Главная // Актуальные документы // ИнформацияСПРАВКА
Источник публикации
"Бюллетень нормативных и методических документов Госсанэпиднадзора", N 1, 2024
Примечание к документу
Документ
введен в действие с 19.05.2024.
Взамен
МУ 2.2.4.706-98/МУ ОТ РМ 01-98, утв. Первым заместителем министра здравоохранения РФ, Главным государственным санитарным врачом РФ 16.06.1998, Первым заместителем министра труда и социального развития РФ 16.06.1998;
МУК 4.3.2812-10, утв. Руководителем Роспотребнадзора, Главным государственным санитарным врачом РФ 28.12.2010.
Название документа
"МУК 4.3.3975-24. 4.3. Методы контроля. Физические факторы. Методические указания по инструментальному контролю и оценке освещения рабочих мест. Методические указания"
(утв. Роспотребнадзором 19.02.2024)
"МУК 4.3.3975-24. 4.3. Методы контроля. Физические факторы. Методические указания по инструментальному контролю и оценке освещения рабочих мест. Методические указания"
(утв. Роспотребнадзором 19.02.2024)
Руководитель Федеральной службы
по надзору в сфере защиты прав
потребителей и благополучия человека,
Главный государственный санитарный врач
Российской Федерации
А.Ю.ПОПОВА
19 февраля 2024 года
Дата введения
19 мая 2024 года
4.3. МЕТОДЫ КОНТРОЛЯ. ФИЗИЧЕСКИЕ ФАКТОРЫ
МЕТОДИЧЕСКИЕ УКАЗАНИЯ ПО ИНСТРУМЕНТАЛЬНОМУ КОНТРОЛЮ
И ОЦЕНКЕ ОСВЕЩЕНИЯ РАБОЧИХ МЕСТ
МЕТОДИЧЕСКИЕ УКАЗАНИЯ
МУК 4.3.3975-24 <*>
--------------------------------
<*> Введены взамен
МУ 2.2.4.706-98/МУ ОТ РМ 01-98 "Оценка освещения рабочих мест", утвержденных Первым заместителем министра здравоохранения Российской Федерации, Главным государственным санитарным врачом Российской Федерации 16.06.1998, Первым заместителем министра труда и социального развития Российской Федерации 16.06.1998;
МУК 4.3.2812-10 "Инструментальный контроль и оценка освещения рабочих мест", утвержденных Руководителем Федеральной службы по надзору в сфере защиты прав потребителей и благополучия человека, Главным государственным санитарным врачом Российской Федерации 28.12.2010.
Методические указания разработаны Федеральной службой по надзору в сфере защиты прав потребителей и благополучия человека (И.З. Мустафина); ФБУН ЕМНЦ ПОЗРПП Роспотребнадзора (А.А. Федорук, И.Н. Кудряшов, С.В. Мартин, В.О. Рузаков, О.Г. Другова); ФБУН "СЗНЦ гигиены и общественного здоровья" (В.Е. Крийт, Ю.Н. Сладкова, Д.Н. Скляр, О.В. Волчкова).
I. Общие положения и область применения
1.1. Настоящие методические указания (далее - МУК) описывают порядок проведения инструментального контроля и оценки освещения рабочих мест на промышленных предприятиях, рабочих мест в помещениях общественных зданий, а также в сопутствующих им производственных помещениях на соответствие санитарно-эпидемиологическим требованиям <1>.
--------------------------------
<1>
Глава V СанПиН 1.2.3685-21 "Гигиенические нормативы и требования к обеспечению безопасности и (или) безвредности для человека факторов среды обитания", утвержденных постановлением Главного государственного санитарного врача Российской Федерации от 28.01.2021 N 2 (зарегистрировано Минюстом России 29.01.2021, регистрационный N 62296), с изменениями, внесенными постановлением Главного государственного санитарного врача Российской Федерации от 30.12.2022 N 24 (зарегистрировано Минюстом России 09.03.2023, регистрационный N 72558) (далее - СанПиН 1.2.3685-21);
СП 2.2.3670-20 "Санитарно-эпидемиологические требования к условиям труда", утвержденные постановлением Главного государственного санитарного врача Российской Федерации от 02.12.2020 N 40 (зарегистрировано Минюстом России 29.12.2020, регистрационный N 61893).
1.2. Настоящие МУК не распространяются на проведение измерений показателей световой среды в помещениях жилых и общественных зданий, а также на территории жилой застройки, на измерение светотехнических характеристик осветительных приборов (далее - ОП), спектральных и цветовых характеристик искусственных источников света (далее - ИС), на контроль параметров средств отображения информации.
1.3. Настоящие МУК применяются при:
- осуществлении федерального государственного санитарно-эпидемиологического контроля (надзора);
- осуществлении санитарно-эпидемиологических экспертиз, обследований, исследований, испытаний, оценок;
- осуществлении производственного контроля;
- проведении других видов контроля соблюдения санитарно-эпидемиологических требований (например, лицензионный) и выполнения профилактических мероприятий.
1.4. Контролируемыми показателями искусственного освещения на рабочих местах в соответствии с санитарно-эпидемиологическими требованиями <2> являются:
--------------------------------
- средняя освещенность на рабочей поверхности (Eср), лк;
- коэффициент пульсации освещенности (Kп), %;
- объединенный показатель дискомфорта (англ. Unified Glare Rating, далее - UGR), отн. ед.;
- яркость (яркость рабочей поверхности) (L), кд/м2;
- индекс цветопередачи (Ra), %.
1.4.1. Объединенный показатель дискомфорта является критерием оценки дискомфортной блескости, вызывающей неприятные ощущения при неравномерном распределении яркостей в поле зрения от установок внутреннего освещения, не имеет инструментальных методов контроля и определяется на стадии проектирования расчетным методом на основе фотометрических данных светильников и их расположения в помещении в соответствии с методическими документами <3>. Объединенный показатель дискомфорта оценивается при наличии жалоб работающих на наличие посторонних ярких источников света в поле зрения (в этом случае заявителем или его представителем, несущими ответственность за достоверность представляемых материалов, предоставляется раздел проектной документации с расчетным объединенным показателем дискомфорта).
--------------------------------
<3>
ГОСТ 33392 "Здания и сооружения. Метод определения показателя дискомфорта при искусственном освещении помещений", введенный
приказом Росстандарта от 03.11.2015 N 1693-ст.
1.4.2. Светотехнические характеристики ОП представлены в технических условиях и эксплуатационной документации на ОП конкретных типов или групп <4>. Информация об индексе цветопередачи ИС представлена на маркировке изделия.
--------------------------------
<4>
Приложение Г ГОСТ 34819 "Приборы осветительные. Светотехнические требования и методы испытаний", введенного
приказом Росстандарта от 20.01.2022 N 28-ст.
1.5. Контролируемым показателем естественного освещения на рабочих местах является коэффициент естественной освещенности (далее - КЕО), (e), %.
1.6. Результаты измерений показателей освещения представляются с расширенной неопределенностью измерений (исключение могут составлять результаты измерений КЕО).
1.7. Настоящие МУК базируются на методах прямых измерений, методиках, внесенных в эксплуатационную документацию на применяемые средства измерений (далее - СИ) утвержденного типа.
1.8. МУК носят рекомендательный характер.
II. Подготовка к проведению измерений
2.1. При подготовке к выполнению измерений проводится:
- определение цели проведения работ;
- ознакомление с документацией по объекту и его обследование (например, сбор информации об эксплуатационной и технической документации на объект исследования, директивных документах на проведение работ; уточнение информации о наличии результатов ранее проведенных исследований, а также проектной документации и значений расчетных показателей (КЕО, объединенный показатель дискомфорта). При этом рекомендуется обращать внимание на соответствие существующей ситуации, в том числе реального состояния осветительных установок (например, количество, расположение, мощность, защитный угол светильников, схемы подключения светильников, наличие пускорегулирующих аппаратов (далее - ПРА), материалам проекта;
- определение объема работ на объекте (выбор рабочих мест для инструментального контроля освещения, контролируемых показателей, контрольных точек (точек измерения); изучение особенностей условий труда, включая нахождение работника в разных помещениях и (или) выполнение различных зрительных работ (в том числе хронометраж выполнения этих зрительных работ и (или) времени пребывания в разных зонах работ); оценка условий зрительной работы, возрастные характеристики работников, влияющие на требования к проведению измерений и оценку их результатов, а также время проведения измерений);
- сбор информации об особенностях освещения на рабочих местах (уточняются данные о наличии или отсутствии естественного освещения; системе искусственного освещения; типе светильников, параметрах их размещения в помещениях, состоянии светильников (например, исправность, загрязнение, укомплектованность отражателями, решетками, рассеивателями); наличии "расфазировки" светильников и типе ПРА, светотехнических характеристиках светильников со светодиодами; наличии и состоянии светильников местного освещения, в том числе неработающих ламп; типе источников света, их коррелированной цветовой температуре (Tцк) и индексе цветопередачи (Ra); санитарном состоянии остеклений светопроемов, стен, потолков;
- сбор жалоб (при их наличии) со стороны лиц, занятых на обследуемых рабочих местах;
- определение потребности в СИ и привлекаемых к работе специалистах;
- подготовка СИ в соответствии с эксплуатационной документацией.
Необходимые сведения могут быть получены от владельца объекта и проектной организации, которые несут ответственность за достоверность предоставленных материалов.
2.2. Точки измерений контролируемых показателей искусственной освещенности на рабочих местах наносят на план помещения с указанием размещения светильников.
2.3. Перед проведением измерений на всех рабочих местах определяют значения параметров микроклимата.
При проведении измерений на территории параметры наружного воздуха (температура, относительная влажность воздуха, атмосферное давление) уточняются по данным официальных источников <5>. Допускается проведение измерений метеопараметров непосредственно на обследуемой территории, при этом подготовка прибора к проведению измерений и прямые измерения проводятся в соответствии с эксплуатационной документацией применяемого СИ.
--------------------------------
<5> www.meteorf.gov.ru - официальный сайт Федеральной Службы по гидрометеорологии и мониторингу окружающей среды (в свободном доступе); www.meteoinfo.ru - официальный сайт ФГБУ "Гидрометцентр России" (в свободном доступе).
В случае нахождения группы рабочих мест в равных метеорологических условиях допускается определение параметров микроклимата по одному из них.
2.4. Гигиеническая оценка освещения на рабочих местах осуществляется в соответствии с санитарно-эпидемиологическими требованиями <6> (с определением класса условий труда (при необходимости) (см.
приложение 1 к настоящим МУК).
--------------------------------
Результаты оценки освещения отражаются в протоколах измерений <7>, экспертном заключении <8>.
--------------------------------
<7>
ГОСТ ISO/IEC 17025 "Общие требования к компетентности испытательных и калибровочных лабораторий", введенный
приказом Росстандарта от 15.07.2019 N 385-ст (далее - ГОСТ ISO/IEC 17025).
2.5. Для выбора предельно допустимых уровней параметров освещения определяется характер зрительной работы (разряд и подразряд зрительной работы).
При этом изучаются:
- технологический процесс и технологическое оборудование (например, при выходе на предприятие, по материалам технической литературы и учебным пособиям), что позволяет составить общее представление о способах обработки сырья, требуемой точности при изготовлении отдельных деталей, узлов или выпускаемого изделия в целом, а также о применяемом оборудовании;
- характер зрительной работы: наивысшей точности, очень высокой точности, высокой точности, средней точности, малой точности, грубая, работа со светящими материалами, общее наблюдение, периодическое, общее наблюдение;
- наименьший или эквивалентный размер объекта различия (от менее 0,15 мм до более 0,5 мм);
- контраст объекта с фоном (малый, средний большой);
- характеристика фона (темный, средний, светлый).
Оценка условий зрительной работы представлена в
приложении 2 к настоящим МУК.
2.6. Контроль соответствия параметров световой среды санитарно-эпидемиологическим требованиям <9> рекомендуется проводить не реже 1 раза в год, а также при наличии жалоб работников и оценке эффективности проведенных профилактических мероприятий.
--------------------------------
III. Средства измерений и порядок их применения
3.1. Для проведения измерений используются СИ утвержденного типа, имеющие действующую поверку и соответствующую проводимым исследованиям область применения и диапазон измерений, в соответствии с требованиями законодательства Российской Федерации об обеспечении единства измерений <10>.
--------------------------------
<10>
Статья 9 Федерального закона от 26.06.2008 N 102-ФЗ "Об обеспечении единства измерений";
постановление Правительства Российской Федерации от 16.11.2020 N 1847 "Об утверждении перечня измерений, относящихся к сфере государственного регулирования обеспечения единства измерений".
3.1.1. Сведения об утвержденных типах СИ, о внесенных в них изменениях включены в Федеральный информационный фонд по обеспечению единства измерений <11>.
--------------------------------
<11> fgis.gost.ru/fundmetrology/registry/4 - официальный сайт Федерального информационного фонда по обеспечению единства измерений (в свободном доступе).
3.1.2. Измерения освещенности, коэффициента пульсации освещенности и яркости рабочей поверхности от источников света проводятся с использованием СИ, имеющих относительную погрешность не более +/- 10%. Для измерения напряжения электрической сети питания ОП применяются вольтметры класса точности не ниже 1,5.
3.2. Измерения проводятся в условиях, соответствующих рабочим условиям эксплуатации, изложенным в эксплуатационной документации используемых СИ.
3.3. Не допускается проводить измерения непосредственно после резкого изменения условий окружающей среды, в которых находятся применяемые СИ. В подобных случаях для установления теплового равновесия с окружающей средой необходимо выдержать СИ в измененных условиях в течение времени, указанного в эксплуатационной документации на СИ.
3.4. Перед проведением измерений необходимо проконтролировать отсутствие конденсата и загрязнений на оптическом рассеивателе прибора.
3.5. Эксплуатация, хранение и транспортирование СИ осуществляются в соответствии с эксплуатационной документацией данного СИ.
3.6. При проведении измерений рекомендуется соблюдать требования безопасности, установленные в эксплуатационной документации на СИ.
IV. Инструментальный контроль
естественного освещения на рабочих местах
4.1. Оценка достаточности естественного освещения в помещениях выполняется по значениям КЕО в проектной документации, по результатам определения значений КЕО путем расчета <12>.
--------------------------------
<12>
СП 52.13330.2016 "Естественное и искусственное освещение. Актуализированная редакция СНиП 23-05-95*", утвержденные
приказом Минстроя России 07.11.2016 N 777/пр (далее - СП 52.13330.2016);
СП 367.1325800.2017 "Здания жилые и общественные. Правила проектирования естественного и совмещенного освещения", утвержденные
приказом Минстроя России 05.12.2017 N 1618/пр (далее - СП 367.1325800.2017).
Измерения проводятся при необходимости получения фактических значений КЕО (в том числе при наличии жалоб работающих).
4.2. Для определения КЕО измерения проводятся в дни со сплошной облачностью, покрывающей весь небосвод.
4.3. При определении КЕО одновременно проводят прямые измерения естественной освещенности в двух контрольных точках:
- в контрольной точке, расположенной вне здания на горизонтальной площадке, освещаемой всем светом небосвода (наружная горизонтальная освещенность);
- в контрольной точке, расположенной внутри помещения.
4.4. Измерения наружной горизонтальной освещенности проводят при отсутствии атмосферных осадков, тумана, задымления.
4.5. Измерения естественной освещенности внутри помещений проводят в помещениях, свободных от мебели и оборудования, не затеняемых внутренними и внешними объектами (например, озеленением), при вымытых и исправных светопрозрачных заполнениях светопроемов.
Допускается проводить измерения в реальных условиях без предварительной подготовки помещения и при затенении окон зелеными насаждениями и другими объектами, что отражается в первичных записях и в протоколе измерений.
Искусственное освещение в помещениях во время измерений выключают.
4.6. При расположении рабочего места в нескольких помещения прямые измерения естественного освещения выполняются в каждом помещении с указанием разряда зрительных работ и времени работы в помещении.
Размещение контрольных точек внутри помещений
для оценки естественного освещения на рабочих местах
4.7. При двустороннем боковом освещении помещений любого назначения измерения естественной освещенности проводят в центре помещения на пересечении вертикальной плоскости характерного разреза помещения и нормируемой рабочей поверхности.
4.8. В производственных помещениях глубиной до 6,0 м при одностороннем боковом освещении измерения естественной освещенности проводят в контрольной точке, расположенной на пересечении вертикальной плоскости характерного разреза помещения и условной рабочей поверхности на расстоянии 1,0 м (+/- 0,05 м) от стены или линии максимального заглубления зоны, наиболее удаленной от световых проемов.
4.9. В крупногабаритных производственных помещениях глубиной более 6,0 м при боковом освещении измерения естественной освещенности проводят в контрольной точке на условной рабочей поверхности, удаленной от световых проемов:
- на 1,5 м высоты от пола до верха светопроемов - для зрительных работ разрядов I - IV;
- на 2,0 м высоты от пола до верха светопроемов - для зрительных работ разрядов V - VII разрядов;
- на 3,0 м высоты от пола до верха светопроемов - для зрительных работ разряда VIII.
4.10. При верхнем или комбинированном естественном освещении помещений любого назначения для оценки значения КЕО измерения естественной освещенности проводят в точках, расположенных на пересечении вертикальной плоскости характерного разреза помещения и нормируемой поверхности (условной рабочей поверхности или пола). Измерения проводятся не менее чем в 5 точках, расположенных на равном расстоянии друг от друга, при этом первая и последняя точки принимаются на расстоянии 1 м (+/- 0,05 м) от поверхности стен, перегородок или осей колонн.
4.11. Учитывая, что при комбинированном естественном освещении допускается деление помещения на зоны с боковым освещением (зоны, примыкающие к наружным стенам с окнами) и зоны с верхним освещением, в данном случае контрольные точки размещаются в каждой выделенной зоне.
Проведение измерений
4.12. При выполнении измерений руководствуются методикой, изложенной в настоящем разделе и эксплуатационной документации на применяемое СИ.
4.13. Прямые измерения проводят в соответствии с эксплуатационной документацией на СИ, которая содержит описание конкретных операций, выполнение которых обеспечивает получение результатов с установленными показателями точности.
При использовании СИ с функцией "Измерение КЕО" измерения проводятся в соответствии с методикой, представленной в эксплуатационной документации СИ.
4.14. Прямые одновременные измерения естественной освещенности для последующего расчета КЕО проводятся в двух контрольных точках согласно
п. 4.3. Одновременная пара измерений выполняется последовательно не менее 3 раз.
4.15. Если в помещении располагается несколько точек измерений, то одновременные измерения естественной освещенности проводятся в каждой из них согласно
п. 4.14.
4.16. Измерения естественной освещенности проводят на нормируемой поверхности (на регламентированной высоте (+/- 0,05 м) в плоскости ее расположения).
4.17. При измерениях на измерительный фотометрический датчик не должны падать тень человека, деревьев, предметов, а также свет от посторонних источников света. При наличии неустранимых затенений и посторонних источников света измерения выполняются в реальных условиях, что отражается в первичных записях и в протоколе измерений.
4.18. Во время проведения измерений регистрируется информация в соответствии с методическими документами <13> и в соответствии с прописанными в лаборатории требованиями системы менеджмента качества (далее - СМК) к первичным записям, а также возможности записи результатов в энергонезависимую память СИ в соответствии с эксплуатационной документацией.
--------------------------------
Дополнительно регистрируется информация, необходимая для однозначного толкования результатов: дата и время проведения измерений, параметры микроклимата в помещениях и метеопараметры, облачность, расположение и наименование обследуемых помещений, их функциональное назначение и размеры, ориентация окон, подготовка помещений, в том числе состояние остеклений светопроемов, наличие в помещении мебели и оборудования, наличие затеняющих окна объектов, плоскость проведения измерений и ее расположение, а также сведения о лицах, присутствующих при проведении измерений.
В протоколе измерений отражается наличие любых факторов, создающих посторонний свет и оказывающих влияние на оценку освещения.
4.19. К протоколу измерений прилагаются графические материалы с обозначением контрольных точек проведения измерений или в протоколе представляется описание сетки контрольных точек в соответствии с
пунктами 4.7 -
4.11.
Обработка и оформление результатов измерений
4.20. Коэффициент естественной освещенности КЕО,
e, %, вычисляется по
формуле (1) <14>:
--------------------------------
<14>
Пункт 7.2 ГОСТ 24940 "Здания и сооружения. Методы измерения освещенности", введенный
приказом Росстандарта от 20.10.2016 N 1442-ст (далее - ГОСТ 24940).

, где (1)
Eвн - значение естественной освещенности в контрольной точке внутри помещения, лк;
Eнар - значение естественной освещенности в контрольной точке вне здания - наружная горизонтальная освещенность, лк.
4.21. Результат измерений КЕО в помещении (функциональной зоне) представляется как среднеарифметическое значение результатов вычисления КЕО по
формуле (1) для не менее чем трех пар одновременных измерений естественной освещенности внутри помещения и наружной горизонтальной освещенности.
4.22. При верхнем или комбинированном естественном освещении помещений любого назначения среднее значение КЕО,
eср, %, вычисляется по
формуле (2) <15>:
--------------------------------

, где (2)
e1 и eN - значения КЕО при верхнем или комбинированном освещении в первой и последней точках характерного разреза помещения;
ei - значения КЕО в остальных точках характерного разреза помещения (i = 2, 3, ..., N - 1).
4.23. Для случаев, когда необходимо представить результат измерений КЕО с расширенной неопределенностью измерений, в
приложении 3 к настоящим МУК приведен алгоритм и пример расчета расширенной неопределенности измерений.
4.24. Результаты измерений оформляются в виде протокола измерений, оформленного в соответствии с методическими документами <16> и в соответствии с прописанными в лаборатории требованиями СМК.
--------------------------------
Дополнительно вносится информация, необходимая для однозначного толкования результатов (см.
п. 4.18), а также данные о СИ (тип СИ и его наименование, заводской номер, регистрационный номер типа СИ в Государственном реестре средств измерений, номер свидетельства и срок действия поверки, погрешность СИ).
Гигиеническая оценка естественного освещения
по результатам проведенных измерений
4.25. При оценке расчетного и измеренного значения КЕО на рабочих местах следует ориентироваться на нормативное значение. Оценка расчетного и измеренного значения КЕО на рабочих местах осуществляется в соответствии с санитарно-эпидемиологическими требованиями <17> с учетом возможной поправки, вводимой для административных районов с различным световым климатом. Группы административных районов по ресурсам светового климата представлены в
приложении 4 к настоящим МУК.
--------------------------------
4.25.1. При оценке результатов расчетов КЕО, проведенных с учетом коэффициента светового климата CN <18>, расчетное значение КЕО (eр) соответствует санитарно-эпидемиологическим требованиям <19>, если выполняется условие eр >= eн.
--------------------------------
<19>
Таблицы 5.25 (Требования к освещению рабочих мест на промышленных предприятиях),
5.25 (Требования к освещению рабочих мест в помещениях общественных зданий, а также сопутствующих им производственных помещениях) СанПиН 1.2.3685-21.
4.25.2. В случае, когда в проектной документации представлены расчетные значения КЕО без учета коэффициента светового климата <20>, а также при оценке результатов проведенных измерений, расчетное и измеренное значения КЕО должны быть не менее нормируемого значения (
eн), деленного на коэффициент светового климата, и должно выполняться условие (
eизм.,
eр) >=
eн/CN. Величины коэффициента светового климата
CN представлены в
приложении 4 к настоящим МУК.
--------------------------------
<20>
СП 23-102-2003 "Естественное освещение жилых и общественных зданий".
4.26. Совмещенное освещение помещений производственных зданий в дневное время рекомендуется:
- для производственных помещений, в которых выполняются работы I - III разрядов;
- для производственных и других помещений в случаях, когда по условиям технологии, организации производства или климата в месте строительства требуются объемно-планировочные решения, которые не позволяют обеспечить нормируемое значение КЕО (например, многоэтажные здания большой ширины, одноэтажные многопролетные здания с пролетами большой ширины), а также в случаях, когда технико-экономическая целесообразность совмещенного освещения по сравнению с естественным подтверждена соответствующими расчетами.
4.27. Допускается снижать нормируемые значения КЕО и принимать их непосредственно в соответствии с санитарно-эпидемиологическими требованиями <21>, без расчета, указанного в
п. 4.25, в следующих случаях:
--------------------------------
- в районах с температурой наиболее холодной пятидневки минус 28 °C и ниже;
- в помещениях с боковым освещением, глубина которых по условиям технологии или выбору рациональных объемно-планировочных решений не позволяет обеспечить нормируемое значение КЕО при совмещенном освещении;
- в помещениях, в которых выполняются работы I - III разрядов.
V. Инструментальный контроль
искусственного освещения на рабочих местах
5.1. Измерения освещенности на рабочей поверхности, коэффициента пульсации освещенности и яркости рабочей поверхности от искусственного освещения проводятся после замены всех перегоревших ламп и чистки светильников. Измерение допускается проводить без предварительной подготовки осветительных установок, что отражается в первичных записях и в протоколе измерений.
5.2. Измерения освещенности на рабочей поверхности и коэффициента пульсации освещенности проводятся в темное время суток или при условии, когда отношение естественной освещенности к искусственной составляет не более 0,1 (фоновое естественное освещение).
Измерения яркости рабочей поверхности от искусственного освещения проводятся при условии, когда отношение естественной освещенности к искусственной составляет не более 0,1 (фоновое естественное освещение).
Исключение составляют помещения без естественного света.
5.2.1. Фоновое естественное освещение определяется путем расчета отношения естественной освещенности к искусственной
Eотн по
формуле (3):
Eе - естественная освещенность, измеренная в точке, расположенной на расстоянии не более 1 м от окна (или в ближайшей к окну точке измерений в сетке контрольных точек) на уровне условной рабочей поверхности;
Eиск - искусственная освещенность в точке измерения.
5.3. При измерениях освещенности на рабочей поверхности, коэффициента пульсации освещенности и яркости рабочей поверхности от искусственного освещения в дневное время допускается занавешивание окон темной, не пропускающей свет тканью, а также применение светозащитных устройств (в том числе жалюзи) при соблюдении условия, установленного
п. 5.2 в отношении фонового естественного освещения.
5.4. До начала проведения измерений искусственное освещение должно работать в штатном режиме в течение времени, необходимого для стабилизации светового потока.
Время стабилизации световых характеристик ОП (не менее) <22>:
--------------------------------
<22>
Пункт 5.3 ГОСТ 33393 "Методы измерения коэффициента пульсации освещенности", введенного
приказом Росстандарта от 30.11.2015 N 2079-ст (далее - ГОСТ 33393).
- 5 мин - для ОП с лампами накаливания;
- 15 мин - для ОП с разрядными лампами высокого давления;
- 40 мин - для ОП с люминесцентными лампами.
Для ОП со светодиодами время стабилизации световых характеристик указывается в технических условиях на осветительные приборы конкретных типов или групп, а при отсутствии таких данных составляет не менее 30 мин <23> или может быть определено опытным путем <24>.
--------------------------------
<23>
ГОСТ Р 8.971 "Лампы, светильники и модули светодиодные. Методы измерения фотометрических и колориметрических характеристик", введенный
приказом Росстандарта от 20.08.2019 N 518-ст (далее - ГОСТ Р 8.971).
<24>
ГОСТ Р 8.971; СВМТ.424179.001-01 МИ (N ФР.1.37.2019.34052) "Методика измерений параметров освещения приборами еЛайт".
5.5. При комбинированном искусственном освещении:
- освещенность измеряется сначала от светильников общего освещения, затем включаются светильники местного освещения в их рабочем положении и измеряется суммарная освещенность от светильников общего и местного освещения;
- коэффициент пульсации освещенности измеряется сначала от светильников общего освещения, затем включаются светильники местного освещения в их рабочем положении, выключается общее освещение и измеряется коэффициент пульсации освещенности от светильников местного освещения.
5.6. Прямые измерения показателей искусственного освещения выполняются на нормируемой поверхности на заданной высоте (+/- 0,05 м) в плоскости ее расположения.
5.7. Измерения показателей искусственного освещения (освещенности рабочей поверхности и яркости рабочей поверхности от искусственного освещения) проводят в реальных условиях без учета изменений значений напряжения в электрической сети системы освещения, что отражается в первичных записях и в протоколе измерений.
5.7.1. При необходимости подтверждения результатов проведенных измерений, при наличии жалоб на изменение значений искусственного освещения в разное время суток, а также во всех спорных случаях, возникающих при оценке результатов измерений, проводятся повторные измерения показателей освещения с инструментальным контролем напряжения в электрической сети питания осветительных установок.
В случае выявленного отклонения значения напряжения в сети более чем на +/- 5% от номинального значения, установленного для данной электрической сети, питающей осветительные установки, делают повторную серию измерений с определением напряжения в электрической сети.
5.7.2. В данном случае в начале измерений искусственной освещенности контролируется напряжение в электрической сети питания осветительных установок. По окончании измерений повторно измеряется напряжение в электрической сети, питающей осветительные установки. В случае выявления отклонений значения напряжения в сети более +/- 5% от номинального значения, установленного для данной электрической сети, питающей осветительные установки, полученные результаты измерений бракуют. В первичных записях и протоколе измерений делают запись о несоответствии напряжения в электрической сети питания осветительных установок методике измерений и невозможности соблюдения методики измерений.
5.7.3. Если осветительные установки сконструированы так, что световой поток не зависит от выявленного изменения напряжения в электрической сети (по результатам двух проведенных измерений), то
п. 5.7.1 допустимо пренебречь <25>.
--------------------------------
<25> МИ СС.ИНТ-07.01 "Методика измерений показателей световой среды для целей специальной оценки условий труда".
5.8. При расположении рабочего места в нескольких помещениях (рабочих зонах) прямые измерения показателей искусственного освещения выполняются в каждой рабочей зоне в каждом помещении с указанием разряда зрительных работ и времени работы.
5.9. Контроль коэффициента пульсации на рабочих местах не рекомендуется проводить в помещениях с периодическим пребыванием людей при отсутствии в них условий для возникновения стробоскопического эффекта, а также при пульсации освещенности частотой свыше 300 Гц, поскольку при данных частотах она не оказывает влияния на общую и зрительную работоспособность.
5.10. При контроле коэффициента пульсации освещенности особое внимание уделяется тем рабочим местам, где в поле зрения работника находятся быстро движущиеся или вращающиеся предметы, т.е. возможен стробоскопический эффект, или где выполняются зрительные работы разрядов I, II, А1, А2, Б1, в частности в помещениях с компьютерами.
5.11. При наличии рабочих поверхностей, освещаемых по способу "на просвет", уровень яркости рабочей поверхности контролируется в зависимости от ее площади.
Размещение контрольных точек для оценки
искусственного освещения на рабочих местах
5.12. Измерения освещенности и коэффициента пульсации освещенности от общего освещения проводят на рабочей поверхности, определяемой на основании особенностей условий труда (см.
п. 2.1). При наличии нескольких рабочих поверхностей измерения проводят на каждой из них.
5.12.1 При наличии протяженных рабочих поверхностей применяется сетка контрольных точек, ячейка которой представляет собой площадку (квадратную или прямоугольную) с отношением сторон от 0,5 до 2,0. Предпочтительны ячейки сетки, имеющие форму, близкую к квадрату.
Максимальный размер ячейки сетки в метрах вычисляют по
формуле (4) <26>:
--------------------------------
d - наибольший размер помещения или оцениваемой зоны (функциональной зоны, зоны зрительной работы), м;
p - максимальный размер шага сетки (не должен превышать 10 м).
Полученное расстояние между точками сетки используется для вычисления ближайшего целого числа точек сетки по ширине помещения (оцениваемой зоны).
Полоса 0,5 м от границ оцениваемой зоны или от стен исключается из измеряемой зоны, за исключением случаев, когда там располагаются зоны зрительной работы. Для узких помещений (шириной < 2 м) исключаемая полоса должна составлять не более 10% от ширины помещения.
5.12.2. Контрольные точки на плане помещения располагаются таким образом, чтобы их сетка не совпадала с сеткой размещения светильников. В случае совпадения сеток число контрольных точек на плане помещения целесообразно увеличить с учетом типовых параметров сетки контрольных точек при измерениях средней освещенности и коэффициента пульсации освещенности, представленных в
табл. 5.1.
5.12.3. Если контрольные точки совпадают с крупногабаритным оборудованием или стационарными объектами, то сетка контрольных точек делается более частой и исключаются точки, попадающие на эти объекты.
5.13. Измерения освещенности и коэффициента пульсации освещенности от местного освещения проводятся непосредственно на рабочих местах в плоскости, указанной в санитарно-эпидемиологических требованиях <27>, или на рабочей плоскости оборудования.
--------------------------------
5.14. Перед измерением яркости рабочей поверхности выбираются и наносятся на план помещения контрольные точки - центры элементарных площадок, яркость которых измеряется с указанием размещения оборудования и светильников.
Таблица 5.1
Типовые параметры сетки контрольных точек при измерениях
средней освещенности <28> и коэффициента пульсации
освещенности <29>
--------------------------------
Длина помещения или оцениваемой зоны, м | Максимальное расстояние между контрольными точками, м | Минимальное число контрольных точек (по длине помещения или оцениваемой зоны) |
0,40 | 0,15 | 3 |
0,60 | 0,20 | 3 |
1,00 | 0,20 | 5 |
2,00 | 0,30 | 6 |
5,00 | 0,60 | 8 |
10,00 | 1,00 | 10 |
25,00 | 2,00 | 12 |
50,00 | 3,00 | 17 |
100,00 | 5,00 | 20 |
5.15. Контрольные точки измерения освещенности экрана монитора (дисплея) размещаются в пяти точках, равномерно распределенных по поверхности экрана монитора в вертикальной плоскости. Целесообразно размещать контрольные точки на участках экрана, предназначенных для измерения параметров изображения (метод "конверта") <30>.
--------------------------------
<30>
ГОСТ Р 50949 "Средства отображения информации индивидуального пользования. Методы измерений и оценки эргономических параметров и параметров безопасности", введенный в действие
постановлением Госстандарта России от 25.12.2001 N 576-ст.
Проведение измерений
5.16. При выполнении измерений руководствуются рекомендациями, изложенными в настоящем разделе и эксплуатационной документации на применяемое СИ.
5.17. Прямые измерения проводятся в соответствии с эксплуатационной документацией на СИ, которая содержит описание конкретных операций, выполнение которых обеспечивает получение результатов с установленными показателями точности.
5.18. Выполнение измерений СИ с использованием функции "Измерения с учетом естественного фона" проводится в соответствии с методикой, представленной в эксплуатационной документации на СИ.
5.19. Измерения проводятся в нескольких контрольных точках на нормируемой рабочей поверхности (на регламентированной высоте (+/- 0,05 м) в плоскости ее расположения), не менее трех последовательных измерений в каждой точке измерений
5.20. Измерения коэффициента пульсации освещенности проводятся на нормируемой рабочей поверхности (на регламентированной высоте (+/- 0,05 м) в плоскости ее расположения), не менее трех последовательных измерений в каждой точке измерений в течение 5 мин.
5.21. Для средств измерений освещенности с магнитно-электрической измерительной системой не рекомендуется установка измерителя (измерительной головки) на металлические поверхности.
5.22. При проведении измерений на измерительный фотометрический датчик не должны падать тени от прибора и человека, проводящего измерения, а также свет от посторонних источников света. Если рабочее место затеняется в процессе работы самим рабочим или выступающими частями оборудования, то измерения проводятся в этих реальных условиях.
5.23. При измерениях яркости рабочей поверхности объектив яркомера устанавливается на уровне глаз работающего так, чтобы оптическая ось совпадала с линией зрения.
5.24. Во время проведения измерений регистрируется информация в соответствии с методическими документами <31> и в соответствии с прописанными в лаборатории требованиями СМК к первичным записям, а также возможности записи результатов в энергонезависимую память СИ в соответствии с эксплуатационной документацией.
--------------------------------
Для однозначного толкования результатов дополнительно может быть зарегистрирована следующая информация: дата и время проведения измерений, время включения осветительных приборов, параметры микроклимата в помещениях, расположение и наименование обследуемых помещений, их функциональное назначение и размеры, плоскость проведения измерений и ее расположение, тип светильников, параметры их размещения в помещениях, состояние светильников, наличие "расфазировки" светильников и тип ПРА, наличие и состояние светильников местного освещения, число неработающих ламп, тип источников света, а также сведения о лицах, присутствующих при проведении измерений.
В протоколе измерений отражается наличие любых факторов, создающих посторонний свет и оказывающих влияние на оценку освещения.
5.25. К протоколу измерений прилагаются графические материалы с обозначением контрольных точек проведения измерений и мест расположения светильников.
Обработка и оформление результатов измерений
5.26. Результат измерений каждого показателя световой среды в каждой контрольной точке представляется как среднеарифметическое значение не менее 3 последовательных измерений.
5.27. Средняя освещенность (
Eср, лк) на рабочей поверхности (в оцениваемой зоне) вычисляется как среднеарифметическое значение измеренных освещенностей в контрольных точках по
формуле (5) <32>:
--------------------------------

, где (5)
N - число точек измерения;
Ei - значения освещенности в контрольных точках, лк.
5.28. Коэффициент пульсации освещенности от общего освещения (
Kп, %) вычисляется как среднеарифметическое значение измеренных коэффициентов пульсации освещенностей в контрольных точках рабочей поверхности (оцениваемой зоны) по
формуле (6) <33>:
--------------------------------

, где (6)
Kпi - измеренные значения коэффициента пульсации освещенности в контрольных точках, %;
N - число точек измерения.
Коэффициент пульсации освещенности на рабочем месте от местного освещения определяется как среднеарифметическое трех измерений, проведенных в течение 5 мин.
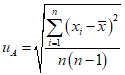
5.29. Яркость рабочей поверхности элементарной площадки (
L, кд/м
2) определяется как среднее арифметическое результатов отдельных измерений яркости по
формуле (7):

где (7)
Li - значение i-го измерения яркости элементарной площадки рабочей поверхности, кд/м2;
i - порядковый номер измерения яркости элементарной площадки рабочей поверхности;
n - число измерений яркости элементарной площадки рабочей поверхности.
5.30. Результаты измерений представляются с расширенной неопределенностью согласно
п. 1.6. Алгоритм расчета расширенной неопределенности измерений представлен в
приложении 3 к настоящим МУК.
5.31. Результаты измерений оформляются в виде протокола измерений, оформленного в соответствии с методическими документами <34> и в соответствии с прописанными в лаборатории требованиями СМК.
--------------------------------
Дополнительно вносится информация, необходимая для однозначного толкования результатов (в соответствии с
п. 5.24), а также данные о СИ (тип СИ и его наименование, заводской номер, регистрационный номер типа СИ в Государственном реестре средств измерений, номер свидетельства и срок действия поверки, погрешность СИ).
Гигиеническая оценка искусственного освещения
по результатам проведенных измерений
5.32. Оценка полученных значений средней освещенности на рабочей поверхности, яркости рабочей поверхности, объединенного показателя дискомфорта и коэффициента пульсации освещенности осуществляется в соответствии с санитарно-эпидемиологическими требованиями <35>.
--------------------------------
<35>
Табл. 5.23,
5.25 (Требования к освещению рабочих мест на промышленных предприятиях),
5.25 (Требования к освещению рабочих мест в помещениях общественных зданий, а также сопутствующих им производственных помещениях) СанПиН 1.2.3685-21.
5.33. Оценка результатов измерений средней освещенности от искусственного освещения проводится в соответствии с
табл. 5.2.
Таблица 5.2
Оценка результатов измерений средней освещенности
от искусственного освещения
Соотношение между измеренными и нормативными значениями освещенности | Оценка результатов измерений |
Система общего освещения | Система комбинированного освещения |
Общее | Суммарно общее и местное |
E >= Eн | E >= Eн.о | E >= Eн | Соответствует нормативам |
E < Eн | E < Eн.о | E < Eн | Не соответствует нормативам |
Примечание: E - среднее значение освещенности (Eср) с учетом расширенной неопределенности измерений (U): E = Eср - U; Eн - нормативное значение освещенности; Eн.о - нормативное значение освещенности от общего освещения в системе комбинированного. |
Средняя освещенность (Eср) на рабочей поверхности с учетом расширенной неопределенности (U) должна соответствовать санитарно-эпидемиологическим требованиям <36>.
--------------------------------
<36>
Табл. 5.25 (Требования к освещению рабочих мест на промышленных предприятиях),
5.25 (Требования к освещению рабочих мест в помещениях общественных зданий, а также сопутствующих им производственных помещениях), СанПиН 1.2.3685-21.
5.34. Коэффициент пульсации освещенности (Kп) на рабочем месте (в оцениваемой зоне) от общего и местного освещения соответствует гигиеническим нормативам, если его среднее значение с учетом расширенной неопределенности измерений (U) не превышает нормативного и выполняется условие Kп + U <= Kпн, где Kпн - нормативное значение.
5.35. Объединенный показатель дискомфорта оценивается по проектной документации и (или) по результатам визуального обследования слепящего действия осветительных установок.
5.35.1. Если при визуальном обследовании фиксируется наличие слепящего действия осветительных установок (жалобы работников на повышенную яркость или явное нарушение требований к устройству осветительных установок (наличие в поле зрения работающих источников света, не перекрытых отражателями, рассеивателями, экранирующими решетками) показатель UGR оценивается как не соответствующий санитарно-эпидемиологическим требованиям <37>.
--------------------------------
5.36. Яркость рабочей поверхности (L) соответствует санитарно-эпидемиологическим требованиям <38>, если максимальное из средних значений яркости элементарных площадок с учетом расширенной неопределенности измерений (U) не превышает предельно допустимый уровень, то есть выполняется условие L + U <= Lн, где Lн - предельно допустимый уровень.
--------------------------------
к МУК 4.3.3975-24
ОЦЕНКА УСЛОВИЙ ТРУДА ПО ФАКТОРУ "СВЕТОВАЯ СРЕДА"
1.1. При необходимости на рабочем месте проводят оценку показателей световой среды по естественному и искусственному освещению в соответствии с критериями, приведенными в
табл. П1.1.
Таблица П1.1
Критерии оценки условий освещения по показателю
"световая среда"
Фактор, показатель | Класс условий труда |
Допустимый | Вредный - 3 |
1 степени | 2 степени |
2 | 3.1 | 3.2 |
Естественное освещение |
Коэффициент естественной освещенности КЕО, % | | | < 0,1 |
Искусственное освещение |
Средняя освещенность на рабочей поверхности (E, лк) для разрядов зрительных работ: | I - III, А, Б1 | | 0,5Eн <= E < Eн | < 0,5 Eн |
IV - XIV, Б2, В, Г, Д, Е, Ж | < Eн | - |
Объединенный показатель дискомфорта, UGR <3> | Отсутствие | Наличие | - |
Коэффициент пульсации освещенности (Kп, %) | Kпн | > Kпн | - |
Яркость (яркость рабочей поверхности) (L, кд/м2) | Lн | > Lн | - |
Примечание: <1> - Независимо от группы административных районов по ресурсам светового климата. <2> - С учетом выполнения санитарно-эпидемиологических требований <39> к повышению норматива освещенности от искусственного освещения из-за недостаточности или отсутствия естественного освещения. Если при системе комбинированного освещения суммарная освещенность не ниже нормативной, а составляющая общего освещения ниже нормативного уровня, присваивается класс 3.1. <3> - Контроль UGR проводится визуально. При наличии в поле зрения работников слепящих источников света, ухудшении видимости объектов различения и жалобах работников на дискомфорт зрения условия труда по данному показателю относят к классу 3.1 |
--------------------------------
1.2. Естественное освещение оценивается по КЕО. При расположении рабочего места в нескольких зонах с различными условиями естественного освещения, в том числе и вне зданий, класс условий труда присваивается с учетом времени пребывания в этих зонах.
1.3. Искусственное освещение оценивается по ряду показателей: средней освещенности на рабочей поверхности, объединенному показателю дискомфорта, коэффициенту пульсации освещенности и яркости освещения. После присвоения классов по отдельным показателям проводится окончательная оценка по фактору "искусственное освещение" путем выбора показателя, отнесенного к наибольшей степени вредности.
1.4. Итоговая оценка условий труда по фактору "световая среда" производится на основании оценок по естественному и искусственному освещению путем выбора из них наибольшей степени вредности.
1.5. При расположении рабочего места в нескольких помещениях оценка условий труда по показателю "световая среда" производится в следующем порядке:
- вначале каждому из помещений и (или) процессу зрительной работы присваивается класс условий труда по естественному освещению и по искусственному освещению;
- по хронометражу (фотографиям рабочего дня) определяется относительное время работы (в долях единицы) в каждом из помещений и (или) процессу зрительной работы;
- классам условий труда формально присваиваются следующие баллы: класс 2 - 0,0, класс 3.1 - 1,0, класс 3.2 - 2,0;
- определяется суммарное значение баллов путем умножения относительного времени пребывания в каждом помещении на баллы, соответствующие классу условий труда в данном помещении (раздельно для естественного и искусственного освещения), и суммирования полученных произведений;
- окончательная оценка условий освещения производится на основании рассчитанной суммы баллов (далее - G) следующим образом: класс условий труда 2, если 0 <= G < 0,5; класс условий труда 3.1, если 0,5 <= G < 1,5; класс условий труда 3.2, если 1,5 <= G < 2,0.
1.6. Оценка условий труда по фактору "Световая среда" может производится с учетом возможности компенсации недостаточности или отсутствия естественного освещения путем создания благоприятных условий искусственного освещения и, при необходимости, компенсации ультрафиолетовой недостаточности в соответствии с
табл. П1.2.
Таблица П1.2
Оценка условий труда по фактору "световая среда"
Оценка естественного освещения | Оценка искусственного освещения | Профилактическое ультрафиолетовое облучение работающих | Общая оценка освещения |
2 | 2 | - | 2 |
3.1 | - | 3.1 |
3.2 | - | 3.2 |
3.1 | | - | 2 |
3.1 | - | 3.1 |
3.2 | - | 3.2 |
3.2 | | имеется | 3.1 |
отсутствует | 3.1 |
3.1 | имеется | 3.1 |
отсутствует | 3.2 |
3.2 | имеется | 3.2 |
отсутствует | 3.2 |
Примечание: <*> - с учетом санитарно-эпидемиологических требований <40> к повышению освещенности с помощью искусственного освещения из-за недостаточности или отсутствия естественного освещения |
--------------------------------
к МУК 4.3.3975-24
ОЦЕНКА УСЛОВИЙ ЗРИТЕЛЬНОЙ РАБОТЫ
| | ИС МЕГАНОРМ: примечание. Нумерация пунктов дана в соответствии с официальным текстом документа. | |
2.1. Оценка условий зрительной работы, характерной для обследуемых рабочих мест, осуществляется непосредственно на предприятии посредством ознакомления с технологическими картами (отраслевыми нормами, стандартами предприятия), опроса рабочих и технологов и наблюдений за ходом работы. В ходе изучения рабочего места (операции) фиксируются следующие параметры:
- наименование рабочей поверхности (стол, верстак, часть оборудования или изделия, на которой производится работа) и плоскость ее расположения (горизонтальная, наклонная, вертикальная);
- характеристика объекта различения (рассматриваемого предмета, отдельной его части или дефекта, которые требуется различить в процессе работы), включающая его наименование, линейный размер (минимальный или эквивалентный), расстояние до глаз работающего;
- характеристика фона: фон считается светлым при коэффициенте отражения поверхности
p > 0,4; средним - 0,2 <=
p <= 0,4; темным -
p <= 0,2. Коэффициенты отражения наиболее распространенных материалов и красок приведены в
табл. П2.1;
- контраст объекта различения с фоном (
K) по
формуле (8):

, где (8)
Lо - яркость объекта различения, кд/м2;
Lф - яркость фона, кд/м2.
Таблица П2.1
Коэффициенты отражения некоторых
наиболее распространенных материалов и красок
Характеристика поверхности |  , отн. ед. |
1. Бумага белая: |
ватманская | 0,82 - 0,76 |
писчая | 0,70 - 0,60 |
2. Ткани белые: |
крепдешин, батист | 0,65 |
шелк | 0,65 - 0,58 |
3. Штукатурка без побелки: |
новая | 0,42 |
хорошо сохранившаяся | 0,30 - 0,20 |
запущенная (в помещениях с темной пылью) | 0,20 - 0,15 |
4. Известковая побелка: | |
новая | 0,80 |
хорошо сохранившаяся | 0,75 - 0,65 |
запущенная (в помещениях с темной пылью) | 0,20 - 0,15 |
5. Силикатный кирпич и бетон: |
новые | 0,32 |
хорошо сохранившиеся | 0,25 - 0,20 |
запущенные (в помещениях с темной пылью) | 0,10 - 0,08 |
6. Красный кирпич | 0,10 - 0,08 |
7. Дерево: |
сосна светлая | 0,50 |
фанера | 0,38 |
дуб светлый | 0,33 |
орех | 0,18 |
8. Белый мрамор | 0,80 |
9. Белая фаянсовая плитка | 0,70 |
10. Обои: | |
белые, кремовые, светло-желтые, светло-серые, песочно-желтые | 0,85 - 0,65 |
розовые, бледно-голубые | 0,65 - 0,45 |
темные | 0,25 |
11. Черное сукно | 0,02 |
12. Черный бархат | 0,005 |
13. Опаловое стекло (толщина 2 - 3 мм) | 0,30 |
14. Оконное стекло (толщина 1 - 2 мм) | 0,08 |
15. Матовое стекло (толщина 1 - 2 мм) | 0,10 |
16. Белая клеевая краска | 0,80 - 0,70 |
17. Алюминиевая краска | 0,60 - 0,50 |
18. Чистые цинковые белила | 0,76 |
19. Белое эмалированное железо | 0,80 - 0,60 |
20. Грязные цинковые листы | 0,20 - 0,08 |
21. Алюминий обработанный | 0,45 |
необработанный | 0,28 |
22. Известь и светлая охра | 0,66 |
Контраст объекта различения с фоном считается: большим - при K > 0,5 (объект и фон резко различаются по яркости); средним - при 0,2 <= K <= 0,5 (объект и фон заметно отличаются по яркости); малым - при K < 0,2 (объект и фон мало отличаются по яркости);
- продолжительность напряженной зрительной работы (по хронометражным наблюдениям или фотографиям рабочего дня);
- наличие дополнительных рабочих поверхностей (например, пульты управления, зоны размещения инструментов, шкалы приборов и измерительных инструментов);
- дополнительные сведения (например, работа со светящимися объектами, наличие направленной составляющей отражения объекта или фона, наличие или отсутствие в помещении естественного света, необходимость цветоразличения, повышенная опасность травматизма, наличие повышенных требований к чистоте продукции, наблюдение за быстро движущимися или вращающимися деталями, использование труда подростков, людей в возрасте старше 40 лет).
Примечание: при определении разрядов и подразрядов зрительных работ в качестве рекомендательных могут быть использованы отраслевые, ведомственные, корпоративные или региональные нормативные документы по освещению.
к МУК 4.3.3975-24
Алгоритм расчета расширенной неопределенности измерений
показателя в контрольной точке
1.1. Оценка неопределенности результатов измерений с уровнем доверия p = 0,95 проводится в 4 этапа по следующей схеме:
1.1.1. Оценивается стандартная неопределенность по типу A (
uA) результата, вычисленного как среднее арифметическое

из
n измерений по
формуле (9):

(9)
1.1.2. Оценивается стандартная неопределенность по типу B (
uB), обусловленная приборной погрешностью
b по
формуле (10):

(10)
Если приборная погрешность
b выражена в процентах, то стандартная неопределенность по типу B (
uB) вычисляется по
формуле (11):

(11)
1.1.3. Вычисляется суммарная стандартная неопределенность (
uC) по
формуле (12):

(12)
1.1.4. Вычисляется расширенная неопределенность (
Up) по
формуле (13):
k - коэффициент охвата, равный 2.
1.2. Результат измерения представляется в виде:

Алгоритм расчета расширенной неопределенности измерений
среднего значения показателя в оцениваемой зоне
2.1. Для каждой контрольной точки оценивается стандартная неопределенность по типу A, стандартная неопределенность по типу B и суммарная стандартная неопределенность результатов измерений.
2.1.1. По
формуле (9) вычисляется стандартная неопределенность по типу A результата измерений
uA,i(
xi).
2.1.2. По
формуле (10) или
(11) вычисляется стандартная неопределенность по типу B результата измерений
uB,i(
xi).
2.1.3. По
формуле (12) вычисляется суммарная стандартная неопределенность результата измерений
uC,i(
xi).
2.2. Рассчитывается суммарная стандартная неопределенность (
uxср,сум) результата измерений среднего значения показателя (
xср) в оцениваемой зоне по
формуле (14):

, где (14)
N - число контрольных точек;
uC,i(xi) - суммарная стандартная неопределенность измерений в i-й точке.
2.3. Расширенная неопределенность измерений оцениваемого показателя (
xср) определяется по
формуле (15):
Uxср =
k·
uxср,сум, где (15)
k - коэффициент охвата, равный 2.
2.4. Результат измерения представляется в виде: xср +/- Uxср.
Алгоритм расчета расширенной неопределенности измерений КЕО
3.1. Оценивается стандартная неопределенность по типу B результатов измерений внутренней
uB(
Eвн) и наружной
uB(
Eнар) естественной освещенности, проведенных в контрольных точках, расположенных внутри помещения и вне здания, по
формулам (10 или
11).
3.2. Оценивается стандартная неопределенность по типу A (
uКЕОA) результата расчета КЕО в контрольной точке по
формуле (9).
3.3. Оценивается стандартная неопределенность расчетной величины КЕО по типу B (
uКЕОB) по
формуле (16):

, где (16)

- среднее значение КЕО в контрольной точке;
Eвн - среднее значение естественной освещенности в контрольной точке внутри помещения;
Eнар - среднее значение естественной освещенности в контрольной точке вне здания - наружная горизонтальная освещенность;
uB(Eнар) и uB(Eвн) - неопределенность по типу B результатов измерений, проведенных в контрольных точках, расположенных вне здания и внутри помещения, соответственно.
3.4. Вычисляется суммарная стандартная неопределенность (
uКЕОсум) по
формуле (17):

(17)
3.5. Расширенная неопределенность измерений КЕО
UКЕО определяется по
формуле (18):

, где (18)
k - коэффициент охвата, равный 2.
3.6. Результат измерения представляется в виде:

.
к МУК 4.3.3975-24
ПРИМЕР ГРУПП АДМИНИСТРАТИВНЫХ РАЙОНОВ
ПО РЕСУРСАМ СВЕТОВОГО КЛИМАТА
Таблица П4.1
Группы административных районов
по ресурсам светового климата
Номер группы административных районов | Административный район |
| Владимирская, Калужская области, Камчатский край, Кемеровская область, Красноярский край (севернее 63° с.ш.), Курганская, Московская области, г. Москва, Нижегородская, Новосибирская области, Пермский край, Рязанская область, Республика Башкортостан, Республика Марий Эл, Республика Мордовия, Республика Татарстан (Татарстан), Республика Саха (Якутия) (севернее 63° с.ш.), Свердловская, Смоленская, Тульская, Тюменская области, Удмуртская Республика, Хабаровский край (севернее 55° с.ш.), Челябинская область, Чувашская Республика - Чувашия, Чукотский автономный округ |
| Белгородская, Брянская, Волгоградская, Воронежская области, Еврейская автономная область, Забайкальский край, Кабардино-Балкарская Республика, Красноярский край (южнее 63° с.ш.), Иркутская, Курская, Липецкая, Магаданская, Оренбургская, Орловская, Пензенская области, Алтайский край, Республика Бурятия, Республика Ингушетия, Республика Коми, Республика Саха (Якутия) (южнее 63° с.ш.), Республика Северная Осетия - Алания, Республика Тыва, Республика Хакасия, Омская, Самарская, Саратовская, Сахалинская, Тамбовская, Томская, Ульяновская области, Хабаровский край (южнее 55° с.ш.), Ханты-Мансийский автономный округ - Югра, Чеченская Республика |
| Вологодская, Ивановская, Калининградская, Кировская, Костромская, Ленинградская области, Ненецкий автономный округ, Новгородская, Псковская области, Республика Карелия, г. Санкт-Петербург, Тверская область, Ямало-Ненецкий автономный округ, Ярославская область |
| Архангельская, Мурманская области |
| Астраханская, Амурская области, Карачаево-Черкесская Республика, Краснодарский край, Приморский край, Республика Адыгея, Республика Дагестан, Республика Калмыкия, Республика Крым, Ростовская область, г. Севастополь, Ставропольский край |
Примечание: административные районы Российской Федерации объединены в группы по ресурсам светового климата по критерию суммарного количества освещенности, поступающей в помещение в течение года |
Пример коэффициентов светового климата в зависимости
от группы административного района и ориентации
световых проемов по сторонам горизонта <41>
--------------------------------
Таблица П4.2
Коэффициенты светового климата в зависимости от группы
административного района и ориентации световых проемов
по сторонам горизонта
Световые проемы | Ориентация световых проемов по сторонам горизонта | Коэффициент светового климата CN |
Номер группы административных районов N |
| | | | |
В наружных стенах зданий | С | 1 | 1,11 | 0,91 | 0,83 | 1,25 |
| СВ-СЗ | 1 | 1,11 | 0,91 | 0,83 | 1,25 |
| З-В | 1 | 1,11 | 0,91 | 0,91 | 1,25 |
| ЮВ-ЮЗ | 1 | 1,18 | 1,00 | 0,91 | 1,25 |
| Ю | 1 | 1,18 | 1,00 | 0,91 | 1,33 |
В прямоугольных и трапециевидных фонарях | С-Ю | 1 | 1,11 | 0,91 | 0,83 | 1,33 |
| СВ-ЮЗ | 1 | 1,11 | 0,83 | 0,83 | 1,43 |
| ЮВ-СЗ | | | | | |
| В-З | 1 | 1,11 | 0,91 | 0,83 | 1,43 |
В фонарях типа "шед" | С | 1 | 1,11 | 0,83 | 0,83 | 1,43 |
В зенитных фонарях | - | 1 | 1,11 | 0,83 | 0,83 | 1,33 |
Примечание: 1. С - север; СВ - северо-восток; СЗ - северо-запад; В - восток; З - запад; С-Ю - север-юг; В-З - восток-запад; Ю - юг; ЮВ - юго-восток; ЮЗ - юго-запад. 2. Группы административных районов Российской Федерации по ресурсам светового климата приведены в таблице П4.1 приложения 4 к настоящим МУК (соответствует таблице Е1 приложения Е СП 52.13330.2016). |
1. Федеральный
закон от 30.03.1999 N 52-ФЗ "О санитарно-эпидемиологическом благополучии населения".
2. Федеральный
закон от 27.12.2002 N 184-ФЗ "О техническом регулировании".
3. Федеральный
закон от 26.06.2008 N 102-ФЗ "Об обеспечении единства измерений".
4. Федеральный
закон от 30.12.2009 N 384-ФЗ "Технический регламент о безопасности зданий и сооружений".
5.
ТР ЕАЭС 048/2019 Технический регламент Евразийского экономического союза "О требованиях к энергетической эффективности энергопотребляющих устройств".
6.
Постановление Правительства Российской Федерации от 24.12.2020 N 2255 "Об утверждении требований к осветительным устройствам и электрическим лампам, используемым в цепях переменного тока в целях освещения".
7.
Постановление Правительства Российской Федерации от 16.11.2020 N 1847 "Об утверждении перечня измерений, относящихся к сфере государственного регулирования обеспечения единства измерений".
8.
СанПиН 1.2.3685-21 "Гигиенические нормативы и требования к обеспечению безопасности и (или) безвредности для человека факторов среды обитания".
9.
СП 2.2.3670-20 "Санитарно-эпидемиологические требования к условиям труда".
10.
Р 2.2.2006-05 "Руководство по гигиенической оценке факторов рабочей среды и трудового процесса. Критерии и классификация условий труда".
11.
СП 52.13330.2016 "Свод правил. Естественное и искусственное освещение. Актуализированная редакция СНиП 23-05-95*".
12.
СП 367.1325800.2017 "Здания жилые и общественные. Правила проектирования естественного и совмещенного освещения".
13.
СП 23-102-2003 "Естественное освещение жилых и общественных зданий".
14.
ГОСТ 24940 "Здания и сооружения. Методы измерения освещенности".
15.
ГОСТ 33393 "Здания и сооружения. Методы измерения коэффициента пульсации освещенности".
16.
ГОСТ Р 50949 "Средства отображения информации индивидуального пользования. Методы измерений и оценки эргономических параметров и параметров безопасности".
17.
ГОСТ 26824 "Здания и сооружения. Методы измерения яркости".
18.
ГОСТ 33392 "Здания и сооружения. Метод определения показателя дискомфорта при искусственном освещении помещений".
19.
ГОСТ 34819 "Приборы осветительные. Светотехнические требования и методы испытаний".
20.
ГОСТ Р 55392 "Приборы и комплексы осветительные. Термины и определения".
21.
ГОСТ Р 55709 "Освещение рабочих мест вне зданий. Нормы и методы измерений".
22.
ГОСТ Р 55710 "Освещение рабочих мест внутри зданий. Нормы и методы измерений".
23.
ГОСТ Р 55840 "Источники света и приборы осветительные. Представление данных для расчета освещения".
24.
ГОСТ Р 56228 "Освещение искусственное. Термины и определения".
25.
ГОСТ Р 8.971 "Лампы, светильники и модули светодиодные. Методы измерения фотометрических и колориметрических характеристик".
28.
ГОСТ ISO/IEC 17025 "Общие требования к компетентности испытательных и калибровочных лабораторий".
29.
ГОСТ Р ИСО/МЭК 17020 "Оценка соответствия. Требования к работе различных типов органов инспекции".
30.
ГОСТ 34100.1/ISO/IEC Guide 98-1 "Неопределенность измерения. Часть 1. Введение в руководства по выражению неопределенности измерения".
31.
ГОСТ 34100.3/ISO/IEC Guide 98-3 "Неопределенность измерения. Часть 3. Руководство по выражению неопределенности измерения".
32.
ГОСТ Р ИСО 10576-1 "Статистические методы. Руководство по оценке соответствия установленным требованиям. Часть 1. Общие принципы".
33. МИ СС.ИНТ-07.01 "Методика измерений показателей световой среды для целей специальной оценки условий труда".
В настоящих МУК используются следующие термины и определения:
Блескость - ощущение, возникающее при наличии в поле зрения повышенной яркости, которая вызывает дискомфортную и/или слепящую блескость, либо ощущение, вызываемое отражением светового потока от рабочей поверхности в направлении глаз работающего.
Боковое естественное освещение - естественное освещение помещения через световые проемы в наружных стенах.
Верхнее естественное освещение - естественное освещение помещения через фонари, световые проемы в стенах в местах перепада высоты здания.
Группа результатов измерений величин - несколько результатов измерений (не менее четырех, n >= 4), полученных при измерениях одной и той же величины, выполненных с одинаковой тщательностью, одним и тем же средством измерений, одним и тем же методом и одним и тем же оператором.
Двухстороннее боковое естественное освещение - естественное освещение помещения за счет светопроемов, расположенных в различных плоскостях двух стен.
Естественное освещение - освещение помещений светом неба (прямым или отраженным), проникающим через световые проемы в наружных ограждающих конструкциях, а также через световоды.
Зона зрительной работы - часть рабочей поверхности, на которой выполняют зрительную работу.
Зрительная работа - видение объекта, характеризуемое размером объекта различения, его яркостью, контрастом с фоном и продолжительностью работы.
Индекс цветопередачи (Ra) - мера соответствия зрительных восприятий цветного объекта, освещенного исследуемым и стандартным источниками света при определенных условиях наблюдения (с учетом хроматической адаптации наблюдателя).
Искусственное освещение - освещение помещения источниками искусственного света при недостатке естественного освещения.
Источник света - устройство, излучающее свет в результате преобразования электрической энергии.
Комбинированное естественное освещение - сочетание верхнего и бокового естественного освещения.
Комбинированное искусственное освещение - искусственное освещение, при котором к общему искусственному освещению добавляется местное.
Контраст объекта различения с фоном (K) - определяется отношением абсолютной величины разности между яркостью объекта и фона к яркости фона.
Коррелированная цветовая температура КЦТ, (Tцк), К - температура излучателя Планка (черного тела), имеющего значения координат цветности, наиболее близкие к значениям координат цветности, соответствующим спектральному распределению излучения рассматриваемого объекта.
Коэффициент естественной освещенности (КЕО), e, % - отношение естественной освещенности, создаваемой в расчетной (контрольной) точке заданной плоскости внутри помещения светом неба (непосредственным или после отражений), к одновременно измеренному значению наружной горизонтальной освещенности, создаваемой светом полностью открытого небосвода; при этом участие прямого солнечного света в создании той или другой освещенности исключается.
Коэффициент пульсации освещенности <42> (Kп), % - критерий оценки относительной глубины колебаний освещенности в осветительной установке в результате изменения во времени светового потока источников света при их питании переменным током, выражающийся
формулой (15):
--------------------------------
<42> Примечание: Коэффициент пульсации освещенности учитывает пульсацию светового потока до 300 Гц. Пульсация освещенности свыше 300 Гц не оказывает влияния на общую и зрительную работоспособность. Соблюдение норм коэффициента пульсации освещенности позволяет предотвратить отрицательное влияние стробоскопического эффекта и снизить зрительное и общее утомление человека.
| | ИС МЕГАНОРМ: примечание. Нумерация формул дана в соответствии с официальным текстом документа. | |

, где (15)
Eмакс - максимальное значение освещенности за период ее колебания, лк;
Eмин - минимальное значение освещенности за период ее колебания, лк;
Eср - среднее значение освещенности за этот же период, лк.
Коэффициент светового климата, CN, относительные единицы - коэффициент, учитывающий особенности светового климата района строительства, N - номер группы административных районов. Коэффициент светового климата CN - величина, обратная ранее применявшемуся коэффициенту mN (CN = 1/mN).
Локализованное освещение - освещение зон с повышенными требованиями к уровню освещенности.
Маркировка источника света или осветительного прибора - комбинация цифр и букв, используемая для идентификации источника света или осветительного прибора.
Местное освещение - освещение, дополнительное к общему, создаваемое светильниками, концентрирующими световой поток непосредственно на рабочих местах и имеющее независимое от него управление.
Наименьший размер объекта различения - это наименьший рассматриваемый предмет, отдельная его часть или дефект, которые требуется различать в процессе выполнения данного вида работ. Наименьшие размеры объекта различения и соответствующие им разряды длительной работы установлены при расположении объектов различения на расстоянии не более 0,5 м от глаз работающего.
Общее освещение - освещение, при котором светильники размещаются в верхней зоне помещения равномерно (общее равномерное освещение) или применительно к расположению оборудования (общее локализованное освещение).
Объединенный показатель дискомфорта (UGR), относительные единицы - международный критерий оценки дискомфортной блескости, вызывающей неприятные ощущения при неравномерном распределении яркостей в поле зрения.
Объект различения - рассматриваемый предмет, отдельная его часть или дефект, которые требуется различать в процессе работы.
Осветительный прибор - устройство, предназначенное для освещения и содержащее один или несколько электрических источников света и осветительную арматуру.
Освещенность (E), лк - физическая величина, определяемая отношением светового потока, падающего на элемент поверхности, содержащий рассматриваемую точку, к площади этого элемента.
Отраженная блескость - характеристика отражения светового потока от рабочей поверхности в направлении глаз работающего, определяющая снижение видимости вследствие чрезмерного увеличения яркости рабочей поверхности и вуалирующего действия, снижающих контраст между объектом и фоном.
Пульсация освещенности - изменение освещенности на рабочей поверхности в результате изменения во времени светового потока источников света в осветительной установке.
Рабочая поверхность - поверхность, на которой проводится работа, нормируется и измеряется освещенность.
Расчетное значение КЕО, eр, % - значение, полученное расчетным путем при оценке естественного или совмещенного освещения помещений.
Светильник - осветительный прибор, перераспределяющий излучение источника света внутри больших, вплоть до

, телесных углов.
Световая среда - полная совокупность внешних световых факторов, способных повлиять на зрительное восприятие человеком окружающей обстановки.
Сетка контрольных точек - организация расположения контрольных точек и определения их количества на рабочей поверхности для расчета и измерения показателей освещения.
Совмещенное освещение - освещение, при котором недостаточное по нормам естественное освещение дополняется искусственным в течение полного рабочего дня.
Средняя освещенность (Eср), лк - освещенность, усредненная по площади освещаемого помещения, участка, рабочей зоны.
Стробоскопический эффект - зрительное восприятие кажущегося изменения, прекращения вращательного движения или периодического колебания объекта, освещаемого светом, изменяющимся с близкой, совпадающей или кратной частотой.
Темное время суток - промежуток времени от конца вечерних сумерек до начала утренних сумерек.
Точка измерений (контрольная точка) - точка пространства, в которой осуществляется измерение и размещается датчик средства измерения.
Условная рабочая поверхность - условная горизонтальная поверхность, расположенная на высоте 0,8 м от пола.
Фон - поверхность, прилегающая непосредственно к объекту различения, на которой он рассматривается.
Характерный разрез помещения - поперечный разрез посредине помещения, плоскость которого перпендикулярна плоскости остекления световых проемов (при боковом освещении) или продольной оси пролетов помещения. В характерный разрез помещения должны попадать участки с наибольшим числом рабочих мест, а также точки рабочей зоны, наиболее удаленные от световых проемов.
Цветопередача - общее понятие, характеризующее влияние спектрального состава источника света на зрительное восприятие цветных объектов, сознательно или бессознательно сравниваемое с восприятием тех же объектов, освещенных стандартным источником света.
Эквивалентный размер объекта различения - размер равнояркого круга на равноярком фоне, имеющего такой же пороговый контраст, что и объект различения при данной яркости фона.
Яркость (L), кд/м2 - отношение силы света в данном направлении к площади проекции излучающей поверхности на плоскость, перпендикулярную данному направлению.