Главная // Актуальные документы // МетодикаСПРАВКА
Источник публикации
Ростов-на-Дону: Росгидромет, ФГБУ "ГХИ", 2013
Примечание к документу
Применение данного документа без обновления продлено до 01.03.2030
Приказом Росгидромета от 28.11.2023 N 575.
Документ
введен в действие с 01.07.2013.
Название документа
"РД 52.24.529-2013. Руководящий документ. Массовая концентрация полихлорфенолов в водах. Методика измерений газохроматографическим методом после дериватизации ангидридом монохлоруксусной кислоты"
(утв. Росгидрометом 15.07.2013)
"РД 52.24.529-2013. Руководящий документ. Массовая концентрация полихлорфенолов в водах. Методика измерений газохроматографическим методом после дериватизации ангидридом монохлоруксусной кислоты"
(утв. Росгидрометом 15.07.2013)
Заместителем Руководителя
Росгидромета
15 июля 2013 года
РУКОВОДЯЩИЙ ДОКУМЕНТ
МАССОВАЯ КОНЦЕНТРАЦИЯ ПОЛИХЛОРФЕНОЛОВ В ВОДАХ
МЕТОДИКА ИЗМЕРЕНИЙ ГАЗОХРОМАТОГРАФИЧЕСКИМ МЕТОДОМ
ПОСЛЕ ДЕРИВАТИЗАЦИИ АНГИДРИДОМ МОНОХЛОРУКСУСНОЙ КИСЛОТЫ
РД 52.24.529-2013
Дата введения
1 июля 2013 года
1 РАЗРАБОТАН федеральным государственным бюджетным учреждением "Гидрохимический институт" (ФГБУ "ГХИ")
2 РАЗРАБОТЧИКИ Ю.А. Андреев, В.Е. Морозова
3 СОГЛАСОВАН с ФГБУ "НПО "Тайфун" 30.05.2013 и УМЗА Росгидромета 12.07.2013
4 УТВЕРЖДЕН Заместителем Руководителя Росгидромета 15.07.2013
5 АТТЕСТОВАН ФГБУ "ГХИ", свидетельство об аттестации методики измерений N 529.01.00175-2012 от 03.12.2012
6 ЗАРЕГИСТРИРОВАН ЦМТР ФГБУ "НПО "Тайфун" за номером РД 52.24.529-2013 от 02.08.2013
7 ВВЕДЕН ВПЕРВЫЕ
Полихлорфенолы (хлорированные фенолы, хлорфенолы) - группа производных фенола, содержащих в бензольном кольце два и более атома хлора, в природе не встречаются, они имеют исключительно техногенное происхождение. Производные фенола очень широко используются практически во всех областях промышленности: в производстве лаков и красок, синтетических смол, пластификаторов, поверхностно-активных и дубильных веществ, ядохимикатов, стабилизаторов, антисептиков и др., что является причиной их высокого содержания в окружающей среде по сравнению с другими распространенными классами приоритетных органических загрязнителей.
Широкое применение получили хлорпроизводные фенола благодаря их биоцидным свойствам: 2,4-дихлорфенол - промежуточный продукт при промышленном производстве гербицида 2,4-Д и родственных ему пестицидов; пентахлорфенол используется в составе препаратов для консервации древесины; 2,4,5-трихлорфенол является фунгицидом, а 2,4,6-трихлорфенол - антисептиком. Хлорпроизводные фенола - токсичные вещества, которые образуются также и при хлорировании воды с целью ее обеззараживания. Следует отметить, что полихлорфенолы имеют низкие пороговые концентрации по запаху и привкусу воды, равные 1 мкг/дм3. Большие количества хлорированных фенолов образуются при отбеливании целлюлозы. Поступление полихлорфенолов в водные объекты обусловлено ливневым стоком или сбросом сточных вод.
Главная опасность полихлорфенолов для окружающей среды и человека состоит в том, что при конденсации двух молекул полихлорфенолов возможно образование чрезвычайно токсичных ксенобиотиков - полихлорированных дибензо-п-диоксинов, предельно-допустимые концентрации (ПДК) которых могут быть в миллион раз меньше, чем исходных веществ.
Биохимическая устойчивость полихлорфенолов в комплексе с другими физико-химическими свойствами (растворимость в липидах, сорбция на взвешенных частицах, аккумуляция донными отложениями, водными растениями и животными и т.д.) обусловливает их накопление в донных отложениях рек и озер, за счет чего возникает опасность вторичного загрязнения водных объектов. Высокая токсичность по отношению к гидробионтам делают необходимым систематический контроль содержания полихлорфенолов в воде.
ПДК, лимитирующие показатели вредности (ЛПВ) и классы опасности полихлорфенолов в водах различного типа приведены в
таблице 1.
Таблица 1
Значения ПДК, ЛПВ и классы опасности полихлорфенолов
Наименование полихлорфенола | Питьевая вода | Вода водных объектов |
хозяйственно-питьевого и культурно-бытового водопользования | рыбохозяйственного значения |
ПДК, мг/дм3 | ЛПВ, класс опасности | ПДК, мг/дм3 | ЛПВ, класс опасности | ПДК, мг/дм3 | ЛПВ, класс опасности |
2,4-Дихлорфенол | - | - | - | - | 0,0001 | |
Дихлорфенолы | 0,002 | | - | - | - | - |
Трихлорфенолы | 0,004 | - | - | - | - |
2,4,6-Трихлорфенол | - | - | - | - | 0,0001 | |
2,3,4,6-Тетрахлорфенол | - | - | 0,001 | орг. зап. <1>, 4 | - | - |
Пентахлорфенол | - | - | 0,009к | | - | - |
Пентахлорфенолят натрия | - | - | 0,009 | 0,0005 | |
<*> - орг. - органолептический с расшифровкой характера изменения органолептических свойств воды (зап. - изменяет запах воды, привк. - придает воде привкус), с.-т. - санитарно-токсикологический; токс. - токсикологический. Примечание - 1. Знак "-" означает отсутствие данных. 2. Знак "к" означает канцероген. |
1.1 Настоящий руководящий документ устанавливает методику измерений (далее - методика) массовой концентрации полихлорфенолов: 2,3-, 3,4-дихлорфенола в диапазоне от 0,090 до 2,50 мкг/дм
3; 2,4-, 2,5- и 3,5-дихлорфенолов - от 0,070 до 2,00 мкг/дм
3; 2,6-дихлорфенола - от 0,100 до 3,20 мкг/дм
3; 2,3,4-трихлорфенола - от 0,060 до 1,80 мкг/дм
3; 2,3,5-трихлорфенола - от 0,050 до 1,50 мкг/дм
3; 2,3,6- и 2,4,6-трихлорфенолов - от 0,040 до 1,50 мкг/дм
3; 2,4,5-трихлорфенола - от 0,080 до 2,20 мкг/дм
3; 3,4,5-трихлорфенола - от 0,070 до 2,00 мкг/дм
3; 2,3,4,5-, 2,3,4,6- и 2,3,5,6-тетрахлорфенолов и пентахлорфенола - от 0,040 до 1,50 мкг/дм
3 в пробах питьевых, природных и очищенных сточных вод газохроматографическим методом.
1.2 При анализе проб с массовой концентрацией полихлорфенолов, превышающей верхнюю границу указанного в
1.1 диапазона, допускается выполнение измерений после разбавления экстракта в соответствии с
10.3 или уменьшении объема анализируемой пробы.
1.3 Настоящий руководящий документ предназначен для использования в лабораториях, осуществляющих наблюдения за загрязнением природных и очищенных сточных вод.
В настоящем руководящем документе использованы ссылки на следующие нормативные документы:
ГОСТ 12.1.005-88 ССБТ. Общие санитарно-гигиенические требования к воздуху рабочей зоны
ГОСТ 12.1.007-76 ССБТ. Вредные вещества. Классификация и общие требования безопасности
ГОСТ 17.1.5.04-81 Охрана природы. Гидросфера. Приборы и устройства для отбора, первичной обработки и хранения проб природных вод. Общие технические условия
ГОСТ 17.1.5.05-85 Охрана природы. Гидросфера. Общие требования к отбору проб поверхностных и морских вод, льда и атмосферных осадков
ГОСТ Р ИСО 5725-6-2002 Точность (правильность и прецизионность) методов и результатов измерений. Часть 6. Использование значений точности на практике
МИ 2881-2004 Рекомендация. ГСИ. Методики количественного химического анализа. Процедуры проверки приемлемости результатов анализа
Примечание - Ссылки на остальные нормативные документы приведены в
разделах 4,
Б.3 и
Б.4 (приложение Б).
3 Требования к показателям точности измерений
3.1 При соблюдении всех регламентируемых методикой условий проведения измерений характеристики погрешности результата измерения с вероятностью 0,95 не должны превышать значений, приведенных в
таблице 2.
Таблица 2
Диапазон измерений, значения характеристик погрешности
и ее составляющих при принятой вероятности P = 0,95
Наименование полихлорфенола | Диапазон измерений массовых концентраций X, мкг/дм3 | Показатель повторяемости (среднеквадратическое отклонение повторяемости)  , мкг/дм 3 | Показатель воспроизводимости (среднеквадратическое отклонение воспроизводимости)  , мкг/дм 3 | Показатель правильности (границы систематической погрешности)  , мкг/дм 3 | Показатель точности (границы погрешности)  , мкг/дм 3 |
2,3-дихлорфенол | От 0,09 до 0,25 включ. | 0,042·X | 0,042·X + 0,02 | 0,04 | 0,08 |
Св. 0,25 до 2,50 включ. | 0,25·X | 0,33·X |
2,4-, 2,5-дихлорфенол | От 0,070 до 2,00 включ. | 0,039·X | 0,059·X | 0,054·X | 0,13·X |
2,6-дихлорфенол | От 0,10 до 3,20 включ. | 0,044·X + 0,03 | 0,087·X | 0,067·X | 0,18·X + 0,01 |
3,4-дихлорфенол | От 0,09 до 2,50 включ. | 0,028·X | 0,051·X + 0,03 | 0,11·X + 0,02 | 0,18·X + 0,06 |
3,5-дихлорфенол | От 0,07 до 2,00 включ. | 0,043·X | 0,049·X | 0,16·X | 0,098·X + 0,02 |
2,3,4-трихлорфенол | От 0,060 до 1,80 включ. | 0,045·X | 0,039·X + 0,001 | 0,044·X + 0,006 | 0,10·X + 0,007 |
2,3,5-трихлорфенол | От 0,050 до 1,50 включ. | 0,044·X | 0,046·X | 0,050·X | 0,10·X |
2,3,6-трихлорфенол | От 0,040 до 1,50 включ. | 0,034·X | 0,040·X | 0,12·X | 0,083·X + 0,009 |
2,4,5-трихлорфенол | От 0,080 до 2,20 включ. | 0,033·X | 0,039·X | 0,11·X | 0,084·X + 0,014 |
2,4,6-трихлорфенол | От 0,040 до 1,50 включ. | 0,029·X | 0,035·X | 0,048·X + 0,001 | 0,084·X + 0,001 |
3,4,5-трихлорфенол | От 0,070 до 2,00 включ. | 0,025·X + 0,005 | 0,067·X + 0,001 | 0,17·X + 0,005 | 0,26·X + 0,006 |
2,3,4,5-тетрахлорфенол | От 0,040 до 1,50 включ. | 0,029·X | 0,030·X + 0,001 | 0,098·X | 0,13·X + 0,001 |
2,3,4,6-тетрахлорфенол | 0,028·X | 0,023·X + 0,003 | 0,033·X + 0,004 | 0,055·X + 0,008 |
2,3,5,6-тетрахлорфенол | 0,035·X + 0,004 | 0,036·X + 0,006 | 0,033·X + 0,009 | 0,075·X + 0,017 |
Пентахлорфенол | 0,031·X + 0,003 | 0,031·X + 0,003 | 0,11·X | 0,14·X |
При выполнении измерений массовой концентрации полихлорфенолов, превышающей верхний предел указанных в
таблице 2 концентраций, после разбавления экстракта в соответствии с
10.3 или уменьшении объема анализируемой пробы, погрешности измерений для соответствующих полихлорфенолов не превышают значений, рассчитанных по зависимостям, приведенным в
таблице 2.
Пределы обнаружения полихлорфенолов в водах газохроматографическим методом после дериватизации ангидридом монохлоруксусной кислоты составляют: для дихлорфенолов - 0,06 мкг/дм3; для трихлорфенолов - 0,04 мкг/дм3; для тетрахлорфенолов и пентахлорфенола - 0,02 мкг/дм3.
3.2 Значения показателя точности методики измерений используют при:
- оформлении результатов измерений, выдаваемых лабораторией;
- оценке деятельности лабораторий на качество проведения измерений;
- оценке возможности использования результатов измерений при реализации методики в конкретной лаборатории.
4 Требования к средствам измерений, вспомогательным устройствам, реактивам, материалам
4.1 Средства измерений, вспомогательные устройства
4.1.1 Хроматографы газовые "Кристалл 2000М", "Кристалл 5000", "Кристаллюкс-4000М", "Цвет 800", "Цвет 500" или другие с электронно-захватным детектором (ЭЗД, ДПР, ИРД).
4.1.2 Весы лабораторные высокого (II) класса точности по
ГОСТ Р 53228-2008, максимальная нагрузка не более 200 г, дискретность отсчета 0,0001 г.
4.1.3 Весы лабораторные среднего (III) класса точности по
ГОСТ Р 53228-2008, максимальная нагрузка не более 200 г, дискретность отсчета 0,001 г.
4.1.4 pH-метр лабораторный любого типа со стеклянным измерительным и хлорсеребряным вспомогательным электродами.
4.1.5 Государственный стандартный образец (далее - ГСО) состава 2,4-дихлорфенола ГСО 7198-95; состава 2,4,6-трихлорфенола ГСО 7103-94; состава пентахлорфенола ГСО 7102-94.
4.1.6 Микрошприц МШ-10М по ТУ 2-833-106-90 - 2 шт.
4.1.7 Колбы мерные 2-го класса точности исполнения 2 по
ГОСТ 1770-74 вместимостью: 5 см
3 - 1 шт., 10 см
3 - 1 шт., 25 см
3 - 23 шт., 50 см
3 - 2 шт.
4.1.8 Пипетки градуированные 2-го класса точности исполнения 1,2 по
ГОСТ 29227-91, вместимостью: 1 см
3 - 22 шт., 2 см
3 - 10 шт.
4.1.9 Цилиндры мерные 2-го класса точности исполнения 1, 3 по
ГОСТ 1770-74 вместимостью: 10 см
3 или 25 см
3 - 6 шт., 50 см
3 - 3 шт., 250 см
3 - 2 шт., 500 см
3 - 1 шт.
4.1.10 Пробирки градуированные исполнения 2 с взаимозаменяемым конусом 14/23 по
ГОСТ 1770-74 со стеклянной пробкой вместимостью 25 см
3 - 2 шт.
4.1.11 Установка для перегонки растворителей из стекла группы ТС (круглодонная колба типа К исполнения 1 с взаимозаменяемым конусом 29/32, вместимостью 1000 см
3, дефлегматор длиной 350 мм с взаимозаменяемыми конусами 19/26 и 29/32, насадка типа Н1 с взаимозаменяемыми конусами 19/26-14/23-14/23, холодильник типа ХПТ исполнения 1, длиной не менее 400 мм, алонж типа АКП с взаимозаменяемым конусом муфты 14/23) по
ГОСТ 25336-82, термометр лабораторный ТЛ-50 с взаимозаменяемым конусом КШ 14/23 длиной нижней части термометра 60 мм и диапазоном измерения температур от 0 °C до 100 °C, цена деления шкалы - 0,5 °C по ТУ 25-2021.007-88.
4.1.12 Установка для перегонки дистиллированной воды из стекла группы ТС (плоскодонная колба типа П исполнения 1 с взаимозаменяемым конусом 29/32, вместимостью 1000 или 2000 см
3, насадка типа Н1 с взаимозаменяемыми конусами 29/32-14/23-14/23, холодильник типа ХПТ исполнения 1 длиной не менее 400 мм, алонж типа АИ с взаимозаменяемым конусом муфты 14/23) по
ГОСТ 25336-82.
4.1.13 Установка для очистки и перегонки триэтиламина из стекла группы ТС (круглодонная колба типа К исполнения 1 с взаимозаменяемым конусом 29/32, вместимостью 250 см
3, холодильник типа ХШ исполнения 1 длиной не менее 300 мм с взаимозаменяемым конусом керна 29/32, насадка типа Н1 с взаимозаменяемыми конусами 29/32-14/23-14/23, холодильник типа ХПТ исполнения 1 длиной не менее 300 мм, алонж типа АИ с взаимозаменяемым конусом муфты 14/23) по
ГОСТ 25336-82.
4.1.14 Стаканы типа Н исполнения 1 по
ГОСТ 25336-82 вместимостью: 25 см
3 - 6 шт., 100 см
3 - 2 шт., 400 см
3 - 1 шт., 600 см
3 - 1 шт., 1000 см
3 - 1 шт.; 2000 см
3 - 1 шт.
4.1.15 Воронки лабораторные типа В по
ГОСТ 25336-82 диаметром 25 мм - 16 шт.
4.1.16 Воронки делительные типа ВД исполнения 3 по
ГОСТ 25336-82, вместимостью: 100 см
3 - 3 шт., 500 см
3 - 2 шт., 1000 см
3 - 1 шт.
4.1.17 Микропробирки конические градуированные со стеклянными пробками вместимостью 2 - 3 см
3 (рис. 1) или виалы с коническим дном (микрореакционные сосуды) с завинчивающейся пробкой, имеющей тефлоновую прокладку, вместимостью 1 - 2 см
3 с наименьшей ценой деления 0,1 - 0,3 см
3 (далее - V-виалы) производства фирм Supelco или Wheaton - 15 - 20 шт.
а - микропробирка коническая градуированная, б - V-виала
Wheaton, в - микрореакционный сосуд Supelco
4.1.18 Стаканчики для взвешивания СВ-14/8 (бюксы) по
ГОСТ 25336-82 - 10 шт.
4.1.19 Выпарительная чашка N 6 по
ГОСТ 9147-80 вместимостью 450 см
3 - 1 шт.
4.1.20 Пипетка Пастера по ТУ 9464-001-52876351-2000 - 10 шт.
4.1.21 Шарики стеклянные диаметром 6 - 7 мм - 3 шт.
4.1.22 Стеклянные палочки диаметром 4 мм и длиной от 120 до 150 мм по ГОСТ 27460-87.
4.1.23 Эксикатор исполнения 2 диаметром корпуса 190 мм по
ГОСТ 25336-82.
4.1.24 Микрокомпрессор аквариумный любого типа.
4.1.26 Муфельная печь с регулируемым нагревом любого типа.
4.1.27 Шкаф сушильный общелабораторного назначения.
4.1.28 Холодильник бытовой.
4.1.29 Посуда стеклянная (в том числе темного стекла) для отбора проб и хранения растворов вместимостью 0,05; 0,25; 0,5; 1,0 дм3.
4.1.30 Центрифуга настольная ОПн-3 с ротором-крестовиной по ТУ 5.375-4260-76 или аналогичного типа со скоростью вращения до 3000 об/мин.
4.1.31 Плитка электрическая с закрытой спиралью с регулируемым нагревом.
4.1.32 Баня водяная.
Примечание - Допускается использование других типов средств измерений, посуды и вспомогательного оборудования, в том числе импортных, с характеристиками не хуже, чем у приведенных в 4.1.
4.2.1 Кварцевые капиллярные колонки длиной от 25 до 30 м, диаметром от 0,25 до 0,32 мм с фазами различной полярности, например, НР-5 или НР-50+, с толщиной пленки неподвижной фазы 0,25 мкм или аналогичные - 2 шт.
4.2.2 Индивидуальные образцы полихлорфенолов импортного производства (например, фирм Supelco, Sigma-Aldrich и Fluka) с массовой долей основного вещества не менее 98% (при отсутствии ГСО): 2,4-дихлорфенол (Sigma-Aldrich кат. номер 105953); 2,5-дихлорфенол (Sigma-Aldrich кат. номер D70007); 2,3-дихлорфенол (Sigma-Aldrich кат. номер D69807); 2,6-дихлорфенол (Sigma-Aldrich кат. номер D70201); 3,4-дихлорфенол (Sigma-Aldrich кат. номер D70406); 3,5-дихлорфенол (Supelco кат. номер 442378 или Fluka кат. номер 31595); 2,4,6-трихлорфенол (Sigma-Aldrich кат. номер T55301); 2,4,5-трихлорфенол (Supelco кат. номер 442301 или Fluka кат. номер 36513); 2,3,5-трихлорфенол (Supelco кат. номер 442285); 2,3,6-трихлорфенол (Supelco кат. номер 442287 или Fluka кат. номер 36745); 2,3,4-трихлорфенол (Sigma-Aldrich кат. номер 153478); 3,4,5-трихлорфенол (Supelco кат. номер 442373); 2,3,5,6-тетрахлорфенол (Supelco кат. номер 442284 или Fluka кат. номер 36518); 2,3,4,5-тетрахлорфенол (Supelco кат. номер 442281); 2,3,4,6-тетрахлорфенол (Supelco кат. номер 442282) и пентахлорфенол (Sigma-Aldrich кат. номер P2604 или Supelco кат. номер 44555-U).
4.2.3 Ангидрид монохлоруксусной кислоты (chloroacetic anhydride) производства фирмы Sigma-Aldrich кат. номер 215163 с массовой долей основного вещества не менее 95%.
4.2.4 4-Йодбифенил (4-iodobiphenyl) производства фирмы Sigma-Aldrich кат. номер 637769 с массовой долей основного вещества не менее 97%.
4.2.5 н-Гексан (далее - гексан) по ТУ 2631-003-05807999-98, х.ч.
4.2.6 Изопропиловый спирт особой чистоты ос. ч. 11-5 ОП-1 по ТУ 2632-064-44493179-01.
4.2.7 Толуол особой чистоты ос. ч. 22-5 по ТУ 2632-065-44493179-01.
4.2.8 Спирт этиловый ректификованный технический по
ГОСТ 18300-87 любого сорта.
4.2.9 Триэтиламин по ТУ 6-09-1496-77, ч.
4.2.11 Натрий сернокислый, безводный (сульфат натрия) по
ГОСТ 4166-76, ч.д.а.
4.2.12 Натрий фосфорно-кислый двузамещенный 12-водный (гидрофосфат натрия) по
ГОСТ 4172-76, х.ч.
4.2.13 Натрия гидроокись (гидроксид натрия) по
ГОСТ 4328-77, ч.д.а.
4.2.15 Медь (II) сернокислая 5-водная (сульфат меди) по
ГОСТ 4165-78, ч.д.а.
4.2.16 Натрий сернистокислый (сульфит натрия) по
ГОСТ 195-77, ч.д.а.
4.2.18 Натрий углекислый кислый (гидрокарбонат натрия) по
ГОСТ 4201-79, ч.д.а.
4.2.19 Универсальная индикаторная бумага pH 1 - 12 по ТУ 6-09-1181-76.
4.2.20 Азот нулевой марка "А" по ТУ 6-21-39-96 или азот газообразный (1 сорт) по
ГОСТ 9293-74, ос. ч.
4.2.23 Трубка электроизоляционная из фторопласта Ф-4Д по
ГОСТ 22056-76 с внутренним диаметром от 4 до 5 мм.
4.2.24 Трубка из силиконовой резины с внутренним диаметром 5 - 6 мм.
Примечание - Допускается использование реактивов, изготовленных по другой нормативной и технической документации, в том числе импортных, с квалификацией не ниже указанной в 4.2.
Определение полихлорфенолов основано на экстракции их из воды толуолом (при pH 2) и последующей реэкстракции из толуола фосфатным буферным раствором (pH 10,7). Очищенный гексаном реэкстракт вновь экстрагируют толуолом, концентрируют упариванием и подвергают дериватизации ангидридом монохлоруксусной кислоты. Полученные монохлорацетаты полихлорфенолов анализируют газохроматографическим методом с электронно-захватным детектором.
Качественную идентификацию полихлорфенолов осуществляют по временам удерживания при сравнении хроматограмм пробы и градуировочного образца. Для идентификации полихлорфенолов в пробах особо сложного состава используют две колонки с фазами разной полярности.
Количественный расчет массовой концентрации определяемых веществ проводят по площади соответствующих хроматографических пиков монохлорацетатов полихлорфенолов на хроматограммах градуировочного раствора и экстракта пробы воды методом внутреннего стандарта.
6 Требования безопасности, охраны окружающей среды
6.1 При выполнении измерений массовой концентрации полихлорфенолов в пробах воды соблюдают требования безопасности, установленные в национальных стандартах и соответствующих нормативных документах.
6.2 По степени воздействия на организм вредные вещества, используемые при выполнении измерений, относятся к 1, 2, 3, 4-му классам опасности по
ГОСТ 12.1.007.
6.3 Содержание используемых вредных веществ в воздухе рабочей зоны не должно превышать установленных ПДК в соответствии с
ГОСТ 12.1.005.
6.4 Выполнение измерений следует проводить при наличии вытяжной вентиляции. Оператор, выполняющий измерения, должен быть проинструктирован о специфических мерах предосторожности при работе с хлорированными фенолами.
6.5 Оператор, выполняющий измерения на хроматографе, должен знать правила безопасности при работе с электрооборудованием, сжатыми и горючими газами.
6.6 Градуировочные растворы и экстракты, содержащие полихлорфенолы, а также сливы органических растворителей собирают в герметично закрывающуюся посуду и утилизируют согласно установленным правилам.
6.7 Сливы гексана и толуола, не содержащие полихлорфенолов, следует собирать в отдельные склянки с этикетками "Слив гексана", "Слив толуола". При необходимости сливы можно регенерировать в соответствии с
приложением А.
7 Требования к квалификации операторов
К выполнению измерений и обработке их результатов допускаются лица с высшим профессиональным образованием или со средним профессиональным образованием, имеющие стаж работы в лаборатории не менее трех лет, владеющие техникой газохроматографического метода анализа и освоившие методику.
8 Требования к условиям измерений
При выполнении измерений в лаборатории должны быть соблюдены следующие условия:
- температура окружающего воздуха, °C .................................. | (20 +/- 5); |
- атмосферное давление, кПа от 84,0 до 106,7 (мм рт. ст. от 630 до 800); |
- влажность воздуха, % при температуре 25 °C ...................... | не более 80; |
- напряжение в сети, В .............................................................. | (220 +/- 10); |
- частота переменного тока в сети питания, Гц ..................... | (50 +/- 1). |
9 Подготовка к выполнению измерений
9.1 Отбор и хранение проб
9.1.1 Отбор проб для выполнения измерений массовой концентрации полихлорфенолов производят в соответствии с
ГОСТ 17.1.5.05,
ГОСТ Р 51592 и
ГОСТ Р 51593. Оборудование для отбора проб должно соответствовать
ГОСТ 17.1.5.04 и
ГОСТ Р 51592. Пробу отбирают в две склянки вместимостью 250 см
3 с притертыми стеклянными или завинчивающимися пробками с плотными полиэтиленовыми вкладышами. Экстракция проб должна быть выполнена в течение суток с момента отбора пробы. При экстракции проб в течение трех часов после отбора допустимо проводить отбор в склянку вместимостью 500 см
3, откуда далее отбирают две аликвоты по 250 см
3 с помощью мерного цилиндра.
При необходимости более длительного хранения пробы консервируют, добавляя по 2 см3 раствора серной кислоты, 2 моль/дм3, 10%-ного раствора сульфата меди и 10%-ного раствора сульфита натрия в склянку вместимостью 250 см3. Законсервированные таким образом пробы можно хранить в темном прохладном месте три недели.
9.1.2 Экстракты из пробы воды в толуоле допускается хранить в темноте не более одного мес. Хранят экстракты во флаконах с завинчивающимися пробками с плотным полиэтиленовым вкладышем или конических колбах с притертыми пробками вместимостью 25 см3.
9.2 Приготовление растворов и реактивов
9.2.1 Гексан
Проверяют каждую новую партию гексана введением в хроматограф соответствующей аликвоты. Наличие на хроматограмме пиков посторонних веществ указывает на необходимость очистки. При отсутствии пиков посторонних веществ упаривают 5 см
3 гексана, отдувая его азотом или очищенным воздухом, до 0,5 см
3 в градуированной пробирке или V-виале и вводят в хроматограф аликвоту упаренного гексана. При наличии пиков, совпадающих по времени удерживания с определяемыми веществами, проводят очистку гексана перегонкой, процедура которой приведена в
А.2.1 (см. приложение А).
При уменьшении количества и величины пиков посторонних веществ повторно проводят очистку перегонкой. Если после повторной перегонки гексана на хроматограмме по-прежнему присутствуют мешающие определению пики, либо после первой перегонки количество или высота пиков не уменьшается, проводят очистку гексана, процедура которой приведена в
А.2.2 (см. приложение А).
9.2.2 Толуол
Проверяют каждую новую партию толуола введением в хроматограф соответствующей аликвоты. Наличие на хроматограмме пиков посторонних веществ указывает на необходимость очистки. При отсутствии посторонних пиков упаривают 2 см
3 толуола, отдувая азотом или очищенным воздухом, до 0,5 см
3 в градуированной пробирке или V-виале и вводят в хроматограф аликвоту упаренного толуола. При наличии пиков, совпадающих по времени удерживания с определяемыми веществами, проводят очистку толуола перегонкой, процедура которой приведена в
А.3 (см. приложение А).
9.2.3 Изопропиловый спирт
Каждую партию изопропилового спирта проверяют выполнением холостого измерения по
10.1. При наличии на хроматограмме пиков, мешающих определению, перегоняют изопропиловый спирт, отбирая фракцию с температурой кипения от 81 °C до 82 °C. Хранят перегнанный изопропиловый спирт в плотно закрытых склянках с пробкой, имеющей тефлоновую прокладку.
9.2.4 Спирт этиловый
Каждую партию этилового спирта проверяют выполнением холостого измерения по
10.1. При наличии на хроматограмме пиков, мешающих определению, этиловый спирт перегоняют, отбирая фракцию с температурой кипения от 77 °C до 78 °C. Хранят перегнанный этиловый спирт в плотно закрытых склянках с пробкой, имеющей тефлоновую прокладку.
9.2.5 Вода бидистиллированная
Для получения бидистиллированной воды в колбу для перегонки по
4.1.12 наливают дистиллированную воду, добавляют 0,1 г перманганата калия на 1 дм
3 воды и несколько капель концентрированной серной кислоты. Колбу нагревают, кипятят 15 мин (не подсоединяя холодильник). Затем, подсоединив холодильник, воду перегоняют. Первую порцию отгона отбрасывают (не менее 50 см
3), оставляя после перегонки в колбе около 10% от первоначального объема дистиллированной воды. Хранят бидистиллированную воду в склянке с притертой стеклянной или завинчивающейся полипропиленовой пробкой.
9.2.6 Раствор серной кислоты, 2 моль/дм3
В термостойком стакане вместимостью 600 см3 осторожно при непрерывном перемешивании прибавляют к 480 см3 бидистиллированной воды 27 см3 концентрированной серной кислоты. После охлаждения раствор переносят в склянку с притертой или полиэтиленовой пробкой.
9.2.7 Раствор серной кислоты, 0,01 моль/дм3
Вносят градуированной пипеткой 1 см3 раствора серной кислоты 2 моль/дм3 в 200 см3 бидистиллированной воды. Раствор очищают встряхиванием с 5 см3 гексана в делительной воронке вместимостью 250 см3. После разделения слоев раствор серной кислоты переносят в склянку с притертой пробкой.
9.2.8 Раствор сульфата меди, 10%-ный
Растворяют 10 г сульфата меди в 90 см3 дистиллированной воды.
9.2.9 Раствор сульфита натрия, 10%-ный
Растворяют 10 г сульфита натрия в 90 см3 дистиллированной воды.
9.2.10 Раствор серной кислоты, (1:4)
В термостойком стакане вместимостью 100 см3 осторожно при непрерывном перемешивании прибавляют к 40 см3 дистиллированной воды 10 см3 концентрированной серной кислоты. После охлаждения раствор переносят в склянку с притертой пробкой.
9.2.11 Раствор гидрофосфата натрия, 0,15 моль/дм3
Переносят 26,85 г Na2HPO4·12H2O (или эквивалентную массу соли с другим содержанием кристаллизационной воды) в стакан вместимостью 1000 см3 и растворяют в 500 см3 бидистиллированной воды.
9.2.12 Раствор гидроксида натрия, 0,15 моль/дм3
Растворяют 1,5 г гидроксида натрия в 250 см3 бидистиллированной воды.
9.2.13 Фосфатный буферный раствор, pH 10,7
Фосфатный буферный раствор готовят смешиванием одного объема раствора гидроксида натрия с двумя объемами раствора гидрофосфата натрия с концентрациями 0,15 моль/дм3 каждого. При необходимости величину pH буферного раствора корректируют добавлением соответствующих растворов гидроксида или гидрофосфата натрия до значения pH 10,7 +/- 0,1. После приготовления фосфатный буферный раствор очищают интенсивным встряхиванием в течение трех мин с гексаном в делительной воронке из расчета 20 см3 гексана на 0,5 дм3 буферного раствора.
9.2.14 Раствор триэтиламина, 10 мг/см3
Для приготовления раствора используется очищенный триэтиламин. Градуированной пипеткой вместимостью 1 см3 отбирают 0,35 см3 триэтиламина, переносят в градуированную пробирку (или мерный цилиндр с пришлифованной пробкой) вместимостью 25 см3, доводят до метки толуолом и перемешивают. Раствор хранят в склянке при 4 °C до появления желтоватого оттенка.
Для очистки триэтиламина собирают установку по
4.1.13 из круглодонной колбы вместимостью 250 см
3 с обратным шариковым холодильником. Помещают в нее 100 см
3 триэтиламина, добавляют 10 г гидроксида калия и кипятят в течение трех ч. Затем триэтиламин перегоняют, заменив обратный холодильник на прямой, отбирая фракцию с температурой кипения от 88 °C до 89 °C. Очищенный триэтиламин хранят в плотно закрытой склянке, добавив в него несколько гранул гидроксида калия.
9.2.15 Раствор ангидрида монохлоруксусной кислоты, 20 мг/см3
Взвешивают 0,50 г ангидрида монохлоруксусной кислоты, переносят в градуированную пробирку (или мерный цилиндр с пришлифованной пробкой) вместимостью 25 см3, растворяют в толуоле, доводят объем толуола до 25 см3 и перемешивают. Раствор устойчив не более недели.
9.2.16 Сульфат натрия безводный
Прокаливают в фарфоровой чашке сульфат натрия в муфельной печи при температуре 400 °C в течение 8 ч. Прокаленный сульфат натрия хранят в эксикаторе.
9.3 Приготовление градуировочных растворов полихлорфенолов
9.3.1 Градуировочные растворы полихлорфенолов готовят из ГСО в соответствии с инструкцией по их применению или из аттестованной смеси, приготовленной в соответствии с
приложением Б. Растворы готовят в очищенном перегонкой спирте - этиловом или изопропиловом, проверив степень его чистоты выполнением холостого опыта с добавкой 1 см
3 спирта по
10.1.
В связи с тем, что не всегда возможно достичь полного разделения всех полихлорфенолов по причине очень близкого либо совпадающего времени удерживания некоторых изомеров, следует приготовить несколько смесей из растворов индивидуальных полихлорфенолов в зависимости от поставленных задач и имеющихся хроматографических колонок.
Так как чувствительность детектора к разным полихлорфенолам неодинакова, рекомендуется готовить такие растворы смеси полихлорфенолов, в которых соотношение их массовых концентраций будет аналогично приведенному в
таблице 3 (или в
приложении Б для АС-ПХФ).
Таблица 3
Значения массовых концентраций полихлорфенолов
в градуировочных растворах
Наименование полихлорфенола | Значение массовой концентрации полихлорфенола, мкг/см3 |
градуировочный раствор N 1 | градуировочный раствор N 2 |
2,6-дихлорфенол | 2,56 | 0,205 |
2,4-, 2,5-, 3,5-дихлорфенолы | 1,44 | 0,115 |
2,3-, 3,4-дихлорфенолы | 1,92 | 0,154 |
2,4,6-, 2,3,6-трихлорфенолы | 0,96 | 0,0768 |
2,3,5-трихлорфенол | 1,12 | 0,0896 |
2,4,5-трихлорфенол | 1,60 | 0,128 |
2,3,4-трихлорфенол | 1,28 | 0,102 |
3,4,5-трихлорфенол | 1,44 | 0,115 |
2,3,5,6-, 2,3,4,6-, 2,3,4,5-тетрахлорфенолы | 0,800 | 0,0640 |
пентахлорфенол |
9.3.2 Для приготовления градуировочного раствора смеси полихлорфенолов N 1 отбирают 1,0 см
3 раствора аттестованной смеси АС-ПХФ градуированной пипеткой вместимостью 1 см
3 и переносят его в мерную колбу вместимостью 25 см
3. Объем раствора доводят до метки на колбе спиртом и тщательно перемешивают. Массовые концентрации полихлорфенолов, приписанные градуировочному раствору N 1, приведены в
таблице 3. Хранят раствор в холодильнике не более одного месяца во флаконе с плотно закрывающейся пробкой, имеющей тефлоновую прокладку.
9.3.3 Для приготовления градуировочного раствора смеси полихлорфенолов N 2 отбирают 2,0 см
3 градуировочного раствора N 1 градуированной пипеткой вместимостью 2 см
3 и переносят его в мерную колбу вместимостью 25 см
3. Объем раствора доводят до метки на колбе спиртом и тщательно перемешивают. Массовые концентрации полихлорфенолов, приписанные градуировочному раствору N 2, приведены в
таблице 3. Хранят раствор в холодильнике во флаконе с плотно закрывающейся пробкой, имеющей тефлоновую прокладку, не более недели.
9.4 Приготовление растворов 4-йодбифенила (внутреннего стандарта)
9.4.1 Для приготовления основного раствора взвешивают в бюксе на весах высокого класса точности 0,0500 г 4-йодбифенила с точностью до четвертого знака после запятой. Растворяют навеску в гексане и количественно переносят в мерную колбу вместимостью 50 см3, промывают несколько раз бюкс гексаном. После полного растворения вещества объем раствора доводят до метки гексаном. Полученному раствору приписывают массовую концентрацию 4-йодбифенила 1000 мкг/см3.
9.4.2 Для приготовления рабочего раствора отбирают 0,5 см3 раствора с массовой концентрацией 4-йодбифенила 1000 мкг/см3 градуированной пипеткой вместимостью 1 см3, помещают в мерную колбу вместимостью 25 см3 и доводят до метки гексаном. Полученному раствору приписывают массовую концентрацию 4-йодбифенила 20 мкг/см3.
9.4.3 Для приготовления градуировочного раствора отбирают 1,0 см3 раствора с массовой концентрацией 20 мкг/см3 градуированной пипеткой вместимостью 1 см3, помещают в мерную колбу вместимостью 50 см3 и доводят до метки гексаном. Полученному раствору приписывают массовую концентрацию 0,4 мкг/см3.
9.4.4 Растворы хранят в холодильнике в герметично закрытых флаконах с пробками, имеющими тефлоновое покрытие.
Срок хранения растворов 4-йодбифенила с массовыми концентрациями 1000, 20 и 0,4 мкг/см3 составляет, соответственно, 6, 3 и 2 мес.
9.5 Приготовление фильтра для очистки воздуха и установки для концентрирования экстрактов
Используемый для упаривания экстрактов воздух необходимо очищать, пропуская через фильтр с активным углем. В качестве фильтра применяют склянку для промывания газов СПТ. Входной отросток склянки заполняют медицинской ватой и наполняют склянку активным углем. При этом выходную часть склянки наполняют активным углем так, чтобы его уровень не доходил до выходного отростка, примерно, на 2 см. Оставшуюся незаполненной углем выходную часть склянки заполняют медицинской ватой. После этого входной отросток склянки соединяют с аквариумным микрокомпрессором, а выходящий из выходного отростка очищенный воздух используют для упаривания экстрактов, присоединив к нему пипетку Пастера
(рисунок 2).
1 - микрокомпрессор; 2 - фильтр с активным углем;
3 - фторопластовая трубка; 4 - пипетка Пастера;
5 - микропробирка или V-виала; 6 - водяная баня;
7 - нагреватель (электроплитка)
Рисунок 2 - Схема установки для упаривания экстрактов
При высокой влажности воздуха в помещении рекомендуется использовать последовательно соединенную склянку для промывания газов, заполненную силикагелем для осушения воздуха, установленную перед склянкой с углем. При необходимости поглотители из склянок регенерируют прокаливанием в сушильном шкафу в фарфоровых выпарительных чашках при температуре от 140 °C до 160 °C.
9.6 Подготовка хроматографических колонок
Кварцевые капиллярные колонки кондиционируют в соответствии с рекомендациями производителя в прилагаемом паспорте, не подсоединяя к детектору.
9.7 Подготовка хроматографа
Подготовку хроматографа проводят в соответствии с руководством по его эксплуатации.
Устанавливают следующий режим работы хроматографа:
- температура испарителя (инжектора), °C ........................... | от 230 до 250; |
- температура детектора, °C .................................................... | от 260 до 280; |
- температура колонки программируется: начальная температура в диапазоне от 100 °C до 120 °C, затем повышается до диапазона от 220 °C до 250 °C со скоростью от 8 до 15 °C/мин; |
- расход газа-носителя через колонку, см3/мин ..................... | от 1,0 до 2,0; |
- деление потока ....................................................................... | от 1:5 до 1:20; |
- расход азота на поддув детектора задают в соответствии с руководством по эксплуатации. |
В зависимости от рекомендаций производителя и газовой системы хроматографа, в качестве газа-носителя может использоваться водород или азот. Если из регулируемых газовых параметров доступно лишь давление газа-носителя, необходимо подобрать его таким, чтобы при увеличении температуры колонки, был обеспечен приведенный выше диапазон расхода газа-носителя через колонку.
Через 1,5 - 2 ч после установления заданных параметров (температурного и газового режимов) и стабилизации сигнала детектора вводят несколько раз по 2 мм3 градуировочного образца и проверяют эффективность хроматографического разделения полихлорфенолов. При необходимости подбирают температурный режим колонки для наилучшего разделения конкретной смеси полихлорфенолов варьированием начальной температуры колонки, времени изотермической стадии, скоростью увеличения и т.д.
9.8 Определение времени удерживания монохлорацетатов полихлорфенолов и градуировочных коэффициентов методом внутреннего стандарта
Для определения времени удерживания монохлорацетатов полихлорфенолов и установления градуировочных коэффициентов готовят градуировочные образцы. Для этого в делительную воронку вместимостью 100 см
3 помещают 15 см
3 фосфатного буферного раствора с помощью мерного цилиндра вместимостью 25 см
3, добавляют соответствующую аликвоту градуировочного раствора N 1 или N 2
(таблица 4). Приливают 5 см
3 гексана, перемешивают, выпускают пары растворителя несколько раз и затем встряхивают содержимое воронки в течение 1 мин. После расслоения переносят водную фазу в другую делительную воронку и далее продолжают выполнять все операции в соответствии с
10.2.2 -
10.2.4.
Таблица 4
Схема приготовления градуировочных образцов
Номер градуировочного образца | Объем градуировочного раствора, см3 | Содержание полихлорфенолов в градуировочном образце, мкг |
N 1 | N 2 | 2,6-дихлорфенол | 2,4-; 2,5-; 3,5-дихлорфенолы и 3,4,5-трихлорфенол | 2,3-; 3,4-дихлорфенолы | 2,4,6-; 2,3,6-трихлорфенолы | 2,3,5-трихлорфенол | 2,4,5-трихлорфенол | 2,3,4-трихлорфенол | тетра- и пентахлорфенолы |
1 | - | 0,3 | 0,0614 | 0,0346 | 0,0461 | 0,0230 | 0,0269 | 0,0384 | 0,0307 | 0,0192 |
2 | - | 1,2 | 0,2460 | 0,1380 | 0,1840 | 0,0922 | 0,1080 | 0,1540 | 0,1230 | 0,0768 |
3 | 0,3 | - | 0,7680 | 0,4320 | 0,5760 | 0,2880 | 0,336 | 0,480 | 0,384 | 0,240 |
Содержание полихлорфенолов в градуировочном образце C0, мкг, рассчитывают по формуле
C0 = Ci·Vi, (1)
где Ci - массовая концентрация полихлорфенола в градуировочном растворе, взятом для приготовления градуировочного образца, мкг/см3;
Vi - объем градуировочного раствора, добавляемый в буферный раствор, см3.
Определение градуировочных коэффициентов следует проводить в диапазоне концентраций, близких к реально определяемым в пробах воды.
При проведении расчетов используют площади пиков. Для вычисления градуировочных коэффициентов методом внутреннего стандарта площадь каждого пика, соответствующего полихлорфенолу, на хроматограмме градуировочного образца следует разделить на площадь пика внутреннего стандарта 4-йодбифенила на этой же хроматограмме:

, (2)
где kПХФ - градуировочный коэффициент для данного полихлорфенола;
SПХФ - площадь пика соответствующего полихлорфенола, мВ·с или отн. ед.;
SВСТ - площадь пика внутреннего стандарта 4-йодбифенила, мВ·с или отн. ед.
Проверку времени удерживания и градуировочных коэффициентов следует проводить не реже одного раза в неделю.
10 Порядок выполнения измерений
10.1 Выполнение холостого опыта
Холостой опыт проводят перед анализом проб воды с целью проверки чистоты применяемых реактивов и материалов.
Для проверки чистоты спирта (изопропилового и этилового), используемого для приготовления градуировочных растворов, выполняют холостое измерение, начиная со стадии добавления его в буферный раствор.
Для выполнения холостого опыта всей процедуры анализа проводят последовательно все операции, начиная со стадии экстракции 250 см3 бидистиллированной воды и используя те объемы растворителей, которые используются для обработки одной пробы воды.
Если пики на хроматограмме холостого опыта совпадают по временам удерживания хотя бы с одним пиком какого-либо из определяемых веществ, то необходимо путем постадийного исследования установить, какой из реактивов загрязнен, и провести его очистку или заменить этим же реактивом, но из другой партии.
10.2 Выполнение измерений
10.2.1 Экстракция из пробы воды
Пробы воды из склянок вместимостью 250 см3 полностью переносят в делительные воронки вместимостью 500 см3, отбирают по 15 см3 толуола мерным цилиндром вместимостью 25 см3 и промывают им транспортные склянки. Затем этот толуол прибавляют в соответствующую делительную воронку, закрывают ее пробкой и выполняют экстрагирование, энергично встряхивая пробу в течение 2 мин и затем ожидая расслоения смеси в течение 15 - 20 мин. Если анализируют незаконсервированную пробу воды, из склянки отбирают аликвоты по 250 см3 воды с помощью мерного цилиндра, помещают их в делительные воронки вместимостью 500 см3, прибавляют по 2 см3 раствора серной кислоты, 2 моль/дм3, по 15 см3 толуола и выполняют экстрагирование. После расслоения фаз водную фазу из делительной воронки переносят в химический стакан вместимостью 400 см3, а органический слой переносят в делительную воронку вместимостью 100 см3. Стенки делительной воронки, в которой проводили первую экстракцию, тщательно ополаскивают 5 см3 толуола, затем водную фазу переносят в эту же делительную воронку из стакана. Повторяют экстракцию. После расслоения измеряют объем водной фазы с помощью мерного цилиндра вместимостью 250 см3 и ее отбрасывают, а органическую объединяют с первым экстрактом в делительной воронке вместимостью 100 см3.
Если проба воды содержит значительное количество взвешенных веществ и разделение слоев затруднено, тогда первый экстракт центрифугируют при 1000 об/мин в течение 5 мин, поместив его в несколько пробирок и уравновесив их. После центрифугирования гелеобразную массу отделяют от экстракта с помощью пипетки Пастера круговыми движениями и экстракт переносят в делительную воронку вместимостью 100 см3. В этом случае пробирку ополаскивают толуолом из делительной воронки после второй экстракции.
10.2.2 Реэкстракция в буферный раствор, очистка экстракта, перевод полихлорфенолов в толуол
К объединенному экстракту в делительную воронку добавляют 15 см3 фосфатного буферного раствора (pH 10,7) с помощью мерного цилиндра вместимостью 25 см3 и проводят реэкстракцию полихлорфенолов в течение двух минут. После разделения слоев водную фазу переносят в другую делительную воронку вместимостью 100 см3, толуол - в склянку для сбора и регенерации. К водной фазе приливают 5 см3 гексана, закрывают воронку пробкой, встряхивают, выпускают пары растворителя несколько раз и экстрагируют в течение 1 мин. Гексан отбрасывают, помещая его в склянку "Слив гексана".
После полного расслоения водную фазу переносят в другую делительную воронку вместимостью 100 см3, добавляют 0,5 см3 раствора серной кислоты (1:4), 2 см3 толуола пипеткой вместимостью 2 см3. Проводят экстракцию полихлорфенолов интенсивным встряхиванием в течение 2 мин, после чего добавляют 1,0 см3 раствора внутреннего стандарта 4-йодбифенила градуированной пипеткой вместимостью 1 см3.
10.2.3 Дериватизация полихлорфенолов
После разделения водную фазу сливают как можно полнее, а органический слой сушат добавлением небольшого количества безводного сульфата натрия, наклоняя делительную воронку и не допуская образования плотного слоя соли, который может затруднить дальнейший слив жидкости через кран воронки. Затем градуированными пипетками вместимостью 1 см3 добавляют при перемешивании 0,5 см3 раствора триэтиламина с концентрацией 10 мг/см3 и 1 см3 раствора хлоруксусного ангидрида с концентрацией 20 мг/см3. После интенсивного перемешивания оставляют смесь на 5 мин для завершения реакции дериватизации, затем приливают 15 см3 фосфатного буферного раствора мерным цилиндром вместимостью 25 см3 и встряхивают 2 мин для удаления избытка ангидрида.
После разделения слоев в течение 10 - 15 мин сливают прозрачную водную фазу, приливают 15 см3 раствора серной кислоты с концентрацией 0,01 моль/дм3 мерным цилиндром вместимостью 25 см3 и промывают экстракт встряхиванием в течение 1 мин.
10.2.4 Концентрирование экстракта
После полного разделения слоев в течение 10 - 15 мин сливают и отбрасывают прозрачную водную фазу, а экстракт переносят в сухой стакан вместимостью 25 см
3, промытый гексаном. Стенки делительной воронки омывают 2 - 3 см
3 гексана, объединяя с полученным экстрактом. Экстракт осушают добавлением малыми порциями безводного сульфата натрия, перемешивая его стеклянной палочкой и не допуская образования крупных комков. Осушенный экстракт переносят небольшими порциями в коническую градуированную микропробирку или V-виалу и концентрируют упариванием при температуре от 40 °C до 50 °C струей очищенного воздуха, продуваемого микрокомпрессором через склянки с поглотителями (см.
рисунок 2), до объема 0,5 см
3, не допуская упаривания досуха.
10.3 Хроматографирование экстрактов
После подготовки хроматографа и выхода его на заданный режим вводят в испаритель (инжектор) хроматографа аликвоту подготовленного экстракта 2 мм3. Ввод аликвоты пробы повторяют два раза и за результат принимают среднее арифметическое. Объемы вводимых в хроматограф аликвот экстракта градуировочного образца и пробы должны быть одинаковы.
Примеры хроматограмм градуировочных образцов полихлорфенолов (в виде монохлорацетатов), полученные на капиллярных колонках с фазами НР-50+ и НР-5, приведены в
приложении В.
Если величина сигнала детектора соответствующего полихлорфенола в экстракте превышает значения аналитического сигнала при хроматографировании градуировочного образца N 3, экстракты, полученные по
10.2, разбавляют гексаном в конической градуированной микропробирке или V-виале до 1,0 или 2,0 см
3 (в зависимости от их максимальной вместимости), тщательно перемешивают и повторяют хроматографирование. Если величина сигнала детектора все еще превышает значения аналитического сигнала для градуировочного образца N 3, то кратность разбавления подбирают таким образом, чтобы величина сигнала детектора определяемых полихлорфенолов в разбавленном экстракте не превышала величину сигнала детектора для градуировочного образца N 3, но была выше, чем для образца N 2.
Идентификацию полихлорфенолов осуществляют сравнением времени удерживания как абсолютного, так и относительно внутреннего стандарта на хроматограмме градуировочного образца полихлорфенолов и анализируемой пробы. Если на хроматограмме пробы имеются пики, соответствующие по времени удерживания полихлорфенолам, особенно при появлении пиков, соответствующих веществам с одинаковыми временами удерживания, либо при анализе сильно загрязненных проб, где возможно наложение пиков посторонних веществ, следует проверить корректность идентификации хроматографированием пробы на колонке с фазой другой полярности. Следует иметь в виду, что некоторые изомеры трудно разделить на любой фазе, например, 2,4- и 2,5-дихлорфенолы. Соединение можно считать идентифицированным только в том случае, если соответствующий ему пик имеется на обеих колонках, в противном случае делают вывод об отсутствии данного соединения в пробе.
При анализе однотипных проб, состав которых не подвергается резким изменениям, либо когда известно заранее, какие из полихлорфенолов могут содержаться в пробе, идентификация с использованием другой колонки не является обязательной для каждой пробы, а может быть проведена для одной-двух проб из однотипной серии.
Мешающее влияние посторонних веществ в основном устраняется при выполнении операций, предусмотренных методикой, лишь при анализе сильно загрязненных вод могут появиться дополнительные пики на хроматограммах, затрудняющие идентификацию и расчет массовой концентрации полихлорфенолов. Для устранения таких помех достаточно использовать дополнительную идентификацию определяемых соединений на другой колонке.
11 Обработка результатов измерений
Массовую концентрацию каждого полихлорфенола X, мкг/дм3, рассчитывают методом внутреннего стандарта по формуле

, (3)
где

- площадь пика определяемого полихлорфенола на хроматограмме экстракта пробы воды, мВ·с или отн. ед.;

- площадь пика внутреннего стандарта 4-йодбифенила на хроматограмме экстракта пробы воды, мВ·с или отн. ед.;
C
0 - содержание определяемого полихлорфенола в градуировочном образце при определении градуировочных коэффициентов по
9.8, мкг;

- степень разбавления экстракта; при работе без разбавления экстракта

;
k
ПХФ - градуировочный коэффициент по
9.8;
Vв - объем пробы воды, взятый для анализа, см3;
b - степень извлечения определяемого полихлорфенола
(таблица 5).
Таблица 5
Степень извлечения полихлорфенолов
Наименование полихлорфенола | Степень извлечения |
2,6-дихлорфенол | 0,90 |
2,4-дихлорфенол | 0,84 |
2,5-дихлорфенол | 0,84 |
3,5-дихлорфенол | 0,74 |
2,3-дихлорфенол | 0,84 |
3,4-дихлорфенол | 0,55 |
2,4,6-трихлорфенол | 0,89 |
2,3,6-трихлорфенол | 0,98 |
2,3,5-трихлорфенол | 0,89 |
2,4,5-трихлорфенол | 0,90 |
2,3,4-трихлорфенол | 0,84 |
3,4,5-трихлорфенол | 0,87 |
2,3,5,6-тетрахлорфенол | 0,95 |
2,3,4,6-тетрахлорфенол | 0,95 |
2,3,4,5-тетрахлорфенол | 0,86 |
пентахлорфенол | 0,90 |
12 Оформление результатов измерений
| | ИС МЕГАНОРМ: примечание. Нумерация пунктов дана в соответствии с официальным текстом документа. | |
12.2.1 Результат измерения в документах, предусматривающих его использование, представляют в виде

, мкг/дм
3 (P = 0,95), (4)
где

- среднее арифметическое значение двух результатов измерений, мкг/дм
3;

- характеристика погрешности измерения для данной массовой концентрации полихлорфенола
(таблица 2).
Численные значения результата измерения должны оканчиваться цифрой того же разряда, что и значения характеристики погрешности; последние не должны содержать более двух значащих цифр.
12.2.2 Допустимо представлять результат в виде

(P = 0,95) при условии

, (5)
где

- границы характеристик погрешности результатов измерений, установленные при реализации методики в лаборатории и обеспечиваемые контролем стабильности результатов измерений.
Примечание - Допустимо характеристику погрешности результатов измерений при внедрении методики в лаборатории устанавливать на основе выражения

с последующим уточнением по мере накопления информации в процессе контроля стабильности результатов измерений.
12.2.3 Результаты измерений оформляют протоколом или записью в журнале по формам, приведенным в Руководстве по качеству лаборатории.
13 Контроль качества результатов измерений при реализации методики в лаборатории
13.1.1 Контроль качества результатов измерений при реализации методики в лаборатории предусматривает:
- оперативный контроль исполнителем процедуры выполнения измерений (на основе оценки погрешности при реализации отдельно взятой контрольной процедуры);
- контроль стабильности результатов измерений (на основе контроля стабильности повторяемости, погрешности).
13.1.2 Периодичность оперативного контроля исполнителем процедуры выполнения измерений, а также реализуемые процедуры контроля стабильности результатов измерений регламентируются в Руководстве по качеству лаборатории.
13.2 Алгоритм оперативного контроля повторяемости
13.2.1 Контроль повторяемости осуществляют для каждого из результатов измерений, полученных в соответствии с методикой.
13.2.2 Результат контрольной процедуры rк, мкг/дм3, рассчитывают по формуле
rк = |X1 - X2|, (6)
где X1, X2 - результаты единичных измерений массовой концентрации полихлорфенолов в пробе воды, мкг/дм3.
13.2.3 Предел повторяемости rn, мкг/дм3, рассчитывают по формуле

, (7)
где

- показатель повторяемости методики, мкг/дм
3 (см.
таблицу 2).
13.2.4 Результат контрольной процедуры должен удовлетворять условию
13.2.5 При несоблюдении
условия (8) выполняют еще два измерения (по возможности) и сравнивают разницу между максимальным и минимальным результатами с нормативом контроля, равным

. В случае повторного превышения предела повторяемости, поступают в соответствии с ГОСТ Р ИСО 5725-6
(раздел 5). Если возможности провести еще два измерения нет, но есть возможность выполнить третье измерение, то выполняют его и для расчета результата берут два наиболее близких значения.
13.3 Алгоритм оперативного контроля процедуры выполнения измерений с использованием метода добавок
13.3.1 Для проведения оперативного контроля погрешности анализируют две аликвоты пробы воды, в одну из которых вносят добавку градуировочного раствора N 1 или N 2. Добавка не должна превышать концентрацию полихлорфенолов в исходной пробе более чем в два раза. Если в исходной пробе полихлорфенолы отсутствуют, используют добавку, равную удвоенной минимально определяемой массовой концентрации.
13.3.2 Оперативный контроль исполнителем процедуры выполнения измерений проводят путем сравнения результатов отдельно взятой контрольной процедуры Кк с нормативом контроля К.
13.3.3 Результат контрольной процедуры Кк, мкг/дм3, рассчитывают по формуле

, (9)
где

- результат контрольного измерения массовой концентрации полихлорфенола в пробе с известной добавкой, мкг/дм
3;
Cд - массовая концентрация добавки полихлорфенола к пробе воды, мкг/дм3.
13.3.4 Норматив контроля погрешности К, мкг/дм3, рассчитывают по формуле

, (10)
где

- значения характеристики погрешности результатов измерений, установленные при реализации методики в лаборатории, соответствующие массовой концентрации полихлорфенола в пробе с добавкой, мкг/дм
3;

- значения характеристики погрешности результатов измерений, установленные при реализации методики в лаборатории, соответствующие массовой концентрации полихлорфенола в рабочей пробе, мкг/дм
3.
Примечание - Допустимо для расчета норматива контроля использовать значения характеристик погрешности, полученные расчетным путем по формулам

и

.
13.3.5 Если результат контрольной процедуры удовлетворяет условию
процедуру признают удовлетворительной.
При невыполнении
условия (11) контрольную процедуру повторяют. При повторном невыполнении
условия (11), выясняют причины, приводящие к неудовлетворительным результатам, и принимают меры по их устранению.
14 Проверка приемлемости результатов, полученных в условиях воспроизводимости
14.1 Расхождение между результатами измерений, полученными в двух лабораториях, не должно превышать предела воспроизводимости R. При выполнении этого условия приемлемы оба результата измерений и в качестве окончательного может быть использовано их общее среднее значение. Значение предела воспроизводимости рассчитывают по формуле

(12)
14.2 При превышении предела воспроизводимости могут быть использованы методы оценки приемлемости результатов измерений согласно ГОСТ Р ИСО 5725-6
(раздел 5) или
МИ 2881.
14.3 Проверка приемлемости проводится при необходимости сравнения результатов измерений, полученных двумя лабораториями.
(рекомендуемое)
А.1 Приготовление растворов
А.1.1 Раствор гидрокарбоната натрия, 5%-ный
Растворяют 5 г гидрокарбоната натрия в 95 см3 дистиллированной воды.
А.1.2 Раствор гидроксида натрия, 2 моль/дм3
Растворяют 8 г гидроксида натрия в 100 см3 дистиллированной воды в термостойком стакане.
А.2 Очистка гексана
А.2.1 Собирают установку для перегонки растворителей, выполненную из стекла группы ТС и состоящую из круглодонной колбы типа К исполнения 1 с взаимозаменяемым конусом 29/32, вместимостью 1000 см
3, дефлегматора длиной 350 мм с взаимозаменяемыми конусами 19/26 и 29/32, насадки типа Н1 с взаимозаменяемыми конусами 19/26-14/23-14/23, холодильника типа ХПТ исполнения 1 длиной не менее 400 мм, алонжа типа АИ с взаимозаменяемым конусом муфты 14/23 по
ГОСТ 25336-82, термометра лабораторного ТЛ-50 с взаимозаменяемым конусом КШ 14/23, длиной нижней части термометра 60 мм и диапазоном измерения температур от 0 °C до 100 °C, ценой деления шкалы - 0,5 °C по ТУ 25-2021.007-88, и перегоняют гексан, отбрасывая первые 50 см
3 и отбирая фракцию с температурой кипения от 68,5 °C до 69,0 °C.
Перегнанный гексан хранят в плотно закрытых склянках с пробкой, имеющей тефлоновую прокладку до появления мешающих определению пиков, проверяя чистоту по
10.1.
А.2.2 Если после повторной перегонки гексана на хроматограмме по-прежнему присутствуют мешающие определению пики, либо после первой перегонки количество или высота пиков не уменьшается, в делительную воронку вместимостью 1000 см
3 помещают 800 см
3 загрязненного гексана (или гексана из слива) и промывают его 50 см
3 дистиллированной воды в течение 3 мин. После расслоения водную фазу отбрасывают. К гексану в воронке добавляют 25 см
3 концентрированной серной кислоты и встряхивают содержимое в течение трех мин. Если слой кислоты заметно потемнел, то обработку кислотой повторяют. После отстаивания кислоту отбрасывают, органическую фазу промывают 50 - 60 см
3 дистиллированной воды, затем 50 см
3 5%-ного раствора гидрокарбоната натрия и два раза по 50 см
3 дистиллированной воды.
Сливают воду, переносят гексан в стакан вместимостью 1000 см
3 и добавляют безводный сульфат натрия при перемешивании для осушки растворителя. Собирают установку для перегонки растворителей. Процедура перегонки приведена в
А.2.1.
Очищенный гексан проверяют, как и каждую новую партию растворителя, по
10.1.
А.3.1 Загрязненный толуол перегоняют в установке для перегонки растворителей согласно
А.2.1, отбирая фракцию с температурой кипения от 110 °C до 111 °C.
Перегнанный толуол хранят в плотно закрытых склянках с пробкой, имеющей тефлоновую прокладку до появления мешающих определению пиков, проверяя чистоту по
10.1.
А.3.2 Для очистки толуола из слива в делительную воронку вместимостью 1000 см3 помещают 800 см3 растворителя, промывают его 50 см3 раствора гидроксида натрия, 2 моль/дм3, интенсивным встряхиванием в течение 3 мин. После расслоения водную фазу отбрасывают и, добавив 50 см3 дистиллированной воды, процедуру повторяют.
Далее собирают установку для перегонки растворителей и перегоняют толуол аналогично
А.3.1.
(обязательное)
МЕТОДИКА ПРИГОТОВЛЕНИЯ АТТЕСТОВАННЫХ РАСТВОРОВ И СМЕСЕЙ
ПОЛИХЛОРФЕНОЛОВ ДЛЯ УСТАНОВЛЕНИЯ ГРАДУИРОВОЧНЫХ
ХАРАКТЕРИСТИК ПРИБОРОВ И КОНТРОЛЯ ТОЧНОСТИ РЕЗУЛЬТАТОВ
ИЗМЕРЕНИЙ МАССОВОЙ КОНЦЕНТРАЦИИ ПОЛИХЛОРФЕНОЛОВ
ГАЗОХРОМАТОГРАФИЧЕСКИМ МЕТОДОМ С ДЕРИВАТИЗАЦИЕЙ
АНГИДРИДОМ МОНОХЛОРУКСУСНОЙ КИСЛОТЫ
Б.1 Назначение и область применения
Настоящая методика регламентирует процедуру приготовления аттестованных растворов и смесей полихлорфенолов, предназначенных для установления градуировочных характеристик приборов и контроля точности результатов измерений массовой концентрации полихлорфенолов в природных и очищенных сточных водах газохроматографическим методом.
Б.2 Метрологические характеристики
Б.2.1 Метрологические характеристики аттестованных растворов полихлорфенолов АР-ПХФ
Б.2.1.1 Аттестованное значение массовой концентрации растворов индивидуальных полихлорфенолов в растворе АР-ПХФ составляет 1000 мкг/см3.
Б.2.1.2 Абсолютная величина погрешности установления массовой концентрации индивидуальных полихлорфенолов с вероятностью 0,95 в растворах АР-ПХФ составляет +/- 22 мкг/см3 при приготовлении из реактива с массовой долей основного вещества 98% и +/- 13 мкг/см3 при приготовлении из реактива с массовой долей основного вещества 99%.
Б.2.2 Метрологические характеристики аттестованной смеси полихлорфенолов АС-ПХФ
Метрологические характеристики аттестованной смеси полихлорфенолов АС-ПХФ при условии приготовления из реактивов с массовой долей основного вещества 98% и 99% приведены в
таблице Б.1.
Таблица Б.1
Метрологические характеристики аттестованной смеси
полихлорфенолов АС-ПХФ
Наименование полихлорфенола | Аттестованное значение массовой концентрации полихлорфенола в смеси, мкг/см3 | Границы погрешности аттестованного значения массовой концентрации полихлорфенола в смеси (P = 0,95) при массовой доле основного вещества в реактиве, мкг/см3 |
98% | 99% |
2,6-дихлорфенол | 64,0 | +/- 1,6 | +/- 1,2 |
2,4-дихлорфенол | 36,00 | +/- 0,90 | +/- 0,63 |
2,5-дихлорфенол |
3,5-дихлорфенол |
2,3-дихлорфенол | 48,0 | +/- 1,3 | +/- 1,0 |
3,4-дихлорфенол |
2,4,6-трихлорфенол | 24,00 | +/- 0,67 | +/- 0,52 |
2,3,6-трихлорфенол |
2,3,5-трихлорфенол | 28,00 | +/- 0,74 | +/- 0,55 |
2,4,5-трихлорфенол | 40,00 | +/- 0,98 | +/- 0,68 |
2,3,4-трихлорфенол | 32,00 | +/- 0,82 | +/- 0,59 |
3,4,5-трихлорфенол | 36,00 | +/- 0,90 | +/- 0,63 |
2,3,5,6-тетрахлорфенол | 20,00 | +/- 0,60 | +/- 0,48 |
2,3,4,6-тетрахлорфенол |
2,3,4,5-тетрахлорфенол |
пентахлорфенол |
Б.3 Средства измерений, вспомогательные устройства, реактивы
Б.3.1 Весы лабораторные высокого (II) класса точности по
ГОСТ Р 53228-2008, максимальная нагрузка не более 200 г, дискретность отсчета 0,0001 г.
Б.3.2 Колбы мерные 2-го класса точности исполнения 2 по
ГОСТ 1770-74 вместимостью 25 см
3 - 20 шт.
Б.3.3 Пипетки градуированные 2-го класса точности исполнения 1, 2 по
ГОСТ 29227-91 вместимостью: 1 см
3 - 13 шт., 2 см
3 - 5 шт.
Б.3.4 Стаканчик для взвешивания (бюкс) СВ-14/8 по
ГОСТ 25336-82 - 16 шт.
Б.3.5 Воронки лабораторные типа В по
ГОСТ 25336-82 диаметром 25 мм - 16 шт.
Б.4 Исходные компоненты аттестованных растворов и смесей
Б.4.1 Индивидуальные полихлорфенолы гарантированной степени чистоты с массовой долей основного вещества не менее 98%: 2,4-дихлорфенол (Sigma-Aldrich кат. номер 105953); 2,5-дихлорфенол (Sigma-Aldrich кат. номер D70007); 2,3-дихлорфенол (Sigma-Aldrich кат. номер D69807); 2,6-дихлорфенол (Sigma-Aldrich кат. номер D70201); 3,4-дихлорфенол (Sigma-Aldrich кат. номер D70406); 3,5-дихлорфенол (Supelco кат. номер 442378 или Fluka кат. номер 31595); 2,4,6-трихлорфенол (Sigma-Aldrich кат. номер T55301); 2,4,5-трихлорфенол (Supelco кат. номер 442301 или Fluka кат. номер 36513); 2,3,5-трихлорфенол (Supelco кат. номер 442285); 2,3,6-трихлорфенол (Supelco кат. номер 442287 или Fluka кат. номер 36745); 2,3,4-трихлорфенол (Sigma-Aldrich кат. номер 153478); 3,4,5-трихлорфенол (Supelco кат. номер 442373); 2,3,5,6-тетрахлорфенол (Supelco кат. номер 442284 или Fluka кат. номер 36518); 2,3,4,5-тетрахлорфенол (Supelco кат. номер 442281); 2,3,4,6-тетрахлорфенол (Supelco кат. номер 442282) и пентахлорфенол (Sigma-Aldrich кат. номер P2604 или Supelco кат. номер 44555-U).
Б.4.2 Изопропиловый спирт 11-5 ОП-1 по ТУ 2632-064-44493179-01, ос. ч. или спирт этиловый ректификованный технический по
ГОСТ 18300-87 любого сорта.
Б.5 Процедура приготовления аттестованных растворов и смесей полихлорфенолов
Б.5.1 Приготовление аттестованного раствора АР-ПХФ
Перед проведением операций по приготовлению аттестованных растворов полихлорфенолов весовым методом необходимо образцы веществ и растворитель (спирт) выдержать в течение двух часов в рабочем помещении. В качестве растворителя применяют более чистый спирт (изопропиловый или этиловый), контролируя его чистоту холостым опытом по
10.1. Процедура приготовления аттестованных растворов одинакова для всех полихлорфенолов.
Для приготовления аттестованного раствора индивидуального полихлорфенола АР-ПХФ взвешивают в бюксе с точностью до четвертого знака после запятой 0,0250 г соответствующего вещества, количественно переносят навеску в мерную колбу вместимостью 25 см3, растворяют в небольшом количестве растворителя и доводят объем до метки на колбе после полного растворения вещества.
Полученному раствору приписывают концентрацию 1000 мкг/см3.
Б.5.2 Приготовление аттестованной смеси АС-ПХФ
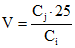
Для приготовления аттестованной смеси полихлорфенолов АС-ПХФ с различной массовой концентрацией каждого соединения (при отличии исходной концентрации растворов индивидуальных полихлорфенолов АР-ПХФ от 1000 мкг/см3) рассчитывают объем аттестованного раствора полихлорфенола АР-ПХФ, необходимый для приготовления 25 см3 смеси, по формуле

, (Б.1)
где V - объем аттестованного раствора индивидуального полихлорфенола, см3;
Cj - массовая концентрация индивидуального полихлорфенола в аттестованной смеси АС-ПХФ, мкг/см3;
Ci - массовая концентрация индивидуального полихлорфенола в аттестованном растворе АР-ПХФ, мкг/см3.
Для приготовления аттестованной смеси полихлорфенолов отбирают в мерную колбу вместимостью 25 см3 аликвоты аттестованных растворов индивидуальных полихлорфенолов АР-ПХФ: 1,6 см3 раствора 2,6-дихлорфенола и по 1,2 см3 растворов 2,3- и 3,4-дихлорфенолов градуированными пипетками вместимостью 2 см3; 1,0 см3 раствора 2,4,5-трихлорфенола; по 0,9 см3 растворов 2,4-, 2,5- и 3,5-дихлорфенолов, а также 3,4,5-трихлорфенола; 0,8 см3 раствора 2,3,4-трихлорфенола; по 0,6 см3 растворов 2,3,6- и 2,4,6-трихлорфенолов; по 0,5 см3 растворов всех тетрахлорфенолов и пентахлорфенола градуированными пипетками вместимостью 1 см3. Объем раствора доводят до метки на колбе растворителем и тщательно перемешивают.
Полученной смеси АС-ПХФ приписывают массовые концентрации полихлорфенолов, приведенные в
таблице Б.1.
Б.6 Расчет метрологических характеристик аттестованных растворов
Б.6.1 Расчет метрологических характеристик аттестованного раствора АР-ПХФ
Аттестованное значение массовой концентрации полихлорфенола Ci, мкг/см3, рассчитывают по формуле

, (Б.2)
где m - масса навески полихлорфенола, г;
106 - количество микрограммов в одном грамме, мкг/г;
V - вместимость мерной колбы, см3.
Расчет погрешности установления массовой концентрации в аттестованном растворе АР-ПХФ,

, мкг/см
3, выполняют по формуле

, (Б.3)
где

- предельное значение возможного отклонения массовой доли основного вещества в реактиве от приписанного значения

, %;

- массовая доля основного вещества, приписанная реактиву, %;

- предельная возможная погрешность взвешивания, г;

- предельное значение возможного отклонения вместимости мерной колбы от номинального значения, см
3.
Погрешность установления массовой концентрации полихлорфенола в аттестованном растворе АР-ПХФ при массовой доле основного вещества 98%

и 99%

в реактиве равна соответственно:

;

.
Б.6.2 Расчет метрологических характеристик аттестованной смеси АС-ПХФ
Аттестованные значения массовых концентраций каждого полихлорфенола в смеси АС-ПХФ Cj, мкг/см3, рассчитывают по формуле

, (Б.4)
где V1 - объем раствора АР-ПХФ, отбираемый пипеткой, см3.
Расчет погрешности установления массовой концентрации полихлорфенола в аттестованной смеси выполняют по формуле

, (Б.5)
где

- предельное значение возможного отклонения объема V
1 от номинального значения, см
3.
Погрешность установления массовой концентрации для 2,6-дихлорфенола в аттестованной смеси АС-ПХФ при массовой доле основного вещества в реактиве 98%

и 99%

равна соответственно:

;

.
Погрешность установления массовой концентрации для 2,4-, 2,5-, 3,5-дихлорфенолов и 3,4,5-трихлорфенола в аттестованной смеси АС-ПХФ при массовой доле основного вещества 98%

и 99%

в реактиве соответственно равна:

;

.
Погрешность установления массовой концентрации для 2,3- и 3,4-дихлорфенолов в аттестованной смеси АС-ПХФ при массовой доле основного вещества 98%

и 99%

в реактиве соответственно равна:

;

.
Погрешность установления массовой концентрации для 2,4,6- и 2,3,6-трихлорфенолов в аттестованной смеси АС-ПХФ при массовой доле основного вещества 98%

и 99%

в реактиве соответственно равна:

;

.
Погрешность установления массовой концентрации для 2,4,5-трихлорфенола в аттестованной смеси АС-ПХФ при массовой доле основного вещества 98%

и 99%

в реактиве соответственно равна:

;

.
Погрешность установления массовой концентрации для 2,4,5-трихлорфенола в аттестованной смеси АС-ПХФ при массовой доле основного вещества 98%

и 99%

в реактиве соответственно равна:

;

.
Погрешность установления массовой концентрации для 2,3,4-трихлорфенола в аттестованной смеси АС-ПХФ при массовой доле основного вещества 98%

и 99%

в реактиве соответственно равна:

;

.
Погрешность установления массовой концентрации для всех тетрахлорфенолов и пентахлорфенола в аттестованной смеси АС-ПХФ при массовой доле основного вещества 98%

и 99%

в реактиве соответственно равна:

;

.
Б.7 Требования безопасности
Б.7.1 При приготовлении аттестованных растворов полихлорфенолов соблюдают требования безопасности, установленные в национальных стандартах и соответствующих нормативных документах.
Б.7.2 По степени воздействия на организм вредные вещества, используемые при приготовлении аттестованных растворов, относятся к 1-му и 3-му классам опасности по
ГОСТ 12.1.007.
Б.7.3 Содержание используемых вредных веществ в воздухе рабочей зоны не должно превышать установленных ПДК в соответствии с
ГОСТ 12.1.005.
Б.7.4 Взвешивание препаратов полихлорфенолов следует проводить с использованием средств индивидуальной защиты - респиратора и резиновых перчаток. При попадании полихлорфенолов на кожу, их следует немедленно снять сухим ватным тампоном, затем протереть тампоном, смоченным изопропиловым спиртом и тщательно промыть водой с мылом.
Б.8 Требования к квалификации операторов
Аттестованные растворы может готовить инженер или лаборант со средним профессиональным образованием, прошедший специальную подготовку и имеющий стаж работы в химической лаборатории не менее года.
Б.9 Требования к маркировке
На склянки с аттестованными растворами должны быть наклеены этикетки с указанием условного обозначения раствора, наименования конкретного полихлорфенола, содержащегося в данном растворе, массовой концентрации полихлорфенола, погрешности ее установления и даты приготовления.
Б.10 Условия хранения
Аттестованные растворы АР-ПХФ следует хранить в темной, плотно закрытой склянке в холодильнике не более 6 месяцев.
Аттестованную смесь АС-ПХФ следует хранить в темной, плотно закрытой склянке в холодильнике не более 3 месяцев.
(справочное)
ПРИМЕРЫ ХРОМАТОГРАММ ГРАДУИРОВОЧНЫХ ОБРАЗЦОВ
1 - 2,6-дихлорфенол; 2 - 2,3-дихлорфенол;
3 - 2,4,6-трихлорфенол; 4 - 2,4,5-трихлорфенол;
5 - 3,4,5-трихлорфенол; 6 - 2,3,5,6-тетрахлорфенол;
7 - пентахлорфенол; 8 - внутренний стандарт
Рисунок В.1 - Хроматограмма градуировочного образца смеси
полихлорфенолов на колонке НР-50+
1 - 3,4-дихлорфенол; 2 - 3,5-дихлорфенол;
3 - 2,5-дихлорфенол; 4 - 2,3,4-трихлорфенол;
5 - 2,3,5-трихлорфенол; 6 - 2,3,6-трихлорфенол;
7 - 2,3,4,5-тетрахлорфенол; 8 - 2,3,4,6-тетрахлорфенол;
9 - внутренний стандарт
Рисунок В.2 - Хроматограмма градуировочного образца смеси
полихлорфенолов на колонке НР-50+
1 - 2,6-дихлорфенол; 2 - 2,5-дихлорфенол;
3 - 3,5-дихлорфенол; 4 - 2,3-дихлорфенол;
5 - 3,4-дихлорфенол; 6 - 2,4,6-трихлорфенол;
7 - 2,3,6-трихлорфенол; 8 - 2,3,5-трихлорфенол;
9 - 2,4,5-трихлорфенол; 10 - 2,3,4-трихлорфенол;
11 - 3,4,5-трихлорфенол; 12 - внутренний стандарт;
13 - 2,3,5,6-тетрахлорфенол; 14 - 2,3,4,6-тетрахлорфенол;
15 - 2,3,4,5-тетрахлорфенол; 16 - дибутилфталат;
17 - пентахлорфенол
Рисунок В.3 - Хроматограмма градуировочного образца
смеси полихлорфенолов на колонке НР-5