
и нелинейный от
до
,Вид и класс арматуры с условным пределом текучести | |||
А500 | 0,85 | 1,15 | 0,10 |
Горячекатаная класса: | |||
А600 | 0,8 | 1,35 | 0,06 |
А800 | 0,8 | 1,45 | 0,07 |
А1000 | 0,8 | 1,25 | 0,06 |
Термомеханическая упрочненная классов Ат1000 и Ат 1200 диаметром, мм: | |||
10 - 14 | 0,8 | 1,23 | 0,06 |
16 - 32 | 0,8 | 1,15 | 0,07 |
Холоднодеформированная класса В500 диаметром, мм: | |||
3 | 0,75 | 1,09 | 0,02 |
4 | 0,75 | 1,08 | 0,025 |
5 и более | 0,75 | 1,05 | 0,03 |
класса Вр1200 диаметром 8 мм | 0,85 | 1,05 | 0,04 |
" Вр1300 " 7 " | 0,85 | 1,05 | 0,04 |
" Вр1400 " 6,5 " | 0,85 | 1,1 | 0,05 |
" Вр1460 " 4 " | 0,85 | 1,2 | 0,06 |
" В1500 " 3 " | 0,85 | 1,2 | 0,06 |
) диаграмма описывается формулой
, при этом vs = 1.
)
(6.1)
)
(6.3)
(6.4)
(
- в расчетах по предельным состояниям первой группы,
- в расчетах по предельным состояниям второй группы);
(6.5)
.
,
, где
(6.8)
- напряжение в арматуре в начале участка самоупрочнения, соответствующее относительным деформациям Класс арматуры | Номинальный диаметр арматуры, мм | |||||
А240 | 6 - 40 | 0,97 | 1,01 | 0,015 | 2,0 | 0,19 |
А400 | 6 - 40 | 0,9 | 1,05 | 0,012 | 1,45 | 0,14 |
А500 | 10 - 40 | 0,85 | 1,07 | 0,008 | 1,3 | 0,10 |
В500 | 3-16 | 0,8 | 1,04 | 0,005 | 1,1 | 0,03 |
стержень выключается из работы.
.
из решения квадратного уравнения
(6.9)


(6.14)
(6.15)
(6.16)
(6.18)
(6.19)
(6.20)
(6.21)
без муфты), с аналогичной диаграммой двух стыкуемых стержней с помощью муфты. Длина (база), на которой производится измерение деформаций резьбовых механических соединений l = lm + 3ds, где lm - длина муфты, ds - диаметр соединяемой арматуры; в качестве напряжений здесь (как и в случае цельных стержней) используются напряжения в стыкуемых стержнях.
при растяжении, а точка 5 - напряжениям разрыва арматуры 
.
, где Наименование и | ||||
LENTON ![]() | 0,942 | 0,938 | 0,950 | 0,976 |
LENTON ![]() | 0,860 | 0,8648 | 0,950 | 0,979 |
LENTON ![]() | 0,947 | 0,943 | 0,950 | 1,000 |
Bartec Dextra ![]() | 0,379 | 0,380 | 0,643 | 0,963 |
Bartec Dextra ![]() | 0,606 | 0,596 | 0,790 | 0,956 |
Bartec Dextra ![]() | 0,565 | 0,552 | 0,837 | 0,965 |
, которые допускается (по СП 63.13330) применять при работе арматуры на сжатие (соответственно при кратковременном и длительном действиях нагрузки). Точка 1' соответствует аналогичным напряжениям
.
. Отсюда значение
в вершине диаграммы сжатия.
. Этой величине соответствуют деформации бетона
при длительном действии нагрузки вместо
.
. Анализ показывает, что
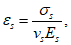
.а ![]() | б ![]() | в ![]() |
а - разрушение образца по резьбе; б - разрушение образца по месту окончания резьбы; в - разрушение образца по стержню | ||
;ИС МЕГАНОРМ: примечание. Текст дан в соответствии с официальным текстом документа. |
на растяжениеНаименование соединения | Усилие сжатия или растяжения F, кН | Показания индикаторов, мм·10-2 | Приращения деформаций | Среднее значение приращений деформации | Приращение относительных деформаций ![]() | Суммарная относительная деформация ![]() ![]() | Напряжение , МПа | ||
1 | 2 | 3 | 4 | 5 | 6 | 7 | 8 | 9 | 10 |
"LENTON" | |||||||||
Муфтовое соединение N 1р | 0 | 0 | 0 | 0 | 0 | 0 | 0 | 0.0 | 0 |
40 | 5 | 5 | 5 | 5 | 5 | 0,000238 | 23,80952381 | 65 | |
80 | 12 | 12 | 7 | 7 | 7 | 0,000333 | 57,14285714 | 131 | |
120 | 19 | 19 | 7 | 7 | 7 | 0,000333 | 90,47619048 | 196 | |
Площадь поперечного сечения арматурного стержня S = 6,1233 см2 | 160 | 25 | 25 | 6 | 6 | 6 | 0,000286 | 119,047619 | 261 |
200 | 31 | 32 | 6 | 7 | 6,5 | 0,00031 | 150 | 327 | |
240 | 36 | 39 | 5 | 7 | 6 | 0,000286 | 178,5714286 | 392 | |
280 | 45 | 48 | 9 | 9 | 9 | 0,000429 | 221,4285714 | 457 | |
320 | 55 | 62 | 10 | 14 | 12 | 0,000571 | 278,5714286 | 523 | |
350 | 84 | 95 | 29 | 33 | 31 | 0,001476 | 426,1904762 | 572 | |
421,8 | - | - | - | - | - | - | - | 689 | |
База измерения деформаций B = 210 мм | |||||||||
Муфтовое соединение N 2р | 0 | 0 | 0 | 0 | 0 | 0 | 0 | 0 | 0 |
40 | 7 | 8 | 7 | 8 | 7,5 | 0,000357 | 35,71428571 | 65 | |
80 | 14 | 11 | 7 | 3 | 5 | 0,000238 | 59,52380952 | 131 | |
120 | 22 | 18 | 8 | 7 | 7,5 | 0,000357 | 95,23809524 | 196 | |
Площадь поперечного сечения арматурного стержня S = 6,1233 см2 | 160 | 28 | 25 | 6 | 7 | 6,5 | 0,00031 | 126,1904762 | 261 |
200 | 34 | 31 | 6 | 6 | 6 | 0,000286 | 154,7619048 | 327 | |
240 | 42 | 38 | 8 | 7 | 7,5 | 0,000357 | 190,4761905 | 392 | |
280 | 52 | 48 | 10 | 10 | 10 | 0,000476 | 238,0952381 | 457 | |
320 | 66 | 60 | 14 | 12 | 13 | 0,000619 | 300 | 523 | |
350 | 105 | 90 | 39 | 30 | 34,5 | 0,001643 | 464,2857143 | 572 | |
422,5 | - | - | - | - | - | - | - | 690 | |
База измерения деформаций B = 210 мм | |||||||||
Муфтовое соединение N 3р | 0 | 0 | 0 | 0 | 0 | 0 | 0 | 0 | 0 |
40 | 9 | 6 | 9 | 6 | 7,5 | 0,000357 | 35,71428571 | 65 | |
80 | 18 | 10 | 9 | 4 | 6,5 | 0,00031 | 66,66666667 | 131 | |
120 | 27 | 17 | 9 | 7 | 8 | 0,000381 | 104,7619048 | 196 | |
Площадь поперечного сечения арматурного стержня S = 6,1233 см2 | 160 | 35 | 25 | 8 | 8 | 8 | 0,000381 | 142,8571429 | 261 |
200 | 40 | 30 | 5 | 5 | 5 | 0,000238 | 166,6666667 | 327 | |
240 | 49 | 35 | 9 | 5 | 7 | 0,000333 | 200 | 392 | |
280 | 60 | 43 | 11 | 8 | 9,5 | 0,000452 | 245,2380952 | 457 | |
320 | 77 | 53 | 17 | 10 | 13,5 | 0,000643 | 309,5238095 | 523 | |
340 | 110 | 75 | 33 | 22 | 27,5 | 0,00131 | 440,4761905 | 555 | |
415 | - | - | - | - | - | - | - | 678 | |
База измерения деформаций B = 210 мм | |||||||||
Муфтовое соединение N 4р | 0 | 0 | 0 | 0 | 0 | 0 | 0 | 0 | 0 |
40 | 8 | 5 | 8 | 5 | 6,5 | 0,00031 | 30,95238095 | 65 | |
80 | 16 | 8 | 8 | 3 | 5,5 | 0,000262 | 57,14285714 | 131 | |
120 | 20 | 15 | 4 | 7 | 5,5 | 0,000262 | 83,33333333 | 196 | |
Площадь поперечного сечения арматурного стержня S = 6,1233 см2 | 160 | 25 | 18 | 5 | 3 | 4 | 0,00019 | 102,3809524 | 261 |
200 | 40 | 20 | 15 | 2 | 8,5 | 0,000405 | 142,8571429 | 327 | |
240 | 50 | 25 | 10 | 5 | 7,5 | 0,000357 | 178,5714286 | 392 | |
280 | 62 | 30 | 12 | 5 | 8,5 | 0,000405 | 219,047619 | 457 | |
320 | 80 | 38 | 18 | 8 | 13 | 0,000619 | 280,952381 | 523 | |
345 | 117 | 50 | 37 | 12 | 24,5 | 0,001167 | 397,6190476 | 563 | |
416,8 | - | - | - | - | - | - | - | 681 | |
База измерения деформаций B = 210 мм | |||||||||
Муфтовое соединение N 5р | 0 | 0 | 0 | 0 | 0 | 0 | 0 | 0 | 0 |
40 | 9 | 6 | 9 | 6 | 7,5 | 0,000357 | 35,71428571 | 65 | |
80 | 15 | 10 | 6 | 4 | 5 | 0,000238 | 59,52380952 | 131 | |
120 | 23 | 17 | 8 | 7 | 7,5 | 0,000357 | 95,23809524 | 196 | |
Площадь поперечного сечения арматурного стержня S = 6,1233 см2 | 160 | 30 | 25 | 7 | 8 | 7,5 | 0,000357 | 130,952381 | 261 |
200 | 38 | 30 | 8 | 5 | 6,5 | 0,00031 | 161,9047619 | 327 | |
240 | 45 | 38 | 7 | 8 | 7,5 | 0,000357 | 197,6190476 | 392 | |
280 | 57 | 46 | 12 | 8 | 10 | 0,000476 | 245,2380952 | 457 | |
320 | 72 | 56 | 15 | 10 | 12,5 | 0,000595 | 304,7619048 | 523 | |
355 | 119 | 90 | 47 | 34 | 40,5 | 0,001929 | 497,6190476 | 580 | |
425,2 | - | - | - | - | - | - | - | 694 | |
База измерения деформаций B = 210 мм | |||||||||
Муфтовое соединение N 6р | 0 | 0 | 0 | 0 | 0 | 0 | 0 | 0 | 0 |
40 | 6 | 5 | 6 | 5 | 5,5 | 0,000262 | 26,19047619 | 65 | |
80 | 15 | 10 | 9 | 5 | 7 | 0,000333 | 59,52380952 | 131 | |
120 | 25 | 18 | 10 | 8 | 9 | 0,000429 | 102,3809524 | 196 | |
Площадь поперечного сечения арматурного стержня S = 6,1233 см2 | 160 | 34 | 28 | 9 | 10 | 9,5 | 0,000452 | 147,6190476 | 261 |
200 | 40 | 35 | 6 | 7 | 6,5 | 0,00031 | 178,5714286 | 327 | |
240 | 48 | 41 | 8 | 6 | 7 | 0,000333 | 211,9047619 | 392 | |
280 | 55 | 47 | 7 | 6 | 6,5 | 0,00031 | 242,8571429 | 457 | |
320 | 69 | 56 | 14 | 9 | 11,5 | 0,000548 | 297,6190476 | 523 | |
340 | 80 | 60 | 11 | 4 | 7,5 | 0,000357 | 333,3333333 | 555 | |
411 | - | - | - | - | - | - | - | 671 | |
База измерения деформаций B = 210 мм | |||||||||
Стержень N 1р | 0 | 0 | 0 | 0 | 0 | 0 | 0 | 0 | 0 |
40 | 4 | 5 | 4 | 5 | 4,5 | 0,000214 | 21,42857143 | 65 | |
80 | 10 | 10 | 6 | 5 | 5,5 | 0,000262 | 47,61904762 | 131 | |
120 | 18 | 18 | 8 | 8 | 8 | 0,000381 | 85,71428571 | 196 | |
Площадь поперечного сечения арматурного стержня S = 6,1233 см2 | 160 | 25 | 25 | 7 | 7 | 7 | 0,000333 | 119,047619 | 261 |
200 | 32 | 31 | 7 | 6 | 6,5 | 0,00031 | 150 | 327 | |
240 | 38 | 38 | 6 | 7 | 6,5 | 0,00031 | 180,952381 | 392 | |
280 | 50 | 47 | 12 | 9 | 10,5 | 0,0005 | 230,952381 | 457 | |
320 | 65 | 60 | 15 | 13 | 14 | 0,000667 | 297,6190476 | 523 | |
350 | 100 | 90 | 35 | 30 | 32,5 | 0,001548 | 452,3809524 | 572 | |
428,6 | - | - | - | - | - | - | - | 700 | |
База измерения деформаций B = 210 мм | |||||||||

при растяжении
на растяжениеНаименование соединения | Усилие сжатия или растяжения F, кН | Показания индикаторов, мм·10-2 | Приращения деформаций | Среднее значение приращений деформации | Приращение относительных деформаций ![]() | Суммарная относительная деформация ![]() ![]() | Напряжение , МПа | ||
1 | 2 | 3 | 4 | 5 | 6 | 7 | 8 | 9 | 10 |
"LENTON" | |||||||||
Муфтовое соединение N 1р | 0 | 0 | 0 | 0 | 0 | 0 | 0 | 0.0 | 0 |
40 | 7 | 4 | 7 | 4 | 5,5 | 0,000262 | 26,19047619 | 49 | |
80 | 14 | 8 | 7 | 4 | 5,5 | 0,000262 | 52,38095238 | 99 | |
120 | 21 | 13 | 7 | 5 | 6 | 0,000286 | 80,95238095 | 148 | |
Площадь поперечного сечения арматурного стержня S = 8,0903 см2 | 160 | 28 | 18 | 7 | 5 | 6 | 0,000286 | 109,5238095 | 198 |
200 | 35 | 23 | 7 | 5 | 6 | 0,000286 | 138,0952381 | 247 | |
240 | 42 | 28 | 7 | 5 | 6 | 0,000286 | 166,6666667 | 297 | |
280 | 50 | 33 | 8 | 5 | 6,5 | 0,00031 | 197,6190476 | 346 | |
320 | 59 | 38 | 9 | 5 | 7 | 0,000333 | 230,952381 | 396 | |
360 | 69 | 44 | 10 | 6 | 8 | 0,000381 | 269,047619 | 445 | |
400 | 80 | 50 | 11 | 6 | 8,5 | 0,000405 | 309,5238095 | 494 | |
440 | 95 | 60 | 15 | 10 | 12,5 | 0,000595 | 369,047619 | 544 | |
455 | 115 | 65 | 20 | 5 | 12,5 | 0,000595 | 428,5714286 | 562 | |
548,6 | - | - | - | - | - | - | - | 678 | |
База измерения деформаций B = 210 мм | |||||||||
Муфтовое соединение N 2р | 0 | 0 | 0 | 0 | 0 | 0 | 0 | 0 | 0 |
40 | 7 | 6 | 7 | 6 | 6,5 | 0,00031 | 30,95238095 | 49 | |
80 | 14 | 12 | 7 | 6 | 6,5 | 0,00031 | 61,9047619 | 99 | |
120 | 21 | 18 | 7 | 6 | 6,5 | 0,00031 | 92,85714286 | 148 | |
Площадь поперечного сечения арматурного стержня S = 8,0903 см2 | 160 | 28 | 25 | 7 | 7 | 7 | 0,000333 | 126,1904762 | 198 |
200 | 35 | 32 | 7 | 7 | 7 | 0,000333 | 159,5238095 | 247 | |
240 | 43 | 39 | 8 | 7 | 7,5 | 0,000357 | 195,2380952 | 297 | |
280 | 51 | 46 | 8 | 7 | 7,5 | 0,000357 | 230,952381 | 346 | |
320 | 59 | 53 | 8 | 7 | 7,5 | 0,000357 | 266,6666667 | 396 | |
360 | 70 | 63 | 11 | 10 | 10,5 | 0,0005 | 316,6666667 | 445 | |
400 | 85 | 75 | 15 | 12 | 13,5 | 0,000643 | 380,952381 | 494 | |
436 | 105 | 80 | 20 | 5 | 12,5 | 0,000595 | 440,4761905 | 539 | |
569,4 | - | - | - | - | - | - | - | 704 | |
База измерения деформаций B = 210 мм | |||||||||
Муфтовое соединение N 3р | 0 | 0 | 0 | 0 | 0 | 0 | 0 | 0 | 0 |
40 | 9 | 6 | 9 | 6 | 7,5 | 0,000357 | 35,71428571 | 65 | |
80 | 18 | 10 | 9 | 4 | 6,5 | 0,00031 | 66,66666667 | 131 | |
120 | 27 | 17 | 9 | 7 | 8 | 0,000381 | 104,7619048 | 196 | |
Площадь поперечного сечения арматурного стержня S = 8,0903 см2 | 160 | 35 | 25 | 8 | 8 | 8 | 0,000381 | 142,8571429 | 261 |
200 | 40 | 30 | 5 | 5 | 5 | 0,000238 | 166,6666667 | 327 | |
240 | 49 | 35 | 9 | 5 | 7 | 0,000333 | 200 | 392 | |
280 | 60 | 43 | 11 | 8 | 9,5 | 0,000452 | 245,2380952 | 457 | |
320 | 77 | 53 | 17 | 10 | 13,5 | 0,000643 | 309,5238095 | 523 | |
340 | 110 | 75 | 33 | 22 | 27,5 | 0,00131 | 440,4761905 | 555 | |
415 | - | - | - | - | - | - | - | 678 | |
База измерения деформаций B = 210 мм | |||||||||
Муфтовое соединение N 4р | 0 | 0 | 0 | 0 | 0 | 0 | 0 | 0 | 0 |
40 | 9 | 6 | 9 | 6 | 7,5 | 0,000357 | 35,71428571 | 65 | |
80 | 15 | 10 | 6 | 4 | 5 | 0,000238 | 59,52380952 | 131 | |
120 | 23 | 17 | 8 | 7 | 7,5 | 0,000357 | 95,23809524 | 196 | |
Площадь поперечного сечения арматурного стержня S = 8,0903 см2 | 160 | 30 | 25 | 7 | 8 | 7,5 | 0,000357 | 130,952381 | 261 |
200 | 38 | 30 | 8 | 5 | 6,5 | 0,00031 | 161,9047619 | 327 | |
240 | 45 | 38 | 7 | 8 | 7,5 | 0,000357 | 197,6190476 | 392 | |
280 | 57 | 46 | 12 | 8 | 10 | 0,000476 | 245,2380952 | 457 | |
320 | 72 | 56 | 15 | 10 | 12,5 | 0,000595 | 304,7619048 | 523 | |
355 | 119 | 90 | 47 | 34 | 40,5 | 0,001929 | 497,6190476 | 580 | |
425,2 | - | - | - | - | - | - | - | 694 | |
База измерения деформаций B = 210 мм | |||||||||
Муфтовое соединение N 5р | 0 | 0 | 0 | 0 | 0 | 0 | 0 | 0 | 0 |
40 | 6 | 5 | 6 | 5 | 5,5 | 0,000262 | 26,19047619 | 65 | |
80 | 15 | 10 | 9 | 5 | 7 | 0,000333 | 59,52380952 | 131 | |
120 | 25 | 18 | 10 | 8 | 9 | 0,000429 | 102,3809524 | 196 | |
Площадь поперечного сечения арматурного стержня S = 8,0903 см2 | 160 | 34 | 28 | 9 | 10 | 9,5 | 0,000452 | 147,6190476 | 261 |
200 | 40 | 35 | 6 | 7 | 6,5 | 0,00031 | 178,5714286 | 327 | |
240 | 48 | 41 | 8 | 6 | 7 | 0,000333 | 211,9047619 | 392 | |
280 | 55 | 47 | 7 | 6 | 6,5 | 0,00031 | 242,8571429 | 457 | |
320 | 69 | 56 | 14 | 9 | 11,5 | 0,000548 | 297,6190476 | 523 | |
340 | 80 | 60 | 11 | 4 | 7,5 | 0,000357 | 333,3333333 | 555 | |
411 | - | - | - | - | - | - | - | 671 | |
База измерения деформаций B = 210 мм | |||||||||
Муфтовое соединение N 6р | 0 | 0 | 0 | 0 | 0 | 0 | 0 | 0 | 0 |
40 | 5 | 6 | 5 | 6 | 5,5 | 0,000262 | 26,19047619 | 49 | |
80 | 10 | 12 | 5 | 6 | 5,5 | 0,000262 | 52,38095238 | 99 | |
120 | 15 | 18 | 5 | 6 | 5,5 | 0,000262 | 78,57142857 | 148 | |
Площадь поперечного сечения арматурного стержня S = 8,0903 см2 | 160 | 20 | 24 | 5 | 6 | 5,5 | 0,000262 | 104,7619048 | 198 |
200 | 25 | 30 | 5 | 6 | 5,5 | 0,000262 | 130,952381 | 247 | |
240 | 30 | 36 | 5 | 6 | 5,5 | 0,000262 | 157,1428571 | 297 | |
280 | 36 | 42 | 6 | 6 | 6 | 0,000286 | 185,7142857 | 346 | |
320 | 42 | 49 | 6 | 7 | 6,5 | 0,00031 | 216,6666667 | 396 | |
360 | 48 | 56 | 6 | 7 | 6,5 | 0,00031 | 247,6190476 | 445 | |
400 | 54 | 63 | 6 | 7 | 6,5 | 0,00031 | 278,5714286 | 494 | |
420 | 60 | 70 | 6 | 7 | 6,5 | 0,00031 | 309,5238095 | 519 | |
558,4 | - | - | - | - | - | - | - | 690 | |
База измерения деформаций B = 210 мм | |||||||||
Стержень N 1р | 0 | 0 | 0 | 0 | 0 | 0 | 0 | 0 | 0 |
40 | 6 | 5 | 6 | 5 | 5,5 | 0,000262 | 26,19047619 | 49 | |
80 | 12 | 10 | 6 | 5 | 5,5 | 0,000262 | 52,38095238 | 99 | |
120 | 18 | 15 | 6 | 5 | 5,5 | 0,000262 | 78,57142857 | 148 | |
Площадь поперечного сечения арматурного стержня S = 8,0903 см2 | 160 | 24 | 20 | 6 | 5 | 5,5 | 0,000262 | 104,7619048 | 198 |
200 | 30 | 25 | 6 | 5 | 5,5 | 0,000262 | 130,952381 | 247 | |
240 | 36 | 30 | 6 | 5 | 5,5 | 0,000262 | 157,1428571 | 297 | |
280 | 42 | 35 | 6 | 5 | 5,5 | 0,000262 | 183,3333333 | 346 | |
320 | 48 | 40 | 6 | 5 | 5,5 | 0,000262 | 209,5238095 | 396 | |
360 | 54 | 45 | 6 | 5 | 5,5 | 0,000262 | 235,7142857 | 445 | |
400 | 65 | 50 | 11 | 5 | 8 | 0,000381 | 273,8095238 | 494 | |
440 | 82 | 55 | 17 | 5 | 11 | 0,000524 | 326,1904762 | 544 | |
560,7 | - | - | - | - | - | - | - | 693 | |
База измерения деформаций B = 210 мм | |||||||||

при растяжении
на растяжениеНаименование соединения | Усилие сжатия или растяжения F, кН | Показания индикаторов, мм·10-2 | Приращения деформаций | Среднее значение приращений деформации | Приращение относительных деформаций ![]() | Суммарная относительная деформация ![]() ![]() | Напряжение , МПа | ||
1 | 2 | 3 | 4 | 5 | 6 | 7 | 8 | 9 | 10 |
"LENTON" | |||||||||
Муфтовое соединение N 1р | 0 | 0 | 0 | 0 | 0 | 0 | 0 | 0.0 | 0 |
40 | 3 | 2 | 3 | 2 | 2,5 | 0,000119 | 11,9047619 | 39 | |
80 | 7 | 5 | 4 | 3 | 3,5 | 0,000167 | 28,57142857 | 79 | |
120 | 11 | 8 | 4 | 3 | 3,5 | 0,000167 | 45,23809524 | 118 | |
Площадь поперечного сечения арматурного стержня S = 10,1283 см2 | 160 | 16 | 11 | 5 | 3 | 4 | 0,00019 | 64,28571429 | 158 |
200 | 21 | 15 | 5 | 4 | 4,5 | 0,000214 | 85,71428571 | 197 | |
240 | 24 | 19 | 3 | 4 | 3,5 | 0,000167 | 102,3809524 | 237 | |
280 | 29 | 23 | 5 | 4 | 4,5 | 0,000214 | 123,8095238 | 276 | |
320 | 33 | 27 | 4 | 4 | 4 | 0,00019 | 142,8571429 | 316 | |
360 | 37 | 31 | 4 | 4 | 4 | 0,00019 | 161,9047619 | 355 | |
400 | 42 | 34 | 5 | 3 | 4 | 0,00019 | 180,952381 | 395 | |
440 | 46 | 38 | 4 | 4 | 4 | 0,00019 | 200 | 434 | |
480 | 51 | 41 | 5 | 3 | 4 | 0,00019 | 219,047619 | 474 | |
651,1 | - | - | - | - | - | - | - | 643 | |
База измерения деформаций B = 210 мм | |||||||||
Муфтовое соединение N 2р | 0 | 0 | 0 | 0 | 0 | 0 | 0 | 0 | 0 |
40 | 4 | 3 | 4 | 3 | 3,5 | 0,000167 | 16,66666667 | 39 | |
80 | 8 | 6 | 4 | 3 | 3,5 | 0,000167 | 33,33333333 | 79 | |
120 | 13 | 11 | 5 | 5 | 5 | 0,000238 | 57,14285714 | 118 | |
Наименование соединения | Усилие сжатия или растяжения F, кН | Показания индикаторов, мм·10-2 | Приращения деформаций | Среднее значение приращений деформации | Приращение относительных деформаций ![]() | Суммарная относительная деформация ![]() ![]() | Напряжение , МПа | ||
инд. 1 | инд. 2 | инд. 1 | инд. 2 | ||||||
1 | 2 | 3 | 4 | 5 | 6 | 7 | 8 | 9 | 10 |
Площадь поперечного сечения арматурного стержня S = 10,1283 см2 | 160 | 17 | 15 | 4 | 4 | 4 | 0,00019 | 76,19047619 | 158 |
200 | 21 | 20 | 4 | 5 | 4,5 | 0,000214 | 97,61904762 | 197 | |
240 | 25 | 24 | 4 | 4 | 4 | 0,00019 | 116,6666667 | 237 | |
280 | 29 | 29 | 4 | 5 | 4,5 | 0,000214 | 138,0952381 | 276 | |
320 | 34 | 34 | 5 | 5 | 5 | 0,000238 | 161,9047619 | 316 | |
360 | 39 | 40 | 5 | 6 | 5,5 | 0,000262 | 188,0952381 | 355 | |
400 | 44 | 45 | 5 | 5 | 5 | 0,000238 | 211,9047619 | 395 | |
440 | 48 | 51 | 4 | 6 | 5 | 0,000238 | 235,7142857 | 434 | |
480 | 54 | 57 | 6 | 6 | 6 | 0,000286 | 264,2857143 | 474 | |
520 | 62 | 66 | 8 | 9 | 8,5 | 0,000405 | 304,7619048 | 513 | |
689,5 | - | - | - | - | - | - | - | 681 | |
База измерения деформаций B = 210 мм | |||||||||
Муфтовое соединение N 3р | 0 | 0 | 0 | 0 | 0 | 0 | 0 | 0 | 0 |
40 | 4 | 4 | 4 | 4 | 4 | 0,00019 | 19,04761905 | 39 | |
80 | 8 | 8 | 4 | 4 | 4 | 0,00019 | 38,0952381 | 79 | |
120 | 12 | 12 | 4 | 4 | 4 | 0,00019 | 57,14285714 | 118 | |
Площадь поперечного сечения арматурного стержня S = 10,1283 см2 | 160 | 16 | 17 | 4 | 5 | 4,5 | 0,000214 | 78,57142857 | 158 |
200 | 20 | 21 | 4 | 4 | 4 | 0,00019 | 97,61904762 | 197 | |
240 | 24 | 27 | 4 | 6 | 5 | 0,000238 | 121,4285714 | 237 | |
280 | 28 | 32 | 4 | 5 | 4,5 | 0,000214 | 142,8571429 | 276 | |
320 | 32 | 37 | 4 | 5 | 4,5 | 0,000214 | 164,2857143 | 316 | |
360 | 35 | 43 | 3 | 6 | 4,5 | 0,000214 | 185,7142857 | 355 | |
400 | 39 | 48 | 4 | 5 | 4,5 | 0,000214 | 207,1428571 | 395 | |
440 | 44 | 53 | 5 | 5 | 5 | 0,000238 | 230,952381 | 434 | |
480 | 49 | 58 | 5 | 5 | 5 | 0,000238 | 254,7619048 | 474 | |
500 | 56 | 64 | 7 | 6 | 6,5 | 0,00031 | 285,7142857 | 494 | |
685,3 | - | - | - | - | - | - | - | 677 | |
База измерения деформаций B = 210 мм | |||||||||
Наименование соединения | Усилие сжатия или растяжения F, кН | Показания индикаторов, мм·10-2 | Приращения деформаций | Среднее значение приращений деформации | Приращение относительных деформаций ![]() | Суммарная относительная деформация ![]() ![]() | Напряжение , МПа | ||
1 | 2 | 3 | 4 | 5 | 6 | 7 | 8 | 9 | 10 |
Муфтовое соединение N 4р | 0 | 0 | 0 | 0 | 0 | 0 | 0 | 0 | 0 |
40 | 5 | 4 | 5 | 4 | 4,5 | 0,000214 | 21,42857143 | 39 | |
80 | 10 | 7 | 5 | 3 | 4 | 0,00019 | 40,47619048 | 79 | |
120 | 14 | 11 | 4 | 4 | 4 | 0,00019 | 59,52380952 | 118 | |
Площадь поперечного сечения арматурного стержня S = 10,1283 см2 | 160 | 18 | 16 | 4 | 5 | 4,5 | 0,000214 | 80,95238095 | 158 |
200 | 23 | 20 | 5 | 4 | 4,5 | 0,000214 | 102,3809524 | 197 | |
240 | 27 | 25 | 4 | 5 | 4,5 | 0,000214 | 123,8095238 | 237 | |
280 | 32 | 30 | 5 | 5 | 5 | 0,000238 | 147,6190476 | 276 | |
320 | 38 | 34 | 6 | 4 | 5 | 0,000238 | 171,4285714 | 316 | |
360 | 43 | 39 | 5 | 5 | 5 | 0,000238 | 195,2380952 | 355 | |
400 | 48 | 44 | 5 | 5 | 5 | 0,000238 | 219,047619 | 395 | |
440 | 53 | 49 | 5 | 5 | 5 | 0,000238 | 242,8571429 | 434 | |
480 | 61 | 55 | 8 | 6 | 7 | 0,000333 | 276,1904762 | 474 | |
520 | 69 | 61 | 8 | 6 | 7 | 0,000333 | 309,5238095 | 513 | |
667 | - | - | - | - | - | - | - | 659 | |
База измерения деформаций B = 210 мм | |||||||||
Муфтовое соединение N 5р | 0 | 0 | 0 | 0 | 0 | 0 | 0 | 0 | 0 |
40 | 5 | 5 | 5 | 5 | 5 | 0,000238 | 23,80952381 | 39 | |
80 | 9 | 9 | 4 | 4 | 4 | 0,00019 | 42,85714286 | 79 | |
120 | 14 | 13 | 5 | 4 | 4,5 | 0,000214 | 64,28571429 | 118 | |
Площадь поперечного сечения арматурного стержня S = 10,1283 см2 | 160 | 19 | 17 | 5 | 4 | 4,5 | 0,000214 | 85,71428571 | 158 |
200 | 24 | 21 | 5 | 4 | 4,5 | 0,000214 | 107,1428571 | 197 | |
240 | 29 | 26 | 5 | 5 | 5 | 0,000238 | 130,952381 | 237 | |
280 | 34 | 31 | 5 | 5 | 5 | 0,000238 | 154,7619048 | 276 | |
320 | 40 | 35 | 6 | 4 | 5 | 0,000238 | 178,5714286 | 316 | |
360 | 45 | 40 | 5 | 5 | 5 | 0,000238 | 202,3809524 | 355 | |
400 | 50 | 43 | 5 | 3 | 4 | 0,00019 | 221,4285714 | 395 | |
440 | 56 | 49 | 6 | 6 | 6 | 0,000286 | 250 | 434 | |
480 | 63 | 54 | 7 | 5 | 6 | 0,000286 | 278,5714286 | 474 | |
520 | 72 | 59 | 9 | 5 | 7 | 0,000333 | 311,9047619 | 513 | |
652,7 | - | - | - | - | - | - | - | 644 | |
База измерения деформаций B = 210 мм | |||||||||
Муфтовое соединение N 6р | 0 | 0 | 0 | 0 | 0 | 0 | 0 | 0 | 0 |
40 | 4 | 4 | 4 | 4 | 4 | 0,00019 | 19,04761905 | 39 | |
80 | 8 | 9 | 4 | 5 | 4,5 | 0,000214 | 40,47619048 | 79 | |
120 | 13 | 14 | 5 | 5 | 5 | 0,000238 | 64,28571429 | 118 | |
Площадь поперечного сечения арматурного стержня S = 10,1283 см2 | 160 | 18 | 19 | 5 | 5 | 5 | 0,000238 | 88,0952381 | 158 |
200 | 22 | 24 | 4 | 5 | 4,5 | 0,000214 | 109,5238095 | 197 | |
240 | 27 | 28 | 5 | 4 | 4,5 | 0,000214 | 130,952381 | 237 | |
280 | 31 | 33 | 4 | 5 | 4,5 | 0,000214 | 152,3809524 | 276 | |
320 | 36 | 39 | 5 | 6 | 5,5 | 0,000262 | 178,5714286 | 316 | |
360 | 40 | 44 | 4 | 5 | 4,5 | 0,000214 | 200 | 355 | |
400 | 45 | 49 | 5 | 5 | 5 | 0,000238 | 223,8095238 | 395 | |
440 | 50 | 54 | 5 | 5 | 5 | 0,000238 | 247,6190476 | 434 | |
480 | 57 | 60 | 7 | 6 | 6,5 | 0,00031 | 278,5714286 | 474 | |
520 | 64 | 66 | 7 | 6 | 6,5 | 0,00031 | 309,5238095 | 513 | |
679,2 | - | - | - | - | - | - | - | 671 | |
База измерения деформаций B = 210 мм | |||||||||
Муфтовое соединение N 7р | 0 | 0 | 0 | 0 | 0 | 0 | 0 | 0 | 0 |
40 | 5 | 4 | 5 | 4 | 4,5 | 0,000214 | 21,42857143 | 39 | |
80 | 10 | 8 | 5 | 4 | 4,5 | 0,000214 | 42,85714286 | 79 | |
120 | 15 | 11 | 5 | 3 | 4 | 0,00019 | 61,9047619 | 118 | |
Площадь поперечного сечения арматурного стержня S = 10,1283 см2 | 160 | 19 | 15 | 4 | 4 | 4 | 0,00019 | 80,95238095 | 158 |
200 | 24 | 18 | 5 | 3 | 4 | 0,00019 | 100 | 197 | |
240 | 29 | 22 | 5 | 4 | 4,5 | 0,000214 | 121,4285714 | 237 | |
280 | 34 | 26 | 5 | 4 | 4,5 | 0,000214 | 142,8571429 | 276 | |
320 | 39 | 29 | 5 | 3 | 4 | 0,00019 | 161,9047619 | 316 | |
360 | 44 | 33 | 5 | 4 | 4,5 | 0,000214 | 183,3333333 | 355 | |
400 | 50 | 36 | 6 | 3 | 4,5 | 0,000214 | 204,7619048 | 395 | |
440 | 56 | 40 | 6 | 4 | 5 | 0,000238 | 228,5714286 | 434 | |
480 | 61 | 45 | 5 | 5 | 5 | 0,000238 | 252,3809524 | 474 | |
520 | 67 | 51 | 6 | 6 | 6 | 0,000286 | 280,952381 | 513 | |
688,3 | - | - | - | - | - | - | - | 680 | |
База измерения деформаций B = 210 мм | |||||||||
Муфтовое соединение N 8р | 0 | 0 | 0 | 0 | 0 | 0 | 0 | 0 | 0 |
40 | 4 | 5 | 4 | 5 | 4,5 | 0,000214 | 21,42857143 | 39 | |
80 | 8 | 10 | 4 | 5 | 4,5 | 0,000214 | 42,85714286 | 79 | |
120 | 12 | 14 | 4 | 4 | 4 | 0,00019 | 61,9047619 | 118 | |
Площадь поперечного сечения арматурного стержня S = 10,1283 см2 | 160 | 16 | 18 | 4 | 4 | 4 | 0,00019 | 80,95238095 | 158 |
200 | 21 | 21 | 5 | 3 | 4 | 0,00019 | 100 | 197 | |
240 | 26 | 25 | 5 | 4 | 4,5 | 0,000214 | 121,4285714 | 237 | |
280 | 32 | 29 | 6 | 4 | 5 | 0,000238 | 145,2380952 | 276 | |
320 | 36 | 32 | 4 | 3 | 3,5 | 0,000167 | 161,9047619 | 316 | |
360 | 42 | 36 | 6 | 4 | 5 | 0,000238 | 185,7142857 | 355 | |
400 | 47 | 41 | 5 | 5 | 5 | 0,000238 | 209,5238095 | 395 | |
440 | 53 | 45 | 6 | 4 | 5 | 0,000238 | 233,3333333 | 434 | |
480 | 59 | 50 | 6 | 5 | 5,5 | 0,000262 | 259,5238095 | 474 | |
520 | 66 | 55 | 7 | 5 | 6 | 0,000286 | 288,0952381 | 513 | |
678 | - | - | - | - | - | - | - | 669 | |
База измерения деформаций B = 210 мм | |||||||||
Муфтовое с соединение N 9р | 0 | 0 | 0 | 0 | 0 | 0 | 0 | 0 | 0 |
40 | 4 | 5 | 4 | 5 | 4,5 | 0,000214 | 21,42857143 | 39 | |
80 | 9 | 9 | 5 | 4 | 4,5 | 0,000214 | 42,85714286 | 79 | |
120 | 13 | 13 | 4 | 4 | 4 | 0,00019 | 61,9047619 | 118 | |
Площадь поперечного сечения арматурного стержня S = 10,1283 см2 | 160 | 18 | 18 | 5 | 5 | 5 | 0,000238 | 85,71428571 | 158 |
200 | 22 | 23 | 4 | 5 | 4,5 | 0,000214 | 107,1428571 | 197 | |
240 | 26 | 29 | 4 | 6 | 5 | 0,000238 | 130,952381 | 237 | |
280 | 29 | 34 | 3 | 5 | 4 | 0,00019 | 150 | 276 | |
320 | 33 | 38 | 4 | 4 | 4 | 0,00019 | 169,047619 | 316 | |
360 | 37 | 44 | 4 | 6 | 5 | 0,000238 | 192,8571429 | 355 | |
400 | 41 | 49 | 4 | 5 | 4,5 | 0,000214 | 214,2857143 | 395 | |
440 | 45 | 55 | 4 | 6 | 5 | 0,000238 | 238,0952381 | 434 | |
480 | 50 | 59 | 5 | 4 | 4,5 | 0,000214 | 259,5238095 | 474 | |
520 | 56 | 66 | 6 | 7 | 6,5 | 0,00031 | 290,4761905 | 513 | |
695,9 | - | - | - | - | - | - | - | 687 | |
База измерения деформаций B = 210 мм | |||||||||
Муфтовое соединение N 10р | 0 | 0 | 0 | 0 | 0 | 0 | 0 | 0 | 0 |
40 | 5 | 6 | 5 | 6 | 5,5 | 0,000262 | 26,19047619 | 39 | |
80 | 8 | 10 | 3 | 4 | 3,5 | 0,000167 | 42,85714286 | 79 | |
120 | 12 | 15 | 4 | 5 | 4,5 | 0,000214 | 64,28571429 | 118 | |
Площадь поперечного сечения арматурного стержня S = 10,1283 см2 | 160 | 16 | 20 | 4 | 5 | 4,5 | 0,000214 | 85,71428571 | 158 |
200 | 20 | 25 | 4 | 5 | 4,5 | 0,000214 | 107,1428571 | 197 | |
240 | 24 | 31 | 4 | 6 | 5 | 0,000238 | 130,952381 | 237 | |
280 | 28 | 38 | 4 | 7 | 5,5 | 0,000262 | 157,1428571 | 276 | |
320 | 32 | 45 | 4 | 7 | 5,5 | 0,000262 | 183,3333333 | 316 | |
360 | 36 | 50 | 4 | 5 | 4,5 | 0,000214 | 204,7619048 | 355 | |
400 | 41 | 55 | 5 | 5 | 5 | 0,000238 | 228,5714286 | 395 | |
440 | 46 | 60 | 5 | 5 | 5 | 0,000238 | 252,3809524 | 434 | |
480 | 52 | 66 | 6 | 6 | 6 | 0,000286 | 280,952381 | 474 | |
520 | 59 | 74 | 7 | 8 | 7,5 | 0,000357 | 316,6666667 | 513 | |
672,2 | - | - | - | - | - | - | - | 664 | |
База измерения деформаций B = 210 мм | |||||||||
Муфтовое соединение N 11р | |||||||||
40 | 4 | 5 | 4 | 5 | 4,5 | 0,000214 | 21,42857143 | 39 | |
80 | 7 | 10 | 3 | 5 | 4 | 0,00019 | 40,47619048 | 79 | |
120 | 10 | 15 | 3 | 5 | 4 | 0,00019 | 59,52380952 | 118 | |
Площадь поперечного сечения арматурного стержня S = 10,1283 см2 | 160 | 15 | 20 | 5 | 5 | 5 | 0,000238 | 83,33333333 | 158 |
200 | 18 | 25 | 3 | 5 | 4 | 0,00019 | 102,3809524 | 197 | |
240 | 22 | 31 | 4 | 6 | 5 | 0,000238 | 126,1904762 | 237 | |
280 | 26 | 35 | 4 | 4 | 4 | 0,00019 | 145,2380952 | 276 | |
320 | 30 | 40 | 4 | 5 | 4,5 | 0,000214 | 166,6666667 | 316 | |
360 | 34 | 46 | 4 | 6 | 5 | 0,000238 | 190,4761905 | 355 | |
400 | 37 | 51 | 3 | 5 | 4 | 0,00019 | 209,5238095 | 395 | |
440 | 42 | 57 | 5 | 6 | 5,5 | 0,000262 | 235,7142857 | 434 | |
480 | 45 | 63 | 3 | 6 | 4,5 | 0,000214 | 257,1428571 | 474 | |
520 | 50 | 70 | 5 | 7 | 6 | 0,000286 | 285,7142857 | 513 | |
690 | - | - | - | - | - | - | - | 681 | |
База измерения деформаций B = 210 мм | |||||||||
Стержень N 1р | 0 | 0 | 0 | 0 | 0 | 0 | 0 | 0 | 0 |
40 | 4 | 4 | 4 | 4 | 4 | 0,00019 | 19,04761905 | 39 | |
80 | 9 | 8 | 5 | 4 | 4,5 | 0,00040 | 40,47619048 | 79 | |
120 | 14 | 11 | 5 | 3 | 4 | 0,00060 | 59,52380952 | 118 | |
Площадь поперечного сечения арматурного стержня S = 10,1283 см2 | 160 | 19 | 14 | 5 | 3 | 4 | 0,00079 | 78,57142857 | 158 |
200 | 24 | 18 | 5 | 4 | 4,5 | 0,00100 | 100 | 197 | |
240 | 28 | 22 | 4 | 4 | 4 | 0,00119 | 119,047619 | 237 | |
280 | 33 | 25 | 5 | 3 | 4 | 0,00138 | 138,0952381 | 276 | |
320 | 38 | 29 | 5 | 4 | 4,5 | 0,00160 | 159,5238095 | 316 | |
360 | 42 | 32 | 4 | 3 | 3,5 | 0,00176 | 176,1904762 | 355 | |
400 | 47 | 37 | 5 | 5 | 5 | 0,00200 | 200 | 395 | |
440 | 52 | 42 | 5 | 5 | 5 | 0,00224 | 223,8095238 | 434 | |
480 | 57 | 49 | 5 | 7 | 6 | 0,00252 | 252,3809524 | 474 | |
520 | 63 | 57 | 6 | 8 | 7 | 0,00286 | 285,7142857 | 513 | |
675,9 | - | - | - | - | - | - | - | 667 | |
База измерения деформаций B = 210 мм | |||||||||

при растяжении





на растяжениеНаименование соединения | Усилие сжатия или растяжения F, кН | Показания индикаторов, мм·10-2 | Приращения деформаций | Среднее значение приращений деформации | Приращение относительных деформаций ![]() | Суммарная относительная деформация ![]() ![]() | Напряжение , МПа | ||
1 | 2 | 3 | 4 | 5 | 6 | 7 | 8 | 9 | 10 |
Bartec Dextra | |||||||||
Муфтовое соединение N 1р | 0 | 0 | 0 | 0 | 0 | 0 | 0 | 0.0 | 0 |
30 | 5 | 6 | 5 | 6 | 5,5 | 0,000297 | 29,72972973 | 61 | |
60 | 9 | 11 | 4 | 5 | 4,5 | 0,000243 | 54,05405405 | 123 | |
90 | 14 | 18 | 5 | 7 | 6 | 0,000324 | 86,48648649 | 184 | |
Площадь поперечного сечения арматурного стержня S = 4,8911 см2 | 120 | 24 | 28 | 10 | 10 | 10 | 0,000541 | 140,5405405 | 245 |
150 | 39 | 44 | 15 | 16 | 15,5 | 0,000838 | 224,3243243 | 307 | |
180 | 59 | 65 | 20 | 21 | 20,5 | 0,001108 | 335,1351351 | 368 | |
204 | 85 | 90 | 26 | 25 | 25,5 | 0,001378 | 472,972973 | 417 | |
323,3 | - | - | - | - | - | - | - | 661 | |
База измерения деформаций B = 185 мм | |||||||||
Муфтовое соединение N 2р | 0 | 0 | 0 | 0 | 0 | 0 | 0 | 0 | 0 |
30 | 8 | 6 | 8 | 6 | 7 | 0,000378 | 37,83783784 | 61 | |
60 | 12 | 12 | 4 | 6 | 5 | 0,00027 | 64,86486486 | 123 | |
90 | 20 | 20 | 8 | 8 | 8 | 0,000432 | 108,1081081 | 184 | |
Площадь поперечного сечения арматурного стержня S = 4,8911 см2 | 120 | 32 | 35 | 12 | 15 | 13,5 | 0,00073 | 181,0810811 | 245 |
150 | 51 | 52 | 19 | 17 | 18 | 0,000973 | 278,3783784 | 307 | |
180 | 80 | 83 | 29 | 31 | 30 | 0,001622 | 440,5405405 | 368 | |
203 | 114 | 126 | 34 | 43 | 38,5 | 0,002081 | 648,6486486 | 415 | |
323 | - | - | - | - | - | - | - | 660 | |
База измерения деформаций B = 185 мм | |||||||||
Муфтовое соединение N 3р | 0 | 0 | 0 | 0 | 0 | 0 | 0 | 0.0 | 0 |
30 | 3 | 4 | 3 | 4 | 3,5 | 0,000189 | 18,91891892 | 61 | |
60 | 7 | 10 | 4 | 6 | 5 | 0,00027 | 45,94594595 | 123 | |
90 | 11 | 16 | 4 | 6 | 5 | 0,00027 | 72,97297297 | 184 | |
Площадь поперечного сечения арматурного стержня S = 4,8911 см2 | 120 | 18 | 25 | 7 | 9 | 8 | 0,000432 | 116,2162162 | 245 |
150 | 29 | 39 | 11 | 14 | 12,5 | 0,000676 | 183,7837838 | 307 | |
180 | 46 | 57 | 17 | 18 | 17,5 | 0,000946 | 278,3783784 | 368 | |
204 | 67 | 83 | 21 | 26 | 23,5 | 0,00127 | 405,4054054 | 417 | |
322 | - | - | - | - | - | - | - | 658 | |
База измерения деформаций B = 185 мм | |||||||||
Муфтовое соединение N 4р | 0 | 0 | 0 | 0 | 0 | 0 | 0 | 0 | 0 |
30 | 7 | 4 | 7 | 4 | 5,5 | 0,000297 | 29,72972973 | 61 | |
60 | 14 | 9 | 7 | 5 | 6 | 0,000324 | 62,16216216 | 123 | |
90 | 21 | 14 | 7 | 5 | 6 | 0,000324 | 94,59459459 | 184 | |
Площадь поперечного сечения арматурного стержня S = 4,8911 см2 | 120 | 28 | 22 | 7 | 8 | 7,5 | 0,000405 | 135,1351351 | 245 |
150 | 39 | 32 | 11 | 10 | 10,5 | 0,000568 | 191,8918919 | 307 | |
180 | 58 | 48 | 19 | 16 | 17,5 | 0,000946 | 286,4864865 | 368 | |
203 | 86 | 71 | 28 | 23 | 25,5 | 0,001378 | 424,3243243 | 415 | |
322,9 | - | - | - | - | - | - | - | 660 | |
База измерения деформаций B = 185 мм | |||||||||
Муфтовое соединение N 5р | 0 | 0 | 0 | 0 | 0 | 0 | 0 | 0.0 | 0 |
30 | 5 | 4 | 5 | 4 | 4,5 | 0,000243 | 24,32432432 | 61 | |
60 | 10 | 7 | 5 | 3 | 4 | 0,000216 | 45,94594595 | 123 | |
90 | 19 | 10 | 9 | 3 | 6 | 0,000324 | 78,37837838 | 184 | |
Площадь поперечного сечения арматурного стержня S = 4,8911 см2 | 120 | 33 | 17 | 14 | 7 | 10,5 | 0,000568 | 135,1351351 | 245 |
150 | 54 | 31 | 21 | 14 | 17,5 | 0,000946 | 229,7297297 | 307 | |
180 | 82 | 51 | 28 | 20 | 24 | 0,001297 | 359,4594595 | 368 | |
202 | 123 | 82 | 41 | 31 | 36 | 0,001946 | 554,0540541 | 413 | |
324,1 | - | - | - | - | - | - | - | 663 | |
База измерения деформаций B = 185 мм | |||||||||
Муфтовое соединение N 6р | 0 | 0 | 0 | 0 | 0 | 0 | 0 | 0 | 0 |
30 | 5 | 6 | 5 | 6 | 5,5 | 0,000297 | 29,72972973 | 61 | |
60 | 11 | 12 | 6 | 6 | 6 | 0,000324 | 62,16216216 | 123 | |
90 | 17 | 17 | 6 | 5 | 5,5 | 0,000297 | 91,89189189 | 184 | |
Площадь поперечного сечения арматурного стержня S = 4,8911 см2 | 120 | 26 | 25 | 9 | 8 | 8,5 | 0,000459 | 137,8378378 | 245 |
150 | 42 | 42 | 16 | 17 | 16,5 | 0,000892 | 227,027027 | 307 | |
180 | 76 | 74 | 34 | 32 | 33 | 0,001784 | 405,4054054 | 368 | |
202 | 113 | 112 | 37 | 38 | 37,5 | 0,002027 | 608,1081081 | 413 | |
324 | - | - | - | - | - | - | - | 662 | |
База измерения деформаций B = 185 мм | |||||||||
Стержень N 1р | 0 | 0 | 0 | 0 | 0 | 0 | 0 | 0.0 | 0 |
30 | 6 | 5 | 6 | 5 | 5,5 | 0,000297 | 29,72972973 | 61 | |
60 | 12 | 9 | 6 | 4 | 5 | 0,00027 | 56,75675676 | 123 | |
90 | 17 | 13 | 5 | 4 | 4,5 | 0,000243 | 81,08108108 | 184 | |
Площадь поперечного сечения арматурного стержня S = 4,8911 см2 | 120 | 23 | 18 | 6 | 5 | 5,5 | 0,000297 | 110,8108108 | 245 |
150 | 29 | 23 | 6 | 5 | 5,5 | 0,000297 | 140,5405405 | 307 | |
180 | 34 | 28 | 5 | 5 | 5 | 0,00027 | 167,5675676 | 368 | |
210 | 40 | 33 | 6 | 5 | 5,5 | 0,000297 | 197,2972973 | 429 | |
335,6 | - | - | - | - | - | - | - | 686 | |
База измерения деформаций B = 185 мм | |||||||||

при растяжении
на растяжениеНаименование соединения | Усилие сжатия или растяжения F, кН | Показания индикаторов, мм·10-2 | Приращения деформаций | Среднее значение приращений деформации | Приращение относительных деформаций ![]() | Суммарная относительная деформация ![]() ![]() | Напряжение , МПа | ||
1 | 2 | 3 | 4 | 5 | 6 | 7 | 8 | 9 | 10 |
Bartec Dextra | |||||||||
Муфтовое соединение N 1р | 0 | 0 | 0 | 0 | 0 | 0 | 0 | 0,0 | 0 |
40 | 8 | 5 | 8 | 5 | 6,5 | 0,00031 | 30,95238095 | 50 | |
80 | 16 | 12 | 8 | 7 | 7,5 | 0,000357 | 66,66666667 | 100 | |
120 | 22 | 17 | 6 | 5 | 5,5 | 0,000262 | 92,85714286 | 151 | |
Площадь поперечного сечения арматурного стержня S = 7,9721 см2 | 160 | 27 | 24 | 5 | 7 | 6 | 0,000286 | 121,4285714 | 201 |
200 | 39 | 31 | 12 | 7 | 9,5 | 0,000452 | 166,6666667 | 251 | |
240 | 49 | 40 | 10 | 9 | 9,5 | 0,000452 | 211,9047619 | 301 | |
280 | 60 | 49 | 11 | 9 | 10 | 0,000476 | 259,5238095 | 351 | |
320 | 73 | 63 | 13 | 14 | 13,5 | 0,000643 | 323,8095238 | 401 | |
360 | 92 | 87 | 19 | 24 | 21,5 | 0,001024 | 426,1904762 | 452 | |
384 | 106 | 124 | 14 | 37 | 25,5 | 0,001214 | 547,6190476 | 482 | |
505,6 | - | - | - | - | - | - | - | 634 | |
База измерения деформаций B = 210 мм | |||||||||
Муфтовое соединение N 2р | 0 | 0 | 0 | 0 | 0 | 0 | 0 | 0 | 0 |
40 | 9 | 5 | 9 | 5 | 7 | 0,000333 | 33,33333333 | 50 | |
80 | 16 | 12 | 7 | 7 | 7 | 0,000333 | 66,66666667 | 100 | |
120 | 21 | 20 | 5 | 8 | 6,5 | 0,00031 | 97,61904762 | 151 | |
Площадь поперечного сечения арматурного стержня S = 7,9721 см2 | 160 | 32 | 27 | 11 | 7 | 9 | 0,000429 | 140,4761905 | 201 |
200 | 37 | 36 | 5 | 9 | 7 | 0,000333 | 173,8095238 | 251 | |
240 | 48 | 41 | 11 | 5 | 8 | 0,000381 | 211,9047619 | 301 | |
280 | 59 | 51 | 11 | 10 | 10,5 | 0,0005 | 261,9047619 | 351 | |
320 | 72 | 64 | 13 | 13 | 13 | 0,000619 | 323,8095238 | 401 | |
360 | 82 | 77 | 10 | 13 | 11,5 | 0,000548 | 378,5714286 | 452 | |
400 | 100 | 100 | 18 | 23 | 20,5 | 0,000976 | 476,1904762 | 502 | |
508,4 | - | - | - | - | - | - | - | 638 | |
База измерения деформаций B = 210 мм | |||||||||
Муфтовое соединение N 3р | 0 | 0 | 0 | 0 | 0 | 0 | 0 | 0,0 | 0 |
40 | 6 | 5 | 6 | 5 | 5,5 | 0,000262 | 26,19047619 | 50 | |
80 | 12 | 9 | 6 | 4 | 5 | 0,000238 | 50 | 100 | |
120 | 21 | 17 | 9 | 8 | 8,5 | 0,000405 | 90,47619048 | 151 | |
Площадь поперечного сечения арматурного стержня S = 7,9721 см2 | 160 | 31 | 25 | 10 | 8 | 9 | 0,000429 | 133,3333333 | 201 |
200 | 42 | 33 | 11 | 8 | 9,5 | 0,000452 | 178,5714286 | 251 | |
240 | 55 | 43 | 13 | 10 | 11,5 | 0,000548 | 233,3333333 | 301 | |
280 | 69 | 55 | 14 | 12 | 13 | 0,000619 | 295,2380952 | 351 | |
320 | 83 | 69 | 14 | 14 | 14 | 0,000667 | 361,9047619 | 401 | |
360 | 105 | 88 | 22 | 19 | 20,5 | 0,000976 | 459,5238095 | 452 | |
400 | 133 | 116 | 28 | 28 | 28 | 0,001333 | 592,8571429 | 502 | |
526,1 | - | - | - | - | - | - | - | 660 | |
База измерения деформаций B = 210 мм | |||||||||
Муфтовое соединение N 4р | 0 | 0 | 0 | 0 | 0 | 0 | 0 | 0 | 0 |
40 | 6 | 6 | 6 | 6 | 6 | 0,000286 | 28,57142857 | 50 | |
80 | 12 | 12 | 6 | 6 | 6 | 0,000286 | 57,14285714 | 100 | |
120 | 18 | 18 | 6 | 6 | 6 | 0,000286 | 85,71428571 | 151 | |
Площадь поперечного сечения арматурного стержня S = 7,9721 см2 | 160 | 26 | 24 | 8 | 6 | 7 | 0,000333 | 119,047619 | 201 |
200 | 34 | 32 | 8 | 8 | 8 | 0,000381 | 157,1428571 | 251 | |
240 | 43 | 41 | 9 | 9 | 9 | 0,000429 | 200 | 301 | |
280 | 55 | 52 | 12 | 11 | 11,5 | 0,000548 | 254,7619048 | 351 | |
320 | 71 | 66 | 16 | 14 | 15 | 0,000714 | 326,1904762 | 401 | |
360 | 92 | 84 | 21 | 18 | 19,5 | 0,000929 | 419,047619 | 452 | |
400 | 111 | 97 | 19 | 13 | 16 | 0,000762 | 495,2380952 | 502 | |
537 | - | - | - | - | - | - | - | 674 | |
База измерения деформаций B = 210 мм | |||||||||
Муфтовое соединение N 5р | 0 | 0 | 0 | 0 | 0 | 0 | 0 | 0,0 | 0 |
40 | 5 | 7 | 5 | 7 | 6 | 0,000286 | 28,57142857 | 50 | |
80 | 13 | 13 | 8 | 6 | 7 | 0,000333 | 61,9047619 | 100 | |
120 | 24 | 24 | 11 | 11 | 11 | 0,000524 | 114,2857143 | 151 | |
Площадь поперечного сечения арматурного стержня S = 7,9721 см2 | 160 | 35 | 35 | 11 | 11 | 11 | 0,000524 | 166,6666667 | 201 |
200 | 47 | 50 | 12 | 15 | 13,5 | 0,000643 | 230,952381 | 251 | |
240 | 60 | 63 | 13 | 13 | 13 | 0,000619 | 292,8571429 | 301 | |
280 | 75 | 78 | 15 | 15 | 15 | 0,000714 | 364,2857143 | 351 | |
320 | 93 | 99 | 18 | 21 | 19,5 | 0,000929 | 457,1428571 | 401 | |
360 | 116 | 128 | 23 | 29 | 26 | 0,001238 | 580,952381 | 452 | |
389 | 147 | 166 | 31 | 38 | 34,5 | 0,001643 | 745,2380952 | 488 | |
532,6 | - | - | - | - | - | - | - | 668 | |
База измерения деформаций B = 210 мм | |||||||||
Муфтовое соединение N 6р | 0 | 0 | 0 | 0 | 0 | 0 | 0 | 0 | 0 |
40 | 5 | 4 | 5 | 4 | 4,5 | 0,000214 | 21,42857143 | 50 | |
80 | 11 | 9 | 6 | 5 | 5,5 | 0,000262 | 47,61904762 | 100 | |
120 | 19 | 14 | 8 | 5 | 6,5 | 0,00031 | 78,57142857 | 151 | |
Площадь поперечного сечения арматурного стержня S = 7,9721 см2 | 160 | 28 | 21 | 9 | 7 | 8 | 0,000381 | 116,6666667 | 201 |
200 | 38 | 28 | 10 | 7 | 8,5 | 0,000405 | 157,1428571 | 251 | |
240 | 49 | 35 | 11 | 7 | 9 | 0,000429 | 200 | 301 | |
280 | 64 | 44 | 15 | 9 | 12 | 0,000571 | 257,1428571 | 351 | |
320 | 77 | 55 | 13 | 11 | 12 | 0,000571 | 314,2857143 | 401 | |
360 | 108 | 84 | 31 | 29 | 30 | 0,001429 | 457,1428571 | 452 | |
400 | 132 | 114 | 24 | 30 | 27 | 0,001286 | 585,7142857 | 502 | |
525,7 | - | - | - | - | - | - | - | 659 | |
База измерения деформаций B = 210 мм | |||||||||
Стержень N 1р | 0 | 0 | 0 | 0 | 0 | 0 | 0 | 0,0 | 0 |
40 | 7 | 4 | 7 | 4 | 5,5 | 0,000262 | 26,19047619 | 50 | |
80 | 14 | 8 | 7 | 4 | 5,5 | 0,000262 | 52,38095238 | 100 | |
120 | 21 | 13 | 7 | 5 | 6 | 0,000286 | 80,95238095 | 151 | |
Площадь поперечного сечения арматурного стержня S = 7,9721 см2 | 160 | 28 | 18 | 7 | 5 | 6 | 0,000286 | 109,5238095 | 201 |
200 | 35 | 23 | 7 | 5 | 6 | 0,000286 | 138,0952381 | 251 | |
240 | 41 | 27 | 6 | 4 | 5 | 0,000238 | 161,9047619 | 301 | |
280 | 47 | 31 | 6 | 4 | 5 | 0,000238 | 185,7142857 | 351 | |
320 | 53 | 35 | 6 | 4 | 5 | 0,000238 | 209,5238095 | 401 | |
360 | 61 | 40 | 8 | 5 | 6,5 | 0,00031 | 240,4761905 | 452 | |
400 | 73 | 45 | 12 | 5 | 8,5 | 0,000405 | 280,952381 | 502 | |
433 | 89 | 55 | 16 | 10 | 13 | 0,000619 | 342,8571429 | 543 | |
546,4 | - | - | - | - | - | - | - | 685 | |
База измерения деформаций B = 210 мм | |||||||||

при растяжении
на растяжениеНаименование соединения | Усилие сжатия или растяжения F, кН | Показания индикаторов, мм·10-2 | Приращения деформаций | Среднее значение приращений деформации | Приращение относительных деформаций ![]() | Суммарная относительная деформация ![]() ![]() | Напряжение , МПа | ||
1 | 2 | 3 | 4 | 5 | 6 | 7 | 8 | 9 | 10 |
Bartec Dextra | |||||||||
Муфтовое соединение N 1р | 0 | 0 | 0 | 0 | 0 | 0 | 0 | 0,0 | 0 |
40 | 2 | 6 | 2 | 6 | 4 | 0,00019 | 19,04761905 | 40 | |
80 | 5 | 13 | 3 | 7 | 5 | 0,000238 | 42,85714286 | 80 | |
120 | 11 | 21 | 6 | 8 | 7 | 0,000333 | 76,19047619 | 120 | |
Площадь поперечного сечения арматурного стержня S = 10,0286 см2 | 160 | 20 | 29 | 9 | 8 | 8,5 | 0,000405 | 116,6666667 | 160 |
200 | 29 | 37 | 9 | 8 | 8,5 | 0,000405 | 157,1428571 | 199 | |
240 | 38 | 45 | 9 | 8 | 8,5 | 0,000405 | 197,6190476 | 239 | |
280 | 48 | 53 | 10 | 8 | 9 | 0,000429 | 240,4761905 | 279 | |
320 | 58 | 61 | 10 | 8 | 9 | 0,000429 | 283,3333333 | 319 | |
360 | 69 | 69 | 11 | 8 | 9,5 | 0,000452 | 328,5714286 | 359 | |
400 | 81 | 78 | 12 | 9 | 10,5 | 0,0005 | 378,5714286 | 399 | |
440 | 94 | 90 | 13 | 12 | 12,5 | 0,000595 | 438,0952381 | 439 | |
470 | 109 | 102 | 15 | 12 | 13,5 | 0,000643 | 502,3809524 | 469 | |
629,6 | - | - | - | - | - | - | - | 628 | |
База измерения деформаций B = 210 мм | |||||||||
Муфтовое соединение N 2р | 0 | 0 | 0 | 0 | 0 | 0 | 0 | 0 | 0 |
40 | 4 | 4 | 4 | 4 | 4 | 0,00019 | 19,04761905 | 40 | |
80 | 10 | 9 | 6 | 5 | 5,5 | 0,000262 | 45,23809524 | 80 | |
120 | 17 | 16 | 7 | 7 | 7 | 0,000333 | 78,57142857 | 120 | |
Площадь поперечного сечения арматурного стержня S = 10,0286 см2 | 160 | 24 | 25 | 7 | 9 | 8 | 0,000381 | 116,6666667 | 160 |
200 | 31 | 34 | 7 | 9 | 8 | 0,000381 | 154,7619048 | 199 | |
240 | 39 | 43 | 8 | 9 | 8,5 | 0,000405 | 195,2380952 | 239 | |
280 | 47 | 52 | 8 | 9 | 8,5 | 0,000405 | 235,7142857 | 279 | |
320 | 55 | 60 | 8 | 8 | 8 | 0,000381 | 273,8095238 | 319 | |
360 | 63 | 70 | 8 | 10 | 9 | 0,000429 | 316,6666667 | 359 | |
400 | 73 | 81 | 10 | 11 | 10,5 | 0,0005 | 366,6666667 | 399 | |
440 | 85 | 94 | 12 | 13 | 12,5 | 0,000595 | 426,1904762 | 439 | |
460 | 91 | 100 | 6 | 6 | 6 | 0,000286 | 454,7619048 | 459 | |
633,3 | - | - | - | - | - | - | - | 631 | |
База измерения деформаций B = 210 мм | |||||||||
Муфтовое соединение N 3р | 0 | 0 | 0 | 0 | 0 | 0 | 0 | 0,0 | 0 |
40 | 4 | 5 | 4 | 5 | 4,5 | 0,000214 | 21,42857143 | 40 | |
80 | 7 | 16 | 3 | 11 | 7 | 0,000333 | 54,76190476 | 80 | |
120 | 16 | 27 | 9 | 11 | 10 | 0,000476 | 102,3809524 | 120 | |
Площадь поперечного сечения арматурного стержня S = 10,0286 см2 | 160 | 26 | 38 | 10 | 11 | 10,5 | 0,0005 | 152,3809524 | 160 |
200 | 36 | 49 | 10 | 11 | 10,5 | 0,0005 | 202,3809524 | 199 | |
240 | 46 | 60 | 10 | 11 | 10,5 | 0,0005 | 252,3809524 | 239 | |
280 | 56 | 72 | 10 | 12 | 11 | 0,000524 | 304,7619048 | 279 | |
320 | 67 | 84 | 11 | 12 | 11,5 | 0,000548 | 359,5238095 | 319 | |
360 | 79 | 96 | 12 | 12 | 12 | 0,000571 | 416,6666667 | 359 | |
400 | 91 | 109 | 12 | 13 | 12,5 | 0,000595 | 476,1904762 | 399 | |
440 | 106 | 124 | 15 | 15 | 15 | 0,000714 | 547,6190476 | 439 | |
480 | 125 | 140 | 19 | 16 | 17,5 | 0,000833 | 630,952381 | 479 | |
500 | 136 | 148 | 11 | 8 | 9,5 | 0,000452 | 676,1904762 | 499 | |
666,4 | - | - | - | - | - | - | - | 664 | |
База измерения деформаций B = 210 мм | |||||||||
Муфтовое соединение N 4р | 0 | 0 | 0 | 0 | 0 | 0 | 0 | 0 | 0 |
40 | 3 | 7 | 3 | 7 | 5 | 0,000238 | 23,80952381 | 40 | |
80 | 6 | 14 | 3 | 7 | 5 | 0,000238 | 47,61904762 | 80 | |
120 | 10 | 21 | 4 | 7 | 5,5 | 0,000262 | 73,80952381 | 120 | |
Площадь поперечного сечения арматурного стержня S = 10,0286 см2 | 160 | 15 | 28 | 5 | 7 | 6 | 0,000286 | 102,3809524 | 160 |
200 | 20 | 35 | 5 | 7 | 6 | 0,000286 | 130,952381 | 199 | |
240 | 25 | 42 | 5 | 7 | 6 | 0,000286 | 159,5238095 | 239 | |
280 | 31 | 50 | 6 | 8 | 7 | 0,000333 | 192,8571429 | 279 | |
320 | 40 | 58 | 9 | 8 | 8,5 | 0,000405 | 233,3333333 | 319 | |
360 | 48 | 66 | 8 | 8 | 8 | 0,000381 | 271,4285714 | 359 | |
400 | 58 | 74 | 10 | 8 | 9 | 0,000429 | 314,2857143 | 399 | |
440 | 69 | 83 | 11 | 9 | 10 | 0,000476 | 361,9047619 | 439 | |
480 | 80 | 92 | 11 | 9 | 10 | 0,000476 | 409,5238095 | 479 | |
490 | 83 | 96 | 3 | 4 | 3,5 | 0,000167 | 426,1904762 | 489 | |
659,2 | - | - | - | - | - | - | - | 657 | |
База измерения деформаций B = 210 мм | |||||||||
Муфтовое соединение N 5р | 0 | 0 | 0 | 0 | 0 | 0 | 0 | 0,0 | 0 |
40 | 7 | 3 | 7 | 3 | 5 | 0,000238 | 23,80952381 | 40 | |
80 | 15 | 8 | 8 | 5 | 6,5 | 0,00031 | 54,76190476 | 80 | |
120 | 23 | 15 | 8 | 7 | 7,5 | 0,000357 | 90,47619048 | 120 | |
Площадь поперечного сечения арматурного стержня S = 10,0286 см2 | 160 | 31 | 22 | 8 | 7 | 7,5 | 0,000357 | 126,1904762 | 160 |
200 | 39 | 29 | 8 | 7 | 7,5 | 0,000357 | 161,9047619 | 199 | |
240 | 47 | 36 | 8 | 7 | 7,5 | 0,000357 | 197,6190476 | 239 | |
280 | 54 | 44 | 7 | 8 | 7,5 | 0,000357 | 233,3333333 | 279 | |
320 | 61 | 52 | 7 | 8 | 7,5 | 0,000357 | 269,047619 | 319 | |
360 | 68 | 60 | 7 | 8 | 7,5 | 0,000357 | 304,7619048 | 359 | |
400 | 77 | 69 | 9 | 9 | 9 | 0,000429 | 347,6190476 | 399 | |
440 | 88 | 81 | 11 | 12 | 11,5 | 0,000548 | 402,3809524 | 439 | |
480 | 105 | 92 | 17 | 11 | 14 | 0,000667 | 469,047619 | 479 | |
500 | 114 | 99 | 9 | 7 | 8 | 0,000381 | 507,1428571 | 499 | |
550,9 | - | - | - | - | - | - | - | 694 | |
База измерения деформаций B = 210 мм | |||||||||
Муфтовое соединение N 6р | 0 | 0 | 0 | 0 | 0 | 0 | 0 | 0,0 | 0 |
40 | 3 | 4 | 3 | 4 | 3,5 | 0,000167 | 16,66666667 | 40 | |
80 | 7 | 8 | 4 | 4 | 4 | 0,00019 | 35,71428571 | 80 | |
120 | 10 | 14 | 3 | 6 | 4,5 | 0,000214 | 57,14285714 | 120 | |
Площадь поперечного сечения арматурного стержня S = 10,0286 см2 | 160 | 15 | 20 | 5 | 6 | 5,5 | 0,000262 | 83,33333333 | 160 |
200 | 20 | 25 | 5 | 5 | 5 | 0,000238 | 107,1428571 | 199 | |
240 | 25 | 32 | 5 | 7 | 6 | 0,000286 | 135,7142857 | 239 | |
280 | 30 | 39 | 5 | 7 | 6 | 0,000286 | 164,2857143 | 279 | |
320 | 38 | 46 | 8 | 7 | 7,5 | 0,000357 | 200 | 319 | |
360 | 46 | 55 | 8 | 9 | 8,5 | 0,000405 | 240,4761905 | 359 | |
400 | 57 | 65 | 11 | 10 | 10,5 | 0,0005 | 290,4761905 | 399 | |
440 | 69 | 77 | 12 | 12 | 12 | 0,000571 | 347,6190476 | 439 | |
480 | 85 | 93 | 16 | 16 | 16 | 0,000762 | 423,8095238 | 479 | |
505 | 100 | 106 | 15 | 13 | 14 | 0,000667 | 490,4761905 | 504 | |
665,2 | - | - | - | - | - | - | - | 663 | |
База измерения деформаций B = 210 мм | |||||||||
Стержень 1р | 0 | 0 | 0 | 0 | 0 | 0 | 0 | 0 | 0 |
40 | 4 | 4 | 4 | 4 | 4 | 0,00019 | 19,04761905 | 40 | |
80 | 9 | 8 | 5 | 4 | 4,5 | 0,000214 | 40,47619048 | 80 | |
120 | 14 | 11 | 5 | 3 | 4 | 0,00019 | 59,52380952 | 120 | |
Площадь поперечного сечения арматурного стержня S = 10,0286 см2 | 160 | 19 | 14 | 5 | 3 | 4 | 0,00019 | 78,57142857 | 160 |
200 | 24 | 18 | 5 | 4 | 4,5 | 0,000214 | 100 | 199 | |
240 | 28 | 22 | 4 | 4 | 4 | 0,00019 | 119,047619 | 239 | |
280 | 33 | 25 | 5 | 3 | 4 | 0,00019 | 138,0952381 | 279 | |
320 | 38 | 29 | 5 | 4 | 4,5 | 0,000214 | 159,5238095 | 319 | |
360 | 42 | 32 | 4 | 3 | 3,5 | 0,000167 | 176,1904762 | 359 | |
400 | 47 | 37 | 5 | 5 | 5 | 0,000238 | 200 | 399 | |
440 | 52 | 42 | 5 | 5 | 5 | 0,000238 | 223,8095238 | 439 | |
480 | 57 | 49 | 5 | 7 | 6 | 0,000286 | 252,3809524 | 479 | |
520 | 63 | 57 | 6 | 8 | 7 | 0,000333 | 285,7142857 | 519 | |
675,9 | - | - | - | - | - | - | - | 674 | |
База измерения деформаций B = 210 мм | |||||||||

при растяжении





ОКС 91.080.40 |
Ключевые слова: арматурный стержень, резьбовое механическое соединение арматуры, несущая способность механического соединения, диаграмма деформирования, диаграммный метод расчета |