Список изменяющих документов |

Завод | Цех | Подготовительно-заключительное время, мин. | 16 | Операция N | Изделие | ||||||||||||||||||||
![]() | Оперативное время, мин. | 8,04 | Наименование операции: токарная чистовая Станок: токарно-винторезный Модель 1К62 Инвентарный N Число станков, обслуживаемых рабочим, - 1 Число одновременно устанавливаемых деталей - 1 | Наименование детали: кольцо лабиринтное N детали N чертежа Число деталей на одно изделие - 1 Род и размер заготовки; отливка, сталь жаропрочная ЭИ415, нормализованная, предварительно обработанная Масса детали - 4,5 кг Суммарная продолжительность обработки партии деталей по трудоемкости - 5 смен | |||||||||||||||||||||
Время на обслуживание рабочего места, отдых, и личные надобности, мин. | 0,64 | ||||||||||||||||||||||||
Штучное время, мин. | 8,68 | ||||||||||||||||||||||||
Разряд работы | 3 | ||||||||||||||||||||||||
N перехода | Наименование переходов | Приспособление | Инструмент | Расчетные размеры обработки, мм | Припуск на сторону, мм | Число проходов | Режим обработки | Основное (технологическое) время, мин. | Вспомогательное время, мин. | Всего | |||||||||||||||
режущий | измерительный | Длина | Врезание и перебег | На пробную стружку | Расчетная длина | Глубина резания, мм | Подача мм/об. | Подача м/мин. | Скорость резания м/мин. | Частота вращения шпинделя, об./мин. | I | II | III | IV | V | ||||||||||
Установка и снятие детали | Связанное с переходом | Перемещение частей станка | Смена инструмента | Изменение | Контрольные измерения | ||||||||||||||||||||
подачи | оборотов | ||||||||||||||||||||||||
1 | Обточить по наружному диаметру 1 до | Патрон пневматический | Резец | Штангенциркуль, калибр, пробка гладкая D = 60 мм и D = 40 мм, шаблон | 42 | 3 | 5 | 50 | 1,5 | 1 | 1,5 | 0,3 | - | 104 | 125 | 1,34 | 0,19 | 0,55 | - | 0,07 | 0,06 | 0,08 | 0,18 | 1,13 | |
2 | Обточить торец 2 до размера 14,5 мм | " | 27 | 3 | - | 30 | 1,0 | 1 | 1,0 | 0,3 | - | 122 | 125 | 0,8 | - | 0,20 | - | - | - | - | 0,06 | 0,26 | |||
3 | Обточить торец 3 до размера 42-0,1 мм | Резец ВК8 | 8 | 3 | 5 | 16 | 1,0 | 1 | 1,0 | 0,3 | - | 104 | 125 | 0,43 | - | 0,36 | - | - | - | - | 0,08 | 6,44 | |||
4 | Проточить паз 4 | Резец ВК8 | 2 | 2 | - | 4 | - | 1 | 3,0 | 0,28 (ручная) | - | 104 | 125 | 0,11 | - | 0,11 | - | 0,07 | - | - | - | 0,18 | |||
5 | Обточить торец 5 до размера 10-0,6 мм | То же | 10 | 3 | - | 13 | 1,0 | 1 | 1,0 | 0,3 | - | 125 | 500 | 0,09 | - | 0,20 | - | 0,07 | - | 0,08 | 0,06 | 0,41 | |||
6 | Расточить отверстие 6 | " | 16 | 3 | 5 | 24 | 1,5 | 2 | 1,2 0,3 | 0,11 | - | 123 | 690 | 0,7 | - | 1,1 | - | - | 0,06 | 0,08 | 0,18 | 1,42 | |||
7 | Обточить торец 7 до размера 10-0,5 мм | " | 10 | 3 | - | 13 | 1,0 | 1 | 1,0 | 0,3 | - | 123 | 690 | 0,06 | - | 0,20 | - | - | 0,06 | - | 0,06 | 0,32 | |||
8 | Расточить отверстие 8 | " | 20 | 3 | 5 | 28 | 1,5 | 2 | 1,2 0,3 | 0,11 | - | 125 | 1000 | 0,51 | - | 0,84 | - | - | 0,06 | 0,08 | 0,13 | 1,11 | |||
Всего | 4,04 | 0,19 | 0,75 | 5,27 · 0,76 = 4,0 | |||||||||||||||||||||
резец расточной, резец прорезной.Частота вращения шпинделя в минуту n <*> | 50 | 63 | 80 | 100 | 125 | 160 | 200 |
250 | 315 | 400 | 500 | 530 | 690 | 800 | |
1000 | |||||||
Подачи (продольные и поперечные) S <*>, мм/об. | 0,11 | 0,12 | 0,13 | 0,14 | 0,15 | 0,17 | 0,19 |
0,21 | 0,23 | 0,26 | 0,28 | 0,30 | 0,34 | 0,39 | |
0,43 | 0,47 | 0,52 | 0,57 | 0,61 | 0,70 | 0,78 | |
0,87 | 0,95 | 1,04 |

для | поверхности | 1 | l1 = 3 | мм | l2 = 5 | мм | |
" | " | 2 | l1 = 3 | " | l2 = 0 | ||
" | " | 3 | l1 = 3 | " | l2 = 5 | " | |
" | " | 4 | l1 = 2 | " | l2 = 0 | ||
" | " | 5 | l1 = 3 | " | l2 = 0 | ||
" | " | 6 | l1 = 3 | " | l2 = 5 | " | |
" | " | 7 | l1 = 3 | " | l2 = 0 | ||
" | " | 8 | l1 = 3 | " | l2 = 5 | " | |
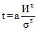
тогда | для | поверхности | 1 | ![]() | мин. | ||
" | " | " | 2 | ![]() | " | ||
" | " | " | 3 | ![]() | " | ||
" | " | " | 4 | ![]() | " | ||
" | " | " | 5 | ![]() | " | ||
" | " | " | 6 | ![]() | " | ||
" | " | " | 7 | ![]() | " | ||
" | " | " | 8 | ![]() | мин. | ||




Завод | Цех | Число станков, обслуживаемых рабочим | 1 | 1 | Операция N | Изделие | |||||||||||||||||||
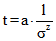
m = 4 | z = 40 | Наименование операции: фрезерование зубьев черновое Станок: зубофрезерный, модель 5Д32 Инвентарный N Паспорт N Число станков, обслуживаемых рабочим, - 4 Число одновременно устанавливаемых деталей - 5 | Наименование детали: зубчатое колесо m = 4, z = 40 N детали: N чертежа: Число деталей на одно изделие - 1 Род и размер заготовки: сталь 45; НВ 1,85 ГПа Масса детали - 4,4 кг Суммарная продолжительность обработки партии деталей по трудоемкости - 1 смена | ||||||||||||||||||||||
![]() | Подготовитель-заключительное время, мин. | 31,5 | 31,5 | ||||||||||||||||||||||
Оперативное время, мин. | 5,07 | 1,69 | |||||||||||||||||||||||
Время на обслуживание рабочего места, мин. | 0,43 | 0,27 | |||||||||||||||||||||||
Штучное время, мин. | 5,5 | 1,96 | |||||||||||||||||||||||
Разряд работы | 2 | 2 | |||||||||||||||||||||||
N перехода | Наименование переходов | Приспособление | Инструмент | Расчетные размеры обработки, мм | Припуск на сторону, мм | Число проходов | Режим обработки | Основное (технологическое) время, мин. | Вспомогательное время, мин. | Всего | |||||||||||||||
режущий | измерительный | Длина | Врезание в перебег | На пробную стружку | Расчетная длина | Глубина резания, мм | Подача мм/об. | Подача м/мин. | Скорость резания м/мин. | Частота вращения шпинделя, об./мин. | I | II | III | IV | V | ||||||||||
Установка и снятие детали | Связанное с переходом | Перемещение частей станка | Смена инструмента | Изменение | контрольные измерения | ||||||||||||||||||||
подачи | оборотов | ||||||||||||||||||||||||
1 | Фрезеровать зубья с припуском 0,5 мм на чистовую обработку | Оправка с гайкой | Фреза модульная червячная, однозаходная m = 4, Dк = 80 мм, сталь Р6М5 | Зубомер | 32 x 5 | 28 | - | 188 --- 5 | - | 1 | - | 2,67 | - | 31 <*> x 22,6 | 123 90 | 22,9 --- 5 | 1,69 --- 5 | 0,47 --- 5 | - | - | - | - | - | ![]() | |
- | 31,3 --- 5 | ||||||||||||||||||||||||
Наибольший нарезаемый модуль по стали m, мм | 8 |
Частота вращения шпинделя n, об./мин. | 154, 123, 103, 90, 73, 5, 60 |
Подача на один оборот заготовки S, мм/об. | 0,22; 0,44; 0,89; 1,0; 1,33; 1,78; 2,14; 2,4; 2,67; 3,11; 3,56; 4,0 |
Мощность электродвигателя главного привода станка, кВт | 3,7 |








Наименование группы станков | Разряды работ, по проекту СН и П ПА-9-69 | Нормы освещенности от системы комбинированного освещения (местное + общее), лк, не менее | Местное освещение | |
Нормы освещенности рабочей поверхности, лк | Источники света | |||
Токарные, фрезерные, координатно-расточные | II в | 1500 | 1200 | Лампы накаливания, люминесцентные лампы |
2000 | 1700 | |||
Сверлильные, строгальные, долбежные, расточные | III б | 1000 | 700 | Люминесцентные лампы, лампы накаливания |
750 | 450 | |||
Шлифовальные <*> | - | 700 | 400 | Люминесцентные лампы |
















































Карта 1 | ||||||||||
N позиции | Характер выполняемой работы | Тип производства | ||||||||
среднесерийный | крупносерийный | |||||||||
Суммарная продолжительность обработки партии деталей по трудоемкости операций, рабочих смен, H | ||||||||||
< 0,25 | 0,26...0,5 | 0,51...1,0 | 1...2 | 2,1...4 | 4,1...6 | 6,1...10 | 10,1...15 | Св. 15 | ||
Коэффициент на вспомогательное время, Ktв | ||||||||||
Мелкие станки I - II группа | ||||||||||
1 | Обработка крепежных деталей, нормалей, арматуры и других деталей мелких размеров | 1,15 | 0,87 | 0,76 | 0,66 | 0,57 | 0,5 | 0,5 | 0,5 | |
Средние станки III - IV группа | ||||||||||
2 | Обработка деталей повторяющихся конструкций и средних размеров | 1,52 | 1,32 | 1,15 | 0,87 | 0,76 | 0,66 | 0,57 | 0,5 | |
Крупные станки V - VI группа | ||||||||||
3 | Обработка корпусных и оригинальных деталей | - | - | 1,52 | 1,32 | 1,15 | 0,87 | 0,76 | 0,66 | |
Индекс | а | б | в | г | д | е | ж | з | и | |


Установка в самоцентрирующем патроне | ||||||||||||||||
Карта 2, лист 1 | ||||||||||||||||
![]() | ![]() | |||||||||||||||
I. Установить деталь и снять вручную | ||||||||||||||||
N позиции | Обрабатываемый материал | Способ установки детали | Масса детали, m, кг, до | |||||||||||||
0,01 | 0,03 | 0,05 | 0,08 | 0,25 | 0,5 | 1,0 | 3 | 5 | 8 | 12 | 20 | 30 | ||||
Время, t, мин. | ||||||||||||||||
1 | Черные металлы и медные сплавы | В бесключевом патроне без выверки | 0,12 | 0,10 | 0,09 | 0,08 | 0,08 | 0,10 | 0,12 | 0,16 | 0,18 | 0,21 | - | - | - | |
2 | В патроне с креплением ключом | без выверки | 0,24 | 0,19 | 0,17 | 0,15 | 0,15 | 0,18 | 0,23 | 0,32 | 0,37 | 0,43 | 0,48 | 0,56 | 0,80 | |
3 | с выверкой на биение мелом | 0,41 | 0,36 | 0,34 | 0,32 | 0,38 | 0,43 | 0,48 | 0,55 | 0,00 | 0,65 | 0,75 | 1,0 | 1,15 | ||
4 | с выверкой индикатором | 0,85 | 0,75 | 0,70 | 0,65 | 0,75 | 0,85 | 0,95 | 1,15 | 1,25 | 1,35 | 1,55 | 1,95 | 2,3 | ||
5 | В патроне с креплением пневматическим зажимом | без выверки | 0,19 | 0,13 | 0,12 | 0,10 | 0,10 | 0,12 | 0,13 | 0,17 | 0,23 | 0,28 | 0,34 | 0,40 | ||
6 | с выверкой на биение мелом | 0,31 | 0,28 | 0,26 | 0,25 | 0,25 | 0,26 | 0,31 | 0,40 | 0,45 | 0,50 | 0,60 | 0,80 | 0,95 | ||
7 | В патроне на столе станка (вертикальная ось патрона) | 0,17 | 0,14 | 0,13 | 0,12 | 0,12 | 0,15 | 0,18 | 0,24 | 0,27 | 0,32 | 0,36 | 0,43 | 0,49 | ||
8 | В патроне с разрезной втулкой | 0,24 | 0,21 | 0,19 | 0,17 | 0,17 | 0,21 | 0,25 | 0,35 | 0,40 | - | - | - | - | ||
9 | В патроне с центром задней бабки при подводе пиноли | вращением маховичка | - | - | 0,25 | 0,22 | 0,22 | 0,26 | 0,31 | 0,40 | 0,48 | 0,55 | 0,65 | 0,80 | 0,95 | |
10 | пневматическим устройством или отводной рукояткой | - | - | 0,21 | 0,19 | 0,19 | 0,23 | 0,27 | 0,36 | 0,43 | 0,55 | 0,60 | 0,75 | 0,90 | ||
11 | звездочкой | - | - | 0,27 | 0,24 | 0,24 | 0,28 | 0,33 | 0,43 | 0,55 | 0,65 | 0,75 | 0,90 | 1,05 | ||
12 | В патроне с центром задней бабки | с люнетом | - | - | - | - | - | - | 0,50 | 0,65 | 0,70 | 0,85 | 0,95 | 1,10 | 1,20 | |
13 | с подпором домкратиком | - | - | - | - | - | - | - | 0,60 | 0,65 | 0,75 | 0,85 | 1,00 | 1,15 | ||
14 | Легкие сплавы | В патроне и неподвижном люнете | - | - | - | - | - | - | 0,35 | 0,45 | 0,55 | 0,60 | 0,70 | 0,85 | 1,05 | |
15 | В бесключевом патроне без выверки | 0,13 | 0,11 | 0,10 | 0,09 | 0,09 | 0,11 | 0,13 | 0,18 | 0,20 | 0,23 | - | - | - | ||
16 | В патроне с креплением ключом | без выверки | 0,26 | 0,21 | 0,19 | 0,16 | 0,16 | 0,20 | 0,25 | 0,35 | 0,41 | 0,47 | 0,55 | 0,60 | 0,90 | |
17 | с выверкой на биение мелом | 0,45 | 0,40 | 0,37 | 0,35 | 0,42 | 0,47 | 0,55 | 0,60 | 0,65 | 0,70 | 0,80 | 1,10 | 1,25 | ||
18 | с выверкой индикатором | 0,95 | 0,80 | 0,75 | 0,70 | 0,80 | 0,95 | 1,05 | 1,25 | 1,40 | 1,50 | 1,70 | 2,10 | 2,5 | ||
19 | В патроне с креплением пневматическим зажимом | без выверки | 0,21 | 0,14 | 0,13 | 0,11 | 0,11 | 0,12 | 0,14 | 0,19 | 0,21 | 0,25 | - | - | - | |
20 | с выверкой на биение мелом | 0,34 | 0,31 | 0,29 | 0,28 | 0,28 | 0,29 | 0,34 | 0,44 | 0,50 | 0,55 | - | - | - | ||
21 | вращением маховичка | - | - | 0,41 | 0,24 | 0,24 | 0,29 | 0,34 | 0,44 | 0,55 | 0,60 | 0,70 | 0,90 | 1,05 | ||
22 | В патроне с центром задней бабки | пневматическим устройством или отводной рукояткой | - | - | 0,23 | 0,21 | 0,21 | 0,25 | 0,30 | 0,40 | 0,47 | 0,60 | 0,65 | 0,85 | 1,0 | |
23 | при подводе пиноли | звездочкой | - | - | 0,30 | 0,26 | 0,26 | 0,31 | 0,36 | 0,47 | 0,60 | 0,70 | 0,85 | 1,00 | 1,2 | |
Индекс | а | б | в | г | д | е | ж | з | и | к | л | м | н | |||
ВСПОМОГАТЕЛЬНОЕ ВРЕМЯ НА УСТАНОВКУ И СНЯТИЕ ДЕТАЛИ | Установка в самоцентрирующем патроне | ||||||||||||
Карта 2, лист 2 | |||||||||||||
II. Установить деталь и снять подъемником, краном | |||||||||||||
N позиции | Способ установки детали | Подъемником при столе | Мостовым краном | ||||||||||
Масса детали, m, кг, до | |||||||||||||
30 | 80 | 200 | 500 | 1000 | 30 | 80 | 200 | 800 | 1000 | 3000 | |||
Время, t, мин. | |||||||||||||
24 | В патроне с креплением, ключом | 2,2 | 2,6 | 3,2 | - | - | 3,7 | 4,1 | 4,7 | - | - | - | |
25 | В патроне с креплением пневматическим зажимом | 1,7 | 2,2 | 2,6 | - | - | 3,2 | 3,7 | 4,1 | - | - | - | |
26 | В патроне с центром задней бабки при подводе пиноли | вращением маховичка | 2,5 | 3,1 | 3,5 | 4,1 | 4,6 | 4,0 | 4,6 | 5,0 | 5,6 | 6,1 | 7,0 |
27 | пневматическим устройством или отводной рукояткой | 2,4 | 2,9 | 3,3 | 3,9 | 4,4 | 3,9 | 4,4 | 4,8 | 5,4 | 5,9 | 6,7 | |
28 | В патроне с центром задней бабки и люнете при подводе пиноли | вращением маховичка | 2,8 | 3,4 | 3,8 | 4,5 | 5,1 | 4,3 | 4,9 | 5,3 | 6,0 | 6,6 | 7,5 |
29 | пневматическим устройством или отводной рукояткой | 2,7 | 3,2 | 3,6 | 4,3 | 4,8 | 4,2 | 4,7 | 5,1 | 5,8 | 6,3 | 7,1 | |
30 | В патроне и неподвижном люнете | 2,5 | 3,1 | 3,5 | 4,1 | 4,6 | 4,0 | 4,6 | 5,0 | 5,6 | 6,1 | 7,0 | |
Индекс | а | б | в | г | д | е | ж | з | и | к | л | ||
Установка в самоцентрирующем патроне при работе из прутка | |||||||||
Карта 3 | |||||||||
![]() | |||||||||
N позиции | Способ установки детали | Способ установки на длину | Длина выдвижения прутка, l, мм, до | Диаметр прутка, d, мм, до | |||||
5 | 10 | 20 | 40 | 60 | |||||
Время, t, мин. | |||||||||
1 | В патроне с креплением | ключом | По упору | 25 | 0,12 | 0,14 | 0,18 | 0,22 | - |
2 | 50 | 0,14 | 0,16 | 0,20 | 0,24 | - | |||
3 | 100 | 0,15 | 0,18 | 0,22 | 0,27 | - | |||
4 | 200 | - | - | 0,25 | 0,31 | - | |||
5 | По линейке | 25 | 0,13 | 0,16 | 0,23 | 0,26 | - | ||
6 | 50 | 0,16 | 0,19 | 0,26 | 0,29 | - | |||
7 | 100 | 0,19 | 0,23 | 0,28 | 0,32 | - | |||
8 | 200 | - | - | 0,31 | 0,34 | - | |||
9 | пневматическим зажимом | По упору | 50 | 0,06 | 0,08 | 0,10 | 0,13 | - | |
10 | 100 | 0,08 | 0,10 | 0,12 | 0,16 | 0,21 | |||
11 | 200 | - | - | 0,15 | 0,22 | 0,26 | |||
12 | 300 | - | - | 0,17 | 0,27 | 0,32 | |||
13 | По линейке | 50 | 0,12 | 0,14 | 0,18 | 0,22 | - | ||
14 | 100 | 0,14 | 0,16 | 0,20 | 0,25 | 0,30 | |||
15 | 200 | - | - | 0,23 | 0,25 | 0,32 | |||
16 | 300 | - | - | 0,24 | 0,31 | 0,37 | |||
Индекс | а | б | в | г | д | ||||
Установка в цанговом патроне | |||||||||
Карта 4, лист 1 | |||||||||
![]() | |||||||||
I. В патроне при работе из прутка | |||||||||
N позиции | Способ установки детали | Длина выдвигаемого прутка, l, мм, до | Диаметр прутка, d, мм, до | ||||||
5 | 10 | 20 | 40 | 50 | Св. 50 | ||||
Время, t, мин. | |||||||||
1 | В патроне с креплением | рукояткой рычага | 25 | 0,07 | 0,08 | 0,10 | 0,17 | 0,21 | 0,26 |
2 | 50 | 0,08 | 0,10 | 0,13 | 0,19 | 0,22 | 0,29 | ||
3 | 100 | 0,10 | 0,13 | 0,16 | 0,21 | 0,25 | 0,33 | ||
4 | 200 | - | - | 0,20 | 0,27 | 0,29 | 0,37 | ||
5 | 300 | - | - | 0,24 | 0,33 | 0,36 | 0,45 | ||
6 | пневматическим зажимом | 25 | 0,04 | 0,06 | 0,09 | 0,12 | 0,14 | 0,19 | |
7 | 50 | 0,05 | 0,08 | 0,11 | 0,15 | 0,17 | 0,23 | ||
8 | 100 | 0,07 | 0,09 | 0,13 | 0,18 | 0,19 | 0,25 | ||
9 | 200 | - | - | 0,16 | 0,22 | 0,25 | 0,33 | ||
10 | 300 | - | - | 0,18 | 0,25 | 0,28 | 0,36 | ||
11 | ключом | 25 | 0,10 | 0,12 | 0,16 | 0,18 | - | - | |
12 | 50 | 0,12 | 0,14 | 0,18 | 0,22 | - | - | ||
13 | 100 | 0,14 | 0,17 | 0,21 | 0,26 | - | - | ||
14 | 200 | - | - | 0,25 | 0,31 | - | - | ||
15 | При установке с поджатием центром добавлять | - | - | 0,06 | 0,1 | 0,12 | 0,15 | ||
Индекс | а | б | в | г | д | е | |||
ВСПОМОГАТЕЛЬНОЕ ВРЕМЯ НА УСТАНОВКУ И СНЯТИЕ ДЕТАЛИ | Установка в цанговом патроне | ||||||||||||||
Карта 4, лист 2 | |||||||||||||||
II. В патроне по одной детали | |||||||||||||||
N позиции | Способ установки детали | Масса детали, m, кг, до | |||||||||||||
0,01 | 0,03 | 0,05 | 0,08 | 0,25 | 0,5 | 1,0 | 3 | 6 | 8 | 12 | 20 | 30 | |||
Время, t, мин. | |||||||||||||||
В патроне с креплением | рукояткой рычага | 0,11 | 0,10 | 0,09 | 0,08 | 0,10 | 0,11 | 0,13 | 0,16 | - | - | - | - | - | |
17 | пневматическим зажимом | - | - | - | - | 0,09 | 0,11 | 0,12 | 0,15 | - | - | - | - | - | |
18 | ключом | - | - | - | - | 0,14 | 0,17 | 0,20 | 0,25 | - | - | - | - | - | |
19 | маховиком через шпиндель | 0,14 | 0,13 | 0,12 | 0,11 | 0,13 | 0,14 | 0,15 | 0,17 | - | - | - | - | - | |
20 | В патроне с поджатием центром и креплением | рукояткой рычага | - | - | - | - | - | - | - | 0,26 | 0,30 | 0,35 | 0,40 | 0,55 | 0,65 |
21 | пневматическим зажимом | - | - | - | - | - | - | - | 0,24 | 0,28 | 0,33 | 0,37 | 0,50 | 0,60 | |
22 | ключом | - | - | - | - | - | - | - | 0,36 | 0,43 | 0,50 | 0,55 | 0,75 | 0,95 | |
маховиком через шпиндель | - | - | - | - | - | - | - | 0,28 | 0,32 | 0,38 | 0,44 | 0,50 | 0,60 | ||
Индексы | а | б | в | г | д | е | ж | з | и | к | л | м | н | ||
Установка в четырехкулачковом патроне | ||||||||||||
Карта 5, лист 1 | ||||||||||||
![]() | ||||||||||||
I. Установить деталь и снять вручную | ||||||||||||
N позиции | Обрабатываемый материал | Способ установки детали | Состояние установочной поверхности | Характер выверки | Масса детали, m, кг | |||||||
1 | 3 | 5 | 8 | 12 | 20 | 30 | ||||||
Время, t, мин. | ||||||||||||
1 | Черные металлы и медные сплавы | В патроне | Необработанная | По контуру поверхности | 0,90 | 1,15 | 1,35 | 1,55 | 1,80 | 2,3 | 2,7 | |
2 | По разметочной риске | детали цилиндрической формы | 1,50 | 1,90 | 2,15 | 2,5 | 2,9 | 3,3 | 3,8 | |||
3 | детали фасонной или коробчатой формы | 2,6 | 2,9 | 3,2 | 3,7 | 4,1 | 4,8 | 5,3 | ||||
4 | Обработанная | Без выверки | 0,35 | 0,40 | 0,50 | 0,55 | 0,65 | 0,75 | 0,90 | |||
5 | С выверкой | рейсмусом | 0,90 | 1,05 | 1,10 | 4,25 | 1,50 | 1,80 | 2,0 | |||
6 | индикатором | 1,80 | 2,2 | 2,4 | 2,9 | 3,2 | 3,9 | 4,4 | ||||
7 | В патроне с центром задней бабки | - | Без выверки | 0,5 | 0,6 | 0,65 | 0,70 | 0,90 | 1,10 | 1,3 | ||
8 | По контуру необработанной поверхности | 1,3 | 1,5 | 1,6 | 1,70 | 2,1 | 3,0 | 3,6 | ||||
9 | В патроне и неподвижном люнете | - | С выверкой | рейсмусом, резцом, мелом на глаз | 1,0 | 1,2 | 1,30 | 1,55 | 1,80 | 2,2 | 2,6 | |
10 | индикатором | 1,4 | 1,7 | 1,90 | 2,2 | 2,5 | 3,1 | 3,6 | ||||
11 | Легкие сплавы | В патроне | Необработанная | По контуру поверхности | 1,00 | 1,25 | 1,50 | 1,70 | 2,0 | 2,5 | 3,0 | |
12 | По разметочной риске | детали цилиндрической формы | 1,65 | 2,1 | 2,4 | 2,8 | 3,2 | 3,6 | 4,2 | |||
13 | детали фасонной или коробчатой формы | 2,9 | 3,2 | 3,5 | 4,1 | 4,5 | 5,3 | 5,8 | ||||
14 | Обработанная | Без выверки | 0,38 | 0,44 | 0,55 | 0,60 | 0,70 | 0,80 | 1,0 | |||
15 | С выверкой | рейсмусом | 1,00 | 1,15 | 1,20 | 1,40 | 1,65 | 2,0 | 2,2 | |||
16 | индикатором | 2,0 | 2,4 | 2,6 | 3,2 | 3,5 | 4,3 | 4,8 | ||||
Индекс | а | б | в | г | д | е | ж | |||||
ВСПОМОГАТЕЛЬНОЕ ВРЕМЯ НА УСТАНОВКУ И СНЯТИЕ ДЕТАЛИ | Установка в четырехкулачковом патроне | ||||||||||||||
Карта 5, лист 2 | |||||||||||||||
II. Установить деталь и снять подъемником, краном | |||||||||||||||
N позиции | Способ установки детали | Состояние установочной поверхности | Характер выверки | Подъемником при станке | Мостовым краном | ||||||||||
Масса детали, m, кг, до | |||||||||||||||
30 | 80 | 200 | 500 | 1000 | 30 | 80 | 200 | 500 | 1000 | 1500 | |||||
Время, t, мин. | |||||||||||||||
17 | В патроне | Необработанная | По контуру поверхности | 3,6 | 4,8 | 5,8 | 8,4 | 10,9 | 5,1 | 6,3 | 7,3 | 9,9 | 12,4 | - | |
18 | По разметочной риске | детали цилиндрической формы | 4,8 | 6,3 | 8,2 | 11,5 | 14,9 | 6,3 | 7,8 | 9,7 | 13,0 | 16,4 | - | ||
19 | детали фасонной или коробчатой формы | 6,3 | 8,4 | 11,3 | - | - | 7,8 | 9,9 | 12,8 | - | - | - | |||
20 | Обработанная | Без выверки | 2,7 | 3,1 | 3,6 | 4,6 | 5,4 | 4,2 | 4,6 | 5,1 | 6,1 | 6,9 | |||
21 | С выверкой | рейсмусом | 3,6 | 4,6 | 5,6 | 7,1 | 8,4 | 5,1 | 6,1 | 7,1 | 8,6 | 9,0 | - | ||
22 | индикатором | 5,5 | 6,4 | 7,3 | 8,7 | 10,2 | 7,0 | 7,9 | 8,8 | 10,2 | 11,7 | - | |||
23 | В патроне с центром задней бабки | - | По контуру необработанной поверхности | 4,5 | 5,9 | 7,7 | 10,6 | 13,7 | 6,0 | 7,4 | 9,2 | 12,1 | 15,2 | 17,7 | |
24 | В патроне и неподвижном люнете | - | С выверкой | рейсмусом, резцом, мелом на глаз | 3,9 | 4,9 | 6,2 | 8,9 | - | 5,4 | 6,4 | 7,7 | 10,4 | - | - |
25 | индикатором | 5,7 | 7,2 | 8,9 | 11,0 | - | 7,2 | 8,7 | 10,4 | 12,5 | - | - | |||
Индекс | а | б | в | г | д | е | ж | з | и | к | л | ||||
Установка в центрах | ||||||||||||||||
Карта 6, лист 1 | ||||||||||||||||
![]() | ||||||||||||||||
I. Установить и снять деталь вручную | ||||||||||||||||
N позиции | Способ установки детали | Способ подвода пиноли задней бабки | Масса детали, m, кг, до | |||||||||||||
0,01 | 0,03 | 0,05 | 0,08 | 0,25 | 0,5 | 1,0 | 3 | 5 | 8 | 12 | 20 | 30 | ||||
Время, t, мин. | ||||||||||||||||
1 | В центрах | с надеванием хомутика | Вращением маховичка | 0,21 | 0,19 | 0,18 | 0,17 | 0,21 | 0,23 | 0,26 | 0,31 | 0,37 | 0,44 | 0,55 | 0,65 | 0,75 |
2 | Пневматическим устройством или отводной рукояткой | 0,18 | 0,17 | 0,16 | 0,15 | 0,18 | 0,20 | 0,23 | 0,26 | 0,33 | 0,41 | 0,48 | 0,60 | 0,70 | ||
3 | Звездочкой | 0,26 | 0,23 | 0,22 | 0,21 | 0,26 | 0,28 | 0,31 | 0,36 | 0,45 | 0,55 | 0,65 | 0,70 | 0,90 | ||
4 | без надевания хомутика | Вращением маховичка | 0,13 | 0,12 | 0,12 | 0,11 | 0,13 | 0,14 | 0,16 | 0,19 | 0,23 | 0,28 | 0,32 | 0,40 | 0,47 | |
5 | Пневматическим устройством или отводной рукояткой | 0,11 | 0,09 | 0,09 | 0,08 | 0,10 | 0,12 | 0,13 | 0,16 | 0,19 | 0,23 | 0,28 | 0,34 | 0,41 | ||
6 | Звездочкой | 0,17 | 0,16 | 0,15 | 0,14 | 0,18 | 0,20 | 0,22 | 0,25 | 0,29 | 0,34 | 0,40 | 0,48 | 0,55 | ||
Индекс | а | б | в | г | д | е | ж | з | и | к | л | м | н | |||
ВСПОМОГАТЕЛЬНОЕ ВРЕМЯ НА УСТАНОВКУ И СНЯТИЕ ДЕТАЛИ | Установка в центрах | |||||||||||||||
Карта 6, лист 2 | ||||||||||||||||
N позиции | Способ установки детали | Способ подвода пиноли задней бабки | Масса детали, m, кг, до | |||||||||||||
0,01 | 0,03 | 0,05 | 0,08 | 0,25 | 0,3 | 1,0 | 3 | 5 | 8 | 12 | 20 | 30 | ||||
Время, t, мин. | ||||||||||||||||
7 | В центрах с самозажимным поводковым патроном | Вращением маховичка | - | - | - | - | - | - | 0,22 | 0,26 | 0,28 | 0,32 | 0,35 | 0,43 | 0,49 | |
8 | Пневматическим устройством | - | - | - | - | - | - | 0,19 | 0,22 | 0,24 | 0,28 | 0,33 | 0,39 | 0,46 | ||
9 | В центрах с самозажимным хомутиком | Вращением маховичка | - | - | - | - | - | - | 0,24 | 0,28 | 0,31 | 0,36 | 0,40 | 0,46 | 0,50 | |
10 | Пневматическим устройством | - | - | - | - | - | - | 0,21 | 0,25 | 0,27 | 0,30 | 0,35 | 0,42 | 0,48 | ||
11 | В центрах и неподвижном люнете | с надеванием хомутика | Вращением маховичка | - | - | - | - | 0,38 | 0,42 | 0,47 | 0,56 | 0,60 | 0,65 | 0,70 | 0,85 | 1,0 |
12 | Пневматическим устройством: | - | - | - | - | 0,35 | 0,39 | 0,43 | 0,50 | 0,55 | 0,60 | 0,70 | 0,80 | 0,95 | ||
13 | без надевания хомутика | Вращением маховичка | - | - | - | - | 0,32 | 0,34 | 0,36 | 0,40 | 0,43 | 0,49 | 0,55 | 0,60 | 0,70 | |
14 | Пневматическим устройством | - | - | - | - | 0,29 | 0,31 | 0,33 | 0,36 | 0,39 | 0,44 | 0,48 | 0,55 | 0,60 | ||
Индекс | а | б | в | г | д | е | ж | з | и | к | л | м | н | |||
N позиции | Способ установки детали | Способ подвода пиноли задней бабки | Подъемником при станке | Мостовым краном | ||||||||||
Масса, m, кг, до | ||||||||||||||
30 | 80 | 200 | 500 | 1000 | 30 | 80 | 200 | 500 | 1000 | 1800 | ||||
Время, t, мин. | ||||||||||||||
15 | В центрах | с надеванием хомутика | Вращением маховичка | 2,1 | 2,5 | 3,0 | 3,5 | 4,0 | 3,6 | 4,0 | 4,5 | 5,0 | 5,5 | 5,8 |
16 | Пневматическим устройством или отводной рукояткой | 2,0 | 2,4 | 2,9 | 3,4 | 3,9 | 3,5 | 3,9 | 4,4 | 4,9 | 5,4 | 5,6 | ||
17 | без надевания хомутика | Вращением маховичка | 1,70 | 2,1 | 2,5 | 2,9 | 3,3 | 3,2 | 3,6 | 4,0 | 4,4 | 4,8 | 5,1 | |
18 | Пневматическим устройством или отводной рукояткой | 1,60 | 2,0 | 2,4 | 2,8 | 3,2 | 3,1 | 3,5 | 3,9 | 4,3 | 4,7 | 5,0 | ||
19 | В центрах и неподвижном люнете | с надеванием хомутика | Вращением маховичка | 2,5 | 3,1 | 3,7 | 4,5 | 5,2 | 4,0 | 4,6 | 5,2 | 6,0 | 6,7 | 7,2 |
20 | Пневматическим устройством или отводной рукояткой | 2,4 | 3,0 | 3,6 | 4,4 | 5,1 | 3,9 | 4,5 | 5,1 | 5,9 | 6,6 | 7,0 | ||
21 | без надевания хомутика | Вращением маховичка | 2,3 | 2,8 | 3,4 | 4,2 | 4,8 | 3,8 | 4,3 | 4,9 | 5,7 | 6,3 | 6,7 | |
22 | Пневматическим устройством или отводной рукояткой | 2,2 | 2,7 | 3,3 | 4,1 | 4,7 | 3,7 | 4,2 | 4,8 | 5,6 | 6,2 | 6,6 | ||
Индекс | а | б | в | г | д | е | ж | з | и | к | л | |||
Установка на центровой оправке | |||||||||||||||||||
Карта 7, лист 1 | |||||||||||||||||||
![]() | |||||||||||||||||||
Установить и снять деталь вручную или подъемником | |||||||||||||||||||
N позиции | Обрабатываемый материал | Способ установки детали | Способ подвода пиноли задней бабки | Вручную | Подъемником | ||||||||||||||
Масса детали, m, кг, до | |||||||||||||||||||
0,01 | 0,03 | 0,05 | 0,08 | 0,25 | 0,5 | 1,0 | 3 | 5 | 8 | 12 | 20 | 30 | 30 | 50 | |||||
Время, t, мин. | |||||||||||||||||||
1 | Черные металлы и медные сплавы | На центровой гладкой или шлицевой оправке | при свободном одевании детали | Вращением маховичка | 0,19 | 0,17 | 0,16 | 0,15 | 0,19 | 0,22 | 0,23 | 0,27 | 0,33 | 0,40 | 0,50 | 0,60 | 0,75 | 1,90 | 2,2 |
2 | Пневматическим устройством | 0,16 | 0,14 | 0,13 | 0,12 | 0,15 | 0,17 | 0,20 | 0,24 | 0,30 | 0,37 | 0,43 | 0,55 | 0,65 | 1,8 | 2,1 | |||
3 | при тугом одевании детали под прессом | Вращением маховичка | 0,30 | 0,27 | 0,26 | 0,25 | 0,30 | 0,33 | 0,37 | 0,44 | 0,55 | 0,65 | 0,75 | 0,90 | 1,10 | 2,2 | 2,5 | ||
4 | Пневматическим устройством или отводной рукояткой | 0,27 | 0,24 | 0,23 | 0,22 | 0,26 | 0,30 | 0,33 | 0,40 | 0,45 | 0,60 | 0,65 | 0,85 | 1,20 | 2,1 | 2,4 | |||
5 | Звездочкой | 0,32 | 0,29 | 0,27 | 0,26 | 0,32 | 0,36 | 0,40 | 0,50 | 0,60 | 0,70 | 0,80 | 1,0 | 1,15 | 2,3 | - | |||
6 | На центровой оправке с креплением гайкой и шайбой | быстросъемной | Вращением маховичка | 0,32 | 0,29 | 0,27 | 0,26 | 0,29 | 0,32 | 0,36 | 0,43 | 0,45 | 0,60 | 0,70 | 0,85 | 1,0 | 2,2 | 2,4 | |
7 | Пневматическим устройством или отводной рукояткой | 0,27 | 0,24 | 0,23 | 0,22 | 0,25 | 0,29 | 0,32 | 0,31 | 0,42 | 0,60 | 0,65 | 0,75 | 0,90 | 2,1 | 2,3 | |||
8 | Звездочкой | 0,32 | 0,29 | 0,28 | 0,27 | 0,31 | 0,35 | 0,40 | 0,50 | 0,55 | 0,65 | 0,75 | 0,95 | 1,1 | 2,2 | - | |||
9 | простой | Вращением маховичка | 0,43 | 0,37 | 0,34 | 0,32 | 0,39 | 0,44 | 0,50 | 0,60 | 0,65 | 0,75 | 0,90 | 1,10 | 1,3 | 2,5 | 2,7 | ||
10 | Пневматическим устройством или отводной рукояткой | 0,35 | 0,32 | 0,31 | 0,30 | 0,35 | 0,40 | 0,45 | 0,55 | 0,60 | 0,70 | 0,85 | 1,15 | 1,25 | 2,4 | 2,6 | |||
11 | Звездочкой | 0,41 | 0,38 | 0,37 | 0,35 | 0,41 | 0,45 | 0,55 | 0,60 | 0,70 | 0,80 | 0,95 | 1,2 | 1,35 | 2,6 | - | |||
12 | На центровой разжимной оправке | Вращением маховичка | 0,32 | 0,28 | 0,26 | 0,25 | 0,31 | 0,34 | 0,38 | 0,45 | 0,55 | 0,65 | - | - | - | - | |||
13 | Пневматическим устройством | 0,28 | 0,24 | 0,23 | 0,22 | 0,27 | 0,31 | 0,33 | 0,40 | - | - | - | - | - | - | - | |||
14 | На центровой оправке с роликовым замком | Вращением маховичка | 0,21 | 0,19 | 0,17 | 0,16 | 0,20 | 0,22 | 0,23 | 0,26 | 0,36 | 0,44 | - | - | - | - | - | ||
15 | Пневматическим устройством или отводной рукояткой | 0,18 | 0,16 | 0,15 | 0,14 | 0,18 | 0,19 | 0,21 | - | - | - | - | - | - | - | - | |||
Установить и снять деталь с оправкой (при работе с двумя оправками) | Вращением маховичка | 0,13 | 0,12 | 0,11 | 0,10 | 0,12 | 0,13 | 0,14 | 0,16 | 0,21 | 0,25 | 0,29 | 0,36 | 0,45 | 1,6 | 1,8 | |||
17 | Пневматическим устройством или отводной рукояткой | 0,10 | 0,09 | 0,08 | 0,07 | 0,09 | 0,11 | 0,12 | 0,13 | 0,18 | 0,22 | 0,24 | 0,31 | 0,40 | 1,5 | 1,7 | |||
Звездочкой | 0,15 | 0,14 | 0,13 | 0,12 | 0,14 | 0,16 | 0,17 | 0,21 | 0,27 | 0,32 | 0,38 | 0,45 | 0,55 | 1,7 | - | ||||
19 | Установка на оправке каждой последующей детали свыше одной | 0,09 | 0,07 | 0,65 | 0,06 | 0,07 | 0,08 | 0,09 | 0,11 | - | - | - | - | - | - | - | |||
Индекс | а | б | в | г | д | е | ж | з | и | к | л | м | н | о | п | ||||
ВСПОМОГАТЕЛЬНОЕ ВРЕМЯ НА УСТАНОВКУ И СНЯТИЕ ДЕТАЛИ | Установка по центровой оправке | |||||||||||||||||
Карта 7, лист 2 | ||||||||||||||||||
N позиции | Обрабатываемый материал | Способ установки детали | Способ подвода пиноли задней бабки | Вручную | Подъемником | |||||||||||||
Масса детали, m, кг, до | ||||||||||||||||||
0,01 | 0,03 | 0,05 | 0,08 | 0,25 | 0,5 | 1,0 | 3 | 5 | 8 | 12 | 20 | 30 | 30 | 50 | ||||
Время, t, мин. | ||||||||||||||||||
20 | Легкие сплавы | На центровой гладкой оправке при тугом одевании детали | Вращением маховичка | 0,33 | 0,30 | 0,29 | 0,28 | 0,33 | 0,36 | 0,41 | 0,48 | 0,60 | 0,70 | 0,80 | 1,00 | 1,3 | 2,4 | 2,8 |
21 | Пневматическим устройством или отводной рукояткой | 0,30 | 0,26 | 0,25 | 0,24 | 0,29 | 0,33 | 0,36 | 0,44 | 0,50 | 0,65 | 0,70 | 0,95 | 1,25 | 2,3 | 2,6 | ||
22 | Звездочкой | 0,35 | 0,32 | 0,30 | 0,29 | 0,35 | 0,40 | 0,44 | 0,55 | 0,65 | 0,75 | 0,90 | 1,1 | 1,3 | - | - | ||
23 | На центровой оправке с креплением гайкой и быстросъемной шайбой | Вращением маховичка | 0,35 | 0,32 | 0,30 | 0,29 | 0,32 | 0,3 | 0,40 | 0,47 | 0,50 | 0,65 | 0,75 | 0,95 | 1,1 | 2,4 | 2,6 | |
24 | Пневматическим устройством или отводной рукояткой | 0,30 | 0,26 | 0,25 | 0,24 | 0,28 | 0,32 | 0,35 | 0,43 | 0,46 | 0,60 | 0,70 | 0,90 | 1,0 | 2,3 | 2,5 | ||
25 | Звездочкой | 0,35 | 0,32 | 0,31 | 0,30 | 0,34 | 0,38 | 0,44 | 0,55 | 0,60 | 0,70 | 0,80 | 1,05 | 1,2 | - | - | ||
26 | На центровой разжимной оправке | Вращением маховичка | 0,35 | 0,31 | 0,29 | 0,28 | 0,34 | 0,37 | 0,42 | 0,50 | 0,60 | 0,70 | - | - | - | - | - | |
27 | Пневматическим устройством | 0,31 | 0,26 | 0,25 | 0,24 | 0,30 | 0,34 | 0,36 | 0,44 | - | - | - | - | - | - | - | ||
28 | На центровой оправке с роликовым замком | Вращением маховичка | 0,23 | 0,21 | 0,19 | 0,18 | 0,22 | 0,24 | 0,25 | 0,29 | 0,40 | 0,48 | - | - | - | - | - | |
29 | Пневматическим устройством | 0,20 | 0,18 | 0,17 | 0,15 | 0,20 | 0,21 | 0,23 | - | - | - | - | - | - | - | - | ||
Установить и снять деталь с оправкой (при работе с двумя оправками) | Вращением маховичка | 0,14 | 0,13 | 0,12 | 0,11 | 0,13 | 0,14 | 0,15 | 0,18 | 0,23 | 0,28 | 0,32 | 0,40 | 0,50 | 1,8 | 2,0 | ||
31 | Пневматическим устройством или отводной рукояткой | 0,11 | 0,10 | 0,09 | 0,08 | 0,10 | 0,12 | 0,13 | 0,14 | 0,20 | 0,24 | 0,25 | 0,34 | 0,45 | 1,7 | 1,9 | ||
Звездочкой | 0,16 | 0,15 | 0,14 | 0,13 | 0,15 | 0,18 | 0,19 | 0,23 | 0,30 | 0,35 | 0,42 | 0,50 | 0,60 | - | - | |||
33 | Установка на оправке каждой последующей детали свыше одной | 0,10 | 0,08 | 0,075 | 0,07 | 0,08 | 0,09 | 0,10 | 0,12 | - | - | - | - | - | - | - | ||
Индекс | а | б | в | г | д | е | ж | з | и | к | л | м | н | о | п | |||
Установка на концевой оправке | |||||||||||||||||
Карта 8 | |||||||||||||||||
Установить и снять деталь вручную или подъемником | |||||||||||||||||
![]() | |||||||||||||||||
N позиции | Обрабатываемый материал | Способ установки детали | Вручную | Подъемником | |||||||||||||
Масса детали, m, кг, до | |||||||||||||||||
0,01 | 0,03 | 0,05 | 0,08 | 0,25 | 0,5 | 1,0 | 3 | 5 | 8 | 12 | 20 | 30 | 30 | ||||
Время, t, мин. | |||||||||||||||||
1 | Черные металлы и медные сплавы | На концевой гладкой шлицевой оправке без крепления или центрирующей оправке на протяжных станках | 0,14 | 0,13 | 0,12 | 0,11 | 0,10 | 0,13 | 0,14 | 0,18 | 0,22 | 0,28 | 0,32 | 0,40 | - | - | |
2 | На концевой оправке, с креплением | гайкой и быстросъемной шайбой | 0,20 | 0,19 | 0,18 | 0,17 | 0,16 | 0,20 | 0,23 | 0,31 | 0,38 | 0,44 | 0,50 | 0,60 | 0,80 | 2,6 | |
3 | гайкой и простой шайбой | 0,30 | 0,28 | 0,27 | 0,26 | 0,25 | 0,30 | 0,35 | 0,46 | 0,55 | 0,60 | 0,70 | 0,85 | 1,05 | 2,9 | ||
4 | гайкой и быстросъемной шайбой с поджатием центром | - | - | 0,26 | 0,25 | 0,24 | 0,28 | 0,31 | 0,39 | 0,47 | 0,50 | 0,60 | 0,70 | 0,90 | 2,7 | ||
5 | гайкой и простой шайбой с поджатием центром | - | - | 0,34 | 0,32 | 0,30 | 0,36 | 0,40 | 0,55 | 0,65 | 0,70 | 0,80 | 0,95 | 1,2 | 3,0 | ||
6 | роликовым зажимом | - | - | - | - | 0,14 | 0,15 | 0,18 | 0,23 | 0,28 | 0,33 | - | - | - | - | ||
7 | На концевой разжимной оправке с креплением | пневматическим зажимом | - | - | - | - | 0,13 | 0,15 | 0,18 | 0,22 | 0,27 | 0,33 | 0,39 | 0,50 | 0,55 | - | |
8 | гайкой | 0,23 | 0,22 | 0,21 | 0,20 | 0,19 | 0,22 | 0,26 | 0,33 | 0,40 | 0,48 | 0,55 | 0,70 | 0,95 | - | ||
9 | маховичком через шпиндель | 0,20 | 0,19 | 0,18 | 0,17 | 0,16 | 0,17 | 0,21 | 0,29 | 0,32 | 0,39 | 0,46 | - | - | - | ||
10 | На концевой резьбовой оправке | 0,21 | 0,19 | 018 | 0,17 | 0,16 | 0,14 | 0,22 | 0,28 | 0,34 | 0,42 | - | - | - | - | ||
11 | Установка на оправке каждой последующей детали свыше одной | 0,08 | 0,07 | 0,065 | 0,06 | 0,07 | 0,075 | 0,08 | 0,09 | 0,11 | - | - | - | - | - | ||
12 | Легкие сплавы | На концевой гладкой или шлицевой оправке без крепления | 0,15 | 0,14 | 0,13 | 0,12 | 0,12 | 0,14 | 0,15 | 0,20 | 0,24 | - | - | - | - | - | |
13 | На концевой оправке с креплением | гайкой и быстросъемной шайбой | 0,22 | 0,21 | 0,20 | 0,19 | 0,18 | 0,22 | 0,25 | 0,34 | 0,42 | - | - | - | - | - | |
14 | гайкой и простой шайбой | 0,33 | 0,31 | 0,30 | 0,29 | 0,28 | 0,33 | 0,38 | 0,50 | 0,60 | - | - | - | - | - | ||
15 | гайкой и быстросъемной шайбой с поджатием центром | - | - | 0,29 | 0,28 | 0,26 | 0,31 | 0,34 | 0,43 | 0,50 | - | - | - | - | - | ||
16 | гайкой и простой шайбой с поджатием центром | - | - | 0,37 | 0,35 | 0,33 | 0,38 | 0,44 | 0,60 | 0,70 | - | - | - | - | - | ||
17 | роликовым зажимом | - | - | - | - | 0,15 | 0,16 | 0,20 | 0,25 | 0,31 | - | - | - | - | - | ||
18 | На концевой разжимной оправке с креплением | пневматическим зажимом | - | - | - | - | 0,14 | 0,16 | 0,20 | 0,24 | 0,30 | - | - | - | - | - | |
19 | гайкой | 0,25 | 0,24 | 0,23 | 0,22 | 0,21 | 0,24 | 0,29 | 0,36 | 0,44 | - | - | - | - | - | ||
20 | маховичком через шпиндель | 0,22 | 0,21 | 0,20 | 0,19 | 0,18 | 0,19 | 0,23 | 0,32 | 0,35 | - | - | - | - | - | ||
21 | На концевой резьбовой оправке | 0,23 | 0,21 | 0,20 | 0,19 | 0,18 | 0,21 | 0,24 | 0,31 | 0,37 | - | - | - | - | - | ||
22 | Установка на оправке каждой последующей детали свыше одной | 0,09 | 0,08 | 0,07 | 0,065 | 0,08 | 0,085 | 0,09 | 0,1 | 0,12 | - | - | - | - | - | ||
Индекс | а | б | в | г | д | е | ж | з | и | к | л | м | н | о | |||
Установка в тисках | ||||||||||||||||||
Карта 9, лист 1 | ||||||||||||||||||
![]() | ||||||||||||||||||
N позиции | Обрабатываемый материал | Способ установки детали | Состояние установочной поверхности | Характер выверки | Число одновременно устанавливаемых деталей, n, шт. | Масса детали, m, кг, до | ||||||||||||
0,01 | 0,03 | 0,05 | 0,08 | 0,25 | 0,5 | 1,0 | 3 | 5 | 8 | 12 | 20 | 30 | ||||||
Время, t, мин. (на комплект устанавливаемых деталей) | ||||||||||||||||||
1 | Черные металлы и медные сплавы | В тисках с винтовым зажимом | Обработанная (или необработанная из проката) | Без выверки | 1 | 0,14 | 0,10 | 0,09 | 0,12 | 0,20 | 0,21 | 0,22 | 0,23 | 0,29 | 0,32 | 0,35 | 0,40 | 0,44 |
2 | 2 | 0,20 | 0,15 | 0,14 | 0,18 | 0,31 | 0,32 | 0,33 | 0,37 | 0,44 | 0,50 | 0,54 | - | - | ||||
3 | 3 | 0,26 | 0,20 | 0,19 | 0,23 | 0,39 | 0,40 | 0,43 | 0,50 | 0,00 | 0,65 | - | - | - | ||||
4 | 4 | 0,32 | 0,23 | 0,22 | 0,28 | 0,47 | 0,49 | 0,50 | 0,55 | 0,70 | 0,80 | - | - | - | ||||
5 | 6 | 0,40 | 0,30 | 0,29 | 0,36 | 0,60 | 0,65 | 0,70 | 0,75 | 0,90 | - | - | - | - | ||||
6 | 8 | 0,49 | 0,36 | 0,34 | 0,43 | 0,70 | 0,75 | 0,80 | 0,90 | 1,06 | - | - | - | - | ||||
7 | 10 | 0,55 | 0,41 | 0,40 | 0,50 | 0,80 | 0,85 | 0,90 | 1,0 | 1,20 | - | - | - | - | ||||
8 | Необработанная (отливка) | 1 | - | - | - | - | 0,24 | 0,26 | 0,28 | 0,31 | 0,32 | 0,36 | 0,41 | 0,46 | 0,50 | |||
9 | С выверкой рейсмусом | 1 | - | - | - | - | 0,60 | 0,65 | 0,70 | 0,80 | 0,85 | 1,0 | 1,1 | 1,3 | 1,4 | |||
10 | В тисках с пневматическим зажимом | Обработанная (или необработанная из проката) | Без выверки | 1 | 1 | 1 | 1 | 1 | 0,11 | 0,12 | 0,13 | 0,15 | 0,22 | 0,26 | 0,30 | 0,36 | 0,4 | |
11 | 2 | 1 | 1 | 1 | 1 | 0,18 | 0,20 | 0,22 | 0,26 | 0,37 | 0,44 | 0,50 | - | - | ||||
12 | 3 | 1 | 1 | 1 | 1 | 0,24 | 0,27 | 0,30 | 0,35 | 0,50 | 0,60 | - | - | - | ||||
13 | 4 | 1 | 1 | 1 | 1 | 0,30 | 0,34 | 0,37 | 0,43 | 0,60 | 0,85 | - | - | - | ||||
14 | 6 | 1 | 1 | 1 | 1 | 0,4 | 0,45 | 0,50 | 0,60 | 0,85 | - | - | - | - | ||||
15 | 8 | 1 | 1 | 1 | 1 | 0,5 | 0,55 | 0,60 | 0,75 | 1,05 | - | - | - | - | ||||
16 | 10 | 1 | 1 | 1 | 1 | 0,60 | 0,65 | 0,75 | 0,85 | 1,25 | - | - | - | - | ||||
17 | Необработанная (отливка) | 1 | - | - | - | - | 0,18 | 0,19 | 0,21 | 0,24 | 0,27 | 0,31 | 0,35 | 0,41 | 0,45 | |||
18 | С выверкой рейсмусом | 1 | - | - | - | - | 0,60 | 0,65 | 0,70 | 0,75 | 0,85 | 0,95 | 1,1 | 1,3 | 1,45 | |||
19 | В тисках с эксцентриковым зажимом | Обработанная (или необработанная из проката) | Без выверки | 1 | 0,08 | 0,06 | 0,08 | 0,1 | 0,13 | 0,14 | 0,15 | 0,18 | 0,22 | 0,25 | 0,29 | 0,34 | 0,4 | |
20 | 2 | 0,12 | 0,09 | 0,12 | 0,15 | 0,19 | 0,21 | 0,23 | 0,27 | 0,32 | 0,38 | 0,43 | - | - | ||||
21 | 3 | 0,15 | 0,12 | 0,15 | 0,19 | 0,24 | 0,26 | 0,30 | 0,35 | 0,41 | 0,49 | - | - | - | ||||
22 | 4 | 0,18 | 0,14 | 0,18 | 0,23 | 0,29 | 0,31 | 0,35 | 0,41 | 0,50 | 0,60 | - | - | - | ||||
23 | В самоцентрирующих призматических тисках | 1 | - | - | - | - | 0,10 | 0,11 | 0,12 | 0,14 | 0,15 | 0,18 | 0,21 | 0,27 | - | |||
Индекс | а | б | в | г | д | е | ж | з | и | к | л | м | н | |||||
ВСПОМОГАТЕЛЬНОЕ ВРЕМЯ НА УСТАНОВКУ И СНЯТИЕ ДЕТАЛИ | Установка в тисках | |||||||||||||
Карта 9, лист 2 | ||||||||||||||
N позиции | Обрабатываемый материал | Способ установки детали | Состояние установочной поверхности | Характер выверки | Число одновременно устанавливаемых деталей, n, шт. | Масса детали, m, кг, до | ||||||||
0,01 | 0,03 | 0,05 | 0,08 | 0,25 | 0,5 | 1,0 | 3 | 5 | ||||||
Время, t, мин. (на комплект устанавливаемых деталей) | ||||||||||||||
24 | Легкие сплавы | В тисках с винтовым зажимом | Обработанная | Без выверки | 1 | 0,15 | 0,11 | 0,10 | 0,13 | 0,22 | 0,23 | 0,24 | 0,25 | 0,32 |
25 | 2 | 0,22 | 0,17 | 0,15 | 0,20 | 0,34 | 0,35 | 0,36 | 0,41 | 0,48 | ||||
26 | 3 | 0,29 | 0,22 | 0,21 | 0,25 | 0,43 | 0,44 | 0,47 | 0,55 | 0,65 | ||||
27 | 4 | 0,35 | 0,25 | 0,24 | 0,31 | 0,47 | 0,50 | 0,55 | 0,60 | 0,75 | ||||
28 | 6 | 0,44 | 0,33 | 0,32 | 0,40 | 0,65 | 0,70 | 0,75 | 0,85 | 1,0 | ||||
29 | Необработанная (отливка) | 1 | - | - | - | - | 0,26 | 0,29 | 0,31 | 0,34 | 0,35 | |||
30 | С выверкой рейсмусом | 1 | - | - | - | - | 0,65 | 0,70 | 0,75 | 0,90 | 0,95 | |||
31 | В тисках с пневматическим зажимом | Обработанная | Без выверки | 1 | - | - | - | - | 0,12 | 0,13 | 0,14 | 0,16 | 0,24 | |
32 | 2 | - | - | - | - | 0,20 | 0,22 | 0,24 | 0,29 | 0,41 | ||||
33 | 3 | - | - | - | - | 0,26 | 0,30 | 0,33 | 0,39 | 0,55 | ||||
34 | 4 | - | - | - | - | 0,33 | 0,37 | 0,41 | 0,47 | 0,65 | ||||
35 | 6 | - | - | - | - | 0,44 | 0,50 | 0,55 | 0,65 | 0,95 | ||||
36 | Необработанная (отливка) | 1 | - | - | - | - | 0,20 | 0,21 | 0,23 | 0,26 | 0,30 | |||
37 | С выверкой рейсмусом | 1 | - | - | - | - | 0,65 | 0,70 | 0,75 | 0,80 | 0,95 | |||
38 | В тисках с эксцентриковым зажимом | Обработанная | Без выверки | 1 | 0,09 | 0,07 | 0,09 | 0,11 | 0,14 | 0,15 | 0,16 | 0,20 | 0,24 | |
34 | 2 | 0,13 | 0,10 | 0,13 | 0,16 | 0,21 | 0,23 | 0,25 | 0,30 | 0,35 | ||||
40 | 3 | 0,16 | 0,13 | 0,16 | 0,21 | 0,26 | 0,29 | 0,33 | 0,39 | 0,45 | ||||
41 | 4 | 0,20 | 0,15 | 0,20 | 0,25 | 0,32 | 0,34 | 0,39 | 0,45 | 0,55 | ||||
42 | В самоцентрирующих призматических тисках | 1 | - | - | - | - | 0,11 | 0,12 | 0,13 | 0,15 | 0,16 | |||
43 | При установке деталей свыше указанного числа на каждую последующую деталь добавлять | 0,08 | 0,05 | 0,07 | 0,08 | 0,09 | 0,1 | 0,11 | 0,13 | 0,14 | ||||
Индекс | а | б | в | г | д | е | ж | з | и | |||||
Установка на столе | ||||||||||||||
Карта 10, лист 1 | ||||||||||||||
I. Установить деталь и снять вручную | ||||||||||||||
N позиции | Обрабатываемый материал | Способ установки детали | Состояние установочной поверхности | Характер выверки | Число одновременно устанавливаемых деталей | Масса детали, m, кг, до | ||||||||
0,25 | 0,5 | 1,0 | 3 | 5 | 8 | 12 | 20 | 30 <*> | ||||||
Время, t, мин. (на комплект устанавливаемых деталей) | ||||||||||||||
1 | Без крепления | Обработанная или необработанная (отливка) | Без выверки | 1 | 0,07 | 0,08 | 0,09 | 0,10 | 0,11 | 014 | 0,16 | 0,20 | 0,25 | |
2 | Черные металлы и медные сплавы | С креплением одним болтом с планкой | 1 | 0,31 | 0,34 | 0,38 | 0,44 | 0,48 | 0,50 | 0,55 | 0,60 | 0,70 | ||
3 | На столе с креплением 2-мя болтами и планками | 1 | 0,43 | 0,46 | 0,5 | 0,55 | 0,65 | 0,70 | 0,75 | 0,85 | 1,7 | |||
4 | 2 | 0,8 | 0,85 | 0,90 | 1,0 | 1,25 | 1,35 | 1,45 | 1,6 | 2,9 | ||||
5 | 3 | 1,15 | 1,2 | 1,3 | 1,5 | 1,8 | 1,95 | 2,1 | 2,3 | 3,9 | ||||
6 | 4 | 1,5 | 1,6 | 1,7 | 1,95 | 2,3 | 2,5 | 2,8 | 3,0 | 4,9 | ||||
7 | 6 | 2,15 | 2,3 | 2,5 | 2,8 | 3,3 | 3,6 | 4,0 | 4,4 | 6,6 | ||||
8 | 8 | 2,8 | 3,0 | 3,2 | 3,7 | 4,3 | 4,7 | 5,1 | 5,7 | 8,2 | ||||
9 | Необработанная (отливка) | Выверка простая (по контуру, неразмеченной поверхности) | 1 | 0,8 | 0,85 | 0,9 | 1,0 | 1,2 | 1,4 | 1,65 | 2,1 | 2,9 | ||
10 | 2 | 1,5 | 1,6 | 1,7 | 1,8 | 2,2 | 2,7 | 3,1 | 3,7 | 5,0 | ||||
11 | 3 | 2,2 | 2,3 | 2,4 | 2,6 | 3,2 | 3,8 | 4,5 | 5,4 | 7,0 | ||||
12 | 4 | 2,8 | 3,0 | 3,1 | 3,4 | 4,2 | 5,0 | 5,8 | 7,0 | 8,9 | ||||
13 | 6 | 4,0 | 4,3 | 4,5 | 4,9 | 6,0 | 7,1 | 8,3 | 10,0 | 12,4 | ||||
14 | 8 | 5,2 | 5,5 | 5,8 | 6,3 | 7,8 | 9,2 | 10,8 | 13,0 | 15,8 | ||||
15 | ![]() | Обработанная | 1 | 0,6 | 0,65 | 0,70 | 0,75 | 0,9 | 1,1 | 1,25 | 1,5 | 2,2 | ||
16 | 2 | 1,15 | 1,2 | 1,3 | 1,4 | 1,7 | 2,1 | 9,4 | 2,8 | 3,8 | ||||
17 | 3 | 1,7 | 1,75 | 1,8 | 2,0 | 2,5 | 2,9 | 3,4 | 4,2 | 5,4 | ||||
18 | 4 | 2,2 | 2,3 | 2,4 | 2,6 | 3,2 | 3,8 | 4,6 | 5,4 | 6,8 | ||||
14 | 6 | 3,0 | 3,3 | 3,5 | 3,8 | 4,6 | 5,5 | 6,4 | 7,7 | 9,5 | ||||
20 | 8 | 4,0 | 4,2 | 4,5 | 4,8 | 6,0 | 7,1 | 8,3 | 10,0 | 12,2 | ||||
21 | Необработанная (отливка) | Выверка сложная (по разметочной поверхности) | 1 | 1,2 | 1,3 | 1,4 | 1,6 | 1,9 | 2,1 | 2,3 | 2,6 | 3,6 | ||
22 | 2 | 2,2 | 2,4 | 2,6 | 3,0 | 3,5 | 3,9 | 4,3 | 4,8 | 6,3 | ||||
23 | 3 | 3,2 | 3,5 | 3,8 | 4,3 | 5,1 | 5,6 | 6,2 | 7,0 | 8,9 | ||||
24 | 4 | 4,1 | 4,5 | 4,9 | 5,6 | 6,6 | 7,3 | 830 | 9,0 | 11,2 | ||||
25 | 6 | 5,9 | 6,5 | 7,0 | 8,0 | 9,5 | 10,5 | 11,5 | 13,0 | 15,7 | ||||
26 | Обработанная | 1 | 0,85 | 0,90 | 1,0 | 1,15 | 1,35 | 1,5 | 1,65 | 1,9 | 2,6 | |||
27 | 2 | 1,5 | 1,7 | 1,8 | 2,1 | 2,5 | 2,8 | 3,0 | 3,4 | 4,5 | ||||
28 | 3 | 2,2 | 2,5 | 2,7 | 3,0 | 3,6 | 4,0 | 4,4 | 5,0 | 6,5 | ||||
29 | 4 | 2,9 | 3,2 | 3,5 | 4,0 | 4,7 | 5,2 | 5,7 | 6,4 | 8,0 | ||||
30 | 6 | 4,2 | 4,6 | 5,0 | 5,7 | 6,8 | 7,5 | 8,2 | 9,3 | 11,2 | ||||
31 | На столе пакетом с креплением болтами и планками | Обработанная или необработанная (отливка) | Без выверки | 2 | 0,47 | 0,55 | 0,65 | 0,85 | 0,95 | 1,5 | 2,1 | 3,5 | - | |
32 | 3 | 0,60 | 0,70 | 0,80 | 1,0 | 1,3 | 2,0 | - | - | - | ||||
33 | 4 | 0,70 | 0,80 | 0,90 | 1,2 | 1,6 | 2,6 | - | - | - | ||||
34 | 6 | 0,85 | 1,0 | 1,2 | 1,5 | 2,3 | 3,6 | - | - | - | ||||
35 | 8 | 0,95 | 1,1 | 1,4 | 1,8 | 2,9 | 4,4 | - | - | - | ||||
36 | Легкие сплавы | Без крепления | 1 | 0,06 | 0,09 | 0,10 | 0,11 | 0,12 | 0,15 | 0,18 | 0,22 | 0,28 | ||
37 | С креплением одним болтом с планкой | Без выверки | 1 | 0,34 | 0,37 | 0,42 | 0,48 | 0,50 | 0,55 | 0,60 | 0,65 | 0,75 | ||
38 | На столе с креплением 2-мя болтами и планками | 1 | 0,45 | 0,50 | 0,55 | 0,60 | 0,70 | 0,75 | 0,80 | 0,90 | 1,85 | |||
39 | 2 | 0,90 | 0,95 | 1,0 | 1,1 | 1,35 | 1,5 | 1,6 | 1,75 | 3,2 | ||||
40 | 3 | 1,25 | 1,3 | 1,4 | 1,7 | 2,0 | 2,2 | 2,3 | 2,5 | 4,3 | ||||
41 | 4 | 1,6 | 1,8 | 1,9 | 2,1 | 2,5 | 2,8 | 3,1 | 3,3 | 5,4 | ||||
42 | 6 | 2,4 | 2,5 | 2,8 | 3,1 | 3,6 | 4,0 | 4,4 | 4,8 | 7,3 | ||||
43 | Обработанная | Выверка простая (по контуру неразмеченной поверхности) | 1 | 0,65 | 0,70 | 0,75 | 0,80 | 1,0 | 1,2 | 1,35 | 1,6 | 2,4 | ||
44 | 2 | 1,2 | 1,3 | 1,4 | 1,5 | 1,9 | 2,3 | 2,6 | 3,1 | 4,2 | ||||
45 | 3 | 1,8 | 1,9 | 2,0 | 2,2 | 2,8 | 3,2 | 3,7 | 4,6 | 5,9 | ||||
46 | 4 | 2,4 | 2,5 | 2,6 | 2,9 | 3,5 | 4,2 | 5,0 | 5,9 | 7,5 | ||||
47 | 6 | 3,3 | 3,6 | 3,8 | 4,2 | 5,1 | 6,1 | 7,0 | 8,5 | 10,4 | ||||
48 | Выверка сложная (на разметочной риске) | 1 | 1,3 | 1,4 | 1,5 | 1,8 | 2,1 | 2,3 | 2,5 | 2,9 | 4,0 | |||
49 | 2 | 2,4 | 2,6 | 2,9 | 3,3 | 3,9 | 4,3 | 4,7 | 5,3 | 6,9 | ||||
50 | 3 | 3,5 | 3,8 | 4,2 | 4,7 | 5,6 | 6,2 | 6,8 | 1,1 | 9,8 | ||||
51 | 4 | 4,5 | 5,0 | 5,4 | 6,2 | 7,3 | 8,0 | 8,8 | 9,9 | 12,3 | ||||
Индекс | а | б | в | г | д | е | ж | з | и | |||||
ВСПОМОГАТЕЛЬНОЕ ВРЕМЯ НА УСТАНОВКУ И СНЯТИЕ ДЕТАЛИ | Установка на столе | ||||||||||||||||
Карта 10, лист 2 | |||||||||||||||||
II. Установить деталь и снять подъемником, краном | |||||||||||||||||
N позиции | Способ установки детали | Состояние установочной поверхности | Характер выверки | Число одновременно устанавливаемых деталей | Подъемником при станке | Мостовым краном | |||||||||||
Масса детали, m, кг, до | |||||||||||||||||
30 | 80 | 200 | 500 | 1000 | 30 | 80 | 200 | 500 | 1000 | 2000 | 3000 | 5000 | |||||
Время, t, мин. (на комплект устанавливаемых деталей) | |||||||||||||||||
52 | Без крепления | 1 | 0,85 | 1,1 | 1,4 | 1,8 | 2,1 | 2,4 | 2,6 | 2,9 | 3,3 | 3,6 | 4,1 | 4,4 | 4,8 | ||
53 | С креплением одним болтом с планкой | Обработанная или необработанная (отлив ка) | Без выверки | 1 | 1,25 | 1,4 | - | - | - | - | - | - | - | - | - | - | - |
54 | С креплением 2-мя болтами с планками | 1 | 1,9 | 2,3 | - | - | - | - | - | - | - | - | - | - | - | ||
55 | На столе с креплением 4-мя болтами с планками | 1 | 2,4 | 3,0 | 3,6 | 4,4 | 5,0 | 3,9 | 4,5 | 5,1 | 5,9 | 6,5 | 7,3 | 7,8 | 8,6 | ||
56 | 2 | 3,9 | 4,8 | 5,9 | 7,1 | 8,2 | 5,4 | 6,3 | 7,4 | 8,6 | 9,7 | - | - | - | |||
57 | 3 | 5,3 | 6,5 | 7,8 | 9,5 | 10,9 | 6,8 | 8,0 | 9,3 | 11,0 | 12,4 | - | - | - | |||
58 | 4 | 6,4 | 7,9 | 9,6 | 11,0 | - | 7,9 | 9,4 | 11,1 | 12,5 | - | - | - | - | |||
59 | 6 | 8,6 | 10,6 | 12,8 | 15,5 | - | 10,1 | 12,1 | 14,3 | 17,0 | - | - | - | - | |||
60 | 8 | 10,6 | 13,0 | 15,7 | 19,0 | - | 12,1 | 14,5 | 17,2 | 20,5 | - | - | - | - | |||
61 | Необработанная (отливка) | Выверка простая (по контуру неразмеченной поверхности) | 1 | 3,5 | 4,3 | 5,1 | 6,2 | 7,1 | 5,0 | 5,8 | 6,6 | 7,7 | 8,6 | 9,6 | 10,3 | 11,3 | |
62 | 2 | 6,1 | 7,4 | 8,9 | 10,7 | 12,3 | 7,6 | 8,9 | 10,4 | 12,2 | 13,8 | - | - | - | |||
63 | 3 | 8,4 | 10,2 | 12,2 | 14,7 | 16,8 | 9,9 | 11,7 | 13,7 | 16,2 | 18,3 | - | - | - | |||
64 | 4 | 10,5 | 12,7 | 15,3 | 18,4 | - | 12,0 | 14,2 | 16,8 | 19,9 | - | - | - | - | |||
65 | 6 | 14,5 | 17,6 | 21,0 | 25,4 | - | 16,0 | 19,1 | 22,5 | 26,9 | - | - | - | - | |||
66 | 8 | 18,2 | 22,0 | 26,5 | 31,9 | - | 19,7 | 23,5 | 28,0 | 33,4 | - | - | - | - | |||
67 | Обработанная | 1 | 3,0 | 3,6 | 4,3 | 5,2 | 6,0 | 4,5 | 5,1 | 5,8 | 6,7 | 7,5 | 8,3 | 8,9 | 9,7 | ||
68 | 2 | 5,0 | 6,1 | 7,3 | 8,7 | 10,0 | 6,5 | 7,6 | 8,8 | 10,2 | 11,5 | - | - | - | |||
69 | 3 | 6,8 | 8,2 | 9,9 | 11,8 | 13,6 | 8,3 | 9,7 | 11,4 | 13,3 | 15,1 | - | - | - | |||
70 | 4 | 8,4 | 10,2 | 12,2 | 14,7 | - | 9,9 | 11,7 | 13,7 | 16,2 | - | - | - | - | |||
71 | 6 | 11,4 | 13,8 | 16,6 | 19,9 | - | 12,9 | 15,3 | 18,1 | 21,4 | - | - | - | - | |||
72 | 8 | 14,1 | 17,1 | 20,5 | 24,7 | - | 15,6 | 18,6 | 22,0 | 26,2 | - | - | - | - | |||
73 | Необработанная (отливка) | Выверка сложная (по разметочной риске) | 1 | 4,5 | 5,7 | 7,1 | 8,9 | 10,5 | 6,0 | 7,2 | 8,6 | 10,4 | 12,0 | 13,9 | 16,9 | 19,0 | |
74 | 2 | 8,7 | 11,1 | 13,7 | 17,2 | 20,3 | 10,2 | 12,6 | 15,2 | 18,7 | 21,8 | - | - | - | |||
75 | 3 | 12,8 | 16,2 | 20,0 | 25,0 | 29,8 | 14,3 | 17,7 | 21,5 | 26,5 | 31,3 | - | - | - | |||
76 | 4 | 16,9 | 21,5 | 26,5 | 33,2 | - | 18,4 | 23,0 | 28,0 | 34,7 | - | - | - | - | |||
77 | 6 | 25,0 | 31,5 | 39,0 | 48,8 | - | 26,5 | 33,0 | 40,5 | 50,3 | - | - | - | - | |||
78 | Обработанная | 1 | 4,0 | 4,9 | 6,0 | 7,3 | 8,5 | 5,5 | 6,4 | 7,5 | 8,8 | 10,0 | 11,4 | 12,4 | 13,7 | ||
79 | 2 | 7,1 | 8,8 | 10,8 | 13,2 | 15,4 | 8,6 | 10,3 | 12,3 | 14,7 | 16,9 | - | - | - | |||
80 | 3 | 10,0 | 12,5 | 15,3 | 18,7 | 21,7 | 11,5 | 14,0 | 16,8 | 20,0 | 23,2 | - | - | - | |||
81 | 4 | 12,8 | 15,9 | 19,5 | 23,8 | - | 14,3 | 17,4 | 21,0 | 25,3 | - | - | - | - | |||
82 | 6 | 18,1 | 22,5 | 27,5 | 33,6 | - | 19,6 | 24,0 | 29,0 | 35,1 | - | - | - | - | |||
83 | В случаях крепления деталей большим (или меньшим) числом болтов на каждый последующий болт прибавить (или вычитать) | 0,4 | |||||||||||||||
Индекс | а | б | в | г | д | е | ж | з | и | к | л | м | н | ||||
Установка на планшайбе карусельного, лоботокарного и токарного станка | ||||||||||||
Карта 11, лист 1 | ||||||||||||
I. Установить и снять деталь вручную | ||||||||||||
N позиции | Обрабатываемый материал | Способ установки детали | Станки | Состояние установочной поверхности | Характер выверки | Масса детали, m, кг, до | ||||||
5 | 8 | 12 | 20 | 30 | ||||||||
Время, t, мин. | ||||||||||||
1 | Черные металлы и медные сплавы | В самоцентрирующем патроне (крепление ключом) | Карусельные | - | Без выверки | 0,27 | 0,32 | 0,36 | 0,43 | 0,49 | ||
2 | На столе в четырех кулачках | Необработанная (отливка) | Без выверки | - | 0,65 | 0,75 | 0,95 | 1,1 | ||||
3 | С выверкой по контуру необработанной поверхности | - | 1,6 | 1,8 | 2,1 | 2,3 | ||||||
4 | ![]() | По разметочной риске | детали цилиндрической формы | - | 2,5 | 2,7 | 2,9 | 3,1 | ||||
5 | детали фасонной или коробчатой формы | - | 3,2 | 3,5 | 4,0 | 4,4 | ||||||
6 | Обработанная | Без выверки | - | 0,65 | 0,75 | 0,95 | 1,1 | |||||
7 | С выверкой рейсмусом | - | 1,6 | 1,8 | 2,1 | 2,3 | ||||||
8 | С выверкой индикатором | - | 2,3 | 2,7 | 3,2 | 3,6 | ||||||
9 | На столе с креплением болтами и планками | Необработанная (отливка) | Без выверки | - | 1,1 | 1,3 | 1,5 | 1,8 | ||||
10 | С выверкой по контуру необработанной поверхности | - | 2,2 | 2,3 | 2,5 | 2,7 | ||||||
11 | ![]() | По разметочной риске | детали цилиндрической формы | - | 3,1 | 3,3 | 3,7 | 4,0 | ||||
12 | детали фасонной или коробчатой формы | - | 3,8 | 4,2 | 4,7 | 5,0 | ||||||
13 | На столе с креплением в четырех кулачках и болтами с планками | Обработанная | Без выверки | - | 1,1 | 1,3 | 1,5 | 1,8 | ||||
14 | С выверкой рейсмусом | - | 2,2 | 2,3 | 2,5 | 2,7 | ||||||
15 | Необработанная (отливка) | Без выверки | - | 1,7 | 1,9 | 2,1 | 2,3 | |||||
16 | С выверкой по контуру необработанной поверхности | - | 2,4 | 2,6 | 3,0 | 3,3 | ||||||
17 | По разметочной риске | детали цилиндрической формы | - | 3,5 | 3,6 | 3,9 | 4,1 | |||||
18 | детали фасонной или коробчатой формы | - | 4,0 | 4,3 | 4,8 | 5,2 | ||||||
Индекс | а | б | в | г | д | |||||||
ВСПОМОГАТЕЛЬНОЕ ВРЕМЯ НА УСТАНОВКУ И СНЯТИЕ ДЕТАЛИ | Установка на планшайбе карусельного, лоботокарного и токарного станка | |||||||||||
Карта 11, лист 2 | ||||||||||||
N позиции | Обрабатываемый материал | Способ установки детали | Станки | Состояние установочной поверхности | Характер выверки | Масса детали, m, кг, до | ||||||
5 | 8 | 12 | 20 | 30 | ||||||||
Время, t, мин. | ||||||||||||
19 | Черные металлы и медные сплавы | На планшайбе с креплением болтами и прижимными планками | Лоботокарные и токарные | Необработанная (отливка), или обработанная | с центрированием | Без выверки | 0,47 | 0,50 | 0,70 | 0,90 | 1,0 | |
20 | С выверкой рейсмусом | 1,1 | 1,2 | 1,45 | 1,8 | 2,2 | ||||||
21 | ![]() | Обработанная | С выверкой индикатором | 1,9 | 2,0 | 2,3 | 2,6 | 2,9 | ||||
22 | Необработанная (отливка) или обработанная | без центрирования | Без выверки | 0,65 | 0,70 | 0,90 | 1,1 | 1,3 | ||||
23 | С выверкой рейсмусом | 1,3 | 1,4 | 1,65 | 2,0 | 2,4 | ||||||
24 | Обработанная | С выверкой индикатором | 2,0 | 2,2 | 2,5 | 2,9 | 3,2 | |||||
Индекс | а | б | в | г | д | |||||||
ВСПОМОГАТЕЛЬНОЕ ВРЕМЯ НА УСТАНОВКУ И СНЯТИЕ ДЕТАЛИ | Установка на планшайбе карусельного, лоботокарного и токарного станка | ||||||||||||||||
Карта 11, лист 3 | |||||||||||||||||
II. Установить деталь и снять подъемником, краном | |||||||||||||||||
N позиции | Способ установки детали | Состояние установочной поверхности | Станки | Характер выверки | Подъемником при станке | Мостовым краном | |||||||||||
Масса детали, m, кг, до | |||||||||||||||||
30 | 80 | 200 | 500 | 1000 | 30 | 80 | 200 | 500 | 1000 | 2000 | 3000 | ||||||
Время, t, мин. | |||||||||||||||||
25 | В самоцентрирующем патроне (крепление ключом) | - | Карусельные | Без выверки | 1,4 | 2,1 | 2,9 | - | - | 2,9 | 3,6 | 4,4 | - | - | - | - | |
26 | На столе в четырех кулачках | Необработанная (отливка) | Без выверки | 2,3 | 2,8 | 3,5 | 4,3 | 5,0 | 3,8 | 4,3 | 5,0 | 5,8 | 6,5 | 7,5 | 8,1 | ||
27 | С выверкой по контуру необработанной поверхности | 3,1 | 4,2 | 5,3 | 6,9 | 8,4 | 4,6 | 5,6 | 6,7 | 8,4 | 9,9 | 11,7 | 12,8 | ||||
28 | По разметочной риске | детали цилиндрической формы | 4,0 | 5,4 | 7,0 | 9,1 | 10,6 | 5,5 | 6,9 | 8,5 | 10,6 | 12,1 | 14,3 | 16,8 | |||
29 | детали фасонной или коробчатой формы | 6,2 | 8,0 | 10,2 | - | - | 7,7 | 9,5 | 11,7 | - | - | - | - | ||||
30 | Обработанная | Без выверки | 2,3 | 2,8 | 3,5 | 4,3 | 5,0 | 3,8 | 4,3 | 5,0 | 5,6 | 6,5 | 7,5 | 8,1 | |||
31 | С выверкой рейсмусом | 3,2 | 4,4 | 6,6 | 7,2 | 9,3 | 4,7 | 5,9 | 8,1 | 8,7 | 10,8 | 12,3 | 14,5 | ||||
32 | С выверкой индикатором | 6,5 | 8,0 | 9,7 | 11,8 | 13,7 | 8,0 | 9,5 | 11,2 | 13,3 | 15,3 | 17,2 | 18,6 | ||||
Индекс | а | б | в | г | д | е | ж | з | и | к | л | м | |||||
ВСПОМОГАТЕЛЬНОЕ ВРЕМЯ НА УСТАНОВКУ И СНЯТИЕ ДЕТАЛИ | Установка на планшайбе карусельного, лоботокарного и токарного станка | ||||||||||||||||
Карта 11, лист 4 | |||||||||||||||||
N позиции | Способ установки детали | Состояние установочной поверхности | Станки | Характер выверки | Подъемником при станке | Мостовым краном | |||||||||||
Масса детали, m, кг, до | |||||||||||||||||
30 | 80 | 200 | 500 | 1000 | 30 | 80 | 200 | 500 | 1000 | 2000 | 3000 | ||||||
Время, t, мин. | |||||||||||||||||
33 | На столе с креплением болтами и планками | Необработанная (отливка) | Карусельные | Без выверки | 2,9 | 3,5 | 4,2 | 5,1 | 5,8 | 4,4 | 5,0 | 5,7 | 6,6 | 7,3 | 8,2 | 8,8 | |
34 | С выверкой по контуру необработанной поверхности | 3,7 | 4,8 | 6,3 | 8,1 | 9,8 | 5,2 | 6,3 | 7,8 | 9,6 | 11,3 | 13,4 | 14,9 | ||||
35 | По разметочной риске | детали цилиндрической формы | 4,8 | 6,2 | 7,9 | 10,1 | 12,1 | 6,3 | 7,7 | 9,4 | 11,6 | 13,6 | 15,9 | 17,5 | |||
36 | детали фасонной или коробчатой формы | 6,5 | 8,4 | 10,7 | - | - | 8,0 | 9,9 | 12,2 | - | - | - | - | ||||
37 | Обработанная | Без выверки | 2,9 | 3,5 | 4,2 | 5,1 | 5,8 | 4,4 | 5,0 | 5,7 | 6,6 | 7,3 | 8,2 | 8,8 | |||
38 | С выверкой рейсмусом | 3,6 | 4,9 | 6,5 | 8,8 | 10,9 | 5,1 | 6,4 | 8,0 | 10,3 | 12,4 | 14,6 | 17,0 | ||||
39 | На столе с креплением в четырех кулачках и болтами с планками | Необработанная (отливка) | Без выверки | 3,0 | 3,7 | 4,5 | 5,5 | 6,5 | 4,5 | 5,2 | 6,0 | 7,0 | 8,0 | 9,5 | 10,2 | ||
40 | С выверкой по контуру необработанной поверхности | 4,1 | 5,3 | 6,6 | 8,3 | 9,9 | 5,6 | 6,8 | 8,1 | 9,8 | 11,4 | 13,3 | 14,5 | ||||
41 | По разметочной риске | детали цилиндрической формы | 5,1 | 6,6 | 8,3 | 10,4 | 12,4 | 6,6 | 8,1 | 9,8 | 11,9 | 13,9 | 16,2 | 17,8 | |||
42 | детали фасонной или коробчатой формы | 7,0 | 9,0 | 11,3 | - | - | 8,5 | 10,5 | 12,8 | - | - | - | - | ||||
43 | На планшайбе с креплением болтами и прижимными планками | Необработанная (отливка) или обработанная | Лоботокарные и токарные | Без выверки | 2,7 | 2,8 | 2,9 | 3,1 | 3,2 | 4,2 | 4,3 | 4,4 | 4,6 | 4,7 | 4,8 | 4,9 | |
44 | С выверкой рейсмусом | 3,8 | 4,6 | 5,6 | 6,8 | 7,8 | 5,3 | 6,1 | 7,1 | 8,3 | 9,3 | 10,6 | 11,4 | ||||
45 | С выверкой индикатором | 4,6 | 5,4 | 6,7 | 8,1 | 9,3 | 6,1 | 6,9 | 8,2 | 9,6 | 10,8 | 12,1 | 13,1 | ||||
Обработанная | |||||||||||||||||
Индекс | а | б | в | г | д | е | ж | з | и | к | л | м | |||||
Установка на угольнике, опорной плите или сбоку стола станка | |||||||||||||||||||||
Карта 12, лист 1 | |||||||||||||||||||||
N позиции | Обрабатываемый материал | Станки | Способ установки детали | Состояние установочной поверхности | Характер выверки | Вручную | Подъемником при станке | Мостовым краном | |||||||||||||
Масса детали, m, кг, до | |||||||||||||||||||||
1 | 3 | 5 | 8 | 12 | 20 | 30 | 30 | 80 | 30 | 80 | 200 | ||||||||||
Время, t, мин. | |||||||||||||||||||||
1 | Черные металлы и медные сплавы | Карусельные | На угольнике с креплением болтами и планками | Обработанная | С выверкой | по контуру необработанной поверхности | - | - | 1,6 | 1,8 | 2,0 | 2,3 | 2,6 | 3,7 | 4,9 | 5,2 | 6,4 | - | |||
2 | ![]() | по разметочной риске | - | - | 2,1 | 2,4 | 2,7 | 3,1 | 3,5 | 5,4 | 6,7 | 6,9 | 8,2 | - | |||||||
3 | Без выверки по фиксатору | - | - | 0,8 | 0,9 | 1,1 | 1,3 | 1,4 | 2,4 | 2,9 | 3,9 | 4,4 | - | ||||||||
4 | Лоботокарные | На планшайбе с угольником и креплением болтами | Без выверки | - | - | 0,75 | 0,80 | 0,90 | 1,1 | 1,3 | 2,5 | 2,7 | 4,0 | 4,3 | 4,4 | ||||||
5 | С выверкой рейсмусом | - | - | 1,4 | 1,5 | 1,6 | 1,8 | 2,0 | 3,6 | 4,5 | 5,1 | 6,0 | 6,2 | ||||||||
6 | С выверкой индикатором | - | - | 2,1 | 2,3 | 2,5 | 2,8 | 3,0 | 4,4 | 5,3 | 5,9 | 6,8 | 7,0 | ||||||||
7 | Сверлильные, строгальные, фрезерные, расточные | На угольнике или сбоку стола с креплением болтами и планками | на опоре | при числе деталей | 1 | С выверкой | по контуру необработанной поверхности | 0,65 | 0,90 | 1,0 | 1,1 | 1,3 | 1,4 | 1,6 | 3,0 | 3,7 | 4,5 | 5,2 | - | ||
8 | 2 | 1,15 | 1,5 | 1,7 | 1,95 | 2,2 | - | - | - | - | - | - | - | ||||||||
9 | 3 | 1,6 | 2,1 | 2,4 | 2,7 | 3,0 | - | - | - | - | - | - | - | ||||||||
10 | 4 | 2,0 | 2,7 | 3,0 | 3,4 | 3,6 | - | - | - | - | - | - | - | ||||||||
11 | 1 | по разметочной риске | 0,7 | 0,95 | 1,05 | 1,2 | 1,4 | 1,8 | 2,0 | - | - | - | - | - | |||||||
12 | 2 | 1,2 | 1,6 | 1,85 | 2,1 | 2,3 | - | - | - | - | - | - | - | ||||||||
13 | 3 | 1,7 | 2,2 | 2,6 | 2,9 | 3,2 | - | - | - | - | - | - | - | ||||||||
14 | 4 | 2,1 | 2,8 | 3,2 | 3,6 | 4,0 | - | - | - | - | - | - | - | ||||||||
15 | на весу | Без выверки по фиксатору или направляющей | 0,60 | 0,75 | 0,80 | 0,90 | 1,0 | 1,1 | 1,2 | 2,3 | 2,9 | 3,8 | 4,4 | - | |||||||
16 | С выверкой | по контуру необработанной поверхности | 0,7 | 1,0 | 1,2 | 1,3 | 1,5 | 1,8 | 2,0 | 3,5 | 4,1 | 3,8 | 5,6 | - | |||||||
17 | по разметочной риске | 0,85 | 1,2 | 1,4 | 1,6 | 1,8 | 2,1 | 2,4 | 3,8 | 4,6 | 5,3 | 6,1 | - | ||||||||
18 | Протяжные | На опорной плите с креплением планками | на опоре | Без выверки | - | - | - | 0,6 | 0,9 | 1,05 | 1,2 | 1,8 | 2,0 | - | - | - | |||||
19 | Легкие сплавы | Карусельные | На угольнике с креплением болтами и планками | С выверкой | по контуру необработанной поверхности | - | - | 1,8 | 2,0 | 2,2 | 2,5 | 2,9 | 4,1 | 5,4 | 5,7 | 7,8 | - | ||||
20 | по разметочной риске | - | - | 2,3 | 2,6 | 3,0 | 3,4 | 4,8 | 5,9 | 6,4 | 7,6 | 9,0 | - | ||||||||
21 | Без выверки по фиксатору | - | - | 0,9 | 1,0 | 1,2 | 1,4 | 1,5 | 2,6 | 3,2 | 4,3 | 4,8 | - | ||||||||
Индекс | а | б | в | г | д | е | ж | з | и | к | л | м | |||||||||
ВСПОМОГАТЕЛЬНОЕ ВРЕМЯ НА УСТАНОВКУ И СНЯТИЕ ДЕТАЛИ | Установка на угольнике, опорной плите или сбоку стола станка | |||||||||||||||||
Карта 12, лист 2 | ||||||||||||||||||
N позиции | Обрабатываемый материал | Станки | Способ установки детали | Состояние установочной поверхности | Характер выверки | Вручную | Подъемником при станке | Мостовым краном | ||||||||||
Масса детали, m, кг, до | ||||||||||||||||||
1 | 3 | 5 | 8 | 12 | 20 | 30 | 30 | 80 | 30 | 80 | ||||||||
Время, t, мин. | ||||||||||||||||||
22 | Легкие сплавы | Сверлильные, строгальные, фрезерные, расточные | На угольнике или сбоку стола с креплением болтами и планками | на опоре | Обработанная | С выверкой | по контуру необработанной поверхности | 0,70 | 1,0 | 1,1 | 1,2 | 1,4 | 1,5 | 1,8 | 3,3 | 4,1 | 5,6 | 5,7 |
23 | по разметочной риске | 0,75 | 1,11 | 1,2 | 1,3 | 1,5 | 2,0 | 2,2 | - | - | - | - | ||||||
24 | на весу | Без выверки по фиксатору или направляющей | 0,65 | 0,80 | 0,90 | 1,0 | 1,1 | 1,2 | 1,3 | 2,5 | 3,2 | 4,2 | 4,8 | |||||
25 | С выверкой | по контуру необработанной поверхности | 0,75 | 1,1 | 1,3 | 1,4 | 1,65 | 2,0 | 2,2 | 3,8 | 4,5 | 5,5 | 6,2 | |||||
26 | по разметочной риске | 0,95 | 1,3 | 1,5 | 1,8 | 2,0 | 2,3 | 2,6 | 3,6 | 5,1 | 5,8 | 6,7 | ||||||
Индекс | а | б | в | г | д | е | ж | з | и | к | л | |||||||
Установка на магнитном столе или планшайбе | ||||||||||||||||
Карта 13, лист 1 | ||||||||||||||||
I. Установить и снять деталь вручную | ||||||||||||||||
N позиции | Способ установки детали | Характер обработки | Число одновременно устанавливаемых деталей | Масса детали, m, кг, до | ||||||||||||
0,01 | 0,03 | 0,05 | 0,08 | 0,25 | 0,5 | 1 | 3 | 5 | 8 | 12 | 20 | 30 | ||||
Время, t, мин. (на комплект устанавливаемых деталей) | ||||||||||||||||
1 | На магнитном столе | Черновое или чистовое неточное шлифование | 1 | - | - | - | - | - | 0,12 | 0,14 | 0,19 | 0,22 | 0,24 | 0,27 | 0,31 | 0,40 |
2 | ![]() | 3 | - | - | - | - | 0,20 | 0,25 | 0,30 | 0,40 | 0,45 | 0,55 | 0,60 | 0,70 | - | |
3 | 5 | - | - | - | 0,22 | 0,30 | 0,36 | 0,45 | 0,60 | 0,70 | 0,75 | 0,85 | - | - | ||
4 | 10 | - | - | 0,38 | 0,36 | 0,48 | 0,60 | 0,70 | 0,95 | 1,1 | 1,25 | - | - | - | ||
5 | 25 | - | 0,8 | 0,75 | 0,70 | 0,90 | 1,1 | 1,3 | 1,8 | 2,0 | - | - | - | - | ||
6 | 50 | 1,5 | 1,3 | 1,25 | 1,2 | 1,5 | 1,8 | 2,2 | 2,9 | - | - | - | - | - | ||
7 | 75 | 2,0 | 1,8 | 1,7 | 1,6 | 2,0 | 2,4 | 2,8 | - | - | - | - | - | - | ||
8 | 100 | 2,5 | 2,2 | 2,1 | 2,0 | 2,4 | 2,9 | - | - | - | - | - | - | - | ||
9 | 150 | - | - | - | - | 3,2 | 3,9 | - | - | - | - | - | - | |||
10 | 200 | - | - | - | - | 3,9 | 4,7 | - | - | - | - | - | - | - | ||
11 | Чистовое шлифование точное <= 0,02 мм | 1 | - | - | - | - | - | 0,17 | 0,21 | 0,28 | 0,38 | 0,46 | 0,55 | 0,65 | 0,75 | |
12 | 3 | - | - | - | - | 0,28 | 033 | 0,39 | 0,50 | 0,70 | 0,90 | 1,0 | 1,25 | - | ||
13 | 5 | - | - | - | 0,33 | 0,37 | 0,45 | 0,50 | 0,70 | 0,95 | 1,15 | 1,35 | 1,65 | - | ||
14 | 10 | - | - | 0,60 | 0,50 | 0,55 | 0,65 | 0,80 | 1,0 | 1,45 | 1,75 | - | - | - | ||
15 | 15 | - | 0,80 | 0,75 | 0,70 | 0,75 | 0,95 | 1,2 | 1,8 | 2,1 | - | - | - | - | ||
16 | 25 | - | 1,15 | 1,1 | 1,0 | 1,1 | 1,4 | 1,75 | 2,6 | 3,0 | - | - | - | - | ||
17 | 35 | - | 1,45 | 1,35 | 1,95 | 1,35 | 1,75 | 2,2 | 3,2 | - | - | - | - | - | ||
18 | 50 | 2,2 | 1,9 | 1,75 | 1,6 | 1,75 | 2,2 | 2,8 | 4,1 | - | - | - | - | - | ||
19 | 60 | 2,5 | 2,1 | 1,95 | 1,8 | 2,0 | 2,5 | 3,2 | - | - | - | - | - | - | ||
20 | 75 | 2,9 | 2,5 | 2,3 | 2,2 | 2,3 | 3,0 | 3,7 | - | - | - | - | - | - | ||
21 | 85 | 3,2 | 2,7 | 2,5 | 2,4 | 2,6 | 3,2 | - | - | - | - | - | - | - | ||
22 | 100 | 3,6 | 3,0 | 2,8 | 2,7 | 2,9 | 3,6 | - | - | - | - | - | - | - | ||
23 | 125 | - | - | - | - | 3,3 | 4,2 | - | - | - | - | - | - | - | ||
Индекс | а | б | в | г | д | е | ж | з | и | к | л | м | н | |||
ВСПОМОГАТЕЛЬНОЕ ВРЕМЯ НА УСТАНОВКУ И СНЯТИЕ ДЕТАЛИ | Установка на магнитном столе или планшайбе | |||||||||||||||
Карта 13, лист 2 | ||||||||||||||||
N позиции | Способ установки детали | Характер обработки | Число одновременно устанавливаемых деталей | Масса детали, m, кг, до | ||||||||||||
0,01 | 0,03 | 0,05 | 0,08 | 0,25 | 0,5 | 1 | 3 | 5 | 8 | 12 | 20 | 30 | ||||
Время, t, мин. (на комплект устанавливаемых деталей) | ||||||||||||||||
24 | На магнитной планшайбе с горизонтальной поверхностью | - | 1 | - | - | - | - | 0,18 | 0,20 | 0,23 | 0,28 | - | - | - | - | - |
25 | Закрыть и открыть оградительный кожух (по необходимости) | Шарнирный | 0,06 | |||||||||||||
26 | Съемный | 0,13 | ||||||||||||||
Индекс | а | б | в | г | д | е | ж | з | и | к | л | м | н | |||
N позиции | Способ установки детали | Подъемником при станке | Мостовым краном | ||||||||||
Масса детали, m, кг, до | |||||||||||||
30 | 80 | 200 | 500 | 1000 | 30 | 80 | 200 | 500 | 1000 | ||||
Время, t, мин. | |||||||||||||
27 | На магнитном столе | 0,90 | 1,15 | 1,4 | 1,75 | - | 2,4 | 2,6 | 2,9 | 3,2 | 3,5 | ||
28 | На столе с креплением болтами и планками | двумя | без выверки | 1,8 | 2,2 | 2,6 | 3,1 | 3,5 | 3,3 | 3,7 | 4,1 | 4,6 | 5,0 |
29 | с выверкой индикатором | 4,5 | 5,7 | 7,0 | 8,9 | 10,5 | 6,0 | 7,2 | 8,5 | 10,4 | 12,0 | ||
30 | четырьмя | без выверки | 2,7 | 3,2 | 3,8 | 4,6 | 5,2 | 4,2 | 4,7 | 5,3 | 6,1 | 6,7 | |
31 | с выверкой индикатором | 5,4 | 6,6 | 8,0 | 9,8 | 11,4 | 6,9 | 8,1 | 9,5 | 11,3 | 12,9 | ||
Индекс | а | б | в | г | д | е | ж | з | и | к | |||
Установка в сепараторе на круглом столе вертикально-доводочного станка | ||||||||||
Карта 14 | ||||||||||
N позиции | Способ установки детали | Число одновременно устанавливаемых деталей, n, шт., до | Диаметр (или ширина) детали, D, мм, до | |||||||
6 | 10 | 16 | 25 | 40 и более | ||||||
Длина детали (отношение Z:D) | ||||||||||
<= 5 | > 5 | <= 5 | > 5 | <= 5 | > 5 | <= 4 | <= 3 | |||
Время, t, мин. (на комплект устанавливаемых деталей) | ||||||||||
В гнездо сепаратора без крепления | ||||||||||
1 | ![]() | 10 | 0,80 | 0,85 | 1,00 | 1,05 | 1,15 | 1,20 | 1,35 | 1,55 |
2 | 12 | 0,90 | 0,95 | 1,10 | 1,15 | 1,20 | 1,30 | 1,45 | 1,65 | |
3 | 16 | 1,00 | 1,05 | 1,20 | 1,30 | 1,40 | 1,50 | 1,65 | 1,90 | |
4 | 20 | 1,10 | 1,15 | 1,35 | 1,45 | 1,55 | 1,60 | 1,85 | 2,10 | |
5 | 25 | 1,20 | 1,30 | 1,50 | 1,55 | 1,70 | 1,80 | 2,00 | - | |
6 | 30 | 1,40 | 1,45 | 1,70 | 1,80 | 1,90 | 2,0 | 2,5 | - | |
7 | 40 | 1,65 | 1,80 | 9,0 | 2,2 | 2,30 | 2,5 | - | - | |
8 | 50 | 1,95 | 2,1 | 2,4 | 2,50 | 2,70 | 2,8 | - | - | |
9 | 60 | 2,2 | 2,3 | 2,6 | 2,8 | 3,0 | 3,2 | - | - | |
10 | 80 | 2,6 | 2,8 | 3,2 | 3,4 | 3,6 | 3,9 | - | - | |
11 | 100 | 3,0 | 3,2 | 3,7 | 3,9 | 4,2 | 4,5 | - | - | |
В гнездо сепаратора с креплением в центрах или по отверстию штифтом | ||||||||||
12 | ![]() | 5 | - | - | - | - | - | - | 0,95 | 1,05 |
13 | 8 | - | - | - | - | - | - | 1,55 | 1,7 | |
14 | 10 | - | - | - | 1,65 | 1,70 | 1,8 | 1,95 | 2,1 | |
15 | 12 | - | - | 1,9 | 1,95 | 2,0 | 2,1 | 2,3 | 2,6 | |
16 | 16 | 2,2 | 2,3 | 2,5 | 2,6 | 2,7 | 2,9 | 3,1 | 3,4 | |
17 | 20 | 2,7 | 2,8 | 3,1 | 3,3 | 3,4 | 3,6 | 3,9 | 4,2 | |
18 | 25 | 3,4 | 3,6 | 3,9 | 4,1 | 4,3 | 4,5 | 4,9 | - | |
19 | 30 | 4,1 | 4,3 | 4,7 | 4,9 | 5,1 | 5,4 | 5,8 | - | |
20 | 40 | 5,5 | 5,7 | 6,3 | 6,5 | 6,8 | 7,1 | - | - | |
21 | 50 | 6,8 | 7,1 | 7,8 | 8,2 | 8,6 | 8,9 | - | - | |
Индекс | а | б | в | г | д | е | ж | з | ||
Установка на станках для глубокого сверления и растачивания | |||||||||||||||
Карта 15 | |||||||||||||||
N позиции | Способ установки детали <*> | Наибольший наружный диаметр устанавливаемого изделия, D, мм, до | Число люнетов | Вручную | Мостовым краном | ||||||||||
Масса детали, m, кг, до | Масса детали, m, кг, до | ||||||||||||||
8 | 12 | 20 | 30 | 0,1 | 0,3 | 1 | 3 | 7,5 | 15 | 30 | 50 | ||||
Время, t, мин. | |||||||||||||||
1 | В четырехкулачковом патроне и люнетах | 200 | 1 | 1,4 | 1,6 | 1,9 | 2,2 | 5,6 | 7,2 | 9,6 | 12,3 | - | - | - | - |
2 | 2 | - | 2,1 | 2,5 | 2,9 | 7,4 | 9,6 | 12,6 | 16,2 | - | - | - | - | ||
3 | 3 | - | - | - | - | 8,7 | 11,2 | 14,8 | 19,1 | - | - | - | - | ||
4 | ![]() | 500 | 1 | 1,9 | 2,2 | 2,6 | 2,9 | 7,6 | 9,8 | 13 | 17 | 21 | - | - | - |
5 | 2 | - | 2,9 | 3,4 | 3,9 | 10 | 13 | 17 | 22 | 27 | - | - | - | ||
6 | 3 | - | - | - | - | 12 | 15 | 20 | 26 | 32 | - | - | - | ||
7 | 1000 | 1 | 2,4 | 2,7 | 3,2 | 3,7 | 9,6 | 12 | 16 | 21 | 26 | 30 | 36 | - | |
8 | 2 | - | 3,6 | 4,3 | 4,9 | 13 | 16 | 22 | 28 | 34 | 40 | 47 | - | ||
9 | 3 | - | - | - | - | 15 | 19 | 25 | 32 | 40 | 47 | 55 | - | ||
10 | 1200 | 1 | - | - | - | - | - | 13 | 17 | 22 | 28 | 32 | 38 | 42 | |
11 | 2 | - | - | - | - | - | 17 | 23 | 29 | 36 | 42 | 50 | 56 | ||
12 | 3 | - | - | - | - | - | 20 | 27 | 34 | 43 | 50 | 59 | 66 | ||
13 | В вертлюге с односторонним креплением кулачками и люнетах | 50 | 1 | 1,2 | 1,35 | 1,6 | 1,8 | 4,7 | 6,1 | - | - | - | - | - | - |
14 | 100 | 1 | 1,5 | 1,7 | 2,0 | 2,3 | 5,9 | 7,8 | - | - | - | - | - | - | |
15 | 2 | 2,0 | 2,2 | 2,6 | 3,0 | 7,8 | 10,0 | - | - | - | - | - | - | ||
16 | ![]() | 200 | 1 | 1,9 | 2,15 | 2,5 | 2,9 | 7,4 | 9,6 | 12,7 | 16,3 | - | - | - | - |
17 | 2 | 2,5 | 2,8 | 3,3 | 3,8 | 9,8 | 12,7 | 16,7 | 21,5 | - | - | - | - | ||
18 | 500 | 1 | 2,5 | 2,9 | 3,4 | 3,9 | 10,1 | 13,0 | 17,1 | 22,1 | 27,2 | - | - | - | |
19 | 2 | - | 3,8 | 4,5 | 5,1 | 13,3 | 17,2 | 22,6 | 29,2 | 35,9 | - | - | - | ||
20 | 3 | - | - | - | - | 15,7 | 20,2 | 26,5 | 34,3 | 42,2 | - | - | - | ||
21 | 1000 | 1 | - | - | - | - | 13 | 16 | 22 | 28 | 34 | 40 | 47 | - | |
22 | 2 | - | - | - | - | 17 | 22 | 28 | 37 | 45 | 53 | 62 | - | ||
23 | 3 | - | - | - | - | 20 | 25 | 33 | 43 | 53 | 62 | 73 | - | ||
24 | 1200 | 1 | - | - | - | - | - | 17 | 23 | 29 | 36 | 43 | 50 | 56 | |
25 | 2 | - | - | - | - | - | 23 | 30 | 39 | 48 | 56 | 66 | 74 | ||
26 | 3 | - | - | - | - | - | 27 | 36 | 46 | 56 | 66 | 78 | 87 | ||
27 | В вертлюге с двусторонним креплением кулачками и люнете | 200 | 1 | 4,0 | 4,6 | 5,4 | 6,2 | 16,0 | 20,7 | 27,3 | 35,1 | 43,4 | 50,9 | - | - |
28 | 500 | 1 | 5,4 | 6,2 | 7,3 | 8,4 | 21,7 | 28,0 | 36,9 | 47,5 | 58,7 | 68,8 | - | - | |
29 | ![]() | 1000 | 1 | - | - | - | - | 27 | 35 | 46 | 60 | 74 | 87 | 102 | - |
30 | 1200 | 1 | - | - | - | - | 49 | 63 | 78 | 92 | 108 | 121 | - | - | |
Индекс | а | б | в | г | д | е | ж | з | и | к | л | м | |||
Установка на круглом столе зубофрезерного станка | |||||||||||||
Карта 16 | |||||||||||||
![]() | |||||||||||||
Установить в снять деталь вручную | |||||||||||||
N позиции | Способ установки детали | Масса детали, m, кг, до | |||||||||||
0,01 | 0,03 | 0,05 | 0,08 | 0,25 | 0,5 | 1,0 | 3,0 | 8,0 | 20 | 30 | |||
Время, t, мин. | |||||||||||||
1 | На концевой оправке с гайкой | 0,36 | 0,31 | 0,30 | 0,27 | 0,23 | 0,29 | 0,36 | 0,50 | 0,9 | 1,0 | ||
2 | На концевой оправке с поджатием центром | - | - | - | - | - | 0,30 | 0,40 | 0,55 | 0,70 | 0,95 | 1,1 | |
3 | В центрах с поджатием вращением маховичка | - | - | 0,13 | 0,12 | 0,11 | 0,13 | 0,15 | 0,19 | 0,29 | 0,41 | 0,48 | |
4 | На оправке с подставками | с выверкой индикатором | - | - | - | - | - | - | - | - | 2,0 | 2,7 | 3,0 |
5 | На подставках | - | - | - | - | - | - | - | - | 3,2 | 3,8 | ||
6 | При установке на оправке нескольких деталей добавлять на каждую последующую | 0,1 | 0,09 | 0,085 | 0,08 | 0,09 | 0,11 | 0,14 | 0,19 | 0,26 | 0,33 | 0,38 | |
Индекс | а | б | в | г | д | е | ж | з | и | к | л | ||
N позиции | Способ установки детали | Масса детали, m, кг, до | |||||
30 | 80 | 120 | 200 | 300 | |||
Время, t, мин. | |||||||
7 | На концевой оправке | 2,9 | 3,1 | 3,3 | 3,6 | 3,8 | |
8 | В центрах с поджатием вращением маховичка | 1,8 | 2,1 | 2,3 | 2,5 | 2,7 | |
9 | На оправке с подставками | с выверкой индикатором | 6,4 | 7,1 | 7,9 | 9,1 | 10,2 |
10 | На подставках | 7,1 | 7,9 | 8,7 | 9,9 | 11,0 | |
Индекс | а | б | в | г | д | ||
Кантовка и перемещение детали подъемником | ||||||||||
Карта 17 | ||||||||||
N позиции | Угол поворота при кантовке, град. | Характер застропки | Расстояние до места расположения или места кантовки детали, L, мм, до | Масса детали, m, кг, до | ||||||
80 | 200 | 500 | 1000 | 2000 | 3000 | |||||
Время, t, мин. | ||||||||||
1 | 90 | Удобная застропка при наличии у деталей просветов и выступов для захвата стропами | 5 | 0,9 | 1,1 | 1,4 | 1,9 | 2,6 | 3,0 | |
2 | 10 | 1,2 | 1,4 | 1,7 | 2,3 | 3,1 | 3,7 | |||
3 | 20 | 1,4 | 1,7 | 2,1 | 2,9 | 3,9 | 4,6 | |||
4 | 180 | 5 | 1,4 | 1,7 | 2,1 | 2,8 | 3,8 | 4,5 | ||
5 | 10 | 1,6 | 2,0 | 2,5 | 3,2 | 4,3 | 5,1 | |||
6 | 20 | 1,8 | 2,3 | 2,8 | 3,8 | 5,0 | 6,0 | |||
7 | 90 | Неудобная застройка на сплошных деталях с захватом снаружи петлей | 5 | 2,2 | 2,7 | 3,3 | 4,4 | 5,9 | 6,9 | |
8 | 10 | 2,4 | 3,0 | 3,7 | 4,9 | 6,5 | 7,6 | |||
9 | 20 | 2,8 | 3,4 | 4,2 | 5,5 | 7,2 | 8,5 | |||
10 | 180 | 5 | 2,9 | 3,7 | 4,7 | 6,7 | 9,2 | 11 | ||
11 | 10 | 3,0 | 3,9 | 5,1 | 7,2 | 9,8 | 11,8 | |||
12 | 20 | 3,3 | 4,2 | 5,4 | 7,8 | 10,6 | 12,7 | |||
13 | Транспортировка детали подъемником (к станку при установке и от станка при снятии) на расстоянии более 5 м при длине перемещения, l, м, до | 10 | - | 0,25 | 0,35 | |||||
14 | 20 | - | 0,45 | 0,55 | ||||||
Индекс | а | б | в | г | д | е | ||||
Установка в специальных приспособлениях | |||||||||||||||
Карта 18, лист 1 | |||||||||||||||
I. Установить деталь и снять вручную | |||||||||||||||
N позиции | Основные элементы приспособления | Установочная плоскость. | Тип приспособления | Масса детали, m, кг, до | |||||||||||
0,01 | 0,03 | 0,05 | 0,1 | 0,25 | 0,5 | 1,0 | 3 | 8 | 12 | 20 | 30 | ||||
Время, t, мин. | |||||||||||||||
1 | Плоскость, призма | Горизонтальная | Открытый | 0,09 | 0,07 | 0,06 | 0,05 | 0,07 | 0,08 | 0,09 | 0,11 | 0,14 | 0,15 | 0,18 | 0,22 |
2 | ![]() | Закрытый (типа кондуктора) | 0,10 | 0,08 | 0,07 | 0,06 | 0,08 | 0,09 | 0,10 | 0,12 | 0,15 | 0,17 | 0,20 | 0,23 | |
3 | Вертикальная | Открытый | 0,10 | 0,08 | 0,07 | 0,06 | 0,08 | 0,09 | 0,10 | 0,12 | 0,15 | 0,17 | 0,20 | 0,23 | |
4 | Закрытый (типа кондуктора) | 0,12 | 0,09 | 0,08 | 0,07 | 0,09 | 0,10 | 0,11 | 0,14 | 0,16 | 0,18 | 0,22 | 0,29 | ||
5 | Палец, отверстие | Горизонтальная | Открытый | 0,10 | 0,08 | 0,07 | 0,06 | 0,08 | 0,09 | 0,10 | 0,12 | 0,15 | 0,17 | 0,20 | 0,23 |
6 | ![]() | Закрытый (типа кондуктора) | 0,12 | 0,09 | 0,08 | 0,07 | 0,09 | 0,10 | 0,11 | 0,14 | 0,16 | 0,18 | 0,22 | 0,29 | |
7 | Вертикальная | Открытый | 0,12 | 0,09 | 0,08 | 0,07 | 0,09 | 0,10 | 0,11 | 0,14 | 0,16 | 0,18 | 0,22 | 0,29 | |
8 | Закрытый (типа, кондуктора) | 0,13 | 0,10 | 0,08 | 0,07 | 0,09 | 0,11 | 0,12 | 0,15 | 0,18 | 0,20 | 0,24 | 0,31 | ||
9 | Два пальца | Горизонтальная | Открытый | 0,13 | 0,10 | 0,08 | 0,07 | 0,09 | 0,10 | 0,12 | 0,15 | 0,18 | 0,20 | 0,24 | 0,31 |
10 | ![]() | Закрытый (типа кондуктора) | 0,14 | 0,11 | 0,09 | 0,08 | 0,10 | 0,11 | 0,13 | 0,16 | 0,20 | 0,22 | 0,26 | 0,33 | |
11 | Вертикальная | Открытый | 0,14 | 0,11 | 0,09 | 0,08 | 0,10 | 0,11 | 0,13 | 0,16 | 0,20 | 0,22 | 0,26 | 0,33 | |
12 | Закрытый (типа кондуктора) | 0,15 | 0,12 | 0,10 | 0,09 | 0,11 | 0,12 | 0,14 | 0,17 | 0,21 | 0,24 | 0,28 | 0,34 | ||
13 | Центровые пробки | Горизонтальная | - | 0,13 | 0,10 | 0,08 | 0,07 | 0,09 | 0,11 | 0,12 | 0,15 | 0,21 | 0,23 | 0,27 | 0,31 |
![]() | |||||||||||||||
14 | Удлиненный палец | Горизонтальная | - | 0,14 | 0,11 | 0,09 | 0,08 | 0,10 | 0,12 | 0,15 | 0,20 | 0,30 | 0,35 | 0,43 | 0,50 |
![]() | |||||||||||||||
15 | При установке детали в многоместном приспособлении на каждую последующую деталь добавлять с базированием на: | плоскость, призму | 0,07 | 0,05 | 0,04 | 0,04 | 0,05 | 0,06 | 0,07 | 0,09 | 0,11 | 0,12 | 0,15 | 0,17 | |
16 | палец, отверстие | 0,08 | 0,06 | 0,05 | 0,05 | 0,06 | 0,07 | 0,08 | 0,10 | 0,12 | 0,15 | 0,17 | 0,19 | ||
17 | два пальца | 0,11 | 0,08 | 0,06 | 0,06 | 0,07 | 0,09 | 0,10 | 0,13 | 0,15 | 0,17 | 0,21 | 0,24 | ||
Индекс | а | б | в | г | д | е | ж | з | и | к | л | м | |||
ВСПОМОГАТЕЛЬНОЕ ВРЕМЯ НА УСТАНОВКУ И СНЯТИЕ ДЕТАЛИ | Установка в специальных приспособлениях | |||||||
Карта 18, лист 2 | ||||||||
II. Установить деталь и снять подъемником, краном | ||||||||
N позиции | Основные элементы приспособления | Тип подъемника | Установочная плоскость | Масса детали, m, кг, до | ||||
30 | 80 | 200 | 300 | 600 | ||||
Время, t, мин. | ||||||||
18 | Плоскость, призма | Подъемник при станке | Горизонтальная | 0,7 | 0,9 | 1,1 | 1,2 | 1,8 |
19 | ![]() | Вертикальная | 0,8 | 1,0 | 1,2 | 1,4 | - | |
20 | Мостовой кран | Горизонтальная | 2,2 | 2,4 | 2,6 | 2,7 | - | |
21 | Вертикальная | 2,3 | 2,5 | 2,7 | 2,9 | - | ||
22 | Палец | Подъемник при станке | Горизонтальная | 0,8 | 1,0 | 1,2 | 1,4 | - |
23 | ![]() | Вертикальная | 0,9 | 1,1 | 1,3 | - | - | |
24 | Мостовой кран | Горизонтальная | 2,3 | 2,5 | 2,7 | 2,9 | - | |
25 | Вертикальная | 2,4 | 2,6 | 2,8 | 3,0 | - | ||
26 | Два выдвижных или утопающих пальца | Подъемник при станке | Горизонтальная | 0,9 | 1,1 | 1,3 | 1,4 | - |
27 | ![]() | Мостовой кран | 2,4 | 2,6 | 2,8 | 2,9 | - | |
Индекс | а | б | в | г | д | |||
N позиции | Наименование приемов | Размер очищаемой поверхности, мм | |||||
100 x 100 | 200 x 300 | 300 x 400 | 300 x 600 | 500 x 1000 | |||
Время, t, мин. | |||||||
28 | Очистка приспособления от стружки | сжатым воздухом | 0,05 | 0,06 | 0,07 | 0,08 | 0,1 |
29 | щеткой (или концами) | 0,06 | 0,09 | 0,10 | 0,11 | 0,13 | |
30 | кантованием приспособления | 0,04 | 0,05 | - | - | - | |
Индекс | а | б | в | г | д | ||
ВСПОМОГАТЕЛЬНОЕ ВРЕМЯ НА УСТАНОВКУ И СНЯТИЕ ДЕТАЛИ | Установка в специальных приспособлениях | ||||||||||||
Карта 18, лист 3 | |||||||||||||
IV. Закрепление и открепление детали | |||||||||||||
N позиции | Способ крепления | Число зажимов | Масса детали, m, кг, до | ||||||||||
0,01 | 0,03 | 0,05 | 0,1 | 0,25 | 1,0 | 8 | 20 | Св. 20 | |||||
Время, t, мин. | |||||||||||||
31 | Рукояткой пневматического или гидравлического зажима | ![]() | 1 | - | - | - | - | 0,03 | |||||
32 | Рукояткой эксцентрикового или роликового зажима | ![]() | 1 | 0,04 | 0,04 | 0,03 | 0,03 | 0,03 | 0,03 | 0,03 | 0,04 | 0,08 | |
33 | 2 | 0,08 | 0,08 | 0,06 | 0,06 | 0,06 | 0,06 | 0,06 | 0,08 | 0,13 | |||
34 | 3 | 0,12 | 0,12 | 0,09 | 0,09 | 0,09 | 0,09 | 0,09 | 0,11 | 0,17 | |||
35 | Винтовым или гаечным зажимом | фасонной гайкой или вручную | ![]() | 1 | 0,05 | 0,04 | 0,03 | 0,03 | 0,04 | 0,05 | 0,07 | 0,08 | 0,18 |
36 | 2 | 0,08 | 0,06 | 0,05 | 0,05 | 0,07 | 0,08 | 0,12 | 0,14 | 0,28 | |||
37 | 3 | 6,11 | 0,09 | 0,06 | 0,06 | 0,09 | 0,11 | 0,16 | 0,18 | 0,36 | |||
38 | 4 | - | - | - | - | 0,11 | 0,14 | 0,20 | 0,23 | 0,46 | |||
39 | гайкой с помощью гаечного ключа | ![]() | 1 | 0,08 | 0,08 | 0,07 | 0,06 | 0,12 | 0,14 | 0,19 | 0,23 | 0,26 | |
40 | 2 | 0,14 | 0,14 | 0,12 | 0,10 | 0,21 | 0,24 | 0,32 | 0,39 | 0,47 | |||
41 | 3 | 0,18 | 0,18 | 0,16 | 0,14 | 0,28 | 0,32 | 0,44 | 0,55 | 0,68 | |||
42 | 4 | - | - | - | - | 0,35 | 0,40 | 0,55 | 0,65 | 0,83 | |||
43 | Скользящей или поворотной планкой, быстросъемной шайбой | рукояткой пневматического зажима | ![]() | 1 | - | - | - | - | 0,04 | 0,04 | 0,05 | 0,06 | 0,08 |
44 | 2 | - | - | - | - | 0,05 | 0,05 | 0,06 | 0,07 | 0,09 | |||
45 | рукояткой эксцентрикового зажима | ![]() | 1 | 0,04 | 0,04 | 0,03 | 0,03 | 0,03 | 0,04 | 0,06 | 0,07 | 0,11 | |
46 | 2 | 0,07 | 0,07 | 0,05 | 0,05 | 0,05 | 0,06 | 0,09 | 0,11 | 0,17 | |||
47 | 3 | 0,09 | 0,09 | 0,07 | 0,07 | 0,07 | 0,08 | 0,12 | 0,14 | 0,22 | |||
Индекс | а | б | в | г | д | е | ж | з | и | к | |||
ВСПОМОГАТЕЛЬНОЕ ВРЕМЯ НА УСТАНОВКУ И СНЯТИЕ ДЕТАЛИ | Установка в специальных приспособлениях | ||||||||||||
Карта 18, лист 4 | |||||||||||||
IV. Закрепление и открепление детали | |||||||||||||
N позиции | Способ крепления | Число зажимов | Масса детали, m, кг, до | ||||||||||
0,01 | 0,03 | 0,05 | 0,1 | 0,25 | 1,0 | 8 | 20 | Св. 20 | |||||
Время, t, мин. | |||||||||||||
48 | Скользящей или поворотной планкой, быстросъемной шайбой | гайкой с помощью гаечного ключа | ![]() | 1 | 0,07 | 0,06 | 0,06 | 0,05 | 0,10 | 0,13 | 0,16 | 0,18 | 0,25 |
49 | 2 | 0,12 | 0,10 | 0,10 | 0,08 | 0,17 | 0,21 | 0,27 | 0,31 | 0,45 | |||
50 | 3 | 0,16 | 0,14 | 0,14 | 0,11 | 0,24 | 0,28 | 0,37 | 0,42 | 0,63 | |||
51 | 4 | - | - | - | - | 0,29 | 0,35 | 0,46 | 0,50 | 0,78 | |||
52 | Накидной крышкой | рукояткой эксцентрикового зажима | ![]() | 1 | - | - | - | - | 0,05 | 0,06 | 0,09 | 0,11 | - |
53 | винтовым зажимом или фасонной гайкой вручную | ![]() | 1 | 0,05 | 0,05 | 0,05 | 0,06 | 0,06 | 0,08 | 0,13 | 0,16 | - | |
54 | гайкой с помощью гаечного ключа | ![]() | 1 | 0,12 | 0,11 | 0,11 | 0,12 | 0,12 | 0,15 | 0,23 | 0,28 | - | |
55 | защелкой | ![]() | 1 | 0,04 | 0,04 | 0,04 | 0,04 | 0,04 | 0,04 | 0,06 | - | - | |
56 | Гидропластом с помощью винта и гаечного ключа | ![]() | 1 | 1 | - | - | - | - | 0,15 | 0,20 | 0,23 | 0,27 | |
57 | Пальцевым фиксатором или шпилькой | ![]() | 1 | - | - | - | - | - | 0,03 | 0,05 | 0,06 | 0,08 | |
58 | 2 | - | - | - | - | - | 0,05 | 0,08 | 0,10 | 0,15 | |||
Индекс | а | б | в | г | д | е | ж | з | и | ||||
ВСПОМОГАТЕЛЬНОЕ ВРЕМЯ НА УСТАНОВКУ И СНЯТИЕ ДЕТАЛИ | Установка в специальных приспособлениях | ||||||||
Карта 18, лист 5 | |||||||||
N позиции | Способ крепления | Число зажимов | Масса детали, m, кг, до | ||||||
0,25 | 1,0 | 8 | 20 | Св. 20 | |||||
Время, t, мин. | |||||||||
59 | Клином | ![]() | 1 | - | 0,12 | 0,16 | 0,18 | - | |
60 | Струбцинами | ![]() | 2 | - | - | - | - | 06 | |
61 | 3 | - | - | - | - | 0,8 | |||
62 | 4 | - | - | - | - | 1,3 | |||
63 | Подбивка молотком при установке детали в многоместном приспособлении | Число деталей | До 5 шт. | - | 0,02 | 0,03 | 0,05 | - | - |
64 | Св. 5 шт. | - | 0,03 | 0,04 | 0,06 | - | - | ||
Индекс | а | б | в | г | д | ||||
Установка в специальных патронах | |||||||||
Карта 19, лист 1 | |||||||||
N позиции | Способ установки детали | Способ крепления | Масса детали, m, кг, до | ||||||
0,25 | 0,5 | 1 | 3 | 8 | 12 | 20 | |||
Время, t, мин. | |||||||||
1 | Патрон мембранный для тонкостенных деталей | Рукояткой рычага | 0,11 | 0,12 | 0,13 | 0,14 | - | - | - |
![]() | |||||||||
Индекс | а | б | в | г | д | е | ж | ||
ВСПОМОГАТЕЛЬНОЕ ВРЕМЯ НА УСТАНОВКУ И СНЯТИЕ ДЕТАЛИ | Установка в специальных патронах | ||||||||
Карта 19, лист 2 | |||||||||
N позиции | Способ установки детали | Способ крепления | Масса детали, m, кг, до | ||||||
0,25 | 0,5 | 1 | 3 | 8 | 12 | 20 | |||
Время, t, мин. | |||||||||
2 | Патрон для шлифования отверстий цилиндрических зубчатых колес с фиксацией роликом по зубу | Рукояткой пневматического зажима | - | 0,15 | 0,18 | 0,24 | 0,31 | 0,34 | 0,4 |
3 | ![]() | Скользящими планками и болтами | - | 0,47 | 0,60 | 0,75 | 1,05 | 1,2 | 1,35 |
4 | Патрон для шлифования отверстий цилиндрических зубчатых колес с фиксацией по отверстию | Рукояткой пневматического зажима и планками | - | 0,12 | 0,14 | 0,20 | 0,25 | 0,28 | 0,32 |
5 | ![]() | Скользящими планками и болтами | - | 0,36 | 0,44 | 0,60 | 0,80 | 0,90 | 1,05 |
6 | Патрон для шлифования отверстий конических зубчатых колес | Рукояткой пневматического зажима | - | 0,12 | 0,14 | 0,19 | 0,24 | 0,27 | 0,31 |
7 | ![]() | Скользящими планками с болтами | - | 0,42 | 0,50 | 0,70 | 0,95 | 1,05 | 1,20 |
Индекс | а | б | в | г | д | е | ж | ||
Токарно-винторезные станки | ||||||||||
Карта 20, лист 1 | ||||||||||
Время на проход | ||||||||||
N позиции | Характер обработки. Способ установки инструмента на стружку | Измерительный размер, И, мм, до | Наибольший диаметр изделия, устанавливаемого над станиной, D, мм, до | |||||||
160 | 250 | 400 | 690 | 1000 | Св. 1000 | |||||
Время, t, мин. | ||||||||||
1 | Обработка на станках с полуавтоматическим циклом или программным управлением | - | - | 0,03 | 0,04 | - | - | - | ||
2 | Продольное точение или растачивание | резцом, установленным на размер (черновой или чистовой проход при однопроходных операциях) | 25 | 0,06 | 0,08 | 0,10 | - | - | - | |
3 | ![]() | 100 | 0,07 | 0,09 | 0,11 | 0,15 | - | - | ||
4 | Св. 100 | 0,085 | 0,10 | 0,12 | 0,17 | - | - | |||
5 | с установкой резца по лимбу <*> или упору (черновой проход или чистовой проход грубее 1Т8 - 1Т9 квалитета) | 25 | 0,10 | 0,11 | - | - | - | |||
6 | 100 | 0,12 | 0,14 | 0,26 | - | - | ||||
7 | Св. 100 | 0,14 | 0,16 | 0,19 | 0,27 | 0,31 | 0,39 | |||
8 | с предварительным промером (черновой проход) | 10 | 0,22 | 0,26 | - | - | - | |||
9 | 25 | 0,24 | 0,27 | 0,30 | - | - | - | |||
10 | 100 | 0,28 | 0,31 | 0,44 | 0,48 | 0,60 | ||||
11 | 300 | 0,34 | 0,38 | 0,41 | 0,50 | 0,55 | 0,65 | |||
12 | 500 | - | - | 0,49 | 0,60 | 0,65 | 0,75 | |||
13 | Св. 500 | - | - | - | 0,65 | 0,70 | 0,80 | |||
14 | ![]() | со взятием пробных стружек (чистовой проход) | 1Т11 - 1Т13 (4 - 5 кл.) | 10 | 0,22 | 0,27 | - | - | - | - |
15 | 150 | 0,23 | 0,29 | 0,31 | - | - | - | |||
16 | 100 | 0,31 | 0,37 | 0,42 | 0,55 | 0,60 | 0,75 | |||
17 | 300 | 0,43 | 0,50 | 0,70 | 0,75 | 0,90 | ||||
18 | 500 | - | - | 0,65 | 0,80 | 0,85 | 1,0 | |||
19 | Св. 500 | - | - | - | 0,95 | 1,05 | 1,20 | |||
20 | 1Т8 - 1Т9 (3 кл.) | 10 | 0,27 | 0,33 | - | - | - | - | ||
21 | 25 | 0,28 | 0,34 | 0,38 | - | - | - | |||
22 | 50 | 0,31 | 0,38 | 0,42 | - | - | - | |||
23 | 100 | 0,42 | 0,50 | 0,55 | 0,75 | 0,80 | 0,95 | |||
24 | 300 | 0,55 | 0,65 | 0,75 | 0,90 | 0,95 | 1,15 | |||
25 | 500 | - | - | 0,95 | 1,16 | 1,20 | 1,45 | |||
26 | Св. 500 | - | - | - | 1,35 | 1,45 | 1,65 | |||
27 | 1Т7 (2 кл.) | 10 | 0,35 | 0,43 | - | - | - | - | ||
28 | 25 | 0,36 | 0,44 | 0,49 | - | - | - | |||
29 | 50 | 0,40 | 0,49. | 0,55 | - | - | - | |||
30 | 100 | 0,50 | 0,60 | 0,70 | 0,85 | 0,95 | 1,15 | |||
31 | 300 | 0,70 | 0,80 | 0,90 | 1,10 | 1,20 | 1,4 | |||
32 | 500 | - | - | 1,25 | 1,50 | 1,60 | 1,85 | |||
33 | Св. 500 | - | - | - | 1,90 | 2,00 | 2,3 | |||
34 | Поперечное точение | с установкой резца по лимбу или упору (черновой проход или чистовой проход грубее 0,2 мм) | - | 0,15 | 0,17 | 0,20 | 0,27 | 0,32 | 0,40 | |
35 | ![]() | с предварительным промером (черновой приход) | 50 | 0,25 | 0,30 | - | - | - | - | |
36 | 100 | 0,28 | 0,32 | 0,35 | 0,45 | - | - | |||
37 | 300 | 0,34 | 0,39 | 0,42 | 0,50 | 0,55 | 0,70 | |||
38 | Св. 300 | - | - | 0,50 | 0,60 | 0,65 | 0,75 | |||
39 | со взятием пробной стружки чистовой проход) | 50 | 0,26 | 0,31 | 0,36 | - | - | - | ||
40 | 100 | 0,32 | 0,38 | 0,43 | 0,55 | - | - | |||
41 | 300 | 0,44 | 0,50 | 0,55 | 0,70 | 0,75 | 0,95 | |||
42 | Св. 300 | - | - | 0,65 | 0,80 | 0,85 | 1.0 | |||
Индекс | а | б | в | г | д | е | ||||
ВСПОМОГАТЕЛЬНОЕ ВРЕМЯ, СВЯЗАННОЕ С ПЕРЕХОДОМ | Токарно-винторезные станки | ||||||||||
Карта 20, лист 2 | |||||||||||
N позиции | Характер обработки, Способ установки инструмента на стружку | Измеряемый размер, И, мм, до | Наибольший диаметр изделия, устанавливаемого над станиной, D, мм, до | ||||||||
160 | 250 | 400 | 630 | 1000 | Св. 1000 | ||||||
Время, t, мин. | |||||||||||
43 | Обработка конуса (от верхней части суппорта, установленного на угол) | без измерения | - | 0,13 | 0,14 | 0,17 | 0,23 | 0,28 | 0,33 | ||
44 | ![]() | с измерением | - | 0,25 | 0,27 | 0,33 | 0,41 | 0,49 | 0,55 | ||
45 | Точение или растачивание с одновременной проточкой торца | по упору или лимбу грубо | - | 0,15 | 0,18 | 0,21 | - | - | - | ||
46 | ![]() | по лимбу с точностью <= 0,2 мм | - | 0,16 | 0,20 | 0,24 | - | - | - | ||
47 | Внутренняя подрезка торца | без измерения | - | 0,16 | 0,18 | 0,21 | 0,30 | 0,34 | 0,43 | ||
48 | ![]() | с измерением длины расположения размера | - | 0,26 | 0,30 | 0,34 | 0,46 | 0,50 | 0,65 | ||
49 | Проточка пазов, канавок, отрезка | наружных | без измерения | - | 0,08 | 0,09 | 0,11 | 0,14 | 0,17 | 0,21 | |
50 | ![]() | с измерением длины расположения размера | - | 0,18 | 0,21 | 0,24 | 0,30 | 0,35 | 0,42 | ||
51 | внутренних | без измерения | - | 0,14 | 0,16 | 0,19 | 0,27 | 0,31 | 0,39 | ||
52 | с измерением длины расположения размера | - | 0,24 | 10,28 | 0,32 | 0,43 | 0,50 | 0,60 | |||
53 | Нарезание резьбы резцом | черновой проход | 25 | 0,09 | 0,12 | 0,14 | - | - | - | ||
54 | ![]() | св. 25 | 0,10 | 0,13 | 0,15 | 0,20 | - | - | |||
55 | чистовой проход | 1Т8 - 1Т9 (3 кл.) | 25 | 0,17 | 0,21 | 0,23 | - | - | - | ||
56 | 50 | 0,22 | 0,26 | 0,30 | 0,34 | - | - | ||||
57 | 100 | 0,30 | 0,34 | 0,37 | 0,42 | - | - | ||||
58 | св. 100 | 0,45 | 0,49 | 0,50 | 0,55 | - | - | ||||
59 | 1Т7 (2. кл.) | 25 | 0,22 | 0,26 | 0,28 | - | - | - | |||
60 | 50 | 0,28 | 0,32 | 0,35 | 0,40 | - | - | ||||
61 | 100 | 0,36 | 0,40 | 0,43 | 0,48 | - | - | ||||
62 | св. 100 | 0,60 | 0,65 | 0,70 | 0,75 | - | - | ||||
Индекс | а | б | в | г | д | е | |||||
ВСПОМОГАТЕЛЬНОЕ ВРЕМЯ, СВЯЗАННОЕ С ПЕРЕХОДОМ | Токарно-винторезные станки | ||||||||||||
Карта 20, лист 3 | |||||||||||||
N позиции | Характер обработки. Способ установки инструмента на стружку | Измеряемый размер, И, мм, до | Наибольший диаметр изделия, устанавливаемого над станиной, D, мм, до | ||||||||||
160 | 250 | 400 | 630 | 1000 | Св. 1000 | ||||||||
Время, t, мин. | |||||||||||||
63 | Нарезание резьбы метчиком, плашкой от задней бабки или роликами | - | 0,12 | 0,15 | 0,19 | 0,21 | - | - | |||||
![]() | |||||||||||||
64 | Сверление | Диаметр сверла, d, мм, до | 5 | Длина отверстия, l, в диаметрах сверла | 3 d | - | 0,11 | 0,13 | 0,16 | - | - | - | |
65 | ![]() | 5 d | - | 0,17 | 0,21 | 0,26 | - | - | - | ||||
66 | 8 d | - | 0,23 | 0,29 | 0,36 | - | - | - | |||||
67 | Св. 8 d | - | 0,35 | 0,45 | 0,56 | - | - | - | |||||
68 | 10 | 5 d | - | 0,11 | 0,13 | 0,16 | 0,19 | - | - | ||||
69 | 8 d | - | 0,17 | 0,21 | 0,26 | 0,31 | - | - | |||||
70 | Св. 8 d | - | 0,23 | 0,29 | 0,36 | 0,43 | - | - | |||||
71 | 30 | 3 d | - | 0,11 | 0,13 | 0,16 | 0,19 | - | |||||
72 | 5 d | - | 0,17 | 0,21 | 0,26 | 0,31 | - | - | |||||
73 | Св. 5 d | - | - | - | 0,46 | 0,55 | - | - | |||||
74 | Рассверливание, зенкерование, зенкование, развертывание ![]() | - | 0,08 | 0,09 | 0,11 | 0,13 | - | - | |||||
75 | Обточка профильная, обточка фасок или галтелей ![]() | без измерения | - | 0,07 | 0,08 | 0,10 | 0,14 | 0,16 | 0,20 | ||||
76 | с измерением с точностью | > 0,15 мм | - | 0,18 | 0,20 | 0,22 | 0,28 | 0,30 | 0,36 | ||||
77 | <= 0,15 мм | - | 0,21 | 0,23 | 0,25 | 0,31 | 0,33 | 0,39 | |||||
78 | Накатывание рифлений | с продольной подачей | - | 0,14 | 0,17 | 0,21 | 0,27 | 0,33 | 0,41 | ||||
79 | ![]() | с поперечной подачей | - | 0,10 | 0,12 | 0,15 | 0,20 | 0,25 | 0,31 | ||||
Индекс | а | б | в | г | д | е | |||||||
ВСПОМОГАТЕЛЬНОЕ ВРЕМЯ, СВЯЗАННОЕ С ПЕРЕХОДОМ | Токарно-винторезные станки | ||||||||||
Карта 20, лист 4 | |||||||||||
Время на приемы, связанные с переходом, не вошедшие в комплексы | |||||||||||
N позиции | Наименование приемов | Наибольший диаметр изделия, устанавливаемого над станиной, D, мм, до | |||||||||
160 | 250 | 400 | 630 | 1000 | Св. 1000 | ||||||
Время, t, мин. | |||||||||||
80 | Изменить частоту вращения шпинделя | 0,06 | 0,07 | 0,09 | 0,10 | 0,12 | |||||
81 | Изменить величину или направление подачи | 0,04 | 0,05 | 0,07 | 0,08 | 0,09 | |||||
82 | Сменить резец поворотом резцовой головки | 0,06 | 0,07 | 0,08 | 0,10 | 0,12 | |||||
83 | Установить и снять инструмент | резец | проходной, подрезной, расточной | 0,35 | 0,4 | 0,5 | 0,6 | 0,7 | 1,0 | ||
84 | резьбовой, отрезной, фасонный | 0,5 | 0,6 | 0,8 | 1,0 | 1,2 | 1,5 | ||||
85 | сверло, зенкер, развертку | 0,07 | 0,10 | 0,12 | 0,14 | - | - | ||||
86 | метчик или плашку в державке | 0,09 | 0,11 | 0,14 | 0,15 | - | - | ||||
87 | Закрепить или открепить каретку суппорта | 0,025 | 0,03 | 0,04 | 0,05 | 0,05 | 0,06 | ||||
88 | Включить гайку ходового винта в начале и выключить по окончании нарезания резьбы | - | 0,04 | 0,04 | 0,06 | - | - | ||||
89 | Произвести деление на другой заход при нарезании многозаходной резьбы специальным делительным приспособлением | 0,05 | 0,05 | 0,07 | 0,08 | - | - | ||||
90 | Повернуть верхнюю часть суппорта с возвратом в первоначальное положение | 1,0 | 1,2 | 1,2 | 1,4 | 1,6 | 1,8 | ||||
91 | Включить тормоз шпинделя | - | - | 0,02 | 0,03 | 0,03 | 0,04 | ||||
92 | Поставить или снять вкладыш упора | 0,045 | 0,05 | 0,06 | 0,065 | - | - | ||||
93 | Закрыть или открыть щиток ограждения от стружки | 0,02 | 0,02 | 0,03 | 0,03 | 0,04 | 0,04 | ||||
Переместить каретку суппорта в продольном направлении на длину свыше 200 мм (а для станков I, II группы на длину свыше 50 мм) | Длина перемещения, l, мм, до | 100 | 0,005 | 0,005 | - | - | - | - | |||
95 | 200 | 0,01 | 0,015 | - | - | - | - | ||||
96 | 300 | 0,03 | 0,045 | 0,03 | 0,03 | 0,4 | 0,05 | ||||
97 | 500 | - | 0,075 | 0,08 | 0,08 | 0,11 | 0,14 | ||||
98 | 750 | - | - | 0,15 | 0,15 | 0,22 | 0,23 | ||||
99 | 1000 | - | - | 0,22 | 0,23 | 0,33 | 0,34 | ||||
Индекс | а | б | в | г | д | е | |||||
ВСПОМОГАТЕЛЬНОЕ ВРЕМЯ, СВЯЗАННОЕ С ПЕРЕХОДОМ | Токарно-винторезные станки | ||||||||
Карта 20, лист 5 | |||||||||
N позиции | Наименование приемов | Наибольший диаметр изделия, устанавливаемого над станиной, D, мм, до | |||||||
160 | 250 | 400 | 630 | 1000 | Св. 1000 | ||||
Время, t, мин. | |||||||||
100 | Переместить каретку суппорта в продольном направлении на длину свыше 200 мм (а для станков I, II группы на длину свыше 50 мм) | Длина перемещения, l, мм, до | 1500 | - | - | 0,33 | 0,36 | 0,50 | 0,55 |
101 | 2000 | - | - | 0,50 | 0,50 | 0,70 | 0,75 | ||
3000 | - | - | - | 0,80 | 1,1 | 1,2 | |||
Переместить суппорт в поперечном направлении на длину свыше 100 мм (а для станков I, II группы на длину свыше 25 мм) | 50 | 0,005 | 0,005 | 0,005 | - | - | - | ||
104 | 75 | 0,015 | 0,015 | - | - | - | - | ||
105 | 100 | - | 0,02 | - | - | - | - | ||
106 | 150 | - | - | 0,03 | 0,04 | 0,04 | 0,05 | ||
107 | 200 | - | - | 0,07 | 0,09 | 0,10 | 0,13 | ||
108 | 300 | - | - | - | 0,17 | 0,18 | 0,19 | ||
109 | 400 | - | - | - | 0,27 | 0,29 | 0,33 | ||
110 | 500 | - | - | - | - | 0,40 | 0,50 | ||
600 | - | - | - | - | - | 0,60 | |||
Индекс | а | б | в | г | д | е | |||
ВСПОМОГАТЕЛЬНОЕ ВРЕМЯ, СВЯЗАННОЕ С ПЕРЕХОДОМ | Токарно-винторезные станки | ||||||||||||||||
Карта 20, лист 6 | |||||||||||||||||
Время на приемы, связанные с переходом, не вошедшие в комплексы | |||||||||||||||||
N позиции | Наименование приемов | Время, t, мин. | |||||||||||||||
112 | Включить или выключить пульт лентопротяжного механизма | 0,02 | |||||||||||||||
113 | Продвинуть перфоленту в исходное положение | 0,25 | |||||||||||||||
114 | Установить координаты x, y (на 100 мм) | 0,15 | |||||||||||||||
115 | Ввести коррекцию (на 1 корректор) | 0,04 | |||||||||||||||
Перемотать магнитную ленту со скоростью перемотки 300 м/мин. | |||||||||||||||||
Скорость воспроизведения программы, v, м/мин. | Время автоматической работы станка, Tавт, мин. | ||||||||||||||||
2 | 5 | 10 | 15 | 20 | 25 | 30 | 35 | 40 | 50 | 60 | 70 | 80 | 90 | 100 | 120 | ||
Время на перемотку ленты, t, мин. | |||||||||||||||||
116 | 12 | 0,08 | 0,2 | 0,4 | 0,6 | 0,8 | 1,0 | 1,2 | 1,4 | 1,6 | 2,0 | 2,4 | 2,8 | 3,2 | 3,6 | 4,0 | 4,8 |
117 | 3 | 0,02 | 0,05 | 0,1 | 0,15 | 0,2 | 0,25 | 0,3 | 0,35 | 0,4 | 0,5 | 0,6 | 0,7 | 0,8 | 0,9 | 1,0 | 1,2 |
Индекс | а | б | в | г | д | е | ж | з | и | к | л | м | н | о | п | р | |
Перемотать перфорированную ленту | |||||||||||||||||
Вид перемотки | Длина ленты, l, м | ||||||||||||||||
2 | 4 | 6 | 8 | 10 | 15 | На каждые последующие 10 м добавлять | |||||||||||
Время на перемотку ленты, t, мин. | |||||||||||||||||
118 | Автоматическая | 0,045 | 0,09 | 0,13 | 0,18 | 0,22 | 0,33 | 0,18 | |||||||||
119 | Ручная | 0,8 | 1,0 | 1,3 | 1,5 | 1,8 | - | - | |||||||||
Индекс | а | б | в | г | д | е | ж | ||||||||||
Лоботокарные станки | |||||||
Карта 21, лист 1 | |||||||
Время на проход | |||||||
N позиции | Характер обработки. Способ установки инструмента на стружку | Измеряемый размер, И, мм, до | Наибольший диаметр обрабатываемого изделия, D, мм, до | ||||
800 | 1250 | 2000 | |||||
Время, t, мин. | |||||||
1 | Продольное точение или растачивание | резцом, установленным на размер | - | 0,25 | 0,30 | 0,36 | |
2 | ![]() | с установкой резца по лимбу (черновой проход) | - | 0,35 | 0,42 | 0,50 | |
3 | с предварительным промером (черновой проход) | 300 | 0,60 | 0,65 | 0,75 | ||
4 | 500 | 0,70 | 0,75 | 0,85 | |||
5 | 1000 | 0,80 | 0,85 | 0,95 | |||
6 | 1600 | 0,90 | 0,95 | 1,05 | |||
7 | 2000 | 0,95 | 1,05 | 1,15 | |||
8 | со взятием пробных стружек (чистовой проход) | 1Т7 (2 кл.) | 500 | 1,35 | 1,45 | 1,70 | |
9 | 1000 | 1,85 | 1,95 | 2,2 | |||
10 | 1500 | 2,4 | 2,6 | 2,9 | |||
11 | 2000 | 3,1 | 3,2 | 3,5 | |||
12 | 1Т8 - 1Т9 (3 кл.) | 300 | 0,75 | 0,85 | 1.00 | ||
13 | 500 | 1,10 | 1,20 | 1,40 | |||
14 | 1000 | 1,45 | 1,55 | 1,75 | |||
15 | 1500 | 1,75 | 1,85 | 2,1 | |||
16 | 2000 | 2,1 | 2,2 | 2,5 | |||
17 | ![]() | 1Т11 - 1Т13 (4 - 5 кл.) | 300 | 0,65 | 0,75 | 0,90 | |
18 | 500 | 0,85 | 0,95 | 1,10 | |||
19 | 1000 | 1,10 | 1,20 | 1,35 | |||
21 | 1500 | 1,40 | 1,50 | 1,70 | |||
2000 | 1,50 | 1,60 | 1,80 | ||||
Индекс | а | б | в | ||||
ВСПОМОГАТЕЛЬНОЕ ВРЕМЯ, СВЯЗАННОЕ С ПЕРЕХОДОМ | Лоботокарные станки | ||||||
Карта 21, лист 2 | |||||||
Время на проход | |||||||
N позиции | Характер обработки. Способ установки инструмента на стружку | Измеряемый размер, И, км, до | Наибольший диаметр обрабатываемого изделия, D, км, до | ||||
800 | 1250 | 2000 | |||||
Время, t, мин. | |||||||
22 | Поперечное точение | с установкой резца по лимбу (черновой проход) | - | 0,36 | 0,42 | 0,55 | |
23 | ![]() | с предварительным промером (черновой проход) | 300 | 0,60 | 0,65 | 0,80 | |
24 | 500 | 0,70 | 0,75 | 0,90 | |||
25 | 1000 | 0,80 | 0,85 | 1,00 | |||
26 | со взятием пробных стружек (чистовой проход) | 500 | 0,85 | 0,95 | 1,10 | ||
27 | 1000 | 1,10 | 1,20 | 1,40 | |||
28 | Обработка конуса | без измерения | - | 0,32 | 0,38 | 0,46 | |
29 | ![]() | с измерением | - | 0,55 | 0,60 | 0,70 | |
30 | Внутренняя подрезка торца | ![]() | без измерения | - | 0,46 | 0,55 | 0,65 |
31 | с измерением длины расположения размера | - | 0,65 | 0,75 | 0,90 | ||
32 | Проточка пазов, канавок, отрезка | наружных | без измерения | - | 0,22 | 0,27 | 0,32 |
33 | с измерением длины расположения размера | - | 0,40 | 0,46 | 0,55 | ||
34 | ![]() | внутренних | без измерения | - | 0,43 | 0,55 | 0,65 |
35 | с измерением длины расположения размера | - | 0,60 | 0,70 | 0,85 | ||
Индекс | а | б | в | ||||
ВСПОМОГАТЕЛЬНОЕ ВРЕМЯ, СВЯЗАННОЕ С ПЕРЕХОДОМ | Лоботокарные станки | |||||||
Карта 21, лист 3 | ||||||||
N позиции | Характер обработки. Способ установки инструмента на стружку | Измеряемый размер, И, мм, до | Наибольший диаметр обрабатываемого изделия, D, км, до | |||||
800 | 1250 | 2000 | ||||||
Время, t, мин. | ||||||||
36 | Обточка профильная, обточка фасок или галтелей | без измерения | - | 0,22 | 0,27 | 0,32 | ||
37 | ![]() | с измерением с точностью | <= 0,15 мм | - | 0,39 | 0,44 | 0,50 | |
38 | > 0,15 мм | - | 0,36 | 0,41 | 0,48 | |||
Время на приемы, связанные с переходом, не вошедшие в комплексы | ||||||||
39 | Изменить число оборотов планшайбы или величину подачи | - | 0,09 | 0,10 | 0,12 | |||
40 | Сменить инструмент поворотом резцовой головки | - | 0,10 | 0,12 | 0,14 | |||
41 | Установить и снять резец | проходной, подрезной, расточной | - | 0,9 | 1,0 | 1,2 | ||
42 | прорезной, широкий, фасонный | - | 1,0 | 1,5 | 2,0 | |||
43 | Повернуть суппорт на угол с возвратом в первоначальное положение | грубо | - | 1,5 | 2,2 | 3,0 | ||
44 | точно | - | 3,0 | 4,0 | 5,0 | |||
Переместить каретку суппорта в продольном направлении на длину свыше 500 мм | 750 | - | 0,07 | 0,11 | 0,12 | |||
46 | 1000 | - | 0,15 | 0,22 | 0,23 | |||
47 | 1500 | - | 0,28 | 0,40 | 0,45 | |||
48 | 2000 | - | 0,44 | 0,60 | 0,70 | |||
3000 | - | 0,75 | 1,00 | 1,05 | ||||
Переместить суппорт в поперечном направлении на длину свыше 200 мм | 300 | - | 0,08 | 0,09 | 0,10 | |||
51 | 400 | - | 0,18 | 0,19 | 0,20 | |||
500 | - | - | 0,30 | 0,35 | ||||
Индекс | а | б | в | |||||
Токарно-карусельные станки | |||||||
Карта 22, лист 1 | |||||||
Время на проход | |||||||
N позиции | Характер обработки. Способ установки инструмента на стружку | Измеряемый размер, И, мм, до | Наибольший диаметр обрабатываемого изделия, D, мм, до | ||||
800 | 1600 | 2500 | |||||
Время, t, мин. | |||||||
1 | Продольное или поперечное точение и растачивание | с установкой резца по лимбу (черновой проход) | - | 0,33 | 0,37 | 0,45 | |
2 | ![]() | с предварительным промером (черновой проход) | 500 | 0,65 | 0,70 | 0,80 | |
3 | 1000 | 0,75 | 0,80 | 0,90 | |||
4 | 1500 | - | 0,90 | 1,0 | |||
5 | 2000 | - | 1,0 | 1,1 | |||
6 | 2500 | - | - | 1,2 | |||
7 | со взятием пробных стружек (чистовой проход) | 1Т11 - 1Т13 (4 - 5 кл.) или <= 0,5 <*> мм | 100 | 0,65 | 0,70 | 0,85 | |
8 | 250 | 0,70 | 0,80 | 0,90 | |||
9 | 500 | 0,90 | 1,00 | 1,05 | |||
10 | 1000 | 1,2 | 1,25 | 1,45 | |||
11 | 1500 | - | 1,60 | 1,80 | |||
12 | 2000 | - | - | 1,9 | |||
13 | 2500 | - | - | 2,0 | |||
14 | ![]() | 1Т8 - 1Т9 (3 кл.) | 100 | 0,75 | 0,80 | 1,00 | |
15 | 250 | 0,80 | 0,90 | 1,05 | |||
16 | 500 | 1,2 | 1,3 | 1,5 | |||
17 | 1000 | 1,55 | 1,65 | 1,9 | |||
18 | 1500 | - | 2,0 | 2,2 | |||
19 | 2000 | - | 2,4 | 2,7 | |||
20 | 2500 | - | - | 3,1 | |||
21 | 1Т7 (2 кл.) | 500 | 1,4 | 1,60 | 1,85 | ||
22 | 1000 | 2,0 | 2,2 | 2,4 | |||
23 | 1500 | - | 2,8 | 3,1 | |||
24 | 2000 | - | 3,5 | 3,8 | |||
25 | 2500 | - | 4,3 | 4,7 | |||
26 | Проточка пазов | без измерения | 0,31 | 0,33 | 0,38 | ||
27 | ![]() | с измерением длины расположения размера | 0,50 | 0,55 | 0,75 | ||
28 | Проточка профильная, проточка фасок или галтелей | без измерения | 0,13 | 0,15 | 0,17 | ||
29 | с измерением с точностью | <= 0,15 мм | 0,32 | 0,34 | 0,38 | ||
30 | ![]() | > 0,15 мм | 0,28 | 0,30 | 0,34 | ||
31 | Сверление, зенкерование, развертывание | 0,32 | 0,36 | 0,44 | |||
![]() | |||||||
Индекс | а | б | в | ||||
ВСПОМОГАТЕЛЬНОЕ ВРЕМЯ, СВЯЗАННОЕ С ПЕРЕХОДОМ | Токарно-карусельные станки | ||||||
Карта 22, лист 2 | |||||||
Время на примеры, связанные с переходом, не вошедшие в комплексы | |||||||
N позиции | Характер обработки. Способ установки инструмента на стружку | Измеряемый размер, И, мм, до | Наибольший диаметр обрабатываемого изделия, D, мм, до | ||||
800 | 1600 | 2500 | |||||
Время, t, мин. | |||||||
32 | Изменить число оборотов планшайбы или величину подачи | 0,08 | 0,10 | 0,13 | |||
33 | Сменить инструмент поворотом резцовой головки | 0,10 | 0,12 | 0,14 | |||
34 | Установить и снять инструмент | резец | проходной, подрезной, расточной | 0,8 | 1,0 | 1,2 | |
35 | прорезной, широкий, фасонный | 1,0 | 1,5 | 2,0 | |||
36 | сверло, зенкер, развертку | 0,23 | 0,31 | 0,4 | |||
37 | Повернуть суппорт на угол с возвратом в первоначальное положение | грубо | 1,15 | 2,2 | 3,0 | ||
38 | точно | 3,0 | 4,0 | 5,0 | |||
39 | Переместить резцовую головку на длину св. 200 мм при длине перемещения, мм, до | 300 | 0,04 | 0,04 | 0,04 | ||
40 | 500 | 0,10 | 0,10 | 0,11 | |||
41 | 750 | 0,19 | 0,19 | 0,21 | |||
42 | 1000 | - | - | 0,33 | |||
Индекс | а | б | в | ||||
Горизонтально-расточные станки с неподвижной стойкой и поворотным столом | |||||||||||||
Карта 23, лист 1 | |||||||||||||
N позиции | База для совмещения оси шпинделя с осью обрабатываемого отверстия | Способ совмещения и измерения | Перемещение шпинделя и стола в плоскостях | Точность межцентрового расстояния, | Диаметр шпинделя, D, мм, до | ||||||||
65 | 110 | 160 | |||||||||||
Длина перемещения частей станка, l, мм, до | |||||||||||||
300 | 600 | 1000 | 300 | 600 | 1000 | 300 | 600 | 1000 | |||||
Время, t, мин. | |||||||||||||
Время на совмещение оси шпинделя с осью обрабатываемого отверстия | |||||||||||||
1 | Отверстие кондуктора | По индикатору | Одной | - | 3,0 | 3,2 | 3,4 | 3,8 | 4,0 | 4,2 | 4,4 | 4,6 | 4,9 |
2 | Двух | 3,9 | 4,2 | 4,4 | 4,9 | 5,2 | 5,5 | 5,7 | 6,0 | 6,3 | |||
3 | По кондукторной втулке и контрольной оправке | Одной | - | 1,6 | 1,8 | 2,0 | 1,9 | 2,1 | 2,3 | 2,2 | 2,4 | 2,6 | |
4 | Двух | 2,2 | 2,5 | 2,7 | 2,6 | 2,9 | 3,2 | 2,9 | 3,3 | 3,6 | |||
5 | Борштанга, установленная в кондукторе на опорах | Соединение шпинделя станка с борштангой | Одной | - | 0,4 | 0,6 | - | 0,5 | 0,7 | - | 0,60 | 0,80 | - |
6 | Двух | 0,55 | 0,8 | - | 0,6 | 0,9 | - | 0,80 | 1,15 | - | |||
7 | Размеченная окружность необработанного отверстия | Иглой в шпинделе по размеченной окружности | Одной | 1,0 | 1,7 | 1,9 | 2,0 | 2,0 | 2,3 | 2,5 | 2,5 | 2,7 | 2,9 |
8 | Двух | 2,1 | 2,5 | 2,8 | 2,6 | 3,1 | 3,5 | 3,1 | 3,6 | 4,1 | |||
Индекс | а | б | в | г | д | е | ж | з | и | ||||
ВСПОМОГАТЕЛЬНОЕ ВРЕМЯ, СВЯЗАННОЕ С ПЕРЕХОДОМ | Горизонтально-расточные станки с неподвижной стойкой и поворотным столом | ||||||||||||
Карта 23, лист 2 | |||||||||||||
N позиции | База для совмещения оси шпинделя с осью обрабатываемого отверстия | Способ совмещения и измерения | Перемещение шпинделя и стола в плоскостях | Точность межцентрового расстояния, | Диаметр шпинделя, D, мм, до | ||||||||
65 | 110 | 160 | |||||||||||
Длина перемещения частей станка, l, мм, до | |||||||||||||
300 | 600 | 1000 | 300 | 600 | 1000 | 300 | 600 | 1000 | |||||
Время, t, мин. | |||||||||||||
Время на совмещение оси шпинделя с осью обрабатываемого отверстия | |||||||||||||
9 | Обработанное отверстие | По нониусной или масштабной линейке | Одной | 0,3 | 1,15 | 1,4 | 1,6 | 1,4 | 1,7 | 2,0 | 1,6 | 2,0 | 2,3 |
10 | Двух | 1,75 | 2,0 | 2,3 | 2,2 | 2,5 | 2,8 | 2,5 | 2,9 | 3,3 | |||
11 | Одной | 1,0 | 0,33 | 0,50 | 0,75 | 0,38 | 0,6 | 0,85 | 0,48 | 0,75 | 1,05 | ||
12 | Двух | 0,4 | 0,7 | 1,0 | 0,47 | 0,8 | 1,25 | 0,55 | 0,9 | 1,3 | |||
13 | По консольной оправке | Одной | - | 0,33 | 0,50 | 0,75 | 0,38 | 0,6 | 0,85 | 0,48 | 0,75 | 1,05 | |
14 | Двух | 0,4 | 0,7 | 1,0 | 0,47 | 0,8 | 1,15 | 0,55 | 0,9 | 1,3 | |||
15 | Наружная боковая плоскость детали | По нониусной или масштабной линейке | Одной | - | 1,15 | 1,35 | 1,5 | 1,35 | 1,6 | 1,8 | 1,55 | 1,85 | 2,1 |
16 | Двух | 1,7 | 2,0 | 2,3 | 2,0 | 2,4 | 2,70 | 2,3 | 2,8 | 3,1 | |||
17 | Одной | 1,0 | 0,33 | 0,50 | 0,75 | 0,38 | 0,6 | 0,85 | 0,48 | 0,75 | 1,05 | ||
18 | Двух | 0,4 | 0,7 | 1,0 | 0,47 | 0,8 | 1,15 | 0,55 | 0,9 | 1,3 | |||
19 | Повернуть стол на угол при совмещении осей в другой плоскости с откреплением и закреплением, град. | 90° | - | 1,1 | 1,3 | 1,7 | |||||||
20 | 180° | - | 1,7 | 2,0 | 2,4 | ||||||||
21 | Закрепить или открепить шпиндельную бабку | рычагом | - | 0,06 | 0,07 | 0,08 | |||||||
22 | гайкой | - | 0,14 | 1,19 | 0,25 | ||||||||
Индекс | а | б | в | г | д | е | ж | з | и | ||||
ВСПОМОГАТЕЛЬНОЕ ВРЕМЯ, СВЯЗАННОЕ С ПЕРЕХОДОМ | Горизонтально-расточные станки с неподвижной стойкой и поворотным столом | ||||||
Карта 23, лист 3 | |||||||
Время на проход | |||||||
N позиции | Характер обработки. Способ установки инструмента на стружку | Измеряемый размер, И, мм, до | Диаметр шпинделя, D, мм, до | ||||
65 | 110 | 160 | |||||
Время, t, мин. | |||||||
23 | Растачивание отверстий | резцом, установленным на размер по шаблону (черновой проход) | - | 0,46 | 0,55 | 0,66 | |
24 | ![]() | резцом со взятием дробной стружки (предчистовой проход) 1Т11 - 1Т13 (4 - 5 кл.) | 100 | 1,0 | 1,2 | 1,66 | |
25 | 300 | 1,2 | 1,5 | 1,4 | |||
26 | Св. 300 | 1,5 | 1,80 | 2,0 | |||
27 | мерной расточной пластиной или двусторонним резцам (чистовой проход) | - | 0,17 | 0,20 | 0,23 | ||
28 | Прорезка торцов | расточной пластиной, зенковкой | - | 0,15 | 0,17 | 0,20 | |
29 | ![]() | резцом в резцедержателе на планшайбе | по лимбу или разметке | - | 0,38 | 0,46 | 0,55 |
30 | со взятием пробной стружки | 300 | 0,80 | 1,0 | 1,15 | ||
31 | Св. 300 | 0,90 | 1,1 | 1,25 | |||
Индекс | а | б | в | ||||
ВСПОМОГАТЕЛЬНОЕ ВРЕМЯ, СВЯЗАННОЕ С ПЕРЕХОДОМ | Горизонтально-расточные станки с неподвижной стойкой и поворотным столом | ||||||||
Карта 23, лист 4 | |||||||||
N позиции | Характер обработки. Способ установки инструмента на стружку | Измеряемый размер, И, мм, до | Диаметр шпинделя, D, мм, до | ||||||
65 | 110 | 160 | |||||||
Время, t, мин. | |||||||||
32 | Прорезка пазов | без измерения | - | 0,35 | 0,40 | 0,47 | |||
33 | ![]() | с измерением длины расположения размера | - | 0,55 | 0,70 | 0,80 | |||
34 | Сверление отверстий | Обрабатываемый материал | сталь | Длина отверстия, l, в диаметрах сверла | 5 d | - | 0,33 | 0,41 | 0,48 |
35 | ![]() | 8 d | 0,47 | 0,60 | 0,70 | ||||
36 | Св. 8 d | 0,60 | 0,75 | 0,90 | |||||
37 | чугун | 5 d | - | 0,19 | 0,23 | 0,26 | |||
38 | Св. 5 d | 0,33 | 0,41 | 0,47 | |||||
39 | Рассверливание, зенкерование; развертывание | - | 0,17 | 0,20 | 0,23 | ||||
40 | Фрезерование плоскостей и пазов | по разметке | - | 0,49 | 0,60 | 0,70 | |||
41 | ![]() | со взятием пробной стружки | 300 | 0,80 | 1,05 | 1,20 | |||
42 | Св. 300 | 0,90 | 1,15 | 1,30 | |||||
Индекс | а | б | в | ||||||
ВСПОМОГАТЕЛЬНОЕ ВРЕМЯ, СВЯЗАННОЕ С ПЕРЕХОДОМ | Горизонтально-расточные станки с неподвижной стойкой и поворотным столом | ||||||||
Карта 23, лист 5 | |||||||||
Время на приемы, связанные с переходом, не вошедшие в комплексы | |||||||||
N позиции | Наименование приемов | Диаметр шпинделя, D, мм, до | |||||||
65 | 110 | 160 | |||||||
Время, t, мин. | |||||||||
43 | Изменить число оборотов шпинделя | 0,09 | 0,10 | 0,12 | |||||
44 | Изменить величину подачи | 0,07 | 0,08 | 0,09 | |||||
45 | Изменить направление вращения шпинделя | 0,04 | 0,04 | 0,05 | |||||
46 | Изменить направление подачи | 0,04 | 0,04 | 0,05 | |||||
47 | Установить и снять борштангу | в конус шпинделя | без крепления | 0,45 | 0,65 | 0,85 | |||
48 | с креплением | 1,1 | 1,3 | 1,8 | |||||
49 | в конус шпинделя и подшипник задней стойки | вручную | 4,9 | 5,8 | 6,8 | ||||
50 | краном | - | - | 11 | |||||
51 | в конус шпинделя и втулку кондуктора | вручную | 2,4 | 3,4 | 4,3 | ||||
52 | краном | 5,0 | 7,0 | 9,0 | |||||
53 | Установить и снять инструмент | резец с установкой на размер по шаблону или линейке | 0,6 | 0,7 | 0,8 | ||||
54 | в борштанге | расточная пластина, резец мерный двусторонний | Диаметр отверстия, d, мм, до | 100 | 0,5 | 0,6 | 0,7 | ||
55 | 200 | 0,6 | 0,7 | 0,8 | |||||
56 | 350 | 1,0 | 1,1 | 1,2 | |||||
57 | зенкер, развертка, расточная резцовая головка | 100 | 0,3 | 0,4 | 0,5 | ||||
58 | 200 | 0,9 | 1,1 | 1,3 | |||||
59 | расточная резцовая головка разъемная | вручную | 0,7 | 0,8 | 1,0 | ||||
60 | краном | - | 2,8 | 3,0 | |||||
61 | в конус шпинделя | без крепления | 0,3 | 0,4 | 0,5 | ||||
62 | с креплением | 0,4 | 0,6 | 0,7 | |||||
63 | в резцедержателе на планшайбе - резец | проходной | 1,0 | 1,1 | 1,2 | ||||
64 | подрезной | 1,2 | 1,3 | 1,4 | |||||
65 | Установить и снять кондукторную втулку | Диаметр отверстия втулки, d, мм | <= 80 | 0,12 | 0,17 | 0,26 | |||
66 | > 80 | 0,19 | 0,26 | 0,35 | |||||
67 | Переместить (выдвинуть) шпиндель на длину свыше 200 мм | Длина перемещения, l, мм, до | 300 | 0,03 | 0,03 | 0,03 | |||
68 | 500 | 0,08 | 0,08 | 0,08 | |||||
69 | 800 | - | 1,16 | 1,16 | |||||
70 | Переместить стол станка на длину свыше 200 мм | 300 | 0,04 | 0,04 | 0,07 | ||||
71 | 500 | 0,10 | 0,10 | 0,16 | |||||
72 | 750 | 0,19 | 0,19 | 0,30 | |||||
73 | 1000 | - | 0,29 | 0,47 | |||||
Индекс | а | б | в | ||||||
Токарно-револьверные станки | |||||||||
Карта 24, лист 1 | |||||||||
![]() | ![]() | ||||||||
Время на проход | |||||||||
N позиции | Характер обработки. Способ установки инструмента на стружку | Вид подачи | Наибольший диаметр обрабатываемого прутка, d, мм, до | ||||||
10...25 | 40 | 80 | 125 | ||||||
Время, t, мин. | |||||||||
I. Станки с вертикальной осью револьверной головки | |||||||||
1 | Обработка на станках с полуавтоматическим циклом | - | 0,02 | 0,03 | 0,04 | 0,06 | |||
2 | Работа револьверной головкой | обработка с продольной подачей | Механическая | 0,09 | 0,11 | 0,14 | 0,17 | ||
3 | Ручная | 0,07 | 0,09 | 0,12 | 0,14 | ||||
4 | обработка с продольной подачей и предварительным врезанием | Механическая | - | 0,18 | 0,21 | 0,26 | |||
5 | Ручная | - | 0,16 | 0,18 | - | ||||
6 | Работа суппортом | обработка с продольной или поперечной подачей | с установкой резца | по упору или без выдерживания размера | Механическая | 0,12 | 0,14 | 0,17 | 0,23 |
7 | Ручная | 0,10 | 0,12 | 0,15 | 0,20 | ||||
8 | по лимбу | Механическая | - | 0,16 | 0,19 | 0,25 | |||
9 | Ручная | - | 0,14 | 0,17 | 0,22 | ||||
10 | с пробной стружкой (для обработки по 1Т9 - 1Т11) при диаметре, мм | 100...200 | Механическая | - | - | 0,46 | 0,60 | ||
11 | св. 200 | - | - | 0,50 | 0,65 | ||||
Индекс | а | б | в | г | |||||
ВСПОМОГАТЕЛЬНОЕ ВРЕМЯ, СВЯЗАННОЕ С ПЕРЕХОДОМ | Токарно-револьверные ставки | ||||||
Карта 24, лист 2 | |||||||
Время на приемы, связанные с переходом, не вошедшие в комплексы | |||||||
N позиции | Характер обработки. Способ установки инструмента на стружку | Вид подачи | Наибольший диаметр обрабатываемого прутка, d, мм, до | ||||
10...25 | 40 | 80 | 125 | ||||
Время, t, мин. | |||||||
12 | Нарезание крепежной резьбы | резьбонарезной самооткрывающейся головкой | - | 0,11 | 0,14 | 0,18 | 0,21 |
13 | метчиком или плашкой | - | 0,13 | 0,18 | 0,23 | 0,26 | |
II. Станки с горизонтальной осью револьверной головки | |||||||
14 | Обработка с продольной подачей | Механическая | 0,09 | 0,11 | 0,14 | - | |
15 | Ручная | 0,07 | 0,09 | 0,12 | - | ||
16 | Обработка с продольной подачей и предварительным врезанием | Механическая | 0,13 | 0,17 | 0,21 | - | |
17 | Ручная | 0,11 | 0,15 | - | - | ||
18 | Обработка с поперечной подачей | с подводом револьверной головки | Механическая | 0,13 | 0,17 | 0,21 | - |
19 | Ручная | 0,11 | 0,15 | - | - | ||
20 | без подвода револьверной головки | Механическая | 0,07 | 0,10 | 0,12 | - | |
21 | Ручная | 0,05 | 0,08 | 0,10 | - | ||
22 | Нарезание крепежной резьбы | резьбонарезной самооткрывающейся головкой | - | 0,11 | 0,14 | 0,18 | - |
23 | метчиком или плашкой | - | 0,13 | 0,18 | 0,23 | - | |
24 | Нарезание конической резьбы резцом с копирным устройством | первый проход | - | 0,08 | 0,11 | 0,14 | - |
25 | каждый последующий проход | - | 0,02 | 0,03 | 0,03 | - | |
Индекс | а | б | в | г | |||
ВСПОМОГАТЕЛЬНОЕ ВРЕМЯ, СВЯЗАННОЕ С ПЕРЕХОДОМ | Токарно-револьверные станки | ||||||
Карта 24, лист 3 | |||||||
Время на приемы, связанные с переходом, не вошедшие в комплексы | |||||||
N позиции | Наименование приемов | Наибольший диаметр обрабатываемого прутка, d, мм, до | |||||
10...25 | 40 | 80 | 125 | ||||
Время, t, мин. | |||||||
26 | Изменить число оборотов шпинделя | 0,04 | 0,05 | 0,06 | 0,07 | ||
27 | Изменить величину подачи | 0,03 | 0,04 | 0,05 | 0,06 | ||
28 | Сменить резец поворотом резцовой головки суппорта | - | 0,04 | 0,06 | 0,07 | ||
29 | Повернуть ручной упор | - | 0,02 | 0,02 | 0,02 | ||
30 | Закрепить или открепить каретку от продольного перемещения | - | 0,03 | 0,04 | 0,05 | ||
31 | Закрепить или открепить револьверную головку от продольного перемещения | - | 0,03 | 0,04 | - | ||
32 | Смазать деталь, развертку, метчик | 0,03 | 0,04 | 0,04 | 0,05 | ||
Переместить каретку суппорта в продольном направлении на длину свыше 100 мм | Длина перемещения, l, мм, до | 200 | - | 0,02 | 0,03 | 0,03 | |
300 | - | - | 0,04 | 0,04 | |||
Переместить суппорт в поперечном направлении на длину свыше 50 мм | 100 | 0,02 | 0,03 | 0,03 | 0,04 | ||
200 | - | - | - | 0,11 | |||
Индекс | а | б | в | г | |||
N позиции | Обрабатываемый материал | Вид подачи | Диаметр сверла, d, мм, до | Длина сверления, l, в диаметрах сверла | |||
3d | 5d | 8d | 10d | ||||
Время, t, мин. | |||||||
Стали углеродистые вязкие, стали жаропрочные | Ручная | 10 | 0 | 0,04 | 0,08 | 0,12 | |
38 | Механическая | 10 | 0 | 0,07 | 0,14 | 0,21 | |
39 | 30 | 0 | 0,14 | 0,21 | 0,28 | ||
40 | Стали конструкционные, латунь, алюминий | Ручная | 10 | 0 | 0,04 | 0,04 | 0,08 |
41 | Механическая | 10 | 0 | 0,07 | 0,07 | 0,14 | |
42 | 30 | 0 | 0,07 | 0,14 | 0,21 | ||
43 | Чугун, бронза | Ручная | 10 | 0 | 0,04 | 0,04 | 0,04 |
44 | Механическая | 10 | 0 | 0,07 | 0,07 | 0,07 | |
30 | 0 | 0,07 | 0,07 | 0,07 | |||
Индекс | а | б | в | г | |||
Вертикально- и радиально-сверлильные станки | ||||||||||||||||
Карта 25, лист 1 | ||||||||||||||||
![]() | ||||||||||||||||
Время на проход | ||||||||||||||||
N позиции | Характер обработки | Вид подачи | Наибольшие диаметр сверления, d, мм, до | |||||||||||||
6...12 | 35 | 50 | 75 | 100 | ||||||||||||
Длина горизонтального перемещения инструмента для обработки следующего отверстия, l, мм, до | ||||||||||||||||
0 | 0 | 200 | 500 | 0 | 200 | 500 | 1000 | 0 | 500 | 1000 | 0 | 500 | 1000 | |||
Время, t, мин. | ||||||||||||||||
1 | Обработка на станках с полуавтоматическим циклом или программным управлением | - | 0,02 | 0,03 | 0,04 | 0,06 | - | |||||||||
Индекс | а | б | в | г | д | |||||||||||
ВСПОМОГАТЕЛЬНОЕ ВРЕМЯ, СВЯЗАННОЕ С ПЕРЕХОДОМ | Вертикально- и радиально-сверлильные станки | ||||||||||||||||
Карта 25, лист 2 | |||||||||||||||||
N позиции | Характер обработки | Вид подачи | Наибольший диаметр сверления, d, мм, до | ||||||||||||||
6...12 | 35 | 50 | 75 | 100 | |||||||||||||
Длина горизонтального перемещения инструмента для обработки следующего отверстия, l, мм, до | |||||||||||||||||
0 | 0 | 200 | 500 | 0 | 200 | 500 | 1000 | 0 | 500 | 1000 | 0 | 500 | 1000 | ||||
Время, t, мин. | |||||||||||||||||
2 | Сверление по разметке | Механическая | 0,06 | 0,09 | 0,11 | 0,14 | 0,11 | 0,14 | 0,17 | 0,20 | 0,13 | 0,20 | 0,23 | 0,16 | 0,25 | 0,28 | |
3 | Ручная | 0,05 | 0,07 | 0,09 | 0,12 | 0,09 | 0,12 | 0,15 | 0,18 | 0,10 | 0,17 | 0,20 | 0,12 | 0,21 | 0,24 | ||
Сверление по кондуктору, рассверливание, зенкерование, развертывание, растачивание | Механическая | 0,05 | 0,08 | 0,10 | 0,13 | 0,09 | 0,12 | 0,15 | 0,18 | 0,11 | 0,18 | 0,21 | 0,14 | 0,23 | 0,26 | ||
Ручная | 0,04 | 0,06 | 0,08 | 0,11 | 0,07 | 0,10 | 0,13 | 0,16 | 0,08 | 0,15 | 0,18 | 0,10 | 0,19 | 0,22 | |||
6 | Зенкование, цекование | верхней плоскости | Ручная | 0,04 | 0,06 | 0,08 | 0,11 | 0,07 | 0,10 | 0,13 | 0,16 | 0,08 | 0,15 | 0,18 | 0,11 | 0,20 | 0,23 |
7 | нижней плоскости | - | 0,34 | 0,36 | 0,39 | 0,36 | 0,39 | 0,42 | 0,45 | 0,39 | 0,46 | 0,49 | 0,43 | 0,50 | 0,55 | ||
8 | Нарезание резьбы машинными метчиками | без реверса | - | 0,04 | 0,06 | 0,08 | 0,11 | 0,07 | 0,10 | 0,13 | 0,16 | 0,08 | 0,15 | 0,18 | 0,11 | 0,20 | 0,23 |
9 | с реверсом | - | 0,08 | 0,12 | 0,14 | 0,17 | 0,15 | 0,18 | 0,21 | 0,24 | 0,16 | 0,23 | 0,26 | 0,21 | 0,30 | 0,33 | |
Индекс | а | б | в | г | д | е | ж | з | и | к | л | м | н | о | |||
N позиции | Наименование приемов | Наибольший диаметр сверления, d, мм, до | |||||
6...12 | 38 | 50 | 75 | 100 | |||
Время, t, мин. | |||||||
Включить или выключить вращение шпинделя | кнопкой | 0,015 | 0,02 | 0,02 | 0,03 | 0,03 | |
11 | рычагом | 0,615 | 0,02 | 0,03 | 0,04 | 0,04 | |
12 | Изменить число оборотов шпинделя или величину подачи | рычагами | 0,06 | 0,07 | 0,08 | 0,09 | 0,10 |
13 | перекидкой ремня | 0,08 | - | - | - | - | |
14 | Поставить и снять кондукторную втулку при внутреннем диаметре втулки, мм, до | 20 | - | 0,07 | 0,07 | 0,07 | - |
15 | 40 | - | 0,09 | 0,09 | 0,09 | - | |
16 | св. 40 | - | - | 0,12 | 0,12 | - | |
Индекс | а | б | в | г | д | ||
ВСПОМОГАТЕЛЬНОЕ ВРЕМЯ, СВЯЗАННОЕ С ПЕРЕХОДОМ | Вертикально- и радиально-сверлильные станки | |||||||||||||||||||
Карта 25, лист 3 | ||||||||||||||||||||
N позиции | Наименование приемов | Время, t, мин. | ||||||||||||||||||
17 | Установить и снять инструмент | в быстросменном патроне | без выключения вращения шпинделя <*> | Диаметр инструмента, d, мм, до | <= 15 | 0,05 | ||||||||||||||
25 | 0,06 | |||||||||||||||||||
18 | с выключением вращения шпинделя | <= 30 | 0,09 | |||||||||||||||||
> 30 | 0,12 | |||||||||||||||||||
19 | в кулачковом патроне | 0,17 | ||||||||||||||||||
20 | в цанговом патроне | 0,12 | ||||||||||||||||||
21 | в конус шпинделя при конусе Морзе N | 2 | 0,12 | |||||||||||||||||
22 | 3 | 0,15 | ||||||||||||||||||
23 | 4 | 0,18 | ||||||||||||||||||
24 | 5 | 0,20 | ||||||||||||||||||
25 | 6 | 0,24 | ||||||||||||||||||
26 | в державку | для зенковки, цековки или подрезного ножа | 0,22 | |||||||||||||||||
27 | для метчика | 0,08 | ||||||||||||||||||
28 | Смазать деталь, инструмент | 0,04 | ||||||||||||||||||
29 | Повернуть деталь с приспособлением на угол с фиксацией при размере приспособления, мм, до | 300 x 500 | 0,09 | |||||||||||||||||
30 | 500 x 1000 | 0,11 | ||||||||||||||||||
31 | св. 500 x 100,0 | 0,14 | ||||||||||||||||||
32 | Закрепить, открепить шпиндельную головку или рукав колонны | 0,03 | ||||||||||||||||||
33 | Обработка с выдерживанием длины по лимбу (при работе с механической подачей) | 0,03 | ||||||||||||||||||
34 | Переместить деталь или деталь с приспособлением на длину, мм | 150...400 | при массе, m, кг, до | 5 | 0,015 | |||||||||||||||
35 | 15 | 0,02 | ||||||||||||||||||
36 | 30 | 0,055 | ||||||||||||||||||
37 | св. 400 | 5 | 0,03 | |||||||||||||||||
38 | 15 | 0,04 | ||||||||||||||||||
39 | 30 | 0,075 | ||||||||||||||||||
40 | Кантовать приспособление | 15 | 0,06 | |||||||||||||||||
41 | 30 | 0,12 | ||||||||||||||||||
42 | Включить или выключить пульт лентопротяжного механизма | 0,03 | ||||||||||||||||||
43 | Продвинуть перфоленту в исходное положение | 0,25 | ||||||||||||||||||
44 | Установить координаты x, y (на 100 мм) | 0,1 | ||||||||||||||||||
Ввести коррекцию (на 1 корректор) | 0,04 | |||||||||||||||||||
Перемотать магнитную ленту со скоростью перемотки 300 м/мин. | ||||||||||||||||||||
Скорость воспроизведения программы, v, м/мин. | Время автоматической работы станка, Tавт, мин. | |||||||||||||||||||
2 | 5 | 10 | 15 | 20 | 25 | 30 | 35 | 40 | 50 | 60 | 70 | 80 | 90 | 100 | 120 | |||||
Время на перемотку ленты, t, мин. | ||||||||||||||||||||
46 | 12 | 0,08 | 0,2 | 0,4 | 0,6 | 0,8 | 1,0 | 1,2 | 1,4 | 1,6 | 2,0 | 2,4 | 2,8 | 3,2 | 3,6 | 4,0 | 4,8 | |||
47 | 3 | 0,02 | 0,05 | 0,1 | 0,15 | 0,2 | 0,25 | 0,3 | 0,35 | 0,4 | 0,5 | 0,6 | 0,7 | 0,8 | 0,9 | 1,0 | 1,2 | |||
Индекс | а | б | в | г | д | е | ж | з | и | к | л | м | н | о | п | р | ||||
Вид перемотки | Длина ленты, l1, м | |||||||
2 | 4 | 6 | 8 | 10 | 15 | на каждые последующие 10 м добавлять | ||
Время на перемотку ленты, t, мин. | ||||||||
48 | Автоматическая | 0,045 | 0,09 | 0,13 | 0,18 | 0,22 | 0,33 | 0,18 |
49 | Ручная | 0,8 | 1,0 | 1,3 | 1,5 | 1,8 | - | - |
Индекс | а | б | в | г | д | е | ж | |
ВСПОМОГАТЕЛЬНОЕ ВРЕМЯ, СВЯЗАННОЕ С ПЕРЕХОДОМ | Вертикально- и радиально-сверлильные станки | |||||||
Карта 25, лист 4 | ||||||||
Время на выводы сверла при сверлении для удаления стружки <*> | ||||||||
N позиции | Обрабатываемый материал | Диаметр сверла, d, мм, до | Длина сверления в диаметрах сверла, l | |||||
3 d | 4 d | 6 d | 8 d | 10 d | Св. 10 d | |||
Время, t, мин. | ||||||||
Стали углеродистые вязкие, стали жаропрочные | 1...3 | 0,03 | 0,06 | 0,12 | 0,18 | 0,27 | 0,40 | |
51 | 10 | - | 0,05 | 0,07 | 0,11 | 0,18 | 0,28 | |
52 | 20 | - | 0,07 | 0,14 | 0,24 | 0,35 | 0,50 | |
53 | 30 | - | 0,07 | 0,16 | 0,30 | 0,49 | 0,70 | |
54 | Стали конструкционные, латунь и алюминий | 1...3 | 0.03 | 0,05 | 0,10 | 0,15 | 0,25 | 0,36 |
55 | 10 | - | 0,04 | 0,06 | 0,10 | 0,15 | 0,22 | |
56 | 20 | - | 0,07 | 0,13 | 0,20 | 0,28 | 0,40 | |
57 | 30 | - | 0,07 | 0,15 | 0,27 | 0,42 | 0,60 | |
58 | Чугун, бронза | 3...10 | 0,03 | 0,05 | 0,07 | 0,09 | 0,13 | |
59 | 20 | 0,07 | 0,11 | 0,16 | 0,21 | 0,32 | ||
30 | - | 0,07 | 0,15 | 0,27 | 0,42 | 0,60 | ||
Индекс | а | б | в | г | д | е | ||
N позиции | Способ установки и базирования детали | Способ крепления метчика | Квалитет (класс точности) | Диаметр резьбы, d, мм, до | ||||
5 | 8 | 16 | 24 | 30 | ||||
Время, t, мин. | ||||||||
В паз приспособления без крепления | В быстросменном патроне | 1Т5 - 1Т6 (1 кл.) | 0,06 | 0,06 | 0,07 | 0,09 | 0,10 | |
62 | 1Т7 - 1Т9 (2 - 3 кл.) | 0,05 | 0,06 | 0,07 | 0,08 | 0,09 | ||
63 | ![]() | В патроне с ключом | 1Т5 - 1Т6 (1 кл.) | 0,06 | 0,06 | 0,08 | 0,10 | 0,11 |
64 | 1Т7 - 1Т9 (2 - 3 кл.) | 0,06 | 0,06 | 0,08 | 0,09 | 0,10 | ||
Индекс | а | б | в | г | д | |||
ВСПОМОГАТЕЛЬНОЕ ВРЕМЯ, СВЯЗАННОЕ С ПЕРЕХОДОМ | Вертикально- и радиально-сверлильные станки | ||||||||
Карта 25, лист 5 | |||||||||
N позиции | Способ установки и базирования детали | Способ крепления метчика | Квалитет (класс точности) | Диаметр резьбы, d, мм, до | |||||
5 | 8 | 16 | 24 | 30 | |||||
Время, t, мин. | |||||||||
65 | В гнездо без крепления | В быстросменном патроне | 1Т5 - 1Т6 (1 кл.) | 0,08 | 0,09 | 0,12 | 0,15 | 0,17 | |
66 | ![]() | 1Т7 - 1Т9 (2 - 3 кл.) | 0,08 | 0,09 | 0,11 | 0,14 | 0,16 | ||
67 | В патроне с ключом | 1Т5 - 1Т6 (1 кл.) | 0,08 | 0,10 | 0,13 | 0,16 | 0,19 | ||
68 | 1Т7 - 1Т9 (2 - 3 кл.) | 0,08 | 0,09 | 0,13 | 0,15 | 0,18 | |||
69 | В патроне с закреплением рукояткой | - | 1Т5 - 1Т6 (1 кл.) | - | - | - | 0,18 | 0,20 | |
![]() | 1Т7 - 1Т9 (2 - 3 кл.) | - | - | - | 0,17 | 0,19 | |||
Индекс | а | б | в | г | д | ||||
Диаметр резьбы, d, мм, до | 5 | 8 | 16 | 24 | 30 | |
71 | Число гаек, n, допускаемое по длине хвостовой части метчика | 20 | 16 | 8 | 8 | 7 |
Индекс | а | б | в | г | д | |
Станки для глубокого сверления и растачивания | ||||||||||||||||||||
Карта 26, лист 1 | ||||||||||||||||||||
N позиции | Характер обработки | Длина отверстия, м, до | Наибольший наружный диаметр устанавливаемого изделия, D, мм, до | |||||||||||||||||
200 | 500 | 1000 | 1200 | |||||||||||||||||
Диаметр обрабатываемого отверстия, d, мм, до | ||||||||||||||||||||
10 | 20 | 50 | 100 | 50 | 100 | 200 | 50 | 100 | 200 | 400 | 100 | 200 | 600 | 800 | 1000 | |||||
Время, t, мин. | ||||||||||||||||||||
1 | Кольцевое сверление | При наличии захода | Без замены головки | 0,5 | 0,7 | 0,8 | 1,0 | 1,1 | 1,5 | 1,7 | 1,95 | 2,0 | 2,4 | 2,7 | 3,0 | 2,5 | 2,9 | 3,3 | - | - |
2 | 1,0 | - | 0,95 | 1,15 | 1,3 | 1,7 | 2,0 | 2,2 | 2,4 | 2,7 | 3,1 | 3,5 | 2,9 | 3,3 | 3,8 | - | - | |||
3 | 2,0 | - | - | 1,3 | 1,5 | 2,0 | 2,3 | 2,6 | 2,7 | 3,1 | 3,6 | 4,1 | 3,4 | 3,9 | 4,4 | - | - | |||
4 | 5,0 | - | - | 1,6 | 1,8 | 2,4 | 2,8 | 3,1 | 3,3 | 3,8 | 4,3 | 4,9 | 4,1 | 4,7 | 5,4 | - | - | |||
5 | > 5 | - | - | - | 2,3 | - | 3,5 | 4,0 | - | 4,8 | 5,4 | 6,2 | 5,2 | 5,9 | 6,8 | - | - | |||
6 | С засверливанием захода | 0,5 | 0,95 | 1,0 | 1,25 | 1,45 | 1,85 | 2,1 | 2,4 | 2,5 | 2,9 | 3,3 | 3,7 | 3,1 | 3,5 | 4,0 | - | - | ||
7 | 1,0 | - | 1,15 | 1,4 | 1,6 | 2,1 | 2,4 | 2,7 | 2,8 | 3,2 | 3,6 | 4,1 | 3,4 | 3,9 | 4,5 | - | - | |||
8 | 2,0 | - | - | 1,55 | 1,75 | 2,3 | 2,6 | 3,0 | 3,1 | 3,5 | 4,0 | 4,6 | 3,8 | 4,3 | 5,0 | - | - | |||
9 | 5,0 | - | - | 1,8 | 2,0 | 2,6 | 3,0 | 3,4 | 3,5 | 4,0 | 4,6 | 5,3 | 4,4 | 5,0 | 5,7 | - | - | |||
10 | > 5 | - | - | - | 2,6 | - | 3,9 | 4,4 | - | 5,3 | 6,1 | 7,0 | 5,8 | 6,6 | 7,6 | - | - | |||
11 | Замена головки | - | 1,7 | 1,9 | 2,3 | 2,6 | 3,4 | 3,9 | 4,2 | 4,6 | 5,2 | 5,7 | 6,9 | 5,7 | 6,2 | 7,5 | - | - | ||
12 | С засверливанием и растачиванием захода | Без замены головки | 0,5 | 2,6 | 3,0 | 3,6 | 4,2 | - | 6,4 | 7,4 | 7,6 | 8,8 | 10,1 | 11,7 | 9,5 | 11 | 12,7 | - | - | |
13 | 1,0 | - | 3,3 | 4,0 | 4,7 | 5,5 | 7,1 | 8,2 | 8,4 | 9,8 | 11,3 | 13,1 | 10,6 | 12,3 | 14,2 | - | - | |||
14 | 2,0 | - | - | 4,5 | 5,2 | 6,2 | 7,9 | 9,2 | 9,4 | 10,9 | 12,6 | 14,6 | 11,8 | 13,7 | 16,9 | - | - | |||
15 | 5,0 | - | - | 5,2 | 6,0 | 6,9 | 9,2 | 10,6 | 10,9 | 12,6 | 14,6 | 16,9 | 13,8 | 15,9 | 18,4 | - | - | |||
16 | > 5 | - | - | - | 6,9 | 8 | 10,6 | 12,4 | - | 14,5 | 17 | 20 | 15,8 | 18,5 | 21,5 | - | - | |||
17 | С заменой головки | 0,5 | 3,3 | 3,9 | 4,7 | 5,5 | 7,4 | 8,6 | 10 | 10,3 | 12 | 13,9 | 16,2 | 13 | 15,2 | 17,7 | - | - | ||
18 | 1,0 | - | 4,3 | 5,3 | 6,2 | 8,2 | 9,6 | 11,1 | 11,5 | 13,3 | 15,6 | 18,1 | 14,6 | 17 | 19,8 | - | - | |||
19 | 2,0 | - | - | 5,9 | 6,9 | 9,2 | 10,7 | 12,4 | 12,8 | 14,9 | 17,4 | 20 | 16,3 | 19 | 22 | - | - | |||
20 | 5,0 | - | - | 6,9 | 8 | 10,6 | 12,4 | 14,4 | 14,8 | 17,3 | 20 | 23,51 | 18,8 | 22 | 25,5 | - | - | |||
21 | > 5 | - | - | - | 9,0 | - | 13,8 | 16,3 | - | 19,5 | 22,5 | 26,5 | 21,5 | 25 | 30 | - | - | |||
22 | Сверление без удаления стержня | Без замены головки | 0,5 | 0,85 | 0,95 | 1,1 | 1,25 | 1,75 | 1,95 | 2,2 | 2,5 | 2,8 | 3,1 | 3,5 | 3,0 | 3,4 | 3,8 | 4,4 | 4,5 | |
23 | 1,0 | - | 1,05 | 1,25 | 1,4 | 1,95 | 2,2 | 2,5 | 2,8 | 3,1 | 3,5 | 3,9 | 3,4 | 3,8 | 4,4 | 4,9 | 5,0 | |||
24 | 2,0 | - | - | 1,4 | 1,55 | 2,2 | 2,5 | 2,8 | 3,1 | 3,5 | 3,9 | 4,4 | 3,8 | 4,3 | 4,9 | 5,5 | 5,7 | |||
25 | 5,0 | - | - | 1,65 | 1,85 | 2,6 | 2,9 | 3,3 | 3,6 | 4,1 | 4,6 | 5,2 | 4,5 | 5,0 | 5,7 | 6,4 | 6,6 | |||
26 | > 5 | - | - | - | 3,2 | 4 | 4,7 | 5,2 | - | 6,3 | 6,9 | 7,6 | 6,9 | 7,5 | 3,2 | 9,0 | 9,3 | |||
27 | С заменой головки | 0,5 | 2,7 | 3,2 | 4,1 | 4,8 | 5,5 | 6,5 | 7,8 | 6,9 | 8,2 | 9,8 | 11,6 | 11 | 13,9 | 17,6 | 22,3 | 24,1 | ||
28 | 1,0 | - | 3,6 | 4,6 | 5,4 | 6,2 | 7,4 | 8,8 | 7,8 | 9,3 | 11 | 13,1 | 12 | 15,4 | 19,2 | 24,5 | 26 | |||
29 | 2,0 | - | - | 5,2 | 6,1 | 7,0 | 8,3 | 9,9 | 8,8 | 10,4 | 12,4 | 14,8 | 13 | 16,4 | 21 | 26,5 | 28,5 | |||
30 | 5,0 | - | - | 6,0 | 7,2 | 8,2 | 9,7 | 11,5 | 10,2 | 12,2 | 14,5 | 17,2 | 14,5 | 18,4 | 23 | 29,5 | 32 | |||
31 | > 5 | - | - | - | 7,8 | - | 10,6 | 12,6 | - | 13,3 | 5,8 | 18,8 | 15,8 | 20 | 25,5 | 32 | 34,5 | |||
32 | Удаление стержня при сквозном сверлении | 5 | - | - | 9,1 | 10,2 | 12,8 | 14,4 | 16,1 | 16,8 | 18,7 | 21 | 23,5 | 24 | 29 | 35,5 | 43 | 45,5 | ||
33 | > 5 | - | - | - | 11,1 | - | 15,7 | 17,6 | - | 20,5 | 23 | 25,5 | 28 | 34 | 41 | 50 | 53,5 | |||
34 | Расширение паза с заменой головки | 5 | - | - | 4,3 | 5,4 | 6 | 7,4 | 9,1 | 7,6 | 9,4 | 11,6 | 14,3 | 11 | 14,8 | 20 | 27 | 29,5 | ||
35 | > 5 | - | - | - | 6,2 | - | 8,6 | 10,6 | - | 10,9 | 13,5 | 16,6 | 11,7 | 15,8 | 21,5 | 28,5 | 31,5 | |||
Индекс | а | б | в | г | д | е | ж | з | и | к | л | м | н | о | п | р | ||||
ВСПОМОГАТЕЛЬНОЕ ВРЕМЯ, СВЯЗАННОЕ С ПЕРЕХОДОМ | Станки для глубокого сверления и растачивания | |||||||||||||||||||||
Карта 26, лист 2 | ||||||||||||||||||||||
N позиции | Характер обработки | Длина отверстия, мм, до | Наибольший наружный диаметр устанавливаемого изделия, D, мм, до | |||||||||||||||||||
200 | 500 | 1000 | 1200 | |||||||||||||||||||
Диаметр обрабатываемого отверстия, d, мм, до | ||||||||||||||||||||||
10 | 20 | 50 | 100 | 50 | 100 | 200 | 50 | 100 | 200 | 400 | 100 | 200 | 600 | 800 | 1000 | |||||||
Время, t, мин. | ||||||||||||||||||||||
36 | Кольцевое сверление | Обработка дна с заменой | Одной головки | 0,5 | - | - | 2,7 | 3,4 | 4,7 | 5,8 | 7,2 | 7,2 | 8,8 | 10,9 | 13,4 | 9,8 | 12,1 | 14,9 | 18,4 | 19,6 | ||
37 | 1,0 | - | - | 3,0 | 3,7 | 5,2 | 6,5 | 8,0 | 8,0 | 9,8 | 12,1 | 14,8 | 3,0 | 2,9 | 16,6 | 20,5 | 22 | |||||
38 | 2,0 | - | - | 3,4 | 4,1 | 5,8 | 7,2 | 8,8 | 8,8 | 1,3 | 13,4 | 16,5 | 12,1 | 14,9 | 3,9 | 2,4 | 24,2 | |||||
39 | 5,0 | - | - | 3,9 | 4,8 | 6,7 | 8,2 | 10,1 | 10,1 | 12,5 | 15,3 | 2,7 | 4,1 | 17,1 | 21 | 26 | 28 | |||||
40 | > 5 | - | - | - | 5,2 | - | 9,5 | 11,5 | - | 14,9 | 18 | 22 | 16,7 | 20,5 | 24,5 | 30 | 32 | |||||
41 | Двух головок | 0,5 | - | - | - | - | - | - | 10,2 | 10,6 | 12,6 | 15 | 17,8 | 18,1 | 22 | 27,5 | 33,5 | 36 | ||||
42 | 1,0 | - | - | - | - | - | - | 12,4 | 13 | 15,4 | 18,3 | 22 | 21,5 | 26,5 | 32,5 | 40 | 43 | |||||
43 | 2,0 | - | - | - | - | - | - | 15,2 | 15,9 | 18,9 | 22,5 | 26,5 | 25,5 | 31,5 | 38,5 | 47,5 | 51 | |||||
44 | 5,0 | - | - | - | - | - | - | 19,9 | 20,5 | 24,6 | 29,5 | 35 | 32 | 3,2 | 48,5 | 60 | 64 | |||||
45 | > 5 | - | - | - | - | - | - | 24 | - | - | 35,5 | 40 | - | 44 | 53,5 | 65 | 69 | |||||
46 | Растачивание <*> | Без замены головки | 1Т12 - 1Т14 | Число проходов | 1 | 0,5 | 1,2 | 1,4 | 1,9 | 2,2 | 2,5 | 2,7 | 3,1 | 3,6 | 4,2 | 9,4 | 4,0 | 4,7 | 5,4 | 5,7 | ||
47 | 1,0 | - | 1,3 | 1,6 | 2,2 | 2,5 | 2,9 | 3,1 | 3,6 | 4,2 | 4,9 | 3,9 | 4,6 | 8,2 | 6,2 | 6,6 | ||||||
48 | 2,0 | - | - | 1,5 | 1,8 | 2,5 | 2,9 | 4,2 | 3,5 | 4,1 | 4,8 | 5,6 | 4,5 | 5,3 | 6,2 | 7,2 | 7,5 | |||||
49 | 5,0 | - | - | 1,8 | 2,2 | 3,0 | 3,5 | 4,0 | 4,3 | 5,0 | 5,8 | 6,7 | 5,5 | 6,4 | 7,4 | 8,6 | 9,1 | |||||
50 | > 5 | - | - | - | 3,1 | - | 4,9 | 5,5 | - | 6,9 | 7,8 | 8,8 | 7,5 | 8,5 | 9,7 | 11 | 11,4 | |||||
51 | 2 | 0,5 | 2,1 | 2,4 | 19,8 | 3,9 | 4,6 | 4,9 | 5,6 | 6,6 | 7,7 | 6,2 | 7,2 | 8,4 | 9,8 | 10,3 | ||||||
52 | 1,0 | - | 2,4 | 2,8 | 3,9 | 4,5 | 5,3 | 5,6 | 6,5 | 7,6 | 8,8 | 7,1 | 8,3 | 9,7 | 11,3 | 11,8 | ||||||
53 | 2,0 | - | - | 2,8 | 9,2 | 19,8 | 5,2 | 6,1 | 6,4 | 7,4 | 8,7 | 10,1 | 8,2 | 9,5 | 11,1 | 12,9 | 13,6 | |||||
54 | 5,0 | - | - | 3,3 | 3,9 | 5,4 | 6,2 | 7,3 | 7,7 | 9,0 | 10,4 | 12,1 | 9,8 | 11,5 | 13,4 | 15,6 | 16,3 | |||||
55 | > 5 | - | - | - | 5,2 | - | 8,3 | 9,4 | - | 11,7 | 13,3 | 15,1 | 12,8 | 14,6 | 16,5 | 18,7 | 19,5 | |||||
56 | 3 | 0,5 | 3,0 | 3,4 | 4,8 | 5,6 | 6,5 | 6,8 | 8,0 | 9,3 | 10,8 | 8,8 | 10,2 | 11,9 | 13,8 | 14.6 | ||||||
57 | 1,0 | - | 3,4 | 4,0 | 5,5 | 6,4 | 7,4 | 7,9 | 9,2 | 10,7 | 12,4 | 10,1 | 11,7 | 13,7 | 15,9 | 16,7 | ||||||
58 | 2,0 | - | - | 3,9 | 4,5 | 6,3 | 7,3 | 8,5 | 9,0 | 10,5 | 12,2 | 14,3 | 11,6 | 13,5 | 15,7 | 18,3 | 19,2 | |||||
59 | 5,0 | - | - | 4,7 | 5,5 | 7,6 | 8,8 | 10,3 | 10,8 | 12,5 | 14,7 | 17,1 | 13,9 | 16,2 | 18,8 | 22 | 23 | |||||
60 | > 5 | - | - | 7,2 | - | 11,3 | 12,8 | - | 16 | 18 | 20,5 | 17,5 | 19,9 | 22,5 | 25,5 | 26,5 | ||||||
61 | 1Т8 - 1Т11 | 2 | 0,5 | 3,6 | 4,2 | 5,8 | 6,8 | 7,9 | 8,4 | 9,7 | 11,4 | 13,2 | 10,7 | 12,5 | 14,5 | 16,9 | 17,8 | |||||
62 | 1,0 | - | 3,9 | 4,5 | 6,3 | 7,3 | 8,5 | 9,0 | 10,5 | 12,3 | 14,3 | 11,6 | 13,5 | 15,7 | 18,3 | 19,2 | ||||||
63 | 2,0 | - | - | 4,2 | 4,9 | 6,8 | 7,9 | 9,2 | 9,8 | 11,4 | 13,2 | 15,4 | 12,5 | 14,5 | 16,9 | 19,7 | 21 | |||||
64 | 5,0 | - | - | 4,7 | 5,4 | 7,5 | 8,8 | 7,4 | 10,8 | 12,5 | 14,6 | 17 | 13,8 | 16,1 | 18,7 | 22 | 23 | |||||
65 | > 5 | - | - | 6,2 | - | 10 | 11,7 | - | 14,4 | 16,8 | 19,5 | 15,8 | 18,4 | 21,5 | 25 | 26,5 | ||||||
66 | 3 | 0,5 | 4,7 | 5,4 | 7,5 | 8,8 | 10,2 | 10,8 | 12,6 | 14,7 | 17,1 | 13,8 | 16,1 | 18,8 | 22 | 23 | ||||||
67 | 1,0 | - | 5,0 | 5,9 | 8,1 | 9,5 | 11,0 | 11,7 | 13,6 | 15,8 | 18,4 | 14,9 | 17,4 | 20,5 | 23,5 | 24 | ||||||
68 | 2,0 | - | - | 5,5 | 6,4 | 8,8 | 10,2 | 11,9 | 12,6 | 14,7 | 17,1 | 19,9 | 16,1 | 18,8 | 22 | 25,5 | 27 | |||||
69 | 5,0 | - | - | 6,0 | 7,0 | 9,7 | 11,3 | 13,2 | 13,9 | 16,2 | 18,9 | 22 | 17,8 | 21 | 24 | 28 | 29,5 | |||||
70 | > 5 | - | - | - | 8,0 | - | 13 | 15,1 | - | 18,6 | 21,5 | 25 | 20,5 | 24 | 27,5 | 32,5 | 34 | |||||
71 | 4 | 0,5 | 5,6 | 6,5 | 9,0 | 10,5 | 12,2 | 12,9 | 15,1 | 17,6 | 20,5 | 16,6 | 19,3 | 22,5 | 26 | 27,5 | ||||||
72 | 1,0 | - | 6,0 | 7,0 | 9,8 | 11,3 | 13,2 | 14 | 16,3 | 19 | 22 | 17,9 | 21 | 24,5 | 28,5 | 30 | ||||||
73 | 2,0 | - | - | 6.5 | 7,6 | 10,5 | 12,2 | 14,3 | 15,1 | 17,6 | 20,5 | 24 | 19,3 | 22,5 | 26 | 30,5 | 32 | |||||
74 | 5,0 | - | - | 7,2 | 8,4 | 11,6 | 13,5 | 15,8 | 16,7 | 19,4 | 22,5 | 26,5 | 21,5 | 25 | 29 | 34 | 35,5 | |||||
75 | > 5 | - | - | - | 9,6 | - | 15,5 | 18,1 | - | 22,5 | 26 | 30 | 24,5 | 28,5 | 33 | 38,5 | 40,5 | |||||
76 | 5 | 0,5 | 6,4 | 7,5 | 10,4 | 12,1 | 14,1 | 14,9 | 17,4 | 20 | 23,5 | 19,1 | 22 | 26 | 30 | 31,5 | ||||||
77 | 1,0 | - | 7,0 | 8,1 | 11,2 | 13,1 | 15,2 | 16,1 | 18,7 | 22 | 25,5 | 20,5 | 24 | 28 | 32,5 | 34 | ||||||
78 | 2,0 | - | - | 7,5 | 8,8 | 12,1 | 14,1 | 16,4 | 17,4 | 20 | 23,5 | 27,5 | 22 | 26 | 30 | 35 | 37 | |||||
79 | 5,0 | - | - | 8,3 | 9,7 | 13,4 | 15,6 | 18,2 | 19,2 | 22,5 | 26 | 30,5 | 24,5 | 28,5 | 33,5 | 39 | 41 | |||||
80 | > 5 | - | - | - | 11,1 | - | 17,9 | 21 | - | 25,5 | 30 | 35 | 28 | 33 | 38 | 44.5 | 47 | |||||
81 | Замена головки | - | - | - | 1,3 | 1,7 | 3,2 | 4,1 | 5,1 | 6,0 | 7,6 | 9,5 | 11,9 | 8,9 | 11,2 | 14,1 | 17,7 | 19 | ||||
82 | Подналадка комплекта деревянных направляющих | - | - | - | 2,7 | 3,1 | 4,7 | 5,5 | 6,3 | 7,3 | 8,4 | 9,7 | 11 | 9,5 | 10,8 | 12,4 | 14,3 | 15 | ||||
Индекс | а | б | в | г | д | е | ж | з | и | к | л | м | н | о | п | р | ||||||
ВСПОМОГАТЕЛЬНОЕ ВРЕМЯ, СВЯЗАННОЕ С ПЕРЕХОДОМ | Станки для глубокого сверления и растачивания | ||||||||||||||||||||
Карта 26, лист 3 | |||||||||||||||||||||
N позиции | Характер обработки | Длина отверстия, мм, до | Наибольший наружный диаметр устанавливаемого изделия, D, мм, до | ||||||||||||||||||
200 | 500 | 1000 | 1200 | ||||||||||||||||||
Диаметр обрабатываемого отверстия, d, мм, до | |||||||||||||||||||||
10 | 20 | 50 | 100 | 50 | 100 | 200 | 50 | 100 | 200 | 400 | 100 | 200 | 600 | 800 | 1000 | ||||||
Время, t, мин. | |||||||||||||||||||||
83 | Развертывание плавающей пластиной | С заменой головки | Число проходов | 1 | 0,5 | 2,6 | 2,9 | 4,2 | 4,8 | 5,5 | 6,2 | 7,1 | 8,1 | 9,2 | 7,8 | 8,9 | 10,2 | 11,6 | - | ||
84 | 1,0 | - | 2,9 | 3,4 | 4,9 | 5,6 | 6,3 | 7,1 | 8,1 | 9,3 | 10,6 | 9,0 | 10,3 | 11,7 | 13,4 | - | |||||
85 | 2,0 | - | - | 3,4 | 3,9 | 5,6 | 6,4 | 1,3 | 8,2 | 9,4 | 10,7 | 12,2 | 10,3 | 11,8 | 13,5 | 15,4 | - | ||||
86 | 5,0 | - | - | 4,1 | 4,7 | 6,7 | 7,7 | 8,8 | 9,8 | 11,2 | 12,8 | 14,6 | 12,4 | 14,2 | 16,2 | 18,4 | - | ||||
87 | > 5 | - | - | - | 5,7 | - | 9,5 | 10,8 | - | 13,9 | 15,9 | 18,1 | 15,4 | 17,6 | 20 | 23 | - | ||||
88 | 2 | 0,5 | 3,9 | 4,4 | 6,4 | 7,3 | 8,3 | 9,4 | 10,7 | 12,2 | 13,9 | 11,8 | 13,4 | 15,3 | 17,5 | - | |||||
89 | 1,0 | - | 4,4 | 5,0 | 7,3 | 8,4 | 9,5 | 10,7 | 12,2 | 13,9 | 16,0 | 13,5 | 15,4 | 17,6 | 20 | - | |||||
90 | 2,0 | - | - | 5,0 | 5,8 | 3,2 | 9,6 | 11 | 12,3 | 14,1 | 16,1 | 18,3 | 15,7 | 17,8 | 20,5 | 23,5 | - | ||||
91 | 5,0 | - | - | 6,1 | 7,0 | 10,1 | 11,5 | 13,2 | 14,8 | 16,9 | 19,3 | 22 | 18,7 | 21,5 | 24,5 | 28 | - | ||||
92 | > 5 | - | - | - | 8,6 | - | 14,3 | 16,3 | - | 21 | 34 | 27,5 | 23 | 26,5 | 30 | 34,5 | - | ||||
93 | 3 | 0,5 | 4,9 | 5,6 | 8,1 | 9,2 | 10,1 | 11,9 | 13,5 | 15,5 | 17,6 | 15 | 17,1 | 19,5 | 22 | - | |||||
94 | 1,0 | - | 5,6 | 6,4 | 9,3 | 10,6 | 12,1 | 13,6 | 15,6 | 17,8 | 20,5 | 17,2 | 19,6 | 22,5 | 25,5 | - | |||||
95 | 2,0 | - | - | 6,5 | 9,2 | 10,7 | 12,2 | 13,9 | 15,7 | 17,9 | 20,5 | 23,5 | 19,8 | 22,5 | 25,5 | 29,5 | - | ||||
96 | 5,0 | - | - | 7,7 | 8,8 | 12,9 | 14,7 | 16,7 | 18,8 | 21,5 | 24,5 | 28 | 23,5 | 27 | 31 | 35,5 | - | ||||
97 | > 5 | - | - | - | 11 | - | 18,1 | 20,5 | - | 26,5 | 30,5 | 34,5 | 29,5 | 33,5 | 38,5 | 43,5 | - | ||||
98 | Раскатывание | 1 | 0,5 | 2,0 | 2,2 | 3,2 | 3,7 | 4,3 | 4,7 | 5,4 | 6,3 | 7,3 | 6,0 | 7,0 | 8,1 | 9,3 | - | ||||
99 | 1,0 | - | 2,2 | 2,6 | 3,7 | 4,3 | 4,9 | 5,4 | 6,2 | 7,2 | 8,3 | 6,9 | 8,0 | 9,2 | 10,6 | - | |||||
100 | 2,0 | - | - | 2,5 | 2,9 | 4,2 | 4,9 | 5,6 | 6,1 | 7,1 | 8,2 | 9,5 | 7,8 | 9,1 | 10,5 | 12,2 | - | ||||
101 | 5,0 | - | - | 3,0 | 3,5 | 5,0 | 5,7 | 7,6 | 7,3 | 8,5 | 9,8 | 11,3 | 9,3 | 10,8 | 22,5 | 14,4 | - | ||||
102 | > 5 | - | - | - | 4,7 | - | 7,8 | 9,0 | - | 11,4 | 13,2 | 15,2 | 12,6 | 14,6 | 16,8 | 19,5 | - | ||||
103 | 2 | 0,5 | 2,9 | 3,4 | 4,9 | 5,6 | 6,5 | 7,1 | 8,2 | 9,5 | 11 | 9,1 | 10,5 | 12,1 | 14 | - | |||||
104 | 1,0 | - | 3,3 | 3,9 | 5,5 | 6,4 | 7,4 | 8,1 | 9,4 | 10,8 | 12,5 | 10,4 | 12 | 13,9 | 16 | - | |||||
105 | 2,0 | - | - | 3,8 | 4,4 | 6,4 | 7,3 | 8,5 | 9,2 | 10,1 | 10,7 | 14,3 | 11,9 | 13,7 | 15,8 | 18,3 | - | ||||
106 | 5,0 | - | - | 4,5 | 5,3 | 7,5 | 8,7 | 10,1 | 11 | 12,7 | 14,7 | 17 | 14,1 | 16,3 | 18,8 | 22 | - | ||||
107 | > 5 | - | - | - | 7,1 | - | 11,7 | 13,6 | - | 17,2 | 19,8 | 23 | 19 | 21 | 25,5 | 29,5 | - | ||||
108 | 3 | 0,5 | 3,7 | 4,3 | 6,2 | 7,1 | 8,2 | 9,0 | 10,4 | 12,1 | 14 | 11,5 | 13,3 | 15,4 | 17,8 | - | |||||
109 | 1,0 | - | 4,2 | 4,9 | 7,0 | 8,1 | 9,4 | 10,3 | 11,9 | 13,8 | 15,9 | 13,2 | 15,2 | 17,6 | 20,5 | - | |||||
110 | 2,0 | - | - | 4,8 | 5,6 | 8,0 | 9,3 | 10,7 | 11,7 | 13,6 | 15,7 | 18,2 | 15 | 17,4 | 20 | 23,5 | - | ||||
111 | 5,0 | - | - | 5,7 | 6,6 | 9,5 | 11 | 12,8 | 14 | 16,2 | 18,7 | 21,5 | 17,9 | 20,5 | 24 | 27,5 | - | ||||
112 | > 5 | - | - | - | 9 | - | 14,9 | 17,2 | - | 21,8 | 25 | 29 | 24 | 28 | 32 | 37,5 | - | ||||
Индекс | а | б | в | г | д | е | ж | з | и | к | л | м | н | о | п | р | |||||
Горизонтально-, вертикально- и универсально-фрезерные станки | |||||||||||
Карта 27, лист 1 | |||||||||||
Время на проход | |||||||||||
N позиции | Характер обработки. Способ установки инструмента на стружку | Длина стола, L, мм, до | |||||||||
500 | 800 | 1250 | 1600 | 2500 | |||||||
Время, t, мин. | |||||||||||
1 | Фрезерование на станках с полуавтоматическим циклом или программным управлением | 0,02 | 0,03 | 0,04 | 0,06 | 0,08 | |||||
2 | Фрезерование плоскостей фасонных поверхностей в пазов | фрезой, установленной на размер | 0,12 | 0,14 | 0,17 | 0,21 | 0,22 | ||||
3 | с установкой фрезы | по лимбу | 0,26 | 0,30 | 0,38 | 0,46 | 0,50 | ||||
4 | по разметке | 0,45 | 0,55 | 0,65 | 0,80 | 0,90 | |||||
5 | по шаблону приспособления | 0,32 | 0,37 | 0,45 | 0,54 | 0,60 | |||||
![]() | со взятием одной пробной стружки | универсальные инструменты | Измеряемый размер, И, мм | <= 100 | 0,49 | 0,55 | 0,70 | 0,80 | 0,90 | ||
7 | > 100 | 0,55 | 0,65 | 0,75 | 0,90 | 0,95 | |||||
8 | шаблоны | <= 100 | 0,45 | 0,50 | 0,65 | 0,75 | 0,85 | ||||
9 | > 100 | 0,48 | 0,55 | 0,70 | 0,80 | 0,90 | |||||
10 | Фрезерование криволинейных поверхностей и пазов по копиру | наружных | с установкой фрезы | по лимбу | 0,26 | 0,30 | 0,38 | 0,46 | 0,50 | ||
по упору копира | 0,24 | 0,28 | 0,35 | 0,44 | 0,47 | ||||||
12 | закрытых | ||||||||||
по лимбу | 0,42 | 0,46 | 0,60 | 0,70 | 0,75 | ||||||
13 | по упору копира | 0,40 | 0,44 | 0,55 | 0,65 | 0,70 | |||||
14 | Фрезерование шлиц, винтов, граней болтов и гаек | 0,03 | 0,04 | 0,06 | - | - | |||||
Время на приемы, связанные с переходом, не вошедшие в комплексы | |||||||||||
15 | Изменить число оборотов шпинделя | 0,06 | 0,07 | 0,08 | 0,09 | 0,10 | |||||
16 | Изменить величину или направление подачи | 0,05 | 0,06 | 0,07 | 0,08 | 0,09 | |||||
17 | Повернуть делительную головку или делительное приспособление на одну позицию | 0,04 | 0,04 | 0,04 | 0,04 | - | |||||
18 | Повернуть приспособление с рабочей позиции на загрузочную | - | - | 0,09 | 0,09 | 0,11 | |||||
19 | Поставить и снять щиток ограждения от стружки | шарнирный | 0,05 | 0,05 | 0,06 | 0,07 | 0,09 | ||||
20 | съемочный | 0,16 | 0,16 | 0,18 | 0,20 | 0,25 | |||||
21 | Переместить стол в продольном направлении на длину свыше 200 мм при длине перемещения, мм, до | 300 | 0,04 | 0,04 | 0,04 | 0,04 | 0,04 | ||||
22 | 500 | 0,07 | 0,09 | 0,09 | 0,10 | 0,10 | |||||
23 | 750 | - | - | 0,20 | 0,21 | 0,21 | |||||
24 | 1000 | - | - | - | 0,31 | 0,31 | |||||
25 | 1500 | - | - | - | - | 0,47 | |||||
Индекс | а | б | в | г | д | ||||||
ВСПОМОГАТЕЛЬНОЕ ВРЕМЯ, СВЯЗАННОЕ С ПЕРЕХОДОМ | Горизонтально-, вертикально- и универсально-фрезерные станки | ||
Карта 27, лист 2 | |||
Время на приемы, связанные с переходом, не вошедшие в комплексы | |||
N позиции | Наименование приемов | Время, t, мин. | |
26 | Включить или выключить пульт лентопротяжного механизма | 0,02 | |
27 | Продвинуть перфоленту в исходное положение | 0,5 | |
28 | Установить координаты x, y (на 100 мм) | 0,25 | |
29 | Ввести коррекцию (на 1 корректор) | 0,05 | |
Скорость воспроизведения программы, v, м/мин. | Время автоматической работы станка, Tавт, мин. | ||||||||||||||||
2 | 5 | 10 | 15 | 20 | 25 | 30 | 35 | 40 | 50 | 60 | 70 | 80 | 90 | 100 | 120 | ||
Время на перемотку ленты, t, мин. | |||||||||||||||||
30 | 12 | 0,08 | 0,2 | 0,4 | 0,6 | 0,8 | 1,0 | 1,2 | 1,4 | 1,6 | 2,0 | 2,4 | 2,8 | 3,2 | 3,6 | 4,0 | 4,8 |
31 | 3 | 0,02 | 0,05 | 0,1 | 0,15 | 0,2 | 0,25 | 0,3 | 0,35 | 0,4 | 0,5 | 0,6 | 0,7 | 0,8 | 0,9 | 1,0 | 1,2 |
Индекс | а | б | в | г | д | е | ж | з | и | к | л | м | н | о | п | р | |
Вид перемотки | Длина ленты, l, м | |||||||
2 | 4 | 6 | 8 | 10 | 15 | На каждые последующие 10 м добавлять | ||
Время на перемотку ленты, t, мин. | ||||||||
32 | Автоматическая | 0,045 | 0,09 | 0,13 | 0,18 | 0,22 | 0,33 | 0,18 |
33 | Ручная | 0,8 | 1,0 | 1,3 | 1,5 | 1,8 | - | - |
Индекс | а | б | в | г | д | е | ж | |
Продольно-фрезерные станки | |||||||||||
Карта 28 | |||||||||||
Время на проход | |||||||||||
N позиции | Характер обработки. Способ установки инструмента на стружку | Число фрез (шпинделей), устанавливаемых на размер, n, шт. | Измерительный инструмент | Измеряемый размер, И, мм, до | Длина стола, L, мм, до | ||||||
1600 | 3000 | 6300 | |||||||||
Время, t, мин. | |||||||||||
1 | Фрезерование плоскостей, фасонных поверхностей и пазов | фрезами, установленными на размер | - | - | - | 0,28 | 0,29 | 0,33 | |||
2 | ![]() | с установкой фрезы | по разметке | 1 | - | - | 0,85 | 0,95 | 1,15 | ||
3 | 2 | - | - | 1,25 | 1,40 | 1,65 | |||||
4 | 3 | - | - | 1,60 | 1,85 | 2,2 | |||||
5 | 4 | - | - | - | 2,3 | 2,7 | |||||
6 | по лимбу | 1 | - | - | 0,50 | 0,55 | 0,65 | ||||
7 | 2 | - | - | 0,70 | 0,80 | 0,95 | |||||
8 | 3 | - | - | 0,90 | 1,0 | 1,2 | |||||
9 | 4 | - | - | - | 1,2 | 1,75 | |||||
10 | по шаблону приспособления и щупу | в одном направлении | 1 | - | - | 0,60 | 0,65 | 0,80 | |||
2 | - | - | 0,90 | 0,95 | 1,15 | ||||||
3 | - | - | 1,15 | 1,25 | 1,50 | ||||||
13 | 4 | - | - | - | 1,55 | 1,90 | |||||
14 | в двух направлениях | 1 | - | - | 0,80 | 0,85 | 1,05 | ||||
15 | 2 | - | - | 1,20 | 1,35 | 1,65 | |||||
16 | 3 | - | - | 1,65 | 1,85 | 2,3 | |||||
17 | 4 | - | - | - | 2,4 | 2,9 | |||||
18 | со взятием пробных стружек с точностью обработки | 0,2...0,5 мм | 1 | Универсальные многомерные | 300 | 0,95 | 1,0 | 1,2 | |||
19 | 500 | 1,05 | 1,1 | 1,25 | |||||||
20 | Св. 500 | 1,1 | 1,15 | 1,30 | |||||||
21 | Шаблоны | 500 | 0,85 | 0,90 | 1,1 | ||||||
22 | Св. 500 | 0,90 | 0,95 | 1,15 | |||||||
23 | < 0,2 мм | 1 | Универсальные, многомерные | 300 | 1,35 | 1,45 | 1,70 | ||||
24 | 500 | 1,55 | 1,65 | 1,85 | |||||||
25 | Св. 500 | 1,65 | 1,75 | 1,95 | |||||||
Индекс | а | б | в | ||||||||
26 | Изменить число оборотов шпинделя | - | 0,09 | 0,10 | 0,12 |
27 | Изменить величину подачи | - | 0,08 | 0,09 | 0,11 |
28 | Переместить стол на длину свыше 500 мм при длине перемещения, мм, до | 1000 | 0,13 | 0,13 | 0,13 |
29 | 2000 | - | 0,37 | 0,39 | |
30 | 3000 | - | 0,7 | 0,7 | |
31 | 4000 | - | - | 1,05 | |
32 | 5000 | - | - | 1,40 | |
33 | Св. 5000 | - | - | 1,75 | |
34 | Переместить шпиндельную головку (верхнего или бокового шпинделя) на длину свыше 100 мм при длине перемещения, мм, до | 200 | 0,07 | 0,07 | 0,07 |
33 | 400 | 0,17 | 0,17 | 0,17 | |
36 | 600 | 0,28 | 0,28 | ||
Индекс | а | б | в | ||
Копировально-фрезерные станки | |||||
Карта 29, лист 1 | |||||
![]() | |||||
Время на проход | |||||
N позиции | Характер обработки | Длина стола, L, мм, до | |||
1260 | 1600 | 2500 | |||
Время, t, мин. | |||||
1 | Копирное фрезерование на станках с полуавтоматическим циклом или программным управлением | 0,04 | 0,06 | 0,08 | |
2 | Фрезерование криволинейных поверхностей и пазов по плоским копирам | наружных | 0,22 | 0,27 | 0,29 |
3 | закрытых | 0,42 | 0,50 | 0,55 | |
Время на приемы, связанные с переходом, не вошедшие в комплексы | |||||
4 | Повернуть копир для обработки следующей поверхности при многопереходных операциях | 0,12 | 0,15 | 0,20 | |
5 | Повернуть фрезерную головку для обработки вторым шпинделем | 0,05 | - | - | |
6 | Изменить число оборотов шпинделя | 0,08 | 0,09 | 0,10 | |
7 | Изменить величину или направление подачи | 0,07 | 0,08 | 0,09 | |
Индекс | а | б | в | ||
ВСПОМОГАТЕЛЬНОЕ ВРЕМЯ, СВЯЗАННОЕ С ПЕРЕХОДОМ | Копировально-фрезерные станки | ||||||||||||||||
Карта 29, лист 2 | |||||||||||||||||
Время на приемы, связанные с переходом, не вошедшие в комплексы | |||||||||||||||||
N позиции | Наименование приемов | Время, t, мин. | |||||||||||||||
8 | Включить или выключить пульт лентопротяжного механизма | 0,02 | |||||||||||||||
9 | Продвинуть перфоленту в исходное положение | 0,5 | |||||||||||||||
10 | Установить координаты x, y (на 100 мм) | 0,25 | |||||||||||||||
11 | Ввести коррекцию (на 1 корректор) | 0,05 | |||||||||||||||
Перемотать магнитную ленту со скоростью перемотки 300 м/мин. | |||||||||||||||||
Скорость воспроизведения программ, v, м/мин. | Время автоматической работы станка, Tавт, мин. | ||||||||||||||||
2 | 5 | 10 | 15 | 20 | 25 | 30 | 35 | 40 | 50 | 60 | 70 | 80 | 80 | 100 | 120 | ||
Время на перемотку ленты, t, мин. | |||||||||||||||||
12 | 12 | 0,08 | 0,2 | 0,4 | 0,6 | 0,8 | 1,0 | 1,2 | 1,4 | 1,6 | 2,0 | 2,4 | 2,8 | 3,2 | 3,6 | 4,0 | 4,8 |
13 | 3 | 0,02 | 0,05 | 0,1 | 0,15 | 0,2 | 0,25 | 0,3 | 0,35 | 0,4 | 0,5 | 0,6 | 0,7 | 0,8 | 0,9 | 1,0 | 1,2 |
Индекс | а | б | в | г | д | е | ж | з | и | к | л | м | л | о | п | р | |
Вид перемотки | Длина ленты, l, м | |||||||
1 | 4 | 6 | 8 | 10 | 15 | На каждые последующие 10 м добавлять | ||
Время на перемотку ленты, t, мин. | ||||||||
14 | Автоматическая | 0,045 | 0,09 | 0,13 | 0,18 | 0,22 | 0,33 | 0,18 |
15 | Ручная | 0,8 | 1,0 | 1,3 | 1,5 | 1,8 | - | - |
Индекс | а | б | в | г | д | е | ж | |
Продольно-строгальные станки | |||||||
Карта 30, лист 1 | |||||||
Время на проход | |||||||
N позиции | Характер обработан. Способ установки инструмента на стружку | Измеряемый размер, И, мм, до | Длина рабочей поверхности стола. L, мм, до | ||||
3000 | 6000 | 12000 | |||||
Время, t, мин. | |||||||
1 | Строгание плоскостей | С установкой резца (черновой проход). | по разметке | - | 0,55 | 0,65 | 0,75 |
2 | по лимбу | - | 0,27 | 0,32 | 0,37 | ||
3 | по мерным плиткам | - | 0,45 | 0,50 | 0,60 | ||
4 | ![]() | С предварительным промером (черновой проход) | - | 0,45 | 0,50 | 0,60 | |
5 | Со взятием пробных стружек при чистовом проходе с точностью обработки | 0,5...0,2 мм | 100 | 0,60 | 0,70 | 0,80 | |
6 | 300 | 0,70 | 0,75 | 0,90 | |||
7 | Св. 300 | 0,80 | 0,85 | 1,0 | |||
8 | < 0,2 мм | 100 | 0,95 | 1,05 | 1,25 | ||
9 | 300 | 1,10 | 1,20 | 1,40 | |||
10 | Св. 300 | 1,30 | 1,40 | 1,60 | |||
11 | Строгание пазов, скосов, отрезка | Без измерения | - | 0,29 | 0,33 | 0,37 | |
12 | ![]() | С измерением длины расположения размера | - | 0,55 | 0,60 | 0,70 | |
Индекс | а | б | в | ||||
ВСПОМОГАТЕЛЬНОЕ ВРЕМЯ, СВЯЗАННОЕ С ПЕРЕХОДОМ | Продольно-строгальные станки | ||||||
Карта 30, лист 2 | |||||||
N позиции | Характер обработки. Способ установки инструмента на стружку | Измеряемый размер, И, мм, до | Длина рабочей поверхности стола, L, мм, до | ||||
2500 | 6000 | 12000 | |||||
Время, t, мин. | |||||||
Время на приемы, связанные с переходом, не вошедшие в комплексы | |||||||
13 | Изменить скорость движения стола | 0,09 | 0,10 | 0,12 | |||
14 | Изменить длину хода стола перемещением упоров | 0,25 | 0,3 | 0,4 | |||
15 | Изменить величину подачи | 0,08 | 0,09 | 0,11 | |||
16 | Повернуть резцедержатель на угол с возвратом в первоначальное положение | 1,0 | 1,3 | 1,6 | |||
17 | Повернуть суппорт на угол с возвратов в первоначальное положение | 1,6 | 2,2 | 3,0 | |||
18 | Установить и снять резец | проходной или подрезной | 0,9 | 1,0 | 1,2 | ||
19 | широкий или фасонный | 1,1 | 1,4 | 2,0 | |||
20 | Установить резец в державку и снять его | 0,4 | 0,5 | 0,6 | |||
21 | Установить и снять державку с резцом в резцедержатель | 0,8 | 1,0 | 1,2 | |||
22 | Переместить суппорт в горизонтальном направлении на длину свыше 200 мм при длине перемещения, мм, до | 300 | 0,03 | 0,05 | 0,5 | ||
23 | 500 | 0,08 | 0,11 | 0,11 | |||
24 | 1000 | - | 0,29 | 0,29 | |||
Индекс | а | б | в | ||||
Поперечно-строгальные станки | ||||||||
Карта 31, лист 1 | ||||||||
Время на проход | ||||||||
N позиции | Характер обработки. Способ установки инструмента на стружку | Измеряемый размер, И, мм, до | Наибольшая длина хода ползуна, L, мм, до | |||||
200 | 500 | 1000 | ||||||
Время, t, мин. | ||||||||
1 | Строгание плоскостей и поверхностей по фасонному контуру | резцом, установленным на размер (черновой или чистовой проход) | - | 0,16 | 0,19 | 0,25 | ||
2 | ![]() | с установкой резца (черновой проход) | по разметке | - | 0,37 | 0,44 | 0,55 | |
3 | по лимбу | - | 0,21 | 0,25 | 0,33 | |||
4 | по шаблону или мерным плиткам | - | 0,31 | 0,37 | 0,46 | |||
5 | с предварительным промером (черновой проход) | - | 0,31 | 0,37 | 0,46 | |||
6 | со взятием пробных стружек при чистовом проходе с точностью обработки | 0,5...0,2 мм | 100 | 0,45 | 0,55 | 0,65 | ||
7 | 300 | 0,50 | 0,60 | 0,70 | ||||
8 | Св. 300 | 0,55 | 0,65 | 0,75 | ||||
9 | < 0,2 мм | 100 | 0,70 | 0,80 | 0,95 | |||
10 | 300 | 0,85 | 0,95 | 1,1 | ||||
11 | Св. 300 | 0,9 | 1,5 | 1,15 | ||||
12 | Строгание пазов, скосов, отрезка | без измерения | - | 0,28 | 0,34 | 0,46 | ||
13 | ![]() | с измерением длины расположения размера | - | 0,45 | 0,55 | 0,65 | ||
Индекс | а | б | в | |||||
ВСПОМОГАТЕЛЬНОЕ ВРЕМЯ, СВЯЗАННОЕ С ПЕРЕХОДОМ | Поперечно-строгальные станки | ||||||
Карта 31, лист 2 | |||||||
N позиции | Характер обработки. Способ установки инструмента на стружку | Измеряемый размер, И, мм, до | Наибольшая длина хода ползуна, L, мм, до | ||||
200 | 600 | 1000 | |||||
Время, t, мин. | |||||||
Время на приемы, связанные с переходом, не вошедшие в комплексы | |||||||
14 | Изменить число двойных ходов ползуна | 0,05 | 0,06 | 0,07 | |||
15 | Изменить длину хода ползуна | 0,1 | 0,15 | 0,20 | |||
16 | Изменить величину подачи | 0,04 | 0,05 | 0,06 | |||
17 | Установить и снять резец | проходной или подрезной | 0,7 | 0,8 | 0,9 | ||
18 | шпоночный или широкий | 0,8 | 1,0 | 1,1 | |||
19 | Повернуть суппорт на угол с возвратом в первоначальное положение | 1,2 | 1,2 | 1,4 | |||
20 | Переместить стол на длину свыше 200 мм | Длина перемещения, l, мм, до | 300 | 0,05 | 0,06 | 0,06 | |
21 | 500 | 0,12 | 0,14 | 0,15 | |||
22 | Переместить суппорт вертикально на длину свыше 100 мм | 150 | 0,05 | 0,06 | 6,07 | ||
23 | 200 | 0,08 | 0,10 | 0,13 | |||
Индекс | а | б | в | ||||
Долбежные станки | |||||||
Карта 32, лист 1 | |||||||
Время на проход | |||||||
N позиции | Характер обработки. Способ установки инструмента на стружку | Измеряемый размер, И, мм, до | Наибольшая длина хода долбяка, L, мм, до | ||||
200 | 600 | 1000 | |||||
Время, t, мин. | |||||||
1 | Обработка плоскостей и поверхностей по фасонному контуру | с установкой резца (черновой проход) | по разметке по лимбу | - | 0,32 | 0,38 | 0,47 |
2 | 0,18 | 0,22 | 0,28 | ||||
3 | ![]() | с предварительным промером (черновой проход) | - | 0,18 | 0,22 | 0,28 | |
4 | со взятием пробных стружек при чистовом проходе с точностью обработки | 0,5...0,3 мм | 100 | 0,4 | 0,47 | 0,55 | |
5 | 300 | 0,47 | 0,55 | 0,65 | |||
6 | <0,3 мм | 100 | 0,60 | 0,70 | 0,85 | ||
7 | 300 | 0,75 | 0,85 | 1,00 | |||
8 | Обработка пазов | без измерения | - | 0,036 | 0,04 | 0,06 | |
9 | ![]() | с измерением размера расположения паза | - | 0,39 | 0,47 | 0,55 | |
Индекс | а | б | в | ||||
ВСПОМОГАТЕЛЬНОЕ ВРЕМЯ, СВЯЗАННОЕ С ПЕРЕХОДОМ | Долбежные станки | |||||
Карта 32, лист 2 | ||||||
N позиции | Характер обработки. Способ установки инструмента на стружку | Измеряемый размер, И, мм, до | Наибольшая длина хода долбяка, L, | |||
200 | 500 | 1000 | ||||
Время, t, мин. | ||||||
Время на приемы, связанные с переходом, не вошедшие в комплексы | ||||||
10 | Изменить число двойных ходов долбяка | 0,05 | 0,06 | 0,07 | ||
11 | Изменить длину хода долбяка | 0,1 | 0,15 | 0,20 | ||
12 | Изменить величину подачи | 0,04 | 0,05 | 0,06 | ||
13 | Установить и снять резец | проходной или подрезной | 0,7 | 0,8 | 0,9 | |
14 | шпоночный или широкий | 0,8 | 1,0 | 1,1 | ||
15 | Установить и снять державку для резца | 1,0 | 1,3 | 1,5 | ||
16 | Повернуть круглый стол на оси на угол | 30 | 0,07 | 0,08 | 0,10 | |
17 | 60 | 0,10 | 0,12 | 0,15 | ||
18 | 120 | 0,16 | 0,20 | 0,24 | ||
19 | 180 | 0,22 | 0,28 | 0,35 | ||
20 | Переместить стол на длину свыше 200 мм, при длине перемещения, мм, до | 400 | 0,07 | 0,08 | 0,09 | |
21 | 600 | 0,14 | 0,16 | 0,20 | ||
Индекс | а | б | в | |||
Станки для однопереходной обработки | ||||
Карта 33, лист 1 | ||||
N позиции | Тип станка | Характер обработки. Способ выполнения работы | Время, t, мин. | |
1 | Токарные многорезцовые, токарные многорезцовые копировальные | полуавтоматы | Точение и растачивание черновое и чистовое | 0,02 |
2 | ![]() | с ручным управлением | 0,18 | |
3 | Карусельно-фрезерные | Фрезерование поверхностей (см. примечание 1) | - | |
![]() | ||||
4 | Токарно-револьверные патронные полуавтоматы | Точение, растачивание, обработка отверстий | 0,02 | |
5 | Резьботокарные с вихревой головкой | полуавтоматы | Нарезание коротких и длинных (крепежных трапецеидальных) резьб | 0,02 |
6 | ![]() | с ручным управлением | 0,15 | |
7 | Резьботокарные для коротких резьб | полуавтоматы | Нарезание крепежной резьбы | 0,02 |
![]() | ||||
ВСПОМОГАТЕЛЬНОЕ ВРЕМЯ, СВЯЗАННОЕ С ПЕРЕХОДОМ | Станки для однопереходной обработки | |||||||||
Карта 33, лист 2 | ||||||||||
N позиции | Тип станка | Характер обработки. Способ выполнения работы | Время, t, мин. | |||||||
8 | Токарные многошпиндельные горизонтальные и вертикальные | полуавтоматы | Точение, растачивание, обработка отверстий (см. примечание 2) | - | ||||||
9 | Зубофрезерные | полуавтоматы | Обработка зубьев колес | 0,02 | ||||||
10 | ![]() | с ручным управлением | Обработка цилиндрических колес | Модуль m, мм, до | 1 | Длина обработки, L, мм, до | 50 | 0,20 | ||
11 | 100 | 0,28 | ||||||||
12 | 6 | 100 | 0,31 | |||||||
200 | 0,47 | |||||||||
14 | 12 | 100 | 0,35 | |||||||
15 | 200 | 0,55 | ||||||||
16 | св. 12 | 100 | 0,45 | |||||||
17 | 200 | 0,70 | ||||||||
1 | ||||||||||
18 | Обработка червячных колес | подача радиальная | 6 | - | 0,22 | |||||
19 | 12 | - | 0,25 | |||||||
20 | св. 12 | - | 0,28 | |||||||
21 | - | 0,37 | ||||||||
22 | 6 | - | 0,43 | |||||||
23 | подача тангенциальная | 12 | - | 0,50 | ||||||
24 | Обработка колес по предварительно прорезанному зубу | 3 | 0,60 | |||||||
25 | 8 | 0,75 | ||||||||
26 | 18 | 0,90 | ||||||||
27 | Добавлять к времени на переход при обработке в два прохода | 0,55 | ||||||||
28 | Зубодолбежные | полуавтоматы | Обработка зубьев колес | 0,02 | ||||||
29 | ![]() | с ручным управлением | Обработка зубьев цилиндрических колес | зуб предварительно прорезан | Модуль зуба, m, мм | 3 | 0,3 | |||
30 | 6 | 0,35 | ||||||||
31 | > 8 | 0,40 | ||||||||
32 | без предварительной прорезки зуба | 0,15 | ||||||||
33 | Обработка колес с внутренним зубом | 0,30 | ||||||||
34 | Добавлять к времени на переход | при изменении режима работы | подачи двойных ходов | 0,3 | ||||||
35 | 0,3 | |||||||||
36 | при работе на станках с поворотным столом | 0,4 | ||||||||
ВСПОМОГАТЕЛЬНОЕ ВРЕМЯ, СВЯЗАННОЕ С ПЕРЕХОДОМ | Станки для однопереходной обработки | |||||
Карта 33, лист 3 | ||||||
N позиции | Тип станка | Характер обработки. Способ выполнения работы | Время, t, мин. | |||
37 | Зубошевинговальные | полуавтоматы | Шевингование зубьев колбе | 0,02 | ||
38 | ![]() | с ручным управлением | 0,12 | |||
39 | Зубозакругляющие | полуавтоматы | Обработка закруглений, фасок на торцах зубьев | 0,02 | ||
40 | ![]() | с ручным управлением | 0,10 | |||
41 | Зубострогальные для прямозубых конических колес | полуавтоматы | Обработка зубьев колес | 0,02 | ||
42 | ![]() | с ручным управлением | Обработка зубьев конических колес | в один проход | 0,17 | |
43 | в два прохода | 0,45 | ||||
44 | Обработка колес по предварительно прорезанному зубу | Модуль, m, мм | 3 | 0,55 | ||
45 | > 3 | 0,70 | ||||
46 | Зубофрезерные для прорезания зубьев конических колес | полуавтоматы | Прорезание зубьев колес предварительное | 0,02 | ||
![]() | ||||||
47 | Зуборезные для конических колес с круговым зубом | полуавтоматы | Обработка зубьев колес | 0,02 | ||
48 | ![]() | Обработка колес по предварительно прорезанному зубу при модуле, m, мм, до | 3 | 0,09 | ||
49 | 8 | 0,10 | ||||
50 | 12 | 0,12 | ||||
51 | > 12 | 0,14 | ||||
ВСПОМОГАТЕЛЬНОЕ ВРЕМЯ, СВЯЗАННОЕ С ПЕРЕХОДОМ | Станки для однопереходной обработки | ||||||
Карта 33, лист 4 | |||||||
N позиции | Тип станка | Характер обработки. Способ выполнения работы | Время, t, мин. | ||||
52 | Шлицефрезерные | полуавтоматы | Обработка шлиц или зубьев на валах | 0,02 | |||
53 | ![]() | с ручным управлением | Обработка шлиц или зубьев на валах | Длина обработки, L, мм, до | 300 | 0,17 | |
54 | > 300 | 0,25 | |||||
55 | Обработка шлиц или зубьев по предварительно прорезанному профилю | 300 | 0,47 | ||||
56 | > 300 | 0,55 | |||||
57 | Шпоночно-фрезерные | с ручным управлением | Обработка пазов для шпонок | призматических | 0,24 | ||
![]() | |||||||
58 | Резьбофрезерные работающие гребенчатой фрезой | полуавтоматы | Фрезерование крепежной резьбы | 0,02 | |||
59 | ![]() | с ручным управлением | Фрезерование крепежной резьбы | наружной | 0,20 | ||
60 | внутренней | 0,29 | |||||
61 | Резьбофрезерные, работающие дисковой фрезой | с ручным управлением | Фрезерование резьбы винтов и червяков предварительное | Длина обработки, L, мм, до | 500 | 0,34 | |
62 | ![]() | 1000 | 0,44 | ||||
63 | > 1000 | 0,70 | |||||
ВСПОМОГАТЕЛЬНОЕ ВРЕМЯ, СВЯЗАННОЕ С ПЕРЕХОДОМ | Станки для однопереходной обработки | |||||||||
Карта 33, лист 5 | ||||||||||
N позиции | Тип станка | Характер обработки. Способ выполнения работы | Время, t, мин. | |||||||
64 | Горизонтально-протяжные для внутреннего протягивания | с ручным управлением | Протягивание цилиндрических многошлицевых и фасонных отверстий | без снятия протяжки | Число проходов, n, шт. | 1 | Диаметр протяжки, d, мм, до | 40 | 0,18 | |
65 | 80 | 0,23 | ||||||||
66 | ![]() | св. 80 | 0,28 | |||||||
67 | со снятием протяжки | 1 | 20 | 0,21 | ||||||
68 | 40 | 0,23 | ||||||||
69 | 80 | 0,30 | ||||||||
70 | св. 80 | 0,44 | ||||||||
71 | 2 | 20 | 0,45 | |||||||
72 | 40 | 0,49 | ||||||||
73 | 80 | 0,65 | ||||||||
74 | св. 80 | 0,80 | ||||||||
75 | 3 | 20 | 0,65 | |||||||
76 | 40 | 0,70 | ||||||||
77 | 80 | 0,90 | ||||||||
78 | св. 80 | 0,95 | ||||||||
79 | Протягивание пазов или рифлений в пазах | без снятия протяжки | 1 | - | 0,12 | |||||
80 | 2 | - | 0,26 | |||||||
81 | 3 | - | 0,40 | |||||||
82 | со снятием протяжки | 1 | - | 0,13 | ||||||
83 | 2 | - | 0,28 | |||||||
84 | 3 | - | 0,43 | |||||||
85 | Добавлять к времени на переход на поворот делительного приспособления на следующую позицию | 0,04 | ||||||||
86 | Вертикально-протяжные для наружного протягивания | с ручным управлением | Протягивание плоскостей, пазов в один проход | 0,04 | ||||||
87 | ![]() | Добавлять к времени на переход | на последующий проход при многопроходной обработке | 0,15 | ||||||
88 | на поворот делительного приспособления на следующую позицию | 0,04 | ||||||||
89 | на смену протяжки при работе в несколько проходов | 0,16 | ||||||||
90 | Зубошлифовальные | с ручным управлением | Шлифование зубьев | методом обкатки | одним дисковым кругом | 1,10 | ||||
91 | ![]() | двумя тарельчатыми кругами | 1,55 | |||||||
92 | образивным червяком | 0,44 | ||||||||
93 | методом копирования | 1,10 | ||||||||
94 | Добавлять к времени на переход | на одно пробное измерение детали в процессе шлифования | 0,55 | |||||||
95 | на последующий проход при многопроходной обработке методом копирования | 0,18 | ||||||||
ВСПОМОГАТЕЛЬНОЕ ВРЕМЯ, СВЯЗАННОЕ С ПЕРЕХОДОМ | Станки для однопереходной обработки | ||||||||
Карта 33, лист 6 | |||||||||
N позиции | Тип станка | Характер обработки. Способ выполнения работы | Время, t, мин. | ||||||
96 | Зубошлифовальные для конических колес с круговым зубом | полуавтоматы | Шлифование зубьев | Нарезаемый модуль, m, мм, до | 2,5 | 0,10 | |||
97 | 8 | 0,11 | |||||||
98 | 12 | 0,13 | |||||||
99 | Шлицешлифовальные | полуавтоматы | Шлифование шлиц на валах | 0,05 | |||||
100 | ![]() | с ручным управлением | Шлифование шлиц на валах | 0,32 | |||||
101 | Добавлять к времени на переход на одно пробное измерение в процессе обработки | микрометром | 0,19 | ||||||
102 | скобой | 0,12 | |||||||
103 | калибр-кольцом шлицевым | 0,27 | |||||||
104 | Резьбошлифовальные | полуавтоматы | Шлифование треугольной резьбы | 0,09 | |||||
105 | ![]() | с ручным управлением | Шлифование треугольной резьбы | профиль резьбы предварительно прорезан | первый проход | 0,30 | |||
106 | каждый последующий проход | 0,15 | |||||||
107 | без предварительной нарезки профиля по сплошному металлу | первый проход | 0,15 | ||||||
108 | каждый последующий проход | 0,15 | |||||||
109 | Добавлять к времени на. переход на одно пробное измерение в процессе обработки | скобой резьбовой | 0,12 | ||||||
микрометром резьбовым | 0,28 | ||||||||
111 | Центровальные, фрезерно-центровальные | полуавтоматы | Центрование отверстий, фрезерование торцов и центрование отверстий | 0,02 | |||||
112 | ![]() | с ручным управлением | Центрование одного отверстия на одношпиндельном или двух отверстий на двустороннем станке | 0,04 | |||||
ВСПОМОГАТЕЛЬНОЕ ВРЕМЯ, СВЯЗАННОЕ С ПЕРЕХОДОМ | Станки для однопереходной обработки | ||||
Карта 33, лист 7 | |||||
N позиции | Тип станка | Характер обработки. Способ выполнения работы | Время, t, мин. | ||
113 | Резьбонарезные | полуавтоматы | Нарезание крепежной резьбы вращающимися головками с тангенциальными плашками | 0,02 | |
114 | ![]() | с ручным управлением | Нарезание крепежной резьбы | резьбонарезными самооткрывающимися головками | 0,07 |
115 | круглыми плашками | 0,08 | |||
116 | Резьбонакатные, работающие плоскими плашками | автоматы | Накатывание крепежной резьбы на винтах, болтах (см. примечание 3) | - | |
![]() | |||||
117 | Многошпиндельные вертикально-сверлильные агрегаты | полуавтоматы | Сверление одновременно нескольких отверстий (см. примечание 4) | - | |
118 | Фрезерно-отрезные и отрезные круглопильные | полуавтоматы | Отрезка заготовок | 0,02 | |
Круглошлифовальные станки | ||||||||||||||
Карта 34, лист 1 | ||||||||||||||
N позиции | Характер обработки | Измерительный инструмент | Квалитет (класс точности) | Диаметр обрабатываемой поверхности, d, мм, до | Наибольший диаметр устанавливаемого изделия, D, мм, до | |||||||||
200 | 360 | 560 | ||||||||||||
Длина обрабатываемой поверхности, l, мм, до | ||||||||||||||
50 | 100 | 100 | 200 | 500 | 1000 | 100 | 200 | 500 | 1000 | |||||
Время, t, мин. | ||||||||||||||
I. Обработка цилиндрических поверхностей с продольной подачей | ||||||||||||||
1 | Шлифование поверхности без измерения | - | - | - | 0,11 | 0,15 | 0,21 | |||||||
2 | Шлифование поверхности с измерением | Универсальные многомерные | 1Т5 - 1Т6 (1 кл.) | 10 | 0,33 | 0,36 | 0,42 | 0,47 | - | - | 0,55 | 0,60 | - | - |
3 | 25 | 0,38 | 0,41 | 0,47 | 0,50 | - | - | 0,60 | 0,65 | - | - | |||
4 | ![]() | 50 | 0,50 | 0,60 | 0,65 | 0,70 | 0,85 | 1,05 | 0,80 | 0,85 | 1,05 | 1,20 | ||
5 | 100 | 0,85 | 0,95 | 1,05 | 1,15 | 1,40 | 1,70 | 1,25 | 1,35 | 1,60 | 1,90 | |||
6 | 200 | 1,3 | 1,4 | 1,50 | 1,65 | 2,1 | 2,6 | 1,80 | 1,90 | 2,40 | 2,9 | |||
7 | 300 | - | - | - | - | - | - | 2,4 | 2,7 | 3,2 | 3,8 | |||
8 | 500 | - | - | - | - | - | - | 3,1 | 3,3 | 4,1 | 4,6 | |||
9 | 1Т7 (2 кл.) | 10 | 0,20 | 0,21 | 0,26 | 0,28 | - | - | 0,34 | 0,36 | - | - | ||
10 | 25 | 0,22 | 0,23 | 0,28 | 0,30 | - | - | 0,36 | 0,38 | - | - | |||
11 | 50 | 0,30 | 0,33 | 0,38 | 0,41 | 0,49 | 0,60 | 0,48 | 0,50 | 0,60 | 0,70 | |||
12 | 100 | 0,47 | 0,50 | 0,55 | 0,60 | 0,75 | 0,90 | 0,70 | 0,75 | 0,90 | 1,05 | |||
13 | 200 | 0,70 | 0,75 | 0,80 | 0,85 | 1,1 | 1,35 | 0,95 | 1,05 | 1,30 | 1,50 | |||
14 | 300 | - | - | 1,1 | 1,2 | 1,5 | 1,8 | 1,25 | 1,40 | 1,70 | 1,95 | |||
15 | 500 | - | - | - | - | - | - | 1,9 | 2,0 | 2,5 | 2,8 | |||
16 | 1Т8 - 1Т9 (3 кл.) | 10 | 0,13 | 0,14 | 0,17 | 0,18 | - | - | 0,23 | 0,24 | - | - | ||
17 | 25 | 0,14 | 0,15 | 0,18 | 0,19 | - | - | 0,24 | 0,25 | - | - | |||
18 | 50 | 0,19 | 0,21 | 0,24 | 0,26 | 0,30 | 0,34 | 0,32 | 0,33 | 0,37 | 0,42 | |||
19 | 100 | 0,26 | 0,28 | 0,33 | 0,35 | 0,41 | 0,48 | 0,41 | 0,43 | 0,50 | 0,55 | |||
20 | 200 | 0,38 | 0,41 | 0,45 | 0,49 | 0,60 | 0,75 | 0,55 | 0,60 | 0,70 | 0,85 | |||
21 | 300 | - | - | 0,60 | 0,70 | 0,85 | 1,0 | 0,75 | 0,80 | 0,95 | 1,11 | |||
22 | 500 | - | - | - | - | - | - | 1,05 | 1,10 | 1,30 | 1,50 | |||
23 | Скоба жесткая | 1Т5 - 1Т6 (1 кл.) | 10 | 0,50 | 0,55 | - | - | - | - | - | - | - | - | |
24 | 25 | 0,55 | 0,60 | 0,70 | 0,80 | 0,90 | - | 0,85 | 0,95 | 1,10 | - | |||
25 | 50 | 0,70 | 0,75 | 0,85 | 1,0 | 1,25 | - | 1,10 | 1,25 | 1,45 | - | |||
26 | 100 | 1,0 | 1,1 | 1,20 | 1,40 | 1,75 | - | 1,45 | 1,65 | 2,0 | - | |||
27 | 1Т7 (2 кл.) | 10 | 0,24 | 0,25 | 0,3 | 0,31 | - | - | 0,4 | 0,41 | - | - | ||
28 | 25 | 0,25 | 0,26 | 0,31 | 0,34 | - | - | 0,41 | 0,44 | - | - | |||
29 | 50 | 0,35 | 0,38 | 0,44 | 0,49 | 0,55 | 0,60 | 0,55 | 0,65 | 0,70 | 0,75 | |||
30 | 100 | 0,63 | 0,65 | 0,75 | 0,80 | 0,95 | 1,05 | 0,90 | 1,0 | 1,10 | 1,20 | |||
31 | 200 | 0,75 | 0,85 | 0,90 | 1,05 | 1,20 | 1,30 | 1,15 | 1,30 | 1,40 | 1,55 | |||
32 | 300 | - | 0,90 | 1,25 | 1,50 | 1,70 | 1,85 | 1,50 | 1,80 | 2,0 | 2,2 | |||
33 | 500 | - | - | - | - | - | - | 1,95 | 2,4 | 2,6 | 2,9 | |||
34 | 1Т8 - 1Т9 (3 кл.) | 10 | 0,16 | 0,17 | 0,20 | 0,21 | - | - | 0,27 | 0,28 | - | - | ||
35 | 25 | 0,17 | 0,18 | 0,21 | 0,22 | - | - | 0,28 | 0,30 | - | - | |||
36 | 50 | 0,21 | 0,22 | 0,26 | 0,29 | 0,31 | 0,34 | 0,35 | 0,37 | 0,40 | 0,42 | |||
37 | 100 | 0,30 | 0,31 | 0,36 | 0,39 | 0,44 | 0,48 | 0,46 | 0,49 | 0,55 | 0,60 | |||
38 | 200 | 0,43 | 0,46 | 0,50 | 0,60 | 0,65 | 0,70 | 0,65 | 0,70 | 0,80 | 0,85 | |||
39 | 300 | - | - | 0,60 | 0,70 | 0,80 | 0,85 | 0,75 | 0,85 | 0,95 | 1,00 | |||
40 | 500 | - | - | - | - | - | - | 0,85 | 1,05 | 1,15 | 1,25 | |||
Индекс | а | б | в | г | д | е | ж | з | и | к | ||||
ВСПОМОГАТЕЛЬНОЕ ВРЕМЯ, СВЯЗАННОЕ С ОБРАБОТКОЙ ПОВЕРХНОСТИ | Круглошлифовальные станки | ||||||||||
Карта 34, лист 2 | |||||||||||
N позиции | Характер обработки | Измерительный инструмент | Точность измерения, | Наибольший диаметр устанавливаемого изделия, D, мм, до | |||||||
200 | 360 | 560 | |||||||||
Измеряемая длина, l, мм, до | |||||||||||
50 | 100 | 100 | 200 | 500 | 100 | 200 | 500 | ||||
Время, t, мин. | |||||||||||
II. Обработка торцовых поверхностей | |||||||||||
41 | Шлифование торцов без измерения | - | - | 0,05 | 0,07 | 0,09 | |||||
42 | Шлифование торцов с измерением | Универсальные многомерные | 0,03 | 0,85 | 1,15 | 1,20 | 1,55 | - | 1,40 | 1.75 | - |
43 | 0,05 | 0,6 | 0,85 | 0,90 | 1,20 | 1,60 | 1,00 | 1,30 | 1,75 | ||
44 | ![]() | 0,07 | 0,45 | 0,65 | 0,75 | 1,00 | 1,40 | 0,85 | 1,10 | 1,55 | |
45 | 0,10 | 0,24 | 0,36 | 0,42 | 0,60 | 0,80 | 0,50 | 0,65 | 0,90 | ||
46 | Св. 10 | 0,14 | 0,22 | 0,26 | 0,32 | 0,65 | 0,31 | 0,38 | 0,75 | ||
47 | Калибры и шаблоны | 0,03 | 0,55 | 0,70 | 0,80 | 1,00 | - | 0,95 | 1,15 | - | |
48 | 0,05 | 0,39 | 0,50 | 0,60 | 0,75 | 1,00 | 0,70 | 0,90 | 1,15 | ||
49 | 0,07 | 0,31 | 0,43 | 0,49 | 0,65 | 0,85 | 0,60 | 0,75 | 1.0 | ||
50 | 0,10 | 0,22 | 0,34 | 0,38 | 0,55 | 0,70 | 0,46 | 0,65 | 0,85 | ||
51 | Св. 0,10 | 0,14 | 0,20 | 0,24 | 0,30 | 0,60 | 0,29 | 0,36 | 0,70 | ||
Индекс | а | б | в | г | д | е | ж | з | |||
ВСПОМОГАТЕЛЬНОЕ ВРЕМЯ, СВЯЗАННОЕ С ОБРАБОТКОЙ ПОВЕРХНОСТИ | Круглошлифовальные станки | |||||||||
Карта 34, лист 3 | ||||||||||
N позиции | Характер обработки | Измерительный инструмент | Квалитет (класс точности) | Диаметр обрабатываемой поверхности. d, мм, до | Наибольший диаметр устанавливаемого изделия, D, мм, до | |||||
200 | 380 | 500 | ||||||||
Длина обрабатываемой поверхности или ширина шлифовального круга, l, мм, до | ||||||||||
25 | 50 | 50 | 100 | 150 | 100 | |||||
Время, t, мин. | ||||||||||
III. Обработка цилиндрических поверхностей с радиальной подачей | ||||||||||
52 | Шлифование поверхности без измерения (за одно врезание) | - | - | - | 0,05 | 0,07 | 0,09 | |||
53 | Шлифование поверхности без измерения (за одно врезание) | Универсальные многомерные | 1Т5 - 1Т6 (1 кл.) | 10 | 0,27 | 0,29 | 0,34 | 0,37 | 0,42 | 0,47 |
54 | 25 | 0,32 | 0,34 | 0,38 | 0,42 | 0,46 | 0,50 | |||
55 | ![]() | 50 | 0,45 | 0,47 | 0,55 | 0,60 | 0,65 | 0,70 | ||
56 | 100 | 0,75 | 0,80 | 0,90 | 0,95 | 1,00 | 1,10 | |||
57 | 200 | 1,15 | 1,20 | 1,30 | 1,45 | 1,50 | 1,60 | |||
58 | 300 | - | - | 1,80 | 1,95 | 2,0 | 2,2 | |||
59 | 1Т7 (2 кл.) | 10 | 0,15 | 0,16 | 0,20 | 0,21 | 0,24 | 0,26 | ||
60 | 25 | 0,17 | 0,18 | 0,22 | 0,23 | 0,26 | 0,28 | |||
61 | 50 | 0,25 | 0,26 | 0,30 | 0,33 | 0,36 | 0,39 | |||
62 | 100 | 0,41 | 0,43 | 0,48 | 0,52 | 0,55 | 0,60 | |||
63 | 200 | 0,60 | 0,65 | 0,70 | 0,75 | 0,80 | 0,85 | |||
64 | 300 | - | - | 0,95 | 1,0 | 1,05 | 1,15 | |||
65 | 1Т8-1Т9 (3 кл.) | 10 | 0,09 | 0,10 | 0,12 | 0,13 | 0,15 | 0,16 | ||
66 | 25 | 0,10 | 0,11 | 0,13 | 0,14 | 0,16 | 0,17 | |||
67 | 50 | 0,15 | 0,16 | 0,18 | 0,20 | 0,22 | 0,24 | |||
68 | 100 | 0,22 | 0,23 | 0,26 | 0,28 | 0,31 | 0,33 | |||
Индекс | а | б | в | г | д | е | ||||
ВСПОМОГАТЕЛЬНОЕ ВРЕМЯ, СВЯЗАННОЕ С ОБРАБОТКОЙ ПОВЕРХНОСТИ | Круглошлифовалыше станки | |||||||||
Карта 34, лист 4 | ||||||||||
N позиции | Характер обработки | Измерительный инструмент | Квалитет (класс точности) | Диаметр обрабатываемой поверхности, d, мм, до | Наибольший диаметр устанавливаемого изделия, D, мм, до | |||||
200 | 360 | 550 | ||||||||
Длина обрабатываемой поверхности или ширина шлифовального круга, l, мм, до | ||||||||||
25 | 50 | 60 | 100 | 50 | 100 | |||||
Время, t, мин. | ||||||||||
69 | Шлифование поверхности с измерением (за одно врезание) | Универсальн. многомерные | 1Т8 - 1ТБ (3 кл.) | 200 | 0,33 | 0,34 | 0,38 | 0,41 | 0,44 | 0,47 |
70 | 300 | - | - | 0,55 | 0,60 | 0,60 | 0,65 | |||
71 | Скоба жесткая | 1Т5 - 1Т6 (1 кл.) | 10 | 0,45 | 0,50 | - | - | - | - | |
72 | 25 | 0,48 | 0,55 | 0,60 | - | 0,70 | - | |||
73 | 50 | 0,60 | 0,70 | 0,75 | 0,80 | 0,90 | 0,95 | |||
74 | 100 | 0,85 | 0,95 | 1,05 | 1,10 | 1,20 | 1,30 | |||
76 | 10 | 0,19 | 0,20 | - | - | - | - | |||
76 | 25 | 0,20 | 0,21 | 0,25 | - | 0,31 | - | |||
77 | 1Т7 (2 кл.) | 50 | 0,30 | 0,31 | 0,36 | 0,38 | 0,44 | 0,46 | ||
78 | 100 | 0,50 | 0,55 | 0,35 | 0,70 | 0,75 | 0,80 | |||
79 | 200 | 0,60 | 0,70 | 0,80 | 0,85 | 0,95 | 1,00 | |||
80 | 300 | - | - | 1,10 | 1,15 | 1,30 | 1,35 | |||
81 | 1Т8 - 1Т9 (3 кл.) | 10 | 0,12 | 0,13 | - | - | - | - | ||
82 | 25 | 0,13 | 0,14 | 0,16 | - | 0,20 | - | |||
83 | 50 | 0,16 | 0,17 | 0,20 | 0,22 | 0,25 | 0,27 | |||
84 | 100 | 0,24 | 0,26 | 0,30 | 0,31 | 0,36 | 0,37 | |||
85 | 200 | 0,33 | 0,38 | 0,43 | 0,46 | 0,50 | 0,55 | |||
86 | 300 | - | - | 0,50 | 0,55 | 0,60 | 0,65 | |||
87 | Черновое шлифование длинных - поверхностей без измерения (за несколько врезаний с ручным перемещением стола) при числе врезаний, n | 2 | - | - | 0,16 | 0,18 | 0,22 | 0,24 | 0,28 | 0,30 |
88 | 3 | - | - | 0,24 | 0,27 | 0,33 | 0,36 | 0,42 | 0,45 | |
89 | 4 | - | - | 0,32 | 0,36 | 0,44 | 0,48 | 0,55 | 0,60 | |
90 | 5 | - | - | 0,40 | 0,45 | 0,55 | 0,60 | 0,70 | 0,75 | |
Индекс | а | б | в | г | д | е | ||||
Внутришлифовальные станки | ||||||||||||||
Карта 35, лист 1 | ||||||||||||||
N позиции | Характер обработки | Измерительный инструмент | Квалитет (класс точности) | Диаметр обрабатываемой поверхности, d, мм, до | Наибольший диаметр шлифуемого отверстия, D, мм, до | |||||||||
100 | 200 | 400 | ||||||||||||
Длина отверстия или измеряемая длина, l, мм, до | ||||||||||||||
50 | 100 | 200 | 50 | 100 | 200 | св. 200 | 100 | 200 | св. 200 | |||||
Время, t, мин. | ||||||||||||||
1 | Работа на станках с полуавтоматическим циклом | - | - | - | 0,02 | 0,08 | 0,04 | |||||||
2 | Шлифование отверстий без измерения | - | - | - | 0,10 | 0,11 | 0,15 | |||||||
3 | Шлифование цилиндрических отверстий с измерением | Универсальные многомерные | 1Т5 - ТТ6 (1 кл.) | 25 | 0,65 | 0,75 | - | 0,70 | 0,75 | 0,90 | - | 0,80 | 0,95 | - |
4 | 50 | 0,85 | 0,95 | 1,10 | 0,90 | 1,0 | 1,15 | 1,45 | 1,10 | 1,25 | 1,55 | |||
5 | ![]() | 100 | 1,20 | 1,30 | 1,50 | 1,25 | 1,35 | 1,55 | 2,05 | 1,45 | 1,65 | 2,2 | ||
6 | 200 | - | - | - | 1,60 | 1,80 | 2,1 | 2,7 | 1,95 | 2,2 | 2,8 | |||
7 | 300 | - | - | - | - | - | - | - | 2,5 | 2,9 | 3,8 | |||
8 | 1Т7 (2 кл.) 1 | 25 | 0,32 | 0,35 | - | 0,34 | 0,37 | 0,42 | - | 0,43 | 0,48 | - | ||
9 | 50 | 0,48 | 0,50 | 0,60 | 0,50 | 0,55 | 0,60 | 0,75 | 0,60 | 0,70 | 0,85 | |||
10 | 100 | 0,65 | 0,70 | 0,80 | 0,65 | 0,75 | 0,85 | 1,05 | 0,80 | 0,90 | 1,15 | |||
11 | 200 | - | - | - | 1,00 | 1,15 | 1,30 | 1,65 | 1,25 | 1,40 | 1,75 | |||
12 | 300 | - | - | - | - | - | - | - | 1,65 | 1,85 | 2,45 | |||
13 | 1Т8 - 1Т9 (3 кл.) | 25 | 0,25 | 0,28 | - | 0,27 | 0,29 | 0,35 | - | 0,35 | 0,38 | - | ||
14 | 50 | 0,35 | 0,38 | 0,43 | 0,37 | 0,40 | 0,45 | 0,55 | 0,46 | 0,50 | 0,60 | |||
15 | 100 | 0,45 | 0,49 | 0,55 | 0,47 | 0,50 | 0,60 | 0,75 | 0,60 | 0,65 | 0,80 | |||
16 | 200 | - | - | - | 0,55 | 0,60 | 0,70 | 0,90 | 0,70 | 0,75 | 0,95 | |||
17 | 300 | - | - | - | 0,5 | - | - | - | 0,80 | 0,90 | 1,1 | |||
Индекс | а | б | в | г | д | е | ж | з | и | к | ||||
ВСПОМОГАТЕЛЬНОЕ ВРЕМЯ, СВЯЗАННОЕ С ОБРАБОТКОЙ ПОВЕРХНОСТИ | Внутришлифовальные станки | |||||||||||||
Карта 35, лист 2 | ||||||||||||||
N позиции | Характер обработки | Измерительный инструмент | Квалитет (класс точности) | Диаметр обрабатываемой поверхности, d, мм, до | Наибольший диаметр шлифуемого отверстия, D, мм, до | |||||||||
100 | 200 | 400 | ||||||||||||
Длина отверстия или измеряемая длина, l, мм, до | ||||||||||||||
50 | 100 | 200 | 50 | 100 | 200 | св. 200 | 100 | 200 | св. 200 | |||||
Время, t, мин. | ||||||||||||||
18 | Шлифование цилиндрических отверстий с измерением | Калибр-пробка гладкая | 1Т5 - 1Т6 (1 кл.) | 25 | 1,15 | 1,20 | 1,30 | |||||||
19 | 50 | 1,40 | 1,45 | 1,60 | ||||||||||
20 | 100 | 2,5 | 2,6 | 2,7 | ||||||||||
21 | 1Т7 (2 кл.) | 25 | 0,5 | 0,55 | 0,60 | |||||||||
22 | 50 | 0,65 | 0,70 | 0,80 | ||||||||||
23 | 100 | 1,0 | 1,05 | 1,15 | ||||||||||
24 | 200 | - | 1,80 | 1,90 | ||||||||||
25 | 1Т8 - 1Т9 (3 кл.) | 25 | 0,3 | 0,32 | 0,38 | |||||||||
26 | 50 | 0,43 | 0,46 | 0,55 | ||||||||||
27 | 100 | 0,65 | 0,70 | 0,75 | ||||||||||
28 | 200 | - | 1,15 | 1,25 | ||||||||||
29 | Шлифование конических отверстий с измерением | Калибр - пробка конусная | - | 50 | 0,60 | 0,65 | 0,75 | |||||||
30 | - | 100 | 0,90 | 0,95 | 1,05 | |||||||||
31 | Шлифование торцов без измерения | - | - | - | 0,15 | 0,19 | 0,23 | |||||||
Индекс | а | б | в | |||||||||||
32 | Шлифование торцов с измерением | Универсальные многомерные | 0,02 | - | - | 1,10 | - | - | 1,25 | - | - | 1,35 | - | - |
33 | 0,03 | - | - | 1,00 | 1,1 | - | 1,10 | 1,30 | - | 1,20 | 1,45 | - | ||
34 | ![]() | 3,05 | - | - | 0,75 | 0,95 | - | 0,85 | 1,05 | 1,20 | 0,95 | 1,15 | 1,30 | |
35 | 3,07 | - | - | 0,65 | 0,80 | - | 0,70 | 0,90 | 1,05 | 0,80 | 1,00 | 1,15 | ||
36 | 0,10 | - | 0,33 | 0,44 | 0,55 | 0,39 | 0,50 | 0,65 | 0,75 | 0,55 | 0,70 | 0,85 | ||
37 | Св. 0,10 | - | 0,24 | 0,30 | 0,35 | 0,29 | 0,36 | 0,41 | 0,55 | 0,41 | 0,47 | 0,60 | ||
38 | Калибры и шаблоны | 3,03 | 0,65 | 0,85 | 0,95 | 0,75 | 0,90 | 1,05 | - | 1,00 | 0,51 | - | ||
39 | 3,05 | - | 0,47 | 0,60 | 0,75 | 0,55 | 0,70 | 0,85 | 1,00 | 0,80 | 0,95 | 1,15 | ||
40 | 0,07 | - | 0,39 | 0,50 | 0,65 | 0,46 | 0,60 | 0,75 | 0,90 | 0,65 | 0,85 | 1,00 | ||
41 | 3,10 | - | 0,31 | 0,42 | 0,65 | 0,37 | 0,49 | 0,65 | 0,80 | 0,65 | 0,70 | 0,90 | ||
42 | Св. 0,10 | 0,23 | 0,29 | 0,35 | 0,28 | 0,35 | 0,41 | 0,60 | 0,41 | 0,47 | 0,65 | |||
Индекс | а | б | в | г | д | е | ж | з | и | к | ||||
Плоскошлифовальные станки с прямоугольным столом | ||||||||||||||
Карта 36 | ||||||||||||||
N позиции | Характер обработки | Измерительный инструмент | Точность измерения, | Длина стола, L, мм, до | ||||||||||
630 | 1000 | 2000 | ||||||||||||
Измерительный размер, И, мм, до | ||||||||||||||
25 | 50 | 100 | 50 | 100 | 200 | 300 | 50 | 100 | 200 | 500 | ||||
Время, t, мин. | ||||||||||||||
I. Станки с вертикальным шпинделем | ||||||||||||||
1 | Шлифование поверхности <*> без измерения | - | - | 0,09 | 0,11 | 0,14 | ||||||||
2 | Шлифование поверхности с измерением | Универсальные многомерные | 0,02 | 0,70 | 0,80 | 1,10 | 0,90 | 1,20 | - | - | 1,10 | 1,40 | - | - |
3 | 0,03 | 0,65 | 0,70 | 0,95 | 0,80 | 1,05 | 1,36 | - | 0,95 | 1,20 | 1,55 | - | ||
4 | 0,05 | 0,37 | 0,55 | 0,65 | 0,60 | 0,75 | 0,90 | 1,05 | 0,70 | 0,85 | 1,05 | 1,35 | ||
5 | 0,07 | - | 0,42 | 0,55 | 0,47 | 0,60 | 0,80 | 0,95 | 0,55 | 0,70 | 0,90 | 1,15 | ||
6 | 6,10 | - | 0,31 | 0,43 | 0,35 | 0,48 | 0,65 | 0,80 | 0,42 | 0,55 | 0,75 | 1,00 | ||
7 | 0,15 | - | 0,20 | 0,27 | 0,23 | 0,31 | 0,38 | 0,55 | 0,28 | 0,37 | 0,45 | 0,80 | ||
8 | Калибры и шаблоны | 0,02 | 0,55 | 0,60 | 0,75 | 0,65 | 0,85 | - | - | 0,85 | 1,00 | - | - | |
9 | 0,03 | 0,48 | 0,50 | 0,65 | 0,60 | 0,75 | 0,90 | - | 0,75 | 0,90 | 1,10 | - | ||
10 | 0,05 | 0,35 | 0,37 | 0,49 | 0,43 | 0,55 | 0,70 | 0,85 | 0,55 | 0,70 | 0,85 | 1,10 | ||
11 | 0,07 | 0,28 | 0,30 | 0,41 | 0,35 | 0,47 | 0,60 | 0,75 | 0,44 | 0,60 | 0,75 | 0,95 | ||
12 | 0,10 | 0,22 | 0,23 | 0,33 | 0,27 | 0,38 | 0,50 | 0,65 | 0,34 | 0,47 | 0,60 | 0,80 | ||
13 | 0,15 | 0,15 | 0,16 | 0,22 | 0,19 | 0,25 | 0,31 | 0,46 | 0,24 | 0,32 | 0,38 | 0,70 | ||
14 | 0,20 | - | 0,10 | 0,12 | 0,12 | 0,14 | 0,19 | 0,25 | 0,16 | 0,18 | 0,24 | 0,36 | ||
15 | Работа на станках с полуавтоматическим циклом | - | - | 0,03 | 0,04 | 0,06 | ||||||||
16 | Шлифование поверхности <*> без измерения | - | - | 0,14 | 0,18 | 0,23 | ||||||||
17 | Шлифование поверхности <*> с измерением | Универсальные многомерные | 0,02 | 0,75 | 0,85 | 1,15 | 1,00 | 1,25 | - | - | 1,15 | 1,45 | - | - |
18 | 0,03 | 0,70 | 0,75 | 1,00 | 0,85 | 1,15 | 1,40 | - | 1,05 | 1,30 | 1,65 | - | ||
19 | 0,05 | 0,42 | 0,60 | 0,70 | 0,65 | 0,80 | 1,00 | 1,15 | 0,80 | 0,95 | 1,15 | 1,40 | ||
20 | 0,07 | - | 0,47 | 0,60 | 0,55 | 0,70 | 0,85 | 1,00 | 0,65 | 0,80 | 1,30 | 1,25 | ||
21 | 0,10 | - | 0,36 | 0,48 | 0,42 | 0,55 | 0,70 | 0,85 | 0,50 | 0,65 | 0,85 | 1,10 | ||
22 | 0,15 | - | 0,25 | 0,32 | 0,30 | 0,38 | 0,45 | 0,60 | 0,37 | 0,46 | 0,55 | 0,90 | ||
23 | Калибры и шаблоны | 0,02 | 0,60 | 0,65 | 0,80 | 0,75 | 0,90 | - | - | 0,95 | 1,10 | - | - | |
24 | 0,03 | 0,55 | 0,60 | 0,70 | 0,65 | 0,80 | 1,00 | - | 0,85 | 1,00 | 1,20 | - | ||
25 | 0,05 | 0,40 | 0,42 | 0,55 | 0,50 | 0,60 | 0,80 | 0,90 | 0,65 | 0,80 | 0,95 | 1,20 | ||
26 | 0,07 | 0,34 | 0,35 | 0,46 | 0,42 | 0,55 | 0,70 | 0,85 | 0,55 | 0,65 | 0,85 | 1,05 | ||
27 | 0,10 | 0,27 | 0,28 | 0,38 | 0,34 | 0,45 | 0,60 | 0,70 | 0,43 | 0,55 | 0,70 | 0,90 | ||
28 | 0,15 | 0,20 | 0,21 | 0,27 | 0,26 | 0,32 | 0,38 | 0,50 | 0,33 | 0,41 | 0,47 | 0,75 | ||
29 | 0,20 | - | 0,15 | 0,17 | 0,19 | 0,21 | 0,26 | 0,32 | 0,25 | 0,27 | 0,33 | 0,45 | ||
Индекс | а | б | в | г | д | е | ж | з | и | к | л | |||
Содержание работы | Допуск на измеряемый размер, | |||
0,02 | 0,03 | 0,05 | св. 0,05 | |
Время, t, мин. | ||||
Выключить магнит, снять деталь со стола, протереть стол, установить деталь, включить магнит (с учетом числа промеров) | 0,65 | 0,55 | 0,38 | 0,28 |
Индекс | а | б | в | г |
Плоскошлифовальные станки с круглым столом | ||||||||||||
Карта 37 | ||||||||||||
N позиции | Характер обработки | Измерительный инструмент | Точность измерения, | Диаметр стола, D, мм, до | ||||||||
400 | 800 | 1600 | ||||||||||
Измеряемый размер, И, мм, до | ||||||||||||
50 | 100 | св. 100 | 50 | 100 | св. 100 | 50 | 100 | св. 100 | ||||
Время, t, мин. | ||||||||||||
I. Станки с вертикальным шпинделем | ||||||||||||
1 | Шлифование поверхности без измерения <*> | - | - | 0,14 | 0,18 | 0,23 | ||||||
2 | Шлифование поверхности с измерением <*> | Универсальные многомерные | 0,02 | 1,00 | 1,25 | - | 1,10 | 1,40 | - | 1,30 | 1,60 | - |
3 | 0,03 | 0,85 | 1,10 | 1,40 | 0,95 | 1,25 | 1,55 | 1,15 | 1,40 | 1,75 | ||
4 | 0,05 | 0,65 | 0,80 | 1,00 | 0,70 | 0,90 | 1,10 | 0,85 | 1,05 | 1,25 | ||
5 | 0,07 | 0,50 | 0,65 | 0,85 | 0,60 | 0,75 | 0,95 | 0,70 | 0,85 | 1,10 | ||
6 | ![]() | 0,10 | 0,39 | 0,55 | 0,70 | 0,45 | 0,60 | 0,80 | 0,55 | 0,70 | 0,90 | |
7 | 0,15 | 0,26 | 0,35 | 0,42 | 0,32 | 0,40 | 0,48 | 0,38 | 0,49 | 0,55 | ||
8 | Калибры и шаблоны | 0,02 | 0,75 | 0,90 | - | 0,85 | 1,00 | - | 1,05 | 1,25 | - | |
9 | 0,03 | 0,65 | 0,80 | 1,00 | 0,75 | 0,90 | 1,10 | 0,90 | 1,10 | 1,30 | ||
10 | 0,05 | 0,48 | 0,60 | 0,75 | 0,55 | 0,70 | 0,85 | 0,70 | 0,85 | 1,05 | ||
11 | 0,07 | 0,40 | 0,50 | 0,65 | 0,46 | 0,60 | 0,75 | 0,60 | 0,75 | 0,90 | ||
12 | 0,10 | 0,31 | 0,42 | 0,55 | 0,37 | 0,50 | 0,65 | 0,46 | 0,60 | 0,75 | ||
13 | 0,15 | 0,22 | 0,29 | 0,35 | 0,28 | 0,35 | 0,41 | 0,35 | 0,43 | 0,50 | ||
14 | 0,20 | 0,16 | 0,17 | 0,22 | 0,20 | 0,22 | 0,28 | 0,25 | 0,27 | 0,35 | ||
II. Станки с горизонтальным шпинделем | ||||||||||||
15 | Шлифование поверхности без измерения <*> | - | - | 0,15 | 0,17 | - | ||||||
16 | Шлифование поверхности с измерением <*> | Универсальные многомерные | 0,02 | 0,95 | 1,20 | - | 1,00 | 1,25 | - | - | - | - |
17 | ![]() | 0,03 | 0,80 | 1,1 | 1,40 | 0,85 | 1,15 | 1,45 | - | - | - | |
18 | 0,05 | 0,60 | 0,80 | 0,95 | 0,65 | 0,85 | 1,00 | - | - | - | ||
19 | 0,07 | 0,50 | 0,65 | 0,80 | 0,55 | 0,70 | 0,85 | - | - | - | ||
20 | 0,10 | 0,39 | 0,50 | 0,70 | 0,41 | 0,55 | 0,75 | - | - | - | ||
21 | 0,15 | 0,27 | 0,35 | 0,42 | 0,29 | 0,37 | 0,44 | - | - | - | ||
22 | Калибры и шаблоны | 0,02 | 0,70 | 0,85 | - | 0,75 | 0,90 | - | - | - | - | |
23 | 0,03 | 0,60 | 0,75 | 0,95 | 0,65 | 0,80 | 1,00 | - | - | - | ||
24 | 0,05 | 0,47 | 0,60 | 0,75 | 0,49 | 0,65 | 0,80 | - | - | - | ||
25 | 0,07 | 0,39 | 0,50 | 0,65 | 0,41 | 0,55 | 0,70 | - | - | - | ||
26 | 0,10 | 0,31 | 0,43 | 0,55 | 0,33 | 0,45 | 0,60 | - | - | - | ||
27 | 0,15 | 0,23 | 0,29 | 0,35 | 0,25 | 0,31 | 0,37 | - | - | - | ||
28 | 0,20 | 0,16 | 0,18 | 0,23 | 0,18 | 0,20 | 0,25 | - | - | - | ||
29 | Шлифование деталей типа колец кругом, установленным на размер без измерения (по одной детали на столе) | - | 0,02...0,05 | 0,05 | 0,07 | - | ||||||
Индекс | а | б | в | г | д | е | ж | з | и | |||
Содержание работы | Допуск на измеряемый размер, | ||||
0,03 | 0,03 | 0.05 | св. 0,05 | ||
Время, t, мин. | |||||
30 | Включить магнит, снять деталь со стола, протереть стол, установить деталь, включить магнит (с учетом числа промеров) | 0,65 | 0,55 | 0,38 | 0,28 |
Индекс | а | б | в | г | |
Бесцентровошлифовальные станки | |||||||||
Карта 38 | |||||||||
I. Время на установку и снятие детали | |||||||||
N позиции | Характер обработки. Способ установки детали | Длина детали, L, мм, до | Диаметр детали, D, мм, до | ||||||
10 | 20 | 35 | 50 | 100 | св. 100 | ||||
Время, t, мин. | |||||||||
С продольной подачей на проход | установить деталь в лоток | 50 | 0,018 | 0,025 | 0,031 | 0,036 | 0,048 | 0,060 | |
2 | ![]() | установить деталь на опорный нож | 50 | 0,019 | 0,025 | 0,034 | 0,040 | 0,055 | 0,070 |
3 | 100 | 0,021 | 0,029 | 0,038 | 0,045 | 0,060 | 0,080 | ||
4 | 300 | 0,026 | 0,036 | 0,047 | 0,06 | 0,080 | 0,090 | ||
5 | 500 | 0,029 | 0,040 | 0,052 | - | - | - | ||
1000 | 0,11 | 0,15 | 0,20 | - | - | - | |||
С радиальной подачей в упор | установить деталь на опорный нож | - | 0,03 | 0,04 | 0,05 | 0,06 | 0,07 | 0,09 | |
установить деталь на опорный нож и снять ее | - | 0,04 | 0,05 | 0,06 | 0,07 | 0,09 | 0,11 | ||
Индекс | а | б | в | г | д | е | |||
N позиции | Содержание работы | Характер обработки | Процент от основного времени |
9 | Внешний осмотр и измерение шлифуемой поверхности в процессе работы, укладка деталей в тару, перемещение деталей с тарой | работа с продольной подачей | 3,3 |
10 | работа с радиальной подачей | 4,7 |
Хонинговальные станки | |||||||
Карта 39 | |||||||
![]() | |||||||
Вспомогательное время, связанное с обработкой поверхности | |||||||
N позиции | Характер обработки | Измерительный инструмент | Квалитет (класс точности) | Диаметр хонингования, d, мм, до | Длина обрабатываемого отверстия, l, мм, до | ||
200 | 500 | св. 500 | |||||
Время, t, мин. | |||||||
1 | Обработка отверстия без измерения | - | - | 130 | 0,12 | ||
2 | 260 | 0,14 | |||||
3 | 500 | 0,17 | |||||
4 | Обработка отверстия с измерением | Нутромер индикаторный | 1Т5 - 1Т6 (1 кл.) | 50 | 0,85 | - | - |
5 | 100 | 1,05 | 1,35 | 1,60 | |||
6 | 200 | 1,40 | 1,80 | 1,95 | |||
7 | 300 | 1,45 | 1,85 | 2,30 | |||
8 | 500 | - | 2,60 | 3,00 | |||
9 | 1Т7 (2 кл.) | 50 | 0,65 | - | - | ||
10 | 100 | 0,70 | 0,85 | 1,05 | |||
11 | 200 | 1,00 | 1,25 | 1,50 | |||
12 | 300 | 1,05 | 1,30 | 1,60 | |||
13 | 500 | - | 1,95 | 2,2 | |||
14 | Пробка пневматическая (солекс) | 1Т5 - 1Т6 (1 кл.) | 50 | 0,75 | - | - | |
15 | 100 | 1,00 | - | - | |||
16 | 1Т7 (2 кл.) | 50 | 0,60 | - | - | ||
17 | 100 | 0,65 | - | - | |||
18 | Калибр-пробка | 1Т7 (2 кл.) | 50 | 0,60 | - | - | |
19 | гладкая | 100 | 0,70 | - | - | ||
Индекс | а | б | в | ||||
Станки для суперфиниша | ||||
Карта 40 | ||||
![]() | ||||
Вспомогательное время, связанное с обработкой поверхности | ||||
N позиции | Характер обработки | Способ подвода брусков | Наибольший диаметр устанавливаемого изделия, D, мм, до | |
280 | 560 | |||
Время, t, мин. | ||||
1 | Обработка одной или нескольких поверхностей без измерения | ручной | 0,27 | 0,43 |
2 | механический | 0,21 | 0,32 | |
Индекс | а | б | ||
Вертикально-доводочные станки | ||||||||||||
Карта 41 | ||||||||||||
![]() | ||||||||||||
Вспомогательное время, связанное с обработкой поверхности | ||||||||||||
N позиции | Характер обработки | Способ установки детали | Квалитет (класс точности) | Число одновременно обрабатываемых деталей, n, шт., до | Диаметр или ширина детали, D, мм, до | |||||||
6 | 10 | 16 | 25 | 40 и более | ||||||||
Длина детали (отношение L:D) | ||||||||||||
<= 5 | > 5 | <= 5 | > 5 | <= 5 | > 5 | > 4 | > 3 | |||||
Время, t, мин. (на комплект обрабатываемых деталей). | ||||||||||||
1 | Обработка цилиндрической поверхности или плоскости без измерения | - | - | - | 0,24 | |||||||
2 | Обработка цилиндрической поверхности или плоскости с измерением | В гнездо сепаратора без крепления | 1Т5 - 1Т6 (1 кл.) | 20 | 2,2 | 3,2 | 2,3 | 3,4 | 2,9 | 4,4 | 4,6 | 7,7 |
3 | 40 | 3,7 | 5,4 | 3,6 | 5,6 | 4,7 | 7,7 | - | - | |||
4 | 60 | 4,7 | 7,5 | 4,9 | 7,8 | 6,5 | 10,9 | - | - | |||
5 | 100 | 7,1 | 11,6 | 7,4 | 11,9 | 10,0 | 17,2 | - | - | |||
6 | 1Т7 (2 кл.) | 20 | 1,20 | 1,70 | 1,25 | 1,80 | 1,55 | 2,3 | 2,4 | 5,2 | ||
7 | 40 | 1,85 | 2,8 | 1,90 | 2,9 | 2,5 | 4,0 | - | - | |||
8 | 60 | 2,5 | 3,9 | 2,6 | 4,0 | 3,4 | 5,6 | - | - | |||
9 | 100 | 3,7 | 5,9 | 3,8 | 6,1 | 5,1 | 8,7 | - | - | |||
10 | В гнездо сепаратора с креплением | 1Т5 - 1Т6 (1 кл.) | 8 | - | - | - | - | - | - | 2,7 | 4,3 | |
11 | 12 | - | - | 1,85 | 2,6 | 2,4 | 3,6 | 3,7 | 6,0 | |||
12 | 20 | 2,9 | 4,3 | 3,0 | 4,5 | 3,6 | 5,6 | 5,8 | 9,7 | |||
13 | 30 | 4,0 | 6,3 | 4,3 | 6,5 | 5,2 | 8,2 | 8,6 | - | |||
14 | 50 | 5,7 | 10,0 | 6,8 | 10,7 | 8,3 | 13,5 | - | - | |||
15 | 1Т7 (2 кл.) | 8 | - | - | - | - | - | - | 1,45 | 2,9 | ||
16 | 12 | - | - | 1,05 | 1,45 | 1,35 | 1,95 | 1,95 | 3,3 | |||
17 | 20 | 1,55 | 2,2 | 1,65 | 2,4 | 1,95 | 2,9 | 3,0 | 6,5 | |||
18 | 30 | 2,1 | 3,3 | 2,3 | 3,4 | 2,7 | 4,2 | 4,4 | - | |||
19 | 50 | 3,0 | 5,1 | 3,5 | 5,5 | 4,3 | 6,9 | - | - | |||
Индекс | а | б | в | г | д | е | ж | з | ||||
Резьбонакатные полуавтоматы, работающие круглыми роликами | |||||||||
Карта 42 | |||||||||
![]() | |||||||||
Вспомогательное время на операцию | |||||||||
N позиции | Способ установки детали | Способ подачи роликов | Длина детали, L, мм, до | Диаметр резьбы, d, мм, до | |||||
8 | 12 | 16 | 20 | 24 | 30 | ||||
Время, t, мин. | |||||||||
1 | На направляющем ноже | Ручной | 100 | 0,045 | 0,050 | 0,055 | 0,060 | 0,065 | 0,070 |
2 | 500 | 0,050 | 0,055 | 0,060 | 0,065 | 0,070 | 0,080 | ||
3 | Св. 500 | - | - | 0,065 | 0,070 | 0,080 | 0,090 | ||
Автоматический | - | 0,028 | 0,030 | 0,032 | 0,035 | 0,037 | 0,040 | ||
Индекс | а | б | в | г | д | е | |||
Измерения | ||||||||
Карта 43, лист 1 | ||||||||
N позиции | Измерительный инструмент | Точность намерения | Измеряемый размер, И, мм, до | |||||
50 | 100 | 200 | 500 | 1000 | 2000 | |||
Время, t, мин. | ||||||||
1 | Линейка масштабная | - | 0,055 | 0,06 | 0,07 | 0,10 | 0,13 | 0,17 |
![]() | ||||||||
2 | Угольник | - | 0,09 | 0,12 | 0,15 | 0,28 | - | - |
![]() | ||||||||
3 | Угломер универсальный | До 5' | 0,23 | - | - | - | - | |
4 | ![]() | Св. 5' | 0,20 | - | - | - | - | |
5 | Шаблон или скоба линейная односторонняя | 0,2...0,5 мм | 0,07 | 0,08 | 0,10 | 0,12 | 0,15 | |
6 | ![]() | < 0,2 мм | 0,10 | 0,12 | 0,15 | 0,17 | - | |
7 | Шаблон линейный двусторонний | 0,2...0,5 мм | 0,07 | 0,08 | 0,10 | 0,12 | 0,15 | - |
8 | ![]() | < 0,2 мм | 0,09 | 0,11 | 0,13 | 0,17 | 0,21 | - |
9 | Шаблон фасонный простой | 0,15...0,25 мм | 0,08 | 0,09 | 0,11 | 0,14 | - | - |
10 | ![]() | < 0,15 мм | 0,11 | 0,13 | 0,16 | 0,20 | - | - |
11 | Шаблон фасонный сложного профиля | 0,15...0,25 мм | 0,11 | 0,13 | 0,14 | 0,17 | - | - |
12 | ![]() | < 0,15 мм | 0,20 | 0,23 | 0,26 | 0,31 | - | - |
13 | Шаблон на симметрию | 0,15...0,25 мм | 0,12 | 0,14 | 0,17 | 0,22 | - | - |
14 | ![]() | < 0,15 мм | 0,19 | 0,23 | 0,27 | 0,34 | - | - |
Индекс | а | б | в | г | д | е | ||
ВСПОМОГАТЕЛЬНОЕ ВРЕМЯ НА КОНТРОЛЬНЫЕ ИЗМЕРЕНИЯ | Измерения | |||||||||||
Карта 43, лист 2 | ||||||||||||
N позиции | Измерительный инструмент | Точность измерения | Измеряемый размер, И, мм, до | Длина измеряемой поверхности, l, мм, до | ||||||||
10 | 25 | 60 | 100 | 200 | 600 | 1000 | 200 | |||||
Время, t, мин. | ||||||||||||
15 | Скоба односторонняя предельная | 1Т11 - 1Т13 (4 - 5 кл.) | 10 | 0,025 | 0,030 | 0,035 | 0,040 | 0,05 | - | - | - | |
16 | ![]() | 25 | 0,030 | 0,035 | 0,040 | 0,045 | 0,06 | - | - | - | ||
17 | 50 | 0,035 | 0,040 | 0,045 | 0,050 | 0,07 | 0,10 | 0,15 | 0,20 | |||
18 | 100 | 0,040 | 0,045 | 0,050 | 0,06 | 0,08 | 0,11 | 0,17 | 0,23 | |||
19 | 200 | - | - | 0,065 | 0,07 | 0,10 | 0,15 | 0,20 | 0,26 | |||
20 | 300 | - | - | 0,08 | 0,09 | 0,11 | 0,16 | 0,21 | - | |||
21 | 500 | А | - | - | 0,10 | 0,11 | 0,12 | 0,18 | 0,24 | - | ||
22 | Б | - | - | 0,16 | 0,18 | 0,19 | 0,29 | 0,38 | - | |||
23 | 800 | А | - | - | 0,13 | 0,14 | 0,16 | 0,20 | 0,26 | - | ||
24 | Б | - | - | 0,21 | 0,22 | 0,26 | 0,32 | 0,42 | - | |||
25 | 1000 | А | - | - | 0,14 | 0,16 | 0,17 | 0,21 | 0,27 | - | ||
26 | Б | - | - | 0,22 | 0,26 | 0,27 | 0,34 | 0,43 | - | |||
27 | 1Т7 - 1Т9 (2 - 3 кл.) | 10 | 0,045 | 0,055 | 0,06 | 0,07 | 0,08 | - | - | - | ||
28 | 25 | 0,055 | 0,06 | 0,07 | 0,08 | 0,11 | - | - | - | |||
29 | 50 | 0,06 | 0,075 | 0,08 | 0,10 | 0,13 | 0,17 | 0,21 | 0,25 | |||
30 | 100 | 0,09 | 0,10 | 0,12 | 0,13 | 0,16 | 0,21 | 0,25 | 0,31 | |||
31 | 200 | - | - | 0,13 | 0,15 | 0,20 | 0,24 | 0,28 | - | |||
32 | 300 | - | - | 0,15 | 0,16 | 0,23 | 0,28 | 0,32 | - | |||
33 | 500 | А | - | - | 0,16 | 0,18 | 0,27 | 0,34 | 0,37 | - | ||
34 | Б | - | - | 0,26 | 0,29 | 0,43 | 0,50 | 0,60 | - | |||
35 | 800 | А | - | - | 0,18 | 0,20 | 0,31 | 0,37 | 0,43 | - | ||
36 | Б | - | - | 0,29 | 0,32 | 0,50 | 0,60 | 0,70 | - | |||
37 | 1000 | А | - | - | 10,19 | 0,21 | 0,33 | 0,40 | 0,46 | - | ||
38 | Б | - | - | 10,30 | 0,34 | 0,55 | 0,65 | 0,75 | - | |||
39 | 1Т5 - 1Т6 (1 кл.) | 50 | - | - | 0,12 | 0,13 | 0,18 | 0,26 | - | - | ||
40 | 100 | - | - | 0,13 | 0,15 | 0,20 | 0,29 | - | - | |||
41 | Скоба двусторонняя предельная | 1Т11 - 1Т13 (4 - 5 кл.) | 10 | 0,040 | 0,045 | 0,050 | 0,06 | 0,07 | - | - | - | |
42 | ![]() | 25 | 0,045 | 0,055 | 0,06 | 0,07 | 0,08 | - | - | - | ||
43 | 50 | 0,05 | 0,06 | 0,08 | 0,09 | 0,10 | 0,12 | 0,17 | - | |||
44 | 100 | 0,06 | 0,08 | 0,09 | 0,10 | 0,12 | 0,14 | 020 | - | |||
45 | 1Т7 - 1Т9 (2 - 3 кл.) | 10 | 0,06 | 0,07 | 0,08 | 0,10 | 0,11 | - | - | - | ||
46 | 25 | 0,07 | 0,09 | 0,10 | 0,12 | 0,14 | - | - | - | |||
47 | 50 | 0,08 | 0,10 | 0,12 | 0,14 | 0,16 | 0,26 | 0,32 | - | |||
48 | 100 | 0,10 | 0,12 | 10,14 | 0,17 | 0,19 | 0,30 | 0,38 | - | |||
49 | 1Т5 - 1Т6 (1 кл.) | 50 | - | - | 0,20 | 0,22 | 0,25 | 0,35 | - | - | ||
50 | 100 | - | - | 10,22 | 0,25 | 0,28 | 0,40 | - | - | |||
51 | Скоба индикаторная | 0,01 мм | 50 | 0,08 | 0,09 | 0,095 | 6,10 | 0,12 | 0,21 | 0,29 | 0,40 | |
52 | ![]() | 100 | 0,11 | 0,12 | 0,13 | 0,14 | 0,16 | 0,25 | 0,35 | 0,48 | ||
53 | 200 | 0,14 | 0,16 | 0,17 | 0,18 | 0,21 | 0,29 | 0,41 | 0,56 | |||
54 | 300 | - | - | 1020 | 0,22 | 0,25 | 0,32 | 0,44 | - | |||
55 | 400 | А | - | - | 0,23 | 0,25 | 0,29 | 0,34 | 0,48 | - | ||
56 | Б | - | - | 0,37 | 0,40 | 0,46 | 0,55 | 0,75 | - | |||
57 | 600 | А | - | - | 0,27 | 0,29 | 0,34 | 0,38 | 0,50 | - | ||
58 | Б | - | - | 0,43 | 0,46 | 0,55 | 0,60 | 0,85 | - | |||
59 | 800 | А | - | - | 0,30 | 0,33 | 0,38 | 0,40 | 0,55 | - | ||
60 | Б | - | - | 0,48 | 0,50 | 0,60 | 6,65 | 0,90 | - | |||
61 | 1000 | А | - | - | 0,33 | - | - | - | - | - | ||
62 | Б | - | - | 0,55 | - | - | - | - | - | |||
63 | 1500 | А | - | - | 0,40 | - | - | - | - | - | ||
64 | Б | - | - | 0,65 | - | - | - | - | - | |||
65 | 2000 | А | - | - | 0,44 | - | - | - | - | - | ||
66 | Б | - | - | 0,70 | - | - | - | - | - | |||
Индекс | а | б | в | г | д | е | ж | з | ||||
ВСПОМОГАТЕЛЬНОЕ ВРЕМЯ НА КОНТРОЛЬНЫЕ ИЗМЕРЕНИЯ | Измерения | |||||||||||
Карта 43, лист 3 | ||||||||||||
N позиции | Измерительный инструмент | Точность измерения | Измеряемый размер, И, мм, до | Длина измеряемой поверхности, l, мм, до | ||||||||
10 | 25 | 50 | 100 | 200 | 500 | 1000 | 2000 | |||||
Время, t, мин. | ||||||||||||
67 | Скоба индикаторная | 0,01 мм | 2500 | А | - | - | 0,49 | - | - | - | - | - |
68 | Б | - | - | 0,80 | - | - | - | - | - | |||
69 | 3000 | А | - | - | 0,55 | - | - | - | - | - | ||
70 | Б | - | - | 0,85 | - | - | - | - | - | |||
71 | Скоба рычажная | 0,002 мм | 10 | 0,11 | 0,12 | 0,13 | - | - | - | - | - | |
72 | ![]() | 25 | 0,12 | 0,13 | 0,14 | - | - | - | - | - | ||
73 | 50 | 0,13 | 0,14 | 0,15 | 0,17 | 0,18 | 0,20 | 0,22 | - | |||
74 | 100 | - | - | 0,19 | 0,20 | 0,22 | 0,26 | 0,28 | - | |||
75 | 150 | - | - | 0,21 | 0,23 | 0,25 | 0,30 | 0,33 | - | |||
76 | Скоба пневматическая | 0,002 мм | 50 | - | - | 0,17 | 0,22 | 0,30 | - | - | - | |
77 | ![]() | 100 | - | - | 0,21 | 0,28 | 0,38 | - | - | - | ||
Индекс | а | б | в | г | д | е | ж | з | ||||
ВСПОМОГАТЕЛЬНОЕ ВРЕМЯ НА КОНТРОЛЬНЫЕ ИЗМЕРЕНИЯ | Измерения | |||||
Карта 43, лист 4 | ||||||
N позиции | Измерительный инструмент | Точность намерения | Измеряемый размер, D, мм, до | Длина измеряемой поверхности, l, км, до | ||
1D | 2D | 4D | ||||
Время, t, мин. | ||||||
78 | Калибр-пробка гладкая двусторонняя | 1Т11 - 1Т13 (4 - 5 кл.) | 10 | 0,045 | 0,050 | 0,055 |
79 | ![]() | 25 | 0,07 | 0,08 | 0,09 | |
80 | 50 | 0,09 | 0,10 | 0,15 | ||
81 | 100 | 0,12 | 0,18 | - | ||
82 | 1Т7 - 1Т9 (2 - 3 кл.) | 10 | 0,07 | 0,08 | 0,09 | |
83 | 25 | 0,10 | 0,11 | 0,13 | ||
84 | 50 | 0,15 | 0,22 | |||
85 | 100 | 0,27 | - | |||
86 | 1Т5 - 1Т6 (1 кл.) | 10 | 0,13 | 0,15 | 0,17 | |
87 | 25 | 0,18 | 0,21 | 0,24 | ||
88 | 50 | 0,24 | 0,27 | 0,37 | ||
89 | 100 | 0,35 | 0,48 | - | ||
90 | Калибр-пробка неполная (плоская) | 1Т11 - 1Т13 (4 - 5 кл.) | 50 | 0,10 | 0,11 | 0,17 |
91 | ![]() | 100 | 0,15 | 0,23 | - | |
92 | 200 | 0,30 | - | - | ||
93 | 300 | 0,43 | - | - | ||
94 | 1Т7 - 1Т9 (2 - 3 кл:). | 50 | 0,16 | 0,19 | 0,28 | |
95 | 100 | 0,25 | 0,38 | 0,50 | ||
96 | 200 | 0,50 | - | - | ||
97 | 300 | 0,70 | - | - | ||
Индекс | а | б | в | |||
ВСПОМОГАТЕЛЬНОЕ ВРЕМЯ НА КОНТРОЛЬНЫЕ ИЗМЕРЕНИЯ | Измерения | ||||||
Карта 43, лист 5 | |||||||
N позиция | Измерительный инструмент | Точность измерения | Измеряемый размер, D, мм, до | Длина измеряемой поверхности, l, мм, до | |||
1D | 2D | 4D | |||||
Время, t, мин. | |||||||
98 | Пробка пневматическая | 0,002 мм | 50 | 0,12 | 0,15 | 0,20 | |
99 | ![]() | 100 | 0,18 | 0,24 | - | ||
100 | Калибр плоский для измерения пазов | 1Т11 - 1Т13 (4 - 5 кл.). | 25 | - | 0,14 | - | |
101 | 50 | - | 0,16 | - | |||
102 | ![]() | 1Т7 - 1Т9 (2 - 3 кл.) | 26 | - | 0,20 | - | |
103 | 10 | - | 0,22 | - | |||
104 | Пробка-лекало для проверки соосности | 1Т11 - 1Т13 (4 - 5 кл) | 50 | 0,11 | 0,14 | - | |
105 | 100 | 0,17 | - | - | |||
106 | ![]() | 1Т7 - 1Т9 (2 - 3 кл.) | 50 | 0,16 | 0,21 | - | |
107 | 100 | 0,25 | - | - | |||
108 | Калибр-пробка односторонняя для проверки взаимного положения оси отверстия и торца | - | 25 | 0,20 | - | - | |
109 | 50 | 0,24 | - | - | |||
110 | ![]() | 100 | 0,30 | - | - | ||
111 | Калибр-пробка конусная | По риске с проверкой конусности | на качку | 10 | 0,06 | 0,07 | 0,08 |
112 | ![]() | 25 | 0,09 | 0,10 | 0,11 | ||
113 | 50 | 0,12 | 0,13 | - | |||
114 | 100 | 0,15 | - | - | |||
115 | по краске | 10 | 0,18 | 0,21 | 0,31 | ||
116 | 25 | 0,31 | 0,36 | 0,41 | |||
117 | 50 | 0,47 | 0,55 | - | |||
118 | 100 | 0,70 | - | - | |||
119 | Калибр-пробка шлицевая | 1Т7 - 1Т9 (2 - 3 кл.) | 25 | 0,09 | 0,12 | 0,15 | |
120 | ![]() | 50 | 0,16 | 0,20 | 0,26 | ||
121 | 75 | 0,22 | 0,28 | - | |||
122 | 100 | 0,27 | 0,35 | - | |||
123 | Калибр-втулка конусная | По риске с проверкой конусности | на качку | 10 | - | 0,07 | - |
124 | ![]() | 25 | - | 0,09 | - | ||
125 | 50 | - | 0,11 | - | |||
126 | 100 | 0,14 | |||||
127 | по краске | 10 | - | 0,24 | - | ||
128 | 25 | - | 0,31 | - | |||
129 | 50 | - | 0,37 | - | |||
130 | 100 | 0,45 | |||||
Индекс | а | б | в | ||||
ВСПОМОГАТЕЛЬНОЕ ВРЕМЯ НА КОНТРОЛЬНЫЕ ИЗМЕРЕНИЯ | Измерения | |||||||||
Карта 43, лист 6 | ||||||||||
N позиции | Измерительный инструмент | Точность измерения | Измеряемый размер, И, мм, до | Длина измеряемой поверхности, l, мм, до | ||||||
50 | 100 | 200 | 800 | 1000 | 2000 | |||||
Время, t, мин. | ||||||||||
131 | Калибр-кольцо шлицевое | 1Т7 - 1Т9 (2 - 3 кл.) | 25 | 0,15 | 0,17 | 0,20 | 0,23 | - | - | |
132 | ![]() | 50 | 0,24 | 0,27 | 0,31 | 0,37 | - | - | ||
133 | 100 | 0,28 | 0,32 | - | - | - | - | |||
134 | 200 | 0,33 | 0,38 | - | - | - | - | |||
135 | Нутромер или штихмас индикаторный | 0,01 мм | 50 | 0,16 | 0,19 | 0,24 | 0,34 | 0,44 | - | |
136 | 100 | 0,18 | 0,21 | 0,26 | 0,38 | 0,49 | - | |||
137 | ![]() | 200 | 0,20 | 0,24 | 0,29 | 0,42 | 0,55 | - | ||
138 | 300 | 0,21 | 0,25 | 0,31 | 0,45 | 0,60 | - | |||
139 | 500 | А | 0,35 | 0,40 | 0,46 | 0,55 | 0,65 | - | ||
140 | Б | 0,50 | 0,60 | 0,70 | 0,80 | 0,95 | - | |||
141 | 1000 | А | 0,50 | 0,55 | 0,65 | 0,80 | 0,90 | - | ||
142 | Б | 0,75 | 0,85 | 1,00 | 1,15 | 1,35 | - | |||
143 | 1500 | А | 0,60 | 0,70 | 0,80 | 1,0 | 1,1 | - | ||
144 | Б | 0,9 | 1,05 | 1,2 | 1,45 | 1,65 | - | |||
145 | Штихмас микрометрический | 0,01 мм | 100 | 0,22 | 0,26 | 0,31 | - | - | - | |
146 | 200 | 0,26 | 0,31 | 0,36 | 0,44 | - | - | |||
147 | ![]() | 300 | 0,28 | 0,33 | 0,39 | 0,48 | - | - | ||
148 | 500 | А | 0,37 | 0,41 | 0,46 | 0,70 | 1.1 | |||
149 | Б | 0,48 | 0,55 | 0,60 | 0,90 | 1,4 | - | |||
150 | 750 | А | 0,45 | 0,50 | 0,55 | 0,90 | 1,35 | - | ||
151 | Б | 0,60 | 0,65 | 0,70 | 1,15 | 1,75 | - | |||
152 | 1000 | А | 0,50 | 0,55 | 0,65 | 1,05 | 1,6 | - | ||
153 | Б | 0,65 | 0,70 | 0,85 | 1,35 | 2,1 | - | |||
154 | Штихмас нераздвижной | 1Т11 - 1Т13 (4 - 5 кл.) | 100 | 0,09 | 0,10 | 0,12 | - | - | - | |
155 | ![]() | 200 | 0,10 | 0,12 | 0,14 | 0,17 | - | - | ||
156 | 300 | 0,11 | 0,13 | 0,15 | 0,19 | - | - | |||
157 | 500 | 0,15 | 0,17 | 0,19 | 0,29 | 0,45 | - | |||
158 | 750 | 0,18 | 0,20 | 0,23 | 0,36 | 0,55 | - | |||
159 | 1000 | 0,21 | 0,23 | 0,26 | 0,43 | 0,65 | - | |||
160 | 1500 | 0,26 | 0,29 | 0,32 | 0,55 | 0,80 | - | |||
Индекс | а | б | в | г | д | е | ||||
ВСПОМОГАТЕЛЬНОЕ ВРЕМЯ НА КОНТРОЛЬНЫЕ ИЗМЕНЕНИЯ | Измерения | |||||||||
Карта 43, лист 7 | ||||||||||
N позиции | Измерительный инструмент | Точность измерения | Измеряемый размер, И, мм, до | Длина измеряемой поверхности, l, мм, до | ||||||
50 | 100 | 200 | 800 | 1000 | 2000 | |||||
Время, t, мин. | ||||||||||
161 | Микрометр | 0,01 мм | 10 | 0,09 | 0,12 | - | - | - | ||
162 | ![]() | 25 | 0,12 | 0,15 | 0,22 | 0,29 | - | |||
163 | 50 | 0,15 | 0,18 | 0,26 | 0,35 | - | ||||
164 | 100 | 0,19 | 0,22 | 0,31 | 0,41 | - | ||||
165 | 200 | 0,23 | 0,26 | 0,38 | 0,50 | - | ||||
165 | 300 | 0,27 | 0,32 | 0,43 | 0,55 | - | ||||
167 | 400 | 0,32 | 0,35 | 0,47 | 0,60 | - | ||||
168 | 600 | А | 0,41 | 0,44 | 0,60 | 0,70 | - | |||
169 | Б | 0,50 | 0,55 | 0,75 | 0,90 | - | ||||
170 | 800 | А | 0,49 | 0,60 | 0,80 | 1,0 | - | |||
171 | Б | 0,60 | 0,75 | 1,0 | 1,2 | - | ||||
172 | Микрометр рычажный | 0,02 мм | 50 | 0,27 | 0,29 | 0,43 | 0,60 | - | ||
![]() | ||||||||||
173 | Штангенциркуль | 0,1 мм | 10 | 0,07 | 0,08 | 0,10 | - | - | ||
174 | ![]() | 25 | 0,08 | 0,10 | 0,12 | 0,17 | - | |||
175 | 50 | 0,10 | 0,12 | 0,14 | 0,18 | 0,22 | 0,28 | |||
176 | 100 | 0,11 | 0,14 | 0,16 | 0,24 | 0,29 | 0,37 | |||
177 | 200 | 0,13 | 0,16 | 0,19 | 0,31 | 0,38 | 0,48 | |||
300 | 0,18 | - | - | - | - | |||||
179 | 400 | 0,21 | - | - | - | - | ||||
180 | 600 | А | 0,28 | - | - | - | - | |||
181 | Б | 0,34 | - | - | - | - | ||||
182 | 800 | А | 0,33 | - | - | - | - | |||
183 | Б | 0,40 | - | - | - | - | ||||
184 | 1000 | А | 0,38 | - | - | - | - | |||
185 | Б | 0,46 | - | - | - | - | ||||
186 | 1500 | А | 0,48 | - | - | - | - | |||
187 | Б | 0,60 | - | - | - | - | ||||
188 | 2000 | А | 0,55 | - | - | - | - | |||
189 | Б | 0,65 | - | - | - | - | ||||
190 | ||||||||||
191 | ||||||||||
192 | 0,05 мм | 10 | 0,13 | 0,15 | 0,18 | - | - | - | ||
193 | 25 | 0,16 | 0,19 | 0,23 | 0,25 | 0,30 | - | |||
194 | 50 | 0,18 | 0,22 | 0,26 | 0,33 | 0,70 | 0,78 | |||
195 | 100 | 0,21 | 0,26 | 0,31 | 0,43 | 0,50 | 0,65 | |||
196 | 200 | 0,26 | - | - | - | - | ||||
197 | 300 | 0,34 | ||||||||
Индекс | а | б | в | г | д | е | ||||
ВСПОМОГАТЕЛЬНОЕ ВРЕМЯ НА КОНТРОЛЬНЫЕ ИЗМЕНЕНИЯ | Измерения | |||||||||
Карта 43, лист 8 | ||||||||||
N позиции | Измерительный инструмент | Точность измерения | Измеряемый размер, И, мм, до | Длина измеряемой поверхности, l, мм, до | ||||||
10 | 26 | 50 | 100 | 200 | 500 | 1000 | ||||
Время, t, мин. | ||||||||||
198 | Штангенглубиномер | 0,1 мм | - | 0,08 | 0,10 | 0,11 | 0,12 | 0,13 | 0,15 | - |
199 | ![]() | 0,05 мм | - | 0,12 | 0,14 | 0,16 | 0,17 | 0,19 | 0,22 | - |
200 | Глубиномер микрометрический | 0,01 мм | - | 0,22 | - | - | - | |||
![]() | ||||||||||
201 | Глубиномер индикаторный | 0,01 мм | - | 0,04 | 0,06 | 0,07 | 0,09 | 0,10 | - | - |
![]() | ||||||||||
202 | Стенкомер индикаторный | 0,01 мм | - | 0,12 | - | - | - | |||
![]() | ||||||||||
203 | Индикатор для измерения отклонений от геометрической формы | 0,01 мм | 10 | 0,075 | 0,085 | 0,095 | 0,11 | 0,12 | - | - |
204 | 25 | 0,08 | 0,095 | 0,105 | 0,12 | 0,13 | - | - | ||
205 | ![]() | 50 | 0,09 | 0,10 | 0,11 | 0,13 | 0,14 | 0,19 | - | |
206 | 100 | 0,095 | 0,11 | 0,12 | 0,14 | 0,15 | 0,20 | - | ||
207 | 200 | - | - | 0,13 | 0,15 | 0,16 | 022 | |||
208 | 300 | - | - | 0,17 | 0,19 | 0,21 | 0,27 | 0,35 | ||
209 | 500 | - | - | 0,22 | 0,24 | 0,27 | 0,34 | 0,42 | ||
210 | 1000 | - | - | 0,31 | 0,34 | 0,38 | 0,45 | 0,57 | ||
211 | Миниметр или микрокатор | 0,001 мм | 10 | 0,10 | 0,13 | 0,15 | 0,18 | - | - | - |
212 | ![]() | 25 | 0,13 | 0,16 | 0,19 | 0,23 | - | - | - | |
213 | 50 | 0,15 | 0,19 | 0,23 | 0,27 | - | - | - | ||
214 | 100 | 0,18 | 0,23 | 0,27 | 0,32 | - | - | - | ||
215 | 150 | 0,20 | 0,25 | 0,30 | 0,35 | - | - | - | ||
Индекс | а | б | в | г | д | е | ж | |||
ВСПОМОГАТЕЛЬНОЕ ВРЕМЯ НА КОНТРОЛЬНЫЕ ИЗМЕНЕНИЯ | Измерения | |||||||||||||||
Карта 43, лист 9 | ||||||||||||||||
N позиции | Измерительный инструмент | Точность измерения | Измеряемый размер | Длина измеряемой поверхности, l, мм, до | ||||||||||||
D | S | 5 | 10 | 15 | 20 | 30 | 40 | 50 | 60 | 80 | 100 | 150 | ||||
Время, t, мин. | ||||||||||||||||
216 | Калибр-кольцо резьбовое проходное | 1Т7 - 1Т9 (2 - 3 кл.) | 10 | 0,5 | 0,20 | 0,36 | 0,50 | 0,65 | - | - | - | - | - | - | - | |
217 | 1,0 | 0,11 | 0,19 | 0,27 | 0,35 | 0,50 | 0,64 | 0,78 | - | - | - | - | ||||
218 | ![]() | 1,5 | 0,07 | 0,13 | 0,19 | 0,24 | 0,35 | 0,45 | 0,55 | 0,65 | - | - | - | |||
219 | 20 | 1,0 | 0,12 | 0,22 | 0,32 | 0,41 | 0,60 | 0,75 | 0,90 | - | - | - | - | |||
220 | 1,5 | 0,085 | 0,15 | 0,22 | 0,28 | 0,40 | 0,50 | 0,65 | 0,75 | - | - | - | ||||
221 | 2,0 | 0,07 | 0,12 | 0,17 | 0,22 | 0,31 | 0,40 | 0,48 | 0,55 | 0,70 | 0,90 | 1,25 | ||||
222 | 2,5 | 0,05 | 0,10 | 0,14 | 0,18 | 0,25 | 0,33 | 0,40 | 0,46 | 0,60 | 0,70 | 1,00 | ||||
223 | 40 | 1,0 | 0,14 | 0,26 | 0,37 | 0,47 | 0,65 | 0,86 | 1,05 | - | - | - | - | |||
224 | 1,5 | 0,10 | 0,18 | 0,25 | 0,33 | 0,46 | 0,60 | 0,70 | 0,85 | - | - | - | ||||
225 | 2,0 | 0,08 | 0,14 | 0,20 | 0,25 | 0,36 | 0,46 | 0,55 | 0,65 | 0,85 | 1,00 | 1,45 | ||||
226 | 2,5 | 0,06 | 0,11 | 0,15 | 0,21 | 0,29 | 0,38 | 0,46 | 0,55 | 0,70 | 0,85 | 1,20 | ||||
227 | 3,0 | - | 0,10 | 0,14 | 0,17 | 0,25 | 0,32 | 0,39 | 0,46 | 0,58 | 0,70 | 1,00 | ||||
228 | 3,5 | - | 0,08 | 0,12 | 0,15 | 0,22 | 0,28 | 0,34 | 0,40 | 0,50 | 0,60 | 0,90 | ||||
229 | 4,5 | - | 0,07 | 0,09 | 0,12 | 0,17 | 0,22 | 0,27 | 0,31 | 0,41 | 050 | 0,70 | ||||
230 | 60 | 1,0 | 0,15 | 0,28 | 0,40 | 0,50 | 0,75 | 0,95 | 1,15 | - | - | - | - | |||
231 | 1,5 | 0,11 | 0,19 | 0,28 | 0,36 | 0,50 | 0,65 | 0,80 | 0,90 | - | - | - | ||||
232 | 2,0 | 0,08 | 0,15 | 0,21 | 057 | 0,39 | 0,50 | 0,60 | 0,70 | 0,90 | 1,10 | 1,60 | ||||
233 | 3,0 | - | 0,10 | 0,15 | 0,19 | 0,27 | 0,35 | 0,40 | 0,50 | 0,65 | 0,75 | 1,10 | ||||
234 | 5,0 | - | - | 0,09 | 0,12 | 0,17 | 0,22 | 0,27 | 0,31 | 0,40 | 0,49 | 0,70 | ||||
235 | 5,5 | - | - | - | 0,11 | 0,16 | 0,20 | 0,24 | 0,29 | 0,37 | 0,45 | 0,65 | ||||
236 | 80 | 1,0 | 0,16 | 0,30 | 0,42 | 0,55 | 0,75 | 1,00 | 1,20 | - | - | - | - | |||
237 | 15 | 0,11 | 0,21 | 0,29 | 0,38 | 0,55 | 0,70 | 0,85 | 1,00 | - | - | - | ||||
238 | 2,0 | - | 0,16 | 0,23 | 0,29 | 0,41 | 0,53 | 0,65 | 0,75 | 1,00 | 1,20 | 1,70 | ||||
239 | 3,0 | - | 0,11 | 0,16 | 0,20 | 0,29 | 0,37 | 0,45 | 0,55 | 0,70 | 0,80 | 1,15 | ||||
240 | 4,0 | - | - | 0,12 | 0,16 | 0,22 | 0,28 | 0,35 | 0,41 | 0,52 | 0,63 | 0,90 | ||||
241 | 6,0 | - | - | - | 0,11 | 0,15 | 0,20 | 0,24 | 0,28 | 0,36 | 0,44 | 0,65 | ||||
242 | 100 | 1,5 | 0,12 | 0,22 | 0,3 | 0,40 | 0,55 | 0,70 | 0,90 | 1,05 | 1,30 | 1,60 | 2,3 | |||
243 | 2,0 | - | 0,17 | 0,24 | 0,31 | 0,43 | 0,55 | 0,70 | 0,80 | 1,00 | 1,25 | 1,75 | ||||
244 | 3,0 | - | 0,12 | 0,17 | 0,21 | 0,30 | 0,39 | 0,47 | 0,55 | 0,70 | 0,85 | 1,2 | ||||
245 | 4,0 | - | - | 0,13 | 0,16 | 0,23 | 0,30 | 0,36 | 0,43 | 0,55 | 0,65 | 0,95 | ||||
246 | 5,0 | - | - | - | 0,13 | 0,19 | 0,24 | 0,30 | 0,35 | 0,45 | 0,55 | 0,75 | ||||
247 | Калибр-кольцо резьбовое непроходное | 1Т7 - 1Т9 (2 - 3 кл.). | 20 | 0,5...1,5 | 0,05 | |||||||||||
40 | 1...4,5 | 0,07 | ||||||||||||||
60 | 1...5,5 | 0,08 | ||||||||||||||
100 | 1,5...6,0 | 0,10 | ||||||||||||||
Индекс | а | б | в | г | д | е | ж | з | и | к | л | |||||
ВСПОМОГАТЕЛЬНОЕ ВРЕМЯ НА КОНТРОЛЬНЫЕ ИЗМЕРЕНИЯ | Измерения | |||||||||||||
Карта 43, лист 10 | ||||||||||||||
N позиции | Измерительный инструмент | Точность измерения | Измеряемый размер, мм, до | Длина измеряемой поверхности, l, мм, до | ||||||||||
5 | 10 | 15 | 20 | 30 | 40 | 50 | 60 | 80 | 100 | |||||
D | S | |||||||||||||
Время, t, мин. | ||||||||||||||
251 | Калибр-пробка резьбовая двусторонняя | 1Т7 - 1Т9 (2 - 3 кл.) | 5 | 0,5 | 0,25 | 0,45 | 0,65 | 0,85 | - | - | - | - | - | - |
252 | 10 | 0,5 | 0,28 | 0,50 | 0,70 | 0,90 | - | - | - | - | - | - | ||
253 | ![]() | 1,0 | 0,15 | 0,28 | 0,40 | 0,50 | 0,70 | - | - | - | - | - | ||
254 | 1,5 | 0,11 | 0,20 | 0,28 | 0,36 | 0,50 | - | - | - | - | - | |||
255 | 1,0 | 0,17 | 0,31 | 0,44 | 0,55 | 0,80 | - | - | - | - | - | |||
256 | 20 | 1,5 | 0,12 | 0,22 | 0,31 | 0,40 | 0,57 | 0,73 | 0,89 | - | - | - | ||
257 | 2,0 | 0,09 | 0,17 | 0,24 | 0,31 | 0,45 | 0,55 | 0,70 | - | - | - | |||
258 | 25 | 0,08 | 0,14 | 0,20 | 0,26 | 0,37 | 0,47 | 0,55 | - | - | - | |||
259 | 40 | 1,0 | 0,19 | 0,35 | 0,49 | 0,64 | 0,90 | 1,15 | 1,4 | - | - | - | ||
260 | 1,5 | 0,13 | 0,24 | 0,35 | 0,45 | 0,65 | 0,80 | 1,00 | - | - | - | |||
261 | 2,0 | 0,10 | 0,19 | 0,27 | 0,35 | 0,50 - | 0,64 | 0,78 | - | - | - | |||
262 | 2,5 | 0,09 | 0,16' | 0,23 | 0,29 | 0,41 | 0,55 | 0,65 | - | - | - | |||
268 | 3,0 | - | 0,14 | 0,19 | 0,25 | 0,35 | 0,45 | 0,55 | - | - | - | |||
264 | 3,5 | - | 0,12 | 0,17 | 0,22 | 0,31 | 0,40 | 0,48 | - | - | - | |||
265 | 4,5 | - | 0,10 | 0,14 | 0,17 | 0,25 | 0,32 | 0,39 | - | - | - | |||
266 | 60 | 1,0 | 0,20 | 0,37 | 0,55 | 0,70 | 1,00 | 1,25 | 1,50 | - | - | - | ||
267 | 1,5 | 0,14 | 0,26 | 0,37 | 0,48 | 0,70 | 0,85 | 1,05 | 1,25 | - | - | |||
268 | 2,0 | 0,11 | 0,20 | 0,29 | 0,37 | 0,55 | 0,70 | 0,83 | 0,97 | - | - | |||
269 | 3,0 | - | 0,14 | 0,21 | 0,26 | 0,38 | 0,48 | 0,60 | 0,70 | - | - | |||
270 | 5,0 | - | - | 0,13 | 0,17 | 0,24 | 0,31 | 0,38 | 0,44 | - | - | |||
271 | 5,5 | - | - | - | 0,16 | 0,22 | 0,29 | 0,35 | 0,41 | - | - | |||
272 | 80 | 1,0 | 0,21 | 0,39 | 0,55 | 0,71 | 1,00 | 1,30 | 1,60 | - | - | - | ||
273 | 1,5 | 0,15 | 0,27 | 0,39 | 0,50 | 0,70 | 0,90 | 1,10 | 1,3 | 1,65 | - | |||
274 | 2,0 | - | 0,21 | 0,30 | 0,39 | 0,55 | 0,70 | 0,85 | 1,00 | - | - | |||
275 | 3,0 | - | 0,15 | 0,21 | 0,28 | 0,39 | 0,50 | 0,60 | 0,70 | - | - | |||
276 | 4,0 | - | - | 0,17 | 0,22 | 0,31 | 0,39 | 0,48 | 0,55 | - | - | |||
277 | 6,0 | - | - | - | 0,15 | 0,22 | 0,28 | 0,34 | 0,40 | 0,50 | - | |||
278 | 100 | 1,5 | 0,15 | 0,28 | 0,40 | 0,50 | 0,75 | 0,95 | 1,15 | 1,35 | 1,75 | - | ||
279 | 2,0 | - | 0,22 | 0,32 | 0,41 | 0,60 | 0,75 | 0,90 | 1,05 | 1,35 | 1,65 | |||
280 | 3,0 | - | 0,16 | 0,22 | 0,29 | 0,41 | 0,50 | 0,65 | 0,75 | 0,95 | 1,15 | |||
281 | 4,0 | - | - | 0,17 | 0,23 | 0,32 | 0,41 | 0,50 | 0,60 | 0,75 | 0,90 | |||
282 | 6,0 | - | - | 0,16 | 0,22 | 0,29 | 0,35 | 0,41 | 0,55 | 0,65 | ||||
Индекс | а | б | в | г | д | е | ж | з | и | к | ||||
N позиции | Измерительный инструмент | Точность измерения | Измеряемый размер, И (D) мм, до | Длина измеряемой поверхности, l, мм, до | ||||
25 | 50 | 100 | 200 | 300 | ||||
Время, t, мин. | ||||||||
283 | Скоба резьбовая | 1Т7 - 1Т9 (2 - 3 кл.) | 25 | 0,08 | 0,09 | 0,10 | 0,11 | 0,12 |
284 | ![]() | 50 | 0,10 | 0,11 | 0,12 | 0,13 | 0,14 | |
285 | 75 | 0,11 | 0,12 | 0,13 | 0,15 | 0,16 | ||
286 | 100 | 0,12 | 0,13 | 0,15 | 0,16 | 0,17 | ||
287 | 200 | 0,14 | 0,16 | 0,18 | 0,20 | 0,21 | ||
ВСПОМОГАТЕЛЬНОЕ ВРЕМЯ НА КОНТРОЛЬНЫЕ ИЗМЕРЕНИЯ | Измерения | |||||||
Карта 43, лист 11 | ||||||||
N позиции | Измерительный инструмент | Точность измерения | Измеряемый размер, И (D), мм, до | Длина, измеряемой поверхности, l, мм, до, | ||||
25 | 50 | 100 | 200 | 300 | ||||
Время, t, мин. | ||||||||
288 | Скоба резьбовая индикаторная | 0,01 мм | 25 | 0,16 | 0,18 | 0,20 | 0,22 | 0,24 |
289 | ![]() | 50 | 0,20 | 0,22 | 0,24 | 0,26 | 0,28 | |
290 | 75 | 0,22 | 0,24 | 0,26 | 0,30 | 0,32 | ||
291 | 100 | 0,24 | 0,26 | 0,30 | 0,32 | 0,34 | ||
292 | 200 | 0,28 | 0,32 | 0,36 | 0,40 | 0,42 | ||
293 | Микрометр резьбовой | 0,01 мм | 50 | 0,24 | 0,25 | 0,27 | 0,29 | 0,30 |
294 | ![]() | 100 | 0,26 | 0,27 | 0,29 | 0,31 | 0,32 | |
295 | 150 | 0,28 | 0,29 | 0,31 | 0,34 | 0,35 | ||
296 | 200 | 0,30 | 0,32 | 0,34 | 0,36 | 0,38 | ||
297 | 350 | 0,35 | 0,37 | 0,39 | 0,42 | 0,44 | ||
298 | Штангензубомер | 0,02 мм | m = 5 | 0,55 | ||||
299 | ![]() | m = 10 | 0,70 | |||||
300 | m св. 10 | 0,90 | ||||||
301 | Оптический зубомер | 0,02 мм | m = 5 | 0,70 | ||||
302 | ![]() | m = 10 | 0,90 | |||||
303 | m св. 10 | 1,15 | ||||||
Индекс | а | б | в | г | д | |||
ВСПОМОГАТЕЛЬНОЕ ВРЕМЯ НА КОНТРОЛЬНЫЕ ИЗМЕРЕНИЯ | Измерения | ||||||||||
Карта 43, лист 12 | |||||||||||
N позиции | Измерительный инструмент | Характер измерения | Длина измеряемой поверхности, l, мм, до | Число измеряемых точек, n, шт. | Точность измерения, | ||||||
0,05 | 0,15 | 0,30 | св. 0,30 | ||||||||
Время, t, мин. | |||||||||||
304 | Щуп | Прерывистое измерение величины зазора по прямой и кривой (в нескольких точках) | без определения величины зазора ("проходит" или "не проходит") | - | 1 | 0,09 | 0,07 | 0,045 | 0,035 | ||
305 | - | 2 | 0,12 | 0,09 | 0,07 | 0,05 | |||||
306 | - | 4 | 0,17 | 0,13 | 0,09 | 0,07 | |||||
307 | - | 6 | 0,21 | 0,16 | 0,11 | 0,09 | |||||
308 | с определением величины зазора (подбор определенной пластинки) | - | 1 | 0,11 | 0,08 | 0,06 | 0,045 | ||||
309 | - | 2 | 0,15 | 0,12 | 0,08 | 0,07 | |||||
310 | - | 4 | 0,21 | 0,16 | 0,12 | 0,09 | |||||
311 | - | 6 | 0,25 | 0,20 | 0,14 | 0,11 | |||||
312 | Измерение величины зазора по длине (без отрыва щупа) | по прямой | без определения величины зазора ("проходит" или "не проходит") | 120 | - | 0,10 | 0,08 | 0,07 | 0,05 | ||
313 | 300 | - | 0,14 | 0,10 | 0,09 | 0,07 | |||||
314 | 650 | - | 0,17 | 0,13 | 0,11 | 0,09 | |||||
315 | с определением величины зазора (подбор определенной пластинки) | 120 | - | 0,20 | 0,17 | 0,15 | 0,08 | ||||
316 | 300 | - | 0,23 | 0,19 | 0,17 | 0,10 | |||||
317 | 650 | - | 0,26 | 0,22 | 0,19 | 0,11 | |||||
318 | по кривой | без определения величины зазора ("проходит" или "не проходит") | 120 | - | 0,16 | 0,12 | 0,10 | 0,07 | |||
319 | 300 | - | 0,21 | 0,15 | 0,13 | 0,09 | |||||
320 | 650 | - | 0,27 | 0,19 | 0,16 | 0,11 | |||||
321 | с определением величины зазора (подбор определенной пластинки) | 120 | - | 0,26 | 0,21 | 0,19 | 0,14 | ||||
322 | 300 | - | 0,29 | 0,24 | 0,22 | 0,17 | |||||
323 | 650 | - | 0,33 | 0,27 | 0,24 | 0,20 | |||||
324 | Визуальный контроль чистоты поверхности | одной плоскости | Масса детали, m, кг, до | <= 3 | - | - | 0,07 | ||||
325 | > 3 | - | - | 0,11 | |||||||
326 | в нескольких плоскостях | <= 3 | - | - | 0,14 | ||||||
327 | > 3 | - | - | 0,18 | |||||||
Индекс | а | б | в | г | |||||||
ВСПОМОГАТЕЛЬНОЕ ВРЕМЯ НА КОНТРОЛЬНЫЕ ИЗМЕРЕНИЯ | Станки для глубокого сверления и растачивания | |||||||||||||||||
Карта 43, лист 13 | ||||||||||||||||||
Вспомогательное время на контрольные измерения на станке и сдачу детали ОТК в присутствии рабочего | ||||||||||||||||||
N позиции | Проверяемые параметры обработанного отверстия | Характер измерения | Точность измерения | Диаметр измеряемого отверстия, d, мм, до | ||||||||||||||
50 | 200 | 500 | 1000 | |||||||||||||||
Длина измеряемого отверстия, l, мм, до | ||||||||||||||||||
2 | 5 | 2 | 5 | 8 | 10 | 2 | 5 | 8 | 10 | 2 | 5 | 8 | 10 | |||||
Время, t, мин. | ||||||||||||||||||
328 | Ось отверстия | Проверка биения индикатором | Точно | 3 | 3,8 | 4 | 5,1 | 6,5 | 7 | 4,9 | 6,2 | 7,9 | 8,5 | 5,6 | 7,2 | 9,1 | 9,9 | |
329 | Измерение толщины стенок детали на выходе инструмента | Грубо | 1,8 | 2,3 | 2,4 | 3,1 | 3,9 | 4,2 | 2,9 | 3,7 | 4,7 | 5,1 | 3,4 | 4,3 | 5,5 | 5,9 | ||
330 | Измерение прямолинейности оптическим прибором | по двум концам детали | Грубо | 3,2 | 4,6 | 4,5 | 6,5 | 7,8 | 8,7 | 5,7 | 6,9 | 9,9 | 10,8 | 6,8 | 9,8 | 11,7 | 13 | |
331 | Точно | 5,1 | 7,4 | 7,2 | 10,5 | 12,6 | 14 | 9,1 | 13,3 | 15,9 | 17,6 | 10,8 | 15,8 | 18,9 | 21 | |||
332 | по всей длине детали | Грубо | 7,9 | 11,5 | 11,1 | 16,2 | 19,4 | 21,5 | 14 | 20,4 | 24,4 | 27,1 | 16,7 | 24,2 | 29 | 32,2 | ||
333 | Точно | 11,3 | 16,5 | 16 | 23 | 28 | 31 | 20 | 29,5 | 35 | 39 | 24 | 35 | 42 | 46 | |||
334 | Проверка разностенности рычажным или оптическим прибором по всей длине отверстия | Грубо | 6,7 | 9,8 | 9,5 | 13,8 | 16,5 | 18,4 | 11,9 | 17,4 | 21 | 23 | 14 | 21 | 24,5 | 27,5 | ||
335 | Точно | 9,7 | 14,1 | 13,7 | 19,9 | 24 | 26,5 | 17,2 | 25 | 30 | 33,5 | 20,5 | 30 | 35,5 | 39,5 | |||
336 | Точность обработки отверстия | Измерение диаметров двух концов отверстия штангенциркулем, штихмасом | Грубо | 1,35 | 1,95 | 1,9 | 2,8 | 3,3 | 3,7 | 2,4 | 3,5 | 4,2 | 4,6 | 2,8 | 4,1 | 4,9 | 5,5 | |
337 | Точно | 1,7 | 2,5 | 2,4 | 3,5 | 4,2 | 4,6 | 3,0 | 4,4 | 5,2 | 5,8 | 3,6 | 5,2 | 6,2 | 6,9 | |||
338 | Измерение звездкой по всей длине отверстия отклонений от геометрической формы | Грубо | 7,9 | 11,5 | 11,1 | 16,2 | 19,4 | 21,5 | 14 | 20,4 | 24,5 | 27 | 16,7 | 24 | 29 | 32 | ||
339 | Точно | 11 | 17 | 16 | 24,5 | 31 | 34,5 | 20,5 | 31,5 | 39,5 | 44,5 | 24,5 | 38,5 | 43 | 53,5 | |||
340 | Измерение глубины глухих отверстий | Грубо | 1,6 | 2,2 | 2,2 | 3,1 | 3,7 | 4,1 | 2,7 | 3,9 | 4,7 | 5,2 | 3,2 | 4,7 | 5,6 | 6,2 | ||
341 | Точно | 1,95 | 2,8 | 2,7 | 4,6 | 4,8 | 5,3 | 3,4 | 5 | 6 | 6,7 | 4,1 | 6 | 7,2 | 7,9 | |||
342 | Качество и чистота поверхности | Визуальный контроль чистоты поверхности | - | 1,6 | 2,3 | 2,2 | 3,2 | 3,9 | 4,3 | 2,8 | 4,1 | 4,9 | 5,5 | 3,4 | 4,9 | 5,9 | 6,5 | |
343 | Контроль через оптический прибор | пороков металла то же с проверкой требуемой чистоты | 6,7 | 9,8 | 9,5 | 13,8 | 16,5 | 18,4 | 11,9 | 17,4 | 21 | 23 | 14 | 21 | 24,5 | 27,5 | ||
344 | - | 9,7 | 14,1 | 13,7 | 19,9 | 24 | 26,5 | 17,2 | 25 | 30 | 33,5 | 20,5 | 30 | 35,5 | 39,5 | |||
Индекс | а | б | в | г | д | е | ж | з | и | к | л | м | н | о | ||||
Измерения | |||||||
Карта 44, лист 1 | |||||||
N позиции | Виды обрабатываемых поверхности. Характер обработки | Квалитет (класс точности) | Измеряемый размер, И, мм, до | Способ достижения размеров обработки | |||
обеспечивается конструктивными размерами режущего инструмента | работа инструментом, установленным на размер | работа с пробными стружками или по лимбу | |||||
Периодичность промеров - коэффициенты | |||||||
1 | Цилиндрические | Точение, растачивание, развертывание, наружное шлифование и внутреннее протягивание | 1Т11 - 1Т13 (4 - 5 кл.) | 50 | 0,3 | 0,4 | 0,8 |
2 | 200 | 0,4 | 0,5 | 0,9 | |||
3 | Св. 200 | 0,5 | 0,6 | 1,0 | |||
4 | 1Т7 - 1Т9 (2 - 3 кл:) | 50 | 0,4 | 0,5 | 1,0 | ||
5 | 200 | 0,5 | 0,6 | 1,0 | |||
6 | Св. 200 | 0,6 | 0,7 | 1,0 | |||
7 | 1Т5 - 1Т6 (1 кл.) | 100 | 1,0 | 1,0 | 1,0 | ||
8 | Бесцентровое шлифование | 1Г11 - 1Т13 (4 - 5 кл.) | 100 | - | 0,01 | - | |
9 | 1Г7 - 1Т9 (2 - 3 кл.) | - | 0,02 | - | |||
10 | 1Т5 - 1Т6 (1 кл.) | - | 0,03 | - | |||
11 | Хонингование, суперфиниширование | 1Т5 - 1Т7 (1 - 2 кл.) | - | - | 1 | - | |
12 | Цилиндрические плоскости | Лапингование | 1Т5 - 1Т7 (1 - 2 кл.) | - | - | 1 | - |
13 | Плоскости | Шлифование | 0,01 мм | 200 | - | - | 1,0 |
14 | 0,05 мм | 50 | - | - | 0,8 | ||
15 | 200 | - | - | 0,9 | |||
16 | Св. 200 | - | - | 1,0 | |||
17 | 0,10 мм | 50 | - | - | 0,7 | ||
18 | 200 | - | - | 0,8 | |||
19 | Св. 200 | - | - | 0,9 | |||
20 | 0,20 мм | 50 | - | - | 0,4 | ||
21 | 200 | - | - | 0,6 | |||
22 | Св. 200 | - | - | 0,8 | |||
23 | Фрезерование, строгание | 0,10 мм | 50 | - | 0,3 | 0,8 | |
24 | 200 | - | 0,4 | 0,9 | |||
25 | Св. 200 | - | 0,5 | 1,0 | |||
26 | 0,20 мм | 50 | - | 0,2 | 0,7 | ||
27 | 200 | - | 0,3 | 0,8 | |||
28 | Св. 200 | - | 0,4 | 0,9 | |||
29 | 0,50 мм | 50 | - | 0,1 | 0,5 | ||
30 | 200 | - | 0,2 | 0,6 | |||
31 | Св. 200 | - | 0,3 | 0,7 | |||
Индекс | а | б | в | ||||
ПЕРИОДИЧНОСТЬ КОНТРОЛЬНЫХ ИЗМЕРЕНИЙ ДЕТАЛИ НА ОПЕРАЦИЮ | Измерения | ||||||
Карта 44, лист 2 | |||||||
N позиции | Виды обрабатываемых поверхности. Характер обработки | Квалитет (класс точности) | Измеряемый размер, И, мм, до | Способ достижения размеров обработки | |||
обеспечивается конструктивными размерами режущего инструмента | работа инструментом, установленным на размер | работа с пробными стружками или по лимбу | |||||
Периодичность промеров - коэффициенты | |||||||
32 | Плоскости | Фрезерование | Св. 0,50 мм | 50 | - | 0,1 | 0,4 |
33 | строгание | 200 | - | 0,1 | 0,5 | ||
34 | Св. 200 | - | 0,2 | 0,6 | |||
35 | Цилиндрические | Обработка на токарных автоматах | - | - | 0,02...0,04 | ||
N позиции | Виды обрабатываемых поверхностей. Характер обработки | Станки | Квалитет (класс точности) | Измеряемый размер, И, мм, до | Способ достижения размеров обработки | |||
обеспечивается конструктивными размерами режущего инструмента | работа инструментом, установленным на размер | работа с пробными стружками или по лимбу | ||||||
Периодичность промеров - коэффициенты | ||||||||
36 | Зубчатое колесо | Предварительная | - | 7 - 5 степень | m = 1...10 | - | 0,1 | - |
37 | 3 степень | - | 0,3 | - | ||||
38 | Окончательная | - | 6 - 11 степень | - | 0,1 | - | ||
39 | 4 - 5 степень | - | 0,4 | - | ||||
40 | 3 степень | - | 1,0 | - | ||||
41 | Резьба крепежная | Токарные и токарно-револьверные | 1Т7 - 1Т9 (2 - 3 кл.) | 50 | 0,2 | - | 1,0 | |
43 | Св. 50 | 0,3 | - | 1,0 | ||||
1Т5 - 1Т6 (1 кл.) | 50 | - | - | 1,0 | ||||
44 | Сверлильные | 1Т7 - 1Т9 (2 - 3 кл.) | 10 | 0,01 | - | - | ||
45 | 25 | 0,02 | - | - | ||||
46 | 50 | 0,03 | - | - | ||||
47 | Св. 50 | 0,04 | - | - | ||||
Индекс | а | б | в | |||||
ПЕРИОДИЧНОСТЬ КОНТРОЛЬНЫХ ИЗМЕРЕНИЙ ДЕТАЛИ НА ОПЕРАЦИЮ | Измерения | ||||||
Карта 44, лист 3 | |||||||
N позиции | Виды обрабатываемых поверхностей. Характер обработки | Станки | Квалитет (класс точности) | Измеряемый размер, И, мм, до | Способ достижения размеров обработки | ||
обеспечивается конструктивными размерами режущего инструмента | работа инструментом, установленным на размер | работа с пробными стружками или по лимбу | |||||
Периодичность промеров - коэффициенты | |||||||
48 | Резьба крепежная | Резьбонакатные | 1Т7 - 1Т9 (2 - 3 кл.) | 10 | - | 0,01 | - |
49 | 25 | - | 0,02 | - | |||
50 | 50 | - | 0,03 | - | |||
51 | 1Т5 - 1Т6 (1 кл.) | 10 | - | 0,03 | - | ||
52 | 25 | - | 0,04 | - | |||
53 | 50 | - | 0,05 | - | |||
54 | Болторезные и гайкорезные | 1Т7 - 1Т9 (2 - 3 кл.) | 10 | 0,01 | - | - | |
55 | 25 | 0,02 | - | - | |||
56 | 50 | 0,03 | - | - | |||
57 | Св. 50 | 0,04 | - | - | |||
58 | Резьбофрезерные | - | 100 | - | 0,02 | - | |
59 | Резьбошлифовальные | Предварительная | 50 | - | 0,33 | - | |
60 | Окончательная | 50 | - | 1.0 | - | ||
Индекс | а | б | в | ||||
Все станки | ||||
Карта 45, лист 1 | ||||
N позиции | Тип и характеристика станка | Время на обслуживание рабочего места в процентах от оперативного времени - aобс | ||
1 | Токарно-винторезные | Наибольший диаметр изделия, устанавливаемого над станиной, мм, до | 160 | 2,5 |
2 | 250 | 3,0 | ||
3 | 400 | 4,0 | ||
4 | 630 | 5,0 | ||
5 | 1000 | 5,5 | ||
6 | Св. 1000 | 6,0 | ||
7 | Токарные станки с программным управлением | Наибольший диаметр изделия, устанавливаемого над станиной, мм, до | 250 | 6,0 |
8 | 400 | 8,0 | ||
9 | Лоботокарные | Наибольший диаметр обрабатываемого изделия, мм, до | 800 | 5,5 |
10 | 1250 | 6,0 | ||
11 | Токарно-карусельные | Наибольший диаметр обрабатываемого изделия, мм, до | 800 | 5,5 |
12 | 1600 | 6,0 | ||
13 | 2500 | 6,5 | ||
14 | Горизонтально-расточные с неподвижной стойкой и поворотным столом | Диаметр шпинделя, мм, до | 65 | 4,0 |
15 | 110 | 4,5 | ||
16 | 160 | 5,5 | ||
17 | Токарно-револьверные | Наибольший диаметр обрабатываемого прутка, мм, до | 10...25 | 4,0 |
18 | 40 | 4,5 | ||
19 | 80 | 5,0 | ||
20 | 125 | 5,5 | ||
21 | Вертикально- и радиально-сверлильные | Наибольший диаметр сверления, мм, до | 6...12 | 3,5 |
22 | 35 | 4,0 | ||
23 | 50 | 4,0 | ||
24 | 75 | 4,5 | ||
25 | 100 | 5,0 | ||
26 | Сверлильные станки с программным управлением | Наибольший диаметр сверления, мм, до | 12 | 6,0 |
27 | 35 | 6,0 | ||
28 | 50 | 6,0 | ||
29 | 75 | 8,0 | ||
30 | Для глубокого сверления и растачивания | Наибольший наружный диаметр устанавливаемого изделия, мм, до | 200 | 6,0 |
31 | 500 | 7,0 | ||
32 | 1000 | 8,0 | ||
33 | 1200 | 9,0 | ||
ВРЕМЯ НА ОБСЛУЖИВАНИЕ РАБОЧЕГО МЕСТА | Все станки | |||
Карта 45, лист 2 | ||||
N позиции | Тип и характеристика станка | Время на обслуживание рабочего места в процентах от оперативного времени - aобс | ||
34 | Горизонтально-, вертикально-, универсально- и копировально-фрезерные | Длина стола, мм, до | 500 | 2,5 |
35 | 800 | 3,0 | ||
36 | 1250 | 3,5 | ||
37 | 1600 | 4,0 | ||
38 | 2500 | 4,5 | ||
39 | Фрезерные станки с программным управлением | Длина стола, мм, до | 1250 | 6,0 |
40 | 1600 | 6,0 | ||
41 | 2500 | 8,0 | ||
42 | Продольно-фрезерные | Длина стола, мм, до | 1600 | 4,0 |
43 | 3000 | 4.5 | ||
44 | 6300 | 5,0 | ||
45 | Карусельно-фрезерные | Диаметр стола, мм, до | 1000 | 5,5 |
46 | 1600 | 6,5 | ||
47 | 2000 | 7,5 | ||
48 | Поперечно-строгальные, долбежные | Наибольшая длина хода ползуна, мм, до | 200 | 2,5 |
49 | 500 | 3,5 | ||
50 | 1000 | 4,5 | ||
51 | Продольно-строгальные | Длина рабочей поверхности стола, мм, до | 3000 | 4,0 |
52 | 6000 | 5,5 | ||
53 | 12000 | 6,5 | ||
54 | Хонинговальные, суперфинишные и вертикально-доводочные | 7,0 | ||
55 | Токарные многорезцовые, многорезцовые копировальные полуавтоматы | Число резцов в наладке | 5 | 6,0 |
56 | 12 | 7,0 | ||
57 | св. 12 | 8,0 | ||
58 | Токарно-револьверные патронные полуавтоматы | 6,0 | ||
59 | Токарные многошпиндельные горизонтальные и вертикальные полуавтоматы | Число шпинделей | 4 | 8,0 |
60 | 6 | 9,0 | ||
61 | 8 | 10,0 | ||
62 | Резьботокарные полуавтоматы | 4,0 | ||
ВРЕМЯ НА ОБСЛУЖИВАНИЕ РАБОЧЕГО МЕСТА | Все станки | ||||||
Карта 45, лист 3 | |||||||
N позиции | Тип и характеристика станка | Время на обслуживание рабочего места в процентах от оперативного времени - aобс | |||||
63 | Зубофрезерные | Наибольший нарезаемый модуль, мм, до | 1,0 | 3,5 | |||
64 | 6 - 12 | 4,0 | |||||
65 | 12 | 4,5 | |||||
66 | Св. 12 | 5,0 | |||||
67 | Зубодолбежные | Наибольший нарезаемый модуль, мм, до | 6 | 4,6 | |||
68 | 12 | 4,5 | |||||
69 | Зубошевинговальные | 4,0 | |||||
70 | Зубозакругляющие | 4,0 | |||||
71 | Зубострогальные, для прямозубых конических колес | Наибольший нарезаемый модуль, мм, до | 2,5 | 4,5 | |||
72 | 8 | 5,0 | |||||
73 | 16 | 5,5 | |||||
74 | Зубофрезерные для прорезывания зубьев конических колес | 4,0 | |||||
75 | Зуборезные полуавтоматы для конических колес с круговым зубом | Наибольший нарезаемый модуль, мм, до | 2,5 | 4,0 | |||
76 | 8 | 5,0 | |||||
77 | 15 | 5,5 | |||||
78 | Шлицефрезерные | 4,0 | |||||
79 | Шпоночно-фрезерные для обработки пазов для шпонок | призматических | 3,0 | ||||
81 | Резьбонарезные и резьбонакатные | 3,5 | |||||
82 | Протяжные станки | внутреннего протягивания | 3,5 | ||||
83 | наружного протягивания | 4,0 | |||||
84 | Зубошлифовальные | работающие методом обкатки | одним или двумя кругами | 9,0 | |||
85 | абразивным червяком | 12,0 | |||||
86 | работающие методом копирования | 9.0 | |||||
87 | Шлицешифовальные и резьбошлифовальные | 10,0 | |||||
88 | Фрезерно-отрезные полуавтоматы | 5,5 | |||||
ВРЕМЯ НА ОБСЛУЖИВАНИЕ РАБОЧЕГО МЕСТА | Все станки | ||||||
Карта 45, лист 4 | |||||||
N позиции | Тип и характеристика станка | Время на обслуживание рабочего места в процентах от оперативного времени - aобс | |||||
89 | Центровальные станки и фрезерно-центровальные полуавтоматы | 3,5 | |||||
90 | Многошпиндельные вертикально-сверлильные и расточные агрегатные полуавтоматы | Наибольший диаметр просверливаемого отверстия, мм, до | 10 | Число инструментов в наладке | 3 | 4,6 | |
91 | 6 | 4,5 | |||||
92 | 18 | 5,0 | |||||
93 | св. 18 | 5,5 | |||||
35 | - | ||||||
94 | 3 | 4,5 | |||||
95 | 6 | 5,0 | |||||
96 | 18 | 5,5 | |||||
97 | св. 18 | 6,0 | |||||
98 | св. 35 | 3 | 5,0 | ||||
99 | 6 | 5,5 | |||||
100 | св. 6 | 6,5 | |||||
ВРЕМЯ НА ОБСЛУЖИВАНИЕ РАБОЧЕГО МЕСТА | Круглошлифовальные станки | ||||||||||
Карта 45, лист 5 | |||||||||||
I. ВРЕМЯ НА ТЕХНИЧЕСКОЕ ОБСЛУЖИВАНИЕ РАБОЧЕГО МЕСТА | |||||||||||
I. Время на правку шлифовального круга - Tп | |||||||||||
Правка по периферии круга | Правка по радиусу и торцу круга | ||||||||||
![]() | ![]() | ||||||||||
N позиции | Характер правки | Наименование правящего инструмента | Поверхность правки | Ширина круга или радиус, мм, до | Наибольший диаметр устанавливаемого изделия, мм, до | ||||||
200 | 360 | 560 | |||||||||
Шероховатость поверхности | |||||||||||
![]() | ![]() | ![]() | |||||||||
Время на одну правку, Tп, мин. | |||||||||||
1 | С установкой правящего инструмента на станке | Алмаз, алмазно-металлический карандаш, твердосплавные диски и ролики | Периферия круга | <= 20 | 1,5 | 1,6 | 1,5 | 1,6 | 1,6 | 1,7 | |
2 | 40 | 1,8 | 2,0 | 1,8 | 2,0 | 1,9 | 2,1 | ||||
3 | 60 | - | - | 2,0 | 2,3 | 2,2 | 2,4 | ||||
4 | 80 | - | - | 2,3 | 2,6 | 2,5 | 2,7 | ||||
5 | Торец | <= 10 | 1,5 | 1,6 | 1,5 | 1,6 | 1,6 | 1,7 | |||
6 | Шлифовальный круг, металлические диски | Периферия круга | <= 20 | 1,3 | 1,5 | 1,3 | 1,5 | 1,4 | 1,7 | ||
7 | 40 | - | - | 1,6 | 1,9 | 1,7 | 2,0 | ||||
8 | 60 | - | - | 1,8 | 2,2 | 1,9 | 2,3 | ||||
9 | 80 | - | - | 2,1 | 2,5 | 2,2 | 2,5 | ||||
Индекс | а | б | в | г | д | е | |||||
ВРЕМЯ НА ОБСЛУЖИВАНИЕ РАБОЧЕГО МЕСТА | Круглошлифовальные станки | ||||||||||
Карта 45, лист 6 | |||||||||||
N позиции | Характер правки | Наименование правящего инструмента | Поверхность правки | Ширина круга или радиус, мм, до | Наибольший диаметр устанавливаемого изделия, мм, до | ||||||
200 | 360 | 560 | |||||||||
Шероховатость поверхности | |||||||||||
![]() | ![]() | ![]() | |||||||||
Время на одну правку, Tп, мин. | |||||||||||
10 | С установкой правящего инструмента на станке | Шлифовальный круг, металлические диски | Торец | <= 10 | 1,3 | 1,5 | 1,3 | 1,5 | 1,4 | 1,6 | |
11 | Без установки правящего инструмента на станке | Алмаз, алмазно-металлический карандаш, твердосплавные, диски и ролики | Периферия круга | <= 20 | 1,1 | 1,2 | 1,1 | 1,25 | 1,2 | 1,3 | |
12 | 40 | 1,4 | 1,6 | 1,4 | 1,6 | 1,5 | 1,7 | ||||
13 | 60 | - | - | 1,6 | 1,9 | 1,8 | 2,0 | ||||
14 | 80 | - | - | 1,8 | 2,2 | 2,1 | 2,3 | ||||
15 | Торец | <= 18 | 1,1 | 1,2 | 1,1 | 1,2 | 1,2 | 1,3 | |||
16 | В державке в руках | Алмазно-металлический карандаш, брусок шлифовальный при допуске на радиус круга, мм, до | Торец | <= 10 | 0,2 | 0,25 | 0,2 | 0,25 | 0,25 | 0,3 | |
17 | 0,2 | Радиус и торец | 1 | 0,49 | 0,49 | 0,55 | |||||
18 | 0,5 | 0,45 | 0,45 | 0,49 | |||||||
19 | 0,2 | 2 | 0,60 | 0,60 | 0,65 | ||||||
0,5 | 0,45 | 0,45 | 0,50 | ||||||||
20 | |||||||||||
21 | 1,0 | - | 0,30 | 0,33 | |||||||
22 | 0,2 | 5 | - | 0,75 | 0,80 | ||||||
23 | 0,5 | - | 0,60 | 0,60 | |||||||
24 | 1,0 | - | 0,46 | 0,50 | |||||||
25 | 0,5 | 10 | - | 0,60 | 0,60 | ||||||
26 | 1,0 | - | 0,48 | 0,50 | |||||||
Индекс | а | б | в | г | д | е | |||||
ВРЕМЯ НА ОБСЛУЖИВАНИЕ РАБОЧЕГО МЕСТА | Внутришлифовальные станки | |||||||||
Карта 45, лист 7 | ||||||||||
1. Время на правку шлифовального круга - Tп | ||||||||||
Правка по периферии круга | Правка по радиусу и торцу | |||||||||
![]() | ![]() | |||||||||
N позиции | Характер правки | Наименование правящего инструмента | Поверхность правки | Ширина круга или радиус, мм, до | Наибольший диаметр шлифуемого отверстия, мм, до | |||||
100 | 200 | 400 | ||||||||
Шероховатость поверхности | ||||||||||
![]() | ![]() | ![]() | ||||||||
Время на одну правку, Tп, мин. | ||||||||||
1 | С установкой правящего инструмента на станке | Алмаз, алмазно-металлический карандаш | Периферия круга | <= 20 | 1,6 | 1,7 | 1,7 | 1,9 | 2,1 | 2,2 |
2 | 30 | 1,7 | 1,8 | 1,8 | 2,0 | 2,2 | 2,3 | |||
3 | 40 | 1,8 | 1,9 | 1,98 | 2,1 | 2,2 | 2,4 | |||
4 | 60 | 2,1 | 2,2 | 2,2 | 2,4 | 2,5 | 2,7 | |||
5 | Твердосплавные диски и ролики | <= 20 | 2,2 | 2,4 | 2,4 | 2,6 | 2,7 | 2,9 | ||
6 | 30 | 2,4 | 2,8 | 2,6 | 2,8 | 2,9 | 3,1 | |||
7 | 40 | 2,7 | 3,0 | 2,8 | 3,1 | 3,1 | 3,4 | |||
8 | 60 | 3,1 | 3,4 | 3,3 | 3,6 | 3,6 | 4,0 | |||
9 | Без установки правящего инструмента на станке | Алмаз, алмазно-металлический карандаш | Периферия круга | <= 20 | 1,1 | 1,2 | 1,8 | 1,4 | 1,6 | 1,7 |
10 | 30 | 1,2 | 1,3 | 1,4 | 1,5 | 1,7 | 1,8 | |||
40 | 1,4 | 1,5 | 1,5 | 1,6 | 1,8 | 1,9 | ||||
11 | ||||||||||
12 | 60 | 1,5 | 1,7 | 1,7 | 1,9 | 2,0 | 2,2 | |||
Индекс | а | б | в | г | д | е | ||||
ВРЕМЯ НА ОБСЛУЖИВАНИЕ РАБОЧЕГО МЕСТА | Внутришлифовальные станки | ||||||||||
Карта 45, лист 8 | |||||||||||
N позиции | Характер правки | Наименование правящего инструмента | Поверхность правки | Ширина круга или радиус, мм, до | Наибольший диаметр шлифуемого отверстия, мм, до | ||||||
100 | 200 | 400 | |||||||||
Шероховатость поверхности | |||||||||||
![]() | ![]() | ![]() | |||||||||
Время на одну правку, Tп, мин. | |||||||||||
13 | Без установки правящего инструмента на станке | Твердосплавные диски и ролики | Периферия круга | <= 20 | 1,6 | 1,8 | 1,70 | 2,0 | 2,1 | 2,3 | |
14 | 30 | 1,8 | 2,1 | 2,0 | 2,2 | 2,2 | 2,6 | ||||
15 | 40 | 2,1 | 2,4 | 2,2 | 2,5 | 2,5 | 2,8 | ||||
16 | 60 | 2,5 | 2,9 | 2,6 | 3,0 | 2,9 | 3,3 | ||||
17 | В державке, в руках | Алмазно-металлический карандаш, брусок шлифовальный при допуске на радиус круга, мм, до | - | Периферия круга | <= 20 | 0,40 | 0,45 | 0,45 | 0,55 | 0,45 | 0,55 |
18 | 30 | 0,50 | 0,60 | 0,55 | 0,70 | 0,60 | 0,70 | ||||
19 | 40 | 0,65 | 0,75 | 0,70 | 0,85 | 0,75 | 0,85 | ||||
20 | 60 | 0,90 | 1,05 | 0,95 | 1,10 | 1,00 | 1,10 | ||||
21 | 0,2 | Радиус и торец | 1,0 | 0,50 | 0,55 | 0,55 | |||||
22 | 0,5 | 0,45 | 0,45 | 0,50 | |||||||
23 | 0,2 | 2,0 | 0,60 | 0,65 | 0,70 | ||||||
24 | 0,5 | 0,45 | 0,55 | 0,55 | |||||||
25 | 0,2 | 3,0 | 0,65 | 0,70 | 0,70 | ||||||
26 | 0,5 | 0,50 | 0,55 | 0,55 | |||||||
27 | 1,0 | 0,30 | 0,36 | 0,38 | |||||||
28 | 0,2 | 5,0 | 0,75 | 0,80 | 0,85 | ||||||
29 | 0,5 | 0,60 | 0,65 | 0,65 | |||||||
30 | 1,0 | 0,45 | 0,50 | 0,55 | |||||||
31 | 0,2 | 10,0 | 0,80 | 0,85 | 0,85 | ||||||
32 | 0,5 | 0,60 | 0,65 | 0,70 | |||||||
33 | 1,0 | 0,50 | 0,55 | 0,55 | |||||||
Индекс | а | б | в | г | д | е | |||||
Время на обслуживание рабочего места | Плоскошлифовальные станки с вертикальным и горизонтальным шпинделем, прямоугольным и круглым столом | |||||
Карта 45, лист 9 | ||||||
а) Для станков с горизонтальным шпинделем | ||||||
1. Время на правку шлифовального круга - Tп | ||||||
Правка по периферии круга | Правка по радиусу и торцу круга | |||||
![]() | ![]() | |||||
N позиции | Характер правки | Наименование правящего инструмента | Поверхность правки | Ширина круга или радиус, мм, до | Шероховатость поверхности | |
![]() | ||||||
Время на одну правку, Tп, мин. | ||||||
1 | С установкой правящего инструмента на станке | Алмаз, алмазно-металлический карандаш, твердосплавные ролики, шлифовальный круг, металлические диски | Периферия круга | <= 20 | 1,2 | 1,4 |
2 | 40 | 1,4 | 1,6 | |||
3 | 60 | 1,7 | 1,9 | |||
4 | Торец | <= 10 | 1,3 | 1,4 | ||
5 | > 10 | 1,1 | 1,2 | |||
Индекс | а | б | ||||
Время на обслуживание рабочего места | Плоскошлифовальные станки с вертикальным и горизонтальным шпинделем, прямоугольным и круглым столом | |||||||
Карта 45, лист 10 | ||||||||
N позиции | Характер правки | Наименование правящего инструмента | Поверхность правки | Ширина круга или радиус, мм, до | Шероховатость поверхности | |||
![]() | ||||||||
Время на одну правку, Tп, мин. | ||||||||
6 | В державке в руках | Алмазно-металлический карандаш, брусок шлифовальный | Периферия круга | <= 20 | 0,44 | 0,55 | ||
7 | 40 | 0,70 | 0,85 | |||||
8 | 60 | 0,95 | 1,1 | |||||
9 | Торец | <= 10 | 0,26 | 0,26 | ||||
10 | Брусок шлифовальный | Допуск на радиус круга, мм, до | 0,2 | Радиус и торец | 1 | 0,55 | ||
11 | 0,5 | 0,50 | ||||||
12 | 0,2 | 2 | 0,65 | |||||
13 | 0,5 | 0,55 | ||||||
14 | 1,0 | 0,35 | ||||||
15 | 0,2 | 5 | 0,80 | |||||
16 | 0,5 | 0,65 | ||||||
17 | 1,0 | 0,50 | ||||||
18 | 0,5 | 10 | 0,70 | |||||
19 | 1,0 | 0,55 | ||||||
Индекс | а | б | ||||||
Ширина шлифуемой поверхности B или приведенная ширина шлифования Bпр, мм, до | <= 100 | 200 | 300 | ||
20 | Процент от основного времени | Черновое шлифование | 3,0 | 4,0 | 5,0 |
21 | Чистовое шлифование | - | 2,0 | 3,0 | |
Время на обслуживание рабочего места | Бесцентрово-шлифовальные станки | ||||||
Карта 45, лист 11 | |||||||
1. Время на правку шлифовального круга - Tп | |||||||
Правка по периферии круга | Правка по радиусу и торцу | ||||||
![]() | ![]() | ||||||
N позиции | Характер правки | Наименование правящего инструмента | Поверхность правки | Ширина круга или радиус, мм, до | Шероховатость поверхности | ||
![]() | |||||||
Время на одну правку, Tп, мин. | |||||||
1 | С установкой правящего инструмента на станке | Алмаз, алмазно-металлический карандаш | Периферия круга | 60 | 1,9 | 2,2 | |
2 | 100 | 2,6 | 3,0 | ||||
3 | 150 | 2,9 | 4,0 | ||||
4 | 200 | 4,2 | 4,8 | ||||
5 | Твердосплавные ролики | 60 | 1,6 | 1,9 | |||
6 | 100 | 2,1 | 2,6 | ||||
7 | 150 | 2,7 | 3,3 | ||||
8 | 200 | 3,3 | 4,0 | ||||
9 | Металлические диски, шарошки | 60 | 1,4 | - | |||
10 | 100 | 1,8 | - | ||||
11 | 150 | 2,3 | - | ||||
12 | 200 | 2,8 | - | ||||
13 | В державке в руках | Алмазно-метаталлический карандаш, брусок шлифовальный | - | Торец | - | 0,4 | |
14 | 0,2 | Радиус и торец | 1 | 0,7 | |||
15 | 0,5 | 0,6 | |||||
16 | 0,2 | 2 | 0,95 | ||||
17 | 0,5 | 0,65 | |||||
18 | 1,0 | 0,4 | |||||
19 | 0,2 | 5 | 1,2 | ||||
20 | 0,5 | 0,85 | |||||
21 | 1,0 | 0,6 | |||||
22 | 0,5 | 10 | 0,9 | ||||
23 | 1,0 | 0,6 | |||||
Индекс | а | б | |||||
Время на обслуживание рабочего места | Круглошлифовальные, внутришлифовальные, плоскошлифовальные бесцентровошлифовальные станки | |||||
Карта 45, лист 12 | ||||||
2. Время на обслуживание рабочего места - Tтех | ||||||
![]() где Tп - время на одну правку, мин.; Tо - основное время операции, мин.; T - период стойкости шлифовального круга, мин. (устанавливается по нормативам режимов резания) | ||||||
3. Время на организационное обслуживание рабочего места - Tорг | ||||||
Наибольший диаметр устанавливаемого изделия, мм, до | Круглошлифовальные | 200 | 360 | 560 | ||
Процент от оперативного времени | 1,0 | 1,0 | 1,5 | |||
Наибольший диаметр шлифуемого отверстия, мм, до | Внутришлифовальные станки | 1,00 | 200 | 400 | ||
Процент от оперативного времени | 1,5 | 2,5 | 3,0 | |||
Длина (диаметр стола), мм | Плоскошлифовальные станки с прямоугольным столом и с круглым, столом с горизонтальным шпинделем | 1000 | 2000 | |||
(400) | (800) | |||||
Процент от оперативного времени, мин. | 1,5 | 2,5 | ||||
Диаметр стола, мм | Плоскошлифовальные станки с круглым столом и вертикальным шпинделем | 800 | 1600 | |||
Процент от оперативного времени, мин. | 1,0 | 1,5 | ||||
Процент от оперативного времени | для работы с продольной подачей | Бесцентровошлифовальные | 3,0 | |||
5,0 | ||||||
для работы с радиальной подачей | ||||||
Карта 46 | |||||||
N позиции | Характер подачи | Масса детали, кг, до | Машинно-ручное время в оперативном, % | Оперативное время операции, мин., до | |||
0,1 | 0,2 | 0,5 | 1,0 и выше | ||||
Время, %, от оперативного времени | |||||||
1 | Ручная | 1 | 20 | 7 | 6 | 5 | 4 |
2 | 40 | 7 | 6 | 6 | 5 | ||
3 | 80 | 7 | 7 | 7 | 7 | ||
4 | 5 | 20 | - | 7 | 6 | 5 | |
5 | 40 | - | 7 | 6 | 6 | ||
6 | 80 | - | 7 | 7 | 8 | ||
7 | 10 | 20 | - | - | 7 | 5 | |
8 | 40 | - | - | 7 | 6 | ||
9 | 80 | - | - | 8 | 8 | ||
10 | 20 и более | 20 | - | - | 8 | 7 | |
11 | 40 | - | - | 8 | 8 | ||
12 | 80 | - | - | 8 | 9 | ||
13 | Механическая | - | 4 | 4 | 4 | 4 | |
Индекс | а | б | в | г | |||
Токарно-винторезные станки | ||||||||
Карта 47 | ||||||||
I. На наладку станка, инструмента и приспособлений | ||||||||
N позиции | Вид обработки и наладки | Число режущих инструментов в наладке, до | Наибольший диаметр изделия, устанавливаемого над станиной, мм, до | |||||
160 | 250 | 400 | 630 | 100 | св. 1000 | |||
Время, мин. | ||||||||
1 | Обработка цилиндрических поверхностей | 2 | 9 | 10 | 14 | 16 | 19 | 21 |
2 | 4 | 10 | 11 | 16 | 18 | 21 | 24 | |
3 | 6 | - | - | 20 | 23 | 27 | 31 | |
4 | Групповая обработка деталей (с частичной подналадкой станка без смены зажимного приспособления) | 2 | - | - | 9 | 10 | 11 | 12 |
5 | 4 | - | - | 11 | 13 | 14 | 16 | |
6 | 6 | - | - | 15 | 18 | 20 | 23 | |
7 | Получение инструмента и приспособлений исполнителем работы до начала и сдачу их после окончания обработки партии деталей | 7...8 | 8...10 |
8 | При обработке конических поверхностей | 2,0 | 2,5 | 3 | 3 | 4 | 4 |
9 | При обработке резьбы | - | - | 4 | 5 | 6 | 6 |
10 | При обработке с люнетом | - | - | 4 | 5 | 5 | 5 |
11 | При обработке цилиндрических или фасонных поверхностей с гидрокопировальным суппортом | - | - | 10 | 10 | 10 | 10 |
12 | При растачивании кулачков патрона | 3,5 | 4,0 | 6 | 8 | 8 | 8 |
13 | При установке исходных координат x и y на станках с программным управлением | - | - | 1,3 | 1,3 | - | - |
14 | При установке программоносителя в считывающее устройство и снятии | - | - | 1,0 | 1,0 | - | - |
15 | При наборе программы переключателями на пульте управления станка (на 1 размер) | - | - | 0,4 | 0,4 | - | - |
16 | При установке упора в цанговом патроне | 0,25 | 0,3 | - | - | - | - |
Индекс | а | б | в | г | д | е | |
Лоботокарные станки | |||||
Карта 48 | |||||
I. На наладку станка, инструмента и приспособлений | |||||
N позиции | Вид обработки и наладки | Число режущих инструментов в наладке, до | Наибольший диаметр изделия, устанавливаемого над станиной, мм, до | ||
800 | 1200 | 2000 | |||
Время, мин. | |||||
1 | Обработка цилиндрических поверхностей | 2 | 18 | 21 | 24 |
2 | 4 | 21 | 24 | 28 | |
3 | 6 | 26 | 30 | 35 | |
4 | Получение инструмента и приспособлений исполнителем работы и сдача их после окончания обработки партии деталей | 8...10 |
5 | При обработке конических поверхностей | 3 | 4 | 5 |
Индекс | а | б | в | |
Токарно-карусельные станки | |||||
Карта 49 | |||||
I. На наладку станка, инструмента и приспособлений | |||||
N позиции | Вид обработки и наладки | Число режущих инструментов в наладке, до | Наибольший диаметр обрабатываемого изделия, мм, до | ||
800 | 1600 | 2500 | |||
Время, мин. | |||||
1 | Обработка цилиндрических поверхностей | 3 | 18 | 22 | 25 |
2 | 6 | 23 | 27 | 32 | |
3 | Св. 6 | 27 | 33 | 39 | |
4 | Получение инструмента и приспособлений исполнителем работы и сдача их после окончания обработки партии деталей | 10 | 10 | 10 |
5 | При обработке конических поверхностей | 3 | 4 | 5 |
6 | При обработке с дополнительными упорами для крепления детали - на каждый упор | 2 | 3 | 4 |
Индекс | а | б | в | |
Горизонтально-расточные станки с неподвижной стойкой и поворотным столом | ||||||
Карта 50 | ||||||
I. На наладку станка, инструмента и приспособлений | ||||||
N позиции | Вид обработки и наладки | Число переходов в операции, до | Диаметр шпинделя станка, мм, до | |||
65 | 110 | 169 | ||||
Время, мин. | ||||||
1 | Обработка отверстий, торцов и плоскостей | 15 | 17 | 19 | 22 | |
2 | 30 | 23 | 25 | 28 | ||
3 | Св. 30 | 20 | 31 | 34 | ||
4 | Получение инструмента и приспособлений исполнителем работы до начала и сдача их после окончания обработки партии деталей | 7 - 10 |
5 | При обработке торцовых плоскостей с резцедержателем на планшайбе с установкой резцедержателя | 4,0 | 5,0 | 6.0 |
6 | При обработке с угольником с его установкой | 6,0 | 6,0 | 7,5 |
7 | При обработке под углом с поворотом стола | 2,5 | 2,0 | 2,5 |
8 | При установке зажимного приспособления на стол станка подъемником | 3,0 | 3,0 | 3,0 |
Индекс | а | б | в | |
Токарно-револьверные станки и полуавтоматы | ||||||
Карта 51 | ||||||
I. На наладку станка, инструмента и приспособлений | ||||||
N позиции | Вид обработки и наладки | Число режущих инструментов наладке, до | Наибольший диаметр обрабатываемого прутка, мм, до | |||
10...25 | 40 | 80 | 125 | |||
Время, мин. | ||||||
1 | Обработка цилиндрических поверхностей | 2 | 11 | - | - | - |
2 | 4 | 12 | 17 | 21 | 23 | |
3 | 8 | 15 | 24 | 30 | 34 | |
4 | 12 | 20 | 33 | 42 | 49 | |
5 | 16 | 25 | 42 | 54 | 64 | |
6 | Групповая обработка деталей (с частичной подналадкой станка без смены зажимного приспособления) | 4 | - | 11 | 13 | 14 |
7 | 8 | - | 15 | 19 | 22 | |
8 | 12 | - | 22 | 26 | 32 | |
9 | 16 | - | 28 | 31 | 39 | |
Индекс | а | б | в | г | ||
10 | Получение инструмента и приспособлений исполнителем работы до начала и сдача их после окончания обработки партии деталей | 7...10 |
11 | При обработке с роликовым люнетом | - | 2 | 2 | 2,5 | |
12 | При нарезании резьбы резцом с накидным приспособлением | - | 9 | 9 | 10 | |
13 | Расточить кулачки патрона | сырые | - | 5 | 5 | - |
14 | закаленные | - | 7 | 7 | 8 | |
Индекс | а | б | в | г | ||
N позиции | Число резцов, устанавливаемых на размер для обработки с допуском <= 0,1 м | Оперативное время обработки, мин., до | ||||||
1 | 2 | 3 | 5 | 10 | 16 | св. 15 | ||
Время, мин. | ||||||||
15 | 1 | 2 | 3 | - | - | - | - | - |
16 | 2 | 3 | 4 | 6 | 8 | 12 | 14 | 17 |
17 | 5 | - | - | 9 | 11 | 15 | 17 | 20 |
Индекс | а | б | в | г | д | е | ж | |
Вертикально- и радиально-сверлильные станки | |||||||
Карта 52 | |||||||
I. На наладку станка, инструмента и приспособлений | |||||||
N позиции | Вид обработки и наладки | Число режущих инструментов в наладке, до | Наибольший диаметр сверления, им, до | ||||
6...12 | 35 | 50 | 75 | 100 | |||
Время, мин. | |||||||
1 | Обработка отверстий | 3 | 10 | 12 | 12 | 14 | 15 |
2 | 6 | 11 | 14 | 14 | 16 | 17 | |
3 | Св. 6 | 12 | 45 | 15 | 18 | 20 | |
4 | Групповая обработка деталей (с частичной подналадкой станка без смены зажимного приспособления) | 3 | 8 | 9,0 | 9,0 | 10 | 11 |
5 | 6 | 9 | 11 | 11 | 12 | 13 | |
6 | Св. 6 | 10 | 12 | 12 | 14 | 16 | |
Индекс | а | б | в | г | д | ||
7 | Получение инструмента и приспособлений исполнителем работы, до начала и сдача их после окончания обработки партии деталей | 5...7 |
8 | При установке зажимного приспособления на стол станка подъемником | 3 |
9 | При обработке с дополнительным столом | 3 |
10 | При обработке с многошпиндельной сверлильной головкой | 20 |
11 | Установить программоноситель в считывающее устройство и снять | 1,0 |
ПОДГОТОВИТЕЛЬНО-ЗАКЛЮЧИТЕЛЬНОЕ ВРЕМЯ НА ПАРТИЮ ДЕТАЛЕЙ | Станки для глубокого сверления и растачивания | |||||
Карта 53 | ||||||
I. На наладку станка, инструмента и приспособлений | ||||||
N позиции | Вид обработки и наладки | Число люнетов | Наибольший наружный диаметр устанавливаемого изделия, мм | |||
200 | 500 | 1000 | 1200 | |||
Время, мин. | ||||||
1 | Обработка отверстий | 1 | 12 | 15 | 20 | 27 |
2 | 2 | 15 | 19 | 25 | 33 | |
3 | 3 | 19 | 23 | 29 | 39 | |
4 | Получение инструмента и приспособлений исполнителем работы до начала и сдача их после окончания обработки партии деталей | 7 |
5 | При работе с борштангой с установкой и снятием ее | при одной стойке | 8 | 11 | 14 | 19 | |
6 | при двух стойках | 18 | 22 | 27 | 33 | ||
7 | при трех стойках | 25 | 32 | 40 | 50 | ||
8 | При работе сверлильной расточной или раскатной головкой с ее установкой и снятием | Диаметр головки, мм, до | 100 | 3,0 | 4,5 | 6,0 | 7,0 |
9 | 200 | 4,5 | 6,0 | 7,0 | 10 | ||
10 | 400 | - | 7,0 | 10 | 14 | ||
11 | 600 | - | - | 14 | 20 | ||
12 | При обработке головкой для отрезки стержня с ее установкой и снятием | Диаметр головки, мм, до | 200 | 7,0 | 8,5 | 11 | 14 |
13 | 400 | - | 12 | 16 | 21 | ||
14 | 600 | - | - | 23 | 30 | ||
Индекс | а | б | в | г | |||
Горнзонтально-, вертикально- и универсально-фрезерные станки | |||||||
Карта 54 | |||||||
I. На наладку станка, инструмента и приспособлений | |||||||
N позиции | Вид обработки и наладки | Число устанавливаемых фрез <*> | Длина стола, мм, до | ||||
500 | 800 | 1250 | 1600 | 2500 | |||
Время, мин. | |||||||
1 | Обработка плоскостей, пазов, фасонных поверхностей | - | 10 | 11 | 12 | 14 | 15 |
2 | 1...2 | - | 15 | 17 | 19 | 22 | |
3 | Св. 2 | - | 17 | 19 | 22 | 25 | |
4 | Групповая обработка деталей (с частичной подналадкой станка без смены зажимного приспособления) | - | - | 5 | 8 | 9 | 10 |
5 | 1...2 | - | 10 | 11 | 13 | 14 | |
6 | Св. 2 | - | 12 | 13 | 16 | 17 | |
7 | Получение инструмента и приспособлений исполнителем работы до начала и сдача их после окончания обработки партии деталей | 7 | 10 |
8 | При обработке на круглом столе | 6 | 7 | 8 | 9 | 10 |
9 | При обработке с копиром | - | 7 | 8 | 9 | 10 |
10 | При обработке с делительной головкой | 5 | 6 | 6 | 8 | 8 |
11 | При обработке с поворотом шпиндельной бабки на угол | 4 | 4 | 4 | 4 | 6 |
12 | При обработке с поддерживающей стойкой на каждую стойку | 7 | 2 | 2 | 2 | 3 |
13 | При обработке с установочными домкратиками иля распорками на каждый домкратик (распорку) | - | 2 | 2 | 2 | 3 |
14 | При установке исходных координат x, y, z на станках с программным управлением | 1,5 | ||||
15 | При установке программоносителя в считывающее устройство и снятии | 1,0 | ||||
16 | При наборе программы переключателями на пульте управления станком (на 1 размер) | 0,5 | ||||
17 | При установке зажимного приспособления на стол станка подъемником | 2 | ||||
Индекс | а | б | в | г | д | |
Продольно-фрезерные станки | |||||
Карта 55 | |||||
I. На наладку станка, инструмента и приспособлений | |||||
N позиции | Вид обработки и наладки | Число устанавливаемых фрез <*> | Длина стола, мм, до | ||
1600 | 3000 | 6300 | |||
Время, мин. | |||||
1 | Обработка плоскостей, пазов, фасонных поверхностей | 1...2 | 22 | 25 | 29 |
2 | Св. 2 | 30 | 36 | 43 | |
Индекс | а | б | в | ||
3 | Получение инструмента и приспособлений исполнителем работы до начала и сдача их после окончания обработки партии деталей | 7 | 10 |
4 | При обработке плоскостей под углом с поворотом шпиндельной головки | 6 | 7 | 8 |
5 | При установке зажимного приспособления на стол станка подъемником | 5 | 5 | 5 |
Индекс | а | б | в | |
Копировально-фрезерные станки | ||||
Карта 56 | ||||
I. На наладку станка, инструмента и приспособлений | ||||
N позиции | Вид обработки и наладки | Длина стола, мм, до | ||
1250 | 1600 | 2500 | ||
Время, мин. | ||||
1 | Обработка плоскостей, пазов, фасонных поверхностей по копиру | 21 | 23 | 25 |
2 | Получение инструмента и приспособлений исполнителем работы до начала и сдача их после окончания обработки партии деталей | 7 | 10 |
3 | При установке зажимного приспособления на стол станка подъемником | - | - | 3 |
Индекс | а | б | в | |
Карусельно-фрезерные станки | ||||||
Карта 57 | ||||||
I. На наладку станка, инструмента и приспособлений | ||||||
N позиции | Вид обработки и наладки | Число устанавливаемых фрез | Длина стола, мм, до | |||
1000 | 1600 | 2000 | ||||
Время, мин. | ||||||
1 | Обработка плоскостей при установке деталей в приспособление в количестве до | 4 | - | 18 | 21 | 25 |
2 | 1...2 | 29 | 35 | 42 | ||
3 | 3 | - | 48 | 58 | ||
4 | 8 | - | 22 | 26 | 30 | |
5 | 1...2 | 33 | 39 | 46 | ||
6 | 3 | - | 53 | 63 | ||
7 | Групповая обработка деталей (частичная) наладка станка без смены зажимного приспособления); | - | 8 | 9 | 10 | |
8 | 1...2 | 19 | 23 | 27 | ||
9 | 3 | - | 36 | 43 | ||
10 | Получение инструмента и приспособлений исполнителем работы до начала и сдача их после окончания обработки партии деталей | 7 | 10 | |
Индекс | а | б | в | |
Продольно-строгальные станки | ||||||
Карта 58 | ||||||
I. На наладку станка, инструмента и приспособлений | ||||||
N позиции | Вид обработки и наладки | Число работающих суппортов, до | Число крепежных болтов в наладке, до | Длина рабочей поверхности стола, мм, до | ||
3000 | 6000 | 12000 | ||||
Время, мин. | ||||||
1 | Обработка плоскостей, пазов, уступов | 1...2 | 4 | 16 | 18 | 21 |
2 | 8 | 19 | 22 | 26 | ||
3 | 12 | 23 | 27 | 32 | ||
4 | 3...4 | 4 | 19 | 23 | 28 | |
5 | 8 | 22 | 27 | 32 | ||
6 | 12 | 26 | 32 | 38 | ||
7 | Получение инструмента и приспособлений исполнителем работы до начала и сдача их после окончания обработки партии деталей | 7,0 |
8 | При обработке плоскостей под углом с поворотом суппорта | 2,0 | 2,5 | 3,5 | |||
9 | При обработке с многорезцовым блоком, с установкой резцов на сопряженный размер | 2 резца | 8,0 | 11 | 14 | ||
10 | 3 резца | 10 | 14 | 18 | |||
11 | 4 резца | 12 | 17 | 22 | |||
12 | При обработке с угольником | 4,0 | 6,0 | 9,0 | |||
13 | При обработке с установочными домкратиками или распорками на каждый домкратик (или распорку) | 1,0 | 1,0 | 2,0 | |||
14 | При установке зажимного приспособления на стол станка подъемником | с креплением болтами в числе | 4 | 2,0 | 3,0 | 4,0 | |
15 | 6 | 3,0 | 4,0 | 6,0 | |||
Индекс | а | б | в | ||||
Поперечно-строгальные и долбежные станки | |||||
Карта 59 | |||||
I. На наладку станка, инструмента и приспособлений | |||||
N позиции | Вид обработки и наладки | Наибольшая длина хода ползуна, мм, до | |||
200 | 500 | 1000 | |||
Время, мин. | |||||
1 | Обработка плоскостей, пазов, уступов | 11,0 | 12,0 | 13,0 | |
2 | Получение инструмента и приспособлений исполнителем работы до начала их сдача их после окончания обработки партии деталей | 5 |
3 | При обработке плоскостей под углом с поворотом суппорта | 2,0 | 2,5 | |
4 | При обработке с угольником | 2,5 | 3,0 | |
Индекс | а | б | в | |
Круглошлифовальные станки | ||||
Карта 60 | ||||
I. На наладку станка, инструмента и приспособлений | ||||
N позиции | Вид обработки и наладки | Наибольший диаметр устанавливаемого изделия, мм, до | ||
200 | 360 | 560 | ||
Время, мин. | ||||
1 | Круглое наружное шлифование | 9 | 10 | 12 |
2 | Групповая обработка деталей (с частичной подналадкой станка без смены зажимного приспособления) | - | 8 | 9 |
3 | Получение инструмента и приспособлений исполнителем работы до начала и сдача их после окончания обработки партии деталей | 7,0 |
4 | При обработке конических поверхностей с поворотом стола на угол | 2,5 | 3,0 | 4,0 |
5 | При обработке с люнетом | 1,5 | 2,0 | 3,0 |
6 | При обработке с приспособлением автоматического измерения в процессе шлифования | 10,0 | 10,0 | 10,0 |
7 | При установке шлифовального круга | 5,0 | 6,0 | 8,0 |
Индекс | а | б | в | |
Внутришлифовальные станки | ||||
Карта 61 | ||||
I. На наладку станка, инструмента и приспособлений | ||||
N позиции | Вид обработки и наладки | Наибольший диаметр шлифуемого отверстия, мм, до | ||
100 | 200 | 400 | ||
Время, мин. | ||||
1 | Шлифование отверстий | 12 | 13 | 16 |
2 | Групповая обработка деталей (с частичной подналадкой станка без смены зажимного приспособления) | 8 | 9 | 10 |
3 | Получение инструмента и приспособлений исполнителем работы до начала и сдача их после окончания обработки партии деталей | 7 |
4 | При обработке конических отверстий с поворотом шлифовальной головки | 2 | 3 | 4 |
5 | При обработке с приспособлением автоматического измерения в процессе шлифования | 10 | 10 | 10 |
6 | При наладке станка с выверкой зажимного приспособления по индикатору | 6 | 8 | 8 |
7 | Шлифовать кулачки патрона | 4 | 5 | 6 |
8 | При установке зажимного приспособления на стол станка подъемником | 4 | 4 | 4 |
Индекс | а | б | в | |
Плоскошлифовальные станки | ||||
Карта 62 | ||||
I. На наладку станка, инструмента и приспособлений | ||||
N позиции | Вид обработки и наладки | Длина (или диаметр) стола, мм, до | ||
630 | 1000 | 2000 | ||
(400) | (800) | (1600) | ||
Время, мин. | ||||
1 | Шлифование плоскостей | 6,5 | 7 | 8 |
2 | Получение инструмента и приспособлений исполнителем работы до начала и сдача их после окончания обработки партии деталей | 7,0 |
3 | При обработке в тисках или специальном приспособлении | 1,3 | 1,5 | 2,0 | |
4 | При обработке с приспособлением автоматического измерения в процессе шлифования | 10 | 10 | 10 | |
5 | При установке и снятии шлифовального круга | дискового | 5,0 | 5,5 | 7,5 |
6 | чашечного | 6,0 | 6,5 | 8,5 | |
7 | сегментного | 7,0 | 7,5 | 9,5 | |
Индекс | а | б | в | ||
Бесцентровошлифовальные станки | ||||
Карта 63 | ||||
I. На наладку станка, инструмента и приспособлений | ||||
N позиции | Вид обработки и наладки | Время, мин. | ||
1 | Шлифование с продольной подачей | 13 | ||
2 | Шлифование с радиальной подачей | без упора по длине | 13 | |
3 | с упором по длине | 15 | ||
4 | Получение инструмента и приспособлений исполнителем работы до начала и сдача после окончания обработки партии деталей | 7,0 |
5 | При обработке в несколько проходов (операций) на каждый последующий проход (изменение наладочных размеров и режимов резания) | 3,0 |
6 | При установке и снятии шлифующего или ведущего круга | 7,0 |
7 | При установке и снятии выталкивателя | 5,0 |
N позиции | Вид обработки | Диаметр детали, мм | Допуск на обработку, мм | ||
0,015 | 0,05 | св. 0,05 | |||
Время, мин. | |||||
8 | Шлифование с продольной подачей | 50 | 5,0 | 3,0 | 2,0 |
9 | 100 | 8,0 | 5,0 | 3,0 | |
10 | Шлифование с радиальной подачей | - | 3,5 | 3,0 | 2,5 |
Индекс | а | б | в | ||
Хонинговальные, суперфинишные и доводочные станки | |||
Карта 64 | |||
I. На наладку станка, инструмента и приспособлений | |||
N позиции | Тип станка | Вид обработки и наладки | Время, мин. |
1 | Горизонтально-хонинговальные | Хонингование отверстий | 16 |
2 | Вертикально-хонинговальные | 20 | |
3 | Станки для суперфиниша | Суперфиниш цилиндрических поверхностей | 11 |
4 | Вертикально-доводочные (лапинговальные) | Доводка цилиндрических поверхностей или плоскостей | 12 |
5 | Получение инструмента и приспособлений исполнителем работы до начала и сдача их после окончания обработки партии деталей | 5 |
Токарные многорезцовые, многорезцовые копировальные полуавтоматы | ||||||||
Карта 65 | ||||||||
I. На наладку станка, инструмента и приспособлений | ||||||||
N позиции | Вид обработки и наладки | Число резцов, устанавливаемых с точностью обработки <= 0,2 мм | ||||||
0 | 1 | 2 | 4 | 8 | 8 | |||
Время, мин. | ||||||||
1 | Наладка с индивидуальной установкой резцов при числе резцов в операции, до | 5 | 17 | 22 | 27 | - | - | - |
2 | 8 | 23 | 28 | 33 | 43 | 53 | - | |
3 | 10 | 27 | 32 | 37 | 47 | 57 | 67 | |
4 | 12 | 33 | 38 | 43 | 53 | 63 | 73 | |
5 | 16 | 39 | 44 | 49 | - | - | - | |
6 | Св. 16 | 43 | - | - | - | - | - | |
7 | Наладка с установкой сменных резцедержателей с резцами <*> | одного | 15 | |||||
8 | двух | 19 | ||||||
Индекс | а | б | в | г | д | е | ||
9 | Получение инструмента и приспособлений до начала и сдачу их после окончания обработки партии деталей | 10 |
10 | При обработке с люнетом | 3 | |
11 | При обработке фасонных поверхностей с копиром | 4 | |
12 | На растачивание кулачков патрона | сырые | 5 |
13 | закаленные | 7 | |
Резьботокарные полуавтоматы | ||||
Карта 66 | ||||
I. На наладку станка, инструмента и приспособлений | ||||
N позиции | Тип станка | Вид обработки и наладки | Время, мин. | |
1 | Резьботокарный полуавтомат для коротких резьб | Нарезание крепежной резьбы | 24 | |
2 | Резьботокарный полуавтомат | Нарезание крепежной, трапецеидальной резьбы | наружной | 15 |
3 | с вихревой головкой | внутренней | 11 | |
4 | Получение инструмента и приспособлений исполнителем работы до начала и сдача их после окончания обработки партии деталей | 7,0 |
- | Оперативное время изготовления детали, мин., до | 0,5 | 1,0 | 2.0 | 3,0 |
5 | Время на пробную обработку деталей, мин. | 2,0 | 3,0 | 5,0 | 6,0 |
Индекс | а | б | в | г | |
Зубофрезерные станки | ||||||
Карта 67 | ||||||
I. На наладку станка, инструмента и приспособлений | ||||||
N позиции | Вид обработки и наладки | Наибольший нарезаемый модуль, мм, до | ||||
1 | 6 | 12 | св. 12 | |||
Время, мин. | ||||||
1 | Обработка зубьев колес | на оправке с подставками | 18 | 23 | 29 | 36 |
2 | - | 30 | 39 | 48 | ||
Индекс | а | б | в | г | ||
3 | Получение инструмента и приспособлений исполнителем работы до начала и сдача их после окончания обработки партии деталей | 7,0 |
4 | Для обработки зубчатых колес с косым зубом | - | 3,0 | 3,5 | 4,0 |
5 | Для обработки червячных колес с тангенциальной подачей | - | 4,0 | 5,0 | - |
6 | На выверку оправки для детали по индикатору | 2,5 | 3,0 | 5,0 | - |
Индекс | а | б | в | г | |
N позиции | Число зубьев нарезаемого колеса | Нарезаемый модуль, мм до | |||||
1 | 3 | 5 | 8 | 12 | св. 12 | ||
Время, мин. | |||||||
7 | 20 | 1,0 | 1,5 | 2,0 | 3,0 | 3,5 | 4,0 |
8 | 40 | 1,5 | 2,0 | 2,5 | 4,5 | 5,0 | 6,0 |
9 | 80 и выше | 2,0 | 2,5 | 3,5 | 7,0 | 8,0 | 10,0 |
Индекс | а | б | в | г | д | е | |
Зубодолбежные, зубошевинговальные - и зубозакругляющие станки | |||||
Карта 68 | |||||
I. На наладку станка, инструмента и приспособлений | |||||
N позиции | Тип станка | Вид обработки и наладки | Наибольший нарезаемый модуль, мм, до | ||
6 | 12 | ||||
Время, мин. | |||||
1 | Зубодолбежные | Обработка зубьев колес | 24 | 28 | |
2 | Обработка колес с наклонным зубом | 25 | 29 | ||
3 | Обработка колес с внутренним зубом | 26 | 31 | ||
4 | Зубошевинговальные | Обработка зубьев колес | 13 | ||
5 | Зубозакругляющие | Обработка закруглений и фасок на торцах зубьев | 13 | ||
Индекс | а | б | |||
6 | Получение инструмента и приспособлений исполнителем работы до начала и сдача их после окончания обработки партии деталей | 7 |
Нарезаемый модуль, мм, до | 3 | 5 | 8 | 12 | ||
7 | Время на пробную обработку деталей, мин. | на зубодолбежном станке | 2,5 | 6,0 | 12 | 15 |
8 | на зубошевинговальном станке | 3,0 | 4,0 | 6,0 | - | |
Индекс | а | б | в | г | ||
Зуборезные станки для конических колес | ||||||
Карта 69 | ||||||
I. На наладку станка, инструмента и приспособлений | ||||||
N позиции | Тип станка | Вид обработки и наладки | Наибольший нарезаемый модуль, мм, до | |||
2,5 | 8 | 16 | ||||
Время, мин. | ||||||
1 | Зубострогальные для прямозубых конических колес | Обработка зубьев конических колес зубострогальными резцами | 25 | 34 | 45 | |
2 | Зуборезные для конических колес с круговым зубом | Нарезание круговых зубьев конических колес зуборезными головками | 37 | 45 | 60 | |
3 | Зубофрезерные для прорезания зубьев конических колес | Предварительное прорезание зубьев конических колес дисковой фрезой | 26 | |||
Индекс | а | б | в | |||
4 | Получение инструмента и приспособлений исполнителем работы до начала и сдача их после окончания обработки партии деталей | 7 | ||
Шлицефрезерные станки | ||||
Карта 70 | ||||
I. На наладку станка, инструмента и приспособлений | ||||
N позиции | Тип станка | Вид обработки и наладки | Время, мин. | |
1 | Шлицефрезерные | Обработка шлиц многошлицевых валов червячной фрезой | 23 | |
2 | Получение инструмента и приспособлений исполнителем работы до начала и сдачу их после окончания обработки партии деталей | 7,0 |
Число шлиц шлицевого вала | 6 | 10 | 15 | 20 | |
3 | Время на пробную обработку детали, мин. | 2,5 | 3,0 | 3,5 | 4,0 |
Индекс | а | б | в | г | |
Резьбофрезерные станки | ||||
Карта 71 | ||||
I. На наладку станка, инструмента и приспособлений | ||||
N позиции | Тип станка | Вид обработки и наладки | Время, мин. | |
1 | Резьбофрезерные работающие гребенчатой фрезой | Фрезерование наружной резьбы | 19 | |
2 | Фрезерование внутренней резьбы | 27 | ||
3 | Резьбофрезерные работающие дисковой фрезой | Фрезерование наружной резьбы | 16 | |
4 | Получение инструмента и приспособлений исполнителем работы до начала и сдача их после окончания обработки партии деталей | 7,0 |
Диаметр нарезаемой резьбы, мм, до | 20 | 40 | 80 | св. 80 | |||
5 | Время на пробную обработку деталей, мин. | фреза | гребенчатая | 3,0 | 4,0 | 5,0 | - |
6 | дисковая | - | 1,5 | 3,0 | 5,0 | ||
Индекс | а | б | в | г | |||
Протяжные станки | |||||
Карта 72 | |||||
I. На наладку станка, инструмента и приспособлений | |||||
N позиции | Тип станка | Вид обработки и наладки | Время, мин. | ||
1 | Горизонтально-протяжные для внутреннего протягивания | Протягивание цилиндрических, многошлицевых и фасонных отверстий и пазов | без снятия протяжки | 8 | |
2 | со снятием протяжки | 12 | |||
3 | Вертикалъно-протяжные для наружного протягивания | Протягивание наружных плоскостей в пазов | без смены зажимного приспособления | 10 | |
4 | со сменой зажимного | 15 | |||
5 | Получение инструмента и приспособлений исполнителем работы до начала и сдача их после окончания обработки партии деталей | 5 |
Зубошлифовальные и шлицешлифовальные станки | |||||
Карта 73 | |||||
I. На наладку станка, инструмента и приспособлений | |||||
N позиции | Тип станка | Вид обработки и наладки | Время, мин. | ||
1 | Зубошлифовальные | Шлифование зубьев методом обкатки | одним дисковым кругом | 24 | |
2 | двумя тарельчатыми кругами | 29 | |||
3 | абразивным червяком | 13 | |||
4 | Шлифование зубьев методом кодирования | 18 | |||
5 | Шлифовальные | Шлифовальние шлиц шлицевых валов | одним кругом | 22 | |
6 | двумя кругами | 23 | |||
7 | тремя кругами | 25 | |||
8 | Получение инструмента и приспособлений исполнителем работы до начала и сдача их после окончания обработки партии деталей | 5 |
Резьбошлифовальные станки | ||||
Карта 74 | ||||
I. На наладку станка, инструмента и приспособлений | ||||
N позиции | Вид обработки и наладки | Время, мин. | ||
1 | Шлифование резьбы на станках | с полуавтоматическим циклом | 15 | |
2 | с ручным управлением | 21 | ||
3 | Получение инструмента и приспособлений исполнителем работы до начала и сдача их после окончания обработки | 5 |
4 | При шлифовании с затылованием резьбы | 7 |
5 | При шлифовании с проверкой профиля на оптической приборе (компоратор) в лаборатории | 10 |
6 | При установке шлифовального круга | 6 |
7 | При накатывании профиля многониточного круга | 25 |
Резьбонакатные и резьбонарезные станки | ||||
Карта 75 | ||||
I. На наладку станка, инструмента и приспособлений | ||||
N позиции | Тип станка | Вид обработки и наладки | Время, мин. | |
1 | Резьбонакатные полуавтоматы, работающие круглыми роликами | Накатывание крепежной резьбы | со сменой резьбонакатных роликов | 17 |
2 | без смены резьбонакатных роликов | 7 | ||
3 | Резьбонарезные полуавтоматы с вращающейся головкой | Нарезание крепежной резьбы тангенциальными плашками | 14 | |
4 | Болторезные | Нарезание крепежной резьбы | Самооткрывающимися резьбонарезными головками | 9 |
5 | круглыми плашками | 6 | ||
6 | Получение инструмента и приспособлений исполнителем работы до начала и сдачу их после окончания обработки партии деталей | 5,0 |
Квалитет (класс точности) | ||||||||
1Т8 - 1Т9 (3) | 1Т7 (2) | |||||||
Диаметр резьбы, мм, до | ||||||||
10 | 20 | св. 20 | 10 | 20 | св. 20 | |||
7 | Время на пробную обработку деталей, мин. | круглые ролики | 3,0 | 3,5 | 4,0 | 3,5 | 4,0 | 5,0 |
8 | плашки | 2,0 | 3,0 | 4,0 | 3,0 | 4,0 | 5,0 | |
Индекс | а | б | в | г | д | е | ||
Шпоночно-фрезерные, фрезерно-отрезные и центровальные станки | ||||
Карта 76 | ||||
I. На наладку станка, инструмента и приспособлений | ||||
N позиции | Тип станка | Вид обработки и наладки | Время, мин. | |
1 | Шпоночно-фрезерные | Обработка призматических пазов методом маятниковой подачи | 12 | |
2 | Обработка призматических пазов методом однопроходной работы | 8 | ||
3 | Фрезерно-отрезные | Отрезка заготовок дисковыми пилами | 5 | |
4 | Центровальные | Центрование торцов на станках с ручным управлением | 5 | |
5 | Фрезерование и центрование торцов на полуавтоматах | 10 | ||
6 | Получение инструмента и приспособлений исполнителем работы до начала и сдачу их после окончания обработки партии деталей | 5 |
Резцы | |||||||||||||
Приложение 1, лист 1 | |||||||||||||
1. Обработка одним резцом | |||||||||||||
![]() | |||||||||||||
Тип резцов и характер обработки | Способ врезания | Угол резца, в плане, | Глубина резания, t, мм | ||||||||||
1 | 2 | 4 | 6 | 8 | 10 | 12 | 16 | 20 | |||||
Врезание и перебег, l1, мм | |||||||||||||
Резцы проходные, подрезные и расточные | - | 45 | 2 | 3,5 | 6 | 8 | 11 | 13 | 15 | 18 | 24 | ||
60 | 2 | 2,5 | 4 | 5 | 7 | 8 | 9 | 11 | 16 | ||||
75 | 2 | 2,5 | 3 | 4 | 5 | 6 | 6 | 7 | 10 | ||||
90 | 3...5 | ||||||||||||
Резцы отрезные и прорезные | - | - | 2...5 | ||||||||||
2. Многорезцовая обработка | |||||||||||||
а) врезание прямое | б) врезание косое | в) врезание радиальное | |||||||||||
![]() | ![]() | ![]() | |||||||||||
Резцы проходные Поверхность заготовки обработанная или из проката | точение на проход | Прямое, а также косое при свободном резании | 45 | 4 | 5 | 7 | 9 | 11 | 13 | - | - | - | |
60 | 4,5 | 4 | 6 | 7 | 8 | 9 | 10 | 12 | - | ||||
90 | 2,5 | 2,5 | 2,5 | 3 | 3 | 3 | 3 | 3 | - | ||||
Косое при несвободном резании под углом, град. | 26 | 45...90 | 6 | 8 | 12 | 17 | 20 | 25 | 30 | 34 | - | ||
30 | 6 | 7 | 11 | 15 | 18 | 21 | 25 | 30 | - | ||||
точение в упор | Прямое, а также косое при свободном резании | 45 | 2 | 3 | 5 | 7 | 9 | 12 | - | - | - | ||
60 | 2 | 2 | 4 | 6 | 7 | 8 | - | 11 | - | ||||
90 | 1 | 1 | 1 | 1,5 | 1,5 | 1,5 | 1,5 | 1,5 | - | ||||
Косое при несвободном резании под углом, град. | 26 | 45...90 | 4 | 6 | 10 | 15 | 18 | 23 | 28 | 32 | - | ||
30 | 4 | 5 | 9 | 13 | 16 | 19 | 23 | 28 | - | ||||
Добавлять при обточке поверхности из | штамповки | - | 1 | 1 | 2 | - | |||||||
отливки, поковки | - | 1 | 2 | 3 | - | ||||||||
ВЕЛИЧИНЫ ВРЕЗАНИЯ И ПЕРЕБЕГА ИНСТРУМЕНТА | Инструменты для обработки отверстий | ||||||||||||
Приложение 1, лист 2 | |||||||||||||
![]() | ![]() | ||||||||||||
Характер обработки | Диаметр инструмента, мм, до | ||||||||||||
3 | 5 | 10 | 15 | 20 | 25 | 30 | 40 | 50 | 60 и более | ||||
Врезание и перебег, l1, мм | |||||||||||||
Сверление на проход | с одинарной заточкой | 2 | 2,5 | 5 | 6 | 8 | 10 | 12 | 15 | 18 | 23 | ||
с двойной заточкой | 1 | - | 6 | 8 | 10 | 15 | 16 | 18 | 22 | 27 | |||
Сверление в упор | 1,5 | 2 | 4 | 6 | 7 | 9 | 11 | 14 | 17 | 21 | |||
Рассверливание | Глубина резания, t, мм, до | 5 | - | - | - | 4 | 4 | 5 | 5 | 5 | 6 | 6 | |
10 | - | - | - | - | 7 | 8 | 8 | 8 | 9 | 9 | |||
15 | - | - | - | - | - | - | 11 | 11 | 12 | 12 | |||
20 | - | - | - | - | - | - | - | 14 | 15 | 15 | |||
30 | - | - | - | - | - | - | - | - | 18 | 18 | |||
Зенкерование | на проход | 1 | - | - | - | 4 | 4 | 5 | 5 | 5 | 6 | 6 | |
3 | - | - | - | - | 7 | 8 | 8 | 8 | 9 | 9 | |||
5 | - | - | - | - | - | - | 11 | 11 | 12 | 12 | |||
10 | - | - | - | - | - | - | - | 14 | 15 | 15 | |||
в упор | - | - | - | - | - | - | - | - | - | 18 | 18 | ||
Развертывание цилиндрических отверстий | на проход | - | 8 | 9 | 15 | 18 | 19 | 19 | 24 | 25 | 26 | ||
в упор | - | 2 | 3 | 3 | 3 | 3 | 4 | 4 | 4 | 5 | |||
Развертывание конических отверстий | 1 | 1 | 1 | 1 | 1 | 1 | 1 | 1,5 | 1,5 | 1,5 | |||
Центрование отверстий | 1...2 | 2 | - | - | - | - | - | - | - | - | |||
Зенкование коническими зенковками | 0,5 | 0,5 | 1 | 1 | 1 | 1 | 1 | 1,5 | 1,5 | 1,5 | |||
Зенкование и цекование облицовочными инструментами | - | 0,5 | 1 | 1 | 1 | 1 | 1 | 1,5 | 1,5 | 1,5 | |||
ВЕЛИЧИНЫ ВРЕЗАНИЯ И ПЕРЕБЕГА ИНСТРУМЕНТА | Фрезы цилиндрические, дисковые, прорезные и фасонные | |||||||||||||
Приложение 1, лист 3 | ||||||||||||||
![]() | ||||||||||||||
Глубина резания, t, мм | Диаметр фрезы, D, мм | |||||||||||||
10 | 16 | 20 | 26 | 32 | 40 | 50 | 63 | 80 | 100 | 125 | 160 | 200 | 250 | |
Врезание и перебег, l1, мм | ||||||||||||||
0,5 | 3 | 4 | 4 | 5 | 5.5 | 6,5 | 7 | 8 | 9 | 10 | 12 | 12 | 14 | 15 |
1,0 | 4 | 5 | 6,5 | 6,5 | 7 | 8,5 | 9 | 10 | 11 | 13 | 15 | 16 | 18 | 20 |
1,5 | 4,5 | 5,5 | 6,5 | 7,5 | 8,5 | 9,5 | 11 | 12 | 13 | 15 | 17 | 19 | 21 | 23 |
2 | 5 | 6,5 | 7 | 8,5 | 9,5 | 11 | 12 | 14 | 15 | 17 | 19 | 21 | 24 | 26 |
3 | 5,5 | 7,5 | 8 | 9,5 | 11 | 13 | 14 | 16 | 18 | 20. | 22 | 25 | 27 | 31 |
4 | 6 | 8 | 9 | 11 | 12 | 14 | 16 | 18 | 20 | 23 | 26 | 29 | 32 | 35 |
5 | - | 8,5 | 9,5 | 12 | 13 | 15 | 17 | 20 | 22 | 25 | 28 | 31 | 35 | 39 |
6 | - | - | 10 | 12 | 14 | 16 | 18 | 21 | 24 | 27 | 30 | 34 | 38 | 42 |
7 | - | - | 11 | 13 | 15 | 17 | 19 | 22 | 25 | 29 | 32 | 36 | 41 | 45 |
8 | - | - | - | 13 | 15 | 18 | 20 | 24 | 27 | 30 | 34 | 38 | 43 | 48 |
9 | - | - | - | - | 16 | 19 | 21 | 25 | 28 | 32 | 35 | 40 | 46 | 51 |
10 | - | - | - | - | 16 | 19 | 22 | 26 | 29 | 33 | 38 | 42 | 48 | 53 |
11 | - | - | - | - | - | 20 | 23 | 27 | 30 | 34 | 39 | 44 | 50 | 55 |
12 | - | - | - | - | - | 20 | 23 | 27 | 31 | 35 | 40 | 46 | 52 | 58 |
13 | - | - | - | - | - | 21 | 24 | 28 | 32 | 37 | 42 | 47 | 53 | 60 |
14 | - | - | - | - | - | - | 24 | 29 | 33 | 38 | 43 | 49 | 55 | 62 |
15 | - | - | - | - | - | - | 25 | 29 | 34 | 39 | 44 | 50 | 57 | 63 |
16 | - | - | - | - | - | - | 25 | 30 | 35 | 40 | 45 | 52 | 58 | 65 |
18 | - | - | - | - | - | - | - | 31 | 36 | 42 | 47 | 54 | 61 | 69 |
20 | - | - | - | - | - | - | - | 32 | 38 | 43 | 50 | 57 | 64 | 72 |
22 | - | - | - | - | - | - | - | 33 | 39 | 44 | 51 | 59 | 67 | 75 |
25 | - | - | - | - | - | - | - | - | 40 | 46 | 54 | 62 | 70 | 78 |
28 | - | - | - | - | - | - | - | - | 41 | 48 | 56 | 65 | 74 | 83 |
30 | - | - | - | - | - | - | - | - | - | 49 | 57 | 66 | 76 | 85 |
35 | - | - | - | - | - | - | - | - | - | 51 | 60 | 70 | 80 | 91 |
40 | - | - | - | - | - | - | - | - | - | - | 62 | 73 | 84 | 96 |
50 | - | - | - | - | - | - | - | - | - | - | - | 78 | 91 | 104 |
60 | - | - | - | - | - | - | - | - | - | - | - | 81 | 96 | 111 |
ВЕЛИЧИНЫ ВРЕЗАНИЯ И ПЕРЕБЕГА ИНСТРУМЕНТА | Фрезы торцовые и концевые (для пазов) | |||||||||||||||
Приложение 1, лист 4 | ||||||||||||||||
Схема установки фрезы | ||||||||||||||||
1. Симметричная | 2. Смещение | |||||||||||||||
![]() | ![]() | |||||||||||||||
Установка фрезы | Ширина фрезерования или ширина паза, B, мм | Диаметр фрезы, мм | ||||||||||||||
16 | 20 | 25 | 32 | 40 | 50 | 63 | 80 | 100 | 125 | 160 | 200 | 250 | 320 | 400 | ||
Врезание и перебег, l1, мм | ||||||||||||||||
Симметричная | 10 | 3,0 | 2,5 | 2,5 | 2,5 | - | - | - | - | - | - | - | - | - | - | - |
15 | - | 4,5 | 4,0 | 3,5 | 3,5 | 3,5 | 3,5 | 3,5 | - | - | - | - | - | - | - | |
20 | - | - | 6,5 | 5,0 | 4,5 | 4,0 | 4,0 | 4,0 | 4,0 | - | - | - | - | - | - | |
25 | - | - | - | 7,5 | 6,0 | 5,0 | 5,0 | 5,0 | 5,0 | 5,0 | - | - | - | - | - | |
30 | - | - | - | 12 | 8,5 | 7,0 | 6,5 | 5,5 | 5,5 | 5,5 | - | - | - | - | - | |
40 | - | - | - | - | - | 12 | 10 | 8 | 7,5 | 6,5 | - | - | - | - | - | |
60 | - | - | - | - | - | - | 25 | 13 | 13 | 11 | 9,5 | 8,5 | 7,5 | - | - | |
ВЕЛИЧИНЫ ВРЕЗАНИЯ И ПЕРЕБЕГА ИНСТРУМЕНТА | Фрезы, торцовые и концевые (для пазов) | |||||||||||||||
Приложение 1, лист 5 | ||||||||||||||||
Установка фрезы | Ширина фрезерования или ширина паза, B, мм | Диаметр фрезы, мм | ||||||||||||||
16 | 20 | 25 | 32 | 40 | 50 | 63 | 80 | 100 | 125 | 180 | 200 | 250 | 320 | 400 | ||
Врезание и перебег, l1, мм | ||||||||||||||||
Симметричная | 80 | - | - | - | - | - | - | - | - | 23 | 18 | 15 | 13 | 11 | 10 | - |
100 | - | - | - | - | - | - | - | - | - | 29 | 21 | 18 | 15 | 13 | 12 | |
120 | - | - | - | - | - | - | - | - | - | 49 | 31 | 24 | 20 | 17 | 14 | |
140 | - | - | - | - | - | - | - | - | - | - | 45 | 33 | 26 | 22 | 18 | |
160 | - | - | - | - | - | - | - | - | - | - | - | 44 | 33 | 27 | 24 | |
180 | - | - | - | - | - | - | - | - | - | - | - | 61 | 43 | 33 | 26 | |
200 | - | - | - | - | - | - | - | - | - | - | - | - | 54 | 40 | 32 | |
220 | - | - | - | - | - | - | - | - | - | - | - | - | 70 | 49 | 38 | |
240 | - | - | - | - | - | - | - | - | - | - | - | - | 94 | 61 | 45 | |
260 | - | - | - | - | - | - | - | - | - | - | - | - | - | 72 | 53 | |
280 | - | - | - | - | - | - | - | - | - | - | - | - | - | 88 | 62 | |
300 | - | - | - | - | - | - | - | - | - | - | - | - | - | 109 | 73 | |
320 | - | - | - | - | - | - | - | - | - | - | - | - | - | - | 85 | |
340 | - | - | - | - | - | - | - | - | - | - | - | - | - | - | 100 | |
Смещенная | B > 0,3 D | - | - | - | - | - | - | - | - | 33 | 42 | 52 | 65 | 80 | 103 | 127 |
B <= 0,3 D | - | - | - | - | - | - | - | - | 31 | 38 | 48 | 60 | 74 | 94 | 117 | |
ВЕЛИЧИНЫ ВРЕЗАНИЯ И ПЕРЕБЕГА ИНСТРУМЕНТА | Резьбонарезной инструмент | ||||
Приложение 1, лист 6 | |||||
Режущий инструмент и характер обработки | Врезание и перебег, l1, мм | ||||
Резцы резьбовые | на станках с полуавтоматическим циклом | ![]() | (3...4) S | ||
на токарно-винторезных станках | на проход | (5...8) S | |||
в упор | (3...4) S | ||||
на токарных станках вихревым методом | (1,5...4) S | ||||
Метчики | машинные | на проход | ![]() | Длина заборной части (3...6 ниток) плюс 1...2 калибрующие нитки (2,5...3) S | |
в упор | |||||
гаечные | на проход | ![]() | Длина режущей части метчика | ||
Плашки | круглые | ![]() | Длина заборной части (1,5...2) S | ||
тангенцальные | ![]() | Длина заборной части (1,5...2) S | |||
ВЕЛИЧИНЫ ВРЕЗАНИЯ И ПЕРЕБЕГА ИНСТРУМЕНТА | Резьбонарезной инструмент | |||
Приложение 1, лист 7 | ||||
Режущий инструмент и характер обработки | Врезание и перебег, l1, мм | |||
Резьбонарезные круглые гребенки для винторезных головок | ![]() | Длина заборной части (2...3) S | ||
Фрезы резьбовые гребенчатые | ![]() | ![]() | ||
Фрезы резьбовые дисковые с шагом резьбы, S, мм, до | 6 | ![]() | 2 S | |
10 | 1,5 S | |||
св. 10 | 1,0 S | |||
ВЕЛИЧИНЫ ВРЕЗАНИЯ И ПЕРЕБЕГА ИНСТРУМЕНТА | Фрезы червячные модульные для цилиндрических зубчатых колес | |||||||||||||
Приложение 1, лист 8 | ||||||||||||||
Обработка в один проход | ||||||||||||||
![]() | ||||||||||||||
Характер обработки | Глубина резания | Угол наклона зуба, | Число зубьев зубчатого колеса | Модуль нарезаемого колеса, m, мм | ||||||||||
1 | 2 | 3 | 4 | 5 | 6 | 8 | 10 | 12 | ||||||
Диаметр фрезы, мм | ||||||||||||||
50 | 55 | 70 | 80 | 90 | 125 | 145 | 164 | 171 | ||||||
Врезание и перебег, l1, мм | ||||||||||||||
Угол наклона зуба зубчатого колеса и угол наклона витка фрезы | одноименные | обработка по сплошному металлу | 2,2 m | 0 | - | 10 | 18 | 24 | 28 | 33 | 41 | 50 | 59 | 65 |
15 | 20 | 12 | 20 | 27 | 33 | 39 | 45 | 56 | 67 | 76 | ||||
40 | 12 | 20 | 28 | 34 | 40 | 47 | 58 | 69 | 79 | |||||
80 | 12 | 21 | 29 | 36 | 42 | 49 | 61 | 72 | 82 | |||||
120 | 13 | 21 | 29 | 37 | 43 | 50 | 63 | 75 | 86 | |||||
30 | 20 | 14 | 24 | 33 | 42 | 50 | 58 | 73 | 87 | 100 | ||||
40 | 14 | 26 | 35 | 45 | 54 | 62 | 78 | 95 | 110 | |||||
80 | 15 | 26 | 38 | 48 | 58 | 68 | 88 | 109 | 125 | |||||
ВЕЛИЧИНЫ ВРЕЗАНИЯ И ПЕРЕБЕГА ИНСТРУМЕНТА | Фрезы червячные модульные для цилиндрических зубчатых колес | |||||||||||||
Приложение 1, лист 9 | ||||||||||||||
Характер обработки | Глубина резания | Угол наклона зуба, | Число зубьев зубчатого колеса | Модуль нарезаемого колеса, m, мм | ||||||||||
1 | 2 | 3 | 4 | 5 | 6 | 8 | 10 | 12 | ||||||
Диаметр фрезы, мм | ||||||||||||||
50 | 55 | 70 | 80 | 90 | 125 | 145 | 164 | 171 | ||||||
Врезание и перебег, l1, мм | ||||||||||||||
Угол наклона зуба зубчатого колеса и угол наклона витка фрезы | одноименные | обработка по сплошному металлу | 2,2 m | 45 | 20 | 17 | 31 | 43 | 54 | 66 | 76 | 98 | 119 | 136 |
40 | 19 | 34 | 48 | 61 | 74 | 86 | 111 | 135 | 157 | |||||
80 | 21 | 39 | 56 | 72 | 87 | 102 | 132 | 161 | 190 | |||||
обработка по предварительно прорезанному зубу | 1,2...1,6 мм | 0 | - | - | - | - | 14 | 14 | 16 | 17 | 18 | 19 | ||
15 | 20 | - | - | - | 17 | 19 | 20 | 22 | 24 | 26 | ||||
80 | - | - | - | 18 | 19 | 21 | 23 | 25 | 27 | |||||
30 | 20 | - | - | - | 22 | 25 | 27 | 31 | 34 | 37 | ||||
80 | - | - | - | 25 | 28 | 30 | 35 | 39 | 42 | |||||
45 | 20 | - | - | - | 29 | 33 | 36 | 42 | 47 | 52 | ||||
80 | - | - | - | 36 | 40 | 44 | 51 | 57 | 63 | |||||
разноименные | обработка по сплошному металлу | 2,2 m | 15 | 20 | 12 | 22 | 29 | 37 | 43 | 50 | 63 | 76 | 88 | |
40 | 12 | 22 | 30 | 38 | 46 | 53 | 67 | 81 | 94 | |||||
80 | 13 | 23 | 32 | 40 | 48 | 56 | 72 | 88 | 103 | |||||
120 | 13 | 23 | 33 | 42 | 51 | 60 | 78 | 95 | 112 | |||||
30 | 20 | 14 | 26 | 36 | 45 | 54 | 63 | 80 | 97 | 115 | ||||
40 | 15 | 27 | 39 | 50 | 61 | 71 | 91 | 112 | 132 | |||||
80 | 16 | 31 | 44 | 58 | 70 | 82 | 108 | 132 | 158 | |||||
45 | 20 | 18 | 34 | 48 | 62 | 76 | 90 | 116 | 140 | 170 | ||||
40 | 20 | 38 | 54 | 70 | 86 | 100 | 131 | 168 | 193 | |||||
80 | 23 | 44 | 64 | 83 | 102 | 120 | 159 | 199 | 237 | |||||
обработка по предварительно прорезанному зубу | 1,2...1,6 мм | 15 | 20 | - | - | - | 19 | 21 | 23 | 26 | 29 | 32 | ||
80 | - | - | - | 20 | 23 | 25 | 28 | 31 | 35 | |||||
30 | 20 | - | - | - | 25 | 27 | 30 | 35 | 40 | 45 | ||||
80 | - | - | - | 29 | 32 | 36 | 42 | 47 | 54 | |||||
45 | 20 | - | - | - | 33 | 37 | 40 | 47 | 54 | 60 | ||||
80 | - | - | - | 41 | 46 | 51 | 60 | 69 | 78 | |||||
ВЕЛИЧИНЫ ВРЕЗАНИЯ И ПЕРЕБЕГА ИНСТРУМЕНТА | Фрезы червячные модульные для цилиндрических зубчатых колес | |||||||||
Приложение 1, лист 10 | ||||||||||
Черновая обработка в два прохода | ||||||||||
Характер обработки | Глубина резания | Угол наклона зуба, | Число зубьев зубчатого колеса | Модуль нарезаемого колеса, m, мм | ||||||
8 | 10 | 12 | 14 | 16 | ||||||
Диаметр фрезы D, мм | ||||||||||
145 | 164 | 171 | 184 | 199 | ||||||
Врезание и перебег, l1, мм | ||||||||||
Угол наклона зуба зубчатого колеса и угол наклона витка фрезы | одноименные | первый проход | 1,4 m | 0 | - | 42 | 49 | 54 | 58 | 66 |
15 | 20 | 46 | 57 | 63 | 70 | 76 | ||||
40 | 47 | 58 | 64 | 72 | 78 | |||||
80 | 49 | 60 | 67 | 74 | 82 | |||||
120 | 51 | 62 | 70 | 77 | 85 | |||||
30 | 20 | 61 | 73 | 83 | 93 | 103 | ||||
40 | 64 | 79 | 90 | 102 | 112 | |||||
80 | 72 | 89 | 103 | 115 | 128 | |||||
45 | 20 | 83 | 100 | 117 | 133 | 147 | ||||
40 | 92 | 113 | 131 | 150 | 168 | |||||
80 | 110 | 134 | 156 | 178 | 198 | |||||
второй проход | 0,7 m | 0 | - | 31 | 36 | 40 | 43 | 49 | ||
15 | 20 | 36 | 43 | 49 | 55 | 60 | ||||
40 | 37 | 44 | 50 | 56 | 62 | |||||
80 | 38 | 45 | 52 | 58 | 64 | |||||
120 | 39 | 47 | 53 | 60 | 66 | |||||
30 | 20 | 48 | 57 | 65 | 74 | 82 | ||||
40 | 50 | 61 | 70 | 79 | 88 | |||||
80 | 56 | 68 | 78 | 88 | 98 | |||||
45 | 20 | 64 | 77 | 89 | 100 | 113 | ||||
40 | 72 | 86 | 100 | 115 | 130 | |||||
80 | 82 | 101 | 17 | 133 | 150 | |||||
разноименные | 15 | 20 | 53 | 64 | 75 | 85 | 96 | |||
40 | 56 | 67 | 78 | 90 | 100 | |||||
80 | 60 | 73 | 86 | 99 | 113 | |||||
120 | 64 | 78 | 92 | 107 | 122 | |||||
ВЕЛИЧИНЫ ВРЕЗАНИЯ И ПЕРЕБЕГА ИНСТРУМЕНТА | Фрезы червячные модульные для цилиндрических зубчатых колес | |||||||||
Приложение 1, лист 11 | ||||||||||
Характер обработки | Глубина резания | Угол наклона зуба, | Число зубьев зубчатого колеса | Модуль нарезаемого колеса, m, мм | ||||||
8 | 10 | 12 | 14 | 16 | ||||||
Диаметр фрезы D, мм | ||||||||||
145 | 164 | 171 | 184 | 199 | ||||||
Врезание и перебег, l1, мм | ||||||||||
Угол наклона зуба зубчатого колеса и угол наклона витка фрезы | разноименные | первый проход | 1,4 m | 30 | 20 | 71 | 86 | 100 | 115 | 130 |
40 | 76 | 93 | 110 | 127 | 145 | |||||
80 | 87 | 109 | 128 | 148 | 170 | |||||
второй проход | 0,7 m | 45 | 20 | 96 | 117 | 140 | 160 | 184 | ||
40 | 108 | 135 | 160 | 186 | 213 | |||||
80 | 124 | 154 | 190 | 222 | 258 | |||||
15 | 20 | 41 | 49 | 58 | 66 | 74 | ||||
40 | 43 | 52 | 60 | 68 | 77 | |||||
80 | 46 | 56 | 66 | 75 | 86 | |||||
120 | 49 | 59 | 70 | 82 | 93 | |||||
30 | 20 | 54 | 66 | 77 | 88 | 100 | ||||
40 | 59 | 73 | 84 | 96 | 110 | |||||
80 | 68 | 83 | 99 | 115 | 131 | |||||
45 | 20 | 74 | 91 | 108 | 125 | 142 | ||||
40 | 90 | 114 | 131 | 150 | 170 | |||||
80 | 100 | 123 | 149 | 175 | 200 | |||||
- на 1,3 m и с углом наклона зубьев
- на 1,9 m.ВЕЛИЧИНЫ ВРЕЗАНИЯ И ПЕРЕБЕГА ИНСТРУМЕНТА | Фрезы червячные для шлицевых валов | |||||||||||
Приложение 1, лист 12 | ||||||||||||
![]() | ||||||||||||
Глубина шлицев, h, мм | Диаметр фрезы, мм | |||||||||||
50 | 55 | 60 | 65 | 70 | 75 | 80 | 85 | 90 | 100 | 110 | 120 | |
Врезание и перебег, l1, мм | ||||||||||||
1,5 | 12 | 12 | 12 | 13 | 13 | 14 | 14 | 14 | 15 | 15 | 16 | 16 |
2 | 13 | 13 | 14 | 14 | 15 | 15 | 16 | 16 | 16 | 17 | 18 | 18 |
3 | 15 | 16 | 16 | 17 | 17 | 18 | 18 | 19 | 19 | 20 | 21 | 22 |
4 | 17 | 17 | 18 | 19 | 19 | 20 | 20 | 21 | 22 | 23 | 24 | 25 |
5 | 18 | 19 | 20 | 20 | 21 | 22 | 22 | 23 | 24 | 25 | 26 | 27 |
6 | 19 | 20 | 21 | 22 | 23 | 23 | 24 | 25 | 26 | 27 | 28 | 29 |
7 | 20 | 21 | 22 | 23 | 24 | 25 | 26 | 26 | 27 | 29 | 30 | 31 |
8 | 21 | 22 | 23 | 24 | 25 | 26 | 27 | 28 | 28 | 30 | 32 | 33 |
Все типы станков | |||
Приложение 2, лист 1 | |||
Станки | Длина обрабатываемой поверхности, lx, мм | Перебег инструмента в направления главного движения, | |
Продольно-строгальные | ![]() | 2000 | 200 |
4000 | 315 | ||
6000 | 400 | ||
Св. 6000 | 500 | ||
Поперечно-строгальные и долбежные | 100 | 35 | |
200 | 50 | ||
300 | 60 | ||
Св. 300 | 75 | ||
Зубодолбежные | ![]() | 20 | 5 |
50 | 8 | ||
70 | 12 | ||
85 | 15 | ||
120 | 20 | ||
Св. 120 | 25 | ||
Зубострогальные для конических колес | ![]() | 30 | 5 |
50 | 8 | ||
Св. 50 | 12 | ||
ВЕЛИЧИНЫ ПЕРЕБЕГА ИНСТРУМЕНТА В НАПРАВЛЕНИИ ГЛАВНОГО ДВИЖЕНИЯ | Все типы станков | ||||
Приложение 2, лист 2 | |||||
Станки | Длина обрабатываемой поверхности, lx, мм | Перебег инструмента в направления главного движения, | |||
Протяжные | ![]() | Все размеры | 30...50 | ||
Хонинговальные | ![]() | Все размеры | 0 | ||
Круглошлифовальные | ![]() | Все размеры | на проход | 0 | |
в упор | -0,5 Bк | ||||
ВЕЛИЧИНЫ ПЕРЕБЕГА ИНСТРУМЕНТА В НАПРАВЛЕНИИ ГЛАВНОГО ДВИЖЕНИЯ | Все типы станков | |||
Приложение 2, лист 3 | ||||
Станки | Длина обрабатываемой поверхности, lx, мм | Перебег инструмента в направлении главного движения, | ||
Внутришлифовальные | ![]() | Все размеры | на проход | 0 |
в упор | -0,5 Bк | |||
Бесцентровошлифовальные | ![]() | Все размеры | 5...10 | |
Плоскошлифовальные с прямоугольным столом, работающие | торцом круга | Все размеры | грубая и неточная обработка | 0 |
![]() | ||||
чистовая обработка | Дк | |||
периферией круга | Все размеры | 10...15 | ||
![]() | ||||
ВЕЛИЧИНЫ ПЕРЕБЕГА ИНСТРУМЕНТА В НАПРАВЛЕНИИ ГЛАВНОГО ДВИЖЕНИЯ | Все типы станков | ||
Приложение 2, лист 4 | |||
Станки | Длина обрабатываемой поверхности, lx, мм | Перебег инструмента в направлении главного движения, | |
Плоскошлифовальные с круглым столом, работающие | торцом круга | Все размеры | 0 |
![]() | |||
периферией круга | Все размеры | 0 | |
![]() | |||
Приложение 3 | ||||||||
N позиции | Вид обработки | Режущий инструмент | Квалитет (класс точности) | Размеры, мм, до | Расчетное число пробных стружек | Дополнительные длины на взятие пробных стружек l2, мм | ||
1 | Обработка тел вращения | цилиндрических или конических поверхностей | Резцы | 1Т7 (2 кл.) | Диаметр детали | 200 | 2 | 10 |
2 | 500 | 3 | 15 | |||||
3 | 1000 | 3 | 24 | |||||
4 | св. 1000 | 4 | 40 | |||||
5 | 1Т8 - 1Т9 (3 кл.) | 200 | 1 | 5 | ||||
6 | 500 | 2 | 10 | |||||
7 | 1000 | 2 | 16 | |||||
8 | св. 1000 | 3 | 30 | |||||
9 | 1Т11 - 1Т13 (4 - 5 кл.) | 200 | 1 | 5 | ||||
10 | 500 | 1 | 5 | |||||
11 | 1000 | 1 | 8 | |||||
12 | св. 1000 | 2 | 20 | |||||
13 | торцов | 0,5...0,3 мм | Длина детали | 500 | 1 | 5 | ||
14 | св. 500 | 1 | 8 | |||||
15 | Обработка плоскостей | Резцы | 0,5...0,3 мм | Длина обрабатываемой поверхности | 500 | 1 | 5 | |
16 | 2000 | 1 | 8 | |||||
17 | св. 2000 | 1 | 10 | |||||
18 | <= 0,3 мм | 500 | 2 | 10 | ||||
19 | 2000 | 2 | 16 | |||||
20 | св. 2000 | 2 | 20 | |||||
21 | Фрезы | 0,5...0,3 мм | Диаметр фрезы | 90 | 1 | 5 | ||
22 | 250 | 1 | 8 | |||||
23 | 400 | 1 | 10 | |||||
24 | <= 0,3 мм | 90 | 2 | 10 | ||||
25 | 250 | 2 | 16 | |||||
26 | 400 | 2 | 20 | |||||
Приложение 4 | |||
Способ установки детали | Содержание работы | ||
Установить и снять деталь при работе в универсальном или специальном приспособлении | вручную | Взять деталь (детали), установить в зажимное приспособление (выверить по необходимости), закрепить. Включить станок. Выключить станок. Открепить деталь (детали). Снять и отложить на место. Очистить приспособление от стружки (по необходимости) | |
подъемником при станке или мостовым краном | Застроить деталь тросом или цепью, поднять подъемником (краном), установить (выверить по необходимости), закрепить. Включить станок. Выключить станок. Открепить деталь, застропить тросом или цепью, поднять подъемником (краном) и отложить на место. Очистить приспособление от стружки (по необходимости) | ||
Установить и снять деталь при работе на магнитном столе | вручную | Взять деталь (детали), установить на столе, включить магнит. Включить станок. Выключить магнит, снять деталь (детали) со стола и отложить на место. Промыть или протереть стол | |
подъемником при станке или мостовым краном | Застропить деталь тросом или цепью, поднять подъемником (краном), установить на столе, включить магнит. Включить станок. Выключить магнит. Застропить деталь тросом или цепью, поднять подъемником (краном) и отложить на место. Промыть или протереть стол | ||
Установить и снять деталь при работе на прутка | установка прутка | Взять пруток (длиной до 3 м), установить в шпинделе станка в кулачках или в цанге, закрепить пруток. Включить станок. Выключить станок. Открепить остаток прутка и отложить | |
выдвижение прутка | Открепить пруток, выдвинуть на заданную длину обработки, закрепить пруток. Включить станок. Положить отрезанную деталь на место. Выключить станок | ||
Кантование детали подъемником | Подвести подъемник (кран) к детали, застропить, поднять деталь и переместить на место кантовки. Опустить деталь, расстроить, застропить деталь и кантовать. Поднять деталь, переместить на место обработки и расстропить | ||
Приложение 5, лист 1 | |||
Характер обработки | Способ выполнения работы | N/N приемов управления станком, вошедших в комплекс времени на переход | |
Токарно-винторезные станки | |||
1. | Обработка с полуавтоматическим циклом или программным управлением | Резцом, установленным на размер | 1, Tо, (2) |
2. | Продольное точение или растачивание | Резцом, установленным на размер | 18, 3, Tо, (3), 63 |
С установкой резца по лимбу или упору | 18, 19, 3, Tо, (3), 20, 63 | ||
С предварительным промером | 2, Пр, 2, 18, 19, 3, Tо, (3), 20, 63 | ||
Со взятием одной пробной стружки | 18, 19, 3, Tо, (3), 20, 2, Пр, 2, 19, 3, Tо, (3), 20, 63 | ||
Примечание. Для каждой пробной стружки свыше одной повторяются приемы | 2, Пр, 2, 19, 3, Tо, (3), 20 | ||
3. | Поперечное точение | С установкой резца по лимбу или упору | 18, 19, 3, Tо, (3), 20, 63 |
С предварительным промером | 2, Пр, 18, 2, 18, 3, Tо, (3), 20, 63 | ||
Со взятием одной пробной стружки | 18, 19, 3, Tо, (3), 20, 2, Пр, 2, 19, 3, Tо, (3), 20, 63 | ||
Примечание. Для каждой пробной стружки свыше одной повторяются приемы | 2, Пр, 2, 19, 3, Tо, (3), 20 | ||
4. | Обработка конуса | Без измерения | 18, 19, Tо, 63 |
С измерением | 18, 19, Tо, 63, 2, Пр, 2 | ||
5. | Точение или растачивание с одновременной проточкой торца | По упору или лимбу грубо | 18, 19, 3, Tо, (3), 3, Tо, (3), 20, 63 |
По лимбу с точностью <= 0,2 мм | 18, 19, 3, Tо, (3), 3, Tо, (3), 20, 63 | ||
6. | Внутренняя подрезка торца | Без измерения | 63, 18, 3, Tо, (3), 20, 63 |
С измерением длины расположения размера | 63, 18, 2, Пр, 19, 2, 3, Tо, (3), 20, 63 | ||
СОСТАВ И ПОСЛЕДОВАТЕЛЬНОСТЬ ПРИЕМОВ УПРАВЛЕНИЯ СТАНКОМ, СВЯЗАННЫХ С ПЕРЕХОДОМ | Приложение 5, лист 2 | ||
Характер обработки | Способ выполнения работы | N/N приемов управления станком, вошедших в комплекс времени на переход | |
7. | Проточка пазов, канавок, отрезка | ||
I. Наружная обработка | Без измерения | 18, Tо, 63 | |
С измерением длины расположения размера | 18, 2, Пр, 19, 2, Tо, 63 | ||
II. Внутренняя обработка | Без измерения | 63, 18, Tо, 20, 63 | |
С измерением длины расположения размера | 63, 18, 2, Пр, 19, 2, Tо, 20, 63 | ||
8. | Нарезание резьбы резцом | Черновой проход | 19, 2, Tо, 20, 7, Tв, 2 |
Чистовой проход | 19, 2, Tо, 20, 7, Tв, 2, Пр | ||
9. | Нарезание резьбы метчиком, плашкой от задней бабки или роликами | - | 18, Tо, 7, Tв, 63, 7 |
10. | Сверление | - | 18, Tв, 311, 18, Tо, 63 |
11. | Рассверливание, зенкерование, зенковавание, развертывание | - | 18, Tо, 63 |
12. | Обточка профильная, обточка фасок или галтелей | Без измерения | 18, Tо, 63 |
С измерением | 18, Tо, 63, 2, Пр, 2 | ||
13. | Накатывание рифлений | С продольной подачей | 18, 19, 3, Tо, 8, Tо (3), 63 |
С поперечной подачей | 18, 19, Tо, 63 | ||
СОСТАВ И ПОСЛЕДОВАТЕЛЬНОСТЬ ПРИЕМОВ УПРАВЛЕНИЯ СТАНКОМ, СВЯЗАННЫХ С ПЕРЕХОДОМ | Приложение 5, лист 3 | ||
Характер обработки | Способ выполнения работы | N/N приемов управления станком, вошедших в комплекс времени на переход | |
Лоботокарные станки | |||
1. | Продольное точение или растачивание | Резцом, установленным на размер | 18, 3, Tо, (3), 63 |
С установкой резца по лимбу | 18, 19, 3, Tо, (3), 20, 63 | ||
С предварительным промером | 2, Пр, 2, 18, 19, 3, Tо, (3), 20, 63 | ||
Со взятием одной пробной стружки | 18, 19, 3, Tо, (3), 20, 2, Пр, 2, 19, 3, Tо, (3), 20, 63 | ||
Примечание: Для каждой пробной стружки свыше одной повторяются приемы | 2, Пр, 2, 19, 3, Tо, (3), 20 | ||
2. | Поперечное точение | С установкой резца по лимбу | 18, 19, 3, Tо, (3), 20, 63 |
С предварительным промером | 2, Пр, 18, 2, 18, 3, Tо, (3), 20, 63 | ||
Со взятием пробных стружек | 18, 19, 3, Tо, (3), 20, 2, Пр, 2, 19, 3, Tо, (3), 20, 63 | ||
Примечание. Для каждой пробной стружки свыше одной повторяются приемы | 2, Пр, 2, 19, 3, Tо, (3), 20 | ||
3. | Обработка конуса | Без измерения | 18, 19, Tо, 63 |
С измерением | 18, 19, Tо, 63, 2, Пр, 2 | ||
4. | Внутренняя подрезка торца | Без измерения | 63, 18, 3, Tо, (3), 20, 63 |
С измерением длины расположения размера | 63, 18, 2, Пр, 19, 2, 3, Tо, (3), 20, 63 | ||
5. | Проточка пазов, канавок, отрезка | ||
I. Наружная обработка | Без измерения | 18, Tо, 63 | |
С измерением длины расположения размера | 18, 2, Пр, 19, 2, Tо, 63 | ||
II. Внутренняя обработка | Без измерения | 63, 18, Tо, 20, 63 | |
С измерением длины расположения размера | 63, 18, 2, Пр, 19, 2, Tо, 20, 63 | ||
6. | Обточка профильная, обточка фасок или галтелей | Без измерения | 18, Tо, 63 |
С измерением | 18, Tо, 63, 2, Пр, 2 | ||
СОСТАВ И ПОСЛЕДОВАТЕЛЬНОСТЬ ПРИЕМОВ УПРАВЛЕНИЯ СТАНКОМ, СВЯЗАННЫХ С ПЕРЕХОДОМ | Приложение 5, лист 4 | ||
Характер обработки | Способ выполнения работы | N/N приемов управления станком, вошедших в комплекс времени на переход | |
Токарно-карусельные станки | |||
1. | Продольное или поперечное точение и растачивание | С установкой резца по лимбу | 16, 19, 3, Tо, (3), 20, 63 |
С предварительным промером | 2, Пр, 2, 18, 19, 3, Tо, (3), 20, 63 | ||
Со взятием одной пробной стружки | 18, 19, 3, Tо, (3), 20, 2, Пр, 2, 18, 19, 3, Tо, (3), 20, 63 | ||
Примечание. Для каждой пробной стружки свыше одной повторяются приемы | 2, Пр, 2, 18, 19, 3, Tо, (3), 20 | ||
2. | Проточка пазов | Без измерения | 63, 18, Tо, 20, 63 |
С измерением длины расположения размера | 63, 18, 2, Пр, 19, 2, Tо, 20, 63 | ||
3. | Проточка профильная, проточка фасок и галтелей | Без измерения | 18, Tо, 20 |
С измерением | 18, Tо, 20, 2, Пр, 2 | ||
4. | Сверление, зенкерование, развертывание | - | 18, 28, 3, Tо, (3), 63 |
Горизонтально-расточные станки с неподвижной стойкой и поворотным столом | |||
1. | Растачивание отверстий | Резцом, установленным на размер по шаблону | 18, 2, 19, 2, 3, Tо, (3), 63 |
Со взятием пробной стружки | 18, 2, 19, 2, 3, Tо, (3), 20, 2, Пр, 19, 2, 18, 3, Tо, (3), 63 | ||
Примечание. Для каждой пробной стружки свыше одной повторяются приемы | 20, 2, Пр, 19, 2, 18, 3 Tо, (3) | ||
Мерной расточной пластиной или двусторонним резцом | 18, 3, Tо, (3), 63 | ||
2. | Подрезка торцов | Расточной пластиной, зенковкой | 18, Tо, 63 |
Резцом в резцедержателе на планшайбе по лимбу | 18, 19, 3, Tо, (3), 20, 63 | ||
Резцом в резцедержателе на планшайбе со взятием пробной стружки | 18, 19, 3, Tо, (3), 20, 2, Пр, 2, 19, 18, 3, Tо, (3), 63 | ||
3. | Прорезка пазов | Без измерения | 18, 19, Tо, 20, 20 |
С измерением длины расположения размера | 18, 19, 2, Пр, 19, 2, Tо, 20, 20 | ||
4. | Сверление отверстий | - | 18, 3, Tо, (3), 31, 3, Tо, (3), 63 |
СОСТАВ И ПОСЛЕДОВАТЕЛЬНОСТЬ ПРИЕМОВ УПРАВЛЕНИЯ СТАНКОМ, СВЯЗАННЫХ С ПЕРЕХОДОМ | Приложение 5, лист 5 | ||
Характер обработки | Способ выполнения работы | N/N приемов управления станком, вошедших в комплекс времени на переход | |
5. | Рассверливание, зенкерование, развертывание | - | 18, 3, Tо, (3), 63 |
6. | Фрезерование плоскостей и пазов | По разметке | 18, 19, 3, Tо, (3), 20, 63 |
Со взятием пробной стружки | 18, 19, 3, Tо, (3), 20, 2, Пр, 2, 19, 18, 3, Tо, (3), 20, 63 | ||
Токарно-револьверные станки с вертикальной осью вращения головки | |||
А. Работа револьверной головкой | |||
1. | Обработка на станках с полуавтоматическим циклом | Инструментом, установленным на размер | 1, Tо, (2) |
2. | Обработка с продольной подачей | Механическая подача | 41, 18, 3, Tо, (3), 63 |
Ручная подача | 41, 18, Tо, 63 | ||
3. | Обработка с продольной подачей и предварительным радиальным врезанием | Механическая подача | 41, 18, 21, Tо, 3, Tо, (3), 20, 63 |
Ручная подача | 41, 18, 21, Tо, 20, 63 | ||
4. | Нарезание резьбы | Резьбонарезной самооткрывающейся головкой | 41, 46, 18, 23, Tо, 63 |
Метчиком или плашкой | 41, 18, 23, Tо, 7, Tв, 63, 7 | ||
Б. Работа суппортом | |||
5. | Обработка с продольной или поперечной подачей | По лимбу или упору с механической подачей | 18, 19, 3, Tо, (3), 20, 63 |
По лимбу или упору с ручной подачей | 18, 19, Tо, 20, 63 | ||
Со взятием пробной стружки | 18, 19, 3, Tо, (3), 20, 2, Пр, 2, 19, 3, Tо, (3), 20, 63 | ||
Токарно-револьверные станки с горизонтальной осью вращения головки | |||
1. | Обработка с продольной подачей | Механическая подача | 41, 18, 3, Tо, (3), 63 |
Ручная подача | 41, 18, Tо, 63 | ||
2. | Обработка с продольной подачей и предварительным врезанием | Механическая подача | 41, 18, 18, Tо, 3, Tо, (3), 20, 63 |
Ручная подача | 41, 18, 18, Tо, Tо, 20, 63 | ||
СОСТАВ И ПОСЛЕДОВАТЕЛЬНОСТЬ ПРИЕМОВ УПРАВЛЕНИЯ СТАНКОМ, СВЯЗАННЫХ С ПЕРЕХОДОМ | Приложение 5, лист 6 | ||
Характер обработки | Способ выполнения работы | N/N приемов управления станком, вошедших в комплекс времени на переход | |
3. | Обработка с поперечной подачей с подводом револьверной головки | Механическая подача | 41, 18, 18, 3, Tо, (3), 20, 63 |
Ручная подача | 41, 18, 18, Tо, 20, 63 | ||
4. | Обработка с поперечной подачей без подвода револьверной головки | Механическая подача | 41, 18, 3, Tо, (3), 20 |
Ручная подача | 41, 18, Tо, 20 | ||
5. | Нарезание крепежной резьбы | Самооткрывающейся резьбонарезной головкой | 41, 46, 18, 23, Tо, 63 |
Метчиком или плашкой | 41, 18, 23, Tо, 7, Tв, 63, 7 | ||
6. | Нарезание конической резьбы | Резцом с копирным устройством | 43, 44, Tо, 45 |
Вертикально- и радиально-сверлильные станки | |||
1. | Обработка на станках с полуавтоматическим циклом или программным управлением | - | 1, Tо, (2) |
2. | Сверление по разметке или кондуктору | Механическая подача | 28, 3, Tо, 31, Tо, (3), 20 |
Ручная подача | 28, Tо, 31, Tо, 20 | ||
3. | Рассверливание, зенкерование, развертывание | Механическая подача | 28, 3, Tо, (3), 20 |
Ручная подача | 28, Tо, 20 | ||
4. | Зенкование или цекование | Верхней плоскости | 28, Tо, 20 |
Нижней плоскости | 22, 42, 2, 18, Tо, 20, 2, 22 | ||
5. | Нарезание резьбы машинными метчиками | Без реверса | 42, 28, Tо, 20 |
С реверсом | 28, Tо, 7, Tв, 20, 7 | ||
Горизонтально-, вертикально- и универсально-фрезерные станки | |||
1. | Фрезерование с полуавтоматическим циклом или программным управлением | - | 1, Tо, (2) |
СОСТАВ И ПОСЛЕДОВАТЕЛЬНОСТЬ ПРИЕМОВ УПРАВЛЕНИЯ СТАНКОМ, СВЯЗАННЫХ С ПЕРЕХОДОМ | Приложение 5, лист 7 | ||
Характер обработки | Способ выполнения работы | N/N приемов управления станком, вошедших в комплекс времен на переход | |
2. | Фрезерование плоскостей, фасонных поверхностей и пазов | Фрезой, установленной на размер | 18, 3, Tо, (3), 63 |
С установкой фрезы по лимбу или шаблону приспособления | 18, 19, 3, 36, Tо, 36, (3), 20, 63 | ||
С установкой фрезы по разметке | 18, 19, 3, Tо, (3), 20, 19, 18, 3, 36, Tо, 36, (3), 20, 63 | ||
Со взятием пробной стружки | 18, 19, 3, Tо, (3), 20, 2, Пр, 2, 19, 3, 36, Tо, 36, (3), 20, 63 | ||
3. | Фрезерование криволинейных поверхностей и пазов по копиру или лимбу | Наружные поверхности | 18, 19, 36, 3, Tо, (3), 36 |
Внутренние поверхности | 18, 24, 19, 36, 3, Tо, (3), 36, 20, 24, 63 | ||
4. | Фрезерование шлиц, винтов, граней болтов и гаек | Фрезой, установленной на размер | 18, Tо, 20 |
Продольно-фрезерные станки | |||
1. | Фрезерование плоскостей, фасонных поверхностей и пазов | Фрезой, установленной на размер | 16, 3, Tо, (3), 63 |
С установкой фрезы по разметке | 16, 19, 3, Tо, (3), 20, 19, 36, 18, 3, Tо, (3), 36, 20, 63 | ||
С установкой фрезы по лимбу или шаблону приспособления и щупу | 16, 19, 36, 3, Tо, (3), 36, 20, 63 | ||
Со взятием одной пробной стружки | 16, 19, 3, Tо, (3), 20, 2, Пр, 2, 19, 36, 3, Tо, (3), 36, 20, 63 | ||
Со взятием двух пробных стружек | 16, 19, 3, Tо, (3), 20, 2, Пр, 2, 19, 3, Tо, (3), 20, 2, Пр, 2, 19, 36, 3, Tо, (3), 36, 20, 63 | ||
СОСТАВ И ПОСЛЕДОВАТЕЛЬНОСТЬ ПРИЕМОВ УПРАВЛЕНИЯ СТАНКОМ, СВЯЗАННЫХ С ПЕРЕХОДОМ | Приложение 5, лист 8 | ||
Характер обработки | Способ выполнения работы | N/N приемов управления станком, вошедших в комплекс времени на переход | |
Копировально-фрезерные станки | |||
1. | Фрезерование с полуавтоматическим циклом или программным управлением | - | 1, Tо, (2) |
2. | Фрезерование криволинейных поверхностей и пазов по плоским копирам | Наружные поверхности | 18, 3, Tо, (3), 20, 63 |
Закрытые поверхности | 24, 18, 19, 2, 3, Tо, (3), 24, 20, 2 | ||
Строгальные и долбежные станки | |||
1. | Обработка плоскостей | Резцом, установленным на размер | 18, 3, Tо, (3), 63 |
С установкой резца по разметке | 18, 19, 3, Tо, (3), 20, 19, 3, Tо, (3), 63 | ||
С установкой резца по лимбу | 18, 19, 3, Tо, 63 | ||
С предварительным промером или установкой резца по мерным плиткам | 17, 18, 19, 2, 3, Tо, (3), 63 | ||
Со взятием пробной стружки | 18, 19, 3, Tо, (3), 20, 2, Пр, 2, 19, 3, Tо, (3), 63 | ||
Примечание. Для каждой пробной стружки свыше одной повторяются приемы | 20, 2, Пр, 2,19, 3, Tо, (3) | ||
2. | Строгание пазов, скосов, отрезка | Без измерения <*> | 63, 18, Tо, 20, 63 |
С измерением длины расположения размера | 63,18, 2, Пр, 19, 2, Tо, 20, 63 | ||
Круглошлифовальные станки | |||
1. | Шлифование поверхности с продольной подачей | Без измерения | 17, 18, (3), (61), Tо, (61), (3), 20, 17 |
С измерением | 17, 18, (3), (61), Tо, 17, 2, Пр, 2, 17, Tо, (61), (3), 20 | ||
Примечание. На каждое пробное измерение повторяются приемы | 17, 2, Пр, 2, 17 | ||
СОСТАВ И ПОСЛЕДОВАТЕЛЬНОСТЬ ПРИЕМОВ УПРАВЛЕНИЯ СТАНКОМ, СВЯЗАННЫХ С ПЕРЕХОДОМ | Приложение 5, лист 9 | ||
Характер обработки | Способ выполнения работы | N/N приемов управления станком, вошедших в комплекс времени на переход | |
2. | Шлифование торцов | Без измерения | 17, (61), Tо, (61), 20 |
С измерением | 18, (61), Tо, 20, 2, Пр, 2, 18, Tо, (61), 20 | ||
Примечание. На каждое пробное измерение повторяются приемы | 20, 2, Пр, 2, 18 | ||
3. | Шлифование поверхности с радиальной подачей | Без измерения (на одно врезание) | 18, (61), Tо, (61), 20 |
С измерением (на одно врезание) | 18, (61), Tо, 20, 2, Пр, 2, 18, Tо, (61), 20 | ||
Примечание. На каждое пробное измерение повторяются приемы | 20, 2, Пр, 2, 18 | ||
Черновое шлифование длинных поверхностей без измерения (комплекс приемов для двух врезаний) | 17, 18, (61), Tо, 20, 17, 18, Tо, (61), 20 | ||
Примечание. На каждое следующее врезание повторяются приемы | 17, 18, Tо, (61), 20 | ||
Внутришлифовальные станки | |||
1. | Работа на станках с полуавтоматическим циклом | - | 1, Tо, (2) |
2. | Шлифование отверстий | Без измерений | 17, 18, (3), (61), Tо, (61), (3), 17, 20 |
С измерением | 17, 18, (3), (61), Tо, 17, 2, Пр, 2, 17, Tо, (61), (3), 17, 20 | ||
Примечание. На каждое пробное измерение повторяются приемы | 17, 2, Пр, 2, 17 | ||
3. | Шлифование торцов | Без измерений | 25, 2, 18, (61), Tо, (61), 20, 2, 25 |
С измерением | 25, 2, 18, (61), Tо, 20, 2, Пр, 2, 18, Tо, (61), 20, 2, 25 | ||
СОСТАВ И ПОСЛЕДОВАТЕЛЬНОСТЬ ПРИЕМОВ УПРАВЛЕНИЯ СТАНКОМ, СВЯЗАННЫХ С ПЕРЕХОДОМ | Приложение 5, лист 10 | ||
Характер обработки | Способ выполнения работы | N/N приемов управления станком, вошедших в комплекс времени на переход | |
Шлифование торцов | Примечание. На каждое пробное измерение повторяются приемы | 20, 2, Пр, 2, 18 | |
Плоскошлифовальные станки с горизонтальным шпинделем и прямоугольным столом | |||
1. | Работа на станках с полуавтоматическим циклом | - | 1, Tо, (2) |
2. | Шлифование поверхности | Без измерения | 18, 18, 3, (61), Tо, (61), (3), 20, 20 |
С измерением | 18,18, 3, (61), Tо, 17, Пр, 17, Tо, (61), (3), 20, 20 | ||
Примечание. На каждое пробное измерение повторяются приемы | 17, Пр, 17 | ||
Плоскошлифовальные станки с вертикальным шпинделем и прямоугольным столом | |||
Шлифование поверхности | Без измерения | 18, 3, (61), Tо, (61), (3), 20 | |
С измерением | 18, 3, (61), Tо, 17, Пр, 17, Tо, (61), (3), 20 | ||
Примечание. На каждое пробное измерение повторяются приемы | 17, Пр, 17 | ||
Плоскошлифовальные станки с вертикальным шпинделем и круглым столом | |||
Шлифование поверхности | Без измерения | 18, 18, 3, (61), Tо, (61), (3), 20, 20 | |
С измерением | 18, 18, 3, (61), Tо, 2, 20, Пр 2, 18, Tо, (61), (3), 20, 20 | ||
Примечание. На каждое пробное измерение повторяются приемы | 2, 20, Пр, 2, 18 | ||
СОСТАВ И ПОСЛЕДОВАТЕЛЬНОСТЬ ПРИЕМОВ УПРАВЛЕНИЯ СТАНКОМ, СВЯЗАННЫХ С ПЕРЕХОДОМ | Приложение 5, лист 11 | |
Характер обработки | Способ выполнения работы | N/N приемов управления станком, вошедших в комплекс времени на переход |
Плоскошлифовальные станки с горизонтальным шпинделем и круглым столом | ||
Шлифование поверхности | Без измерения | 18, 2, 3, (61), Tо, (61), (3), 2, 20 |
С измерением | 18, 2, 3, (61), Tо, 2, 2, Пр, 2, 2, Tо, (61), (3), 2, 20 | |
Примечание. На каждое пробное измерение повторяются приемы | 2, 2, Пр, 2, 2 | |
Кругом, установленным на размер, без измерения | 18, Tо, 20 | |
Хонинговальные станки | ||
Обработка отверстий | Без измерения | 26, 3, (61), 39, Tо, 39, 3, (61), 26 |
С измерением | 26, 3, (61), 39, Tо, 39, (61), 26, 2, Пр, 2, 26, 3, (61), 39, Tо, 39, (61), 26 | |
Примечание. Для каждого пробного измерения свыше одного повторяются приемы | 39, (61), 26, 2, Пр, 2 | |
Станки для суперфиниша | ||
Обработка одной или нескольких поверхностей | Без измерения | 27, 3, (61), Tо, (61), 3, 27 |
Вертикально-доводочные (лапинговальные) станки | ||
Обработка цилиндрических поверхностей | Без измерения | 25, 18, 2, Tо, 20, 2, 25 |
С измерением | 25, 18, 2, Tо, 20, 2, 25, Пр, tу, 25, 18, 2, Tо, 20, 2, 25 | |
Примечания: 1. Время на приемы N 2, 2 учитываются во времени на установку и снятие детали | ||
СОСТАВ И ПОСЛЕДОВАТЕЛЬНОСТЬ ПРИЕМОВ УПРАВЛЕНИЯ СТАНКОМ, СВЯЗАННЫХ С ПЕРЕХОДОМ | Приложение 5, лист 12 | ||
Характер обработки | Способ выполнения работы | N/N приемов управления станков, вошедших в комплекс времени на переход | |
Обработка цилиндрических поверхностей | 2. Для каждого пробного измерения свыше одного, повторяются приемы | 20, 2, 25, Пр, tу, 25, 18, 2 | |
Токарные многорезцовые и многорезцовые копировальные станки | |||
1. | Полуавтоматы | Точение и растачивание черновое или чистовое | 1, Tо, (2) |
2. | С ручным управлением | 18, 3, Tо, (3), 63 | |
Резьботокарные станки с вихревой головкой | |||
1. | Полуавтоматы | Нарезание коротких и длинных (крепежных, трапецеидальных) резьб | 1, Tо, (2) |
2. | С ручным управлением | 2, 18,3, Tо, (3), 2, 63 | |
Резьботокарные полуавтоматы для коротких резьб | |||
Нарезание крепежной резьбы | 1, Tо, (2) | ||
Зубофрезерные станки | |||
1. | Полуавтоматы | Обработка зубьев колес | 1, Tо, (2) |
2. | С ручным управлением | Обработка цилиндрических колес | 18, 3, Tо, (3), 63 |
Обработка червячных колес: | |||
подача радиальная | 18, 3, Tо, (3), 63 | ||
подача тангенциальная | 18, 36, 18, 3, Tо, (3), 36, 20, 63 | ||
Обработка колес по предварительно прорезанному зубу | 62, 18, 3, Tо, (3), 63 | ||
При нарезании зубьев в два прохода - на второй проход | 20, 18, 36, 2, 19, 3, Tо, (3), 36, 20, 63 | ||
Зубодолбежные станки | |||
1. | Полуавтоматы | Обработка зубьев колес | 1, Tо, (2) |
СОСТАВ И ПОСЛЕДОВАТЕЛЬНОСТЬ ПРИЕМОВ УПРАВЛЕНИЯ СТАНКОМ, СВЯЗАННЫХ С ПЕРЕХОДОМ | Приложение 5, лист 13 | ||
Характер обработки | Способ выполнения работы | N/N приемов управления станком, вошедших в комплекс времени на переход | |
2. | С ручным управлением | Обработка колес по предварительно прорезанному зубу | 62, 18, Tо, (3), 20 |
Обработка колес без предварительной прорезки зуба | 18, Tо, (3), 20 | ||
Обработка колес с внутренним зубом | 18, 18, Tо, (3), 20, 20 | ||
Зубошевинговальные станки | |||
1. | Полуавтоматы | Шевингование зубьев колес | 1, Tо, (2) |
2. | С ручным управлением | 18, 3, Tо, (3), 20 | |
Зубозакругляющие станки | |||
1. | Полуавтоматы | Обработка закруглений, фасок на торцах зубьев | 1, Tо, (2) |
2. | С ручным управлением | 18, Tо, 20 | |
Зубострогальные станки для прямозубых конических колес | |||
1. | Полуавтоматы | Нарезание зубьев колес | 1, Tо, (2) |
2. | С ручным управлением. | Нарезание зубьев в один проход | 19, 36, 3, Tо, (3), 36,20 |
Нарезание зубьев в два прохода | 19, 36, 3, Tо, (3), 36, 19, 36, 3, Tо, (3), 36, 20 | ||
Нарезание колес по предварительно прорезанному зубу | 62, 19, 36, 3, Tо, (3), 36, 20 | ||
Зубофрезерные полуавтоматы для прорезания зубьев конических колес | |||
Прорезание зубьев колес предварительное | 1, Tо, (2) | ||
Зуборезные полуавтоматы для конических колес с круговым зубом | |||
Обработка зубьев колес | 1, Tо, (2) | ||
Обработка колес по предварительно прорезанному зубу | 62, 1, Tо, (2) | ||
СОСТАВ И ПОСЛЕДОВАТЕЛЬНОСТЬ ПРИЕМОВ УПРАВЛЕНИЯ СТАНКОМ, СВЯЗАННЫХ С ПЕРЕХОДОМ | Приложение 5, лист 14 | ||
Характер обработки | Способ выполнения работы | N/N приемов управления станком, вошедших в комплекс времени на переход | |
Шлицефрезерные станки | |||
1. | Полуавтоматы | Обработка шлиц или зубьев на валах | 1, Tо, (2) |
2. | С ручным управлением | Обработка шлиц или зубьев на валах | 18, 3, Tо, (3), 63 |
Обработка шлиц или зубьев по предварительно прорезанному профилю | 62,18, 3, Tо, (3), 63 | ||
Шпоночно-фрезерные станки | |||
Обработка пазов для шпонок методом маятниковой подачи | 63, 18, 3, Tо, (3), 20 | ||
Резьбофрезерные станки, работающие гребенчатой фрезой | |||
1. | Полуавтоматы | Фрезерование крепежной резьбы | 1, Tо, (2) |
2. | С ручным управлением | Фрезерование наружной резьбы | 18, (19), 36, Tо, 36, 20, 29 |
Фрезерование внутренней резьбы | 63, 18, (19), 36, Tо, 36, 20, 63 | ||
Резьбофрезерные станки, работающие дисковой фрезой | |||
Фрезерование резьбы винтов и червяков | 18, 19, 3, Tо, (3), 20, 63 | ||
Горизонтально-протяжные станки для внутреннего протягивания | |||
1. | Протягивание цилиндрически, многошлицевых и фасонных отверстий | Без снятия протяжки в один проход | 53, 54, Tо, (2), 2, Tв, (2), 56, 51, 53 |
Со снятием протяжки в один проход | 53, 54, Tо, (2), 56, 54, 53, 2, Tв, (2) | ||
Каждый последующий проход со снятием протяжки | 53, 54, 2, Tо, (2), 56, 54, 53, 2, Tв, (2) | ||
2. | Протягивание пазов или рифлений в пазах | Без снятия протяжки в один проход | 53, 54, Tо, (2), 2, Tв, (2), 56, 51, 53 |
Каждый последующий проход без снятия протяжки | 55, 2, Tо, (2), 55, 2, Tв, (2), 56 | ||
Со снятием протяжки в один проход | 53, 54, Tо, (2), 56, 54, 53, 2, Tв, (2) | ||
Каждый последующий проход со снятием протяжки | 53, 54, 2, Tо, (2), 56, 54, 53, 2, Tв, (2) | ||
СОСТАВ И ПОСЛЕДОВАТЕЛЬНОСТЬ ПРИЕМОВ УПРАВЛЕНИЯ СТАНКОМ, СВЯЗАННЫХ С ПЕРЕХОДОМ | Приложение 5, лист 15 | ||
Характер обработки | Способ выполнения работы | N/N приемов управления станком, вошедших в комплексе времени на переход | |
Протягивание пазов или рифление в пазах | Поворот делительного приспособления на следующую позицию | 14 | |
Вертикально-протяжные станки для наружного протягивания | |||
Протягивание плоскостей или пазов | Обработка в один проход | 2, Tо, (2), 2, Tв, (2) | |
Каждый последующий проход (для пазов) | 18, 2, Tо, (2), 20, 2, Tв, (2) | ||
Поворот делительного приспособления на следующую позицию | 14 | ||
Зубошлифовальные станки | |||
1. | Шлифование зубьев методом обкатки | Одним дисковым кругом | 62, 12, 3, 19, Tо, (3), Пр, 19, 2, 12, 3, Tо, (3), 20 |
Двумя тарельчатыми кругами | 62, 19, 12, 11, 3, Tо, (3), Пр, 19, 2, 12, 11, 3, Tо, (3), 20 | ||
Абразивным червяком | 63, 19, 2, 18, (2), (61), Tо, (2), 63, 62 | ||
2. | Шлифование зубьев методом копирования | Профильным кругом в один проход | 62, 12, 3, 19, Tо, (3), Пр, 19, 2, 12, 3, Tо, (3), 20 |
Каждый последующий проход | 19, 2, 12, 3, Tо, (3), 20 | ||
Зубошлифовальные станки для конических колес с круговым зубом | |||
Шлифование зубьев колес | 62, 1, Tо, (2) | ||
Шлицешлифовальные станки | |||
1. | Полуавтоматы | 1, Tо, 2 | |
2. | С ручным управлением | Шлифование шлиц на валах | 62, 19, 11, 3, (61), Tо, 2, Пр, Tо, (61), (3), 11, 20, 20, 2 |
Резьбошлифовальные станки | |||
1. | Полуавтоматы | Шлифование треугольной резьбы | 18, 3, Tо, (2), Пр, 2, Tо, (2) |
СОСТАВ И ПОСЛЕДОВАТЕЛЬНОСТЬ ПРИЕМОВ УПРАВЛЕНИЯ СТАНКОМ, СВЯЗАННЫХ С ПЕРЕХОДОМ | Приложение 5, лист 16 | ||
Характер обработки | Способ выполнения работы | N/N приемов управления станком, вошедших в комплекс времени на переход | |
2. | С ручным управлением | Шлифование резьбы по предварительно прорезанному профилю | 62, 19, (61), Tо, (61), 20, 2, 8, Пр |
Шлифование резьбы по сплошному без предварительной прорезки | 19, (61), Tо, (61), 20, 2, 8, Пр | ||
Каждый последующий проход | 19, 2, (61), Tо, (61), 2, 8, Пр | ||
Центральные, фрезерно-центровальные станки | |||
1. | Полуавтоматы | Центровое фрезерование торцов, центрование | 1, Tо, (2) |
2. | С ручным управлением | Центрование одного отверстия на одностороннем или двух отверстий на двустороннем станке | 30, Tо, 30 |
Резьбонарезные станки | |||
1. | Полуавтоматы | Нарезание крепежной резьбы вращающимися головками с тангенциальными плашками | 1, Tо, (2) |
2. | С ручным управлением | Нарезание крепежной резьбы резьбонарезными самооткрывающимися головками | 23, Tо, 63, 46 |
Нарезание крепежной резьбы круглыми плашками. | 23, Tо, 7, Tв, 63, 7 | ||
Резьбонакатные полуавтоматы | |||
Накатывание резьбы круглыми роликами | - | ||
Фрезерно-отрезные полуавтоматы | |||
Отрезка заготовок | 1, Tо, (2) | ||
Токарно-револьверные патронные полуавтоматы | |||
Точение, растачивание, обработка отверстий | 1, Tо, (2) | ||
Приложение 6, лист 1 | ||||||||
N позиции | Наименование приемов | Размерная группа оборудования | ||||||
I | II | III | IV | V | VI | |||
Время, мин. | ||||||||
1 | Включить станок (с полуавтоматическим циклом или программным управлением) | 0,02 | 0,03 | 0,04 | 0,06 | 0,08 | - | |
2 | Включить или выключить вращение шпинделя, движение стола, ползуна, зажим цанги | кнопкой | 0,015 | 0,02 | 0,02 | 0,03 | 0,03 | 0,04 |
рычагом | 0,015 | 0,02 | 0,03 | 0,04 | 0,04 | 0,05 | ||
3 | Включить или выключить подачу | кнопкой | 0,016 | 0,02 | 0,02 | 0,03 | 0,03 | 0,04 |
рычагом | 0,015 | 0,02 | 0,03 | 0,04 | 0,04 | 0,05 | ||
4 | Изменить число оборотов, двойных ходов, скорость движения стола | одним рычагом | 0,04 | 0,05 | 0,06 | 0,07 | 0,08 | 0,09 |
двумя рычагами | 0,06 | 0,07 | 0,08 | 0,09 | 0,10 | 0,12 | ||
тремя рычагами | 0,07 | 0,08 | 0,09 | 0,1 | 0,12 | - | ||
5 | Изменить величину подачи | одним рычагом | 0,03 | 0,04 | 0,05 | 0,06 | 0,07 | 0,09 |
двумя рычагами | 0,05 | 0,06 | 0,07 | 0,08 | 0,09 | 0,11 | ||
6 | Изменить число двойных ходов ползуна или величину круговой подачи на зубодолбежных станках | - | - | 0,3 | 0,3 | - | - | |
7 | Изменить направление вращения шпинделя | 0,02 | 0,03 | 0,04 | 0,04 | 0,05 | 0,06 | |
8 | Изменить направление подачи | одним рычагом | 0,02 | 0,03 | 0,04 | 0,04 | 0,05 | 0,06 |
двумя рычагами | 0,04 | 0,05 | 0,06 | 0,07 | 0,08 | 0,09 | ||
ВСПОМОГАТЕЛЬНОЕ ВРЕМЯ НА ПРИЕМЫ УПРАВЛЕНИЯ СТАНКОМ И СМЕНУ ИНСТРУМЕНТА | Приложение 6, лист 2 | ||||||||||
N позиции | Наименование приемов | Размерная группа оборудования | |||||||||
I | II | III | IV | V | VI | ||||||
Время, мин. | |||||||||||
9 | Изменить длину хода стола, ползуна | кулисным механизмом | - | 0,1 | 0,15 | 0,2 | - | - | |||
перемещением упоров на станках | продольно-строгальных | - | - | - | 0,25 | 0,3 | 0,4 | ||||
шлифовальных | 0,05 | 0,06 | 0,07 | 0,08 | 0,09 | - | |||||
10 | Включить или выключить фрикцион каретки револьверного станка | 0,025 | 0,03 | 0,04 | - | - | - | ||||
11 | Включить или выключить подачу делительного механизма зубошлифовального станка | - | 0,02 | - | - | - | - | ||||
12 | Включить счетчик продолжительности обработки зубошлифовального станка | - | 0,02 | - | - | - | - | ||||
13 | Произвести деление на другой заход при нарезании многозаходной резьбы на токарном станке | 0,05 | 0,05 | 0,07 | 0,08 | - | - | ||||
14 | Повернуть делительную головку или делительное приспособление на одну позицию | 0,04 | 0,04 | 0,04 | 0,04 | - | - | ||||
15 | Повернуть приспособление с рабочей позиций на загрузочную | - | - | 0,09 | 0,09 | 0,11 | 0,11 | ||||
16 | Включить автоматическое ускоренное перемещение, подвести инструмент к детали или отвести от детали | каретка токарного типа | центровые работы (l <= 50 мм) | 0,03 | 0,04 | 0,05 | 0,06 | - | - | ||
патронные работы (l <= 200 мм) | 0,04 | 0,05 | 0,06 | 0,075 | 0,09 | 0,11 | |||||
револьверная головка | - | 0,04 | 0,04 | 0,05 | - | - | |||||
стол фрезерного, расточного станка | 0,05 | 0,06 | 0,08 | 0,09 | 0,10 | 0,12 | |||||
суппорт, шпиндельная бабка карусельного, строгального, фрезерного станка, зубофрезерного | горизонтально | - | - | 0,08 | 0,10 | 0,12 | - | ||||
вертикально | - | - | 0,13 | 0,16 | 0,18 | - | |||||
17 | Включить движение, подвести (отвести) и остановить стол (каретку) в положении установки инструмента продольно-строгального (шлифовального) станка | кнопкой | 0,03 | 0,03 | 0,04 | 0,06 | 0,06 | - | |||
рычагом | 0,04 | 0,04 | 0,05 | 0,07 | 0,07 | 0,08 | |||||
18 | Подвести инструмент к детали вручную | каретка станка (всех типов) | центровые работы (l <= 50 мм) | 0,05 | 0,06 | - | - | - | |||
патронные работы (l <= 200 мм) | 0,02 | 0,03 | 0,04 | 0,06 | 0,07 | 0,09 | |||||
верхняя часть суппорта | 0,04 | 0,05 | 0,06 | 0,10 | 0,12 | 0,14 | |||||
пиноль задней бабки | 0,03 | 0,04 | 0,05 | 0,06 | - | - | |||||
резцедержатель на планшайбе расточного станка | - | - | 0,09 | 0,10 | 0,12 | - | |||||
шпиндель станка | сверлильного | l <= 100 мм | 0,02 | 0,03 | 0,03 | 0,04 | 0,05 | - | |||
250 | - | 0,03 | 0,04 | 0,05 | 0,06 | - | |||||
400 | - | - | 0,05 | 0,06 | 0,07 | - | |||||
расточного, продольно-фрезерного | - | - | 0,07 | 0,09 | 0,11 | 0,12 | |||||
стол станка | фрезерного, шлифовального, протяжного, зубофрезерного | 0,04 | 0,05 | 0,06 | 0,07 | 0,08 | 0,09 | ||||
расточного | - | - | 0,10 | 0,12 | 0,14 | - | |||||
суппорт станка | поперечно-строгального | 0,04 | 0,05 | 0,06 | - | - | - | ||||
карусельного, продольно-строгального | - | - | - | 0,07 | 0,08 | 0,09 | |||||
шпиндельная бабка зубофрезерного станка | горизонтально, вертикально | 0,09 | 0,11 | 0,13 | 0,15 | - | - | ||||
тангенциально | - | 0,12 | 0,14 | - | - | - | |||||
долбяк зубодолбежного станка | - | 0,09 | 0,09 | - | - | - | |||||
перемещение стола по рейке | 0,02 | 0,02 | 0,03 | 0,05 | - | - | |||||
ВСПОМОГАТЕЛЬНОЕ ВРЕМЯ НА ПРИЕМЫ УПРАВЛЕНИЯ СТАНКОМ И СМЕНУ ИНСТРУМЕНТ | Приложение 6, лист 3 | |||||||||||||
N позиции | Наименование приемов | Размерная группа оборудования | ||||||||||||
I | II | III | IV | V | VI | |||||||||
Время, мин. | ||||||||||||||
Подвести инструмент к детали вручную | шлифованный круг, шлифовальную бабку к детали до появления искры | поперечно, продольно | 0,02 | 0,03 | 0,04 | 0,05 | - | - | ||||||
вертикально | - | 0,04 | 0,05 | 0,06 | - | - | ||||||||
шлифовальный, круг к детали по лимбу | - | 0,08 | - | - | - | - | ||||||||
доводочный круг в вертикальном направлении | - | 0,08 | - | - | - | - | ||||||||
шлифовальную бабку | - | 0,14 | - | - | - | - | ||||||||
шпиндельную головку в горизонтальной плоскости на длину, мм, до | 200 | - | 0,02 | 0,03 | 0,04 | 0,06 | - | |||||||
500 | - | 0,05 | 0,06 | 0,07 | 0,09 | - | ||||||||
1000 | - | 0,08 | 0,09 | 0,10 | 0,12 | - | ||||||||
19 | Установить инструмент на размер обработки | цилиндрические поверхности | по упору или лимбу грубо | D <= 25 мм | 0,02 | 0,02 | 0,03 | 0,04 | - | - | ||||
> 25 | 0,03 | 0,03 | 0,04 | 0,05 | 0,06 | 0,07 | ||||||||
по лимбу с точностью <= 0,2 мм | D <= 25 мм | 0,03 | 0,04 | 0,06 | 0,06 | 0,07 | - | |||||||
> 25 | 0,04 | 0,05 | 0,07 | 0,08 | 0,09 | 0,11 | ||||||||
карусельные станки | по лимбу | - | - | - | 0,08 | 0,10 | 0,13 | |||||||
по шаблону | - | - | - | 0,16 | 0,20 | 0,25 | ||||||||
расточные станки | по лимбу | - | - | 0,10 | 0,15 | 0,20 | - | |||||||
по шаблону | - | - | 0,25 | 0,30 | 0,35 | - | ||||||||
плоскости | по упору копирного ролика | 0,03 | 0,04 | 0,05 | 0,07 | 0,08 | - | |||||||
по лимбу | 0,05 | 0,06 | 0,08 | 0,09 | 0,11 | 0,14 | ||||||||
по разметке обработки | предварительной | 0,07 | 0,08 | 0,10 | 0,12 | 0,15 | 0,18 | |||||||
окончательной | 0,09 | 0,10 | 0,12 | 0,15 | 0,18 | 0,22 | ||||||||
по шаблону и щупу | 0,11 | 0,13 | 0,15 | 0,17 | 0,20 | 0,25 | ||||||||
по мерным плиткам | 0,12 | 0,13 | 0,15 | 0,17 | 0,20 | 0,25 | ||||||||
сложно-профильные поверхности | зубробрабатывающие станки | по упору в один проход | 0,05 | |||||||||||
в два прохода | 1-й проход по лимбу | 0,2 | ||||||||||||
2-й проход по упору | 0,05 | |||||||||||||
зубошлифовальные станки | первый проход | одним кругом | 0,8 | |||||||||||
двумя кругами | 1,2 | |||||||||||||
последующие проходы, абразивный червяк | 0,09 | |||||||||||||
резьбофрезерные, резьбошлифовальные станки и шлицешлифовальные | по лимбу | 0,08 | ||||||||||||
по упору | 0,05 | |||||||||||||
20 | Отвести инструмент от детали вручную | каретка станка | токарных, револьверных, болторезных | 0,02 | 0,03 | 0,03 | 0,05 | 0,06 | 0,08 | |||||
резьбо-зубообрабатывающих | 0,05 | - | - | - | - | |||||||||
верхняя часть суппорта | 0,025 | 0,04 | 0,06 | 0,08 | 0,10 | 0,12 | ||||||||
резцедержатель на планшайбе расточного станка | - | - | 0,08 | 0,09 | 0,10 | - | ||||||||
шпиндель станка | сверлильного | 0,01 | 0,02 | 0,03 | 0,03 | 0,04 | - | |||||||
расточного, продольно-фрезерного | - | - | 0,06 | 0,08 | 0,09 | 0,10 | ||||||||
стол станка | фрезерного, шлифовального, поперечно-строгального, зубофрезерного | 0,03 | 0,04 | 0,05 | 0,06 | 0,07 | 0,08 | |||||||
расточного | - | - | 0,09 | 0,10 | 0,12 | - | ||||||||
ВСПОМОГАТЕЛЬНОЕ' ВРЕМЯ НА ПРИЕМЫ УПРАВЛЕНИЯ СТАНКОМ И СМЕНУ ИНСТРУМЕНТА | Приложение 6, лист 4 | |||||||||||||
N позиции | Наименование приемов | Размерная группа оборудования | ||||||||||||
I | II | III | IV | V | VI | |||||||||
Время, мин. | ||||||||||||||
Отвести инструмент от детали вручную | суппорт станка | поперечно-строгального | 0,04 | 0,05 | 0,06 | - | - | - | ||||||
карусельного, продольно-строгального | - | - | - | 0,06 | 0,07 | 0,08 | ||||||||
долбяк зубодолбежного станка | - | 0,06 | 0,06 | - | - | - | ||||||||
шлифовальный круг в направлении | поперечно, продольно | 0,02 | 0,02 | 0,03 | 0,04 | - | - | |||||||
вертикально | - | 0,03 | 0,04 | 0,05 | - | - | ||||||||
доводочный диск | - | 0,06 | - | - | - | - | ||||||||
стол фрезерного, долбежного станка по рейке | 0,02 | 0,02 | 0,03 | - | - | - | ||||||||
21 | Подвести (или отвести) резец в специальной державке револьверной головки к детали в поперечном направлении | 0,03 | 0,035 | 0,04 | 0,04 | - | - | |||||||
22 | Подвести (или отвести) инструмент при зенковании нижней плоскости на сверлильных станках | 0,015 | 0,015 | 0,02 | 0,02 | 0,03 | - | |||||||
23 | Подвести, довести до врезания метчик, плашку | 0,014 | 0,025 | 0,03 | 0,035 | - | - | |||||||
24 | Подвести (или отвести) стол или шпиндельную бабку в вертикальном направлении при фрезеровании по копиру внутренних, закрытых плоскостей | 0,08 | 0,08 | 0,10 | 0,11 | 0,11 | 0,13 | |||||||
25 | Подвести (или отвести) инструмент к детали угловым поворотом головки на зубодолбежных, внутришлифовальных станках, вертикально-доводочных станках | 0,04 | 0,05 | 0,06 | 0,07 | - | - | |||||||
26 | Подвести (или отвести) хонинговальную головку, к детали и ввести в отверстие | 0,02 | 0,02 | 0,03 | - | - | - | |||||||
27 | Подвести (или отвести) державку с полировальными брусками к обрабатываемой поверхности при суперфинише | подвести | подача | ручная | 0,15 | 0,24 | - | - | - | - | ||||
механическая | 0,11 | 0,17 | - | - | - | |||||||||
отвести | ручная | 0,09 | 0,15 | - | - | - | - | |||||||
механическая | 0,07 | 0,11 | - | - | - | - | ||||||||
28 | Подвести и совместить оси детали и инструмента | сверлильные станки | по кондукторной втулке или отверстию | 0,03 | 0,04 | 0,04 | 0,05 | 0,07 | - | |||||
по разметке | 0,04 | 0,05 | 0,06 | 0,07 | 0,09 | - | ||||||||
карусельные станки | перемещением суппорта | - | - | - | 0,13 | 0,16 | 0,20 | |||||||
29 | Подвести, переместить каретку на длину 1...2 шагов при фрезеровании резьбы гребенчатой фрезой | - | 0,05 | - | - | - | - | |||||||
30 | Подвести (или отвести) центровочный инструмент к детали | один на одностороннем станке | 0,015 | - | - | - | - | - | ||||||
два на двустороннем станке | 0,02 | - | - | - | - | - | ||||||||
31 | Вывести сверло для удаления стружки и ввести в отверстие | Время учитывается по необходимости из дополнительной таблицы | ||||||||||||
32 | Переместить заднюю бабку с откреплением и закреплением | рукояткой | 0,14 | 0,16 | 0,18 | 0,22 | - | - | ||||||
болтом | 0,22 | 0,27 | 0,35 | 0,40 | - | - | ||||||||
ВСПОМОГАТЕЛЬНОЕ ВРЕМЯ НА ПРИЕМЫ УПРАВЛЕНИЯ СТАНКОМ И СМЕНУ ИНСТРУМЕНТА | Приложение 6, лист 5 | ||||||||||||
N | Наименование приемов | Размерная группа оборудования | |||||||||||
I | II | II | IV | V | VI | ||||||||
Время, мин. | |||||||||||||
33 | Повернуть суппорт на угол с откреплением и закреплением | токарного, строгального станка | 0,5 | 0,6 | 0,6 | 0,7 | 0,8 | 0,9 | |||||
на поперечине карусельного, строгального, фрезерного станка | грубо | - | - | - | 0,8 | 1,1 | 1,5 | ||||||
точно | - | - | - | 1,5 | 2,0 | 2,5 | |||||||
34 | Повернуть резцедержатель строгального станка на угол с откреплением и закреплением | - | - | - | 0,5 | 0,65 | 0,8 | ||||||
35 | Повернуть стол на угол с откреплением и закреплением, град. | прямоугольный | рычагом | 90° | - | - | 1,1 | 1,3 | 1,7 | - | |||
180° | - | - | 1,7 | 2,0 | 2,0 | - | |||||||
гайкой | 90° | - | - | 1,5 | 1,75 | 2,2 | - | ||||||
180° | - | - | 2,1 | 2,5 | 2,9 | - | |||||||
круглый | 60° | - | 0,10 | 0,12 | 0,15 | - | - | ||||||
120° | - | 0,16 | 0,20 | 0,24 | - | - | |||||||
180° | - | 0,22 | 0,28 | 0,35 | - | - | |||||||
36 | Закрепить или открепить узел станка | каретка, стол, револьверная головка, шпиндель | 0,025 | 0,03 | 0,04 | 0,05 | 0,05 | 0,06 | |||||
поперечина | - | - | - | 0,06 | 0,07 | 0,08 | |||||||
37 | Включить упор ограничения размера | токарные станки | перемещением кулачка | 0,025 | 0,03 | 0,04 | 0,045 | - | - | ||||
постановкой сменного вкладыша | 0,045 | 0,05 | 0,06 | 0,065 | - | - | |||||||
револьверные станки | поворотом рукоятки | - | 0,02 | 0,02 | 0,02 | - | - | ||||||
38 | Закрыть или открыть щиток ограждения от стружки | стационарный | 0,02 | 0,02 | 0,03 | 0,03 | 0,04 | 0,04 | |||||
передвижной | шарнирный | 0,05 | 0,15 | 0,06 | 0,07 | 0,09 | - | ||||||
съемный | 0,16 | 0,06 | 0,18 | 0,20 | 0,25 | - | |||||||
39 | Установить хонинговальную головку в рабочее положение | регулирование размера и силы давления брусков | 0,04 | 0,045 | 0,055 | - | - | - | |||||
держать бруски в начале или сжать в конце обработки | вручную | 0,035 | 0,05 | 0,06 | - | - | - | ||||||
гидравлической подачей | 0,025 | 0,03 | 0,035 | - | - | - | |||||||
40 | Поставить и снять кондукторную втулку | сверлильные станки | Диаметр отверстия втулки, мм | 20 | - | 0,07 | 0,07 | 0,07 | - | - | |||
40 | - | 0,09 | 0,09 | 0,09 | - | - | |||||||
св. 40 | - | - | 0,12 | 0,12 | - | - | |||||||
расточные станки | <= 80 | - | - | 0,12 | 0,17 | 0,26 | - | ||||||
св. 80 | - | - | 0,19 | 0,26 | 0,35 | - | |||||||
41 | Сменить инструмент | поворотом резцовой головки | токарного станка | 0,06 | 0,07 | 0,07 | 0,08 | 0,10 | 0,12 | ||||
револьверного станка | - | 0,04 | 0,06 | 0,07 | - | - | |||||||
на поперечине | - | - | - | 0,10 | 0,12 | 0,16 | |||||||
на боковом суппорте | - | - | - | 0,12 | 0,15 | 0,20 | |||||||
поворотом револьверной головки | 0,015 | 0,02 | 0,03 | 0,03 | - | - | |||||||
42 | Установить и снять инструмент | резец в резцедержателе | проходной, подрезной, расточной | в положении | горизонтально | 0,35 | 0,4 | 0,5 | 0,6 | 0,7 | 1,0 | ||
вертикально | - | 0,7 | 0,8 | 0,9 | 1,0 | 1,2 | |||||||
отрезной, резьбовой, фасонный | горизонтально | 0,5 | 0,6 | 0,8 | 1,0 | 1,2 | 1,5 | ||||||
вертикально | - | 0,8 | 1,0 | 1,1 | 1,4 | 2,0 | |||||||
резец в резцедержателе на планшайбе, расточного станка | проходной | горизонтально | - | - | 1,0 | 1,1 | 1,2 | - | |||||
подрезной | - | - | 1,2 | 1,3 | 1,4 | - | |||||||
ВСПОМОГАТЕЛЬНОЕ ВРЕМЯ НА ПРИЕМЫ УПРАВЛЕНИЯ СТАНКОМ И СМЕНУ ИНСТРУМЕНТА | Приложение 6, лист 6 | |||||||||||
N позиции | Наименование приемов | Размерная группа оборудования | ||||||||||
I | II | III | IV | V | VI | |||||||
Время, мин. | ||||||||||||
42 | Установить и снять инструмент | резец в державке | - | - | - | 0,4 | 0,5 | 0,6 | ||||
державку с резцом в резцедержателе | - | - | - | 0,8 | 1,0 | 1,2 | ||||||
сверло, зенкер, развертка, фреза | в пиноли задней бабки | 0,07 | 0,10 | 0,12 | 0,14 | - | - | |||||
в шпинделе станка | карусельного | - | - | - | 0,25 | 0,3 | 0,4 | |||||
расточного | без крепления | - | - | 0,3 | 0,4 | 0,5 | - | |||||
с креплением клином | - | - | 0,4 | 0,6 | 0,7 | - | ||||||
сверлильного | Конус Морзе N | 2 | 0,12 | 0,12 | - | - | - | - | ||||
3 | - | 0,15 | 0,15 | - | - | - | ||||||
4 | - | - | 0,18 | 0,18 | - | - | ||||||
5 | - | - | 0,20 | 0,20 | 0,20 | - | ||||||
6 | - | - | - | 0,24 | 0,24 | - | ||||||
в кулачковом патроне | 0,17 | 0,17 | 0,17 | 0,17 | - | - | ||||||
в быстросменном патроне | без выключения, вращения шпинделя <*> | D <= 15 | 0,05 | 0,05 | 0,05 | 0,05 | 0,05 | - | ||||
<= 25 | - | 0,06 | 0,06 | 0,06 | 0,06 | - | ||||||
с выключением вращения шпинделя | D <= 30 | - | - | 0,09 | 0,09 | 0,09 | - | |||||
> 30 | - | - | 0,12 | 0,12 | 0,12 | - | ||||||
зенковка, цековка, подрезной нож в державке | 0,22 | 0,22 | 0,22 | 0,22 | 0,22 | - | ||||||
метчик в державке | вертикально | 0,08 | 0,08 | 0,08 | 0,08 | 0,08 | - | |||||
горизонтально | 0,09 | 0,11 | 0,14 | 0,15 | - | - | ||||||
43 | Опустить накидное приспособление с копирным устройством для нарезания резьбы резцом | На револьверном станке | 0,03 | 0,04 | 0,05 | - | - | - | ||||
44 | Установить резьбовой резец на размер | первый проход | 0,03 | 0,04 | 0,05 | - | - | - | ||||
каждый последующий проход | 0,02 | 0,03 | 0,03 | - | - | - | ||||||
45 | Откинуть накидное приспособление | 0,02 | 0,03 | 0,04 | ||||||||
46 | Установить резьбонарезную головку в рабочее положение (свести плашки) рычагом | 0,02 | 0,025 | 0,035 | 0,035 | - | - | |||||
47 | Смазать деталь, развертку, метчик | 0,03 | 0,04 | 0,04 | 0,05 | 0,05 | - | |||||
48 | Установить и закрепить хомут на пакет прутков, открепить и снять хомут | - | - | 1,4 | - | - | - | |||||
49 | Установить и снять инструмент в борштанге | При свободной установке | резец с установкой на размер по шаблону или линейке | - | - | 0,6 | 0,7 | 0,8 | - | |||
резец двусторонний или, пластина расточная | без установки на размер | Диаметр отверстия, мм, до | 100 | - | - | 0,5 | 0,6 | 0,7 | - | |||
200 | - | - | 0,6 | 0,7 | 0,8 | - | ||||||
350 | - | - | 1,0 | 1,1 | 1,2 | - | ||||||
зенкер, развертка, расточная резцовая головка | 100 | - | - | 0,3 | 0,4 | 0,5 | - | |||||
200 | - | - | 0,9 | 1,1 | 1,3 | - | ||||||
расточная, резцовая головка разъемная | вручную | - | - | 0,7 | 0,8 | 1,0 | - | |||||
краном | - | - | - | 2,8 | 3,0 | - | ||||||
ВСПОМОГАТЕЛЬНОЕ ВРЕМЯ НА ПРИЕМЫ УПРАВЛЕНИЯ СТАНКОМ И СМЕНУ ИНСТРУМЕНТА | Приложение 6, лист 7 | ||||||||||||
N позиции | Наименование приемов | Размерная группа оборудования | |||||||||||
I | II | III | IV | V | VI | ||||||||
Время, мин. | |||||||||||||
Установить и снять инструмент в борштанге | При стесненной установке (через окно детали или приспособления) | резец с установкой на размер по шаблону или линейке | - | - | 0,7 | 0,8 | 0,9 | - | |||||
резец. двусторонний или пластина расточная | без установки на размер | Диаметр отверстия, мм, до | 100 | - | - | 0,6 | 0,7 | 0,8 | - | ||||
200 | - | - | 0,8 | 0,9 | 1,0 | - | |||||||
350 | - | - | 1,2 | 1,4 | 1,6 | - | |||||||
зенкер, развертка, расточная резцовая головка | 100 | - | - | 0,4 | 0,45 | 0,55 | - | ||||||
200 | - | - | 1,1 | 1,4 | 1,6 | - | |||||||
расточная резцовая головка разъемная | вручную | - | - | 0,9 | 1,0 | 1,2 | - | ||||||
краном | - | - | - | 3,6 | 3,8 | - | |||||||
50 | Установить и снять борштангу расточного станка | в конус шпинделя | без крепления | - | - | 0,45 | 0,65 | 0,85 | - | ||||
с креплением клином | - | - | 1,1 | 1,3 | 1,8 | - | |||||||
в конус шпинделя и подшипник задней стойки | без выверки | вручную | - | - | 4,9 | 5,8 | 6,8 | - | |||||
краном | - | - | - | - | 11 | - | |||||||
с выверкой подшипника задней стойки | вручную | - | - | 8,8 | 9,8 | 10,9 | - | ||||||
краном | - | - | - | - | 15 | - | |||||||
во втулку кондуктора и конус шпинделя (без задней стойки) | с поворотом стола | вручную | - | - | 2,4 | 3,4 | 4,3 | - | |||||
краном | - | - | 5,0 | 7,0 | 9,0 | - | |||||||
с отводом стола | вручную | - | - | 2,9 | 3,9 | 5,3 | - | ||||||
краном | - | - | 5,5 | 7,5 | 10,0 | - | |||||||
51 | Установить поводковый патрон, оправку и конус шпинделя расточного станка и снять | без крепления | - | - | 0,3 | 0,4 | 0,6 | - | |||||
с креплением клином | - | - | 0,6 | 0,9 | 1,15 | - | |||||||
52 | Установить и снять державку резца | - | 1,0 | 1,3 | 1,5 | - | - | ||||||
53 | Установить или сменить протяжку для внутреннего протягивания | Для работ с автоматическим обратным перемещением протяжки | продвинуть протяжку (с надетой деталью или без детали) и установить в тяговый патрон | Диаметр протяжки, мм, до | 40 | - | 0,03 | - | - | - | - | ||
80 | - | 0,04 | - | - | - | - | |||||||
св. 80 | - | 0,05 | - | - | - | - | |||||||
вывести протяжку из тягового патрона | 40 | - | 0,02 | - | - | - | - | ||||||
80 | - | 0,03 | - | - | - | - | |||||||
св. 80 | - | 0,04 | - | - | - | - | |||||||
Для работ в один или несколько проходов с ручной установкой протяжки | взять протяжку (или сменить протяжку при, работе в 2 - 3 прохода) с деталью и установить концом в тяговый патрон (при обработке цилиндрических; квадратных и фасонных отверстий) | 20 | - | 0,08 | - | - | - | - | |||||
40 | - | 0,10 | - | - | - | - | |||||||
80 | - | 0,14 | - | - | - | - | |||||||
св. 80 | - | 0,25 | - | - | - | - | |||||||
взять протяжку и установить концом в тяговый патрон (при обработке шпоночных пазов) | - | 0,03 | - | - | - | - | |||||||
54 | Закрепить (или открепить) протяжку в патроне | клином или вилкой | - | 0,045 | - | - | - | - | |||||
рукояткой самозажимного патрона | - | 0,02 | - | - | - | - | |||||||
55 | Установить (или снять) плоскую прокладку под протяжку | - | 0,03 | - | - | - | - | ||||||
56 | Очистить протяжку от стружки (с учетом - перекрытий машинным временем) | Диаметр протяжки, мм, до | 40 | - | 0,04 | - | - | - | - | ||||
80 | - | 0 07 | - | - | - | - | |||||||
св. 80 | - | 0,10 | - | - | - | - | |||||||
57 | Сменить протяжку для наружного протягивания при работе в несколько проходов на вертикалько-протяжных станках | - | 0,16 | - | - | - | - | ||||||
ВСПОМОГАТЕЛЬНОЕ ВРЕМЯ НА ПРИЕМЫ УПРАВЛЕНИЯ СТАНКОМ И СМЕНУ ИНСТРУМЕНТА | Приложение 6, лист 8 | ||||||||||
N позиции | Наименование приемов | Размерная группа оборудования | |||||||||
I | II | III | IV | V | VI | ||||||
Время, мин. | |||||||||||
58 | Переместить деталь или деталь с приспособлением при сверлении на длину, мм | 150...400 | Масса детали или детали с приспособлением, кг | 5 | - | 0,015 | - | - | |||
15 | - | 0,02 | - | - | |||||||
30 | - | 0,055 | - | - | |||||||
св. 400 | 5 | - | 0,03 | - | - | ||||||
15 | - | 0,04 | - | - | |||||||
30 | - | 0,075 | - | - | |||||||
59 | Кантовать приспособление при сверлении | 5 | - | 0,04 | - | - | |||||
15 | - | 0,06 | - | - | |||||||
30 | - | 0,12 | - | - | |||||||
60 | Повернуть деталь с приспособлением при сверлении на угол с фиксацией | габаритные размеры приспособления, мм | 300 x 500 | - | 0,09 | - | - | ||||
500 x 1000 | - | 0,11 | - | - | |||||||
св. 500 x 1000 | - | 0,14 | - | - | |||||||
61 | Включить или выключить охлаждение | Перекрывается основным временем | |||||||||
62 | Совместить профиль детали и инструмента в начале обработки | См. ниже лист 9 | |||||||||
63 | Переместить каретку, суппорт, шпиндель, шпиндельную бабку, шлифовальную бабку, стол в исходное положение вручную или автоматически | ||||||||||
Приложение 6, лист 9 | ||||||||
Время на совмещение профиля детали и инструмента | ||||||||
Наименование приемов | Модуль зуба, m, мм | |||||||
3 | 8 | 12 | св. 12 | |||||
Время, мин. | ||||||||
Совместить профиль детали и инструмента в начале обработки | Зубофрезерные, шлицефрезерные станки | 0,30 | 0,40 | 0,45 | 0,50 | |||
Зубодолбежные станки | 0,15 | 0,20 | 0,30 | - | ||||
Зубострогальные станки для конических колес | 0,25 | 0,30 | 0,40 | 0,45 | ||||
Зуборезные станки для колес с круговым зубом | 0,07 | 0,08 | 0,10 | 0,12 | ||||
Зубошлифовальные, щлицешлифовальные станки | 0,07 | 0,08 | 0,10 | - | ||||
Резьбошлифовальные станки | 0,15 | - | - | - | ||||
Время на перемещение частей станка | ||||||||
Наименование приемов | Длина перемещения <*>, мм | Размерная группа оборудования | ||||||
I - II | III | IV | V | VI | ||||
Время, мин. | ||||||||
Переместить каретку, шпиндель, шпиндельную бабку, стол, суппорт в исходное положение вручную или автоматически | Токарно-винторезные станки | каретка суппорта | 200 | 0,05 | 0,06 | 0,08 | 0,09 | 0,11 |
пиноль задней бабки | 50 | 0,05 | 0,06 | 0,07 | - | - | ||
суппорт | 100 | 0,06 | 0,07 | 0,08 | 0,10 | 0,12 | ||
Лоботокарные | каретка суппорта | 500 | - | - | 0,16 | 0,20 | 0,23 | |
суппорт | 200 | - | - | 0,17 | 0,20 | 0,25 | ||
Карусельные станки | 200 | - | - | 0,09 | 0,09 | 0,11 | ||
Горизонтально-расточные станки | шпиндель | 200 | - | 0,08 | 0,08 | 0,09 | - | |
стол | 200 | - | 0,09 | 0,09 | 0,12 | - | ||
Приложение 6, лист 10 | ||||||||
Наименование приемов | Длина, перемещения <*>, мм | Размерная группа оборудования | ||||||
I - II | III | IV | V | VI | ||||
Время, мин. | ||||||||
Переместить каретку, шпиндель, шпиндельную бабку, стол, суппорт в исходное положение вручную или автоматическая | Револьверные станки | каретка суппорта | 100 | 0,04 | 0,05 | 0,05 | - | - |
суппорт | 50 | 0,04 | 0,06 | 0,06 | - | - | ||
Горизонтально- и вертикально-копировально-фрезерные станки | 200 | 0,07 | 0,09 | 0,11 | 0,11 | - | ||
Продольно-фрезерные станки | 500 | - | - | 0,16 | 0,16 | 0,17 | ||
Поперечно-строгальные станки | стол | 200 | 0,10...0,12 | 0,17 | - | - | - | |
суппорт | 100 | 0,12...0,14 | 0,17 | - | - | - | ||
Продольно-строгальные станки | 200 | - | - | 0,08 | 0,09 | 0,10 | ||
Долбежные станки | 200 | 0,09...0,12 | 0,15 | - | - | - | ||
Круглошлифовальные станки | 100 | 0,045 | 0,05 | 0,06 | - | - | ||
Многорезцовые станки | 100 | - | 0,05 | - | - | - | ||
Токарные резьбонарезные станки с вращающимися головками | 100 | - | 0,04 | - | - | - | ||
1000 | - | 0,18 | - | - | - | |||
Св. 1000 | - | 0,42 | - | - | - | |||
Резьбофрезерные станки, работающие дисковой фрезой | 500 | - | 0,14 | - | - | - | ||
1000 | - | 0,24 | - | - | - | |||
Св. 1000 | - | 0,39 | - | - | - | |||
Резьбофрезерные станки, работающие гребенчатой фрезой | 100 | 0,06 | - | - | - | - | ||
200 | 0,08 | - | - | - | - | |||
Зубофрезерные станки | 100 | 0,16 | 0,18 | 0,20 | 0,27 | - | ||
200 | 0,30 | 0,34 | 0,38 | 0,50 | - | |||
Шлицефрезерные станки | 200 | - | 0,10 | - | - | - | ||
400 | - | 0,18 | - | - | - | |||
Шпоночно-фрезерные станки | 100 | - | 0,12 | - | - | - | ||
Отрезные круглопильные станки | 300 | - | 0,09 | - | - | - | ||
500 | - | 0,14 | - | - | - | |||
Зубошлифовальные, работающие абразивным червяком методом обкатки | шлифовальную бабку автоматически | - | - | 0,08 | - | - | - | |
шлифовальную бабку маховичком | 0,5...0,8 | - | 0,03 | - | - | - | ||
Резьбонарезные станки | 100 | 0,02 | - | - | - | - | ||
Св. 100 | 0,03 | - | - | - | - | |||
Приложение 7, лист 1 | |||||||||
N позиции | Станки | Наименование элементов работы | Размерная группа оборудования | ||||||
I | II | III | IV | V | VI | ||||
Время, мин. | |||||||||
1 | Все | Получить наряд, чертеж, технологическую документацию на рабочем месте в начале и сдать в конце обработки. Ознакомиться с чертежом, технологической документацией, осмотреть заготовки | 4,0 | 4,0 | 4,0 | 4,0 | 4,0 | 4,0 | |
2 | Инструктаж мастера | 2,0 | 2,0 | 2,0 | 2,0 | 2,0 | 2,0 | ||
3 | Токарно-винторезные | Установить и снять зажимное приспособление | патрон | 2,0 | 2,5 | 4,0 | 4,0 | 5,0 | 6,5 |
патрон с центром | 2,8 | 3,5 | 5,8 | 6.2 | 8,0 | 10 | |||
центра | 1,6 | 2,0 | 3,5 | 4,5 | 6,0 | 7,0 | |||
оправку | 0,6 | 0,8 | 1,2 | 1,5 | 1,8 | 2.5 | |||
специальное приспособление | - | - | 8,0 | 10,0 | 13,0 | 15,0 | |||
4 | Установить и снять режущий инструмент | резец в резцедержавку, сверло, зенкер, развертку в пиноль задней бабки | 1,0 | 1,2 | 2,0 | 2,5 | 3,0 | 3,5 | |
0,2 | 0,25 | 0,4 | 0,5 | 0,6 | 0,8 | ||||
5 | Установить величину подачи | 0,10 | 0,15 | 0,2 | 0,3 | 0,3 | 0,4 | ||
6 | Установить число оборотов шпинделя | 0,10 | 0,15 | 0,2 | 0,3 | 0,3 | 0,4 | ||
7 | Переместить каретку суппорта в продольном направлении | 0,06 | 0,1 | 0,3 | 0,4 | 0,5 | 0,6 | ||
8 | Переместить суппорт в поперечном направлении | 0,06 | 0,1 | 0,3 | 0,4 | 0,5 | 0,6 | ||
9 | Токарно-карусельные | Установить и снять зажимное приспособление | на столе 4 кулачка | - | - | - | 4,0 | 5,0 | 6,0 |
болты с планками | - | - | - | 3,0 | 3,6 | 4,5 | |||
угольник с креплением болтами и планками | - | - | - | 7,5 | 9,5 | 12,0 | |||
на столе 4 кулачка и болты с планками | - | - | - | 7,0 | 8,5 | 10,5 | |||
специальное приспособление | - | - | - | 6,0 | 8,0 | 9,0 | |||
10 | Установить и снять режущий инструмент | в резцедержавку суппорта | - | - | - | 3,0 | 4,0 | 5,0 | |
в гнездо револьверной головки | - | - | - | 1,5 | 1,8 | 2,0 | |||
Приложение 7, лист 1 | |||||||||||
N позиции | Станки | Наименование элементов работы | Размерная группа оборудования | ||||||||
I | II | III | IV | V | VI | ||||||
Время, мин. | |||||||||||
11 | Токарно-карусельные | Установить число оборотов планшайбы | - | - | - | 0,15 | 0,2 | 0,3 | |||
12 | Установить величину подачи | - | - | - | 0,15 | 0,2 | 0,3 | ||||
13 | Переместить поперечину | - | - | - | 1,0 | 1,2 | 1,5 | ||||
14 | Переместить каретку по поперечине | - | - | - | 0,2 | 0,4 | 0,5 | ||||
15 | Переместить верхний суппорт в вертикальном направлении | - | - | - | 0,2 | 0,3 | 0,4 | ||||
16 | Переместите боковой суппорт в вертикальном направлении | - | - | - | 0,2 | 0,3 | 0,4 | ||||
17 | Переместить боковой суппорт в горизонтальном направлении | - | - | - | 0,2 | 0,2 | 0,3 | ||||
18 | Горизонтально-расточные с неподвижной передней стойкой и поворотным столом | Установить и снять зажимное приспособление | болты с планками | - | - | 4,0 | 4,8 | 6,0 | - | ||
специальное приспособление | при установке | вручную | - | - | 4,5 | 6,0 | 7,5 | - | |||
краном | - | - | 7,5 | 9,0 | 10,5 | - | |||||
19 | Установить и снять режущий инструмент | в конус шпинделя | - | - | 0,4 | 0,5 | 0,8 | - | |||
в борштангу | - | - | 0,8 | 1,0 | 1,2 | - | |||||
в резцедержатель на планшайбе | - | - | 1,2 | 1,5 | 1,8 | - | |||||
20 | Установить число оборотов шпинделя | - | - | 0,15 | 0,2 | 0,3 | - | ||||
21 | Установить величину подачи | - | - | 0,15 | 0,2 | 0,3 | - | ||||
22 | Переместить стол в продольном направлении | - | - | 0,3 | 0,3 | 0,4 | - | ||||
23 | Переместить стол в поперечном направлении | - | - | 0,3 | 0,3 | 0,4 | - | ||||
24 | Переместить шпиндельную бабку в вертикальном направлении | - | - | 0,3 | 0,4 | 0,5 | - | ||||
25 | Переместить шпиндель в горизонтальном направлении | - | - | 0,2 | 0,2 | 0,3 | - | ||||
СОСТАВ И ПРОДОЛЖИТЕЛЬНОСТЬ ПРИЕМОВ ПОДГОТОВИТЕЛЬНО-ЗАКЛЮЧИТЕЛЬНОЙ РАБОТЫ | Приложение 7, лист 2 | |||||||||
N позиции | Станки | Наименование элементов работы | Размерная группа оборудования | |||||||
I | II | III | IV | V | VI | |||||
Время, мин. | ||||||||||
1 | ||||||||||
2 | ||||||||||
3 | Токарно-револьверные | Установить и снять зажимное приспособление | самоцентрирующий патрон | 2,0 | 3,0 | 4,0 | 4,0 | - | - | |
цанговый патрон | 1,0 | 1,5 | 2,0 | 2,0 | - | - | ||||
концевую оправку | - | 1,0 | 1,5 | 1,5 | - | - | ||||
специальное приспособление | - | 6,0 | 8,0 | 8,0 | - | - | ||||
4 | Установить и снять режущий инструмент | 1,2 | 1,5 | 2,0 | 2,5 | - | - | |||
5 | Установить число оборотов шпинделя | 0,25 | 0,3 | 0,4 | 0,4 | - | - | |||
6 | Установить величину подачи револьверной головки | 0,25 | 0,3 | 0,4 | 0,4 | - | - | |||
7 | Переместить револьверную головку в продольном направлении | 0,15 | 0,2 | 0,3 | 0,4 | - | - | |||
8 | Установить величину подачи суппорта | для токарно-револьверных станков с вертикальной осью револьверной головки | 0,25 | 0,3 | 0,4 | 0,4 | - | - | ||
9 | Переместить каретку суппорта в продольном направлении | 0,15 | 0,2 | 0,3 | 0,3 | - | - | |||
10 | Переместить суппорт в поперечном направлении | 0,15 | 0,2 | 0,3 | 0,4 | - | - | |||
11 | Отрегулировать один упор длины хода револьверной головки или суппорта | 0,6 | 0,8 | 1,0 | 1,2 | - | - | |||
12 | Пробная обработка 2...3 деталей, измерение, регулирование резцов на размер заданной точности | - | - | - | - | - | - | |||
13 | Вертикально- и радиально-сверлильные | Установить и снять зажимное приспособление | патрон | 3,0 | 3,0 | 3,0 | 3,0 | - | - | |
болты с планками | 1,6 | 2,0 | 2,0 | 2,4 | 3,0 | - | ||||
тиски | 3,0 | 3,55 | 3,5 | 4,0 | 4,5 | - | ||||
кондуктор при установке | вручную | 3,0 | 3,5 | 3,5 | 4,0 | 4,5 | - | |||
краном | 6,0 | 6,5 | 6,5 | 7,0 | 7,5 | - | ||||
14 | Остановить и снять режущий инструмент | 0,5 | 0,8 | 0,8 | 1,0 | 1,2 | - | |||
15 | Установить число оборотов шпинделя | 0,12 | 0,2 | 0,2 | 0,3 | 0,4 | - | |||
16 | Установить величину подачи | 0,12 | 0,2 | 0,2 | 0,3 | 0,4 | - | |||
17 | Переместить шпиндель в вертикальном направлении | 0,08 | 0,2 | 0,2 | 0,3 | 0,4 | - | |||
18 | Переместить стол в вертикальном направлении (для вертикально-сверлильных станков) | 0,3 | 0,4 | 0,4 | 0,5 | - | - | |||
19 | Переместить рукав в вертикальном направлении с ослаблением и креплением | для радиально-сверлильных станков | - | 0,4 | 0,4 | 0,5 | 0,6 | - | ||
20 | Переместить шпиндельную головку по рукаву в горизонтальном направлении | - | 0,1 | 0,1 | 0,2 | 0,3 | - | |||
21 | Повернуть рукав на угол | - | 0,1 | 0,1 | 0,1 | 0,1 | - | |||
22 | Установить упор ограничения хода на длину обработки | 0,08 | 0,2 | 0,2 | 0,3 | 0,4 | - | |||
23 | Копировально-фрезерные | Установить и снять зажимное приспособление | болты с планками | - | - | 6,0 | 6,0 | 7,0 | - | |
тиски | - | - | 3,5 | 4,0 | 5,0 | - | ||||
специальное приспособление при установке | вручную | - | - | 8,0 | 9,0 | 10 | - | |||
краном | - | - | - | 12,0 | 15,0 | - | ||||
24 | Установить и снять фрезу | - | - | 3,0 | 3,5 | 4,0 | - | |||
25 | Установить число оборотов шпинделя | - | - | 0,2 | 0,3 | 0,3 | - | |||
26 | Установить величину подачи | - | - | 0,2 | 0,3 | 0,3 | - | |||
27 | Сменить наконечник трейсера | - | - | 0,7 | 0,9 | 1,2 | - | |||
28 | Сменить копир | - | - | 4,0 | 5,0 | 6,0 | - | |||
29 | Переместить каретку по направляющим станка в вертикальном направлении | - | - | 0,2 | 0,4 | 0,5 | - | |||
30 | Переместить стол в горизонтальном направлении | - | - | 0,3 | 0,4 | 0,5 | - | |||
СОСТАВ И ПРОДОЛЖИТЕЛЬНОСТЬ ПРИЕМОВ ПОДГОТОВИТЕЛЬНО-ЗАКЛЮЧИТЕЛЬНОЙ РАБОТЫ | Приложение 7, лист 3 | |||||||||
N позиции | Станки | Наименование элементов работы | Размерная группа оборудования | |||||||
I | II | III | IV | V | VI | |||||
Время, мин. | ||||||||||
1 | ||||||||||
2 | ||||||||||
3 | Горизонтально-, вертикально- и универсально-фрезерные | Установить и снять зажимное приспособление | патрон | 2,0 | 2,0 | 2,5 | 3,0 | 3,5 | - | |
патрон с центром | 2,5 | 3,0 | 3,5 | 4,0 | 5,0 | - | ||||
центра | 2,0 | 3,0 | 4,0 | 5,0 | 6,0 | - | ||||
болты с планками | 3,0 | 4,0 | 5,0 | 6,0 | 7,0 | - | ||||
тиски | 2,5 | 3,0 | 3,5 | 4,0 | 4,5 | - | ||||
специальное приспособление при установке | вручную | 4,0 | 5,0 | 7,0 | 9,0 | 10 | - | |||
краном | - | - | 10 | 12 | 15 | - | ||||
4 | Установить и снять концевую фрезу в конус шпинделя | 2,0 | 2,5 | 3,0 | 3,5 | 4,0 | - | |||
5 | Установить оправку для фрезы в конус шпинделя и снять ее | 1,5 | 2,0 | 2,5 | 3,0 | 3,5 | - | |||
6 | Установить насадную фрезу на оправку и снять ее | 1,0 | 1,5 | 2,0 | 2,5 | 3,0 | - | |||
7 | Установить комплект фрез на оправку и снять его | две | - | 2,0 | 2,5 | 3,0 | 3,5 | - | ||
четыре | - | 3,0 | 8,5 | 4,5 | 5,0 | - | ||||
шесть | - | 4,0 | 5,0 | 6,0 | 7,0 | - | ||||
8 | Установить число оборотов шпинделя | 0,12 | 0,15 | 0,2 | 0,3 | 0,3 | - | |||
9 | Установить величину подачи | 0,12 | 0,15 | 0,2 | 0,3 | 0,3 | - | |||
10 | Переместить стол в продольном направлении | 0,15 | 0,2 | 0,3 | 0,4 | 0,5 | - | |||
11 | Переместить стол в поперечном направлении | 0,12 | 0,15 | 0,2 | 0,3 | 0,4 | - | |||
12 | Переместить стол в вертикальном направлении | 0,35 | 0,4 | 0,5 | 0,6 | 0,7 | - | |||
13 | Закрепить стол | 0,12 | 0,15 | 0,15 | 0,2 | 0,2 | - | |||
14 | Переместить упоры автоматического выключения подачи на размер | 0,2 | 0,3 | 0,3 | 0,4 | 0,4 | - | |||
15 | Продольно-фрезерные | Установить и снять зажимное приспособление | болты с планками | - | - | - | 5,0 | 6,0 | 7,0 | |
тиски | - | - | - | 3,5 | 4,0 | 5,0 | ||||
специальное приспособление при установке | вручную | - | - | - | 5,0 | 7,0 | 10 | |||
краном | - | - | - | 10,0 | 12 | 15 | ||||
16 | Установить и снять оправку для фрезы в конус шпинделя | - | - | - | 2,5 | 3,0 | 3,5 | |||
17 | Установить фрезу на оправке и снять ее | одну | - | - | - | 3,0 | 3,5 | 4,0 | ||
две | - | - | - | 4,0 | 5,0 | 6,0 | ||||
три | - | - | - | 6,0 | 7,0 | 9,0 | ||||
четыре | - | - | - | 8,0 | 10,0 | 13,0 | ||||
18 | Установить число оборотов шпинделя | - | - | - | 0,2 | 0,3 | 0,3 | |||
19 | Установить величину подачи | - | - | - | 0,2 | 0,3 | 0,3 | |||
20 | Переместить поперечину в вертикальном направлении с ослаблением и креплением | - | - | - | 0,8 | 1,0 | 1,2 | |||
21 | Переместить шпиндельную бабку | - | - | - | 0,4 | 0,5 | 0,6 | |||
22 | Переместить стол | - | - | - | 0,3 | 0,4 | 0,5 | |||
23 | Переместить упоры автоматического выключения подачи на размер | - | - | - | 0,5 | 0,5 | 0,6 | |||
24 | Карусельно-фрезерные | Установить и снять зажимное приспособление | четырехместное | - | - | 10 | 12 | 15 | - | |
четырехместное | - | - | 12 | 15 | 18 | - | ||||
восьмиместное | - | - | 15 | 18 | 21 | - | ||||
25 | Установить фрезу на гильзе шпинделя с установкой на размер и снять | - | - | 7 | 9 | 11 | - | |||
26 | Установить число оборотов шпиндельной бабки | сменой шестерен | - | - | 2,0 | 3,0 | 4,0 | - | ||
рукояткой | - | - | 0,2 | 0,3 | 0,3 | - | ||||
27 | Установить величину подачи стола | сменой шестерен | - | - | 1,5 | 2,0 | 3,0 | - | ||
рукояткой | - | - | 0,2 | 0,3 | 0,3 | - | ||||
28 | Переместить стол | - | - | 0,3 | 0,4 | 0,5 | - | |||
29 | Открепить и закрепить стол | - | - | 0,3 | 0,4 | 0,4 | - | |||
СОСТАВ И ПРОДОЛЖИТЕЛЬНОСТЬ ПРИЕМОВ ПОДГОТОВИТЕЛЬНО-ЗАКЛЮЧИТЕЛЬНОЙ РАБОТЫ | Приложение 7, лист 4 | ||||||||||||
N позиции | Станки | Наименование элементов работы | Размерная группа оборудования | ||||||||||
I - II | III | IV | V | VI | |||||||||
Время, мин. | |||||||||||||
1 | |||||||||||||
2 | |||||||||||||
3 | Поперечно-строгальные и долбежные | Остановить и снять зажимное приспособление | патрон | 3,0 | 4,0 | - | - | - | |||||
болты с планками | 2,0 | 2,4 | - | - | - | ||||||||
тиски | 3,0 | 3,5 | - | - | - | ||||||||
специальное приспособление | 4,0 | 5,0 | - | - | - | ||||||||
4 | Установить и снять резец | на поперечно-строгальных станках | проходной | 0,6 | 0,7 | - | - | - | |||||
широкий или фасонный | 1,0 | 1,2 | - | - | - | ||||||||
на долбежных станках | проходной | 1,0 | 1,2 | - | - | - | |||||||
пазовый | 1,5 | 2,0 | - | - | - | ||||||||
5 | Установить число двойных ходов ползуна | 0,2 | 0,2 | - | - | - | |||||||
6 | Установить величину подачи | 0,2 | 0,2 | - | - | - | |||||||
7 | Переместить стол в горизонтальном направлении | 0,2 | 0,3 | - | - | - | |||||||
8 | Переместить стол в вертикальном направлении (для поперечно-строгальных станков) | 0,4 | 0,5 | - | - | - | |||||||
9 | Переместите стол в поперечном направления (для долбежных станков) | 0,4 | 0,5 | - | - | - | |||||||
10 | Переместить суппорт в вертикальном направлении (для поперечно-строгальных станков) | 0,4 | 0,5 | - | - | - | |||||||
11 | Установить длину хода ползуна | 0,3 | 0,4 | - | - | - | |||||||
12 | Переместить стол по окружности в исходное положение (для долбежных станков) | 0,2 | 0,3 | - | - | - | |||||||
13 | Продольно-строгальные | Установить и снять зажимное приспособление | болты с прижимными планками в числе | 4 | - | - | 4,0 | 5,0 | 6,0 | ||||
8 | - | - | 8,0 | 10,0 | 12,0 | ||||||||
12 | - | - | 12,0 | 14,5 | 18,0 | ||||||||
специальное приспособление при установке | вручную | с креплением болтами в числе | 2 | - | - | 4,5 | - | - | |||||
4 | - | - | 7,0 | 8,0 | 9,0 | ||||||||
краном | 4 | - | - | 9,0 | 11,0 | 13,0 | |||||||
6 | - | - | 10,0 | 12,0 | 15,0 | ||||||||
14 | Установить и снять резец | проходной или подрезной | - | - | 1,0 | 1,5 | 2,0 | ||||||
фасонный или широкий | - | - | 1,8 | 2,5 | 3,0 | ||||||||
15 | Установить величину скорости резания | - | - | 0,2 | 0,2 | 0,3 | |||||||
16 | Установить величину подачи | - | - | 0,2 | 0,2 | 0,3 | |||||||
17 | Переместить поперечину в вертикальном направлении с ослаблением и креплением | - | - | 1,0 | 1,2 | 1,5 | |||||||
18 | Переместить каретку суппорта | - | - | 0,4 | 0,5 | 0,7 | |||||||
19 | Переместить суппорт | - | - | 0,4 | 0,5 | 0,7 | |||||||
20 | Переместить стол | - | - | 0,2 | 0,2 | 0,2 | |||||||
21 | Установить длину хода стола перемещением кулачков | - | - | 0,3 | 0,4 | 0,5 | |||||||
22 | Круглошлифовальные | Установить и снять зажимное приспособление | центра | 2,5 | 3,0 | 4,5 | - | - | |||||
патрон | 2,5 | 3,0 | 4,0 | - | - | ||||||||
оправку | 0,8 | 1,0 | 1,2 | - | - | ||||||||
23 | Установить число оборотов изделия | 0,12 | 0,15 | 0,3 | - | - | |||||||
24 | Установить величину продольной подачи стола | 0,12 | 0,15 | 0,3 | - | - | |||||||
25 | Установить величину поперечной подачи шлифовального круга | 0,12 | 0,15 | 0,3 | - | - | |||||||
26 | Переместить стол в продольном направлении | 0,3 | 0,4 | 0,5 | - | - | |||||||
28 | Переместить суппорт шлифовального круга в поперечном направлении | 0,3 | 0,4 | 0,5 | - | - | |||||||
29 | Установить длину хода стола перемещением упоров | 0,3 | 0,4 | 0,5 | - | - | |||||||
СОСТАВ И ПРОДОЛЖИТЕЛЬНОСТЬ ПРИЕМОВ ПОДГОТОВИТЕЛЬНО-ЗАКЛЮЧИТЕЛЬНОЙ РАБОТЫ | Приложение 7, лист 5 | ||||||
N позиции | Станки | Наименование элементов работы | Размерная группа оборудования | ||||
I - II | III | IV | |||||
Время, мин. | |||||||
1 | |||||||
2 | |||||||
3 | Внутришлифовальные | Установить и снять зажимное приспособление | самоцентрирующий патрон | 2,0 | 4,0 | - | |
4 | специальный патрон или центрирующее приспособление при установке | вручную | 4,0 | 8,0 | - | ||
5 | краном | - | 12,0 | - | |||
6 | Установить и снять шлифовальный круг | 1,5 | 2,0 | - | |||
7 | Установить число оборотов изделия | 0,15 | 0,2 | - | |||
8 | Установить величину продольной подачи стола (или шлифовального круга) | 0,15 | 0,2 | - | |||
9 | Установить величину поперечной подачи шлифовального круга | 0,15 | 0,2 | - | |||
10 | Переместить стол (или шлифовальный круг) в продольном направлении | 0,2 | 0,3 | - | |||
11 | Переместить шлифовальный круг в поперечном направлении | 0,2 | 0,2 | - | |||
12 | Установить длину хода стола (или шлифовального круга) перемещением упоров | 0,3 | 0,4 | - | |||
13 | Плоскошлифовальные | Установить скорость движения (число оборотов) стола | 0,15 | 0,2 | 0,3 | ||
14 | Установить величину вертикальной подачи шлифовального круга (для станков с вертикальным шпинделем) или стола | 0,15 | 0,2 | 0,3 | |||
15 | Установить величину горизонтальной подачи шлифовального круга | 0,15 | 0,2 | 0,3 | |||
16 | Переместить шлифовальный круг в горизонтальном направлении (или ползун) | 0,15 | 0,2 | 0,3 | |||
17 | Переместить шлифовальный круг в вертикальном направлении | 0,15 | 0,2 | 0,3 | |||
18 | Переместить стол | 0,2 | 0,3 | 0,4 | |||
19 | Установить длину хода стола (или ползуна) перемещением упоров | 0,15 | 0,2 | 0,3 | |||
20 | Бесцентровошлифовальные | Установить и снять поддерживающий нож с регулировкой | - | 5,0 | - | ||
21 | Изменить число оборотов ведущего круга | - | 0,2 | - | |||
22 | Установить величину продольной подачи поворотом ведущего круга на угол | - | 1,5 | - | |||
23 | Установить и снять продольный упор | - | 1,5 | - | |||
24 | Установить шлифовальный круг на размер шлифования с откреплением и закреплением узлов станка | - | 0,6 | - | |||
25 | Установить и снять выталкиватель | - | 5,0 | - | |||
26 | Пробная обработка 2...3 деталей, измерение, дополнительная установка круга на размер (по необходимости) | - | - | - | |||
27 | Хонинговальные | Установить кулачки патрона на размер обработки | 2,0 | - | - | ||
28 | Установить кулачки люнета на размер с регулировкой | 2,0 | - | - | |||
29 | Установить и снять специальное зажимное приспособление | 8,0 | - | - | |||
30 | Установить и снять хонинговальную головку | 2,0 | - | - | |||
31 | Установить бруски в хонинговальную головку и снять их | 3,0 | - | - | |||
32 | Установить длину хода хонинговальной головки перемещением упоров | 0,3 | - | - | |||
33 | Установить скорость движения хонинговальной головки | 0,2 | - | - | |||
34 | Суперфинишные | Установить и снять бруски | 3,0 | - | - | ||
35 | Установить число оборотов изделия | 0,2 | - | - | |||
36 | Установить величину продольной подача изделия | 0,2 | - | - | |||
37 | Отрегулировать силу давления и длину хода брусков | 1,5 | - | - | |||
38 | Вертикально-доводочные (лапинговальные) | Установить сепаратор на столе и снять его | 2,0 | - | - | ||
39 | Очистить диски | 1,0 | - | - | |||
40 | Шаржировать диски доводочной пастой | 2,0 | - | - | |||
41 | Отрегулировать поступление смазывающей жидкости | 1,0 | - | - | |||
СОСТАВ. И ПРОДОЛЖИТЕЛЬНОСТЬ ПРИЕМОВ ПОДГОТОВИТЕЛЬНО-ЗАКЛЮЧИТЕЛЬНОЙ РАБОТЫ | Приложение 7, лист 6 | |||||
N позиции | Станки | Наименование элементов работы | Размерная группа оборудования | |||
I - II | III | IV | ||||
Время, мин. | ||||||
1 | ||||||
2 | ||||||
3 | Токарные многорезцовые копировальные полуавтоматы | Переместить заднюю бабку на размер обрабатываемой детали с откреплением и закреплением | - | 1,2 | - | |
4 | Установить кулачки патрона на размер обработки | - | 1,0 | - | ||
5 | Установить снять резец | с регулировкой на сопряженный размер до шаблону | - | 2,0 | - | |
с пробными промерами - для работ с точностью <= 0,2 мм | - | 7,0 | - | |||
6 | Установить резцедержатель с резцами, предварительно установленными на размер | - | 4,0 | - | ||
7 | Установить число оборотов шпинделя при помощи сменных шестерен | - | 2,0 | - | ||
8 | Установить величину подачи | при помощи сменных шестерен | - | 2,0 | - | |
рукояткой | - | 0,2 | - | |||
9 | Переместить передний суппорт в продольном направлении | - | 0,3 | - | ||
10 | Переместить задний суппорт в поперечном направлении | - | 0,3 | - | ||
11 | Установить длину хода суппортов с регулированием упоров | - | 1,5 | - | ||
12 | Пробная обработка 2 - 3 деталей, измерение, регулирование резцов на размер заданной точности (по необходимости) | - | - | - | ||
13 | Резьботокарные полуавтоматы для коротких резьб | Установить и снять зажимное приспособление | центра | 3,0 | - | - |
концевую оправку | 1,0 | - | - | |||
патрон | 3,0 | - | - | |||
14 | Установить число оборотов детали при помощи сменных шестерен | 2,0 | - | - | ||
15 | Установить и снять резец | 1,5 | - | - | ||
16 | Установить и снять барабан с наладкой кулачка | 8,0 | - | - | ||
17 | Наладить кулачок поперечного перемещения резцедержателя с регулировкой размеров резьбового резца | 1,0 | - | - | ||
17 | Установить число проходов резца при помощи сменных шестерен | 2,0 | - | - | ||
18 | Наладить кулачок подачи на заданную глубину резания | 1,0 | - | - | ||
20 | Пробная обработка 2...3 деталей, измерение, регулирование резца на глубину резания (по необходимости) | - | - | - | ||
21 | Резьботокарные полуавтоматы с вихревой головкой | Установить и снять зажимное приспособление | центра | 3,0 | - | - |
патрон | 3,0 | - | - | |||
22 | Установить резец по шаблону во вращающейся головке | 1,5 | - | - | ||
23 | Установить число оборотов шпинделя | 0,2 | - | - | ||
24 | Установить величину подачи | 0,2 | - | - | ||
25 | Пробная обработка 2...3 деталей, измерение, регулирование резца на глубину резания (по необходимости) | - | - | - | ||
СОСТАВ И ПРОДОЛЖИТЕЛЬНОСТЬ ПРИЕМОВ ПОДГОТОВИТЕЛЬНО-ЗАКЛЮЧИТЕЛЬНОЙ РАБОТЫ | Приложение 7, лист 7 | |||||
N позиции | Станки | Наименование элементов работы | Размерная группа оборудования | |||
I - II | III | IV | ||||
Время, мин. | ||||||
1 | ||||||
2 | ||||||
3 | Зубофрезерные | Установить и снять зажимное приспособление | оправку, оправку с переходной втулкой, центра | 2...0 | 4 | 5 |
оправку с подставкой | 12 | 16 | 20 | |||
подставки | 9 | 12 | 15 | |||
4 | Сменить оправку фрезы | 1,5...2 | 3,0 | 4,0 | ||
5 | Установив фрезу на оправку с регулировкой по оси детали, закрепить гайкой и снять | 1,5...2 | 3,0 | 4,0 | ||
6 | Установить число оборотов фрезы при помощи сменных шестерен | 1,5...2 | 3,0 | 4,0 | ||
7 | Установить величину подачи при помощи сменных шестерен | 3,0...3,5 | 4,5 | 5,0 | ||
8 | Сменить шестерни гитары деления | 1,0...1,5 | 2,0 | 3,0 | ||
9 | Переместить фрезерную головку в вертикальном направлении | 0,3...0,4 | 0,5 | 0,6 | ||
10 | Установить упор для автоматического выключения подачи фрезы | 0,2...0,3 | 0,4 | 0,5 | ||
11 | Повернуть фрезерную головку на угол | 1,0...1,5 | 2,0 | 3,0 | ||
12 | Установить глубину резания перемещением стола | 0,3...0,4 | 0,5 | 0,6 | ||
13 | Пробная обработка, измерение зуба, дополнительная установка на глубину резания (по необходимости) | - | - | - | ||
14 | Зубодолбежные | Установить и снять зажимное приспособление | оправку концевую с гайкой | 4,5 | 5,0 | - |
оправку концевую пневматическую или гидравлическую | 5,0 | 6,0 | - | |||
специальное приспособление для зубчатых колес, с внутренним зацеплением | 6,0 | 8,0 | - | |||
15 | Установить и снять долбяк | 4,0 | 4,0 | - | ||
16 | Установить число двойных ходов ползуна | рычагом | 0,2 | 0,3 | - | |
сменой шестерен гитары | 2,0 | 3,0 | - | |||
17 | Установить величину круговой подачи | рычагом | 0,2 | 0,3 | - | |
сменой шестерен гитары | 2,0 | 3,0 | - | |||
18 | Сменить шестерни гитары деления | 3,5 | 4,5 | - | ||
19 | Установить величину радиальной подачи врезания | 1,0 | 1,2 | - | ||
20 | Установить и снять копирный кулачок механизма врезания | 1,0 | 1,2 | - | ||
21 | Установить длину хода долбяка | 1,2 | 1,6 | - | ||
22 | Установить глубину резания | 0,8 | 1,2 | - | ||
23 | Пробная обработка 4...6 зубьев, измерение, дополнительная установка на глубину резания (по необходимости) | - | - | - | ||
N позиции | Станки | Наименование элементов работы | Размерная группа оборудования | ||
I - II | III | IV | |||
Время, мин. | |||||
1 | |||||
2 | |||||
3 | Зубошевинговальные | Установить центровые бабки на размер по длине оправки с откреплением и закреплением | - | 1,0 | - |
4 | Установить и снять шевер | - | 3,0 | - | |
5 | Установить число оборотов шевера при помощи сменных шестерен | - | 1,5 | - | |
6 | Установить скорость продольной подачи стола при помощи сменных шестерен | - | 1,5 | - | |
7 | Установить величину вертикальной подачи стола | - | 0,2 | - | |
8 | Переместить стол в продольном направлении | - | 0,4 | - | |
9 | Переместить стол в вертикальном направлении | - | 0,4 | - | |
10 | Установить стол на угол скрещивания осей детали и инструмента | - | 1,2 | - | |
11 | Установить длину хода стола по упорам | - | 0,5 | - | |
СОСТАВ И ПРОДОЛЖИТЕЛЬНОСТЬ ПРИЕМОВ ПОДГОТОВИТЕЛЬНО-ЗАКЛЮЧИТЕЛЬНОЙ РАБОТЫ | Приложение 7, лист 7 | |||||
N позиции | Станки | Наименование элементов работы | Размерная группа оборудования | |||
I - II | III | IV | ||||
Время, мин. | ||||||
12 | Зубошевинговальные | Установить реле выключения вертикальной подачи на заданное число ходов стола | - | 0,3 | - | |
13 | Пробная обработка, измерение зуба, дополнительная установка на глубину резания (по необходимости) | - | - | - | ||
14 | Зубозакругляющие | Установить и снять зажимное приспособление | концевую оправку | - | 1,0 | - |
центра | - | 3,0 | - | |||
цанговый патрон | - | 1,5 | - | |||
15 | Установить и снять фрезу | - | 2,5 | - | ||
16 | Установить число оборотов фрезы | - | 0,2 | - | ||
17 | Сменить шестерни гитары деления | - | 2,5 | - | ||
18 | Сменить шестерни гитары подач | - | 1,5 | - | ||
19 | Переместить стол | - | 0,4 | - | ||
20 | Сменить копирный кулачок | - | 1,0 | - | ||
21 | Пробная обработка, измерение зуба, дополнительная установка на глубину резания (по необходимости) | - | - | - | ||
22 | Зубострогальные, для прямозубых конических колес | Установить и снять зажимное приспособление | оправку концевую с гайкой | - | 3,0 | 5,0 |
оправку концевую пневматическую или гидравлическую | 4,0 | 5,0 | ||||
цанговый патрон | 2,0 | 3,0 | 4,0 | |||
23 | Установить и снять режущие резцы (2 шт.) | 1,5 | 3,0 | 4,0 | ||
24 | Установить число двойных ходов резцовой головки при помощи сменных шестерен | 1,5 | 2,5 | 4,5 | ||
25 | Сменить шестерни гитары подач | 1,0 | 3,5 | 5,0 | ||
26 | Сменить шестерни гитары деления | 1,0 | 3,5 | 5,0 | ||
27 | Сменить шестерни гитары обкатки | 1,0 | 3,5 | 5,0 | ||
28 | Установить делительную бабку на угол начального конуса и базовый размер | 3,0 | 3,0 | 3,0 | ||
29 | Установить длину хода резцов | 3,0 | 3,0 | 3,0 | ||
30 | Установить длину обкатки | 0,4 | 0,8 | 1,2 | ||
31 | Установить делительный механизм для обработки на один зуб или для обработки двух зубьев | 0,1 | 0,2 | 0,4 | ||
32 | Установить глубину резания перемещением головки по лимбу | 0,3 | 2,0 | 3,0 | ||
33 | Пробная обработка двух зубьев, измерение зуба, дополнительная установка резцов на глубину резания (по необходимости) | - | - | - | ||
СОСТАВ И ПРОДОЛЖИТЕЛЬНОСТЬ ПРИЕМОВ ПОДГОТОВИТЕЛЬНО-ЗАКЛЮЧИТЕЛЬНОИ РАБОТЫ | Приложение 7, лист 8 | |||||
N позиции | Станки | Наименование элементов работы | Размерная группа оборудования | |||
I | II | III | ||||
Время, мин. | ||||||
1 | ||||||
2 | ||||||
3 | Зуборезные для конических колес с круговым зубом | Установить и снять оправку для детали | 2,5 | 3,0 | 4,0 | |
4 | Установить зуборезвую головку в шпинделе станка, закрепить и выверить по шаблону на глубину резания | 6,0 | 8,0 | 10,0 | ||
5 | Установить число оборотов зуборезной головки при помощи сменных шестерен | 2,0 | 2,5 | 3,5 | ||
6 | Сменить шестерни гитары подач | 2,0 | 2,5 | 3,5 | ||
7 | Сменить шестерни гитары деления | 3,0 | 3,5 | 4,5 | ||
8 | Сменить шестерни гитары обкатки | 3,0 | 3,5 | 4,5 | ||
9 | Сменить шестерни гитары качения | 2,0 | 2,5 | 3,5 | ||
10 | Установить переднюю бабку под углом нарезаемого колеса | 1,5 | 2,0 | 3,0 | ||
11 | Установить корневой угол | 1,5 | 2,0 | 3,0 | ||
12 | Установить переднюю бабку на осевое перемещение по шаблону | 0,8 | 1,0 | 1,5 | ||
13 | Установить стол по нониусу с откреплением и закреплением | 0,8 | 1,0 | 1,5 | ||
14 | Установить барабан в рабочее положение (нулевое положение по лимбу) | 0,3 | 0,4 | 0,5 | ||
15 | Установить люльку под углом нарезаемого колеса | 1.5 | 2,0 | 3,0 | ||
16 | Установить зуборезную головку на угол | 1,5 | 2,0 | 3,0 | ||
17 | Установить барабан под углом нарезаемого колеса | 1,5 | 2,0 | 3,0 | ||
18 | Переместить фрезерную головку в радиальном направлении | 0,8 | 1,0 | 1,5 | ||
19 | Переместить стол в горизонтальном направлении | 0,3 | 0,4 | 0,5 | ||
20 | Шлицефрезерные | Установить и снять зажимное приспособление | центра | - | 3,0 | - |
21 | цанговый патрон с центром | - | 4,5 | - | ||
22 | Установить оправку для фрезы, в конус шпинделя и снять ее | - | 2,0 | - | ||
23 | Установить насадную фрезу на оправку и снять ее | - | 1,5 | - | ||
24 | Установить число оборотов фрезы при помощи сменных шестерен | - | 2,5 | - | ||
25 | Установить величину подачи при помощи сменных шестерен | - | 2,5 | - | ||
26 | Сменить шестерни гитары деления | - | 3,5 | - | ||
27 | Установить фрезу на заданную глубину резания | - | 0,4 | - | ||
28 | Переместить фрезерную головку | - | 0,4 | - | ||
29 | Повернуть фрезерную головку на угол | - | 1,2 | - | ||
30 | Переместить упоры автоматического выключения подачи на размер по длине обработки | - | 0,3 | - | ||
31 | Пробная обработка шлиц на длину врезания, измерение, дополнительная установка фрезы на глубину резания (по необходимости) | - | - | - | ||
1 | ||||||
2 | ||||||
3 | Резьбофрезерные, работающие гребенчатыми фрезами | Установить и снять зажимное приспособление | патрон | - | 3,0 | - |
4 | патрон с центром | - | 4,5 | - | ||
5 | центра | - | 3,0 | - | ||
6 | Установить и снять фрезу | - | 1,5 | - | ||
7 | Установить и снять оправку для фрезы | - | 1,0 | - | ||
8 | Установить число оборотов фрезы при помощи сменных шестерен | - | 2,5 | - | ||
9 | Установить число оборотов детали при помощи сменных шестерен | - | 2,5 | - | ||
10 | Установить и снять приспособление для внутреннего фрезерования резьбы | - | 8 | - | ||
11 | Переместить фрезерную головку или стол в продольном направлении | - | 0,4 | - | ||
12 | Переместить фрезерную головку или стол в поперечном направлении | - | 0,4 | - | ||
13 | Установить фрезу на глубину фрезерования с фиксированием по лимбу | - | 1,0 | - | ||
14 | Пробная обработка 1...2 деталей, фрезерование резьбы, измерение, дополнительная установка фрезы на глубину резания, фрезерование резьбы (второй проход), измерение (по необходимости) | - | - | - | ||
15 | Резьбофрезерные, работающие дисковыми фрезами | Установить и снять зажимное приспособление | патрон с центром | - | 4,5 | - |
16 | центра | - | 3,0 | - | ||
17 | Установить и снять оправку для фрезы | - | 1,0 | - | ||
18 | Установить и снять фрезу | - | 1,5 | - | ||
19 | Установить число оборотов фрезы рычагом коробки скоростей | - | 0,2 | - | ||
20 | Установить число оборотов детали при помощи сменных шестерен | - | 2,5 | - | ||
СОСТАВ И ПРОДОЛЖИТЕЛЬНОСТЬ ПРИЕМОВ ПОДГОТОВИТЕЛЬНО-ЗАКЛЮЧИТЕЛЬНОЙ РАБОТЫ | Приложение 7, лист 8 | ||||
N позиции | Станки | Наименование элементов работы | Размерная группа оборудования | ||
I | II | III | |||
Время, мин. | |||||
21 | Резьбофрезерные, работающие дисковыми фрезами | Переместить фрезерную головку в продольном направлении | - | 0,4 | - |
22 | Переместить фрезерную головку в поперечном направлении | - | 0,4 | - | |
23 | Пробная обработка 1...2 деталей фрезерованием на величину врезания, измерение, дополнительная установка фрезы на глубину резания (по необходимости) | - | - | - | |
N позиции | Станки | Наименование элементов работы | Время, мин. |
1 | |||
2 | |||
3 | Горизонтально-протяжные станки для внутреннего протягивания | Установить и снять оправку для детали на приемной плите (для работы шпоночной протяжкой) | 4,0 |
4 | Установить протяжку, отрегулировать зажимное устройство патрона для крепления протяжки (при работе со снятием протяжки) | 3,0 | |
5 | Установить протяжку, закрепить в патроне и снять (при работе без снятия протяжки) | 1,5 | |
6 | Установить и отрегулировать поддерживающий люнет по размеру протяжки | 2,0 | |
7 | Установить скорость движения ползуна | 0,3 | |
8 | Переместить ползун в рабочее положение | 0,2 | |
9 | Установить длину хода ползуна перемещением упоров | 1,0 | |
10 | Вертикально-протяжные станки для наружного протягивания | Установить и снять приспособление для закрепления детали | 5,0 |
11 | Установить и снять протяжку | 4,0 | |
12 | Установить стол на заданный размер обработки с откреплением и закреплением узлов | 2,0 | |
13 | Установить скорость движения ползунов | 0,3 | |
14 | Установить длину хода ползуна перемещением упоров | 1,0 | |
СОСТАВ И ПРОДОЛЖИТЕЛЬНОСТЬ ПРИЕМОВ ПОДГОТОВИТЕЛЬНО-ЗАКЛЮЧИТЕЛЬНОЙ РАБОТЫ | Приложение 7, лист 8 | |||
N позиции | Станки | Наименование элементов работы | Время, мин. | |
15 | Зубошлифовальные станки, работающие одним дисковым кругом методом обкатки | Сменить шестерни | гитары деления | 3,5 |
16 | гитары обкатки | 3,5 | ||
17 | Установить и снять оправку с проверкой на биение | 3,5 | ||
18 | Переместить центр задней бабки | 0,3 | ||
19 | Установить длину хода ползуна шлифовальной головки | 5,0 | ||
20 | Установить длину хода каретки для обработки размера зуба | 1,3 | ||
21 | Установить на счетчике число зубьев шлифуемого колеса | 1,0 | ||
22 | Зубошлифовальные станки, работающие двумя тарельчатыми кругами методом обкатки | Сменить шестерни | гитары деления | 3,5 |
23 | гитары подач | 2,5 | ||
24 | Установить и снять делительный диск | 3,5 | ||
25 | Установить и снять ленту обкатки с регулированием обкаточного механизма | 2,0 | ||
26 | Установить и снять обкаточный диск | 3,0 | ||
27 | Установить качание салазок на требуемую длину | 5,0 | ||
28 | Установить упоры на длину шлифования | 0,2 | ||
29 | Установить шлифовальные круги на размер шлифования | 0,5 | ||
30 | Переместить поперечину в вертикальном направлении | 1,5 | ||
31 | Установить на счетчике число зубьев шлифуемого колеса | 1,0 | ||
32 | Включить делительный механизм | 0,1 | ||
33 | Установить скорость обкатки перекидкой ремня | 0,3 | ||
34 | Установить храповик на автоматическую подачу шлифовальных кругов | 0,2 | ||
35 | Установить величину подачи | 0,2 | ||
36 | Переместить заднюю бабку | 0,3 | ||
37 | Зубошлифовальные станки, работающие абразивным червяком методом обкатки | Сменить шестерни гитары деления | 3,5 | |
38 | Установить упоры настройки на величину перемещения суппорта | 1,3 | ||
39 | Замерить фактическую длину общей нормали заготовки и определить припуск на шлифование | 1,4 | ||
40 | Установить величину радиального врезания на лимбе | 0,3 | ||
41 | Установить величину автоматической подачи шлифовальной бабки на один ход суппорта | 0,3 | ||
42 | Установить величину вертикальной подачи | 0,3 | ||
СОСТАВ И ПРОДОЛЖИТЕЛЬНОСТЬ ПРИЕМОВ ПОДГОТОВИТЕЛЬНО-ЗАКЛЮЧИТЕЛЬНОЙ РАБОТЫ | Приложение 7, лист 9 | |||||
N позиции | Станки | Наименование элементов работы | Размерная группа оборудования | |||
IV | V | VI | ||||
Время, мин. | ||||||
1 | ||||||
2 | ||||||
3 | Лоботокарные | Установить и снять зажимное приспособление | угольник с креплением болтами и планками | 7,5 | 3,5 | 12,0 |
на планшайбу болт с планкой | 10,0 | 14,0 | 18,0 | |||
патрон | 4,0 | 5,0 | 6,5 | |||
планшайбу | 3,0 | 4,0 | 5,0 | |||
специальное центрирующее приспособление | 3,0 | 5,0 | 7,0 | |||
4 | Установить и снять режущий инструмент | резец в резцедержавку | 2,5 | 3,0 | 3,5 | |
5 | Установить величину подачи | 0,3 | 0,3 | 0,4 | ||
6 | Установить число оборотов шпинделя | 0,3 | 0,3 | 0,4 | ||
7 | Переместить каретку суппорта в продольном направлении | 0,4 | 0,5 | 0,6 | ||
8 | Переместить каретку суппорта в поперечном направлении | 0,4 | 0,5 | 0,6 | ||
9 | Переместить каретку поворотного суппорта | - | - | - | ||
N позиции | Станки | Наименование элементов работы | Время, мин. |
1 | |||
2 | |||
3 | Зубошлифовальные, работающие методом копирования | Установить и снять оправку с проверкой на биение | 3,5 |
4 | Установить и снять шлифовальный круг | 3,0 | |
5 | Установить и снять копир | 1,0 | |
6 | Установить и снять делительный диск барабана | 3,5 | |
7 | Переместить шпиндель в вертикальном направлении | 0,3 | |
8 | Установить длину хода стола перемещением упоров | 0,3 | |
9 | Установить на счетчике число зубьев шлифуемого колеса | 1,0 | |
СОСТАВ И ПРОДОЛЖИТЕЛЬНОСТЬ ПРИЕМОВ ПОДГОТОВИТЕЛЬНО-ЗАКЛЮЧИТЕЛЬНОЙ РАБОТЫ | Приложение 7, лист 9 | |||
N позиции | Станки | Наименование элементов работы | Время, мин. | |
10 | Шлицешлифовальные | Установить и снять зажимное приспособление | центра | 3,0 |
11 | патрон с центром | 4,5 | ||
12 | Установить и снять шлифовальный круг | один | 3,0 | |
13 | два | 4,0 | ||
14 | три | 6,0 | ||
15 | Установить скорость движения стола | 0,2 | ||
16 | Установить величину вертикальной подачи шлифовального круга | 0,2 | ||
17 | Настроить механизм деления шпиндельной бабки | 3,5 | ||
18 | Переместить стол в продольном направлении в рабочее положение | 0,4 | ||
19 | Переместить шпиндельную бабку в вертикальном направлении | 0,5 | ||
20 | Установить длину хода стола перемещением упоров | 1,0 | ||
21 | Установить копир для правки шлифовального круга по размеру шлифуемого профиля | 3,0 | ||
22 | Резьбошлифовальные | Установить и снять зажимное приспособление | центра | 2,0 |
23 | самоцентрирующий патрон | 3,0 | ||
24 | Установить число оборотов шпинделя передней бабки | 0,5 | ||
25 | Установить величину подачи ходового винта | с помощью сменных колес гитары подач | 7,0 | |
26 | с помощью сменного копира | 2,5 | ||
27 | Переместить стол в продольном направлении | 0,4 | ||
28 | Переместить шпиндельную бабку в поперечном направлении | 1,0 | ||
29 | Установить упор ограничения длины хода | 1,0 | ||
30 | Повернуть шлифовальную бабку на угол подъема шлифуемой резьбы | 3,0 | ||
31 | Резьбонакатные полуавтоматы, работающие круглыми роликами | Установить нож на размер обрабатываемой детали | 2,0 | |
32 | Установить и снять резьбонакатные ролики | 10,0 | ||
33 | Установить число оборотов шпинделей роликов | 0,4 | ||
34 | Установить длину хода радиальной подачи каретки роликов | 0,5 | ||
СОСТАВ И ПРОДОЛЖИТЕЛЬНОСТЬ ПРИЕМОВ ПОДГОТОВИТЕЛЬНО-ЗАКЛЮЧИТЕЛЬНОЙ РАБОТЫ | Приложение 7, лист 9 | |||
N позиция | Станки | Наименование элементов работы | Время, мин. | |
35 | Резьбонакатные полуавтоматы, работающие круглыми роликами | Установить скорость и силу давления радиальной подачи роликов | 0,5 | |
36 | Установить величину выдержки реле времени | 1,5 | ||
37 | Пробная обработка 5...10 деталей, настройка размеров обработки, регулирование скорости подачи, силы давления и величины выдержки, измерения резьбы | - | ||
38 | Болторезные | Установить тангенциальные плашки в резьбонарезной головке | 5,0 | |
39 | Установить круглую плашку (лерку) в резьбонарезном патроне | 2,0 | ||
40 | Установить число оборотов шпинделя | 0,2 | ||
41 | Установить упор по длине нарезаемой резьбы | 0,5 | ||
42 | Пробная обработка 3...4 деталей, нарезание резьбы, измерение, регулирование размера плашки (по необходимости) | - | ||
1 | ||||
2 | ||||
3 | Шпоночнофрезерные | Установить и снять зажимное приспособление | тиски | 3,0 |
4 | болты с планками | 4,0 | ||
5 | Установить концевую фрезу в конус шпинделя и снять ее | 2,5 | ||
6 | Установить число оборотов шпинделя | 0,2 | ||
7 | Установить величину вертикальной подачи фрезы | 0,2 | ||
8 | Установить величину продольной подачи фрезы | 0,2 | ||
9 | Переместить стол в продольном направлении | 0,4 | ||
10 | Переместить стол в вертикальном направлении | 0,4 | ||
11 | Переместить фрезерную головку в вертикальном направлении | 0,5 | ||
12 | Переместить фрезерную головку в горизонтальном направлении | 0,3 | ||
13 | Установить упоры продольного хода фрезерной головки | 1,0 | ||
14 | Фрезерно-отрезные | Установить число оборотов пильного диска | 0,4 | |
15 | Установить величину подачи | 0,4 | ||
16 | Установить высоту подвижной поддержки | 0,4 | ||
17 | Установить упор на длину обработки детали | 0,5 | ||
СОСТАВ И ПРОДОЛЖИТЕЛЬНОСТЬ ПРИЕМОВ ПОДГОТОВИТЕЛЬНО-ЗАКЛЮЧИТЕЛЬНОЙ РАБОТЫ | Приложение 7, лист 9 | |||
N позиция | Станки | Наименование элементов работы | ||
18 | Центровальные | Установить губки тисок на размер заготовки | 1,0 | |
19 | Установить расстояние между шпиндельными бабками | 3,0 | ||
20 | Установить и снять режущий инструмент | центровочное сверло или зенкер | 0,2 | |
21 | фрезу | 1,5 | ||
22 | Установить число оборотов шпинделя | 0,2 | ||
23 | Установить упор с регулировкой длины хода на станках с ручным управлением | 1,0 | ||
24 | Установить длину хода сверлильной головки на стайках с полуавтоматическим циклом | 1,5 | ||
25 | Установить длину хода фрезерной головки на станках с полуавтоматическим циклом | 1,5 | ||
26 | Регулировка цикла смены работы фрезы и центровочного сверла | 2,0 | ||
27 | Токарно-револьверные патронные полуавтоматы | Установить и снять зажимное приспособление | самоцентрирующий патрон | 4,0 |
28 | Установить и снять режущий инструмент | 1,7 | ||
29 | Установить число оборотов шпинделя | 0,4 | ||
30 | Сменить и отрегулировать кулачок револьверной головки | 2,2 | ||
31 | Сменить и отрегулировать кулачок первого поперечного суппорта | 2,2 | ||
32 | Сменить и отрегулировать кулачок второго поперечного суппорта | 2,2 | ||
33 | Переместить каретку первого суппорта в поперечном направлении | 0,3 | ||
34 | Переместить каретку второго суппорта в поперечном направлении | 0,3 | ||
35 | Переместить револьверную головку | 0,3 | ||
36 | Отрегулировать один упор длины хода револьверной головки или суппорта | 1,0 | ||
37 | Токарный резьбонарезной полуавтомат с вращающейся головкой | Установить и снять зажимное приспособление | патрон | 3,0 |
38 | Установить тангенциальные плашки в резьбонарезной головке | 5,0 | ||
39 | Установить число оборотов шпинделя | 0,2 | ||
40 | Установить упор по длине нарезаемой резьбы | 0,5 | ||
Приложение 8 | ||||
N позиции | Станки | Категория затрат времени | ||
Основное время | Вспомогательное время | |||
связанное с переходом | установки и снятия детали | |||
Продолжительность к оперативному времени, % | ||||
1 | Токарно-винторезные | 61,0 | 20,0 | 19,0 |
2 | Карусельные | 68,2 | 11,3 | 20,5 |
3 | Горизонтально-расточные | 51,5 | 33,0 | 15,5 |
4 | Револьверные с вертикальной осью | 64,5 | 23,7 | 11,8 |
5 | Револьверные с горизонтальной осью | 55,0 | 29,3 | 15,7 |
6 | Вертикально-сверлильные | 62,0 | 15,0 | 23,0 |
7 | Радиально-сверлильные | 62,6 | 15,8 | 21,6 |
8 | Горизонтально- и вертикально-фрезерные | 63,0 | 12,7 | 24,3 |
9 | Продольно-фрезерные | 59,8 | 11,6 | 28,6 |
10 | Копировально-фрезерные | 82,9 | 7,3 | 9,8 |
11 | Продольно-строгальные | 78,0 | 5,4 | 16,6 |
12 | Поперечно-строгальные | 78,7 | 9,2 | 12,1 |
13 | Долбежные | 71,1 | 13,1 | 15,8 |
14 | Круглошлифовальные | 73,3 | 12,0 | 14,7 |
15 | Внутришлифовальные | 81,2 | 9,4 | 9,4 |
16 | Плоскошлифовальные с прямоугольным столом | 73,3 | 4,5 | 22,2 |
17 | Плоскошлифовальные с круглым столом | 85,0 | 2,5 | 12,5 |
18 | Бесцентровошлифовальные | 49,8 | 22,4 | 27,8 |
19 | Вертикально-доводочные (лапинговальные) | 72,0 | 5,5 | 22,5 |
20 | Зубофрезерные | 87,6 | 4,2 | 8,2 |
21 | Зубодолбежные | 84,1 | 7,3 | 8,6 |
22 | Зубошевинговальные | 71,0 | 7,0 | 22,0 |
23 | Зубозакругляющие | 67,4 | 10,1 | 22,5 |
24 | Зубострогальные для конических прямозубых колес | 87,0 | 9,1 | 3,9 |
25 | Шлицефрезерные | 86,0 | 5,0 | 9,0 |
26 | Резьбофрезерные, работающие гребенчатой фрезой | 71,0 | 14,0 | 15,0 |
27 | Горизонтально-протяжные | 43,2 | 19,0 | 37,8 |
28 | Зубошлифовальные | 87,0 | 8,0 | 5,0 |
29 | Шлицешлифовальные | 91,0 | 3,0 | 6,0 |
30 | Резьбошлифовальные | 70,0 | 20,0 | 10,0 |
Приложение 9 | ||||||||||||
N позиции | Тип станка и вид обработка | Квалитет (класс точности) | Измеряемый размер, И, мм, до | |||||||||
25 | 50 | 100 | 300 | 500 | 1000 | 1600 | 2000 | 2500 | ||||
Число пробных стружек | ||||||||||||
1 | Токарно-винторезные | Продольное точение и растачивание | 1Т7 (2 кл.) | 1,3 | 1,5 | 1,75 | 2,0 | 2,5 | 3,0 | 3,5 | 4,0 | - |
2 | 1Т8-1Т9 (3 кл.) | 0,8 | 1,0 | 1,3 | 1,5 | 1,75 | 2,0 | 2,2 | 2,5 | - | ||
3 | 1Т11-1Т13 (4 - 5 кл.) | 0,5 | 0,5 | 0,75 | 1,0 | 1,0 | 1,25 | 1,5 | 1,5 | - | ||
4 | Поперечное точение | - | - | 0,5 | 0,75 | 1,0 | 1,0 | 1,25 | - | - | - | |
5 | Нарезание резьбы резцом | 1Т7 (2 кл.) | 0,5 | 0,75 | 1,0 | 1,5 | - | - | - | - | - | |
6 | 1Т8-1Т9 (3 кл.) | 0,3 | 0,5 | 0,75 | 1,0 | - | - | - | - | - | ||
7 | Карусельные лоботокарные | Продольное точение и растачивание | 1Т7 (2 кл.) | - | - | - | - | 2,0 | 2,5 | 3,0 | 3,5 | 4,0 |
8 | 1Т8-1Т9 (3 кл.) | - | - | 1,0 | 1,0 | 1,5 | 1,8 | 2,0 | 2,3 | 2,5 | ||
9 | 1Т11-1Т13 (4 - 5 кл.) | - | - | 0,75 | 0,75 | 1,0 | 1,25 | 1,5 | 1,5 | 1,5 | ||
10 | Поперечное точение | - | - | - | - | - | 1,0 | 1,25 | - | - | - | |
11 | Расточные | Продольное точение и растачивание | 1Т7 (2 кл.) | - | - | 2,5 | 2,75 | 3,0 | - | - | - | - |
12 | 1Т8-1Т9 (3 кл.) | - | - | 1,5 | 1,75 | 2,0 | - | - | - | - | ||
13 | 1Т11-1Т13 (4 - 5 кл.) | - | - | 1,0 | 1,25 | 1,5 | - | - | - | - | ||
14 | Фрезерование плоскостей и пазов | - | - | - | - | 1,0 | 1,0 | - | - | - | - | |
15 | Поперечное точение | - | - | - | - | 1,0 | 1,0 | - | - | - | - | |
16 | Револьверные | 1Т9-1Т11 (3 - 4 кл.) | 1,0 | |||||||||
17 | Фрезерные, строгальные | 0,5...0,2 мм | 1,0 | |||||||||
18 | < 0,2 мм | 2,0 | ||||||||||
19 | Долбежные | 0,5...0,3 мм | 1,0 | |||||||||
20 | < 0,3 мм | 2,0 | ||||||||||
Приложение 10, лист 1 | |||||||||
Вид обработки | Измерительный инструмент | Квалитет (класс точности) | Измеряемый размер, И, мм, до | ||||||
25 | 50 | 100 | 200 | 300 | 500 | ||||
Число пробных измерений | |||||||||
1 | Круглое наружное шлифование | Калибры | 1Т5-1Т6 (1 кл.) | 2,5 | 3,0 | 4,0 | - | - | - |
2 | 1Т7 (2 кл.) | 1,0 | 1,5 | 2,5 | 3,0 | 4,0 | 5,0 | ||
3 | 1Т8-1Т9 (3 кл.) | 0,5 | 0,7 | 1,6 | 1,5 | 1,7 | 2,0 | ||
4 | 1Т11 (4 кл.) | - | - | 0,1 | 0,5 | 0,7 | 1,0 | ||
5 | Универсальные | 1Т5-1Т6 (1 кл.) | 1,5 | 2,0 | 3,0 | 4,0 | 5,0 | 5,0 | |
6 | 1Т7 (2 кл.) | 0,7 | 1,0 | 1,5 | 2,0 | 2,5 | 3,0 | ||
7 | 1Т8-1Т9 (3 кл.) | 0,3 | 0,5 | 0,7 | 1,0 | 1,3 | 1,5 | ||
8 | 1Т11 (4 кл.) | - | - | - | 0,1 | 0,3 | 0,5 | ||
9 | Шлифование отверстий | Калибры | 1Т5-1Т6 (1 кл.) | 3,5 | 4,0 | 5,5 | 7,0 | - | - |
10 | 1Т7 (2 кл.) | 2,0 | 2,5 | 3,3 | 4,0 | - | - | ||
11 | 1Т8-1Т9 (3 кл.) | 1,0 | 1,5 | 2,0 | 2,5 | 3,0 | - | ||
12 | 1Т11 (4 кл.) | - | 0,7 | 1,0 | 1,5 | 1,7 | - | ||
13 | Универсальные | 1Т5-1Т6 (1 кл.) | 2,5 | 3,0 | 4,0 | 5,0 | 6,0 | 7,0 | |
14 | 1Т7 (2 кл.) | 1,0 | 1,5 | 2,0 | 3,0 | 4,0 | 5,0 | ||
15 | 1Т8-1Т9 (3 кл.) | 0,7 | 1,0 | 1,3 | 1,5 | 1,7 | 2,0 | ||
16 | 1Т11 (4 кл.) | - | 0,1 | 0,1 | 0,5 | 0,7 | 1,0 | ||
ЧИСЛО ПРОБНЫХ ИЗМЕРЕНИЙ ПРИ ОБРАБОТКЕ НА ШЛИФОВАЛЬНЫХ И ДОВОДОЧНЫХ СТАНКАХ | Приложение 10, лист 2 | ||||||||
N позиции | Вид обработки | Измерительный инструмент | Квалитет (класс точности) | Измеряемый размер, И, мм, до | |||||
25 | 50 | 100 | 200 | 300 | 500 | ||||
Число пробных измерений | |||||||||
17 | Хонингование отверстий | Все типы инструментов | 1Т5-1Т6 (1 кл.) | 2,0 | 2,0 | 2,5 | 3,0 | 3,0 | 3,5 |
18 | 1Т7 (2 кл.) | 1,5 | 1,5 | 1,5 | 2,0 | 2,0 | 2,5 | ||
19 | Лапингование | 1Т5-1Т6 (1 кл.) | 2,0 | 3,0 | 3,0 | - | - | - | |
20 | 1Т7 (2 кл.) | 1,0 | 2,0 | 2,0 | - | - | - | ||
21 | Суперфиниш | - | - | - | - | - | - | - | |
22 | Плоское шлифование | Все типы инструментов | 0,02 мм | - | 3,5 | 4,0 | - | - | - |
23 | 0,03 мм | - | 3,0 | 3,5 | 4,0 | - | - | ||
23 | 0,04 мм | - | 2,5 | 3,0 | 3,5 | 3,8 | 4,0 | ||
25 | 0,05 мм | - | 2,0 | 2,5 | 3,0 | 3,2 | 3,5 | ||
26 | 0,07 мм | - | 1,5 | 2,0 | 2,5 | 2,8 | 3,0 | ||
27 | 0,1 мм | - | 1,0 | 1,5 | 2,0 | 2,3 | 2,5 | ||
28 | 0,15 мм | - | 0,5 | 0,8 | 1,0 | 1,5 | 2,0 | ||
29 | 0,2 мм | - | 0,1 | 0,2 | 0,5 | 0,8 | 1,0 | ||
30 | > 0,2 мм | - | - | - | 0,1 | 0,1 | 0,5 | ||
Диаметр (или ширина детали), D, мм | 6...20 | 21...100 | |
Длина детали (выраженная диаметром или шириной детали) | <= 50 (4B) | > 5D (5B) | 2D...AD (2B...4B) |
Число деталей, измеряемых в процессе обработки, из общего числа одновременно обрабатываемых деталей, % | 20 | 30 | 30 |
Приложение 11 | |||||||||||||
N позиции | Расположение оси вращения шпинделя | Обрабатываемый материал | Вид подачи | Диаметр сверла, d, мм, до | Длина сверления в диаметрах сверла | ||||||||
3d | 4d | 5d | 6d | 7d | 8d | 9d | 10d | 14d | |||||
Число выводов сверла | |||||||||||||
1 | Вертикальное (сверлильные станки) | Стали углеродистые вязкие, стали жаропрочные | Ручная | 3 | 1 | 2 | 3 | 4 | 5 | 6 | 8 | 9 | 13 |
2 | 5 | - | 1 | 1 | 1 | 2 | 3 | 5 | 6 | 10 | |||
3 | 10 | - | 1 | 1 | 1 | 1 | 2 | 3 | 5 | 8 | |||
4 | 15 | 1 | 1 | 1 | 1 | 1 | 2 | 4 | 5 | 8 | |||
5 | Механическая | 20 | 1 | 1 | 1 | 1 | 2 | 3 | 4 | 5 | 8 | ||
6 | 25 | 1 | 1 | 1 | 2 | 3 | 5 | - | - | - | |||
7 | 30 | 1 | 1 | 2 | 3 | 4 | 6 | - | - | - | |||
8 | Стали конструкционные, латунь алюминий | Ручная | 3 | 1 | 1 | 2 | 3 | 4 | 5 | 7 | 8 | 12 | |
9 | 5 | - | 1 | 1 | 1 | 1 | 2 | 4 | 5 | 9 | |||
10 | 10 | 1 | 1 | 1 | 1 | 1 | 1 | 2 | 4 | 7 | |||
11 | 15 | 1 | 1 | 1 | 1 | 1 | 1 | 3 | 4 | 7 | |||
12 | Механическая | 20 | 1 | 1 | 1 | 1 | 2 | 2 | 3 | 4 | 7 | ||
13 | 25 | 1 | 1 | 1 | 1 | 2 | 4 | - | - | - | |||
14 | 30 | 1 | 1 | 1 | 2 | 3 | 5 | - | - | - | |||
15 | Чугун, бронза | Ручная | 5 | - | - | - | 1 | 1 | 1 | 2 | 3 | 5 | |
16 | 10 | - | - | 1 | 1 | 1 | 1 | 1 | 3 | 5 | |||
17 | 15 | - | 1 | 1 | 1 | 1 | 1 | 2 | 3 | 5 | |||
18 | Механическая | 20 | - | 1 | 1 | 1 | 2 | 2 | 2 | 3 | 5 | ||
19 | 25 | 1 | 1 | 1 | 1 | 2 | 3 | - | - | - | |||
20 | 30 | 1 | 1 | 1 | 1 | 2 | 4 | - | - | - | |||
21 | Горизонтальное (токарно-винторезные, револьверные и расточные станки) | Стали углеродистые вязкие, стали жаропрочные | Ручная | 5 | - | - | 1 | 1 | 1 | 2 | 3 | 4 | 8 |
22 | 10 | - | - | - | 1 | 1 | 1 | 2 | 3 | 6 | |||
23 | 15 | - | - | - | 1 | 1 | 1 | 2 | 3 | 6 | |||
24 | Механическая | 20 | - | - | 1 | 1 | 1 | 2 | 2 | 3 | 6 | ||
25 | 25 | - | 1 | 1 | 1 | 1 | 3 | - | - | - | |||
26 | 30 | - | 1 | 1 | 1 | 2 | 4 | - | - | - | |||
27 | Стали, конструкционные, латунь, алюминий | Ручная | 5 | - | - | - | 1 | 1 | 1 | 2 | 3 | 6 | |
28 | 10 | - | - | - | 1 | 1 | 1 | 1 | 2 | 4 | |||
29 | 15 | - | - | - | 1 | 1 | 1 | 1 | 2 | 4 | |||
30 | Механическая | 20 | - | - | 1 | 1 | 1 | 1 | 2 | 2 | 4 | ||
31 | 25 | - | 1 | 1 | 1 | 1 | 2 | - | - | - | |||
32 | 30 | - | 1 | 1 | 1 | 1 | 3 | - | - | - | |||
33 | Чугун, бронза | Ручная | 5 | - | - | - | - | 1 | 1 | 1 | 1 | 2 | |
34 | 10 | - | - | - | - | - | - | - | 1 | 2 | |||
35 | 15 | - | - | - | - | - | - | 1 | 1 | 2 | |||
36 | Механическая | 20 | - | - | - | - | - | 1 | 1 | 1 | 2 | ||
37 | 25 | - | - | - | - | - | 1 | - | - | - | |||
38 | 30 | - | - | - | - | - | 1 | - | - | - | |||
Приложение 12 | ||||||||||
N позиции | Наименование инструмента | Квалитет (класс точности). Точность измерения, мм | Измеряемый размер, И, мм, до | Измеряемая длина, l, мм, до | ||||||
100 | 200 | 300 | 600 | 1000 | 1500 | 2000 | ||||
Число точек контрольного промера | ||||||||||
1 | Скобы предельные, односторонние, двусторонние и резьбовые | 1Т11 - 1Т13 (4 - 5 кл.) | 50 | 1 | 1...2 | 2 | 2...3 | 3 | 3...4 | 4 |
2 | 100 | 1 | 1 | 1...2 | 2 | 2...3 | 3 | 3 | ||
3 | 300 | 1 | 1 | 1 | 1...2 | 2 | 2...3 | 3 | ||
4 | 500 и свыше | 1 | 1 | 1 | 1 | 1...2 | 2 | 2...3 | ||
5 | 1Т7 - 1Т9 (2 - 3 кл.) | 50 | 2 | 2...3 | 3 | 3...4 | 4 | 4...5 | 5 | |
6 | 100 | 2 | 2 | 2...3 | 3 | 3...4 | 4 | 4 | ||
7 | 300 | 2 | 2 | 2...3 | 2...3 | 3 | 3...4 | 4 | ||
8 | 500 и свыше | 2 | 2 | 2 | 2 | 2...3 | 2...3 | 3 | ||
9 | 1Т5 - 1Т6 (1 кл.) | 100 | 3 | 3 | 3...4 | 4 | 4 | - | - | |
10 | Микрометр, скоба индикаторная, миниметр | 0,01 мм | 50 | 2 | 2...3 | 3 | 3 | 3 | 3...4 | 4...5 |
11 | 100 | 2...3 | 2...3 | 3 | 3 | 3...4 | 4 | 4...5 | ||
12 | 300 | 2 | 2 | 2 | 2 | 3 | 3 | 3...4 | ||
13 | 500 и свыше | 3 | 3 | 3 | 3 | 3...4 | 3...4 | 5 | ||
14 | Штангенциркуль | 0,1 мм | 50 | 1 | 1...2 | 2 | 2 | 3 | - | - |
15 | 100 | 1 | 1 | 1...2 | 1...2 | 2 | - | - | ||
14 | 300 | 1 | 1...2 | 2 | 2...3 | 3 | - | - | ||
17 | 500 и свыше | 1 | - | - | - | - | - | - | ||
18 | 0,02 мм | 100 | 1 | 1 | 1...2 | 2 | 2...3 | 3 | - | |
19 | 300 | 1 | - | - | - | - | - | - | ||
20 | Нутромер или штихмас индикаторный | 0,01 мм | 50 | 2 | 2...3 | 3 | 3 | 3...4 | 4 | 5 |
21 | 100 | 2 | 2 | 2 | 2...3 | 3 | 3...4 | 4 | ||
22 | 300 | 2 | 2 | 2...3 | 3 | 3...4 | 3 | 4 | ||
23 | 500 и свыше | 1 | 1 | 1...2 | 2 | 2...3 | 3 | 3...4 | ||
24 | Индикатор для измерения отклонений от геометрической формы | 0,01 мм | 50 | 1 | 1 | 2 | 2...3 | 3 | - | - |
25 | 100 | 1 | 1 | 1...2 | 2 | 2...3 | 3 | 2 | ||
24 | 300 | 1 | 1 | 1 | 1 | 1...2 | 2 | - | ||
27 | 500 и свыше | 1 | 1 | 1 | 1 | 1 | 2 | 2...3 | ||
28 | Линейка, угольник, шаблоны, калибры гладкие и резьбовые, глубиномер, микрометр резьбовой, штангензубомер, оптический зубомер | - | Все размеры | 1 | ||||||
Приложение 13, лист 1 | |||||||||
N позиции | Тип станка | Наименование частей станков | Размерные группы оборудования | ||||||
I | II | III | IV | V | VI | ||||
Скорость перемещений, м/мин. | |||||||||
1 | Токарио-винторезные | Суппорт | продольно | 4,0 | 3,6 | 3,4 | 3,0 | 2,2 | - |
поперечно | 1,6 | 1,5 | 1,5 | 1,3 | 1,0 | - | |||
Верхняя | часть суппорта задней бабки | 1,0 | 0,9 | 0,8 | 0,7 | 0,6 | - | ||
Пиноль | 1,3 | 1,1 | 1,0 | 0,8 | 0,7 | - | |||
2 | Токарно-карусельные | Суппорт | горизонтально или вертикально | - | - | - | - | 2,5 | 2,2 |
Поперечина | - | - | - | - | 0,5 | 0,4 | |||
3 | Горизонтально-расточные | Стол | продольно или поперечно | - | - | 2,5 | 2,5 | 1,5 | - |
Шпиндельная бабка | - | - | 2,5 | 2,5 | 1,5 | - | |||
Шпиндель | - | - | 2,8 | 2,8 | 2,0 | - | |||
4 | Токарно-револьверные с вертикальной осью револьверной головки | Револьверная головка | 8,0 | 8,0 | 11,0 | 11,0 | - | - | |
Суппорт | продольно | 3,0 | 3,0 | 2,5 | 2,5 | - | - | ||
поперечно | 1,3 | 1,3 | 1,0 | 1,0 | - | - | |||
5 | Радиально-сверлильные | Шпиндельная головка | горизонтально | - | 7,0 | 7,0 | 7,0 | 7,0 | - |
Рукав колонны | - | 1,0 | 1,0 | 1,0 | 1,0 | - | |||
6 | Горизонтально- вертикально- и универсально-фрезерные | Стол | продольно или поперечно | 3,0 | 2,8 | 2,4 | 2,3 | 2,3 | - |
вертикально | 1,5 | 0,9 | 0,7 | 0,7 | 0,7 | - | |||
7 | Продольно-фрезерные | Стол | продольно | - | - | - | 3,0 | 3,0 | 2,9 |
Шпиндельные головки | горизонтально или вертикально | - | - | - | 1,4 | 1,4 | 1,3 | ||
СРЕДНИЕ СКОРОСТИ ПЕРЕМЕЩЕНИЙ ЧАСТЕЙ СТАНКОВ | Приложение 13, лист 2 | ||||||||
N позиции | Тип станка | Наименование частей станков | Размерные группы оборудования | ||||||
I | II | III | IV | V | VI | ||||
Скорость перемещений, м/мин. | |||||||||
8 | Продольно-строгальные | Суппорт верхний | горизонтально | - | - | - | 3,0 | 2,3 | - |
вертикально | - | - | - | 1,5 | 1,2 | - | |||
Суппорт боковой | - | - | - | 3,0 | 1,1 | - | |||
Поперечина | - | - | - | 1,0 | 1,0 | - | |||
9 | Поперечно-строгальные | Стол | продольно | - | 1,4 | 1,0 | - | - | - |
Суппорт | вертикально | - | 0,7 | 0,5 | - | - | - | ||
10 | Долбежные | Стол | продольно или поперечно | - | 1,5 | 1,2 | - | - | - |
11 | Токарные многорезцовые, токарные многорезцовые копировальные | Суппорт | продольно | - | - | 1,98 | - | - | - |
поперечно | - | - | 1,76 | - | - | - | |||
12 | Резьботокарные с вихревой головкой | Суппорт | продольно | 3,4 | - | - | - | - | - |
13 | Резьбофрезерные, работающие дисковой фрезой | Фрезерная головка | продольно | - | 3,4 | - | - | - | - |
14 | Зубофрезерные | Фрезерная головка | вертикально или горизонтально | 0,6 | 0,5 | 0,5 | 0,3 | - | - |
Стол или фрезерная стойка | горизонтально | 0,5 | 0,4 | 0,4 | 0,3 | - | - | ||
15 | Шлицефрезерные, работающие методом обкатки | Фрезерная головка | продольно | - | 2,0 | - | - | - | - |
16 | Отрезные круглопильные | Пильный диск | 3,0 | - | - | - | - | - | |
Дополнительная величина 0.02...0,04 учитывает размерную характеристику оборудования.Все станки | ||||||||
Приложение 14, лист 1 | ||||||||
Тип и характеристика станка | Размерная группа | |||||||
I | II | III | IV | V | VI | |||
Токарно-винторезные | Наибольший диаметр изделия, устанавливаемого над станиной, мм, до | 160 | + | |||||
250 | + | |||||||
400 | + | |||||||
630 | + | |||||||
1000 | + | |||||||
св. 1000 | + | |||||||
Лоботокарные | Наибольший диаметр обрабатываемого изделия, мм, до | 800 | + | |||||
1250 | + | |||||||
2000 | + | |||||||
Токарно-карусельные | Наибольший диаметр обрабатываемого изделия, мм, до | 800 | + | |||||
1600 | + | |||||||
2500 | + | |||||||
Горизонтально-расточные с неподвижной стойкой и поворотным столом | Диаметр шпинделя, мм, до | 65 | + | |||||
110 | + | |||||||
160 | + | |||||||
Токарно-револьверные с вертикальной осью револьверной головки | Наибольший диаметр обрабатываемого прутка, мм, до | 10...25 | + | |||||
40 | + | |||||||
80 | + | |||||||
125 | + | |||||||
Токарно-револьверные с горизонтальной осью револьверной головки | Наибольший диаметр обрабатываемого прутка, мм, до | 16...25 | + | |||||
40 | + | |||||||
65 | + | |||||||
Вертикально-сверлильные | Наибольший диаметр сверления, мм, до | 6 | + | |||||
12 | + | |||||||
25 | + | |||||||
50 | + | |||||||
75 | + | |||||||
Радиально-сверлильные | Наибольший диаметр сверления, мм, до | 35 | + | |||||
50 | + | |||||||
75 | + | |||||||
100 | + | |||||||
Для глубокого сверления и растачивания | Наибольший наружный диаметр устанавливаемого изделия, мм, до | 500 | + | |||||
1000 | + | |||||||
1200 | + | |||||||
РАСПРЕДЕЛЕНИЕ СТАНКОВ ПО РАЗМЕРНЫМ ГРУППАМ | Все станки | |||||||
Приложение 14, лист 2 | ||||||||
Тип и характеристика ставка | Размерная группа | |||||||
I | II | III | IV | V | VI | |||
Горизонтально-, вертикально-, универсально-фрезерные | Длина стола, мм, до | 500 | + | |||||
800 | + | |||||||
1250 | + | |||||||
1600 | + | |||||||
2500 | + | |||||||
Продольно-фрезерные | Длина стола, мм, до | 1600 | + | |||||
3000 | + | |||||||
6300 | + | |||||||
Копировально-фрезерные | Длина стола, мм, до | 1250 | + | |||||
1600 | + | |||||||
2500 | + | |||||||
Карусельно-фрезерные | Диаметр стола, мм, до | 1000 | + | |||||
1600 | + | |||||||
2000 | + | |||||||
Продольно-строгальные | Длина рабочей поверхности стола, мм, до | 3000 | + | |||||
6000 | + | |||||||
12000 | + | |||||||
Поперечно-строгальные | Наибольшая длина хода ползуна, мм, до | 200 | + | |||||
500 | + | |||||||
1000 | + | |||||||
Долбежные | Наибольшая длина, хода долбяка, мм, до | 200 | + | |||||
500 | + | |||||||
1000 | + | |||||||
Круглошлифовальные | Наибольший диаметр устанавливаемого изделия, мм, до | 200 | + | |||||
360 | + | |||||||
560 | + | |||||||
Внутришлифовальные | Наибольший диаметр шлифуемого отверстия, мм, до | 100 | + | |||||
200 | + | |||||||
400 | + | |||||||
Плоскошлифовальные с вертикальным шпинделем и прямоугольным столом | Длина стола, мм, до | 630 | + | |||||
800 | + | |||||||
2000 | + | |||||||
Плоскошлифовальные с горизонтальным шпинделем и прямоугольным столом | Длина стола, мм, до | 630 | + | |||||
1000 | + | |||||||
2000 | + | |||||||
РАСПРЕДЕЛЕНИЕ СТАНКОВ ПО РАЗМЕРНЫМ ГРУППАМ | Все станки | |||||||
Приложение 14, лист 3 | ||||||||
Тип и характеристика станка | Размерная группа | |||||||
I | II | III | IV | V | VI | |||
Плоскошлифовальные с круглым столом и горизонтальным шпинделем | Диаметр стола, мм, до | 400 | + | |||||
800 | + | |||||||
Плоскошлифовальные с круглым столом и вертикальным шпинделем | Диаметр стола, мм, до | 400 | + | |||||
800 | + | |||||||
1600 | + | |||||||
Бесцентровошлифовальные | - | - | + | |||||
Хонинговальные | Наибольший диаметр хонингования, мм, до | 130 | + | |||||
260 | + | |||||||
500 | + | |||||||
Станки для суперфиниша | Наибольший диаметр устанавливаемого изделия, мм, до | 280 | + | |||||
560 | + | |||||||
Вертикально-доводочные | - | - | + | |||||
Токарные многорезцовые, многорезцовые копировальные полуавтоматы | - | - | + | |||||
Токарно-револьверные Патронные полуавтоматы | - | - | + | |||||
Токарные многошпиндельные горизонтальные и вертикальные полуавтоматы | - | - | + | |||||
Резьботокарные полуавтоматы для коротких резьб | - | - | + | |||||
Резьботокарные с вихревой головкой | - | - | + | |||||
РАСПРЕДЕЛЕНИЕ СТАНКОВ ПО РАЗМЕРНЫМ ГРУППАМ | Все станки | |||||||
Приложение 14, лист 4 | ||||||||
Тип и характеристика станка | Размерная группа | |||||||
I | II | III | IV | V | VI | |||
Зубофрезерные | Наибольший нарезаемый модуль, мм, до | 1,0 | + | |||||
6 | + | |||||||
12 | + | |||||||
св. 12 | + | |||||||
Зубодолбежные | Наибольший нарезаемый модуль, мм, до | 6 | + | |||||
12 | + | |||||||
Зубошевинговальные | - | - | + | |||||
Зубозакругляющие | - | - | + | |||||
Зубострогальные для прямозубых конических колес | - | - | + | |||||
Зубофрезерные для прорезания зубьев конических колес | - | - | + | |||||
Зуборезные полуавтоматы для конических колес с круговым зубом | - | + | ||||||
Шлицефрезерные | - | - | + | |||||
Шпоночно-фрезерные, работающие методом маятниковой подачи | - | - | + | |||||
Резьбофрезерные для фрезерования гребенчатыми и дисковыми фрезами | - | - | + | |||||
Резьбонарезные полуавтоматы с вращающейся головкой | - | - | + | |||||
Резьбонарезные станки, работающие | Резьбонарезными самооткрывающимися головками | - | + | |||||
Круглыми плашками | - | + | ||||||
РАСПРЕДЕЛЕНИЕ СТАНКОВ ПО РАЗМЕРНЫМ ГРУППАМ | Все станки | |||||||
Приложение 14, лист 5 | ||||||||
Тип и характеристика станка | Размерная группа | |||||||
I | II | III | IV | V | VI | |||
Резьбонакатные полуавтоматы, работающие круглыми роликами | - | - | + | |||||
Резьбонакатные автоматы, работающие плоскими плашками | - | + | ||||||
Горизонтально-протяжные для внутреннего протягивания | - | - | + | |||||
Вертикально-протяжные для наружного протягивания | - | - | + | |||||
Зубошлифовальные, работающие методом | обкатки | одним кругом | + | |||||
двумя кругами | + | |||||||
абразивным червяком | + | |||||||
копирования | - | + | ||||||
Зубошлифовальные полуавтоматы для конических колес с круговым зубом | - | - | + | |||||
Шлицешлифовальные | - | - | + | |||||
Резьбошлифовальные | - | - | + | |||||
Фрезерно-отрезные полуавтоматы | - | - | + | |||||
Центровальные станки | - | - | + | |||||
Фрезерно-центровальные автоматы | - | - | + | |||||
Многошпиндельные вертикально-сверлильные и расточные агрегатные полуавтоматы | - | - | + | |||||
Установка и снятие детали вручную | ||||||
Приложение 15, лист 1 | ||||||
N позиции | Способ установки и крепления детали | Характер выверки | Диапазоны массы детали, m, кг | Значение постоянного коэффициента и показателя степени принятого фактора | ||
a | x | |||||
1 | В бесключевом патроне | Без выверки | 0,01...0,08 | 0,054 | 0,18 | |
2 | 0,081...8,0 | 0,12 | 0,26 | |||
3 | В патроне, крепление ключом | Без выверки | 0,01...0,08 | 0,092 | 0,21 | |
4 | 0,081...8,0 | 0,23 | 0,3 | |||
5 | 8,1...30,0 | 0,16 | 0,47 | |||
6 | С выверкой на биение мелом | 0,01...0,08 | 0,23 | 0,13 | ||
7 | 0,081...8,0 | 0,48 | 0,17 | |||
8 | 8,1...30,0 | 0,27 | 0,43 | |||
9 | С выверкой индикатором | 0,01...0,08 | 0,46 | 0,13 | ||
10 | 0,081...8,0 | 0,96 | 0,16 | |||
11 | 8,1...30,0 | 0,54 | 0,43 | |||
12 | В патроне, крепление пневматическим зажимом | Без выверки | 0,01...0,08 | 0,047 | 0,3 | |
13 | 0,081...3,0 | 0,13 | 0,21 | |||
14 | 3,1...30,0 | 0,1 | 0,41 | |||
15 | С выверкой на биение мелом | 0,01...0,08 | 0,47 | 0,3 | ||
16 | 0,081...8,0 | 0,31 | 0,23 | |||
17 | 8,1...30,0 | 0,19 | 0,47 | |||
18 | В патроне на столе станка (вертикальная ось патрона) | - | 0,01...0,08 | 0,075 | 0,18 | |
19 | 0,081...3,0 | 0,18 | 0,25 | |||
20 | 3,1...30,0 | 0,16 | 0,33 | |||
21 | В патроне самоцентрирующем с разрезной втулкой | - | 0,01...0,08 | 0,11 | 0,17 | |
22 | 0,081...5,0 | 0,27 | 0,28 | |||
23 | В патроне с центром задней бабки при подводе пиноли | вращением маховичка | - | 0,01...0,08 | 0,12 | 0,24 |
24 | 0,081...3,0 | 0,31 | 0,24 | |||
25 | 3,1...30,0 | 0,26 | 0,38 | |||
26 | пневматическим устройством или отводной рукояткой | - | 0,01...0,08 | 0,13 | 0,16 | |
27 | 0,081...3,0 | 0,27 | 0,25 | |||
28 | 3,1...30,0 | 0,22 | 0,42 | |||
29 | звездочкой | - | 0,01...0,08 | 0,13 | 0,24 | |
30 | 0,081...3,0 | 0,33 | 0,24 | |||
31 | 3,1...30,0 | 0,29 | 0,38 | |||
ДАННЫЕ ДЛЯ ОПРЕДЕЛЕНИЯ ВСПОМОГАТЕЛЬНОГО ВРЕМЕНИ НА УСТАНОВКУ И СНЯТИЕ ДЕТАЛИ ПРИ РАБОТЕ В САМОЦЕНТРИРУЮЩЕМ ПАТРОНЕ | Установка и снятие детали вручную | |||||
Приложение 15, лист 2 | ||||||
N позиции | Способ установки в крепления детали | Характер выверки | Диапазоны массы детали, m, кг | Значение постоянного коэффициента и показателя степени принятого фактора | ||
a | x | |||||
32 | В патроне с центром задней бабки с люнетом | - | 1,0...30,0 | 0,48 | 0,27 | |
33 | В патроне с центром задней бабки с подпором домкратом | - | 3,0...30,0 | 0,42 | 0,28 | |
34 | В патроне и неподвижном люнете | - | 1,0...3,0 | 0,35 | 0,21 | |
35 | 3,1...30,0 | 0,34 | 0,35 | |||
36 | В патроне с креплением ключом | - | 21...200 | 1,04 | 0,21 | |
37 | В патроне с креплением пневматическим зажимом | - | 21...200 | 0,7 | 0,25 | |
38 | В патроне с центром задней бабки при подводе пиноли | вращением маховичка пневматическим устройством или отводной рукояткой | - | 21...3000 | 1,4 | 0,17 |
39 | 21...3000 | 1,33 | 0,17 | |||
40 | В патроне с центром задней бабки и люнете при подводе пиноли | вращением маховичка пневматическим устройством или отводной рукояткой | - | 21...3000 | 1,54 | 0,17 |
41 | 21...3000 | 1,46 | 0,17 | |||
42 | В патроне и неподвижном люнете | - | 21...3000 | 1,4 | 0,17 | |
- для деталей массой 0,01...0,08 кг;Установка и снятие детали вручную | ||||||||
Приложение 16 | ||||||||
N позиции | Способ установки детали | Диапазоны | Значение постоянного коэффициента и показателя степени принятых факторов | |||||
Способ установки на длину | диаметр прутка, d, мм | длина выдвижения прутка, l, мм | ||||||
a | x | y | ||||||
1 | В патроне с креплением | ключом | По упору | 5...50 | 25...200 | 0,045 | 0,29 | 0,16 |
2 | По линейке | 5...10 | 25...200 | 0,033 | 0,29 | 0,28 | ||
11...50 | 25...200 | 0,099 | 0,15 | 0,13 | ||||
3 | пневматическим зажимом | По упору | 5...20 | 50...100 | 0,013 | 0,34 | 0,27 | |
4 | 21...50 | 101...300 | 0,001 | 0,67 | 0,48 | |||
5 | По линейке | 5...20 | 50...100 | 0,036 | 0,3 | 0,18 | ||
6 | 21...50 | 101...300 | 0,001 | 0,88 | 0,42 | |||
Установка и снятие детали вручную | |||||||
Приложение 17, лист 1 | |||||||
I. В патроне при работе из прутка | |||||||
N позиции | Способ установки детали | Диапазоны | Значение постоянного коэффициента и показателя степени принятых факторов | ||||
диаметр прутка, d, мм | длина выдвижения, l, мм | ||||||
a | x | y | |||||
1 | В патроне с креплением | рукояткой рычага | 5...20 | 25...100 | 0,014 | 0,32 | 0,32 |
2 | 21...50 | 25...100 | 0,0036 | 0,9 | 0,16 | ||
3 | 20...50 | 101...300 | 0,004 | 0,42 | 0,5 | ||
4 | пневматическим зажимом | 5...50 | 25...300 | 0,008 | 0,5 | 0,28 | |
5 | ключом | 5...50 | 25...200 | 0,028 | 0,29 | 0,25 | |
6 | При установке с поджатием центром добавлять | 20...50 | - | 0,009 | 0,66 | - | |
ДАННЫЕ ДЛЯ ОПРЕДЕЛЕНИЯ ВСПОМОГАТЕЛЬНОГО ВРЕМЕНИ НА УСТАНОВКУ И СНЯТИЕ ДЕТАЛИ В ЦАНГОВОМ ПАТРОНЕ | Установка и снятие детали вручную | ||||
Приложение 17, лист 2 | |||||
II. В патроне по одной детали | |||||
N позиции | Способ установки детали | Диапазоны массы детали, m, кг | Значение постоянного коэффициента и показателя степени принятого фактора | ||
a | x | ||||
7 | В патроне с креплением | рукояткой рычага | 0,01...0,08 | 0,07 | 0,1 |
8 | 0,81...3,0 | 0,126 | 0,19 | ||
9 | пневматическим зажимом | 0,25...3,0 | 0,12 | 0,19 | |
10 | ключом | 0,25...3,0 | 0,20 | 0,23 | |
11 | маховиком через шпиндель | 0,01...0,08 | 0,089 | 0,1 | |
12 | 0,081...3,0 | 0,15 | 0,12 | ||
13 | В патроне с поджатием центром и креплением | рукояткой рычага | 3,0...12,0 | 0,18 | 0,32 |
14 | 12,1...30,0 | 0,099 | 0,56 | ||
15 | пневматическим зажимом | 3,0...12,0 | 0,169 | 0,32 | |
16 | 12,1...30,0 | 0,099 | 0,54 | ||
17 | ключом | 3,0...12,0 | 0,257 | 0,32 | |
18 | 12,1...30,0 | 0,142 | 0,56 | ||
19 | маховиком через шпиндель | 3,0...12,0 | 0,197 | 0,32 | |
20 | 12,1...30,0 | 0,099 | 0,54 | ||
Установка и снятие детали вручную, подъемником при станке, мостовым краном | |||||||
Приложение 18, лист 1 | |||||||
N позиции | Способ установки детали | Состояние установочной поверхности | Характер выверки | Диапазоны массы детали, m, кг | Значение постоянного коэффициента и показателя степени принятого фактора | ||
a | x | ||||||
1 | В патроне | Необработанная | По контуру поверхности | 1,00...5,0 | 0,85 | 0,29 | |
2 | 5,1...30 | 0,63 | 0,43 | ||||
3 | По разметочной риске | детали цилиндрической формы | 1,0...3,0 | 1,49 | 0,2 | ||
4 | 3,1...30 | 1,31 | 0,31 | ||||
5 | детали фасонной или коробчатой формы | 1,0...3,0 | 2,6 | 0,1 | |||
6 | 3,1...30 | 2,12 | 0,27 | ||||
7 | Обработанная | Без выверки | 1,0...3,0 | 0,35 | 0,11 | ||
8 | 3,1...30 | 0,27 | 0,35 | ||||
9 | С выверкой | рейсмусом | 1,0...5,0 | 0,86 | 0,15 | ||
10 | 5,1...30 | 0,63 | 0,34 | ||||
11 | индикатором | 1,0...5,0 | 1,8 | 0,19 | |||
12 | 5,1...30 | 1,44 | 0,33 | ||||
13 | В патроне с центром задней бабки | - | Без выверки | 1...8,0 | 0,5 | 0,14 | |
14 | 8,1...30 | 0,30 | 0,43 | ||||
15 | По контуру необработанной поверхности | 1...8,0 | 1,30 | 0,14 | |||
16 | 8,1...30 | 0,86 | 0,42 | ||||
17 | В патроне и неподвижном люнете | - | С выверкой | рейсмусом, резцом, мелом на глаз | 1...5,0 | 1,0 | 0,15 |
18 | 5,1...30 | 0,71 | 0,38 | ||||
19 | индикатором | 1...5,0 | 1,38 | 0,19 | |||
20 | 5,1...30 | 0,99 | 0,38 | ||||
21 | В патроне | Необработанная | По контуру поверхности | 30...200 | 1,33 | 0,29 | |
22 | 201...1000 | 0,85 | 0,37 | ||||
23 | по разметочной риске | детали цилиндрической формы | 30...200 | 1,85 | 0,28 | ||
24 | 201...1000 | 1,08 | 0,38 | ||||
ДАННЫЕ ДЛЯ ОПРЕДЕЛЕНИЯ ВСПОМОГАТЕЛЬНОГО ВРЕМЕНИ НА УСТАНОВКУ И СНЯТИЕ ДЕТАЛИ В ЧЕТЫРЕХКУЛАЧКОВОМ ПАТРОНЕ | Установка и снятие детали вручную, подъемником при станке, мостовым краном | ||||||
Приложение 18, лист 2 | |||||||
N позиции | Способ установки детали | Состояние установочной поверхности | Характер выверки | Диапазоны массы детали, m, кг | Значение постоянного коэффициента и показателя степени принятого фактора | ||
a | x | ||||||
25 | В патроне | Необработанная | По разметочной риске | детали цилиндрической формы | 30...200 | 2,2 | 0,31 |
26 | Обработанная | Без выверки | 30...200 | 1,6 | 0,15 | ||
27 | 201...1000 | 0,90 | 0,26 | ||||
28 | С выверкой | рейсмусом | 300...1000 | 1,6 | 0,24 | ||
29 | индикатором | 30...200 | 3,29 | 0,15 | |||
30 | 201...1000 | 2,38 | 0,21 | ||||
31 | В патроне с центром задней бабки | - | По контуру необработанной поверхности | 300...200 | 1,66 | 0,29 | |
32 | 201...1500 | 1,06 | 0,37 | ||||
33 | В патроне и неподвижном люнете | - | С выверкой | рейсмусом | 30...200 | 1,74 | 0,24 |
34 | 201...500 | 0,74 | 0,4 | ||||
35 | индикатором | 30...500 | 2,63 | 0,23 | |||
Установка и снятие детали вручную | |||||
Приложение 19, лист 1 | |||||
N позиции | Способ установки детали | Способ подвода пиноли задней бабки | Диапазоны массы детали, m, кг | Значение постоянного коэффициента и показателей степени принятого фактора | |
a | x | ||||
1 | В центрах с надеванием хомутика | Вращением маховичка | 0,01...0,08 | 0,15 | 0,07 |
2 | 0,081...3,0 | 0,26 | 0,17 | ||
3 | 3,1...30,0 | 0,19 | 0,41 | ||
4 | Пневматическим устройством или отводной рукояткой | 0,01...0,08 | 0,13 | 0,07 | |
5 | 0,081...3,0 | 0,23 | 0,17 | ||
6 | 3,1...30,0 | 0,17 | 0,42 | ||
7 | Звездочкой | 0,01...0,08 | 0,17 | 0,09 | |
8 | 0,081...3,0 | 0,31 | 0,13 | ||
9 | 3,1...30,0 | 0,24 | 0,39 | ||
10 | В центрах без надевания хомутика | Вращением маховичка | 0,01...0,08 | 0,1 | 0,06 |
11 | 0,081...3,0 | 0,16 | 0,16 | ||
12 | 3,1...30,0 | 0,12 | 0,40 | ||
13 | Пневматическим устройством или отводной рукояткой | 0,01...0,08 | 0,06 | 0,14 | |
14 | 0,081...3,0 | 0,13 | 0,16 | ||
15 | 3,1...30,0 | 0,095 | 0,43 | ||
16 | Звездочкой | 0,01...0,08 | 0,12 | 0,08 | |
17 | 0,081...3,0 | 0,22 | 0,13 | ||
18 | 3,1...30,0 | 0,16 | 0,37 | ||
19 | В центрах с самозажимным поводковым патроном | Вращением маховичка | 1,0...5,0 | 0,22 | 0,15 |
20 | 5,1...30,0 | 0,16 | 0,33 | ||
21 | Пневматическим устройством | 1,0...5,0 | 0,19 | 0,15 | |
22 | 5,1...30,0 | 0,13 | 0,37 | ||
23 | В центрах с самозажимным хомутиком | Вращением маховичка | 1,0...5,0 | 0,24 | 0,16 |
24 | 5,1...30,0 | 0,2 | 0,28 | ||
25 | Пневматическим устройством | 1,0...5,0 | 0,21 | 0,16 | |
26 | 5,1...30,0 | 0,15 | 0,34 | ||
27 | В центрах и неподвижном люнете с надеванием хомутика | Вращением маховичка | 0,25...8,0 | 0,47 | 0,15 |
28 | 8,1...30,0 | 0,32 | 0,32 | ||
29 | Пневматическим устройством | 0,25...8,0 | 0,43 | 0,15 | |
30 | 8,1...30,0 | 0,28 | 0,36 | ||
31 | В центрах и неподвижном люнете без надевания хомутика | Вращением маховичка | 0,25...3,0 | 0,36 | 0,09 |
32 | 3,1...30,0 | 0,29 | 0,25 | ||
33 | Пневматическим устройством | 0,25...3,0 | 0,33 | 0,09 | |
34 | 3,1...30,0 | 0,26 | 0,25 | ||
ДАННЫЕ ДЛЯ ОПРЕДЕЛЕНИЯ ВСПОМОГАТЕЛЬНОГО ВРЕМЕНИ НА УСТАНОВКУ И СНЯТИЕ ДЕТАЛИ ПРИ РАБОТЕ В ЦЕНТРАХ | Установка и снятие детали подъемником при станке, мостовым краном | ||||
Приложение 19, лист 2 | |||||
N позиции | Способ установки детали | Способ подвода пиноли задней бабки | Диапазоны массы детали m, кг | Значение постоянного коэффициента и показателей степени принятого фактора | |
a | x | ||||
35 | В центрах с надеванием хомутика | Вращением маховичка | 21...1500 | 1,07 | 0,19 |
36 | Пневматическим устройством или отводной рукояткой | 21...1500 | 1,03 | 0,19 | |
37 | В центрах без надевания хомутика | Вращением маховичка | 21...1500 | 0,9 | 0,19 |
38 | Пневматическим устройством или отводной рукояткой | 21...1500 | 0,87 | 0,19 | |
39 | В центрах и неподвижном люнете с надеванием хомутика | Вращением маховичка | 21...1500 | 1,22 | 0,21 |
40 | Пневматическим устройством или отводной рукояткой | 21...1500 | 1,19 | 0,21 | |
41 | В центрах и неподвижном люнете без надевания хомутика | Вращением маховичка | 21...1500 | 1,13 | 0,21 |
42 | Пневматическим устройством или отводной рукояткой | 21...1500 | 1,1 | 0,21 | |
- для деталей массой 0,01...0,08 кг,Установка и снятие детали вручную | ||||||
Приложение 20, лист 1 | ||||||
N позиции | Способ установки и крепления детали | Способ подвода пиноли задней бабки | Диапазоны массы детали, m, кг | Значение постоянного коэффициента и показателя степени принятого фактора | ||
a | x | |||||
1 | На центровой гладкой или шлицевой оправке | при свободном надевании детали | Вращением маховичка | 0,01...0,08 | 0,13 | 0,09 |
2 | 0,081...3,0 | 0,23 | 0,14 | |||
3 | 3,1...30,0 | 0,17 | 0,42 | |||
4 | Пневматическим устройством | 0,01...0,08 | 0,08 | 0,15 | ||
5 | 0,081...3,0 | 0,198 | 0,19 | |||
6 | 3,1...30,0 | 0,14 | 0,45 | |||
7 | при тугом надевании детали под прессом | Вращением маховичка | 0,01...0,08 | 0,21 | 0,08 | |
8 | 0,081...3,0 | 0,37 | 0,16 | |||
9 | 3,1...30,0 | 0,28 | 0,4 | |||
10 | Пневматическим устройством или отводной рукояткой | 0,01...0,08 | 0,18 | 0,09 | ||
11 | 0,081...3,0 | 0,33 | 0,18 | |||
12 | 3,1...30,0 | 0,23 | 0,43 | |||
13 | Звездочкой | 0,01...0,08 | 0,22 | 0,08 | ||
14 | 0,081...3,0 | 0,41 | 0,18 | |||
15 | 3,1...30,0 | 0,32 | 0,38 | |||
16 | На центровой оправке с креплением гайкой и шайбой | быстросъемной | Вращением маховичка | 0,01...0,08 | 0,22 | 0,08 |
17 | 0,081...5,0 | 0,36 | 0,16 | |||
18 | 5,1...30,0 | 0,26 | 0,4 | |||
19 | Пневматическим устройством или отводной рукояткой | 0,01...0,08 | 0,18 | 0,09 | ||
20 | 0,081...5,0 | 0,32 | 0,17 | |||
21 | 5,1...30,0 | 0,27 | 0,36 | |||
22 | Звездочкой | 0,01...0,08 | 0,22 | 0,07 | ||
23 | 0,081...5,0 | 0,40 | 0,18 | |||
24 | 5,1...30,0 | 0,26 | 0,43 | |||
25 | простой | Вращением маховичка | 0,01...0,08 | 0,22 | 0,15 | |
26 | 0,081...5,0 | 0,50 | 0,17 | |||
27 | 5,1...30,0 | 0,33 | 0,4 | |||
28 | Пневматическим устройством или отводной рукояткой | 0,01...0,08 | 0,24 | 0,08 | ||
29 | 0,081...5,0 | 0,45 | 0,18 | |||
30 | 5,1...30,0 | 0,30 | 0,43 | |||
31 | Звездочкой | 0,01...0,08 | 0,29 | 0,08 | ||
32 | 0,081...5,0 | 0,52 | 0,17 | |||
33 | 5,1...30,0 | 0,35 | 0,4 | |||
34 | На центровой разжимной оправке | Вращением маховичка | 0,01...0,08 | 0,19 | 0,11 | |
35 | 0,081...3,0 | 0,38 | 0,16 | |||
36 | 3,1...8,0 | 0,31 | 0,34 | |||
37 | Пневматическим устройством | 0,01...0,08 | 0,17 | 0,11 | ||
38 | 0,081...3,0 | 0,34 | 0,16 | |||
ДАННЫЕ ДЛЯ ОПРЕДЕЛЕНИЯ ВСПОМОГАТЕЛЬНОГО ВРЕМЕНИ НА УСТАНОВКУ И СНЯТИЕ ДЕТАЛИ ПРИ РАБОТЕ НА ЦЕНТРОВОЙ ОПРАВКЕ | Установка и снятие детали вручную | ||||
Приложение 20, лист 2 | |||||
N позиции | Способ установки и крепления детали | Способ подвода пиноли задней бабки | Диапазоны массы детали, m, кг | Значение постоянного коэффициента и показателя степени принятого фактора | |
a | x | ||||
39 | На центровой оправке с роликовым замком | Вращением маховичка | 0,01...0,08 | 0,13 | 0,11 |
40 | 0,081...3,0 | 0,23 | 0,11 | ||
41 | 3,1...30,0 | 0,18 | 0,43 | ||
42 | Пневматическим устройством | 0,01...0,08 | 0,11 | 0,11 | |
43 | 0,081...1,0 | 0,21 | 0,11 | ||
44 | Установить и снять деталь с оправкой (при работе с двумя оправками) | Вращением маховичка | 0,01...0,05 | 0,086 | 0,07 |
45 | 0,051...3,0 | 0,14 | 0,13 | ||
46 | 3,1...30,0 | 0,11 | 0,4 | ||
47 | Пневматическим устройством или отводной рукояткой | 0,01...0,05 | 0,07 | 0,07 | |
48 | 0,051...3,0 | 0,12 | 0,18 | ||
49 | 3,1...30,0 | 0,11 | 0,4 | ||
50 | Звездочкой | 0,01...0,05 | 0,11 | 0,07 | |
51 | 0,051...3,0 | 0,17 | 0,13 | ||
52 | 3,1...30,0 | 0,14 | 0,4 | ||
53 | Установка на оправке каждой последующей детали свыше одной | 0,01...0,05 | 0,036 | 0,17 | |
54 | 0,051...3,00 | 0,08 | 0,15 | ||
ДАННЫЕ ДЛЯ ОПРЕДЕЛЕНИЯ ВСПОМОГАТЕЛЬНОГО ВРЕМЕНИ НА УСТАНОВКУ И СНЯТИЕ ДЕТАЛИ ПРИ РАБОТЕ НА ЦЕНТРОВОЙ ОПРАВКЕ | Установка и снятие детали подъемником при станке | |||||
Приложение 20, лист 3 | ||||||
N позиции | Способ установки и крепления детали | Способ подвода пиноли задней бабки | Диапазоны массы детали m, кг | Значение постоянного коэффициента и показателя степени принятого фактора | ||
a | x | |||||
55 | На центровой гладкой или шлицевой оправке | при свободном одевании детали | Вращением маховичка | 21...50 | 0,70 | 0,29 |
56 | Пневматическим устройством | 21...50 | 0,66 | 0,29 | ||
57 | при тугом одевании детали | Вращением маховичка | 21...50 | 0,94 | 0,25 | |
58 | Пневматическим устройством | 21...50 | 0,92 | 0,25 | ||
59 | На центровой оправке с креплением гайкой и шайбой | быстросъемной | Вращением маховичка | 21...50 | 1,21 | 0,18 |
60 | Пневматическим устройством | 21...50 | 1,16 | 0,18 | ||
61 | простой | Вращением маховичка | 21...50 | 2,03 | 0,07 | |
62 | Пневматическим устройством | 21...50 | 1,94 | 0,07 | ||
63 | Установить и снять детали с оправкой (при работе с двумя оправками) | Вращением маховичка | 21...50 | 0,76 | 0,22 | |
64 | Пневматическим устройством | 21...50 | 0,72 | 0,22 | ||
- для деталей массой 0,01...0,08 кг;Установка и снятие детали на концевой оправке вручную | |||||
Приложение 21 | |||||
N позиции | Способ установки детали | Диапазоны массы детали, m, кг | Значение постоянного коэффициента и показателя степени принятого фактора | ||
a | x | ||||
1 | На концевой гладкой или шлицевой оправке без крепления | 0,01...0,25 | 0,08 | 0,12 | |
2 | 0,26...3,0 | 0,14 | 0,22 | ||
3 | 3,1...20,0 | 0,11 | 0,43 | ||
4 | На концевой оправке с креплением | гайкой и быстросъемной шайбой | 0,01...0,25 | 0,15 | 0,06 |
5 | 0,26...3,0 | 0,23 | 0,24 | ||
6 | 3,1...20,0 | 0,22 | 0,32 | ||
7 | 21,0...30,0 | 0,054 | 0,8 | ||
8 | гайкой и простой шайбой | 0,01...0,25 | 0,23 | 0,06 | |
9 | 0,26...3,0 | 0,35 | 0,24 | ||
10 | 3,1...20,0 | 0,32 | 0,32 | ||
11 | 21...30 | 0,07 | 0,8 | ||
12 | гайкой и быстросъемной шайбой с поджатием центром | 0,01...0,25 | 0,22 | 0,06 | |
13 | 0,26...3,0 | 0,33 | 0,24 | ||
14 | 3,1...20,0 | 0,26 | 0,32 | ||
15 | 21...30 | 0,06 | 0,8 | ||
16 | гайкой и простой шайбой с поджатием центром | 0,05...0,08 | 0,23 | 0,13 | |
17 | 0,081...3,0 | 0,41 | 0,24 | ||
18 | 3,1...20,0 | 0,36 | 0,32 | ||
19 | 21...30 | 0,08 | 0,8 | ||
20 | роликовым замком | 0,25...3,0 | 0,18 | 0,23 | |
21 | 3,1...8,0 | 0,15 | 0,37 | ||
22 | На концевой разжимной оправке с креплением | пневматическим зажимом | 0,25...3,0 | 0,17 | 0,2 |
23 | 3,1...30,0 | 0,14 | 0,4 | ||
24 | |||||
25 | гайкой | 0,01...0,25 | 0,178 | 0,06 | |
26 | 0,26...3,0 | 0,26 | 0,22 | ||
27 | 3,1...20,0 | 0,21 | 0,4 | ||
28 | 21...30 | 0,063 | 0,8 | ||
29 | маховичком через шпиндель | 0,01...0,25 | 0,148 | 0,06 | |
30 | 0,26...3,0 | 0,21 | 0,3 | ||
31 | 3,1...12,0 | 0,17 | 0,4 | ||
32 | На концевой резьбовой оправке | 0,01...0,25 | 0,15 | 0,07 | |
33 | 0,26...3,0 | 0,22 | 0,21 | ||
34 | 3,1...8,0 | 0,18 | 0,47 | ||
35 | Установка на оправке каждой последующей детали свыше одной | 0,01...0,08 | 0,04 | 0,13 | |
36 | 0,081...3,0 | 0,08 | 0,1 | ||
37 | 3,1...5,0 | 0,06 | 0,35 | ||
- для деталей массой от 0,01 до 0,25 кг;Установка и снятие детали вручную | ||||||||
Приложение 22, лист 1 | ||||||||
N позиции | Способ установки детали | Состояние установочной поверхности | Характер выверки | Диапазоны массы детали, m, кг | Диапазоны числа одновременно устанавливаемых деталей, n, шт. | Значение постоянного коэффициента и показателя степени принятого фактора | ||
a | x | y | ||||||
1 | В тисках с винтовым зажимом | Обработанная (или необработанная из проката) | Без выверки | 0,01...0,03 | 1...10 | 0,036 | 0,28 | 0,63 |
2 | 0,031...0,25 | 0,37 | 0,46 | 0,63 | ||||
3 | 0,26...3,0 | 0,22 | 0,09 | 0,63 | ||||
4 | 3,1...30 | 0,2 | 0,23 | 0,63 | ||||
5 | Необработанная (отливка) | Без выверки | 0,25...5,0 | 1,0 | 0,28 | 0,09 | - | |
6 | 5,1...30 | 0,22 | 0,25 | - | ||||
7 | С выверкой рейсмусом | 0,25...5,0 | 1,0 | 0,69 | 0,12 | - | ||
8 | 5,1...30 | 0,53 | 0,29 | - | ||||
9 | В тисках с пневматическим зажимом | Обработанная (или необработанная из проката) | Без выверки | 0,25...3,0 | 1...10 | 0,13 | 0,15 | 0,75 |
10 | 3,1...30 | 0,13 | 0,34 | 0,7 | ||||
11 | Необработанная (отливка) | Без выверки | 0,25...3,0 | 1,0 | 0,21 | 0,13 | - | |
12 | 3,1...30 | 0,17 | 0,29 | - | ||||
13 | С выверкой рейсмусом | 0,25...3,0 | 1,0 | 0,67 | 0,09 | - | ||
14 | 3,1...30 | 0,51 | 0,31 | - | ||||
15 | В тисках с эксцентриковым зажимом | Обработанная (или необработанная из проката) | Без выверки | 0,01...0,03 | 1...4 | 0,02 | 0,31 | 0,6 |
16 | 0,031...0,08 | 0,42 | 0,56 | 0,6 | ||||
17 | 0,081...3,0 | 0,15 | 0,16 | 0,6 | ||||
18 | 3,1...30 | 0,13 | 0,33 | 0,6 | ||||
19 | В самоцентрирующих тисках | Обработанная (или необработанная из проката) | Без выверки | 0,25...5,0 | 1,0 | 0,12 | 0,15 | - |
20 | 5,1...30 | 0,07 | 0,45 | - | ||||
21 | При установке деталей свыше указанного числа на каждую последующую деталь добавлять | - | 0,01...0,03 | - | 0,01 | 0,46 | - | |
22 | 0,031...0,25 | 0,18 | 0,32 | - | ||||
23 | 0,26...3,0 | 0,11 | 0,23 | - | ||||
- для деталей массой 0,01...0,03 кг;Установка и снятие детали вручную, подъемником при станке, краном | ||||||||
Приложение 23, лист 1 | ||||||||
N позиции | Способ установки детали | Состояние установочной поверхности | Характер выверки | Диапазоны | Значение постоянного коэффициента и показателя степени принятого фактора | |||
масса детали, m, кг | число одновременно устанавливаемых деталей, n, шт. | a | x | y | ||||
I. Вручную | ||||||||
1 | Без крепления | - | - | 0,25...3,0 | 1 | 0,09 | 0,13 | - |
2 | 3,1...20 | 1 | 0,06 | 0,4 | - | |||
3 | 21...30 | 1 | 0,03 | 0,62 | - | |||
4 | С креплением одним болтом с планкой | Обработанная или необработанная (отливка) | Без выверки | 0,25...20,0 | 1 | 0,38 | 0,14 | - |
5 | 21...30 | 1 | 0,29 | 0,26 | - | |||
6 | На столе с креплением 2-мя болтами и планками | Обработанная или необработанная (отливка) | Без выверки | 0,25...3,0 | 1...8 | 0,5 | 0,11 | 0,9 |
7 | 3,1...20,0 | 1...8 | 0,48 | 0,2 | 0,9 | |||
8 | 21...30 | 1...8 | 0,14 | 0,74 | 0,75 | |||
Необработанная (отливка) | Выверка простая (по контуру неразмеченной поверхности) | 0,25...3,0 | 1...8 | 0,9 | 0,08 | 0,9 | ||
9 | 3,1...20 | 1...8 | 0,66 | 0,37 | 0,9 | |||
10 | 21...30 | 1...8 | 0,56 | 0,48 | 0,82 | |||
11 | Обработанная | - | ||||||
12 | 0,25...3,0 | 1...8 | 0,69 | 0,08 | 0,9 | |||
13 | 3,1...20 | 1...8 | 0,5 | 0,37 | 0,9 | |||
14 | 21...30 | 1...8 | 0,43 | 0,48 | 0,82 | |||
ДАННЫЕ ДЛЯ ОПРЕДЕЛЕНИЯ ВСПОМОГАТЕЛЬНОГО ВРЕМЕНИ НА УСТАНОВКУ И СНЯТИЕ ДЕТАЛИ НА СТОЛЕ | Установка и снятие детали вручную, подъемником при станке, краном | |||||||
Приложение 23, лист 2 | ||||||||
N позиции | Способ установки детали | Состояние установочной поверхности | Характер выверки | Диапазоны | Значение постоянного коэффициента и показателя степени принятого фактора | |||
масса детали, m, кг | число одновременно устанавливаемых деталей, n, шт. | a | x | y | ||||
15 | На столе с креплением 2-мя болтами и планками | Необработанная (отливка) | Выверка сложная (по разметочной риске) | 0,25...3,0 | 1...6 | 1,6 | 0,12 | 0,9 |
16 | 3,1...20,0 | 1...6 | 1,3 | 0,23 | 0,9 | |||
17 | 21...30 | 1...6 | 0,98 | 0,41 | 0,76 | |||
18 | Обработанная | 0,25...3,0 | 1...6 | 1,14 | 0,12 | 0,9 | ||
19 | 3,1...20,0 | 1...6 | 0,93 | 0,23 | 0,9 | |||
20 | 21...30 | 1...6 | 0,93 | 0,3 | 0,82 | |||
21 | На столе пакетом с креплением болтами и планками | Обработанная | Без выверки | 0,25...3,0 | 2...8 | 0,46 | 0,24 | 0,52 |
22 | 3,1...20,0 | 2...8 | 0,12 | 0,94 | 0,8 | |||
II. Подъемником при станке, мостовым краном | ||||||||
23 | Без крепления | - | - | 21...5000 | 1 | 0,33 | 0,27 | - |
24 | На столе с креплением болтом с планками | Обработанная или необработанная (отливка) | Без выверки | 21...80 | 1 | 0,78 | 0,14 | - |
25 | На столе с креплением 2-мя болтами с планками | Обработанная или необработанная (отливка) | Без выверки | 21...5000 | 1 | 0,92 | 0,21 | - |
26 | На столе с креплением 4-мя болтами с планками | Обработанная или необработанная (отливка) | Без выверки | 21...5000 | 1...8 | 1,18 | 0,21 | 0,71 |
27 | Необработанная (отливка) | Выверка простая (по контуру неразмеченнной поверхности) | 21...5000 | 1...8 | 1,78 | 0,20 | 0,79 | |
28 | Обработанная | 21...5000 | 1...8 | 1,5 | 0,20 | 0,75 | ||
29 | Необработанная (отливка) | Выверка сложная (по разметочной риске) | 21...5000 | 1...6 | 2,0 | 0,24 | 0,95 | |
30 | Обработанная | 21...5000 | 1...6 | 1,87 | 0,22 | 0,85 | ||
Установка и снятие детали вручную | |||||||
Приложение 24, лист 1 | |||||||
N позиции | Способ установки детали | Состояние установочной поверхности | Характер выверки | Диапазоны массы детали, m, кг | Значение постоянного коэффициента и показателя степени принятого фактора | ||
a | x | ||||||
1 | В самоцентрирующем патроне (крепление ключом) | - | Без выверки | 5...30 | 0,16 | 0,33 | |
2 | На столе в четырех кулачках | Необработанная (отливка) | Без выверки | 8...30 | 0,3 | 0,38 | |
3 | С выверкой по контуру необработанной поверхности | 8...30 | 0,9 | 0,28 | |||
4 | По разметочной риске | детали цилиндрической формы | 8...30 | 1,7 | 0,18 | ||
5 | детали фасонной или коробчатой формы | 8...30 | 1,95 | 0,24 | |||
6 | Обработанная | Без выверки | 8...30 | 0,3 | 0,38 | ||
7 | С выверкой рейсмусом | 8...30 | 0,9 | 0,28 | |||
8 | С выверкой индикатором | 8...30 | 1,0 | 0,38 | |||
9 | На столе с креплением болтами и планками | Необработанная (отливка) | Без выверки | 8...30 | 2,1 | 0,19 | |
10 | С выверкой по контуру необработанной поверхности | 8...30 | 2,3 | 0,23 | |||
11 | По разметочной риске | детали цилиндрической формы | 8...30 | 2,1 | 0,19 | ||
12 | детали фасонной или коробчатой формы | 8...30 | 2,3 | 0,23 | |||
13 | Обработанная | Без выверки | 8...30 | 0,49 | 0,38 | ||
14 | С выверкой рейсмусом | 8...30 | 1,4 | 0,19 | |||
15 | На столе с креплением в четырех кулачках и болтами с планками | Необработанная | Без выверки | 8...30 | 1,08 | 0,22 | |
16 | С выверкой по контуру необработанной поверхности | 8...30 | 1,4 | 0,25 | |||
17 | По разметочной риске | Детали цилиндрической формы | 8...30 | 2,7 | 0,12 | ||
18 | детали фасонной или коробчатой формы | 8...30 | 2,7 | 0,19 | |||
19 | На планшайбе лоботокарного, токарного станка с креплением болтами и прижимными планками | - | С центрированием | без выверки | 5...8 | 0,33 | 0,22 |
20 | 8,1...30 | 0,17 | 0,53 | ||||
21 | с выверккой рейсмусом | 5...8 | 0,75 | 0,24 | |||
22 | 8,1...30 | 0,47 | 0,45 | ||||
23 | с выверкой индикатором | 5...8 | 1,57 | 0,12 | |||
24 | 8,1...30 | 1,12 | 0,28 | ||||
25 | - | Без центрирования | без выверки | 5...8 | 0,45 | 0,22 | |
26 | 8,1...30 | 0,28 | 0,46 | ||||
27 | с выверкой рейсмусом | 5...8 | 0,96 | 0,19 | |||
28 | 8,1...30 | 0,59 | 0,41 | ||||
29 | с выверкой индикатором | 5...8 | 1,47 | 0,19 | |||
30 | 8,1...30 | 1,3 | 0,27 | ||||
ДАННЫЕ ДЛЯ ОПРЕДЕЛЕНИЯ ВСПОМОГАТЕЛЬНОГО ВРЕМЕНИ НА УСТАНОВКУ И СНЯТИЕ ДЕТАЛИ НА ПЛАНШАЙБЕ КАРУСЕЛЬНОГО, ЛОБОТОКАРНОГО, ТОКАРНОГО СТАНКА | Установка и снятие детали подъемником при станке, мостовым краном | |||||||
Приложение 24, лист 2 | ||||||||
N позиции | Способ установки детали | Станки | Состояние установочной поверхности | Характер выверки | Диапазоны массы детали, m, кг | Значение постоянного коэффициента и показателя степени принятого фактора | ||
a | x | |||||||
1 | В самоцентрирующем патроне (крепление ключом) | - | Без выверки | 21...200 | 0,42 | 0,36 | ||
2 | На столе в четырех кулачках | Карусельные станки | Необработанная (отливка) | Без выверки | 21...3000 | 1,0 | 0,23 | |
3 | С выверкой по контуру необработанной поверхности | 21...3000 | 1,21 | 0,28 | ||||
4 | По разметочной риске | детали цилиндрической формы | 21...3000 | 1,51 | 0,29 | |||
5 | детали фасонной или коробчатой формы | 21...200 | 2,55 | 0,26 | ||||
6 | Обработанная | Без выверки | 21...3000 | 1,0 | 0,23 | |||
7 | С выверкой рейсмусом | 21...3000 | 1,17 | 0,3 | ||||
8 | С выверкой индикатором | 21...3000 | 3,2 | 0,21 | ||||
9 | На столе с креплением болтами и планками | Необработанная (отливка) | Без выверки | 21...3000 | 1,47 | 0,2 | ||
10 | С выверкой по контуру необработанной поверхности | 21...3000 | 1,42 | 0,28 | ||||
11 | По разметочной риске | детали цилиндрической формы | 21...3000 | 2,0 | 0,26 | |||
12 | детали фасонной или коробчатой формы | 21...200 | 2,7 | 0,26 | ||||
13 | Обработанная | Без выверки | 21...3000 | 1,47 | 0,2 | |||
14 | С выверкой рейсмусом | 21...3000 | 1,2 | 0,32 | ||||
15 | На столе с креплением в четырех кулачках и болтами с планками | Необработанная (отливка) | Без выверки | 21...3000 | 1,5 | 0,22 | ||
16 | С выверкой по контуру необработанной поверхности | 21...3000 | 1,76 | 0,25 | ||||
17 | По разметочной риске | детали цилиндрической формы | 21...3000 | 2,2 | 0,25 | |||
18 | детали фасонной или коробчатой формы | 21...200 | 3,0 | 0,25 | ||||
19 | На планшайбе лоботокарного станка с креплением болтами и прижимными планками | - | С центрированием | Без выверки | 21...3000 | 2,28 | 0,05 | |
20 | С выверкой рейсмусом | 21...3000 | 1,84 | 0,21 | ||||
21 | С выверкой индикатором | 21...3000 | 2,33 | 0,2 | ||||
22 | Без центрирования | Без выверки | 21...3000 | 2,28 | 0,05 | |||
23 | С выверкой рейсмусом | 21...3000 | 1,84 | 0,21 | ||||
24 | С выверкой индикатором | 21...3000 | 2,33 | 0,21 | ||||
Установка и снятие детали вручную | ||||||||||
Приложение 25, лист 1 | ||||||||||
N позиции | Станки | Способ установки детали | Характер выверки | Диапазоны массы детали, m, кг | Значение постоянного коэффициента и показателя степени принятого фактора | |||||
a | x | y | ||||||||
1 | Карусельные | На угольнике с креплением болтами и планками | С выверкой | по контуру необработанной поверхности | 5...30 | 1,09 | 0,25 | - | ||
2 | по разметочной риске | 5...30 | 1,3 | 0,29 | - | |||||
3 | Без выверки по фиксатору | 5...30 | 0,47 | 0,33 | - | |||||
4 | Сверлильные, строгальные, фрезерные, расточные | На угольнике или сбоку стола с креплением болтами и планками | на опоре | число деталей 1...4 | с выверкой | по контуру необработанной поверхности | 1...30 | 0,66 | 0,26 | 0,8 |
5 | по разметочной риске | 1...30 | 0,7 | 0,31 | 0,8 | |||||
6 | на весу | Без выверки по фиксатору или направляющей | 1...30 | 0,61 | 0,2 | - | ||||
7 | С выверкой | по контуру необработанной поверхности | 1...30 | 0,7 | 0,31 | - | ||||
8 | по разметочной риске | 1...30 | 0,86 | 0,3 | - | |||||
9 | Протяжные | На опорной плите с креплением планками | на опоре | Без выверки | 8...30 | 0,45 | 0,28 | - | ||
10 | Лоботокарные | На планшайбе с угольником и креплением болтами | Без выверки | 5...30 | 0,41 | 0,33 | - | |||
11 | С выверкой рейсмусом | 5...30 | 0,93 | 0,23 | - | |||||
12 | С выверкой индикатором | 5...30 | 1,48 | 0,21 | - | |||||
ДАННЫЕ ДЛЯ ОПРЕДЕЛЕНИЯ ВСПОМОГАТЕЛЬНОГО ВРЕМЕНИ НА УСТАНОВКУ И СНЯТИЕ ДЕТАЛИ НА УГОЛЬНИКЕ, ОПОРНОЙ ПЛИТЕ ИЛИ СБОКУ СТОЛА СТАНКА | Установка и снятие детали подъемником при станке, мостовым краном | |||||||
Приложение 25, лист 2 | ||||||||
N позиции | Станки | Способ установки детали | Характер выверки | Диапазоны массы детали, m, кг | Значение постоянного коэффициента и показателя степени принятого фактора | |||
a | x | |||||||
1 | Карусельные | На угольнике с креплением болтами и планками | с выверкой | по контуру необработанной поверхности | 21...80 | 1,78 | 0,23 | |
2 | по разметочной риске | 21...80 | 2,56 | 0,22 | ||||
3 | Без выверки по фиксатор | 21...80 | 1,28 | 0,19 | ||||
4 | Сверлильные, строгальные, фрезерные, расточные | На угольнике или сбоку стола с креплением болтами и планками | на опоре | С выверкой | по контуру необработанной поверхности | 21...80 | 0,14 | 0,22 |
5 | по разметочной риске | 21...80 | 1,88 | 0,18 | ||||
6 | на весу | Без выверки по фиксатору или направляющей | 21...80 | 0,94 | 0,26 | |||
7 | С выверкой | по контуру необработанной поверхности | 21...80 | 1,88 | 0,18 | |||
8 | по разметочной риске | 21...80 | 2,09 | 0,18 | ||||
9 | Протяжные | На опорной плите с креплением планками | на опоре | Без выверки | 21...80 | 1,27 | 0,11 | |
10 | Лоботокарные | На планшайбе с угольником и креплением болтами | Без выверки | 21...200 | 1,91 | 0,08 | ||
11 | С выверкой рейсмусом | 21...200 | 1,6 | 0,23 | ||||
12 | С выверкой индикатором | 21...200 | 2,3 | 0,19 | ||||
ДАННЫЕ ДЛЯ ОПРЕДЕЛЕНИЯ ВСПОМОГАТЕЛЬНОГО ВРЕМЕНИ НА УСТАНОВКУ И СНЯТИЕ ДЕТАЛИ НА УГОЛЬНИКЕ, ОПОРНОЙ ПЛИТЕ ИЛИ СБОКУ СТОЛА СТАНКА | Установка и снятие детали подъемником при станке, мостовым краном |
Приложение 25, лист 3 |
Установка и снятие детали вручную, подъемником при станке | ||||||||
Приложение 26 | ||||||||
N позиции | Способ установки детали | Характер обработки | Диапазоны | Значение постоянного коэффициента и показателя степени принятого фактора | ||||
масса детали, m, кг | число одновременно устанавливаемых деталей, n, шт. | a | x | y | ||||
I. Вручную | ||||||||
1 | На магнитном столе | Черновое или чистовое неточное шлифование | 0,01...0,08 | 1...200 | 0,05 | 0,11 | 0,74 | |
2 | 0,081...30 | 1...200 | 0,14 | 0,27 | 0,7 | |||
3 | Чистовое шлифование точное (<= 0,2 мм) | 0,01...0,08 | 1...100 | 0,075 | 0,16 | 0,68 | ||
4 | 0,081...3,0 | 1...10 | 0,21 | 0,26 | 0,58 | |||
5 | 3,1...30,0 | 1...10 | 0,20 | 0,40 | 0,60 | |||
6 | 0,081...30 | 11...125 | 0,19 | 0,34 | 0,69 | |||
7 | На магнитной планшайбе с горизонтальной осью | - | 0,25...3,0 | 1 | 0,23 | 0,17 | - | |
II. Подъемником | ||||||||
8 | На магнитном столе | - | 21...1000 | - | 0,42 | 0,23 | - | |
9 | На столе с креплением болтами и планками | двумя | Без выверки | 21...1000 | - | 0,95 | 0,19 | - |
10 | С выверкой индикатором | 21...1000 | - | 2,0 | 0,24 | - | ||
11 | четырьмя | Без выверки | 21...1000 | - | 1,4 | 0,19 | - | |
12 | С выверкой индикатором | 21...1000 | - | 2,5 | 0,22 | - | ||
- для деталей массой 0,01...0,08 кг;Установка и снятие детали вручную | ||||||||
Приложение 27 | ||||||||
N позиции | Способ установки детали | Диапазоны | Значение постоянного коэффициента и степени принятого фактора | |||||
диаметра (или ширины) детали, D, мм | число одновременно устанавливаемых деталей, n, шт. | длина детали, L, мм | a | x | y | z | ||
1 | В гнездо сепаратора без крепления | 3...50 | 5...25 | 10...150 | 0,14 | 0,27 | 0,09 | 0,43 |
2 | 26...100 | 10...100 | 0,07 | 0,27 | 0,09 | 0,65 | ||
3 | В гнездо сепаратора с креплением в центрах или по отверстию штифтом | 3...50 | 5...50 | 10...150 | 0,08 | 0,19 | 0,06 | 1,0 |
Установка и снятие детали вручную и мостовым краном | ||||||||
Приложение 28 | ||||||||
N позиции | Способ установки детали | Диапазоны массы детали, m, кг | Диапазоны наибольшего диаметра устанавливаемого изделия, D, мм | Диапазоны числа люнетов, n, шт. | a | x | y | z |
1 | В четырехкулачковом патроне и люнетах | 8...30 | 200...1200 | 1...3 | 0,123 | 0,33 | 0,33 | 0,4 |
2 | 100...50000 | 0,34 | 0,23 | 0,33 | 0,4 | |||
3 | В вертлюге с односторонним креплением кулачками и люнетах | 8...30 | 50...1200 | 1...3 | 0,165 | 0,33 | 0,33 | 0,4 |
4 | 100...50000 | 0,45 | 0,23 | 0,33 | 0,4 | |||
5 | В вертлюге с двусторонним креплением кулачками и люнете | 8...30 | 200...1200 | 1 | 0,35 | 0,33 | 0,33 | - |
6 | 100...50000 | 0,97 | 0,23 | 0,33 | - | |||
Установка и снятие детали вручную и подъемником | |||||||
Приложение 29 | |||||||
N позиции | Способ установки детали | Диапазоны массы детали, m, кг | Вручную | Подъемником | |||
Значение постоянного коэффициента и показателя степени принятого фактора | |||||||
a | x | a | x | ||||
На концевой оправке с гайкой | 0,01...0,25 | 0,19 | - 0,14 | - | - | ||
0,26...30 | 0,36 | 0,3 | - | - | |||
3 | 31...80 | - | - | 2,4 | 0,06 | ||
4 | 81...300 | - | - | 1,7 | 0,14 | ||
5 | На концевой оправке с поджатием центром | 0,26...30 | 0,4 | 0,29 | - | - | |
6 | В центрах с поджатием вращением маховичка | 0,05...0,08 | 0,1 | 0,1 | 0,1 | - | |
7 | 0,081...3,0 | 0,15 | 0,15 | 0,2 | - | ||
8 | 3,1...30,0 | 0,13 | 0,13 | 0,38 | - | ||
9 | 30...300 | - | - | - | 0,18 | ||
10 | На оправке с подставками | с выверкой индикатором | 3,1...20 | 1,15 | 0,28 | - | - |
11 | 31...80 | - | - | 4,4 | 0,11 | ||
12 | 81...300 | - | - | 1,96 | 0,29 | ||
13 | На подставках | 12,0...30 | 0,86 | 0,44 | - | - | |
14 | 31...80 | - | - | 4,9 | 0,11 | ||
81...300 | - | - | 2,5 | 0,26 | |||
При установке на оправке нескольких деталей на каждую последующую | 0,01...0,1 | 0,056 | - 0,14 | - | - | ||
0,11...30 | 0,14 | 0,29 | - | - | |||
Установка и снятие детали подъемником | |||||||
Приложение 30 | |||||||
N позиции | Характер застройки | Угол поворота при кантовке, град. | Диапазоны массы при кантовке, m, кг | Диапазоны расстояния перемещения при кантовке, l, м | Значение постоянного коэффициента и показателя степени принятого фактора | ||
a | x | y | |||||
1 | Удобная застропка при наличии у деталей просветов и выступов для захвата стропами | 90 | 80...500 | 5...20 | 0,22 | 0,22 | 0,3 |
2 | 501...3000 | 0,06 | 0,43 | 0,3 | |||
3 | 180 | 80...500 | 5...20 | 0,34 | 0,24 | 0,21 | |
4 | 501...3000 | 0,11 | 0,42 | 0,21 | |||
5 | Неудобная застропка на сплошных деталях с захватом снаружи петлей | 90 | 80...500 | 5...20 | 0,66 | 0,22 | 0,15 |
6 | 501...3000 | 0,22 | 0,4 | 0,15 | |||
7 | 180 | 80...500 | 5...20 | 0,75 | 0,27 | 0,1 | |
8 | 501...3000 | 0,255 | 0,45 | 0,1 | |||
9 | Транспортировка детали подъемником на расстоянии более 5 м при длине перемещения, м, до | 80...500 | 10 | Постоянная величина равная, мин. | 0,25 | ||
10 | 501...3000 | 0,35 | |||||
11 | 80...500 | 20 | 0,45 | ||||
12 | 501...3000 | 0,55 | |||||
Установка и снятие детали вручную | |||||
Приложение 31 | |||||
N позиции | Способ установки детали | Способ крепления | Диапазоны массы детали, m, кг | Значение постоянного коэффициента и показателя степени принятого фактора | |
a | x | ||||
1 | Патрон мембранный для тонкостенных деталей | Рукояткой рычага | 0,25...3,0 | 0,13 | 0,12 |
2 | Патрон для шлифования отверстий цилиндрических зубчатых колес с фиксацией по зубу | Рукояткой пневматического зажима | 0,5...20,0 | 0,18 | 0,26 |
3 | Скользящими планками с болтами | 0,5...20,0 | 0,57 | 0,29 | |
4 | Патрон для шлифования отверстий цилиндрических зубчатых колес с фиксацией по отверстию | Рукояткой пневматического зажима и планками | 0,5...20,0 | 0,14 | 0,27 |
5 | Скользящими планками с болтами | 0,5...20,0 | 0,44 | 0,29 | |
6 | Патрон для шлифования отверстий конических зубчатых колес | Рукояткой пневматического зажима | 0,5...20,0 | 0,14 | 0,26 |
7 | Скользящими планками с болтами | 0,5...20,0 | 0,51 | 0,29 | |
Установка и снятие детали вручную | ||||||
Приложение 32, лист 1 | ||||||
I. Установить деталь и снять вручную | ||||||
N позиции | Основные элементы приспособления | Установочная плоскость | Тип приспособления | Диапазоны массы детали, m, кг | Значение постоянного коэффициента и показателя степени принятого фактора | |
a | x | |||||
1 | Плоскость, призма | Горизонтальная | Открытый | 0,01...0,1 | 0,03 | 0,25 |
2 | 0,11...3,0 | 0,09 | 0,18 | |||
3 | 3,1...20,0 | 0,07 | 0,31 | |||
4 | 20...30 | Постоянная величина 0,22 мин. | ||||
5 | Закрытый (типа кондуктора) | 0,01...0,1 | 0,033 | 0,25 | ||
6 | 0,11...3,0 | 0,099 | 0,18 | |||
7 | 3,1...20,0 | 0,077 | 0,31 | |||
8 | 20...30 | Постоянная величина 0,23 мин. | ||||
9 | Вертикальная | Открытый | 0,01...0,1 | 0,036 | 0,25 | |
10 | 0,11...3,0 | 0,099 | 0,18 | |||
11 | 3,1...20,0 | 0,077 | 0,31 | |||
12 | 20...30 | Постоянная величина 0,23 мин. | ||||
13 | Закрытый (типа кондуктора) | 0,01...0,1 | 0,036 | 0,25 | ||
14 | 0,11...3,0 | 0,109 | 0,18 | |||
15 | 3,1...20,0 | 0,085 | 0,31 | |||
16 | 20...30 | Постоянная величина 0,29 мин. | ||||
17 | Палец, отверстия | Горизонтальная | Открытый | 0,01...0,08 | 0,033 | 0,25 |
18 | 0,081...3,0 | 0,099 | 0,18 | |||
19 | 3,1...20,0 | 0,077 | 0,31 | |||
20 | 20...30 | Постоянная величина 0,23 мин. | ||||
21 | Закрытый (типа кондуктора) | 0,01...0,08 | 0,036 | 0,25 | ||
22 | 0,081...3,0 | 0,109 | 0,18 | |||
23 | 3,1...20,0 | 0,085 | 0,31 | |||
24 | 20...30 | Постоянная величина 0,29 мин. | ||||
25 | Вертикальная | Открытый | 0,01...0,08 | 0,036 | 0,25 | |
26 | 0,081...3,0 | 0,109 | 0,18 | |||
27 | 3,1...20,0 | 0,085 | 0,31 | |||
28 | 20...30 | Постоянная величина 0,29 мин. | ||||
29 | Закрытый (типа кондуктора) | 0,01...0,08 | 0,04 | 0,25 | ||
30 | 0,081...3,0 | 0,12 | 0,18 | |||
31 | 3,1...20,0 | 0,093 | 0,31 | |||
32 | 20...30 | Постоянная величина 0,31 мин. | ||||
33 | Два пальца | Горизонтальная | Открытый | 0,01...0,08 | 0,04 | 0,25 |
34 | 0,081...3,0 | 0,12 | 0,18 | |||
35 | 3,1...20,0 | 0,093 | 0,31 | |||
36 | 20...30 | Постоянная величина 0,31 мин. | ||||
ДАННЫЕ ДЛЯ ОПРЕДЕЛЕНИЯ ВСПОМОГАТЕЛЬНОГО ВРЕМЕНИ НА УСТАНОВКУ И СНЯТИЕ ДЕТАЛИ В СПЕЦИАЛЬНЫХ ПРИСПОСОБЛЕНИЯХ | Установка и снятие детали вручную | |||||
Приложение 32, лист 2 | ||||||
N позиции | Основные элементы приспособления | Установочная плоскость | Тип приспособления | Диапазоны массы детали, m, кг | Значение постоянного коэффициента и показателя степени принятого фактора | |
a | x | |||||
37 | Два пальца | Горизонтальная | Закрытый (типа кондуктора) | 0,01...0,08 | 0,044 | 0,25 |
38 | 0,081...3,0 | 0,13 | 0,18 | |||
39 | 3,1...20,0 | 0,10 | 0,31 | |||
40 | 20...30 | Постоянная величина 0,33 мин. | ||||
41 | Вертикальная | Открытый | 0,01...0,08 | 0,044 | 0,25 | |
42 | 0,081...3,0 | 0,13 | 0,18 | |||
43 | 3,1...20,0 | 0,10 | 0,31 | |||
44 | 20...30 | Постоянная величина 0,33 мин. | ||||
45 | Закрытый (типа кондуктора) | 0,01...0,08 | 0,048 | 0,25 | ||
46 | 0,081...3,0 | 0,14 | 0,18 | |||
47 | 3,1...20,0 | 0,11 | 0,31 | |||
48 | 20...30 | Постоянная величина 0,34 мин. | ||||
49 | Центровые пробки | Горизонтальная | - | 0,01...0,08 | 0,04 | 0,25 |
50 | 0,081...3,0 | 0,12 | 0,18 | |||
51 | 3,1...30,0 | 0,09 | 0,36 | |||
52 | Удлиненный палец | Горизонтальная | - | 0,01...0,08 | 0,045 | 0,25 |
53 | 0,081...3,0 | 0,15 | 0,28 | |||
54 | 3,1...30,0 | 0,13 | 0,40 | |||
55 | При переустановке детали в многоместном приспособлении на каждую последующую деталь добавлять с базированием на | плоскость, призму | 0,01...0,05 | 0,015 | 0,34 | |
56 | 0,051...8,0 | 0,07 | 0,23 | |||
57 | 8,1...30,0 | 0,05 | 0,36 | |||
58 | палец, отверстие | 0,01...0,05 | 0,02 | 0,30 | ||
59 | 0,051...8,0 | 0,08 | 0,21 | |||
60 | 8,1...30,0 | 0,04 | 0,56 | |||
61 | два пальца | 0,01...0,05 | 0,06 | 0,36 | ||
62 | 0,051...8,0 | 0,1 | 0,23 | |||
63 | 8,1...30,0 | 0,07 | 0,36 | |||
ДАННЫЕ ДЛЯ ОПРЕДЕЛЕНИЯ ВСПОМОГАТЕЛЬНОГО ВРЕМЕНИ НА УСТАНОВКУ И СНЯТИЕ ДЕТАЛИ В СПЕЦИАЛЬНЫХ ПРИСПОСОБЛЕНИЯХ | Установка и снятие детали подъемником при станке, мостовым краном | |||||
Приложение 32, лист 3 | ||||||
II. Установить деталь и снять подъемником | ||||||
N позиции | Основные элементы приспособления | Установочная плоскость | Диапазоны массы детали, m, кг | Значение постоянного коэффициента и показателя степени принятого фактора | ||
a | x | |||||
64 | Плоскость, призма | Горизонтальная | 21...300 | 0,27 | 0,26 | |
65 | 301...600 | 0,054 | 0,54 | |||
66 | Вертикальная | 21...30 | 0,30 | 0,26 | ||
67 | Палец | Горизонтальная | 21...600 | 0,30 | 0,26 | |
68 | Вертикальная | 21...200 | 0,33 | 0,26 | ||
69 | Два выдвижных или утопающих пальца | Горизонтальная | 21...600 | 0,33 | 0,26 | |
III. Очистка приспособления от стружки | ||||||
N позиции | Наименование приемов | Диапазоны размера очищаемой поверхности, B, мм2 | Значение постоянного коэффициента и показателя степени принятого фактора | |||
a | x | |||||
70 | Очистка приспособления от стружки | сжатым воздухом щеткой или концами кантованием приспособления | 10000...500000 | 0,005 | 0,23 | |
71 | 10000...500000 | 0,012 | 0,18 | |||
72 | 10000...60000 | 0,012 | 0,13 | |||
ДАННЫЕ ДЛЯ ОПРЕДЕЛЕНИЯ ВСПОМОГАТЕЛЬНОГО ВРЕМЕНИ НА УСТАНОВКУ И СНЯТИЕ ДЕТАЛИ В СПЕЦИАЛЬНЫХ ПРИСПОСОБЛЕНИЯХ | Закрепление или открепление детали | ||||||
Приложение 32, лист 4 | |||||||
IV. Закрепление и открепление детали | |||||||
N позиции | Способ крепления | Диапазоны | Значение постоянного коэффициента и показателя степени принятого фактора | ||||
масса детали, m, кг | число зажимов, n, шт. | a | x | y | |||
73 | Рукояткой эксцентрикового или роликового зажима | 0,25...20 | 1...3 | 0,02 | 0,25 | 0,85 | |
74 | винтовым или гаечным зажимом | фасонной гайкой или штурвальной рукояткой вручную | 0,25...20 | 1...4 | 0,05 | 0,16 | 0,75 |
75 | гайкой с помощью гаечного ключа | 0,25...8,0 | 1...4 | 0,14 | 0,1 | 0,76 | |
76 | 8,1...20,0 | 1...4 | 0,12 | 0,22 | 0,76 | ||
77 | Скользящей или поворотной планкой быстросъемной шайбой | рукояткой пневматического зажима | 0,25...20 | 1...2 | 0,04 | 0,1 | 0,29 |
78 | рукояткой эксцентрикового зажима | 0,25...20 | 1...3 | 0,05 | 0,17 | 0,76 | |
79 | гайкой с помощью гаечного ключа | 0,25...20 | 1...4 | 0,125 | 0,13 | 0,74 | |
ДАННЫЕ ДЛЯ ОПРЕДЕЛЕНИЯ ВСПОМОГАТЕЛЬНОГО ВРЕМЕНИ НА УСТАНОВКУ И СНЯТИЕ ДЕТАЛИ В СПЕЦИАЛЬНЫХ ПРИСПОСОБЛЕНИЯХ | Закрепление или открепление детали | |||||||
Приложение 32, лист 5 | ||||||||
N позиции | Способ крепления | Диапазоны | Значение постоянного коэффициента и показателя степени принятого фактора | |||||
масса детали, m, кг | число зажимов, n, шт. | a | x | y | ||||
80 | Накидной крышкой | рукояткой эксцентрикового зажима | 0,25...20 | 1 | 0,063 | 0,18 | - | |
81 | винтовым зажимом или фасонной гайкой вручную | 0,25...20 | 1 | 0,08 | 0,22 | - | ||
82 | гайкой с помощью гаечного ключа | 0,25...20 | 1 | 0,15 | 0,2 | - | ||
83 | защелкой | 0,25...8 | 1 | 0,045 | 0,16 | - | ||
84 | Гидропластом с помощью винта и гаечного ключа | 1...20 | 1 | 0,15 | 0,14 | - | ||
85 | Пальцевым фиксатором или шпилькой | 1...20 | 1...2 | 0,03 | 0,22 | 0,82 | ||
86 | Клином | 1...20 | 1 | 0,12 | 0,13 | - | ||
87 | Подбивка молотком при установке детали в многоместном приспособлении | Число деталей | до 5 шт. | 0,25...8 | - | 0,03 | 0,27 | - |
88 | св. 5 шт. | 0,25...8 | - | 0,04 | 0,21 | - | ||
- для деталей массой 0,01...0,08 кг;Токарно-винторезные станки | ||||||||
Приложение 33, лист 1 | ||||||||
N позиции | Характер обработки. Способ установки инструмента на стружку | Диапазоны измеряемых размеров изделий, И, мм, до | Диапазоны наибольших диаметров изделий, устанавливаемых над станиной, D, мм, до | Значение постоянного коэффициента и показателя степени принятого фактора | ||||
a | x | y | ||||||
Обработка на станках с полуавтоматическим циклом или программным управлением | - | 250...400 | 0,0011 | - | 0,60 | |||
Продольное точение или растачивание | резцом, установленным на размер (чистовой или черновой проход), при операциях однопроходных | 25...300 | 160...250 | 0,0029 | 0,09 | 0,55 | ||
3 | 25...300 | 400...630 | 0,0013 | 0,09 | 0,67 | |||
4 | с установкой резца по лимбу или упору (черновой проход или чистовой проход грубее 1Т8 - 1Т9) | 25...300 | 160...400 | 0,01 | 0,12 | 0,38 | ||
5 | 25...300 | 630...1200 | 0,012 | 0,04 | 0,45 | |||
6 | с предварительным промером (черновой проход) | 10...100 | 160...400 | 0,0493 | 0,11 | 0,24 | ||
7 | до 100 | 630...1000 | 0,073 | 0,11 | 0,20 | |||
8 | 101...600 | 160...400 | 0,00114 | 0,42 | 0,20 | |||
101...600 | 630...1000 | 0,023 | 0,35 | 0,17 | ||||
26...600 | 1200 | 0,24 | 0,18 | - | ||||
со взятием пробных стружек | 1Т11 - 1Т13 (4 - 5 кл.) | 10...50 | 160...250 | 0,0207 | 0,01 | 0,40 | ||
12 | 51...500 | 160...400 | 0,0105 | 0,32 | 0,37 | |||
51...600 | 630...1000 | 0,046 | 0,26 | 0,20 | ||||
51...600 | 1200 | 0,22 | 0,26 | - | ||||
1Т8 - 1Т9 (3 кл.) | 10...25 | 160...400 | 0,042 | 0,08 | 0,33 | |||
16 | 26...100 | 160...1200 | 0,01 | 0,42 | 0,36 | |||
17 | 101...600 | 160...1200 | 0,0048 | 0,57 | 0,30 | |||
18 | 1Т7 (2 кл.) | 10...25 | 160...400 | 0,06 | 0,05 | 0,33 | ||
19 | 26...100 | 160...1200 | 0,01 | 0,40 | 0,40 | |||
101...600 | 160...1200 | 0,0034 | 0,62 | 0,35 | ||||
Поперечное точение | с установкой резца по лимбу или упору (черновой проход или чистовой проход грубее 0,2 мм) | - | 160...1200 | 0,0105 | - | 0,50 | ||
с предварительным промером (черновой проход) | <= 50 | 160...250 | 0,465 | 0,03 | 0,32 | |||
23 | 51...300 | 160...1200 | 0,0273 | 0,12 | 0,35 | |||
24 | 301...500 | 160...1200 | 0,032 | 0,25 | 0,22 | |||
со взятием пробной стружки (чистовой проход) | 50...500 | 160...1200 | 0,0145 | 0,23 | 0,40 | |||
Обработка конуса (от верхней части суппорта установленного на угол) | без измерения | - | 160...250 | 0,052 | - | 0,18 | ||
27 | - | 400...1200 | 0,0067 | - | 0,54 | |||
28 | с измерением | - | 160...250 | 0,111 | - | 0,16 | ||
29 | - | 400...1200 | 0,024 | - | 0,44 | |||
30 | Точение или растачивание с одновременной проточкой торца | по упору или лимбу грубо | - | 160...400 | 0,0223 | - | 0,37 | |
31 | по лимбу с точностью <= 0,2 мм | - | 160...400 | 0,017 | - | 0,44 | ||
32 | Внутренняя подрезка торца | без измерения | - | 160...400 | 0,0322 | - | 0,31 | |
33 | - | 630...1200 | 0,0114 | - | 0,50 | |||
34 | с измерением длины расположения размера | - | 160...1200 | 0,0081 | - | 0,28 | ||
35 | - | 630...1200 | 0,0081 | - | 0,50 | |||
36 | Проточка пазов, канавок, отрезка | наружная обработка | без измерения | - | 160...1200 | 0,0081 | - | 0,45 |
37 | с измерением длины расположения размера | - | 160...1200 | 0,026 | - | 0,38 | ||
38 | внутренняя | без измерения | - | 160...400 | 0,026 | - | 0,33 | |
39 | - | 630...1200 | 0,007 | 0,08 | 0,56 | |||
ДАННЫЕ ДЛЯ ОПРЕДЕЛЕНИЯ ВСПОМОГАТЕЛЬНОГО ВРЕМЕНИ, СВЯЗАННОГО С ПЕРЕХОДОМ | Токарно-винторезные станки | |||||||||
Приложение 33, лист 2 | ||||||||||
N позиции | Характер обработки. Способ установки инструмента на стружку | Диапазоны измеряемых размеров изделий, И, мм, до | Диапазоны наибольших диаметров изделий, устанавливаемых над станиной, D, мм, до | Значение постоянного коэффициента и показателя степени принятого фактора | ||||||
a | x | y | ||||||||
40 | Проточка пазов, канавок, отрезка | внутренняя обработка | с измерением длины расположения размера | - | 160...400 | 0,0652 | - | 0,26 | ||
- | 630...1200 | 0,021 | - | 0,46 | ||||||
Нарезание резьбы резцом | черновой проход | 25...100 | 160...630 | 0,0049 | - | 0,52 | ||||
43 | чистовой проход 1Т8 - 1Т9 (3 кл.) | 25...250 | 160...630 | 0,0118 | 0,40 | 0,27 | ||||
44 | чистовой проход 1Т7 (2 кл.) | 25...100 | 160...630 | 0,0196 | 0,35 | 0,25 | ||||
101...250 | 160...630 | 0,0122 | 0,60 | 0,12 | ||||||
Нарезание резьбы метчиком, плашкой от задней бабки | - | 160...630 | 0,0143 | - | 0,42 | |||||
Сверление | Диаметр сверла, d, мм, до | 5 | Длина отверстия, l, мм, до | 25...40 | - | 160...400 | 0,0053 | 0,76 | 0,43 | |
св. 40 | - | 160...400 | 0,04 | - | 0,43 | |||||
10 | 50...80 | - | 160...630 | 0,0018 | 1,15 | 0,43 | ||||
св. 80 | - | 160...630 | 0,027 | - | 0,43 | |||||
51 | 30 | 150 | - | 160...630 | 0,0053 | 0,76 | 0,43 | |||
52 | св. 150 | - | 400...630 | 0,034 | - | 0,43 | ||||
53 | Рассверливание, зенкирование, зенкование, развертывание | - | 160...630 | 0,015 | - | 0,33 | ||||
54 | Обточка профильная, обточка фасок или галтелей | без измерения | - | 160...630 | 0,0045 | - | 0,53 | |||
55 | - | 1000...1200 | 0,00004 | - | 1,2 | |||||
56 | с измерением с точностью | > 0,15 мм | - | 160...400 | 0,0655 | - | 0,20 | |||
57 | - | 630...1200 | 0,026 | - | 0,36 | |||||
58 | <= 0,15 мм | - | 160...400 | 0,076 | - | 0,20 | ||||
59 | - | 630...1200 | 0,028 | - | 0,36 | |||||
60 | Накатывание рифлений | с продольной подачей | - | 160...1200 | 0,011 | - | 0,50 | |||
с поперечной подачей | - | 160...1200 | 0,0070 | - | 0,52 | |||||
ДАННЫЕ ДЛЯ ОПРЕДЕЛЕНИЯ ВСПОМОГАТЕЛЬНОГО ВРЕМЕНИ, СВЯЗАННОГО С ПЕРЕХОДОМ (время на приемы, связанные с переходом, не вошедшие в комплексы) | Токарно-винторезные станки | ||||||
Приложение 33, лист 3 | |||||||
N позиции | Наименование приемов | Диапазоны наибольших диаметров изделия, устанавливаемого над станиной, D, мм, до | Диапазон длины перемещения, l, мм, до | Значение постоянного коэффициента и показателя степени принятого фактора | |||
a | x | ||||||
Изменить число оборотов шпинделя | 160...1200 | - | 0,013 | 0,30 | |||
63 | Изменить величину или направление подачи | 160...1200 | - | 0,006 | 0,37 | ||
64 | Сменить резец поворотом резцовой головки | 160...1200 | - | 0,0092 | 0,35 | ||
Установить и снять инструмент | резец | проходной, подрезной, расточный | 160...1000 | - | 0,0535 | 0,37 | |
66 | 1001...1200 | - | Постоянная величина 1,0 мин. | ||||
резьбовой, отрезной, фасонный | 160...1200 | - | 0,031 | 0,54 | |||
68 | сверло, зенкер, развертку | 160...630 | - | 0,006 | 0,50 | ||
69 | метчик или плашку в державке | 160...630 | - | 0,0135 | 0,38 | ||
ДАННЫЕ ДЛЯ ОПРЕДЕЛЕНИЯ ВСПОМОГАТЕЛЬНОГО ВРЕМЕНИ, СВЯЗАННОГО С ПЕРЕХОДОМ (время на приемы, связанные с переходом, не вошедшие в комплексы) | Токарно-винторезные станки | ||||
Приложение 33, лист 4 | |||||
N позиции | Наименование приемов | Диапазоны наибольших диаметров изделия, устанавливаемого над станиной, D, мм, до | Диапазон длины перемещения, l, мм, до | Значение постоянного коэффициента и показателя степени принятого фактора | |
a | x | ||||
70 | Закрепить или открепить каретку суппорта | 160...1200 | - | 0,003 | 0,43 |
71 | Включить гайку ходового винта в начале и выключить по окончании нарезания резьбы | 250...630 | - | 0,0035 | 0,43 |
72 | Произвести деление на другой заход при нарезании многозаходной резьбы специальным делительным приспособлением | 160...630 | - | 0,008 | 0,35 |
73 | Повернуть верхнюю часть суппорта с возвратом в первоначальное положение | 160...1200 | - | 0,333 | 0,23 |
74 | Включить тормоз шпинделя | 400...1200 | - | 0,0058 | 0,60 |
75 | Поставить или снять вкладыш упора | 160...630 | - | 0,0136 | 0,24 |
Закрыть или открыть щиток ограждения от стружки | 160...1200 | - | 0,0028 | 0,39 | |
77 | Переместить каретку суппорта в продольном направлении на длину свыше 200 мм (а для станков I, II группы на длину свыше 50 мм) | 160...1200 | 100...3000 | См. время по карте 20, лист 4, | |
78 | Переместить суппорт в поперечном направлении на длину свыше 100 мм (а для станков I, II группы на длину свыше 25 мм) | 160...1200 | 50...60 | См. время по карте 20, лист 4, | |
ДАННЫЕ ДЛЯ ОПРЕДЕЛЕНИЯ ВСПОМОГАТЕЛЬНОГО ВРЕМЕНИ, СВЯЗАННОГО С ПЕРЕХОДОМ (время на приемы, связанные с переходом, не вошедшие в комплексы) | Токарно-винторезные станки | |||||||
Приложение 33, лист 5 | ||||||||
N позиции | Наименование приемов | Диапазон скорости воспроизведения программы, v, м/мин. | Диапазон времени автоматической работы станка, Tавт, мин. | Значение постоянного коэффициента и показателя степени принятого фактора | ||||
a | x | y | ||||||
79 | Включить или выключить пульт лентопротяжного механизма | - | - | Постоянная величина 0,02 мин. | ||||
80 | Передвинуть перфоленту в исходное положение | - | - | Постоянная величина 0,25 мин. | ||||
81 | Установить координаты x, y (на 100 мм) | - | - | Постоянная величина 0,15 мин. | ||||
82 | Ввести коррекцию (на 1 корректор) | - | - | Постоянная величина 0,04 мин. | ||||
Перемотать магнитную ленту со скоростью перемотки 300 м/мин. | 3...12 | 2...120 | 0,0033 | 1,0 | 1,0 | |||
Перемотать перфорированную ленту | Вид перемотки | автоматическая | Длина ленты, l, м | 2...15 | 0,0231 | 0,98 | - | |
ручная | 2...10 | 0,5029 | 0,53 | - | ||||
Лоботокарные станки | |||||||||
Приложение 34, лист 1 | |||||||||
N позиции | Характер обработки. Способ установки инструмента на стружку | Диапазоны наибольших диаметров обрабатываемого изделия, D, мм | Диапазоны измеряемых размеров, И, мм | Значение постоянного коэффициента и показателя степени принятого фактора | |||||
a | x | y | |||||||
Продольное точение или растачивание | резцом, установленным на размер | 800...2000 | - | 0,0197 | 0,38 | - | |||
с установкой резца по лимбу (черновой проход) | 800...2000 | - | 0,0276 | 0,38 | - | ||||
с предварительным промером (черновой проход) | 800...2000 | 300...2000 | 0,05 | 0,18 | 0,23 | ||||
4 | со взятием пробных стружек (чистовой проход) | квалитет (класс точности) | 1Т7 (2 кл.) | 800...2000 | 500...1000 | 0,0191 | 0,25 | 0,41 | |
5 | 1001...2000 | 0,0018 | 0,25 | 0,75 | |||||
6 | 1Т8 - 1Т9 (3 кл.) | 800...2000 | 300...500 | 0,0029 | 0,25 | 0,68 | |||
7 | 501...2000 | 0,0176 | 0,25 | 0,4 | |||||
1Т11 - 1Т13 (4 - 5 кл.) | 800...2000 | 300...2000 | 0,0127 | 0,25 | 0,4 | ||||
Поперечное точение | с установкой резца по лимбу (черновой проход) | 800...2000 | - | 0,019 | 0,44 | - | |||
с предварительным промером (черновой проход) | 800...2000 | 300...2000 | 0,026 | 0,28 | 0,23 | ||||
со взятием пробных стружек (чистовой проход) | 800...2000 | 500...1000 | 0,0127 | 0,25 | 0,4 | ||||
Обработка конуса | без измерения | 800...2000 | - | 0,0219 | 0,4 | - | |||
13 | с измерением | 800...2000 | - | 0,1182 | 0,23 | - | |||
14 | Внутренняя подрезка торца | без измерения | 800...2000 | - | 0,0363 | 0,38 | - | ||
15 | с измерением | 800...2000 | - | 0,067 | 0,34 | - | |||
16 | Проточка пазов, канавок, отрезка | наружных | без измерения | 800...2000 | - | 0,018 | 0,38 | - | |
17 | с измерением длины расположения размера | 0,0412 | 0,34 | - | |||||
18 | внутренних | без измерения | 800...2000 | - | 0,0212 | 0,45 | - | ||
19 | с измерением длины расположения размера | 0,473 | 0,38 | - | |||||
20 | Обточка профильная, обточка фасок или галтелей | без измерения | 800...2000 | - | 0,0173 | 0,38 | - | ||
21 | с измерением с точностью | <= 0,15 мм | 800...2000 | 0,06 | 0,28 | - | |||
22 | > 0,15 мм | 0,0424 | 0,32 | ||||||
ДАННЫЕ ДЛЯ ОПРЕДЕЛЕНИЯ ВСПОМОГАТЕЛЬНОГО ВРЕМЕНИ, СВЯЗАННОГО С ПЕРЕХОДОМ | Лоботокарные станки | ||||||
Приложение 34, лист 2 | |||||||
Данные для определения вспомогательного времени на приемы, связанные с переходом, не вошедшие в комплексы | |||||||
N позиции | Наименование приемов | Диапазоны наибольших диаметров обрабатываемого изделия, D, мм | Диапазоны измеряемых размеров, И, мм | Значение постоянного коэффициента и показателя степени принятого фактора | |||
a | x | y | |||||
23 | Изменить число оборотов планшайбы или величину подачи | 800...2000 | - | 0,0121 | 0,3 | - | |
24 | Сменить инструмент поворотом резцовой головки | 800...2000 | - | 0,009 | 0,36 | - | |
25 | Установить и снять резец | проходной, подрезной, расточной | 800...2000 | - | 0,121 | 0,3 | - |
26 | прорезной, широкий, фасонный | 800...2000 | - | 0,0071 | 0,74 | - | |
27 | Повергнуть суппорт на угол с возвратом в первоначальное положение | грубо | 800...2000 | - | 0,0107 | 0,74 | - |
точно | 800...2000 | - | 0,0812 | 0,54 | - | ||
29 | Переместить каретку суппорта в продольном направлении на длину свыше 500 мм | 800...2000 | 750...3000 | См. время в карте 21, | |||
30 | Переместить суппорт в поперечном направлении на длину свыше 200 мм | 800...2000 | 300...500 | См. время в карте 21, | |||
Токарно-карусельные станки | |||||||||
Приложение 35, лист 1 | |||||||||
N позиции | Характер обработки. Способ установки на стружку | Диапазоны наибольших диаметров обрабатываемого изделия, Д, мм | Диапазоны измеряемых размеров, И, мм | Значение постоянного коэффициента и показателя степени принятого фактора | |||||
a | x | y | |||||||
Продольное или поперечное точение и растачивание | с установкой резца по лимбу (черновой проход) | 800...2500 | - | 0,0386 | 0,31 | - | |||
с предварительным промером (черновой проход) | 800...2500 | 500...1500 | 0,0267 | 0,23 | 0,25 | ||||
3 | со взятием пробных стружек (чистовой проход) | квалитет (класс точности) | 1Т11 - 1Т13 <= 0,5 мм <*> (4 - 5 кл.) | 800...2500 | 100...500 | 0,0549 | 0,24 | 0,17 | |
4 | 501...1500 | 0,0851 | 0,24 | 0,47 | |||||
5 | 1Т8 - 1Т9 (3 кл.) | 800...2500 | 100...250 | 0,0862 | 0,24 | 0,1 | |||
6 | 251...1500 | 0,0112 | 0,24 | 0,47 | |||||
1Т7 (2 кл.) | 800...2500 | 500...1500 | 0,0113 | 0,22 | 0,53 | ||||
Проточка пазов | без измерения | 800...2500 | - | 0,09 | 0,26 | - | |||
9 | с измерением длины расположения размера | 800...2500 | - | 0,0695 | 0,29 | - | |||
10 | Проточка профильная, проточка фасок или галтелей | без измерения | 800...2500 | - | 0,0031 | 0,39 | - | ||
11 | с измерением с точностью | <= 0,15 мм | 800...2500 | - | 0,0933 | 0,18 | - | ||
12 | > 0,15 мм | 800...2500 | - | 0,0655 | 0,21 | - | |||
13 | Сверление, зенкерование, развертывание | 800...2500 | - | 0,0368 | 0,32 | - | |||
ДАННЫЕ ДЛЯ ОПРЕДЕЛЕНИЯ ВСПОМОГАТЕЛЬНОГО ВРЕМЕНИ, СВЯЗАННОГО С ПЕРЕХОДОМ | Токарно-карусельные станки | ||||||
Приложение 35, лист 2 | |||||||
Данные для определения вспомогательного времени на приемы, связанные с переходом, не вошедшие в комплексы | |||||||
N позиции | Наименование приемов | Диапазоны наибольших диаметров обрабатываемого изделия, Д, мм | Диапазоны измеряемых размеров, И, мм | Значение постоянного коэффициента и показателя степени принятого фактора | |||
a | x | y | |||||
14 | Изменить число оборотов планшайбы или величину подачи | - | 0,0537 | 0,40 | - | ||
15 | сменить инструмент поворотом резцовой головки | - | 0,00928 | 0,35 | - | ||
16 | Установить и снять инструмент | резец | проходной, подрезной, расточной | - | 0,0577 | 0,39 | - |
17 | прорезной, широкий, фасонный | - | 0,0173 | 0,61 | - | ||
18 | сверло, зенкер, развертку | - | 0,0161 | 0,40 | - | ||
19 | Повернуть суппорт на угол с возвратом в первоначальное положение | грубо | - | 0,044 | 0,53 | - | |
точно | - | 0,144 | 0,45 | - | |||
Горизонтально-расточные станки с неподвижной стойкой и поворотным столом | |||||||||
Приложение 36, лист 1 | |||||||||
Данные для определения вспомогательного времени на приемы, связанные с переходом, не вошедшие в комплексы | |||||||||
N позиции | База для совмещения оси шпинделя с осью обрабатываемого отверстия | Способ совмещения и измерения | Перемещение шпинделя и стола в плоскостях | Точность межцентрового расстояния, | Диапазоны диаметров шпинделя, D, мм | Диапазоны длин перемещения частей стола, l, мм | Значение постоянного коэффициента и показателя степени принятого фактора | ||
a | x | y | |||||||
Отверстие кондуктора | По индикатору | Одной | - | 65...160 | 300...1000 | 0,343 | 0,4 | 0,09 | |
2 | Двух | 0,445 | 0,4 | 0,09 | |||||
3 | По кондукторной втулке и контрольной оправке | Одной | - | 65...160 | 300...1000 | 0,157 | 0,32 | 0,17 | |
4 | Двух | 0,21720 | 0,32 | 0,17 | |||||
5 | Борштанга, установленная в кондукторе на опорах | Соединение шпинделя станка с борштангой | Одной | - | 65...160 | 300...600 | 0,0046 | 0,39 | 0,5 |
6 | Двух | 65...110 | 0,0092 | 0,27 | 0,52 | ||||
7 | 160 | 0,0012 | 0,7 | 0,52 | |||||
8 | Размеченная окружность необработанного отверстия | Иглой в шпинделе по размеченной окружности | Одной | 1,0 | 65...160 | 300...1000 | 0,124 | 0,39 | 0,17 |
9 | Двух | 0,087 | 0,42 | 0,25 | |||||
10 | Обработанное отверстие | По нониусной или масштабной линейке | Одной | 0,3 | 65...160 | 300...1000 | 0,0484 | 0,39 | 0,27 |
11 | Двух | 0,098 | 0,39 | 0,22 | |||||
12 | Одной | 1,0 | 65...160 | 300...1000 | 0,00286 | 0,24 | 0,66 | ||
13 | Двух | 0,00171 | 0,3 | 0,74 | |||||
14 | По консольной оправке | Одной | - | 65...160 | 300...1000 | 0,00286 | 0,24 | 0,66 | |
15 | Двух | 0,00171 | 0,3 | 0,74 | |||||
ДАННЫЕ ДЛЯ ОПРЕДЕЛЕНИЯ ВСПОМОГАТЕЛЬНОГО ВРЕМЕНИ, СВЯЗАННОГО С ПЕРЕХОДОМ, НА СОВМЕЩЕНИЕ ОСИ ШПИНДЕЛЯ С ОСЬЮ ОБРАБАТЫВАЕМОГО ОТВЕРСТИЯ | Горизонтально-расточные станки с неподвижной стойкой и поворотным столом | |||||||||
Приложение 36, лист 2 | ||||||||||
N позиции | База для совмещения оси шпинделя с осью обрабатываемого отверстия | Способ совмещения и измерения | Перемещение шпинделя и стола в плоскостях | Точность межцентрового расстояния, | Диапазоны диаметров шпинделя, D, мм | Диапазоны длин перемещения частей стола, l, мм | Значение постоянного коэффициента и показателя степени принятого фактора | |||
a | x | y | ||||||||
16 | Наружная боковая плоскость детали | По нониусной или масштабной линейке | Одной | 0,3 | 65...110 | 300...1000 | 0,063 | 0,35 | 0,25 | |
17 | Двух | 0,0943 | 0,35 | 0,25 | ||||||
18 | Одной | 0,1 | 65...160 | 300...1000 | 0,00286 | 0,24 | 0,66 | |||
Двух | 0,00172 | 0,3 | 0,74 | |||||||
Повернуть стол на угол при совмещении оси в другой плоскости с откреплением и закреплением | Угол поворота, | 90° | - | - | 65...110 | - | 0,333 | 0,24 | - | |
21 | 160 | - | 0,14 | 0,49 | - | |||||
22 | 180° | - | - | 65...110 | - | 0,5117 | 0,24 | - | ||
23 | 160 | - | 0,1998 | 0,49 | - | |||||
24 | Закрепить или открепить шпиндельную бабку | Способ закрепления или открепления | рычагом | - | - | 65...160 | - | 0,0198 | 0,27 | - |
гайкой | - | - | 65...160 | - | 0,00985 | 0,63 | - | |||
ДАННЫЕ ДЛЯ ОПРЕДЕЛЕНИЯ ВСПОМОГАТЕЛЬНОГО ВРЕМЕНИ, СВЯЗАННОГО С ПЕРЕХОДОМ | Горизонтально-расточные станки с неподвижной стойкой и поворотным столом | |||||||
Приложение 36, лист 3 | ||||||||
N позиции | Характер обработки. Способ установки инструмента на стружку | Диапазоны диаметров шпинделя, D, мм | Диапазоны измеряемых размеров, И, мм | Значение постоянного коэффициента и показателя степени принятого фактора | ||||
a | x | y | ||||||
Растачивание отверстий | резцом, установленным на размер по шаблону (черновой проход) | 65...160 | - | 0,0745 | 0,44 | - | ||
резцом со взятием пробной стружки (предчистовой проход) | 65...160 | 100...св. 300 | 0,1196 | 0,32 | 0,17 | |||
мерной расточной пластиной или двусторонним резцом (чистовой проход) | 65...160 | - | 0,0368 | 0,36 | - | |||
расточной пластиной, зенковой | 65...160 | - | 0,0367 | 0,33 | - | |||
Подрезка торцов | резцом в резце-держателе на планшайбе | по лимбу или разметке | 65...160 | - | 0,0448 | 0,5 | - | |
со взятием пробной стружки | 65...160 | 300...св. 300 | 0,0789 | 0,37 | 0,14 | |||
Прорезка пазов | без измерения | 65...160 | - | 0,0829 | 0,34 | - | ||
33 | с измерением длины расположения размера | 65...160 | - | 0,1279 | 0,35 | - | ||
34 | Сверление отверстий | обрабатываемый материал | сталь | 65...160 | 5d | 0,0381 | 0,5 | - |
35 | 8d | 0,0562 | 0,5 | - | ||||
36 | Св. 8d | 0,0763 | 0,5 | - | ||||
37 | чугун | 65...160 | 5d | 0,0335 | 0,4 | - | ||
38 | Св. 5d | 0,0625 | 0,4 | - | ||||
39 | Рассверливание, зенкерование, развертывание | 65...160 | - | 0,0368 | 0,36 | - | ||
Фрезерование плоскостей и пазов | по разметке | 65...160 | - | 0,09 | 0,4 | - | ||
со взятием пробной стружки | 65...160 | 300...св. 300 | 0,049 | 0,48 | 0,14 | |||
ДАННЫЕ ДЛЯ ОПРЕДЕЛЕНИЯ ВСПОМОГАТЕЛЬНОГО ВРЕМЕНИ, СВЯЗАННОГО С ПЕРЕХОДОМ, НЕ ВОШЕДШИЕ В КОМПЛЕКСЫ | Горизонтально-расточные станки с неподвижной стойкой и поворотным столом | ||||||||
Приложение 36, лист 4 | |||||||||
N позиции | Наименование приемов. Способ установки приспособлений и инструмента | Диапазоны диаметров шпинделя, D, мм | Диапазоны измеряемых размеров, И, мм | Значение постоянного коэффициента и показателя степени принятого фактора | |||||
a | x | y | |||||||
Изменить число оборотов шпинделя | 65...160 | - | 0,0193 | 0,36 | - | ||||
Изменить величину подачи | 65...160 | - | 0,0214 | 0,28 | - | ||||
44 | Изменить направление вращения шпинделя | 65...110 | - | Постоянная величина, мин. | 0,04 | ||||
160 | - | 0,05 | |||||||
45 | Изменить направление подачи | 65...110 | - | 0,04 | |||||
160 | - | 0,05 | |||||||
Установить и снять борштангу | в конус шпинделя | без крепления | 65...160 | - | 0,0242 | 0,7 | - | ||
с креплением | 65...160 | - | 0,133 | 0,5 | - | ||||
в конус шпинделя и втулку кондуктора | вручную | 65...160 | - | 1,07 | 0,36 | - | |||
49 | краном | 160 | - | Постоянная величина, мин. | 11,0 | ||||
в конус шпинделя и втулку кондуктора | вручную | 65...160 | - | 0,168 | 0,64 | - | |||
краном | 0,346 | 0,64 | - | ||||||
Установить и снять инструмент | в борштанге | резец с установкой на размер по шаблону или линейке | 65...160 | - | 0,156 | 0,32 | - | ||
расточная пластина, резец мерный двусторонний | 65...160 | <= 200 | 0,0441 | 0,34 | 0,22 | ||||
54 | > 200 | 0,00204 | 0,34 | 0,8 | |||||
зенкер, развертка, расточная резцовая головка | 65...160 | 100...200 | 0,00046 | 0,46 | 1,5 | ||||
расточная резцовая головка разъемная | вручную | 65...160 | - | 0,114 | 0,42 | - | |||
57 | краном | 110...160 | - | 0,949 | 0,23 | - | |||
58 | в конус шпинделя | без крепления | 65...160 | - | 0,0287 | 0,56 | - | ||
59 | с креплением | 65...160 | - | 0,0281 | 0,64 | - | |||
60 | в резцедержателе на планшайбе-резец | проходной | 65...160 | - | 0,612 | 0,16 | - | ||
61 | подрезной | 65...160 | - | 0,518 | 0,16 | - | |||
62 | Установить и снять кондукторную втулку | 65...160 | <= 80 | 0,0105 | 0,69 | - | |||
65...160 | > 80 | 0,00347 | 0,84 | - | |||||
64 | Переместить (выдвинуть) шпиндель на длину свыше 200 мм | 65...160 | 300 | Постоянная величина, мин. | 0,03 | ||||
65...160 | 500 | 0,08 | |||||||
110...160 | 800 | 0,16 | |||||||
65 | Переместить стол на длину свыше 200 мм | 65...110 | 300 | 0,04 | |||||
160 | 0,07 | ||||||||
65...110 | 500 | 0,10 | |||||||
160 | 0,16 | ||||||||
65...110 | 750 | 0,19 | |||||||
160 | 0,30 | ||||||||
110 | 1000 | 0,29 | |||||||
160 | 0,47 | ||||||||
Токарно-револьверные станки | |||||||||
Приложение 37, лист 1 | |||||||||
N позиции | Характер обработки. Способ установки инструмента на стружку | Вид подачи | Диапазоны наибольших диаметров обрабатываемых прутков, d, мм, до | Значение постоянного коэффициента и показателя степени принятого фактора | |||||
a | x | ||||||||
I. Станки с вертикальной осью вращения револьверной головки | |||||||||
Обработка на станках с полуавтоматическим циклом | - | 10...125 | 0,0023 | 0,67 | |||||
2 | Работа револьверной головкой | обработка с продольной подачей | Механическая | 10...125 | 0,0256 | 0,36 | |||
3 | Ручная | 0,0214 | 0,36 | ||||||
4 | обработка с продольной подачей и предварительным врезанием | Механическая | 40...125 | 0,0537 | 0,32 | ||||
5 | Ручная | 40...80 | 0,0443 | 0,32 | |||||
6 | Работа суппортом | обработка с продольной или поперечной подачей | с установкой резца | по упору или без выдерживания размера | Механическая | 10...125 | 0,032 | 0,4 | |
7 | Ручная | 0,0274 | 0,4 | ||||||
8 | по лимбу | Механическая | 40...125 | 0,0362 | 0,4 | ||||
Ручная | 0,0333 | 0,4 | |||||||
10 | с пробной стружкой (для обработки по 1Т9 - 1Т11) при диаметре, мм | 100...200 | Механическая | 80 | Постоянная величина, мин. | 0,46 | |||
125 | 0,60 | ||||||||
11 | св. 200 | 80 | 0,50 | ||||||
125 | 0,65 | ||||||||
Нарезание крепежной резьбы | резьбонарезной самооткрывающейся головкой | - | 10...125 | 0,0371 | 0,36 | ||||
13 | метчиком или плашкой | - | 0,0448 | 0,36 | |||||
II. Станки с горизонтальной осью вращения револьверной головки | |||||||||
14 | Обработка с продольной подачей | Механическая | 10...80 | 0,024 | 0,41 | ||||
15 | Ручная | 0,02 | 0,4 | ||||||
16 | Обработка с продольной подачей и предварительным врезанием | Механическая | 10...80 | 0,0325 | 0,43 | ||||
17 | Ручная | 10...40 | 0,0288 | 0,43 | |||||
18 | Обработка с поперечной подачей | с подводом револьверной головки | Механическая | 10...80 | 0,0325 | 0,43 | |||
19 | Ручная | 10...40 | 0,0288 | 0,43 | |||||
20 | без подвода револьверной головки | Механическая | 80 | 0,0069 | 0,72 | ||||
0,0367 | 0,27 | ||||||||
21 | Ручная | 10...40 | 0,0017 | 1,00 | |||||
80 | 0,0294 | 0,27 | |||||||
22 | Нарезание крепежной резьбы | резьбонарезной самооткрывающейся головкой | - | 10...80 | 0,0371 | 0,36 | |||
23 | метчиком или плашкой | - | 0,0448 | 0,36 | |||||
Нарезание конической резьбы резцом с копирным устройством | первый проход | - | 10...40 | 0,0095 | 0,66 | ||||
80 | 0,0276 | 0,37 | |||||||
25 | каждый последующий проход | - | 10...25 | Постоянная величина, равная, мин. | 0,02 | ||||
40 | 0,03 | ||||||||
80 | 0,03 | ||||||||
Время на приемы, связанные с переходом, не вошедшие в комплексы | |||||||||
Изменить число оборотов шпинделя | - | 10...125 | 0,0165 | 0,3 | |||||
27 | Изменить величину подачи | - | 10...125 | 0,0079 | 0,42 | ||||
Сменить резец поворотом резцовой головки суппорта | - | 40...125 | 0,0068 | 0,48 | |||||
ДАННЫЕ ДЛЯ ОПРЕДЕЛЕНИЯ ВСПОМОГАТЕЛЬНОГО ВРЕМЕНИ, СВЯЗАННОГО С ПЕРЕХОДОМ | Токарно-револьверные станки | |||||||
Приложение 37, лист 2 | ||||||||
N позиции | Характер обработки. Способ установки инструмента на стружку | Вид подачи | Диапазоны наибольших диаметров обрабатываемых прутков, d, мм, до | Значение постоянного коэффициента и показателя степени принятого фактора | ||||
a | x | |||||||
29 | Повернуть ручной упор | - | 40...125 | Постоянная величина, 0,02 мин. | ||||
Закрепить или открепить каретку от продольного перемещения | - | 40...125 | 0,0057 | 0,45 | ||||
31 | Закрепить или открепить револьверную головку от продольного перемещения | - | 40 | Постоянная величина, мин. | 0,03 | |||
80 | 0,04 | |||||||
32 | Смазать деталь, развертку, метчик | - | 10...25 | 0,03 | ||||
40...80 | 0,04 | |||||||
125 | 0,05 | |||||||
33 | Переместить каретку суппорта в продольном направлении на длину свыше 100 мм | Длина перемещения, l, мм, до | 200 | - | 40...155 | См. время по карте 24 поз. 33, 34 | ||
34 | 300 | - | 80...125 | |||||
35 | Переместить суппорт в поперечном направления на длину свыше 50 мм | 100 | - | 10...125 | См. время по карте 24 поз. 35, 36 | |||
36 | 200 | - | 125 | |||||
37 | Вводы и выводы сверла для удаления стружки | Длина сверления в диаметрах сверла | 3d...10d | Ручная Механическая | Диаметр сверления | 10 | См. время по карте 24 поз. 37...45 | |
10...30 | ||||||||
Вертикально- и радиально-сверлильные станки | |||||||
Приложение 38, лист 1 | |||||||
N позиции | Характер обработки | Вид подачи | Диапазоны наибольших диаметров сверления, d, мм | Диапазоны перемещения инструмента для обработки следующего отверстия, l, км | Значение постоянного коэффициента и показателя степени принятого фактора | ||
a | x | y | |||||
Обработка на станках с полуавтоматическим циклом или программным управлением | - | Постоянная величина | |||||
6...12 | - | 0,02 мин. | - | - | |||
35...75 | - | 0,0013 | 0,88 | - | |||
Сверление по разметке | Механическая | 6...100 | 0 | 0,018 | 0,46 | - | |
6...100 | 200...1000 | 0,0045 | 0,56 | 0,23 | |||
Ручная | 6...100 | 0 | 0,018 | 0,4 | - | ||
6...100 | 200...1000 | 0,0045 | 0,49 | 0,25 | |||
Сверление по кондуктору, рассверливание, зенкерование, развертывание, растачивание | Механическая | 6...100 | 0 | 0,0185 | 0,41 | - | |
6...100 | 200...1000 | 0,0059 | 0,46 | 0,23 | |||
Ручная | 6...100 | 0 | 0,0141 | 0,41 | - | ||
6...100 | 200...1000 | 0,0031 | 0,54 | 0,26 | |||
Зенкование, цехование | Верхней плоскости | 6...100 | 0 | 0,0141 | 0,41 | - | |
6...100 | 200...1000 | 0,0031 | 0,54 | 0,26 | |||
Нижней плоскости | 6...100 | 0 | 0,1646 | 0,2 | - | ||
6...100 | 200...1000 | 0,094 | 0,24 | 0,09 | |||
Нарезание резьбы машинными метчиками | Без реверса | 6..100 | 0 | 0,0141 | 0,41 | - | |
- | 200...1000 | 0,0031 | 0,54 | 0,26 | |||
ДАННЫЕ ДЛЯ ОПРЕДЕЛЕНИЯ ВСПОМОГАТЕЛЬНОГО ВРЕМЕНИ, СВЯЗАННОГО С ПЕРЕВОДОМ | Вертикально- и радиально-сверлильные станки | ||||||||
Приложение 38, лист 2 | |||||||||
N позиции | Характер обработки | Вид подачи | Диапазоны наибольших диаметров сверления, d, мм | Диапазоны длин горизонтального перемещения инструмента для обработки следующего отверстия, l, мм | Значение постоянного коэффициента и показателя степени принятого фактора | ||||
a | x | y | |||||||
Нарезание резьбы машинными метчиками | С реверсом | 6...100 | 0 | 0,034 | 0,38 | - | |||
200... 1000 | 0,0123 | 0,44 | 0,18 | ||||||
Сверление с предварительной засверловкой отверстия по кондукторной втулке и последующее сверление без втулки | Механическая | 35...75 | 0 | 0,037 | 0,41 | - | |||
Ручная | 35...75 | 0 | 0,0282 | 0,41 | - | ||||
20 | Приемы, связанные с переходом, не вошедшие в комплексы | 6...100 | - | См. время по карте 25 поз. 10...45 | |||||
Перемотать магнитную ленту со скоростью перемотки 300 м/мин. | Скорость воспроизведения программы, V, м/мин. | 3 | Время автоматической работы станка, Tавт, мин. | 2...120 | 0,0033 | 1,00 | 1,00 | ||
12 | |||||||||
Перемотать перфорированную ленту | Вид перемотки | автоматическая ручная | Длина ленты, l1, м | 2...15 | 0,0231 | 0,98 | - | ||
0,5029 | 0,53 | - | |||||||
23 | Вводы и выводы сверла при сверлении для удаления стружки | 6...100 | 3...450 (длина сверления) | См. время по карте 25 поз. 50...60 | |||||
24 | Нарезание резьбы в гайках гаечным метчиком | 6...100 | - | См. время на операцию по карте 25 поз. 61...70 | |||||
Станки для глубокого сверления и растачивания | ||||||||||||
Приложение 39, лист 1 | ||||||||||||
N позиции | Характер обработки | Диапазоны длины отверстия, l, м | Диапазоны наибольших наружных диаметров устанавливаемого изделия, D, мм | Диапазоны диаметров обрабатываемых отверстий, d, мм | Диапазон числа проходов, n, шт. | Значение постоянного коэффициента и показателя степени принятого фактора | ||||||
a | x | y | z | q | ||||||||
Сплошное сверление | при наличии захода | без замены головки | 0,5...5 | 200...1200 | 10...400 | - | 0,047 | 0,21 | 0,46 | 0,19 | - | |
> 5 | 200...1200 | 10...400 | - | 0,083 | - | 0,46 | 0,19 | - | ||||
с засверливанием | 0,5...5 | 200...1200 | 10...400 | - | 0,068 | 0,15 | 0,43 | 0,19 | - | |||
> 5 | 200...1200 | 100...400 | - | 0,093 | - | 0,46 | 0,19 | - | ||||
замена головки | - | 200...1200 | 10...400 | - | 0,107 | - | 0,43 | 0,20 | - | |||
с засверливанием и растачиванием захода | без замены головки | 0,5...5 | 200...1200 | 10...400 | - | 0,165 | 0,16 | 0,46 | 0,21 | - | ||
> 5 | 200...1000 | 100...400 | - | 0,21 | - | 0,46 | 0,23 | - | ||||
с заменой головки | 0,5...5 | 200...1200 | 10...400 | - | 0,176 | 0,16 | 0,48 | 0,22 | - | |||
> 5 | 200...1200 | 100...400 | - | 0,257 | - | 0,48 | 0,22 | - | ||||
ДАННЫЕ ДЛЯ ОПРЕДЕЛЕНИЯ ВСПОМОГАТЕЛЬНОГО ВРЕМЕНИ, СВЯЗАННОГО С ПЕРЕХОДОМ | Станки для глубокого сверления и растачивания | ||||||||||||
Приложение 39, лист 2 | |||||||||||||
N позиции | Характер обработки | Диапазоны длины отверстия, l, м | Диапазоны наибольших наружных диаметров устанавливаемого изделия, D, мм | Диапазоны диаметров обрабатываемых отверстий, d, мм | Диапазон числа проходов, n, шт. | Значение постоянного коэффициента и показателя степени принятого фактора | |||||||
a | x | y | z | q | |||||||||
Кольцевое сверление | сверление без удаления стержня | без замены головки | 0,5...5 | 200...1200 | 10...1000 | - | 0,045 | 0,17 | 0,50 | 0,17 | - | ||
> 5 | 200...1200 | 10...1000 | - | 0,179 | - | 0,43 | 0,13 | - | |||||
с заменой головки | 0,5...0 | 200...1000 | 10...400 | - | 0,30 | 0,17 | 0,33 | 0,25 | - | ||||
0,5...0 | 1200 | 100...1000 | - | 2,5 | 0,12 | - | 0,34 | - | |||||
> 5 | 200...1200 | 10...400 | - | 0,43 | - | 0,33 | 0,25 | - | |||||
> 5 | 1200 | 100...1000 | - | 3,3 | - | - | 0,34 | - | |||||
удаление стержня (при сквозном сверлении) | <= 5 | 200...1000 | 50...400 | - | 0,65 | - | 0,38 | 0,16 | - | ||||
> 5 | 200...1000 | 50...400 | - | 0,71 | - | 0,38 | 0,16 | - | |||||
<= 5 | 1200 | 100...1000 | - | 6,61 | - | - | 0,28 | - | |||||
> 5 | 1200 | 100...1000 | - | 7,71 | - | - | 0,28 | - | |||||
расширение паза (с заменой головки) | <= 5 | 200...1000 | 50...400 | - | 0,211 | - | 0,35 | 0,30 | - | ||||
> 5 | 200...1000 | 50...400 | - | 0,245 | - | 0,35 | 0,30 | - | |||||
<= 5 | 1200 | 100...1000 | - | 1,51 | - | - | 0,43 | - | |||||
> 5 | 1200 | 100...1000 | - | 1,62 | - | - | 0,43 | - | |||||
обработка дна с заменой | одной головки | 0,5...5 | 200...1200 | 50...1000 | - | 0,039 | 0,15 | 0,60 | 0,30 | - | |||
25 | > 5 | 200...1200 | 100...1000 | - | 0,046 | - | 0,65 | 0,28 | - | ||||
двух головок | 0,5...5 | 500...1000 | 200...400 | - | 0,102 | 0,29 | 0,56 | 0,25 | - | ||||
> 5 | 500...1000 | 200...400 | - | 0,3 | - | 0,56 | 0,17 | - | |||||
0,5...5 | 1200 | 200...1000 | - | 5,4 | 0,25 | - | 0,30 | - | |||||
> 5 | 1200 | 200...1000 | - | 10,0 | - | - | 0,28 | - | |||||
Растачивание | без замены головки при квалитетах | 1Т12 - 1Т14 | 0,5...5 | 200...1200 | 50...1000 | 1...3 | 0,036 | 0,20 | 0,52 | 0,22 | 0,84 | ||
> 5 | 200...1200 | 100...1000 | 1...3 | 0,095 | - | 0,50 | 0,18 | 0,77 | |||||
1Т8 - 1Т9 | 0,5...5 | 200...1200 | 50...1000 | 2...5 | 0,068 | 0,11 | 0,52 | 0,22 | 0,63 | ||||
> 5 | 200...1200 | 100...1000 | 2...5 | 0,093 | - | 0,52 | 0,22 | 0,63 | |||||
замена головки | - | 200...1200 | 50...1000 | - | 0,0033 | - | 0,9 | 0,33 | - | ||||
подналадка комплекта деревянных направляющих | - | 200...1200 | 50...1000 | - | 0,046 | - | 0,62 | 0,20 | - | ||||
Развертывание плавающей пластиной | с заменой головки | 0,5...5 | 200...1200 | 50...800 | 1...3 | 0,076 | 0,20 | 0,55 | 0,19 | 0,59 | |||
> 5 | 200...1200 | 100...800 | 1...3 | 0,13 | - | 0,55 | 0,19 | 0,59 | |||||
Раскатывание | 0,5...5 | 200...1200 | 50...800 | 1...3 | 0,053 | 0,19 | 0,55 | 0,21 | 0,59 | ||||
> 5 | 200...1200 | 100...800 | 1...3 | 0,097 | - | 0,55 | 0,21 | 0,59 | |||||
Горизонтально-вертикально-универсально-фрезерные станки | |||||||||
Приложение 40, лист 1 | |||||||||
N позиции | Характер обработки. Способ установки инструмента на стружку | Диапазоны наибольших длин стола, L, мм, до | Значение постоянного коэффициента и показателя степени принятого фактора | ||||||
a | x | y | |||||||
Время на проход | |||||||||
Фрезерование на станках с полуавтоматическим циклом или программным управлением | 500...2500 | 0,000089 | 0,87 | - | |||||
2 | Фрезерование плоскостей, фасонных поверхностей и пазов | фрезой, установленной на размер | 500...2500 | 0,0099 | 0,4 | - | |||
3 | с установкой фрезы | по лимбу по разметке по шаблону приспособления | 500...2500 | 0,0216 | 0,4 | - | |||
4 | 500...2500 | 0,0393 | 0,4 | - | |||||
500...2500 | 0,0262 | 0,4 | - | ||||||
6 | со взятием одной пробной стружки | универсальные инструменты | измеряемый размер, мм, до | <= 100 | 500...2500 | 0,0434 | 0,39 | - | |
7 | > 100 | 500...2500 | 0,0479 | 0,39 | - | ||||
8 | шаблон | <= 100 | 500...2500 | 0,0375 | 0,40 | - | |||
9 | > 100 | 500...2500 | 0,0404 | 0,40 | - | ||||
Фрезерование криволинейных поверхностей и пазов по копиру | наружных | с установкой фрезы | по лимбу | 500...2500 | 0,01911 | 0,42 | - | ||
11 | по упору копира | 500...2500 | 0,0176 | 0,42 | - | ||||
12 | закрытых | по лимбу | 500...2500 | 0,0372 | 0,39 | - | |||
13 | по упору копира | 500...2500 | 0,0341 | 0,39 | - | ||||
Фрезерование шлиц винтов, граней болтов и гаек | 500...1250 | 0,00028 | 0,75 | - | |||||
Время на приемы, связанные с переходом, не вошедшие комплексы | |||||||||
Изменить оборотов шпинделя | 500...2500 | 0,0082 | 0,32 | - | |||||
Изменить величину или направление подачи | 500...2500 | 0,00505 | 0,37 | - | |||||
17 | Повернуть делительную головку или делительное приспособление на одну позицию | 500...1600 | Постоянная величина, мин. | 0,04 | - | ||||
18 | Повернуть приспособление с рабочей позиции на загрузочную | 1250...1600 | 0,09 | ||||||
2500 | 0,11 | ||||||||
Поставить и снять щиток ограждения от стружки | шарнирный | 500...2500 | 0,0019 | 0,49 | - | ||||
съемный | 500...2500 | 0,0175 | 0,33 | - | |||||
21 | Переместить стол в продольном направлении на длину свыше 200 мм при длине перемещения, мм, до | 300 | 500...2500 | Постоянная величина, мин. | 0,04 | - | |||
22 | 500 | 500...2500 | 0,07 | - | |||||
800...1250 | 0,09 | ||||||||
1600...2500 | 0,10 | ||||||||
23 | 750 | 1250 | 0,20 | - | |||||
1600...2500 | 0,21 | ||||||||
24 | 1000 | 1600...2500 | 0,31 | ||||||
25 | 1500 | 2500 | 0,47 | ||||||
26 | Включить или выключить пульт лентопротяжного механизма | Постоянная величина, мин. | 0,02 | ||||||
27 | Продвинуть перфоленту в исходное положение | 0,5 | |||||||
ДАННЫЕ ДЛЯ ОПРЕДЕЛЕНИЯ ВСПОМОГАТЕЛЬНОГО ВРЕМЕНИ, СВЯЗАННОГО С ПЕРЕХОДОМ | Горизонтально-вертикально-универсально-фрезерные станки | ||||||||||
Приложение 40, лист 2 | |||||||||||
N позиции | Характер обработки. Способ установки инструмента на стружку | Диапазоны наибольших длин стола, L, мм, до | Значение постоянного коэффициента и показателя степени принятого фактора | ||||||||
a | x | y | |||||||||
28 | Установить координаты x, y (на 100 мм) | 0,25 | |||||||||
29 | Ввести коррекцию (на 1 корректор) | Постоянная величина, мин. | 0,25 | ||||||||
Перемотать магнитную ленту со скоростью перемотки 300 м/мин. | Скорость воспроизведения программы, V, м/мин. | 3 | Время автоматической работы станка, Tавт, мин. | 2...120 | 0,0033 | 1,00 | 1,00 | ||||
12 | |||||||||||
Перемотать перфорированную ленту | Вид перемотки | автоматическая ручная | Длина ленты, l, м | 2...15 | 0,0231 | 0,98 | - | ||||
0,5029 | 0,53 | - | |||||||||
Продольно-фрезерные станки | |||||||||||
Приложение 41, лист 1 | |||||||||||
N позиции | Характер обработки. Способ установки инструмента на стружку | Диапазоны длины стола, L, мм | Диапазоны измеряемых размеров, И, мм | Диапазоны числа фрез, устанавливаемых на размер, n, шт. | Значение постоянного коэффициента и показателя степени принятого фактора | ||||||
a | x | y | z | ||||||||
Фрезами, установленными на размер | 1600...6300 | - | - | 0,1244 | 0,11 | - | - | ||||
Фрезерование плоскостей, фасонных поверхностей и пазов | с установкой фрезы | по разметке | 1600...6300 | - | 1 | 0,18 | 0,21 | - | - | ||
2...4 | 0,1638 | 0,21 | - | 0,67 | |||||||
по лимбу | 1600...6300 | - | 1...4 | 0,088 | 0,23 | - | 0,53 | ||||
по шаблону приспособления и щупу | в одном направлении | 1600...6300 | - | 1 | 0,148 | 0,19 | - | - | |||
2...4 | 0,126 | 0,19 | - | 0,72 | |||||||
в двух направлениях | 1600...6300 | - | 1 | 0,153 | 0,22 | - | - | ||||
2...4 | 0,140 | 0,22 | - | 0,77 | |||||||
со взятием пробных стружек с точностью обработки | 0,2...0,5 мм | универсальные многомерные инструменты шаблоны | 1600...6300 | 300...700 | 1 | 0,1382 | 0,12 | 0,18 | - | ||
10 | - | 500...600 | 1 | 0,0447 | 0,18 | 0,26 | - | ||||
< 0,2 мм | универсальные многомерные инструменты | 1600...6300 | 300...600 | 1 | 0,1088 | 0,13 | 0,27 | - | |||
Изменить число оборотов шпинделя | 1600...6300 | - | - | 0,0172 | 0,22 | - | - | ||||
Изменить величину подачи | 1600...6300 | - | - | 0,0122 | 0,25 | - | - | ||||
ДАННЫЕ ДЛЯ ОПРЕДЕЛЕНИЯ ВСПОМОГАТЕЛЬНОГО ВРЕМЕНИ, СВЯЗАННОГО С ПЕРЕХОДОМ | Продольно-фрезерные станки | |||||||
Приложение 41, лист 2 | ||||||||
N позиции | Характер обработки. Способ установки инструмента на стружку | Диапазоны длины стола, L, мм | Диапазоны измеряемых размеров, И, мм | Диапазоны числа фрез, устанавливаемых на размер, n, шт. | Значение постоянного коэффициента и показателя степени принятого фактора | |||
a | x | y | z | |||||
14 | Переместить стол на длину свыше 500 мм | 1600...6300 | 1000...6000 | - | См. время по карте 28 поз. 11 | |||
15 | Переместить шпиндельную головку (верхнего или бокового суппорта) на длину свыше 100 мм | 1600...6300 | 200...600 | - | См. время по карте 28 поз. 12 | |||
16 | При выполнении работы с установкой фрезы в двух направлениях следует добавлять на каждую фрезу | 1600...6300 | - | 1...4 | Постоянная величина 0,18 мин. | |||
Копировально-фрезерные станки | ||||||
Приложение 42, лист 1 | ||||||
N позиции | Характер обработки. Способ установки инструмента на стружку | Диапазоны наибольших длин стола, L, мм, до | Значение постоянного коэффициента и показателя степени принятого фактора | |||
a | x | y | ||||
Время на проход | ||||||
Копирное фрезерование на станках с полуавтоматическим циклом или программным управлением | 1250...2500 | 0,000032 | 1,0 | - | ||
2 | Фрезерование криволинейных поверхностей и пазов по плоским копирам | наружных | 1250...2500 | 0,0117 | 0,41 | - |
закрытых | 0,0226 | 0,41 | - | |||
Время на приемы, связанные с переходом, не вошедшие в комплексы | ||||||
Повернуть копир для обработки следующей поверхности при многопереходных операциях | 1250...2500 | 0,00057 | 0,75 | - | ||
5 | Повернуть фрезерную головку для обработки вторым шпинделем | 1250 | постоянная величина 0,05 мин. | |||
Изменить число оборотов шпинделя | 1250...2500 | 0,0076 | 0,33 | - | ||
Изменить величину или направление подачи | 1250...2500 | 0,0068 | 0,33 | - | ||
8 | Включить или выключить пульт лентопротяжного механизма | - | Постоянная величина, мин. | 0,02 | ||
9 | Продвинуть перфоленту в исходное положение | 1250...2500 | 0,5 | |||
10 | Установить координаты x, y (на 100 мм) | - | 0,25 | |||
ДАННЫЕ ДЛЯ ОПРЕДЕЛЕНИЯ ВСПОМОГАТЕЛЬНОГО ВРЕМЕНИ, СВЯЗАННОГО С ПЕРЕХОДОМ | Копировально-фрезерные станки | |||||||
Приложение 42, лист 2 | ||||||||
N позиции | Характер обработки. Способ установки инструмента на стружку | Диапазоны наибольших длин стола, L, мм, до | Значение постоянного коэффициента и показателя степени принятого фактора | |||||
a | x | y | ||||||
11 | Ввести коррекцию (на 1 корректор) | Постоянная величина, мин. | 0,05 | |||||
Переместить магнитную ленту со скоростью перемотки 300 м/мин. | Скорость воспроизведения программы, V, м/мин. | 3 | Время автоматической работы ставка, Tавт, мин. | 2... | 0,0033 | 1,0 | 1,0 | |
12 | 120 | |||||||
Перемотать перфорированную ленту | Вид перемотки | автоматическая ручная | Длина ленты, l, м | 2... | 0,0231 | 0,98 | - | |
15 | 0,5029 | 0,53 | - | |||||
- поз. 12;Продольно-строгальные станки | ||||||||
Приложение 43, лист 1 | ||||||||
N позиции | Характер обработки. Способ установки инструмента на стружку | Измеряемый размер, И, мм, до | Диапазоны наибольших длин рабочей поверхности стола, L, мм, до | Значение постоянного коэффициента и показателя степени принятого фактора | ||||
a | x | y | ||||||
Строгание плоскостей | с установкой резца (черновой проход) | по разметке | - | 2500...12000 | 0,0115 | 0,2 | - | |
2 | по лимбу | - | 2500...12000 | 0,0564 | 0,2 | - | ||
3 | по мерным плиткам | - | 2500...12000 | 0,0917 | 0,2 | - | ||
с предварительным промером (черновой проход) | 2500...12000 | 0,0917 | 0,2 | - | ||||
со взятием пробных стружек при чистовом проходе с точностью обработки | 0,5...0,2 | 100 | 2500...12000 | 0,0770 | 0,18 | 0,14 | ||
6 | 300 | |||||||
7 | св. 300 | |||||||
8 | < 0,2 мм | 100 | 2500...12000 | 0,1844 | 0,13 | 0,13 | ||
9 | 300 | |||||||
св. 300 | ||||||||
Строгание пазов, скосов, отрезка | без измерения | - | 2500...12000 | 0,0896 | 0,15 | - | ||
12 | с измерением длины расположения размера | - | 2500...12000 | 0,1711 | 0,15 | - | ||
Время на приемы, связанные с переходом, не вошедшие в комплексы | ||||||||
13 | Изменить скорость движения стола | 2500...12000 | 0,0238 | 0,17 | - | |||
14 | Изменить длину хода стола перемещением упоров | 2500...12000 | 0,0221 | 0,31 | - | |||
ДАННЫЕ ДЛЯ ОПРЕДЕЛЕНИЯ ВСПОМОГАТЕЛЬНОГО ВРЕМЕНИ, СВЯЗАННОГО С ПЕРЕХОДОМ | Продольно-строгальные станки | ||||||
Приложение 43, лист 2 | |||||||
N позиции | Характер обработки. Способ установки инструмента на стружку | Измеряемый размер, И, мм, до | Диапазоны наибольших длин рабочей поверхности стола, L, мм, до | Значение постоянного коэффициента и показателя степени принятого фактора | |||
a | x | y | |||||
15 | Изменить величину подачи | 2500...12000 | 0,0211 | 0,17 | - | ||
16 | Повернуть резцедержатель на угол с возвратом в первоначальное положение | 2500...12000 | 0,0876 | 0,31 | - | ||
17 | Повернуть суппорт на угол с возвратом в первоначальное положение | 2500...12000 | 0,0699 | 0,4 | - | ||
18 | Установить и снять резец | проходной или подрезной | 2500...12000 | 0,2430 | 0,17 | - | |
19 | широкий или фасонный | 0,0467 | 0,31 | - | |||
20 | Установить резец в державку и снять его | 2500...12000 | 0,0565 | 0,25 | - | ||
Установить и снять державку с резцом в резцедержатель | 2500...12000 | 0,1132 | 0,25 | - | |||
22 | Переместить суппорт в горизонтальном направлении на длину свыше 200 мм при длине перемещения, мм, до | 300 | 2500 | Постоянная величина, мин. | 0,03 | ||
6000..12000 | 0,05 | ||||||
23 | 500 | 2500 | 0,8 | ||||
6000...12000 | 0,11 | ||||||
24 | 1000 | 6000...12000 | 0,29 | ||||
Поперечно-строгальные станки | ||||||||
Приложение 44, лист 1 | ||||||||
N позиции | Характер обработки. Способ установки инструмента на стружку | Измеряемый размер, И, мм, до | Диапазоны наибольших длин рабочей поверхности стола, L, мм, до | Значение постоянного коэффициента и показателя степени принятого фактора | ||||
a | x | y | ||||||
Время на проход | ||||||||
Строгание плоскостей и поверхностей по фасонному контуру | резцом, установленным на размер (черновой или чистовой проход) | - | 200...1000 | 0,0363 | 0,28 | - | ||
2 | с установкой резца (черновой проход) | по разметке | - | 200...1000 | 0,1037 | 0,24 | - | |
3 | по лимбу | - | 200...1000 | 0,0476 | 0,28 | - | ||
4 | по шаблону или мерным плиткам | - | 200...1000 | 0,0869 | 0,24 | - | ||
с предварительным переходом (черновой проход) | - | 200...1000 | 0,0869 | 0,24 | - | |||
со взятием пробных стружек при чистовом проходе с точностью обработки | 0,5...0,2 мм | 100 | 200...1000 | 0,1219 | 0,2 | 0,07 | ||
7 | 300 | |||||||
8 | св. 300 | |||||||
9 | < 0,2 мм | 100 | 200...1000 | 0,2206 | 0,15 | 0,1 | ||
10 | 300 | |||||||
св. 300 | ||||||||
Строгание пазов, скосов, отреза | без измерения | - | 200...1000 | 0,0635 | 0,28 | - | ||
с измерением длины расположения размера | - | 200...1000 | 0,1403 | 0,22 | - | |||
ДАННЫЕ ДЛЯ ОПРЕДЕЛЕНИЯ ВСПОМОГАТЕЛЬНОГО ВРЕМЕНИ, СВЯЗАННОГО С ПЕРЕХОДОМ | Поперечно-строгальные станки | |||||||
Приложение 44, лист 2 | ||||||||
N позиции | Характер обработки. Способ установки инструмента на стружку | Измеряемый размер, И, мм, до | Диапазоны наибольших длин рабочей поверхности стола, L, мм, до | Значение постоянного коэффициента и показателя степени принятого фактора | ||||
a | x | y | ||||||
Время на приемы, связанные с переходом, не вошедшие в комплексы | ||||||||
Изменить число ходов ползуна | - | 200...1000 | 0,0173 | 0,2 | - | |||
15 | Изменить длину хода ползуна | - | 200...1000 | 0,0092 | 0,45 | - | ||
16 | Изменить величину подачи | - | 200...1000 | 0,0106 | 0,25 | - | ||
17 | Установить и снять резец | проходной или подрезной | - | 200...1000 | 0,3162 | 0,15 | - | |
шпоночный или широкий | - | 0,2923 | 0,19 | - | ||||
19 | Повернуть суппорт на угол с возвратом в первоначальное положение | - | 200...500 | Постоянная величина, мин. | 1,2 | |||
20 | 1000 | 1,4 | ||||||
21 | Переместить стол на длину свыше 200 мм | Длина перемещения, мм, до | 300 | 200 | 0,05 | |||
22 | 500...1000 | 0,06 | ||||||
23 | 500 | 200 | 0,12 | |||||
24 | 500 | 0,14 | ||||||
25 | 1000 | 0,15 | ||||||
26 | Переместить суппорт вертикально на длину свыше 100 мм | 150 | 200 | 0,05 | ||||
27 | 500 | 0,06 | ||||||
28 | 1000 | 0,07 | ||||||
29 | 200 | 200 | 0,08 | |||||
30 | 500 | 0,10 | ||||||
31 | 1000 | 0,13 | ||||||
Долбежные станки | ||||||||
Приложение 45, лист 1 | ||||||||
N позиции | Характер обработки. Способ установки инструмента на стружку | Измеряемый размер, И, мм, до | Диапазоны наибольших длин хода долбяка, L, мм, до | Значение постоянного коэффициента и показателя степени принятого фактора | ||||
a | x | y | ||||||
Обработка плоскостей в поверхностей по фасонному контуру | с установкой резца (черновой проход) | по разметке | - | 200...1000 | 0,0897 | 0,24 | - | |
по лимбу | - | 200...1000 | 0,0408 | 0,28 | - | |||
с предварительным промером (черновой проход) | - | 200...1000 | 0,0408 | 0,28 | - | |||
со взятием пробных стружек при чистовом проходе с точностью обработки | 0,5...0,3 мм | 100 | 200...1000 | 0,0695 | 0,20 | 0,15 | ||
5 | 300 | |||||||
6 | < 0,3 мм | 100 | 200...1000 | 0,1068 | 0,20 | 0,15 | ||
300 | ||||||||
Обработка пазов | без измерения | - | 200...1000 | 0,0055 | 0,33 | - | ||
9 | с измерением размера расположения паза | - | 200...1000 | 0,1093 | 0,24 | - | ||
Время на приемы, связанные с переходом, не вошедшие в комплексы | ||||||||
10 | Изменить число двойных ходов долбяка | 200...1000 | 0,0135 | 0,24 | - | |||
11 | Изменить длину хода долбяка | 200...1000 | 0,0102 | 0,43 | - | |||
12 | Изменить величину подачи | 200...1000 | 0,0112 | 0,24 | - | |||
13 | Установить и снять резец | проходной или подрезной | 200..1000 | 0,4121 | 0,1 | - | ||
14 | шпоночный или широкий | 0,5513 | 0,1 | - | ||||
ДАННЫЕ ДЛЯ ОПРЕДЕЛЕНИЯ ВСПОМОГАТЕЛЬНОГО ВРЕМЕНИ, СВЯЗАННОГО С ПЕРЕХОДОМ | Долбежные станки | |||||
Приложение 45, лист 2 | ||||||
N позиции | Характер обработки. Способ установки инструмента на стружку | Измеряемый размер, И, мм, до | Диапазоны наибольших длин хода долбяка, Z, мм, до | Значение постоянного коэффициента и показателя степени принятого фактора | ||
a | x | y | ||||
Установить и снять державку для резца | 200...1000 | 0,2804 | 0,24 | - | ||
Повернуть круглый стол на оси на угол, | 30 | 200...1000 | 0,0015 | 0,28 | 0,66 | |
17 | 60 | |||||
18 | 120 | |||||
180 | ||||||
20 | Переместить стол на длину свыше 200 мм, при длине перемещения, мм, до | 400 | 200 | Постоянная величина, мин. | 0,07 | |
500 | 0,08 | |||||
1000 | 0,09 | |||||
21 | 600 | 200 | 0,14 | |||
500 | 0,16 | |||||
1000 | 0,20 | |||||
Круглошлифовальные станки | ||||||||||
Приложение 46, лист 1 | ||||||||||
N позиции | Характер обработки | Измерительный инструмент | Квалитет (класс точности) | Диапазоны наибольших диаметров устанавливаемого изделия, D, мм | Диапазоны диаметров обрабатываемой поверхности, d, мм точность обработки, | Диапазоны длин обрабатываемой поверхности, l, мм | Значение постоянного коэффициента и показателя степени принятого фактора | |||
a | x | y | z | |||||||
1. Обработка цилиндрических поверхностей с продольной подачей | ||||||||||
Шлифование поверхности без измерения | - | - | 200...560 | - | - | 0,0034 | 0,65 | - | - | |
Шлифование поверхности с измерением | Универсальные многомерные | 1Т5 - 1Т6 (1 кл.) | 200...560 | 10...25 | 50...200 | 0,0248 | 0,35 | 0,10 | 0,13 | |
3 | 200...560 | 26...500 | 50...200 | 0,0047 | 0,35 | 0,60 | 0,13 | |||
4 | 200...560 | 26...500 - | 201...1000 | 0,0027 | 0,35 | 0,60 | 0,23 | |||
5 | 1Т7 (2 кл.) | 200...560 | 10...25 | 50...200 | 0,0116 | 0,42 | 0,08 | 0,10 | ||
6 | 200...560 | 26...500 | 50...200 | 0,0022 | 0,42 | 0,57 | 0,10 | |||
7 | 360...560 | 26...500 | 201...1000 | 0,0006 | 0,48 | 0,62 | 0,23 | |||
8 | 1Т8 - 1Т9 (3 кл.) | 200...560 | 10...25 | 50...200 | 0,004 | 0,51 | 0,07 | 0,13 | ||
9 | 200...560 | 26...500 | 50...200 | 0,00105 | 0,51 | 0,48 | 0,13 | |||
10 | 200...560 | 26...500 | 201...1000 | 0,0004 | 0,51 | 0,48 | 0,28 | |||
11 | Скоба жесткая | 1Т5 1Т6 (1 кл.) | 200..560 | 10...50 | 50...500 | 0,04 | 0,32 | 0,12 | 0,14 | |
12 | 51...100 | 0,0114 | 0,32 | 0,48 | 0,14 | |||||
ДАННЫЕ ДЛЯ ОПРЕДЕЛЕНИЯ ВСПОМОГАТЕЛЬНОГО ВРЕМЕНИ, СВЯЗАННОГО С ОБРАБОТКОЙ ПОВЕРХНОСТИ | Круглошлифовальные станки | |||||||||
Приложение 46, лист 2 | ||||||||||
N позиции | Характер обработки | Измерительный инструмент | Квалитет (класс точности) | Диапазоны наибольших диаметров устанавливаемого изделия, D, мм | Диапазоны диаметров обрабатываемой поверхности, d, мм точность обработки, | Диапазоны длин обрабатываемой поверхности, l, мм | Значение постоянного коэффициента и показателя степени принятого фактора | |||
a | x | y | z | |||||||
13 | Шлифование поверхности с измерением | Скоба жесткая | 1Т7 (2 кл.) | 200...560 | 10...25 | 50...1000 | 0,012 | 0,4 | 0,04 | 0,18 |
14 | 26...500 | 50...1000 | 0,0021 | 0,43 | 0,58 | 0,13 | ||||
15 | 1Т8 - 1Т9 (3 кл.) | 10...25 | 50...1000 | 0,0114 | 0,38 | 0,06 | 0,12 | |||
26...500 | 0,0029 | 0,38 | 0,45 | 0,12 | ||||||
II. Обработка торцовых поверхностей | ||||||||||
Шлифование торцов без измерения | - | - | 200...560 | - | - | 0,0035 | 0,51 | - | - | |
Шлифование торцов с измерением | Универсальные многомерные | - | 200...560 | 0,03...0,07 | 50...500 | 0,0078 | 0,18 | - 0,64 | 0,38 | |
0,071...0,10 | 50...500 | 0,000147 | 0,42 | - 1,50 | 0,44 | |||||
> 0,10 | 50...500 | 0,00293 | 0,33 | - | 0,54 | |||||
Калибры и шаблоны | - | 200...560 | 0,03...0,10 | 50...500 | 0,0031 | 0,32 | - 0,62 | 0,34 | ||
> 0,10 | 50...500 | 0,0024 | 0,34 | - | 0,56 | |||||
ДАННЫЕ ДЛЯ ОПРЕДЕЛЕНИЯ ВСПОМОГАТЕЛЬНОГО ВРЕМЕНИ, СВЯЗАННОГО С ОБРАБОТКОЙ ПОВЕРХНОСТИ | Круглошлифовальные станки | |||||||||
Приложение 46, лист 3 | ||||||||||
N позиции | Характер обработки | Измерительный инструмент | Квалитет (класс точности) | Диапазоны наибольших диаметров устанавливаемого изделия, D, мм | Диапазоны диаметров обрабатываемой поверхности, d, мм число врезаний, n, шт. | Диапазоны длин обрабатываемой поверхности, l, мм | Значение постоянного коэффициента и показателя степени принятого фактора | |||
a | x | y | z | |||||||
III. Обработка цилиндрических поверхностей с радиальной подачей | ||||||||||
Шлифование поверхности без измерения (на одно врезание) | - | - | 200...560 | - | - | 0,0035 | 0,51 | - | - | |
Шлифование поверхности с измерением (за одно врезание) | Универсальные многомерные | 1Т5 - 1Т6 (1 кл.) | 200...560 | 10...25 | 25...100 | 0,0353 | 0,29 | 0,12 | 0,08 | |
25 | 200...560 | 26...300 | 25...300 | 0,099 | 0,22 | 0,63 | 0,08 | |||
26 | ||||||||||
1Т7 (2 кл.) | 200...560 | 10...25 | 25...100 | 0,0238 | 0,24 | 0,1 | 0,125 | |||
27 | 200...560 | 26...300 | 25...100 | 0,005 | 0,24 | 0,58 | 0,125 | |||
28 | 1Т8 - 1Т9 (3 кл.) | 200...560 | 10...25 | 25...100 | 0,0115 | 0,28 | 0,1 | 0,13 | ||
29 | 26...200 | 0,0032 | 0,28 | 0,5 | 0,13 | |||||
30 | 201...300 | 0,00031 | 0,21 | 1,0 | 0,13 | |||||
31 | Скоба жесткая | 1Т5 - 1Т6 (1 кл.) | 200...560 | 10...25 | 25...100 | 0,0470 | 0,24 | 0,1 | 0,22 | |
32 | 26...100 | 0,028 | 0,24 | 0,4 | 0,08 | |||||
33 | 1Т7 (2 кл.) | 200...560 | 10...25 | 25...100 | 0,0266 | 0,28 | 0,07 | 0,1 | ||
34 | 26...300 | 0,0047 | 0,28 | 0,60 | 0,08 | |||||
35 | 1Т8 - 1Т9 (3 кл.) | 200...560 | 10...25 | 25...100 | 0,0138 | 0,32 | 0,08 | 0,08 | ||
26...300 | 0,0037 | 0,32 | 0,48 | 0,08 | ||||||
ДАННЫЕ ДЛЯ ОПРЕДЕЛЕНИЯ ВСПОМОГАТЕЛЬНОГО ВРЕМЕНИ, СВЯЗАННОГО С ОБРАБОТКОЙ ПОВЕРХНОСТИ | Круглошлифовальные станки | |||||||||
Приложение 46, лист 4 | ||||||||||
N позиции | Характер обработки | Измерительный инструмент | Квалитет (класс точности) | Диапазоны наибольших диаметров устанавливаемого изделия, D, мм | Диапазоны диаметров обрабатываемой поверхности, d, мм число врезаний n, шт. | Диапазоны длин обрабатываемой поверхности, l, мм | Значение постоянного коэффициента и показателя степени принятого фактора | |||
a | x | y | z | |||||||
Черновое шлифование длинных поверхностей без измерения (за несколько врезаний с ручным перемещением стола) | - | - | 200...560 | 2...5 | 25...100 | 0,0058 | 0,42 | 1,0 | 0,12 | |
Внутришлифовальные станки | ||||||||||||
Приложение 47, лист 1 | ||||||||||||
N позиции | Характер обработки. Измерительный инструмент. Квалитет (класс точности) | Диапазоны длин отверстий или измеряемых длин l, мм, до | Диапазоны наибольших диаметров шлифуемого отверстия, D, мм, до | Диапазоны диаметров обрабатываемой поверхности d, мм, до | Диапазоны точности измерения, | Значение постоянного коэффициента и показателя степени принятого фактора | ||||||
a | x | y | z | Q | ||||||||
Работа на станках с полуавтоматическим циклом | 50...200 | 100...400 | - | - | 0,0021 | - | 0,50 | - | - | |||
2 | Шлифование отверстий без измерения | 50...200 | 100...200 | - | - | 0,055 | - | 0,13 | - | - | ||
100,.200 | > 200 | - | - | 0,0095 | - | 0,46 | - | - | ||||
Шлифование цилиндрических отверстий с измерением | Универсальные многомерные | 1Т5 - 1Т6 (1 кл.) | 50...200 | 100...400 | 25...300 | - | 0,048 | 0,18 | 0,12 | 0,42 | - | |
> 200 | 200...400 | 50...300 | - | 0,141 | - | 0,10 | 0,46 | - | ||||
1Т7 (2 кл.) | 50...200 | 100...400 | 25...300 | - | 0,0216 | 0,14 | 0,10 | 0,53 | - | |||
> 200 | 200...400 | 50...300 | - | 0,045 | - | 0,10 | 0,58 | - | ||||
1Т8 - 1Т9 (3 кл.) - | 50...200 | 100...400 | 25...300 | - | 0,022 | 0,15 | 0,13 | 0,38 | - | |||
> 200 | 200...400 | 50...300 | - | 0,0584 | - | 0,13 | 0,38 | - | ||||
Калибр-пробка гладкая | 1Т5 - 1Т6 (1 кл.) | 50...200 | 100...400 | 25...50 | - | 0,304 | - | 0,08 | 0,30 | - | ||
11 | 50...200 | 100...400 | 51...100 | - | 0,044 | - | 0,07 | 0,81 | - | |||
12 | 1Т7 (2 кл.) | 50...200 | 100...400 | 25...50 | - | 0,089 | - | 0,11 | 0,38 | - | ||
13 | 50...200 | 100...400 | 51...200 | - | 0,0166 | - | 0,11 | 0,77 | - | |||
14 | 1Т8 - 1Т9 (3 кл.) | 50...200 | 100...400 | 25...50 | - | 0,03 | - | 0,14 | 0,51 | - | ||
15 | 50...200 | 100...400 | 51...200 | - | 0,021 | - | 0,14 | 0,61 | - | |||
ДАННЫЕ ДЛЯ ОПРЕДЕЛЕНИЯ ВСПОМОГАТЕЛЬНОГО ВРЕМЕНИ, СВЯЗАННОГО С ОБРАБОТКОЙ ПОВЕРХНОСТИ | Внутришлифовальные станки | ||||||||||
Приложение 47, лист 2 | |||||||||||
N позиции | Характер обработки. Измерительный инструмент. Квалитет (класс точности) | Диапазоны длин отверстий или измеряемых длин l, мм, до | Диапазоны наибольших диаметров шлифуемого отверстия, D, мм, до | Диапазоны диаметров обрабатываемой поверхности d, мм, до | Диапазоны точности измерения, | Значение постоянного коэффициента и показателя степени принятого фактора | |||||
a | x | y | z | Q | |||||||
Шлифование конических отверстий с измерением | Калибр - пробка конусная | 50...200 | 100...400 | 50...100 | - | 0,072 | - | 0,12 | 0,42 | - | |
Шлифование торцов без измерения | 50...200 | 100...400 | - | - | 0,036 | - | 0,31 | - | - | ||
Шлифование торцов с измерением | Универсальные многомерные | 100...200 | 100...400 | - | 0,02..0,03 | 0,045 | 0,32 | 0,16 | - | - 0,25 | |
19 | 100...200 | 100...400 | - | 0,05...0,07 | 0,0158 | 0,32 | 0,16 | - | - 0,55 | ||
50...200 | 100...400 | - | 0,010...0,15 | 0,0063 | 0,33 | 0,18 | - | - 0,80 | |||
> 200 | 200...400 | - | 0,05...0,15 | 0,055 | - | 0,18 | - | - 0,72 | |||
Калибры и шаблоны | 50...200 | 100...400 | - | 0,03...0,10 | 0,0119 | 0,34 | 0,18 | - | - 0,51 | ||
50...200 | 100...400 | - | 0,15 | 0,0033 | 0,34 | 0,18 | - | - 0,61 | |||
> 200 | 200...400 | - | 0,05...0,15 | 0,103 | - | 0,15 | - | - 0,50 | |||
Плоскошлифовальные станки с прямоугольным столом | ||||||||||
Приложение 48, лист 1 | ||||||||||
N позиции | Характер обработки. Измерительный инструмент | Диапазоны измеряемых размеров. И, мм, до | Диапазоны длин стола L, мм, до | Диапазоны точности измерения | Значение постоянного коэффициента и показателя степени принятого фактора | |||||
a | x | y | z | |||||||
Станки с вертикальным шпинделем | Шлифование поверхности без измерения | 25...500 | 630...2000 | - | 0,0073 | - | 0,39 | - | ||
Шлифование поверхности с измерением | Универсальные многомерные | 25...200 | 630...2000 | 0,02...0,03 | 0,0145 | 0,39 | 0,22 | - 0,29 | ||
25...300 | 630...1000 | 0,05...0,07 | 0,005 | 0,39 | 0,22 | - 0,56 | ||||
50...200 | 2000 | 0,05...0,07 | 0,042 | 0,29 | - | - 0,56 | ||||
50..300 | 630...2000 | 0,10...0,15 | 0,00083 | 0,47 | 0,24 | - 1,1 | ||||
201..500 | 2000 | 0,05...0,15 | 0,356 | - | - | - 0,44 | ||||
Калибры и шаблоны | 25 | 630 | 0,02...0,15 | 0,0546 | - | - | - 0,60 | |||
50...200 | 630...2000 | 0,02...0,10 | 0,0028 | 0,35 | 0,30 | - 0,52 | ||||
300...500 | 1000...2000 | 0,05...0,10 | 0,0245 | - | 0,34 | - 0,40 | ||||
50...500 | 630...2000 | 0,15 | 0,004 | 0,45 | 0,30 | - | ||||
11 | 50...100 | 630...2000 | 0,20 | 0,00166 | 0,23 | 0,49 | - | |||
101...500 | 1000...2000 | 0,20 | 0,0039 | 0,43 | 0,24 | - | ||||
Станки с горизонтальным шпинделем | Работа на ставках с полуавтоматическим циклом | 25...500 | 630...2000 | - | 0,00063 | - | 0,60 | - | ||
Шлифование поверхности без измерения | 25...500 | 630...2000 | - | 0,0103 | - | 0,41 | - | |||
Шлифование поверхности с измерением | Универсальные | 50...100 | 630...2000 | 0,02...0,10 | 0,00466 | 0,33 | 0,25 | - 0,62 | ||
многомерные | 25; 101...200 | 630...2000 | 0,02...0,10 | 0,025 | - | 0,28 | - 0,60 | |||
ДАННЫЕ ДЛЯ ОПРЕДЕЛЕНИЯ ВСПОМОГАТЕЛЬНОГО ВРЕМЕНИ, СВЯЗАННОГО С ОБРАБОТКОЙ ПОВЕРХНОСТИ | Плоскошлифовальные станки с прямоугольным столом | |||||||||
Приложение 48, лист 2 | ||||||||||
N позиции | Характер обработки. Измерительный инструмент | Диапазоны измеряемых размеров, И, мм, до | Диапазоны длин стола, L, мм, до | Диапазоны точности измерения, | Значение постоянного коэффициента и показателя степени принятого фактора | |||||
a | x | y | z | |||||||
Станки с горизонтальным шпинделем | Шлифование поверхности с измерением | Универсальные | 201...500 | 1000...2000 | 0,05...0,15 | 0,03 | - | 0,32 | - 0,48 | |
многомерные | 50...200 | 630...2000 | 0,15 | 0,0098 | 0,30 | 0,32 | - | |||
Калибры и шаблоны | 50...500 | 630...2000 | 0,02...0,07 | 0,00429 | 0,31 | 0,32 | - 0,45 | |||
50...500 | 630...2000 | 0,10...0,15 | 0,0016 | 0,35 | 0,32 | - 0,78 | ||||
50...500 | 630...2000 | 0,20 | 0,00455 | 0,27 | 0,38 | - | ||||
25 | 630 | 0,02...0,15 | 0,077 | - | - | - 0,54 | ||||
Время на снятие детали для измерения | Включить магнит, снять деталь со стола, протереть стол, установить деталь, включить магнит (с учетом числа промеров) | - | - | 0,02...0,1 | 0,085 | - | - | - 0,52 | ||
Плоскошлифовальные станки с круглым столом | ||||||||||
Приложение 49 | ||||||||||
N позиции | Характер обработки. Измерительный инструмент | Диапазоны измеряемых размеров, И, мм, до | Диапазоны диаметров стола D, мм, до | Диапазоны точности измерения | Значение постоянного коэффициента и показателя степени принятого фактора | |||||
a | x | y | z | |||||||
Станки с вертикальным шпинделем | Шлифование поверхности без измерения | 50...200 | 400...1600 | - | 0,0172 | - | 0,35 | - | ||
Шлифование поверхности с измерением | Универсальные | 50...200 | 400...1600 | 0.02...0,07 | 0,013 | 0,33 | 0,17 | - 0,52 | ||
3 | многомерные | 50...200 | 400...1600 | 0,10...0,15 | 0,0039 | 0,33 | 0,18 | - 1,0 | ||
4 | Калибры и | 50...200 | 400...1600 | 0,02...0,10 | 0,0071 | 0,32 | 0,24 | - 0,50 | ||
5 | шаблоны | 50...200 | 400...1600 | 0,15 | 0,0026 | 0,32 | 0,24 | - 0,94 | ||
50...200 | 400...1600 | 0,20 | 0,00086 | 0,24 | 0,28 | - 1,6 | ||||
Станки с горизонтальным шпинделем | Шлифование поверхности без измерения | 50...200 | 400...800 | - | 0,045 | - | 0,20 | - | ||
Шлифование поверхности с измерением | Универсальные | 50...200 | 400...800 | 0,02...0,10 | 0,0193 | 0,39 | 0,04 | - 0,55 | ||
9 | многомерные | 50...200 | 400...800 | 0,15 | 0,0082 | 0,39 | 0,04 | - 0,90 | ||
10 | Калибры и | 50...200 | 400...800 | 0,02...0,10 | 0,0163 | 0,35 | 0,09 | - 0,48 | ||
шаблоны | 50...200 | 400...800 | 0,15...0,20 | 0,007 | 0,17 | 0,09 | - 1,25 | |||
Шлифование деталей типа колец кругом, установленным на размер без измерения (по одной детали на столе) | 50...200 | 400...800 | 0,02...0,05 | 0,0032 | - | 0,46 | - | |||
Время на снятие детали для измерения | Включить магнит, снять деталь со стола, протереть стол, установить, деталь, выключить магнит (с учетом числа промеров) | - | - | 0,02...0,10 | 0,09 | - | - | - 0,51 | ||
- поз. 13,Бесцентровошлифовальные станки | |||||||
Приложение 50 | |||||||
I. Установка и снятие детали | |||||||
N позиции | Характер обработки | Способ установки детали | Диапазоны | Значение постоянного коэффициента и показателя степени принятого фактора | |||
диаметр детали, D, мм | длина детали, L, мм | ||||||
a | x | y | |||||
С продольной подачей на проход | Установить деталь в лоток | 10...100 | 50 | 0,007 | 0,42 | - | |
Установить деталь на опорный нож | 10...100 | 50...500 | 0,003 | 0,47 | 0,19 | ||
10...35 | 1000 | 0,01 | 0,47 | 0,19 | |||
С радиальной подачей в упор | Установить деталь на опорный нож | 10...100 | - | 0,01 | 0,43 | - | |
Установить деталь на опорный нож и снять ее | 10...100 | - | 0,02 | 0,32 | - | ||
II. На обработку поверхности | |||||||
N позиции | Содержание работы | Характер обработки | Процент от основного времени | ||||
6 | Внешний осмотр и измерение шлифуемой поверхности в процессе работы, укладка деталей в тару, перемещение деталей с тарой | Работа с продольной подачей | 3,3 | ||||
7 | Работа с радиальной подачей | 4,7 | |||||
Хонинговальные станки | ||||||||
Приложение 51 | ||||||||
N позиции | Характер обработки | Измерительный инструмент | Квалитет (класс точности) | Диапазоны наибольших диаметров хонингования, d, мм, до | Диапазоны наибольших длин обрабатываемого отверстия, l, мм, до | Значение постоянного коэффициента и показателя степени принятого фактора | ||
a | x | y | ||||||
Обработка отверстия без измерения | - | - | 130...500 | 500 | 0,0338 | 0,26 | - | |
Обработка отверстия с измерением | Нутромер индикаторный | 1Т5 - 1Т6 (1 кл.) | 50..500 | 200...1000 | 0,0501 | 0,35 | 0,27 | |
1Т7 (2 кл.) | 50...500 | 200...1000 | 0,0226 | 0,45 | 0,25 | |||
Пробка пневматическая (солекс) | 1Т5 - 1Т6 (1 кл.) | 50...100 | 200 | 0,1568 | 0,4 | - | ||
5 | 1Т7 (2 кл.) | 50... 100 | 200 | 0,3608 | 0,13 | - | ||
Калибр-пробка гладкая | 1Т7 (2 кл.) | 50...100 | 200 | 0,2256 | 0,25 | - | ||
Станки для суперфиниша | |||||
Приложение 52 | |||||
N позиции | Характер обработки | Способ подвода брусков | Диапазоны наибольших диаметров устанавливаемого изделия, D мм, до | Значение постоянного коэффициента и показателя степени принятого фактора | |
a | x | ||||
Обработка одной или нескольких поверхностей без измерения | Ручной | 260...560 | 0,0086 | 0,61 | |
Механический | 280...560 | 0,0075 | 0,59 | ||
Вертикально-доводочные станки | |||||||||
Приложение 53, лист 1 | |||||||||
N позиции | Характер обработки | Способ установки детали | Квалитет (класс точности) | Число одновременно обрабатываемых деталей, n, шт., до | Диапазоны наибольших диаметров, D (или ширины, H) деталей, мм, до | Диапазоны наибольших длин деталей (отношение L : D) | Значение постоянного коэффициента показателя степени принятого фактора | ||
a | x | y | |||||||
1 | Обработка цилиндрической поверхности или плоскости без измерения | - | - | - | 6...40 | - | Постоянная величина, мин. | 0,24 | |
Обработка цилиндрической поверхности или плоскости с измерением | В гнездо сепаратора без крепления | 1Т5 - 1Т6 (1 кл.) | 20...100 | 6...10 | <= 5 | 0,2004 | 0,1 | 0,74 | |
3 | 16 | 0,065 | 0,57 | 0,74 | |||||
4 | 6...10 | > 5 | 0,233 | 0,1 | 0,80 | ||||
16 | 0,042 | 0,77 | 0,84 | ||||||
6 | 20 | 25 | <= 4 | Постоянная величина, мин. | 4,6 | ||||
7 | 40 и более | <= 3 | 7,7 | ||||||
1Т7 (2 кл.) | 20...100 | 6...10 | <= 5 | 0,1334 | 0,1 | 0,67 | |||
9 | 16 | 0,0415 | 0,52 | 0,72 | |||||
10 | 6...10 | > 5 | 0,1414 | 0,1 | 0,76 | ||||
16 | 0,0335 | 0,66 | 0,80 | ||||||
12 | 20 | 25 | <= 4 | Постоянная величина, мин. | 2,4 | ||||
13 | 40 и более | <= 3 | 5,2 | ||||||
ДАННЫЕ ДЛЯ ОПРЕДЕЛЕНИЯ ВСПОМОГАТЕЛЬНОГО ВРЕМЕНИ, СВЯЗАННОГО С ОБРАБОТКОЙ ПОВЕРХНОСТИ | Вертикально-доводочные станки | ||||||||
Приложение 53, лист 2 | |||||||||
N позиции | Характер обработки | Способ установки детали | Квалитет (класс точности) | Число одновременно обрабатываемых деталей, n, шт., до | Диапазоны наибольших диаметров, D (или ширины, H) деталей, мм, до | Диапазоны наибольших длин деталей (отношение L : D) | Значение постоянного коэффициента показателя степени принятого фактора | ||
a | x | y | |||||||
Обработка цилиндрической поверхности или плоскости с измерением | в гнездо сепаратора с креплением в центрах | 1Т5 - 1Т6 (1 кл.) | 12...50 | 6...16 | <= 5 | 0,109 | 0,33 | 0,87 | |
15 | 6...10 | > 5 | 0,2312 | 0,11 | 0,91 | ||||
16 | > 5 | 0,1024 | 0,46 | 0,91 | |||||
8...30 | 25 | <= 4 | 0,4154 | - | 0,88 | ||||
8...20 | 40 и более | <= 3 | 0,6898 | - | 0,88 | ||||
1Т7 (2 кл.) | 12...50 | 6...16 | <= 5 | 0,0950 | 0,25 | 0,77 | |||
> 5 | 0,0872 | 0,28 | 0,91 | ||||||
8...30 | 25 | < 4 | 0,2605 | - | 0,81 | ||||
22 | 8...12 | 40 и более | <= 4 | 0,5221 | - | 0,31 | |||
20 | <= 3 | 0,107 | - | 1,37 | |||||
Резьбонакатные полуавтоматы, работающие круговыми роликами | |||||||
Приложение 54 | |||||||
N позиции | Способ установки детали | Способ подачи роликов | Диапазоны длин детали, L, мм, до | Диапазоны диаметров резьбы, d, мм, до | Значение постоянного коэффициента и показателя степени принятого фактора | ||
a | x | y | |||||
На направляющем ноже | Ручной Автоматический | 100...1200 | 8.,.30 | 0,0183 | 0,32 | 0,05 | |
- | 8...30 | 0,0161 | 0,26 | - | |||
Измерения | |||||||
Приложение 55, лист 1 | |||||||
N позиции | Измерительный инструмент | Точность измерения | Диапазоны измеряемых размеров, И (D), мм | Диапазоны длин измеряемых поверхностей, l, мм | Значение постоянного коэффициента и показателя степени принятого фактора | ||
a | x | y | |||||
Линейка масштабная | - | 50...200 | - | 0,031 | - | 0,15 | |
2 | 201..2000 | - | 0,0083 | - | 0,40 | ||
3 | Угольник | - | 50...200 | - | 0,026 | - | 0,33 |
201...500 | - | 0,0044 | - | 0,67 | |||
5 | Угломер универсальный | До 5' Св. 5' | До 100 | - | Постоянная величина, мин. | 0,23 | |
6 | 0,20 | ||||||
Шаблон или скоба линейная односторонняя | 0,2...0,5 мм | 50...2000 | - | 0,022 | - | 0,25 | |
8 | < 0,2 мм | 50...1000 | 0,031 | - | 0,25 | ||
9 | Шаблон линейный двусторонний | 0,2...0,5 мм | 50...1000 | - | 0,023 | - | 0,27 |
10 | < 0,2 мм | 50...1000 | 0,032 | - | 0,27 | ||
11 | Шаблон фасонный простой | 6,2...0,5 мм | 50...500 | - | 0,029 | - | 0,25 |
12 | < 0,15 мм | 50...500 | - | 0,042 | - | 0,25 | |
13 | Шаблон фасонный сложного профиля | 0,15...0,25 мм | 50..500 | - | 0,05 | 0,20 | |
14 | < 0,15 мм | 50..500 | - | 0,09 | - | 0,20 | |
15 | Шаблон на симметрию | 0,15...0,25 | 50...500 | - | 0,046 | - | 0,25 |
< 0,15 мм | 50...500 | - | 0,073 | - | 0,25 | ||
Скоба односторонняя предельная | 1Т11 - 1Т13 (4 - 5 кл.) | 10...100 | 10...100 | 0,0134 | 0,14 | 0,17 | |
18 | 10...100 | 101...500 | 0,0043 | 0,40 | 0,17 | ||
19 | 26...10 | 501...2000 | 0,0043 | 0,40 | 0,20 | ||
20 | 101...300 | 10...100 | 0,0032 | 0,14 | 0,47 | ||
21 | 101...300 | 101...2000 | 0,0043 | 0,40 | 0,20 | ||
301...1000 | 10...200 | 0,0032 | 0,14 | 0,47 | |||
301...1000 | 201...1000 | 0,0043 | 0,40 | 0,20 | |||
24 | 1Т7 - 1Т9 (2 - 3 кл.) | 10...50 | 10...100 | 0,02 | 0,17 | 0,20 | |
25 | 10...100 | 101...2000 | 0,0092 | 0,28 | 0,30 | ||
51...1000 | 25...100 | 0,024 | 0,17 | 0,20 | |||
101...1000 | 101...2000 | 0,0144 | 0,20 | 0,30 | |||
28 | 1Т5 - 1Т6 (1 кл.) | 50...100 | 50...100 | 0,035 | 0,14 | 0,17 | |
29 | 50...100 | 101...500 | 0,011 | 0,40 | 0,17 | ||
30 | Скоба двусторонняя предельная | 1Т11 - 1Т13 (4 - 5 кл.) | 10...100 | 10...500 | 0,014 | 0,20 | 0,23 |
31 | 26...100 | 501...1000 | 0,014 | 0,23 | 0,23 | ||
32 | 1Т7 - 1Т9 (2 - 3 кл.). | 10...100 | 10...200 | 0,021 | 0,22 | 0,23 | |
33 | 26...100 | 201...1000 | 0,0164 | 0,30 | 0,23 | ||
34 | 1Т5 - 1Т6 (1 кл.) | 50...100 | 50...200 | 0,048 | 0,18 | 0,18 | |
35 | 50...100 | 201...500 | 0,037 | 0,25 | 0,18 | ||
Скоба индикаторная | 0,01 мм | 50...3000 | 10...200 | 0,011 | 0,14 | 0,42 | |
50...800 | 201..2000 | 0,005 | 0,46 | 0,23 | |||
38 | Скоба рычажная (пассаметр) | 0,002 мм | 10...50 | 10...200 | 0,068 | 0,11 | 0,10 |
39 | 51...150 | 26...200 | 0,023 | 0,11 | 0,36 | ||
40 | 26...150 | 201...1000 | 0,018 | 0,16 | 0,36 | ||
41 | Скоба пневматическая | 0,00,2 мм | 50...100 | 50...200 | 0,0085 | 0,42 | 0,34 |
42 | Калибр-пробка гладкая двусторонняя | 1Т11 - 1Т13 (4 - 5 кл.) | 10...100 | 10...100 | 0,016 | 0,18 | 0,26 |
43 | 10...100 | 101...200 | 0,005 | 0,45 | 0,26 | ||
44 | 1Т7 - Т9 (2 - 3 кл.) | 10...100 | 10...100 | 0,024 | 0,18 | 056 | |
45 | 10...100 | 101...200 | 0,0075 | 0,18 | 0,26 | ||
46 | 1Т5 - 1Т6 (1 кл.) | 10...50 | 10...100 | 0,056 | 0,18 | 0,19 | |
47 | 51...100 | 101...200 | 0,0077 | 0,45 | 0,38 | ||
ДАННЫЕ ДЛЯ ОПРЕДЕЛЕНИЯ ВСПОМОГАТЕЛЬНОГО ВРЕМЕНИ НА КОНТРОЛЬНЫЕ ИЗМЕРЕНИЯ | Измерения | |||||||||||
Приложение 55, лист 2 | ||||||||||||
N позиции | Измерительный инструмент | Точность измерения | Диапазоны измеряемых, размеров, И (D), мм | Диапазоны длин измеряемых поверхностей, l, мм | Значение постоянного коэффициента и показателя степени принятого фактора | |||||||
a | x | y | ||||||||||
48 | Калибр-пробка неполная плоская | 1Т11 - 1Т13 (4 - 5 кл.) | 50...300 | 50...100 | 0,008 | 0,22 | 0,42 | |||||
49 | 50...300 | 101...300 | 0,003 | 0,45 | 0,42 | |||||||
50 | 1Т7 - 1Т9 (2 - 3 кл.) | 50...300 | 60...100 | 0,013 | 0,22 | 0,42 | ||||||
51 | 50...300 | 101...300 | 0,005 | 0,45 | 0,42 | |||||||
Пробка пневматическая | 0,002 мм | 50...100 | 50...200 | 0,0116 | 0,36 | 0,24 | ||||||
Калибр плоский для измерения пазов | 1Т11 - 1Т13 (4 - 5 кл.) | 25..50 | - | 0,083 | - | 0,10 | ||||||
1Т7 - 1Т9 (2 - 3 кл.) | 25...50 | - | 0,118 | - | 0,16 | |||||||
Пробка-лекало для проверки соосности | 1Т11 - 1Т13 (4 - 5 кл.) | 50...100 | 50...200 | 0,009 | 0,38 | 0,26 | ||||||
1Т7 - 1Т9 (2 - 3 кл.) | 50...100 | 50...200 | 0,013 | 0,38 | 0,26 | |||||||
| ||||||||||||
Калибр-пробка односторонняя для проверки взаимного положения оси отверстия и торца | - | 25...100 | - | 0,075 | - | 0,30 | ||||||
Калибр-пробка конусная | По риске с проверкой конусности | на качку | 10...100 | 10...100 | 0,026 | 0,18 | 0,22 | |||||
59 | по краске | 10...100 | 10...100 | 0,045 | 0,20 | 0,40 | ||||||
Калибр-пробка шлицевая | 1Т7 - 1Т9 (2 - 3 кл.) | 25...100 | 25...200 | 0,0072 | 0,36 | 0,43 | ||||||
Калибр-втулка конусная | По риске с проверкой конусности | на качку | 10...100 | - | 0,034 | - | 0,30 | |||||
по краске | 10...100 | - | 0,13 | - | 0,27 | |||||||
Калибр-кольцо шлицевое | 1Т7 - 1Т9 (2 - 3 кл.) | <= 25 | 50...500 | 0,033 | 0,19 | 0,24 | ||||||
64 | 26...200 | 50...500 | 0,044 | 0,19 | 0,24 | |||||||
65 | Нутромер или штихмасс индикаторный | 0,01 мм | 50...300 | 50...100 | 0,032 | 0,25 | 0,16 | |||||
66 | 50...300 | 101...1000 | 0,016 | 0,39 | 0,16 | |||||||
301...1500 | 50...1000 | 0,0067 | 0,20 | 0,51 | ||||||||
68 | Штихмасс микрометрический | 0,01 мм | 100...300 | 50...500 | 0,033 | 0,23 | 0,22 | |||||
301...1000 | 50...200 | 0,0093 | 0,16 | 0,49 | ||||||||
301...1000 | 201...1000 | 0,00046 | 0,63 | 0,55 | ||||||||
71 | Штихмасс нераздвижной | 1Т11 - 1Т13 (4 - 5 кл.) | 100...300 | 50...500 | 0,013 | 0,23 | 0,22 | |||||
72 | 301...1500 | 50...200 | 0,0038 | 0,16 | 0,49 | |||||||
301...1500 | 201...1000 | 0,00019 | 0,63 | 0,55 | ||||||||
Микрометр | 0,01 мм | 10...300 | <= 100 | 0,043 | - | 0,32 | ||||||
301...800 | <= 100 | 0,0083 | - | 0,61 | ||||||||
10...200 | 101...1000 | 0,0079 | 0,40 | 0,26 | ||||||||
77 | 200...400 | 101..1000 | 0,012 | 0,30 | 0,30 | |||||||
401...800 | 101...1000 | 0,00015 | 0,30 | 1,0 | ||||||||
Микрометр рычажный | 0,02 мм | - | 50...100 | 0,0027 | 1,0 | - | ||||||
101...1000 | 0,03 | 0,43 | - | |||||||||
ДАННЫЕ ДЛЯ ОПРЕДЕЛЕНИЯ ВСПОМОГАТЕЛЬНОГО ВРЕМЕНИ НА КОНТРОЛЬНЫЕ ИЗМЕРЕНИЯ | Измерения | ||||||
Приложение 55, лист 3 | |||||||
N позиции | Измерительный инструмент | Точность измерения | Диапазоны измеряемых размеров, И (D), мм | Диапазоны длин измеряемых поверхностей, l, мм, до | Значение постоянного коэффициента и показателя степени принятого фактора | ||
a | x | y | |||||
Штангенциркуль | 0,1 мм | 10...200 | 50...200 | 0,015 | 0,26 | 0,22 | |
82 | 10...200 | 201...1000 | 0,0066 | 0,28 | 0,40 | ||
10...200 | 1001...2000 | 0,0013 | 0,50 | 0,40 | |||
201...2500 | 50...100 | 0,006 | - | 0,60 | |||
0,02 мм | 10...100 | 50...200 | 0,028 | 0,26 | 0,22 | ||
10...100 | 201...1000 | 0,012 | 0,28 | 0,40 | |||
101...300 | 50...100 | 0,011 | - | 0,60 | |||
Штангенглубинометр | 0,1 мм | - | 10...500 | 0,057 | 0,16 | - | |
0,02 мм | - | 10...500 | 0,083 | 0,16 | - | ||
90 | Глубиномер микрометрический | 0,01 мм | - | 10...100 | Постоянная величина 0,22 мин. | ||
Глубиномер индикаторный | 0,01 мм | - | 10...200 | 0,025 | 0,26 | - | |
92 | Стенкомер индикаторный | 0,1 мм | - | 10...50 | Постоянная величина 0,12 мм | ||
Индикатор для измерения отклонений от геометрической формы | 0,01 мм | 10...200 | 10...200 | 0,041 | 0,16 | 0,10 | |
94 | 26...200 | 201...500 | 0,02 | 0,30 | 0,10 | ||
95 | 201...1000 | 26...200 | 0,0052 | 0,16 | 0,50 | ||
96 | 201...1000 | 201...1000 | 0,0032 | 0,30 | 0,45 | ||
Миниметр или микрокатор | 0,001 мм | 10...150 | 10...100 | 0,032 | 0,25 | 0,25 | |
ДАННЫЕ ДЛЯ ОПРЕДЕЛЕНИЙ ВСПОМОГАТЕЛЬНОГО ВРЕМЕНИ НА КОНТРОЛЬНЫЕ ИЗМЕРЕНИЯ | Измерения | |||||||||
Приложение 55, лист 4 | ||||||||||
N позиции | Измерительный инструмент | Точность измерения | Диапазоны измеряемых размеров, И (D), мм | Диапазоны длин измеряемых поверхностей, l, мм | Диапазоны шагов резьбы, B, мм | Значение постоянного коэффициента и показателя степени принятого фактора | ||||
a | x | y | z | |||||||
Калибр кольцо резьбовое проходное | 1Т7 - 1Т9 (2 - 3 кл.) | 10...100 | 5..150 | 0,5...6,0 | 0,016 | 0,87 | 0,21 | - 0,90 | ||
Калибр кольцо резьбовое непроходное | 1Т7 - 1Т9 (2 - 3 кл.) | 20...100 | - | - | 0,007 | - | 0,56 | - | ||
Калибр пробка резьбовая двухстороняя | 1Т7 - 1Т9 (2 - 3 кл.) | 5...100 | 5...100 | 0,5...6,0 | 0,026 | 0,87 | 0,16 | - 0,86 | ||
Скоба резьбовая | 1Т7 - 1Т9 (2 - 3 кл.) | 25...200 | 25...300 | - | 0,0175 | 0,16 | 0,30 | - | ||
102 | Скоба резьбовая индикаторная | 0,01 мм | 25...200 | 21..300 | - | 0,035 | 0,16 | 0,30 | - | |
103 | Микрометр резьбовой | 0,01 мм | 50...100 | 25...300 | - | 0,11 | 0,10 | 0,11 | - | |
101...350 | 25...300 | - | 0,051 | 0,10 | 0,27 | - | ||||
Штангензубомер | 0,02 мм | m5...m10 | - | - | 0,33 | - | 0,32 | - | ||
106 | Св. m10 | - | - | Постоянная величина 0,9 мин. | ||||||
Оптический зубомер | 0,02 мм | m5...m10 | - | - | 0,392 | - | 0,36 | - | ||
108 | Св. m10 | - | - | Постоянная величина 1,15 мин. | ||||||
ДАННЫЕ ДЛЯ ОПРЕДЕЛЕНИЯ ВСПОМОГАТЕЛЬНОГО ВРЕМЕНИ НА КОНТРОЛЬНЫЕ ИЗМЕРЕНИЯ | Измерения | ||||||||||
Приложение 55, лист 5 | |||||||||||
N позиции | Измерительный инструмент | Характер измерения | Диапазоны показателей точности измерения, | Диапазоны длин измеряемой поверхности, l, мм | Диапазоны числа точек, n, шт. | Значение постоянного коэффициента и показателя степени принятого фактора | |||||
a | x | f | q | ||||||||
Щуп | Прерывистое измерение величины зазора по прямой и кривой (в нескольких точках) | без определения величины зазора ("проходит" или "не проходит") | 0,03...0,15 | - | 1...6 | 0,044 | - | 0,48 | - 0,23 | ||
110 | 0,151...0,5 | - | 1...6 | 0,026 | - | 0,48 | - 0,50 | ||||
111 | с определением величины зазора ("проходит" или "не пропластины) | 0,03...0,15 | - | 1...6 | 0,054 | - | 0,48 | - 0,23 | |||
0,151...0,5 | - | 1...6 | 0,033 | - | 0,48 | - 0,50 | |||||
Измерение величины зазора по длине (без отрыва щупа) | по прямой | без определения величины зазора ("проходит" или "не проходит") | 0,03...0,3 | 120...650 | - | 0,011 | 0,31 | - | - 0,25 | ||
114 | 0,31...0,5 | 120...650 | - | 0,008 | 0,31 | - | - 0,5 | ||||
115 | с определением величины зазора (подбор определенной пластины) | 0,03...0,3 | 120...650 | - | 0,056 | 0,16 | - | - 0,17 | |||
116 | 0,31...0,5 | 120...650 | - | 0,035 | 0,16 | - | - 0,53 | ||||
117 | по кривой | без определения величины зазора ("проходит" или "не проходит") | 0,03...0,3 | 120...650 | - | 0,0167 | 0,29 | - | - 0,30 | ||
118 | 0,31...0,5 | 120...650 | - | 0,012 | 0,29 | - | - 0,54 | ||||
119 | с определением величины зазора (подбор определенной пластины) | 0,03...0,3 | 120...650 | - | 0,075 | 0,15 | - | - 0,17 | |||
0,31...0,5 | 120...650 | - | 0,031 | 0,23 | - | - 0,55 | |||||
121 | Визуальный контроль чистоты | одной плоскости | Вес детали, кг, до | <= 3 | Постоянная величина 0,07 мин. | ||||||
122 | > 3 | Постоянная величина 0,11 мин. | |||||||||
123 | в нескольких плоскостях. | <= 3 | Постоянная величина 0,14 мин. | ||||||||
124 | > 3 | Постоянная величина 0,18 мин. | |||||||||
ДАННЫЕ ДЛЯ ОПРЕДЕЛЕНИЯ ВСПОМОГАТЕЛЬНОГО ВРЕМЕНИ НА КОНТРОЛЬНЫЕ ИЗМЕРЕНИЯ И СДАЧУ ДЕТАЛИ ОТК В ПРИСУТСТВИИ РАБОЧЕГО НА СТАНКАХ ДЛЯ ГЛУБОКОГО СВЕРЛЕНИЯ И РАСТАЧИВАНИЯ | Измерения | ||||||
Приложение 55, лист 6 | |||||||
N позиции | Проверяемые параметры обработанного отверстия | Характер измерения | Точность измерения | Значение постоянного коэффициента и показателя степени принятого фактора | |||
a | x | y | |||||
125 | Ось отверстия | Проверка биения индикатором | Точно | 1,035 | 0,35 | 0,21 | |
126 | Измерение толщины стенок детали на выходе инструмента | Грубо | 0,62 | 0,35 | 0,21 | ||
127 | Измерение прямолинейности оптическим прибором | по двум концам детали | Грубо | 1,0 | 0,41 | 0,25 | |
128 | Точно | 1,45 | 0,41 | 0,25 | |||
129 | по всей длине детали | Грубо | 2,23 | 0,41 | 0,25 | ||
130 | Точно | 3,2 | 0,41 | 0,25 | |||
131 | Проверка разностенности рычажным или оптическим прибором по всей длине отверстия | Грубо | 1,9 | 0,41 | 0,25 | ||
132 | Точно | 2,74 | 0,41 | 0425 | |||
133 | Точность обработки отверстия | Измерение диаметров двух концов отверстия штангенциркулем, штихмассом | Грубо | 0,38 | 0,41 | 0,25 | |
134 | Точно | 0,48 | 0,44 | 0,25 | |||
135 | Измерение звездкой по всей длине отверстия отклонений от геометрической формы | Грубо | 2,23 | 0,41 | 0,25 | ||
136 | Точно | 2,74 | 0,48 | 0,27 | |||
137 | Измерение глубины глухих отверстий | Грубо | 0,43 | 0,41 | 0,25 | ||
138 | Точно | 0,55 | 0,41 | 0,25 | |||
139 | Качество и чистота поверхности | Визуальный контроль чистоты поверхности | - | 0,45 | 0,41 | 0,25 | |
140 | Контроль через оптический прибор | пороков металла тоже с проверкой требуемой чистоты | - | 1,9 | 0,41 | 0,25 | |
141 | - | 2,74 | 0,41 | 0,25 | |||