 | 10,3 | 9,3 | |
75 | 18,0 | 73,4 | 2 | - | - | 16,6 | 14,2 | 12,4 | 11,1 | |
76 | 20,0 | 90,0 | 2 | - | - | 19,9 | 16,9 | 14,8 | 13,2 | |
77 | 22,0 | 108,1 | 3 | - | - | 22,4 | 19,1 | 16,8 | 15,0 | |
78 | 24,0 | 127,8 | 3 | - | - | 25,9 | 22,1 | 19,3 | 17,2 | |
79 | 26,0 | 149,2 | 3 | - | - | 29,8 | 25,3 | 22,1 | 19,6 | |
80 | 28,0 | 172,1 | 4 | - | - | 34,6 | 29,4 | 25,7 | 22,8 | |
81 | 30,0 | 196,5 | 4 | - | - | 39,0 | 33,1 | 28,9 | 25,6 | |
82 | 32,0 | 222,6 | 5 | - | - | 41,3 | 35,1 | 30,7 | 27,4 | |
83 | 34,0 | 250,2 | 5 | - | - | 45,9 | 39,0 | 34,0 | 30,3 | |
84 | 36,0 | 279,3 | 6 | - | - | 51,4 | 43,6 | 38,1 | 34,0 | |
85 | 38,0 | 310,0 | 7 | - | - | 57,1 | 48,5 | 42,4 | 37,8 | |
86 | 40,0 | 342,2 | 7 | - | - | 62,5 | 53,0 | 46,2 | 41,1 | |
87 | 42,0 | 375,9 | 8 | - | - | 68,8 | 58,3 | 50,9 | 45,3 | |
88 | 44,0 | 411,2 | 9 | - | - | 75,3 | 63,9 | 55,7 | 49,6 | |
89 | 46,0 | 448,0 | 9 | - | - | 81,4 | 69,0 | 60,1 | 53,4 | |
90 | 48,0 | 486,3 | 10 | - | - | 88,4 | 74,9 | 65,3 | 58,1 | |
91 | 50,0 | 526,1 | 11 | - | - | 95,7 | 81,1 | 70,7 | 62,9 | |
92 | 52,0 | 567,4 | 12 | - | - | 103,2 | 87,5 | 76,2 | 67,8 | |
93 | 54,0 | 610,2 | 13 | - | - | 111,0 | 94,1 | 82,0 | 72,9 | |
94 | 56,0 | 654,5 | 14 | - | - | 119,0 | 100,8 | 87,9 | 78,2 | |
95 | 58,0 | 700,3 | 14 | - | - | 126,6 | 107,2 | 93,3 | 82,9 | |
96 | 60,0 | 747,5 | 15 | - | - | 135,1 | 114,4 | 99,6 | 88,5 | |
97 | 64,0 | 846,5 | 17 | - | - | - | 116,8 | 101,9 | 90,6 | |
98 | 68,0 | 951,4 | 19 | - | - | - | 131,1 | 114,3 | 101,7 | |
Индекс | а | б | в | г | д | е | ||||
Швы тавровых соединений Т6, Т7, Т8, Т9 | Полуавтоматическая дуговая сварка в среде двуокиси углерода легированных и высоколегированных сталей | |||||||||
Карта 15 | Лист 3 | |||||||||
Основной шов | ||||||||||
Номер позиции | Тип шва | Толщина металла, мм | Площадь сечения, мм2 | Количество проходов | Диаметр проволоки, мм | |||||
0,8 | 1,0 | 1,2 | 1,4 | 1,6 | 2,0 | |||||
Неполное штучное время на 1 м шва, мин. | ||||||||||
99 | 72,0 | 1062,2 | 22 | - | - | - | 146,8 | 128,0 | 113,9 | |
100 | 76,0 | 1178,9 | 24 | - | - | - | 162,5 | 141,7 | 126,0 | |
101 | 80,0 | 1301,4 | 26 | - | - | - | 179,0 | 156,0 | 138,7 | |
102 | Т9 ![]() | 12,0 | 20,9 | 1 | - | - | 5,5 | 4,9 | 4,4 | 4,0 |
103 | 14,0 | 26,1 | 1 | - | - | 6,6 | 5,7 | 5,1 | 4,6 | |
104 | 16,0 | 31,7 | 1 | - | - | 7,7 | 6,6 | 5,9 | 5,3 | |
105 | 18,0 | 37,6 | 1 | - | - | 8,8 | 7,6 | 6,7 | 6,1 | |
106 | 20,0 | 45,7 | 1 | - | - | 10,4 | 8,9 | 7,9 | 7,0 | |
107 | 22,0 | 54,4 | 2 | - | - | 12,0 | 10,4 | 9,2 | 8,3 | |
108 | 24,0 | 63,9 | 2 | - | - | 13,7 | 11,8 | 10,4 | 9,4 | |
109 | 26,0 | 74,0 | 2 | - | - | 15,6 | 13,3 | 11,7 | 10,5 | |
110 | 28,0 | 84,9 | 2 | - | - | 17,5 | 15,0 | 13,1 | 11,7 | |
111 | 30,0 | 96,4 | 2 | - | - | 19,6 | 16,7 | 14,6 | 13,0 | |
112 | 32,0 | 108,5 | 3 | - | - | 21,0 | 18,0 | 15,9 | 14,3 | |
113 | 34,0 | 121,4 | 3 | - | - | 23,2 | 19,8 | 17,4 | 15,6 | |
114 | 36,0 | 134,8 | 3 | - | - | 25,4 | 21,7 | 19,0 | 17,0 | |
115 | 38,0 | 149,0 | 3 | - | - | 27,8 | 23,6 | 20,7 | 18,5 | |
116 | 40,0 | 163,7 | 4 | - | - | 30,9 | 26,3 | 23,1 | 20,6 | |
117 | 42,0 | 179,1 | 4 | - | - | 33,4 | 28,5 | 24,9 | 22,2 | |
118 | 44,0 | 195,1 | 4 | - | - | 36,1 | 30,7 | 26,8 | 23,9 | |
119 | 46,0 | 211,8 | 5 | - | - | 39,5 | 33,6 | 29,4 | 26,3 | |
120 | 48,0 | 229,0 | 5 | - | - | 42,4 | 36,0 | 31,5 | 28,1 | |
121 | 50,0 | 246,9 | 5 | - | - | 45,4 | 38,5 | 33,6 | 29,9 | |
122 | 52,0 | 265,4 | 6 | - | - | 49,1 | 41,7 | 36,5 | 32,5 | |
123 | 54,0 | 284,5 | 6 | - | - | 52,3 | 44,4 | 38,7 | 34,5 | |
124 | 56,0 | 304,2 | 7 | - | - | 56,2 | 47,8 | 41,7 | 37,2 | |
125 | 58,0 | 324,5 | 7 | - | - | 59,6 | 50,6 | 44,1 | 39,3 | |
126 | 60,0 | 345,4 | 7 | - | - | 63,0 | 53,5 | 46,6 | 41,5 | |
127 | 64,0 | 389,0 | 8 | - | - | - | 54,4 | 47,5 | 42,3 | |
128 | 68,0 | 434,9 | 9 | - | - | - | 60,7 | 53,0 | 47,2 | |
129 | 72,0 | 483,2 | 10 | - | - | - | 67,3 | 58,8 | 52,4 | |
130 | 76,0 | 533,8 | 11 | - | - | - | 74,2 | 64,8 | 57,7 | |
131 | 80,0 | 586,6 | 12 | - | - | - | 81,4 | 71,0 | 63,3 | |
132 | 84,0 | 641,8 | 13 | - | - | - | 83,6 | 73,0 | 65,3 | |
133 | 88,0 | 699,2 | 14 | - | - | - | 90,9 | 79,3 | 70,7 | |
134 | 92,0 | 758,8 | 16 | - | - | - | 99,1 | 86,5 | 77,1 | |
135 | 96,0 | 820,6 | 17 | - | - | - | 106,9 | 93,3 | 83,2 | |
136 | 100,0 | 884,7 | 18 | - | - | - | 114,9 | 100,3 | 89,4 | |
Индекс | а | б | в | г | д | е | ||||
Н1, Н2, У4, У5, У7, У10, Т1, Т3 | Полуавтоматическая дуговая сварка в среде двуокиси углерода легированных и высоколегированных сталей | |||||||||
Карта 16 | Лист 1 | |||||||||
Основной шов | ||||||||||
Номер позиции | Тип шва | Катет шва, мм | Площадь сечения, мм2 | Количество проходов | Диаметр проволоки, мм | |||||
0,8 | 1,0 | 1,2 | 1,4 | 1,6 | 2,0 | |||||
Неполное штучное время на 1 м шва, мин. | ||||||||||
1 | Н1 ![]() | 1,0 | 1,4 | 1 | 1,6 | 1,6 | 1,5 | - | - | - |
2 | 1,5 | 2,7 | 1 | 2,0 | 1,9 | 1,7 | 1,6 | - | - | |
3 | Н2 ![]() | 2,0 | 4,2 | 1 | 2,5 | 2,3 | 2,1 | 1,9 | - | - |
4 | У4 ![]() | 2,5 | 5,9 | 1 | 3,1 | 2,9 | 2,5 | 2,3 | - | - |
5 | 3,0 | 7,8 | 1 | 3,8 | 3,5 | 3,0 | 2,7 | - | - | |
6 | У5 ![]() | 4,0 | 12,1 | 1 | 5,4 | 4,9 | 4,2 | 3,6 | - | - |
7 | 5,0 | 17,1 | 1 | - | 5,2 | 4,7 | 4,1 | 3,7 | 3,3 | |
8 | У7 ![]() | 6,0 | 30,7 | 2 | - | 9,0 | 8,3 | 7,2 | 6,4 | 5,8 |
9 | 7,0 | 40,6 | 2 | - | 11,4 | 10,5 | 9,0 | 7,9 | 7,1 | |
10 | У10 ![]() | 8,0 | 51,7 | 2 | - | 14,1 | 12,9 | 11,0 | 9,7 | 8,6 |
11 | 9,0 | 64,0 | 2 | - | 17,1 | 15,6 | 13,2 | 11,6 | 10,3 | |
12 | Т1 ![]() | 10,0 | 77,5 | 3 | - | 21,0 | 19,1 | 16,3 | 14,2 | 12,7 |
13 | 12,0 | 107,8 | 3 | - | - | 23,6 | 20,0 | 17,5 | 15,6 | |
Индекс | а | б | в | г | д | е | ||||
Швы нахлесточных, угловых и тавровых соединений Н1, Н2, У4, У5, У7, У10, Т1, Т3 | Полуавтоматическая дуговая сварка в среде двуокиси углерода легированных и высоколегированных сталей | |||||||||
Карта 16 | Лист 2 | |||||||||
Основной шов | ||||||||||
Номер позиции | Тип шва | Катет шва, мм | Площадь сечения, мм2 | Количество проходов | Диаметр проволоки, мм | |||||
0,8 | 1,0 | 1,2 | 1,4 | 1,6 | 2,0 | |||||
Неполное штучное время на 1 м шва, мин. | ||||||||||
14 | Т3 ![]() | 14,0 | 142,5 | 3 | - | - | 30,5 | 25,8 | 22,4 | 19,9 |
15 | 16,0 | 181,5 | 4 | - | - | 38,8 | 32,8 | 28,5 | 25,3 | |
16 | 18,0 | 224,6 | 5 | - | - | 47,9 | 40,4 | 35,1 | 31,2 | |
17 | 20,0 | 266,0 | 5 | - | - | 53,9 | 44,4 | 40,2 | 34,8 | |
18 | 22,0 | 314,0 | 6 | - | - | 62,0 | 52,0 | 44,6 | 40,2 | |
19 | 24,0 | 364,0 | 7 | - | - | 69,5 | 56,8 | 49,8 | 44,2 | |
20 | 26,0 | 418,0 | 8 | - | - | 74,8 | 60,9 | 55,1 | 48,1 | |
21 | 28,0 | 475,3 | 9 | - | - | 83,8 | 68,6 | 62,4 | 53,4 | |
22 | 30,0 | 535,4 | 10 | - | - | 90,3 | 74,7 | 66,7 | 61,0 | |
Индекс | а | б | в | г | д | е | ||||
С2, С4, С7, С8, С9, С10, С12, С13, С14, С15, С16, С17, С18, С19; С21, С25 | Полуавтоматическая аргонодуговая сварка легированных и высоколегированных сталей | |||||||||
Карта 17 | Лист 1 | |||||||||
Основной шов | ||||||||||
Номер позиции | Тип шва | Толщина металла, мм | Площадь сечения, мм2 | Количество проходов | Диаметр проволоки, мм | |||||
0,8 | 1,0 | 1,2 | 1,4 | 1,6 | 2,0 | |||||
Неполное штучное время на 1 м шва, мин. | ||||||||||
1 | С2 ![]() | 0,8 | 4,6 | 1 | 3,0 | 2,7 | 2,5 | - | - | - |
2 | 1,0 | 5,0 | 1 | 3,1 | 2,8 | 2,6 | - | - | - | |
3 | 1,5 | 6,1 | 1 | 3,2 | 2,9 | 2,7 | 2,3 | - | - | |
4 | 2,0 | 6,3 | 1 | 3,3 | 3,0 | 2,8 | 2,3 | - | - | |
5 | 2,5 | 11,0 | 1 | 4,9 | 4,5 | 3,8 | 3,4 | - | - | |
6 | 3,0 | 11,4 | 1 | 5,1 | 4,6 | 3,9 | 3,4 | - | - | |
7 | 4,0 | 12,1 | 1 | 5,4 | 4,9 | 4,1 | 3,6 | - | - | |
8 | 5,0 | 18,7 | 1 | - | 5,5 | 5,1 | 4,4 | 3,9 | 3,5 | |
9 | 6,0 | 19,7 | 1 | - | 5,8 | 5,3 | 4,6 | 4,1 | 3,7 | |
10 | С4 ![]() | 0,8 | 4,6 | 1 | 3,0 | 2,8 | 2,6 | - | - | - |
11 | 1,0 | 4,7 | 1 | 3,0 | 2,8 | 2,6 | - | - | - | |
12 | 1,5 | 10,1 | 1 | 4,7 | 4,2 | 3,6 | 3,2 | - | - | |
13 | 2,0 | 10,6 | 1 | 4,8 | 4,4 | 3,7 | 3,3 | - | - | |
14 | 2,5 | 10,9 | 1 | 4,9 | 4,5 | 3,8 | 3,4 | - | - | |
15 | 3,0 | 24,6 | 1 | 9,9 | 7,5 | 6,8 | 5,9 | - | - | |
16 | 4,0 | 25,8 | 1 | 10,3 | 7,7 | 7,0 | 6,0 | - | - | |
17 | 5,0 | 26,8 | 1 | - | 8,9 | 7,4 | 6,3 | 5,2 | 4,6 | |
18 | 6,0 | 27,6 | 1 | - | 9,2 | 7,7 | 6,6 | 5,3 | 4,8 | |
19 | С7 ![]() | 3,0 | 7,2 | 1 | 3,6 | 3,2 | 2,9 | 2,6 | - | - |
20 | 4,0 | 8,5 | 1 | 4,0 | 3,3 | 3,0 | 2,7 | - | - | |
21 | 5,0 | 9,5 | 1 | - | 3,5 | 3,1 | 2,8 | 2,5 | 2,3 | |
22 | 6,0 | 10,5 | 1 | - | 3,6 | 3,3 | 2,9 | 2,6 | 2,4 | |
23 | С8 ![]() | 3,0 | 9,3 | 1 | 4,4 | 4,0 | 3,5 | 3,1 | - | - |
24 | 4,0 | 15,3 | 1 | 6,6 | 6,0 | 5,0 | 4,4 | - | - | |
25 | 5,0 | 22,4 | 1 | - | 6,5 | 6,0 | 5,2 | 4,6 | 4,1 | |
26 | 6,0 | 30,7 | 2 | - | 9,1 | 8,4 | 7,2 | 6,4 | 5,8 | |
27 | 7,0 | 40,0 | 2 | - | 11,4 | 10,4 | 8,9 | 7,9 | 7,1 | |
28 | 8,0 | 50,3 | 2 | - | 13,9 | 12,7 | 10,8 | 9,5 | 8,5 | |
29 | 9,0 | 61,6 | 2 | - | 16,7 | 15,1 | 12,9 | 11,3 | 10,1 | |
30 | 10,0 | 73,9 | 3 | - | 20,2 | 18,4 | 15,7 | 13,8 | 12,3 | |
31 | С9 ![]() | 3,0 | 11,1 | 1 | 5,1 | 4,6 | 4,0 | 3,5 | - | - |
32 | 4,0 | 16,8 | 1 | 7,2 | 6,5 | 5,4 | 4,7 | - | - | |
33 | 5,0 | 23,2 | 1 | - | 6,7 | 6,2 | 5,3 | 4,7 | 4,2 | |
34 | 6,0 | 30,2 | 2 | - | 9,0 | 8,3 | 7,2 | 6,4 | 5,8 | |
35 | 7,0 | 42,7 | 2 | - | 12,0 | 11,0 | 9,4 | 8,3 | 7,5 | |
36 | 8,0 | 53,2 | 2 | - | 14,6 | 13,3 | 11,4 | 10,0 | 8,9 | |
37 | 9,0 | 64,7 | 2 | - | 17,4 | 15,8 | 13,4 | 11,8 | 10,5 | |
38 | 10,0 | 77,0 | 3 | - | 21,0 | 19,1 | 16,3 | 14,3 | 12,8 | |
39 | С10 ![]() | 3,0 | 8,4 | 1 | 4,1 | 3,7 | 3,2 | 2,9 | - | - |
40 | 4,0 | 14,1 | 1 | 6,2 | 5,6 | 4,7 | 4,1 | - | - | |
41 | 5,0 | 21,0 | 1 | - | 6,2 | 5,7 | 4,9 | 4,4 | 3,9 | |
42 | 6,0 | 29,2 | 2 | - | 8,8 | 8,0 | 7,0 | 6,2 | 5,6 | |
43 | 7,0 | 38,6 | 2 | - | 11,0 | 10,0 | 8,7 | 7,7 | 6,9 | |
44 | 8,0 | 49,0 | 2 | - | 13,6 | 12,4 | 10,6 | 9,3 | 8,4 | |
45 | 9,0 | 60,6 | 2 | - | 16,4 | 14,9 | 12,7 | 11,1 | 9,9 | |
46 | 10,0 | 73,2 | 3 | - | 20,1 | 18,3 | 15,6 | 13,7 | 12,3 | |
Индекс | а | б | в | г | д | е | ||||
Швы стыковых соединений С2, С4, С7, С8, С9, С10, С12, С13, С14, С15, С16, С17, С18, С19, С21, С25 | Полуавтоматическая аргонодуговая сварка легированных и высоколегированных сталей | |||||||||
Карта 17 | Лист 2 | |||||||||
Основной шов | ||||||||||
Номер позиции | Тип шва | Толщина металла, мм | Площадь сечения, мм2 | Количество проходов | Диаметр проволоки, мм | |||||
0,8 | 1,0 | 1,2 | 1,4 | 1,6 | 2,0 | |||||
Неполное штучное время на 1 м шва, мин. | ||||||||||
47 | С12 | 3,0 | 8,3 | 1 | 4,1 | 3,7 | 3,2 | 2,9 | - | - |
48 | 4,0 | 14,0 | 1 | 6,1 | 5,5 | 4,7 | 4,1 | - | - | |
49 | 5,0 | 20,9 | 1 | - | 6,2 | 5,6 | 4,9 | 4,3 | 3,9 | |
50 | 6,0 | 29,1 | 2 | - | 8,7 | 8,0 | 7,0 | 6,2 | 5,6 | |
51 | 7,0 | 38,4 | 2 | - | 11,0 | 10,1 | 8,7 | 7,7 | 6,9 | |
52 | 8,0 | 48,9 | 2 | - | 13,6 | 12,4 | 10,6 | 9,3 | 8,3 | |
53 | 9,0 | 60,5 | 2 | - | 16,4 | 14,9 | 12,7 | 11,1 | 9,9 | |
54 | 10,0 | 73,2 | 3 | - | 20,1 | 18,3 | 15,6 | 13,7 | 12,3 | |
55 | С13 ![]() | 18,0 | 160,9 | 4 | - | - | 34,8 | 29,5 | 25,7 | 22,9 |
56 | 20,0 | 190,4 | 4 | - | - | 40,6 | 34,4 | 29,9 | 26,5 | |
57 | 22,0 | 221,8 | 5 | - | - | 43,7 | 37,1 | 32,3 | 28,6 | |
58 | 24,0 | 254,9 | 6 | - | - | 50,3 | 42,6 | 37,2 | 32,9 | |
59 | 26,0 | 289,7 | 6 | - | - | 56,6 | 47,9 | 41,6 | 36,8 | |
60 | 28,0 | 326,2 | 7 | - | - | 63,8 | 54,0 | 46,9 | 41,5 | |
61 | 30,0 | 364,3 | 8 | - | - | 71,3 | 60,3 | 52,4 | 46,3 | |
62 | 32,0 | 403,9 | 9 | - | - | 73,3 | 62,1 | 54,1 | 48,1 | |
63 | 34,0 | 445,1 | 9 | - | - | 80,1 | 67,0 | 59,0 | 52,4 | |
64 | 36,0 | 487,7 | 10 | - | - | 87,8 | 74,3 | 64,6 | 57,4 | |
65 | 38,0 | 531,8 | 11 | - | - | 95,7 | 81,0 | 70,5 | 62,5 | |
66 | 40,0 | 577,3 | 12 | - | - | 103,9 | 87,9 | 76,4 | 67,9 | |
67 | 42,0 | 624,1 | 13 | - | - | 112,3 | 95,0 | 82,6 | 73,3 | |
68 | 44,0 | 672,4 | 14 | - | - | 120,9 | 102,2 | 88,9 | 78,9 | |
69 | 46,0 | 721,9 | 15 | - | - | 129,7 | 109,7 | 95,4 | 84,7 | |
70 | 48,0 | 772,8 | 16 | - | - | 138,8 | 117,3 | 102,0 | 90,5 | |
71 | 50,0 | 825,0 | 17 | - | - | 148,0 | 125,2 | 108,8 | 96,5 | |
72 | 52,0 | 878,4 | 18 | - | - | 157,5 | 133,1 | 115,7 | 102,7 | |
73 | 54,0 | 933,1 | 19 | - | - | 167,2 | 141,3 | 122,8 | 109,0 | |
74 | 56,0 | 989,0 | 20, | - | - | 177,1 | 149,6 | 130,0 | 115,4 | |
75 | 58,0 | 1046,1 | 21 | - | - | 187,2 | 158,1 | 137,4 | 121,9 | |
76 | 60,0 | 1104,4 | 23 | - | - | 198,0 | 167,4 | 145,5 | 129,1 | |
77 | 64,0 | 1224,6 | 25 | - | - | - | 168,0 | 148,5 | 131,3 | |
78 | 68,0 | 1349,3 | 27 | - | - | - | 183,6 | 159,8 | 141,9 | |
79 | 72,0 | 1478,5 | 30 | - | - | - | 201,4 | 175,2 | 155,6 | |
80 | 76,0 | 1612,1 | 33 | - | - | - | 219,7 | 191,2 | 169,8 | |
81 | 80,0 | 1750,0 | 35 | - | - | - | 237,9 | 207,0 | 183,7 | |
82 | 84,0 | 1892,1 | 38 | - | - | - | 241,7 | 210,4 | 187,0 | |
83 | 88,0 | 2038,3 | 41 | - | - | - | 260,3 | 226,6 | 201,4 | |
84 | 92,0 | 2188,6 | 44 | - | - | - | 279,4 | 243,3 | 216,2 | |
85 | 96,0 | 2342,8 | 47 | - | - | - | 299,6 | 260,3 | 231,3 | |
86 | 100,0 | 2500,9 | 50 | - | - | - | 319,0 | 277,7 | 246,8 | |
87 | С14 ![]() | 18,0 | 133,2 | 3 | - | - | 28,7 | 24,3 | 21,2 | 18,8 |
88 | 20,0 | 159,0 | 4 | - | - | 34,4 | 29,2 | 25,4 | 22,6 | |
89 | 22,0 | 186,7 | 4 | - | - | 36,8 | 31,2 | 27,2 | 24,0 | |
90 | 24,0 | 216,1 | 5 | - | - | 42,7 | 36,2 | 31,5 | 27,9 | |
91 | 26,0 | 247,2 | 5 | - | - | 48,3 | 40,9 | 35,6 | 31,4 | |
92 | 28,0 | 280,0 | 6 | - | - | 54,9 | 46,4 | 40,4 | 35,7 | |
93 | 30,0 | 314,4 | 7 | - | - | 61,7 | 52,2 | 45,4 | 40,2 | |
94 | 32,0 | 350,4 | 7 | - | - | 63,2 | 53,5 | 46,6 | 41,4 | |
Индекс | а | б | в | г | д | е | ||||
Швы стыковых соединений С2, С4, С7, С8, С9, С10, С12, С13, С14, С15, С16, С17, С18, С19, С21, С25 | Полуавтоматическая аргонодуговая сварка легированных и высоколегированных сталей | |||||||||
Карта 17 | Лист 3 | |||||||||
Основной шов | ||||||||||
Номер позиции | Тип шва | Толщина металла, мм | Площадь сечения, мм2 | Количество проходов | Диаметр проволоки, мм | |||||
0,8 | 1,0 | 1,2 | 1,4 | 1,6 | 2,0 | |||||
Неполное штучное время на 1 м шва, мин. | ||||||||||
95 | С14 | 34,0 | 388,0 | 8 | - | - | 70,1 | 59,3 | 51,6 | 45,9 |
96 | 36,0 | 427,2 | 9 | - | - | 77,2 | 65,3 | 56,9 | 50,5 | |
97 | 38,0 | 467,8 | 10 | - | - | 84,5 | 71,5 | 62,3 | 55,3 | |
98 | 40,0 | 510,0 | 11 | - | - | 92,1 | 78,0 | 67,9 | 60,3 | |
99 | 42,0 | 553,6 | 12 | - | - | 100,0 | 84,6 | 73,6 | 65,4 | |
100 | 44,0 | 598,6 | 12 | - | - | 107,4 | 90,8 | 79,0 | 70,1 | |
101 | 46,0 | 645,0 | 13 | - | - | 115,8 | 97,9 | 85,1 | 75,5 | |
102 | 48,0 | 692,9 | 14 | - | - | 124,3 | 105,1 | 91,4 | 81,1 | |
103 | 50,0 | 742,1 | 15 | - | - | 133,1 | 112,5 | 97,8 | 86,8 | |
104 | 52,0 | 792,7 | 16 | - | - | 142,1 | 120,1 | 104,4 | 92,6 | |
105 | 54,0 | 844,6 | 17 | - | - | 151,3 | 127,9 | 111,1 | 98,6 | |
106 | 56,0 | 897,8 | 18 | - | - | 160,7 | 135,8 | 118,0 | 104,7 | |
107 | 58,0 | 952,4 | 19 | - | - | 170,4 | 144,0 | 125,1 | 111,0 | |
108 | 60,0 | 1008,3 | 21 | - | - | 180,9 | 152,9 | 132,9 | 117,9 | |
109 | 64,0 | 1123,8 | 23 | - | - | - | 153,4 | 133,5 | 118,6 | |
110 | 68,0 | 1244,4 | 25 | - | - | - | 169,5 | 147,5 | 131,0 | |
111 | 72,0 | 1369,9 | 28 | - | - | - | 186,8 | 162,5 | 144,4 | |
112 | 76,0 | 1500,2 | 30 | - | - | - | 204,1 | 177,5 | 157,6 | |
113 | 80,0 | 1635,3 | 33 | - | - | - | 222,6 | 193,6 | 171,9 | |
114 | 84,0 | 1775,1 | 36 | - | - | - | 227,0 | 197,7 | 175,7 | |
115 | 88,0 | 1919,5 | 39 | - | - | - | 245,4 | 213,7 | 189,9 | |
116 | 92,0 | 2068,4 | 42 | - | - | - | 264,4 | 230,2 | 204,6 | |
117 | 96,0 | 2221,8 | 45 | - | - | - | 283,8 | 247,2 | 219,6 | |
118 | 100,0 | 2379,6 | 48 | - | - | - | 303,8 | 264,5 | 235,1 | |
119 | С15 ![]() | 8,0 | 13,6 | 1 | - | 4,4 | 4,0 | 3,5 | 3,2 | 2,9 |
120 | 9,0 | 16,5 | 1 | - | 5,1 | 4,7 | 4,1 | 3,6 | 3,3 | |
121 | 10,0 | 19,6 | 1 | - | 5,8 | 5,4 | 4,6 | 4,1 | 3,7 | |
122 | 12,0 | 26,5 | 1 | - | - | 6,4 | 5,6 | 4,9 | 4,5 | |
123 | 14,0 | 34,2 | 1 | - | - | 8,0 | 6,8 | 6,0 | 5,4 | |
124 | 16,0 | 42,7 | 1 | - | - | 9,6 | 8,2 | 7,2 | 6,5 | |
125 | 18,0 | 51,8 | 1 | - | - | 11,4 | 9,7 | 8,5 | 7,6 | |
126 | 20,0 | 61,7 | 2 | - | - | 14,0 | 11,9 | 10,5 | 9,4 | |
127 | 22,0 | 72,2 | 2 | - | - | 14,9 | 12,8 | 11,2 | 10,0 | |
128 | 24,0 | 83,4 | 2 | - | - | 17,0 | 14,4 | 12,7 | 11,3 | |
129 | 26,0 | 95,1 | 2 | - | - | 19,1 | 16,2 | 14,2 | 12,6 | |
130 | 28,0 | 107,5 | 3 | - | - | 21,9 | 18,7 | 16,4 | 14,6 | |
131 | 30,0 | 120,5 | 3 | - | - | 24,3 | 20,6 | 18,0 | 16,0 | |
132 | 32,0 | 134,1 | 3 | - | - | 24,9 | 21,2 | 18,5 | 16,5 | |
133 | 34,0 | 157,5 | 4 | - | - | 29,4 | 25,0 | 21,9 | 19,5 | |
134 | 36,0 | 174,9 | 4 | - | - | 32,3 | 27,4 | 24,0 | 21,4 | |
135 | 38,0 | 193,2 | 4 | - | - | 35,3 | 30,0 | 26,1 | 23,3 | |
136 | 40,0 | 212,3 | 5 | - | - | 39,1 | 33,2 | 29,0 | 25,8 | |
137 | 42,0 | 232,2 | 5 | - | - | 42,4 | 35,9 | 31,3 | 27,9 | |
138 | 44,0 | 252,9 | 6 | - | - | 46,4 | 39,4 | 34,4 | 30,6 | |
139 | 46,0 | 274,4 | 6 | - | - | 50,0 | 42,4 | 36,9 | 32,9 | |
140 | 48,0 | 296,7 | 6 | - | - | 53,7 | 45,5 | 39,6 | 35,2 | |
141 | 50,0 | 319,8 | 7 | - | - | 58,1 | 49,3 | 42,9 | 38,2 | |
142 | 52,0 | 343,7 | 7 | - | - | 62,1 | 52,6 | 45,8 | 40,7 | |
143 | 54,0 | 368,3 | 8 | - | - | 66,8 | 56,6 | 49,3 | 43,8 | |
Индекс | а | б | в | г | д | е | ||||
Швы стыковых соединений С2, С4, С7, С8, С9, С10, С12, С13, С14, С15, С16, С17, С18, С19, С21, С25 | Полуавтоматическая аргонодуговая сварка легированных и высоколегированных сталей | |||||||||
Карта 17 | Лист 4 | |||||||||
Основной шов | ||||||||||
Номер позиции | Тип шва | Толщина металла, мм | Площадь сечения, мм2 | Количество проходов | Диаметр проволоки, мм | |||||
0,8 | 1,0 | 1,2 | 1,4 | 1,6 | 2,0 | |||||
Неполное штучное время на 1 м шва, мин. | ||||||||||
144 | С15 | 56,0 | 393,8 | 8 | - | - | 71,0 | 60,1 | 52,3 | 46,4 |
145 | 58,0 | 420,0 | 9 | - | - | 76,0 | 64,0 | 56,0 | 49,8 | |
146 | 60,0 | 446,9 | 9 | - | - | 80,5 | 68,1 | 59,2 | 52,6 | |
147 | 64,0 | 503,2 | 11 | - | - | - | 69,5 | 60,6 | 54,0 | |
148 | 68,0 | 562,4 | 12 | - | - | - | 77,5 | 67,5 | 60,1 | |
149 | 72,0 | 624,7 | 13 | - | - | - | 85,8 | 74,7 | 66,4 | |
150 | 76,0 | 689,8 | 14 | - | - | - | 94,4 | 82,2 | 73,1 | |
151 | 80,0 | 758,0 | 16 | - | - | - | 104,0 | 90,6 | 80,5 | |
152 | 84,0 | 829,0 | 17 | - | - | - | 106,5 | 92,9 | 82,6 | |
153 | 83,0 | 902,9 | 19 | - | - | - | 116,3 | 101,4 | 90,2 | |
154 | 92,0 | 979,7 | 20 | - | - | - | 125,7 | 109,5 | 97,4 | |
155 | 96,0 | 1059,3 | 22 | - | - | - | 136,1 | 118,6 | 105,5 | |
156 | 100,0 | 1141,8 | 23 | - | - | - | 146,2 | 127,3 | 113,2 | |
157 | С16 ![]() | 30,0 | 140,3 | 3 | - | - | 27,8 | 23,6 | 20,6 | 18,2 |
158 | 32,0 | 154,5 | 4 | - | - | 28,9 | 24,6 | 21,5 | 19,2 | |
159 | 34,0 | 169,3 | 4 | - | - | 31,3 | 26,6 | 23,3 | 20,8 | |
160 | 36,0 | 184,4 | 4 | - | - | 33,9 | 28,7 | 25,1 | 22,3 | |
161 | 38,0 | 200,0 | 4 | - | - | 36 5 | 30,9 | 26,9 | 24,0 | |
162 | 40,0 | 216,0 | 5 | - | - | 39,7 | 33,7 | 29,4 | 26,2 | |
163 | 42,0 | 232,4 | 5 | - | - | 42,4 | 36,0 | 31,4 | 27,9 | |
164 | 44,0 | 249,2 | 5 | - | - | 45,2 | 38,3 | 33,4 | 29,7 | |
165 | 46,0 | 266,4 | 6 | - | - | 48,7 | 41,3 | 36,0 | 32,0 | |
166 | 48,0 | 284,0 | 6 | - | - | 51,6 | 43,7 | 38,1 | 33,9 | |
167 | 50,0 | 301,9 | 6 | - | - | 54,6 | 46,2 | 40,2 | 35,7 | |
168 | 52,0 | 320,2 | 7 | - | - | 58,2 | 49,3 | 43,0 | 38,2 | |
169 | 54,0 | 338,8 | 7 | - | - | 61,3 | 51,9 | 45,2 | 40,2 | |
170 | 56,0 | 357,8 | 8 | - | - | 65,0 | 55,1 | 48,0 | 42,7 | |
171 | 58,0 | 377,2 | 8 | - | - | 68,3 | 57,8 | 50,3 | 44,7 | |
172 | 60,0 | 396,9 | 8 | - | - | 71,5 | 60,5 | 52,7 | 46,8 | |
173 | 64,0 | 437,2 | 9 | - | - | - | 61,5 | 53,8 | 48,8 | |
174 | 68,0 | 478,8 | 10 | - | - | - | 66,0 | 57,5 | 51,1 | |
175 | 72,0 | 521,7 | 11 | - | - | - | 71,8 | 62,6 | 55,7 | |
176 | 76,0 | 565,8 | 12 | - | - | - | 77,9 | 67,9 | 60,4 | |
177 | 80,0 | 611,0 | 13 | - | - | - | 84,1 | 73,3 | 65,2 | |
178 | 84,0 | 657,1 | 14 | - | - | - | 85,0 | 74,1 | 66,0 | |
179 | 88,0 | 704,9 | 15 | - | - | - | 91,0 | 79,4 | 70,7 | |
180 | 92,0 | 753,6 | 16 | - | - | - | 97,2 | 84,8 | 75,5 | |
181 | 96,0 | 803,2 | 17 | - | - | - | 103,6 | 90,3 | 90,4 | |
182 | 100,0 | 854,0 | 18 | - | - | - | 110,0 | 95,9 | 85,3 | |
183 | 110,0 | 985,2 | 20 | - | - | - | 126,3 | 110,1 | 97,7 | |
184 | 120,0 | 1122,6 | 23 | - | - | - | 144,0 | 125,4 | 111,5 | |
185 | С17 ![]() | 3,0 | 8,9 | 1 | 4,3 | 3,9 | 3,4 | 3,0 | - | - |
186 | 4,0 | 14,3 | 1 | 6,3 | 5,7 | 4,8 | 4,2 | - | - | |
187 | 5,0 | 20,7 | 1 | - | 6,1 | 5,6 | 4,8 | 4,3 | 3,9 | |
188 | 6,0 | 27,9 | 1 | - | 7,9 | 7,2 | 6,2 | 5,4 | 4,9 | |
189 | 7,0 | 36,0 | 2 | - | 10,4 | 9,5 | 8,2 | 7,3 | 6,6 | |
190 | 8,0 | 44,9 | 2 | - | 12,6 | 11,6 | 9,8 | 8,7 | 7,8 | |
Индекс | а | б | в | г | д | е | ||||
Швы стыковых соединений С2, С4, С7, С8, С9, С10, С12, С13, С14, С15, С16, С17, С18, С19, С21, С25 | Полуавтоматическая аргонодуговая сварка легированных и высоколегированных сталей | |||||||||
Карта 17 | Лист 5 | |||||||||
Основной шов | ||||||||||
Номер позиции | Тип шва | Толщина металла, мм | Площадь сечения, мм2 | Количество проходов | Диаметр проволоки, мм | |||||
0,8 | 1,0 | 1,2 | 1,4 | 1,6 | 2,0 | |||||
Неполное штучное время на 1 м шва, мин. | ||||||||||
191 | С17 | 9,0 | 54,5 | 2 | - | 14,9 | 13,6 | 11,6 | 10,2 | 9,1 |
192 | 10,0 | 64,8 | 2 | - | 17,4 | 15,8 | 13,5 | 11,8 | 10,5 | |
193 | С18 ![]() | 3,0 | 11,0 | 1 | 5,0 | 4,6 | 3,9 | 3,4 | - | - |
194 | 4,0 | 17,0 | 1 | 7,2 | 6,5 | 5,5 | 4,7 | - | - | |
195 | 5,0 | 23,9 | 1 | - | 6,9 | 6,3 | 5,4 | 4,8 | 4,3 | |
196 | 6,0 | 31,5 | 2 | - | 9,3 | 8,6 | 7,4 | 6,6 | 6,0 | |
197 | 7,0 | 39,9 | 2 | - | 11,4 | 10,4 | 8,9 | 7,9 | 7,1 | |
198 | 8,0 | 48,9 | 2 | - | 13,5 | 12,4 | 10,6 | 9.3 | 8,3 | |
199 | 9,0 | 58,5 | 2 | - | 15,9 | 14,5 | 12,3 | 10,8 | 9,7 | |
200 | 10,0 | 68,7 | 3 | - | 19,0 | 17,3 | 14,8 | 13,0 | 11,6 | |
201 | С19 ![]() | 3,0 | 8,4 | 1 | 4,1 | 3,8 | 3,3 | 2,9 | - | - |
202 | 4,0 | 13,8 | 1 | 6,1 | 5,5 | 4,7 | 4,1 | - | - | |
203 | 5,0 | 20,4 | 1 | - | 6,0 | 5,5 | 4,8 | 4,2 | 3,8 | |
204 | 6,0 | 27,9 | 1 | - | 7,9 | 7,2 | 6,2 | 5,4 | 4,9 | |
205 | 7,0 | 36,5 | 2 | - | 10,5 | 9,6 | 8,3 | 7,4 | 6,6 | |
206 | 8,0 | 45,9 | 2 | - | 12,8 | 11,7 | 10,0 | 8,8 | 7,9 | |
207 | 9,0 | 56,3 | 2 | - | 15,4 | 14,0 | 11,9 | 10,5 | 9,4 | |
208 | 10,0 | 67,6 | 2 | - | 18,1 | 16,4 | 14,0 | 12,2 | 10,9 | |
209 | С21 ![]() | 3,0 | 8,4 | 1 | 4,1 | 3,7 | 3,2 | 2,9 | - | - |
210 | 4,0 | 13,8 | 1 | 6,1 | 5,5 | 4,7 | 4,0 | - | - | |
211 | 5,0 | 20,3 | 1 | - | 6,0 | 5,5 | 4,8 | 4,2 | 3,8 | |
212 | 6,0 | 27,8 | 1 | - | 7,8 | 7,2 | 6,1 | 5,4 | 4,9 | |
213 | 7,0 | 36,3 | 2 | - | 10,5 | 9,6 | 8,3 | 7,3 | 6,6 | |
214 | 8,0 | 45,7 | 2 | - | 12,8 | 11,7 | 10,0 | 8,8 | 7,9 | |
215 | 9,0 | 56,1 | 2 | - | 15,3 | 13,9 | 11,9 | 10,4 | 9,3 | |
216 | 10,0 | 67,3 | 2 | - | 18,0 | 16,4 | 13,9 | 12,2 | 10,9 | |
217 | С25 ![]() | 6,0 | 8,9 | 1 | - | 3,2 | 3,0 | 2,7 | 2,5 | 2,3 |
218 | 7,0 | 11,1 | 1 | - | 3,8 | 3,5 | 3,1 | 2,8 | 2,6 | |
219 | 8,0 | 13,4 | 1 | - | 4,3 | 4,0 | 3,5 | 3,2 | 2,9 | |
220 | 9,0 | 15,9 | 1 | - | 4,9 | 4,5 | 4,0 | 3,5 | 3,2 | |
221 | 10,0 | 18,5 | 1 | - | 5,6 | 5,1 | 4,4 | 4,0 | 3,6 | |
222 | 12,0 | 24,0 | 1 | - | - | 5,9 | 5,1 | 4,6 | 4,1 | |
223 | 14,0 | 29,9 | 1 | - | - | 7,1 | 6,1 | 5,4 | 4,9 | |
224 | 16,0 | 36,1 | 1 | - | - | 8,3 | 7,2 | 6,3 | 5,7 | |
225 | 18,0 | 42,7 | 1 | - | - | 9,7 | 8,2 | 7,2 | 6,5 | |
226 | 20,0 | 49,7 | 1 | - | - | 11,0 | 9,4 | 8,2 | 7,3 | |
227 | 22,0 | 65,4 | 2 | - | - | 13,7 | 11,7 | 10,3 | 9,2 | |
228 | 24,0 | 76,4 | 2 | - | - | 15,7 | 13,4 | 11,8 | 10,5 | |
229 | 26,0 | 88,2 | 2 | - | - | 17,8 | 15,2 | 13,3 | 11,8 | |
230 | 28,0 | 100,7 | 2 | - | - | 20,1 | 17,1 | 14,9 | 13,2 | |
231 | 30,0 | 113,9 | 3 | - | - | 23,1 | 19,6 | 17,2 | 15,3 | |
232 | 32,0 | 127,8 | 3 | - | - | 23,8 | 20,3 | 17,8 | 15,9 | |
233 | 34,0 | 143,4 | 3 | - | - | 26,3 | 22,3 | 19,5 | 17,4 | |
234 | 36,0 | 157,7 | 4 | - | - | 29,4 | 25,0 | 21,9 | 19,6 | |
235 | 38,0 | 173,7 | 4 | - | - | 32,1 | 27,3 | 23,8 | 21,2 | |
236 | 40,0 | 190,3 | 4 | - | - | 34,8 | 29,6 | 25,8 | 23,0 | |
Индекс | а | б | в | г | д | е | ||||
Швы стыковых соединений С2, С4, С7, С8, С9, С10, С12, С13, С14, С15, С16, С17, С18, С19, С21, С25 | Полуавтоматическая аргонодуговая сварка легированных и высоколегированных сталей | |||||||||
Карта 17 | Лист 6 | |||||||||
Основной шов | ||||||||||
Номер позиции | Тип шва | Толщина металла, мм | Площадь сечения, мм2 | Количество проходов | Диаметр проволоки, мм | |||||
0,8 | 1,0 | 1,2 | 1,4 | 1,6 | 2,0 | |||||
Неполное штучное время на 1 м шва, мин. | ||||||||||
237 | С25 | 42,0 | 207,7 | 5 | - | - | 38,3 | 32,6 | 28,4 | 25,3 |
238 | 44,0 | 225,6 | 5 | - | - | 41,3 | 35,0 | 30,6 | 27,2 | |
239 | 46,0 | 244,3 | 5 | - | - | 44,4 | 37,6 | 32,8 | 29,1 | |
240 | 48,0 | 263,6 | 6 | - | - | 48,2 | 40,9 | 35,7 | 31,7 | |
241 | 50,0 | 283,5 | 6 | - | - | 51,5 | 43,6 | 38,0 | 33,8 | |
242 | 52,0 | 304,1 | 7 | - | - | 55,5 | 47,1 | 41,1 | 36,5 | |
243 | 54,0 | 325,3 | 7 | - | - | 59,0 | 50,0 | 43,6 | 38,7 | |
244 | 56,0 | 347,1 | 7 | - | - | 62,7 | 53,0 | 46,2 | 41,0 | |
245 | 58,0 | 369,5 | 8 | - | - | 67,0 | 56,7 | 49,4 | 43,9 | |
246 | 60,0 | 392,6 | 8 | - | - | 70,8 | 59,9 | 52,2 | 46,3 | |
247 | 64,0 | 440,5 | 9 | - | - | - | 60,6 | 52,8 | 47,0 | |
248 | 68,0 | 490,8 | 10 | - | - | - | 67,4 | 58,8 | 52,2 | |
249 | 72,0 | 543,6 | 11 | - | - | - | 74,5 | 64,9 | 57,7 | |
250 | 76,0 | 598,7 | 12 | - | - | - | 82,0 | 71,4 | 63,4 | |
251 | 80,0 | 656,1 | 14 | - | - | - | 90,2 | 78,6 | 69,9 | |
252 | 84,0 | 715,8 | 15 | - | - | - | 92,3 | 80,5 | 71,6 | |
253 | 88,0 | 777,7 | 16 | - | - | - | 100,0 | 87,2 | 77,6 | |
254 | 92,0 | 842,0 | 17 | - | - | - | 108,0 | 94,1 | 83,7 | |
255 | 96,0 | 908,4 | 19 | - | - | - | 116,9 | 101,9 | 90,6 | |
256 | 100,0 | 977,1 | 20 | - | - | - | 125,4 | 109,3 | 97,2 | |
257 | 110,0 | 1158,3 | 24 | - | - | - | 148,7 | 129,6 | 115,2 | |
258 | 120,0 | 1352,9 | 28 | - | - | - | 173,5 | 151,2 | 134,4 | |
Индекс | а | б | в | г | д | е | ||||
С12, С13, С14, С21 | Полуавтоматическая аргонодуговая сварка легированных и высоколегированных сталей | |||||||||
Карта 18 | Лист 1 | |||||||||
Шов с противоположной стороны | ||||||||||
Номер позиции | Тип шва | Толщина металла, мм | Площадь сечения, мм2 | Количество проходов | Диаметр проволоки, мм | |||||
0,8 | 1,0 | 1,2 | 1,4 | 1,6 | 2,0 | |||||
Неполное штучное время на 1 м шва, мин. | ||||||||||
1 | С12 ![]() | 3,0 | 3,4 | 1 | 2,3 | 2,1 | 1,9 | 1,8 | - | - |
2 | 4,0 | 3,4 | 1 | 2,3 | 2,1 | 1,9 | 1,8 | - | - | |
3 | 5,0 | 9,0 | 1 | - | 3,3 | 3,0 | 2,7 | 2,5 | 2,3 | |
4 | 6,0 | 9,0 | 1 | - | 3,3 | 3,0 | 2,7 | 2,5 | 2,3 | |
5 | 7,0 | 9,0 | 1 | - | 3,3 | 3,0 | 2,7 | 2,5 | 2,3 | |
6 | 8,0 | 9,0 | 1 | - | 3,3 | 3,0 | 2,7 | 2,5 | 2,3 | |
7 | 9,0 | 9,0 | 1 | - | 3,3 | 3,0 | 2,7 | 2,5 | 2,3 | |
8 | 10,0 | 9,0 | 1 | - | 3,3 | 3,0 | 2,7 | 2,5 | 2,3 | |
9 | С13 ![]() | 18,0 | 15,0 | 1 | - | - | 4,0 | 3,5 | 3,2 | 3,0 |
10 | 20,0 | 15,0 | 1 | - | - | 4,0 | 3,5 | 3,2 | 3,0 | |
11 | 22,0 | 15,0 | 1 | - | - | 4,0 | 3,5 | 3,2 | 3,0 | |
12 | 24,0 | 15,0 | 1 | - | - | 4,0 | 3,5 | 3,2 | 3,0 | |
13 | 26,0 | 15,0 | 1 | - | - | 4,0 | 3,5 | 3,2 | 3,0 | |
14 | 28,0 | 15,0 | 1 | - | - | 4,0 | 3,5 | 3,2 | 3,0 | |
15 | 30,0 | 22,5 | 1 | - | - | 5,1 | 4,5 | 4,1 | 3,7 | |
16 | 32,0 | 22,5 | 1 | - | - | 5,1 | 4,5 | 4,1 | 3,7 | |
17 | 34,0 | 22,5 | 1 | - | - | 5,1 | 4,5 | 4,1 | 3,7 | |
18 | 36,0 | 22,5 | 1 | - | - | 5,1 | 4,5 | 4,1 | 3,7 | |
19 | 38,0 | 22,5 | 1 | - | - | 5,1 | 4,5 | 4,1 | 3,7 | |
20 | 40,0 | 22,5 | 1 | - | - | 5,1 | 4,5 | 4,1 | 3,7 | |
21 | 42,0 | 22,5 | 1 | - | - | 5,1 | 4,5 | 4,1 | 3,7 | |
22 | 44,0 | 22,5 | 1 | - | - | 5,1 | 4,5 | 4,1 | 3,7 | |
23 | 46,0 | 22,5 | 1 | - | - | 5,1 | 4,5 | 4,1 | 3,7 | |
24 | 48,0 | 22,5 | 1 | - | - | 5,1 | 4,5 | 4,1 | 3,7 | |
25 | 50,0 | 22,5 | 1 | - | - | 5,1 | 4,5 | 4,1 | 3,7 | |
26 | 52,0 | 22,5 | 1 | - | - | 5,1 | 4,5 | 4,1 | 3,7 | |
27 | 54,0 | 22,5 | 1 | - | - | 5,1 | 4,5 | 4,1 | 3,7 | |
28 | 56,0 | 22,5 | 1 | - | - | 5,1 | 4,5 | 4,1 | 3,7 | |
29 | 58,0 | 22,5 | 1 | - | - | 5,1 | 4,5 | 4,1 | 3,7 | |
30 | 60,0 | 22,5 | 1 | - | - | 5,1 | 4,5 | 4,1 | 3,7 | |
31 | 64,0 | 27,0 | 1 | - | - | - | 4,7 | 4,3 | 3,9 | |
32 | 68,0 | 27,0 | 1 | - | - | - | 4,7 | 4,3 | 3,9 | |
33 | 72,0 | 27,0 | 1 | - | - | - | 4,7 | 4,3 | 3,9 | |
34 | 76,0 | 27,0 | 1 | - | - | - | 4,7 | 4,3 | 3,9 | |
35 | 80,0 | 27,0 | 1 | - | - | - | 4,7 | 4,3 | 3,9 | |
36 | 84,0 | 27,0 | 1 | - | - | - | 4,7 | 4,3 | 3,9 | |
37 | 88,0 | 27,0 | 1 | - | - | - | 4,7 | 4,3 | 3,9 | |
38 | 92,0 | 27,0 | 1 | - | - | - | 4,7 | 4,3 | 3,9 | |
39 | 96,0 | 27,0 | 1 | - | - | - | 4,7 | 4,3 | 3,9 | |
40 | 100,0 | 27,0 | 1 | - | - | - | 4,7 | 4,3 | 3,9 | |
41 | С14 ![]() | 18,0 | 15,0 | 1 | - | - | 4,0 | 3,5 | 3,2 | 3,0 |
42 | 20,0 | 15,0 | 1 | - | - | 4,0 | 3,5 | 3,2 | 3,0 | |
43 | 22,0 | 15,0 | 1 | - | - | 4,0 | 3,5 | 3,2 | 3,0 | |
44 | 24,0 | 15,0 | 1 | - | - | 4,0 | 3,5 | 3,2 | 3,0 | |
45 | 26,0 | 15,0 | 1 | - | - | 4,0 | 3,5 | 3,2 | 3,0 | |
46 | 28,0 | 15,0 | 1 | - | - | 4,0 | 3,5 | 3,2 | 3,0 | |
47 | 30,0 | 15,0 | 1 | - | - | 4,0 | 3,5 | 3,2 | 3,0 | |
48 | 32,0 | 15,0 | 1 | - | - | 3,9 | 3,5 | 3,2 | 3,0 | |
Индекс | а | б | в | г | д | е | ||||
Швы стыковых соединений С12, С13, С14, С21 | Полуавтоматическая аргонодуговая сварка легированных и высоколегированных сталей | |||||||||
Карта 18 | Лист 2 | |||||||||
Шов с противоположной стороны | ||||||||||
Номер позиции | Тип шва | Толщина металла, мм | Площадь сечения, мм2 | Количество проходов | Диаметр проволоки, мм | |||||
0,8 | 1,0 | 1,2 | 1,4 | 1,6 | 2,0 | |||||
Неполное штучное время на 1 м шва, мин. | ||||||||||
49 | С14 | 34,0 | 15,0 | 1 | - | - | 3,9 | 3,5 | 3,2 | 3,0 |
50 | 36,0 | 15,0 | 1 | - | - | 3,9 | 3,5 | 3,2 | 3,0 | |
51 | 38,0 | 15,0 | 1 | - | - | 3,9 | 3,5 | 3,2 | 3,0 | |
52 | 40,0 | 15,0 | 1 | - | - | 3,9 | 3,5 | 3,2 | 3,0 | |
53 | 42,0 | 15,0 | 1 | - | - | 3,9 | 3,5 | 3,2 | 3,0 | |
54 | 44,0 | 15,0 | 1 | - | - | 3,9 | 3,5 | 2,2 | 3,0 | |
55 | 46,0 | 15,0 | 1 | - | - | 3,9 | 3,5 | 3,2 | 3,0 | |
56 | 48,0 | 15,0 | 1 | - | - | 3,9 | 3,5 | 3,2 | 3,0 | |
57 | 50,0 | 15,0 | 1 | - | - | 3,9 | 3,5 | 3,2 | 3,0 | |
58 | 52,0 | 15,0 | 1 | - | - | 3,9 | 3,5 | 3,2 | 3,0 | |
59 | 54,0 | 18,0 | 1 | - | - | 4,4 | 3,5 | 3,2 | 3,0 | |
60 | 56,0 | 18,0 | 1 | - | - | 4,4 | 3,5 | 3,2 | 3,0 | |
61 | 58,0 | 18,0 | 1 | - | - | 4,4 | 3,5 | 3,2 | 3,0 | |
62 | 60,0 | 18,0 | 1 | - | - | 4,4 | 3,5 | 3,2 | 3,0 | |
63 | 64,0 | 18,0 | 1 | - | - | - | 3,5 | 3,2 | 3,0 | |
64 | 68,0 | 18,0 | 1 | - | - | - | 3,6 | 3,3 | 3,1 | |
65 | 72,0 | 18,0 | 1 | - | - | - | 3,6 | 3,3 | 3,1 | |
66 | 76,0 | 18,0 | 1 | - | - | - | 3,6 | 3,3 | 3,1 | |
67 | 80,0 | 18,0 | 1 | - | - | - | 3,6 | 3,3 | 3,1 | |
68 | 84,0 | 18,0 | 1 | - | - | - | 3,6 | 3,3 | 3,1 | |
69 | 88,0 | 18,0 | 1 | - | - | - | 3,9 | 3,5 | 3,3 | |
70 | 92,0 | 18,0 | 1 | - | - | - | 3,9 | 3,5 | 3,3 | |
71 | 96,0 | 18,0 | 1 | - | - | - | 3,9 | 3,5 | 3,3 | |
72 | 100,0 | 18,0 | 1 | - | - | - | 3,9 | 3,5 | 3,3 | |
73 | С21 ![]() | 3,0 | 3,4 | 1 | 2,3 | 2,1 | 1,9 | 1,8 | - | - |
74 | 4,0 | 3,4 | 1 | 2,3 | 2,1 | 1,9 | 1,8 | - | - | |
75 | 5,0 | 9,0 | 1 | - | 2,3 | 3,0 | 2,7 | 2,5 | 2,3 | |
76 | 6,0 | 9,0 | 1 | - | 3,3 | 3,0 | 2,7 | 2,5 | 2,3 | |
77 | 7,0 | 9,0 | 1 | - | 3,3 | 3,0 | 2,7 | 2,5 | 2,3 | |
78 | 8,0 | 9,0 | 1 | - | 3,3 | 3,0 | 2,7 | 2,5 | 2,3 | |
79 | 9,0 | 9,0 | 1 | - | 3,3 | 3,0 | 2,7 | 2,5 | 2,3, | |
80 | 10,0 | 9,0 | 1 | - | 3,3 | 3,0 | 2,7 | 2,5 | 2,3 | |
Индекс | а | б | в | г | д | е | ||||
Т6, Т7, Т8, Т9 | Полуавтоматическая аргонодуговая сварка легированных и высоколегированных сталей | |||||||||
Карта 19 | Лист 1 | |||||||||
Основной шов | ||||||||||
Номер позиции | Тип шва | Толщина металла, мм | Площадь сечения, мм2 | Количество проходов | Диаметр проволоки, мм | |||||
0,8 | 1,0 | 1,2 | 1,4 | 1,6 | 2,0 | |||||
Неполное штучное время на 1 м шва, мин. | ||||||||||
1 | Т6 ![]() | 3,0 | 7,5 | 1 | 4,0 | 3,7 | 3,2 | 2,9 | - | - |
2 | 4,0 | 13,3 | 1 | 6,1 | 5,5 | 4,7 | 4,1 | - | - | |
3 | 5,0 | 20,6 | 1 | - | 6,3 | 5,8 | 5,0 | 4,5 | 4,1 | |
4 | 6,0 | 29,4 | 2 | - | 9,1 | 8,4 | 7,3 | 6,5 | 5,9 | |
5 | 7,0 | 39,9 | 2 | - | 11,6 | 10,6 | 9,2 | 8,1 | 7,4 | |
6 | 8,0 | 51,8 | 2 | - | 14,5 | 13,2 | 11,4 | 10,0 | 9,0 | |
7 | 9,0 | 65,3 | 2 | - | 17,8 | 16,2 | 13,8 | 12,1 | 10,8 | |
8 | 10,0 | 80,3 | 3 | - | 22,1 | 20,1 | 17,2 | 15,1 | 13,5 | |
9 | 12,0 | 114,9 | 3 | - | - | 25,4 | 21,7 | 18,9 | 16,9 | |
10 | 14,0 | 155,4 | 4 | - | - | 34,1 | 29,0 | 25,3 | 22,6 | |
11 | 16,0 | 202,0 | 4 | - | - | 43,4 | 36,7 | 31,9 | 28,3 | |
12 | 18,0 | 254,5 | 6 | - | - | 55,1 | 46,6 | 40,6 | 36,1 | |
13 | 20,0 | 313,0 | 7 | - | - | 67,3 | 57,0 | 49,6 | 44,0 | |
14 | 22,0 | 377,4 | 8 | - | - | 74,3 | 62,9 | 54,8 | 48,5 | |
15 | 24,0 | 447,6 | 9 | - | - | 87,7 | 74,2 | 64,5 | 57,0 | |
16 | 26,0 | 523,8 | 11 | - | - | 102,7 | 86,9 | 75,7 | 66,9 | |
17 | 28,0 | 605,7 | 13 | - | - | 118,9 | 100,6 | 87,6 | 77,4 | |
18 | 30,0 | 693,6 | 14 | - | - | 135,4 | 114,5 | 99,6 | 87,9 | |
19 | 32,0 | 787,2 | 16 | - | - | 142,4 | 120,6 | 104,9 | 93,3 | |
20 | 34,0 | 886,6 | 18 | - | - | 160,2 | 135,6 | 118,1 | 104,9 | |
21 | 36,0 | 991,8 | 20 | - | - | 179,0 | 151,5 | 131,9 | 117,1 | |
22 | 38,0 | 1102,9 | 23 | - | - | 199,4 | 168,9 | 147,0 | 130,6 | |
23 | 40,0 | 1219,6 | 25 | - | - | 220,2 | 186,3 | 162,2 | 144,1 | |
24 | 42,0 | 1342,1 | 27 | - | - | 241,8 | 204,6 | 178,0 | 158,1 | |
25 | 44,0 | 1470,4 | 30 | - | - | 265,1 | 224,4 | 195,2 | 173,4 | |
26 | 46,0 | 1604,4 | 33 | - | - | 289,4 | 244,9 | 213,1 | 189,2 | |
27 | 48,0 | 1744,1 | 35 | - | - | 313,9 | 265,5 | 231,0 | 205,1 | |
28 | 50,0 | 1889,6 | 38 | - | - | 340,1 | 287,7 | 250,2 | 222,1 | |
29 | 52,0 | 2040,7 | 41 | - | - | 367,2 | 310,6 | 260,1 | 239,8 | |
30 | 54,0 | 2198,6 | 44 | - | - | 395,2 | 334,2 | 290,7 | 258,1 | |
31 | 56,0 | 2360,1 | 48 | - | - | 424,8 | 359,4 | 312,6 | 277,5 | |
32 | 58,0 | 2528,4 | 51 | - | - | 454,8 | 384,7 | 334,6 | 297,0 | |
33 | 60,0 | 2702,2 | 54 | - | - | 485,7 | 410,7 | 357,2 | 317,0 | |
34 | Т7 ![]() | 3,0 | 7,5 | 1 | 4,0 | 3,7 | 3,2 | 2,9 | - | - |
35 | 4,0 | 13,2 | 1 | 6,1 | 5,5 | 4,7 | 4,1 | - | - | |
36 | 5,0 | 20,5 | 1 | - | 6,3 | 5,8 | 5,0 | 4,5 | 4,1 | |
37 | 6,0 | 29,4 | 2 | - | 9,1 | 8,3 | 7,3 | 6,5 | 5,9 | |
38 | 7,0 | 39,8 | 2 | - | 11,6 | 10,6 | 9,2 | 8,1 | 7,4 | |
39 | 8,0 | 51,8 | 2 | - | 14,5 | 13,3 | 11,4 | 10,0 | 9,0 | |
40 | 9,0 | 65,3 | 2 | - | 17,8 | 16,2 | 13,8 | 12,1 | 10,8 | |
41 | 10,0 | 80,4 | 3 | - | 22,1 | 20,2 | 17,2 | 15,1 | 13,6 | |
42 | 12,0 | 115,1 | 3 | - | - | 25,5 | 21,7 | 19,0 | 16,9 | |
43 | 14,0 | 155,9 | 4 | - | - | 34,2 | 29,1 | 25,4 | 22,6 | |
44 | 16,0 | 202,7 | 5 | - | - | 44,1 | 37,4 | 32,7 | 29,1 | |
45 | 18,0 | 255,6 | 6 | - | - | 55,3 | 46,8 | 40,8 | 36,3 | |
46 | 20,0 | 314,5 | 7 | - | - | 67,6 | 57,2 | 49,8 | 44,2 | |
Индекс | а | б | в | г | д | е | ||||
Швы тавровых соединений Т6, Т7, Т8, Т9 | Полуавтоматическая аргонодуговая сварка легированных и высоколегированных сталей | |||||||||
Карта 19 | Лист 2 | |||||||||
Основной шов | ||||||||||
Номер позиции | Тип шва | Толщина металла, мм | Площадь сечения, мм2 | Количество проходов | Диаметр проволоки, мм | |||||
0,8 | 1,0 | 1,2 | 1,4 | 1,6 | 2,0 | |||||
Неполное штучное время на 1 м шва, мин. | ||||||||||
47 | Т7 | 22,0 | 379,3 | 8 | - | - | 74,7 | 63,2 | 55,1 | 48,7 |
48 | 24,0 | 450,1 | 9 | - | - | 88,1 | 74,6 | 64,9 | 57,3 | |
49 | 26,0 | 526,9 | 11 | - | - | 103,3 | 87,4 | 76,1 | 67,2 | |
50 | 28,0 | 609,6 | 13 | - | - | 119,6 | 101,2 | 88,1 | 77,8 | |
51 | 30,0 | 698,2 | 14 | - | - | 136,2 | 115,2 | 100,1 | 88,4 | |
52 | 32,0 | 792,7 | 16 | - | - | 143,3 | 121,3 | 105,6 | 93,8 | |
53 | 34,0 | 893,1 | 18 | - | - | 161,3 | 136,5 | 118,8 | 105,6 | |
54 | 36,0 | 999,4 | 20 | - | - | 180,3 | 152,6 | 132,8 | 117,9 | |
55 | 38,0 | 1111,6 | 23 | - | - | 200,9 | 170,1 | 148,0 | 131,5 | |
56 | 40,0 | 1229,6 | 25 | - | - | 221,8 | 187,7 | 163,4 | 145,1 | |
57 | 42,0 | 1353,4 | 28 | - | - | 244,4 | 206,8 | 180,0 | 159,9 | |
58 | 44,0 | 1483,1 | 30 | - | - | 267,3 | 226,1 | 196,7 | 174,7 | |
59 | 46,0 | 1618,6 | 33 | - | - | 291,7 | 246,9 | 214,8 | 190,7 | |
60 | 48,0 | 1760,0 | 36 | - | - | 317,2 | 268,4 | 233,5 | 207,4 | |
61 | 50,0 | 1907,1 | 39 | - | - | 343,6 | 290,7 | 253,0 | 224,6 | |
62 | 52,0 | 2060,1 | 42 | - | - | 371,0 | 313,9 | 273,1 | 242,5 | |
63 | 54,0 | 2218,9 | 45 | - | - | 399,4 | 337,9 | 293,9 | 260,9 | |
64 | 56,0 | 2383,4 | 48 | - | - | 428,7 | 362,6 | 315,4 | 280,0 | |
65 | 58,0 | 2553,7 | 52 | - | - | 459,6 | 388,8 | 338,2 | 300,3 | |
66 | 60,0 | 2729,8 | 55 | - | - | 490,9 | 415,2 | 361,1 | 320,5 | |
67 | Т8 ![]() | 6,0 | 10,9 | 1 | - | 3,9 | 3,7 | 3,3 | 3,0 | 2,8 |
68 | 7,0 | 14,4 | 1 | - | 4,8 | 4,4 | 3,9 | 3,5 | 3,2 | |
69 | 8,0 | 18,4 | 1 | - | 5,7 | 5,3 | 4,6 | 4,1 | 3,8 | |
70 | 9,0 | 22,8 | 1 | - | 6,8 | 6,2 | 5,4 | 4,8 | 4,4 | |
71 | 10,0 | 27,5 | 1 | - | 8,0 | 7,3 | 6,3 | 5,6 | 5,0 | |
72 | 12,0 | 38,3 | 1 | - | - | 9,0 | 7,7 | 6,8 | 6,1 | |
73 | 14,0 | 50,5 | 1 | - | - | 11,4 | 9,7 | 8,5 | 7,7 | |
74 | 16,0 | 64,3 | 2 | - | - | 14,8 | 12,7 | 11,1 | 10,0 | |
75 | 18,0 | 79,6 | 2 | - | - | 17,8 | 15,2 | 13,3 | 11,9 | |
76 | 20,0 | 96,2 | 2 | - | - | 21,1 | 17,9 | 15,7 | 14,0 | |
77 | 22,0 | 114,3 | 3 | - | - | 23,5 | 20,1 | 17,6 | 15,7 | |
78 | 24,0 | 133,7 | 3 | - | - | 27,0 | 23,0 | 20,1 | 17,9 | |
79 | 26,0 | 154,5 | 4 | - | - | 31,4 | 26,0 | 23,4 | 20,8 | |
80 | 28,0 | 176,6 | 4 | - | - | 35,4 | 30,1 | 26,3 | 23,3 | |
81 | 30,0 | 200,0 | 4 | - | - | 39,7 | 33,6 | 29,3 | 26,0 | |
82 | 32,0 | 224,7 | 5 | - | - | 41,7 | 35,4 | 31,0 | 27,6 | |
83 | 34,0 | 250,7 | 5 | - | - | 46,0 | 39,0 | 34,1 | 30,3 | |
84 | 36,0 | 278,0 | 6 | - | - | 51,2 | 43,5 | 38,0 | 33,8 | |
85 | 38,0 | 306,4 | 7 | - | - | 56,6 | 48,1 | 42,0 | 37,4 | |
86 | 40,0 | 336,2 | 7 | - | - | 61,5 | 52,2 | 45,5 | 40,5 | |
87 | 42,0 | 367,1 | 8 | - | - | 67,3 | 57,1 | 49,8 | 44,4 | |
88 | 44,0 | 399,2 | 8 | - | - | 72,6 | 61,6 | 53,7 | 47,7 | |
89 | 46,0 | 432,6 | 9 | - | - | 78,8 | 66,8 | 58,3 | 51,8 | |
90 | 48,0 | 467,1 | 10 | - | - | 85,2 | 72,3 | 63,0 | 56,1 | |
91 | 50,0 | 502,8 | 11 | - | - | 91,8 | 77,9 | 67,9 | 60,4 | |
92 | 52,0 | 539,7 | 11 | - | - | 98,0 | 83,0 | 72,3 | 64,3 | |
93 | 54,0 | 577,7 | 12 | - | - | 104,9 | 88,9 | 77,5 | 68,9 | |
94 | 56,0 | 664,7 | 14 | - | - | 120,7 | 102,3 | 89,1 | 79,2 | |
95 | 58,0 | 710,8 | 15 | - | - | 129,0 | 109,3 | 95,2 | 84,7 | |
Индекс | а | б | в | г | д | е | ||||
Швы тавровых соединений Т6, Т7, Т8, Т9 | Полуавтоматическая аргонодуговая сварка легированных и высоколегированных сталей | |||||||||
Карта 19 | Лист 3 | |||||||||
Основной шов | ||||||||||
Номер позиции | Тип шва | Толщина металла, мм | Площадь сечения, мм2 | Количество проходов | Диаметр проволоки, мм | |||||
0,8 | 1,0 | 1,2 | 1,4 | 1,6 | 2,0 | |||||
Неполное штучное время на 1 м шва, мин. | ||||||||||
96 | Т8 | 60,0 | 758,3 | 16 | - | - | 137,6 | 116,5 | 101,5 | 90,2 |
97 | 64,0 | 857,6 | 18 | - | - | - | 118,9 | 103,7 | 92,3 | |
98 | 68,0 | 962,8 | 20 | - | - | - | 133,2 | 116,2 | 103,4 | |
99 | 72,0 | 1073,8 | 22 | - | - | - | 148,2 | 129,2 | 115,0 | |
100 | 76,0 | 1190,5 | 24 | - | - | - | 164,0 | 142,9 | 127,1 | |
101 | 80,0 | 1312,9 | 27 | - | - | - | 181,1 | 157,8 | 140,4 | |
102 | Т9 ![]() | 12,0 | 19,0 | 1 | - | - | 5,1 | 4,5 | 4,1 | 3,7 |
103 | 14,0 | 25,0 | 1 | - | - | 6,3 | 5,5 | 4,9 | 4,5 | |
104 | 16,0 | 31,7 | 1 | - | - | 7,7 | 6,6 | 5,9 | 5,3 | |
105 | 18,0 | 39,2 | 1 | - | - | 9,2 | 7,9 | 6,9 | 6,2 | |
106 | 20,0 | 47,3 | 1 | - | - | 10,8 | 9,2 | 8,1 | 7,2 | |
107 | 22,0 | 56,1 | 2 | - | - | 12,3 | 10,6 | 9,4 | 8,5 | |
108 | 24,0 | 65,5 | 2 | - | - | 14,0 | 12,0 | 10,6 | 9,5 | |
109 | 26,0 | 75,6 | 2 | - | - | 15,9 | 13,6 | 11,9 | 10,7 | |
110 | 28,0 | 86,3 | 2 | - | - | 17,8 | 15,2 | 13,3 | 11,9 | |
111 | 30,0 | 97,6 | 2 | - | - | 19,8 | 16,9 | 14,8 | 13,2 | |
112 | 32,0 | 109,6 | 3 | - | - | 21,2 | 18,2 | 16,0 | 14,4 | |
113 | 34,0 | 122,1 | 3 | - | - | 23,3 | 19,9 | 17,5 | 15,7 | |
114 | 36,0 | 135,3 | 3 | - | - | 25,5 | 21,7 | 19,0 | 17,0 | |
115 | 38,0 | 149,0 | 3 | - | - | 27,8 | 23,6 | 20,7 | 18,5 | |
116 | 40,0 | 163,3 | 4 | - | - | 30,8 | 26,3 | 23,0 | 20,6 | |
117 | 42,0 | 178,2 | 4 | - | - | 33,3 | 28,3 | 24,8 | 22,2 | |
118 | 44,0 | 193,6 | 4 | - | - | 35,8 | 30,5 | 26,6 | 23,8 | |
119 | 46,0 | 209,7 | 5 | - | - | 39,2 | 33,8 | 29,2 | 26,1 | |
120 | 48,0 | 226,2 | 5 | - | - | 41,9 | 35,6 | 31,2 | 27,8 | |
121 | 50,0 | 243,3 | 5 | - | - | 44,8 | 38,0 | 33,2 | 29,6 | |
122 | 52,0 | 261,0 | 6 | - | - | 48,4 | 41,1 | 35,9 | 32,1 | |
123 | 54,0 | 279,2 | 6 | - | - | 51,4 | 43,6 | 38,1 | 33,9 | |
124 | 56,0 | 298,0 | 6 | - | - | 54,5 | 46,2 | 40,3 | 35,9 | |
125 | 58,0 | 317,3 | 7 | - | - | 58,4 | 49,6 | 43,3 | 38,6 | |
126 | 60,0 | 337,1 | 7 | - | - | 61,7 | 52,3 | 45,6 | 40,6 | |
127 | 64,0 | 378,3 | 8 | - | - | - | 53,1 | 46,4 | 41,3 | |
128 | 68,0 | 421,6 | 9 | - | - | - | 59,1 | 51,6 | 46,0 | |
129 | 72,0 | 466,9 | 10 | - | - | - | 65,3 | 57,1 | 50,9 | |
130 | 76,0 | 514,3 | 11 | - | - | - | 71,8 | 62,7 | 55,9 | |
131 | 80,0 | 593,7 | 12 | - | - | - | 82,3 | 71,8 | 63,9 | |
132 | 84,0 | 650,5 | 13 | - | - | - | 84,6 | 73,9 | 65,8 | |
133 | 88,0 | 709,6 | 15 | - | - | - | 92,7 | 81,0 | 72,2 | |
134 | 92,0 | 771,1 | 16 | - | - | - | 100,5 | 87,8 | 78,2 | |
135 | 96,0 | 835,0 | 17 | - | - | - | 108,5 | 94,7 | 84,4 | |
136 | 100,0 | 901,2 | 18 | - | - | - | 116,8 | 101,9 | 90,8 | |
Индекс | а | б | в | г | д | е | ||||
У4, У5, У6, У7, У8, У9, У10 | Полуавтоматическая аргонодуговая сварка легированных и высоколегированных сталей | |||||||||
Карта 20 | Лист 1 | |||||||||
Основной шов | ||||||||||
Номер позиции | Тип шва | Толщина металла, мм | Площадь сечения, мм2 | Количество проходов | Диаметр проволоки, мм | |||||
0,8 | 1,0 | 1,2 | 1,4 | 1,6 | 2,0 | |||||
Неполное штучное время на 1 м шва, мин. | ||||||||||
1 | У4 ![]() | 0,8 | 4,9 | 1 | 3,3 | 3,0 | 2,8 | - | - | - |
2 | 1,0 | 5,0 | 1 | 3,3 | 3,1 | 2,9 | - | - | - | |
3 | 1,5 | 7,5 | 1 | 3,8 | 3,5 | 3,1 | 2,8 | - | - | |
4 | 2,0 | 7,8 | 1 | 4,0 | 3,6 | 3,2 | 2,8 | - | - | |
5 | 2,5 | 8,0 | 1 | 4,0 | 3,7 | 3,2 | 2,9 | - | - | |
6 | 3,0 | 12,1 | 1 | 5,5 | 5,0 | 4,3 | 3,7 | - | - | |
7 | 4,0 | 12,6 | 1 | 5,7 | 5,2 | 4,4 | 3,9 | - | - | |
8 | 5,0 | 13,1 | 1 | - | 5,4 | 5,0 | 4,3 | 3,2 | 7,9 | |
9 | 6,0 | 21,2 | 1 | - | 6,3 | 58 | 5,0 | 4,4 | 4,0 | |
10 | 7,0 | 21,7 | 1 | - | 6,4 | 5,9 | 5,1 | 4,5 | 4,1 | |
11 | 8,0 | 22,2 | 1 | - | 6,5 | 6,0 | 5,2 | 4,6 | 4,2 | |
12 | У5 ![]() | 0,8 | 1,9 | 1 | 1,9 | 1,8 | 1,8 | - | - | - |
13 | 1,0 | 2,0 | 1 | 2,0 | 1,9 | 1,8 | - | - | - | |
14 | 1,5 | 3,0 | 1 | 2,2 | 2,1 | 1,9 | 1,8 | - | - | |
15 | 2,0 | 3,3 | 1 | 2,3 | 2,2 | 2,0 | 1,8 | - | - | |
16 | 2,5 | 3,5 | 1 | 2,4 | 2,2 | 2,0 | 1,9 | - | - | |
17 | 3,0 | 5,9 | 1 | 3,3 | 2,6 | 2,5 | 2,3 | - | - | |
18 | 4,0 | 6,5 | 1 | 3,5 | 2,8 | 2,7 | 2,4 | - | - | |
19 | 5,0 | 7,1 | 1 | - | 3,0 | 2,8 | 2,5 | 2,2 | 2,1 | |
20 | 6,0 | 7,6 | 1 | - | 3,1 | 2,8 | 2,5 | 2,3 | 2,1 | |
21 | 7,0 | 8,0 | 1 | - | 3,2 | 2,9 | 2,6 | 2,4 | 2,2 | |
22 | 8,0 | 8,4 | 1 | - | 3,2 | 3,0 | 2,6 | 2,4 | 2,3 | |
23 | 9,0 | 15,9 | 1 | - | 5,0 | 4,6 | 4,0 | 3,6 | 3,3 | |
24 | 10,0 | 16,4 | 1 | - | 5,1 | 4,7 | 4,1 | 3,7 | 3,4 | |
25 | 12,0 | 17,4 | 1 | - | - | 4,7 | 4,1 | 3,7 | 3,4 | |
26 | У6 ![]() | 3,0 | 8,3 | 1 | 4,2 | 3,9 | 3,4 | 3,0 | - | - |
27 | 4,0 | 14,0 | 1 | 6,3 | 5,7 | 4,9 | 4,2 | - | - | |
28 | 5,0 | 20,9 | 1 | - | 6,3 | 5,8 | 5,0 | 4,5 | 4,1 | |
29 | 6,0 | 29,0 | 2 | - | 9,0 | 8,3 | 7,2 | 6,5 | 5,9 | |
30 | 7,0 | 38,3 | 2 | - | 11,2 | 10 3 | 8,9 | 79 | 7,2 | |
31 | 8,0 | 48,6 | 2 | - | 13,8 | 17,6 | 10,8 | 9,5 | 8,6 | |
32 | 9,0 | 60,1 | 2 | - | 16,6 | 15,1 | 12,9 | 11,3 | 10,2 | |
33 | 10,0 | 72,7 | 3 | - | 20,3 | 18,5 | 15,9 | 14,0 | 12,6 | |
34 | У7 ![]() | 3,0 | 8,3 | 1 | 4,2 | 3,9 | 3,4 | 3,0 | - | - |
35 | 4,0 | 14,0 | 1 | 6,3 | 5,7 | 4,9 | 4,3 | - | - | |
36 | 5,0 | 20,9 | 1 | - | 6,3 | 5,8 | 5,0 | 4,5 | 4,1 | |
37 | 6,0 | 29,1 | 2 | - | 9,0 | 8,3 | 7,2 | 6,5 | 5,9 | |
38 | 7,0 | 38,4 | 2 | - | 11,3 | 10,3 | 8,9 | 7,9 | 7,2 | |
39 | 8,0 | 48,9 | 2 | - | 13,8 | 12,6 | 10,9 | 9,6 | 8,6 | |
40 | 9,0 | 60,5 | 2 | - | 16,7 | 15,2 | 13,0 | 11,4 | 10,2 | |
41 | 10,0 | 73,2 | 3 | - | 20,4 | 18,7 | 16,0 | 14,1 | 12,6 | |
Индекс | а | б | в | г | д | е | ||||
Швы угловых соединений У4, У5, У6, У7, У8, У9, У10 | Полуавтоматическая аргонодуговая сварка легированных и высоколегированных сталей | |||||||||
Карта 20 | Лист 2 | |||||||||
Основной шов | ||||||||||
Номер позиции | Тип шва | Толщина металла, мм | Площадь сечения, мм2 | Количество проходов | Диаметр проволоки, мм | |||||
0,8 | 1,0 | 1,2 | 1,4 | 1,6 | 2,0 | |||||
Неполное штучное время на 1 м шва, мин. | ||||||||||
42 | У8 ![]() | 6,0 | 10,1 | 1 | - | 3,7 | 3,4 | 3,1 | 2,8 | 2,6 |
43 | 7,0 | 13,0 | 1 | - | 4,4 | 4,1 | 3,6 | 3,3 | 3,0 | |
44 | 8,0 | 16,1 | 1 | - | 5,1 | 4,8 | 4,2 | 3,7 | 3,4 | |
45 | 9,0 | 19,5 | 1 | - | 6,0 | 5,5 | 4,8 | 4,3 | 3,9 | |
46 | 10,0 | 23,1 | 1 | - | 6,8 | 6,3 | 5,4 | 4,8 | 4,4 | |
47 | 12,0 | 31,0 | 1 | - | - | 7,5 | 6,5 | 5,7 | 5,2 | |
48 | 14,0 | 39,7 | 1 | - | - | 9,2 | 7,9 | 7,0 | 6,3 | |
49 | 16,0 | 49,3 | 1 | - | - | 11,1 | 9,5 | 8,3 | 7,4 | |
50 | 18,0 | 59,6 | 2 | - | - | 13,9 | 11,9 | 10,5 | 9,4 | |
51 | 20,0 | 70,6 | 2 | - | - | 16,0 | 13,7 | 12,0 | 10,8 | |
52 | У9 ![]() | 3,0 | 10,2 | 1 | 4,9 | 4,5 | 3,9 | 3,4 | - | - |
53 | 4,0 | 16,1 | 1 | 7,0 | 6,4 | 5,4 | 4,7 | - | - | |
54 | 5,0 | 22,9 | 1 | - | 6,8 | 6,2 | 5,4 | 4,8 | 4,4 | |
55 | 6,0 | 30,6 | 2 | - | 9,4 | 8,6 | 7,5 | 6,7 | 6,1 | |
56 | 7,0 | 39,1 | 2 | - | 11,4 | 10,5 | 9,1 | 8,0 | 7,3 | |
57 | 8,0 | 48,4 | 2 | - | 13,7 | 12,5 | 10,7 | 9,5 | 8,5 | |
58 | 9,0 | 58,3 | 2 | - | 16,1 | 14,7 | 12,6 | 11,0 | 9,9 | |
59 | 10,0 | 68,9 | 3 | - | 19,4 | 17,7 | 15,2 | 13,4 | 12,0 | |
60 | 12,0 | 92,1 | 2 | - | - | 20,3 | 17,3 | 15,1 | 13,4 | |
61 | 14,0 | 117,6 | 3 | - | - | 26,1 | 22,2 | 19,4 | 17,3 | |
62 | 16,0 | 161,0 | 4 | - | - | 35,3 | 30,0 | 26,2 | 23,4 | |
63 | 18,0 | 201,6 | 4 | - | - | 43,4 | 36,7 | 32,0 | 28,4 | |
64 | 20,0 | 246,6 | 5 | - | - | 53,0 | 44,9 | 39,0 | 34,7 | |
65 | У10 ![]() | 3,0 | 9,5 | 1 | 4,7 | 4,3 | 3,7 | 3,3 | - | - |
66 | 4,0 | 15,4 | 1 | 6,8 | 6,1 | 5,2 | 4,6 | - | - | |
67 | 5,0 | 22,2 | 1 | - | 6,6 | 6,1 | 5,3 | 4,7 | 4,3 | |
68 | 6,0 | 30,1 | 2 | - | 9,3 | 8,5 | 7,4 | 6,6 | 6,0 | |
69 | 7,0 | 38,8 | 2 | - | 11,4 | 10,4 | 9,0 | 8,0 | 7,2 | |
70 | 8,0 | 48,5 | 2 | - | 13,7 | 12,5 | 10,6 | 9,5 | 8,6 | |
71 | 9,0 | 58,9 | 2 | - | 16,3 | 14,8 | 12,7 | 11,1 | 10,0 | |
72 | 10,0 | 70,1 | 3 | - | 19,7 | 18,0 | 15,4 | 13,6 | 12,2 | |
73 | 12,0 | 94,8 | 2 | - | - | 20,8 | 17,7 | 15,5 | 13,8 | |
74 | 14,0 | 122,3 | 3 | - | - | 27,0 | 22,9 | 20,1 | 17,9 | |
75 | 16,0 | 152,6 | 4 | - | - | 33,7 | 28,6 | 25,0 | 22,3 | |
76 | 18,0 | 205,8 | 5 | - | - | 44,9 | 38,1 | 33,3 | 29,6 | |
77 | 20,0 | 249,3 | 5 | - | - | 53,5 | 45,3 | 39,4 | 35,0 | |
Индекс | а | б | в | г | д | е | ||||
У8 | Полуавтоматическая аргонодуговая сварка легированных и высоколегированных сталей | |||||||||
Карта 21 | ||||||||||
Шов с противоположной стороны | ||||||||||
Номер позиции | Тип шва | Толщина металла, мм | Площадь сечения, мм2 | Количество проходов | Диаметр проволоки, мм | |||||
0,8 | 1,0 | 1,2 | 1,4 | 1,6 | 2,0 | |||||
Неполное штучное время на 1 м шва, мин. | ||||||||||
1 | У8 ![]() | 6,0 | 8,8 | 1 | - | 3,4 | 3,2 | 2,8 | 2,6 | 2,4 |
2 | 7,0 | 11,5 | 1 | - | 4,0 | 3,7 | 3,3 | 3,0 | 2,8 | |
3 | 8,0 | 14,5 | 1 | - | 4,8 | 4,4 | 3,9 | 3,5 | 3,2 | |
4 | 9,0 | 17,7 | 1 | - | 5,5 | 5,1 | 4,5 | 4,0 | 3,6 | |
5 | 10,0 | 21,2 | 1 | - | 6,4 | 5,9 | 5,1 | 4,5 | 4,1 | |
6 | 12,0 | 29,0 | 1 | - | - | 7,1 | 6,1 | 5,5 | 4,9 | |
7 | 14,0 | 37,8 | 1 | - | - | 8,8 | 7,6 | 6,7 | 6,0 | |
8 | 16,0 | 47,5 | 1 | - | - | 10,8 | 9,2 | 8,1 | 7,2 | |
9 | 18,0 | 58,1 | 2 | - | - | 13,6 | 11,6 | 10,3 | 9,3 | |
10 | 20,0 | 69,6 | 2 | - | - | 15,8 | 13,5 | 11,9 | 10,7 | |
Индекс | а | б | в | г | д | е | ||||
Н1, Н2, У4, У5, У7, У10, Т1, Т3 | Полуавтоматическая аргонодуговая сварка легированных и высоколегированных сталей | |||||||||
Карта 22 | Лист 1 | |||||||||
Основной шов | ||||||||||
Номер позиции | Тип шва | Катет шва, мм | Площадь сечения, мм2 | Количество проходов | Диаметр проволоки, мм | |||||
0,8 | 1,0 | 1,2 | 1,4 | 1,6 | 2,0 | |||||
Неполное штучное время на 1 м шва, мин. | ||||||||||
1 | Н1 ![]() | 1,0 | 1,4 | 1 | 1,7 | 1,6 | 1,5 | - | - | - |
2 | 1,5 | 2,7 | 1 | 2,0 | 1,9 | 1,7 | 1,6 | - | - | |
3 | Н2 ![]() | 2,0 | 4,2 | 1 | 2,5 | 2,3 | 2,1 | 1,9 | - | - |
4 | 2,5 | 5,9 | 1 | 3,1 | 2,9 | 2,5 | 2,3 | - | - | |
5 | У4 ![]() | 3,0 | 7,8 | 1 | 3,8 | 3,5 | 3,0 | 2,7 | - | - |
6 | 4,0 | 12,1 | 1 | 5,4 | 4,9 | 4,2 | 3,6 | - | - | |
Индекс | а | б | в | г | д | е | ||||
Швы нахлесточных, угловых и тавровых соединений Н1, Н2, У4, У5, У7, У10, Т1, Т3 | Полуавтоматическая аргонодуговая сварка легированных и высоколегированных сталей | |||||||||
Карта 22 | Лист 2 | |||||||||
Основной шов | ||||||||||
Номер позиции | Тип шва | Катет шва, мм | Площадь сечения, мм2 | Количество проходов | Диаметр проволоки, мм | |||||
0,8 | 1,0 | 1,2 | 1,4 | 1,6 | 2,0 | |||||
Неполное штучное время на 1 м шва, мин. | ||||||||||
7 | У5 ![]() | 5,0 | 17,1 | 1 | - | 5,2 | 4,7 | 4,1 | 3,7 | 3,3 |
8 | 6,0 | 31,1 | 2 | - | 9,1 | 8,4 | 7,2 | 6,4 | 5,8 | |
9 | 7,0 | 40,9 | 2 | - | 11,5 | 10,5 | 9,0 | 8,0 | 7,2 | |
10 | 8,0 | 51,9 | 2 | - | 14,2 | 12,9 | 11,0 | 9,7 | 8,7 | |
11 | У7 ![]() | 9,0 | 64,0 | 2 | - | 17,1 | 15,6 | 13,2 | 11,6 | 10,3 |
12 | 10,0 | 77,2 | 3 | - | 20,9 | 19,0 | 16,2 | 14,2 | 12,7 | |
13 | У10 ![]() | 12,0 | 106,8 | 3 | - | - | 23,4 | 19,9 | 17,3 | 15,5 |
14 | 14,0 | 140,6 | 3 | - | - | 30,1 | 25,4 | 22,1 | 19,6 | |
15 | Т1 ![]() | 16,0 | 178,3 | 4 | - | - | 38,1 | 32,2 | 23,0 | 24,9 |
16 | 18,0 | 210,9 | 5 | - | - | 46,9 | 39,7 | 34,5 | 30,6 | |
17 | Т3 ![]() | 20,0 | 265,2 | 6 | - | - | 56,5 | 47,7 | 41,5 | 36,8 |
18 | 22,0 | 314,3 | 7 | - | - | 61,4 | 57,0 | 45,7 | 39,9 | |
19 | 24,0 | 367,0 | 8 | - | - | 71,5 | 60,5 | 52,6 | 46,4 | |
20 | 26,0 | 423,0 | 9 | - | - | 82,3 | 69,5 | 60,4 | 53,3 | |
21 | 28,0 | 482,8 | 10 | - | - | 93,6 | 79,1 | 68,7 | 60,2 | |
22 | 30,0 | 545,9 | 11 | - | - | 105,6 | 89,1 | 77,4 | 60,6 | |
Индекс | а | б | в | г | д | е | ||||
С2, С4, С5, С7, С8, С9, С10, С12, С15, С17, С18, С19, С21, С25 | Полуавтоматическая аргонодуговая сварка алюминия и алюминиевых сплавов | |||||||||
Карта 23 | Лист 1 | |||||||||
Основной шов | ||||||||||
Номер позиции | Тип шва | Толщина металла, мм | Площадь сечения, мм2 | Количество проходов | Диаметр проволоки, мм | |||||
0,8 | 1,0 | 1,2 | 1,4 | 1,6 | 2,0 | |||||
Неполное штучное время на 1 м шва, мин. | ||||||||||
1 | С2 ![]() | 4,0 | 16,0 | 1 | 4,2 | 3,1 | 2,9 | 2,4 | - | - |
2 | 5,0 | 17,1 | 1 | - | 3,2 | 3,0 | 2,6 | 2,4 | 2,2 | |
3 | 6,0 | 18,2 | 1 | - | 3,3 | 3,0 | 2,7 | 2,4 | 2,3 | |
4 | 7,0 | 35,3 | 2 | - | 5,9 | 5,5 | 4,8 | 4,4 | 4,0 | |
5 | 8,0 | 38,3 | 2 | - | 6,3 | 5,8 | 5,1 | 4,6 | 4,2 | |
6 | 9,0 | 41,2 | 2 | - | 6,7 | 6,2 | 5,4 | 4,8 | 4,4 | |
7 | 10,0 | 43,9 | 2 | - | 7,0 | 6,5 | 5,6 | 5,0 | 4,6 | |
8 | 12,0 | 49,1 | 2 | - | - | 6,6 | 5,8 | 5,2 | 4,7 | |
9 | С4 ![]() | 3,0 | 25,8 | 2 | - | 5,8 | 5,0 | 4,4 | - | - |
10 | 4,0 | 27,9 | 2 | 6,7 | 6,1 | 5,2 | 4,6 | - | - | |
11 | 5,0 | 29,6 | 2 | - | 5,2 | 4,9 | 4,3 | 3,9 | 3,6 | |
12 | 6,0 | 31,1 | 2 | - | 5,4 | 5,0 | 4,4 | 4,0 | 3,7 | |
13 | 7,0 | 32,4 | 2 | - | 5,6 | 5,2 | 46 | 4,1 | 3,8 | |
14 | 8,0 | 33,6 | 2 | - | 5,7 | 5,3 | 4,7 | 4,2 | 3,9 | |
15 | 9,0 | 34,7 | 2 | - | 5,9 | 5,4 | 4,8 | 4,3 | 4,0 | |
16 | 10,0 | 35,7 | 2 | - | 6,0 | 5,5 | 4,9 | 4,4 | 4,0 | |
17 | 12,0 | 49,5 | 2 | - | - | 6,7 | 5,8 | 5,2 | 4,8 | |
18 | С5 ![]() | 3,0 | 24,2 | 2 | 6,0 | 5,5 | 4,7 | 4,2 | - | - |
19 | 4,0 | 27,4 | 2 | 6,6 | 5,6 | 4,8 | 4,3 | - | - | |
20 | 5,0 | 30,2 | 2 | - | 5,7 | 4,9 | 4,4 | 3,9 | 3,6 | |
21 | 6,0 | 32,7 | 2 | - | 5,8 | 5,2 | 4,6 | 4,1 | 3,8 | |
22 | 7,0 | 35,0 | 2 | - | 5,9 | 5,5 | 4,8 | 4,3 | 4,0 | |
23 | 8,0 | 37,1 | 2 | - | 6,2 | 5,7 | 5,0 | 4,5 | 4,1 | |
24 | 9,0 | 39,0 | 2 | - | 6,4 | 5,9 | 5,2 | 4,7 | 4,3 | |
25 | 10,0 | 40,8 | 2 | - | 6,6 | 6,1 | 5,4 | 4,8 | 4,4 | |
26 | 12,0 | 48,0 | 2 | - | - | 6,5 | 5,7 | 5,1 | 4,7 | |
27 | С7 ![]() | 4,0 | 9,2 | 1 | 2,9 | 2,2 | 2,0 | 1,7 | - | - |
28 | 5,0 | 10,3 | 1 | - | 7,3 | 2,1 | 1,9 | 1,8 | 1,7 | |
29 | 6,0 | 10,6 | 1 | - | 2,3 | 2,2 | 2,0 | 1,8 | 1,7 | |
30 | 7,0 | 23,0 | 1 | - | 39 | 3,6 | 3,1 | 7,8 | 2,6 | |
31 | 8,0 | 23,2 | 1 | - | 3,9 | 3,6 | 3,2 | 2,8 | 2,6 | |
32 | С8 ![]() | 6,0 | 31,8 | 2 | - | 5,6 | 5,2 | 4,6 | 4,2 | 3,9 |
33 | 7,0 | 40,2 | 2 | - | 6,7 | 6,2 | 5,4 | 4,9 | 4,5 | |
34 | 8,0 | 49,2 | 2 | - | 7,8 | 7,2 | 6,3 | 5,6 | 5,1 | |
35 | 9,0 | 58,8 | 3 | - | 9,6 | 8,9 | 7,8 | 7,0 | 6,4 | |
36 | 10,0 | 74,4 | 3 | - | 11,6 | 10,6 | 9,2 | 8,2 | 7,5 | |
37 | 12,0 | 99,7 | 3 | - | - | 12,5 | 10,8 | 9,6 | 8,7 | |
38 | 14,0 | 185,9 | 5 | - | - | 22,5 | 19,3 | 17,1 | 15,4 | |
39 | 16,0 | 236,2 | 6 | - | - | 28,2 | 24,2 | 21,3 | 19,2 | |
40 | 18,0 | 291,8 | 8 | - | - | 35,1 | 30,1 | 26,6 | 23,9 | |
41 | 20,0 | 352,6 | 9 | - | - | 41,9 | 35,9 | 31,6 | 28,4 | |
42 | С9 ![]() | 6,0 | 31,8 | 2 | - | 5,6 | 5,2 | 4,6 | 4,2 | 3,9 |
43 | 7,0 | 40,2 | 2 | - | 6,7 | 6,2 | 5,4 | 4,9 | 4,5 | |
44 | 8,0 | 49,2 | 2 | - | 7,8 | 7,2 | 6,3 | 5,6 | 5,1 | |
45 | 9,0 | 58,8 | 3 | - | 9,6 | 8,9 | 7,8 | 7,0 | 6,4 | |
46 | 10,0 | 73,6 | 3 | - | 11,5 | 10,5 | 9,2 | 8,2 | 7,4 | |
47 | 12,0 | 101,7 | 3 | - | - | 12,7 | 11,0 | 9,8 | 8,6 | |
Индекс | а | б | в | г | д | е | ||||
Швы стыковых соединений С2, С4, С5, С7, С8, С9, С10, С12, С15, С17, С18, С19, С21, С25 | Полуавтоматическая аргонодуговая сварка алюминия и алюминиевых сплавов | |||||||||
Карта 23 | Лист 2 | |||||||||
Основной шов | ||||||||||
Номер позиции | Тип шва | Толщина металла, мм | Площадь сечения, мм2 | Количество проходов | Диаметр проволоки, мм | |||||
0,8 | 1,0 | 1,2 | 1,4 | 1,6 | 2,0 | |||||
Неполное штучное время на 1 м шва, мин. | ||||||||||
48 | С9 | 14,0 | 133,0 | 4 | - | - | 16,6 | 14,3 | 12,7 | 11,5 |
49 | 16,0 | 235,3 | 6 | - | - | 28,1 | 24,1 | 21,3 | 19,1 | |
50 | 18,0 | 291,7 | 8 | - | - | 35,1 | 30,1 | 26,6 | 23,9 | |
51 | 20,0 | 353,6 | 9 | - | - | 42,0 | 36,0 | 31,7 | 28,4 | |
52 | С10 ![]() | 6,0 | 47,7 | 2 | - | 7,6 | 7,0 | 6,1 | 5,5 | 5,0 |
53 | 7,0 | 58,6 | 3 | - | 9,6 | 8,9 | 7,7 | 7,0 | 6,4 | |
54 | 8,0 | 70,2 | 3 | - | 11,0 | 10,2 | 8,8 | 7,9 | 7,2 | |
55 | 9,0 | 82,2 | 3 | - | 12,5 | 11,5 | 10,0 | 8,9 | 8,0 | |
56 | 10,0 | 94,7 | 4 | - | 14,7 | 13,5 | 11,7 | 10,5 | 9,5 | |
57 | 12,0 | 121,1 | 4 | - | - | 15,3 | 13,2 | 11,8 | 10,7 | |
58 | 14,0 | 148,9 | 4 | - | - | 18,2 | 15,6 | 13,8 | 12,4 | |
59 | 16,0 | 252,1 | 7 | - | - | 30,5 | 26,1 | 23,1 | 20,8 | |
60 | 18,0 | 312,4 | 8 | - | - | 37,2 | 31,9 | 28,1 | 25,2 | |
61 | 20,0 | 378,4 | 10 | - | - | 45,1 | 38,7 | 34,0 | 30,6 | |
62 | С12 ![]() | 6,0 | 30,4 | 2 | - | 5,5 | 5,1 | 4,5 | 4,1 | 3,8 |
63 | 7,0 | 36,1 | 2 | - | 6,2 | 5,7 | 5,0 | 4,6 | 4,2 | |
64 | 8,0 | 41,8 | 2 | - | 6,9 | 6,4 | 5,6 | 5,0 | 4,6 | |
65 | 9,0 | 61,2 | 3 | - | 9,9 | 9,1 | 8,0 | 7,2 | 6,5 | |
66 | 10,0 | 70,8 | 3 | - | 11,1 | 10,2 | 8,9 | 7,9 | 7,2 | |
67 | 12,0 | 91,0 | 3 | - | - | 11,6 | 10,1 | 9,0 | 8,2 | |
68 | 14,0 | 167,7 | 5 | - | - | 20,6 | 17,8 | 15,7 | 14,2 | |
69 | 16,0 | 217,1 | 6 | - | - | 26,3 | 22,6 | 19,9 | 18,0 | |
70 | 18,0 | 272,5 | 7 | - | - | 32,5 | 27,9 | 24,6 | 22,1 | |
71 | 20,0 | 334,1 | 9 | - | - | 40,0 | 34,3 | 30,2 | 27,2 | |
72 | С15 ![]() | 12,0 | 55,8 | 2 | - | - | 7,5 | 6,5 | 5,8 | 5,3 |
73 | 14,0 | 72,1 | 2 | - | - | 9,1 | 7,9 | 7,0 | 6,4 | |
74 | 16,0 | 90,1 | 3 | - | - | 11,6 | 10,0 | 8,9 | 8,1 | |
75 | 18,0 | 109,7 | 3 | - | - | 13,6 | 11,7 | 10,4 | 9,4 | |
76 | 20,0 | 130,8 | 4 | - | - | 16,3 | 14,1 | 12,5 | 11,3 | |
77 | 22,0 | 153,4 | 4 | - | - | 17,4 | 15,0 | 13,3 | 11,9 | |
78 | 24,0 | 177,4 | 5 | - | - | 20,2 | 17,4 | 15,5 | 13,9 | |
79 | 26,0 | 202,8 | 6 | - | - | 23,1 | 20,0 | 17,7 | 16,0 | |
80 | 28,0 | 229,5 | 6 | - | - | 25,6 | 22,1 | 19,5 | 17,5 | |
81 | 30,0 | 269,8 | 7 | - | - | 30,0 | 25,8 | 22,8 | 20,4 | |
82 | 32,0 | 300,3 | 8 | - | - | 31,3 | 27,0 | 23,9 | 21,6 | |
83 | 34,0 | 332,1 | 9 | - | - | 34,6 | 29,8 | 26,4 | 23,9 | |
84 | 35,0 | 348,5 | 9 | - | - | 36,0 | 31,0 | 27,5 | 24,8 | |
85 | С17 ![]() | 10,0 | 87,5 | 4 | - | 13,8 | 12,7 | 11,1 | 9,9 | 9,0 |
86 | 12,0 | 120,1 | 4 | - | - | 15,2 | 13,2 | 11,7 | 10,6 | |
87 | 14,0 | 157,0 | 4 | - | - | 19,0 | 16,3 | 14,4 | 13,0 | |
88 | 16,0 | 197,9 | 5 | - | - | 23,7 | 20,4 | 18,0 | 16,2 | |
89 | 18,0 | 242,9 | 7 | - | - | 29,5 | 25,4 | 22,4 | 20,2 | |
90 | 20,0 | 291,6 | 8 | - | - | 35,1 | 30,1 | 26,6 | 23,9 | |
Индекс | а | б | в | г | д | е | ||||
Швы стыковых соединений С2, С4, С5, С7, С8, С9, С10, С12, С15, С17, С18, С19, С21, С25 | Полуавтоматическая аргонодуговая сварка алюминия и алюминиевых сплавов | |||||||||
Карта 23 | Лист 3 | |||||||||
Основной шов | ||||||||||
Номер позиции | Тип шва | Толщина металла, мм | Площадь сечения, мм2 | Количество проходов | Диаметр проволоки, мм | |||||
0,8 | 1,0 | 1,2 | 1,4 | 1,6 | 2,0 | |||||
Неполное штучное время на 1 м шва, мин. | ||||||||||
91 | С17 | 22,0 | 344,1 | 9 | - | - | 38,1 | 32,7 | 28,9 | 25,9 |
92 | 24,0 | 400,2 | 11 | - | - | 44,5 | 38,3 | 33,8 | 30,3 | |
93 | 26,0 | 459,9 | 12 | - | - | 50,6 | 43,5 | 38,4 | 34,4 | |
94 | 28,0 | 575,6 | 15 | - | - | 63,2 | 54,2 | 47,8 | 42,9 | |
95 | 30,0 | 657,7 | 17 | - | - | 72,0 | 61,8 | 54,5 | 48,8 | |
96 | С18 ![]() | 10,0 | 86,5 | 4 | - | 13,7 | 12,6 | 11,0 | 9,8 | 8,9 |
97 | 12,0 | 119,3 | 4 | - | - | 15,1 | 13,1 | 11,6 | 10,5 | |
98 | 14,0 | 156,4 | 4 | - | - | 18,9 | 16,2 | 14,3 | 12,9 | |
99 | 16,0 | 197,9 | 5 | - | - | 23,7 | 20,4 | 18,0 | 16,2 | |
100 | 18,0 | 243,4 | 7 | - | - | 29,6 | 25,4 | 22,4 | 20,2 | |
101 | 20,0 | 293,0 | 8 | - | - | 35,2 | 30,2 | 26,6 | 24,0 | |
102 | 22,0 | 346,5 | 9 | - | - | 38,3 | 32,9 | 29,1 | 26,1 | |
103 | 24,0 | 403,8 | 11 | - | - | 44,8 | 38,5 | 34,0 | 30,5 | |
104 | 26,0 | 464,8 | 12 | - | - | 51,1 | 43,9 | 38,7 | 34,7 | |
105 | 28,0 | 529,6 | 14 | - | - | 58,3 | 50,1 | 44,2 | 39,6 | |
106 | 30,0 | 597,9 | 15 | - | - | 65,3 | 56,0 | 49,3 | 44,1 | |
107 | С19 ![]() | 10,0 | 97,5 | 4 | - | 15,0 | 13,8 | 12,0 | 10,7 | 9,7 |
108 | 12,0 | 134,8 | 4 | - | - | 16,7 | 14,4 | 12,8 | 11,5 | |
109 | 14,0 | 177,3 | 5 | - | - | 21,6 | 18,6 | 16,4 | 14,8 | |
110 | 16,0 | 224,7 | 6 | - | - | 27,1 | 23,2 | 7,0,5 | 18,5 | |
111 | 18,0 | 277,0 | 7 | - | - | 33,0 | 28,3 | 24,9 | 22,4 | |
112 | 20,0 | 334,1 | 9 | - | - | 400 | 34,3 | 30,2 | 27,2 | |
113 | 22,0 | 395,7 | 10 | - | - | 43,5 | 37,3 | 32,9 | 29,5 | |
114 | 24,0 | 461,8 | 12 | - | - | 50,8 | 43,6 | 38,5 | 34,5 | |
115 | 26,0 | 532,4 | 14 | - | - | 58,6 | 50,3 | 44,4 | 39,8 | |
116 | 28,0 | 607,3 | 16 | - | - | 66,7 | 57,3 | 50,5 | 45,3 | |
117 | 30,0 | 686,4 | 18 | - | - | 75,3 | 64,6 | 57,0 | 51,0 | |
118 | С21 ![]() | 10,0 | 67,5 | 3 | - | 10,7 | 9,9 | 8,6 | 7,7 | 7,0 |
119 | 12,0 | 96,3 | 3 | - | - | 12,2 | 10,5 | 9,4 | 8,5 | |
120 | 14,0 | 130,0 | 4 | - | - | 16,2 | 14,0 | 12,4 | 11,2 | |
121 | 16,0 | 168,6 | 5 | - | - | 20,7 | 17,9 | 15,8 | 14,3 | |
122 | 18,0 | 212,0 | 6 | - | - | 25,8 | 22,2 | 19,6 | 17,6 | |
123 | 20,0 | 260,2 | 7 | - | - | 31,3 | 26,8 | 23,7 | 21,3 | |
124 | 22,0 | 313,3 | 8 | - | - | 34,6 | 79,7 | 76,3 | 23,6 | |
125 | 24,0 | 371,1 | 10 | - | - | 41,2 | 35,4 | 31,3 | 28,1 | |
126 | 26,0 | 433,7 | 11 | - | - | 47,6 | 40,8 | 36,0 | 32,3 | |
127 | 28,0 | 541,2 | 14 | - | - | 59,4 | 51,0 | 45,0 | 40,3 | |
128 | 30,0 | 610,5 | 16 | - | - | 67,0 | 57,5 | 50,7 | 45,5 | |
129 | С25 ![]() | 12,0 | 51,9 | 2 | - | - | 7,1 | 6,2 | 5,6 | 5,1 |
130 | 14,0 | 60,6 | 2 | - | - | 8,0 | 6,9 | 6,2 | 5,6 | |
131 | 16,0 | 69,3 | 2 | - | - | 8,8 | 7,7 | 6,8 | 6,2 | |
132 | 18,0 | 77,9 | 2 | - | - | 9,7 | 8,4 | 7,4 | 6,7 | |
133 | 20,0 | 86,6 | 3 | - | - | 11,2 | 9,7 | 8,7 | 7,9 | |
134 | 22,0 | 95,3 | 3 | - | - | 11,4 | 9,9 | 8,8 | 8,0 | |
135 | 24,0 | 133,4 | 4 | - | - | 15,5 | 13,4 | 11,9 | 10,8 | |
136 | 26,0 | 149,8 | 4 | - | - | 17,0 | 14,7 | 13,0 | 11,7 | |
137 | 28,0 | 166,8 | 5 | - | - | 19,2 | 16,6 | 14,7 | 13,3 | |
138 | 30,0 | 184,3 | 5 | - | - | 20,8 | 18,0 | 15,9 | 14,3 | |
Индекс | а | б | в | г | д | е | ||||
С12, С21 | Полуавтоматическая аргонодуговая сварка алюминия и алюминиевых сплавов | |||||||||
Карта 24 | ||||||||||
Шов с противоположной стороны | ||||||||||
Номер позиции | Тип шва | Толщина металла, мм | Площадь сечения, мм2 | Количество проходов | Диаметр проволоки, мм | |||||
0,8 | 1,0 | 1,2 | 1,4 | 1,6 | 2,0 | |||||
Неполное штучное время на 1 м шва, мин. | ||||||||||
1 | С12 ![]() | 6 - 12 | 15,0 | 1 | - | 2,9 | 2,8 | 2,5 | 2,3 | 2,1 |
2 | 14 - 20 | 19,5 | 1 | - | - | 3,2 | 2,8 | 2,6 | 2,4 | |
3 | С21 | 10 - 30 | 22,8 | 1 | - | 3,9 | 3,5 | 3,1 | 2,8 | 2,6 |
Индекс | а | б | в | г | д | е | ||||
У4, У5, У6, У7, У8, У9 | Полуавтоматическая аргонодуговая сварка алюминия и алюминиевых сплавов | |||||||||
Карта 25 | Лист 1 | |||||||||
Основной шов | ||||||||||
Номер позиции | Тип шва | Толщина металла, мм | Площадь сечения, мм2 | Количество проходов | Диаметр проволоки, мм | |||||
0,8 | 1,0 | 1,2 | 1,4 | 1,6 | 2,0 | |||||
Неполное штучное время на 1 м шва, мин | ||||||||||
1 | У4 ![]() | 5,0 | 26,0 | 2 | - | 5,0 | 4,7 | 4,2 | 3,8 | 3,6 |
2 | 6,0 | 27,4 | 2 | - | 5,2 | 4,8 | 4,3 | 4,0 | 3,7 | |
3 | 7,0 | 28,6 | 2 | - | 5,4 | 5,0 | 4,4 | 4,1 | 3,8 | |
4 | 8,0 | 29,7 | 2 | - | 5,5 | 5,1 | 4,5 | 4,2 | 3,8 | |
5 | 9,0 | 30,7 | 2 | - | 5,6 | 5,2 | 4,6 | 4,3 | 3,9 | |
6 | 10,0 | 31,7 | 2 | - | 5,7 | 5,3 | 4,7 | 4,5 | 4,0 | |
7 | 12,0 | 45,0 | 2 | - | - | 6,5 | 5,7 | 5,1 | 4,7 | |
Индекс | а | б | в | г | д | е | ||||
Швы угловых соединений У4, У5, У6, У7, У8, У9 | Полуавтоматическая аргонодуговая сварка алюминия и алюминиевых сплавов | |||||||||
Карта 25 | Лист 2 | |||||||||
Основной шов | ||||||||||
Номер позиции | Тип шва | Толщина металла, мм | Площадь сечения, мм2 | Количество проходов | Диаметр проволоки, мм | |||||
0,8 | 1,0 | 1,2 | 1,4 | 1,6 | 2,0 | |||||
Неполное штучное время на 1 м шва, мин. | ||||||||||
8 | У5 ![]() | 5,0 | 23,0 | 1 | - | 4,0 | 3,7 | 3,3 | 3,0 | 2,7 |
9 | 6,0 | 24,3 | 2 | - | 4,8 | 4,5 | 4,0 | 3,7 | 3,4 | |
10 | 7,0 | 25,6 | 2 | - | 5,0 | 4,6 | 4,2 | 3,8 | 3,5 | |
11 | 8,0 | 26,7 | 2 | - | 5,1 | 4,8 | 4,3 | 3,9 | 3,6 | |
12 | 9,0 | 27,7 | 2 | - | 5,2 | 4,9 | 4,4 | 4,0 | 3,7 | |
13 | 10,0 | 28,6 | 2 | - | 5,4 | 5,0 | 4,5 | 4,1 | 3,8 | |
14 | 12,0 | 42,0 | 2 | - | - | 6,2 | 5,4 | 4,9 | 4,5 | |
15 | У6 ![]() | 4,0 | 91,6 | 4 | 20,4 | 15,0 | 14,0 | 12,0 | - | - |
16 | 5,0 | 96,8 | 4 | - | 15,5 | 14,3 | 12,4 | 11,1 | 10,2 | |
17 | 6,0 | 101,2 | 4 | - | 16,0 | 14,8 | 17,9 | 11,5 | 10,5 | |
18 | 7,0 | 105,2 | 4 | - | 16,5 | 15,2 | 13,2 | 11,8 | 10,7 | |
19 | 8,0 | 108,7 | 4 | - | 17,0 | 15,6 | 13,6 | 12,1 | 11,0 | |
20 | 9,0 | 111,9 | 4 | - | 17,4 | 16,0 | 13,9 | 12,3 | 11,2 | |
21 | 10,0 | 114,8 | 5 | - | 18,0 | 17,0 | 14,8 | 13,3 | 12,1 | |
22 | 12,0 | 120,1 | 6 | - | 18,4 | 23,7 | 22,2 | 21,1 | 19,1 | |
23 | 14,0 | 240,0 | 7 | - | - | 30,2 | 26,1 | 23,1 | 20,9 | |
24 | 16,0 | 261,5 | 7 | - | - | 32,3 | 27,8 | 24,6 | 22,2 | |
25 | 18,0 | 281,3 | 8 | - | - | 35,0 | 30,2 | 26,8 | 24,2 | |
26 | 20,0 | 300,2 | 8 | - | - | 36,9 | 31,8 | 28,2 | 25,4 | |
27 | У7 ![]() | 4,0 | 24,4 | 2 | 6,5 | 6,0 | 5,2 | 4,7 | - | - |
28 | 5,0 | 34,1 | 2 | - | 6,2 | 58 | 5,1 | 4,7 | 4,3 | |
29 | 6,0 | 44,8 | 2 | - | 7,5 | 7,0 | 6,1 | 5,5 | 5,1 | |
30 | 7,0 | 56,4 | 3 | - | 9,7 | 9,0 | 7,9 | 7,2 | 6,6 | |
31 | 8,0 | 68,8 | 3 | - | 11,3 | 10,4 | 9,1 | 8,2 | 7,5 | |
32 | 9,0 | 102,4 | 4 | - | 16,2 | 14,9 | 13,0 | 11,6 | 10,5 | |
33 | 10,0 | 126,7 | 5 | - | 19,9 | 18,3 | 16,0 | 14,2 | 13,0 | |
34 | 12,0 | 183,4 | 5 | - | - | 22,9 | 19,8 | 17,5 | 15,9 | |
35 | 14,0 | 250,6 | 7 | - | - | 31,2 | 26,9 | 23,8 | 21,5 | |
36 | 16,0 | 328,4 | 9 | - | - | 40,5 | 34,9 | 30,9 | 27,9 | |
37 | 18,0 | 416,8 | 11 | - | - | 51,0 | 43,8 | 38,8 | 35,0 | |
38 | 20,0 | 516,0 | 13 | - | - | 62,5 | 53,7 | 47,4 | 42,7 | |
39 | У8 ![]() | 12,0 | 56,1 | 2 | - | - | 7,8 | 6,8 | 6,1 | 5,6 |
40 | 14,0 | 71,9 | 2 | - | - | 9,4 | 8,2 | 7,3 | 6,6 | |
41 | 16,0 | 89,0 | 3 | - | - | 11,8 | 10,3 | 9,2 | 8,4 | |
42 | 18,0 | 107,4 | 3 | - | - | 13,7 | 11,9 | 10,6 | 9,6 | |
43 | 20,0 | 127,1 | 4 | - | - | 16,4 | 14,3 | 12,7 | 11,6 | |
44 | 22,0 | 148,1 | 4 | - | - | 17,4 | 15,1 | 13,5 | 12,2 | |
45 | 24,0 | 170,2 | 5 | - | - | 20,2 | 17,5 | 15,6 | 14,2 | |
46 | 26,0 | 193,4 | 5 | - | - | 22,3 | 19,3 | 17,2 | 15,5 | |
47 | 28,0 | 217,8 | 6 | - | - | 25,3 | 21,9 | 19,5 | 17,6 | |
48 | 30,0 | 243,2 | 7 | - | - | 28,4 | 74,6 | 71,9 | 19,8 | |
49 | 32,0 | 269,6 | 7 | - | - | 28,9 | 25,1 | 22,3 | 20,3 | |
50 | 34,0 | 297,1 | 8 | - | - | 32,0 | 27,7 | 24,7 | 22,4 | |
51 | 35,0 | 311,2 | 8 | - | - | 33,2 | 28,8 | 25,6 | 23,2 | |
Индекс | а | б | в | г | д | е | ||||
Швы угловых соединений У4, У5, У6, У7, У8, У9 | Полуавтоматическая аргонодуговая сварка алюминия и алюминиевых сплавов | |||||||||
Карта 25 | Лист 3 | |||||||||
Основной шов | ||||||||||
Номер позиции | Тип шва | Толщина металла, мм | Площадь сечения, мм2 | Количество проходов | Диаметр проволоки, мм | |||||
0,8 | 1,0 | 1,2 | 1,4 | 1,6 | 2,0 | |||||
Неполное штучное время на 1 м шва, мин. | ||||||||||
52 | У9 ![]() | 12,0 | 147,0 | 4 | - | - | 18,5 | 16,8 | 14,2 | 12,8 |
53 | 14,0 | 192,3 | 5 | - | - | 23,8 | 20,5 | 18,2 | 16,4 | |
54 | 16,0 | 242,6 | 7 | - | - | 30,3 | 26,2 | 23,3 | 21,0 | |
55 | 18,0 | 297,8 | 8 | - | - | 36,7 | 31,6 | 28,0 | 25,3 | |
56 | 20,0 | 357,7 | 9 | - | - | 43,5 | 37,4 | 33,1 | 29,8 | |
57 | 22,0 | 422,3 | 11 | - | - | 47,9 | 41,3 | 36,6 | 33,0 | |
58 | 24,0 | 491,3 | 13 | - | - | 55,7 | 48,1 | 42,6 | 38,4 | |
59 | 26,0 | 564,7 | 15 | - | - | 64,0 | 55,2 | 48,9 | 44,0 | |
60 | 28,0 | 642,4 | 17 | - | - | 72,6 | 62,6 | 55,5 | 49,9 | |
61 | 30,0 | 724,4 | 19 | - | - | 81,7 | 70,4 | 62,4 | 56,1 | |
Индекс | а | б | в | г | д | е | ||||
У8 | Полуавтоматическая аргонодуговая сварка алюминия и алюминиевых сплавов | |||||||||
Карта 26 | ||||||||||
Шов с противоположной стороны | ||||||||||
Номер позиции | Тип шва | Толщина металла, мм | Площадь сечения, мм2 | Количество проходов | Диаметр проволоки, мм | |||||
0,8 | 1,0 | 1,2 | 1,4 | 1,6 | 2,0 | |||||
Неполное штучное время на 1 м шва, мин. | ||||||||||
1 | У8 ![]() | 12,0 | 91,1 | 3 | - | - | 12,1 | 10,5 | 9,4 | 8,6 |
2 | 14,0 | 110,2 | 3 | - | - | 14,0 | 12,1 | 10,8 | 9,8 | |
3 | 16,0 | 129,9 | 4 | - | - | 16,7 | 14,5 | 12,9 | 11,7 | |
4 | 18,0 | 150,3 | 4 | - | - | 18,8 | 16,2 | 14,4 | 13,0 | |
5 | 20,0 | 171,1 | 5 | - | - | 21,6 | 18,7 | 16,6 | 15,1 | |
6 | 22,0 | 192,5 | 5 | - | - | 22,2 | 19,3 | 17,1 | 15,5 | |
7 | 24,0 | 214,3 | 6 | - | - | 25,0 | 21,7 | 19,3 | 17,4 | |
8 | 26,0 | 336,8 | 9 | - | - | 38,5 | 33,3 | 29,5 | 26,6 | |
9 | 28,0 | 373,3 | 10 | - | - | 42,6 | 36,8 | 32,7 | 29,4 | |
10 | 30,0 | 410,7 | 11 | - | - | 46,8 | 40,4 | 35,9 | 32,3 | |
11 | 32,0 | 449,2 | 12 | - | - | 47,9 | 41,4 | 36,8 | 33,4 | |
12 | 34,0 | 488,6 | 13 | - | - | 51,9 | 45,0 | 40,0 | 36,2 | |
13 | 35,0 | 508,6 | 13 | - | - | 53,7 | 46,4 | 41,2 | 37,3 | |
Индекс | а | б | в | г | д | е | ||||
Т6, Т7, Т8 | Полуавтоматическая аргонодуговая сварка алюминия и алюминиевых сплавов | |||||||||
Карта 27 | ||||||||||
Основной шов | ||||||||||
Номер позиции | Тип шва | Толщина металла, мм | Площадь сечения, мм2 | Количество проходов | Диаметр проволоки, мм | |||||
0,8 | 1,0 | 1,2 | 1,4 | 1,6 | 2,0 | |||||
Неполное штучное время на 1 м шва, мин. | ||||||||||
1 | Т6 ![]() | 4,0 | 35,1 | 2 | 8,8 | 7,0 | 6,1 | 5,0 | - | - |
2 | 5,0 | 42,8 | 2 | - | 7,3 | 6,7 | 5,9 | 5,4 | 4,9 | |
3 | 6,0 | 48,5 | 2 | - | 8,0 | 7,4 | 6,5 | 5,8 | 5,3 | |
4 | 7,0 | 54,0 | 3 | - | 9,3 | 8,6 | 7,6 | 6,9 | 6,4 | |
5 | 8,0 | 64,1 | 3 | - | 10,6 | 9,8 | 8,6 | 7,7 | 7,1 | |
6 | 9,0 | 80,4 | 3 | - | 12,6 | 11,6 | 10,1 | 9,0 | 8,2 | |
7 | 10,0 | 98,6 | 4 | - | 15,6 | 14,3 | 12,5 | 11,1 | 10,2 | |
8 | 12,0 | 140,1 | 4 | - | - | 17,7 | 15,3 | 13,6 | 12,3 | |
9 | 14,0 | 188,6 | 5 | - | - | 23,3 | 20,0 | 17,7 | 16,0 | |
10 | 16,0 | 197,0 | 5 | - | - | 24,1 | 20,8 | 18,4 | 16,6 | |
11 | 18,0 | 249,2 | 7 | - | - | 30,7 | 26,5 | 23,5 | 21,2 | |
12 | 20,0 | 307,6 | 8 | - | - | 37,4 | 32,1 | 28,4 | 25,6 | |
13 | Т7 ![]() | 4,0 | 45,3 | 2 | 10,9 | 7,3 | 7,5 | 6,0 | - | - |
14 | 5,0 | 52,4 | 2 | - | 8,5 | 7,8 | 6,8 | 6,1 | 5,6 | |
15 | 6,0 | 56,1 | 3 | - | 9,6 | 8,9 | 7,8 | 7,1 | 6,5 | |
16 | 7,0 | 71,5 | 3 | - | 11,5 | 10,6 | 9,3 | 8,3 | 7,6 | |
17 | 8,0 | 86,8 | 4 | - | 14,1 | 13,0 | 11,4 | 10,2 | 9,3 | |
18 | 9,0 | 103,0 | 4 | - | 16,1 | 14,8 | 12,9 | 11,5 | 10,5 | |
19 | 10,0 | 120,0 | 5 | - | 18,9 | 17,4 | 15,1 | 13,5 | 12,3 | |
20 | 12,0 | 156,4 | 4 | - | - | 19,3 | 16,7 | 14,8 | 13,3 | |
21 | 14,0 | 195,7 | 5 | - | - | 24,0 | 20,6 | 18,3 | 16,5 | |
22 | 16,0 | 237,6 | 6 | - | - | 28,9 | 24,9 | 22,0 | 19,8 | |
23 | 18,0 | 245,4 | 7 | - | - | 30,4 | 26,2 | 23,2 | 20,9 | |
24 | 20,0 | 361,5 | 10 | - | - | 44,2 | 38,0 | 33,6 | 30,3 | |
25 | Т8 ![]() | 12,0 | 73,9 | 2 | - | - | 9,6 | 8,3 | 7,4 | 6,8 |
26 | 14,0 | 92,0 | 3 | - | - | 12,1 | 10,5 | 9,4 | 8,6 | |
27 | 16,0 | 111,2 | 3 | - | - | 14,0 | 12,2 | 10,8 | 9,8 | |
28 | 18,0 | 131,3 | 4 | - | - | 16,8 | 14,5 | 12,9 | 11,7 | |
29 | 20,0 | 152,5 | 4 | - | - | 18,9 | 16,3 | 14,5 | 13,1 | |
30 | 22,0 | 174,6 | 5 | - | - | 20,4 | 17,7 | 15,7 | 14,2 | |
31 | 24,0 | 197,5 | 5 | - | - | 22,5 | 19,5 | 17,3 | 15,6 | |
32 | 26,0 | 221,2 | 6 | - | - | 25,4 | 22,0 | 19,5 | 17,6 | |
33 | 28,0 | 245,7 | 7 | - | - | 28,3 | 24,5 | 21,8 | 19,7 | |
34 | 30,0 | 270,9 | 7 | - | - | 30,7 | 26,5 | 23,5 | 21,1 | |
35 | 32,0 | 296,9 | 8 | - | - | 31,7 | 27,4 | 24,4 | 22,1 | |
36 | 34,0 | 323,5 | 9 | - | - | 34,6 | 30,0 | 26,7 | 24,2 | |
37 | 35,0 | 337,1 | 9 | - | - | 35,8 | 31,0 | 27,5 | 24,9 | |
Индекс | а | б | в | г | д | е | ||||
Н1, Н2, У4, У5, У7, Т1, Т3 | Полуавтоматическая аргонодуговая сварка алюминия и алюминиевых сплавов | |||||||||
Карта 28 | ||||||||||
Основной шов | ||||||||||
Номер позиции | Тип шва | Катет шва, мм | Площадь сечения, мм2 | Количество проходов | Диаметр проволоки, мм | |||||
0,8 | 1,0 | 1,2 | 1,4 | 1,6 | 2,0 | |||||
Неполное штучное время на 1 м шва, мин. | ||||||||||
1 | Н1 ![]() | 4,0 | 13,4 | 1 | 3,5 | 3,2 | 2,8 | 2,5 | - | - |
2 | Н2 ![]() | 5,0 | 20,0 | 1 | - | 3,5 | 3,3 | 2,9 | 2,6 | 2,4 |
3 | У4 ![]() | 6,0 | 27,7 | 2 | - | 5,0 | 4,7 | 4,2 | 3,8 | 3,5 |
4 | 7,0 | 36,4 | 2 | - | 6,1 | 5,7 | 5,0 | 4,5 | 4,1 | |
5 | У5 ![]() | 8,0 | 46,2 | 2 | - | 7,4 | 6,8 | 5,9 | 5,3 | 4,8 |
6 | 9,0 | 57,1 | 3 | - | 9,3 | 8,6 | 7,5 | 6,7 | 6,1 | |
7 | У7 ![]() | 10,0 | 68,8 | 3 | - | 10,8 | 9,9 | 8,6 | 7,7 | 7,0 |
8 | 12,0 | 95,3 | 3 | - | - | 12,0 | 10,3 | 9,2 | 8,3 | |
9 | Т1 ![]() | 14,0 | 125,4 | 4 | - | - | 15,6 | 13,5 | 11,9 | 10,8 |
10 | Т3 ![]() | 16,0 | 159,1 | 5 | - | - | 19,6 | 16,9 | 15,0 | 13,5 |
11 | 18,0 | 196,3 | 5 | - | - | 23,4 | 20,1 | 17,7 | 15,9 | |
12 | 20,0 | 236,9 | 6 | - | - | 28,1 | 24,1 | 21,2 | 19,0 | |
Индекс | а | б | в | г | д | е | ||||
С2, С5, С18, С19, С55, С57, С58, С60 | Полуавтоматическая аргонодуговая сварка стыков труб из меди и медно-никелевых сплавов | |||||||||
Карта 29 | Лист 1 | |||||||||
Основной шов | ||||||||||
Номер позиции | Тип шва | Толщина металла, мм | Площадь сечения, мм2 | Количество проходов | Диаметр проволоки, мм | |||||
0,8 | 1,0 | 1,2 | 1,4 | 1,6 | 2,0 | |||||
Неполное штучное время на 1 м шва, мин. | ||||||||||
1 | С2 ![]() | 2,0 | 4,7 | 1 | 3,4 | 3,1 | 2,9 | 2,7 | - | - |
2 | 2,5 | 10,2 | 1 | 5,5 | 5,0 | 4,7 | 4,0 | 3,7 | - | |
3 | 3,0 | 11,1 | 1 | 5,8 | 5,3 | 5,0 | 4,3 | 3,9 | - | |
4 | 4,0 | 21,7 | 2 | - | - | 8,8 | 7,3 | 7,0 | 6,2 | |
5 | 5,0 | 24,3 | 2 | - | - | 9,1 | 7,6 | 7,2 | 6,4 | |
6 | С5 ![]() | 2,0 | 5,6 | 1 | 3,8 | 3,5 | 3,3 | 3,0 | - | - |
7 | 2,5 | 13,7 | 1 | 6,9 | 6,3 | 5,9 | 5,0 | 4,6 | - | |
8 | 3,0 | 15,0 | 1 | 7,5 | 6,8 | 6,3 | 5,4 | 4,9 | - | |
9 | 4,0 | 27,1 | 2 | - | - | 10,6 | 8,7 | 8,3 | 7,2 | |
10 | 5,0 | 30,6 | 2 | - | - | 11,0 | 9,1 | 8,6 | 7,6 | |
11 | С18 ![]() | 4,0 | 31,8 | 2 | - | - | 12,2 | 10,0 | 9,5 | 8,3 |
12 | 5,0 | 39,6 | 2 | - | - | 13,8 | 11,4 | 10,8 | 9,5 | |
13 | 6,0 | 62,1 | 3 | - | - | 20,1 | 16,6 | 15,8 | 13,9 | |
14 | 7,0 | 79,7 | 4 | - | - | 24,4 | 20,3 | 18,6 | 16,6 | |
15 | 8,0 | 99,0 | 5 | - | - | 30,1 | 25,1 | 22,9 | 20,5 | |
16 | 9,0 | 119,8 | 5 | - | - | 33,0 | 28,2 | 24,8 | 22,4 | |
17 | 10,0 | 142,1 | 6 | - | - | 39,0 | 33,4 | 29,4 | 26,4 | |
18 | 12,0 | 191,0 | 6 | - | - | 47,5 | 39,6 | 35,1 | 29,9 | |
19 | 14,0 | 218,9 | 7 | - | - | 54,5 | 45,3 | 40,2 | 34,2 | |
20 | 15,0 | 239,2 | 7 | - | - | 59,0 | 49,0 | 43,4 | 36,9 | |
21 | С19 ![]() | 4,0 | 31,8 | 2 | - | - | 12,2 | 10,0 | 9,5 | 8,3 |
22 | 5,0 | 39,6 | 2 | - | - | 13,8 | 11,4 | 10,8 | 9,5 | |
23 | 6,0 | 67,5 | 3 | - | - | 21,6 | 17,8 | 16,9 | 14,9 | |
24 | 7,0 | 84,5 | 4 | - | - | 25,5 | 21,4 | 19,5 | 17,4 | |
25 | 8,0 | 102,7 | 5 | - | - | 31,0 | 25,9 | 23,6 | 21,1 | |
26 | 9,0 | 121,9 | 6 | - | - | 34,2 | 29,3 | 25,9 | 23,4 | |
27 | 10,0 | 142,2 | 6 | - | - | 39,0 | 33,4 | 29,4 | 26,4 | |
28 | 12,0 | 185,5 | 6 | - | - | 46,3 | 38,6 | 34,2 | 29,1 | |
29 | 14,0 | 232,3 | 7 | - | - | 57,5 | 47,8 | 42,3 | 36,0 | |
30 | 15,0 | 256,9 | 8 | - | - | 63,7 | 52,9 | 46,9 | 39,9 | |
31 | С55 ![]() | 4,0 | 31,2 | 2 | - | - | 12,0 | 9,9 | 9,4 | 8,2 |
32 | 5,0 | 37,8 | 2 | - | - | 13,3 | 11,0 | 10,4 | 9,2 | |
33 | 6,0 | 64,0 | 3 | - | - | 20,8 | 17,1 | 16,2 | 14,3 | |
34 | 7,0 | 80,2 | 4 | - | - | 24,5 | 20,4 | 18,7 | 16,7 | |
35 | 8,0 | 97,4 | 5 | - | - | 29,7 | 24,8 | 22,6 | 20,2 | |
36 | 9,0 | 115,6 | 5 | - | - | 31,9 | 27,4 | 24,1 | 21,7 | |
37 | 10,0 | 134,9 | 6 | - | - | 37,3 | 31,9 | 28,1 | 25,3 | |
38 | 12,0 | 175,9 | 6 | - | - | 44,2 | 36,8 | 32,7 | 27,9 | |
39 | 14,0 | 220,3 | 7 | - | - | 54,8 | 45,6 | 40,4 | 34,4 | |
40 | 15,0 | 243,6 | 8 | - | - | 60,7 | 50,5 | 44,8 | 38,1 | |
41 | С57 ![]() | 2,0 | 5,6 | 1 | 3,8 | 3,5 | 3,3 | 3,0 | - | - |
42 | 2,5 | 13,7 | 1 | 6,9 | 6,3 | 5,9 | 5,0 | 4,6 | - | |
43 | 3,0 | 15,0 | 1 | 7,5 | 6,8 | 6,3 | 5,4 | 4,9 | - | |
44 | 4,0 | 27,1 | 2 | - | - | 10,6 | 8,7 | 8,3 | 7,2 | |
45 | 5,0 | 30,6 | 2 | - | - | 11,0 | 9,1 | 8,6 | 7,6 | |
Индекс | а | б | в | г | д | е | ||||
Швы стыковых соединений С2, С5, С18, С19, С55, С57, С58, С60 | Полуавтоматическая аргонодуговая сварка стыков труб из меди и медно-никелевых сплавов | |||||||||
Карта 29 | Лист 2 | |||||||||
Основной шов | ||||||||||
Номер позиции | Тип шва | Толщина металла, мм | Площадь сечения, мм2 | Количество проходов | Диаметр проволоки, мм | |||||
0,8 | 1,0 | 1,2 | 1,4 | 1,6 | 2,0 | |||||
Неполное штучное время на 1 м шва, мин. | ||||||||||
46 | С58 ![]() | 4,0 | 34,3 | 2 | - | - | 13,0 | 10,7 | 10,1 | 8,8 |
47 | 5,0 | 48,0 | 3 | - | - | 17,0 | 14,1 | 13,4 | 11,8 | |
48 | 6,0 | 63,1 | 3 | - | - | 20,5 | 16,8 | 16,0 | 14,1 | |
49 | 7,0 | 79,4 | 4 | - | - | 24,3 | 20,3 | 18,5 | 16,6 | |
50 | 8,0 | 97,0 | 5 | - | - | 29,5 | 26,8 | 22,6 | 20,2 | |
51 | 9,0 | 115,7 | 5 | - | - | 32,0 | 27,4 | 24,1 | 21,7 | |
52 | 10,0 | 135,5 | 6 | - | - | 37,4 | 32,1 | 28,2 | 25,4 | |
53 | 12,0 | 178,1 | 6 | - | - | 44,6 | 37,2 | 33,0 | 28,2 | |
54 | 14,0 | 224,3 | 7 | - | - | 55,7 | 46,3 | 41,0 | 34,9 | |
55 | 15,0 | 248,7 | 8 | - | - | 61,8 | 51,4 | 45,6 | 38,8 | |
56 | С60 ![]() | 2,0 | 8,0 | 1 | 5,0 | 4,8 | 4,5 | 3,9 | - | - |
57 | 2,5 | 10,4 | 1 | 5,5 | 5,1 | 4,7 | 4,1 | 3,8 | - | |
58 | 3,0 | 11,1 | 1 | 5,8 | 5,4 | 5,0 | 4,3 | 3,9 | - | |
59 | 4,0 | 18,5 | 1 | - | - | 7,2 | 5,9 | 5,6 | 4,9 | |
60 | 5,0 | 21,0 | 1 | - | - | 7,5 | 6,2 | 5,9 | 5,2 | |
Индекс | а | б | в | г | д | е | ||||
Н1, У5 | Полуавтоматическая аргонодуговая сварка стыков труб из меди и медно-никелевых сплавов | |||||||||
Карта 30 | ||||||||||
Основной шов | ||||||||||
Номер позиции | Тип шва | Катет шва, мм | Площадь сечения, мм2 | Количество проходов | Диаметр проволоки, мм | |||||
0,8 | 1,0 | 1,2 | 1,4 | 1,6 | 2,0 | |||||
Неполное штучное время на 1 м шва, мин. | ||||||||||
1 | Н1 ![]() | 2,0 | 4,5 | 1 | 3,4 | 3,1 | 2,9 | 2,7 | - | - |
2 | 2,5 | 6,6 | 1 | 4,0 | 3,7 | 3,5 | 3,1 | 2,9 | - | |
3 | У5 ![]() | 3,0 | 9,1 | 1 | 5,0 | 4,6 | 4,3 | 3,8 | 3,5 | - |
4 | 4,0 | 14,8 | 1 | - | - | 6,0 | 5,0 | 4,8 | 4,2 | |
5 | 5,0 | 21,5 | 2 | - | - | 8,4 | 7,1 | 6,7 | 6,0 | |
6 | 6,0 | 29,3 | 2 | - | - | 10,2 | 8,5 | 8,1 | 7,2 | |
7 | 7,0 | 38,1 | 2 | - | - | 12,0 | 10,1 | 9,2 | 8,2 | |
8 | 8,0 | 47,7 | 3 | - | - | 15,1 | 12,7 | 11,7 | 10,5 | |
9 | 9,0 | 58,2 | 3 | - | - | 16,6 | 14,3 | 12,7 | 11,5 | |
10 | 10,0 | 69,6 | 3 | - | - | 19,4 | 16,6 | 14,6 | 13,2 | |
11 | 12,0 | 94,7 | 3 | - | - | 23,8 | 19,8 | 17,6 | 15,0 | |
12 | 14,0 | 122,9 | 4 | - | - | 30,8 | 25,6 | 22,8 | 19,4 | |
13 | 16,0 | 154,1 | 5 | - | - | 38,4 | 32,0 | 28,4 | 24,1 | |
14 | 18,0 | 188,0 | 6 | - | - | 46,6 | 38,8 | 34,4 | 29,3 | |
15 | 19,0 | 206,0 | 7 | - | - | 51,3 | 42,7 | 37,9 | 32,3 | |
Индекс | а | б | в | г | д | е | ||||
С2, С4, С5, С7, С8, С9, С12, С17, С18, С21, С25 | Автоматическая дуговая сварка в среде двуокиси углерода углеродистых и низколегированных сталей | |||||||||
Карта 31 | Лист 1 | |||||||||
Основной шов | ||||||||||
Номер позиции | Тип шва | Толщина металла, мм | Площадь сечения, мм2 | Количество проходов | Диаметр проволоки, мм | |||||
1,0 | 1,2 | 1,6 | 2,0 | 2,5 | 3,0 | |||||
Неполное штучное время на 1 м шва, мин. | ||||||||||
1 | С2 ![]() | 0,8 | 5,6 | 1 | 2,6 | 2,7 | - | - | - | - |
2 | 1,0 | 5,8 | 1 | 2,6 | 2,7 | - | - | - | - | |
3 | 1,5 | 6,1 | 1 | 2,6 | 2,7 | - | - | - | - | |
4 | 2,0 | 6,3 | 1 | 2,6 | 2,7 | - | - | - | - | |
5 | 2,5 | 11,0 | 1 | 2,7 | 2,9 | 3,3 | - | - | - | |
6 | 3,0 | 11,4 | 1 | 2,7 | 2,9 | 3,3 | - | - | - | |
7 | 4,0 | 12,1 | 1 | 2,9 | 3,1 | 3,4 | 3,6 | 3,8 | - | |
8 | 5,0 | 18,7 | 1 | 3,1 | 3,4 | 3,8 | 3,9 | 4,2 | 4,5 | |
9 | 6,0 | 19,7 | 1 | 3,1 | 3,4 | 3,8 | 3,9 | 4,2 | 4,5 | |
10 | С4 ![]() | 0,8 | 11,8 | 1 | 2,6 | 2,7 | - | - | - | - |
11 | 1,0 | 12,3 | 1 | 2,6 | 2,7 | - | - | - | - | |
12 | 1,5 | 13,1 | 1 | 2,6 | 2,7 | - | - | - | - | |
13 | 2,0 | 13,8 | 1 | 2,6 | 2,7 | - | - | - | - | |
14 | 2,5 | 14,3 | 1 | 2,7 | 2,9 | 3,3 | - | - | - | |
15 | 3,0 | 20,5 | 1 | 2,7 | 2,9 | 3,3 | - | - | - | |
16 | 4,0 | 21,5 | 1 | 2,9 | 3,1 | 3,4 | 3,6 | 3,8 | - | |
17 | 5,0 | 33,2 | 1 | 3,1 | 3,4 | 3,8 | 3,9 | 4,2 | 4,5 | |
18 | 6,0 | 38,8 | 1 | 3,1 | 3,4 | 3,8 | 3,9 | 4,2 | 4,5 | |
19 | 7,0 | 44,3 | 1 | 3,7 | 3,9 | 4,0 | 4,3 | 4,5 | 4,7 | |
20 | 8,0 | 49,7 | 1 | 3,7 | 3,9 | 4,0 | 4,3 | 4,5 | 4,7 | |
21 | С5 ![]() | 0,8 | 6,2 | 1 | 2,6 | 2,7 | - | - | - | - |
21 | 1,0 | 6,4 | 1 | 2,6 | 2,7 | - | - | - | - | |
23 | 1,5 | 8,1 | 1 | 2,6 | 2,7 | - | - | - | - | |
24 | 2,0 | 8,7 | 1 | 2,6 | 2,7 | - | - | - | - | |
25 | 2,5 | 9,1 | 1 | 2,7 | 2,9 | 3,3 | - | - | - | |
26 | 3,0 | 13,6 | 1 | 2,7 | 2,9 | 3,3 | - | - | - | |
27 | 4,0 | 14,6 | 1 | 2,9 | 3,1 | 3,4 | 3,6 | 3,8 | - | |
28 | 5,0 | 27,0 | 1 | 3,1 | 3,4 | 3,8 | 3,9 | 4,2 | 4,5 | |
29 | 6,0 | 30,1 | 1 | 3,1 | 3,4 | 3,8 | 3,9 | 4,2 | 4,5 | |
30 | 7,0 | 39,4 | 1 | 3,7 | 3,9 | 4,0 | 4,3 | 4,5 | 4,7 | |
31 | 8,0 | 42,4 | 1 | 3,7 | 3,9 | 4,0 | 4,3 | 4,5 | 4,7 | |
32 | С7 ![]() | 3,0 | 9,0 | 1 | 2,7 | 2,9 | 3,3 | - | - | - |
33 | 4,0 | 9,0 | 1 | 2,9 | 3,1 | 3,4 | 3,6 | 3,8 | - | |
34 | 5,0 | 13,6 | 1 | 3,1 | 3,4 | 3,8 | 3,9 | 4,2 | 4,5 | |
35 | 6,0 | 13,6 | 1 | 3,1 | 3,4 | 3,8 | 3,9 | 4,2 | 4,5 | |
36 | 7,0 | 20,1 | 1 | 3,7 | 3,9 | 4,0 | 4,3 | 4,5 | 4,7 | |
37 | 8,0 | 22,1 | 1 | 3,7 | 3,9 | 4,0 | 4,3 | 4,5 | 4,7 | |
38 | 9,0 | 24,0 | 1 | - | 4,3 | 4,7 | 4,9 | 5,1 | 5,4 | |
39 | 10,0 | 25,9 | 1 | - | 4,3 | 4,7 | 4,9 | 5,1 | 5,4 | |
40 | 12,0 | 33,0 | 1 | - | - | 5,2 | 5,5 | 5,8 | 6,1 | |
41 | С8 ![]() | 3,0 | 8,3 | 1 | 2,8 | 3,0 | 3,3 | - | - | - |
42 | 4,0 | 12,9 | 1 | 3,0 | 3,2 | 3,5 | 3,7 | 3,9 | - | |
43 | 5,0 | 18,2 | 1 | 3,2 | 3,5 | 3,9 | 4,0 | 4,2 | 4,6 | |
44 | 6,0 | 24,0 | 1 | 3,2 | 3,5 | 3,9 | 4,0 | 4,2 | 4,6 | |
45 | 7,0 | 30,4 | 1 | 3,8 | 4,0 | 4,1 | 4,4 | 4,6 | 4,7 | |
46 | 8,0 | 37,2 | 1 | 3,8 | 4,0 | 4,1 | 4,4 | 4,6 | 4,7 | |
Индекс | а | б | в | г | д | е | ||||
Швы стыковых соединений С2, С4, С5, С7, С8, С9, С12, С17, С18, С21, С25 | Автоматическая дуговая сварка в среде двуокиси углерода углеродистых и низколегированных сталей | |||||||||
Карта 31 | Лист 2 | |||||||||
Основной шов | ||||||||||
Номер позиции | Тип шва | Толщина металла, мм | Площадь сечения, мм2 | Количество проходов | Диаметр проволоки, мм | |||||
1,0 | 1,2 | 1,6 | 2,0 | 2,5 | 3,0 | |||||
Неполное штучное время на 1 м шва, мин. | ||||||||||
47 | С8 | 9,0 | 44,6 | 1 | - | 4,4 | 4,7 | 5,0 | 5,2 | 5,5 |
48 | 10,0 | 52,3 | 1 | - | 4,4 | 4,7 | 5,0 | 5,2 | 5,5 | |
49 | 12,0 | 77,0 | 2 | - | - | 10,0 | 10,6 | 11,2 | 11,9 | |
50 | 14,0 | 102,8 | 2 | - | - | 10,0 | 10,6 | 11,2 | 11,9 | |
51 | 16,0 | 132,1 | 3 | - | - | 14,7 | 15,5 | 16,4 | 17,5 | |
52 | 18,0 | 164,7 | 3 | - | - | - | 17,5 | 18,7 | 20,2 | |
53 | 20,0 | 200,6 | 4 | - | - | - | 23,1 | 24,8 | 26,7 | |
54 | 22,0 | 239,9 | 5 | - | - | - | 33,3 | 36,2 | 39,7 | |
55 | 24,0 | 282,3 | 6 | - | - | - | 39,9 | 43,3 | 47,6 | |
56 | 26,0 | 328,0 | 7 | - | - | - | 46,4 | 50,4 | 55,4 | |
57 | 28,0 | 376,9 | 8 | - | - | - | 52,9 | 57,5 | 63,2 | |
58 | 30,0 | 428,8 | 9 | - | - | - | 59,4 | 64,6 | 71,0 | |
59 | 32,0 | 484,0 | 10 | - | - | - | 66,1 | 71,8 | 78,9 | |
60 | 34,0 | 542,2 | 11 | - | - | - | 72,6 | 78,9 | 86,7 | |
61 | 36,0 | 603,4 | 12 | - | - | - | 79,1 | 86,0 | 94,5 | |
62 | 38,0 | 667,7 | 13 | - | - | - | 85,6 | 93,2 | 102,3 | |
63 | 40,0 | 735,1 | 15 | - | - | - | 98,7 | 107,4 | 118,0 | |
64 | 42,0 | 805,4 | 16 | - | - | - | 105,2 | 114,5 | 125,8 | |
65 | 44,0 | 878,7 | 18 | - | - | - | 118,3 | 128,7 | 141,4 | |
66 | 46,0 | 955,0 | 19 | - | - | - | 124,8 | 135,8 | 149,2 | |
67 | 48,0 | 1034,3 | 21 | - | - | - | 137,8 | 150,0 | 164,8 | |
68 | 50,0 | 1116,5 | 22 | - | - | - | 144,3 | 157,1 | 172,6 | |
69 | 52,0 | 1201,6 | 24 | - | - | - | 157,4 | 171,3 | 188,2 | |
70 | 54,0 | 1289,6 | 26 | - | - | - | 170,4 | 185,5 | 203,8 | |
71 | 56,0 | 1380,5 | 28 | - | - | - | 183,5 | 199,7 | 219,5 | |
72 | 58,0 | 1474,3 | 30 | - | - | - | 196,5 | 213,9 | 235,1 | |
73 | 60,0 | 1570,9 | 31 | - | - | - | 203,1 | 221,0 | 242,9 | |
74 | С9 ![]() | 3,0 | 12,2 | 1 | 2,8 | 3,0 | 3,3 | - | - | - |
75 | 4,0 | 15,4 | 1 | 3,0 | 3,2 | 3,5 | 3,7 | 3,9 | - | |
76 | 5,0 | 20,7 | 1 | 3,2 | 3,5 | 3,9 | 4,0 | 4,2 | 4,6 | |
77 | 6,0 | 27,5 | 1 | 3,2 | 3,5 | 3,9 | 4,0 | 4,2 | 4,6 | |
78 | 7,0 | 35,0 | 1 | 3,8 | 4,0 | 4,1 | 4,4 | 4,6 | 4,7 | |
79 | 8,0 | 45,1 | 1 | 3,8 | 4,0 | 4,1 | 4,4 | 4,6 | 4,7 | |
80 | 9,0 | 51,8 | 1 | - | 4,4 | 4,7 | 5,0 | 5,2 | 5,5 | |
81 | 10,0 | 61,1 | 1 | - | 4,4 | 4,7 | 5,0 | 5,2 | 5,5 | |
82 | 12,0 | 81,2 | 2 | - | - | 10,0 | 10,6 | 11,2 | 11,9 | |
83 | 14,0 | 103,3 | 2 | - | - | 10,0 | 10,6 | 11,2 | 11,9 | |
84 | 16,0 | 140,4 | 3 | - | - | 14,7 | 15,5 | 16,4 | 17,5 | |
85 | 18,0 | 174,1 | 4 | - | - | - | 23,1 | 24,8 | 26,7 | |
86 | 20,0 | 211,1 | 4 | - | - | - | 23,1 | 24,8 | 26,7 | |
87 | 22,0 | 251,2 | 5 | - | - | - | 33,3 | 36,2 | 39,7 | |
88 | 24,0 | 294,5 | 6 | - | - | - | 39,9 | 43,3 | 47,6 | |
89 | 26,0 | 340,9 | 7 | - | - | - | 46,4 | 50,4 | 55,4 | |
90 | 28,0 | 390,3 | 8 | - | - | - | 52,9 | 57,5 | 63,2 | |
91 | 30,0 | 442,7 | 9 | - | - | - | 59,4 | 64,6 | 71,0 | |
92 | 32,0 | 498,0 | 10 | - | - | - | 66,1 | 71,8 | 78,9 | |
93 | 34,0 | 556,3 | 11 | - | - | - | 72,6 | 78,9 | 86,7 | |
94 | 36,0 | 617,6 | 12 | - | - | - | 79,1 | 86,0 | 94,5 | |
95 | 38,0 | 681,6 | 14 | - | - | - | 92,2 | 100,3 | 110,1 | |
Индекс | а | б | в | г | д | е | ||||
Швы стыковых соединений С2, С4, С5, С7, С8, С9, С12, С17, С18, С21, С25 | Автоматическая дуговая сварка в среде двуокиси углерода углеродистых и низколегированных сталей | |||||||||
Карта 31 | Лист 3 | |||||||||
Основной шов | ||||||||||
Номер позиции | Тип шва | Толщина металла, мм | Площадь сечения, мм2 | Количество проходов | Диаметр проволоки, мм | |||||
1,0 | 1,2 | 1,6 | 2,0 | 2,5 | 3,0 | |||||
Неполное штучное время на 1 м шва, мин. | ||||||||||
96 | С9 | 40,0 | 748,6 | 15 | - | - | - | 98,7 | 107,4 | 118,0 |
97 | 42,0 | 818,3 | 16 | - | - | - | 105,2 | 114,5 | 125,8 | |
98 | 44,0 | 890,9 | 18 | - | - | - | 118,3 | 128,7 | 141,4 | |
99 | 46,0 | 966,2 | 19 | - | - | - | 124,8 | 135,8 | 149,2 | |
100 | 48,0 | 1044,3 | 21 | - | - | - | 137,8 | 150,0 | 164,8 | |
101 | 50,0 | 1125,1 | 23 | - | - | - | 150,9 | 164,2 | 180,4 | |
102 | 52,0 | 1208,7 | 24 | - | - | - | 157,4 | 171,3 | 188,2 | |
103 | 54,0 | 1294,9 | 26 | - | - | - | 170,4 | 185,5 | 203,8 | |
104 | 56,0 | 1383,8 | 28 | - | - | - | 183,5 | 199,7 | 219,5 | |
105 | 58,0 | 1475,4 | 30 | - | - | - | 196,5 | 213,9 | 235,1 | |
106 | 60,0 | 1569,6 | 31 | - | - | - | 203,1 | 221,0 | 242,9 | |
107 | С12 ![]() | 3,0 | 8,8 | 1 | 2,8 | 3,0 | 3,3 | - | - | - |
108 | 4,0 | 13,0 | 1 | 3,0 | 3,2 | 3,5 | 3,7 | 3,9 | - | |
109 | 5,0 | 17,6 | 1 | 3,2 | 3,5 | 3,9 | 4,0 | 4,2 | 4,6 | |
110 | 6,0 | 22,5 | 1 | 3,2 | 3,5 | 3,9 | 4,0 | 4,2 | 4,6 | |
111 | 7,0 | 27,7 | 1 | 3,8 | 4,0 | 4,1 | 4,4 | 4,6 | 4,7 | |
112 | 8,0 | 37,5 | 1 | 3,8 | 4,0 | 4,1 | 4,4 | 4,6 | 4,7 | |
113 | 9,0 | 46,7 | 1 | - | 4,4 | 4,7 | 5,0 | 5,1 | 5,5 | |
114 | 10,0 | 56,7 | 1 | - | 4,4 | 4,7 | 5,0 | 5,2 | 5,5 | |
115 | 12,0 | 79,4 | 2 | - | - | 10,0 | 10,6 | 11,2 | 11,9 | |
116 | 10,0 | 105,6 | 2 | - | - | 10,0 | 10,6 | 11,2 | 11,9 | |
117 | 16,0 | 135,1 | 3 | - | - | 14,7 | 15,5 | 16,4 | 17,5 | |
118 | 18,0 | 168,0 | 3 | - | - | - | 17,5 | 18,7 | 20,2 | |
119 | 20,0 | 204,1 | 4 | - | - | - | 23,1 | 24,8 | 26,7 | |
120 | 22,0 | 243,4 | 5 | - | - | - | 33,3 | 36,2 | 39,7 | |
121 | 24,0 | 285,8 | 6 | - | - | - | 39,9 | 43,3 | 47,6 | |
122 | 26,0 | 331,3 | 7 | - | - | - | 46,4 | 50,4 | 55,4 | |
123 | 28,0 | 379,9 | 8 | - | - | - | 52,9 | 57,5 | 63,2 | |
124 | 30,0 | 431,6 | 9 | - | - | - | 59,4 | 64,6 | 71,0 | |
125 | 32,0 | 486,2 | 10 | - | - | - | 66,1 | 71,8 | 78,9 | |
126 | 34,0 | 543,9 | 11 | - | - | - | 72,6 | 78,9 | 86,7 | |
127 | 36,0 | 604,4 | 12 | - | - | - | 79,1 | 86,0 | 94,5 | |
128 | 38,0 | 667,9 | 13 | - | - | - | 85,6 | 93,2 | 102,3 | |
129 | 40,0 | 734,3 | 15 | - | - | - | 98,7 | 107,4 | 118,0 | |
130 | 42,0 | 803,5 | 16 | - | - | - | 105,2 | 114,5 | 125,8 | |
131 | 44,0 | 875,6 | 18 | - | - | - | 118,3 | 128,7 | 141,4 | |
132 | 46,0 | 950,5 | 19 | - | - | - | 124,8 | 135,8 | 149,2 | |
133 | 48,0 | 1028,3 | 21 | - | - | - | 137,8 | 150,0 | 164,8 | |
134 | 50,0 | 1108,8 | 22 | - | - | - | 144,3 | 157,1 | 172,6 | |
135 | 52,0 | 1192,1 | 24 | - | - | - | 157,4 | 171,3 | 188,2 | |
136 | 54,0 | 1278,2 | 26 | - | - | - | 170,4 | 185,5 | 203,8 | |
137 | 56,0 | 1367,0 | 27 | - | - | - | 177,0 | 192,6 | 211,7 | |
138 | 58,0 | 1458,5 | 29 | - | - | - | 190,0 | 206,8 | 227,3 | |
139 | 60,0 | 1552,8 | 31 | - | - | - | 203,1 | 221,0 | 242,9 | |
140 | С17 | 3,0 | 8,3 | 1 | 2,8 | 3,0 | 3,3 | - | - | - |
141 | 4,0 | 12,5 | 1 | 3,0 | 3,2 | 3,5 | 3,7 | 3,9 | - | |
142 | 5,0 | 17,0 | 1 | 3,2 | 3,5 | 3,9 | 4,0 | 4,2 | 4,6 | |
143 | 6,0 | 22,0 | 1 | 3,2 | 3,5 | 3,9 | 4,0 | 4,2 | 4,6 | |
144 | 7,0 | 27,3 | 1 | 3,8 | 4,0 | 4,1 | 4,4 | 4,6 | 4,7 | |
Индекс | а | б | в | г | д | е | ||||
Швы стыковых соединений С2, С4, С5, С7, С8, С9, С12, С17, С18, С21, С25 | Автоматическая дуговая сварка в среде двуокиси углерода углеродистых и низколегированных сталей | |||||||||
Карта 31 | Лист 4 | |||||||||
Основной шов | ||||||||||
Номер позиции | Тип шва | Толщина металла, мм | Площадь сечения, мм2 | Количество проходов | Диаметр проволоки, мм | |||||
1,0 | 1,2 | 1,6 | 2,0 | 2,5 | 3,0 | |||||
Неполное штучное время на 1 м шва, мин. | ||||||||||
145 | С17 ![]() | 8,0 | 33,0 | 1 | 3,8 | 4,0 | 4,1 | 4,4 | 4,6 | 4,7 |
146 | 9,0 | 38,9 | 1 | - | 4,4 | 4,7 | 5,0 | 5,2 | 5,5 | |
147 | 10,0 | 45,1 | 1 | - | 4,4 | 4,7 | 5,0 | 5,2 | 5,5 | |
148 | 12,0 | 66,0 | 1 | - | - | 5,3 | 5,6 | 5,9 | 6,2 | |
149 | 14,0 | 88,4 | 2 | - | - | 10,0 | 10,6 | 11,2 | 11,9 | |
150 | 16,0 | 113,7 | 2 | - | - | 10,0 | 10,6 | 11,2 | 11,9 | |
151 | 18,0 | 142,1 | 3 | - | - | - | 17,5 | 18,7 | 20,2 | |
152 | 20,0 | 173,4 | 4 | - | - | - | 23,1 | 24,8 | 26,7 | |
153 | 22,0 | 207,7 | 4 | - | - | - | 26,8 | 29,1 | 31,9 | |
154 | 24,0 | 244,8 | 5 | - | - | - | 33,3 | 36,2 | 39,7 | |
155 | 26,0 | 284,8 | 6 | - | - | - | 39,9 | 43,3 | 47,6 | |
156 | 28,0 | 327,6 | 7 | - | - | - | 46,4 | 50,4 | 55,4 | |
157 | 30,0 | 373,3 | 8 | - | - | - | 52,9 | 57,5 | 63,2 | |
158 | 32,0 | 421,7 | 8 | - | - | - | 53,0 | 57,6 | 63,3 | |
159 | 34,0 | 472,9 | 10 | - | - | - | 66,1 | 71,8 | 78,9 | |
160 | 36,0 | 526,9 | 11 | - | - | - | 72,6 | 78,9 | 86,7 | |
161 | 38,0 | 583,5 | 12 | - | - | - | 79,1 | 86,0 | 94,5 | |
162 | 40,0 | 643,0 | 13 | - | - | - | 85,6 | 93,2 | 102,3 | |
163 | 42,0 | 705,1 | 14 | - | - | - | 92,2 | 100,3 | 110,1 | |
164 | 44,0 | 769,9 | 15 | - | - | - | 98,7 | 107,4 | 118,0 | |
165 | 46,0 | 837,3 | 17 | - | - | - | 111,7 | 121,6 | 133,6 | |
166 | 48,0 | 907,5 | 18 | - | - | - | 118,3 | 128,7 | 141,4 | |
167 | 50,0 | 980,3 | 20 | - | - | - | 131,3 | 142,9 | 157,0 | |
168 | 52,0 | 1055,7 | 21 | - | - | - | 137,8 | 150,0 | 164,8 | |
169 | 54,0 | 1133,8 | 23 | - | - | - | 150,9 | 164,2 | 180,4 | |
170 | 56,0 | 1214,4 | 24 | - | - | - | 157,4 | 171,3 | 188,2 | |
171 | 58,0 | 1297,7 | 26 | - | - | - | 170,4 | 185,5 | 203,8 | |
172 | 60,0 | 1383,6 | 28 | - | - | - | 183,5 | 199,7 | 219,5 | |
173 | С18 ![]() | 3,0 | 12,3 | 1 | 2,8 | 3,0 | 3,3 | - | - | - |
174 | 4,0 | 17,1 | 1 | 3,0 | 3,2 | 3,5 | 3,7 | 3,9 | - | |
175 | 5,0 | 22,1 | 1 | 3,2 | 3,5 | 3,9 | 4,0 | 4,2 | 4,6 | |
176 | 6,0 | 27,2 | 1 | 3,2 | 3,5 | 3,9 | 4,0 | 4,2 | 4,6 | |
177 | 7,0 | 32,4 | 1 | 3,8 | 4,0 | 4,1 | 4,4 | 4,6 | 4,7 | |
178 | 8,0 | 37,7 | 1 | 3,8 | 4,0 | 4,1 | 4,4 | 4,6 | 4,7 | |
179 | 9,0 | 43,1 | 1 | - | 4,4 | 4,7 | 5,0 | 5,2 | 5,5 | |
180 | 10,0 | 48,6 | 1 | - | 4,4 | 4,7 | 5,0 | 5,2 | 5,5 | |
181 | 12,0 | 73,9 | 2 | - | - | 10,0 | 10,6 | 11,2 | 11,9 | |
182 | 14,0 | 97,7 | 2 | - | - | 10,0 | 10,6 | 11,2 | 11,9 | |
183 | 16,0 | 124,4 | 3 | - | - | 14,7 | 15,5 | 16,4 | 17,5 | |
184 | 18,0 | 154,0 | 3 | - | - | - | 17,5 | 18,7 | 20,2 | |
185 | 20,0 | 186,4 | 4 | - | - | - | 23,1 | 24,8 | 26,7 | |
186 | 22,0 | 221,5 | 4 | - | - | - | 26,8 | 29,1 | 31,9 | |
187 | 24,0 | 259,3 | 5 | - | - | - | 33,3 | 36,2 | 39,7 | |
188 | 26,0 | 299,8 | 6 | - | - | - | 39,9 | 43,3 | 47,6 | |
189 | 28,0 | 342,8 | 7 | - | - | - | 46,4 | 50,4 | 55,4 | |
190 | 30,0 | 388,5 | 8 | - | - | - | 52,9 | 57,5 | 63,2 | |
191 | 32,0 | 436,6 | 9 | - | - | - | 59,5 | 64,7 | 71,1 | |
192 | 34,0 | 487,3 | 10 | - | - | - | 66,1 | 71,8 | 78,9 | |
Индекс | а | б | в | г | д | е | ||||
Швы стыковых соединений С2, С4, С5, С7, С8, С9, С12, С17, С18, С21, С25 | Автоматическая дуговая сварка в среде двуокиси углерода углеродистых и низколегированных сталей | |||||||||
Карта 31 | Лист 5 | |||||||||
Основной шов | ||||||||||
Номер позиции | Тип шва | Толщина металла, мм | Площадь сечения, мм2 | Количество проходов | Диаметр проволоки, мм | |||||
1,0 | 1,2 | 1,6 | 2,0 | 2,5 | 3,0 | |||||
Неполное штучное время на 1 м шва, мин. | ||||||||||
193 | С18 | 36,0 | 540,5 | 11 | - | - | - | 72,6 | 78,9 | 86,7 |
194 | 38,0 | 596,1 | 12 | - | - | - | 79,1 | 86,0 | 94,5 | |
195 | 40,0 | 654,1 | 13 | - | - | - | 85,6 | 93,2 | 102,3 | |
196 | 42,0 | 714,5 | 14 | - | - | - | 92,2 | 100,3 | 110,1 | |
197 | 44,0 | 777,3 | 16 | - | - | - | 105,2 | 114,5 | 125,8 | |
198 | 46,0 | 842,5 | 17 | - | - | - | 111,7 | 121,6 | 133,6 | |
199 | 48,0 | 910,0 | 18 | - | - | - | 118,3 | 128,7 | 141,4 | |
200 | 50,0 | 979,8 | 20 | - | - | - | 131,3 | 142,9 | 157,0 | |
201 | 52,0 | 1052,0 | 21 | - | - | - | 137,8 | 150,0 | 164,8 | |
202 | 54,0 | 1126,4 | 23 | - | - | - | 150,9 | 164,2 | 180,4 | |
203 | 56,0 | 1203,1 | 24 | - | - | - | 157,4 | 171,3 | 188,2 | |
204 | 58,0 | 1282,0 | 26 | - | - | - | 170,4 | 185,5 | 203,8 | |
205 | 60,0 | 1363,2 | 27 | - | - | - | 177,0 | 192,6 | 211,7 | |
206 | С21 ![]() | 3,0 | 9,1 | 1 | 2,8 | 3,0 | 3,3 | - | - | - |
207 | 4,0 | 13,5 | 1 | 3,0 | 3,2 | 3,5 | 3,7 | 3,9 | - | |
208 | 5,0 | 18,2 | 1 | 3,2 | 3,5 | 3,9 | 4,0 | 4,2 | 4,6 | |
209 | 6,0 | 23,4 | 1 | 3,2 | 3,5 | 3,9 | 4,0 | 4,2 | 4,6 | |
210 | 7,0 | 28,8 | 1 | 3,8 | 4,0 | 4,1 | 4,4 | 4,6 | 4,7 | |
211 | 8,0 | 34,6 | 1 | 3,8 | 4,0 | 4,1 | 4,4 | 4,6 | 4,7 | |
212 | 9,0 | 40,6 | 1 | - | 4,4 | 4,7 | 5,0 | 5,2 | 5,5 | |
213 | 10,0 | 46,8 | 1 | - | 4,4 | 4,7 | 5,0 | 5,2 | 5,5 | |
214 | 12,0 | 69,0 | 1 | - | - | 5,3 | 5,6 | 5,9 | 6,2 | |
215 | 14,0 | 91,8 | 2 | - | - | 10,0 | 10,6 | 11,2 | 11,9 | |
216 | 16,0 | 117,6 | 2 | - | - | 10,0 | 10,6 | 11,2 | 11,9 | |
217 | 18,0 | 146,3 | 3 | - | - | - | 17,5 | 18,7 | 20,2 | |
218 | 20,0 | 177,9 | 4 | - | - | - | 23,1 | 24,8 | 26,7 | |
219 | 22,0 | 212,4 | 4 | - | - | - | 26,8 | 29,1 | 31,9 | |
220 | 24,0 | 249,6 | 5 | - | - | - | 33,3 | 36,2 | 39,7 | |
221 | 26,0 | 289,5 | 6 | - | - | - | 39,9 | 43,3 | 47,6 | |
222 | 28,0 | 332,2 | 7 | - | - | - | 46,4 | 50,4 | 55,4 | |
223 | 30,0 | 377,5 | 8 | - | - | - | 52,9 | 57,5 | 63,2 | |
224 | 32,0 | 425,6 | 9 | - | - | - | 59,5 | 64,7 | 71,1 | |
225 | 34,0 | 476,2 | 10 | - | - | - | 66,1 | 71,8 | 78,9 | |
226 | 36,0 | 529,5 | 11 | - | - | - | 72,6 | 78,9 | 86,7 | |
227 | 38,0 | 585,4 | 12 | - | - | - | 79,1 | 86,0 | 94,5 | |
228 | 40,0 | 643,8 | 13 | - | - | - | 85,6 | 93,2 | 102,3 | |
229 | 42,0 | 704,8 | 14 | - | - | - | 92,2 | 100,3 | 110,1 | |
230 | 44,0 | 768,3 | 15 | - | - | - | 98,7 | 107,4 | 118,0 | |
231 | 46,0 | 834,4 | 17 | - | - | - | 111,7 | 121,6 | 133,6 | |
232 | 48,0 | 902,9 | 18 | - | - | - | 118,3 | 128,7 | 141,4 | |
233 | 50,0 | 973,9 | 20 | - | - | - | 131,3 | 142,9 | 157,0 | |
234 | 52,0 | 1047,4 | 21 | - | - | - | 137,8 | 150,0 | 164,8 | |
235 | 54,0 | 1123,4 | 23 | - | - | - | 150,9 | 164,2 | 180,4 | |
236 | 56,0 | 1201,8 | 24 | - | - | - | 157,4 | 171,3 | 188,2 | |
237 | 58,0 | 1282,6 | 26 | - | - | - | 170,4 | 185,5 | 203,8 | |
238 | 60,0 | 1365,9 | 27 | - | - | - | 177,0 | 192,6 | 211,7 | |
Индекс | а | б | в | г | д | е | ||||
Швы стыковых соединений С2, С4, С5, С7, С8, С9, С12, С17, С18, С21, С25 | Автоматическая дуговая сварка в среде двуокиси углерода углеродистых и низколегированных сталей | |||||||||
Карта 31 | Лист 6 | |||||||||
Основной шов | ||||||||||
Номер позиции | Тип шва | Толщина металла, мм | Площадь сечения, мм2 | Количество проходов | Диаметр проволоки, мм | |||||
1,0 | 1,2 | 1,6 | 2,0 | 2,5 | 3,0 | |||||
Неполное штучное время на 1 м шва, мин. | ||||||||||
239 | С25 ![]() | 6,0 | 9,2 | 1 | 3,2 | 3,5 | 3,9 | 4,0 | 4,2 | 4,6 |
240 | 7,0 | 11,3 | 1 | 3,8 | 4,0 | 4,1 | 4,4 | 4,6 | 4,7 | |
241 | 8,0 | 13,5 | 1 | 3,8 | 4,0 | 4,1 | 4,4 | 4,6 | 4,7 | |
242 | 9,0 | 15,8 | 1 | - | 4,4 | 4,7 | 5,0 | 5,2 | 5,5 | |
243 | 10,0 | 18,1 | 1 | - | 4,4 | 4,7 | 5,0 | 5,2 | 5,5 | |
244 | 12,0 | 23,1 | 1 | - | - | 5,3 | 5,6 | 5,9 | 6,2 | |
245 | 14,0 | 28,4 | 1 | - | - | 5,3 | 5,6 | 5,9 | 6,2 | |
246 | 16,0 | 36,3 | 1 | - | - | 5,3 | 5,6 | 5,9 | 6,2 | |
247 | 18,0 | 44,9 | 1 | - | - | - | 6,2 | 6,6 | 7,1 | |
248 | 20,0 | 54,3 | 1 | - | - | - | 6,2 | 6,6 | 7,1 | |
249 | 22,0 | 64,4 | - | - | - | - | 7,2 | 7,8 | 8,5 | |
250 | 24,0 | 75,4 | 2 | - | - | - | 13,8 | 14,9 | 16,3 | |
251 | 26,0 | 87,0 | 2 | - | - | - | 13,8 | 14,9 | 16,3 | |
252 | 28,0 | 99,5 | 2 | - | - | - | 13,8 | 14,9 | 16,3 | |
253 | 30,0 | 112,6 | 2 | - | - | - | 13,8 | 14,9 | 16,3 | |
254 | 32,0 | 126,5 | 3 | - | - | - | 20,4 | 22,1 | 24,3 | |
255 | 34,0 | 141,1 | 3 | - | - | - | 20,4 | 22,1 | 24,3 | |
256 | 36,0 | 156,4 | 3 | - | - | - | 20,4 | 22,1 | 24,3 | |
257 | 38,0 | 172,3 | 3 | - | - | - | 20,4 | 22,1 | 24,3 | |
258 | 40,0 | 189,0 | 4 | - | - | - | 26,9 | 29,2 | 32,1 | |
259 | 42,0 | 206,3 | 4 | - | - | - | 26,9 | 29,2 | 32,1 | |
260 | 44,0 | 224,4 | 5 | - | - | - | 33,4 | 36,3 | 39,9 | |
261 | 46,0 | 243,0 | 5 | - | - | - | 33,4 | 36,3 | 39,9 | |
262 | 48,0 | 262,4 | 5 | - | - | - | 33,4 | 36,3 | 39,9 | |
263 | 50,0 | 282,4 | 6 | - | - | - | 40,0 | 43,4 | 47,7 | |
264 | 52,0 | 303,0 | 6 | - | - | - | 40,0 | 43,4 | 47,7 | |
265 | 54,0 | 324,3 | 7 | - | - | - | 46,5 | 50,5 | 55,5 | |
266 | 56,0 | 346,2 | 7 | - | - | - | 46,5 | 50,5 | 55,5 | |
267 | 58,0 | 368,8 | 7 | - | - | - | 46,5 | 50,5 | 55,5 | |
268 | 60,0 | 392,0 | 8 | - | - | - | 53,0 | 57,6 | 63,3 | |
269 | 64,0 | 440,3 | 9 | - | - | - | 59,5 | 64,7 | 71,1 | |
270 | 68,0 | 491,0 | 10 | - | - | - | 66,1 | 71,8 | 78,9 | |
271 | 72,0 | 544,2 | 11 | - | - | - | 72,6 | 78,9 | 86,7 | |
272 | 76,0 | 599,8 | 12 | - | - | - | 79,1 | 86,0 | 94,5 | |
273 | 80,0 | 657,8 | 13 | - | - | - | 85,6 | 93,2 | 102,3 | |
274 | 84,0 | 718,1 | 14 | - | - | - | 92,2 | 100,3 | 110,1 | |
275 | 88,0 | 780,8 | 16 | - | - | - | 105,2 | 114,5 | 125,8 | |
276 | 92,0 | 845,8 | 17 | - | - | - | 111,7 | 121,6 | 133,6 | |
277 | 96,0 | 913,1 | 18 | - | - | - | 118,3 | 128,7 | 141,4 | |
278 | 100,0 | 982,7 | 20 | - | - | - | 131,3 | 142,9 | 157,0 | |
279 | 110,0 | 1166,5 | 23 | - | - | - | 150,9 | 164,2 | 180,4 | |
280 | 120,0 | 1364,2 | 27 | - | - | - | 177,0 | 192,6 | 211,7 | |
Индекс | а | б | в | г | д | е | ||||
С12, С21 | Автоматическая дуговая сварка в среде двуокиси углерода углеродистых и низколегированных сталей | |||||||||
Карта 32 | ||||||||||
Шов с противоположной стороны | ||||||||||
Номер позиции | Тип шва | Толщина металла, мм | Площадь сечения, мм2 | Количество проходов | Диаметр проволоки, мм | |||||
1,0 | 1,2 | 1,6 | 2,0 | 2,5 | 3,0 | |||||
Неполное штучное время на 1 м шва, мин. | ||||||||||
1 | С12 ![]() | 3 - 18 | 12,1 | 1 | 3,2 | 4,0 | 4,3 | 5,0 | 5,2 | 5,9 |
2 | 20 - 60 | 15,1 | 1 | - | - | - | 7,3 | 7,9 | 8,6 | |
3 | С21 ![]() | 3 - 10 | 9,0 | 1 | 3,3 | 3,7 | 4,0 | 4,4 | 4,6 | 5,0 |
4 | 12 - 18 | 12,1 | 1 | - | - | 5,3 | 5,6 | 5,9 | 6,2 | |
5 | 20 - 60 | 15,1 | 1 | - | - | - | 7,2 | 7,8 | 8,6 | |
Индекс | а | б | в | г | д | е | ||||
Т6 | Автоматическая дуговая сварка в среде двуокиси углерода углеродистых и низколегированных сталей | |||||||||
Карта 33 | ||||||||||
Основной шов | ||||||||||
Номер позиции | Тип шва | Толщина металла, мм | Площадь сечения, мм2 | Количество проходов | Диаметр проволоки, мм | |||||
1,0 | 1,2 | 1,6 | 2,0 | 2,5 | 3,0 | |||||
Неполное штучное время на 1 м шва, мин. | ||||||||||
1 | Т6 ![]() | 3,0 | 7,5 | 1 | 3,0 | 3,2 | 3,5 | - | - | - |
2 | 4,0 | 13,3 | 1 | 3,2 | 3,4 | 3,7 | 3,9 | 4,1 | - | |
3 | 5,0 | 20,6 | 1 | 3,4 | 3,7 | 4,1 | 4,2 | 4,4 | 4,8 | |
4 | 6,0 | 29,5 | 1 | 3,4 | 3,7 | 4,1 | 4,2 | 4,4 | 4,8 | |
5 | 7,0 | 39,9 | 1 | 4,0 | 4,2 | 4,3 | 4,6 | 4,8 | 4,9 | |
6 | 8,0 | 51,8 | 1 | 4,0 | 4,2 | 4,3 | 4,6 | 4,8 | 4,9 | |
7 | 9,0 | 65,3 | 1 | - | 4,6 | 4,9 | 5,1 | 5,4 | 5,6 | |
8 | 10,0 | 80,3 | 2 | - | 8,6 | 9,3 | 9,7 | 10,2 | 10,7 | |
9 | 12,0 | 114,8 | 2 | - | - | 10,3 | 10,8 | 11,4 | 12,1 | |
10 | 14,0 | 155,3 | 3 | - | - | 15,1 | 15,9 | 16,8 | 17,8 | |
11 | 16,0 | 201,8 | 4 | - | - | 19,9 | 20,9 | 22,1 | 23,5 | |
12 | 18,0 | 254,2 | 5 | - | - | - | 29,2 | 31,3 | 33,7 | |
13 | 20,0 | 312,6 | 6 | - | - | - | 34,9 | 37,4 | 40,3 | |
14 | 22,0 | 376,8 | 8 | - | - | - | 53,6 | 58,2 | 63,9 | |
15 | 24,0 | 446,8 | 9 | - | - | - | 60,2 | 65,4 | 71,7 | |
16 | 26,0 | 522,7 | 11 | - | - | - | 73,3 | 79,7 | 87,5 | |
17 | 28,0 | 604,5 | 12 | - | - | - | 79,9 | 86,9 | 95,3 | |
18 | 30,0 | 692,0 | 14 | - | - | - | 93,1 | 101,2 | 111,1 | |
19 | 32,0 | 785,3 | 16 | - | - | - | 106,4 | 115,7 | 127,0 | |
20 | 34,0 | 884,4 | 18 | - | - | - | 119,6 | 130,0 | 142,7 | |
21 | 36,0 | 989,3 | 20 | - | - | - | 132,8 | 144,3 | 158,5 | |
22 | 38,0 | 1099,9 | 22 | - | - | - | 145,9 | 158,7 | 174,2 | |
23 | 40,0 | 1216,2 | 24 | - | - | - | 159,1 | 173,0 | 190,0 | |
24 | 42,0 | 1338,2 | 27 | - | - | - | 178,9 | 194,5 | 213,6 | |
25 | 44,0 | 1466,0 | 29 | - | - | - | 192,1 | 208,8 | 229,3 | |
26 | 46,0 | 1599,4 | 32 | - | - | - | 211,8 | 230,3 | 252,9 | |
27 | 48,0 | 1738,6 | 35 | - | - | - | 231,6 | 251,8 | 276,6 | |
28 | 50,0 | 1883,4 | 38 | - | - | - | 251,3 | 273,3 | 300,2 | |
29 | 52,0 | 2033,9 | 41 | - | - | - | 271,1 | 294,8 | 323,8 | |
30 | 54,0 | 2190,1 | 44 | - | - | - | 290,9 | 316,3 | 347,4 | |
31 | 56,0 | 2351,9 | 47 | - | - | - | 310,6 | 337,8 | 371,0 | |
32 | 58,0 | 2519,3 | 50 | - | - | - | 330,4 | 359,3 | 394,6 | |
33 | 60,0 | 2692,4 | 54 | - | - | - | 356,8 | 388,0 | 426,1 | |
Индекс | а | б | в | г | д | е | ||||
У6, У8, У9 | Автоматическая дуговая сварка в среде двуокиси углерода углеродистых и низколегированных сталей | |||||||||
Карта 34 | Лист 1 | |||||||||
Основной шов | ||||||||||
Номер позиции | Тип шва | Толщина металла, мм | Площадь сечения, мм2 | Количество проходов | Диаметр проволоки, мм | |||||
1,0 | 1,2 | 1,6 | 2,0 | 2,5 | 3,0 | |||||
Неполное штучное время на 1 м шва, мин. | ||||||||||
1 | У6 ![]() | 3,0 | 8,8 | 1 | 3,0 | 3,2 | 3,5 | - | - | - |
2 | 4,0 | 13,0 | 1 | 3,2 | 3,4 | 3,6 | 3,8 | 4,0 | - | |
3 | 5,0 | 17,6 | 1 | 3,4 | 3,6 | 4,0 | 4,1 | 4,4 | 4,7 | |
4 | 6,0 | 22,5 | 1 | 3,4 | 3,6 | 4,0 | 4,1 | 4,4 | 4,7 | |
5 | 7,0 | 27,7 | 1 | 3,9 | 4,1 | 4,3 | 4,6 | 4,7 | 4,9 | |
6 | 8,0 | 36,7 | 1 | 3,9 | 4,1 | 4,3 | 4,6 | 4,7 | 4,9 | |
7 | 9,0 | 45,7 | 1 | - | 4,6 | 4,9 | 5,1 | 5,4 | 5,6 | |
8 | 10,0 | 55,6 | 1 | - | 4,6 | 4,9 | 5,1 | 5,4 | 5,6 | |
9 | 12,0 | 78,1 | 2 | - | - | 10,3 | 10,8 | 11,4 | 12,1 | |
10 | 14,0 | 104,0 | 2 | - | - | 10,3 | 10,8 | 11,4 | 12,1 | |
11 | 16,0 | 133,3 | 3 | - | - | 15,1 | 15,9 | 16,9 | 17,9 | |
12 | 18,0 | 165,9 | 3 | - | - | - | 17,9 | 19,1 | 20,6 | |
13 | 20,0 | 201,8 | 4 | - | - | - | 23,6 | 25,3 | 27,2 | |
14 | 22,0 | 240,9 | 5 | - | - | - | 34,0 | 36,9 | 40,4 | |
15 | 24,0 | 283,1 | 6 | - | - | - | 40,6 | 44,1 | 48,3 | |
16 | 26,0 | 328,5 | 7 | - | - | - | 47,3 | 51,3 | 56,3 | |
17 | 28,0 | 377,0 | 8 | - | - | - | 53,9 | 58,5 | 64,2 | |
18 | 30,0 | 428,6 | 9 | - | - | - | 60,5 | 65,7 | 72,1 | |
19 | 32,0 | 483,2 | 10 | - | - | - | 67,3 | 73,1 | 80,2 | |
20 | 34,0 | 540,8 | 11 | - | - | - | 73,9 | 80,3 | 88,1 | |
21 | 36,0 | 601,4 | 12 | - | - | - | 80,6 | 87,5 | 96,0 | |
22 | 38,0 | 665,0 | 13 | - | - | - | 87,2 | 94,7 | 103,9 | |
23 | 40,0 | 731,0 | 15 | - | - | - | 100,5 | 109,2 | 119,8 | |
24 | 42,0 | 800,9 | 16 | - | - | - | 107,1 | 116,4 | 127,7 | |
25 | 44,0 | 873,2 | 18 | - | - | - | 120,4 | 130,8 | 143,6 | |
26 | 46,0 | 948,4 | 19 | - | - | - | 127,1 | 138,1 | 151,5 | |
27 | 48,0 | 1026,5 | 21 | - | - | - | 140,4 | 152,5 | 167,3 | |
28 | 50,0 | 1107,4 | 22 | - | - | - | 147,0 | 159,7 | 175,3 | |
29 | 52,0 | 1191,1 | 24 | - | - | - | 160,3 | 174,1 | 191,1 | |
30 | 54,0 | 1277,6 | 26 | - | - | - | 173,6 | 188,6 | 207,0 | |
31 | 56,0 | 1366,9 | 27 | - | - | - | 180,2 | 195,8 | 214,9 | |
32 | 58,0 | 1459,0 | 29 | - | - | - | 193,5 | 210,2 | 230,7 | |
33 | 60,0 | 1553,9 | 31 | - | - | - | 206,8 | 224,7 | 246,6 | |
34 | У8 ![]() | 6,0 | 10,3 | 1 | 3,4 | 3,6 | 3,8 | 4,1 | 4,4 | 4,7 |
35 | 7,0 | 12,5 | 1 | 3,9 | 4,1 | 4,3 | 4,6 | 4,7 | 4,9 | |
36 | 8,0 | 14,9 | 1 | 3,9 | 4,1 | 4,3 | 4,6 | 4,7 | 4,9 | |
37 | 9,0 | 17,3 | 1 | - | 4,6 | 4,9 | 5,1 | 5,4 | 5,6 | |
38 | 10,0 | 19,8 | 1 | - | 4,6 | 4,9 | 5,1 | 5,4 | 5,6 | |
39 | 12,0 | 24,9 | 1 | - | - | 5,5 | 5,7 | 6,1 | 6,4 | |
40 | 14,0 | 30,3 | 1 | - | - | 5,5 | 5,7 | 6,1 | 6,4 | |
41 | 16,0 | 36,0 | 1 | - | - | 5,5 | 5,7 | 6,1 | 6,4 | |
42 | 18,0 | 45,1 | 1 | - | - | - | 6,4 | 6,8 | 7,3 | |
43 | 20,0 | 55,0 | 1 | - | - | - | 6,4 | 6,8 | 7,3 | |
44 | 22,0 | 65,7 | 1 | - | - | - | 7,4 | 8,0 | 8,7 | |
45 | 24,0 | 77,3 | 2 | - | - | - | 14,1 | 15,2 | 16,6 | |
46 | 26,0 | 89,8 | 2 | - | - | - | 14,1 | 15,2 | 16,6 | |
47 | 28,0 | 103,2 | 2 | - | - | - | 14,1 | 15,2 | 16,6 | |
48 | 30,0 | 117,4 | 2 | - | - | - | 14,1 | 15,2 | 16,6 | |
49 | 32,0 | 132,4 | 3 | - | - | - | 20,8 | 22,6 | 24,7 | |
50 | 34,0 | 148,3 | 3 | - | - | - | 20,8 | 22,6 | 24,7 | |
51 | 36,0 | 165,1 | 3 | - | - | - | 20,8 | 22,6 | 24,7 | |
52 | 38,0 | 182,6 | 4 | - | - | - | 27,5 | 29,8 | 32,6 | |
53 | 40,0 | 201,0 | 4 | - | - | - | 27,5 | 29,8 | 32,6 | |
Индекс | а | б | в | г | д | е | ||||
Швы угловых соединений У6, У8, У9 | Автоматическая дуговая сварка в среде двуокиси углерода углеродистых и низколегированных сталей | |||||||||
Карта 34 | Лист 2 | |||||||||
Основной шов | ||||||||||
Номер позиции | Тип шва | Толщина металла, мм | Площадь сечения, мм2 | Количество проходов | Диаметр проволоки, мм | |||||
1,0 | 1,2 | 1,6 | 2,0 | 2,5 | 3,0 | |||||
Неполное штучное время на 1 м шва, мин. | ||||||||||
54 | 42,0 | 220,2 | 4 | - | - | - | 27,5 | 29,8 | 32,6 | |
55 | 44,0 | 240,0 | 5 | - | - | - | 34,1 | 37,0 | 40,5 | |
56 | 46,0 | 261,1 | 5 | - | - | - | 34,1 | 37,0 | 40,5 | |
57 | 48,0 | 282,7 | 6 | - | - | - | 40,7 | 44,2 | 48,5 | |
58 | 50,0 | 305,1 | 6 | - | - | - | 40,7 | 44,2 | 48,5 | |
59 | 52,0 | 328,4 | 7 | - | - | - | 47,4 | 51,4 | 56,4 | |
60 | 54,0 | 352,4 | 7 | - | - | - | 47,4 | 51,4 | 56,4 | |
61 | 56,0 | 377,2 | 8 | - | - | - | 54,0 | 58,6 | 64,3 | |
62 | 58,0 | 402,8 | 8 | - | - | - | 54,0 | 58,6 | 64,3 | |
63 | 60,0 | 429,1 | 9 | - | - | - | 60,7 | 65,9 | 72,2 | |
64 | 64,0 | 484,2 | 10 | - | - | - | 67,3 | 73,1 | 80,2 | |
65 | 68,0 | 542,3 | 11 | - | - | - | 73,9 | 80,3 | 88,1 | |
66 | 72,0 | 603,5 | 12 | - | - | - | 80,6 | 87,5 | 96,0 | |
67 | 76,0 | 667,7 | 13 | - | - | - | 87,2 | 94,7 | 103,9 | |
68 | 80,0 | 734,9 | 15 | - | - | - | 100,5 | 109,2 | 119,8 | |
69 | 84,0 | 805,1 | 16 | - | - | - | 107,1 | 116,4 | 127,7 | |
70 | 88,0 | 878,3 | 18 | - | - | - | 120,4 | 130,8 | 143,6 | |
71 | 92,0 | 954,5 | 19 | - | - | - | 127,1 | 138,1 | 151,5 | |
72 | 96,0 | 1033,5 | 21 | - | - | - | 140,4 | 152,5 | 167,3 | |
73 | 100,0 | 1115,5 | 22 | - | - | - | 147,0 | 159,7 | 175,3 | |
74 | У9 ![]() | 3,0 | 8,6 | 1 | 3,0 | 3,2 | 3,5 | - | - | - |
75 | 4,0 | 12,9 | 1 | 3,2 | 3,4 | 3,6 | 3,8 | 4,0 | - | |
76 | 5,0 | 17,5 | 1 | 3,4 | 3,6 | 4,0 | 4,1 | 4,4 | 4,7 | |
77 | 6,0 | 22,5 | 1 | 3,4 | 3,6 | 4,0 | 4,1 | 4,4 | 4,7 | |
78 | 7,0 | 27,8 | 1 | 3,9 | 4,1 | 4,3 | 4,6 | 4,7 | 4,9 | |
79 | 8,0 | 33,4 | 1 | 3,9 | 4,1 | 4,3 | 4,6 | 4,7 | 4,9 | |
80 | 9,0 | 40,3 | 1 | - | 4,6 | 4,9 | 5,1 | 5,4 | 5,6 | |
81 | 10,0 | 49,0 | 1 | - | 4,6 | 4,9 | 5,1 | 5,4 | 5,6 | |
82 | 12,0 | 68,7 | 1 | - | - | 3,5 | 5,7 | 6,1 | 6,4 | |
83 | 14,0 | 91,5 | 2 | - | - | 10,3 | 10,8 | 11,4 | 12,1 | |
84 | 16,0 | 117,2 | 2 | - | - | 10,3 | 10,8 | 11,4 | 12,1 | |
85 | 18,0 | 145,9 | 3 | - | - | - | 17,9 | 19,1 | 20,6 | |
86 | 20,0 | 177,4 | 4 | - | - | - | 23,6 | 25,3 | 27,2 | |
87 | 22,0 | 211,8 | 4 | - | - | - | 27,3 | 29,7 | 32,5 | |
88 | 24,0 | 248,9 | 5 | - | - | - | 34,0 | 36,9 | 40,4 | |
89 | 26,0 | 288,8 | 6 | - | - | - | 40,6 | 44,1 | 48,3 | |
90 | 28,0 | 331,4 | 7 | - | - | - | 47,3 | 51,3 | 56,3 | |
91 | 30,0 | 376,6 | 8 | - | - | - | 53,9 | 58,5 | 64,2 | |
92 | 32,0 | 424,6 | 9 | - | - | - | 60,7 | 65,9 | 72,2 | |
93 | 34,0 | 475,1 | 10 | - | - | - | 67,3 | 73,1 | 80,2 | |
94 | 36,0 | 528,3 | 11 | - | - | - | 73,9 | 80,3 | 88,1 | |
95 | 38,0 | 584,1 | 12 | - | - | - | 80,6 | 87,5 | 96,0 | |
96 | 40,0 | 642,4 | 13 | - | - | - | 87,2 | 94,7 | 103,9 | |
97 | 42,0 | 703,3 | 14 | - | - | - | 93,9 | 102,0 | 111,8 | |
98 | 44,0 | 766,7 | 15 | - | - | - | 100,5 | 109,2 | 119,8 | |
99 | 46,0 | 832,7 | 17 | - | - | - | 113,8 | 123,6 | 135,6 | |
100 | 48,0 | 901,1 | 18 | - | - | - | 120,4 | 130,8 | 143,6 | |
101 | 50,0 | 972,1 | 19 | - | - | - | 127,1 | 138,1 | 151,5 | |
102 | 52,0 | 1045,5 | 21 | - | - | - | 140,4 | 152,5 | 167,3 | |
103 | 54,0 | 1121,3 | 22 | - | - | - | 147,0 | 159,7 | 175,3 | |
104 | 56,0 | 1199,6 | 24 | - | - | - | 160,3 | 174,1 | 191,0 | |
105 | 58,0 | 1280,3 | 26 | - | - | - | 173,6 | 188,6 | 207,0 | |
106 | 60,0 | 1363,5 | 27 | - | - | - | 180,2 | 195,8 | 214,9 | |
Индекс | а | б | в | г | д | е | ||||
Н1, Н2, У4, У5, Т1, Т3 | Автоматическая дуговая сварка в среде двуокиси углерода углеродистых и низколегированных сталей | |||||||||
Карта 35 | ||||||||||
Основной шов | ||||||||||
Номер позиции | Тип шва | Толщина металла, мм | Площадь сечения, мм2 | Количество проходов | Диаметр проволоки, мм | |||||
1,0 | 1,2 | 1,6 | 2,0 | 2,5 | 3,0 | |||||
Неполное штучное время на 1 м шва, мин. | ||||||||||
1 | Н1 ![]() | 1,0 | 1,4 | 1 | 3,0 | 3,1 | 3,1 | - | - | - |
2 | 1,5 | 2,7 | 1 | 3,0 | 3,1 | 3,1 | - | - | - | |
3 | Н2 ![]() | 2,0 | 4,2 | 1 | 3,0 | 3,1 | 3,1 | - | - | - |
4 | 2,5 | 5,9 | 1 | 3,1 | 3,2 | 3,3 | 3,3 | - | - | |
5 | У4 ![]() | 3,0 | 7,8 | 1 | 3,1 | 3,2 | 3,3 | 3,3 | - | - |
6 | 4,0 | 12,1 | 1 | 3,3 | 3,3 | 3,4 | 3,5 | 3,6 | 3,7 | |
7 | 5,0 | 17,1 | 1 | 3,4 | 3,5 | 3,6 | 3,7 | 3,8 | 3,9 | |
8 | У5 ![]() | 6,0 | 30,7 | 1 | - | 3,7 | 3,8 | 3,9 | 4,0 | 4,2 |
9 | 7,0 | 40,6 | 1 | - | 3,9 | 4,0 | 4,2 | 4,3 | 4,5 | |
10 | 8,0 | 51,7 | 1 | - | 3,9 | 4,0 | 4,2 | 4,3 | 4,5 | |
11 | Т1 ![]() | 9,0 | 64,0 | 1 | - | - | 4,3 | 4,5 | 4,7 | 4,9 |
12 | 10,0 | 77,5 | 2 | - | - | 8,2 | 8,6 | 8,9 | 9,4 | |
13 | 12,0 | 107,8 | 2 | - | - | - | 9,5 | 9,9 | 10,5 | |
14 | Т3 ![]() | 14,0 | 142,5 | 3 | - | - | - | 15,4 | 16,3 | 17,4 |
15 | 16,0 | 181,5 | 4 | - | - | - | 20,4 | 21,6 | 23,0 | |
16 | 18,0 | 224,6 | 5 | - | - | - | 25,3 | 26,9 | 28,6 | |
Индекс | а | б | в | г | д | е | ||||
У8 | Автоматическая дуговая сварка в среде двуокиси углерода углеродистых и низколегированных сталей | |||||||||
Карта 36 | ||||||||||
Шов с противоположной стороны | ||||||||||
Номер позиции | Тип шва | Катет шва, мм | Площадь сечения, мм2 | Количество проходов | Диаметр проволоки, мм | |||||
1,0 | 1,2 | 1,6 | 2,0 | 2,5 | 3,0 | |||||
Неполное штучное время на 1 м шва, мин. | ||||||||||
1 | У8 ![]() | 6,0 | 8,9 | 1 | 3,4 | 3,6 | 4,0 | 4,1 | 4,4 | 4,7 |
2 | 7,0 | 11,0 | 1 | 3,9 | 4,1 | 4,3 | 4,6 | 4,7 | 4,9 | |
3 | 8,0 | 13,3 | 1 | 3,9 | 4,1 | 4,3 | 4,6 | 4,7 | 4,9 | |
4 | 9,0 | 15,6 | 1 | - | 4,6 | 4,9 | 5,1 | 5,4 | 5,6 | |
5 | 10,0 | 18,1 | 1 | - | 4,6 | 4,9 | 5,1 | 5,4 | 5,6 | |
6 | 12,0 | 23,3 | 1 | - | - | 5,5 | 5,7 | 6,1 | 6,4 | |
7 | 14,0 | 28,8 | 1 | - | - | 5,5 | 5,7 | 6,1 | 6,4 | |
8 | 16,0 | 34,7 | 1 | - | - | 5,5 | 5,7 | 6,1 | 6,4 | |
9 | 18,0 | 44,0 | 1 | - | - | - | 6,4 | 6,8 | 7,3 | |
10 | 22,0 | 53,7 | 1 | - | - | - | 6,4 | 6,8 | 7,3 | |
11 | 22,0 | 64,3 | 1 | - | - | - | 7,4 | 8,0 | 8,7 | |
12 | 24,0 | 75,7 | 2 | - | - | - | 14,1 | 15,2 | 16,6 | |
13 | 26,0 | 88,1 | 2 | - | - | - | 14,1 | 15,2 | 16,6 | |
14 | 28,0 | 101,3 | 2 | - | - | - | 14,1 | 15,2 | 16,6 | |
15 | 30,0 | 115,4 | 2 | - | - | - | 14,1 | 15,2 | 16,6 | |
16 | 32,0 | 130,3 | 3 | - | - | - | 20,8 | 22,6 | 24,7 | |
17 | 34,0 | 146,1 | 3 | - | - | - | 20,8 | 22,6 | 24,7 | |
18 | 36,0 | 162,8 | 3 | - | - | - | 20,8 | 22,6 | 24,7 | |
19 | 38,0 | 180,2 | 4 | - | - | - | 27,5 | 29,8 | 32,6 | |
20 | 40,0 | 198,5 | 4 | - | - | - | 27,5 | 29,8 | 32,6 | |
21 | 42,0 | 217,7 | 4 | - | - | - | 27,5 | 29,8 | 32,6 | |
22 | 44,0 | 237,6 | 5 | - | - | - | 34,1 | 37,0 | 40,5 | |
23 | 46,0 | 258,4 | 5 | - | - | - | 34,1 | 37,0 | 40,5 | |
24 | 48,9 | 280,0 | 6 | - | - | - | 40,7 | 44,2 | 48,5 | |
25 | 50,0 | 302,5 | 6 | - | - | - | 40,7 | 44,2 | 48,5 | |
26 | 52,0 | 325,7 | 7 | - | - | - | 47,4 | 51,4 | 56,4 | |
27 | 54,0 | 349,7 | 7 | - | - | - | 47,4 | 51,4 | 56,4 | |
28 | 56,0 | 374,5 | 8 | - | - | - | 54,0 | 58,6 | 64,3 | |
29 | 58,0 | 400,2 | 8 | - | - | - | 54,0 | 58,6 | 64,3 | |
30 | 60,0 | 426,6 | 9 | - | - | - | 60,7 | 65,9 | 72,2 | |
31 | 64,0 | 481,8 | 10 | - | - | - | 67,3 | 73,1 | 80,2 | |
32 | 68,0 | 540,2 | 11 | - | - | - | 73,9 | 80,3 | 88,1 | |
33 | 72,0 | 601,7 | 12 | - | - | - | 80,6 | 87,5 | 96,0 | |
34 | 76,0 | 666,3 | 13 | - | - | - | 87,2 | 94,7 | 103,9 | |
35 | 80,0 | 733,9 | 15 | - | - | - | 100,5 | 109,2 | 119,8 | |
36 | 84,0 | 804,7 | 16 | - | - | - | 107,1 | 116,4 | 127,7 | |
37 | 88,0 | 878,5 | 18 | - | - | - | 120,4 | 130,8 | 143,6 | |
38 | 92,0 | 955,3 | 19 | - | - | - | 127,1 | 138,1 | 151,5 | |
39 | 96,0 | 1035,2 | 21 | - | - | - | 140,4 | 152,5 | 165,3 | |
40 | 100,0 | 1118,0 | 22 | - | - | - | 147,0 | 159,7 | 175,3 | |
Индекс | а | б | в | г | д | е | ||||
С2, С4, С5, С7, С17, С18, С19, С21, С25 | Автоматическая аргонодуговая сварка плавящимся электродом алюминия и алюминиевых сплавов | |||||||||
Карта 37 | Лист 1 | |||||||||
Основной шов | ||||||||||
Номер позиции | Тип шва | Толщина металла, мм | Площадь сечения, мм2 | Количество проходов | Диаметр проволоки, мм | |||||
1,0 | 1,2 | 1,6 | 2,0 | 2,5 | 3,0 | |||||
Неполное штучное время на 1 м шва, мин. | ||||||||||
1 | С2 ![]() | 4,0 | 17,1 | 1 | 2,9 | 3,1 | 3,4 | 3,6 | 3,8 | - |
2 | 5,0 | 17,7 | 1 | 3,1 | 3,4 | 3,8 | 3,9 | 4,2 | 4,5 | |
3 | 6,0 | 18,2 | 1 | 3,1 | 3,4 | 3,8 | 3,9 | 4,2 | 4,5 | |
4 | 7,0 | 35,3 | 1 | 3,7 | 3,9 | 4,0 | 4,3 | 4,5 | 4,7 | |
5 | 8,0 | 38,3 | 1 | 3,7 | 3,9 | 4,0 | 4,3 | 4,5 | 4,7 | |
6 | 9,0 | 41,2 | 1 | - | 4,3 | 4,7 | 4,9 | 5,1 | 5,4 | |
7 | 10,0 | 43,9 | 1 | - | 4,3 | 4,7 | 4,9 | 5,1 | 5,4 | |
8 | 12,0 | 49,1 | 1 | - | - | 5,2 | 5,5 | 5,8 | 6,1 | |
9 | С4 ![]() | 3,0 | 25,3 | 1 | 2,7 | 2,9 | 3,3 | - | - | - |
10 | 4,0 | 27,7 | 1 | 2,9 | 3,1 | 3,4 | 3,6 | 3,8 | - | |
11 | 5,0 | 29,6 | 1 | 3,1 | 3,4 | 3,8 | 3,9 | 4,2 | 4,5 | |
12 | 6,0 | 31,3 | 1 | 3,1 | 3,4 | 3,8 | 3,9 | 4,2 | 4,5 | |
13 | 7,0 | 32,8 | 1 | 3,7 | 3,9 | 4,0 | 4,3 | 4,5 | 4,7 | |
14 | 8,0 | 34,1 | 1 | 3,7 | 3,9 | 4,0 | 4,3 | 4,5 | 4,7 | |
15 | 9,0 | 35,4 | 1 | - | 4,3 | 4,7 | 4,9 | 5,1 | 5,4 | |
16 | 10,0 | 36,5 | 1 | - | 4,3 | 4,7 | 4,9 | 5,1 | 5,4 | |
17 | 12,0 | 38,6 | 1 | - | - | 5,2 | 5,5 | 5,8 | 6,1 | |
18 | С5 ![]() | 3,0 | 24,2 | 1 | 2,7 | 2,9 | 3,3 | - | - | - |
19 | 4,0 | 27,4 | 1 | 2,9 | 3,1 | 3,4 | 3,6 | 3,8 | - | |
20 | 5,0 | 30,2 | 1 | 3,1 | 3,4 | 3,8 | 3,9 | 4,2 | 4,5 | |
21 | 6,0 | 32,7 | 1 | 3,1 | 3,4 | 3,8 | 3,9 | 4,2 | 4,5 | |
22 | 7,0 | 35,0 | 1 | 3,7 | 3,9 | 4,0 | 4,3 | 4,5 | 4,7 | |
23 | 8,0 | 37,1 | 1 | 3,7 | 3,9 | 4,0 | 4,3 | 4,5 | 4,7 | |
24 | 9,0 | 39,0 | 1 | - | 4,3 | 4,7 | 4,9 | 5,1 | 5,4 | |
25 | 10,0 | 49,8 | 1 | - | 4,3 | 4,7 | 4,9 | 5,1 | 5,4 | |
26 | 12,0 | 48,0 | 1 | - | - | 5,2 | 5,5 | 5,8 | 6,1 | |
27 | С7 ![]() | 8,0 | 25,7 | 1 | 3,7 | 3,9 | 4,0 | 4,3 | 4,5 | 4,7 |
28 | 9,0 | 26,8 | 1 | - | 4,3 | 4,7 | 4,9 | 5,1 | 5,4 | |
29 | 10,0 | 27,8 | 1 | - | 4,3 | 4,7 | 4,9 | 5,1 | 5,4 | |
30 | 12,0 | 29,6 | 1 | - | 5,2 | 5,2 | 5,5 | 5,8 | 6,1 | |
31 | С17 ![]() | 10,0 | 87,5 | 2 | - | 8,3 | 9,0 | 9,4 | 9,9 | 10,4 |
32 | 12,0 | 120,1 | 2 | - | - | 10,0 | 10,6 | 11,2 | 11,9 | |
33 | 14,0 | 157,0 | 3 | - | - | 14,7 | 15,6 | 16,4 | 17,5 | |
34 | 16,0 | 197,9 | 4 | - | - | 19,5 | 20,5 | 21,7 | 23,1 | |
35 | 18,0 | 242,9 | 5 | - | - | - | 28,8 | 30,8 | 33,2 | |
36 | 20,0 | 291,6 | 6 | - | - | - | 34,4 | 36,8 | 39,7 | |
37 | 22,0 | 344,1 | 7 | - | - | - | 46,4 | 50,4 | 55,4 | |
38 | 24,0 | 400,2 | 8 | - | - | - | 52,9 | 57,5 | 63,2 | |
39 | 26,0 | 459,9 | 9 | - | - | - | 59,4 | 64,6 | 71,0 | |
40 | 28,0 | 575,6 | 12 | - | - | - | 79,0 | 85,9 | 94,4 | |
41 | 30,0 | 657,7 | 13 | - | - | - | 85,5 | 93,0 | 102,2 | |
42 | С18 ![]() | 10,0 | 91,4 | 2 | - | 8,3 | 9,0 | 9,4 | 9,9 | 10,4 |
43 | 12,0 | 124,6 | 3 | - | - | 14,7 | 15,5 | 16,4 | 17,5 | |
44 | 14,0 | 161,9 | 3 | - | - | 14,7 | 15,5 | 16,4 | 17,5 | |
45 | 16,0 | 203,2 | 4 | - | - | 19,5 | 20,5 | 21,7 | 23,1 | |
46 | 18,0 | 248,3 | 5 | - | - | - | 28,8 | 30,8 | 33,2 | |
Индекс | а | б | в | г | д | е | ||||
Швы стыковых соединений С2, С4, С7, С17, С18, С19, С21, С25 | Автоматическая аргонодуговая сварка плавящимся электродом алюминия и алюминиевых сплавов | |||||||||
Карта 37 | Лист 2 | |||||||||
Основной шов | ||||||||||
Номер позиции | Тип шва | Толщина металла, мм | Площадь сечения, мм2 | Количество проходов | Диаметр проволоки, мм | |||||
1,0 | 1,2 | 1,6 | 2,0 | 2,5 | 3,0 | |||||
Неполное штучное время на 1 м шва, мин. | ||||||||||
47 | С18 | 20,0 | 297,0 | 6 | - | - | - | 34,4 | 36,8 | 39,7 |
48 | 22,0 | 349,2 | 7 | - | - | - | 46,4 | 50,4 | 55,4 | |
49 | 24,0 | 404,9 | 8 | - | - | - | 52,9 | 57,5 | 63,2 | |
50 | 26,0 | 463,9 | 9 | - | - | - | 59,4 | 64,6 | 71,0 | |
51 | 28,0 | 526,2 | 11 | - | - | - | 72,5 | 78,8 | 86,6 | |
52 | 30,0 | 631,6 | 13 | - | - | - | 85,5 | 93,0 | 102,2 | |
53 | С19 ![]() | 10,0 | 97,5 | 2 | - | 8,3 | 9,0 | 9,4 | 9,9 | 10,4 |
54 | 12,0 | 134,8 | 3 | - | - | 14,7 | 15,5 | 16,4 | 17,5 | |
55 | 14,0 | 177,3 | 4 | - | - | 19,5 | 20,5 | 21,7 | 23,1 | |
56 | 16,0 | 224,7 | 5 | - | - | 24,2 | 25,5 | 27,0 | 28,8 | |
57 | 18,0 | 277,0 | 6 | - | - | - | 34,4 | 36,8 | 39,7 | |
58 | 20,0 | 334,1 | 7 | - | - | - | 40,0 | 42,9 | 46,3 | |
59 | 22,0 | 395,7 | 8 | - | - | - | 52,9 | 57,5 | 63,2 | |
60 | 24,0 | 461,8 | 9 | - | - | - | 59,4 | 64,6 | 71,0 | |
61 | 26,0 | 532,4 | 11 | - | - | - | 72,5 | 78,8 | 86,6 | |
62 | 28,0 | 607,3 | 12 | - | - | - | 79,0 | 85,9 | 94,4 | |
63 | 30,0 | 686,4 | 14 | - | - | - | 92,0 | 100,1 | 110,0 | |
64 | С21 ![]() | 10,0 | 77,3 | 2 | - | 8,3 | 9,0 | 9,4 | 9,9 | 10,4 |
65 | 12,0 | 94,8 | 2 | - | - | 10,0 | 10,6 | 11,2 | 11,9 | |
66 | 14,0 | 112,6 | 2 | - | - | 10,0 | 10,6 | 11,2 | 11,9 | |
67 | 16,0 | 130,8 | 3 | - | - | 14,7 | 15,5 | 16,4 | 17,5 | |
68 | 18,0 | 153,8 | 3 | - | - | - | 17,5 | 18,7 | 20,2 | |
69 | 20,0 | 197,8 | 4 | - | - | - | 23,1 | 24,8 | 26,7 | |
70 | 22,0 | 248,2 | 5 | - | - | - | 33,3 | 36,2 | 39,7 | |
71 | 24,0 | 305,4 | 6 | - | - | - | 39,9 | 43,3 | 47,6 | |
72 | 26,0 | 369,6 | 7 | - | - | - | 46,4 | 50,4 | 55,4 | |
73 | 28,0 | 441,0 | 9 | - | - | - | 59,4 | 64,6 | 71,0 | |
74 | 30,0 | 519,8 | 10 | - | - | - | 66,0 | 71,7 | 78,8 | |
75 | С25 ![]() | 12,0 | 140,1 | 3 | - | - | 14,7 | 15,5 | 16,4 | 17,5 |
76 | 14,0 | 141,0 | 3 | - | - | 14,7 | 15,5 | 16,4 | 17,5 | |
77 | 16,0 | 222,4 | 4 | - | - | 19,5 | 20,5 | 21,7 | 23,1 | |
78 | 18,0 | 223,8 | 5 | - | - | - | 28,8 | 30,8 | 33,2 | |
79 | 20,0 | 225,1 | 5 | - | - | - | 28,8 | 30,8 | 33,2 | |
80 | 22,0 | 226,2 | 5 | - | - | - | 33,3 | 36,2 | 39,7 | |
81 | 24,0 | 227,3 | 5 | - | - | - | 33,3 | 36,2 | 39,7 | |
82 | 26,0 | 228,2 | 5 | - | - | - | 33,3 | 36,2 | 39,7 | |
83 | 28,0 | 229,1 | 5 | - | - | - | 33,3 | 36,2 | 39,7 | |
84 | 30,0 | 230,0 | 5 | - | - | - | 33,3 | 36,2 | 39,7 | |
Индекс | а | б | в | г | д | е | ||||
С21 | Автоматическая аргонодуговая сварка плавящимся электродом алюминия и алюминиевых сплавов | |||||||||
Карта 38 | ||||||||||
Шов с противоположной стороны | ||||||||||
Номер позиции | Тип шва | Толщина металла, мм | Площадь сечения, мм2 | Количество проходов | Диаметр проволоки, мм | |||||
1,0 | 1,2 | 1,6 | 2,0 | 2,5 | 3,0 | |||||
Неполное штучное время на 1 м шва, мин. | ||||||||||
1 | С21 ![]() | 10,0 | 22,8 | 1 | - | 4,4 | 4,7 | 5,0 | 5,2 | 5,5 |
2 | 12,0 | 22,8 | 1 | - | - | 5,3 | 5,6 | 5,9 | 6,2 | |
3 | 14,0 | 22,8 | 1 | - | - | 5,3 | 5,6 | 5,9 | 6,2 | |
4 | 16,0 | 22,8 | 1 | - | - | 5,3 | 5,6 | 5,9 | 6,2 | |
5 | 18,0 | 22,8 | 1 | - | - | 6,2 | 6,2 | 6,6 | 7,1 | |
6 | 20,0 | 22,8 | 1 | - | - | - | 6,2 | 6,6 | 7,1 | |
7 | 22,0 | 22,8 | 1 | - | - | - | 7,2 | 7,8 | 8,5 | |
8 | 24,0 | 22,8 | 1 | - | - | - | 7,2 | 7,8 | 8,5 | |
9 | 26,0 | 22,8 | 1 | - | - | - | 7,2 | 7,8 | 8,5 | |
10 | 28,0 | 22,8 | 1 | - | - | - | 7,2 | 7,8 | 8,5 | |
11 | 30,0 | 22,8 | 1 | - | - | - | 7,2 | 7,8 | 8,5 | |
Индекс | а | б | в | г | д | е | ||||
Т6, Т8 | Автоматическая аргонодуговая сварка плавящимся электродом алюминия и алюминиевых сплавов | |||||||||
Карта 39 | ||||||||||
Основной шов | ||||||||||
Номер позиции | Тип шва | Толщина металла, мм | Площадь сечения, мм2 | Количество проходов | Диаметр проволоки, мм | |||||
1,0 | 1,2 | 1,6 | 2,0 | 2,5 | 3,0 | |||||
Неполное штучное время на 1 м шва, мин. | ||||||||||
1 | Т6 ![]() | 4,0 | 62,0 | 1 | 3,2 | 3,4 | 3,7 | 3,9 | 4,1 | - |
2 | 5,0 | 66,3 | 1 | 3,4 | 3,7 | 4,1 | 4,2 | 4,4 | 4,8 | |
3 | 6,0 | 70,0 | 1 | 3,4 | 3,7 | 4,1 | 4,2 | 4,4 | 4,8 | |
4 | 7,0 | 87,7 | 2 | 7,3 | 7,7 | 8,0 | 8,6 | 8,9 | 9,3 | |
5 | 8,0 | 107,0 | 2 | 7,3 | 7,7 | 8,0 | 8,6 | 8,9 | 9,3 | |
6 | 9,0 | 127,5 | 3 | - | 12,6 | 13,6 | 14,2 | 14,9 | 15,7 | |
7 | 10,0 | 149,2 | 3 | - | 12,6 | 13,6 | 14,2 | 14,9 | 15,7 | |
8 | 12,0 | 195,8 | 4 | - | - | 19,9 | 20,9 | 22,1 | 23,5 | |
9 | 14,0 | 246,5 | 5 | - | - | 24,6 | 26,0 | 27,5 | 29,2 | |
10 | 16,0 | 300,8 | 6 | - | - | 29,4 | 31,0 | 32,8 | 34,9 | |
11 | 18,0 | 358,5 | 7 | - | - | - | 40,6 | 43,5 | 46,8 | |
12 | 20,0 | 419,5 | 8 | - | - | - | 46,3 | 49,6 | 53,4 | |
13 | Т8 ![]() | 12,0 | 73,9 | 2 | - | - | 10,3 | 10,8 | 11,4 | 12,1 |
14 | 14,0 | 92,0 | 2 | - | - | 10,3 | 10,8 | 11,4 | 12,1 | |
15 | 16,0 | 111,2 | 2 | - | - | 10,3 | 10,8 | 11,4 | 12,1 | |
16 | 18,0 | 131,3 | 3 | - | - | - | 17,8 | 19,1 | 20,5 | |
17 | 20,0 | 152,5 | 3 | - | - | - | 17,8 | 19,1 | 20,5 | |
18 | 22,0 | 174,6 | 4 | - | - | - | 27,2 | 29,5 | 32,4 | |
19 | 24,0 | 197,5 | 4 | - | - | - | 27,2 | 29,5 | 32,4 | |
20 | 26,0 | 221,2 | 4 | - | - | - | 27,2 | 29,5 | 32,4 | |
21 | 28,0 | 245,7 | 5 | - | - | - | 33,8 | 36,7 | 40,2 | |
22 | 30,0 | 270,9 | 6 | - | - | - | 33,8 | 36,7 | 40,7 | |
23 | 32,0 | 296,9 | 6 | - | - | - | 40,6 | 44,0 | 48,3 | |
24 | 34,0 | 323,5 | 7 | - | - | - | 47,1 | 51,2 | 56,1 | |
25 | 35,0 | 337,1 | 7 | - | - | - | 47,1 | 51,2 | 56,1 | |
Индекс | а | б | в | г | д | е | ||||
У6, У9 | Автоматическая аргонодуговая сварка плавящимся электродом алюминия и алюминиевых сплавов | |||||||||
Карта 40 | ||||||||||
Основной шов | ||||||||||
Номер позиции | Тип шва | Толщина металла, мм | Площадь сечения, мм2 | Количество проходов | Диаметр проволоки, мм | |||||
1,0 | 1,2 | 1,6 | 2,0 | 2,5 | 3,0 | |||||
Неполное штучное время на 1 м шва, мин. | ||||||||||
1 | У6 ![]() | 4,0 | 26,9 | 1 | 3,2 | 3,4 | 3,6 | 3,8 | 4,0 | - |
2 | 5,0 | 33,2 | 1 | 3,4 | 3,6 | 4,0 | 4,1 | 4,4 | 4,7 | |
3 | 6,0 | 39,5 | 1 | 3,4 | 3,6 | 4,0 | 4,1 | 4,4 | 4,7 | |
4 | 7,0 | 45,7 | 1 | 3,9 | 4,1 | 4,3 | 4,6 | 4,7 | 4,9 | |
5 | 8,0 | 51,9 | 1 | 3,9 | 4,1 | 4,3 | 4,6 | 4,7 | 4,9 | |
6 | 9,0 | 72,5 | 2 | - | 8,6 | 9,3 | 9,7 | 4,7 | 4,9 | |
7 | 10,0 | 86,9 | 2 | - | 8,6 | 9,3 | 9,7 | 10,2 | 10,7 | |
8 | 12,0 | 119,0 | 2 | - | - | 10,3 | 10,8 | 11,4 | 12,1 | |
9 | 14,0 | 196,3 | 4 | - | - | 20,0 | 21,0 | 22,2 | 23,6 | |
10 | 16,0 | 235,7 | 5 | - | - | 24,8 | 26,1 | 27,7 | 29,4 | |
11 | 18,0 | 276,9 | 6 | - | - | - | 35,1 | 37,6 | 40,5 | |
12 | 20,0 | 319,9 | 6 | - | - | - | 35,1 | 37,6 | 40,5 | |
13 | У9 ![]() | 12,0 | 121,5 | 2 | - | - | 10,3 | 10,8 | 11,4 | 12,1 |
14 | 14,0 | 161,0 | 3 | - | - | 15,1 | 15,9 | 16,9 | 17,9 | |
15 | 16,0 | 205,3 | 4 | - | - | 20,0 | 21,0 | 22,2 | 23,6 | |
16 | 18,0 | 254,5 | 5 | - | - | - | 29,4 | 31,4 | 33,8 | |
17 | 20,0 | 308,3 | 6 | - | - | - | 35,1 | 37,6 | 40,5 | |
18 | 22,0 | 366,8 | 7 | - | - | - | 47,3 | 51,3 | 56,3 | |
19 | 24,0 | 429,8 | 9 | - | - | - | 60,5 | 65,7 | 72,1 | |
20 | 26,0 | 497,3 | 10 | - | - | - | 67,2 | 73,0 | 80,0 | |
21 | 28,0 | 569,2 | 11 | - | - | - | 73,8 | 80,2 | 88,0 | |
22 | 30,0 | 645,5 | 13 | - | - | - | 87,1 | 94,6 | 103,8 | |
Индекс | а | б | в | г | д | е | ||||
Н1, Н2, У4, У5, У7, Т1, Т3 | Автоматическая аргонодуговая сварка плавящимся электродом алюминия и алюминиевых сплавов | |||||||||
Карта 41 | ||||||||||
Основной шов | ||||||||||
Номер позиции | Тип шва | Толщина металла, мм | Площадь сечения, мм2 | Количество проходов | Диаметр проволоки, мм | |||||
1,0 | 1,2 | 1,6 | 2,0 | 2,5 | 3,0 | |||||
Неполное штучное время на 1 м шва, мин. | ||||||||||
1 | Н1 ![]() | 1,0 | 1,8 | 1 | 3,0 | 3,1 | 3,1 | - | - | - |
2 | 1,5 | 3,4 | 1 | 3,0 | 3,3 | 3,1 | - | - | - | |
3 | Н2 ![]() | 2,0 | 5,3 | 1 | 3,0 | 3,3 | 3,1 | - | - | - |
4 | 2,5 | 7,4 | 1 | 3,2 | 3,2 | 3,3 | 3,3 | - | - | |
5 | У4 ![]() | 3,0 | 9,8 | 1 | 3,2 | 3,2 | 3,3 | 3,3 | - | - |
6 | 4,0 | 15,2 | 1 | 3,3 | 3,3 | 3,4 | 3,5 | 3,6 | 3,7 | |
7 | 5,0 | 21,4 | 1 | 3,4 | 3,5 | 3,6 | 3,7 | 3,8 | 3,9 | |
8 | У5 ![]() | 6,0 | 28,2 | 1 | - | 3,7 | 3,8 | 3,9 | 4,0 | 4,2 |
9 | 7,0 | 35,6 | 1 | - | 3,9 | 4,0 | 4,2 | 4,3 | 4,5 | |
10 | У7 ![]() | 8,0 | 43,6 | 1 | - | 3,9 | 4,0 | 4,2 | 4,3 | 4,5 |
11 | 9,0 | 52,1 | 1 | - | - | 4,3 | 4,5 | 4,7 | 4,9 | |
12 | 10,0 | 61,1 | 1 | - | - | 4,3 | 4,5 | 4,7 | 4,9 | |
13 | Т1 ![]() | 12,0 | 96,1 | 2 | - | - | - | 9,5 | 9,9 | 10,5 |
14 | 14,0 | 127,3 | 3 | - | - | - | 15,4 | 16,3 | 17,4 | |
15 | Т3 ![]() | 16,0 | 162,2 | 3 | - | - | - | 15,4 | 16,3 | 17,4 |
16 | 18,0 | 201,0 | 4 | - | - | - | 20,4 | 21,6 | 23,0 | |
17 | 20,0 | 243,4 | 5 | - | - | - | 25,3 | 26,9 | 28,6 | |
18 | 22,0 | 289,5 | 6 | - | - | - | 30,4 | 32,2 | 34,3 | |
19 | 24,0 | 339,1 | 7 | - | - | - | 35,4 | 37,5 | 39,9 | |
20 | 26,0 | 392,2 | 8 | - | - | - | 40,3 | 42,8 | 45,5 | |
21 | 28,0 | 448,8 | 9 | - | - | - | 45,3 | 48,0 | 51,2 | |
22 | 30,0 | 508,8 | 10 | - | - | - | 50,3 | 53,3 | 56,8 | |
Индекс | а | б | в | г | д | е | ||||
С2, С7, С17, С21, С25 | Автоматическая аргонодуговая сварка неплавящимся электродом алюминия и алюминиевых сплавов | |||||||||
Карта 42 | Лист 1 | |||||||||
Основной шов | ||||||||||
Номер позиции | Тип шва | Толщина металла, мм | Площадь сечения, мм2 | Количество проходов | Диаметр проволоки, мм | |||||
1,0 | 2,0 | 3,0 | 4,0 | 5,0 | 6,0 | |||||
Неполное штучное время на 1 м шва, мин. | ||||||||||
1 | С2 ![]() | 0,8 | 8,9 | 1 | 2,7 | 2,9 | 3,1 | - | - | - |
2 | 1,0 | 8,9 | 1 | 2,7 | 2,9 | 3,1 | - | - | - | |
3 | 1,5 | 11,0 | 1 | 2,7 | 2,9 | 3,1 | - | - | - | |
4 | 2,0 | 11,1 | 1 | 2,7 | 2,9 | 3,1 | 3,8 | - | - | |
5 | 2,5 | 11,2 | 1 | 2,9 | 3,3 | 3,4 | 3,8 | - | - | |
6 | 3,0 | 15,1 | 1 | 2,9 | 3,3 | 3,4 | 3,8 | - | - | |
7 | 4,0 | 15,6 | 1 | 3,3 | 3,4 | 3,6 | 4,0 | 4,3 | - | |
8 | С7 ![]() | 2,0 | 2,0 | 1 | 2,7 | 2,9 | 3,1 | - | - | - |
9 | 2,5 | 8,3 | 1 | 2,9 | 3,3 | 3,4 | 3,8 | - | - | |
10 | 3,0 | 8,8 | 1 | 2,9 | 3,3 | 3,4 | 3,8 | - | - | |
11 | 4,0 | 9,5 | 1 | 3,3 | 3,4 | 3,6 | 4,0 | 4,3 | - | |
12 | 5,0 | 10,2 | 1 | 3,4 | 3,8 | 4,0 | 4,3 | 4,7 | 5,1 | |
13 | 6,0 | 10,8 | 1 | 3,4 | 3,8 | 4,0 | 4,3 | 4,7 | 5,1 | |
14 | 7,0 | 25,2 | 1 | 3,6 | 4,0 | 4,3 | 4,5 | 4,9 | 5,4 | |
15 | 8,0 | 28,2 | 1 | 3,6 | 4,0 | 4,3 | 4,5 | 4,9 | 5,4 | |
16 | 9,0 | 31,2 | 1 | 3,7 | 4,3 | 4,7 | 4,9 | 5,1 | 5,7 | |
17 | 10,0 | 34,2 | 1 | 3,7 | 4,3 | 4,7 | 4,9 | 5,1 | 5,7 | |
18 | С17 ![]() | 8,0 | 67,5 | 1 | 3,7 | 4,1 | 4,4 | 4,6 | 5,0 | 5,5 |
19 | 9,0 | 82,6 | 2 | 7,0 | 8,3 | 9,0 | 9,4 | 9,9 | 11,0 | |
20 | 10,0 | 99,0 | 2 | 7,0 | 8,3 | 9,0 | 9,4 | 9,9 | 11,0 | |
21 | 12,0 | 135,5 | 3 | 13,4 | 16,4 | 17,5 | 18,1 | 20,2 | 21,9 | |
22 | 14,0 | 176,6 | 4 | 17,7 | 21,7 | 23,1 | 24,8 | 26,7 | 29,0 | |
23 | 16,0 | 222,2 | 4 | 17,7 | 21,7 | 23,1 | 24,8 | 26,7 | 29,0 | |
24 | 18,0 | 272,1 | 5 | 30,8 | 33,2 | 36,1 | 39,6 | 44,1 | 49,7 | |
25 | 20,0 | 326,1 | 7 | 42,9 | 46,3 | 50,3 | 55,3 | 61,4 | 69,4 | |
26 | С21 ![]() | 4,0 | 21,2 | 1 | 3,3 | 3,5 | 3,7 | 4,1 | 4,4 | - |
27 | 5,0 | 28,0 | 1 | 3,5 | 3,9 | 4,1 | 4,4 | 4,7 | 5,2 | |
28 | 6,0 | 35,1 | 1 | 3,5 | 3,9 | 4,1 | 4,4 | 4,7 | 5,2 | |
29 | 7,0 | 42,4 | 1 | 3,7 | 4,1 | 4,4 | 4,6 | 5,0 | 5,5 | |
30 | 8,0 | 50,1 | 1 | 3,7 | 4,1 | 4,4 | 4,6 | 5,0 | 5,5 | |
31 | 9,0 | 58,0 | 1 | 3,8 | 4,4 | 4,7 | 5,0 | 5,2 | 5,8 | |
32 | 10,0 | 66,0 | 1 | 3,8 | 4,4 | 4,7 | 5,0 | 5,2 | 5,8 | |
33 | 12,0 | 111,1 | 2 | 9,1 | 11,2 | 11,9 | 12,7 | 13,6 | 14,8 | |
34 | 14,0 | 148,7 | 5 | 13,4 | 16,4 | 17,5 | 18,7 | 20,2 | 21,9 | |
35 | 16,0 | 191,2 | 4 | 17,7 | 21,7 | 23,1 | 24,8 | 26,7 | 29,0 | |
36 | 18,0 | 238,6 | 5 | 30,8 | 33,2 | 36,1 | 39,6 | 44,1 | 49,7 | |
37 | 20,0 | 253,4 | 6 | 36,8 | 39,7 | 43,2 | 47,4 | 52,7 | 59,6 | |
38 | 22,0 | 273,0 | 4 | - | 29,1 | 31,9 | 35,5 | 40,0 | 46,1 | |
39 | 24,0 | 291,3 | 5 | - | 36,2 | 39,7 | 44,2 | 49,8 | 57,4 | |
40 | 26,0 | 302,1 | 6 | - | 43,3 | 47,6 | 52,9 | 59,7 | 68,8 | |
41 | 28,0 | 355,5 | 7 | - | 50,4 | 55,4 | 61,6 | 69,5 | 80,1 | |
42 | 30,0 | 413,6 | 8 | - | 57,5 | 63,2 | 70,2 | 79,3 | 91,4 | |
43 | 32,0 | 476,6 | 10 | - | 71,8 | 78,9 | 87,7 | 99,1 | 114,2 | |
44 | 34,0 | 544,5 | 11 | - | 78,9 | 86,7 | 96,4 | 108,9 | 125,6 | |
45 | 36,0 | 617,3 | 12 | - | 86,0 | 94,5 | 105,1 | 118,8 | 136,9 | |
46 | 38,0 | 695,2 | 14 | - | 100,3 | 110,1 | 122,5 | 138,4 | 159,6 | |
47 | 40,0 | 778,1 | 16 | - | 114,5 | 125,8 | 139,9 | 158,1 | 182,3 | |
Индекс | а | б | в | г | д | е | ||||
Швы стыковых соединений С2, С7, С17, С21, С25 | Автоматическая аргонодуговая сварка неплавящимся электродом алюминия и алюминиевых сплавов | |||||||||
Карта 42 | Лист 2 | |||||||||
Основной шов | ||||||||||
Номер позиции | Тип шва | Толщина металла, мм | Площадь сечения, мм2 | Количество проходов | Диаметр проволоки, мм | |||||
1,0 | 2,0 | 3,0 | 4,0 | 5,0 | 6,0 | |||||
Неполное штучное время на 1 м шва, мин. | ||||||||||
48 | С25 ![]() | 12,0 | 53,1 | 1 | 4,9 | 5,9 | 6,2 | 6,2 | 7,1 | 7,7 |
49 | 14,0 | 67,4 | 1 | 4,9 | 5,9 | 6,2 | 6,6 | 7,1 | 7,7 | |
50 | 16,0 | 82,8 | 2 | 9,1 | 11,2 | 11,9 | 12,7 | 13,6 | 14,8 | |
51 | 18,0 | 99,4 | 2 | 12,7 | 13,6 | 14,8 | 16,2 | 18,0 | 20,2 | |
52 | 20,0 | 117,0 | 2 | 12,7 | 13,6 | 14,8 | 16,2 | 18,0 | 20,2 | |
53 | 22,0 | 135,6 | 3 | - | 22,0 | 24,1 | 26,8 | 30,2 | 34,7 | |
54 | 24,0 | 155 | 3 | - | 22,0 | 24,1 | 26,8 | 30,0 | 34,7 | |
55 | 26,0 | 175,5 | 4 | - | 29,1 | 31,9 | 35,5 | 40,0 | 46,1 | |
56 | 28,0 | 196,8 | 4 | - | 29,1 | 31,9 | 35,5 | 40,0 | 46,1 | |
57 | 30,0 | 219,0 | 4 | - | 29,1 | 31,9 | 35,5 | 40,0 | 46,1 | |
Индекс | а | б | в | г | д | е | ||||
С21 | Автоматическая аргонодуговая сварка неплавящимся электродом алюминия и алюминиевых сплавов | |||||||||
Карта 43 | ||||||||||
Шов с противоположной стороны | ||||||||||
Номер позиции | Тип шва | Толщина металла, мм | Площадь сечения, мм2 | Количество проходов | Диаметр проволоки, мм | |||||
1,0 | 2,0 | 3,0 | 4,0 | 5,0 | 6,0 | |||||
Неполное штучное время на 1 м шва, мин. | ||||||||||
1 | С21 ![]() | 4 - 10 | 15,0 | 1 | 3,6 | 4,0 | 4,2 | 4,6 | 4,8 | 5,5 |
2 | 12 - 22 | 21,0 | 1 | 5,8 | 6,9 | 7,4 | 8,0 | 8,8 | 9,3 | |
3 | 24 - 40 | 22,5 | 1 | - | 7,8 | 8,6 | 9,5 | 10,7 | 12,2 | |
Индекс | а | б | в | г | д | е | ||||
Т6, Т7, Т8 | Автоматическая аргонодуговая сварка неплавяшимся электродом алюминия и алюминиевых сплавов | |||||||||
Карта 44 | ||||||||||
Основной шов | ||||||||||
Номер позиции | Тип шва | Толщина металла, мм | Площадь сечения, мм2 | Количество проходов | Диаметр проволоки, мм | |||||
1,0 | 2,0 | 3,0 | 4,0 | 5,0 | 6,0 | |||||
Неполное штучное время на 1 м шва, мин. | ||||||||||
1 | Т6 ![]() | 4,0 | 68,4 | 1 | 3,5 | 3,7 | 3,9 | 4,3 | 4,6 | - |
2 | 5,0 | 81,0 | 2 | 6,8 | 7,5 | 8,0 | 8,6 | 9,3 | 10,2 | |
3 | 6,0 | 93,1 | 2 | 6,8 | 7,5 | 8,0 | 8,6 | 9,3 | 10,2 | |
4 | 7,0 | 104,7 | 2 | 7,1 | 8,0 | 8,6 | 8,9 | 9,7 | 10,7 | |
5 | 8,0 | 121,8 | 2 | 7,1 | 8,0 | 8,6 | 8,9 | 9,7 | 10,7 | |
6 | 9,0 | 146,3 | 3 | 10,7 | 12,6 | 13,6 | 14,2 | 14,9 | 16,7 | |
7 | 10,0 | 172,4 | 3 | 10,7 | 12,6 | 13,6 | 14,2 | 14,9 | 16,7 | |
8 | 12,0 | 229,1 | 5 | 22,4 | 27 5 | 29,2 | 31,3 | 33,7 | 36,6 | |
9 | 14,0 | 291,3 | 6 | 26,8 | 32,8 | 34,9 | 3,4 | 40,3 | 43,7 | |
10 | 16,0 | 358,6 | 7 | 31,1 | 38,2 | 40,6 | 43,5 | 46 | 50,9 | |
11 | 18,0 | 430,9 | 9 | 55,7 | 60,0 | 65,2 | 71,6 | 79,5 | 89,8 | |
12 | 20,0 | 507,8 | 10 | 61,8 | 66,6 | 72,4 | 79,5 | 88,3 | 99,6 | |
13 | Т7 ![]() | 4,0 | 52,4 | 1 | 3,5 | 3,7 | 3,9 | 4,3 | 4,6 | - |
14 | 5,0 | 62,2 | 1 | 3,7 | 4,1 | 4,3 | 4,6 | 4,9 | 5,4 | |
15 | 6,0 | 71,5 | 1 | 3,7 | 4,1 | 4,3 | 4,6 | 4,9 | 5,4 | |
16 | 7,0 | 80,5 | 2 | 7,1 | 8,0 | 8,6 | 8,9 | 9,7 | 10,7 | |
17 | 8,0 | 93,7 | 2 | 7,1 | 8,0 | 8,6 | 8,9 | 9,7 | 10,7 | |
18 | 9,0 | 112,6 | 2 | 7,3 | 8,6 | 9,3 | 9,7 | 10,2 | 11,3 | |
19 | 10,0 | 132,7 | 3 | 10,7 | 12,6 | 13,6 | 14,2 | 14,9 | 16,7 | |
20 | 12,0 | 176,3 | 4 | 14,1 | 22,1 | 23,5 | 25,2 | 27,1 | 29,4 | |
21 | 14,0 | 224,1 | 5 | 22,4 | 27,5 | 29,2 | 31,3 | 33,7 | 36,6 | |
22 | 16,0 | 276,0 | 6 | 26,8 | 32,8 | 34,9 | 37,4 | 40,3 | 43,7 | |
23 | 18,0 | 332,0 | 7 | 43,5 | 46,8 | 50,9 | 55,8 | 67,0 | 70,0 | |
24 | 20,0 | 390,7 | 8 | 49,6 | 53,4 | 58,1 | 63,7 | 70,8 | 79,9 | |
25 | Т8 ![]() | 12,0 | 81,5 | 2 | 9,4 | 11,4 | 12,1 | 13,0 | 11,9 | 15,1 |
26 | 14,0 | 100,9 | 2 | 9,4 | 11,4 | 12,1 | 13,0 | 13,9 | 15,1 | |
27 | 16,0 | 121,3 | 2 | 9,4 | 11,4 | 12,1 | 13,0 | 13,9 | 15,1 | |
28 | 18,0 | 142,7 | 3 | 19,1 | 20,5 | 22,2 | 24,4 | 27,0 | 30,4 | |
29 | 20,0 | 165,0 | 3 | 19,1 | 20,5 | 22,2 | 24,4 | 27,0 | 30,4 | |
30 | 22,0 | 188,2 | 4 | - | 29,5 | 32,4 | 35,9 | 40,4 | 46,5 | |
31 | 24,0 | 212,1 | 4 | - | 29,5 | 32,4 | 35,9 | 40,4 | 46,5 | |
32 | 26,0 | 236,9 | 5 | - | 36,7 | 40,2 | 44,7 | 50,3 | 57,9 | |
33 | 28,0 | 262,4 | 5 | - | 36,7 | 40,2 | 44,7 | 50,3 | 57,9 | |
34 | 30,0 | 288,6 | 6 | - | 43,9 | 48,1 | 53,4 | 60,2 | 69,3 | |
35 | 32,0 | 315,5 | 6 | - | 44,0 | 48,3 | 53,6 | 60,4 | 69,5 | |
36 | 34,0 | 343,0 | 7 | - | 51,2 | 56,1 | 62,3 | 70,3 | 80,0 | |
37 | 35,0 | 357,0 | 7 | - | 51,2 | 56,1 | 62,3 | 70,3 | 80,9 | |
Индекс | а | б | в | г | д | е | ||||
У4, У5, У6, У7, У9 | Автоматическая аргонодуговая сварка неплавящимся электродом алюминия и алюминиевых сплавов | |||||||||
Карта 45 | Лист 1 | |||||||||
Основной шов | ||||||||||
Номер позиции | Тип шва | Толщина металла, мм | Площадь сечения, мм2 | Количество проходов | Диаметр проволоки, мм | |||||
1,0 | 2,0 | 3,0 | 4,0 | 5,0 | 6,0 | |||||
Неполное штучное время на 1 м шва, мин. | ||||||||||
1 | У4 ![]() | 1,5 | 11,4 | 1 | 2,9 | 3,1 | 3,2 | - | - | - |
2 | 2,0 | 11,5 | 1 | 2,9 | 3,1 | 3,2 | - | - | - | |
3 | 2,5 | 11,6 | 1 | 3,1 | 3,4 | 3,5 | 3,9 | - | - | |
4 | 3,0 | 11,7 | 1 | 3,1 | 3,4 | 3,5 | 3,9 | - | - | |
5 | 4,0 | 18,0 | 1 | 3,4 | 3,5 | 3,7 | 4,2 | 4,4 | - | |
6 | 5,0 | 18,5 | 1 | 3,5 | 3,9 | 4,2 | 4,4 | 4,8 | 5,2 | |
7 | 6,0 | 29,6 | 1 | 3,5 | 3,9 | 4,2 | 4,4 | 4,8 | 5,2 | |
8 | 7,0 | 31,2 | 1 | 3,7 | 4,2 | 4,4 | 4,6 | 5,0 | 5,5 | |
9 | 8,0 | 32,6 | 1 | 3,7 | 4,2 | 4,4 | 4,6 | 5,0 | 5,5 | |
10 | 9,0 | 33,9 | 1 | 3,8 | 4,4 | 4,8 | 5,0 | 5,2 | 5,8 | |
11 | 10,0 | 35,1 | 1 | 3,8 | 4,4 | 4,8 | 5,0 | 5,2 | 5,8 | |
12 | 12,0 | 60,0 | 1 | 4,9 | 5,9 | 6,3 | 6,7 | 7,2 | 7,7 | |
13 | У5 ![]() | 1,5 | 8,3 | 1 | 2,9 | 3,1 | 3,2 | - | - | - |
14 | 2,0 | 8,4 | 1 | 2,9 | 3,1 | 3,2 | - | - | - | |
15 | 2,5 | 8,5 | 1 | 3,1 | 3,4 | 3,5 | 3,9 | - | - | |
16 | 3,0 | 8,6 | 1 | 3,1 | 3,4 | 3,5 | 3,9 | - | - | |
17 | 4,0 | 13,4 | 1 | 3,4 | 3,5 | 3,7 | 4,2 | 4,4 | - | |
18 | 5,0 | 13,9 | 1 | 3,5 | 3,9 | 4,2 | 4,4 | 4,8 | 5,2 | |
19 | У6 ![]() | 4,0 | 29,0 | 1 | 3,5 | 3,6 | 3,8 | 4,3 | 4,6 | - |
20 | 5,0 | 37,4 | 1 | 3,6 | 4,0 | 4,3 | 4,6 | 4,9 | 5,4 | |
21 | 6,0 | 46,0 | 1 | 3,6 | 4,0 | 4,3 | 4,6 | 4,9 | 5,4 | |
22 | 7,0 | 54,9 | 1 | 3,8 | 4,3 | 4,6 | 4,7 | 5,1 | 5,6 | |
23 | 8,0 | 63,9 | 1 | 3,8 | 4,3 | 4,6 | 4,7 | 5,1 | 5,6 | |
24 | 9,0 | 73,1 | 2 | 7,3 | 8,6 | 9,3 | 9,7 | 10,2 | 11,3 | |
25 | 10,0 | 82,5 | 2 | 7,3 | 8,6 | 9,3 | 9,7 | 10,2 | 11,3 | |
26 | 12,0 | 131,4 | 3 | 13,8 | 16,9 | 17,0 | 19,1 | 20,6 | 22,3 | |
27 | 14,0 | 180,0 | 4 | 18,2 | 22,2 | 23,6 | 25,3 | 27,2 | 29,5 | |
28 | 16,0 | 238,4 | 5 | 22,6 | 27,7 | 29,4 | 31,4 | 33,8 | 36,7 | |
29 | 18,0 | 304,2 | 6 | 37,6 | 40,5 | 44,0 | 48,2 | 53,5 | 60,3 | |
30 | 20,0 | 378,3 | 8 | 49,9 | 53,8 | 58,4 | 64,0 | 71,1 | 80,2 | |
31 | У7 ![]() | 4,0 | 29,3 | 1 | 3,5 | 3,6 | 3,8 | 4,3 | 4,6 | - |
32 | 5,0 | 42,1 | 1 | 3,6 | 4,0 | 4,3 | 4,6 | 4,9 | 5,4 | |
33 | 6,0 | 56,5 | 1 | 3,6 | 4,0 | 4,3 | 4,6 | 4,9 | 5,4 | |
34 | 7,0 | 72,5 | 2 | 7,1 | 8,0 | 8,6 | 8,9 | 9,7 | 10,7 | |
35 | 8,0 | 89,9 | 2 | 7,1 | 8,0 | 8,6 | 8,9 | 9,7 | 10,7 | |
36 | 9,0 | 108,8 | 2 | 7,3 | 8,6 | 9,3 | 9,7 | 10,2 | 11,3 | |
37 | 10,0 | 129,0 | 3 | 10,7 | 12,6 | 13,7 | 14,3 | 15,0 | 16,7 | |
38 | 12,0 | 173,2 | 4 | 18,2 | 22,2 | 23,6 | 25,3 | 27,2 | 29,5 | |
39 | 14,0 | 266,9 | 5 | 22,6 | 27,7 | 29,4 | 31,4 | 33,8 | 36,7 | |
40 | 16,0 | 364,4 | 7 | 31,4 | 38,5 | 40,9 | 43,8 | 47,1 | 51,2 | |
41 | 18,0 | 479,6 | 10 | 62,2 | 67,1 | 72,8 | 79,9 | 88,7 | 100,1 | |
42 | 20,0 | 613,1 | 12 | 74,5 | 80,3 | 87,3 | 95,7 | 106,3 | 120,0 | |
Индекс | а | б | в | г | д | е | ||||
Швы угловых соединений У4, У5, У6, У7, У9 | Автоматическая аргонодуговая сварка неплавящимся электродом алюминия и алюминиевых сплавов | |||||||||
Карта 45 | Лист 2 | |||||||||
Основной шов | ||||||||||
Номер позиции | Тип шва | Толщина металла, мм | Площадь сечения, мм2 | Количество проходов | Диаметр проволоки, мм | |||||
1,0 | 2,0 | 3,0 | 4,0 | 5,0 | 6,0 | |||||
Неполное штучное время на 1 м шва, мин. | ||||||||||
43 | У9 ![]() | 12,0 | 130,6 | 3 | 13,8 | 16,9 | 17,9 | 19,1 | 20,6 | 22,3 |
44 | 14,0 | 174,7 | 4 | 18,2 | 22,2 | 23,6 | 25,3 | 27,2 | 29,5 | |
45 | 16,0 | 224,8 | 5 | 22,6 | 27,7 | 29,4 | 31,4 | 33,8 | 36,7 | |
46 | 18,0 | 280,8 | 6 | 37,6 | 40,5 | 44,0 | 48,2 | 53,5 | 60,3 | |
47 | 20,0 | 342,6 | 7 | 43,8 | 47,1 | 51,2 | 56,1 | 62,3 | 70,3 | |
48 | 22,0 | 410,1 | 8 | - | 58,5 | 64,2 | 71,3 | 80,3 | 92,5 | |
49 | 24,0 | 483,3 | 10 | - | 73,0 | 80,0 | 88,9 | 100,2 | 115,4 | |
50 | 26,0 | 562,2 | 11 | - | 80,2 | 88,0 | 97,7 | 110,2 | 126,8 | |
51 | 28,0 | 646,6 | 13 | - | 94,6 | 103,8 | 115,3 | 130,1 | 149,7 | |
52 | 30,0 | 736,6 | 15 | - | 109,1 | 119,7 | 132,9 | 149,9 | 172,7 | |
Индекс | а | б | в | г | д | е | ||||
Н1, Н2, У4, У5, У7, Т1, Т3 | Автоматическая аргонодуговая сварка неплавящимся электродом алюминия и алюминиевых сплавов | |||||||||
Карта 46 | ||||||||||
Основной шов | ||||||||||
Номер позиции | Тип шва | Толщина металла, мм | Площадь сечения, мм2 | Количество проходов | Диаметр проволоки, мм | |||||
1,0 | 2,0 | 3,0 | 4,0 | 5,0 | 6,0 | |||||
Неполное штучное время на 1 м шва, мин. | ||||||||||
1 | Н1 ![]() | 1,0 | 1,8 | 1 | 3,3 | 3,3 | 3,4 | - | - | - |
2 | 1,5 | 3,4 | 1 | 3,3 | 3,3 | 3,4 | - | - | - | |
3 | Н2 ![]() | 2,0 | 5,3 | 1 | 3,3 | 3,3 | 3,4 | - | - | - |
4 | 2,5 | 7,4 | 1 | 3,4 | 3,5 | 3,6 | 3,7 | - | - | |
5 | 3,0 | 9,8 | 1 | 3,4 | 3,5 | 3,6 | 3,7 | - | - | |
6 | 4,0 | 15,2 | 1 | 3,6 | 3,7 | 3,8 | 3,9 | 4,0 | 4,2 | |
7 | У4 ![]() | 5,0 | 21,4 | 1 | 3,8 | 3,9 | 4,0 | 4,2 | 4,3 | 4,5 |
8 | 6,0 | 28,2 | 1 | - | 4,2 | 4,3 | 4,5 | 4,7 | 4,9 | |
9 | У5 ![]() | 7,0 | 35,6 | 1 | - | 4,5 | 4,7 | 4,9 | 5,1 | 5,4 |
10 | 8,0 | 43,6 | 1 | - | 4,5 | 4,7 | 4,9 | 5,1 | 5,4 | |
11 | 9,0 | 52,1 | 1 | - | - | 5,1 | 5,4 | 5,7 | 6,1 | |
12 | У7 ![]() | 10,0 | 61,1 | 1 | - | - | 5,1 | 5, | 5,7 | 6,1 |
13 | 12,0 | 97,0 | 2 | - | - | - | 11,8 | 12,6 | 13,5 | |
14 | 14,0 | 127,8 | 3 | - | - | - | 20,0 | 21,8 | 23,9 | |
15 | Т1 ![]() | 16,0 | 162,2 | 3 | - | - | - | 20,0 | 21,8 | 23,9 |
16 | 18,0 | 200,2 | 4 | - | - | - | 26,6 | 28,9 | 31,7 | |
17 | Т3 ![]() | 20,0 | 241,6 | 5 | - | - | - | 33,0 | 35,9 | 39,5 |
Индекс | а | б | в | г | д | е | ||||
С2, С7, С8, С17, С19, С21, С25 | Автоматическая аргонодуговая сварка плавящимся электродом легированных и высоколегированных сталей | |||||||||
Карта 47 | Лист 1 | |||||||||
Основной шов | ||||||||||
Номер позиции | Тип шва | Толщина металла, мм | Площадь сечения, мм2 | Количество проходов | Диаметр проволоки, мм | |||||
1,0 | 2,0 | 3,0 | 4,0 | 5,0 | 6,0 | |||||
Неполное штучное время на 1 м шла, мин. | ||||||||||
1 | С2 ![]() | 0,8 | 5,6 | 1 | 4,2 | 3,7 | 3,3 | - | - | - |
2 | 1,0 | 5,8 | 1 | 4,2 | 3,9 | 3,3 | - | - | - | |
3 | 1,5 | 6,1 | 1 | 4,7 | 3,9 | 3,4 | - | - | - | |
4 | 2,0 | 6,3 | 1 | 4,7 | 4,3 | 3,7 | - | - | - | |
5 | 2,5 | 10,3 | 1 | 4,7 | 4,3 | 3,7 | 3,0 | - | - | |
6 | 3,0 | 10,6 | 1 | 4,7 | 4,3 | 4,0 | 3,0 | - | - | |
7 | 4,0 | 11,0 | 1 | - | 4,3 | 4,0 | 3,1 | 2,8 | - | |
8 | 5,0 | 16,1 | 1 | - | - | 4,0 | 3,4 | 2,8 | 2,8 | |
9 | 6,0 | 16,6 | 1 | - | - | 4,0 | 3,4 | 3,0 | 2,8 | |
10 | С7 ![]() | 3,0 | 7,2 | 1 | 4,2 | 3,7 | 3,3 | 3,0 | - | - |
11 | 4,0 | 8,5 | 1 | - | 3,9 | 3,3 | 3,0 | 2,8 | - | |
12 | 5,0 | 9,5 | 1 | - | - | 3,4 | 3,1 | 2,8 | 2,8 | |
13 | 6,0 | 10,5 | 1 | - | - | 3,7 | 3,4 | 3,0 | 2,8 | |
14 | С8 ![]() | 3,0 | 11,1 | 1 | 4,2 | 3,8 | 3,3 | 2,9 | - | - |
15 | 4,0 | 16,8 | 1 | - | 4,0 | 3,3 | 3,0 | 2,7 | - | |
16 | 5,0 | 23,2 | 1 | - | - | 3,5 | 3,0 | 2,8 | 2,6 | |
17 | 6,0 | 30,2 | 1 | - | - | 3,8 | 3,1 | 2,8 | 2,7 | |
18 | 7,0 | 42,7 | 1 | - | - | - | 3,1 | 2,9 | 2,7 | |
19 | 8,0 | 53,2 | 1 | - | - | - | 3,2 | 2,9 | 2,8 | |
20 | 9,0 | 64,7 | 1 | - | - | - | 3,5 | 3,1 | 2,8 | |
21 | 10,0 | 77,0 | 2 | - | - | - | 5,3 | 5,0 | 4,8 | |
22 | С17 ![]() | 3,0 | 8,9 | 1 | 4,2 | 3,8 | 3,3 | 2,9 | - | - |
23 | 4,0 | 14,3 | 1 | 4,0 | 3,3 | 2,9 | 27 | - | ||
24 | 5,0 | 20,7 | 1 | - | - | 3,5 | 3,0 | 2,7 | 2,6 | |
25 | 6,0 | 27,9 | 1 | - | - | 3,8 | 3,0 | 2,8 | 2,6 | |
26 | 7,0 | 36,0 | 1 | - | - | - | 3,1 | 2,8 | 2,7 | |
27 | 8,0 | 44,9 | 1 | - | - | - | 3,1 | 2,9 | 2,7 | |
28 | 9,0 | 54,5 | 1 | - | - | - | 3,2 | 2,9 | 2,8 | |
29 | 10,0 | 64,8 | 1 | - | - | - | 3,5 | 3,1 | 2,8 | |
30 | С19 ![]() | 3,0 | 8,4 | 1 | 4,2 | 3,8 | 3,3 | 2,9 | - | - |
31 | 4,0 | 13,8 | 1 | - | 4,0 | 3,3 | 2,9 | 2,7 | - | |
32 | 5,0 | 20,4 | 1 | - | - | 3,5 | 3,0 | 2,7 | 2,6 | |
33 | 6,0 | 27,9 | 1 | - | - | 3,8 | 3,0 | 2,8 | 2,6 | |
34 | 7,0 | 36,5 | 1 | - | - | - | 3,1 | 2,8 | 2,7 | |
35 | 8,0 | 45,9 | 1 | - | - | - | 3,1 | 2,9 | 2,7 | |
36 | 9,0 | 56,3 | 1 | - | - | - | 3,2 | 2,9 | 2,8 | |
37 | 10,0 | 67,6 | 1 | - | - | - | 3 5 | 3,1 | 2,8 | |
38 | С21 ![]() | 3,0 | 8,4 | 1 | 4,2 | 3,8 | 3,3 | 2,9 | - | - |
39 | 4,0 | 13,8 | 1 | - | 40 | 3,3 | 2,9 | 2,7 | - | |
40 | 5,0 | 20,4 | 1 | - | - | 3,5 | 3,0 | 2,7 | 2,6 | |
41 | 6,0 | 27,9 | 1 | - | - | 3,8 | 3,0 | 2,8 | 2,6 | |
42 | 7,0 | 36,4 | 1 | - | - | - | 3,1 | 2,8 | 2,7 | |
43 | 8,0 | 45,9 | 1 | - | - | - | 3,1 | 2,9 | 2,7 | |
44 | 9,0 | 56,3 | 1 | - | - | - | 3,2 | 2,9 | 2,8 | |
45 | 10,0 | 67,5 | 1 | - | - | - | 3 5 | 3,1 | 2,8 | |
Индекс | а | б | в | г | д | е | ||||
Швы стыковых соединений С2, С7, С8, С17, С19, С21, С25 | Автоматическая аргонодуговая сварка плавящимся электродом легированных и высоколегированных сталей | |||||||||
Карта 47 | Лист 2 | |||||||||
Основной шов | ||||||||||
Номер позиции | Тип шва | Толщина металла, мм | Площадь сечения, мм2 | Количество проходов | Диаметр проволоки, мм | |||||
1,0 | 2,0 | 3,0 | 4,0 | 5,0 | 6,0 | |||||
Неполное штучное время на 1 м шва, мин. | ||||||||||
46 | С25 ![]() | 6,0 | 8,9 | 1 | - | - | 3,3 | 2,8 | 2,7 | 2,6 |
47 | 7,0 | 11,1 | 1 | - | - | - | 2,8 | 2,7 | 2,6 | |
48 | 8,0 | 13,4 | 1 | - | - | - | 2,8 | 2,7 | 2,6 | |
49 | 9,0 | 15,9 | 1 | - | - | - | 2,8 | 2,7 | 2,6 | |
50 | 10,0 | 18,5 | 1 | - | - | - | 2,8 | 2,7 | 2,6 | |
51 | 12,0 | 24,0 | 1 | - | - | - | 2,9 | 2,7 | 2,6 | |
52 | 14,0 | 29,9 | 1 | - | - | - | 2,9 | 2,7 | 2,6 | |
53 | 16,0 | 36,1 | 1 | - | - | - | 3,0 | 2,8 | 2,7 | |
54 | 18,0 | 42,7 | 1 | - | - | - | 3,0 | 2,8 | 2,7 | |
55 | 20,0 | 49,7 | 1 | - | - | - | 3,1 | 2,9 | 2,8 | |
Индекс | а | б | в | г | д | е | ||||
С21 | Автоматическая аргонодуговая сварка плавящимся электродом легированных и высоколегированных сталей | |||||||||
Карта 48 | ||||||||||
Шов с противоположной стороны | ||||||||||
Номер позиции | Тип шва | Толщина металла, мм | Площадь сечения, мм2 | Количество проходов | Диаметр проволоки, мм | |||||
1,0 | 2,0 | 3,0 | 4,0 | 5,0 | 6,0 | |||||
Неполное штучное время на 1 м шва, мин. | ||||||||||
1 | С21 ![]() | 3 - 4 | 3,4 | 1 | 4,2 | 3,9 | 3,6 | 3,3 | 3,1 | - |
2 | 5 - 10 | 9,0 | 1 | - | - | 3,3 | 3,0 | 2,8 | 2,7 | |
Индекс | а | б | в | г | д | е | ||||
Н1, Н2, У4, У5, Т1, Т3 | Автоматическая аргонодуговая сварка плавящимся электродом легированных и высоколегированных сталей | |||||||||
Карта 49 | ||||||||||
Основной шов | ||||||||||
Номер позиции | Тип шва | Катет шва, мм | Площадь сечения, мм2 | Количество проходов | Диаметр проволоки, мм | |||||
1,0 | 2,0 | 3,0 | 4,0 | 5,0 | 6,0 | |||||
Неполное штучное время на 1 м шва, мин. | ||||||||||
1 | Н1 ![]() | 1,0 | 1,4 | 1 | 3,3 | - | - | - | - | - |
2 | 1,5 | 2,7 | 1 | 3,3 | - | - | - | - | - | |
3 | Н2 ![]() | 2,0 | 4,2 | 1 | 3,3 | - | - | - | - | - |
4 | У4 ![]() | 2,5 | 5,9 | 1 | 3,4 | 3,5 | - | - | - | - |
5 | У5 ![]() | 3,0 | 7,8 | 1 | 3,4 | 3,5 | - | - | - | - |
6 | Т1 ![]() | 4,0 | 12,1 | 1 | 3,6 | 3,7 | 3,8 | 3,9 | - | - |
7 | 5,0 | 17,1 | 1 | 3,8 | 3,9 | 4,0 | 4,2 | 4,3 | 4,5 | |
8 | Т3 ![]() | 6,0 | 29,6 | 1 | - | 4,2 | 4,3 | 4,5 | 4,7 | 4,9 |
9 | 7,0 | 39,4 | 1 | - | 4,5 | 4,7 | 4,9 | 5,1 | 5,4 | |
10 | 8,0 | 50,5 | 1 | - | 4,9 | 5,1 | 5,4 | 5,7 | 6,1 | |
11 | 9,0 | 62,5 | 1 | - | - | 5,7 | 6,1 | 6,5 | 6,9 | |
12 | 10,0 | 76,3 | 2 | - | - | 12,5 | 13,4 | 14,6 | 16,0 | |
Индекс | а | б | в | г | д | е | ||||
С2, С3, С4, С5, С7, С8, С9, С10, С12, С15, С17, С18, С19, С21, С25 | Ручная аргонодуговая сварка неплавящимся электродом с присадкой алюминия и алюминиевых сплавов | |||||||||
Карта 50 | Лист 1 | |||||||||
Основной шов | ||||||||||
Номер позиции | Тип шва | Толщина металла, мм | Площадь сечения, мм2 | Количество проходов | Диаметр проволоки, мм | |||||
1,0 | 2,0 | 3,0 | 4,0 | 5,0 | 6,0 | |||||
Неполное штучное время на 1 м шва, мин. | ||||||||||
1 | С2 ![]() | 0,8 | 8,6 | 1 | 11,5 | 10,8 | 7,7 | - | - | - |
2 | 1,0 | 8,6 | 1 | 11,5 | 10,8 | 7,7 | - | - | - | |
3 | 1,5 | 10,7 | 1 | - | 12,5 | 8,6 | - | - | - | |
4 | 2,0 | 10,8 | 1 | - | 12,6 | 8,7 | - | - | - | |
5 | 2,5 | 10,9 | 1 | - | 11,4 | 7,7 | 5,6 | - | - | |
6 | 3,0 | 14,7 | 1 | - | 14,1 | 9,2 | 6,9 | - | - | |
7 | 4,0 | 15,2 | 1 | - | 15,0 | 10,0 | 7,3 | - | - | |
8 | С3 ![]() | 0,8 | 12,1 | 1 | 15,8 | 14,8 | 10,4 | - | - | - |
9 | 1,0 | 12,1 | 1 | 15,8 | 14,8 | 10,4 | - | - | - | |
10 | 1,5 | 19,1 | 1 | - | 21,5 | 14,7 | - | - | - | |
11 | 2,0 | 22,9 | 1 | - | 25,6 | 17,4 | - | - | - | |
12 | С4 ![]() | 0,8 | 8,9 | 1 | 11,9 | 11,2 | 7,9 | - | - | - |
13 | 1,0 | 8,9 | 1 | 11,9 | 11,2 | 7,9 | - | - | - | |
14 | 1,5 | 11,0 | 1 | 12,8 | 12,8 | 8,8 | - | - | - | |
15 | 2,0 | 11,1 | 1 | - | 12,9 | 8,9 | - | - | - | |
16 | 2,5 | 14,6 | 1 | - | 15,0 | 9,2 | 6,6 | - | - | |
17 | 3,0 | 15,3 | 1 | - | 15,0 | 9,7 | 7,3 | - | - | |
18 | 4,0 | 16,3 | 1 | - | 15,6 | 10,0 | 7,3 | - | - | |
19 | 5,0 | 17,1 | 1 | - | - | 10,4 | 7,5 | 6,4 | - | |
20 | С5 ![]() | 0,8 | 4,8 | 1 | 6,9 | 6,5 | 4,7 | - | - | - |
21 | 1,0 | 4,8 | 1 | 6,9 | 6,5 | 4,7 | - | - | - | |
22 | 1,5 | 6,0 | 1 | - | 7,4 | 5,3 | - | - | - | |
23 | 2,0 | 6,0 | 1 | - | 7,4 | 5,3 | - | - | - | |
24 | 2,5 | 11,3 | 1 | - | 11,8 | 7,9 | 5,8 | - | - | |
25 | 3,0 | 12,2 | 1 | - | 12,6 | 8,2 | 6,0 | - | - | |
26 | 4,0 | 13,7 | 1 | - | 12,8 | 8,4 | 6,2 | - | - | |
27 | 5,0 | 15,0 | 1 | - | - | 8,5 | 6,3 | 5,8 | - | |
28 | С7 ![]() | 2,0 | 7,1 | 1 | - | 8,2 | 5,5 | - | - | - |
29 | 2,5 | 7,6 | 1 | - | 8,6 | 5,6 | 4,0 | - | - | |
30 | 3,0 | 8,0 | 1 | - | 8,6 | 5,7 | 4,1 | - | - | |
31 | 4,0 | 8,8 | 1 | - | 8,7 | 5,9 | 4,2 | - | - | |
32 | 5,0 | 9,4 | 1 | - | - | 6,1 | 4,4 | 3,9 | - | |
33 | 6,0 | 10,0 | 1 | - | - | - | 4,4 | 4,0 | - | |
34 | С8 ![]() | 4,0 | 26,4 | 2 | - | 24,3 | 15,8 | 11,9 | - | - |
35 | 5,0 | 34,5 | 2 | - | - | 18,1 | 13,0 | 12,6 | - | |
36 | 6,0 | 42,9 | 2 | - | - | - | 14,8 | 14,3 | - | |
37 | 7,0 | 51,6 | 2 | - | - | - | 17,5 | 16,9 | - | |
38 | 8,0 | 60,6 | 3 | - | - | - | 19,6 | 19,0 | 13,5 | |
39 | 9,0 | 69,8 | 3 | - | - | - | 77,7 | 21,6 | 15,3 | |
40 | 10,0 | 79,2 | 3 | - | - | - | 24,9 | 24,2 | 17,0 | |
41 | 12,0 | 126,3 | 4 | - | - | - | 33,1 | 31,5 | 25,5 | |
42 | 14,0 | 176,4 | 5 | - | - | - | 45,6 | 43,4 | 35,1 | |
43 | 16,0 | 235,6 | 6 | - | - | - | 60,3 | 57,3 | 46,2 | |
44 | 18,0 | 304,1 | 8 | - | - | - | 77,8 | 74,0 | 59,7 | |
45 | 20,0 | 382,1 | 10 | - | - | - | 97,6 | 92,8 | 74,8 | |
Индекс | а | б | в | г | д | е | ||||
Швы стыковых соединений С2, С3, С4, С5, С7, С8, С9, С10, С12, С15, С17, С18, С19, С21, С25 | Ручная аргонодуговая сварка неплавящимся электродом с присадкой алюминия и алюминиевых сплавов | |||||||||
Карта 50 | Лист 2 | |||||||||
Основной шов | ||||||||||
Номер позиции | Тип шва | Толщина металла, мм | Площадь сечения, мм2 | Количество проходов | Диаметр проволоки, мм | |||||
1,0 | 2,0 | 3,0 | 4,0 | 5,0 | 6,0 | |||||
Неполное штучное время на 1 м шва, мин. | ||||||||||
46 | С9 ![]() | 4,0 | 26,4 | 2 | - | 24,3 | 15,8 | 11,9 | - | - |
47 | 5,0 | 34,5 | 2 | - | - | 18,1 | 13,0 | 12,6 | - | |
48 | 6,0 | 42,9 | 2 | - | - | - | 14,8 | 14,3 | - | |
49 | 7,0 | 51 6 | 2 | - | - | - | 17,5 | 16,9 | - | |
50 | 8,0 | 60,6 | 3 | - | - | - | 19,6 | 19,0 | 13,5 | |
51 | 9,0 | 69,8 | 3 | - | - | - | 22,2 | 21,6 | 15,3 | |
52 | 10,0 | 79,2 | 3 | - | - | - | 24,9 | 24,2 | 17,0 | |
53 | 12,0 | 153,7 | 4 | - | - | - | 34,8 | 33,1 | 26,8 | |
54 | 14,0 | 183,8 | 5 | - | - | - | 47,3 | 45,0 | 36,4 | |
55 | 16,0 | 242,1 | 7 | - | - | - | 62,4 | 59,4 | 48,0 | |
56 | 18,0 | 308,8 | 8 | - | - | - | 78,9 | 75,0 | 60,5 | |
57 | 20,0 | 383,9 | 10 | - | - | - | 98,0 | 93,2 | 75,1 | |
58 | С10 ![]() | 4,0 | 36,0 | 2 | - | 32,6 | 21,0 | 15,7 | - | - |
59 | 5,0 | 47,5 | 2 | - | - | 24,3 | 17,3 | 16,8 | - | |
60 | 6,0 | 59,7 | 3 | - | - | - | 20,5 | 19,9 | - | |
61 | 7,0 | 72,3 | 3 | - | - | - | 24,4 | 23,7 | - | |
62 | 8,0 | 85,4 | 4 | - | - | - | 27,3 | 26,5 | 18,8 | |
63 | 9,0 | 99,0 | 4 | - | - | - | 31,1 | 30,2 | 21,3 | |
64 | 10,0 | 112,9 | 4 | - | - | - | 35,1 | 34,1 | 23,9 | |
65 | 12,0 | 141,7 | 4 | - | - | - | 36,7 | 34,9 | 28,3 | |
66 | 14,0 | 171 | 5 | - | - | - | 44,5 | 42,3 | 34,2 | |
67 | 16,0 | 268,9 | 7 | - | - | - | 68,8 | 65,4 | 52,8 | |
68 | 18,0 | 332,8 | 9 | - | - | - | 85,2 | 81,1 | 65,4 | |
69 | 20,0 | 402,9 | 11 | - | - | - | 103,1 | 98,0 | 79,1 | |
70 | С12 ![]() | 4,0 | 23,5 | 2 | - | 21,9 | 14,3 | 10,8 | - | - |
71 | 5,0 | 31,5 | 2 | - | - | 16,6 | 12,0 | 11,6 | - | |
72 | 6,0 | 39,6 | 2 | - | - | - | 13,8 | 13,4 | - | |
73 | 7,0 | 48,3 | 2 | - | - | - | 16,5 | 16,0 | - | |
74 | 8,0 | 57,4 | 3 | - | - | - | 18,7 | 18,1 | 12,9 | |
75 | 9,0 | 66,8 | 3 | - | - | - | 21,3 | 20,7 | 14,7 | |
76 | 10,0 | 76,5 | 3 | - | - | - | 24,1 | 23,4 | 16,5 | |
77 | 12,0 | 117,9 | 3 | - | - | - | 30,5 | 29,0 | 23,4 | |
78 | 14,0 | 160,8 | 5 | - | - | - | 41,9 | 39,9 | 32,3 | |
79 | 16,0 | 210,5 | 6 | - | - | - | 54,3 | 51,7 | 41,7 | |
80 | 18,0 | 266 | 7 | - | - | - | 68,3 | 65,0 | 52,4 | |
81 | 20,0 | 329,9 | 9 | - | - | - | 84,5 | 80,4 | 64,9 | |
82 | С15 ![]() | 12,0 | 48,6 | 2 | - | - | - | 13,4 | 12,7 | 10,5 |
83 | 14,0 | 65,2 | 2 | - | - | - | 17,3 | 16,5 | 13,4 | |
84 | 16,0 | 84,0 | 3 | - | - | - | 22,4 | 21,3 | 17,4 | |
85 | 18,0 | 105,2 | 3 | - | - | - | 27,4 | 26,1 | 21,2 | |
86 | 20,0 | 125,5 | 4 | - | - | - | 33,6 | 32,0 | 25,9 | |
87 | 22,0 | 154,0 | 4 | - | - | - | 34,5 | 32,4 | 29,5 | |
88 | 24,0 | 181,8 | 5 | - | - | - | 40,8 | 38,3 | 34,8 | |
89 | 26,0 | 211,7 | 6 | - | - | - | 47,5 | 44,6 | 40,6 | |
90 | 28,0 | 243,7 | 7 | - | - | - | 54,6 | 51,3 | 46,6 | |
91 | 30,0 | 277,9 | 7 | - | - | - | 61,6 | 57,8 | 52,5 | |
92 | 32,0 | 314,2 | 8 | - | - | - | 69,7 | 65,4 | 59,5 | |
Индекс | а | б | в | г | д | е | ||||
Швы стыковых соединений С2, С3, С4, С5, С7, С8, С9, С10, С12, С15, С17, С18, С19, С21, С25 | Ручная аргонодуговая сварка неплавящимся электродом с присадкой алюминия и алюминиевых сплавов | |||||||||
Карта 50 | Лист 3 | |||||||||
Основной шов | ||||||||||
Номер позиции | Тип шва | Толщина металла, мм | Площадь сечения, мм2 | Количество проходов | Диаметр проволоки, мм | |||||
1,0 | 2,0 | 3,0 | 4,0 | 5,0 | 6,0 | |||||
Неполное штучное время на 1 м шва, мин. | ||||||||||
93 | С15 | 34,0 | 352,6 | 9 | - | - | - | 78,2 | 73,4 | 66,6 |
94 | 35,0 | 372,6 | 10 | - | - | - | 82,8 | 77,7 | 70,6 | |
95 | С17 ![]() | 4,0 | 23,2 | 1 | - | 21,0 | 13,5 | 10,1 | - | - |
96 | 5,0 | 29,7 | 2 | - | - | 15,8 | 11,5 | 11,1 | - | |
97 | 6,0 | 36,3 | 2 | - | - | - | 12,8 | 12,4 | - | |
98 | 7,0 | 43,1 | 2 | - | - | - | 14,9 | 14,4 | - | |
99 | 8,0 | 50,0 | 2 | - | - | - | 16,0 | 15,5 | 11,0 | |
100 | 9,0 | 68,6 | 3 | - | - | - | 21,9 | 21,2 | 15,0 | |
101 | 10,0 | 84,3 | 4 | - | - | - | 27,0 | 26,2 | 18,6 | |
102 | 12,0 | 120,5 | 4 | - | - | - | 31,7 | 30,2 | 24,5 | |
103 | 14,0 | 162,9 | 3 | - | - | - | 42,4 | 40,3 | 32,6 | |
104 | 16,0 | 211,5 | 6 | - | - | - | 54,5 | 51,9 | 41,9 | |
105 | 18,0 | 266,2 | 7 | - | - | - | 68,2 | 64,8 | 52,3 | |
106 | 20,0 | 327,1 | 9 | - | - | - | 83,9 | 79,8 | 64,4 | |
107 | С18 ![]() | 4,0 | 26,9 | 2 | - | 24,7 | 16,1 | 12,1 | - | - |
108 | 5,0 | 35,0 | 2 | - | - | 18,4 | 13,2 | 12,8 | - | |
109 | 6,0 | 43,6 | 2 | - | - | - | 15,0 | 14,6 | - | |
110 | 7,0 | 52,4 | 2 | - | - | - | 17,7 | 17,2 | - | |
111 | 8,0 | 61,4 | 3 | - | - | - | 19,8 | 19,2 | 13,7 | |
112 | 9,0 | 70,7 | 3 | - | - | - | 22,5 | 21,8 | 15,4 | |
113 | 10,0 | 80,1 | 3 | - | - | - | 25,2 | 24,4 | 17,2 | |
114 | 12,0 | 130,1 | 4 | - | - | - | 34,0 | 32,3 | 26,2 | |
115 | 14,0 | 173,1 | 5 | - | - | - | 44,8 | 42,6 | 34,5 | |
116 | 16,0 | 221,8 | 6 | - | - | - | 57,0 | 54,2 | 43,8 | |
117 | 18,0 | 275,9 | 7 | - | - | - | 70,5 | 67,0 | 54,0 | |
118 | 20,0 | 335,5 | 9 | - | - | - | 85,9 | 81,6 | 65,9 | |
119 | С19 ![]() | 5,0 | 34,3 | 2 | - | - | 18,0 | 13,0 | 12,6 | - |
120 | 6,0 | 43,4 | 2 | - | - | - | 15,0 | 14,5 | - | |
121 | 7,0 | 53,0 | 2 | - | - | - | 17,9 | 17,3 | - | |
122 | 8,0 | 63,0 | 3 | - | - | - | 20,3 | 19,7 | 14,0 | |
123 | 9,0 | 73,4 | 3 | - | - | - | 23,2 | 22,6 | 15,9 | |
124 | 10,0 | 84,1 | 4 | - | - | - | 26,9 | 26,1 | 18,5 | |
125 | 12,0 | 106,5 | 3 | - | - | - | 27,7 | 26,4 | 21,4 | |
126 | 14,0 | 166,3 | 5 | - | - | - | 43,2 | 41,1 | 33,3 | |
127 | 16,0 | 213,7 | 7 | - | - | - | 55,1 | 52,4 | 42,3 | |
128 | 18,0 | 266,7 | 7 | - | - | - | 68,3 | 64,9 | 52,4 | |
129 | 20,0 | 325,1 | 9 | - | - | - | 83,4 | 79,3 | 64,0 | |
130 | 22,0 | 388,9 | 10 | - | - | - | 86,0 | 80,7 | 73,3 | |
131 | 24,0 | 457,9 | 12 | - | - | - | 101,3 | 95,1 | 86,3 | |
132 | 26,0 | 532,3 | 14 | - | - | - | 117,7 | 110,4 | 100,3 | |
133 | 28,0 | 611,8 | 16 | - | - | - | 135,1 | 126,8 | 115,1 | |
134 | 30,0 | 696,5 | 18 | - | - | - | 153,6 | 144,1 | 130,8 | |
135 | С21 | 4,0 | 21,2 | 1 | - | 19,3 | 12,5 | 9,3 | - | - |
136 | 5,0 | 28,0 | 2 | - | - | 15,0 | 10,9 | 10,5 | - | |
137 | 6,0 | 35,1 | 2 | - | - | - | 12,4 | 12,0 | - | |
138 | 7,0 | 42,4 | 2 | - | - | - | 14,7 | 14,2 | - | |
Индекс | а | б | в | г | д | е | ||||
Швы стыковых соединений С2, С3, С4, С5, С7, С8, С9, С10, С12, С15, С17, С18, С19, С21, С25 | Ручная аргонодуговая сварка неплавящимся электродом с присадкой алюминия и алюминиевых сплавов | |||||||||
Карта 50 | Лист 4 | |||||||||
Основной шов | ||||||||||
Номер позиции | Тип шва | Толщина металла, мм | Площадь сечения, мм2 | Количество проходов | Диаметр проволоки, мм | |||||
1,0 | 2,0 | 3,0 | 4,0 | 5,0 | 6,0 | |||||
Неполное штучное время на 1 м шва, мин. | ||||||||||
139 | С21 ![]() | 8,0 | 50,1 | 2 | - | - | - | 16,0 | 15,5 | 11,0 |
140 | 9,0 | 58,0 | 3 | - | - | - | 18,8 | 18,3 | 13,0 | |
141 | 10,0 | 66,0 | 3 | - | - | - | 21,1 | 20,5 | 14,6 | |
142 | 12,0 | 111,1 | 3 | - | - | - | 28,9 | 27,5 | 22,2 | |
143 | 14,0 | 148,7 | 4 | - | - | - | 38,4 | 36,5 | 29,5 | |
144 | 16,0 | 191,2 | 5 | - | - | - | 49,1 | 46,7 | 37,7 | |
145 | 18,0 | 238,8 | 7 | - | - | - | 61,6 | 58,6 | 47,4 | |
146 | 20,0 | 291,3 | 8 | - | - | - | 74,7 | 71,1 | 57,4 | |
147 | С25 ![]() | 12,0 | 53,1 | 2 | - | - | - | 14,4 | 13,8 | 11,3 |
148 | 14,0 | 67,4 | 2 | - | - | - | 17,8 | 17,0 | 13,8 | |
149 | 16,0 | 82,8 | 3 | - | - | - | 22,1 | 21,1 | 17,2 | |
150 | 18,0 | 99,4 | 3 | - | - | - | 26,1 | 24,8 | 20,1 | |
151 | 20,0 | 117,0 | 3 | - | - | - | 30,2 | 28,8 | 23,3 | |
152 | 22,0 | 135,6 | 4 | - | - | - | 30,8 | 28,9 | 26,3 | |
153 | 24,0 | 155,1 | 4 | - | - | - | 34,8 | 32,6 | 29,7 | |
154 | 26,0 | 175,5 | 5 | - | - | - | 39,5 | 37,1 | 33,8 | |
155 | 28,0 | 196,8 | 5 | - | - | - | 43,9 | 41,2 | 37,4 | |
156 | 30,0 | 219,0 | 6 | - | - | - | 49,0 | 46,0 | 41,8 | |
Индекс | а | б | в | г | д | е | ||||
С12, С21 | Ручная аргонодуговая сварка неплавящимся электродом с присадкой алюминия и алюминиевых сплавов | |||||||||
Карта 51 | ||||||||||
Шов с противоположной стороны | ||||||||||
Номер позиции | Тип шва | Толщина металла, мм | Площадь сечения, мм2 | Количество проходов | Диаметр проволоки, мм | |||||
1,0 | 2,0 | 3,0 | 4,0 | 5,0 | 6,0 | |||||
Неполное штучное время на 1 м шва, мин. | ||||||||||
1 | С12 ![]() | 4 - 12 | 15,0 | 1 | - | 13,9 | 8,7 | 5,7 | 5,2 | 3,9 |
2 | 14 - 20 | 19,5 | 1 | - | - | - | 5,8 | 5,6 | 4,7 | |
3 | С21 ![]() | 4 - 10 | 15,0 | 1 | - | 13,9 | 8,7 | 6,2 | 5,5 | 3,9 |
4 | 12 - 20 | 21,0 | 1 | - | - | - | 6,2 | 5,9 | 4,9 | |
Индекс | а | б | в | г | д | е | ||||
У4, У5, У6, У7, У8, У9 | Ручная аргонодуговая сварка неплавящимся электродом с присадкой алюминия и алюминиевых сплавов | |||||||||
Карта 52 | Лист 1 | |||||||||
Основной шов | ||||||||||
Номер позиции | Тип шва | Толщина металла, мм | Площадь сечения, мм2 | Количество проходов | Диаметр проволоки, мм | |||||
1,0 | 2,0 | 3,0 | 4,0 | 5,0 | 6,0 | |||||
Неполное штучное время на 1 м шва, мин. | ||||||||||
1 | У4 ![]() | 1,5 | 9,8 | 1 | - | 11,7 | 8,2 | - | - | - |
2 | 2,0 | 10,0 | 1 | - | 11,8 | 8,3 | - | - | - | |
3 | 2,5 | 10,1 | 1 | - | 10,7 | 7,3 | 5,4 | - | - | |
4 | 3,0 | 10,1 | 1 | - | 10,8 | 7,4 | 5,5 | - | - | |
5 | 4,0 | 15,6 | 1 | - | 14,6 | 8,8 | 6,5 | - | - | |
6 | 5,0 | 16,1 | 1 | - | - | 9,5 | 7,2 | 6,3 | - | |
7 | 6,0 | 26,6 | 2 | - | - | - | 9,9 | 9,6 | - | |
8 | 7,0 | 28,1 | 2 | - | - | - | 10,4 | 10,1 | - | |
9 | 8,0 | 29,6 | 2 | - | - | - | 10,2 | 10,0 | 7,3 | |
10 | 9,0 | 30,9 | 2 | - | - | - | 10,6 | 10,3 | 7,5 | |
11 | 10,0 | 32,1 | 2 | - | - | - | 10,9 | 10,6 | 7,7 | |
12 | 12,0 | 45,0 | 2 | - | - | - | 12,6 | 12,0 | 9,9 | |
13 | У5 ![]() | 1,5 | 8,3 | 1 | - | 10,1 | 7,1 | - | - | - |
14 | 2,0 | 8,4 | 1 | - | 10,2 | 7,2 | - | - | - | |
15 | 2,5 | 8,5 | 1 | - | 9,3 | 6,4 | 4,8 | - | - | |
16 | 3,0 | 8,6 | 1 | - | 9,4 | 6,4 | 4,8 | - | - | |
17 | 4,0 | 13,4 | 1 | - | 12,6 | 7,8 | 5,7 | - | - | |
18 | 5,0 | 13,9 | 1 | - | - | 8,3 | 6,3 | 5,5 | - | |
19 | У6 ![]() | 4,0 | 91,7 | 4 | - | 82,1 | 52,6 | 32,9 | - | - |
20 | 5,0 | 97,4 | 4 | - | - | 49,8 | 34,7 | 31,4 | - | |
21 | 6,0 | 102,4 | 4 | - | - | - | 35,0 | 33,6 | - | |
22 | 7,0 | 106,7 | 4 | - | - | - | 35,5 | 34,0 | - | |
23 | 8,0 | 110,7 | 4 | - | - | - | 36,1 | 34,3 | 24,0 | |
24 | 9,0 | 114,3 | 5 | - | - | - | 36,7 | 34,9 | 25,4 | |
25 | 10,0 | 117,7 | 5 | - | - | - | 37,7 | 35,7 | 25,5 | |
26 | 12,0 | 123,5 | 4 | - | - | - | 39,1 | 36,6 | 26,0 | |
27 | 14,0 | 195,9 | 5 | - | - | - | 50,9 | 48,4 | 39,2 | |
28 | 16,0 | 227,5 | 6 | - | - | - | 59,1 | 56,2 | 45,5 | |
29 | 18,0 | 259,5 | 7 | - | - | - | 67,4 | 64,2 | 52,0 | |
30 | 20,0 | 291,9 | 8 | - | - | - | 75,9 | 72,2 | 58,5 | |
31 | У7 ![]() | 4,0 | 29,3 | 2 | - | 27,1 | 17,7 | 13,4 | - | - |
32 | 5,0 | 42,1 | 2 | - | - | 22,0 | 15,8 | 15,3 | - | |
33 | 6,0 | 56,5 | 3 | - | - | - | 20,0 | 19,4 | - | |
34 | 7,0 | 72,5 | 3 | - | - | - | 24,9 | 24,1 | - | |
35 | 8,0 | 89,9 | 4 | - | - | - | 29,1 | 28,2 | 20,1 | |
36 | 9,0 | 108,8 | 4 | - | - | - | 34,5 | 33,5 | 23,6 | |
37 | 10,0 | 129,0 | 5 | - | - | - | 40,9 | 39,7 | 28,1 | |
38 | 12,0 | 173,2 | 5 | - | - | - | 45,5 | 43,3 | 35,1 | |
39 | 14,0 | 266,9 | 7 | - | - | - | 69,2 | 65,8 | 53,3 | |
40 | 16,0 | 364,4 | 10 | - | - | - | 94,5 | 90,0 | 72,8 | |
41 | 18,0 | 479,6 | 13 | - | - | - | 124,1 | 118,1 | 95,5 | |
42 | 20,0 | 613,1 | 16 | - | - | - | 158,1 | 150,4 | 121,5 | |
Индекс | а | б | в | г | д | е | ||||
Швы угловых соединений У8 | Ручная аргонодуговая сварка неплавящимся электродом с присадкой алюминия и алюминиевых сплавов | |||||||||
Карта 52 | Лист 2 | |||||||||
Основной шов | ||||||||||
Номер позиции | Тип шва | Толщина металла, мм | Площадь сечения, мм2 | Количество проходов | Диаметр проволоки, мм | |||||
1,0 | 2,0 | 3,0 | 4,0 | 5,0 | 6,0 | |||||
Неполное штучное время на 1 м шва, мин. | ||||||||||
43 | У8 ![]() | 12,0 | 54,8 | 2 | - | - | - | 15,1 | 14,4 | 11,9 |
44 | 14,0 | 72,5 | 2 | - | - | - | 19,3 | 18,4 | 15,0 | |
45 | 16,0 | 92,3 | 3 | - | - | - | 24,8 | 23,6 | 19,3 | |
46 | 18,0 | 114,2 | 3 | - | - | - | 30,0 | 28,5 | 23,2 | |
47 | 20,0 | 138,1 | 4 | - | - | - | 36,4 | 34,7 | 28,2 | |
48 | 22,0 | 164,1 | 5 | - | - | - | 37,8 | 35,6 | 32,5 | |
49 | 24,0 | 192,1 | 5 | - | - | - | 43,6 | 40,9 | 37,3 | |
50 | 26,0 | 222,0 | 6 | - | - | - | 50,4 | 47,3 | 43,1 | |
51 | 28,0 | 253,8 | 7 | - | - | - | 57,6 | 54,1 | 49,3 | |
52 | 30,0 | 287,6 | 8 | - | - | - | 65,2 | 61,3 | 55,8 | |
53 | 32,0 | 323,2 | 9 | - | - | - | 73,3 | 68,9 | 62,7 | |
54 | 34,0 | 360,6 | 10 | - | - | - | 81,6 | 76,7 | 69,8 | |
55 | 35,0 | 380,0 | 10 | - | - | - | 85,6 | 80,4 | 73,2 | |
56 | У9 ![]() | 12,0 | 130,6 | 4 | - | - | - | 34,6 | 33,0 | 26,8 |
57 | 14,0 | 174,7 | 5 | - | - | - | 45,8 | 43,6 | 35,4 | |
58 | 16,0 | 224,8 | 6 | - | - | - | 58,5 | 55,6 | 45,1 | |
59 | 18,0 | 280,8 | 8 | - | - | - | 73,2 | 69,7 | 56,5 | |
60 | 20,0 | 342,6 | 9 | - | - | - | 88,7 | 84,4 | 68,2 | |
61 | 22,0 | 410,1 | 11 | - | - | - | 92,3 | 86,7 | 78,9 | |
62 | 24,0 | 483,3 | 13 | - | - | - | 108,7 | 102,1 | 92,9 | |
63 | 26,0 | 562,2 | 15 | - | - | - | 126,2 | 118,5 | 107,8 | |
64 | 28,0 | 646,6 | 17 | - | - | - | 144,9 | 136,1 | 123,7 | |
65 | 30,0 | 736,6 | 19 | - | - | - | 164,7 | 154,6 | 140,6 | |
Индекс | а | б | в | г | д | е | ||||
У4, У5, У6, У7, У8, У9 | Ручная аргонодуговая сварка неплавящимся электродом с присадкой алюминия и алюминиевых сплавов | |||||||||
Карта 53 | ||||||||||
Шов с противоположной стороны | ||||||||||
Номер позиции | Тип шва | Толщина металла, мм | Площадь сечения, мм2 | Количество проходов | Диаметр проволоки, мм | |||||
1,0 | 2,0 | 3,0 | 4,0 | 5,0 | 6,0 | |||||
Неполное штучное время на 1 м шва, мин. | ||||||||||
1 | У8 ![]() | 12,0 | 86,9 | 3 | - | - | - | 23,5 | 22,4 | 18,3 |
2 | 14,0 | 106,1 | 3 | - | - | - | 28,0 | 26,7 | 21,7 | |
3 | 16,0 | 126,0 | 4 | - | - | - | 33,8 | 31,9 | 26,0 | |
4 | 18,0 | 146,8 | 4 | - | - | - | 38,5 | 36,6 | 29,7 | |
5 | 20,0 | 168,2 | 5 | - | - | - | 43,2 | 40,6 | 34,2 | |
6 | 22,0 | 190,2 | 5 | - | - | - | 44,3 | 42,2 | 36,9 | |
7 | 24,0 | 212,9 | 6 | - | - | - | 48,5 | 45,6 | 41,5 | |
8 | 26,0 | 356,9 | 9 | - | - | - | 80,0 | 75,2 | 68,4 | |
9 | 28,0 | 395,1 | 10 | - | - | - | 88,5 | 83,2 | 75,6 | |
10 | 30,0 | 434,3 | 11 | - | - | - | 97,3 | 91,3 | 83,1 | |
11 | 32,0 | 474,5 | 12 | - | - | - | 106,3 | 99,8 | 90,8 | |
12 | 34,0 | 515,6 | 13 | - | - | - | 115,4 | 108,4 | 98,5 | |
13 | 35,0 | 536,5 | 14 | - | - | - | 120,4 | 113,1 | 102,8 | |
Индекс | а | б | в | г | д | е | ||||
Т6, Т7, Т8 | Ручная аргонодуговая сварка неплавящимся электродом с присадкой алюминия и алюминиевых сплавов | |||||||||
Карта 54 | ||||||||||
Основной шов | ||||||||||
Номер позиции | Тип шва | Толщина металла, мм | Площадь сечения, мм2 | Количество проходов | Диаметр проволоки, мм | |||||
1,0 | 2,0 | 3,0 | 4,0 | 5,0 | 6,0 | |||||
Неполное штучное время на 1 м шва, мин. | ||||||||||
1 | Т6 ![]() | 4,0 | 41,1 | 2 | - | 37,0 | 23,8 | 17,8 | - | - |
2 | 5,0 | 48,9 | 2 | - | - | 25,1 | 17,9 | 17,3 | - | |
3 | 6,0 | 56,3 | 3 | - | - | - | 19,6 | 19,0 | - | |
4 | 7,0 | 63,5 | 3 | - | - | - | 21,8 | 21,1 | - | |
5 | 8,0 | 75,2 | 3 | - | - | - | 23,8 | 23,2 | 16,4 | |
6 | 9,0 | 91,9 | 4 | - | - | - | 29,2 | 28,4 | 20,1 | |
7 | 10,0 | 109,9 | 4 | - | - | - | 34,4 | 33,4 | 23,4 | |
8 | 12,0 | 149,9 | 4 | - | - | - | 38,8 | 36,9 | 29,8 | |
9 | 14,0 | 194,9 | 5 | - | - | - | 50,1 | 47,6 | 38,5 | |
10 | 16,0 | 244,6 | 7 | - | - | - | 63,1 | 60,0 | 48,5 | |
11 | 18,0 | 298,8 | 8 | - | - | - | 76,6 | 72,9 | 58,8 | |
12 | 20,0 | 357,5 | 9 | - | - | - | 91,2 | 86,7 | 69,9 | |
13 | Т7 ![]() | 4,0 | 52,4 | 2 | - | 47,0 | 30,1 | 22,4 | - | - |
14 | 5,0 | 62,2 | 3 | - | - | 32,2 | 23,1 | 22,3 | - | |
15 | 6,0 | 71,5 | 3 | - | - | - | 24,5 | 23,7 | - | |
16 | 7,0 | 80,5 | 3 | - | - | - | 27,2 | 26,4 | - | |
17 | 8,0 | 93,7 | 4 | - | - | - | 30,0 | 29,1 | 20,7 | |
18 | 9,0 | 112,6 | 4 | - | - | - | 35,4 | 34,4 | 24,2 | |
19 | 10,0 | 132,7 | 5 | - | - | - | 41,8 | 40,6 | 28,6 | |
20 | 12,0 | 176,3 | 5 | - | - | - | 46,0 | 43,8 | 35,5 | |
21 | 14,0 | 224,1 | 6 | - | - | - | 58,1 | 55,3 | 44,7 | |
22 | 16,0 | 276,0 | 7 | - | - | - | 71,1 | 67,6 | 54,6 | |
23 | 18,0 | 331,6 | 9 | - | - | - | 85,6 | 81,5 | 65,9 | |
24 | 20,0 | 390,7 | 10 | - | - | - | 100,4 | 95,5 | 77,1 | |
25 | Т8 ![]() | 12,0 | 81,5 | 3 | - | - | - | 22,1 | 21,1 | 17,3 |
26 | 14,0 | 100,9 | 3 | - | - | - | 26,7 | 25,5 | 20,7 | |
27 | 16,0 | 121,3 | 4 | - | - | - | 32,3 | 30,7 | 25,0 | |
28 | 18,0 | 142,7 | 4 | - | - | - | 37,4 | 35,6 | 28,9 | |
29 | 20,0 | 165,0 | 5 | - | - | - | 43,3 | 41,3 | 33,5 | |
30 | 22,0 | 188,2 | 5 | - | - | - | 42,6 | 40,0 | 36,4 | |
31 | 24,0 | 212,1 | 6 | - | - | - | 48,1 | 45,2 | 41,2 | |
32 | 26,0 | 236,9 | 6 | - | - | - | 53,2 | 50,0 | 45,5 | |
33 | 28,0 | 262,4 | 7 | - | - | - | 59,1 | 55,5 | 50,5 | |
34 | 30,0 | 288,6 | 8 | - | - | - | 65,1 | 61,1 | 55,6 | |
35 | 32,0 | 315,5 | 8 | - | - | - | 70,7 | 66,4 | 60,4 | |
36 | 34,0 | 343,0 | 9 | - | - | - | 77,0 | 72,3 | 65,7 | |
37 | 35,0 | 357,0 | 9 | - | - | - | 79,8 | 75,0 | 68,2 | |
Индекс | а | б | в | г | д | е | ||||
Н1, Н2, У4, У5, У7, Т1, Т3 | Ручная аргонодуговая сварка неплавящимся электродом с присадкой алюминия и алюминиевых сплавов | |||||||||
Карта 55 | ||||||||||
Основной шов | ||||||||||
Номер позиции | Тип шва | Катет шва, мм | Площадь сечения, мм2 | Количество проходов | Диаметр проволоки, мм | |||||
1,0 | 2,0 | 3,0 | 4,0 | 5,0 | 6,0 | |||||
Неполное штучное время на 1 м шва, мин. | ||||||||||
1 | Н1 ![]() | 2,0 | 4,5 | 1 | - | 5,9 | 4,3 | - | - | - |
2 | 2,5 | 6,6 | 1 | - | 7,4 | 5,1 | 3,9 | - | - | |
3 | Н2 ![]() | 3,0 | 9,1 | 1 | - | 9,7 | 6,6 | 4,9 | - | - |
4 | 4,0 | 14,8 | 1 | - | 13,7 | 8,9 | 6,8 | - | - | |
5 | У4 ![]() | 5,0 | 21,6 | 1 | - | - | 11,3 | 8,1 | 7,9 | - |
6 | 6,0 | 29,4 | 2 | - | - | - | 10,6 | 10,3 | - | |
7 | 7,0 | 38,1 | 2 | - | - | - | 13,3 | 12,9 | - | |
8 | У5 ![]() | 8,0 | 47,8 | 2 | - | - | - | 15,3 | 14,8 | 10,5 |
9 | 9,0 | 58,4 | 3 | - | - | - | 18,8 | 18,3 | 13,0 | |
10 | 10,0 | 69,8 | 3 | - | - | - | 22,1 | 21,5 | 15,1 | |
11 | У7 ![]() | 12,0 | 95,0 | 3 | - | - | - | 24,9 | 23,7 | 19,2 |
12 | 14,0 | 123,3 | 4 | - | - | - | 32,2 | 30,7 | 24,9 | |
13 | 16,0 | 154,6 | 4 | - | - | - | 39,7 | 37,7 | 30,5 | |
14 | Т1 ![]() | 18,0 | 188,7 | 5 | - | - | - | 48,4 | 46,0 | 37,1 |
15 | 20,0 | 225,5 | 6 | - | - | - | 57,7 | 54,9 | 44,3 | |
16 | 22,0 | 287,6 | 8 | - | - | - | 63,9 | 60,0 | 54,5 | |
17 | Т3 ![]() | 24,0 | 337,9 | 9 | - | - | - | 74,8 | 70,2 | 63,7 |
18 | 26,0 | 391,8 | 10 | - | - | - | 86,4 | 81,0 | 73,6 | |
Индекс | а | б | в | г | д | е | ||||
С2, С4, С5, С7, С8, С9, С17, С25 | Ручная аргонодуговая сварка неплавящимся электродом с присадкой труб из меди и медно-никелевых сплавов | |||||||||
Карта 56 | Лист 1 | |||||||||
Основной шов | ||||||||||
Номер позиции | Тип шва | Толщина металла, мм | Площадь сечения, мм2 | Количество проходов | Диаметр проволоки, мм | |||||
1,0 | 2,0 | 3,0 | 4,0 | 5,0 | 6,0 | |||||
Неполное штучное время на 1 м шва, мин. | ||||||||||
1 | С2 ![]() | 1,0 | 7,6 | 1 | 21,0 | 16,7 | 13,3 | 11,1 | - | - |
2 | 1,5 | 7,9 | 1 | 18,6 | 13,7 | 11,4 | 9,8 | - | - | |
3 | 2,0 | 8,1 | 1 | 19,0 | 14,1 | 11,7 | 10,1 | - | - | |
4 | 2,5 | 13,2 | 1 | 28,0 | 18,2 | 15,6 | 13,7 | 12,2 | - | |
5 | 3,0 | 13,6 | 1 | 29,0 | 18,8 | 16,1 | 14,1 | 12,6 | - | |
6 | 4,0 | 14,4 | 1 | - | 17,0 | 14,9 | 13,3 | 12,0 | 11,0 | |
7 | 5,0 | 21,0 | 1 | - | 21,2 | 18,8 | 17,0 | 15,5 | 14,2 | |
8 | 6,0 | 22,0 | 2 | - | 20,3 | 18,4 | 16,8 | 15,5 | 14,4 | |
9 | С4 ![]() | 1,0 | 5,2 | 1 | 12,8 | 9,6 | 8,1 | 7,0 | - | - |
10 | 1,5 | 5,3 | 1 | 13,0 | 9,7 | 8,1 | 7,1 | - | - | |
11 | 2,0 | 5,4 | 1 | 14,7 | 11,8 | 9,4 | 7,9 | - | - | |
12 | 2,5 | 8,8 | 1 | 19,1 | 12,6 | 10,8 | 9,5 | 8,5 | - | |
13 | 3,0 | 9,1 | 1 | 19,7 | 12,9 | 11,1 | 9,8 | 8,8 | - | |
14 | 4,0 | 9,5 | 1 | - | 11,6 | 10,3 | 9,2 | 8,3 | 7,7 | |
15 | 5,0 | 13,1 | 1 | - | 13,6 | 12,2 | 11,0 | 10,1 | 9,3 | |
16 | 6,0 | 13,6 | 1 | - | 12,6 | 11,4 | 10,4 | 9,6 | 8,9 | |
17 | С5 ![]() | 1,0 | 3,7 | 1 | 9,5 | 7,2 | 6,1 | 5,3 | - | - |
18 | 1,5 | 3,8 | 1 | 9,7 | 7,3 | 6,2 | 5,4 | - | - | |
19 | 2,0 | 3,9 | 1 | 10,8 | 8,7 | 7,8 | 5,9 | - | - | |
20 | 2,5 | 7,3 | 1 | 16,0 | 10,6 | 9,2 | 8,1 | 7,3 | - | |
21 | 3,0 | 7,6 | 1 | 16,6 | 11,0 | 9,5 | 8,3 | 7,5 | - | |
22 | 4,0 | 8,0 | 1 | - | 10,0 | 8,8 | 7,9 | 7,2 | 6,6 | |
23 | 5,0 | 11,5 | 1 | - | 12,2 | 10,9 | 9,9 | 9,0 | 8,4 | |
24 | 6,0 | 12,1 | 1 | - | 11,3 | 10,2 | 9,4 | 8,7 | 8,1 | |
25 | С7 ![]() | 3,0 | 5,6 | 1 | 12,5 | 8,4 | 7,3 | 6,4 | 5,8 | - |
26 | 4,0 | 6,7 | 1 | - | 8,5 | 7,5 | 6,8 | 6,2 | 5,7 | |
27 | 5,0 | 7,7 | 1 | - | 8,5 | 7,6 | 7,0 | 6,4 | 6,0 | |
28 | 6,0 | 8,6 | 1 | - | 8,4 | 7,7 | 7,0 | 6,5 | 6,1 | |
29 | С8 ![]() | 3,0 | 9,2 | 1 | 20,0 | 13,1 | 11,3 | 10,0 | 8,9 | - |
30 | 4,0 | 15,1 | 1 | - | 17,9 | 15,7 | 14,0 | 12,6 | 11,6 | |
31 | 5,0 | 22,3 | 2 | - | 23,1 | 20,7 | 18,7 | 17,1 | 15,8 | |
32 | 6,0 | 30,5 | 2 | - | 27,6 | 24,9 | 22,7 | 20,9 | 19,4 | |
33 | 7,0 | 39,9 | 2 | - | - | 29,1 | 26,8 | 24,8 | 23,1 | |
34 | 8,0 | 50,3 | 3 | - | - | 36,9 | 33,9 | 31,4 | 29,3 | |
35 | 9,0 | 61,6 | 3 | - | - | 40,9 | 37,9 | 35,3 | 33,0 | |
36 | 10,0 | 74,0 | 4 | - | - | 49,3 | 42,5 | 39,8 | ||
37 | С9 ![]() | 3,0 | 11,7 | 1 | 25,1 | 16,4 | 14,1 | 12,4 | 11,1 | - |
38 | 4,0 | 18,0 | 1 | - | 21,1 | 18,4 | 16,4 | 14,8 | 13,5 | |
39 | 5,0 | 25,2 | 2 | - | 25,9 | 23,1 | 20,9 | 19,1 | 17,6 | |
40 | 6,0 | 33,1 | 2 | - | 29,7 | 26,8 | 25,5 | 22,5 | 20,9 | |
41 | 7,0 | 41,7 | 2 | - | - | 30,3 | 27,9 | 25,8 | 24,0 | |
42 | 8,0 | 50,9 | 3 | - | - | 37,3 | 34,3 | 31,8 | 29,6 | |
43 | 9,0 | 60,7 | 3 | - | - | 40,4 | 37,4 | 34,8 | 32,6 | |
44 | 10,0 | 76,3 | 4 | - | - | 50,7 | 46,9 | 43,7 | 40,9 | |
Индекс | а | б | в | г | д | е | ||||
Швы стыковых соединений С2, С4, С5, С7, С8, С9, С17, С25 | Ручная аргонодуговая сварка неплавящимся электродом с присадкой труб из меди и медно-никелевых сплавов | |||||||||
Карта 56 | Лист 2 | |||||||||
Основной шов | ||||||||||
Номер позиции | Тип шва | Толщина металла, мм | Площадь сечения, мм2 | Количество проходов | Диаметр проволоки, мм | |||||
1,0 | 2,0 | 3,0 | 4,0 | 5,0 | 6,0 | |||||
Неполное штучное время на 1 м шва, мин. | ||||||||||
45 | С17 ![]() | 3,0 | 10,5 | 1 | 22,7 | 14,9 | 12,8 | 11,2 | 10,1 | - |
46 | 4,0 | 16,0 | 1 | - | 18,9 | 16,5 | 14,7 | 13,3 | 12,2 | |
47 | 5,0 | 20,2 | 2 | - | 23,1 | 20,6 | 18,7 | 17,1 | 15,8 | |
48 | 6,0 | 29,0 | 2 | - | 26,3 | 23,0 | 21,7 | 20,0 | 18,5 | |
49 | 7,0 | 36,4 | 2 | - | - | 26,7 | 24,6 | 22,8 | 21,3 | |
50 | 8,0 | 44,2 | 2 | - | - | 32,1 | 29,5 | 27,3 | 25,4 | |
51 | С25 ![]() | 6,0 | 10,7 | 1 | - | 10,3 | 9,4 | 8,6 | 7,9 | 7,4 |
52 | 7,0 | 13,7 | 1 | - | - | 10,6 | 9,8 | 9,2 | 8,6 | |
53 | 8,0 | 16,8 | 1 | - | - | 12,8 | 11,8 | 11,0 | 10,2 | |
54 | 9,0 | 20,2 | 1 | - | - | 13,9 | 12,9 | 12,0 | 10,3 | |
55 | 10,0 | 23,9 | 2 | - | - | 16,8 | 15,7 | 14,6 | 13,8 | |
56 | 12,0 | 31,7 | 2 | - | - | 20,1 | 18,8 | 17,6 | 16,6 | |
57 | 14,0 | 40,3 | 2 | - | - | 25,0 | 23,3 | 21,9 | 20,6 | |
58 | 16,0 | 49,7 | 2 | - | - | 30,4 | 28,3 | 26,4 | 24,9 | |
59 | 18,0 | 59,7 | 2 | - | - | 36,0 | 33,5 | 31,4 | 29,5 | |
60 | 20,0 | 70,3 | 3 | - | - | 42,8 | 39,8 | 37,3 | 35,1 | |
Индекс | а | б | в | г | д | е | ||||
У4, У6, У9 | Ручная аргонодуговая сварка неплавящимся электродом с присадкой труб из меди и медно-никелевых сплавов | |||||||||
Карта 57 | ||||||||||
Основной шов | ||||||||||
Номер позиции | Тип шва | Толщина металла, мм | Площадь сечения, мм2 | Количество проходов | Диаметр проволоки, мм | |||||
1,0 | 2,0 | 3,0 | 4,0 | 5,0 | 6,0 | |||||
Неполное штучное время на 1 м шва, мин. | ||||||||||
1 | У4 ![]() | 1,0 | 2,1 | 1 | 6,8 | 5,6 | 4,7 | 4,1 | - | - |
2 | 1,5 | 2,2 | 1 | 6,4 | 5,0 | 4,3 | 3,9 | - | - | |
3 | 2,0 | 2,4 | 1 | 6,6 | 5,2 | 4,5 | 4,0 | - | - | |
4 | 2,5 | 4,5 | 1 | 10,6 | 7,2 | 6,3 | 5,6 | 5,1 | - | |
5 | 3,0 | 4,8 | 1 | 11,3 | 7,7 | 6,7 | 6,0 | 5,4 | - | |
6 | 4,0 | 5,4 | 1 | - | 7,4 | 6,6 | 6,0 | 5,5 | 5,1 | |
7 | У6 ![]() | 3,0 | 9,0 | 1 | 19,9 | 13,2 | 11,4 | 10,0 | 9,0 | - |
8 | 4,0 | 14,8 | 1 | - | 17,8 | 15,6 | 13,9 | 12,6 | 11,6 | |
9 | 5,0 | 21,7 | 2 | - | 23,0 | 20,5 | 18,6 | 17,1 | 15,8 | |
10 | 6,0 | 29,7 | 2 | - | 27,2 | 24,6 | 22,5 | 20,7 | 19,2 | |
11 | 7,0 | 38,6 | 2 | - | - | 28,6 | 26,3 | 24,4 | 22,8 | |
12 | 8,0 | 48,6 | 3 | - | - | 36,2 | 33,3 | 30,9 | 28,9 | |
13 | 9,0 | 59,5 | 3 | - | - | 40,1 | 37,1 | 34,6 | 32,4 | |
14 | 10,0 | 71,3 | 4 | - | - | 48,2 | 44,6 | 41,6 | 39,0 | |
15 | У9 ![]() | 3,0 | 10,1 | 1 | 22,1 | 14,6 | 12,6 | 11,1 | 10,0 | - |
16 | 4,0 | 16,3 | 1 | - | 19,4 | 17,0 | 15,2 | 13,7 | 12,6 | |
17 | 5,0 | 23,5 | 2 | - | 24,7 | 22,0 | 20,0 | 18,3 | 16,9 | |
18 | 6,0 | 31,7 | 2 | - | 28,9 | 26,1 | 23,9 | 22,0 | 20,4 | |
19 | 7,0 | 40,9 | 2 | - | - | 30,1 | 27,7 | 25,7 | 24,0 | |
20 | 8,0 | 50,9 | 3 | - | - | 37,8 | 34,8 | 32,2 | 30,1 | |
21 | 9,0 | 1,9 | 3 | - | - | 41,5 | 38,5 | 35,8 | 33,6 | |
22 | 10,0 | 73,6 | 4 | - | - | 49,6 | 45,9 | 42,8 | 40,1 | |
23 | 12,0 | 99,3 | 3 | - | - | 59,8 | 55,6 | 52,0 | 48,8 | |
24 | 14,0 | 128,0 | 4 | - | - | 76,9 | 71,5 | 66,9 | 62,8 | |
25 | 16,0 | 159,4 | 5 | - | - | 95,7 | 88,9 | 83,1 | 78,1 | |
26 | 18,0 | 193,5 | 6 | - | - | 115,9 | 107,7 | 100,7 | 94,6 | |
27 | 20,0 | 247,9 | 8 | - | - | 148,5 | 138,0 | 129,0 | 121,1 | |
Индекс | а | б | в | г | д | е | ||||
Н1, Н3, Н4, У7, У23 | Ручная аргонодуговая сварка неплавящимся электродом с присадкой труб из меди и медно-никелевых сплавов | |||||||||
Карта 58 | ||||||||||
Основной шов | ||||||||||
Номер позиции | Тип шва | Катет шва, мм | Площадь сечения, мм2 | Количество проходов | Диаметр проволоки, мм | |||||
1,0 | 2,0 | 3,0 | 4,0 | 5,0 | 6,0 | |||||
Неполное штучное время на 1 м шва, мин. | ||||||||||
1 | Н1 ![]() | 2,0 | 4,5 | 1 | 11,2 | 8,4 | 7,1 | 6,2 | - | - |
2 | 2,5 | 6,6 | 1 | 14,8 | 9,8 | 8,5 | 7,5 | 6,8 | - | |
3 | 3,0 | 9,1 | 1 | 19,7 | 13,0 | 11,2 | 9,8 | 8,8 | - | |
4 | Н3 ![]() | 4,0 | 14,8 | 1 | - | 17,5 | 15,3 | 13,7 | 12,3 | 11,3 |
5 | 5,0 | 21,6 | 2 | - | 22,4 | 20,0 | 18,1 | 16,6 | 15,3 | |
6 | 6,0 | 29,4 | 2 | - | 26,6 | 24,0 | 21,9 | 20,1 | 18,7 | |
7 | Н4 ![]() | 7,0 | 38,1 | 2 | - | - | 27,8 | 25,6 | 23,7 | 22,1 |
8 | 8,0 | 47,8 | 3 | - | - | 35,1 | 32,3 | 29,9 | 27,9 | |
9 | 9,0 | 58,4 | 3 | - | - | 38,8 | 35,9 | 33,4 | 31,3 | |
10 | У7 ![]() | 10,0 | 69,8 | 3 | - | - | 45,9 | 42,4 | 39,5 | 36,9 |
11 | 12,0 | 95,0 | 3 | - | - | 56,8 | 52,8 | 49,3 | 46,3 | |
12 | 14,0 | 123,3 | 4 | - | - | 73,6 | 68,4 | 63,9 | 60,0 | |
13 | У23 ![]() | 16,0 | 154,6 | 5 | - | - | 92,1 | 85,6 | 79,9 | 75,0 |
14 | 18,0 | 188,7 | 6 | - | - | 112,2 | 104,2 | 97,3 | 91,4 | |
15 | 20,0 | 225,5 | 7 | - | - | 133,8 | 124,3 | 116,1 | 109,0 | |
16 | 22,0 | 287,6 | 9 | - | - | 170,6 | 158,4 | 147,9 | 138,8 | |
17 | 24,0 | 337,9 | 10 | - | - | 199,9 | 185,6 | 173,3 | 162,6 | |
18 | 26,0 | 391,8 | 12 | - | - | 231,9 | 215,4 | 201,1 | 188,7 | |
Индекс | а | б | в | г | д | е | ||||
С4, С18, С19, С57, С60 | Ручная аргонодуговая сварка неплавящимся электродом без присадки труб из меди и медно-никелевых сплавов | |||||||||
Карта 59 | ||||||||||
Основной шов | ||||||||||
Номер позиции | Тип шва | Толщина металла, мм | Площадь сечения, мм2 | Количество проходов | Диаметр проволоки, мм | |||||
1,0 | 2,0 | 3,0 | 4,0 | 5,0 | 6,0 | |||||
Неполное штучное время на 1 м шва, мин. | ||||||||||
1 | С4 ![]() | 2,0 | 4,7 | 1 | 11,6 | 8,7 | 7,3 | 6,4 | - | - |
2 | 2,5 | 10,2 | 1 | 22,0 | 14,4 | 12,4 | 10,9 | 9,7 | - | |
3 | 3,0 | 11,1 | 1 | 23,7 | 15,5 | 13,3 | 11,7 | 10,4 | - | |
4 | 4,0 | 21,7 | 2 | - | 24,9 | 22,2 | 20,0 | 18,1 | 16,6 | |
5 | 5,0 | 24,3 | 2 | - | 25,7 | 22,5 | 20,1 | 18,3 | 16,9 | |
6 | С18 ![]() | 4,0 | 29,6 | 2 | - | 34,4 | 30,1 | 26,8 | 24,2 | 22,1 |
7 | 5,0 | 37,3 | 2 | - | 37,5 | 33,3 | 30,0 | 27,3 | 25,1 | |
8 | С19 ![]() | 4,0 | 37,6 | 2 | - | 43,3 | 37,6 | 33,6 | 30,2 | 27,5 |
9 | 5,0 | 46,7 | 3 | 47,1 | 41,9 | 37,7 | 34,4 | 31,6 | ||
10 | С57 ![]() | 2,0 | 5,6 | 1 | 13,6 | 10,2 | 8,6 | 7,4 | - | - |
11 | 2,5 | 13,7 | 1 | 29,2 | 19,0 | 16,3 | 14,3 | 12,7 | - | |
12 | 3,0 | 15,0 | 1 | 31,8 | 20,7 | 17,7 | 15,5 | 13,8 | - | |
13 | 4,0 | 27,1 | 2 | - | 31,0 | 27,6 | 24,7 | 22,3 | 20,4 | |
14 | 5,0 | 30,6 | 2 | - | 31,7 | 27,8 | 24,9 | 22,7 | 20,9 | |
15 | С60 ![]() | 2,0 | 9,6 | 1 | 22,4 | 14,8 | 12,7 | 11,1 | - | - |
16 | 2,5 | 10,4 | 1 | 22,5 | 15,7 | 13,4 | 11,8 | 10,0 | - | |
17 | 3,0 | 11,1 | 1 | 23,9 | 16,5 | 13,7 | 11,8 | 10,6 | - | |
18 | 4,0 | 18,5 | 1 | - | 21,6 | 18,9 | 16,8 | 15,2 | 13,9 | |
19 | 5,0 | 21,0 | 1 | - | 21,3 | 18,9 | 17,1 | 15,6 | 14,3 | |
Индекс | а | б | в | г | д | е | ||||
У7, У16, У17, У18 | Ручная аргонодуговая сварка неплавящимся электродом без присадки труб из меди и медно-никелевых сплавов | |||||||||
Карта 60 | ||||||||||
Основной шов | ||||||||||
Но мер позиции | Тип шва | Толщина металла, мм | Площадь сечения, мм2 | Количество проходов | Диаметр проволоки, мм | |||||
1,0 | 2,0 | 3,0 | 4,0 | 5,0 | 6,0 | |||||
Неполное штучное время на 1 м шва, мин. | ||||||||||
1 | У7 ![]() | 2,0 | 8,3 | 1 | 19,8 | 14,7 | 12,3 | 10,6 | - | - |
2 | 2,5 | 12,3 | 1 | 26,7 | 17,5 | 15,0 | 13,2 | 11,8 | - | |
3 | 3,0 | 17,1 | 1 | 36,3 | 23,6 | 20,2 | 17,7 | 15,8 | - | |
4 | 4,0 | 28,4 | 2 | - | 33,5 | 29,3 | 26,1 | 23,6 | 21,6 | |
5 | 5,0 | 42,1 | 2 | - | 42,4 | 37,7 | 33,9 | 30,9 | 28,4 | |
6 | 6,0 | 58,2 | 3 | - | 51,9 | 46,8 | 42,6 | 39,2 | 36,3 | |
7 | 7,0 | 76,4 | 4 | - | - | 55,8 | 51,3 | 47,5 | 44,3 | |
8 | У16 ![]() | 2,0 | 7,0 | 1 | 16,9 | 12,5 | 10,5 | 9,1 | - | - |
9 | 2,5 | 9,7 | 1 | 21,1 | 13,9 | 12,0 | 10,6 | 9,5 | - | |
10 | 3,0 | 12,6 | 1 | 27,0 | 17,7 | 15,2 | 13,3 | 11,9 | - | |
11 | 4,0 | 18,9 | 1 | - | 22,2 | 19,4 | 17,3 | 15,6 | 14,3 | |
12 | 5,0 | 26,0 | 2 | - | 26,9 | 24,0 | 21,7 | 19,8 | 18,3 | |
13 | 6,0 | 33,7 | 2 | - | 30,4 | 27,5 | 25,1 | 23,1 | 21,4 | |
14 | 7,0 | 42,0 | 2 | - | - | 30,7 | 28,2 | 26,2 | 24,4 | |
15 | У17 ![]() | 2,5 | 11,7 | 1 | 25,3 | 16,6 | 14,3 | 12,5 | 11,2 | - |
16 | 3,0 | 16,9 | 1 | 35,8 | 23,3 | 19,9 | 17,4 | 15,5 | - | |
17 | 4,0 | 20,9 | 2 | - | 34,9 | 30,6 | 27,2 | 24,6 | 22,4 | |
18 | 5,0 | 46,6 | 3 | - | 47,1 | 41,9 | 37,8 | 34,5 | 31,7 | |
19 | У18 ![]() | 2,0 | 9,2 | 1 | 21,6 | 16,0 | 13,3 | 11,5 | - | - |
20 | 2,5 | 12,6 | 1 | 27,1 | 17,8 | 15,2 | 13,4 | 12,0 | - | |
21 | 3,0 | 16,4 | 1 | 34,7 | 22,6 | 19,3 | 16,9 | 15,1 | - | |
22 | 4,0 | 24,7 | 2 | - | 29,2 | 25,6 | 22,8 | 20,6 | 18,9 | |
23 | 5,0 | 33,9 | 2 | - | 34,3 | 30,5 | 27,5 | 25,1 | 23,1 | |
24 | 6,0 | 43,9 | 2 | - | 38,9 | 35,1 | 31,9 | 29,3 | 27,2 | |
25 | 7,0 | 54,6 | 3 | - | - | 40,0 | 36,8 | 34,1 | 31,8 | |
Индекс | а | б | в | г | д | е | ||||
Н1, Н3, Н4, У7, У23 | Ручная аргонодуговая сварка неплавящимся электродом без присадки труб из меди и медно-никелевых сплавов | |||||||||
Карта 61 | ||||||||||
Основной шов | ||||||||||
Но мер позиции | Тип шва | Катет шва, мм | Площадь сечения, мм2 | Количество проходов | Диаметр проволоки, мм | |||||
1,0 | 2,0 | 3,0 | 4,0 | 5,0 | 6,0 | |||||
Неполное штучное время на 1 м шва, мин. | ||||||||||
1 | Н1 ![]() | 2,0 | 5,0 | 1 | 12,2 | 9,1 | 7,7 | 6,7 | - | - |
2 | Н3 ![]() | 2,5 | 7,0 | 1 | 15,6 | 10,4 | 8,9 | 7,9 | 7,1 | - |
3 | Н4 ![]() | 3,0 | 9,3 | 1 | 20,3 | 13,3 | 11,5 | 10,1 | 9,0 | - |
У7 ![]() | 4,0 | 14,6 | 1 | - | 17,3 | 15,1 | 13,5 | 12,2 | 11,2 | |
5 | У23 ![]() | 5,0 | 20,6 | 1 | - | 20,9 | 18,5 | 16,7 | 15,3 | 14,0 |
6 | 6,0 | 27,3 | 2 | - | 24,9 | 22,4 | 20,5 | 18,9 | 17,5 | |
7 | 7,0 | 34,7 | 2 | - | - | 25,5 | 23,5 | 21,8 | 20,3 | |
Индекс | а | б | в | г | д | е | ||||
С2, С4, С5, С6, С7, С8, С9, С10, С11, С12, С15, С17, С18, С19, С20, С21, С22, С25, С28 | Ручная аргонодуговая сварка неплавящимся электродом с присадкой легированных и высоколегированных сталей | |||||||||
Карта 62 | Лист 1 | |||||||||
Основной шов | ||||||||||
Номер позиции | Тип шва | Толщина металла, мм | Площадь сечения, мм2 | Количество проходов | Диаметр проволоки, мм | |||||
1,0 | 2,0 | 3,0 | 4,0 | 5,0 | 6,0 | |||||
Неполное штучное время на 1 м шва, мин. | ||||||||||
1 | С2 ![]() | 1,0 | 5,0 | 1 | 11,3 | 9,3 | 7,3 | - | - | - |
2 | 1,5 | 10,1 | 1 | 18,1 | 14,7 | 11,5 | 9,5 | - | - | |
3 | 2,0 | 10,5 | 1 | 18,7 | 15,3 | 11,9 | 9,8 | - | - | |
4 | 2,5 | 11,0 | 1 | 18,6 | 15,1 | 11,8 | 9,7 | 8,3 | - | |
5 | 3,0 | 11,4 | 1 | 19,3 | 15,6 | 12,2 | 10,0 | 8,6 | - | |
6 | 4,0 | 12,0 | 1 | 20,3 | 16,4 | 12,8 | 10,5 | 9,0 | - | |
7 | 5,0 | 18,7 | 1 | - | 23,7 | 18,4 | 15,1 | 12,8 | 11,2 | |
8 | 6,0 | 19,7 | 1 | - | 24,9 | 19,4 | 15,9 | 13,5 | 11,8 | |
9 | С4 ![]() | 1,0 | 4,5 | 1 | 9,0 | 7,4 | 5,9 | - | - | - |
10 | 1,5 | 5,7 | 1 | 10,6 | 8,7 | 6,9 | 5,8 | - | - | |
11 | 2,0 | 6,7 | 1 | 12,2 | 10,0 | 7,9 | 6,6 | - | - | |
12 | 2,5 | 11,8 | 1 | 19,9 | 16,1 | 12,5 | 10,3 | 8,8 | - | |
13 | 3,0 | 12,1 | 1 | 20,4 | 16,5 | 12,9 | 10,6 | 9,1 | - | |
14 | 4,0 | 12,7 | 1 | 21,3 | 17,0 | 13,4 | 11,0 | 9,4 | - | |
15 | 5,0 | 13,1 | 1 | - | 16,9 | 13,3 | 10,9 | 9,3 | 8,2 | |
16 | 6,0 | 13,5 | 1 | - | 17,4 | 13,6 | 11,2 | 9,6 | 8,4 | |
17 | С5 ![]() | 1,0 | 3,7 | 1 | 7,7 | 7,3 | 5,1 | - | - | - |
18 | 1,5 | 4,4 | 1 | 8,5 | 7,0 | 5,6 | 4,7 | - | - | |
19 | 2,0 | 5,0 | 1 | 9,4 | 7,8 | 6,2 | 5,2 | - | - | |
20 | 2,5 | 10,3 | 1 | 17,4 | 14,1 | 11,1 | 9,1 | 7,8 | - | |
21 | 3,0 | 10,6 | 1 | 18,0 | 14,6 | 11,4 | 9,4 | 8,1 | - | |
22 | 4,0 | 11,2 | 1 | 18,9 | 15,3 | 11,9 | 9,8 | 8,4 | - | |
23 | 5,0 | 11,6 | 1 | - | 15,1 | 11,8 | 9,8 | 8,4 | 7,3 | |
24 | 6,0 | 12,0 | 1 | - | 15,6 | 12,2 | 10,1 | 8,6 | 7,5 | |
25 | С6 ![]() | 1,0 | 3,8 | 1 | 7,7 | 6,4 | 5,1 | - | - | - |
26 | 1,5 | 4,5 | 1 | 8,6 | 7,2 | 5,7 | 4,8 | - | - | |
27 | 2,0 | 5,1 | 1 | 9,7 | 8,0 | 6,3 | 5,3 | - | - | |
28 | 2,5 | 10,4 | 1 | 17,6 | 14,3 | 11,1 | 9,2 | 7,9 | - | |
29 | 3,0 | 10,7 | 1 | 18,1 | 14,7 | 11,5 | 9,5 | 8,1 | - | |
30 | 4,0 | 11,2 | 1 | 19,0 | 15,4 | 12,0 | 9,9 | 8,5 | - | |
31 | 5,0 | 11,7 | 1 | - | 15,2 | 11,9 | 9,8 | 8,4 | 7,4 | |
32 | 6,0 | 12,1 | 1 | - | 15,7 | 12,3 | 10,1 | 8,7 | 7,6 | |
33 | С7 ![]() | 3,0 | 5,6 | 1 | 9,9 | 8,1 | 6,5 | 5,4 | 4,7 | - |
34 | 4,0 | 6,7 | 1 | 11,7 | 9,5 | 7,5 | 6,3 | 5,4 | - | |
35 | 5,0 | 7,7 | 1 | - | 10,3 | 8,2 | 6,8 | 5,9 | 5,2 | |
36 | 6,0 | 8,6 | 1 | - | 11,5 | 9,0 | 7,5 | 6,5 | 5,7 | |
37 | С8 ![]() | 3,0 | 8,3 | 1 | 14,4 | 11,7 | 9,2 | 7,7 | 6,6 | - |
38 | 4,0 | 14,0 | 1 | 23,4 | 19,0 | 14,7 | 12,1 | 10,4 | - | |
39 | 5,0 | 20,9 | 1 | - | 26,4 | 20,6 | 16,9 | 14,3 | 12,5 | |
40 | 6,0 | 29,0 | 2 | - | 36,9 | 28,7 | 23,6 | 20,1 | 17,5 | |
41 | 7,0 | 38,3 | 2 | - | 46,2 | 35,7 | 29,2 | 24,8 | 21,6 | |
42 | 8,0 | 48,6 | 2 | - | 58,2 | 44,9 | 36,7 | 31,1 | 27,0 | |
43 | 9,0 | 60,1 | 2 | - | - | 52,9 | 43,1 | 36,5 | 31,7 | |
44 | 10,0 | 72,7 | 3 | - | - | 64,2 | 52,4 | 44,3 | 38,5 | |
45 | С9 ![]() | 3,0 | 10,3 | 1 | 17,6 | 14,3 | 11,2 | 9,3 | 7,9 | - |
46 | 4,0 | 16,3 | 1 | 27,2 | 22,0 | 17,1 | 14,0 | 11,9 | - | |
47 | 5,0 | 23,3 | 1 | - | 29,3 | 22,8 | 18,7 | 15,8 | 13,8 | |
48 | 6,0 | 31,1 | 2 | - | 39,4 | 30,7 | 25,2 | 21,4 | 18,7 | |
49 | 7,0 | 39,7 | 2 | - | 47,8 | 37,0 | 30,2 | 25,7 | 22,3 | |
Индекс | а | б | в | г | д | е | ||||
Швы стыковых соединений С2, С4, С5, С6, С7, С8, С9, С10, С11, С12, С15, С17, С18, С19, С20, С21, С22, С25, С28 | Ручная аргонодуговая сварка неплавящимся электродом с присадкой легированных и высоколегированных сталей | |||||||||
Карта 62 | Лист 2 | |||||||||
Номер позиции | Тип шва | Толщина металла, мм | Площадь сечения, мм2 | Количество проходов | Диаметр проволоки, мм | |||||
1,6 | 2,0 | 3,0 | 4,0 | 5,0 | 6,0 | |||||
Неполное штучное время на 1 м шва, мин. | ||||||||||
50 | С9 | 8,0 | 52,2 | 2 | - | 62,4 | 48,1 | 39,2 | 33,2 | 28,9 |
51 | 9,0 | 63,8 | 2 | - | - | 56,1 | 45,7 | 38,6 | 33,5 | |
52 | 10,0 | 76,4 | 3 | - | - | 67,3 | 54,9 | 46,5 | 40,4 | |
53 | С10 ![]() | 3,0 | 8,3 | 1 | 14,4 | 11,7 | 9,2 | 7,7 | 6,6 | - |
54 | 4,0 | 14,0 | 1 | 23,4 | 19,0 | 14,7 | 12,1 | 10,4 | - | |
55 | 5,0 | 20,9 | 1 | - | 26,4 | 20,6 | 16,9 | 14,3 | 12,5 | |
56 | 6,0 | 29,0 | 2 | - | 36,9 | 28,7 | 23,6 | 20,1 | 17,5 | |
57 | 7,0 | 38,3 | 2 | - | 46,2 | 35,7 | 29,2 | 24,8 | 21,6 | |
58 | 8,0 | 48,6 | 2 | - | 58,2 | 44,9 | 36,7 | 31,1 | 27,0 | |
59 | 9,0 | 60,1 | 2 | - | - | 52,9 | 43,1 | 36,5 | 31,7 | |
60 | 10,0 | 72,7 | 3 | - | - | 64,2 | 52,4 | 44,3 | 38,5 | |
61 | С11 ![]() | 3,0 | 14,5 | 1 | 24,3 | 19,6 | 15,3 | 12,5 | 10,7 | - |
62 | 4,0 | 22,5 | 1 | 37,1 | 29,9 | 23,1 | 18,9 | 16,1 | - | |
63 | 5,0 | 31,7 | 2 | - | 40,2 | 31,3 | 25,6 | 21,8 | 19,0 | |
64 | 6,0 | 41,9 | 2 | - | 52,6 | 40,8 | 33,4 | 28,3 | 24,6 | |
65 | 7,0 | 53,1 | 2 | - | 63,4 | 48,9 | 39,9 | 33,8 | 29,3 | |
66 | 8,0 | 65,2 | 2 | - | 77,5 | 59,6 | 48,6 | 41,1 | 35,6 | |
67 | 9,0 | 78,1 | 3 | - | - | 68,8 | 56,1 | 47,5 | 41,2 | |
68 | 10,0 | 91,8 | 3 | - | - | 80,5 | 65,6 | 55,4 | 48,1 | |
69 | С12 ![]() | 3,0 | 8,3 | 1 | 14,4 | 11,7 | 9,2 | 7,7 | 6,6 | - |
70 | 4,0 | 14,0 | 1 | 23,5 | 19,0 | 14,8 | 12,2 | 10,2 | - | |
71 | 5,0 | 20,9 | 1 | - | 26,5 | 20,6 | 16,9 | 14,4 | 12,5 | |
72 | 6,0 | 29,1 | 2 | - | 37,0 | 28,9 | 23,7 | 20,1 | 17,6 | |
73 | 7,0 | 38,4 | 2 | - | 46,4 | 35,8 | 29,3 | 24,9 | 21,7 | |
74 | 8,0 | 48,9 | 2 | - | 58,6 | 45,2 | 36,9 | 31,2 | 27,2 | |
75 | 9,0 | 60,5 | 2 | - | - | 53,3 | 43,4 | 36,7 | 31,9 | |
76 | 10,0 | 73,2 | 3 | - | - | 64,7 | 52,8 | 44,7 | 38,8 | |
77 | С15 ![]() | 6,0 | 10,8 | 1 | - | 14,2 | 11,2 | 9,3 | 7,9 | 7,0 |
78 | 7,0 | 13,8 | 1 | - | 17,2 | 13,4 | 11,0 | 9,4 | 8,3 | |
79 | 8,0 | 17,1 | 1 | - | 21,0 | 16,3 | 13,4 | 11,4 | 10,0 | |
80 | 9,0 | 20,0 | 1 | - | - | 18,7 | 15,3 | 13,0 | 11,4 | |
81 | 10,0 | 24,4 | 1 | - | - | 21,9 | 17,9 | 15,2 | 13,3 | |
82 | 12,0 | 32,6 | 1 | - | - | - | 21,0 | 17,9 | 15,6 | |
83 | 14,0 | 41,6 | 1 | - | - | - | 26,6 | 22,5 | 19,6 | |
84 | 16,0 | 51,5 | 1 | - | - | - | 32,6 | 27,5 | 23,9 | |
85 | 18,0 | 62,1 | 2 | - | - | - | 39,6 | 33,5 | 29,1 | |
86 | 20,0 | 73,4 | 2 | - | - | - | 46,5 | 39,3 | 34,1 | |
87 | С17 | 3,0 | 8,9 | 1 | 15,4 | 12,5 | 9,8 | 8,1 | 7,0 | - |
88 | 4,0 | 14,3 | 1 | 24,0 | 19,4 | 15,1 | 12,4 | 10,6 | - | |
Индекс | а | б | в | г | д | е | ||||
Швы стыковых соединений С2, С4, С5, С6, С7, С8, С9, С10, С11, С12, С15, С17, С18, С19, С20, С21, С22, С25, С28 | Ручная аргонодуговая сварка неплавящимся электродом с присадкой легированных и высоколегированных сталей | |||||||||
Карта 62 | Лист 3 | |||||||||
Номер позиции | Тип шва | Толщина металла, мм | Площадь сечения, мм2 | Количество проходов | Диаметр проволоки, мм | |||||
1,6 | 2,0 | 3,0 | 4,0 | 5,0 | 6,0 | |||||
Неполное штучное время на 1 м шва, мин. | ||||||||||
89 | С17 ![]() | 5,0 | 20,7 | 1 | - | 26,2 | 20,4 | 16,7 | 14,2 | 12,4 |
90 | 6,0 | 27,9 | 1 | - | 35,0 | 27,2 | 22,2 | 18,8 | 16,4 | |
91 | 7,0 | 36,0 | 2 | - | 43,5 | 33,7 | 27,6 | 23,4 | 20,4 | |
92 | 8,0 | 44,9 | 2 | - | 53,8 | 41,6 | 33,9 | 28,8 | 25,0 | |
93 | 9,0 | 54,5 | 2 | - | - | 48,1 | 39,2 | 33,2 | 28,9 | |
94 | 10,0 | 64,8 | 2 | - | - | 56,9 | 46,3 | 39,2 | 34,0 | |
95 | С18 ![]() | 3,0 | 11,0 | 1 | 18,6 | 15,1 | 11,8 | 9,8 | 8,4 | - |
96 | 4,0 | 17,0 | 1 | 28,3 | 22,8 | 17,7 | 14,5 | 12,4 | - | |
97 | 5,0 | 23,9 | 1 | - | 30,1 | 23,4 | 19,1 | 16,2 | 14,1 | |
98 | 6,0 | 31,5 | 2 | - | 39,9 | 31,1 | 25,5 | 21,7 | 18,9 | |
99 | 7,0 | 39,9 | 2 | - | 48,1 | 37,1 | 30,4 | 25,8 | 22,4 | |
100 | 8,0 | 48,9 | 2 | - | 58,5 | 45,1 | 36,9 | 31,2 | 27,1 | |
101 | 9,0 | 58,5 | 2 | - | - | 51,5 | 42,0 | 35,5 | 30,9 | |
102 | 10,0 | 68,7 | 3 | - | - | 60,8 | 49,6 | 42,0 | 36,5 | |
103 | С19 ![]() | 3,0 | 8,4 | 1 | 14,5 | 11,8 | 9,3 | 7,7 | 6,7 | - |
104 | 4,0 | 13,8 | 1 | 23,2 | 18,0 | 14,6 | 12,0 | 10,3 | - | |
105 | 5,0 | 20,4 | 1 | - | 25,8 | 20,1 | 16,5 | 14,0 | 12,2 | |
106 | 6,0 | 27,9 | 1 | - | 35,0 | 27,2 | 22,2 | 18,8 | 16,3 | |
107 | 7,0 | 36,5 | 2 | - | 44,1 | 34,1 | 27,9 | 23,7 | 20,7 | |
108 | 8,0 | 45,9 | 2 | - | 55,1 | 42,5 | 34,7 | 29,4 | 25,6 | |
109 | 9,0 | 56,3 | 2 | - | - | 49,7 | 40,5 | 34,3 | 29,8 | |
110 | 10,0 | 67,6 | 2 | - | - | 59,3 | 48,3 | 40,8 | 35,4 | |
111 | С20 ![]() | 3,0, | 10,0 | 1 | 17,1 | 13,9 | 10,9 | 9,0 | 7,7 | - |
112 | 4,0 | 16,1 | 1 | 26,9 | 21,7 | 16,9 | 13,9 | 11,8 | - | |
113 | 5,0 | 23,3 | 1 | - | 29,4 | 22,9 | 18,7 | 15,9 | 13,8 | |
114 | 6,0 | 31,5 | 2 | - | 39,9 | 31,1 | 25,5 | 21,7 | 18,9 | |
115 | 7,0 | 40,7 | 2 | - | 49,0 | 37,8 | 30,9 | 26,3 | 22,9 | |
116 | 8,0 | 50,7 | 2 | - | 60,7 | 46,8 | 38,2 | 32,3 | 28,1 | |
117 | 9,0 | 61,6 | 2 | - | - | 54,2 | 44,2 | 37,4 | 32,4 | |
118 | 10,0 | 73,4 | 3 | - | - | 64,8 | 52,8 | 44,7 | 38,9 | |
119 | С21 ![]() | 3,0 | 8,4 | 1 | 14,6 | 11,9 | 9,3 | 7,7 | 6,7 | - |
120 | 4,0 | 13,8 | 1 | 23,3 | 18,8 | 14,6 | 12,0 | 10,3 | - | |
121 | 5,0 | 20,4 | 1 | - | 25,8 | 20,1 | 16,5 | 14,0 | 12,2 | |
122 | 6,0 | 27,9 | 1 | - | 35,0 | 27,2 | 22,2 | 18,8 | 16,3 | |
123 | 7,0 | 36,4 | 2 | - | 44,0 | 34,1 | 27,9 | 23,7 | 20,6 | |
124 | 8,0 | 45,9 | 2 | - | 55,0 | 42,5 | 34,7 | 29,4 | 25,6 | |
125 | 9,0 | 56,3 | 2 | - | - | 49,6 | 40,5 | 34,2 | 29,7 | |
126 | 10,0 | 67,5 | 2 | - | - | 59,2 | 48,2 | 40,7 | 35,3 | |
127 | С22 ![]() | 4,0 | 13,0 | 1 | 22,0 | 17,8 | 13,8 | 11,4 | 9,7 | - |
128 | 5,0 | 18,8 | 1 | - | 23,9 | 18,6 | 15,3 | 13,0 | 11,4 | |
129 | 6,0 | 25,3 | 1 | - | 31,8 | 24,7 | 20,2 | 17,1 | 14,9 | |
130 | 7,0 | 32,6 | 2 | - | 39,6 | 30,7 | 25,1 | 21,4 | 18,7 | |
131 | 8,0 | 40,6 | 2 | - | 48,9 | 37,7 | 30,9 | 26,2 | 22,8 | |
132 | 9,0 | 49,2 | 2 | - | - | 43,6 | 35,6 | 30,2 | 26,2 | |
133 | 10,0 | 58,5 | 2 | - | - | 51,5 | 42,0 | 35,5 | 30,8 | |
134 | 12,0 | 78,8 | 2 | - | - | - | 49,8 | 42,1 | 36,5 | |
Индекс | а | б | в | г | а | е | ||||
Швы стыковых соединений С2, С4, С5, С6, С7, С8, С9, С10, С11, С12, С15, С17, С18, С19, С20, С21, С22, С25, С28 | Ручная аргонодуговая сварка неплавящимся электродом с присадкой легированных и высоколегированных сталей | |||||||||
Карта 62 | Лист 4 | |||||||||
Основной шов | ||||||||||
Номер позиции | Тип шва | Толщина металла, мм | Площадь сечения, мм2 | Количество проходов | Диаметр проволоки, мм | |||||
1,6 | 2,0 | 3,0 | 4,0 | 5,0 | 6,0 | |||||
Неполное штучное время на 1 м шва, мин. | ||||||||||
135 | С22 | 14,0 | 101,4 | 2 | - | - | - | 63,5 | 53,7 | 46,5 |
136 | 16,0 | 126,2 | 3 | - | - | - | 79,2 | 66,9 | 58,0 | |
137 | 18,0 | 153,0 | 4 | - | - | - | 96,1 | 81,2 | 70,4 | |
138 | 20,0 | 181,8 | 4 | - | - | - | 113,7 | 95,9 | 83,1 | |
139 | С25 ![]() | 6,0 | 10,7 | 1 | - | 14,1 | 11,1 | 9,2 | 7,9 | 7,8 |
140 | 7,0 | 13,7 | 1 | - | 17,0 | 13,2 | 10,9 | 9,3 | 8,2 | |
141 | 8,0 | 16,8 | 1 | - | 20,7 | 16,1 | 13,2 | 11,3 | 9,9 | |
142 | 9,0 | 20,2 | 1 | - | - | 18,4 | 15,0 | 12,8 | 11,2 | |
143 | 10,0 | 23,9 | 1 | - | - | 21,4 | 17,6 | 14,9 | 13,0 | |
144 | 12,0 | 31,7 | 1 | - | - | - | 20,5 | 17,4 | 15,2 | |
145 | 14,0 | 40,3 | 1 | - | - | - | 25,8 | 21,8 | 19,0 | |
146 | 16,0 | 49,7 | 1 | - | - | - | 31,4 | 26,6 | 23,1 | |
147 | 18,0 | 59,7 | 2 | - | - | - | 38,1 | 32,3 | 28,1 | |
148 | 20,0 | 70,3 | 2 | - | - | - | 44,6 | 37,7 | 32,8 | |
149 | С28 ![]() | 1,0 | 6,6 | 1 | 12,7 | 10,4 | 8,2 | - | - | - |
150 | 1,5 | 8,7 | 1 | 15,6 | 12,8 | 10,0 | 8,3 | - | - | |
151 | 2,0 | 10,6 | 1 | 18,8 | 15,3 | 12,0 | 9,9 | - | - | |
152 | 2,5 | 17,7 | 1 | 29,3 | 23,6 | 18,3 | 15,0 | 12,8 | - | |
153 | 3,0 | 20,3 | 1 | 33,5 | 27,0 | 20,9 | 17,1 | 14,5 | - | |
154 | 4,0 | 25,3 | 1 | 41,4 | 33,3 | 25,7 | 21,0 | 17,8 | - | |
Индекс | а | б | в | г | д | е | ||||
С12, С21 | Ручная аргонодуговая сварка неплавящимся электродом с присадкой легированных и высоколегированных сталей | |||||||||
Карта 63 | ||||||||||
Шов с противоположной стороны | ||||||||||
Номер позиции | Тип шва | Толщина металла, мм | Площадь сечения, мм2 | Количество проходов | Диаметр проволоки, мм | |||||
1,6 | 2,0 | 3,0 | 4,0 | 5,0 | 6,0 | |||||
Неполное штучное время на 1 м шва, мин. | ||||||||||
1 | С12 ![]() | 3,0 | 3,4 | 1 | 6,5 | 5,4 | 4,4 | 3,7 | 3,3 | - |
2 | 4,0 | 3,4 | 1 | 6,5 | 5,4 | 4,4 | 3,7 | 3,3 | - | |
3 | 5,0 | 9,0 | 1 | - | 11,5 | 8,7 | 7,3 | 6,3 | 5,6 | |
4 | 6,0 | 9,0 | 1 | - | 11,5 | 8,7 | 7,3 | 6,3 | 5,6 | |
5 | 7,0 | 9,0 | 1 | - | 12,0 | 9,1 | 7,5 | 6,5 | 5,7 | |
6 | 8,0 | 9,0 | 1 | - | 12,0 | 9,1 | 7,5 | 6,5 | 5,7 | |
7 | 9,0 | 9,0 | 1 | - | - | 9,5 | 7,9 | 6,8 | 6,0 | |
8 | 10,0 | 9,0 | 1 | - | - | 9,5 | 7,9 | 6,8 | 6,0 | |
9 | С21 ![]() | 3,0 | 3,4 | 1 | 6,5 | 5,4 | 4,4 | 3,7 | 3,3 | - |
10 | 4,0 | 3,4 | 1 | 6,5 | 5,4 | 4,4 | 3,7 | 3,3 | - | |
11 | 5,0 | 9,0 | 1 | - | 11,5 | 8,7 | 7,3 | 6,3 | 5,6 | |
12 | 6,0 | 9,0 | 1 | - | 11,5 | 8,7 | 7,3 | 6,3 | 5,6 | |
13 | 7,0 | 9,0 | 1 | - | 12,0 | 9,1 | 7,5 | 6,5 | 5,7 | |
14 | 8,0 | 9,0 | 1 | - | 12,0 | 9,1 | 7,5 | 6,5 | 5,7 | |
15 | 9,0 | 9,0 | 1 | - | - | 9,5 | 7,9 | 6,8 | 6,0 | |
16 | 10,0 | 9,0 | 1 | - | - | 9,5 | 7,9 | 6,8 | 6,0 | |
Индекс | а | б | в | г | д | е | ||||
Т6, Т7, Т8 | Ручная аргонодуговая сварка неплавящимся электродом с присадкой легированных и высоколегированных сталей | |||||||||
Карта 64 | ||||||||||
Основной шов | ||||||||||
Номер позиции | Тип шва | Толщина металла, мм | Площадь сечения, мм2 | Количество проходов | Диаметр проволоки, мм | |||||
1,6 | 2,0 | 3,0 | 4,0 | 5,0 | 6,0 | |||||
Неполное штучное время на 1 м шва, мин. | ||||||||||
1 | Т6 ![]() | 3,0 | 8,1 | 1 | 14,2 | 11,6 | 9,2 | 7,7 | 6,6 | - |
2 | 4,0 | 11,7 | 1 | 20,0 | 16,2 | 12,7 | 10,5 | 9,0 | - | |
3 | 5,0 | 22,7 | 1 | - | 28,9 | 22,5 | 18,5 | 15,7 | 13,7 | |
4 | 6,0 | 29,2 | 2 | - | 37,3 | 29,2 | 24,0 | 20,4 | 17,9 | |
5 | 7,0 | 49,6 | 2 | - | 59,6 | 46,0 | 37,6 | 31,9 | 27,7 | |
6 | 8,0 | 59,7 | 2 | - | 71,4 | 55,0 | 44,9 | 38,0 | 33,0 | |
7 | 9,0 | 70,4 | 3 | - | - | 62,6 | 51,1 | 43,4 | 37,7 | |
8 | 10,0 | 81,6 | 3 | - | - | 72,1 | 58,8 | 49,8 | 43,3 | |
9 | Т7 ![]() | 3,0 | 8,1 | 1 | 14,2 | 11,6 | 9,2 | 7,7 | 6,6 | - |
10 | 4,0 | 11,7 | 1 | 20,0 | 16,2 | 12,7 | 10,5 | 9,0 | - | |
11 | 5,0 | 22,7 | 1 | - | 28,9 | 22,5 | 18,5 | 15,7 | 13,7 | |
12 | 6,0 | 29,2 | 2 | - | 37,3 | 29,2 | 24,0 | 20,4 | 17,9 | |
13 | 7,0 | 49,6 | 2 | - | 59,6 | 46,0 | 37,6 | 31,9 | 27,7 | |
14 | 8,0 | 59,7 | 2 | - | 71,4 | 55,0 | 44,9 | 38,0 | 33,0 | |
15 | 9,0 | 70,4 | 3 | - | - | 62,6 | 51,1 | 43,4 | 37,7 | |
16 | 10,0 | 81,6 | - | - | - | 72,1 | 58,8 | 49,8 | 43,3 | |
17 | Т8 ![]() | 6,0 | 14,5 | 1 | - | 18,9 | 14,8 | 12,2 | 10,5 | 9,2 |
18 | 7,0 | 18,0 | 1 | - | 22,2 | 17,3 | 14,2 | 12,2 | 10,7 | |
19 | 8,0 | 21,8 | 1 | - | 26,6 | 20,6 | 16,9 | 14,4 | 12,6 | |
20 | 9,0 | 25,7 | 1 | - | - | 23,2 | 19,0 | 16,2 | 14,1 | |
21 | 10,0 | 29,8 | 2 | - | - | 27,4 | 22,5 | 19,2 | 16,8 | |
22 | 12,0 | 43,7 | 1 | - | - | - | 28,0 | 23,7 | 20,7 | |
23 | 14,0 | 58,5 | 2 | - | - | - | 37,6 | 31,9 | 27,8 | |
24 | 16,0 | 75,2 | 2 | - | - | - | 47,9 | 40,5 | 35,2 | |
25 | 18,0 | 94,0 | 2 | - | - | - | 59,3 | 50,1 | 43,5 | |
26 | 20,0 | 114,7 | 3 | - | - | - | 72,6 | 61,4 | 53,3 | |
Индекс | а | б | в | г | д | е | ||||
У1, У2, У4, У5, У6, У7, У8, У9, У10 | Ручная аргонодуговая сварка неплавящимся электродом с присадкой легированных и высоколегированных сталей | |||||||||
Карта 65 | Лист 1 | |||||||||
Основной шов | ||||||||||
Номер позиции | Тип шва | Толщина металла, мм | Площадь сечения, мм2 | Количество проходов | Диаметр проволоки, мм | |||||
1,6 | 2,0 | 3,0 | 4,0 | 5,0 | 6,0 | |||||
Неполное штучное время на 1 м шва, мин. | ||||||||||
1 | У1 ![]() | 1,0 | 4,0 | 1 | 8,2 | 6,8 | 5,5 | - | - | - |
2 | 1,5 | 11,2 | 1 | 20,0 | 16,3 | 12,7 | 10,5 | - | - | |
3 | 2,0 | 11,3 | 1 | 20,1 | 16,4 | 12,8 | 10,6 | - | - | |
4 | 2,5 | 21,6 | 1 | 35,7 | 28,8 | 22,3 | 18,2 | 15,5 | - | |
5 | 3,0 | 21,8 | 1 | 36,0 | 29,0 | 22,4 | 18,4 | 15,6 | - | |
6 | У2 ![]() | 1,0 | 3,6 | 1 | 7,5 | 6,2 | 5,8 | - | - | - |
7 | 1,5 | 4,7 | 1 | 9,1 | 7,6 | 6,0 | 5,1 | - | - | |
8 | 2,0 | 5,8 | 1 | 10,9 | 8,9 | 7,1, | 6,0 | - | - | |
9 | 2,5 | 10,2 | 1 | 17,5 | 14,2 | 11,1 | 9,2 | 7,9 | - | |
10 | 3,0 | 11,9 | 1 | 27,2 | 16,4 | 12,8 | 10,6 | 9,0 | - | |
11 | 4,0 | 15,1 | 1 | 25,4 | 20,5 | 16,0 | 13,1 | 11,2 | - | |
12 | У4 ![]() | 1,0 | 1,4 | 1 | 3,6 | 3,1 | 2,6 | - | - | - |
13 | 1,5 | 2,3 | 1 | 5,0 | 4,2 | 3,5 | 3,0 | - | - | |
14 | 2,0 | 2,3 | 1 | 5,1 | 4,3 | 3,6 | 3,1 | - | - | |
15 | 2,5 | 4,5 | 1 | 8,4 | 7,0 | 5,6 | 4,7 | 4,2 | - | |
16 | 3,0 | 4,7 | 1 | 8,7 | 7,1 | 5,7 | 4,8 | 4,2 | - | |
17 | 4,0 | 5,5 | 1 | 9,9 | 8,2 | 6,5 | 5,5 | 4,5 | - | |
18 | У5 ![]() | 1,0 | 1,4 | 1 | 3,6 | 3,1 | 2,6 | - | - | - |
19 | 1,5 | 2,3 | 1 | 5,0 | 4,2 | 3,5 | 3,0 | - | - | |
20 | 2,0 | 2,3 | 1 | 5,1 | 4,3 | 3,6 | 3,1 | - | - | |
21 | 2,5 | 4,5 | 1 | 5,4 | 7,0 | 5,6 | 4,7 | 4,2 | - | |
22 | 3,0 | 4,7 | 1 | 8,7 | 7,1 | 5,7 | 4,8 | 4,2 | - | |
23 | 4,0 | 5,5 | 1 | 9,9 | 8,2 | 6,5 | 5,5 | 4,8 | - | |
24 | У6 ![]() | 3,0 | 8,3 | 1 | 14,5 | 11,9 | 9,4 | 7,8 | 6,8 | - |
25 | 4,0 | 14,0 | 1 | 23,6 | 19,1 | 14,0 | 12,3 | 18,5 | - | |
26 | 5,0 | 20,9 | 1 | - | 26,7 | 20,8 | 17,1 | 14,5 | 12,7 | |
27 | 6,0 | 29,1 | 2 | - | 37,3 | 29,1 | 23,9 | 20,4 | 17,8 | |
28 | 7,0 | 38,4 | 2 | - | 46,6 | 36,1 | 29,6 | 25,2 | 22,0 | |
29 | 8,0 | 48,9 | 2 | - | 58,8 | 45,5 | 37,2 | 31,5 | 27,4 | |
30 | 9,0 | 60,5 | 2 | - | - | 53,5 | 43,7 | 37,0 | 32,2 | |
31 | 10,0 | 73,2 | 3 | - | - | 65,1 | 53,1 | 45,0 | 39,2 | |
Индекс | а | б | в | г | д | е | ||||
Швы угловых соединений У1, У2, У4, У5, У6, У7, У8, У9, У10 | Ручная аргонодуговая сварка неплавящимся электродом с присадкой легированных и высоколегированных сталей | |||||||||
Карта 65 | Лист 2 | |||||||||
Основной шов | ||||||||||
Номер позиции | Тип шва | Толщина металла, мм | Площадь сечения, мм2 | Количество проходов | Диаметр проволоки, мм | |||||
1,6 | 2,0 | 3,0 | 4,0 | 5,0 | 6,0 | |||||
Неполное штучное время на 1 м шва, мин. | ||||||||||
32 | У7 ![]() | 3,0 | 8,3 | 1 | 14,5 | 11,9 | 9,4 | 7,8 | 6,8 | - |
33 | 4,0 | 14,0 | 1 | 23,6 | 19,1 | 14,9 | 12,3 | 10,5 | - | |
34 | 5,0 | 20,9 | 1 | - | 26,7 | 20,8 | 17,1 | 14,5 | 12,7 | |
35 | 6,0 | 29,1 | 2 | - | 37,3 | 29,1 | 23,9 | 20,4 | 17,8 | |
36 | 7,0 | 38,4 | 2 | - | 46,6 | 36,1 | 29,6 | 25,2 | 22,0 | |
37 | 8,0 | 48,9 | 2 | - | 58,8 | 45,5 | 37,2 | 31,5 | 27,4 | |
38 | 9,0 | 60,5 | 2 | - | - | 53,5 | 43,7 | 37,0 | 32,2 | |
39 | 10,0 | 73,2 | 3 | - | - | 65,1 | 53,1 | 45,0 | 39,2 | |
40 | У8 ![]() | 6,0 | 10,1 | 1 | - | 13,6 | 10,7 | 8,9 | 7,7 | 6,8 |
41 | 7,0 | 13,0 | 1 | - | 16,4 | 12,8 | 10,6 | 9,1 | 8,0 | |
42 | 8,0 | 16,1 | 1 | - | 20,0 | 15,6 | 12,8 | 11,0 | 9,6 | |
43 | 9,0 | 19,5 | 1 | - | - | 17,9 | 14,7 | 12,5 | 11,0 | |
44 | 10,0 | 23,1 | 1 | - | - | 20,9 | 17,2 | 14,6 | 12,8 | |
45 | 12,0 | 31,0 | 1 | - | - | - | 20,2 | 17,2 | 15,0 | |
46 | 14,0 | 39,7 | 1 | - | - | - | 25,6 | 21,7 | 18,9 | |
47 | 16,0 | 49,3 | 1 | - | - | - | 31,4 | 26,6 | 23,1 | |
48 | 18,0 | 59,6 | 2 | - | - | - | 38,3 | 32,5 | 28,3 | |
49 | 20,0 | 70,6 | 2 | - | - | - | 45,0 | 38,2 | 33,2 | |
50 | У9 ![]() | 3,0 | 10,2 | 1 | 17,5 | 14,3 | 11,2 | 9,3 | 8,0 | - |
51 | 4,0 | 16,1 | 1 | 27,0 | 21,8 | 17,0 | 14,0 | 11,9 | - | |
52 | 5,0 | 22,9 | 1 | - | 29,1 | 22,6 | 18,6 | 15,8 | 13,8 | |
53 | 6,0 | 30,6 | 2 | - | 39,1 | 30,5 | 25,1 | 21,4 | 18,7 | |
54 | 7,0 | 39,1 | 2 | - | 47,4 | 36,7 | 30,1 | 25,6 | 22,3 | |
55 | 8,0 | 48,4 | 2 | - | 58,2 | 44,9 | 36,7 | 31,2 | 27,1 | |
56 | 9,0 | 58,3 | 2 | - | - | 51,7 | 42,2 | 35,7 | 31,0 | |
57 | 10,0 | 68,9 | 3 | - | - | 61,4 | 50,2 | 42,6 | 37,0 | |
58 | 12,0 | 92,1 | 2 | - | - | - | 58,1 | 49,1 | 42,7 | |
59 | 14,0 | 117,6 | 3 | - | - | - | 74,4 | 62,9 | 54,6 | |
60 | 16,0 | 161,0 | 4 | - | - | - | 101,5 | 85,8 | 74,4 | |
61 | 18,0 | 201,6 | 4 | - | - | - | 126,2 | 106,6 | 92,3 | |
62 | 20,0 | 244,6 | 5 | - | - | - | 154,3 | 130,3 | 112,9 | |
63 | У10 ![]() | 3,0 | 9,5 | 1 | 16,5 | 13,5 | 10,6 | 8,8 | 7,6 | - |
64 | 4,0 | 15,4 | 1 | 25,8 | 20,9 | 16,3 | 13,4 | 11,5 | - | |
65 | 5,0 | 22,2 | 1 | - | 28,3 | 22,0 | 18,1 | 15,4 | 13,4 | |
66 | 6,0 | 30,1 | 2 | - | 38,5 | 30,1 | 24,7 | 21,0 | 18,4 | |
67 | 7,0 | 38,8 | 2 | - | 47,1 | 36,5 | 29,9 | 25,4 | 22,2 | |
68 | 8,0 | 48,5 | 2 | - | 58,3 | 45,0 | 36,8 | 31,2 | 27,2 | |
69 | 9,0 | 58,9 | 2 | - | - | 52,1 | 42,6 | 36,0 | 31,3 | |
70 | 10,0 | 70,1 | 3 | - | - | 62,4 | 51,0 | 43,2 | 37,6 | |
71 | 12,0 | 94,5 | 2 | - | - | - | 59,8 | 50,5 | 43,8 | |
Индекс | а | б | в | г | д | е | ||||
У8 | Ручная аргонодуговая сварка неплавящимся электродом с присадкой легированных и высоколегированных сталей | |||||||||
Карта 66 | ||||||||||
Шов с противоположной стороны | ||||||||||
Номер позиции | Тип шва | Толщина металла, мм | Площадь сечения, мм2 | Количество проходов | Диаметр проволоки, мм | |||||
1,6 | 2,0 | 3,0 | 4,0 | 5,0 | 6,0 | |||||
Неполное штучное время на 1 м шва, мин. | ||||||||||
1 | У8 ![]() | 6,0 | 8,8 | 1 | - | 12,0 | 9,5 | 7,9 | 6,8 | 6,1 |
2 | 7,0 | 11,5 | 1 | - | 14,6 | 11,5 | 9,5 | 8,2 | 7,2 | |
3 | 8,0 | 14,5 | 1 | - | 18,1 | 14,1 | 11,7 | 10,0 | 8,8 | |
4 | 9,0 | 17,7 | 1 | - | - | 16,4 | 13,5 | 11,5 | 10,1 | |
5 | 10,0 | 21,2 | 1 | - | - | 19,4 | 15,9 | 13,5 | 11,8 | |
6 | 12,0 | 29,0 | 1 | - | - | - | 19,0 | 16,2 | 14,2 | |
7 | 14,0 | 37,8 | 1 | - | - | - | 24,4 | 20,7 | 18,0 | |
8 | 16,0 | 47,5 | 1 | - | - | - | 30,3 | 25,7 | 22,3 | |
9 | 18,0 | 58,1 | 2 | - | - | - | 37,5 | 31,8 | 27,7 | |
10 | 20,0 | 69,6 | 2 | - | - | - | 44,5 | 37,7 | 32,8 | |
Индекс | а | б | в | г | д | е | ||||
Н1, Н2, У4, У5, У7, У10, Т1, Т3 | Ручная аргонодуговая сварка неплавящимся электродом с присадкой легированных и высоколегированных сталей | |||||||||
Карта 67 | ||||||||||
Основной шов | ||||||||||
Номер позиции | Тип шва | Катет шва, мм | Площадь сечения, мм2 | Количество проходов | Диаметр проволоки, мм | |||||
1,6 | 2,0 | 3,0 | 4,0 | 5,0 | 6,0 | |||||
Неполное штучное время на 1 м шва, мин. | ||||||||||
1 | Н1 ![]() | 1,0 | 1,4 | 1 | 3,5 | 3,0 | 2,5 | - | - | - |
2 | 1,5 | 2,7 | 1 | 5,5 | 4,7 | 3,8 | 3,3 | - | - | |
3 | Н2 ![]() | 2,0 | 4,2 | 1 | 8,2 | 6,8 | 5,4 | 4,6 | - | - |
4 | 2,5 | 6,1 | 1 | 10,7 | 8,8 | 7,0 | 5,8 | 5,1 | - | |
5 | У4 ![]() | 3,0 | 8,1 | 1 | 14,0 | 11,4 | 9,0 | 7,4 | 6,4 | - |
6 | 4,0 | 12,8 | 1 | 21,5 | 17,4 | 13,6 | 11,2 | 9,5 | - | |
7 | У5 ![]() | 5,0 | 21,2 | 1 | - | 26,8 | 20,9 | 17,1 | 14,5 | 12,6 |
8 | 6,0 | 29,3 | 2 | - | 37,1 | 28,9 | 23,7 | 20,2 | 17,6 | |
9 | У7 ![]() | 7,0 | 38,4 | 2 | - | 46,3 | 35,8 | 29,2 | 24,8 | 21,6 |
10 | 8,0 | 48,6 | 2 | - | 58,1 | 44,8 | 36,6 | 31,0 | 26,9 | |
11 | У10 ![]() | 9,0 | 59,9 | 2 | - | - | 52,6 | 42,9 | 36,3 | 31,5 |
12 | 10,0 | 72,1 | 3 | - | - | 63,6 | 51,9 | 43,9 | 38,1 | |
Т1 ![]() | ||||||||||
Т3 ![]() | ||||||||||
Индекс | а | б | в | г | д | е | ||||
С2, С4, С5, С6, С28 | Ручная аргонодуговая сварка неплавящимся электродом без присадки легированных и высоколегированных сталей | |||||||||
Карта 68 | ||||||||||
Основной шов | ||||||||||
Номер позиции | Тип шва | Толщина металла, мм | Площадь сечения, мм2 | Количество проходов | Диаметр проволоки, мм | |||||
1,6 | 2,0 | 3,0 | 4,0 | 5,0 | 6,0 | |||||
Неполное штучное время на 1 м шва, мин. | ||||||||||
1 | С2 ![]() | 1,0 | 5,8 | 1 | 12,4 | 10,2 | 8,0 | 6,7 | - | - |
2 | 1,5 | 10,1 | 1 | 20,0 | 16,2 | 12,6 | 10,4 | 8,9 | - | |
3 | 2,0 | 10,5 | 1 | 20,7 | 16,8 | 13,1 | 10,8 | 9,2 | - | |
4 | 2,5 | 11,0 | 1 | 20,9 | 17,1 | 13,2 | 11,1 | 9,3 | 8,1 | |
5 | 3,0 | 11,4 | 1 | 21,6 | 17,6 | 13,7 | 11,4 | 9,6 | 8,3 | |
6 | 4,0 | 12,0 | 1 | 22,4 | 18,1 | 14,1 | 11,6 | 9,9 | 8,7 | |
7 | 5,0 | 18,7 | 1 | 33,3 | 26,9 | 20,9 | 17,1 | 14,5 | 12,6 | |
8 | 6,0 | 19,7 | 1 | - | 27,6 | 21,5 | 17,5 | 14,9 | 13,0 | |
9 | С4 ![]() | 1,0 | 4,5 | 1 | 9,9 | 8,2 | 6,5 | 5,4 | - | - |
10 | 1,5 | 5,7 | 1 | 11,7 | 9,5 | 7,5 | 6,3 | 5,4 | - | |
11 | 2,0 | 6,7 | 1 | 13,5 | 11,0 | 8,7 | 7,2 | 6,2 | - | |
12 | 2,5 | 11,8 | 1 | 22,3 | 18,2 | 14,1 | 11,8 | 9,9 | 8,6 | |
13 | 3,0 | 12,1 | 1 | 23,0 | 18,7 | 14,5 | 12,1 | 10,2 | 8,8 | |
14 | 4,0 | 12,7 | 1 | 23,5 | 19,0 | 14,8 | 12,2 | 10,4 | 9,1 | |
15 | 5,0 | 13,1 | 1 | 23,8 | 19,2 | 15,0 | 12,3 | 10,5 | 9,2 | |
16 | 6,0 | 13,5 | 1 | - | 19,3 | 15,0 | 12,3 | 10,5 | 9,2 | |
17 | С5 ![]() | 1,0 | 3,7 | 1 | 8,4 | 7,0 | 5,5 | 4,7 | - | - |
18 | 1,5 | 4,4 | 1 | 9,3 | 7,7 | 6,1 | 5,1 | 4,5 | - | |
19 | 2,0 | 5,0 | 1 | 10,4 | 8,5 | 6,7 | 5,6 | 4,9 | - | |
20 | 2,5 | 10,3 | 1 | 19,6 | 16,0 | 12,4 | 10,4 | 8,8 | 7,6 | |
21 | 3,0 | 10,6 | 1 | 20,2 | 16,5 | 12,8 | 10,7 | 9,0 | 7,8 | |
22 | 4,0 | 11,2 | 1 | 20,8 | 16,9 | 13,1 | 10,8 | 9,2 | 8,1 | |
23 | 5,0 | 11,6 | 1 | 21,1 | 17,1 | 13,4 | 11,0 | 9,4 | 8,2 | |
24 | 6,0 | 12,0 | 1 | - | 17,2 | 13,5 | 11,1 | 9,5 | 8,3 | |
25 | С6 ![]() | 1,0 | 3,8 | 1 | 8,4 | 7,0 | 5,6 | 4,7 | - | - |
26 | 1,5 | 4,5 | 1 | 9,5 | 7,8 | 6,2 | 5,2 | 4,5 | - | |
27 | 2,0 | 5,1 | 1 | 10,7 | 8,7 | 6,9 | 5,8 | 5,0 | - | |
28 | 2,5 | 10,4 | 1 | 19,8 | 16,2 | 12,5 | 10,5 | 8,8 | 7,7 | |
29 | 3,0 | 10,7 | 1 | 20,4 | 16,6 | 12,9 | 10,8 | 9,1 | 7,9 | |
30 | 4,0 | 11,2 | 1 | 20,9 | 17,0 | 13,2 | 10,9 | 9,3 | 8,2 | |
31 | 5,0 | 11,7 | 1 | 21,3 | 17,2 | 13,5 | 11,1 | 9,5 | 8,3 | |
32 | 6,0 | 12,1 | 1 | - | 17,3 | 13,6 | 11,1 | 9,5 | 8,3 | |
33 | С28 ![]() | 1,0 | 6,6 | 1 | 13,9 | 11,5 | 9,0 | 7,5 | - | - |
34 | 1,5 | 8,7 | 1 | 17,3 | 14,1 | 11,1 | 9,1 | 7,8 | - | |
35 | 2,0 | 10,6 | 1 | 20,8 | 16,9 | 13,2 | 10,9 | 9,3 | - | |
36 | 2,5 | 17,7 | 1 | 33,0 | 26,8 | 20,6 | 17,2 | 14,4 | 12,4 | |
37 | 3,0 | 20,3 | 1 | 37,8 | 30,7 | 23,5 | 19,6 | 16,4 | 14,1 | |
38 | 4,0 | 25,3 | 1 | 45,7 | 36,9 | 28,5 | 23,2 | 19,7 | 17,1 | |
Индекс | а | б | в | г | д | е | ||||
Карта 69 | |||||||||
Номер позиции | Тип шва | Тип материала | |||||||
сталь, АМГ и алюминиевые сплавы | медь и медно-никелевые сплавы | ||||||||
Вид разделки кромок | |||||||||
без скоса | со скосом | без скоса | со скосом | ||||||
Количество проходов, шт. | |||||||||
1 | 2 и более | 1 | 2 и более | 1 | 2 и более | 1 | 2 и более | ||
Время на 1 м шва за один проход, мин. | |||||||||
1 | Стыковой | 0,30 | 0,50 | 0,33 | 0,55 | 0,40 | 0,60 | 0,44 | 0,66 |
2 | Тавровый | 0,33 | 0,55 | 0,36 | 0,61 | - | - | - | - |
3 | Угловой | 0,36 | 0,60 | 0,40 | 0,66 | 0,46 | 0,69 | 0,51 | 0,76 |
4 | Нахлесточный | 0,32 | 0,53 | 0,35 | 0,58 | 0,42 | 0,63 | 0,46 | 0,69 |
Индекс | а | б | в | г | д | е | ж | з | |
Карта 70 | ||||
Номер позиции | Тип шва | |||
стыковой | тавровый | угловой | нахлесточный | |
Время на 1 м шва, мин. | ||||
1 | 0,20 | 0,30 | 0,25 | 0,22 |
Индекс | а | б | в | г |
Карта 71 | ||||||
Номер позиции | Диаметр сварочной проволоки, мм | |||||
0,8 | 1,0 | 1,2 | 1,4 | 1,6 | 2,0 | |
Время на 1 м за один проход, мин. | ||||||
1 | 0,20 | 0,20 | 0,20 | 0,25 | 0,25 | 0,25 |
Индекс | а | б | в | г | д | е |
Карта 72 | ||||||
Номер позиции | Диаметр присадочных прутков, мм | |||||
1,0 | 2,0 | 3,0 | 4,0 | 5,0 | 6,0 | |
Время на 1 м шва при площади поперечного сечения шва 1 мм2, мин. | ||||||
1 | 0,31 | 0,08 | 0,06 | 0,04 | 0,02 | 0,01 |
Индекс | а | б | в | г | д | е |
Карта 73 | ||
Номер позиции | Наименование операции | |
Установка головки автомата по центру стыка и проката автомата вхолостую | ||
Время на 1 м шва, мин. | ||
1 | 0,15 | |
Индекс | а | |
Карта 74 | ||||||
Номер позиции | Тип шва | Положение шва в пространстве | ||||
нижнее | потолочное | |||||
нижнее | потолочное | |||||
Время на 1 м шва, мин. | ||||||
1 | Стыковой или нахлесточный | 0,38 | 0,41 | 0,57 | 0,62 | |
2 | Тавровый или угловой | 0,43 | 0,46 | 0,51 | 0,63 | 0,65 |
Индекс | а | б | в | г | д | |
Карта 75 | |||||||||
Но мер позиции | Способ зачистки | Тип шва | Толщина металла, мм, до | Способ подготовки околошовной зоны | |||||
без обмазки | с обмазкой | ||||||||
Положение шва в пространстве | |||||||||
нижнее | вертикальное или горизонтальное | потолочное | нижнее | вертикальное или горизонтальное | потолочное | ||||
Время на 1 м шва, мин. | |||||||||
1 | Ручным инструментом (зубилом и стальной щеткой) | Стыковой | 5 | 0,38 | 0,34 | 0,36 | 0,27 | 0,29 | |
2 | 10 | 0,57 | 0,54 | 0,46 | 0,40 | 0,43 | |||
3 | 20 | 0,70 | 0,63 | 0,66 | 0,56 | 0,49 | 0,52 | ||
4 | 30 и более | 0,83 | 0,75 | 0,79 | 0,66 | 0,58 | 0,62 | ||
5 | Тавровый, угловой или нахлесточный | 5 | 0,51 | 0,46 | 0,48 | 0,41 | 0,36 | 0,38 | |
6 | 10 | 0,76 | 0,68 | 0,72 | 0,61 | 0,53 | 0,57 | ||
7 | 20 | 0,89 | 0,80 | 0,84 | 0,71 | 0,62 | 0,66 | ||
8 | 30 и более | 0,95 | 0,91 | 0,90 | 0,76 | 0,63 | 0,71 | ||
9 | Механизированным инструментом (пневмоинструментом) | Стыковой | 5 | 0,26 | 0,23 | 0,24 | 0,21 | 0,18 | 0,20 |
10 | 10 | 0,34 | 0,31 | 0,32 | 0,27 | 0,24 | 0,25 | ||
11 | 20 | 0,49 | 0,44 | 0,46 | 0,39 | 0,34 | 0,36 | ||
12 | 30 и более | 0,64 | 0,58 | 0,61 | 0,51 | 0,45 | 0,48 | ||
13 | Тавровый, угловой или нахлесточный | 5 | 0,38 | 0,34 | 0,36 | 0,30 | 0,26 | 0,28 | |
14 | 10 | 0,51 | 0,46 | 0,48 | 0,41 | 0,36 | 0,38 | ||
15 | 20 | 0,64 | 0,58 | 0,61 | 0,51 | 0,45 | 0,48 | ||
16 | 30 и более | 0,76 | 0,68 | 0,72 | 0,61 | 0,53 | 0,57 | ||
Индекс | а | б | в | г | д | е | |||
Карта 76 | |||||||||
Но мер позиции | Способ зачистки | Тип материала | Толщина материала, мм, до | Вид разделки кромок | |||||
без скоса | со скосом | ||||||||
Тип шва | |||||||||
стыковой | тавровый | угловой или нахлесточный | стыковой | тавровый | угловой или нахлесточный | ||||
Время на 1 м шва, мин. | |||||||||
1 | Ручным инструментом (зубилом и стальной щеткой) | Сталь, АМГ и алюминиевые сплавы | 10 | 0,54 | 0,64 | 0,59 | 0,59 | 0,70 | 0,65 |
2 | 20 | 0,64 | 0,75 | 0,70 | 0,70 | 0,83 | 0,77 | ||
3 | 30 | 0,75 | 0,89 | 0,82 | 0,82 | 0,97 | 0,90 | ||
4 | 40 и более | 0,86 | 1,02 | 0,94 | 0,94 | 1,22 | 1,03 | ||
5 | Медь и медно-никелевые сплавы | 3 | 0,54 | - | 0,59 | 0,59 | 0,70 | 0,65 | |
6 | 6 | 0,59 | - | 0,65 | 0,65 | 0,77 | 0,71 | ||
7 | 10 | 0,64 | - | 0,70 | 0,70 | 0,83 | 0,77 | ||
8 | Механизированным инструментом (пневмоинструментом) | Сталь, АМГ и алюминиевые сплавы | 10 | 0,43 | 0,51 | 0,47 | 0,47 | 0,56 | 0,52 |
9 | 20 | 0,51 | 0,60 | 0,56 | 0,56 | 0,66 | 0,61 | ||
10 | 30 | 0,60 | 0,71 | 0,66 | 0,66 | 0,77 | 0,72 | ||
11 | 40 и более | 0,69 | 0,81 | 0,75 | 0,75 | 0,97 | 0,82 | ||
12 | Медь и медно-никелевые сплавы | 3 | 0,43 | - | 0,47 | 0,47 | 0,56 | 0,52 | |
13 | 6 | 0,47 | - | 0,52 | 0,52 | 0,61 | 0,57 | ||
14 | 10 | 0,51 | - | 0,56 | 0,56 | 0,66 | 0,61 | ||
Индекс | а | б | в | г | д | е | |||
Карта 77 | ||||||
Номер позиции | Диаметр присадочных прутков, мм | |||||
1,0 | 2,0 | 3,0 | 4,0 | 5,0 | 6,0 | |
Время на 1 м прутка, мин. | ||||||
1 | 0,16 | 0,18 | 0,19 | 0,20 | 0,21 | 0,22 |
Индекс | а | б | в | г | д | е |
Карта 78 | ||||||
Номер позиции | Положение шва в пространстве | |||||
нижнее | вертикальное или горизонтальное | потолочное | наклонное | трубы | ||
нижнее | потолочное | |||||
Время на одно клеймение, мин. | ||||||
1 | 0,21 | 0,23 | 0,32 | 0,22 | 0,29 | 0,26 |
Индекс | а | б | в | г | д | е |
Карта 79 | |||||
Номер позиции | Количество щитов, шт. | ||||
1 | 2 | 3 | 4 | 5 | |
Время на комплект щитов, мин. | |||||
1 | 0,85 | 1,19 | 1,52 | 1,86 | 2,21 |
Индекс | а | б | в | г | д |
Карта 80 | ||||||
Номер позиции | Способ крепления | Длина завертывания, мм, до | ||||
20 | 30 | 40 | 50 | 60 | ||
Время на одно крепление и открепление, мин., до | ||||||
1 | Стационарным винтовым прижимом | 0,30 | 0,40 | 0,50 | 0,60 | 0,70 |
2 | Пневмоприжимом | 0,10 | 0,10 | 0,10 | 0,10 | 0,10 |
3 | Струбциной съемной | 0,40 | 0,50 | 0,60 | 0,70 | 0,80 |
4 | Струбциной откидной (односторонняя) | 0,30 | 0,40 | 0,50 | 0,60 | 0,70 |
5 | Струбциной откидной (двусторонняя) | 0,41 | 0,55 | 0,67 | 0,78 | 0,90 |
6 | Барашком | 0,15 | 0,18 | 0,23 | - | - |
7 | Ручными тисками | 0,27 | 0,36 | 0,45 | 0,54 | 0,63 |
Индекс | а | б | в | г | д | |
Карта 81 | |||||||||||
Содержание работы | |||||||||||
1. Застропить изделие, транспортировать, уложить на рабочее место и расстропить. 2. Застропить изделие, транспортировать и уложить на место складирования и расстропить. | |||||||||||
Номер позиции | Вид установки | Способ застропливания | Грузоподъемные механизмы | ||||||||
кран | электротельфер | ||||||||||
Количество точек крепления, шт. | |||||||||||
1 | 2 | 3 | 4 | 1 | 2 | 3 | 4 | ||||
Время на изделие, мин. | |||||||||||
1 | Горизонтально на стенд | Струбцинами | 3,23 | 5,43 | 7,56 | 9,72 | 1,94 | 3,26 | 4,54 | 5,83 | |
2 | Крюками | 2,23 | 3,43 | 4,56 | 5,69 | 1,34 | 2,06 | 2,74 | 3,41 | ||
3 | Лапами | 2,43 | 3,83 | 5,16 | 6,49 | 1,46 | 2,30 | 3,10 | 3,89 | ||
4 | Тросами | 2,63 | 4,23 | 5,76 | 7,29 | 1,58 | 2,54 | 3,46 | 4,37 | ||
5 | Вертикально на стенд | Струбцинами | 5,49 | 9,23 | 12,85 | 16,52 | 3,29 | 5,54 | 7,71 | 9,91 | |
6 | Крюками | 3,79 | 5,83 | 7,75 | 9,67 | 2,27 | 3,50 | 4,65 | 5,80 | ||
7 | Лапами | 4,13 | 6,51 | 8,77 | 11,03 | 2,48 | 3,91 | 5,26 | 6,62 | ||
8 | Тросами | 4,47 | 7,19 | 9,79 | 12,39 | 2,68 | 4,31 | 5,87 | 7,43 | ||
9 | Наклонно на стенд | Струбцинами | 6,14 | 10,32 | 14,36 | 18,47 | 3,68 | 6,19 | 8,62 | 11,08 | |
10 | Крюками | 4,24 | 6,52 | 8,66 | 10,81 | 2,54 | 3,91 | 5,20 | 6,49 | ||
11 | Лапами | 4,62 | 7,28 | 9,80 | 12,33 | 2,77 | 4,37 | 5,88 | 7,40 | ||
12 | Тросами | 5,00 | 8,04 | 10,94 | 13,85 | 3,00 | 4,82 | 6,56 | 8,31 | ||
13 | Горизонтально на подставки | Струбцинами | 4,20 | 7,06 | 9,83 | 12,64 | 2,52 | 4,24 | 5,90 | 7,58 | |
14 | Крюками | 2,90 | 4,46 | 5,93 | 7,40 | 1,74 | 2,68 | 3,56 | 4,44 | ||
15 | Лапами | 3,16 | 4,98 | 6,71 | 8,44 | 1,90 | 2,99 | 4,03 | 5,06 | ||
16 | Тросами | 3,42 | 5,50 | 7,49 | 9,48 | 2,05 | 3,30 | 4,49 | 5,69 | ||
Индекс | а | б | в | г | д | е | ж | з | |||
Карта 82 | |||||
Номер позиции | Масса изделия, кг, до | Наименование операции | |||
установка и снятие | поворот | ||||
на стол | в приспособление | ||||
Время на изделие, мин. | |||||
1 | 0,3 | 0,12 | 0,17 | 0,06 | |
2 | 0,5 | 0,15 | 0,20 | 0,07 | |
3 | 0,8 | 0,17 | 0,24 | 0,08 | |
4 | 1,0 | 0,18 | 0,26 | 0,09 | |
5 | 1,5 | 0,22 | 0,31 | 0,11 | |
6 | 2,0 | 0,23 | 0,34 | 0,12 | |
7 | 3,0 | 0,28 | 0,40 | 0,13 | |
8 | 5,0 | 0,32 | 0,47 | 0,15 | |
9 | 8,0 | 0,38 | 0,56 | 0,18 | |
10 | 10,0 | 0,41 | 0,60 | 0,20 | |
11 | 15,0 | 0,49 | 0,71 | 0,24 | |
12 | 20,0 | 0,53 | 0,78 | 0,26 | |
13 | 30,0 | 0,86 | 0,28 | ||
Индекс | а | б | в | ||
Карта 83 | ||||||||||
Номер позиции | Угол поворота, град. | Скорость вращения, м/ч | Диаметр изделия, м, до | |||||||
0,5 | 0,75 | 1,0 | 1,5 | 2,0 | 2,5 | 3,0 | 4,0 | |||
Время одного поворота, мин. | ||||||||||
1 | 90 | 45 | 0,6 | 0,9 | 1,2 | 1,75 | 2,3 | 2,9 | 3,5 | 4,66 |
2 | 30 | 0,9 | 1,31 | 1,8 | 2,7 | 3,4 | 4,4 | 5,2 | 6,1 | |
3 | 180 | 45 | 1,15 | 1,8 | 2,3 | 3,5 | 4,7 | 5,9 | 7,1 | 9,4 |
4 | 30 | 1,7 | 2,6 | 3,4 | 5,3 | 7,1 | 8,8 | 10,6 | 14,1 | |
5 | 270 | 45 | 1,7 | 2,6 | 3,4 | 5,0 | 6,6 | 8,2 | 9,8 | 13,0 |
6 | 30 | 2,6 | 3,9 | 5,3 | 7,9 | 10,6 | 13,2 | 15,8 | 21,1 | |
1 | 360 | 45 | 2,3 | 3,5 | 4,7 | 7,0 | 9,4 | 11,7 | 14,1 | 18,7 |
8 | 30 | 3,5 | 5,3 | 7,0 | 10,6 | 14,1 | 17,6 | 21,1 | 28,1 | |
Индекс | а | б | в | г | д | е | ж | з | ||
Карта 84 | ||||||||||
Номер позиции | Вид сварки | Расстояние перемещения, м, до | ||||||||
0,5 | 1,0 | 2,0 | 3,0 | 4,0 | 5,0 | 6,0 | 7,0 | 8,0 | ||
Время на одно перемещение, мин. | ||||||||||
1 | Автоматическая | 0,13 | 0,17 | 0,25 | 0,33 | 0,40 | 0,46 | 0,51 | 0,56 | 0,61 |
2 | Полуавтоматическая | 0,11 | 0,14 | 0,21 | 0,28 | 0,34 | 0,40 | 0,45 | 0,50 | 0,55 |
3 | Ручная | 0,10 | 0,13 | 0,20 | 0,27 | 0,33 | 0,39 | 0,44 | 0,49 | 0,54 |
Индекс | а | б | в | г | д | е | ж | з | и | |
Карта 85 | |||||||||
Номер позиции | Диаметр кассеты D, мм | Скорость намотки, об./мин. | Диаметр проволоки, мм | ||||||
0,8 | 1,0 | 1,2 | 1,4 | 1,6 | 2,0 | ||||
Время на одну кассету, мин. | |||||||||
1 | 200 | 70 | 23,4 | 18,8 | 15,6 | 13,4 | 11,7 | 9,4 | |
2 | 80 | 20,5 | 16,4 | 13,4 | 11,7 | 10,3 | 8,2 | ||
3 | 90 | 18,2 | 14,5 | 12,1 | 10,4 | 9,1 | 7,3 | ||
4 | 100 | 16,4 | 13,1 | 10,9 | 9,4 | 8,2 | 6,6 | ||
5 | 300 | 70 | 39,2 | 31,2 | 26,0 | 22,3 | 19,5 | 15,6 | |
6 | 80 | 34,2 | 27,3 | 22,8 | 19,5 | 17,1 | 13,6 | ||
7 | 90 | 30,4 | 24,3 | 20,3 | 17,4 | 15,2 | 12,15 | ||
8 | 100 | 27,3 | 21,9 | 18,2 | 15,6 | 13,7 | 10,9 | ||
9 | 400 | 70 | 54,7 | 43,7 | 36,4 | 31,2 | 27,3 | 21,9 | |
10 | 80 | 47,8 | 38,3 | 31,9 | 27,3 | 23,9 | 19,1 | ||
11 | 90 | 42,5 | 34,0 | 28,4 | 24,3 | 21,3 | 17,0 | ||
12 | 100 | 38,3 | 30,6 | 25,5 | 21,9 | 19,1 | 15,3 | ||
Индекс | а | б | в | г | д | е | |||
Карта 86 | |||||
Номер позиции | Наименование работы | Способ подачи защитного газа | |||
от баллона | от магистрали | ||||
Категория сложности работы | |||||
простая | сложная | простая | сложная | ||
Время, мин. | |||||
1 | Получение задания, документации, инструктажа от мастера, получение инструмента и его сдача | 3 | 6 | 3 | 6 |
2 | Ознакомление с работой | 2 | 6 | 2 | 6 |
3 | Установка, настройка и проверка режимов | 3 | 3 | 3 | 3 |
4 | Подготовка рабочего места в начале и в конце смены | 8 | 10 | 5 | 7 |
5 | Сдача работы | 1 | 3 | 1 | 3 |
6 | Итого | 28 | 24 | ||
Индекс | а | б | в | г | |
Карта 87 | |||||||
Номер позиции | Условия и место выполнения работ | Вид сварки | |||||
автоматическая | полуавтоматическая | ручная | |||||
Значение коэффициента K | |||||||
1 | Стационарное рабочее место в цехе | 1,00 | 1,00 | 1,00 | |||
2 | В цехе на рабочих площадках | 1,04 | 1,03 | ||||
3 | На открытой площадке вне цеха | 1,06 | 1,05 | 1,04 | |||
4 | Лежа | на спине | - | 1,12 | 1,10 | ||
5 | на боку | - | 1,10 | 1,08 | |||
6 | на груди | - | 1,08 | 1,06 | |||
7 | Движение ограничено дополнительными конструктивными элементами | 1,05 | 1,04 | ||||
8 | В закрытых помещениях объемом, м3 | 1 | - | - | 1,08 | ||
9 | 2 | - | 1,06 | ||||
10 | В закрытых помещениях объемом более 2 м3 | 1,07 | 1,04 | 1,03 | |||
11 | С помощью | зеркала | - | 1,07 | 1,05 | ||
12 | лестниц | - | 1,06 | 1,04 | |||
13 | подмостей | - | 1,05 | 1,03 | |||
14 | лесов | 1,04 | 1,03 | 1,02 | |||
15 | подвесных устройств | - | 1,04 | 1,03 | |||
Индекс | а | б | в | ||||
Карта 88 | ||||||
Номер позиции | Положение шва в пространстве | |||||
нижнее | вертикальное | горизонтальное | потолочное | наклонное | ||
нижнее | потолочное | |||||
Значение коэффициента K2 | ||||||
1 | 1,00 | 1,18 | 1,32 | 1,50 | 1,15 | 1,40 |
Индекс | а | б | в | г | д | е |
Карта 89 | |||||||
Номер позиции | Толщина металла, мм, до | Вид разделки кромок | |||||
без скоса | со скосом | ||||||
Шаг электроприхваток, мм, до | |||||||
100 | 200 | 300 | 100 | 200 | 300 | ||
Значение коэффициента K2 | |||||||
1 | 1 | 0,270 | 0,180 | - | - | - | - |
2 | 2 | 0,220 | 0,150 | - | - | - | - |
3 | 4 | 0,150 | 0,100 | 0,080 | 0,180 | 0,120 | 0,096 |
4 | 8 | 0,100 | 0,080 | 0,060 | 0,120 | 0,096 | 0,072 |
5 | 12 | 0,080 | 0,060 | 0,040 | 0,096 | 0,072 | 0,048 |
6 | 16 | 0,060 | 0,040 | 0,030 | 0,072 | 0,048 | 0,036 |
7 | 20 | - | - | - | 0,048 | 0,024 | 0,012 |
8 | 40 | - | - | - | 0,024 | 0,011 | 0,008 |
9 | 60 | - | - | - | 0,011 | 0,008 | 0,006 |
10 | 80 | - | - | - | 0,008 | 0,006 | 0,004 |
11 | 100 и более | - | - | - | 0,006 | 0,004 | 0,002 |
Индекс | а | б | в | г | д | е | |
Карта 90 | ||||||||
Номер позиции | Вид сварки | Вид шва | Длина шва, м, до | |||||
0,05 | 0,10 | 0,25 | 0,50 | свыше 0,50 | ||||
Значение коэффициента K3 | ||||||||
1 | Без подогрева или охлаждения | Прямолинейный | 1,30 | 1,25 | 1,20 | 1,10 | 1,00 | |
2 | Криволинейный | 1,37 | 1,31 | 1,25 | 1,16 | 1,05 | ||
3 | Кольцевой | поворотный | 1,33 | 1,28 | 1,22 | 1,12 | 1,00 | |
4 | неповоротный | 1,43 | 1,38 | 1,32 | 1,10 | |||
5 | Прерывистый | вразброс | 1,43 | 1,38 | 1,32 | 1,21 | 1,10 | |
6 | обратноступенчатый | 1,37 | 1,31 | 1,24 | 1,16 | 1,05 | ||
7 | последовательный | 1,17 | 1,13 | 1,08 | 0,99 | 0,90 | ||
8 | С охлаждением | Прямолинейный | 1,56 | 1,50 | 1,44 | 1,32 | 1,20 | |
9 | Криволинейный | 1,64 | 1,57 | 1,5 | 1,39 | 1,26 | ||
10 | Кольцевой | поворотный | 1,60 | 1,54 | 1,46 | 1,34 | 1,22 | |
11 | неповоротный | 1,72 | 1,66 | 1,58 | 1,45 | 1,32 | ||
12 | Прерывистой | вразброс | 1,72 | 1,66 | 1,58 | 1,45 | 1,32 | |
13 | обратноступенчатый | 1,64 | 1,57 | 1,50 | 1,39 | 1,26 | ||
14 | последовательный | 1,40 | 1,36 | 1,30 | 1,19 | 1,08 | ||
15 | С подогревом до 200 °C | Прямолинейный | 1,63 | 1,56 | 1,5 | 1,38 | 1,25 | |
16 | Криволинейный | 1,71 | 1,69 | 1,56 | 1,45 | 1,31 | ||
17 | Кольцевой | поворотный | 1,66 | 1,6 | 1,53 | 1,4 | 1,28 | |
18 | неповоротный | 1,79 | 1,73 | 1,65 | 1,51 | 1,38 | ||
19 | Прерывистый | вразброс | 1,79 | 1,73 | 1,65 | 1,51 | 1,38 | |
20 | обратноступенчатый | 1,71 | 1,69 | 1,56 | 1,45 | 1,31 | ||
21 | последовательный | 1,46 | 1,41 | 1,35 | 1,24 | 1,13 | ||
22 | С подогревом свыше 200 °C | Прямолинейный | 1,76 | 1,69 | 1,62 | 1,49 | 1,35 | |
23 | Криволинейный | 1,85 | 1,77 | 1,69 | 1,57 | 1,42 | ||
24 | Кольцевой | поворотный | 1,8 | 1,73 | 1,65 | 1,51 | 1,38 | |
25 | неповоротный | 1,93 | 1,86 | 1,78 | 1,63 | 1,49 | ||
26 | Прерывистый | вразброс | 1,93 | 1,86 | 1,78 | 1,63 | 1,49 | |
27 | обратноступенчатый | 1,85 | 1,77 | 1,69 | 1,57 | 1,42 | ||
28 | последовательный | 1,58 | 1,53 | 1,46 | 1,34 | 1,22 | ||
Карта 91 | ||
Номер позиции | Наименование операций | |
строжка корня шва | строжка кромок стыков | |
Значение коэффициента K4 | ||
1 | 1,2 | 0,8 |
Индекс | а | б |
Приложение 1 | |||||
N позиции | Свариваемый материал | Толщина металла, мм, до | |||
10 | 100 | 10 | 100 | ||
Площадь поперечного сечения, мм2, до | |||||
первого прохода | второго и последующих проходов | ||||
1 | Углеродистые и низколегированные стали | 10 | 30 | 40 | 50 |
2 | Высоколегированные и легированные стали | 10 | 30 | 40 | 50 |
3 | Алюминий и алюминиевые сплавы | 10 | 20 | 30 | 40 |
4 | Медь и медно-никелевые сплавы | 10 | 15 | 25 | 35 |
Индекс | а | б | в | г | |
Приложение 2 | |||||||
N позиции | Тип металла | ||||||
углеродистые и низколегированные стали | легированные и высоколегированные стали | алюминий и его сплавы | медь и ее сплавы | ||||
Вид сварки | |||||||
плавящимся электродом | неплавящимся электродом | плавящимся электродом | неплавящимся электродом | плавящимся электродом | неплавящимся электродом | ||
Значение коэффициента | |||||||
1 | 14 | 12 | 4 | 9 | 2 | 15 | 4 |
Индекс | а | б | в | г | д | е | ж |
Приложение 3 | |||
N позиции | Тип металла | ||
легированные и высоколегированные стали | алюминий и его сплавы | медь и ее сплавы | |
Значение коэффициента | |||
1 | 7,84 | 2,70 | 8,96 |
Индекс | а | б | в |
Приложение 4 | Лист 1 | |||||||
Номер позиции | Положение шва в пространстве | Толщина металла, мм, до | Диаметр сварочной проволоки, мм | |||||
0,8 | 1,0 | 1,2 | 1,4 | 1,6 | 2,0 | |||
Расчетное значение силы тока, А | ||||||||
1 | Нижнее | 0,8 | 86 | 98 | 106 | - | - | - |
2 | 1,0 | 86 | 98 | 106 | - | - | - | |
3 | 2,0 | 105 | 116 | 143 | 171 | - | - | |
4 | 3,0 | 108 | 122 | 148 | 179 | - | - | |
5 | 4,0 | 109 | 122 | 150 | 179 | - | - | |
6 | 5,0 | - | 164 | 178 | 218 | 252 | 290 | |
7 | 6,0 | - | 164 | 180 | 218 | 252 | 290 | |
8 | 8,0 | - | 170 | 185 | 220 | 258 | 300 | |
9 | 10,0 | - | 170 | 185 | 220 | 260 | 300 | |
10 | 20,0 | - | - | 200 | 245 | 285 | 326 | |
11 | 30,0 | - | - | 230 | 270 | 320 | 360 | |
12 | 60,0 | - | - | 250 | 295 | 345 | 395 | |
13 | 80,0 | - | - | - | 330 | 385 | 440 | |
14 | 160,0 | - | - | - | 358 | 418 | 480 | |
15 | Вертикальное | 0,8 | 77 | 88 | 95 | - | - | - |
16 | 1,0 | 77 | 88 | 95 | - | - | - | |
17 | 2,0 | 95 | 104 | 129 | 154 | - | - | |
18 | 3,0 | 97 | 110 | 133 | 161 | - | - | |
19 | 4,0 | 98 | 110 | 135 | 161 | - | - | |
20 | 5,0 | - | 148 | 160 | 196 | 227 | 261 | |
Индекс | а | б | в | г | д | е | ||
Расчетное значение силы тока в зависимости от положения шва в пространстве, диаметра сварочной проволоки и толщины металла | Приложение 4 | Лист 2 | ||||||
Номер позиции | Положение шва в пространстве | Толщина металла, мм, до | Диаметр сварочной проволоки, мм | |||||
0,8 | 1,0 | 1,2 | 1,4 | 1,6 | 2,0 | |||
Расчетное значение силы тока, А | ||||||||
21 | Вертикальное | 6,0 | - | 148 | 162 | 196 | 227 | 261 |
22 | 8,0 | - | 159 | 167 | 198 | 232 | 270 | |
23 | 10,0 | - | 159 | 167 | 198 | 234 | 270 | |
24 | 20,0 | - | - | 180 | 221 | 257 | 293 | |
25 | 30,0 | - | - | 207 | 243 | 288 | 324 | |
26 | 60,0 | - | - | 225 | 253 | 311 | 356 | |
27 | 80,0 | - | - | - | 297 | 347 | 396 | |
28 | 160,0 | - | - | - | 322 | 376 | 432 | |
29 | Горизонтальное, наклонно-нижнее, наклонно-потолочное, совмещенное (трубы) | 0,8 | 69 | 78 | 85 | - | - | - |
30 | 1,0 | 69 | 78 | 85 | - | - | - | |
31 | 2,0 | 84 | 93 | 114 | 137 | - | - | |
32 | 3,0 | 86 | 98 | 118 | 143 | - | - | |
33 | 4,0 | 87 | 98 | 120 | 143 | - | - | |
34 | 5,0 | - | 131 | 142 | 174 | 202 | 232 | |
35 | 6,0 | - | 131 | 142 | 174 | 202 | 232 | |
36 | 8,0 | - | 136 | 148 | 176 | 206 | 240 | |
37 | 10,0 | - | 136 | 148 | 176 | 208 | 240 | |
38 | 20,0 | - | - | 160 | 196 | 228 | 261 | |
39 | 30,0 | - | - | 184 | 216 | 256 | 288 | |
40 | 60,0 | - | - | 200 | 236 | 276 | 316 | |
41 | 80,0 | - | - | - | 264 | 308 | 352 | |
42 | 160,0 | - | - | - | 286 | 334 | 384 | |
43 | Потолочное | 0,8 | 52 | 59 | 64 | - | - | - |
44 | 1,0 | 52 | 59 | 64 | - | - | - | |
45 | 2,0 | 63 | 70 | 86 | 103 | - | - | |
46 | 3,0 | 65 | 73 | 89 | 107 | - | - | |
47 | 4,0 | 65 | 73 | 90 | 107 | - | - | |
48 | 5,0 | - | 98 | 107 | 131 | 151 | 174 | |
49 | 6,0 | - | 98 | 108 | 131 | 151 | 174 | |
50 | 8,0 | - | 102 | 111 | 132 | 155 | 180 | |
51 | 10,0 | - | 102 | 111 | 132 | 156 | 180 | |
52 | 20,0 | - | - | 120 | 147 | 171 | 196 | |
53 | 30,0 | - | - | 138 | 162 | 192 | 216 | |
54 | 60,0 | - | - | 150 | 177 | 207 | 237 | |
55 | 80,0 | - | - | - | 198 | 231 | 264 | |
56 | 160,0 | - | - | - | 215 | 251 | 288 | |
Индекс | а | б | в | г | д | е | ||
Приложение 5 | ||||||||||
N позиции | Диаметр сварочной проволоки, мм | Толщина металла, мм, до | ||||||||
1 | 2 | 3 | 4 | 5 | 6 | 8 | 10 | 15 | ||
Сила сварочного тока I, А | ||||||||||
1 | 0,8 | 65 | 70 | 80 | - | - | - | - | - | - |
2 | 1,0 | 75 | 80 | 90 | - | - | - | - | - | - |
3 | 1,2 | 80 | 87 | 100 | 118 | 127 | 135 | 145 | 158 | 180 |
4 | 1,4 | 90 | 100 | 120 | 150 | 160 | 170 | 180 | 190 | 209 |
5 | 1,6 | - | - | 135 | 160 | 170 | 180 | 200 | 220 | 250 |
6 | 2,0 | - | - | - | 190 | 200 | 210 | 230 | 250 | 300 |
Индекс | а | б | в | г | д | е | ж | з | и | |
Приложение 6 | ||||||||||
N позиции | Диаметр сварочной проволоки, мм | Катет шва, мм, до | ||||||||
2 | 3 | 4 | 5 | 6 | 8 | 10 | 12 | 14 и более | ||
Скорость сварки V, м/ч | ||||||||||
1 | 1,0 | 34 | 32 | 30 | 28 | - | - | - | - | - |
2 | 1,2 | 33 | 31 | 29 | 27 | 25 | 23 | - | - | - |
3 | 1,6 | 32 | 30 | 28 | 26 | 24 | 22 | 20 | - | - |
4 | 2,0 | - | 29 | 27 | 25 | 23 | 21 | 19 | 17 | 15 |
5 | 2,5 | - | - | 26 | 24 | 22 | 20 | 18 | 16 | 14 |
6 | 3,0 | - | - | 25 | 23 | 21 | 19 | 17 | 15 | 13 |
Индекс | а | б | в | г | д | е | ж | з | и | |
Приложение 7 | ||||||||||
N позиции | Диаметр сварочной проволоки, мм | Толщина металла, мм, до | ||||||||
2 | 3 | 4 | 6 | 8 | 10 | 16 | 20 | 30 и более | ||
Скорость сварки V, м/ч | ||||||||||
1 | 1,0 | 44 | 40 | 35 | 32 | - | - | - | - | - |
2 | 1,2 | 40 | 35 | 32 | 28 | 23 | 20 | - | - | - |
3 | 1,6 | - | 30 | 28 | 24 | 22 | 18 | 16 | - | - |
4 | 2,0 | - | - | 26 | 23 | 20 | 17 | 15 | 13 | 11 |
5 | 2,5 | - | - | 24 | 21 | 19 | 16 | 14 | 12 | 10 |
6 | 3,0 | - | - | - | 19 | 18 | 15 | 13 | 11 | 9 |
Индекс | а | б | в | г | д | е | ж | з | и | |
Приложение 8 | ||||||||||
N позиции | Диаметр присадочной проволоки, мм | Катет шва, мм, до | ||||||||
2 | 3 | 4 | 5 | 6 | 8 | 10 | 12 | 14 и более | ||
Скорость сварки V, м/ч | ||||||||||
1 | 1 | 30 | 28 | 26 | 24 | - | - | - | - | - |
2 | 2 | 29 | 27 | 25 | 23 | 21 | 19 | - | - | - |
3 | 3 | 28 | 26 | 24 | 22 | 20 | 18 | 16 | - | - |
4 | 4 | - | 25 | 23 | 21 | 19 | 17 | 15 | 13 | 11 |
5 | 5 | - | - | 22 | 20 | 18 | 16 | 14 | 12 | 10 |
6 | 6 | - | - | 21 | 19 | 17 | 15 | 13 | 11 | 9 |
Индекс | а | б | в | г | д | е | ж | з | и | |
Приложение 9 | ||||||||||
N позиции | Диаметр присадочной проволоки, мм | Толщина металла, мм, до | ||||||||
2 | 3 | 4 | 6 | 8 | 10 | 16 | 20 | 30 и более | ||
Скорость сварки V, м/ч | ||||||||||
1 | 1 | 40 | 35 | 30 | 28 | - | - | - | - | - |
2 | 2 | 35 | 30 | 28 | 24 | 22 | 20 | - | - | - |
3 | 3 | - | 28 | 26 | 22 | 20 | 18 | 13 | - | - |
4 | 4 | - | 24 | 22 | 20 | 19 | 17 | 12 | 9 | 8 |
5 | 5 | - | - | 20 | 18 | 17 | 16 | 11 | 8 | 7 |
6 | 6 | - | - | - | 16 | 15 | 14 | 10 | 7 | 6 |
Индекс | а | б | в | г | д | е | ж | з | и | |
Приложение 10 | ||||||||||
N позиции | Диаметр присадочной проволоки, мм | Толщина металла, мм, до | ||||||||
1 | 2 | 3 | 4 | 5 | 7 | 10 | 20 | 30 и более | ||
Сила тока, А | ||||||||||
1 | 1,0 | 70 | - | - | - | - | - | - | - | - |
2 | 2,0 | 75 | 80 | 90 | 100 | - | - | - | - | - |
3 | 3,0 | 110 | 120 | 140 | 160 | 180 | - | - | - | - |
4 | 4,0 | - | - | 200 | 220 | 260 | 280 | 300 | 360 | 420 |
5 | 5,0 | - | - | - | - | 270 | 290 | 310 | 380 | 450 |
6 | 6,0 | - | - | - | - | - | - | 460 | 480 | 500 |
Индекс | а | б | в | г | д | е | ж | з | и | |
Приложение 11 | ||||||||||
N позиции | Диаметр присадочной проволоки, мм | Толщина металла, мм, до | ||||||||
1 | 2 | 3 | 4 | 5 | 6 | 8 | 10 | 12 и более | ||
Сила тока, А | ||||||||||
1 | 1,0 | 55 | 65 | 70 | - | - | - | - | - | - |
2 | 2,0 | 70 | 90 | 110 | 130 | 150 | 170 | - | - | - |
3 | 3,0 | 90 | 110 | 130 | 150 | 170 | 190 | 210 | 230 | 250 |
4 | 4,0 | 110 | 130 | 150 | 170 | 190 | 210 | 230 | 250 | 270 |
5 | 5,0 | - | - | 170 | 190 | 210 | 230 | 250 | 270 | 290 |
6 | 6,0 | - | - | - | 210 | 230 | 250 | 270 | 290 | 310 |
Индекс | а | б | в | г | д | е | ж | з | и | |
Приложение 12 | ||||||||||
N позиции | Положение шва в пространстве | Диаметр присадочной проволоки, мм | Толщина металла, мм, до | |||||||
1 | 2 | 4 | 6 | 8 | 10 | 20 | 30 и более | |||
Расчетное значение силы тока, А | ||||||||||
1 | Нижнее | 1,6 | 94 | 99 | 104 | 109 | 114 | 120 | 135 | 156 |
2 | 2,0 | 117 | 123 | 130 | 137 | 143 | 149 | 169 | 195 | |
3 | 3,0 | 153 | 161 | 170 | 178 | 187 | 195 | 221 | 255 | |
4 | 4,0 | 189 | 199 | 210 | 220 | 231 | 241 | 273 | 315 | |
5 | 5,0 | 225 | 237 | 250 | 262 | 275 | 287 | 325 | 375 | |
6 | 6,0 | 261 | 275 | 290 | 304 | 319 | 333 | 377 | 435 | |
Индекс | а | б | в | г | д | е | ж | з | ||
Приложение 13 | ||||||||||
N позиции | Диаметр кольцевого стыка, мм, до | Диаметр кольцевого стыка, мм, до | ||||||||
- | 10 | 20 | 30 | 40 | 50 | 60 | 70 | 80 | ||
Значение длины кольцевого стыка, м, до | ||||||||||
1 | - | - | 0,031 | 0,063 | 0,094 | 0,120 | 0,160 | 0,190 | 0,220 | 0,250 |
2 | 90 | 0,280 | - | - | - | - | - | - | - | - |
3 | 100 | 0,314 | 0,340 | 0,370 | 0,410 | 0,440 | 0,470 | 0,503 | 0,530 | 0,560 |
4 | 200 | 0,638 | 0,66 | 0,69 | 0,73 | 0,75 | 0,79 | 0,81 | 0,85 | 0,88 |
5 | 300 | 0,94 | 0,97 | 1,00 | 1,03 | 1,07 | 1,10 | 1,13 | 1,16 | 1,19 |
6 | 400 | 1,26 | 1,29 | 1,32 | 1,35 | 1,38 | 1,42 | 1,44 | 1,48 | 1,50 |
7 | 500 | 1,57 | 1,60 | 1,63 | 1,66 | 1,69 | 1,73 | 1,76 | 1,79 | 1,82 |
8 | 600 | 1,88 | 1,91 | 1,95 | 1,97 | 2,00 | 2,04 | 2,10 | 2,12 | 2,14 |
9 | 700 | 2,20 | 2,23 | 2,26 | 2,29 | 2,32 | 2,35 | 2,39 | 2,42 | 2,45 |
10 | 800 | 2,51 | 2,54 | 2,57 | 2,60 | 2,63 | 2,67 | 2,70 | 2,73 | 2,76 |
11 | 900 | 2,83 | 2,86 | 2,89 | 2,92 | 2,95 | 2,98 | 3,02 | 3,05 | 3,08 |
12 | 1000 | 3,14 | - | - | - | - | - | - | - | - |
Индекс | а | б | в | г | д | е | ж | з | и | |
Приложение 14 | Лист 1 | |||
Индексы швов | Швы | Эскиз | Формула расчета площади поперечного сечения шва | |
С1 | Стыковых соединений с отбортовкой кромок односторонние | ![]() | F = b · iспр + 0,75 l q | |
С2 | Стыковых соединений без скоса кромок односторонние | ![]() | F = S · b + 0,75 (l q + l1 q1) | |
С3 | Стыковых соединений с отбортовкой одной кромки односторонние | ![]() | F = S · b + 0,75 l (q + i) | |
С4 | Стыковых соединений без скоса односторонние на съемной подкладке | ![]() | F = S · b + 0,75 l q | |
Наименование, индекс, вид шва и формулы расчета площади поперечного сечения швов | Приложение 14 | Лист 2 | ||
Индексы швов | Швы | Эскиз | Формула расчета площади поперечного сечения шва | |
С5 | Стыковых соединений без скоса кромок односторонние на остающейся подкладке | ![]() | F = S · b + 0,75 l q | |
С6 | Стыковых соединений без скоса кромок односторонние замковые | ![]() | F = S · b + 0,75 l q | |
С7 | Стыковых соединений без скоса кромок двусторонние | ![]() | ![]() | |
С8 | Стыковых соединений со скосом одной кромки односторонние | ![]() | ![]() | |
С9 | Стыковых соединений со скосом одной кромки односторонние на съемной подкладке | ![]() | ![]() | |
С10 | Стыковых соединений со скосом одной кромки односторонние на остающейся подкладке | ![]() | ![]() | |
Наименование, индекс, вид шва и формулы расчета площади поперечного сечения швов | Приложение 14 | Лист 3 | ||
Индексы швов | Швы | Эскиз | Формула расчета площади поперечного сечения шва | |
С11 | Стыковых соединений со скосом одной кромки односторонние замковые | ![]() | ![]() | |
С12 | Стыковых соединений со скосом одной кромки двусторонние | ![]() | - основной шовF = 0,75 l1 q1 - подварочный шов | |
С13 | Стыковых соединений с криволинейным скосом одной кромки двусторонние | ![]() | - основной шовF = 0,75 l1 q1 - подварочный шов | |
С14 | Стыковых соединений с ломаным скосом одной кромки двусторонние | ![]() | - основной шовF = 0,75 l1 q1 - с противоположной стороны | |
С15 | Стыковых соединений с двумя симметричными скосами одной кромки | ![]() | ![]() | |
С16 | Стыковых соединений с двумя симметричными криволинейными скосами одной кромки | ![]() | ![]() | |
Наименование, индекс, вид шва и формулы расчета площади поперечного сечения швов | Приложение 14 | Лист 4 | ||
Индексы швов | Швы | Эскиз | Формула расчета площади поперечного сечения шва | |
С17 | Стыковых соединений со скосом двух кромок односторонние | ![]() | ![]() | |
С18 | Стыковых соединений со скосом двух кромок односторонние на съемной подкладке | ![]() | ![]() | |
С19 | Стыковых соединений со скосом двух кромок односторонние на остающейся подкладке | ![]() | ![]() | |
С20 | Стыковых соединений со скосом двух кромок односторонние замковые | ![]() | ![]() | |
С21 | Стыковых соединений со скосом двух кромок двусторонние | ![]() | - основной шовF2 = 0,75 l1 q1 - подварочный шов | |
С22 | Стыковых соединений со ступенчатым скосом двух кромок односторонние | ![]() | ![]() | |
Наименование, индекс, вид шва и формулы расчета площади поперечного сечения швов | Приложение 14 | Лист 5 | ||
Индексы швов | Швы | Эскиз | Формула расчета площади поперечного сечения шва | |
С23 | Стыковых соединений с криволинейным скосом двух кромок двусторонние | ![]() | - основной шовF2 = 0,75 l1 q1 - подварочный шов | |
С24 | Стыковых соединений с ломаным скосом двух кромок двусторонние | ![]() | - основной шовF2 = 0,75l1q1 - подварочный шов | |
С25 | Стыковых соединений с двумя симметричными скосами двух кромок, двусторонние | ![]() | ![]() | |
С26 | Стыковых соединений с двумя симметричными криволинейными скосами двух кромок двусторонние | ![]() | ![]() | |
С27 | Швы соединений с двумя симметричными ломаными скосами двух кромок | ![]() | ![]() | |
Наименование, индекс, вид шва и формулы расчета площади поперечного сечения швов | Приложение 14 | Лист 6 | |
Индексы швов | Швы | Эскиз | Формула расчета площади поперечного сечения шва |
С28 | Стыковых соединений с отбортовкой двух кромок односторонние | ![]() | ![]() |
С49 | Стыковых соединений со скосом кромок и расточкой односторонние на остающемся цилиндрическом подкладном кольце | ![]() | ![]() |
С50 | Стыковых соединений со скосом кромок и расточкой односторонние на остающемся коническом подкладном кольце | ![]() | ![]() |
С51 | Стыковых соединений со скосом и раздачей кромок односторонние на остающейся конической подкладке | ![]() | ![]() |
С52 | Односторонний на остающейся цилиндрической подкладке с криволинейным скосом кромок с расточкой | ![]() | ![]() |
С53 | ![]() | ![]() | |
Наименование, индекс, вид шва и формулы расчета площади поперечного сечения швов | Приложение 14 | Лист 7 | |
Индексы швов | Швы | Эскиз | Формула расчета площади поперечного сечения шва |
С54 | Стыковых соединений со скосом кромок двусторонние | ![]() | ![]() |
С55 | Стыковых соединений со скосом кромок односторонние на съемной подкладке | ![]() | ![]() |
С57 | Стыковых соединений без скоса кромок с раздачей односторонние на остающейся цилиндрической подкладке | ![]() | F = S · b + 0,75 l q |
С58 | Стыковых соединений со скосом и раздачей кромок односторонние на остающейся цилиндрической подкладке | ![]() | ![]() |
С60 | Швы стыковых соединений без скоса кромок односторонние на съемной подкладке | ![]() | F = S · b + 0,75 l q |
У1 | Угловых соединений с отбортовкой одной кромки односторонние | ![]() | F = b · iспр + 0,75 l q |
Наименование, индекс, вид шва и формулы расчета площади поперечного сечения швов | Приложение 14 | Лист 8 | |
Индексы швов | Швы | Эскиз | Формула расчета площади поперечного сечения шва |
У2 | Угловых соединений с отбортовкой одной кромки односторонние | ![]() | ![]() |
У4 | Угловых соединений без скоса кромок односторонние | ![]() | ![]() F = S · b + 0,75 l q |
У5 | Угловых соединений без скоса кромок двусторонние | ![]() | F = S · b + 0,75 l q - основной шов - подварочный шов - основной шов - подварочный шов |
У6 | Угловых соединений со скосом одной кромки односторонние | ![]() | ![]() |
У7 | Угловых соединений со скосом одной кромки двусторонние | ![]() | - основной шов - подварочный шов |
У8 | Угловых соединений с двумя симметричными скосами одной кромки двусторонние | ![]() | ![]() |
Наименование, индекс, вид шва и формулы расчета площади поперечного сечения швов | Приложение 14 | Лист 9 | |
Индексы швов | Швы | Эскиз | Формула расчета площади поперечного сечения шва |
У9 | Угловых соединений со скосом двух кромок односторонние | ![]() | ![]() |
У10 | Угловых соединений со скосом двух кромок двусторонние | ![]() | - основной шов - подварочный шов |
У15 У23 | Угловое соединение фланца или кольца с трубой | ![]() | ![]() |
У16 | Угловое соединение отростка с трубой равных размеров | ![]() | ![]() |
Наименование, индекс, вид шва и формулы расчета площади поперечного сечения швов | Приложение 14 | Лист 10 | |
Индексы швов | Швы | Эскиз | Формула расчета площади поперечного сечения шва |
У17 У18 | Угловое соединение отростка, ответвительного штуцера или приварыша с трубой | ![]() | ![]() |
![]() | |||
У19 | Угловых соединений со скосом одной кромки односторонние | ![]() | ![]() |
У20 | Угловых соединений со скосом одной кромки односторонние на цилиндрическом усе, удаляемом расточкой | ![]() | ![]() |
Т1 Н1 Н3 | Тавровых, нахлесточных соединений без скоса кромок односторонние | ![]() | ![]() |
Наименование, индекс, вид шва и формулы расчета площади поперечного сечения швов | Приложение 14 | Лист 11 | |
Индексы швов | Швы | Эскиз | Формула расчета площади поперечного сечения шва |
Т3 Н2 Н4 | Тавровых и нахлесточных соединений без скоса кромок двусторонние | ![]() | ![]() |
Т6 | Тавровых соединений со скосом одной кромки односторонние | ![]() | ![]() |
Т7 | Тавровых соединений со скосом одной кромки двусторонние | ![]() | ![]() ![]() |
Т8 | Тавровых соединений с двумя симметричными скосами одной кромки | ![]() | ![]() |