Главная // Актуальные документы // МетодикаСПРАВКА
Источник публикации
СПб., 2021
Примечание к документу
Документ
введен в действие с 01.09.2021.
Взамен РД 52.04.186-89 в части ч. 1 "Загрязнение атмосферы в городах и других населенных пунктах", разд. 5 "Лабораторный анализ атмосферного воздуха для определения уровня загрязнения", подраздела 5.2 "Методики определения концентрации неорганических веществ, п. 5.2.5 "Металлы",
пп. 5.2.5.10 "Хром (VI)".
Название документа
"РД 52.04.908-2021. Руководящий документ. Массовая концентрация соединений хрома (VI) в пробах атмосферного воздуха. Методика измерений фотометрическим методом с дифенилкарбазидом"
(введен в действие Приказом Росгидромета от 05.04.2021 N 85)
"РД 52.04.908-2021. Руководящий документ. Массовая концентрация соединений хрома (VI) в пробах атмосферного воздуха. Методика измерений фотометрическим методом с дифенилкарбазидом"
(введен в действие Приказом Росгидромета от 05.04.2021 N 85)
руководителем Росгидромета
18 марта 2021 года
Введен в действие
от 5 апреля 2021 г. N 85
РУКОВОДЯЩИЙ ДОКУМЕНТ
МАССОВАЯ КОНЦЕНТРАЦИЯ СОЕДИНЕНИЙ ХРОМА (VI) В ПРОБАХ
АТМОСФЕРНОГО ВОЗДУХА
МЕТОДИКА ИЗМЕРЕНИЙ ФОТОМЕТРИЧЕСКИМ МЕТОДОМ
С ДИФЕНИЛКАРБАЗИДОМ
РД 52.04.908-2021
Дата введения
1 сентября 2021 года
1 РАЗРАБОТАН Федеральным государственным бюджетным учреждением "Главная геофизическая обсерватория им. А.И. Воейкова" (ФГБУ "ГГО")
2 РАЗРАБОТЧИКИ О.П. Шарикова (руководитель разработки), Л.В. Станиславская, мл. науч. сотр. (ответственный исполнитель)
3 СОГЛАСОВАН:
- с Федеральным государственным бюджетным учреждением "Научно-производственное объединение "Тайфун" (ФГБУ "НПО "Тайфун") 23.12.20;
- с Управлением мониторинга состояния и загрязнения окружающей среды (УМСЗ) Росгидромета
4 УТВЕРЖДЕН руководителем Росгидромета 18.03.2021
ВВЕДЕН В ДЕЙСТВИЕ
приказом Росгидромета от 05.04.2021 N 85
5 АТТЕСТОВАНА ФГУП "ВНИИМС". Свидетельство об аттестации методики (метода) измерений N 205-17/RA.RU.311787/2019
6 ЗАРЕГИСТРИРОВАН головной организацией по стандартизации Росгидромета ФГБУ "НПО "Тайфун" 06.04.2021.
ОБОЗНАЧЕНИЕ РУКОВОДЯЩЕГО ДОКУМЕНТА РД 52.04.908-2021
7 ВЗАМЕН РД 52.04.186-89 "Руководство по контролю загрязнения атмосферы". Часть 1 "Загрязнение атмосферы в городах и других населенных пунктах", раздел 5 "Лабораторный анализ атмосферного воздуха для определения уровня загрязнения", подраздел 5.2 "Методики определения концентрации неорганических веществ, пункт 5.2.5. "Металлы",
подпункт 5.2.5.10 "Хром (VI)".
8 СРОК ПЕРВОЙ ПРОВЕРКИ 2030 ГОД
ПЕРИОДИЧНОСТЬ ПРОВЕРКИ 10 ЛЕТ
Настоящий руководящий документ устанавливает методику измерений (далее - методика) массовой концентрации соединений хрома (VI) фотометрическим методом с дифенилкарбазидом при проведении разового и среднесуточного отбора проб.
Диапазон определяемых массовых концентраций соединений хрома (VI) при объеме пробы воздуха 1 м3 составляет от 0,0007 до 0,021 мг/м3.
Диапазон определяемых массовых концентраций соединений хрома (VI) при объеме пробы воздуха 2 м3 составляет от 0,00035 до 0,011 мг/м3.
В соответствии с
ГН 2.1.6.3492 предельно допустимая среднесуточная концентрация соединений хрома (VI) (в пересчете на CrO
3) составляет 0,0015 мг/м
3.
Настоящий руководящий документ предназначен для получения информации по программе наблюдений о разовых и среднесуточных концентрациях соединений хрома (VI) при проведении работ в области мониторинга и контроля загрязнения атмосферного воздуха.
В настоящем руководящем документе использованы нормативные ссылки на следующие нормативные документы:
ГОСТ 12.0.004-2015 Система стандартов безопасности труда. Организация обучения безопасности труда. Общие положения
ГОСТ 12.1.004-91 Система стандартов безопасности труда. Пожарная безопасность. Общие требования
ГОСТ 12.1.005-88 Система стандартов безопасности труда. Общие санитарно-гигиенические требования к воздуху рабочей зоны
ГОСТ 12.1.007-76 Система стандартов безопасности труда. Вредные вещества. Классификация и общие требования безопасности
ГОСТ 12.1.019-2017 Система стандартов безопасности труда. Электробезопасность. Общие требования и номенклатура видов защиты
ГОСТ 12.4.009-83 Система стандартов безопасности труда. Пожарная техника для защиты объектов. Основные виды. Размещение и обслуживание
ГОСТ 17.2.3.01-86 Охрана природы. Атмосфера. Правила контроля качества воздуха населенных пунктов
ГОСТ 17.2.4.02-81 Охрана природы. Атмосфера. Общие требования к методам определения загрязняющих веществ
ГОСТ 25794.2-83 Реактивы. Методы приготовления титрованных растворов для окислительно-восстановительного титрования
ГОСТ OIML R76-1-2011 Государственная система обеспечения единства измерений. Весы неавтоматического действия. Часть 1.
ГОСТ 12302-2013 Пакеты из полимерных пленок и комбинированных материалов. Общие технические условия
ГОСТ 1770-74 Посуда мерная лабораторная стеклянная. Цилиндры, мензурки, колбы, пробирки. Общие технические условия
ГОСТ 21400-75 Стекло химико-лабораторное. Технические требования. Методы испытаний
ГОСТ 25336-82 Посуда и оборудование лабораторные стеклянные. Типы, основные параметры и размеры
ГОСТ 29227-91 Посуда лабораторная стеклянная. Пипетки градуированные. Часть 1. Общие требования
ГОСТ 4220-75 Реактивы. Калий двухромовокислый. Технические условия
ГОСТ 5962-2013 Спирт этиловый ректификованный из пищевого сырья. Технические условия
ГОСТ Р ИСО 5725-2-2002 Точность (правильность и прецизионность) методов и результатов измерений. Часть 2. Основной метод определения повторяемости и воспроизводимости стандартного метода измерений
ГОСТ Р ИСО 5725-6-2002 Точность (правильность и прецизионность) методов и результатов измерений. Часть 6. Использование значений точности на практике.
ГОСТ Р 8.563-2009 Государственная система обеспечения единства измерений. Методики (методы) измерений
РМГ 60-2003 Государственная система обеспечения единства измерений. Смеси аттестованные. Общие требования к разработке
РМГ 61-2010 Показатели точности, правильности, прецизионности методик количественного химического анализа. Методы оценки
РМГ 76-2014 Государственная система обеспечения единства измерений. Внутренний контроль качества результатов количественного химического анализа
ГН 2.1.6.3492-17 Предельно допустимые концентрации (ПДК) загрязняющих веществ в атмосферном воздухе городских и сельских поселений.
Примечание - При пользовании настоящим руководящим документом целесообразно проверять действие ссылочных документов:
- стандартов - в информационной системе общего пользования - на официальном сайте федерального органа исполнительной власти в сфере стандартизации в сети Интернет или по ежегодно издаваемому информационному указателю "Национальные стандарты", который опубликован по состоянию на 1 января текущего года, и по выпускам ежемесячно издаваемого информационного указателя "Национальные стандарты" за текущий год;
- межгосударственных рекомендаций (РМГ) - по информационному указателю "Руководящие документы, рекомендации и правила", который опубликован по состоянию на 1 января текущего года.
Если ссылочный документ заменен (изменен), то при пользовании настоящим руководящим документом следует руководствоваться замененным (измененным) нормативным документом. Если ссылочный нормативный документ отменен без замены, то положение, в котором дана ссылка на него, применяется в части, не затрагивающей эту ссылку.
3 Термины, определения и сокращения
3.1 В настоящем руководящем документе применены следующие термины с соответствующими определениями:
3.1.1 разовая концентрация: Концентрация примеси в атмосфере, определяемая в пробе, отобранной в течение времени от 20 до 30 мин.
3.1.2 среднесуточная концентрация: Концентрация, измеренная в пробе воздуха, отобранной непрерывно или дискретно 4 - 8 раз в сутки через равные промежутки времени.
3.1.3 среднемесячная концентрация: Концентрация примеси определяется как среднее арифметическое значение всех разовых или среднесуточных концентраций, полученных в течение месяца.
3.1.4 среднегодовая концентрация: Концентрация примеси определяется как среднее арифметическое значение разовых или среднесуточных концентраций, полученных в течение года.
3.2 В настоящем руководящем документе применены следующие сокращения:
- АР - аттестованный раствор;
- ГСО - государственный стандартный образец;
- ПДК - предельно допустимые концентрации;
- ТБ - техника безопасности;
- х.ч. - химически чистый;
- ч. - чистый;
- ч.д.а. - чистый для анализа.
4 Метрологические характеристики
При соблюдении всех регламентированных условий и проведении анализа в точном соответствии с данной методикой значение погрешности (и ее составляющих) результатов измерений для соответствующих диапазонов измерений не превышает значений, приведенных в
таблице 1.
Наименование определяемого компонента | Диапазон измерений массовой концентрации компонента, мг/м3 | Показатель точности (границы относительной погрешности)  , %, при P = 0,95 | Показатель воспроизводимости (относительное среднеквадратическое отклонение воспроизводимости)  , % | Предел воспроизводимости R, %, при P = 0,95, n = 2 |
Соединения хрома (VI) (в пересчете на CrO3) | От 0,00035 до 0,021 включ. | 25 | 11 | 31 |
5 Требования к средствам измерений, вспомогательным устройствам, материалам и реактивам
5.1 При выполнении измерений применяют средства измерений, указанные в
таблице 2.
Наименование средств измерений | Обозначение документа | Метрологические характеристики |
Спектрофотометр UNICO | | Предел погрешности по коэффициенту пропускания +/- 1% |
Весы высокого (II) класса точности | | Максимальная нагрузка 220 г, цена деления 0,1 мг |
Весы среднего (III) класса точности | | Максимальная нагрузка 510 г, цена деления 0,01 г |
Секундомер механический | | Класс точности второй, абс. погрешность +/- 0,1 с |
Термометр лабораторный шкальный тип ТЛ-2 | | Цена деления 1 °C, пределы от 0 °C до 55 °C |
Аспираторы воздуха автоматические одноканальные модель АВА 1-150 | | Предел основной относительной погрешности объема отобранной пробы +/- 5% |
Электроаспиратор модель ПУ-3Э | | Предел основной относительной погрешности объема отобранной пробы +/- 5% |
pH-метр любой марки | - | Точность не более +/- 0,02 pH |
Электронный таймер | - | Должен обеспечивать автоматическое включение и отключение аспиратора через заданные промежутки времени, дискретность включений - не менее двенадцати раз в 1 сутки, погрешность установки времени срабатывания таймера не больше +/- 1 мин, общий период работы таймера не менее 24 час, период единичного включения (20 +/- 1) мин |
Государственный стандартный образец (ГСО) состава водного раствора ионов хрома (VI), массовая концентрация ионов хрома (VI) 1 г/дм3 | ГСО 8035 | Границы относительной погрешности аттестованного значения ГСО при доверительной вероятности P = 0,95, +/- 0,7% |
Колбы мерные исполнения 2, класс точности 2 | | Вместимость 50 см3 - 7 шт., вместимость 100 см3 - 2 шт., вместимость 1000 см3 - 2 шт. |
Пипетки градуированные исполнения 2, класс точности 2 | | Вместимость 1 см3 - 2 шт., вместимость 2 см3 - 2 шт., вместимость 5 см3 - 2 шт., вместимость 10 см3 - 2 шт., вместимость 25 см3 - 1 шт. |
Цилиндр исполнения 1, класс точности 2 | | Вместимость 100 см3 - 1 шт. |
5.2 При выполнении измерений применяют вспомогательные устройства, указанные в
таблице 3.
Наименование вспомогательного устройства | Обозначение документа | Характеристика вспомогательного устройства |
Пробирки П2-16-150 ХС | | Вместимость 15 см3 - 50 шт. |
Стакан для взвешивания СВ-14/8 | | 1 шт. |
Стакан В-1-50 ТС | | Вместимость 50 см3 - 50 шт. |
Воронка лабораторная | | 1 шт. |
Палочка стеклянная (ХС1) | | 50 шт. |
Эксикатор исполнения 2, диаметром корпуса 100 мм или 190 мм | | 1 шт. |
Пинцет технический 150 мм | | 1 шт. |
Полиэтиленовые пакеты с гриппером | | 50 * 100 мм |
Держатель фильтров универсальный ДФУ-20/40 | - | Площадь рабочей поверхности 20 см2 |
Шкаф сушильный общелабораторного назначения | - | - |
Холодильник (бытовой) | - | - |
5.3 При выполнении измерений используют материалы, указанные в
таблице 4.
Наименование материала | Обозначение документа | Характеристика материала |
Карандаш для письма по стеклу | | - |
Фильтры аналитические аэрозольные АФА-ХП-20 или ФПП-15 | | Площадь рабочей поверхности 20 см2 |
Батист белый | - | 0,2 м2 |
5.4 При выполнении измерений используют реактивы, указанные в
таблице 5.
Наименование реактива | Обозначение документа | Квалификация |
Вода дистиллированная | - | - |
Дифенилкарбазид | | ч.д.а. |
Калий двухромовокислый (дихромат калия) | | х.ч. |
Кислота соляная | | (d = 1,19 г/см3), х.ч. |
Спирт этиловый | | Ректификованный |
Хлорид кальция обезвоженный | | ч. |
Примечание - Допускается использование других типов средств измерений, вспомогательного оборудования, материалов и реактивов, в т.ч. импортных, с характеристиками, не уступающими указанным в
5.1 -
5.4.
Метод измерений основан на улавливании соединений хрома (VI) из воздуха аэрозольными фильтрами и фотометрическом определении его массы в экстракте при взаимодействии с дифенилкарбазидом в кислой среде с образованием соединения красно-фиолетового цвета. Определению мешают ванадий, железо и молибден в количествах, превышающих 1 мг в пробе
[10].
7 Требования безопасности, охраны окружающей среды
7.1 При выполнении измерений массовой концентрации соединений хрома (VI) в пробе атмосферного воздуха необходимо соблюдать правила по технике безопасности (ТБ) на сети наблюдений Росгидромета
[11], а также следующие требования:
- электробезопасности при работе с электроустановками по
ГОСТ 12.1.019.
7.2 Помещение должно соответствовать требованиям пожарной безопасности по
ГОСТ 12.1.004 и обеспечено средствами пожаротушения по
ГОСТ 12.4.009.
7.3 Массовая концентрация вредных веществ в воздухе рабочей зоны не должна превышать допустимых значений, указанных в
ГОСТ 12.1.005 или иных нормативных документах Роспотребнадзора, содержащих гигиенические требования к воздуху рабочей зоны.
7.4 Организацию обучения работников безопасности труда следует осуществлять по
ГОСТ 12.0.004.
8 Требования к квалификации оператора
8.1 Проведение отбора проб и определение массовой концентрации соединений хрома (VI) может производить оператор (инженер или лаборант), имеющий опыт работ по отбору или анализу проб атмосферного воздуха.
8.2 Оператор, занимающийся отбором проб, должен уметь правильно вставлять фильтр в фильтродержатель и подсоединять его к электроаспиратору, устанавливать показания ротаметра на требующейся для отбора пробы величине расхода воздуха и правильно снимать показания счетчика.
8.3 Оператор, проводящий анализ отобранных проб, должен установить градуировочную характеристику, выражающую зависимость оптической плотности от массы оксида хрома (VI), и выполнить измерения трех проб контрольного раствора с заданными массовыми концентрациями оксида хрома (VI).
8.4 Если полученные по
8.3 результаты контроля будут удовлетворять нормативам, изложенным в
разделе 14, оператор может быть допущен к проведению анализа.
9 Требования к условиям выполнения измерений
9.1 При выполнении измерений в химической лаборатории должны быть соблюдены следующие условия:
- температура воздуха, °C ......................................................... | от 15 до 30; |
- атмосферное давление, гПа (мм рт. ст.) ................................ | от 840 до 1067; (от 630 до 800); |
- относительная влажность воздуха при 25 °C, % .................. | не более 80. |
9.2 Отбор проб анализируемого воздуха осуществляется при следующих параметрах в помещении поста наблюдения:
- температура воздуха, °C ......................................................... | от 5 до 40; |
- атмосферное давление, гПа (мм рт. ст.) ................................ | от 840 до 1067; (от 630 до 800); |
- относительная влажность воздуха при 25 °C, % .................. | не более 90. |
9.3 Отбор проб в полевых условиях возможен при температуре воздуха от минус 10 °C до 40 °C.
10 Подготовка к выполнению измерений
10.1 Приготовление растворов
10.1.1 Приготовление раствора дифенилкарбазида с массовой долей 0,5%
В мерную колбу вместимостью 100 см3 вносят 80 см3 этилового спирта при помощи цилиндра вместимостью 100 см3. К раствору пипеткой вместимостью 1 см3 приливают 1 см3 концентрированной соляной кислоты (d = 1,19 г/см3) и тщательно перемешивают. Затем взвешивают (0,50 +/- 0,01) г дифенилкарбазида, вносят в раствор, и после его растворения доводят объем раствора до метки этиловым спиртом. Раствор хранят в склянке из темного стекла в холодильнике. Цвет у раствора должен отсутствовать. Раствор розовато-коричневого цвета к работе непригоден.
10.1.2 Приготовление исходного раствора для градуировки с массовой концентрацией 100 мкг/см
3 оксида хрома (VI)
В случае применения ГСО с массовой концентрацией ионов хрома (VI) 1 г/дм3 необходимое количество для приготовления исходного раствора, рассчитывают, исходя из фактического содержания ионов хрома (VI), указанного в паспорте ГСО. Коэффициент пересчета концентрации ионов хрома (VI) на концентрацию оксида хрома (VI) равен 1,08. Для приготовления раствора используют мерную колбу на 100 см3. Раствор пригоден для работ в течение 1 мес при условии хранения его в холодильнике.
Примечание - В случае отсутствия ГСО аттестованные растворы готовят в соответствии с
приложением А.
10.1.3 Приготовление рабочего раствора для градуировки с массовой концентрацией 10 мкг/см
3 оксида хрома (VI)
10 см
3 исходного раствора по
10.1.2 помещают в мерную колбу вместимостью 100 см
3 и доводят объем раствора до метки дистиллированной водой. Раствор готовят перед применением.
10.2 Установление градуировочной характеристики
10.2.1 Градуировочную характеристику, выражающую зависимость оптической плотности от массы оксида хрома (VI) в пробе, устанавливают по растворам для градуировки, приготовленным в пяти сериях.
10.2.2 Растворы для градуировки готовят в мерных колбах вместимостью 50 см
3. В каждую колбу вносят от 25 до 30 см
3 дистиллированной воды, добавляют рабочий раствор для градуировки по
10.1.3, в соответствии с
таблицей 6, доводят объем полученного раствора до метки дистиллированной водой и тщательно перемешивают.
Таблица 6
Растворы для установления градуировочной характеристики
при определении концентрации оксида хрома (VI)
Номер раствора | 1 | 2 | 3 | 4 | 5 | 6 | 7 |
Объем рабочего раствора с массовой концентрацией 10 мкг/см3, см3 | 0,5 | 1,0 | 2,0 | 3,0 | 5,0 | 10,0 | 15,0 |
Масса ионов оксида хрома (VI) в 5 см3 пробы, мкг | 0,5 | 1,0 | 2,0 | 3,0 | 5,0 | 10,0 | 15,0 |
10.2.3 Для установления градуировочной характеристики на чистые фильтры АФА-ХП-20 или ФПП-15 с обрезанными краями, помещенными в стаканчики, наносят по 7 см
3 рабочего раствора для градуировки, приготовленного в соответствии с
таблицей 6, фильтр отжимают при помощи стеклянной палочки, затем отбирают пипеткой 5 см
3 рабочего раствора, переносят в пробирку и приливают 0,5 см
3 раствора дифенилкарбазида по
10.1.1. Аналогично готовят еще шесть растворов, нанося на фильтры рабочие растворы для градуировки в соответствии с
таблицей 6.
Содержимое пробирок тщательно встряхивают и через 10 мин измеряют оптическую плотность растворов при 540 нм по отношению к дистиллированной воде в кюветах с расстоянием между рабочими гранями 10 мм. Одновременно готовят нулевой раствор. Для этого на чистый фильтр с обрезанными краями наносят 7 см
3 дистиллированной воды и далее обрабатывают согласно
10.2.3.
10.2.4 Значения оптической плотности, соответствующие концентрациям оксида хрома (VI), находят по разности оптической плотности растворов для градуировки Di и нулевого D0 раствора.
Пример записи результатов измерения оптической плотности растворов для градуировки приводится в
таблице 7.
Таблица 7
Результаты измерения оптической плотности растворов
для градуировки
Номер раствора для градуировки i | Масса оксида хрома (VI) в 5 см3 пробы, мкг | Оптическая плотность растворов для градуировки |
единичное измерение (i = 1, ..., 5) | среднее значение  |
1 | 2 | 3 | 4 | 5 |
0 | 0,0 | D0,1 | ... | ... | ... | D0,5 | |
1 | 0,5 | D1,1 | ... | ... | ... | D1,5 | |
2 | 1,0 | D2,1 | ... | ... | ... | D2,5 | ... |
3 | 2,0 | D3,1 | ... | ... | ... | D3,5 | ... |
4 | 3,0 | D4,1 | ... | ... | ... | D4,5 | ... |
5 | 5,0 | D5,1 | ... | ... | ... | D5,5 | ... |
6 | 10,0 | D6,1 | ... | ... | ... | D6,5 | |
7 | 15,0 | D7,1 | ... | ... | ... | D7,5 | |
10.2.5 Оценка приемлемости полученных результатов для построения градуировочной характеристики.
Результаты измерений оптической плотности каждого градуировочного раствора признают приемлемыми, если они удовлетворяют условию

, (1)
где Di, max и Di, min - соответственно максимальное и минимальное значение оптической плотности i-го раствора;

- среднее значение оптической плотности
i-го раствора;
rn' - предел повторяемости результатов измерений оптической плотности раствора (соответствует вероятности P = 0,95), %. Для числа измерений n = 5 предел повторяемости
r5' = 22% (см.
приложение Б).
10.3 Построение градуировочной характеристики
10.3.1 В качестве аналитического сигнала Y при построении градуировочного графика используют величины, определяемые как разность средних значений оптической плотности растворов для градуировки и нулевого раствора

, (2)
где

- среднее значение оптической плотности
i-го раствора для градуировки;

- среднее значение оптической плотности нулевого раствора.
10.3.2 При построении градуировочной характеристики в виде графика:
- по оси абсцисс X откладывают массу m, мкг, оксида хрома (VI) в 5 см3 раствора;
- по оси ординат Y соответствующее ему значение оптической плотности.
Примечание - Вместо градуировочного графика можно использовать коэффициент, рассчитанный по методу наименьших квадратов.
Проверку приемлемости градуировочной характеристики проводят по исходным данным, которые использовались для ее построения.
Для этого используют значения аналитических сигналов всех растворов, применявшихся для ее построения в соответствии с
таблицей 6 с максимальным по модулю отклонением от среднего значения. По их величине и по градуировочной характеристике определяют массу оксида хрома (VI) в 5 см
3 раствора
m'i, мкг.
- Установленную градуировочную характеристику признают приемлемой при выполнении условия

, (3)
где mi' - значение массы оксида хрома (VI) в 5 см3 i-го раствора для градуировки, найденное по градуировочной характеристике для соответствующего аналитического сигнала Yi, мкг;
mi - значение массы оксида хрома (VI) в 5 см
3 i-го раствора для градуировки, приписанное этому раствору при его приготовлении, мкг (в соответствии с
таблицей 6);

- норматив приемлемости градуировочной характеристики, равный 22% (в соответствии с
приложением Б). Если условие не выполняется, необходимо установить новую градуировочную характеристику по
10.2.
10.4 Отбор и хранение проб воздуха
10.4.1 Для определения разовых массовых концентраций соединений хрома (VI) исследуемый воздух аспирируют с расходом 100 дм3/мин в течение 20 мин через фильтры АФА-ХП-20 или ФПП-15. При больших массовых концентрациях соединений хрома (VI) расход воздуха должен быть уменьшен до 50 дм3/мин.
10.4.2 Отбор проб проводится с наветренной стороны на высоте 1,5 м от поверхности земли. На аспираторе устанавливают необходимый расход воздуха, фиксируют показание газового счетчика. Подготовленный фильтр вставляют в фильтродержатель и отбирают пробу в течение 20 мин. После отбора пробы, фильтр осторожно вынимают из фильтродержателя, складывают пополам и помещают в пакет-гриппер или пакет из кальки. Записывают показание газового счетчика. Срок хранения отобранных проб в герметичной упаковке неограничен.
10.4.3 При определении среднесуточных концентраций отбирают не менее четырех разовых проб через равные промежутки времени.
11 Порядок выполнения измерений
11.1 Фильтр извлекают из пакета, обрезают края, помещают в стакан вместимостью 50 см3 и заливают горячей дистиллированной водой (4 см3). Через 10 - 15 мин фильтр отжимают при помощи стеклянной палочки и переносят экстракт в пробирку. Затем фильтр в стакане заливают холодной дистиллированной водой (3 см3), перемешивают и повторно отжимают фильтр в ту же пробирку. Отбирают 5 см3 пробы в другую пробирку и приливают 0,5 см3 0,5%-ного раствора дифенилкарбазида. Содержимое пробирки тщательно перемешивают и через 10 мин измеряют оптическую плотность раствора по отношению к дистиллированной воде при 540 нм в кюветах с расстоянием между рабочими гранями 10 мм. Одновременно готовят нулевой раствор, для чего чистый фильтр с обрезанными краями обрабатывают аналогично пробам.
11.2 Массу оксида хрома (VI) в пробе находят с помощью установленной градуировочной характеристики по разности оптических плотностей раствора пробы и нулевого раствора.
12 Обработка результатов измерений
12.1 Массовую концентрацию оксида хрома (VI) в исследуемом объеме воздуха C, мг/м3, находят по формуле

(4)
где m - масса оксида хрома (VI) в анализируемом объеме пробы, найденная по градуировочной характеристике, мкг;
Vр - общий объем раствора, см3;
Vа - объем раствора, взятого на анализ, см3;
Vо - объем отобранной пробы воздуха, приведенный к нормальным условиям, дм3.
Примечание - Найденная по
формуле (4) массовая концентрация, выраженная в "мкг/дм
3", численно равна массовой концентрации, выраженной в "мг/м
3".
12.2 Объем взятого на анализ воздуха приводят к нормальным условиям по формуле

, (5)
где Vt - объем взятого на анализ воздуха при температуре t и давлении Pi в месте отбора пробы, дм3;
Pi - атмосферное давление в месте отбора, мм рт. ст. или гПа;
t - температура воздуха в месте отбора проб, °C;
P0 - атмосферное давление при нормальных условиях 760 мм рт. ст. или 1013 гПа.
Примечание - 1 мм рт. ст. равен 1,33 гПа.
12.3 Среднесуточную концентрацию рассчитывают, как среднеарифметическое значение концентраций разовых проб, отобранных через равные промежутки времени в течение суток (не менее четырех раз).
13 Оформление результатов измерений
13.1 За результат измерения принимают результат единичного определения.
13.2 Результат измерения представляют в виде

, мг/м
3 при P = 0,95 (6)
где

- измеренная массовая концентрация оксида хрома (VI) в атмосферном воздухе, мг/м
3;

- граница относительной погрешности (см.
таблицу 1).
13.3 Численное значение результата измерения концентрации округляется до того же разряда, что и значение характеристики погрешности, которая приводится со знаком "+/-" после результата измерения.
Пример
.
13.4 Если содержание хрома (VI) ниже нижней границы диапазона измерений, то производят следующую запись в рабочем журнале:
"Массовая концентрация хрома (VI) (в пересчете на хром (VI) оксид) менее 0,0007 мг/м3 при объеме пробы 1 м3"
"Массовая концентрация хрома (VI) (в пересчете на хром (VI) оксид) менее 0,00035 мг/м3 при объеме пробы 2 м3".
13.5 Выдача протоколов с результатами из диапазона ниже нижней границы в качестве результатов единичных измерений недопустима.
14 Контроль точности результатов измерений
14.1 Оперативный контроль повторяемости результатов измерений концентрации оксида хрома (VI) в растворе
14.1.1 Для обеспечения достоверности результатов анализов регулярно проводят оперативный контроль по показателю повторяемости на стадии анализа жидких проб оксида хрома (VI).
Нормативы для проведения внутреннего контроля приведены в приложении Б.
14.1.2 Контроль проводят один раз в день, анализируя вместе с отобранными пробами две одинаковые дозы раствора для установления градуировочной характеристики. Средством контроля служит один из растворов для градуировки N 2 или N 4.
14.1.3 При контроле в каждый стакан помещают фильтр с обрезанными краями и отбирают по 7 см
3 этого раствора, анализируют как пробы по
10.2.
14.1.4 Результат контроля признают удовлетворительным при выполнении
условия (1) с нормативом контроля для оксида хрома (VI)
r2', равным 16% (см.
приложение Б).
14.1.5 Результаты измерения оптической плотности контрольного раствора постоянно сравнивают с данными за прошлые дни. Резкие (более 20%) изменения средних значений оптической плотности свидетельствуют о нежелательных отклонениях в нормальном ходе анализа.
14.2 Контроль стабильности градуировочной характеристики
14.2.1 Для обеспечения стабильности получаемых результатов в лаборатории проводят проверку стабильности градуировочной характеристики и контроль стабильности результатов измерений в соответствии с
ГОСТ Р ИСО 5725-6, используя методы контроля стабильности стандартного отклонения прецизионности в условиях повторяемости. Проверку стабильности осуществляют с применением контрольных карт Шухарта по
РМГ 76 в соответствии с
приложением В.
14.2.2 Контроль стабильности градуировочной характеристики следует проводить при каждой смене партии реактивов, а также периодически - в соответствии с планами внутрилабораторного контроля. Рекомендуемая частота контроля при постоянной работе - один раз в квартал.
14.2.3 Контроль проводят по трем растворам, приготовленным аналогично растворам для градуировки N 2, N 4 и N 6 в соответствии с
таблицей 6. Каждый раствор готовят в трех сериях, одновременно готовят нулевой раствор по
10.2.3. Измерения оптической плотности растворов проводят по
10.2. Проверку приемлемости трех результатов измерений оптической плотности растворов проводят по
условию (1) с нормативом для оксида хрома (VI)
r3, равным 19% (см.
приложение Б).
14.2.4 Градуировочную характеристику признают стабильной при выполнении
условия (3) с нормативом для оксида хрома (VI)

, равным 22% (см.
приложение Б).
14.2.5 Если
условие (3) не выполняется, необходимо установить новую градуировочную характеристику по
10.2.
14.2.6 Рекомендуется устанавливать контролируемый период так, чтобы количество результатов контрольных измерений было от двадцати до тридцати.
14.2.7 При неудовлетворительных результатах контроля, например, превышении предела действия или регулярном превышении предела предупреждения, выясняют причины этих отклонений, в т.ч. проводят смену реактивов, проверяют работу оператора.
(обязательное)
МЕТОДИКА ПРИГОТОВЛЕНИЯ АТТЕСТОВАННЫХ РАСТВОРОВ
ДВУХРОМОВОКИСЛОГО КАЛИЯ AP1-CrO3 И AP2-CrO3
А.1 Назначение и область применения
Методика устанавливает приготовление аттестованных растворов двухромовокислого калия AP1-CrO3 и AP2-CrO3. Аттестованные растворы предназначены для установления градуировочных зависимостей и регламентируют процедуру контроля точности результатов измерения массовой концентрации хрома (VI) фотометрическим методом в атмосферном воздухе.
А.2 Метрологические характеристики
Метрологические характеристики аттестованных растворов приведены в
таблице А.1.
Таблица А.1
Метрологические характеристики растворов двухромовокислого
калия, аттестованных на содержание оксида хрома (VI)
Наименование характеристики | Значение характеристики для аттестованного раствора |
AP1-CrO3 | AP2-CrO3 |
Аттестованное значение, соответствующее массовой концентрации оксида хрома (VI), мкг/см3 | 100 | 10 |
Границы погрешности установления аттестованного значения массовой концентрации оксида хрома (VI) при P = 0,95, мкг/см3 | 0,180 | 0,048 |
А.3 Требования к средствам измерений, вспомогательным устройствам, реактивам
А.3.1 Требования к средствам измерений, вспомогательным устройствам приведены в
разделе 5.
А.3.2 При приготовлении аттестованных растворов двухромовокислого калия применяются реактивы, указанные в
таблице А.2.
Наименование реактива | Обозначение документа | Квалификация |
Вода дистиллированная | - | - |
Калий двухромовокислый (K2Cr2O7) | | х.ч. |
Хлорид кальция обезвоженный | | ч. |
А.4 Приготовление аттестованных растворов двухромовокислого калия
А.4.1 Приготовление аттестованного раствора AP1-CrO3
Навеску 0,1471 г двухромовокислого калия, предварительно высушенного в течение одного часа при температуре 105 °C - 110 °C и охлажденного до комнатной температуры в эксикаторе над хлоридом кальция, взвешивают с точностью до четвертого знака после запятой. Количественно переносят в мерную колбу вместимостью 1000 см3, растворяют в дистиллированной воде, доводят до метки и перемешивают. Раствор хранят в плотно закрытой темной склянке в холодильнике не более 1 мес. Полученному раствору приписывают массовую концентрацию оксида хрома (VI) 100 мкг/см3.
А.4.2 Приготовление аттестованного раствора AP2-CrO3
Берут 10 см3 аттестованного раствора AP1-CrO3 и разбавляют дистиллированной водой в мерной колбе вместимостью 100 см3. Полученному раствору приписывают массовую концентрацию оксида хрома (VI) 10 мкг/см3.
А.5 Расчет метрологических характеристик аттестованных растворов
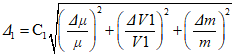
А.5.1 Расчет предела возможных значений погрешности приготовления аттестованного раствора AP1-CrO
3 
, мкг/см
3, выполняют по формуле:

, (А.1)
где C1 - приписанное раствору значение массовой концентрации оксида хрома (VI), мкг/см3;

- массовая доля основного вещества (K
2Cr
2O
7), приписанная реактиву квалификации х.ч., %;

- предельное значение возможного отклонения массовой доли основного вещества в реактиве от приписанного значения

, %;
m - масса навески двухромовокислого калия, г;

- предельная возможная погрешность взвешивания, г;
V1 - вместимость мерной колбы, см3;

- предельное значение возможного отклонения вместимости мерной колбы от номинального значения, см
3.
Предел возможных значений погрешности приготовления аттестованного раствора AP1-CrO3 равен

.
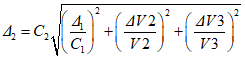
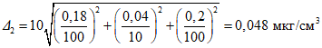
А.5.2 Расчет предела возможных значений погрешности приготовления аттестованного раствора AP2-CrO
3 
, мкг/см
3, выполняют по формуле

, (А.2)
где C2 - приписанное раствору AP2-CrO3 значение массовой концентрации оксида хрома (VI), мкг/см3;
C1 - приписанное раствору AP1-CrO3 значение массовой концентрации оксида хрома (VI), мкг/см3;

- предел возможного значения погрешности приготовления раствора с массовой концентрацией
C1, мкг/см
3;
V2 - объем раствора двухромовокислого калия, отобранный пипеткой, см3;

- предельное значение возможного отклонения вместимости пипетки от номинального значения, см
3;
V3 - вместимость мерной колбы, см3;

- предельное значение возможного отклонения объема мерной колбы от номинального значения, см
3.
Предел возможных значений погрешности приготовления аттестованного раствора AP2-CrO3 равен

.
А.6 Требования безопасности, охраны окружающей среды
Требования безопасности приведены в
разделе 7.
А.7 Требования к квалификации оператора
Требования к квалификации оператора приведены в
разделе 8.
А.8 Требование к упаковке и маркировке
Аттестованный раствор AP1-CrO3 помещают в колбу с пришлифованной пробкой. На колбу наносят маркировку с указанием условного обозначения аттестованного раствора, массовой концентрацией оксида хрома (VI), погрешности и даты приготовления.
А.9 Условия хранения
Аттестованный раствор AP1-CrO3 хранят в холодильнике не более 1 мес.
(обязательное)
НОРМАТИВЫ ДЛЯ ПРОВЕДЕНИЯ ВНУТРЕННЕГО КОНТРОЛЯ
Нормативы для проведения внутреннего контроля получены на основе показателей точности, приведенных в
таблице Б.2, и представлены в
таблице Б.1.
Наименование операции | Номер пункта настоящей методики измерений | Способ расчета | Норматив |
Проверка приемлемости результатов измерений оптической плотности раствора, проанализированного на содержание оксида хрома (VI): | | По размаху результатов n измерений раствора, проанализированного на содержание оксида хрома (VI), отнесенному к среднему арифметическому по формуле (1) | (для P = 0,95) |
а) при градуировке (n = 5); | | r'5 = 22% |
б) при контроле стабильности градуировочной характеристики (n = 3) | | r'3 = 19% |
Проверка приемлемости градуировочной характеристики | | | |
Контроль стабильности градуировочной характеристики | | | |
Оперативный контроль повторяемости результатов измерений оптической плотности оксида хрома (VI) в растворе | | Разность результатов двух измерений, отнесенная к среднему арифметическому | (для P = 0,95) r'2 = 16% |
Таблица Б.2
Характеристики погрешности и ее составляющих на стадии
анализа жидких проб оксида хрома (VI)
Диапазон измерений, мкг/5 см3 | Показатель повторяемости  , % | Показатель воспроизводимости  , % | Показатель точности  , % |
От 0,5 до 15,0 включ. | 5,6 | 10 | 22 |
(рекомендуемое)
КОНТРОЛЬНЫЕ КАРТЫ ШУХАРТА
В.1 Контроль стабильности результатов измерений в лаборатории осуществляют, используя методы контроля стабильности стандартного отклонения прецизионности в условиях повторяемости по
ГОСТ Р ИСО 5725-6 в виде контрольных карт Шухарта (далее - карта Шухарта) с учетом рекомендаций
РМГ 76.
В.2 Карта Шухарта строится на основе ежедневного оперативного контроля повторяемости. На карту наносят среднюю линию CL, которая соответствует рассчитанному значению контролируемой характеристики

, (В.1)
где d2 - коэффициент для средней линии. Для n = 2 он равен 1,128;

- показатель повторяемости для стадии анализа отобранных проб, %. Для настоящей методики

в соответствии с
таблицей Б.2.
Расчет предела предупреждения UCL и предела действия LCL выполняется по формулам

, (В.2)

, (В.3)
где D1 и D2 - коэффициент для двух параллельных измерений.
Для предела предупреждения D1 = 2,834, для предела действия D2 = 3,686.
При этом все значения, наносимые на карту Шухарта, выражают в относительных величинах в процентах и рассчитываются по формулам

, (В.4)

, (В.5)
где r' - значение предела повторяемости;
X1 и X2 - количество оксида хрома (VI), найденное в пробе, мкг.
В.3 Рекомендуется устанавливать контролируемый период так, чтобы количество результатов контрольных измерений было от двадцати до тридцати. При превышении предела действия или частом превышении предела предупреждения выясняются причины этих отклонений, в том числе стабильность работы прибора, чистоту кювет и посуды, проверяют работу оператора, качество реактивов и дистиллированной воды.
В.4 В течение определенного промежутка времени при проведении внутрилабораторного контроля точности определения оксида хрома (VI) оперативный контроль прецизионности в условиях повторяемости был выполнен тридцать раз, при этом использовался один и тот же контрольный раствор, например, раствор N 2 с содержанием 1 мкг в 5 см
3 пробы. Результаты контроля приведены в
таблице В.1.
Масса оксида хрома (VI), мкг, в пробе 5 см3 | Разность |X1 - X2|, мкг | Среднее арифметическое  , мкг | Предел повторяемости r', % |
X1 | X2 |
1,02 | 1,05 | 0,03 | 1,04 | 2,9 |
1,05 | 1,00 | 0,05 | 1,03 | 4,9 |
0,97 | 1,03 | 0,06 | 1,00 | 6,0 |
1,06 | 1,02 | 0,04 | 1,04 | 3,8 |
1,05 | 1,03 | 0,02 | 1,04 | 1,9 |
1,01 | 1,03 | 0,02 | 1,02 | 2,0 |
1,02 | 1,02 | 0,00 | 1,02 | 0,0 |
1,04 | 1,01 | 0,03 | 1,03 | 2,9 |
1,05 | 0,99 | 0,06 | 1,02 | 5,9 |
1,07 | 0,98 | 0,09 | 1,03 | 8,8 |
0,94 | 0,99 | 0,05 | 0,97 | 5,2 |
0,95 | 1,06 | 0,11 | 1,01 | 10,9 |
1,02 | 0,97 | 0,05 | 1,00 | 5,0 |
0,96 | 0,93 | 0,03 | 0,95 | 3,2 |
0,93 | 1,03 | 0,10 | 0,98 | 10,2 |
1,01 | 0,93 | 0,08 | 0,97 | 8,2 |
1,02 | 1,04 | 0,02 | 1,03 | 1,9 |
1,05 | 1,02 | 0,03 | 1,04 | 2,9 |
1,00 | 1,01 | 0,01 | 1,01 | 1,0 |
1,02 | 1,03 | 0,01 | 1,03 | 1,0 |
1,05 | 1,04 | 0,01 | 1,05 | 1,0 |
0,96 | 1,04 | 0,08 | 1,00 | 8,0 |
1,05 | 1,02 | 0,03 | 1,04 | 2,9 |
1,02 | 1,04 | 0,02 | 1,03 | 1,9 |
1,07 | 1,00 | 0,07 | 1,04 | 6,8 |
0,99 | 0,94 | 0,05 | 0,97 | 5,2 |
0,93 | 1,03 | 0,10 | 0,98 | 10,2 |
1,05 | 1,02 | 0,03 | 1,04 | 2,9 |
0,97 | 1,03 | 0,06 | 1,00 | 6,0 |
1,06 | 1,00 | 0,06 | 1,03 | 5,8 |
В.5 Находим: средняя линия 1,128·5,6 = 6,3168%, предел предупреждения 2,834·5,6 = 15,8704%, предел действия 3,686·5,6 = 20,6416%. Построенная карта Шухарта приведена на
рисунке В.1.
Рисунок В.1 - Построение карты Шухарта для контроля
прецизионности в условиях сходимости
[1] Технические условия ТУ 4434-003-71439863-2008 | Спектрофотометр |
[2] Технические условия ТУ 25-1894.003-90 | Секундомеры механические |
[3] Технические условия ТУ 25-2021.003-88 | Термометры ртутные стеклянные лабораторные |
[4] Технические условия ТУ 4215-000-11696625-2003 | Аспираторы типа ПУ |
[5] Технические условия ТУ 64-1-37-78 | Пинцеты пластинчатые медицинские. |
[6] Технические условия ТУ 480-11-59-82 | Лабораторный карандаш, стеклограф, для письма по гладким поверхностям - стеклу и фарфору. |
[7] Технические условия ТУ 951892-89 | Фильтры АФА |
[8] Технические условия ТУ 6-09-07-1672-89 | 1,5-Дифенилкарбазид (1,5-Дифенилкарбоногидразид) чистый для анализа |
[9] Технические условия ТУ 6-09-4711-81 | Реактивы. Кальций хлористый (обезвоженный), чистый |
| Руководство по контролю загрязнения атмосферы |
| Правила по технике безопасности при производстве наблюдений и работ на сети Госкомгидромета (утвержден приказом Госкомгидромета от 26.07.83 N 156). |
Ключевые слова: анализ атмосферного воздуха, оксид хрома (VI), мониторинг загрязнения атмосферы, фотометрический метод, дифенилкарбазид |