Главная // Актуальные документы // МетодикаСПРАВКА
Источник публикации
Росгидромет, ГУ ГХИ, 2009
Примечание к документу
Документ утратил силу с 01.01.2023 без замены в связи с изданием
Приказа Росгидромета от 02.12.2022 N 771.
Документ
введен в действие с 01.02.2010.
Взамен РД 52.24.428-95.
Название документа
"РД 52.24.428-2009. Руководящий документ. Массовая концентрация общего хрома и хрома (VI) в водах. Методика выполнения измерений инверсионным вольтамперометрическим методом"
(утв. Росгидрометом 30.12.2009)
"РД 52.24.428-2009. Руководящий документ. Массовая концентрация общего хрома и хрома (VI) в водах. Методика выполнения измерений инверсионным вольтамперометрическим методом"
(утв. Росгидрометом 30.12.2009)
Заместителем Руководителя
Росгидромета
30 декабря 2009 года
РУКОВОДЯЩИЙ ДОКУМЕНТ
МАССОВАЯ КОНЦЕНТРАЦИЯ ОБЩЕГО ХРОМА
И ХРОМА (VI) В ВОДАХ. МЕТОДИКА ВЫПОЛНЕНИЯ ИЗМЕРЕНИЙ
ИНВЕРСИОННЫМ ВОЛЬТАМПЕРОМЕТРИЧЕСКИМ МЕТОДОМ
РД 52.24.428-2009
Дата введения
1 февраля 2010 года
1. Разработан Государственным учреждением Гидрохимический институт (ГУ ГХИ).
2. Разработчики: Л.И. Минина, канд. хим. наук, Т.С. Евдокимова.
3. Согласован с ГУ "НПО "Тайфун" 11.12.2009 и УМЗА Росгидромета 30.12.2009.
4. Утвержден Заместителем Руководителя Росгидромета 30.12.2009.
5. Аттестован ГУ ГХИ, свидетельство об аттестации N 88.24-2009 от 18.09.2009.
6. Зарегистрирован ЦМТР ГУ "НПО "Тайфун" за номером РД 52.24.428-2009 от 18.01.2010.
7. Взамен РД 52.24.428-95 "Методические указания. Методика выполнения измерений массовой концентрации хрома в поверхностных водах суши инверсионным вольтамперометрическим методом".
В поверхностных водах содержание хрома, как правило, не превышает 10 мкг/дм3, однако в сильно загрязненных водных объектах его концентрация может достигать сотен микрограммов в 1 дм3. В водную среду хром попадает при выщелачивании из горных пород и минералов, из почв в районах рудных месторождений. Основным источником антропогенного поступления хрома в водные объекты являются сточные воды гальванических цехов, текстильных и кожевенных предприятий, а также химических производств.
Соединения хрома присутствуют в водах в растворенном и взвешенном состояниях, соотношения между которыми обусловлены химическим составом вод, температурой, pH, Eh и другими факторами. Во взвеси доминирующее положение занимает сорбированная форма. В растворе хром может присутствовать в двух степенях окисления: Cr (III) и Cr (VI).
Cr (III) устойчив в растворе и в реальных условиях существования водных объектов далее не окисляется. Cr (VI), существующий в виде хромат- или дихромат-ионов, относительно устойчив только в аэробных условиях, при дефиците кислорода и в присутствии восстановителей он быстро восстанавливается до Cr (III).
Соединения хрома, особенно Cr (VI), токсичны и обладают канцерогенным действием. ПДК хрома (VI) для рыбохозяйственных водоемов составляет 0,02 мг/дм3, для водных объектов хозяйственно-питьевого и культурно-бытового водопользования - 0,05 мг/дм3. ПДК хрома (III) соответственно составляет 0,005 мг/дм3 и 0,5 мг/дм3.
1.1. Настоящий руководящий документ устанавливает методику выполнения измерений (далее - методика) массовой концентрации растворенных форм хрома (VI) и хрома (III) в сумме (далее - общий хром) и отдельно хрома (VI) в пробах природных и очищенных сточных вод в диапазоне от 0,5 до 10,0 мкг/дм3 инверсионным вольтамперометрическим методом.
При более высоких концентрациях хрома необходимо разбавление пробы тридистиллированной водой.
1.2. Настоящий руководящий документ предназначен для использования в лабораториях, осуществляющих наблюдения за загрязнением природных и очищенных сточных вод.
В настоящем руководящем документе использованы ссылки на следующие нормативные документы:
ГОСТ 12.1.005-88 ССБТ. Общие санитарно-гигиенические требования к воздуху рабочей зоны
ГОСТ 12.1.007-76 ССБТ. Вредные вещества. Классификация и общие требования безопасности
ГОСТ 17.1.5.04-81 Охрана природы. Гидросфера. Приборы и устройства для отбора, первичной обработки и хранения проб природных вод. Общие технические условия
ГОСТ 17.1.5.05-85 Охрана природы. Гидросфера. Общие требования к отбору проб поверхностных и морских вод, льда и атмосферных осадков
ГОСТ Р ИСО 5725-6-2002 Точность (правильность и прецизионность) методов и результатов измерений. Часть 6. Использование значений точности на практике
МИ 2881-2004 Рекомендация. ГСИ. Методики количественного химического анализа. Процедуры проверки приемлемости результатов анализа.
Примечание. Ссылки на остальные нормативные документы, приведены в
разделе 4.
3. Приписанные характеристики погрешности измерения
3.1. При соблюдении всех регламентируемых методикой условий проведения измерений характеристики погрешности результата измерения с вероятностью 0,95 не должны превышать значений, приведенных в таблице 1.
Диапазон измерений, значения характеристик погрешности
и ее составляющих при принятой вероятности P = 0,95
Диапазон измерений массовой концентрации хрома X, мкг/дм3 | Показатель повторяемости (среднеквадратическое отклонение повторяемости)  , мкг/дм3 | Показатель воспроизводимости (среднеквадратическое отклонение воспроизводимости)  , мкг/дм3 | Показатель правильности (границы систематической погрешности)  , мкг/дм3 | Показатель точности (границы погрешности)  , мкг/дм3 |
От 5,0 до 10,0 включ. | 0,07 + 0,09 · X | 0,1 + 0,14 · X | 0,25 · X | 0,46 · X |
При выполнении измерений в пробах с массовой концентрацией хрома свыше 10,0 мкг/дм3 после соответствующего разбавления границы погрешности измерения массовой концентрации хрома в исходной пробе находят по формуле

, (1)
где

- показатель точности измерения массовой концентрации хрома в разбавленной пробе, рассчитанный по зависимости, приведенной в
таблице 1;

- степень разбавления исходной пробы.
Предел обнаружения хрома 0,3 мкг/дм3.
3.2. Значения показателя точности методики используют при:
- оформлении результатов измерений, выдаваемых лабораторией;
- оценке деятельности лабораторий на качество проведения измерений;
- оценке возможности использования результатов измерений при реализации методики в конкретной лаборатории.
4. Средства измерений, вспомогательные устройства,
реактивы, материалы
4.1. Средства измерений, вспомогательные устройства
4.1.1. Полярограф ПУ-1, 5М2.840.016ТО, снабженный регистрирующим устройством, или другой полярограф.
4.1.4. Весы лабораторные среднего (III) класса точности по
ГОСТ 24104-2001 с наибольшим пределом взвешивания 200 г.
4.1.5. Государственный стандартный образец состава раствора ионов хрома ГСО 7257-96 (далее - ГСО) - 1 шт.
4.1.6. Колбы мерные 2-го класса точности исполнения 2, 2а по
ГОСТ 1770-74 вместимостью: 50 см3 - 1 шт.; 100 см3 - 6 шт.; 200 см3 - 1 шт.; 1000 см3 - 1 шт.
4.1.7. Пипетки градуированные 2-го класса точности исполнения 1, 2 по
ГОСТ 29227-91 вместимостью: 1 см3 - 7 шт.; 2 см3 - 1 шт.; 5 см3 - 2 шт.; 10 см3 - 5 шт.
4.1.8. Пипетки с одной отметкой 2-го класса точности исполнения 2 по
ГОСТ 29169-91 вместимостью 10 см3 - 4 шт.
4.1.9. Дозатор пипеточный ДПОФц по ТУ 9452-002-33189998-2002 с объемом дозирования 200 мм3 - 1 шт., 100 мм3 - 1 шт.
4.1.10. Цилиндр мерный исполнения 1, 3 по
ГОСТ 1770-74 вместимостью 100 см3.
4.1.11. Электрохимическая ячейка закрытого типа, включающая четыре вспомогательных стаканчика, электролитические мостики и кварцевый электролизер вместимостью 20 см3
(рисунок 1).
4.1.12. Насыщенный хлорсеребряный электрод (электрод сравнения) типа ЭВЛ-1М3 - 2 шт.
1 - корпус ячейки; 2 - крышка ячейки;
3 - электрод сравнения ЭВЛ-1М3; 4 - электрод рабочий;
5 - перемешивающий элемент; 6 - электрод вспомогательный;
7, 8 - вспомогательные стаканчики; 9 - кварцевый
электролизер; 10 - электролитические мостики
Рисунок 1. Электрохимическая ячейка
4.1.13. Электрод платиновый проволочный (диаметр 0,3 мм, длина 5 мм), впаянный в стеклянную трубку - 1 шт.
4.1.14. Электрод графитовый (рабочий электрод) ТГЭ, производства ООО НПВП "Ива" - 1 шт.
| | ИС МЕГАНОРМ: примечание. В официальном тексте документа, видимо, допущена опечатка: государственный стандарт имеет номер ГОСТ 25336-82, а не ГОСТ 25336-83. | |
4.1.15. Стаканы В-1, ТХС, по
ГОСТ 25336-83 вместимостью: 100 см3 - 2 шт.; 250 см3 - 1 шт.; 600 см3 - 2 шт.
4.1.16. Колбы конические Кн или плоскодонные П, исполнения 1 или 2, ХС по
ГОСТ 25336-82 вместимостью 250 см3 - 6 шт.
4.1.17. Стаканчики для взвешивания (бюксы) СВ-19/9 и СВ-24/10 по
ГОСТ 25336-82 - 3 шт.
4.1.18. Установка из стекла группы ТС для перегонки воды (круглодонная колба тип К исполнения 1с взаимозаменяемым конусом 29/32, вместимостью 2000 см3, насадка типа Н1 с взаимозаменяемыми конусами 29/32-14/23-14/23, холодильник типа ХПТ-1 исполнения 1 длиной не менее 400 мм, аллонж типа АИ с взаимозаменяемым конусом муфты 14/23) по
ГОСТ 25336-82 - 2 шт.
4.1.19. Устройство для фильтрования проб с использованием мембранных или бумажных фильтров.
4.1.20. Мешалка магнитная любого типа с перемешивающими элементами длиной 5 - 7 мм, диаметром 2 мм в тефлоновой оболочке.
4.1.22. Шкаф сушильный общелабораторного назначения.
4.1.24. Посуда стеклянная и полиэтиленовая для хранения проб и растворов вместимостью 100 см3.
Примечание. Допускается использование других типов средств измерений, посуды и вспомогательного оборудования, в том числе импортных, с характеристиками не хуже, чем у приведенных в
4.1.
4.2. Реактивы и материалы
4.2.1. Калий двухромовокислый (дихромат калия) по
ГОСТ 4220-75, х.ч. (при отсутствии ГСО).
4.2.4. 1,5-дифенилкарбазид по ТУ 6-09-07-1672-89, ч.д.а.
4.2.5. Ацетон по ТУ 2633-039-44493179-00, ос.ч.
4.2.6. Аммоний надсернокислый (персульфат аммония) по
ГОСТ 20478-75, ч.д.а.
4.2.7. Калий марганцовокислый (перманганат калия) по
ГОСТ 20490-75, ч.д.а.
4.2.9. Натрия гидроокись (гидроксид натрия) по
ГОСТ 4328-77, ч.д.а.
4.2.10. Фильтры бумажные обеззоленные "синяя лента" по ТУ 6-09-1678-86.
4.2.11. Фильтры мембранные "Владипор МФАС-ОС-2", 0,45 мкм, по ТУ 6-55-221-1-29-89 или другого типа, равноценные по характеристикам.
Примечание. Допускается использование реактивов, изготовленных по другой нормативной и технической документации, в том числе импортных, с квалификацией не ниже указанной в
4.2.
Определение основано на электрохимическом концентрировании комплекса хрома с дифенилкарбазидом из анализируемого раствора на поверхности графитового электрода (при потенциале 0,35 В) с последующей регистрацией величины максимального катодного тока при электрорастворении осадка. Величина аналитического сигнала, регистрируемого в катодной стадии, функционально зависит от концентрации ионов хрома в анализируемом растворе.
6. Требования безопасности, охраны окружающей среды
6.1. При выполнении измерений массовой концентрации хрома в пробах природных и очищенных сточных вод соблюдают требования безопасности, установленные в национальных стандартах и соответствующих нормативных документах.
6.2. По степени воздействия на организм вредные вещества, используемые при выполнении измерений, относятся ко 2 и 3 классам опасности по
ГОСТ 12.1.007.
6.3. Содержание используемых вредных веществ в воздухе рабочей зоны не должно превышать установленных предельно допустимых концентраций в соответствии с
ГОСТ 12.1.005.
6.4. Вредно действующие вещества подлежат сбору и утилизации в соответствии с установленными правилами.
6.5. Дополнительных требований по экологической безопасности не предъявляется.
7. Требования к квалификации операторов
К выполнению измерений и обработке их результатов допускаются лица с высшим профессиональным образованием или со средним профессиональным образованием и стажем работы в лаборатории не менее года, освоившие методику.
8. Условия выполнения измерений
При выполнении измерений в лаборатории должны быть соблюдены следующие условия:
- температура окружающего воздуха (22 +/- 5) °C;
- атмосферное давление от 84,0 до 106,7 кПа (от 630 до 800 мм рт. ст.);
- влажность воздуха не более 80% при 25 °C;
- напряжение в сети (220 +/- 10) В;
- частота переменного тока в сети питания (50 +/- 1) Гц.
Мешающее влияние взвешенных и коллоидных веществ устраняют предварительным фильтрованием пробы. Пробы фильтруют через мембранный фильтр с диаметром пор 0,45 мкм, очищенный кипячением в течение 20 мин в 1%-ном растворе соляной кислоты и двукратным кипячением в бидистиллированной воде. Допустимо использование бумажных фильтров "синяя лента". При фильтровании через любой фильтр первые порции фильтрата отбрасывают. Фильтрат подкисляют концентрированной соляной кислотой из расчета 5 см3 на 1 дм3 воды и хранят до анализа в полиэтиленовой посуде.
Хром (VI) является неустойчивым компонентом, поэтому определение его следует проводить как можно быстрее после отбора пробы. Хранят пробу в стеклянной посуде в темноте при комнатной температуре не более 2 ч с момента отбора, в холодильнике - не более 8 ч.
10. Подготовка к выполнению измерений
10.1. Приготовление растворов и реактивов
10.1.1. Раствор серной кислоты, 3 моль/дм3
К 50 см3 тридистиллированной воды добавляют при перемешивании 16,7 см3 концентрированной серной кислоты. После охлаждения содержимое стакана количественно переносят в мерную колбу вместимостью 100 см3 и доводят объем раствора до метки на колбе тридистиллированной водой. Хранят в склянке с притертой пробкой.
10.1.2. Раствор серной кислоты, 0,5 моль/дм3
В мерную колбу вместимостью 100 см3 вносят небольшое количество тридистиллированной воды, добавляют 2,8 см3 концентрированной серной кислоты и доводят объем раствора до метки на колбе тридистиллированной водой. Хранят в склянке с притертой пробкой.
10.1.3. Раствор серной кислоты, 0,3 моль/дм3
В мерную колбу вместимостью 100 см3 вносят небольшое количество тридистиллированной воды, добавляют 1,7 см3 концентрированной серной кислоты и доводят объем раствора до метки на колбе тридистиллированной водой. Хранят в склянке с притертой пробкой.
10.1.4. Раствор серной кислоты, 0,02 моль/дм3
В мерную колбу вместимостью 100 см3 вносят небольшое количество тридистиллированной воды, добавляют 0,7 см3 раствора серной кислоты концентрацией 3 моль/дм3 и доводят объем раствора до метки на колбе тридистиллированной водой. Хранят в склянке с притертой пробкой.
10.1.5. Раствор дифенилкарбазида, 0,0025%-ный
Переносят 0,00125 г дифенилкарбазида в сухую мерную колбу со шлифом вместимостью 50 см3, приливают 0,5 см3 ацетона и растворяют. Доводят объем раствора до метки на колбе раствором серной кислоты концентрацией 0,02 моль/дм3. Хранят в склянке из темного стекла с притертой пробкой не более 7 дн.
10.1.6. Раствор персульфата аммония, 0,3%-ный
Растворяют 0,3 г персульфата аммония в 100 см3 тридистиллированной воды. Используют в день приготовления.
10.1.7. Раствор гидроксида натрия, 4%-ный
В 200 см3 дистиллированной воды растворяют 8 г гидроксида натрия. Хранят в плотно закрытой полиэтиленовой посуде.
10.1.8. Раствор перманганата калия, 10%-ный
В 90 см3 4%-ного раствора гидроксида натрия растворяют 10 г перманганата калия. Хранят в склянке из темного стекла не более 1 мес.
10.1.9. Бидистиллированная вода
В стеклянную колбу аппарата для получения бидистиллированной воды наливают дистиллированную воду, добавляют 2 - 3 см3 щелочного раствора перманганата калия и осуществляют перегонку. Хранят не более 10 дн в полиэтиленовой посуде.
10.1.10. Тридистиллированная вода
Бидистиллированную воду помещают в перегонную колбу аппарата для получения бидистиллированной воды и перегоняют. Хранят не более 5 дней в полиэтиленовой посуде.
10.1.11. Насыщенный раствор хлорида калия
В 140 см3 тридистиллированной воды, нагретой до 50 - 60 °C, растворяют 60 г хлорида калия. Раствор охлаждают и отделяют от осадка декантацией.
10.2. Приготовление градуировочных растворов
10.2.1. Градуировочные растворы готовят из ГСО с массовой концентрацией хрома (VI) 1,00 мг/см3.
10.2.2. При использовании ГСО содержимое ампулы переносят в сухую чистую пробирку, отбирают 1,0 см3 образца с помощью градуированной пипетки вместимостью 1 см3 и переносят в мерную колбу вместимостью 200 см3. Доводят объем раствора до метки тридистиллированной водой и перемешивают. Полученному раствору приписывают массовую концентрацию хрома 5,0 мг/дм3.
Раствор хранят в плотно закрытой склянке из темного стекла в холодильнике 1 мес.
10.2.3. Для приготовления градуировочного раствора N 1 пипеткой с одной отметкой вместимостью 10 см3 отбирают 10,0 см3 градуировочного раствора с массовой концентрацией 5,0 мг/дм3, помещают его в мерную колбу вместимостью 100 см3 и доводят до метки тридистиллированной водой. Массовая концентрация хрома в градуировочном растворе N 1 составит 0,50 мг/дм3. Раствор готовят в день использования.
10.2.4. Для приготовления градуировочного раствора N 2 градуированной пипеткой вместимостью 1 см3 отбирают 1,0 см3 раствора с массовой концентрацией 5,0 мг/дм3, помещают его в мерную колбу вместимостью 100 см3 и доводят до метки тридистиллированной водой. Массовая концентрация хрома в градуировочном растворе N 2 составит 0,05 мг/дм3. Раствор готовят в день использования.
10.2.5. При отсутствии ГСО допускается использовать аттестованный раствор, приготовленный из дихромата калия. Методика приготовления аттестованного раствора приведена в
Приложении А.
10.3. Требования к проведению измерений
10.3.1. Измерения проводят для двух частей пробы.
В процессе анализа одной части пробы после каждого измерения аналитического сигнала производят электрохимическую регенерацию электрода тремя циклами развертки потенциала при перемешивании раствора для отвода продуктов восстановления от поверхности электрода, устанавливая на полярографе время задержки потенциала 0,1 с. Конечный потенциал от минус 0,45 до минус 0,50 В.
При переходе к анализу новой пробы необходимо торец электрода механически зачистить скальпелем и обмыть тридистиллированной водой. Непосредственно перед измерением аналитического сигнала необходима выдержка электролита без перемешивания в течение 30 с.
10.3.2. Чистоту применяемой посуды и реактивов контролируют проведением измерения аналитического сигнала фонового электролита (холостой опыт). Оптимальными являются такое качество реактивов и чистота посуды, когда обеспечивается аналитический сигнал фонового электролита, равный или близкий к нулю. В противном случае устанавливают причину загрязнения и устраняют ее.
10.3.3. Все измерения для одной части пробы проводят при одинаковой чувствительности потенциометра.
10.3.4. Для получения достоверного результата одной части пробы регистрируют не менее 3-х измерений аналитического сигнала электрохимического восстановления Cr (VI) и для одной точки графика берут среднее значение аналитического сигнала.
10.4. Мешающие влияния и их устранение
Органические вещества в концентрациях, соответствующих их содержанию в поверхностных водах, не оказывают мешающего влияния на результаты определения хрома, и оно возможно без предварительной подготовки пробы.
Мешающее влияние взвешенных и коллоидных веществ устраняют предварительным фильтрованием пробы.
11.1. Измерение аналитического сигнала в фоновом электролите
В кварцевый электролизер электрохимической ячейки, тщательно вымытый концентрированной серной кислотой и многократно промытый тридистиллированной водой, помещают 0,5 см3 раствора серной кислоты концентрацией 3 моль/дм3, 0,1 см3 концентрированной ортофосфорной кислоты и приливают 9 см3 тридистиллированной воды. Раствор перемешивают в течение 10 мин, добавляют 0,5 см3 раствора дифенилкарбазида и продолжают перемешивать для образования комплекса в течение 15 мин.
Вспомогательные емкости и электролитические мостики заполняют раствором серной кислоты концентрацией 0,3 моль/дм3. Электролизер и вспомогательные емкости соединяют электролитическими мостиками. Графитовый электрод, механически очищенный скальпелем, опускают в электролизер. Платиновый и насыщенный хлорсеребряный электроды, служащие вспомогательным и электродом сравнения, помещают во вспомогательные емкости. На полярографе ПУ-1 устанавливают диапазон тока 10 x 1, дифференцирование +10, вид полярографии - постоянно-токовая, амплитуда развертки 0,73 В, скорость развертки потенциала 50 мВ/с.
Включают магнитную мешалку и проводят электролиз при перемешивании раствора и потенциале 0,35 В относительно насыщенного хлорсеребряного электрода в течение 2 - 3 мин. Затем отключают магнитную мешалку и через 30 с регистрируют аналитический сигнал фонового электролита в стадии электровосстановления хрома. Аналитический сигнал фонового электролита

регистрируют 3 раза. Для расчетов используют среднее значение трех измерений. Далее включают магнитную мешалку и проводят электрохимическую регенерацию поверхности рабочего электрода.
11.2. Измерение аналитического сигнала в фоновом электролите с добавками
В режиме регенерации электрода в электролизер последовательно вводят две добавки по 0,3 см3 градуировочного раствора N 2, перемешивая каждый раствор для образования комплекса в течение 15 мин. После введения каждой добавки проводят электролиз полученных растворов с концентрациями добавок

и

и регистрируют трижды величины аналитических сигналов

и

в условиях, аналогичных
11.1.
Выполнение процедур, описанных в
11.1 и
11.2, осуществляют при замене раствора одного или более реактивов, используемых в определении.
11.3. Выполнение измерений массовой концентрации хрома (VI)
В электролизер электрохимической ячейки помещают 0,5 см3 раствора серной кислоты концентрацией 3 моль/дм3, 0,1 см3 концентрированной ортофосфорной кислоты, приливают 9 см3 анализируемой пробы воды и выполняют измерение аналитического сигнала пробы

согласно
11.1.
11.4. Измерение аналитического сигнала в пробе с добавками
В соответствии с рекомендациями таблицы 2 в электролизер с пробой последовательно вводят две добавки

и

градуировочного раствора хрома и выполняют измерение аналитических сигналов в пробе с добавками

и

согласно
11.1.
Объемы и концентрации добавок градуировочных растворов
Диапазон измеряемых концентраций хрома, мкг/дм3 | Объем добавок градуировочного раствора, см3 | Концентрация градуировочного раствора, мкг/дм3 | Концентрация хрома в анализируемом растворе, мкг/дм3 |
| | | |
0,5 - 3,0 | 0,3 | 0,3 | 50 | 1,5 | 3,0 |
2,5 - 10,0 | 0,1 | 0,1 | 500 | 5,0 | 10,0 |
11.5. Выполнение измерений массовой концентрации общего хрома
100 см3 анализируемой пробы воды вносят в коническую колбу вместимостью 250 см3, приливают 0,3 см3 раствора серной кислоты с концентрацией 0,5 моль/дм3, 7 см3 0,3%-ного раствора персульфата аммония и кипятят полученную смесь в течение 30 мин для окисления хрома (III) до хрома (VI). Раствор охлаждают, количественно переносят его в мерную колбу вместимостью 100 см3 и доводят объем до метки на колбе тридистиллированной водой. Анализируют 9 см3 пробы в соответствии с
11.3 и
11.4.
12. Вычисление и оформление результатов измерений
12.1. Массовую концентрацию хрома (VI) (при выполнении измерений согласно
11.3) и хрома общего (при выполнении измерений согласно
11.5) в анализируемой пробе X, мкг/дм3, вычисляют по формуле

. (2)
Если

, то массовую концентрацию хрома (VI) и хрома общего в анализируемой пробе X, мкг/дм3, вычисляют по формуле

. (3)
12.2. Результат измерения в документах, предусматривающих его использование, представляют в виде:

, мкг/дм3 (P = 0,95), (4)
где

- среднее арифметическое значение двух результатов, разность между которыми не превышает предела повторяемости

; при превышении предела повторяемости поступают в соответствии с
13.2;

- границы характеристики погрешности результата измерения для данной массовой концентрации хрома, мкг/дм3 (см.
таблицу 1).
Численные значения результата измерений должны оканчиваться цифрой того же разряда, что и значения характеристики погрешности; последние не должны содержать более двух значащих цифр.
12.3. Допустимо представлять результат в виде

(P = 0,95) при условии

, (5)
где

- границы характеристики погрешности результатов измерений, установленные при реализации методики в лаборатории и обеспечиваемые контролем стабильности результатов измерений, мкг/дм3.
Примечание. Допустимо характеристику погрешности результатов измерений при внедрении методики в лаборатории устанавливать на основе выражения

с последующим уточнением по мере накопления информации в процессе контроля стабильности результатов измерений.
12.4. Результаты измерения оформляют протоколом или записью в журнале, по формам, приведенным в Руководстве по качеству лаборатории.
13. Контроль качества результатов измерений
при реализации методики в лаборатории
13.1. Общие положения
13.1.1. Контроль качества результатов измерений при реализации методики в лаборатории предусматривает:
- оперативный контроль исполнителем процедуры выполнения измерений (на основе оценки повторяемости и погрешности при реализации отдельно взятой контрольной процедуры);
- контроль стабильности результатов измерений (на основе контроля стабильности среднеквадратического отклонения повторяемости, внутрилабораторной прецизионности, погрешности).
13.1.2. Периодичность контроля исполнителем процедуры выполнения измерений, а также реализуемые процедуры контроля стабильности результатов выполняемых измерений регламентируются в Руководстве по качеству лаборатории.
13.2. Алгоритм оперативного контроля повторяемости
13.2.1. Оперативный контроль повторяемости осуществляют для каждого из результатов измерений, полученных в соответствии с методикой. Для этого отобранную пробу воды делят на две части, и выполняют анализ в соответствии с
разделом 11.
13.2.2. Результат контрольной процедуры

, мкг/дм3, рассчитывают по формуле

, (6)
где

,

- результаты параллельных измерений массовой концентрации хрома в пробе воды, мкг/дм3.
13.2.3. Предел повторяемости

, мкг/дм3, рассчитывают по формуле

, (7)
где

- показатель повторяемости методики, мкг/дм3 (см.
таблицу 1).
13.2.4. Результат контрольной процедуры должен удовлетворять условию

. (8)
13.2.5. При несоблюдении
условия (8) выполняют еще два измерения и сравнивают разницу между максимальным и минимальным результатами с нормативом контроля равным

. В случае повторного превышения предела повторяемости поступают в соответствии с
разделом 5 ГОСТ Р ИСО 5725-6.
13.2.6. Периодичность оперативного контроля исполнителем процедуры выполнения измерений, а также реализуемые процедуры контроля стабильности результатов выполнения измерений регламентируются в Руководстве по качеству лаборатории.
14. Проверка приемлемости результатов,
полученных в условиях воспроизводимости
14.1. Расхождение между результатами измерений, полученными в двух лабораториях, не должно превышать предела воспроизводимости. При выполнении этого условия приемлемы оба результата измерений и в качестве окончательного может быть использовано их общее среднее значение. Значение предела воспроизводимости рассчитывают по формуле

. (9)
14.2. При превышении предела воспроизводимости могут быть использованы методы оценки приемлемости результатов измерений согласно
разделу 5 ГОСТ Р ИСО 5725-6 или
МИ 2881.
14.3. Проверка приемлемости проводится при необходимости сравнения результатов измерений, полученных двумя лабораториями.
(рекомендуемое)
ПРИГОТОВЛЕНИЯ АТТЕСТОВАННЫХ РАСТВОРОВ ХРОМА
АР1-Cr, АР2-Cr, АР3-Cr, АР4-Cr
А.1. Назначение и область применения
Настоящая методика регламентирует процедуру приготовления аттестованных растворов хрома, предназначенных для установления градуировочных характеристик приборов и контроля погрешности результатов измерений массовой концентрации хрома в пробах поверхностных и очищенных сточных вод инверсионным вольтамперометрическим методом.
А.2. Метрологические характеристики
Метрологические характеристики аттестованных растворов приведены в таблице А.1.
Таблица А.1
Метрологические характеристики аттестованных растворов хрома
Наименование характеристики | Значение характеристики для аттестованных растворов |
АР1-Cr | АР2-Cr | АР3-Cr | АР4-Cr |
Аттестованное значение массовой концентрации хрома, мг/дм3 | 1000,0 | 5,00 | 0,50 | 0,05 |
Границы погрешности аттестованного значения массовой концентрации хрома, мг/дм3, (P = 0,95) | +/- 1,3 | +/- 0,05 | +/- 0,01 | +/- 0,001 |
А.3. Средства измерений, вспомогательные устройства, реактивы
А.3.2. Колбы мерные 2-го класса точности исполнения 2 по
ГОСТ 1770-74 вместимостью:
1000 см3 - 1 шт., 200 см3 - 1 шт., 100 см3 - 2 шт.
А.3.3. Пипетка с одной отметкой 2-го класса точности исполнения 2 по
ГОСТ 29169-91 вместимостью 10 см3 - 1 шт.
А.3.4. Пипетка градуированная 2-го класса точности исполнения 1, 2 по
ГОСТ 29227-91 вместимостью 1 см3 - 2 шт.
А.3.5. Стаканчик для взвешивания (бюкс) СВ-19/9 по
ГОСТ 25336-82.
А.3.8. Эксикатор исполнения 2, диаметром корпуса 100 мм или 190 мм по
ГОСТ 25336-82.
А.3.9. Шкаф сушильный общелабораторного назначения.
А.3.10. Хлорид кальция обезвоженный по ТУ 6-09-4711-81, ч. (для эксикатора).
А.3.11. Склянка из темного стекла с пробкой.
А.4. Исходные компоненты аттестованных растворов
А.4.1. Калий двухромовокислый (дихромат калия) по
ГОСТ 4220-75, х.ч. с содержанием основного вещества

не менее 99,9%.
А.4.3. Вода бидистиллированная.
А.4.4. Вода тридистиллированная.
А.5. Процедура приготовления аттестованных растворов
А.5.1. Для приготовления аттестованного раствора АР1-Cr взвешивают в бюксе с точностью до четвертого знака после запятой 2,8300 г дихромата калия, предварительно высушенного в сушильном шкафу при температуре 105 - 110 °C в течение 1 ч и охлажденного до комнатной температуры в эксикаторе над хлоридом кальция. Количественно переносят навеску в мерную колбу вместимостью 1000 см3, растворяют в тридистиллированной воде, доводят объем раствора до метки и перемешивают.
Полученному раствору приписывают массовую концентрацию хрома 1000,0 мг/дм3.
А.5.2. Для приготовления аттестованного раствора АР2-Cr градуированной пипеткой вместимостью 1 см3 отбирают 1,0 см3 раствора АР1-Cr, помещают его в мерную колбу вместимостью 200 см3, доводят до метки тридистиллированной водой и перемешивают. Переносят раствор в темную склянку с плотно закрывающейся пробкой.
Полученному раствору приписывают массовую концентрацию хрома 5,00 мг/дм3.
А.5.3. Для приготовления аттестованного раствора АР3-Cr пипеткой с одной отметкой вместимостью 10 см3 отбирают 10,0 см3 раствора АР2-Cr, помещают его в мерную колбу вместимостью 100 см3, доводят до метки тридистиллированной водой и перемешивают. Переносят раствор в темную склянку с плотно закрывающейся пробкой.
Полученному раствору приписывают массовую концентрацию хрома 0,50 мг/дм3.
А.5.4. Для приготовления аттестованного раствора АР4-Cr градуированной пипеткой вместимостью 1 см3 отбирают 1,0 см3 раствора АР2-Cr, помещают его в мерную колбу вместимостью 100 см3, доводят до метки тридистиллированной водой и перемешивают. Переносят раствор в темную склянку с плотно закрывающейся пробкой.
Полученному раствору приписывают массовую концентрацию хрома 0,05 мг/дм3.
А.6. Расчет метрологических характеристик аттестованных растворов
А.6.1. Аттестованное значение массовой концентрации хрома в растворе АР1-Cr

, мг/дм3, рассчитывают по формуле

, (А.1)
где m - масса навески дихромата калия, г;
52,00 - молярная масса хрома, г/моль;
V - вместимость мерной колбы, см3;
294,17 - молярная масса дихромата калия, г/моль.
А.6.2. Аттестованное значение массовой концентрации хрома в растворе АР2-Cr

, мг/дм3, рассчитывают по формуле

. (А.2)
где

- объем раствора АР1-Cr, отбираемый пипеткой, см3;

- вместимость мерной колбы, см3.
А.6.3. Аттестованное значение массовой концентрации хрома в растворе АР3-Cr

, мг/дм3, рассчитывают по формуле

. (А.3)
где

- объем раствора АР2-Cr, отбираемый пипеткой, см3;

- вместимость мерной колбы, см3.
А.6.4. Аттестованное значение массовой концентрации хрома в растворе АР4-Cr

, мг/дм3, рассчитывают по формуле

. (А.4)
где

- объем раствора АР2-Cr, отбираемый пипеткой, см3.
А.6.5. Расчет предела возможных значений погрешности приготовления аттестованного раствора АР1-Cr

с массовой концентрацией хрома 1000,0 мг/дм3 выполняют по формуле

, (А.5)
где

- предельное значение возможного отклонения массовой доли основного вещества в реактиве от приписанного значения

;

- массовая доля основного вещества (дихромата калия) в реактиве, приписанная реактиву квалификации х.ч.;

- предельная возможная погрешность взвешивания, г;

- предельное значение возможного отклонения вместимости мерной колбы от номинального значения, см3.
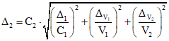
Предел возможных значений погрешности приготовления аттестованного раствора АР1-Cr

.
А.6.6. Расчет предела возможных значений погрешности приготовления аттестованного раствора АР2-Cr

с массовой концентрацией хрома 5,00 мг/дм3 выполняют по формуле

, (А.6)
где

- предельное значение возможного отклонения вместимости мерной колбы от номинального значения, см3.

- предельное значение возможного отклонения объема раствора, отбираемого пипеткой, от номинального значения, см3.
Предел возможных значений погрешности приготовления аттестованного раствора АР2-Cr

.
А.6.7. Расчет предела возможных значений погрешности приготовления аттестованных растворов АР3-Cr

и АР4-Cr

с массовой концентрацией хрома (VI) 0,50 и 0,05 мг/дм3, соответственно, выполняют по формуле

, (А.7)
где

- приписанное растворам АР3-Cr, АР4-Cr i-ое (i = 3, 4) значение массовой концентрации хрома, мг/дм3;

- вместимость мерной колбы, см3;

- предельное значение возможного отклонения вместимости мерной колбы от номинального значения, см3.

- i-ое значение номинального объема раствора, отбираемого пипеткой, см3;

- предельное значение возможного отклонения объема раствора, отбираемого пипеткой, от номинального значения, см3.
Предел возможных значений погрешности приготовления аттестованного раствора АР3-Cr

.
Предел возможных значений погрешности приготовления аттестованного раствора АР4-Cr

.
А.7. Требования безопасности
Необходимо соблюдать общие требования техники безопасности при работе в химических лабораториях.
А.8. Требования к квалификации операторов
Аттестованный раствор может готовить инженер или лаборант со средним профессиональным образованием, прошедший специальную подготовку и имеющий стаж работы в химической лаборатории не менее 6 мес.
А.9. Требования к маркировке
На склянку с аттестованным раствором должна быть наклеена этикетка с указанием условного обозначения раствора, величины массовой концентрации хрома, погрешности ее установления и даты приготовления раствора.
А.10. Условия хранения
Аттестованный раствор АР1-Cr следует хранить в холодильнике в плотно закрытой склянке из темного стекла не более 1 мес.
Аттестованные растворы АР2-Cr, АР3-Cr и АР4-Cr хранению не подлежат.
ФЕДЕРАЛЬНАЯ СЛУЖБА ПО ГИДРОМЕТЕОРОЛОГИИ
И МОНИТОРИНГУ ОКРУЖАЮЩЕЙ СРЕДЫ
ГОСУДАРСТВЕННОЕ УЧРЕЖДЕНИЕ "ГИДРОХИМИЧЕСКИЙ ИНСТИТУТ"
СВИДЕТЕЛЬСТВО
ОБ АТТЕСТАЦИИ МЕТОДИКИ ВЫПОЛНЕНИЯ ИЗМЕРЕНИЙ N 88.24-2009
Методика выполнения измерений массовой концентрации общего хрома и хрома (VI) в поверхностных водах инверсионным вольтамперометрическим методом,
разработанная Государственным учреждением "Гидрохимический институт" (ГУ ГХИ)
и регламентированная РД 52.24.428-2009 Массовая концентрация общего хрома и хрома (VI) в водах. Методика выполнения измерений инверсионным вольтамперометрическим методом,
Аттестация осуществлена по результатам экспериментальных исследований.
В результате аттестации установлено, что методика выполнения измерений соответствует предъявляемым к ней метрологическим требованиям и обладает метрологическими характеристиками, приведенными в таблицах 1 и
2.
Таблица 1
Диапазон измерений, значения характеристик
погрешности измерений и ее составляющих
при принятой вероятности P = 0,95
Диапазон измерений массовых концентраций хрома X, мкг/дм3 | Показатель повторяемости (среднеквадратическое отклонение повторяемости)  , мкг/дм3 | Показатель воспроизводимости (среднеквадратическое отклонение воспроизводимости)  , мкг/дм3 | Показатель правильности (границы систематической погрешности)  , мкг/дм3 | Показатель точности (границы погрешности)  , мкг/дм3 |
От 5,0 до 10,0 включ. | 0,07 + 0,09 · X | 0,1 + 0,14 · X | 0,25 · X | 0,46 · X |
Таблица 2
Диапазон измерений, значения пределов
повторяемости и воспроизводимости
при принятой вероятности P = 0,95
Диапазон измеряемых массовых концентраций хрома, X, мкг/дм3 | Предел повторяемости (для двух результатов параллельных определений) r, мкг/дм3 | Предел воспроизводимости (для двух результатов измерений) R, мкг/дм3 |
От 0,5 до 10,0 включ. | 0,19 + 0,25 · X | 0,28 + 0,39 · X |
При реализации методики в лаборатории обеспечивают:
- оперативный контроль исполнителем процедуры выполнения измерений (на основе оценки повторяемости при реализации отдельно взятой контрольной процедуры);
- контроль стабильности результатов измерений (на основе контроля стабильности среднеквадратического отклонения повторяемости).
Периодичность оперативного контроля и процедуры контроля стабильности результатов выполнения измерений регламентируют в Руководстве по качеству лаборатории.
Дата выдачи свидетельства 18.09.2009.
Директор
А.М.НИКАНОРОВ
Главный метролог
А.А.НАЗАРОВА