Главная // Актуальные документы // МетодикаСПРАВКА
Источник публикации
Ростов-на-Дону: Росгидромет, ФГБУ "ГХИ", 2023
Примечание к документу
Документ
вводится в действие с 01.03.2025.
Название документа
"РД 52.24.492-2023. Руководящий документ. Массовая концентрация формальдегида в водах. Методика измерений фотометрическим методом с ацетилацетоном"
(утв. и введен в действие Приказом Росгидромета от 20.10.2023 N 502)
"РД 52.24.492-2023. Руководящий документ. Массовая концентрация формальдегида в водах. Методика измерений фотометрическим методом с ацетилацетоном"
(утв. и введен в действие Приказом Росгидромета от 20.10.2023 N 502)
Утвержден и введен в действие
от 20 октября 2023 г. N 502
РУКОВОДЯЩИЙ ДОКУМЕНТ
МАССОВАЯ КОНЦЕНТРАЦИЯ ФОРМАЛЬДЕГИДА В ВОДАХ
МЕТОДИКА
ИЗМЕРЕНИЙ ФОТОМЕТРИЧЕСКИМ МЕТОДОМ С АЦЕТИЛАЦЕТОНОМ
РД 52.24.492-2023
Дата введения
1 марта 2025 года
1 РАЗРАБОТАН Федеральным государственным бюджетным учреждением "Гидрохимический институт" (ФГБУ "ГХИ")
2 РАЗРАБОТЧИКИ Ю.А. Андреев, канд. хим. наук (руководитель разработки), Е.С. Килейнова (ответственный исполнитель), О.А. Михайленко, А.А. Назарова, канд. хим. наук
3 СОГЛАСОВАН:
- с Федеральным государственным бюджетным учреждением "Научно-производственное объединение "Тайфун" (ФГБУ "НПО "Тайфун") 17.10.2023;
- с Управлением мониторинга загрязнения окружающей среды, полярных и морских работ (УМЗА) Росгидромета 18.10.2023
4 УТВЕРЖДЕН И ВВЕДЕН В ДЕЙСТВИЕ
приказом Росгидромета от 20.10.2023 N 502
5 АТТЕСТОВАНА ФГБУ "ГХИ".
Свидетельство об аттестации методики измерений N 492.RA.RU.311345-2023 от 29.12.2023
6 ЗАРЕГИСТРИРОВАН головной организацией по стандартизации ФГБУ "НПО "Тайфун" 19.10.2023
ОБОЗНАЧЕНИЕ РУКОВОДЯЩЕГО ДОКУМЕНТА РД 52.24.492-2023
Внесена в Федеральный реестр методик выполнения измерений, применяемых в сферах распространения государственного метрологического контроля и надзора, номер ФР.1.31.2024.47516
7 ВЗАМЕН
РД 52.24.492-2006 "Массовая концентрация формальдегида в водах. Методика выполнения измерений фотометрическим методом с ацетилацетоном"
8 СРОК ПЕРВОЙ ПРОВЕРКИ 2032 год.
ПЕРИОДИЧНОСТЬ ПРОВЕРКИ 7 лет
Формальдегид - простейший альдегид, который представляет собой бесцветное газообразное растворимое в воде вещество, обладает резким запахом и является ядовитым для живых организмов.
В водных растворах формальдегид может находиться как в виде мономера, так и образовывать полимеры (параформ или параформальдегид) общей формулой HO-(CH2-O)n-H, где n = (8 - 100), часто выделяющиеся в виде осадка белого цвета из формалина, 40%-ного водного раствора формальдегида. При действии щелочи или нагревании в кислой среде они деполимеризуются, обратно превращаясь в раствор формальдегида.
В воде водных объектов формальдегид образуется как продукт биохимической трансформации органических веществ, а также за счет фотолитического окисления метана. Антропогенными источниками поступления формальдегида являются сточные воды производств формалина, феноло-, меламино- и мочевиноформальдегидных смол, синтетического каучука, уротропина, фармацевтических препаратов, взрывчатых веществ, красителей, а также предприятий кожевенной, текстильной и целлюлозно-бумажной промышленности. При обеззараживании воды озонированием побочным продуктом процесса является образование формальдегида. В заметных количествах формальдегид содержится и в сточных водах, прошедших биохимическую очистку, являясь продуктом жизнедеятельности микроорганизмов активного ила.
Уменьшение концентрации формальдегида в водной среде преимущественно связано с его окислением и биодеградацией. В аэробных условиях при 20 °C формальдегид разлагается в течение 30 ч, в анаэробных - примерно 48 ч.
Формальдегид проявляет целый ряд негативных свойств по отношению к живым организмам: раздражающее, аллергенное, мутагенное, сенсибилизирующее и канцерогенное. Вследствие токсического воздействия на водные организмы, содержание свободного формальдегида в водах нормируется.
Предельно допустимая концентрация формальдегида для воды подземных и поверхностных водных объектов хозяйственно-питьевого и культурно-бытового водопользования составляет 0,05 мг/дм3, а в воде рыбохозяйственного значения - 0,1 мг/дм3.
Настоящий руководящий документ устанавливает методику измерений (далее - методика) массовой концентрации формальдегида в пробах природных и очищенных сточных вод фотометрическим методом в диапазоне от 0,025 до 0,250 мг/дм3.
Настоящий руководящий документ предназначен для использования в лабораториях, осуществляющих анализ природных и очищенных сточных вод.
В настоящем руководящем документе использованы нормативные ссылки на следующие нормативные документы:
ГОСТ 12.1.005-88 Система стандартов безопасности труда. Общие санитарно-гигиенические требования к воздуху рабочей зоны
ГОСТ 12.1.007-76 Система стандартов безопасности труда. Вредные вещества. Классификация и общие требования безопасности
ГОСТ 17.1.5.04-81 Охрана природы. Гидросфера. Приборы и устройства для отбора, первичной обработки и хранения проб природных вод. Общие технические условия
ГОСТ 61-75 Реактивы. Кислота уксусная. Технические условия
ГОСТ 1770-74 Посуда мерная лабораторная стеклянная. Цилиндры, мензурки, колбы, пробирки. Общие технические условия
ГОСТ 4220-75 Реактивы. Калий двухромовокислый. Технические условия
ГОСТ 4328-77 Реактивы. Натрия гидроокись. Технические условия
ГОСТ 14919-83 Электроплиты, электроплитки и жарочные электрошкафы бытовые. Общие технические условия
ГОСТ 22056-76 Трубки электроизоляционные из фторопласта 4Д и 4ДМ. Технические условия
ГОСТ 25336-82 Посуда и оборудование лабораторные стеклянные. Типы, основные параметры и размеры
ГОСТ 27068-86 Реактивы. Натрий серноватистокислый (натрия тиосульфат) 5-водный. Технические условия
ГОСТ 29169-91 Посуда лабораторная стеклянная. Пипетки с одной отметкой
ГОСТ 29227-91 Посуда лабораторная стеклянная. Пипетки градуированные. Часть 1. Общие требования
ГОСТ 29251-91 Посуда лабораторная стеклянная. Бюретки. Часть 1. Общие требования
ГОСТ OIML R 76-1-2011 Государственная система обеспечения единства измерений. Весы неавтоматического действия. Часть 1. Метрологические и технические требования. Испытания
ГОСТ Р 53228-2008 Весы неавтоматического действия. Часть 1. Метрологические и технические требования. Испытания
ГОСТ Р ИСО 5725-6 Точность (правильность и прецизионность) методов и результатов измерений. Часть 6. Использование значений точности на практике
МИ 2881-2004 Государственная система обеспечения единства измерений. Методики количественного химического анализа. Процедуры проверки приемлемости результатов анализа
Примечание - При пользовании настоящим руководящим документом целесообразно проверять действие ссылочных нормативных документов:
- стандартов - в информационной системе общего пользования - на официальном сайте федерального органа исполнительной власти в сфере стандартизации в сети Интернет или по ежегодно издаваемому информационному указателю "Национальные стандарты", который опубликован по состоянию на 1 января текущего года, и по выпускам ежемесячно издаваемого информационного указателя "Национальные стандарты" за текущий год;
- нормативных документов по метрологии (МИ) - по ежегодно издаваемому "Перечню нормативных документов в области метрологии", опубликованному по состоянию на 1 января текущего года.
Если ссылочный нормативный документ заменен (изменен), то при пользовании настоящим руководящим документом следует руководствоваться замененным (измененным) нормативным документом. Если на документ дана недатированная ссылка, то следует использовать документ, действующий на текущий момент, с учетом всех внесенных в него изменений. Если заменен ссылочный документ, на который дана датированная ссылка, то следует использовать указанную версию этого документа. Если ссылочный нормативный документ отменен без замены, то положение, в котором дана ссылка на него, применяется в части, не затрагивающей эту ссылку.
3 Требования к показателям точности измерений
3.1 При соблюдении всех регламентируемых методикой условий проведения измерений характеристики погрешности результата измерения с вероятностью 0,95 не должны превышать значений, приведенных в
таблице 1.
Таблица 1
Диапазон измерений, показатели повторяемости,
воспроизводимости, правильности и точности
при принятой вероятности P = 0,95
Диапазон измерений массовой концентрации формальдегида | Показатель повторяемости (среднеквадратическое отклонение повторяемости) | Показатель воспроизводимости (среднеквадратическое отклонение воспроизводимости) | Показатель правильности (границы систематической погрешности) | Показатель точности (границы погрешности) |
X, мг/дм3 |  , мг/дм 3 |  , мг/дм 3 |  , мг/дм 3 |  , мг/дм 3 |
От 0,025 до 0,250 включ. | 0,001 + 0,03·X | 0,001 + 0,05·X | 0,001 + 0,05·X | 0,003 + 0,11·X |
Предел обнаружения формальдегида фотометрическим методом с ацетилацетоном по настоящему руководящему документу составляет 0,01 мг/дм3.
3.2 Значения показателя точности методики используют при:
- оформлении результатов измерений, выдаваемых лабораторией;
- оценке деятельности лабораторий на качество проведения измерений;
- оценке возможности использования результатов измерений при реализации методики в конкретной лаборатории.
4 Требования к средствам измерений, вспомогательным устройствам, реактивам, материалам
4.1 Средства измерений, вспомогательные устройства
4.1.1 Фотометр или спектрофотометр любого типа (КФК-3, ПЭ-5300, ПЭ-5400, Unico 1201 и др.).
4.1.2 Весы неавтоматического действия (лабораторные) специального (I) класса точности по
ГОСТ Р 53228 или
ГОСТ OIML R 76-1, действительная цена деления (шкалы) 0,0001 г.
4.1.3 Весы неавтоматического действия (лабораторные) высокого (II) класса точности по
ГОСТ Р 53228 или
ГОСТ OIML R 76-1, действительная цена деления (шкалы) 0,001 г или 0,01 г.
4.1.4 pH-метр или pH-метр-иономер любого типа с пределами допускаемой погрешности при измерении разности потенциалов не более +/- 3 мВ в комплекте с электродом стеклянным (в том числе твердоконтактным) любого типа с погрешностью измерения, не превышающей +/- 0,1 единиц pH, и электродом сравнения любого типа.
4.1.5 Государственный стандартный образец состава раствора формальдегида ГСО 7347-96 или ГСО 8639-2004 (далее - ГСО) с относительной погрешностью аттестованного значения не более 1,0%.
4.1.6 Колбы мерные 2-го класса точности, исполнения 2 или 2а по
ГОСТ 1770, вместимостью: 25 см
3 - 7 шт., 100 см
3 - 3 шт., 200 см
3 - 1 шт., 500 см
3 - 1 шт.
4.1.7 Бюретка 2-го класса точности, исполнения 1 или 3 по
ГОСТ 29251, вместимостью 25 см
3.
4.1.8 Пипетки градуированные 2-го класса точности, типа 1 и 3, исполнения 1, 2 по
ГОСТ 29227, вместимостью: 1 см
3 - 5 шт., 2 см
3 - 4 шт., 5 см
3 - 6 шт., 10 см
3 - 1 шт.
4.1.9 Пипетки с одной отметкой 2-го класса точности, исполнения 2 по
ГОСТ 29169, вместимостью: 5 см
3 - 3 шт., 10 см
3 - 3 шт., 20 см
3 - 2 шт., 25 см
3 - 1 шт.
4.1.10 Цилиндры мерные 2-го класса точности, исполнения 2, 2а, 4, 4а по
ГОСТ 1770 вместимостью 100 см
3 - 2 шт., а также исполнения 1 или 3, вместимостью: 25 см
3 - 3 шт., 50 см
3 - 1 шт., 100 см
3 - 2 шт., 250 см
3 - 2 шт., 500 см
3 - 2 шт.
4.1.11 Колбы конические Кн, исполнения 2 по
ГОСТ 25336, вместимостью: 100 см
3 - 10 шт., 250 см
3 - 2 шт., 1000 см
3 - 1 шт.
4.1.12 Стаканы В-1, ТХС по
ГОСТ 25336, вместимостью: 50 см
3 - 1 шт., 100 см
3 - 10 шт., 150 см
3 - 1 шт., 250 см
3 - 2 шт., 600 см
3 - 1 шт., 1000 см
3 - 1 шт.
4.1.13 Стаканчики для взвешивания СВ-19/9 и СВ-24/10 по
ГОСТ 25336 - 4 шт.
4.1.14 Пробирка исполнения 1 или 2 по
ГОСТ 1770, вместимостью 10 см
3.
4.1.15 Установки для отгонки формальдегида из стекла группы ТС (круглодонная колба типа К исполнения 1 с взаимозаменяемым конусом 29/32 вместимостью 250 см
3, переход П-1-29/32-14/23 и каплеуловитель КО-14/23-60 или КО-14/23-100; или изгиб

с взаимозаменяемыми конусами кернов 29/32 и 14/23, холодильник прямой ХПТ исполнения 1 длиной от 300 до 400 мм с взаимозаменяемым конусом керна 14/23 и алонж типа АИ с конусами керна и муфты 14/23) по
ГОСТ 25336 - 2 шт.
4.1.16 Система получения воды для лабораторного анализа степени чистоты 1 или 2 по
ГОСТ Р 52501 с использованием ионообменных смол любого типа (например, фирмы Merck Millipore "Simplicity" или аналог).
4.1.17 Палочки стеклянные.
4.1.18 Посуда стеклянная (в том числе из темного стекла) и пластиковая для хранения проб и растворов реактивов вместимостью: 0,1, 0,25 и 0,5 дм3.
4.1.19 Шпатель.
4.1.20 Эксикатор исполнения 2 с диаметром корпуса 190 мм по
ГОСТ 25336.
4.1.21 Шкаф сушильный общелабораторного назначения.
4.1.22 Холодильник бытовой.
4.1.23 Колбонагреватели любого типа.
4.1.24 Электроплитка с закрытой спиралью по
ГОСТ 14919.
4.1.25 Термостатируемая баня (водяной термостат) любого типа, обеспечивающий температуру (40 +/- 3) °C.
4.1.26 Кристаллизатор.
4.1.27 Трубка электроизоляционная из фторопласта 4Д, внутренним диаметром 4 мм, толщиной стенки 1 мм по
ГОСТ 22056 (рекомендуется для
10.2).
Примечание - Допускается использование других типов средств измерений, посуды и вспомогательного оборудования, в т.ч. импортных, с характеристиками не хуже, чем у приведенных в 4.1.
4.2.1 Формалин технический по
ГОСТ 1625 (при отсутствии ГСО).
4.2.3 Кислота уксусная по
ГОСТ 61, х.ч.
4.2.5 Натрия гидроокись (гидроксид натрия) по
ГОСТ 4328, ч.д.а. или калия гидроокись (гидроксид калия) по
ГОСТ 24363, ч.д.а.
4.2.6 Аммиак водный, концентрированный по
ГОСТ 3760, ч.д.а.
4.2.8 Йод кристаллический по
ГОСТ 4159, ч.д.а. или стандарт-титр йод с молярной концентрацией
c(1/2I
2) = 0,1 моль/дм
3 по
[1].
4.2.9 Натрий серноватистокислый (тиосульфат натрия) 5-водный по
ГОСТ 27068, ч.д.а. или стандарт-титр натрий серноватистокислый 5-водный с молярной концентрацией
c(Na
2S
2O
3·5H
2O) = 0,1 моль/дм
3 по
[1].
4.2.10 Калий двухромовокислый (дихромат калия) по
ГОСТ 4220, х.ч.
4.2.12 Кислота салициловая по
[2], ч.
4.2.13 Калий йодистый (йодид калия) по
ГОСТ 4232, ч.д.а.
4.2.15 Кальций хлористый (хлорид кальция) обезвоженный по
[3] (для эксикатора).
4.2.17 Универсальная индикаторная бумага (pH от 0 до 12) по
[4].
Примечание - Допускается использование реактивов и материалов, изготовленных по другой нормативно-технической документации, в том числе импортных, с квалификацией и характеристиками не ниже указанных в 4.2.
Измерение массовой концентрации формальдегида фотометрическим методом основано на отгонке его из пробы воды с водяным паром и последующем взаимодействии с ацетилацетоном в присутствии ионов аммония с образованием окрашенного в желтый цвет продукта реакции, максимум оптической плотности которого наблюдается при 412 нм.
6 Требования безопасности, охраны окружающей среды
6.1 При выполнении измерений массовой концентрации формальдегида в пробах природных и очищенных сточных вод соблюдают требования безопасности, установленные в национальных стандартах и соответствующих нормативных документах.
6.2 По степени воздействия на организм вредные вещества, используемые при выполнении измерений, относятся ко 2-му и 3-му классам опасности по
ГОСТ 12.1.007.
6.3 Содержание используемых вредных веществ в воздухе рабочей зоны не должно превышать установленных предельно допустимых концентраций в соответствии с
ГОСТ 12.1.005.
6.4 Вредные вещества подлежат сбору и утилизации в соответствии с установленными правилами.
6.5 Выполнение измерений следует проводить при наличии вытяжной вентиляции.
7 Требования к квалификации операторов
К выполнению измерений и обработке их результатов допускаются лица с высшим или средним профессиональным образованием и освоившие методику.
8 Требования к условиям измерений
При выполнении измерений соблюдают следующие условия:
- температура окружающего воздуха, °C ....................... 22 +/- 5;
- атмосферное давление, кПа (мм рт. ст.) ............. от 84,0 до 106,7
(от 630 до 800);
- влажность воздуха при температуре 25 °C, %, не более ............ 80.
9 Подготовка к выполнению измерений
9.1 Отбор и хранение проб
9.1.1 Отбор проб для определения формальдегида производят в соответствии с
ГОСТ Р 59024. Оборудование для отбора проб должно соответствовать
ГОСТ 17.1.5.04 и
ГОСТ Р 59024. Пробы отбирают в стеклянную посуду. Объем отбираемой пробы не менее 0,4 дм
3.
9.1.2 Анализ проб должен быть выполнен не позднее 6 ч после отбора при хранении пробы при температуре выше 10 °C, либо в течение 2 сут, если проба хранится при температуре ниже 10 °C. Пробу, законсервированную серной кислотой из расчета 2 см3 раствора кислоты (1:1) на 400 см3 воды, допустимо хранить до 2 нед.
9.2 Приготовление растворов
9.2.1 Дистиллированная вода, очищенная от формальдегида
Дистиллированную воду кипятят в течение 30 мин в конической колбе вместимостью 1000 см3, охлаждают под проточной водой до комнатной температуры. Допускается хранение кипяченой дистиллированной воды в склянке с притертой пробкой не более 1 сут.
Примечание - Допускается проводить подготовку дистиллированной воды с использованием систем получения воды для лабораторного анализа степени чистоты 1 или 2 по
ГОСТ Р 52501 с использованием УФ-облучения любого типа в соответствии с инструкцией по их эксплуатации.
9.2.2 Раствор серной кислоты, 1:1
В термостойком стакане вместимостью 250 см3 смешивают, непрерывно перемешивая, 100 см3 дистиллированной воды и 100 см3 концентрированной серной кислоты. Срок хранения раствора в плотно закрытой склянке не ограничен.
9.2.3 Раствор ацетилацетона, 5%-ный
В стакан вместимостью 100 см3 помещают 38 см3 дистиллированной воды и приливают градуированной пипеткой 2 см3 ацетилацетона, с помощью стеклянной палочки перемешивают до полного растворения. Срок хранения раствора в плотно закрытой склянке из темного стекла в холодильнике не более 10 сут.
Примечание - Допускается применять для приготовления раствора только практически бесцветный реактив. В случае наличия желтоватой окраски, а также превышения значений оптической плотности холостой пробы по
10.4, ацетилацетон следует очистить перегонкой или заменить другой партией реактива.
9.2.4 Аммонийно-ацетатный буферный раствор
В стакане вместимостью 250 см3 смешивают, непрерывно перемешивая, 80 см3 уксусной кислоты и 90 см3 концентрированного раствора аммиака. Проверяют значение pH раствора с помощью pH-метра. Буферный раствор должен иметь значение pH (6,0 +/- 0,2), в противном случае требуемое значение pH устанавливают добавлением раствора аммиака (при pH менее 5,8), либо уксусной кислоты (при pH более 6,2). Срок хранения раствора при комнатной температуре в герметично закрытой склянке не ограничен.
9.3 Приготовление градуировочных растворов
9.3.1 Приготовление градуировочных растворов из ГСО
9.3.1.1 Для приготовления градуировочного раствора N 1 вскрывают ампулу ГСО с концентрацией формальдегида 1,00 мг/см
3 (г/дм
3) и ее содержимое переносят в сухую пробирку. С помощью сухой пипетки с одной отметкой отбирают 5,0 см
3 образца и переносят в мерную колбу вместимостью 100 см
3, объем раствора доводят до метки на колбе дистиллированной водой, подготовленной по
9.2.1, и перемешивают. Массовая концентрация формальдегида в полученном растворе составляет 0,0500 мг/см
3.
Градуировочный раствор хранят в плотно закрытой посуде из стекла в холодильнике не более 3 сут.
9.3.1.2 Для приготовления градуировочного раствора N 2 пипеткой с одной отметкой отбирают 10,0 см
3 градуировочного раствора N 1, помещают его в мерную колбу вместимостью 100 см
3. Доводят объем раствора до метки на колбе дистиллированной водой, подготовленной по
9.2.1, и перемешивают. Массовая концентрация формальдегида в полученном растворе составляет 0,00500 мг/см
3.
Градуировочный раствор N 2 используют в день приготовления.
9.3.2 Приготовление градуировочных растворов из аттестованных растворов
При отсутствии ГСО допускается в качестве градуировочных растворов использовать аттестованные растворы формальдегида, приготовленные из формалина технического, методика приготовления которых приведена в
приложении А.
9.4 Установление градуировочной зависимости
9.4.1 Для приготовления градуировочных образцов в мерные колбы вместимостью 25 см
3 помещают мерным цилиндром по 20 см
3 дистиллированной воды, подготовленной по
9.2.1, градуированными пипетками типа 1 вместимостью 1 и 2 см
3 вносят 0,2; 0,4; 0,6; 0,8; 1,2; 1,6; 2,0 см
3 градуировочного раствора N 2. Затем доводят объемы растворов до меток на колбах дистиллированной водой, подготовленной по
9.2.1, и перемешивают. Содержание формальдегида в градуировочных образцах составит соответственно 0,0010; 0,0020; 0,0030; 0,0040; 0,0060; 0,0080; 0,0100 мг. Растворы переносят в конические колбы вместимостью 50 см
3. Далее выполняют измерения, начиная с
10.3.
Если массовая концентрация формальдегида в ГСО не равна точно 1,00 мг/см3 (г/дм3), рассчитывают содержание формальдегида в градуировочных образцах соответственно концентрации конкретного экземпляра ГСО.
Одновременно с градуировочными образцами выполняют определение формальдегида в холостой пробе, используя для этого аликвоту дистиллированной воды, подготовленной по
9.2.1, объемом 25 см
3.
9.4.2 Измеряют оптическую плотность холостой пробы и вычитают ее из оптической плотности градуировочных образцов.
Градуировочную зависимость оптической плотности от содержания формальдегида в образце рассчитывают методом наименьших квадратов.
9.4.3 Градуировочную зависимость устанавливают при замене прибора или использовании ацетилацетона другой партии, но не реже одного раза в год.
9.5 Контроль стабильности градуировочной характеристики
9.5.1 Контроль стабильности градуировочной характеристики проводят при приготовлении нового буферного раствора и раствора ацетилацетона. Средствами контроля являются образцы, используемые для установления градуировочной зависимости по
9.4 (не менее трех образцов).
Градуировочная характеристика считается стабильной при выполнении следующего условия для всех используемых при контроле градуировочных образцов
где Xr - результат контрольного измерения содержания формальдегида в образце, мг;
Cr - приписанное образцу значение содержания формальдегида, мг;
dr - допустимое расхождение между измеренным и приписанным значением содержания формальдегида в градуировочном образце, мг, в соответствии с
таблицей 2.
Таблица 2
Допустимые расхождения между измеренными
и приписанными значениями содержания формальдегида
в градуировочных образцах при контроле стабильности
градуировочной характеристики
Приписанное значение содержания формальдегида в градуировочном образце, мг | 0,0010 | 0,0020 | 0,0030 | 0,0040 | 0,0060 | 0,0080 | 0,0100 |
Допустимое расхождение dr, мг | 0,0002 | 0,0002 | 0,0004 | 0,0004 | 0,0006 | 0,0008 | 0,0010 |
9.5.2 Если условие стабильности не выполняется для одного градуировочного образца, необходимо выполнить повторное измерение этого образца для исключения результата, содержащего грубую погрешность. При повторном невыполнении условия выясняют причины нестабильности, устраняют их и повторяют измерение с использованием других образцов, предусмотренных методикой. Если градуировочный образец вновь не будет удовлетворять
условию (1), устанавливают новую градуировочную зависимость.
9.5.3 При выполнении
условия (1) учитывают знак разности между измеренными и приписанными значениями содержания формальдегида в образцах. Эта разность должна иметь как положительное, так и отрицательное значение, если же все значения имеют один знак, это свидетельствует о наличии систематического отклонения. В таком случае требуется установить новую градуировочную зависимость.
9.6 Установление степени отгонки формальдегида
Степень отгонки формальдегида b оценивают при использовании конкретной конфигурации установки для отгонки; а также при замене ее элементов и/или колбонагревателя, так как это значение может изменяться в зависимости от данных факторов.
Для определения степени отгонки в круглодонную колбу мерным цилиндром помещают 200 см
3 дистиллированной воды, подготовленной по 2.1, затем градуированной пипеткой вместимостью 5 см
3 добавляют 4,0 см
3 градуировочного раствора N 2 с массовой концентрацией формальдегида 0,0050 мг/см
3 и 1 см
3 раствора серной кислоты (1:1). Далее выполняют измерения, начиная с
10.1.
Расчет коэффициента b, учитывающего степень отгонки формальдегида, выполняют по формуле

(2)
где q - содержание формальдегида, добавленное в пробу, мг;
qо - содержание формальдегида в 25 см3 отгона, найденное по градуировочной зависимости, мг.
Процедуру повторяют от 3 до 5 раз и за окончательное значение величины b принимают среднее арифметическое из полученных результатов.
10 Порядок выполнения измерений
10.1 Перед началом работы собирают установку для отгонки по
4.1.15. Для отгонки пробы воды допускается использование электроплитки или колбонагревателя.
10.2 Цилиндром вместимостью 250 см
3 отбирают 200 см
3 пробы воды, помещают ее в круглодонную колбу. Для равномерного кипения рекомендуется добавлять несколько кипятильных камешков (кусочки фарфора или пористого стекла). К неконсервированной пробе перед отгонкой добавляют 1 см
3 раствора серной кислоты (1:1). Соединяют элементы установки, при этом допускается проводить отгонку без каплеуловителя в случае неинтенсивного равномерного кипения воды и получения удовлетворительных результатов контроля согласно
разделу 13. Включают нагрев и отгоняют 100 см
3 дистиллята в мерный цилиндр.
Примечание - Для получения высокой степени отгонки, а также сведения к минимуму потери формальдегида при отгонке рекомендуется к выходной трубке алонжа присоединять трубку из фторопласта длиной от 15 до 17 см. В данном случае при отгонке погружают фторопластовую трубку алонжа в мерный цилиндр вместимостью 100 см3 до дна.
Отгон в цилиндре тщательно перемешивают стеклянной палочкой (или, закрыв пробкой, переворачивают цилиндр не менее пяти раз). Отбирают мерным цилиндром 25 см3 отгона и помещают в коническую колбу вместимостью 100 см3. Допускается аликвоту отгона помещать в стакан аналогичной вместимости.
10.3 Далее в коническую колбу добавляют градуированными пипетками 3 см
3 ацетатно-аммонийного буферного раствора и 1,0 см
3 раствора ацетилацетона. Смесь перемешивают и немедленно помещают в водяную баню с температурой воды (40 +/- 3) °C. Уровень жидкости в бане должен быть выше уровня жидкости в колбах не менее чем на 1 см. Для предотвращения опрокидывания колб в водяной бане рекомендуется использовать утяжеляющие кольца. Через 30 мин колбы вынимают из бани и охлаждают на воздухе до комнатной температуры.
10.4 Оптическую плотность водного раствора соединения формальдегида с ацетилацетоном измеряют на спектрофотометрах или фотометрах с непрерывной разверткой спектра при длине волны 412 нм (на фотометрах, снабженных светофильтрами - при длине волны 400 нм) в кюветах с толщиной поглощающего слоя 5 см относительно дистиллированной воды. Оптическую плотность холостой пробы вычитают из оптической плотности анализируемой пробы воды.
Если значение оптической плотности холостого опыта превышает значение 0,1, необходимо заменить раствор ацетилацетона в соответствии с
9.2.3.
10.5 Одновременно с серией проб воды проводят анализ холостой пробы (без отгонки), используя для этого 25 см
3 дистиллированной воды, подготовленной по
9.2.1.
10.6 Если полученное значение оптической плотности превышает значение таковой для последней точки градуировочной зависимости, то проводят повторное определение после соответствующего разбавления отгона пробы. Для этого в мерную колбу вместимостью 25 см
3 отбирают пипеткой с одной отметкой 5,0 или 10,0 см
3 отгона пробы воды, доводят объем раствора до метки на колбе дистиллированной водой, подготовленной по
9.2.1, и перемешивают. Отбираемую для разбавления аликвоту выбирают таким образом, чтобы содержание формальдегида в 25 см
3 пробы было не менее 0,006 мг.
10.7 Мешающее влияние мутности, цветности, а также ионов металлов, образующих с ацетилацетоном окрашенные комплексы, устраняется отгонкой формальдегида с водяным паром.
Более высокомолекулярные альдегиды, а также кетоны и другие соединения при концентрациях, реальных для природных и очищенных сточных вод, выполнению измерений массовой концентрации формальдегида не мешают.
11 Обработка результатов измерений
11.1 Рассчитывают оптическую плотность AX, соответствующую содержанию формальдегида в анализируемой пробе воды
AX = A - A1, (3)
где A - значение оптической плотности анализируемой пробы воды;
A1 - значение оптической плотности холостой пробы.
11.2 Содержание формальдегида в анализируемой пробе воды qо, мг, вычисляют по градуировочной зависимости согласно рассчитанному значению AX.
11.3 Массовую концентрацию формальдегида в анализируемой пробе воды X, мг/дм3, рассчитывают по формуле

(4)
где 100 - объем отгона, см3;
qа - содержание формальдегида в аликвоте отгона, найденное по градуировочной зависимости, мг;
1000 - коэффициент перевода миллилитров в литры, см3/дм3;
V - объем аликвоты отгона (25, если по
10.2; 5 или 10 если по
10.6), см
3;
200 - объем пробы воды, взятый для отгонки, см3.
12 Оформление результатов измерений
12.1 Результат измерения в документах, предусматривающих его использование, представляют в виде

, мг/дм
3 (
P = 0,95), (5)
где

- границы абсолютной погрешности результатов измерений для данной массовой концентрации формальдегида, мг/дм
3, в соответствии с
таблицей 1.
Абсолютные погрешности результатов измерений представляют числом, содержащим не более двух значащих цифр. Наименьшие разряды числовых значений результатов измерений принимают такими же, как и наименьшие разряды числовых значений абсолютных погрешностей результатов измерений.
12.2 Допустимо представлять результат в виде

(
P = 0,95) при условии

, (6)
где

- границы абсолютной погрешности результатов измерений, установленные при реализации методики в лаборатории и обеспечиваемые контролем стабильности результатов измерений, мг/дм
3.
Примечание - Допустимо абсолютную погрешность результатов измерений при внедрении методики в лаборатории устанавливать на основе выражения

с последующим уточнением по мере накопления информации в процессе контроля стабильности результатов измерений.
12.3 Результаты измерения оформляют протоколом или записью в журнале по формам, установленным в лаборатории.
13 Контроль качества результатов измерений при реализации методики в лаборатории
13.1.1 Контроль качества результатов измерений при реализации методики в лаборатории предусматривает:
- оперативный контроль исполнителем процедуры выполнения измерений на основе оценки повторяемости и погрешности при реализации отдельно взятой контрольной процедуры;
- контроль стабильности результатов измерений внутри лаборатории.
13.1.2 Периодичность оперативного контроля исполнителем процедуры выполнения измерений, а также реализуемые процедуры контроля стабильности результатов регламентируют в лаборатории.
13.2 Алгоритм оперативного контроля повторяемости
13.2.1 Оперативный контроль повторяемости осуществляют для одного результата измерений в серии проб, полученных в соответствии с методикой. Для этого отобранную пробу воды делят на две части и выполняют измерение в соответствии с
разделом 10.
13.2.2 Результат контрольной процедуры rк, мг/дм3, рассчитывают по формуле
rк = |X1 - X2|, (7)
где X1, X2 - результаты измерений массовой концентрации формальдегида в пробе, мг/дм3.
13.2.3 Предел повторяемости rп, мг/дм3, рассчитывают по формуле

(8)
где

- показатель повторяемости для массовой концентрации формальдегида, равной (
X1 +
X2)/2, мг/дм
3, в соответствии с
таблицей 1.
13.2.4 Результат контрольной процедуры должен удовлетворять условию
13.2.5 При несоблюдении
условия (9) выполняют еще два измерения и сравнивают разницу между максимальным и минимальным результатами с нормативом контроля. В случае превышения предела повторяемости поступают в соответствии с ГОСТ Р ИСО 5725-6-2002
(раздел 5).
13.3 Алгоритм контроля процедуры выполнения измерений с использованием метода добавок
13.3.1 Оперативный контроль исполнителем процедуры выполнения измерений проводят путем сравнения результатов отдельно взятой контрольной процедуры Kк с нормативом контроля K.
13.3.2 Результат контрольной процедуры Kк, мг/дм3, рассчитывают по формуле
Kк = X' - X - Cд, (10)
где X' - результат контрольного измерения массовой концентрации формальдегида в пробе с известной добавкой, мг/дм3;
X - результат измерения массовой концентрации формальдегида в рабочей пробе, мг/дм3;
Cд - концентрация добавки, мг/дм3.
13.3.3 Норматив контроля погрешности K, мг/дм3, рассчитывают по формуле

(11)
где

- значения абсолютной погрешности результатов измерений, установленные при реализации методики в лаборатории, соответствующие массовой концентрации формальдегида в пробе с добавкой (рабочей пробе), мг/дм
3.
Примечание - Допустимо для расчета норматива контроля использовать значения абсолютной погрешности, полученные расчетным путем по формулам

и

, где

,

- приписанные методике значения абсолютной погрешности, соответствующие массовой концентрации формальдегида в пробе с добавкой и рабочей пробе соответственно, мг/дм
3.
13.3.4 Если результат контрольной процедуры удовлетворяет условию
процедуру признают удовлетворительной.
13.3.5 При невыполнении
условия (12) контрольную процедуру повторяют. При повторном невыполнении
условия (12) выясняют причины, приводящие к неудовлетворительным результатам, начиная с
9.6, и принимают меры по их устранению.
14 Проверка приемлемости результатов, полученных в условиях воспроизводимости
14.1 Расхождение между результатами измерений, полученными в двух лабораториях, не должно превышать предела воспроизводимости R. При выполнении этого условия приемлемы оба результата измерений и в качестве окончательного может быть использовано их общее среднее значение. Значение предела воспроизводимости рассчитывают по формуле

(13)
где

- показатель воспроизводимости, мг/дм
3 (в соответствии с
таблицей 1).
14.2 При превышении предела воспроизводимости могут быть использованы методы оценки приемлемости результатов измерений согласно ГОСТ Р ИСО 5725-6-2002
(раздел 5) или
МИ 2881.
14.3 Проверка приемлемости проводится при необходимости сравнения результатов измерений, полученных двумя лабораториями.
(рекомендуемое)
ПРИГОТОВЛЕНИЯ АТТЕСТОВАННЫХ РАСТВОРОВ ФОРМАЛЬДЕГИДА
АР1-ФОРМ, АР2-ФОРМ И АР3-ФОРМ ДЛЯ УСТАНОВЛЕНИЯ
ГРАДУИРОВОЧНОЙ ХАРАКТЕРИСТИКИ ПРИБОРОВ И КОНТРОЛЯ ТОЧНОСТИ
РЕЗУЛЬТАТОВ ИЗМЕРЕНИЙ МАССОВОЙ КОНЦЕНТРАЦИИ ФОРМАЛЬДЕГИДА
ФОТОМЕТРИЧЕСКИМ МЕТОДОМ
А.1 Назначение и область применения
Настоящая методика регламентирует процедуру приготовления аттестованных растворов формальдегида, предназначенных для установления градуировочной характеристики приборов и контроля точности результатов измерений массовой концентрации формальдегида в природных и очищенных сточных водах фотометрическим методом.
А.2 Метрологические характеристики
Метрологические характеристики аттестованных растворов приведены в
таблице А.1.
Таблица А.1
Метрологические характеристики аттестованных растворов
Наименование характеристики | Значение характеристики для аттестованного раствора |
АР1-ФОРМ | АР2-ФОРМ | АР3-ФОРМ |
Аттестованное значение массовой концентрации формальдегида, мг/см3 | 4,00 | 0,100 | 0,00500 |
Границы погрешности аттестованного значения массовой концентрации формальдегида (P = 0,95), мг/см3 | +/- 0,09 | +/- 0,003 | +/- 0,00016 |
А.3 Средства измерений, вспомогательные устройства, реактивы
А.3.1 Весы неавтоматического действия (лабораторные) специального (I) класса точности по
ГОСТ Р 53228 или
ГОСТ OIML R 76-1, действительная цена деления (шкалы) 0,0001 г.
А.3.2 Весы неавтоматического действия (лабораторные) высокого (II) класса точности по
ГОСТ Р 53228 или
ГОСТ OIML R 76-1, действительная цена деления (шкалы) 0,001 г или 0,01 г.
А.3.3 Колбы мерные 2-го класса точности исполнения 2, 2а по
ГОСТ 1770, вместимостью: 100 см
3 - 3 шт., 500 см
3 - 1 шт.
А.3.4 Бюретка 2-го класса точности, исполнения 1 или 3 по
ГОСТ 29251, вместимостью 25 см
3.
А.3.5 Пипетки градуированные 2-го класса точности типа 1 и 3 исполнения 1, 2 по
ГОСТ 29227, вместимостью: 1 см
3 - 2 шт., 2 см
3 - 1 шт., 5 см
3 - 4 шт., 10 см
3 - 1 шт.
А.3.6 Пипетки с одной отметкой 2-го класса точности исполнения 2 по
ГОСТ 29169, вместимостью: 5 см
3 - 2 шт., 10 см
3 - 1 шт., 20 см
3 - 1 шт.
А.3.7 Цилиндры мерные 2-го класса точности, исполнения 1 или 3 по
ГОСТ 1770, вместимостью: 25 см
3 - 1 шт., 100 см
3 - 1 шт., 500 см
3 - 1 шт.
А.3.8 Стаканы В-1, ТХС по
ГОСТ 25336, вместимостью: 50 см
3 - 1 шт., 150 см
3 - 1 шт., 250 см
3 - 1 шт., 600 см
3 - 1 шт.
А.3.9 Колбы конические Кн, исполнения 2 по
ГОСТ 25336, вместимостью: 250 см
3 - 2 шт., 1000 см
3 - 1 шт.
А.3.10 Стаканчики для взвешивания СВ-19/9 и СВ-24/10 по
ГОСТ 25336 - 4 шт.
А.3.11 Эксикатор исполнения 2 с диаметром корпуса 190 мм по
ГОСТ 25336.
А.3.13 Йод кристаллический по
ГОСТ 4159, ч.д.а. или стандарт-титр йод с молярной концентрацией
c(1/2I
2) = 0,1 моль/дм
3 по
[1].
А.3.14 Натрий серноватистокислый (тиосульфат натрия) 5-водный по
ГОСТ 27068, ч.д.а. или стандарт-титр натрий серноватистокислый 5-водный с молярной концентрацией
c(Na
2S
2O
3·5H
2O) = 0,1 моль/дм
3 по
[1].
А.3.15 Калий двухромовокислый (дихромат калия) по
ГОСТ 4220, х.ч.
А.3.16 Натрия гидроокись (гидроксид натрия) по
ГОСТ 4328, ч.д.а. или калия гидроокись (гидроксид калия) по
ГОСТ 24363, ч.д.а.
А.3.18 Кислота салициловая по
[2], ч.
А.3.19 Калий йодистый (йодид калия) по
ГОСТ 4232, ч.д.а.
А.3.21 Кальций хлористый (хлорид кальция) обезвоженный по
[3] (для эксикатора).
А.4 Исходные компоненты аттестованных растворов
А.5 Процедура приготовления вспомогательных растворов
А.5.1 Раствор дихромата калия с молярной концентрацией c(1/6K2Cr2O7), равной 0,1000 моль/дм3
На весах специального класса точности взвешивают с точностью до четвертого знака после запятой 2,4516 г дихромата калия, предварительно высушенного в сушильном шкафу при температуре (105 +/- 2) °C не менее 2 ч и охлажденного в эксикаторе над хлоридом кальция. Количественно переносят навеску в мерную колбу вместимостью 500 см3, растворяют в дистиллированной воде, доводят объем раствора до метки на колбе дистиллированной водой и перемешивают. Хранят в плотно закрытой склянке из темного стекла не более 6 мес.
При отборе навески дихромата калия, отличной от значения 2,4516 г, молярную концентрацию и погрешность раствора рассчитывают по
А.8.1.
А.5.2 Раствор тиосульфата натрия с молярной концентрацией c(Na2S2O3), равной 0,1 моль/дм3
Взвешивают 12,5 г тиосульфата натрия 5-водного, переносят в мерную колбу вместимостью 500 см3 и растворяют в дистиллированной воде, которую предварительно кипятят в течение 1,5 ч и охлаждают до комнатной температуры. Доводят объем раствора до метки на колбе дистиллированной водой и перемешивают. Для консервации раствора добавляют 2 см3 хлороформа. Раствор используют не ранее, чем через 5 сут после приготовления. Допускается приготовление раствора с помощью стандарт-титра (фиксанала) в соответствии с инструкцией по его применению. Раствор хранят в склянке из темного стекла при комнатной температуре. Срок хранения раствора не ограничен.
Точную молярную концентрацию тиосульфата натрия устанавливают в соответствии с
А.6 не реже 1 раза в мес.
А.5.3 Раствор йода с молярной концентрацией c(1/2I2), равной 0,1 моль/дм3
В мерную колбу вместимостью 500 см3 помещают 25 г йодида калия, добавляют 30 см3 дистиллированной воды, после растворения соли добавляют 6,35 г кристаллического йода и перемешивают раствор до полного растворения йода. Далее доводят объем раствора до метки дистиллированной водой и тщательно перемешивают. Допускается приготовление раствора с помощью стандарт-титра (фиксанала) в соответствии с инструкцией по его применению. Раствор хранят в склянке из темного стекла при комнатной температуре. Срок хранения раствора не ограничен.
Точную молярную концентрацию раствора йода устанавливают в соответствии с
А.7 не реже 1 раза в мес.
А.5.4 Раствор соляной кислоты, 2:1
В термостойком стакане вместимостью 600 см3 к 170 см3 дистиллированной воды добавляют 340 см3 концентрированной соляной кислоты. Срок хранения раствора в плотно закрытой склянке не ограничен.
А.5.5 Раствор крахмала, 0,5%-ный
Перемешивают 0,25 г растворимого крахмала с 50 см3 дистиллированной воды, нагревают до кипения и кипятят в течение 5 мин. После того как раствор охладится, добавляют в качестве консерванта около 5 мг салициловой кислоты (на кончике скальпеля).
Допускается и иная процедура приготовления раствора крахмала. Взбалтывают 0,5 г крахмала с 20 см3 дистиллированной воды. Суспензию постепенно приливают к 80 см3 кипящей дистиллированной воды и кипятят еще около 2 мин. После охлаждения раствора его консервируют аналогичным способом, описанным выше.
Раствор крахмала хранят при комнатной температуре, используют до помутнения.
А.5.6 Раствор гидроксида калия или натрия, 2 моль/дм3
В термостойком стакане вместимостью 150 см3 растворяют 11,2 г гидроксида калия или 8,0 г гидроксида натрия в 100 см3 дистиллированной воды. Срок хранения раствора в плотно закрытой пластиковой посуде не более 6 мес.
А.6 Установление точной молярной концентрации раствора тиосульфата натрия
А.6.1 Для установления точной молярной концентрации раствора тиосульфата натрия c(Na2S2O3) в коническую колбу вместимостью 250 см3 приливают мерным цилиндром 80 см3 дистиллированной воды, с помощью пипетки с одной отметкой вносят 10,0 см3 раствора дихромата калия с молярной концентрацией c(1/6K2Cr2O7), равной 0,1000 моль/дм3, добавляют 1 г сухого йодида калия и приливают градуированной пипеткой 10 см3 раствора соляной кислоты (2:1). Закрывают колбу стеклянной пробкой или накрывают часовым стеклом, перемешивают и выдерживают в течение 5 мин в темном месте. Затем проводят титрование из бюретки вместимостью 25 см3 раствором тиосульфата натрия, до появления слабо-желтой окраски, добавляют градуированной пипеткой 1 см3 раствора крахмала и продолжают титрование до исчезновения синей окраски.
Титрование повторяют и, при отсутствии расхождения в объемах раствора тиосульфата натрия более 0,1 см3, за результат принимают среднее арифметическое значение. В противном случае повторяют титрование до получения результатов, отличающихся не более чем на 0,1 см3.
Примечание - При окончании титрования раствор не будет становиться полностью бесцветным, так как в нем присутствуют ионы хрома (III).
А.6.2 Рассчитывают молярную концентрацию раствора тиосульфата натрия c(Na2S2O3), моль/дм3, по формуле

(А.1)
где c(1/6K2Cr2O7) - молярная концентрация раствора дихромата калия, моль/дм3;
Vд - объем раствора дихромата калия, отобранный для титрования, см3;

- среднее арифметическое значение объема раствора тиосульфата натрия, израсходованного на титрование, см
3.
Рассчитанное значение молярной концентрации раствора тиосульфата натрия округляют до четырех значащих цифр.
А.7 Установление точной молярной концентрации раствора йода
А.7.1 Для установления точной молярной концентрации раствора йода
c(1/2I
2) в коническую колбу вместимостью 250 см
3 приливают мерным цилиндром 70 см
3 дистиллированной воды, с помощью пипетки с одной отметкой вносят 20,0 см
3 раствора йода и добавляют градуированной пипеткой 10 см
3 раствора соляной кислоты (2:1). Затем проводят титрование из бюретки вместимостью 25 см
3 раствором тиосульфата натрия с точно установленной по
А.6 молярной концентрацией раствора до бледно-желтой окраски, добавляют градуированной пипеткой 1 см
3 раствора крахмала и продолжают титрование до исчезновения синей окраски. Титрование повторяют и, при отсутствии расхождения в объемах раствора тиосульфата натрия более 0,1 см
3, за результат принимают среднее арифметическое значение. В противном случае повторяют титрование до получения результатов, отличающихся не более чем на 0,1 см
3.
А.7.2 Рассчитывают молярную концентрацию раствора йода c(1/2I2), моль/дм3, по формуле

(А.2)
где Vй - объем раствора йода, отобранный для титрования, см3.
Рассчитанное значение молярной концентрации раствора йода округляют до четырех значащих цифр.
А.8 Расчет погрешности приготовления вспомогательных растворов
А.8.1 Расчет погрешности приготовления раствора дихромата калия
А.8.1.1 Точное значение молярной концентрации раствора дихромата калия c(1/6K2Cr2O7), моль/дм3, рассчитывают по формуле

(А.3)
где 1000 - коэффициент перевода миллилитров в литры, см3/дм;
mд - масса навески дихромата калия;
500 - вместимость мерной колбы;
49,031 - молярная масса 1/6 моля дихромата калия, г/моль.
А.8.1.2 Расчет погрешности

, моль/дм
3, приготовления раствора дихромата калия с молярной концентрацией
c(1/6K
2Cr
2O
7), равной 0,1000 моль/дм
3, выполняют по формуле

(А.4)
где

- предельное значение возможного отклонения массовой доли основного вещества в реактиве от приписанного значения

, %;

- массовая доля основного вещества (K
2Cr
2O
7), приписанная реактиву квалификации "х.ч.", %;

- предельная возможная погрешность взвешивания, г;
m - масса навески дихромата калия, г;

- предельное значение возможного отклонения вместимости мерной колбы от номинального значения, см
3;
V1 - вместимость мерной колбы, см3.
А.8.1.3 Погрешность приготовления раствора дихромата калия с молярной концентрацией c(1/6K2Cr2O7), равной 0,1000 моль/дм3, равна
А.8.2 Расчет погрешности приготовления и установления концентрации раствора тиосульфата натрия
А.8.2.1 Расчет погрешности приготовления и установления концентрации раствора тиосульфата натрия

, моль/дм
3, выполняют по формуле

(А.5)
где

- предельное значение возможного отклонения объема
Vд от номинального значения, см
3;

- предельное значение возможного отклонения объема

от номинального значения, см
3.
А.8.2.2 Погрешность приготовления и установления концентрации раствора тиосульфата натрия с молярной концентрацией c(Na2S2O3), например равной 0,1000 моль/дм3, равна
А.8.3 Расчет погрешности приготовления и установления концентрации раствора йода
А.8.3.1 Расчет погрешности приготовления и установления концентрации раствора йода

, моль/дм
3, выполняют по формуле

(А.6)
где

- предельное значение возможного отклонения объема
Vй от номинального значения, см
3.
А.8.3.2 Погрешность приготовления и установления концентрации раствора йода с молярной концентрацией c(1/2I2), например равной 0,1000 моль/дм3, равна
А.9 Процедура приготовления аттестованных растворов
А.9.1 Приготовление основного аттестованного раствора АР1-ФОРМ
В мерную колбу вместимостью 100 см3 последовательно приливают градуированными пипетками 2,5 см3 раствора гидроксида калия или натрия, 2,5 см3 дистиллированной воды и 1,0 см3 раствора формалина (40%-ного раствора формальдегида). Раствор перемешивают и выдерживают в течение 5 мин, далее доводят объем раствора до метки на колбе дистиллированной водой и перемешивают.
Полученному раствору приписывают массовую концентрацию формальдегида 4,00 мг/см3.
А.9.2 Установление точной массовой концентрации основного аттестованного раствора АР1-ФОРМ
А.9.2.1 Для установления точной массовой концентрации приготовленного раствора формальдегида отбирают с помощью пипетки с одной отметкой 5,0 см
3 раствора и переносят в коническую колбу вместимостью 250 см
3, добавляют с помощью пипетки с одной отметкой 20,0 см
3 раствора йода с точно установленной по
А.7 молярной концентрацией
c(1/2I
2), и 10 см
3 раствора гидроксида калия или натрия, 2 моль/дм
3. Колбу закрывают пробкой или накрывают часовым стеклом, перемешивают и выдерживают в течение 15 мин в темном месте. Затем градуированной пипеткой добавляют 5 см
3 раствора соляной кислоты (2:1) и после перемешивания раствор дополнительно выдерживают в темном месте в течение 10 мин. Далее проводят титрование избытка йода из бюретки вместимостью 25 см
3 раствором тиосульфата натрия с точной установленной по
А.6 молярной концентрацией
c(Na
2S
2O
3), до появления бледно-желтой окраски, добавляют градуированной пипеткой 1 см
3 раствора крахмала и продолжают титрование до исчезновения синей окраски. Титрование повторяют и при отсутствии расхождения в объемах раствора тиосульфата натрия более 0,1 см
3, за результат принимают среднее арифметическое значение. В противном случае повторяют титрование до получения результатов, отличающихся не более чем на 0,1 см
3.
Пример - Для расчета точной массовой концентрации раствора АР1-ФОРМ в А.10.1.2 используем объем раствора тиосульфата натрия, пошедший на титрование, равный 6,68 мл.
А.9.2.2 Аттестованное значение массовой концентрации формальдегида
C1, мг/см
3, в растворе АР1-ФОРМ рассчитывают по формуле

(А.7)
где 15,01 - молярная масса 1/2 моля формальдегида, г/моль;

- объем раствора формальдегида, отобранный для титрования, см
3.
Точную массовую концентрацию аттестованного раствора АР1-ФОРМ устанавливают перед использованием для приготовления аттестованных растворов АР2-ФОРМ и АР3-ФОРМ.
А.9.3 Приготовление аттестованного раствора АР2-ФОРМ
А.9.3.1 Объем аттестованного раствора АР1-ФОРМ,

, см
3, необходимый для получения 100 см
3 аттестованного раствора АР2-ФОРМ с массовой концентрацией формальдегида 0,100 мг/см
3, рассчитывают по формуле

(А.8)
где 0,100 - аттестованное значение массовой концентрации формальдегида в растворе АР2-ФОРМ, мг/см3;
100 - вместимость мерной колбы, см3.
Рассчитанное значение объема аттестованного раствора АР1-ФОРМ округляют до ближайшего значения применяемой далее градуированной пипетки с учетом ее цены деления.
Пример - Для расчета точной массовой концентрации раствора АР2-ФОРМ в А.10.2.2 используем объем раствора АР1-ФОРМ, равный 2,50 см3.
А.9.3.2 Рассчитанный объем аттестованного раствора АР1-ФОРМ отбирают градуированной пипеткой и помещают в мерную колбу вместимостью 100 см3, доводят объем раствора до метки на колбе дистиллированной водой и перемешивают.
Полученному раствору приписывают массовую концентрацию формальдегида 0,100 мг/см3.
А.9.3 Приготовление аттестованного раствора АР3-ФОРМ
Отбирают пипеткой с одной отметкой 5,0 см3 аттестованного раствора АР2-ФОРМ и переносят его в мерную колбу вместимостью 100 см3, доводят объем раствора до метки на колбе дистиллированной водой и перемешивают.
Полученному раствору приписывают массовую концентрацию формальдегида 0,00500 мг/см3.
А.10 Расчет метрологических характеристик аттестованных растворов
А.10.1 Расчет метрологических характеристик аттестованного раствора АР1-ФОРМ
А.10.1.1 Аттестованное значение массовой концентрации формальдегида в растворе АР1-ФОРМ
C1, мг/см
3, рассчитывают согласно
А.9.2.2.
А.10.1.2 Аттестованное значение массовой концентрации формальдегида в растворе АР1-ФОРМ, мг/см
3, равно
А.10.1.3 Расчет предела возможных значений погрешности установления массовой концентрации формальдегида в аттестованном растворе АР1-ФОРМ

, мг/см
3, выполняют по формуле

(А.9)
где

- предельное значение возможного отклонения объема

от номинального значения, см
3.
А.10.1.4 Погрешность установления массовой концентрации формальдегида в аттестованном растворе АР1-ФОРМ равна
А.10.2 Расчет метрологических характеристик аттестованного раствора АР2-ФОРМ
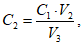
А.10.2.1 Аттестованное значение массовой концентрации формальдегида в растворе АР2-ФОРМ C2, мг/см3, рассчитывают по формуле

(А.10)
где V2 - объем раствора АР1-ФОРМ, отбираемый пипеткой, см3;
V3 - вместимость мерной колбы, см3.
А.10.2.2 Аттестованное значение массовой концентрации формальдегида в растворе АР2-ФОРМ равно
А.10.2.3 Расчет предела возможных значений погрешности установления массовой концентрации формальдегида в аттестованном растворе АР2-ФОРМ

, мг/см
3, выполняют по формуле

(А.11)
где

- предельное значение возможного отклонения объема
V2 от номинального значения, см
3;

- предельное значение возможного отклонения вместимости мерной колбы от номинального значения, см
3.
А.10.2.4 Погрешность установления массовой концентрации формальдегида в аттестованном растворе АР2-ФОРМ равна
А.10.3 Расчет метрологических характеристик аттестованного раствора АР3-ФОРМ
А.10.3.1 Аттестованное значение массовой концентрации формальдегида в растворе АР3-ФОРМ C3, мг/см3, рассчитывают по формуле

(А.12)
где V4 - объем раствора АР2-ФОРМ, отбираемый пипеткой, см3.
А.10.3.2 Аттестованное значение массовой концентрации формальдегида в растворе АР3-ФОРМ равно
А.10.3.3 Расчет предела возможных значений погрешности установления массовой концентрации формальдегида в аттестованном растворе АР3-ФОРМ

, мг/см
3, выполняют по формуле

(А.13)
где

- предельное значение возможного отклонения объема
V4 от номинального значения, см
3.
А.10.3.4 Погрешность установления массовой концентрации формальдегида в аттестованном растворе АР3-ФОРМ равна
А.11 Требования безопасности
Необходимо соблюдать общие требования техники безопасности при работе в химических лабораториях.
А.12 Требования к квалификации исполнителей
Аттестованные растворы может готовить специалист с высшим или средним профессиональным образованием, прошедший специальную подготовку и имеющий стаж работы в химической лаборатории не менее 1 года.
А.13 Требования к маркировке
На склянки с аттестованными растворами должны быть наклеены этикетки с указанием условного обозначения аттестованного раствора, массовой концентрации формальдегида, погрешности ее установления и даты приготовления.
А.14 Условия хранения
А.14.1 Аттестованный раствор АР1-ФОРМ хранят в холодильнике в плотно закрытой склянке не более 1 мес.
А.14.2 Аттестованный раствор АР2-ФОРМ хранят в холодильнике в плотно закрытой склянке не более 5 сут.
А.14.3 Аттестованный раствор АР3-ФОРМ используют в течение рабочего дня.
| ТУ 2642-001-33813273-97 | Стандарт-титры (Фиксаналы; Нормадозы) |
| ТУ 113-03-13-7-80 | Кислота салициловая, чистая |
| ТУ 6-09-4711-81 | Кальций хлористый (кальция хлорид) обезвоженный |
| ТУ 2642-054-23050963-2008 | Универсальная индикаторная бумага |
Ключевые слова: формальдегид, природная вода, массовая концентрация, методика измерений, фотометрический метод, ацетилацетон |