Главная // Актуальные документы // МетодикаСПРАВКА
Источник публикации
Ростов-на-Дону: Росгидромет, ФГБУ "ГХИ", 2022
Примечание к документу
Документ
введен в действие с 01.03.2023.
Взамен РД 52.24.423-2006.
Название документа
"РД 52.24.423-2022. Руководящий документ. Массовая концентрация метанола в водах. Методика измерений фотометрическим методом с хромотроповой кислотой"
(утв. и введен в действие Приказом Росгидромета от 25.02.2022 N 84)
"РД 52.24.423-2022. Руководящий документ. Массовая концентрация метанола в водах. Методика измерений фотометрическим методом с хромотроповой кислотой"
(утв. и введен в действие Приказом Росгидромета от 25.02.2022 N 84)
Утвержден и введен в действие
от 25 февраля 2022 г. N 84
РУКОВОДЯЩИЙ ДОКУМЕНТ
МАССОВАЯ КОНЦЕНТРАЦИЯ МЕТАНОЛА В ВОДАХ
МЕТОДИКА ИЗМЕРЕНИЙ ФОТОМЕТРИЧЕСКИМ МЕТОДОМ
С ХРОМОТРОПОВОЙ КИСЛОТОЙ
РД 52.24.423-2022
Дата введения
1 марта 2023 года
1 РАЗРАБОТАН Федеральным государственным бюджетным учреждением "Гидрохимический институт" (ФГБУ "ГХИ")
2 РАЗРАБОТЧИКИ Ю.А. Андреев, канд. хим. наук (руководитель разработки), О.А. Михайленко (ответственный исполнитель), В.Е. Котова, канд. хим. наук, А.А. Назарова, канд. хим. наук
3 СОГЛАСОВАН:
- с Федеральным государственным бюджетным учреждением "Научно-производственное объединение "Тайфун" (ФГБУ "НПО "Тайфун") 13.01.2022;
- с Управлением мониторинга загрязнения окружающей среды, полярных и морских работ (УМЗА) Росгидромета 21.02.2022
4 УТВЕРЖДЕН И ВВЕДЕН В ДЕЙСТВИЕ
приказом Росгидромета от 25.02.2022 N 84
5 АТТЕСТОВАНА ФГБУ "ГХИ".
Свидетельство об аттестации методики измерений N 423.RA.RU. 311345-2022 от 15.04.2022
6 ЗАРЕГИСТРИРОВАН головной организацией по стандартизации ФГБУ "НПО "Тайфун" 24.02.2022.
ОБОЗНАЧЕНИЕ РУКОВОДЯЩЕГО ДОКУМЕНТА РД 52.24.423-2022
Внесена в Федеральный реестр методик выполнения измерений, применяемых в сферах распространения государственного метрологического контроля и надзора, номер ФР.1.31.2022.43112
7 ВЗАМЕН РД 52.24.423-2006 "Массовая концентрация метанола в водах. Методика выполнения измерений фотометрическим методом с хромотроповой кислотой"
8 СРОК ПЕРВОЙ ПРОВЕРКИ 2030 год.
ПЕРИОДИЧНОСТЬ ПРОВЕРКИ 7 лет
Метанол (метиловый спирт) широко используется как сырье и растворитель в разных производствах; наибольшая часть его идет на получение формальдегида и муравьиной кислоты.
В поверхностные воды метанол поступает со сточными водами производств основного органического синтеза, синтетического каучука, пластмасс, искусственных волокон, лаков, красок, лекарственных препаратов; предприятий по переработке твердого топлива и др. Массовая концентрация метанола в загрязненных поверхностных водах может достигать десятых долей и даже единиц миллиграммов в кубическом дециметре. Снижение концентрации метанола в водоемах происходит за счет биохимического и химического окисления, однако, при окислении метанола образуется формальдегид, обладающий не меньшей токсичностью. Повышенное содержание метанола в воде приводит к нарушению кислородного режима, что отрицательно сказывается на нормальной жизнедеятельности водоема, тормозит процессы нитрификации.
Предельно допустимая концентрация метанола в воде подземных и поверхностных водных объектов хозяйственно-питьевого и культурно-бытового водопользования составляет 3,0 мг/дм3, а в воде рыбохозяйственного значения 0,1 мг/дм3.
Настоящий руководящий документ устанавливает методику измерений (далее - методика) массовой концентрации метанола в пробах природных и очищенных сточных вод фотометрическим методом в диапазоне от 0,050 до 3,00 мг/дм3.
Настоящий руководящий документ предназначен для использования в лабораториях, осуществляющих анализ природных и очищенных сточных вод.
В настоящем руководящем документе использованы нормативные ссылки на следующие нормативные документы:
ГОСТ 12.1.005-88 Система стандартов безопасности труда. Общие санитарно-гигиенические требования к воздуху рабочей зоны
ГОСТ 12.1.007-76 Система стандартов безопасности труда. Вредные вещества. Классификация и общие требования безопасности
ГОСТ 17.1.5.04-81 Охрана природы. Гидросфера. Приборы и устройства для отбора, первичной обработки и хранения проб природных вод. Общие технические условия
ГОСТ 17.1.5.05-85 Охрана природы. Гидросфера. Общие требования к отбору проб поверхностных и морских вод, льда и атмосферных осадков
ГОСТ 195-77 Реактивы. Натрий сернистокислый. Технические условия
ГОСТ 1277-75 Реактивы. Серебро азотнокислое. Технические условия
ГОСТ 1770-74 Посуда мерная лабораторная стеклянная. Цилиндры, мензурки, колбы, пробирки. Общие технические условия
ГОСТ 4165-78 Реактивы. Медь (II) сернокислая 5-водная. Технические условия
ГОСТ 4220-75 Реактивы. Калий двухромовокислый. Технические условия
ГОСТ 4328-77 Реактивы. Натрия гидроокись. Технические условия
ГОСТ 5845-79 Реактивы. Калий-натрий виннокислый 4-водный. Технические условия
ГОСТ 9147-80 Посуда и оборудование лабораторные фарфоровые. Технические условия
ГОСТ 14919-83 Электроплиты, электроплитки и жарочные электрошкафы бытовые. Общие технические условия
ГОСТ 20490-75 Реактивы. Калий марганцовокислый. Технические условия
ГОСТ 22056-76 Трубки электроизоляционные из фторопласта 4Д и 4ДМ. Технические условия
ГОСТ 25336-82 Посуда и оборудование лабораторные стеклянные. Типы, основные параметры и размеры
ГОСТ 28498-90 Термометры жидкостные стеклянные. Общие технические требования. Методы испытаний
ГОСТ 29169-91 Посуда лабораторная стеклянная. Пипетки с одной отметкой
ГОСТ 29227-91 Посуда лабораторная стеклянная. Пипетки градуированные. Часть 1. Общие требования
ГОСТ OIML R 76-1-2011 Государственная система обеспечения единства измерений. Весы неавтоматического действия. Часть 1. Метрологические и технические требования. Испытания
ГОСТ Р 53228-2008 Весы неавтоматического действия. Часть 1. Метрологические и технические требования. Испытания
ГОСТ Р ИСО 5725-6-2002 Точность (правильность и прецизионность) методов и результатов измерений. Часть 6. Использование значений точности на практике
МИ 2881-2004 Государственная система обеспечения единства измерений. Методики количественного химического анализа. Процедуры проверки приемлемости результатов анализа
Примечание - При пользовании настоящим руководящим документом целесообразно проверять действие ссылочных нормативных документов:
- стандартов - в информационной системе общего пользования - на официальном сайте федерального органа исполнительной власти в сфере стандартизации в сети Интернет или по ежегодно издаваемому информационному указателю "Национальные стандарты", который опубликован по состоянию на 1 января текущего года, и по выпускам ежемесячно издаваемого информационного указателя "Национальные стандарты" за текущий год;
- нормативных документов по метрологии (МИ) - по ежегодно издаваемому "Перечню нормативных документов в области метрологии", опубликованному по состоянию на 1 января текущего года;
Если ссылочный нормативный документ заменен (изменен), то при пользовании настоящим руководящим документом следует руководствоваться замененным (измененным) нормативным документом. Если ссылочный нормативный документ отменен без замены, то положение, в котором дана ссылка на него, применяется в части, не затрагивающей эту ссылку.
3 Требования к показателям точности измерений
3.1 При соблюдении всех регламентируемых методикой условий проведения измерений характеристики погрешности результата измерения с вероятностью 0,95 не должны превышать значений, приведенных в
таблице 1.
Таблица 1
Диапазон измерений, показатели повторяемости,
воспроизводимости, правильности и точности
при принятой вероятности P = 0,95
Диапазон измерений массовой концентрации метанола | Показатель повторяемости (среднеквадратическое отклонение повторяемости) | Показатель воспроизводимости (среднеквадратическое отклонение воспроизводимости) | Показатель правильности (границы систематической погрешности) | Показатель точности (границы погрешности) |
X, мг/дм3 |  , мг/дм 3 |  , мг/дм 3 |  , мг/дм 3 |  , мг/дм 3 |
От 0,050 до 1,00 включ. | 0,005 + 0,038·X | 0,010 + 0,047·X | 0,002 + 0,085·X | 0,014 + 0,17·X |
Св. 1,00 до 3,00 включ. | 0,035 + 0,035·X | 0,07·X | 0,010 + 0,14·X |
Предел обнаружения метанола фотометрическим методом с хромотроповой кислотой по настоящему руководящему документу составляет 0,04 мг/дм3.
3.2 Значения показателя точности методики используют при:
- оформлении результатов измерений, выдаваемых лабораторией;
- оценке деятельности лабораторий на качество проведения измерений;
- оценке возможности использования результатов измерений при реализации методики в конкретной лаборатории.
4 Требования к средствам измерений, вспомогательным устройствам, реактивам, материалам
4.1 Средства измерений, вспомогательные устройства
4.1.1 Фотометр или спектрофотометр любого типа (КФК-3, ПЭ-5300, ПЭ-5400, Unico 1201 и др.).
4.1.2 Весы неавтоматического действия (лабораторные) высокого (II) класса точности по
ГОСТ Р 53228 или
ГОСТ OIML R 76-1, действительная цена деления (шкалы) 0,001 г или 0,01 г.
4.1.3 Стандартный образец состава раствора метанола ГСО 8461-2003 (далее - ГСО) с относительной погрешностью аттестованного значения 2,0%.
4.1.4 Колбы мерные 2-го класса точности, исполнения 2 или 2а по
ГОСТ 1770, вместимостью: 50 см
3 - 11 шт., 100 см
3 - 4 шт.
4.1.5 Пробирки градуированные исполнения 2 с взаимозаменяемым конусом 14/23 с стеклянной пробкой по
ГОСТ 1770, вместимостью 20 см
3 - 11 шт.
4.1.6 Пипетки градуированные 2-го класса точности, типа 1 и 3, исполнения 1, 2 по
ГОСТ 29227, вместимостью: 1 см
3 - 5 шт., 2 см
3 - 3 шт., 5 см
3 - 3 шт., 10 см
3 - 1 шт.
4.1.7 Пипетки с одной отметкой 2-го класса точности, исполнения 2 по
ГОСТ 29169, вместимостью: 5 см
3 - 5 шт., 10 см
3 - 1 шт.
4.1.8 Цилиндры мерные 2-го класса точности, исполнения 1 или 3 по
ГОСТ 1770, вместимостью: 10 см
3 - 1 шт., 25 см
3 - 1 шт., 50 см
3 - 1 шт., 100 см
3 - 1 шт., 250 см
3 - 1 шт.
4.1.9 Стаканы В-1, ТХС по
ГОСТ 25336, вместимостью: 100 см
3 - 4 шт., 250 см
3 - 3 шт., 600 см
3 - 2 шт.
4.1.10 Стаканчики для взвешивания СВ-19/9 по
ГОСТ 25336 - 2 шт.
4.1.11 Воронки лабораторные типа В по
ГОСТ 25336 диаметром: 36 мм - 3 шт., 56 мм - 1 шт.
4.1.12 Установки для отгонки метанола из стекла группы ТС (круглодонные колбы типа К исполнения 1 с взаимозаменяемым конусом 29/32 вместимостью 500 см
3, изгибы

с взаимозаменяемыми конусами кернов 29/32 и 14/23, холодильники прямые ХПТ исполнения 1 длиной 200 мм с взаимозаменяемым конусом керна 14/23 и алонжи типа АИ с конусами керна и муфты 14/23) по
ГОСТ 25336-82 - 3 шт.
4.1.13 Холодильники обратные ХПТ исполнения 2 по
ГОСТ 25336 - 3 шт.
4.1.14 Термометр ртутный стеклянный, лабораторный ТЛ-4 N 2 от 0 °C до 55 °C по
[1], с погрешностью измерений 0,2 °C по
ГОСТ 28498 (дополнительное оборудование для выполнения
А.5.1 приложения А).
4.1.15 Палочки стеклянные.
4.1.17 Посуда стеклянная (в том числе из темного стекла) и пластиковая для хранения проб и растворов реактивов вместимостью 0,1; 0,25; 0,5 и 1,0 дм3.
4.1.18 Шпатель.
4.1.19 Шкаф сушильный общелабораторного назначения.
4.1.20 Холодильник бытовой.
4.1.21 Колбонагреватели любого типа.
4.1.22 Электроплитка с закрытой спиралью по
ГОСТ 14919.
Примечание - Допускается использование других типов средств измерений, посуды и вспомогательного оборудования, в т.ч. импортных, с характеристиками не хуже, чем у приведенных в 4.1.
4.2.1 Метанол (карбинол) по
ГОСТ 6995, х.ч. или стандартный образец предприятия СОП 0016-03 СТХ метанол с массовой долей основного вещества не менее 99,8%.
4.2.2 Хромотроповой кислоты динатриевая соль, 2-водная по
[2], ч.д.а.
4.2.3 Калий марганцовокислый (перманганат калия) по
ГОСТ 20490, ч.д.а.
4.2.4 Натрий сернистокислый (сульфит натрия) по
ГОСТ 195, ч.д.а.
4.2.6 Серебро азотнокислое (нитрат серебра) по
ГОСТ 1277, ч.д.а. (допускается ч.) или медь (II) сернокислая 5-водная (сульфат меди) по
ГОСТ 4165, ч.д.а. и калий-натрий виннокислый 4-водный (тартрат калия-натрия) по
ГОСТ 5845, ч.д.а.
4.2.7 Натрия гидроокись (гидроксид натрия) по
ГОСТ 4328, ч.д.а.
4.2.9 Калий двухромовокислый (дихромат калия) по
ГОСТ 4220, ч.
4.2.11 Трубка электроизоляционная из фторопласта 4Д по
ГОСТ 22056, с внутренним диаметром от 5 до 6 мм.
4.2.12 Стеклоткань любого типа.
4.2.13 Фильтры бумажные обеззоленные "белая лента" по
[3].
Примечание - Допускается использование реактивов и материалов, изготовленных по другой нормативно-технической документации, в том числе импортных, с квалификацией и характеристиками не ниже указанной в 4.2.
Измерение массовой концентрации метанола фотометрическим методом основано на окислении его перманганатом калия в кислой среде до формальдегида. Образующийся формальдегид в сильнокислой среде вступает во взаимодействие с хромотроповой кислотой с образованием окрашенного в пурпурный (фиолетовый) цвет соединения, максимум оптической плотности которого наблюдается при 570 нм.
Реакция окисления метанола до формальдегида не всегда может протекать количественно, так как возможно дальнейшее его окисление до муравьиной и/или угольной кислот. В связи с этим, для получения воспроизводимых результатов важно строго соблюдать постоянство условий окисления и последующего образования окрашенного соединения.
Выделение метанола из анализируемой пробы воды и устранение мешающего влияния сопутствующих веществ производится путем предварительной отгонки его с водяным паром.
6 Требования безопасности, охраны окружающей среды
6.1 При выполнении измерений массовой концентрации метанола в пробах природных и очищенных сточных вод соблюдают требования безопасности, установленные в национальных стандартах и соответствующих нормативных документах.
6.2 По степени воздействия на организм вредные вещества, используемые при выполнении измерений, относятся ко 2-му и 3-му классам опасности по
ГОСТ 12.1.007.
6.3 Содержание используемых вредных веществ в воздухе рабочей зоны не должно превышать установленных предельно допустимых концентраций в соответствии с
ГОСТ 12.1.005.
6.4 Вредные вещества подлежат сбору и утилизации в соответствии с установленными правилами (метанол).
6.5 Выполнение измерений следует проводить при наличии вытяжной вентиляции.
6.6 Оператор должен быть проинструктирован о специфических мерах предосторожности при работе с метанолом.
7 Требования к квалификации операторов
К выполнению измерений и обработке их результатов допускают лиц с высшим или средним профессиональным образованием, имеющих стаж работы в лаборатории не менее 6 мес и освоивших методику.
8 Требования к условиям измерений
При выполнении измерений соблюдают следующие условия:
- температура окружающего воздуха, °C ................................ | 22 +/- 5; |
- атмосферное давление, кПа (мм рт. ст.) .............................. | от 84,0 до 106,7 (от 630 до 800); |
- влажность воздуха при температуре 25 °C, %, не более ... | 80. |
9 Подготовка к выполнению измерений
9.1 Отбор и хранение проб
9.1.1 Отбор проб для определения метанола производят в соответствии с
ГОСТ 17.1.5.05 и
ГОСТ Р 59024. Оборудование для отбора проб должно соответствовать
ГОСТ 17.1.5.04 и
ГОСТ Р 59024. Пробы отбирают в стеклянную посуду. Объем отбираемой пробы не менее 0,4 дм
3. Допускается отбор проб воды в пластиковую посуду только с целью последующего замораживания.
9.1.2 Вследствие биохимической неустойчивости метанола анализ должен быть выполнен в течение 4 ч после отбора пробы. Допускается хранение проб в течение суток при температуре, не превышающей 5 °C. Если это требование не может быть выполнено, пробу можно заморозить и хранить не более 5 сут. Допускается консервировать пробы воды добавлением 2 см
3 концентрированной серной кислоты на 1 дм
3 пробы воды и хранить при температуре, не превышающей 10 °C, не более 5 сут. Замороженные пробы после размораживания анализируют согласно
10.1.2.
9.2.1 Приготовление хромовой смеси
Для приготовления хромовой смеси в фарфоровый стакан вместимостью 1000 см3 помещают 60 г дихромата калия, 100 см3 дистиллированной воды. Смесь в стакане нагревают на электроплитке, не доводя до кипения, затем снимают с электроплитки и осторожно приливают небольшими порциями, перемешивая, 1 дм3 концентрированной серной кислоты. Хромовую смесь хранят в плотно закрытой стеклянной посуде. Срок хранения не ограничен.
9.2.2 Обработка посуды
Промытую водопроводной водой новую посуду или посуду после анализа сильно загрязненных проб (кроме пластиковой) омывают небольшим количеством хромовой смеси, покрывая полностью внутреннюю поверхность колб, пробирок и пипеток. Если после обработки цвет хромовой смеси изменился на зеленый, посуду промывают водопроводной водой и обработку хромовой смесью повторяют до прекращения изменения ее цвета. После выдерживания обработанной посуды не менее 30 мин, ее многократно (не менее пяти раз) промывают водопроводной водой и не менее трех раз ополаскивают дистиллированной водой. Далее посуда для измерений (пробирки, стеклянные палочки, воронки, стаканчики для взвешивания, стаканы) должна выдерживаться в сушильном шкафу при температуре 110 °C не менее 2 ч. Чистую посуду хранят в закрытом виде.
9.3 Приготовление растворов
9.3.1 Раствор динатриевой соли хромотроповой кислоты, 10%-ный
В градуированную пробирку вместимостью 20 см3 помещают 1,5 г динатриевой соли хромотроповой кислоты 2-водной, цилиндром вместимостью 25 см3 добавляют 14 см3 дистиллированной воды. Пробирку закрывают стеклянной пробкой и растворяют энергичным встряхиванием. Полученный раствор фильтруют через бумажный обеззоленный фильтр "белая лента". Раствор хранению не подлежит, готовят непосредственно перед использованием.
9.3.2 Раствор перманганата калия, 2%-ный
В стакане вместимостью 100 см3 растворяют 2 г перманганата калия в 100 см3 дистиллированной воды. Раствор хранят в темной склянке не более 1 мес.
9.3.3 Раствор сульфита натрия, насыщенный
В стакан вместимостью 250 см3 приливают 100 см3 дистиллированной воды и вносят сульфит натрия до насыщения, добавляя до тех пор, пока соль не перестанет растворяться. Если для приготовления раствора используют кристаллогидрат, то воду слегка подогревают на электроплитке. Дают раствору отстояться и осторожно сливают раствор над осадком соли в темную склянку. Хранят в темной склянке в холодильнике не более 1 мес.
9.3.4 Раствор серной кислоты, 1:3
В термостойком стакане вместимостью 250 см3 смешивают, непрерывно перемешивая, 150 см3 дистиллированной воды и 50 см3 концентрированной серной кислоты. Срок хранения раствора в плотно закрытой склянке не ограничен.
9.3.5 Раствор гидроксида натрия, 30%-ный
В термостойком стакане вместимостью 100 см3 растворяют 30 г гидроксида натрия в 70 см3 дистиллированной воды. Срок хранения раствора в плотно закрытой пластиковой посуде не ограничен.
9.3.6 Раствор нитрата серебра, 10%-ный
В стакане вместимостью 100 см3 растворяют 10 г нитрата серебра в 90 см3 дистиллированной воды. Срок хранения в темной плотно закрытой склянке не более 6 мес.
9.3.7 Раствор сульфата меди, 14%-ный
В стакане вместимостью 100 см3 растворяют 14 г сульфата меди в 86 см3 дистиллированной воды. Срок хранения в плотно закрытой склянке не более 6 мес.
9.3.8 Щелочной раствор тартрата калия-натрия
В стакане вместимостью 250 см3 растворяют 34,6 г тартрата калия-натрия в 75 см3 дистиллированной воды, добавляют 20 г гидроксида натрия и перемешивают до полного растворения. Срок хранения в плотно закрытой пластиковой посуде не более 6 мес.
9.3.9 Щелочной раствор тартрата меди
Перед использованием в стакане вместимостью 600 см
3 смешивают щелочной раствор тартрата калия-натрия по
9.3.8 и раствор сульфата меди по
9.3.7 в объемном соотношении 2:1.
9.4 Приготовление градуировочного раствора
9.4.1 Приготовление градуировочного раствора из ГСО
Для приготовления градуировочного раствора вскрывают две ампулы ГСО с концентрацией метанола 1,0 мг/см3, их содержимое переносят в сухую градуированную пробирку. С помощью сухой пипетки с одной отметкой отбирают 5,0 см3 образца и переносят в мерную колбу вместимостью 100 см3, объем раствора доводят до метки на колбе дистиллированной водой и перемешивают. Допускается использовать одну ампулу при наличии в ней достаточного для отбора объема раствора. Массовая концентрация метанола в полученном растворе составляет 0,050 мг/см3.
Градуировочный раствор хранят в плотно закрытой посуде из стекла в холодильнике не более 5 сут.
9.4.2 Приготовление градуировочного раствора из аттестованных растворов
При отсутствии ГСО допускается в качестве градуировочного раствора использовать аттестованные растворы метанола, приготовленные из метанола квалификации х.ч., методика приготовления которых приведена в
приложении А.
9.5 Установление градуировочных зависимостей
9.5.1 Для приготовления градуировочных образцов в диапазоне от 0,050 мг/дм
3 до 1,00 мг/дм
3 при проведении измерений с предварительной отгонкой проб в мерные колбы вместимостью 50 см
3 градуированными пипетками типа 1 вместимостью 1, 2 и 5 см
3 вносят 0,5; 1,0; 2,0; 3,0; 4,0 см
3 градуировочного раствора с массовой концентрацией метанола 0,050 мг/см
3, затем доводят объемы растворов до меток на колбах дистиллированной водой и перемешивают. Содержание метанола в образцах составит соответственно 0,025; 0,050; 0,100; 0,150; 0,200 мг. Отбирают пипеткой с одной отметкой по 5,0 см
3 каждого раствора в градуированные пробирки. Далее выполняют измерения, начиная с
10.1.3.
Градуировочную зависимость оптической плотности от содержания метанола в образце рассчитывают методом наименьших квадратов.
9.5.2 Для приготовления градуировочных образцов в диапазоне от 1,00 мг/дм
3 до 3,00 мг/дм
3 при проведении измерений без предварительной отгонки проб в мерные колбы вместимостью 50 см
3 градуированными пипетками типа 1 вместимостью 1, 2 и 5 см
3 вносят 1,0; 1,5; 2,0; 2,5; 3,0 см
3 градуировочного раствора с массовой концентрацией метанола 0,050 мг/см
3, затем доводят объемы растворов до меток на колбах дистиллированной водой и перемешивают. Массовая концентрация метанола в образцах составит соответственно 1,00; 1,50; 2,00; 2,50; 3,00 мг/дм
3. Отбирают пипеткой с одной отметкой 5,0 см
3 каждого раствора в градуированные пробирки. Далее выполняют измерения, начиная с
10.1.3.
Градуировочную зависимость оптической плотности от массовой концентрации метанола рассчитывают методом наименьших квадратов.
9.5.3 Одновременно с градуировочными образцами выполняют два параллельных определения метанола в холостой пробе, используя для этого две аликвоты дистиллированной воды объемом по 5 см3.
Измеряют оптическую плотность холостых проб, рассчитывают среднее арифметическое значение полученных оптических плотностей и вычитают его из оптической плотности градуировочных образцов.
9.5.4 Градуировочную зависимость устанавливают при замене прибора или использовании хромотроповой кислоты другой партии, но не реже одного раза в год.
9.6 Контроль стабильности градуировочной характеристики
9.6.1 Контроль стабильности градуировочной характеристики проводят каждый раз при анализе серии проб воды. Средствами контроля являются образцы, используемые для установления градуировочной зависимости по
9.5.1 и
9.5.2 (не менее трех для каждого диапазона).
Допускается проводить контроль стабильности только одной градуировочной зависимости, если вторая зависимость не будет использована для расчета результатов анализа в данной серии проб.
Градуировочная характеристика считается стабильной при выполнении следующего условия для всех используемых при контроле градуировочных образцов в диапазоне измерений от 0,050 мг/дм3 до 1,00 мг/дм3
где Xг - результат контрольного измерения содержания метанола в образце, мг;
Cг - приписанное образцу значение содержания метанола, мг;
dг - допустимое расхождение между измеренным и приписанным значением содержания метанола в градуировочном образце, мг, в соответствии с
таблицей 2.
Таблица 2
Допустимые расхождения между измеренными и приписанными
значениями содержания метанола в градуировочных образцах
при контроле стабильности градуировочных характеристик
Приписанное значение содержания метанола в градуировочном образце, мг | 0,025 | 0,05 | 0,10 | 0,15 | 0,20 |
Допустимое расхождение dг, мг | 0,006 | 0,009 | 0,013 | 0,018 | 0,023 |
Градуировочная характеристика считается стабильной при выполнении следующего условия для всех используемых при контроле градуировочных образцов в диапазоне от 1,00 мг/дм3 до 3,00 мг/дм3
где Xг' - результат контрольного измерения массовой концентрации метанола в образце, мг/дм3;
Cг' - приписанное образцу значение массовой концентрации метанола, мг/дм3;
dг' - допустимое расхождение между измеренным и приписанным значением массовой концентрации метанола в градуировочном образце, мг/дм
3, в соответствии с
таблицей 3.
Таблица 3
Допустимые расхождения между измеренными и приписанными
значениями массовой концентрации метанола
в градуировочных образцах при контроле
стабильности градуировочных характеристик
Приписанное значение массовой концентрации метанола в градуировочном образце, мг/дм3 | 1,00 | 1,50 | 2,00 | 2,50 | 3,00 |
Допустимое расхождение dг', мг/дм3 | 0,14 | 0,18 | 0,21 | 0,24 | 0,28 |
9.6.2 Если условие стабильности не выполняется для одного градуировочного образца, необходимо выполнить повторное измерение этого образца для исключения результата, содержащего грубую погрешность. При повторном невыполнении условия выясняют причины нестабильности, устраняют их и повторяют измерение с использованием других образцов, предусмотренных методикой. Если градуировочный образец вновь не будет удовлетворять
условию (1) и/или
(2), устанавливают новую градуировочную зависимость.
9.6.3 При выполнении
условия (1) и/или
(2) учитывают знак разности между измеренными и приписанными значениями массовой концентрации метанола в образцах. Эта разность должна иметь как положительное, так и отрицательное значение, если же все значения имеют один знак, это свидетельствует о наличии систематического отклонения. В таком случае требуется установить новую градуировочную зависимость.
9.7 Установление степени отгонки метанола
Степень отгонки метанола b оценивают при использовании конкретной конфигурации установки для отгонки, а также при замене ее элементов и/или колбонагревателя, так как это значение может изменяться в зависимости от данных факторов.
Для определения степени отгонки в круглодонные колбы мерным цилиндром помещают по 200 см
3 дистиллированной воды, затем градуированными пипетками вместимостью 2 и 5 см
3 добавляют 2,0; 3,0; 4,0 см
3 градуировочного раствора с массовой концентрацией метанола 0,050 мг/см
3. Далее выполняют измерения в соответствии с
10.1.1 -
10.1.6.
Расчет коэффициента b, учитывающего степень отгонки метанола выполняют по формуле

, (3)
где q - количество метанола, добавленное в пробу, 0,10; 0,15; 0,20 мг, соответственно;
qo - количество метанола, найденное по градуировочной зависимости по
9.5.1, мг.
Процедуру повторяют для каждой точки по два раза и за окончательное значение величины b принимают среднее арифметическое из шести полученных результатов.
При получении значений степени отгонки округление проводят до двух значащих цифр. В случае получения неудовлетворительных результатов контроля по
13.3.5 определение степени отгонки следует повторить.
10 Порядок выполнения измерений
10.1 Выполнение измерений при отсутствии мешающих веществ
10.1.1 Перед началом работы собирают установку для отгонки по
4.1.12. Для отгонки пробы воды допускается использование электроплитки или колбонагревателя.
10.1.2 Мерным цилиндром отбирают аликвоту пробы воды объемом 200 см
3 и помещают в круглодонную колбу вместимостью 500 см
3. В колбу помещают несколько кипятильных камешков (кусочки фарфора или пористого стекла) и градуированной пипеткой вместимостью 10 см
3 добавляют 10 см
3 концентрированной серной кислоты. Соединяют элементы установки. Включают нагрев и отгоняют пробу воды до отметки на колбе.
Перемешивают содержимое колбы, закрыв стеклянной пробкой и переворачивая ее не менее пяти раз.
Примечание - Для получения высокой степени отгонки, а также сведения к минимуму потери метанола при отгонке рекомендуется к выходной трубке алонжа присоединять трубку из фторопласта длиной от 15 до 17 см. В данном случае при отгонке погружают фторопластовую трубку алонжа в мерную колбу вместимостью 50 см3 до дна.
10.1.3 Пипеткой с одной отметкой отбирают 5,0 см
3 отгона пробы воды, помещают в градуированную пробирку и закрывают стеклянной пробкой. Градуированными пипетками вместимостью 1 см
3 добавляют 1 см
3 раствора серной кислоты (1:3), 0,5 см
3 раствора перманганата калия, закрывают пробкой, встряхивают или переворачивают не менее пяти раз и оставляют на 10 мин.
10.1.4 Одновременно с анализом серии проб воды выполняют два холостых опыта. Для этого в две градуированные пробирки пипеткой с одной отметкой помещают по 5 см
3 дистиллированной воды, добавляют в такой же последовательности реактивы по
10.1.3 и затем по каплям приливают раствор сульфита натрия до обесцвечивания. Такой же объем раствора сульфита натрия добавляют в пробирки с анализируемыми пробами воды.
10.1.5 Затем в каждую пробирку градуированной пипеткой вместимостью 1 см3 добавляют по 0,5 см3 свежеприготовленного раствора динатриевой соли хромотроповой кислоты, перемешивают стеклянной палочкой, которую далее не вынимают из пробирок, после чего градуированной пипеткой осторожно добавляют 5 см3 концентрированной серной кислоты и вновь перемешивают палочкой. Допускается добавление кислоты проводить по стеклянной палочке.
10.1.6 Пробирки со стеклянными палочками ставят в нагретую водяную баню, в качестве которой используют стакан вместимостью 600 см
3, содержащий от 250 до 300 см
3 дистиллированной воды с помещенной на дно стеклотканью. Допускается использование стаканов других вместимости и типа, при этом слой дистиллированной воды в стакане должен быть выше уровня жидкости в пробирке на 2 см. Доводят воду в стакане до кипения и кипятят пробирки с пробами 30 мин. После кипячения охлаждают до комнатной температуры не менее 30 мин.
Стеклянные палочки вынимают, смывая с них остатки анализируемых проб воды дистиллированной водой в пробирки, и доводят объем раствора до 15 см3 дистиллированной водой. Пробирки закрывают стеклянными пробками и перемешивают.
Оптическую плотность полученных растворов измеряют на спектрофотометре или фотометре с непрерывной разверткой спектра при длине волны 570 нм (на фотометре, снабженном светофильтрами, - при длине волны 590 нм) в кювете с толщиной поглощающего слоя 3 см относительно дистиллированной воды. Измеряют оптическую плотность холостых проб, рассчитывают среднее арифметическое значение полученных оптических плотностей и вычитают его из оптической плотности анализируемой пробы воды в соответствии с
11.1.
Если оптическая плотность холостого опыта превышает значение 0,1 необходимо использовать другую партию хромотроповой кислоты.
10.1.7 Если полученное значение оптической плотности пробы превышает максимальное значение градуировочной зависимости в диапазоне измерений от 0,050 до 1,00 мг/дм
3, повторяют определение. Для этого пипеткой с одной отметкой отбирают аликвоту анализируемой пробы воды объемом 5,0 см
3 и помещают в градуированную пробирку со стеклянной пробкой. Далее повторяют процедуру, начиная с
10.1.3. Холостой опыт выполняют по
10.1.4.
10.2 Выполнение измерений при наличии мешающего влияния формальдегида и фенола
10.2.1 Мешающее влияние на измерение массовой концентрации метанола могут оказать формальдегид и фенол, перегоняющиеся вместе с метанолом частично или полностью. Формальдегид оказывает мешающее влияние на определение метанола при концентрации его выше 0,2 мг/дм3, при меньшей концентрации влиянием формальдегида можно пренебречь. Фенол оказывает мешающее влияние при очень высоких концентрациях (более 10 мг/дм3), практически не встречающихся в природных и очищенных сточных водах.
10.2.2 Устранение мешающего влияния формальдегида проводят предварительным окислением его щелочным раствором нитрата серебра по
9.3.6 или тартрата меди по
9.3.9. Для этого к пробе воды, отобранной в колбу для отгонки в соответствии с
10.1.2, мерными цилиндрами приливают 10 см
3 раствора нитрата серебра и 20 см
3 раствора гидроксида натрия. Вместо растворов нитрата серебра и гидроксида натрия допускается использование 30 см
3 щелочного раствора тартрата меди.
Далее проводят кипячение подготовленной пробы воды с обратным холодильником на водно-глицериновой бане (1:1) в течение 30 мин. Формальдегид окисляется и далее не оказывает мешающего влияния на определение метанола. При этом также одновременно устраняется влияние фенолов.
10.2.3 Затем охлаждают пробу не менее 1 ч и фильтруют в другую круглодонную колбу той же вместимости через складчатый бумажный фильтр "белая лента". Колбу устанавливают на электроплитку и проводят измерение массовой концентрации метанола, начиная с
10.1.2. Если при кипячении пробы по
10.2.2 образуется осадок, не мешающий проведению отгонки, допускается исключать процедуру фильтрования.
11 Обработка результатов измерений
11.1 Рассчитывают оптическую плотность
Ax, соответствующую содержанию метанола по
9.5.1 или массовой концентрации метанола по
9.5.2 в анализируемой пробе воды

, (4)
где A - значение оптической плотности анализируемой пробы воды;

- среднее арифметическое значение оптической плотности холостого опыта.
11.2 Содержание метанола в анализируемой аликвоте пробы воды
m, мг, при проведении отгонки по
10.1.2 вычисляют по градуировочной зависимости по
9.5.1 согласно рассчитанному значению
Ax.
11.3 Массовую концентрацию метанола в анализируемой пробе воды
X, мг/дм
3, при проведении отгонки по
10.1.2 рассчитывают по формуле

, (5)
где 1000 - коэффициент перевода миллилитров в литры, см3/дм3;
b - коэффициент, учитывающий степень отгонки метанола из пробы воды;
V - объем аликвоты анализируемой пробы воды, см3.
11.4 Массовую концентрацию метанола в анализируемой пробе воды
X, мг/дм
3, без проведения отгонки по
10.1.7, вычисляют по градуировочной зависимости по
9.5.2 согласно рассчитанному значению
Ax.
12 Оформление результатов измерений
12.1 Результат измерения массовой концентрации метанола в документах, предусматривающих его использование, представляют в виде

, мг/дм
3 (
P = 0,95), (6)
где

- границы абсолютной погрешности результатов измерений для данной массовой концентрации метанола, мг/дм
3, в соответствии с
таблицей 1.
Абсолютные погрешности результатов измерений представляют числом, содержащим не более двух значащих цифр. Наименьшие разряды числовых значений результатов измерений принимают такими же, как и наименьшие разряды числовых значений абсолютных погрешностей результатов измерений.
12.2 Допустимо представлять результат в виде

(
P = 0,95) при условии

, (7)
где

- границы абсолютной погрешности результатов измерений, установленные при реализации методики в лаборатории и обеспечиваемые контролем стабильности результатов измерений, мг/дм
3.
Примечание - Допустимо абсолютную погрешность результатов измерений при внедрении методики в лаборатории устанавливать на основе выражения

с последующим уточнением по мере накопления информации в процессе контроля стабильности результатов измерений.
12.3 Результаты измерения оформляют протоколом или записью в журнале по формам, приведенным в Руководстве по качеству лаборатории.
13 Контроль качества результатов измерений при реализации методики в лаборатории
13.1.1 Контроль качества результатов измерений при реализации методики в лаборатории предусматривает:
- оперативный контроль исполнителем процедуры выполнения измерений на основе оценки повторяемости и погрешности при реализации отдельно взятой контрольной процедуры;
- контроль стабильности результатов измерений внутри лаборатории.
13.1.2 Периодичность оперативного контроля исполнителем процедуры выполнения измерений, а также реализуемые процедуры контроля стабильности результатов выполняемых измерений регламентируются в Руководстве по качеству лаборатории.
13.2 Алгоритм оперативного контроля повторяемости
13.2.1 Оперативный контроль повторяемости осуществляют для одного результата измерений в серии проб, полученных в соответствии с методикой. Для этого отобранную пробу воды делят на две части и выполняют измерение в соответствии с
10.1.
13.2.2 Результат контрольной процедуры rк, мг/дм3, рассчитывают по формуле
rк = |X1 - X2|, (8)
где X1, X2 - результаты измерений массовой концентрации метанола в пробе, мг/дм3.
13.2.3 Предел повторяемости rп, мг/дм3, рассчитывают по формуле

, (9)
где

- показатель повторяемости для массовой концентрации метанола, равной (
X1 +
X2)/2, мг/дм
3 (в соответствии с
таблицей 1).
13.2.4 Результат контрольной процедуры должен удовлетворять условию
13.2.5 При несоблюдении
условия (10) выполняют еще два измерения и сравнивают разницу между максимальным и минимальным результатами с нормативом контроля. В случае превышения предела повторяемости поступают в соответствии с ГОСТ Р ИСО 5725-6-2002
(раздел 5).
13.3 Алгоритм контроля процедуры выполнения измерений с использованием метода добавок
13.3.1 Оперативный контроль исполнителем процедуры выполнения измерений проводят путем сравнения результатов отдельно взятой контрольной процедуры Кк с нормативом контроля К.
13.3.2 Результат контрольной процедуры Кк, мг/дм3, рассчитывают по формуле
Кк = X' - X - Cд, (11)
где X' - результат контрольного измерения массовой концентрации метанола в пробе с известной добавкой, мг/дм3;
X - результат измерения массовой концентрации метанола в рабочей пробе, мг/дм3;
Cд - концентрация добавки, мг/дм3.
13.3.3 Норматив контроля погрешности К, мг/дм3, рассчитывают по формуле

, (12)
где

,

- значения абсолютной погрешности результатов измерений, установленные при реализации методики в лаборатории, соответствующие массовой концентрации метанола в пробе с добавкой (рабочей пробе), мг/дм
3.
Примечание - Допустимо для расчета норматива контроля использовать значения абсолютной погрешности, полученные расчетным путем по формулам

и

, где

,

- приписанные методике значения абсолютной погрешности, соответствующие концентрации метанола в пробе с добавкой и рабочей пробе, соответственно, мг/дм
3.
13.3.4 Если результат контрольной процедуры удовлетворяет условию
процедуру признают удовлетворительной.
13.3.5 При невыполнении
условия (13) контрольную процедуру повторяют. При повторном невыполнении
условия (13) выясняют причины, приводящие к неудовлетворительным результатам, начиная с
9.7, и принимают меры по их устранению.
14 Проверка приемлемости результатов, полученных в условиях воспроизводимости
14.1 Расхождение между результатами измерений, полученными в двух лабораториях, не должно превышать предела воспроизводимости R. При выполнении этого условия приемлемы оба результата измерений и в качестве окончательного может быть использовано их общее среднее значение. Значение предела воспроизводимости рассчитывают по формуле

, (14)
где

- показатель воспроизводимости, мг/дм
3 (в соответствии с
таблицей 1).
14.2 При превышении предела воспроизводимости могут быть использованы методы оценки приемлемости результатов измерений согласно ГОСТ Р ИСО 5725-6-2002
(раздел 5) или
МИ 2881.
14.3 Проверка приемлемости проводится при необходимости сравнения результатов измерений, полученных двумя лабораториями.
(рекомендуемое)
ПРИГОТОВЛЕНИЯ АТТЕСТОВАННЫХ РАСТВОРОВ МЕТАНОЛА АР1-М, АР2-М
И АР3-М ДЛЯ УСТАНОВЛЕНИЯ ГРАДУИРОВОЧНЫХ ХАРАКТЕРИСТИК
ПРИБОРОВ И КОНТРОЛЯ ТОЧНОСТИ РЕЗУЛЬТАТОВ ИЗМЕРЕНИЙ
МАССОВОЙ КОНЦЕНТРАЦИИ МЕТАНОЛА ФОТОМЕТРИЧЕСКИМ МЕТОДОМ
А.1 Назначение и область применения
Настоящая методика регламентирует процедуру приготовления аттестованных растворов метанола, предназначенных для установления градуировочных характеристик приборов и контроля точности результатов измерений массовой концентрации метанола в природных и очищенных сточных водах фотометрическим методом.
А.2 Метрологические характеристики
Метрологические характеристики аттестованных растворов приведены в
таблице А.1.
Таблица А.1
Метрологические характеристики аттестованных растворов
Наименование характеристики | Значение характеристики для аттестованного раствора |
АР1-М | АР2-М | АР3-М |
Аттестованное значение массовой концентрации метанола, мг/см3 | 10,14 | 0,51 | 0,051 |
Границы погрешности аттестованного значения массовой концентрации метанола (P = 0,95), мг/см3 | +/- 0,17 | +/- 0,01 | +/- 0,001 |
А.3 Средства измерений, вспомогательные устройства, реактивы
А.3.1 Колбы мерные 2-го класса точности исполнения 2, 2а по
ГОСТ 1770, вместимостью 100 см
3 - 3 шт.
А.3.2 Пипетки градуированные 2-го класса точности, типа 1 и 3 исполнения 1, 2 по
ГОСТ 29227, вместимостью 2 см
3 - 1 шт.
А.3.3 Пипетки с одной отметкой 2-го класса точности исполнения 2 по
ГОСТ 29169, вместимостью: 5 см
3 - 1 шт., 10 см
3 - 2 шт.
А.3.4 Склянки из стекла для хранения растворов вместимостью 0,25 дм3.
А.3.5 Термометр ртутный стеклянный, лабораторный ТЛ-4 N 2 от 0 °C до 55 °C по
[1], с погрешностью измерений 0,2 °C по
ГОСТ 28498.
А.4 Исходные компоненты аттестованных растворов
А.4.1 Метанол (карбинол) по
ГОСТ 6995, х.ч. или стандартный образец предприятия СОП 0016-03 СТХ метанол с массовой долей основного вещества не менее 99,8%.
А.5 Процедура приготовления аттестованных растворов
А.5.1 Приготовление основного аттестованного раствора АР1-М
Для приготовления аттестованного раствора АР1-М в мерную колбу вместимостью 100 см3 при помощи градуированной пипетки вместимостью 2 см3 приливают 1,28 см3 метанола. Объем раствора доводят до метки на колбе дистиллированной водой и перемешивают. Полученному раствору приписывают массовую концентрацию метанола 10,14 мг/см3.
При отборе аликвоты метанола, отличной от указанного объема, и температуры в помещении, концентрации и погрешности аттестованных растворов рассчитывают по
А.6.
А.5.2 Приготовление аттестованного раствора АР2-М
Отбирают пипеткой с одной отметкой 5,0 см3 раствора АР1-М и переносят его в мерную колбу вместимостью 100 см3, доводят объем раствора до метки на колбе дистиллированной водой и перемешивают. Полученному раствору приписывают массовую концентрацию метанола 0,51 мг/см3.
А.5.3 Приготовление аттестованного раствора АР3-М
Отбирают пипеткой с одной отметкой 10,0 см3 раствора АР2-М и переносят его в мерную колбу вместимостью 100 см3, доводят объем раствора до метки на колбе дистиллированной водой и перемешивают. Полученному раствору приписывают массовую концентрацию метанола 0,051 мг/см3.
А.6 Расчет метрологических характеристик аттестованных растворов
А.6.1 Расчет метрологических характеристик аттестованного раствора АР1-М
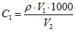
А.6.1.1 Аттестованное значение массовой концентрации метанола C1, мг/см3, рассчитывают по формуле

, (А.1)
где

- плотность метанола квалификации х.ч. (0,792 г/см
3 - при температуре от 17 °C до 22 °C, 0,789 г/см
3 - при температуре от 22 °C до 27 °C);
V1 - объем метанола, отбираемый пипеткой, см3;
1000 - коэффициент перевода граммов в миллиграммы, мг/г;
V2 - вместимость мерной колбы, см3.
А.6.1.2 Аттестованное значение массовой концентрации метанола C1, в растворе АР1-М равно

.
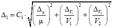
А.6.1.3 Расчет предела возможных значений погрешности установления массовой концентрации метанола в аттестованном растворе АР1-М

, мг/см
3, выполняют по формуле

, (А.2)
где

- предельное значение возможного отклонения массовой доли основного вещества в реактиве от приписанного значения

, %;

- массовая доля основного вещества метанола в реактиве, приписанная реактиву квалификации "х.ч.", %;

- предельное значение возможного отклонения объема
V1 от номинального значения, см
3;

- предельное значение возможного отклонения вместимости мерной колбы от номинального значения, см
3.
А.6.1.4 Погрешность установления массовой концентрации метанола в аттестованном растворе АР1-М равна

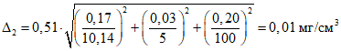
.
А.6.2 Расчет метрологических характеристик рабочего аттестованного раствора АР2-М
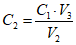
А.6.2.1 Аттестованное значение массовой концентрации метанола C2, мг/см3, рассчитывают по формуле

, (А.3)
где V3 - объем раствора АР1-М, отбираемый пипеткой, см3.
А.6.2.2 Аттестованное значение массовой концентрации метанола в растворе АР2-М равно

.
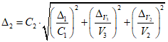
А.6.2.3 Расчет предела возможных значений погрешности установления массовой концентрации метанола в аттестованном растворе АР2-М

, мг/см
3, выполняют по формуле

, (А.4)
где

- предельное значение возможного отклонения объема
V3 от номинального значения, см
3.
А.6.2.4 Погрешность установления массовой концентрации метанола в аттестованном растворе АР2-М равна

.
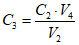
А.6.3 Расчет метрологических характеристик рабочего аттестованного раствора АР3-М
А.6.3.1 Аттестованное значение массовой концентрации метанола C3, мг/см3, рассчитывают по формуле

, (А.5)
где V4 - объем раствора АР2-М, отбираемый пипеткой, см3.
А.6.3.2 Аттестованное значение массовой концентрации метанола в растворе АР3-М равно

.
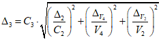
А.6.3.3 Расчет предела возможных значений погрешности установления массовой концентрации метанола в аттестованном растворе АР3-М

, мг/см
3, выполняют по формуле

, (А.6)
где

- предельное значение возможного отклонения объема
V4 от номинального значения, см
3.
А.6.3.4 Погрешность установления массовой концентрации метанола в аттестованном растворе АР3-М равна

.
А.7 Требования безопасности
Необходимо соблюдать общие требования техники безопасности при работе в химических лабораториях. Оператор должен быть проинструктирован о специфических мерах предосторожности при работе с метанолом.
А.8 Требования к квалификации исполнителей
Аттестованные растворы может готовить специалист с высшим или средним профессиональным образованием, прошедший специальную подготовку и имеющий стаж работы в химической лаборатории не менее 1 года.
А.9 Требования к маркировке
На склянки с аттестованными растворами должны быть наклеены этикетки с указанием условного обозначения аттестованного раствора, массовой концентрации метанола, погрешности ее установления и даты приготовления.
А.10 Условия хранения
А.10.1 Аттестованный раствор АР1-М хранят в холодильнике в плотно закрытой склянке не более 6 мес.
А.10.2 Аттестованный раствор АР2-М хранят в холодильнике в плотно закрытой склянке не более 1 мес.
А.10.3 Аттестованный раствор АР3-М хранят в холодильнике в плотно закрытой склянке не более 5 сут.
| Технические условия ТУ 25-2021.003-88 | Термометры лабораторные стеклянные с взаимозаменяемыми конусами |
| Технические условия ТУ 6-09-05-1419-89 | Хромотроповой кислоты динатриевая соль, 2-водная |
| Технические условия ТУ 6-09-1678-95 | Фильтры обеззоленные (белая, красная, синяя ленты) |
Ключевые слова: метанол, природная вода, массовая концентрация, методика измерений, фотометрический метод |