Главная // Актуальные документы // МетодикаСПРАВКА
Источник публикации
М.: Стандартинформ, 2019
Примечание к документу
Документ утратил силу с 01.07.2022 в связи с истечением срока действия, установленного
Приказом Росстандарта от 16.05.2019 N 13-пнст. Взамен введен в действие
ГОСТ Р 70456-2022, утв. Приказом Росстандарта от 30.11.2022 N 1414-ст.
Документ
введен в действие с 01.07.2019 на период по 01.07.2022 (
Приказ Росстандарта от 16.05.2019 N 13-пнст).
Название документа
"ПНСТ 324-2019. Предварительный национальный стандарт Российской Федерации. Дороги автомобильные общего пользования. Грунты. Определение оптимальной влажности и максимальной плотности методом Проктора"
(утв. и введен в действие Приказом Росстандарта от 16.05.2019 N 13-пнст)
"ПНСТ 324-2019. Предварительный национальный стандарт Российской Федерации. Дороги автомобильные общего пользования. Грунты. Определение оптимальной влажности и максимальной плотности методом Проктора"
(утв. и введен в действие Приказом Росстандарта от 16.05.2019 N 13-пнст)
Утвержден и введен в действие
агентства по техническому
регулированию и метрологии
от 16 мая 2019 г. N 13-пнст
ПРЕДВАРИТЕЛЬНЫЙ НАЦИОНАЛЬНЫЙ СТАНДАРТ РОССИЙСКОЙ ФЕДЕРАЦИИ
ДОРОГИ АВТОМОБИЛЬНЫЕ ОБЩЕГО ПОЛЬЗОВАНИЯ
ГРУНТЫ
ОПРЕДЕЛЕНИЕ ОПТИМАЛЬНОЙ ВЛАЖНОСТИ
И МАКСИМАЛЬНОЙ ПЛОТНОСТИ МЕТОДОМ ПРОКТОРА
Automobile roads of general use. Soils. Determination
of optimum moisture and maximum density by Proctor method
ПНСТ 324-2019
Срок действия
с 1 июля 2019 года
до 1 июля 2022 года
1 РАЗРАБОТАН Обществом с ограниченной ответственностью "Центр метрологии, испытаний и стандартизации" (ООО "ЦМИиС")
2 ВНЕСЕН Техническим комитетом по стандартизации ТК 418 "Дорожное хозяйство"
3 УТВЕРЖДЕН И ВВЕДЕН В ДЕЙСТВИЕ
Приказом Федерального агентства по техническому регулированию и метрологии от 16 мая 2019 г. N 13-пнст
Правила применения настоящего стандарта и проведения его мониторинга установлены в ГОСТ Р 1.16-2011 (разделы 5 и 6).
Федеральное агентство по техническому регулированию и метрологии собирает сведения о практическом применении настоящего стандарта. Данные сведения, а также замечания и предложения по содержанию стандарта можно направить не позднее чем за 4 мес до истечения срока его действия разработчику настоящего стандарта по адресу: tk418@bk.ru и/или в Федеральное агентство по техническому регулированию и метрологии по адресу: 109074 Москва, Китайгородский проезд, д. 7, стр. 1.
В случае отмены настоящего стандарта соответствующая информация будет опубликована в ежемесячном информационном указателе "Национальные стандарты" и также будет размещена на официальном сайте Федерального агентства по техническому регулированию и метрологии в сети Интернет (www.gost.ru)
Настоящий стандарт распространяется на грунты, в том числе и щебеночно-гравийно-песчаные смеси, необработанные и обработанные вяжущими материалами, предназначенные для строительства, реконструкции и ремонта автомобильных дорог общего пользования, и устанавливает метод определения оптимальной влажности и максимальной плотности на уплотнителе Проктора.
Настоящий стандарт не распространяется на грунты и щебеночно-гравийно-песчаные смеси, содержащие более 25% частиц крупнее 63 мм.
В настоящем стандарте использованы нормативные ссылки на следующие стандарты:
ГОСТ 12.4.252 Система стандартов безопасности труда. Средства индивидуальной защиты рук. Перчатки. Общие технические требования. Методы испытаний
ГОСТ 5180 Грунты. Методы лабораторного определения физических характеристик
ГОСТ 12071 Грунты. Отбор, упаковка, транспортирование и хранение образцов
ГОСТ 22733 Грунты. Метод лабораторного определения максимальной плотности
ГОСТ 33028 Дороги автомобильные общего пользования. Щебень и гравий из горных пород. Определение влажности
ГОСТ 33048 Дороги автомобильные общего пользования. Щебень и гравий из горных пород. Отбор проб
ГОСТ 33057 Дороги автомобильные общего пользования. Щебень и гравий из горных пород. Определение средней и истинной плотности, пористости и водопоглощения
Примечание - При пользовании настоящим стандартом целесообразно проверить действие ссылочных стандартов в информационной системе общего пользования - на официальном сайте Федерального агентства по техническому регулированию и метрологии в сети Интернет или по ежегодному информационному указателю "Национальные стандарты", который опубликован по состоянию на 1 января текущего года, и по выпускам ежемесячного информационного указателя "Национальные стандарты" за текущий год. Если заменен ссылочный стандарт, на который дана недатированная ссылка, то рекомендуется использовать действующую версию этого стандарта с учетом всех внесенных в данную версию изменений. Если заменен ссылочный стандарт, на который дана датированная ссылка, то рекомендуется использовать версию этого стандарта с указанным выше годом утверждения (принятия). Если после утверждения настоящего стандарта в ссылочный стандарт, на который дана датированная ссылка, внесено изменение, затрагивающее положение, на которое дана ссылка, то это положение рекомендуется применять без учета данного изменения. Если ссылочный стандарт отменен без замены, то положение, в котором дана ссылка на него, рекомендуется применять в части, не затрагивающей эту ссылку.
В настоящем стандарте применены следующие термины с соответствующими определениями:
3.1
максимальная плотность
: Наибольшая плотность сухого грунта (щебеночно-гравийно-песчаной смеси), которая достигается при испытаниях методом Проктора.
3.2 оптимальная влажность Wопт: Значение влажности, при котором достигается наибольшая плотность испытуемого грунта (в том числе щебеночно-гравийно-песчаной смеси) методом Проктора.
3.3 щебеночно-гравийно-песчаная смесь: Искусственно приготовленная смесь из щебня и песка (щебеночно-песчаная смесь), гравия и песка (гравийно-песчаная смесь) или щебня, гравия и песка.
3.4 лабораторная проба: Проба материала, полученная путем сокращения из объединенной пробы и предназначенная для проведения всех лабораторных испытаний.
3.5 мерная проба: Количество материала, используемое для получения одного результата в одном испытании.
3.6 проход на сите: Масса частиц материала, прошедших через данное сито, выраженная в процентах.
4 Требования к средствам измерений и вспомогательным устройствам
4.1 При выполнении испытаний применяют следующие средства измерений и вспомогательные устройства:
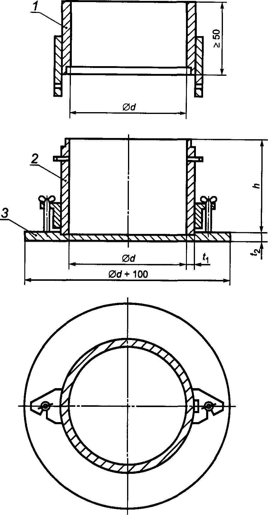
4.1.1 Уплотнитель Проктора, который состоит из сборной формы (см.
рисунок 1) и уплотняющего молота (см.
рисунок 2).
1 - удлинительное кольцо; 2 - цилиндрическая
часть формы; 3 - основание формы
Рисунок 1 - Типовая конструкция сборной формы
1 - уплотнительный груз; 2 - четыре отверстия
диаметром 6 мм; 3 - направляющая труба;
4 - шесть отверстий диаметром 6 мм
Рисунок 2 - Схема уплотнителя
для испытаний методом Проктора
4.1.1.1 Сборная форма для уплотнения, состоящая из съемного удлинительного кольца высотой не менее 50 мм, цилиндрической части (разборной или неразборной) и съемного основания. Внутренние части формы должны быть без царапин, вмятин и других видимых дефектов. Размеры применяемых в методе Проктора форм представлены в таблице 1.
Обозначение сборных форм | Внутренний диаметр d, мм | Высота форм h, мм | Толщина стенки формы t1, мм, не менее | Толщина основания форм t2, мм, не менее |
A | 100,0 +/- 1,0 | 120,0 +/- 1,0 | 7,00 | 10,5 |
B | 150,0 +/- 1,0 | 120,0 +/- 1,0 | 8,50 | 13,5 |
C | 250,0 +/- 1,0 | 200,0 +/- 1,0 | 13,5 | 19,5 |
Примечание - Вместо сборной формы типа A допускается применение формы от прибора СОЮЗ-ДОРНИИ для стандартного уплотнения грунтов по
ГОСТ 22733 с металлическим вкладышем, обеспечивающим изготовление образца высотой (120 +/- 1) мм, при этом применяют уплотняющий молот типа A по 4.1.1.2.
4.1.1.2 Уплотняющий молот. Характеристики применяемых типов уплотняющих молотов представлены в таблице 2.
Обозначение уплотняющего молота | Масса груза m, кг | Диаметр основания груза d1, мм | Высота падения груза h1, мм |
A | 4,50 +/- 0,04 | 50,00 +/- 0,50 | 457,00 +/- 3,00 |
B | 15,00 +/- 0,04 | 125,00 +/- 0,50 | 600,00 +/- 3,00 |
Примечания
1 Допускается применение уплотнителей Проктора иных размеров с отношением высоты формы к диаметру, равным 0,8:1,2, и с удельной энергией уплотнения от 2,56 до 2,80 МДж/м
3. Методика расчета удельной энергии при уплотнении грунта приведена в
приложении А.
2 Допускается применение автоматических уплотнителей с характеристиками, соответствующими требованиям, представленным в
таблицах 1 и
2.
4.1.2 Лабораторные весы с наибольшим пределом взвешивания не менее 1000 г и с ценой деления не более 0,02 г.
4.1.3 Лабораторные весы с наибольшим пределом взвешивания не менее 10000 г и с ценой деления не более 2 г (при применении сборной формы A).
4.1.4 Лабораторные весы с наибольшим пределом взвешивания не менее 15000 г и с ценой деления не более 5 г (при применении сборной формы B).
4.1.5 Лабораторные весы с наибольшим пределом взвешивания не менее 30000 г и с ценой деления не более 10 г (при применении сборной формы C).
4.1.6 Сушильный шкаф, способный создавать и поддерживать температуру (110 +/- 5) °C.
4.1.7 Лабораторные сита с размерами ячеек 63,0; 31,5 и 16,0 мм.
4.1.8 Бетонная плита массой не менее 50 кг, толщиной не менее 100 мм, с ровной (близкой к горизонтальной) поверхностью, обеспечивающей плотное прилегание основания формы. Площадь плиты должна быть больше площади основания применяемой формы.
Примечание - Вместо бетонной плиты может быть применена металлическая горизонтальная плита массой не менее 50 кг и толщиной не менее 20 мм. Площадь плиты должна быть больше площади основания применяемой формы.
4.1.9 Металлический совок или шпатель.
4.1.10 Лабораторный нож с прямым лезвием длиной не менее диаметра применяемой формы.
4.1.11 Контейнер с герметичной крышкой для хранения материала.
4.1.12 Металлические противни.
Сущность метода заключается в определении зависимости плотности материала от его влажности при уплотнении образцов уплотнителем Проктора. Определение максимальной плотности и оптимальной влажности проводят с учетом максимального размера зерен материала.
6 Требования безопасности
7 Требования к условиям измерений
При выполнении измерений температура в помещениях, в которых проводят испытания, должна быть (22 +/- 3) °C.
8.1 Отбор проб материала проводят в соответствии с:
-
ГОСТ 12071 - при испытании грунтов (при этом количество точечных проб должно быть не менее пяти, а их масса должна зависеть от значений, указанных в
таблице 3);
-
ГОСТ 33048 - при испытании щебеночно-гравийно-песчаных смесей (при этом количество точечных проб должно быть не менее пяти, а их масса должна зависеть от требований
таблицы 3).
8.2 Перед выполнением испытания необходимо определить содержание частиц крупнее 16; 31,5; 63 мм. Для этого высушивают грунт (смесь) до постоянной массы в сушильном шкафу при температуре (110 +/- 5) °C, после чего охлаждают на воздухе до температуры (22 +/- 3) °C.
8.3 Просеивают материал через сита с размерами ячеек 63,0; 31,5 и 16,0 мм и измельчают частицы грунта, оставшиеся на контрольных ситах (без дробления зерен), механизированным способом или вручную в фарфоровой ступке пестиком с резиновой насадкой.
8.4 Определяют значения частных остатков, полных остатков и проходов через указанные сита. Проход на сите B, %, определяют по формуле
B = 100 - A, (1)
где A - полный остаток на сите, на котором определяют проход, %.
8.5 В зависимости от содержания зерен размерами более 63,0; 31,5 и 16,0 мм выбирают сборную форму для проведения испытаний и массу лабораторной пробы материала в соответствии с требованиями таблицы 3.
Проход на контрольных ситах, %, с размером ячеек, мм | Применяемая сборная форма | Масса пробы, кг, не менее |
16,0 | 31,5 | 63,0 |
100 | 100 | 100 | A | 15 |
B | 40 |
От 75 до 100 | 100 | 100 | B | 40 |
Не нормируется | От 75 до 100 | 100 | B | 40 |
Не нормируется | Не нормируется | От 75 до 100 | C | 200 |
8.6 В соответствии с требованиями таблицы 4 выбирают метод и условия проведения испытания.
Таблица 4
Метод испытания | Применяемая сборная форма | Уплотняющий молот | Количество слоев при уплотнении, шт. | Количество ударов на один слой |
A | A | A | 5 | 25 |
B | B | A | 5 | 56 |
C | C | B | 3 | 98 |
8.7 Если в материале содержатся частицы размером крупнее 63 мм (но не более 25%), то определяют их содержание
K (%) по
формуле (2) и их среднюю плотность

, (г/см
3) по
ГОСТ 33057. Для дальнейших испытаний используют грунт (смесь), прошедший(ую) через сито с размером ячеек 63 мм.
8.8 Если в материале отсутствуют частицы размером крупнее 63 мм, а содержание частиц размером от 31,5 до 63 мм составляет не более 25%, то определяют их содержание
K (%) по
формуле (2) и их среднюю плотность

(г/см
3) по
ГОСТ 33057. Для дальнейших испытаний используют грунт (смесь), прошедший(ую) через сито с размером ячейки 31,5 мм.
8.9 Вычисление содержания в грунте (смеси) частиц крупнее 31,5 или 63,0 мм K, %, с точностью до 0,1% проводят по формуле

(2)
где
mк - масса зерен крупнее 31,5 мм (при выполнении условия по
8.8) или 63,0 мм (при выполнении условия по
8.7), г;
m - масса пробы, г.
Примечание - При содержании частиц размером крупнее 31,5 или 63 мм менее 5% их среднюю плотность не определяют, а значение K принимают равным нулю.
8.10 Пробу материала делят не менее чем на пять мерных проб. Масса мерной пробы зависит от применяемой формы и должна быть не менее указанной в таблице 5.
Примечание - Для проведения испытаний каждую мерную пробу используют только один раз.
Таблица 5
Применяемая форма | Масса мерной пробы, кг |
A | 2,50 |
B | 6,00 |
C | 25,0 |
8.11 Помещают каждую мерную пробу в отдельный контейнер с герметичной крышкой.
8.12 В соответствии с требованиями
таблицы 6 определяют содержание воды для увлажнения первой мерной пробы. Влажность оставшихся мерных проб увеличивают с шагом от 1% до 2%.
Примечание - Для корректировки количества воды при увлажнении первой мерной пробы допускается учет ее гигроскопической влажности.
Материал | Ориентировочная влажность w1 материала для первой мерной пробы, % |
Щебеночно-гравийно-песчаная смесь, крупный и средней крупности гравелистый песок | 3 - 5 |
Мелкий и пылеватый песок | 6 - 8 |
Супесь, легкий суглинок | 6 - 8 |
Тяжелый суглинок, глина | 10 - 12 |
8.13 В мерную пробу грунта (смеси) добавляют рассчитанное количество воды. Далее осуществляют перемешивание до однородного состояния.
Примечание - Для перемешивания возможно применение лабораторного смесителя.
Количество воды Q, г, с точностью до первого десятичного знака определяют по следующей формуле:

(3)
где m - масса мерной пробы, г;
wi - влажность данной мерной пробы, %.
8.14 После перемешивания грунта с водой несвязные грунты выдерживают от 2 до 3 ч, связные грунты - от 12 до 24 ч, щебеночно-гравийно-песчаные смеси - от 15 мин до 1 ч.
Примечание - Пробы обработанных вяжущими щебеночно-гравийно-песчаных смесей или грунтов испытывают не позже начала сроков схватывания неорганических вяжущих.
9 Порядок выполнения измерений
9.1 Метод A. Уплотнение в форме A
9.1.1 Соединяют основание формы с цилиндрической частью, взвешивают сборную форму и записывают массу формы как m1.
9.1.2 Закрепляют на форме удлинительное кольцо и протирают внутреннюю поверхность формы ветошью, смоченной керосином, минеральным маслом или техническим вазелином.
9.1.3 Устанавливают подготовленную форму на бетонную плиту.
9.1.4 Засыпают в форму ориентировочное количество грунта (смеси) на один слой. Навеска для уплотнения каждого последующего слоя должна иметь примерно такую же массу.
9.1.5 Проводят уплотнение 25 ударами уплотняющего груза. Удары уплотняющего груза проводят равномерно по поверхности грунта (смеси). Равномерное распределение ударов по поверхности грунта (смеси) обеспечивают за счет выполнения трех серий ударов, по восемь ударов в каждой серии по периметру формы, а последний (25-й) удар наносят в центр формы. Схема нанесения ударов представлена на рисунке 3.
Рисунок 3 - Схема нанесения ударов при уплотнении
9.1.6 Уплотнение второго и последующих слоев следует проводить в соответствии с
9.1.4 и
9.1.5. При этом перед загрузкой материала каждого последующего слоя поверхность предыдущего уплотненного слоя взрыхляют ножом на глубину от 1 до 2 мм.
9.1.7 После уплотнения пятого слоя снимают удлинительное кольцо и срезают выступающую часть грунта (смеси) ножом. Толщина срезаемого слоя, измеренная в центре образца, должна быть не более 20 мм. В противном случае форму освобождают от грунта и уплотнение начинают заново, добавляя меньше материала на каждый слой.
9.1.8 Образующиеся после зачистки поверхности образца углубления (вследствие выпадения крупных частиц) заполняют вручную грунтом (смесью) из срезанной части и выравнивают лабораторным ножом.
9.1.9 Взвешивают форму с грунтом (смесью) и записывают массу как m2.
9.1.10 Извлекают из цилиндрической части формы уплотненный образец материала. При этом из верхней, средней и нижней частей образца отбирают пробы для определения влажности грунта
w по
ГОСТ 5180. При испытании щебеночно-гравийно-песчаных смесей и крупнообломочных грунтов отбирают из образца пробу массой не менее 500 г и определяют влажность
w по
ГОСТ 33028.
9.2 Метод B. Уплотнение в форме B
9.2.1 Соединяют основание формы с цилиндрической частью, взвешивают сборную форму и записывают массу формы как m1.
9.2.2 Закрепляют на форме удлинительное кольцо и протирают внутреннюю поверхность формы ветошью, смоченной керосином, минеральным маслом или техническим вазелином.
9.2.3 Устанавливают подготовленную форму на бетонную плиту.
9.2.4 Засыпают в форму ориентировочное количество грунта (смеси) на один слой. Навеска для уплотнения каждого последующего слоя должна иметь примерно такую же массу.
9.2.5 Проводят уплотнение 56 ударами уплотняющего груза. Удары уплотняющего груза проводят, равномерно распределяя их по поверхности грунта (смеси) в форме. Равномерное распределение ударов по поверхности грунта (смеси) обеспечивают за счет выполнения восьми серий ударов, по шесть ударов в каждой серии по периметру формы, а последний удар в каждой серии наносят в центр формы.
9.2.6 Уплотнение второго и последующих слоев следует проводить в соответствии с
9.2.4 и
9.2.5. При этом перед загрузкой материала каждого последующего слоя поверхность предыдущего уплотненного слоя взрыхляют ножом на глубину от 1 до 2 мм.
9.2.7 После уплотнения пятого слоя снимают удлинительное кольцо и срезают выступающую часть грунта (смеси) ножом. Толщина срезаемого слоя, измеренная в центре образца, должна быть не более 25 мм. В противном случае форму освобождают от грунта и уплотнение начинают заново, добавляя меньше материала на каждый слой.
9.2.8 Образующиеся после зачистки поверхности образца углубления (вследствие выпадения крупных частиц) заполняют вручную грунтом (смесью) из срезанной части и выравнивают лабораторным ножом.
9.2.9 Взвешивают форму с грунтом (смесью) и записывают массу как m2.
9.2.10 Извлекают из цилиндрической части формы уплотненный образец материала. При этом из верхней, средней и нижней частей образца отбирают пробы для определения влажности грунта
w по
ГОСТ 5180. При испытании щебеночно-гравийно-песчаных смесей и крупнообломочных грунтов отбирают из образца пробу массой не менее 500 г и определяют влажность
w по
ГОСТ 33028.
9.3 Метод C. Уплотнение в форме C
9.3.1 Соединяют основание формы с цилиндрической частью, взвешивают сборную форму и записывают массу формы как m1.
9.3.2 Закрепляют на форме удлинительное кольцо, протирают внутреннюю поверхность формы ветошью, смоченной керосином, минеральным маслом или техническим вазелином.
9.3.3 Устанавливают подготовленную форму на бетонную плиту.
9.3.4 Засыпают из контейнера в форму ориентировочное количество грунта (смеси) на один слой.
9.3.5 Проводят уплотнение 98 ударами уплотняющего груза. Удары уплотняющего груза проводят, равномерно распределяя их по поверхности грунта (смеси) в форме. Равномерное распределение ударов по поверхности грунта (смеси) обеспечивают за счет выполнения 14 серий ударов, по шесть ударов в каждой серии по периметру формы, а последний удар каждой серии наносят в центр формы.
9.3.6 Уплотнение второго и третьего слоев следует проводить в соответствии с
9.3.4 и
9.3.5. При этом перед загрузкой материала каждого последующего слоя поверхность предыдущего уплотненного слоя взрыхляют ножом на глубину от 1 до 2 мм.
9.3.7 После уплотнения третьего слоя снимают удлинительное кольцо и срезают выступающую часть грунта (смеси) ножом. Толщина срезаемого слоя, измеренная в центре образца, должна быть не более 30 мм. В противном случае форму освобождают от грунта и уплотнение начинают заново, добавляя меньше материала на каждый слой.
9.3.8 Образующиеся после зачистки поверхности образца углубления (вследствие выпадения крупных частиц) заполняют вручную грунтом (смесью) из срезанной части и выравнивают лабораторным ножом.
9.3.9 Взвешивают форму с грунтом (смесью) и записывают массу как m2.
9.3.10 Извлекают из цилиндрической части формы уплотненный образец материала. При этом из верхней, средней и нижней частей образца отбирают пробы для определения влажности грунта
w по
ГОСТ 5180. При испытании щебеночно-гравийно-песчаных смесей и крупнообломочных грунтов отбирают из образца пробу массой не менее 500 г и определяют влажность
w по
ГОСТ 33028.
9.4 Испытание прекращают, когда с повышением влажности пробы при последующих двух испытаниях происходит последовательное уменьшение значений плотности (определяемых по
10.1) уплотняемого образца грунта, а также когда при ударах грузом происходит отжатие воды или выделение разжиженного грунта через соединения формы. При этом количество результатов, по которым строят график, должно быть не менее четырех, а также достаточным для выявления максимального значения плотности сухого грунта.
Примечание - Если условия по
9.4 не достигнуты при испытаниях пяти проб, то проводят дополнительные испытания до достижения этих условий.
10 Обработка результатов испытаний
10.1 Плотность влажного материала

, г/см
3, вычисляют по следующей формуле с точностью до 0,01 г/см
3:

(4)
где m2 - масса собранной формы с уплотненным материалом, г;
m1 - масса собранной формы, г;
V - объем формы, см3.
10.2 Плотность сухого материала

, г/см
3, вычисляют по следующей формуле с точностью до 0,01 г/см
3:

(5)
где

- плотность влажного материала, г/см
3;
w - влажность материала при испытании, %.
10.3 По расчетным точкам строят график зависимости изменения значений плотности сухого материала от влажности (см.
рисунок 4). По наивысшей точке графика для связных грунтов находят значение максимальной плотности

и соответствующее ему значение оптимальной влажности
wopt. Для несвязных грунтов вследствие того, что испытание было прекращено по причине отжатия воды или выделения разжиженного грунта через соединения формы, график уплотнения может не иметь максимума. В этом случае за результат принимаются значения расчетной точки с наибольшим значением плотности сухого материала.
Рисунок 4 - Пример построения графика
10.4 Если в материале содержались крупные зерна, которые перед испытанием были удалены, то для учета их влияния корректируют установленное в
10.2,
10.3 значение максимальной плотности сухого материала

по формуле

(6)
где

- средняя плотность зерен материала, оставшихся на сите с размером ячеек 31,5 или 63,0 мм, г/см
3;
K - содержание зерен материала, оставшихся на сите с размером ячеек 31,5 или 63,0 мм, определенное по
формуле (2), %.
Значение оптимальной влажности w'opt, %, вычисляют по следующей формуле:
w'opt = 0,01wopt(100 - K). (7)
11 Оформление результатов испытаний
Результаты испытаний оформляют в виде заключения, которое должно содержать:
- обозначение настоящего стандарта;
- дату проведения испытания;
- наименование организации, проводившей испытание;
- значение плотности сухого материала с точностью до 0,01 г/см3;
- значение оптимальной влажности с точностью до 0,1%.
12 Контроль точности результатов испытаний
Точность результатов испытаний обеспечивается:
- соблюдением требований настоящего стандарта;
- проведением периодической оценки метрологических характеристик средств измерений;
- проведением периодической аттестации оборудования.
Лицо, проводящее измерения, должно быть ознакомлено с требованиями настоящего стандарта.
(справочное)
МЕТОДИКА РАСЧЕТА УДЕЛЬНОЙ ЭНЕРГИИ ПРИ УПЛОТНЕНИИ ГРУНТА
А.1 Расчет удельной энергии при уплотнении E, МДж/м3, выполняют по формуле

(А.1)
где m - масса уплотняющего молота, кг;
h - высота падения уплотняющего молота, м;
a - число ударов на один слой, шт.;
b - количество слоев, шт.;
g - ускорение свободного падения, равное 9,8 м/с2;
V - объем формы, м3.