Главная // Актуальные документы // ГрафикСПРАВКА
Источник публикации
М.: Стройиздат, 1986
Примечание к документу
Части I и
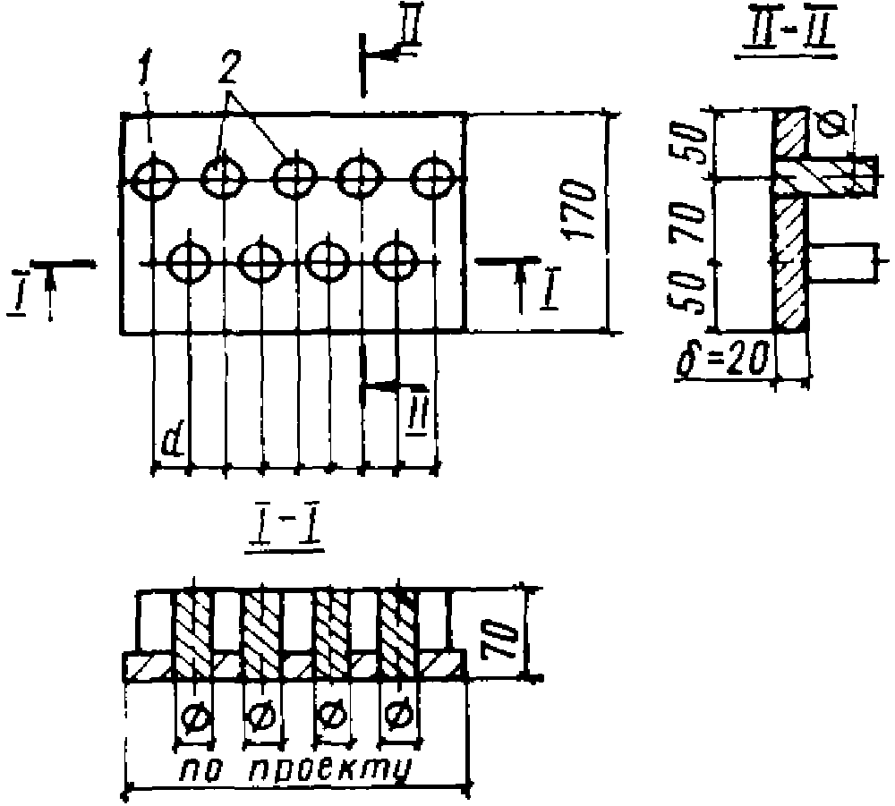
II Руководства включены в Информационный банк отдельными документами.
Название документа
"Руководство по проектированию зданий и сооружений на подрабатываемых территориях. Часть III. Башенные, транспортные и заглубленные сооружения, трубопроводы"
"Руководство по проектированию зданий и сооружений на подрабатываемых территориях. Часть III. Башенные, транспортные и заглубленные сооружения, трубопроводы"
ПО ПРОЕКТИРОВАНИЮ ЗДАНИЙ И СООРУЖЕНИЙ
НА ПОДРАБАТЫВАЕМЫХ ТЕРРИТОРИЯХ
ЧАСТЬ III
БАШЕННЫЕ, ТРАНСПОРТНЫЕ И ЗАГЛУБЛЕННЫЕ
СООРУЖЕНИЯ, ТРУБОПРОВОДЫ
| | ИС МЕГАНОРМ: примечание. Текст дан в соответствии с официальным текстом документа. | |
Рекомендовано к изданию решением Научно-технического
Рекомендовано к изданию решением научно-технического
Содержит рекомендации по расчету инженерных сооружений и коммуникаций на воздействия деформаций земной поверхности, учитывающие совместную работу объектов с подрабатываемым основанием. Приведены особенности проектирования, конструирования узлов и деталей башенных (дымовые трубы, водонапорные и угольные башни, силосные корпуса), транспортных (путепроводы, конвейерные галереи), заглубленных (коммуникационные тоннели и каналы, резервуары и отстойники, подвалы) сооружений и трубопроводов (магистральные, газо-, водо- и теплоснабжения). Рассмотрены конструктивные меры защиты сооружений по жесткой, податливой или комбинированной схемам. Даны примеры расчета.
Для инженерно-технических работников проектных, строительных и научно-исследовательских организаций.
В Основных направлениях экономического и социального развития СССР на 1986 - 1990 годы и на период до 2000 года предусмотрены коренная перестройка капитального строительства и повышение его эффективности на основе использования достижений научно-технического прогресса.
Решение этих задач в горно-добывающих районах страны усложняется в связи с необходимостью возведения в широких масштабах сооружений и коммуникаций на подрабатываемых территориях, характеризующихся неравномерными вертикальными и горизонтальными деформациями, обусловленными влиянием подземных горных выработок. В этих условиях эффективность принимаемых проектных решений зависит от достоверности методов расчета на деформационные воздействия и применяемых строительных мер защиты, которые наряду с обеспечением несущей способности и пригодности объектов к нормальной эксплуатации должны удовлетворять условиям наиболее полного извлечения полезных ископаемых, подземная добыча которых неуклонно возрастает.
Руководство по проектированию зданий и сооружений на подрабатываемых территориях издается в трех частях:
Часть I. Исходные данные для проектирования зданий и сооружений на подрабатывемых территориях;
Часть II. Промышленные и гражданские здания;
Часть III. Башенные, транспортные и заглубленные сооружения, трубопроводы.
В Руководстве приведены требования
СНиП II-8-78 (отмеченные вертикальной чертой), относящиеся к проектированию инженерных сооружений и трубопроводов, положения, детализирующие эти требования, дополнительные рекомендации по проектированию, обобщающие результаты научных исследований, и даны примеры расчета.
В соответствии с направленностью настоящего Руководства в цитируемом тексте
СНиП II-8-78 слово "здания" опущено.
Руководство разработано кандидатами технических наук А.А. Петраковым, В.Р. Шнеером, Г.Р. Розенвассером, М.П. Басиным, инженерами П.И. Жарковым, Е.М. Зайцевой, В.И. Ольмезовым, В.Г. Саенко, Г.Е. Шпиневым, В.Х. Батраком, Э.Я. Гонским, И.Г. Коваль, Л.М. Шварц (Донецкий ПромстройНИИпроект Госстроя СССР), кандидатами технических наук Н.С. Метелюком, А.С. Трегубом, инж. С.А. Недодатко (НИИСК Госстроя СССР) с участием инж. А.И. Огаркова (Донецкое отделение ПромтрансНИИпроекта Госстроя СССР) и канд. техн. наук И.С. Дубянского (Макеевский инженерно-строительный институт Минвуза УССР).
Под общей редакцией канд. техн. наук В.Р. Шнеера.
В разработке ч. II Руководства принимал участие ЦНИИСК им. Кучеренко Госстроя СССР.
Отзывы и замечания просим присылать по адресам: 340004, Донецк, ул. Университетская, д. 112, Донецкий ПромстройНИИпроект; 252037, Киев, ул. И. Клименко, д. 5/2, НИИСК.
1.1. Настоящее Руководство применяется при проектировании инженерных сооружений и трубопроводов для строительства на подрабатываемых территориях.
1.2 (1.1) <*>. Нормы настоящей главы должны соблюдаться при проектировании сооружений, возводимых на подрабатываемых территориях, в случаях, если представляется возможным прогнозировать характер и величины деформаций земной поверхности от подземной разработки полезных ископаемых. |
--------------------------------
<*> Использованные в Руководстве пункты, формулы, таблицы и рисунки главы
СНиП II-8-78 имеют двойную нумерацию: вначале по Руководству, в скобках - по главе СНиП.
1.3 (1.2). При проектировании сооружений, возводимых на территориях залегания полезных ископаемых, необходимо руководствоваться требованиями статьи 34 "Основ законодательства Союза ССР и союзных республик о недрах". |
1.4. В зависимости от характера восприятия деформационных воздействий подрабатываемого основания рассматриваемые в Руководстве сооружения отнесены к следующим группам:
башенные сооружения (дымовые трубы, водонапорные башни, силосные корпуса, угольные башни);
транспортные сооружения (путепроводы, конвейерные галереи);
заглубленные сооружения (коммуникационные тоннели и каналы, железобетонные резервуары и отстойники, грунтовые резервуары и отстойники, подвалы производственного назначения);
трубопроводы (магистральные трубопроводы, наружные и внутренние сети водоснабжения, канализации и газоснабжения, тепловые сети).
1.5 (1.3). Прочность, устойчивость и эксплуатационная надежность сооружений, проектируемых для возведения на подрабатываемых территориях, должны обеспечиваться: соответствующим расположением сооружений относительно простирания пластов полезных ископаемых; применением строительных и горных мер защиты. Меры защиты должны обеспечивать в период подработки бесперебойную эксплуатацию санитарно-технического, технологического, транспортного и другого оборудования, устанавливаемого в сооружениях. Выполнение строительных и горных мер защиты не исключает возможности появления в несущих и ограждающих конструкциях допускаемых по условиям эксплуатации деформаций и трещин, устранимых при проведении ремонта. 1.6 (1.4). Типовые проекты сооружений, разработанные для обычных условий строительства, не могут применяться для строительства на подрабатываемых территориях без переработки их в соответствии с требованиями настоящих норм. Типовые проекты сооружений, возводимых на подрабатываемых территориях, должны быть максимально унифицированы с целью обеспечения возможности их применения для подрабатываемых территорий различных групп и для других условий строительства (неоднородные, просадочные, набухающие, заторфованные, илистые, аллювиальные, засоленные, насыпные грунты). |
1.7. Применение типовых проектов сооружений, разработанных для обычных условий строительства, допускается на подрабатываемых территориях при соответствующем расчетном обосновании согласно рекомендациям настоящего Руководства.
1.8 (1.5). Принципиально новые конструктивные решения типовых сооружений для массового строительства на подрабатываемых территориях могут приниматься только после получения положительных результатов экспериментальной проверки несущей способности конструкций. 1.9 (1.6). Проекты сооружений, возводимых на подрабатываемых территориях, следует разрабатывать на основе горно-геологического обоснования, составленного проектной организацией, которое должно содержать: геологические и гидрогеологические данные о подрабатываемой толще; планы горных работ с указанием перспективы разработок полезного ископаемого; сведения о системах разработки полезного ископаемого; данные об ожидаемых (нормативных) величинах деформаций земной поверхности; перечень намечаемых строительных и горных мер защиты; разрешение на строительство, полученное в органах Госгортехнадзора СССР. |
1.10. Инженерно-геологические изыскания на подрабатываемых территориях должны производиться в соответствии с требованиями главы СНиП по инженерным изысканиям для строительства и Инструкции по инженерным изысканиям для промышленного строительства (СН 225-79) и дополнительными рекомендациями настоящего Руководства.
1.11. Состав, объем и технологическая схема инженерных изысканий для каждого объекта определяются программой, которая разрабатывается с учетом особенностей геологического строения района, условий разработки полезных ископаемых, а также типа проектируемого сооружения и его фундамента.
1.12 (1.7). Материалы инженерно-геологических изысканий должны дополнительно содержать:
а) оценку изменений геоморфологических, гидрологических и гидрогеологических условий участка застройки вследствие оседания земной поверхности (возможность образования провалов, оползней, изменение уровня грунтовых вод с учетом сезонных и многолетних колебаний, возможность заболачивания территории);
б) оценку возможных изменений физико-механических свойств грунтов вследствие изменения гидрогеологических условий площадки; в) сведения о местах расположения устьев старых вертикальных и наклонных выработок. При строительстве в районах, где, по данным территориальных геологических организаций, отмечены выходы пластов или тектонических разрывных нарушений горных пород под наносы, необходимо выполнять комплекс изыскательских работ по определению точного расположения выходов и нарушений и по возможности углов падения плоскости сместителя и амплитуды смещения земной поверхности. 1.13. Физико-механические характеристики грунтов определяются лабораторными и полевыми методами. При этом сопротивление сжатию и сдвигу следует определять при различной влажности, если по данным инженерно-геологического и гидрогеологического прогнозирования ожидается изменение уровня грунтовых вод и влажности грунтов. |
1.14. Расчетные значения прочностных и деформационных характеристик грунтов при определении нагрузок, воздействующих на сооружения при сдвижении основания, должны приниматься равными нормативным.
1.15 (1.8). Проектами сооружений, возводимых на подрабатываемых территориях, в случаях, устанавливаемых проектной организацией, следует предусматривать проведение работ, связанных с инструментальным наблюдением за деформациями сооружений и окружающей их земной поверхности в период подработки. 1.16 (1.9). К проекту сооружения, возводимого на подрабатываемых территориях, следует прилагать специальный паспорт, в котором должны приводиться: краткое описание конструктивной схемы, строительных и горных мер защиты; данные о величинах деформаций земной поверхности и физико-механических характеристик грунтов основания; указания для случаев, предусмотренных п. 1.8 ( п. 1.15 Руководства), о проведении инструментальных наблюдений за деформациями сооружения и окружающей земной поверхности; данные о предусматриваемых мерах защиты, осуществляемых в период эксплуатации; указания о способах выравнивания сооружений с помощью домкратов или других устройств. 1.17 (1.10). Строительство сооружений на подрабатываемых территориях, где по прогнозу возможно образование провалов, а также на участках, где возможно оползнеобразование, не допускается. Строительство сооружений на подрабатываемых территориях в местах выходов рабочих и отработанных пластов и тектонических нарушений, а также в районах со старыми горными выработками, пройденными на малых глубинах, может быть допущено только по заключению институтов, специализирующихся в этой области. 1.18 (1.11). На подрабатываемых территориях, где по прогнозу ожидаемые деформации земной поверхности превышают величины для I и I, к групп территорий, строительство сооружений не допускается. |
2. ВОЗДЕЙСТВИЯ ОТ ПОДРАБОТКИ
2.1 (2.1). Воздействиями от подработки, учитываемыми при проектировании сооружений, являются сдвижения и деформации земной поверхности, которые подразделяются на следующие основные виды [ рис. 1 (1)]: оседание  , мм; наклон i, мм/м; кривизна (выпуклости, вогнутости) K, 1/м, или радиус кривизны  , км; горизонтальное сдвижение  , мм; относительная горизонтальная деформация растяжения или сжатия  , мм/м; уступ высотой h, см. |
Рис. 1 (1). Мульда сдвижения и эпюры деформаций
земной поверхности
а - вертикальный разрез вкрест простирания пласта
при наклонном залегании пластов; б - вертикальный разрез
вкрест простирания при крутом залегании пластов;
в - вертикальный разрез по простиранию пласта; 1 - кривые
оседаний; 2 - эпюры наклонов; 3 - эпюры кривизны; 4 - эпюры
относительных горизонтальных деформаций; 5 - эпюры
горизонтальных сдвижений; 6 - пласт; 7 - очистная выработка;
8 - положение земной поверхности до подработки;

- угол
падения пласта;

,

,

- граничные углы сдвижения;

,

,

- углы полных сдвижений;

- угол
максимального оседания;

- максимальное оседание
земной поверхности
2.2 (2.2). В качестве исходных данных для проектирования сооружений на подрабатываемых территориях необходимо задавать максимальные величины ожидаемых (нормативных) деформаций земной поверхности на участке строительства в направлениях вкрест и по простиранию пластов: а) от пластов, намечаемых к отработке в течение всего срока эксплуатации сооружений, при этом следует предусматривать полный комплекс мер защиты; б) от пластов, намечаемых к отработке в течение 20 лет, при этом следует предусматривать сокращенный комплекс мер защиты - ( п. 5.18 настоящей главы), п. 4.5 Руководства, по согласованию с утверждающей проект инстанцией. Примечание. Проекты сооружений большой протяженности в плане (трубопроводы и пр.) должны разрабатываться для каждого расчетного участка в отдельности. Разбивка на расчетные участки должна производиться в зависимости от конкретных горно-геологических условий подработки (от их изменений). 2.3 (2.3). Расчет ожидаемых деформаций земной поверхности должен производиться горными инженерами-маркшейдерами по методикам, разработанным институтами, специализирующимися в этой области. Расчет ожидаемых деформаций земной поверхности для неизученных месторождений и для районов с особо сложными горно-геологическими условиями подработки следует производить по методикам, разработанным институтами, специализирующимися в этой области. 2.4 (2.4). В зависимости от максимальных величин ожидаемых (нормативных) деформаций земной поверхности - п. 2.2 "а" ( п. 2.2 Руководства) подрабатываемые территории подразделяются на группы в соответствии с табл. 1 (1). |
| Группа территории | Ожидаемые деформации земной поверхности |
относительная горизонтальная деформация растяжения или сжатия  , мм/м | наклон i, мм/м | радиус кривизны R, км |
I | | 20 >= i > 10 | 1 <= R < 3 |
II | | 10 >= i > 7 | 3 <= R < 7 |
III | | 7 >= i > 5 | 7 <= R < 12 |
IV | | 5 >= i > 0 | 12 <= R < 20 |
Подрабатываемые территории, на которых при выемке пластов полезного ископаемого образуются уступы земной поверхности, подразделяются в зависимости от ожидаемой высоты уступа на группы в соответствии с табл. 2 (2). |
| Группа территории | Ожидаемая высота уступа h, см |
I, к | 25 >= h > 15 |
II, к | 15 >= h > 10 |
III, к | 10 >= h > 5 |
IV, к | 5 >= h > 0 |
2.5 (2.5). Расчетные сдвижения и деформации земной поверхности, учитываемые при расчете сооружений как факторы нагрузки, следует определять путем умножения значений ожидаемых (нормативных) деформаций земной поверхности на соответствующие коэффициенты перегрузки n, принимаемые по табл. 3 (3). |
| Вид деформаций земной поверхности | Коэффициент перегрузки |
обозначение | величина |
Оседание  | | 1,1 (0,9) |
Горизонтальное сдвижение  | | 1,1 (0,9) |
Относительная горизонтальная деформация растяжения или сжатия  | | 1,2 (0,8) |
Наклон i | ni | 1,2 (0,8) |
Кривизна K | nK | 1,4 (0,6) |
Уступ h | nh | 1,2 (0,8) |
Примечание. Коэффициенты перегрузки меньше единицы следует учитывать при расчете сооружений на одновременное действие деформаций земной поверхности двух и более видов, когда уменьшение значения деформаций какого-либо вида может ухудшить условия работы конструкций. 2.6 (2.6). При расчете конструкций сооружений на воздействие деформаций земной поверхности необходимо вводить соответствующие коэффициенты условий работы, определяемые по табл. 4 (4) в зависимости от общей длины сооружений или его отсека. |
| Вид деформаций земной поверхности | Коэффициенты условий работы |
обозначение | при длине сооружения l, м |
менее 15 | 15 - 30 | более 30 |
Относительная горизонтальная деформация растяжения или сжатия  | | 1 | 0,85 | 0,7 |
Наклон i | mi | 1 | 0,85 | 0,7 |
Кривизна K | mK | 1 | 0,7 | 0,55 |
Примечания: 1. При рассмотрении поперечного сечения сооружений за l принимается его ширина. 2 Для круглых в плане сооружений за l принимается их внешний диаметр. 3. Для сооружений башенного типа при l < 15 м следует принимать mi =1,5. 2.7 (2.7). Расчетное оседание любой точки основания y относительно центральной оси сооружения или его отсека [ рис. 2 (2)], вызванное кривизной земной поверхности, следует определять по формуле |
где nK и mK - коэффициенты перегрузки и условий работы, принимаемые соответственно по табл. 3 (3) и 4 (4); R - ожидаемый радиус кривизны земной поверхности; x - расстояние, м, от рассматриваемой точки основания до оси симметрии сооружения или его отсека [см. рис. 2 (2)]. |
Рис. 2 (2). Схема к расчету неравномерных оседаний,
вызванных кривизной земной поверхности
2.8 (2.8). Расчетную разность оседаний  двух точек основания сооружения, вызванную расчетной кривизной земной поверхности, следует определять по формуле |
где x1 и x2 - расстояния от рассматриваемых точек основания до соответствующей центральной оси сооружения или его отсека; x1 - от менее удаленной точки; x2 - от более удаленной. 2.9 (2.9). Расчетную разность оседаний  двух точек основания сооружения, вызванную равномерным наклоном i, следует определять по формуле |
где ni и mi - коэффициенты перегрузки и условий работы, определяемые соответственно по табл. 3 (3) и 4 (4); i - ожидаемый наклон земной поверхности. 2.10 (2.10). Расчетное перемещение любой точки основания относительно соответствующей центральной оси сооружения или его отсека [ рис. 3 (3)], вызванное горизонтальными деформациями (растяжения, сжатия), следует определять по формуле |
где  и - коэффициенты перегрузки и условий работы, принимаемые соответственно по табл. 3 (3) и 4 (4);  - ожидаемая величина относительной горизонтальной деформации земной поверхности; x - расстояние до соответствующей центральной оси сооружения, м. Примечание. В продольной раме каркасного сооружения или его отсека положение центральной оси принимается в середине жесткого отсека независимо от его расположения относительно оси симметрии. |
Рис. 3 (3). Схема к расчету перемещений точек земной
поверхности под воздействием горизонтальных деформаций
2.11 (2.11). Расчетный угол наклона в любой точке основания, вызванный деформациями земной поверхности, следует определять по формуле |
iK = +/-
nKmKx/
R. (5)
[5]
2.12 (2.12). Расчетное направление линии уступа следует принимать по простиранию пластов полезных ископаемых. 2.13 (2.13). Расчетное местоположение уступа в плане сооружения следует принимать таким, при котором возникающие в несущих конструкциях усилия будут наибольшими. В тех случаях, когда линии уступов могут быть протрассированы со стороны участка, расположенного рядом с застраиваемой площадкой, расчетное местоположение уступа в плане следует принимать по его наиболее возможному расположению. |
3. ОСНОВНЫЕ РАСЧЕТНЫЕ ТРЕБОВАНИЯ
3.1 (5.1). Конструкции сооружений, проектируемых для строительства на подрабатываемых территориях, должны удовлетворять требованиям расчета по потере несущей способности или полной непригодности к эксплуатации (предельные состояния первой группы) и по непригодности к нормальной эксплуатации (предельные состояния второй группы). 3.2 (5.2). При расчете конструкций на особые сочетания нагрузок, состоящие из постоянных, длительных, возможных кратковременных нагрузок и воздействий от подработки, следует учитывать возможность действия различных сочетаний деформаций земной поверхности. Расчет конструкций как по первой, так и по второй группе предельных состояний должен выполняться на наиболее неблагоприятные сочетания воздействий. 3.3 (5.3). Возможными сочетаниями воздействий от подработки являются: а) горизонтальная деформация растяжения  , кривизна выпуклости + K, наклон i;б) горизонтальная деформация сжатия  , кривизна вогнутости - K, наклон i; в) уступ на земной поверхности (высота уступа h) и соответствующие ему горизонтальная деформация  и наклон i.При плавных вертикальных деформациях земной поверхности (кривизна) следует учитывать сочетания "а" и "б", при ступенчатых (уступ) - сочетание "в". 3.4 (5.4). Отдельные виды деформаций земной поверхности допускается не учитывать при расчете конструкций, если установлено, что усилия от таких видов деформаций достаточно малы по сравнению с усилиями от других видов нагрузок и воздействий. 3.5 (5.5). При определении усилий в конструкциях и перемещений конструкций от комбинаций воздействий от подработки необходимо учитывать следующее: а) если имеются обоснованные маркшейдерскими расчетами данные о том, что отдельные виды деформаций земной поверхности достигают своих максимальных значений одновременно, вызывая в конструкции усилия одного знака (усилия складываются), то усилия от этих видов деформаций следует суммировать по формуле (6) [6] в случае двух усилий и по формуле (7) [7] в случае трех усилий: |
где X1, X2, X3 - усилия от различных видов деформаций земной поверхности; б) если отдельные виды деформаций земной поверхности достигают своих максимальных значений в разное время, то в качестве расчетных усилий следует принимать наиболее неблагоприятное для работы конструкций сочетание усилий, возникающих от каждого отдельного вида деформаций. 3.6 (5.6). Расчет конструкций на воздействие от подработки должен производиться из условия совместной работы основания и сооружения с учетом следующих деформаций основания: а) деформаций от подработки, проявляющихся в виде вертикальных и горизонтальных перемещений основания; б) деформаций грунтов от нагрузок, передаваемых на основание сооружением. 3.7 (5.7). Расчетные схемы сооружений, используемые для определения усилий и деформаций в конструкциях, должны отражать с целесообразной степенью точности действительные условия работы сооружений и особенности их взаимодействия с основанием. В необходимых случаях учитываются: пространственная работа, геометрическая и физическая нелинейность, ползучесть материалов конструкций. 3.8 (5.8). Основание при расчетах подрабатываемых сооружений допускается принимать линейно- или нелинейно-деформируемым, характеризуемым постоянными или в необходимых случаях (неоднородное геологическое строение основания, связность грунта, нелинейность и т.д.) переменными коэффициентами жесткости, принимаемыми при определении реактивной нагрузки на контакте основания с фундаментом. В зависимости от характера воздействия от подработки деформационные свойства основания на контакте с фундаментами допускается определять одновременно двумя коэффициентами жесткости основания (при сжатии C и при сдвиге Cсд) либо каким-нибудь одним из них. 3.9 (5.9). При определении значений коэффициентов жесткости оснований надлежит учитывать основные параметры физико-механических свойств грунтов, размеры и форму подошвы фундамента. В необходимых случаях следует учитывать неоднородность геологического строения основания, распределительные свойства грунта, характер нагружения, пластические и реологические свойства грунта. Коэффициенты жесткости основания допускается определять в соответствии с указаниями, изложенными в прил. 2 ( прил. 1 Руководства). 3.10 (5.10). В зависимости от значений контактных напряжений (нормальные и касательные напряжения на контакте основания с фундаментом) модель основания следует принимать в виде: а) линейно-упругой системы, работающей на сжатие, растяжение и сдвиг; б) нелинейно-упругой или неупругой системы, отражающей нелинейную связь между деформациями и нагрузками на основание в стабилизированном состоянии грунта, различие в деформационных свойствах основания при нагружении и разгрузке, несущую способность основания, нарушение контакта между фундаментом и основанием; в) реологической системы, отражающей деформационные свойства основания для различных моментов времени в течение строительного и эксплуатационного периодов (в нестабилизированном состоянии грунта). Выбор модели основания для расчета следует производить с учетом конструктивных особенностей, назначения сооружения и указаний, приведенных в п. 5.11 ( п. 3.11 Руководства). 3.11 (5.11). Для выбора модели основания следует вначале произвести расчет с использованием модели основания в виде линейно-упругой системы. Если полученные в результате этого расчета величины нормальных p и касательных  контактных напряжений на отдельных участках контакта основания с фундаментом удовлетворяют условиям: |
то расчет допускается производить с использованием линейно-упругой системы. Здесь pн - начальное нормальное напряжение (давление) на основание от сооружения, действующее до появления воздействий от подработки; R - расчетное давление на основание, определяемое согласно требованиям главы СНиП II-15-74 с учетом коэффициента условий работы m2 для подрабатываемых территорий;  - предельная величина касательного напряжения по подошве фундамента, определяемая согласно указаниям, приведенным в п. 3.75 главы СНиП II-15-74; F - площадь контакта основания с фундаментом, на котором допускаются превышения напряжений p и  , указанных в условиях (8) [8]; Fp и - соответственно полные площади контакта основания с фундаментом, на которых проявляются нормальные и касательные напряжения. 3.12 (5.12). Расчет сооружений со сложной конструктивной схемой допускается производить по двум расчетным схемам - упрощенной и уточненной. Упрощенную расчетную схему следует принимать в виде балки, системы перекрестных балок или плит для определения усилий взаимодействия между основанием и сооружением, являющихся нагрузкой на сооружение со стороны деформируемого основания. Расчетом по этой схеме допускается определять реактивные усилия со стороны основания при действии постоянных, длительных и кратковременных нагрузок с учетом нелинейных и длительных деформаций основания. Уточненную расчетную схему следует принимать в виде системы составных стержней, соединенных податливыми связями, призматической многосвязной оболочки или пластинчато-стержневой системы для определения напряжений и деформаций в конструкциях сооружения. В расчетах по этой схеме следует учитывать постоянные, длительные, кратковременные нагрузки и реактивные усилия со стороны основания, определенные в результате расчета по первой расчетной схеме. 3.13 (5.13). Усилия, возникающие в несущих конструкциях сооружений, следует определять в зависимости от конструктивных особенностей подземной части сооружения, глубины заложения фундаментов, площади их контакта с грунтом, физико-механических свойств грунтов основания, действующих нагрузок с учетом: а) сдвигающих сил по подошве фундаментов или сил трения по шву скольжения; б) сдвигающих сил по боковым поверхностям фундаментов; в) нормального давления сдвигающегося грунта на лобовые поверхности фундаментов. Коэффициенты трения по шву скольжения следует принимать в соответствии с табл. 5 (5). |
| Конструкция шва скольжения | Расход материала прослойки, кг/м2 | Коэффициент трения |
Два слоя пергамина с прослойкой молотого графита | 0,5 | 0,2 |
То же, с прослойкой щипаной слюды | 1 | 0,3 |
То же, с прослойкой инертной пыли | 1 | 0,4 |
Два слоя полиэтиленовой пленки с прослойкой графита | 0,4 | 0,15 |
Примечание. Плоскость шва скольжения должна быть выровнена. Отклонения размера шва по вертикали допускаются не более 5 мм на 1 м длины шва. |
4. ОСНОВНЫЕ КОНСТРУКТИВНЫЕ ТРЕБОВАНИЯ
4.1 (5.14). При величинах ожидаемых деформаций земной поверхности  , R > 20 км, i < 3 мм/м и h < 1 см меры защиты сооружений, за исключением железобетонных емкостей для жидкостей, трубопроводов и некоторых типов технологического оборудования, как правило, не требуются. 4.2 (5.15). Основной конструктивной мерой защиты, снижающей воздействия деформаций основания на протяженные в плане сооружения, кроме трубопроводов, является разрезка их на отсеки с помощью деформационных швов. 4.3 (5.16). Для сооружений, возводимых на подрабатываемых территориях, в качестве мер защиты допускается предусматривать выравнивание сооружений, отдельных конструкций и технологического оборудования с помощью домкратов или других выравнивающих устройств. 4.4 (5.17). Сооружения в зависимости от их конструктивных особенностей следует проектировать по жесткой, податливой или комбинированной конструктивным схемам. При проектировании по жесткой конструктивной схеме должно предусматриваться исключение возможности взаимного перемещения отдельных элементов несущих конструкций при деформациях основания. При проектировании по податливой конструктивной схеме должна предусматриваться возможность приспособления конструкций к неравномерным деформациям основания. При проектировании по комбинированной конструктивной схеме должно предусматриваться сочетание жесткой и податливой схем с применением различных конструктивных схем подземной и надземной частей сооружений для их продольных и поперечных конструкций. 4.5 (5.18). В зависимости от сроков и условий подработки, а также стоимости и назначения сооружения следует предусматривать полный или сокращенный комплекс мер защиты. Полный комплекс мер защиты назначается исходя из расчетных деформаций земной поверхности от возможной выемки полезных ископаемых за период службы сооружений. Он должен включать в себя следующие конструктивные мероприятия: а) повышение прочности и общей пространственной жесткости сооружения, достигаемое разрезкой сооружений на отдельные отсеки; усилением отдельных элементов несущих конструкций и связей между ними; устройством фундаментных и поэтажных железобетонных поясов; введением связей-распорок между фундаментами; устройством фундаментов в виде сплошных плит, перекрестных балок, балок-стенок и т.п.; б) увеличение податливости сооружений, достигаемое устройством в подземной части горизонтальных швов скольжения; введением шарнирных и податливых связей между элементами несущих и ограждающих конструкций; снижением жесткости несущих конструкций; введением гибких вставок и компенсационных устройств. Перечисленные мероприятия допускается применять отдельно или в сочетании. Сокращенный комплекс мер защиты назначается исходя из расчетных деформаций земной поверхности от возможной выемки полезных ископаемых только за 20-летний период службы сооружений. В него следует включать конструктивные мероприятия, перечисленные для полного комплекса мер защиты. При этом в проектах сооружений должна предусматриваться возможность осуществления дополнительных мер защиты по истечении периода времени, на который был рассчитан сокращенный комплекс мер защиты. Необходимость введения дополнительных мер защиты в процессе эксплуатации сооружения должна определяться на основании результатов обследования состояния эксплуатируемого объекта, фактических деформаций основания и ожидаемых величин деформаций основания в последующий период эксплуатации объекта. Дополнительные меры защиты должны быть простыми в осуществлении. |
4.6. В случаях когда подработка сооружений намечается не ранее чем через 20 лет после ввода их в эксплуатацию, в проектах сооружений, как правило, рекомендуется предусматривать последующее введение мер защиты непосредственно перед подработкой.
4.7 (5.19). При разделении сооружений на отсеки деформационными швами необходимо учитывать конфигурацию сооружений в плане, отдавая предпочтение простой форме. Высоту сооружений в пределах отсека следует принимать одинаковой, а длину отсеков - по расчету в зависимости от расчетных величин деформаций земной поверхности, принятой конструктивной схемы, физико-механических свойств грунтов основания, технологических требований. Деформационные швы должны разделять смежные отсеки сооружений по всей высоте, включая кровли и, как правило, фундаменты. Фундаменты под парные колонны в каркасных сооружениях, выполненных по рамно-связевой или связевой схеме, допускается не разделять, если фундаменты под остальные колонны смежных отсеков конструктивно не связаны между собой в горизонтальном направлении плитами, связями-распорками и т.д. 4.8 (5.20). Шахты грузопассажирских лифтов должны проектироваться с учетом наклонов, вызываемых деформациями земной поверхности. В случаях когда расчетные отклонения стен шахт от вертикальной плоскости превышают допустимые отклонения, установленные государственными стандартами, проектами следует предусматривать возможность выправления стен шахт. При этом следует предусматривать устройство: обособленных лифтовых шахт, отделенных от надфундаментных конструкций сооружения зазорами; ниш в фундаментах конструкций шахт для установки домкратов или других выравнивающих устройств. 4.9 (5.21). Примыкающие к зданиям эстакады, этажерки, тоннели, галереи, емкости следует отделять от зданий деформационными швами в соответствии с указаниями, приведенными в п. 5.19 ( п. 4.7 Руководства). 4.10 (5.22). В фундаментной части сооружений, проектируемых с учетом возможности их выравнивания, следует предусматривать ниши или проемы, необходимые для размещения выравнивающих устройств. Для обеспечения несущей способности конструкций и оснований при действии сосредоточенных нагрузок от действия выравнивающих устройств необходимо предусматривать специальные конструктивные мероприятия. 4.11 (5.23). Фундаменты под технологическое оборудование следует проектировать, предусматривая в зависимости от типа оборудования и технологических требований к его эксплуатации применение специальных мер защиты. Наиболее эффективным является способ выравнивания оборудования домкратами. Длина анкерных болтов при этом должна приниматься с запасом на необходимую высоту подъема. 4.12 (5.24). При проектировании сооружений, возводимых на подрабатываемых территориях, в соответствии с главой СНиП по проектированию оснований зданий и сооружений должны предусматриваться мероприятия по снижению воздействия деформаций земной поверхности на подземные и надземные конструкции. |
4.13. К составу мероприятий, снижающих неблагоприятное воздействие деформаций земной поверхности на фундаменты и конструкции сооружений, относятся:
уменьшение поверхности фундаментов, имеющей контакт с грунтом;
уменьшение глубины заложения фундаментов до пределов, допустимых по условиям деформаций и несущей способности оснований;
заложение фундаментов, как правило, на одном уровне;
засыпка грунтом пазух котлованов и выполнение фундаментных подушек из материалов, обладающих малым сцеплением и трением на контакте с поверхностью фундаментов;
устройство грунтовых подушек на основаниях, сложенных практически несжимаемыми грунтами;
размещение подвалов и технических подполий, как правило, под всей площадью сооружения (отсека);
устройство временных компенсационных траншей по периметру сооружения.
4.14 (5.25). Конструкции, расположенные над швом скольжения, должны быть связаны между собой железобетонными поясами, связями-распорками. 4.15 (5.26). Заделка деформационного шва по наружным стенам не должна препятствовать свободным перемещениям отсека. Ширина зазора деформационного шва должна удовлетворять условиям: |
где Lо - расстояние между центральными осями смежных отсеков бескаркасных сооружений и каркасных сооружений с фундаментами, соединенными связями-распорками, или иными конструктивными решениями фундаментов в направлении, перпендикулярном деформационному шву, или расстояние между центральными осями блоков жесткости каркасных сооружений с несвязанными фундаментами [ рис. 4 (4)]; H - высота сооружения от подошвы фундамента до карниза;  - расчетный крен сооружения (отсека) от подработки, определяемый по формулам: для площадок с плавными деформациями земной поверхности |
Рис. 4 (4). Схема для определения размеров зазора
деформационного шва между отсеками
для площадок при сосредоточенных деформациях земной поверхности в виде уступа |
здесь L - длина отсека. 4.16 (5.27). При проектировании сооружений для строительства в зонах, где возможно выделение метана на поверхность земли, следует предусматривать защиту сооружений от проникания и скопления в них метана. В соответствии с Инструкцией по защите зданий от проникания метана, утвержденной Министерством угольной промышленности СССР, защита должна обеспечиваться вентиляцией подвалов и подполий, дренированием газа на пути его движения к сооружениям. |
Общие указания
5.1 (8.1). Дымовые трубы, водонапорные башни, силосные корпуса и другие сооружения башенного типа следует проектировать по жестким конструктивным схемам. |
5.2. Влияние горных выработок рекомендуется учитывать при проектировании фундаментной плиты, несущих стен (или колонн), а также при определении крена и осадки башенного сооружения.
5.3. Фундаментную плиту рассчитывают в двух направлениях на воздействие горизонтальных деформаций растяжения и неравномерных вертикальных деформаций искривления или уступообразования земной поверхности.
5.4. Расчетную величину нагрузки
Nт по подошве фундамента
(рис. 5), приходящейся на участок шириной
b (рекомендуется принимать
b = 1 м), в любом сечении плиты определяют в зависимости от величины предельного сдвига грунта и соответствующего ему расстояния от оси фундаментной плиты до сечения, в котором прекращается нарастание сопротивления грунта сдвигу, вычисляемых по формулам:

(13)

(14)
где

- величина предельного сдвига грунта, м;
qн - нормативная равномерно распределенная линейная нагрузка на рассчитываемый участок (полосу) подошвы фундамента шириной b, кН/м;
20 и 0,15 - эмпирические коэффициенты, имеющие размерности соответственно, м и м2/кН;
x0 - расстояние от оси фундаментной плиты до сечения, в котором прекращается нарастание сопротивления грунта сдвигу, м;

- собственные деформации растяжения фундаментной плиты; допускается принимать

.
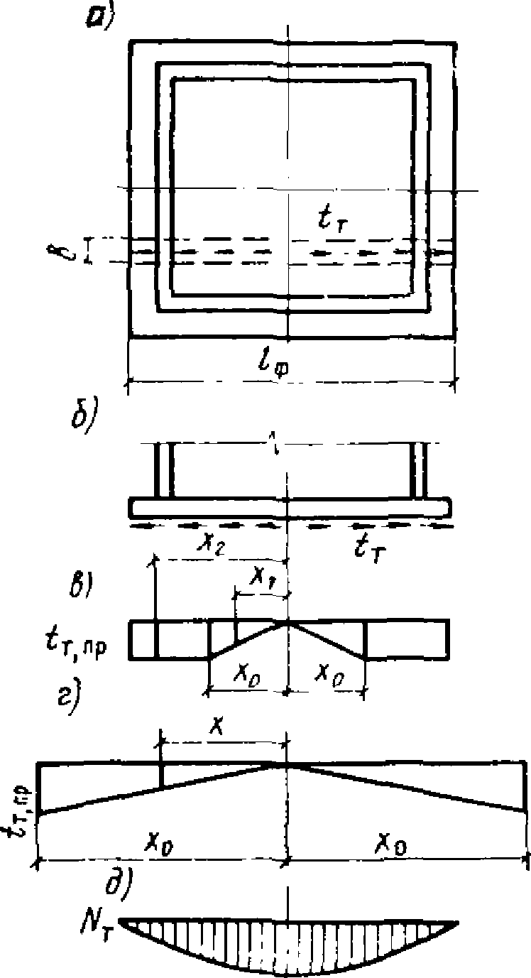
Рис. 5. Определение нагрузок по подошве фундамента
от воздействия горизонтальных деформаций растяжения
а - план фундамента; б - разрез; в и г - эпюры сопротивления
грунта сдвигу; д - эпюра нагрузки Nт
5.5. В зависимости от соотношения x0 и 0,5lф (где lф - длина фундаментной плиты) расчетную величину сдвигающей силы определяют по формулам:
при
x0 < 0,5
lф (
рис. 5,
в) на участке
x0 >=
x1 >= 0

(15)
на участке 0,5lф >= x2 >= x0
Nт = (0,5lф - x2)tт.пр; (16)

(17)
где tт.пр - предельное значение сопротивления грунта основания сдвигу, определяемое по формуле

(18)

- угол внутреннего трения грунта основания;
cн - удельное сцепление грунта основания, кПа.
5.6. Максимальные значения
Nт возникают в сечении фундаментной плиты с координатой
x = 0 и определяются по формулам:

(19)

(20)
5.7. На подрабатываемых территориях I - IV групп в зависимости от радиуса кривизны земной поверхности, коэффициента жесткости основания и размера фундаментной плиты в плоскости изгиба возможны четыре качественно различные схемы взаимодействия сооружения с основанием
(рис. 6).
Рис. 6. Расчетные схемы взаимодействия башенного сооружения
с криволинейно-деформированным основанием
5.8. Расчетные значения отпора грунта под подошвой фундамента определяются суммой величин отпора:
вызванных суммарной вертикальной нагрузкой при взаимодействии фундаментной плиты с криволинейно-деформированным основанием;
вызванных суммарной горизонтальной нагрузкой при взаимодействии фундаментной плиты с недеформированным основанием.
5.9. Расчетная схема фундаментной плиты на криволинейно-деформированном основании определяется в зависимости от значения коэффициента

, вычисляемого по формуле

(21)
где N - равнодействующая всех вертикальных нагрузок на основание, кН;
lф - длина фундаментной плиты в плоскости изгиба, м;
bф - ширина фундаментной плиты, м;
C - коэффициент жесткости основания, кН/м
3, определяемый по
прил. 1.
При

принимают схемы 1 и 3, при

схемы 2 и 4 (см.
рис. 6).
5.10. Расчетные значения отпора грунта при кривизне выпуклости или вогнутости и полном контакте подошвы фундамента с грунтом (схемы 1 и 3) определяют по формулам:

(22)

(23)
Расчетные значения отпора грунта при кривизне выпуклости и неполном контакте подошвы фундамента с грунтом (схема 2) определяют по формулам:

(24)

(25)
Расчетные значения отпора грунта при кривизне вогнутости и неполном контакте подошвы фундамента с грунтом (схема 4) определяют по формулам:

(26)

(27)
где

и

- величины, определяемые по формулам:

(28)

(29)
5.11. На подрабатываемых территориях I, к - IV, к групп в зависимости от наличия над коренными породами наносов (четвертичных и третичных отложений), их мощности и физико-механических характеристик слагающих грунтов возможны две формы деформирования основания сооружений: образование уступа или зоны сосредоточенных деформаций
(рис. 7).
Рис. 7. Возможные формы деформирования основания сооружений
на подрабатываемых территориях I, к - IV, к групп
а - образование уступа; б - образование зоны сосредоточенных
деформаций; M1 - момент от нагрузок основного сочетания;
M2 - момент, вызванный креном
Первую форму рекомендуется принимать, если под подошвой фундамента залегают коренные породы или ширина зоны сосредоточенных деформаций удовлетворяет условию
lз <= 0,15lф, (30)
где lф - длина (ширина) или диаметр фундаментной плиты.
Вторую форму принимают во всех остальных случаях.
5.12. Значение ширины зоны сосредоточенных деформаций рекомендуется определять по формуле

(31)
где d - минимальная высота массива грунта между подошвой фундамента и коренными породами в пределах сооружения;

- угол внутреннего трения наносов.
5.13. Максимальную разность оседаний в зоне сосредоточенных деформаций принимают равной высоте уступа в коренных породах.
5.14. Систему "сооружение-основание" представляют расчетной схемой: штамп под действием вертикальной нагрузки и опрокидывающего момента вдавливается в упругое ступенчатое основание
(рис. 8), характеризуемое коэффициентом жесткости
C, определяемым согласно
прил. 1, с учетом рекомендаций
пп. 5.27 и
5.28.
Рис. 8. Расчетная схема башенного сооружения
на ступенчатом основании
Величину опрокидывающего момента определяют по формуле

(32)
где N - равнодействующая всех вертикальных нагрузок на основание;
W - равнодействующая ветровой нагрузки;
e - эксцентриситет равнодействующей N относительно вертикальной оси сооружения;
hN - расстояние от точки приложения равнодействующей N до подошвы фундамента;
hw - расстояние от линии действия равнодействующей W до подошвы фундамента;

- стабилизированный крен сооружения.
5.15. При образовании уступа в основании сооружения (1-я форма деформирования основания), в зависимости от сочетания значений
h,
xy,
N,
M,
lф,
C и направления опрокидывающего момента (момент, направленный в сторону уступа, принят положительным), возможны 10 качественно различных схем его опирания на ступенчатое основание (
рис. 9 -
11).
Рис. 9. Плита на ступенчато оседающем основании
при положительных значениях M1 и M2
а - расчетная схема; б - эпюры осадок; в - эпюры отпора
грунта; 1 - 6 - номера схем опирания сооружений на основание
Рис. 10. Плита на ступенчато оседающем основании
при отрицательном значении M1 и положительном M2
а - расчетная схема; б - эпюры осадок;
в - эпюры отпора грунта
Рис. 11. Плита на ступенчато оседающем основании
при отрицательных значениях M1 и M2
а - расчетная схема;
б - эпюры осадок; в - эпюры отпора грунта
5.16. Расчетные значения отпора грунта под подошвой фундамента

определяют по
формулам (33) и
(34) соответственно:
при

и


(33)

(34)
где

и

- безразмерные параметры, определяемые по рекомендациям
п. 5.17;

,

и

- параметры, определяемые по формулам:

(35)

(36)

(37)
5.17. Безразмерные параметры

и

определяют для различных схем опирания сооружения (см.
рис. 9 -
11) решением систем уравнений: для схем 1 и 1а -
(38), 2 и 2а -
(39), 3 -
(40), 4 -
(41), 5 -
(42), 6 -
(43), 7 -
(44) и 8 -
(45):

(38)

(39)

(40)

(41)

(42)

(43)

(44)

(45)

(46)

(47)

(48)

(49)
Значения коэффициента
a в системах
уравнений (40) и
(41) определяют соответственно по формулам:

(50)

(51)
Области применения схем опирания, показанных на
рис. 9 -
11, определяются условиями, приведенными в
табл. 6.
Схема | Безразмерные параметры |
| | | | | | | | | |
1 | >= 0 | > 0 | > 0 | - | | - | - | - | - | - |
1а | < 0 | < 0 | < 0 | | - | - | - | - | - | - |
2 | >= 0 | > 0 | > 0 | | - | - | - | - | - | - |
2а | > 0 | < 0 | < 0 | - | | - | - | - | - | - |
3 | < 0 | > 0 | > 0 | | - | - | | - | - | - |
4 | >= 0 | > 0 | > 0 | - | - | | - | | - | - |
| | | | | | | | < 1 | | |
5 | > 0 | > 0 | > 0 | - | - | | - | | - | - |
| | | | | | | | < 1 | | |
6 | < 0 | > 0 | > 0 | - | | - | | - | - | - |
7 | > 0 | < 0 | > 0 | | - | - | - | - | | - |
| | | | | | | | | < 1 | |
8 | > 0 | < 0 | < 0 | - | - | - | - | - | - | |
5.18. При образовании зоны сосредоточенных деформаций в основании сооружения (2-я форма деформирования основания) возможны четыре случая их взаимного расположения: сооружение перекрывает зону сосредоточенных деформаций; сооружение частично расположено в верхней части зоны сосредоточенных деформаций; сооружение частично расположено в нижней части зоны сосредоточенных деформаций; сооружение расположено в средней части зоны сосредоточенных деформаций.
5.19. В зависимости от сочетания величин
h,
xy1,
xy2,
N,
M,
lф,
C и расположения сооружения относительно зоны сосредоточенных деформаций возможны качественно различные схемы его опирания на ступенчато-деформирующееся основание (
рис. 12 -
21).
Рис. 12. Плита на деформированном основании
при положительных значениях M1 и M2 (первый случай)
а - расчетная схема; б - эпюры осадок;
в - эпюры отпора грунта
Рис. 13. Плита на деформированном основании
при отрицательном значении M1 и положительном M2
(первый случай)
а - расчетная схема; б - эпюры осадок;
в - эпюры отпора грунта
Рис. 14. Плита на деформированном основании
при отрицательных значениях M1 и M2 (первый случай)
а - расчетная схема; б - эпюры осадок;
в - эпюры отпора грунта
Рис. 15. Плита на деформированном основании
при положительных значениях M1 и M2 (второй случай)
а - расчетная схема; б - эпюры осадок;
в - эпюры отпора грунта
Рис. 16. Плита на деформированном основании
при отрицательном значении M1 и положительном M2
(второй случай)
а - расчетная схема; б - эпюры осадок;
в - эпюры отпора грунта
Рис. 17. Плита на деформированном основании
при отрицательных значениях M1 и M2 (второй случай)
а - расчетная схема; б - эпюры осадок;
в - эпюры отпора грунта
Рис. 18. Плита на деформированном основании (третий случай)
а - расчетная схема при положительных значениях M1 и M2;
г - расчетная схема при отрицательном значении M1
и положительном M2; б, д - эпюры осадок;
в, е - эпюры отпора грунта
Рис. 19. Плита на деформированном основании
при отрицательных значениях M1 и M2 (третий случай)
а - расчетная схема; б - эпюры осадок;
в - эпюры отпора грунта
Рис. 20. Плита на деформированном основании
(четвертый случай)
а - расчетная схема при положительных значениях M1 и M2;
г - расчетная схема при отрицательном значении M1
и положительном M2; б, д - эпюры осадок;
в, е - эпюры отпора грунта
Рис. 21. Плита на деформированном основании
при отрицательных значениях M1 и M2 (четвертый случай)
а - расчетная схема; б - эпюры осадок;
в - эпюры отпора грунта
5.20. Расчетные значения отпора грунта под подошвой фундамента

в первом и втором случаях
(п. 5.18) определяют по
формулам (33) и
(34) соответственно при

и

. При

значение

определяют по формуле

(52)
Расчетные значения отпора грунта в третьем и четвертом случаях
(п. 5.18) определяют соответственно по формулам:

(53)

(54)
где

- величина, определяемая по формуле

(55)

- угол наклона фундамента, вычисляемый по формуле:

(56)
h(l) и h(0) - вертикальные перемещения фундамента, определяемые по формулам:

(57)

(58)

- величина, равная отношению

(59)
lз - ширина зоны сосредоточенных деформаций, определяемая по
формуле (31).
В случае использования
выражений (52) и
(53), если

, то при вычислении третьего члена следует принимать

.
5.21. В первом случае взаимного расположения сооружения и зоны сосредоточенных деформаций
(п. 5.18) безразмерные параметры

и

для различных схем опирания сооружения (
12 -
14) определяют решением систем уравнений: для схем 1 и 1а -
(60), 2 и 2а -
(61), 3 -
(62), 4 -
(63), 5 -
(64), 6 -
(65), 7 -
(66) и 8 -
(45):

(60)

(61)

(62)

(63)

(64)

(65)

(66)
Значения коэффициентов определяют по формулам:

(67)

(68)

(69)

(70)

(71)

(72)

(73)

(74)

(75)

(76)

(77)

(78)

(79)

(80)

(81)

(82)

(83)

(84)

(85)

(86)

(87)
Области применения схем опирания, показанных на
рис. 12 -
14, определяются условиями, приведенными в
табл. 7.
Схема | Безразмерные параметры |
| | | | | | | | | | | |
1 | >= 0 | - | >= 0 | >= 0 | - | | - | - | - | - | - | - |
1а | > 0 | - | < 0 | < 0 | | - | - | - | - | - | - | - |
2 | >= 0 | - | >= 0 | >= 0 | | - | - | - | - | - | | - |
2а | > 0 | - | < 0 | < 0 | - | | - | - | - | - | | - |
3 | < 0 | | > 0 | > 0 | | - | - | - | | - | - | - |
4 | >= 0 | - | > 0 | - | - | - | - | | - | | - | - |
5 | < 0 | | > 0 | - | - | - | - | | - | | - | - |
6 | < 0 | | > 0 | >= 0 | - | | - | - | - | - | - | - |
7 | > 0 | - | < 0 | < 0 | - | - | | - | - | - | - | - |
8 | > 0 | - | < 0 | < 0 | - | - | - | - | - | - | - | |
5.22. Во втором случае взаимного расположения сооружения и зоны сосредоточенных деформаций
(п. 5.18) безразмерные параметры

и

для различных схем опирания сооружения (см.
рис. 15 -
17) определяют решением систем уравнений: для схем 1 и 1а -
(88), 2 и 2а -
(61), 3 -
(62), 6 -
(69) и 8 -
(45):

(88)

(89)
Значения коэффициентов определяют по формулам:

(90)

(91)

(92)

(93)

(94)

(95)

(96)
Области применения схем опирания, показанных на
рис. 15 -
17, определяются условиями, приведенными в
табл. 8.
Схема | Безразмерные параметры |
| | | | | | | |
1' | >= 0 | - | >= 0 | >= 0 | | - | - | - |
1'а | > 0 | - | < 0 | < 0 | | - | - | - |
2 | >= 0 | - | >= 0 | >= 0 | | - | < 1 | - |
2а | > 0 | - | < 0 | < 0 | | - | < 1 | - |
3 | < 0 | | > 0 | > 0 | | | - | - |
6' | < 0 | | > 0 | >= 0 | | - | - | - |
8 | > 0 | - | < 0 | < 0 | - | - | - | |
5.23. В третьем случае взаимного расположения сооружения и зоны сосредоточенных деформаций
(п. 5.18) безразмерные параметры

и

для различных схем опирания сооружения (см.
рис. 18 и
19) определяют решением систем уравнений: для схем 9 и 9а -
(97), 10 -
(98), 11 -
(99), 12 -
(100) и 13 -
(101):

(97)

(98)

(99)

(100)

(101)
Значения коэффициентов определяют по формулам:

(102)

(103)

(104)

(105)

(106)

(107)

(108)

(109)

(110)

(111)

(112)

(113)

(114)

(115)
Области применения схем опирания, показанных на
рис. 18 и
19, определяются условиями, приведенными в
табл. 9.
Схема | Безразмерные параметры |
| | | | | |
9 | >= 0 | >= 0 | >= 0 | - | | - |
9а | < 0 | < 0 | < 0 | | - | - |
10 | > 0 | > 0 | > 0 | - | - | - |
11 | < 0 | > 0 | >= 0 | - | - | - |
12 | > 0 | < 0 | < 0 | - | | |
13 | > 0 | < 0 | < 0 | - | - | - |
5.24. В четвертом случае взаимного расположения сооружения и зоны сосредоточенных деформаций
(п. 5.18) безразмерные параметры

и

для различных схем опирания сооружения (см.
рис. 20 и
21) определяют решением систем уравнений: для схем 14 и 14а -
(116), 15 -
(117) и 15а -
(118):

(116)

(117)

(118)

(119)

(120)

(121)
Области применения схем опирания, показанных на
рис. 20 и
21, определяются по условиям, приведенным в
табл. 10.
Схема | Безразмерные параметры |
| | | | | |
14 | >= 0 | >= 0 | > 0 | > 0 | - | - |
14а | > 0 | < 0 | < 0 | >= 0 | - | - |
15 | <= 0 | >= 0 | > 0 | - | > 0 < 1 | - |
15а | > 0 | < 0 | < 0 | - | - | > 0 < 1 |
5.25. При определении расчетных значений отпора грунта в соответствии с требованиями
пп. 5.11 -
5.24 круглую или многоугольную правильной формы подошву фундамента заменяют квадратной.
Подошву фундамента сложного контура в плане заменяют равновеликой прямоугольной с соотношением сторон, равным соотношению максимальных размеров сложного контура.
5.26. При неизвестном расположении уступа (зоны сосредоточенных деформаций) по отношению к подошве фундамента рекомендуется принимать наиболее неблагоприятное с точки зрения возникновения максимального крена сооружения.
Наиболее неблагоприятное расположение уступа (зоны сосредоточенных деформаций) определяют по графикам
прил. 3 при значениях

и

. При

рекомендуется принимать

.
Соответствующие этому расположению уступа (зоны сосредоточенных деформаций) значения

и

принимают по таблицам
прил. 4 или согласно рекомендациям
пп. 5.17,
5.21 -
5.24.
5.27. При расчете сооружения на ступенчато оседающем основании рекомендуется производить корректировку коэффициента жесткости линейно-деформируемого основания
C, определяемого согласно
прил. 1.
Корректировку производят методом последовательных приближений в следующей последовательности.
По
формулам (33),
(34) или
(52) -
(54) определяют расчетное значение отпора грунта в месте образования уступа (зоны сосредоточенных деформаций), используя значение коэффициента жесткости линейно-деформируемого основания, принимаемого за нулевое приближение.
Если значения

(образование уступа),

(образование зоны сосредоточенных деформаций - первый и второй случаи) и
p(1) (образование зоны сосредоточенных деформаций - третий и четвертый случаи) меньше или равно 1,4
Rгрbф, то в расчет следует вводить значение коэффициента жесткости основания, равное нулевому приближению.
Если условие p <= 1,4Rгрbф не удовлетворяется, то определяют последующие приближения Cn по формуле

(122)
где Ф - несущая способность основания, определяемая в соответствии с требованиями главы СНиП по проектированию оснований зданий и сооружений;

- величина, определяемая при образовании уступа по
формуле (123), при образовании зоны сосредоточенных деформаций по
формулам (124) - в первом и втором случаях опирания сооружения,
(125) - в третьем случае и
(126) - в четвертом случае опирания сооружения:

(123)

(124)

(125)

(126)
Rгр - расчетное давление на основание, определяемое согласно главе СНиП по проектированию оснований зданий и сооружений.
В расчет вводится значение Cn, отличающееся от предыдущего приближения не более чем на 20%.
5.28. В случае невыполнения условия

(127)
контакт между фундаментом и грунтом не нарушается, поэтому в
формулах (123) -
(126) значения

и

рекомендуется вычислять по формулам для схем 1, 1', 9 и 14 при заданных значениях

и

. При этом необходимо использовать меньшее из двух значений

, определяемых по
формулам (128),
(129) при образовании уступа и
(130),
(131) - при образовании зоны сосредоточенных деформаций (первый случай),
(132),
(133) - второй случай,
(134),
(135) - третий случай,
(136),
(137) - четвертый случай:

(128)

(129)

(130)

(131)

(132)

(133)

(134)

(135)

(136)

(137)

(138)

(139)

(140)

(141)

(142)

(143)
Коэффициенты A1, A2, A3 и A4 определяют с использованием соответствующих значений B1, D1 и D2 по формулам:

(144)

(145)

(146)

(147)
5.29. Подземные участки наружных стен башенных сооружений рассчитывают на действие нагрузок, вызванных горизонтальными деформациями основания, в соответствии с
пп. 7.8 -
7.11,
7.13.
5.30 (8.2). Расчетный крен башенного сооружения следует определять в зависимости от расчетных величин деформаций основания (наклона или высоты уступа), деформационных свойств основания, форм и размеров подошвы фундамента, величин и характера распределения вертикальных и горизонтальных нормативных нагрузок. |
5.31. Расчетный крен башенного сооружения на подрабатываемых территориях I - IV группы, характеризующихся плавными деформациями земной поверхности, определяют по формуле

(148)
где i0 - крен фундамента, определяемый согласно главе СНиП по проектированию оснований зданий и сооружений;
i - величина ожидаемого наклона земной поверхности на площадке строительства башенного сооружения;
h - расстояние от точки приложения равнодействующей всех вертикальных нагрузок до подошвы фундамента;
e - расстояние от точки приложения равнодействующей всех вертикальных нагрузок на основание до центра подошвы фундамента, определяемое по формуле:

(149)
N - равнодействующая всех вертикальных нормативных нагрузок на основание;
Mо - опрокидывающий момент в уровне подошвы фундамента, определяемый по формуле
Mо = Ne0 + Whw; (150)
e0 - эксцентриситет приложения равнодействующей всех вертикальных нормативных нагрузок;
W - равнодействующая ветровой нормативной нагрузки на сооружение;
hw - расстояние от точки приложения равнодействующей ветровой нагрузки до подошвы фундамента.
5.32. Расчетный крен башенного сооружения на подрабатываемых территориях I, к - IV, к группы, характеризующихся сосредоточенными деформациями земной поверхности, определяют по формуле

(151)
где

- величина, определяемая в соответствии с рекомендациями
пп. 5.17,
5.21 -
5.24.
5.33. Стабилизированную осадку фундамента башенного сооружения на подрабатываемых территориях I, к - IV, к группы при образовании уступа в основании сооружения или зоны сосредоточенных деформаций в первом и втором случаях
(п. 5.18) определяют по формуле

(152)
В третьем и четвертом случаях взаимного расположения сооружения и зоны сосредоточенных деформаций в его основании
(п. 5.18) стабилизированную осадку фундамента определяют по формуле

(153)
5.34. Величина крена башенного сооружения, найденная по
формулам (148) и
(151), не должна превышать предельные значения, определяемые из следующих условий:
максимальное давление на основание фундамента башенного сооружения с учетом дополнительного момента, вызванного креном сооружения, не должно превышать 1,4Rгр;
равнодействующая всех вертикальных нагрузок на основание не должна выходить за пределы ядра подошвы фундамента.
Соответствующие этим условиям предельные крены фундамента башенного сооружения на подрабатываемых территориях I - IV группы определяют по формуле

(154)
где iпр - предельный крен фундамента в обычных условиях, определяемый согласно главе СНиП по проектированию оснований зданий и сооружений с заменой значения e на величину
Mпр - предельный момент, определяемый из условий максимального и минимального краевого давления на основание pmax = 1,4Rгр и pmin = 0 соответственно по формулам:
Mпр = W(1,4Rгр - N/F); (156)
Mпр = WN/F; (157)
W и F - момент сопротивления и площадь подошвы фундамента;
Rгр - расчетное давление на основание, определяемое согласно главе
СНиП 2.02.01-83.
5.35 (8.3). Для снижения крена сооружения проектом необходимо предусматривать увеличение размеров подошвы фундамента, понижение центра тяжести сооружения, введение вантовых устройств, мероприятия по выравниванию сооружения. |
5.36. Конструкции башенного сооружения должны быть рассчитаны с учетом дополнительного изгибающего момента, обусловленного вертикальными нагрузками вследствие крена сооружения.
Дымовые трубы
5.37. При проектировании дымовых труб для строительства на подрабатываемых территориях рекомендуется выполнять расчеты фундамента и ствола трубы с учетом наклона земной поверхности или образования уступа в основании.
5.38. При определении расчетного крена дымовой трубы следует учитывать момент от наклона сооружения, допускаемого при строительстве, равный 0,002.
5.39. Если величина расчетного крена, вычисленная по
формуле (148) или
(151), превышает предельные значения, регламентируемые главой СНиП по проектированию оснований зданий и сооружений, то необходимо выполнить расчет несущих конструкций дымовой трубы (ствола и фундамента) по первой и второй группам предельных состояний, определяя дополнительные моменты в стволе, а также величину момента, действующего на фундамент, с учетом найденного значения расчетного крена.
5.40. Устойчивость дымовой трубы в целом, определяемая с учетом расчетного значения крена, должна удовлетворять условию
где Mуд - удерживающий момент, определяемый по формуле
Mуд = Nj(r - yс); (159)
Nj - нагрузка от собственной массы трубы в рассматриваемом сечении;
r - наружный радиус ствола или фундаментной плиты;
yс - отклонение центра тяжести трубы от вертикали;
Mоп - опрокидывающий момент в рассматриваемом сечении.
Для дымовых труб, в которых ствол жестко связан с фундаментом,
условие (158) проверяется по отношению к подошве фундамента; в противном случае, например для кирпичных дымовых труб, указанное требование должно удовлетворяться по отношению к сечению ствола по обрезу фундамента.
5.41. Для кирпичных дымовых труб эксплуатационная пригодность ствола определяется следующими условиями:
эксцентриситет продольной силы в горизонтальных сечениях ствола не должен превышать радиуса ядра этих сечений

(160)
где ej - величина эксцентриситета продольной силы в j-м сечении, определяемая по формуле

(161)

- радиус ядра
j-го сечения, определяемый по формуле

(162)
расчетная продольная сила в горизонтальных сечениях ствола не должна превышать несущей способности этих сечений:
где Nj - расчетная продольная сила в j-м сечении;
[Nj] - несущая способность j-го сечения на внецентренное сжатие, определяемая согласно главе СНиП по проектированию каменных и армокаменных конструкций.
5.42. Предельные крены дымовой трубы, обусловленные условиями взаимодействия подошвы фундамента с основанием, определяются по
формуле (154). При этом значение
Mпр в
формуле (155) определяют по формулам:

(164)

(165)
где r1 и r2 - соответственно наружный и внутренний радиусы кольцевой подошвы фундамента; для круглого фундамента r2 = 0.
5.43. Если несущие конструкции дымовой трубы не удовлетворяют требованиям расчета по предельным состояниям (с учетом крена на подрабатываемой территории), а также если не удовлетворяются
условия (158),
(160),
(163) или величина расчетного крена превышает значение

, вычисленное по
формуле (154), то в проекте дымовой трубы необходимо предусмотреть усиление несущих конструкций, увеличение площади подошвы фундамента, регулирование усилий в стволе или возможность выправления крена трубы при подработке.
При расчетном крене

, как правило, рекомендуется предусматривать возможность выправления крена дымовой трубы.
5.44. Рекомендуется предусматривать техническое решение, позволяющее осуществить выправление крена ствола дымовой трубы при помощи гидравлических домкратов, располагаемых равномерно по периметру дымовой трубы в ее цокольно-фундаментной части.
Суммарная номинальная грузоподъемность домкратов должна не менее чем в 1,3 раза превышать величину равнодействующей всех вертикальных нормативных нагрузок на фундамент. При этом номинальная грузоподъемность одного домкрата должна быть не менее 1,2
Pд, где
Pд - величина, определяемая по
формуле (166).
Предпочтение следует отдавать гидравлическим домкратам грузоподъемностью 100 т.
Домкраты устанавливают только во время выправления крена ствола дымовой трубы.
5.45. Фундамент дымовой трубы, предназначенный для строительства на подрабатываемой территории, рекомендуется выполнять из двух частей: опорной и цокольной.
Для установки домкратов в опорной части фундамента рекомендуется устраивать опорные площадки в нишах или на внешних консольных выступах.
Цокольную часть фундамента, служащую для передачи усилий от гидравлических домкратов на ствол дымовой трубы, рекомендуется выполнять в виде кольцевой балки.
5.46. Размеры ниш и консольных выступов в плане, а также высоту ниш и расстояние между опорными площадками консольных выступов на опорной и цокольной частях фундамента рекомендуется принимать из условия размещения гидравлических домкратов и металлических распределительных прокладок между домкратами и опорными конструкциями.
При использовании гидродомкратов грузоподъемностью 100 т размеры ниш в плане должны быть не менее 500 x 500 мм, высота - не менее 450 мм.
5.47. Между опорной и цокольной частями должен быть выполнен разделительный шов из двух слоев рубероида или другого материала, обеспечивающий беспрепятственное отделение указанных конструкций при выправлении крена ствола дымовой трубы.
Для удобства выправления крена ствола рекомендуется домкраты расположить выше уровня отмостки. В противном случае в проекте следует предусматривать устройство закрытых приямков у мест расположения ниш или консольных выступов для установки домкратов.
5.48. Для связи цокольной части фундамента с опорной необходимо предусматривать постановку регулируемых стяжек в виде талрепов, болтов, шпилек и т.п. Крепление стяжек производится при помощи анкеров, закладываемых в опорной и цокольной частях фундамента.
Длина регулируемых стяжек должна обеспечивать раскрытие разделительного шва между цокольной и опорной частями фундамента на величину

, а конструкция узлов - регулирование усилий в стяжках гаечным ключом.
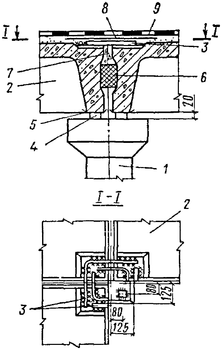
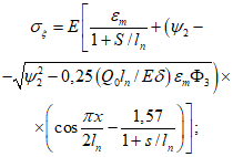
5.49. Для кирпичных дымовых труб высотой 30, 45 и 60 м рекомендуется техническое решение по выправлению крена ствола с нишами в опорной части фундамента
(рис. 22).
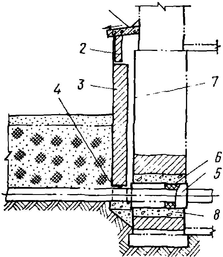
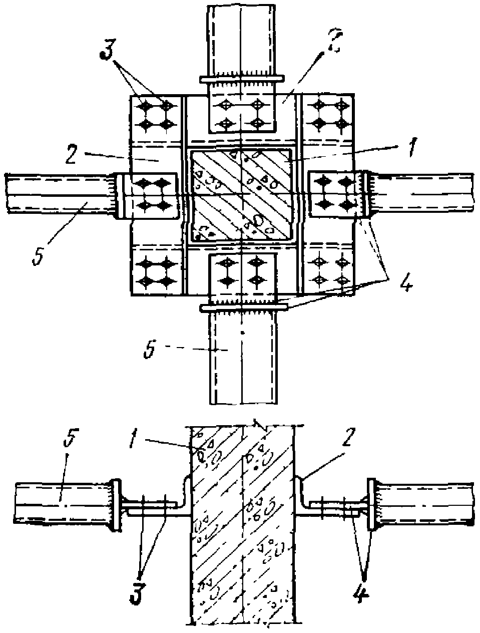
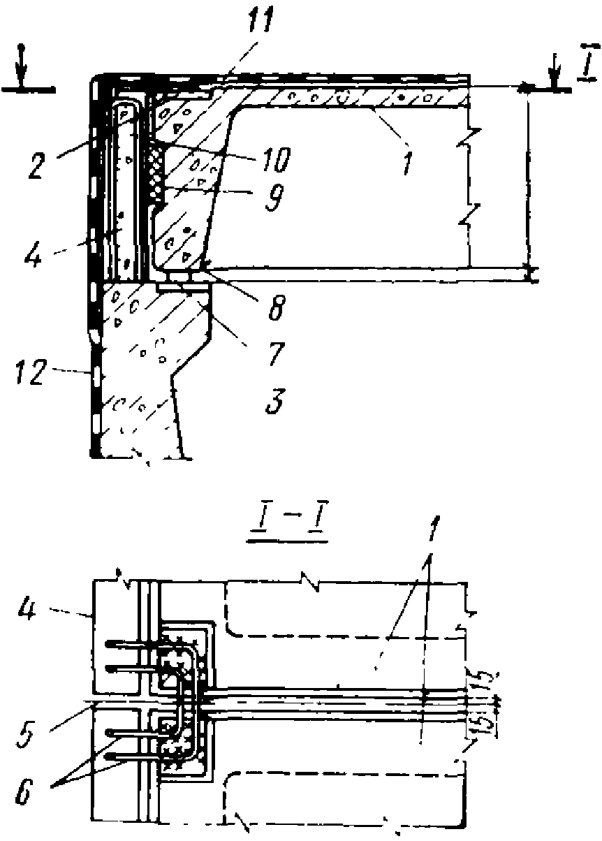
Рис. 22. Конструкция цокольно-фундаментной части
кирпичных дымовых труб
а - с надземным примыканием газоходов; б - с наземным;
в - с подземным; 1 - опорная часть фундамента; 2 - цокольная
часть фундамента; 3 - регулируемая стяжка; 4 - анкер;
5 - радиальная балка; 6 - плита перекрытия;
7 - приямок; 8 - ствол
5.50. Цокольную часть фундамента в кирпичных дымовых трубах рекомендуется рассчитывать как балку на упругом основании (кирпичная кладка ствола) на действие сосредоточенных нагрузок, создаваемых гидравлическими домкратами при выправлении крена ствола дымовой трубы.
5.51. Опорная и цокольная части фундамента должны быть рассчитаны на местное сжатие. При расположении домкратов на консольных выступах расчет опорной и цокольной частей выполняют с учетом действия крутящих моментов от нагрузок, создаваемых домкратами при выправлении крена, а консольные выступы рассчитывают на восприятие изгибающих моментов и поперечных сил от этих нагрузок.
5.52. При расчете конструкций по
пп. 5.50 и
5.51 величину нагрузки от одного домкрата определяют по формуле

(166)
где Nр - расчетная величина равнодействующей вертикальных нагрузок от собственной массы конструкций, расположенных выше разделительного шва;
hр - расстояние от точки приложения равнодействующей Nр до разделительного шва;
MWр - расчетный ветровой момент в уровне разделительного шва;

- расчетный крен дымовой трубы;

- дополнительный крен, обусловленный требованиями производства работ по выправлению крена ствола, принимаемый равным 1/(2
rн) (
rн - наружный радиус цокольной части фундамента, см);
rд - расстояние от центра фундамента до центра установки гидравлического домкрата в нише;
nд - число домкратов.
Принципиальные схемы армирования опорной и цокольной частей фундаментов кирпичных дымовых труб с различным примыканием газоходов показаны на
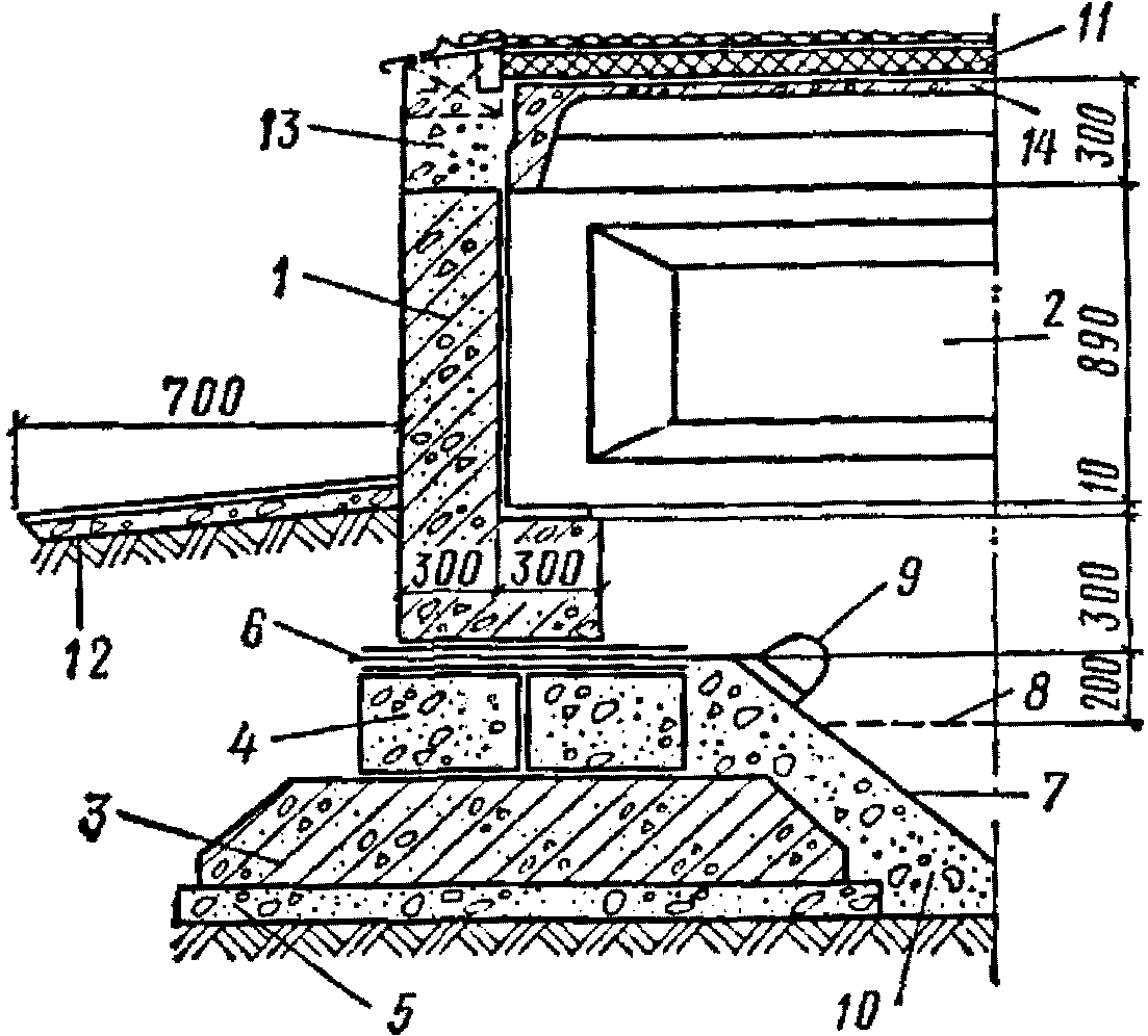
рис. 23.
Рис. 23. Принципиальные схемы армирования
опорной и цокольной частей фундамента дымовой трубы
а - опорная часть фундамента дымовой трубы с подземным
примыканием газоходов; б - то же, с надземным и наземным
примыканием газоходов; в - цокольная часть фундамента
(вариант с диаметральной балкой); г - плита перекрытия
5.53. Регулируемые стяжки рассчитывают на восприятие максимального расчетного усилия, определяемого по формуле

(167)
где
rс - расстояние от центра фундамента до регулируемой стяжки. Регулируемая стяжка в виде талрепа показана на
рис. 24.
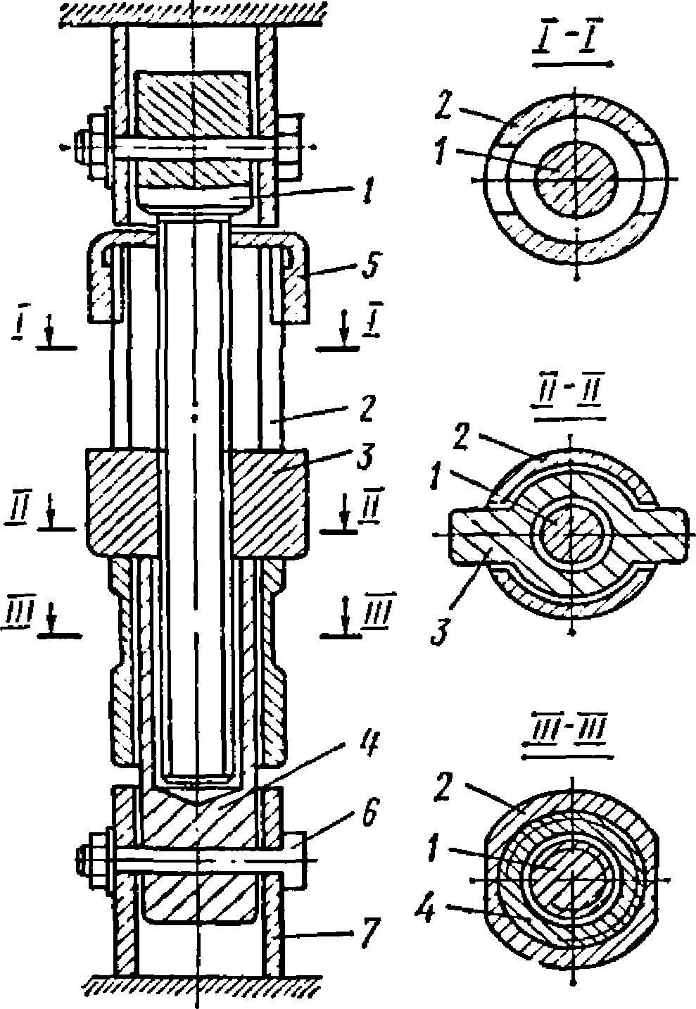
Рис. 24. Регулируемая стяжка
1 - резьбовой стержень; 2 - стяжная муфта; 3 - ходовая
гайка; 4 - полый резьбовой стержень; 5 - упорная гайка;
6 - горизонтальная ось; 7 - трубчатый закладной анкер
5.54. Надземное примыкание газоходов к стволу дымовой трубы рекомендуется проектировать консольным с образованием деформационного шва между стволом и газоходом. Размер деформационного шва следует принимать с учетом расчетного крена дымовой трубы при подработке.
5.55. В проекте дымовой трубы должны быть приведены указания о том, что в стадии эксплуатации регулируемые стяжки должны быть смазаны солидолом и обмотаны промасленной тканью, а ниши в опорной части фундамента заложены кирпичом (в полкирпича) на глиняном растворе.
5.56. Проект дымовой трубы должен содержать указания к производству работ по выправлению крена ствола.
Необходимо разобрать кирпичную кладку, закрывающую ниши, и в каждой нише установить гидравлический домкрат, разместив между домкратами и бетонными поверхностями фундамента металлические плиты размером 250 x 250 мм, толщиной не менее 20 мм.
Перед включением насосной станции производят регулировку стяжек из расчета обеспечения возможности перемещения цокольной части фундамента в горизонтальное положение. Соответствующая величина "свободного хода" для стяжек i-й ниши определяется по формуле

(168)
где

- минимальная величина зазора между опорной и цокольной частями фундамента посередине
i-й ниши, достаточная для приведения цокольной части в горизонтальное положение;

- минимальная величина отрыва цокольной части фундамента от опорной со стороны, противоположной крену, принимаемая равной 10 мм.
Раскрывающийся в процессе регулирования крена шов между опорной и цокольной частями фундамента расклинивают металлическими полосами, располагаемыми равномерно по всей площади контакта опорной и цокольной частей фундамента.
Водонапорные башни
5.57. При проектировании водонапорных башен для строительства на подрабатываемых территориях рекомендуется выполнить расчеты фундамента и ствола башни с учетом наклона земной поверхности или образования уступа в основании для комбинаций нагрузок: с заполненным и незаполненным баком.
5.58. Величину расчетного крена водонапорной башни определяют по
формуле (148) или
(151) для двух комбинаций нагрузок: с заполненным и незаполненным баком.
5.59. Устойчивость водонапорной башни, определяемая с учетом расчетного крена, должна удовлетворять
условию (158). При этом для башен с железобетонным и стальным стволом, в которых ствол жестко связан с фундаментом,
условие (158) проверяется по отношению к подошве фундамента, а для башен с кирпичным стволом - по отношению к сечению ствола по обрезу фундамента.
5.60. Для водонапорных башен с кирпичным стволом эксплуатационная пригодность ствола в расчетных сечениях определяется из
условий (163) и по формуле
где Wj и Fj - соответственно момент сопротивления и площадь расчетного j-го сечения.
5.61. Предельные крены водонапорной башни, обусловленные условиями взаимодействия подошвы фундамента с основанием, определяются по
формуле (154).
5.62. Если несущие конструкции водонапорной башни не удовлетворяют требованиям расчета по предельным состояниям (с учетом крена на подрабатываемой территории), а также не удовлетворяются
условия (158),
(163),
(169) или величина расчетного крена превышает значение

, вычисляемое по
формуле (154), то в проекте водонапорной башни необходимо предусмотреть усиление несущих конструкций, увеличение площади подошвы фундамента или возможность выправления крена башни при подработке.
5.63. Для выправления крена водонапорной башни с кирпичным стволом рекомендуется такое же техническое решение, как для дымовых труб.
Силосные корпуса
5.64. На дополнительные воздействия, обусловленные влиянием горных выработок, рекомендуется выполнить расчеты следующих конструкций силосного корпуса: фундаментной плиты, стен и колонн подсилосного этажа.
5.65. Фундаментную плиту рассчитывают в двух направлениях на действие нагрузки
Nт и отпора грунта под подошвой
p, определяемых согласно
пп. 5.4 -
5.6 и
5.8 -
5.10,
5.16,
5.20.
5.66. Максимальные продольные нагрузки на колонны подсилосного этажа или подземные участки стен (для силосов, опирающихся непосредственно на фундаментную плиту) определяют исходя из величин максимальных расчетных значений отпора грунта, приходящихся на соответствующую грузовую площадь фундамента.
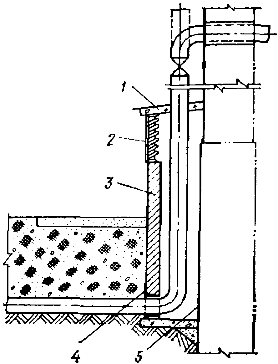
5.68. В качестве конструктивных мер защиты от влияния горных выработок силосного корпуса рекомендуется разрезка сооружения на отсеки
(рис. 25), замена колонн несущими стенами
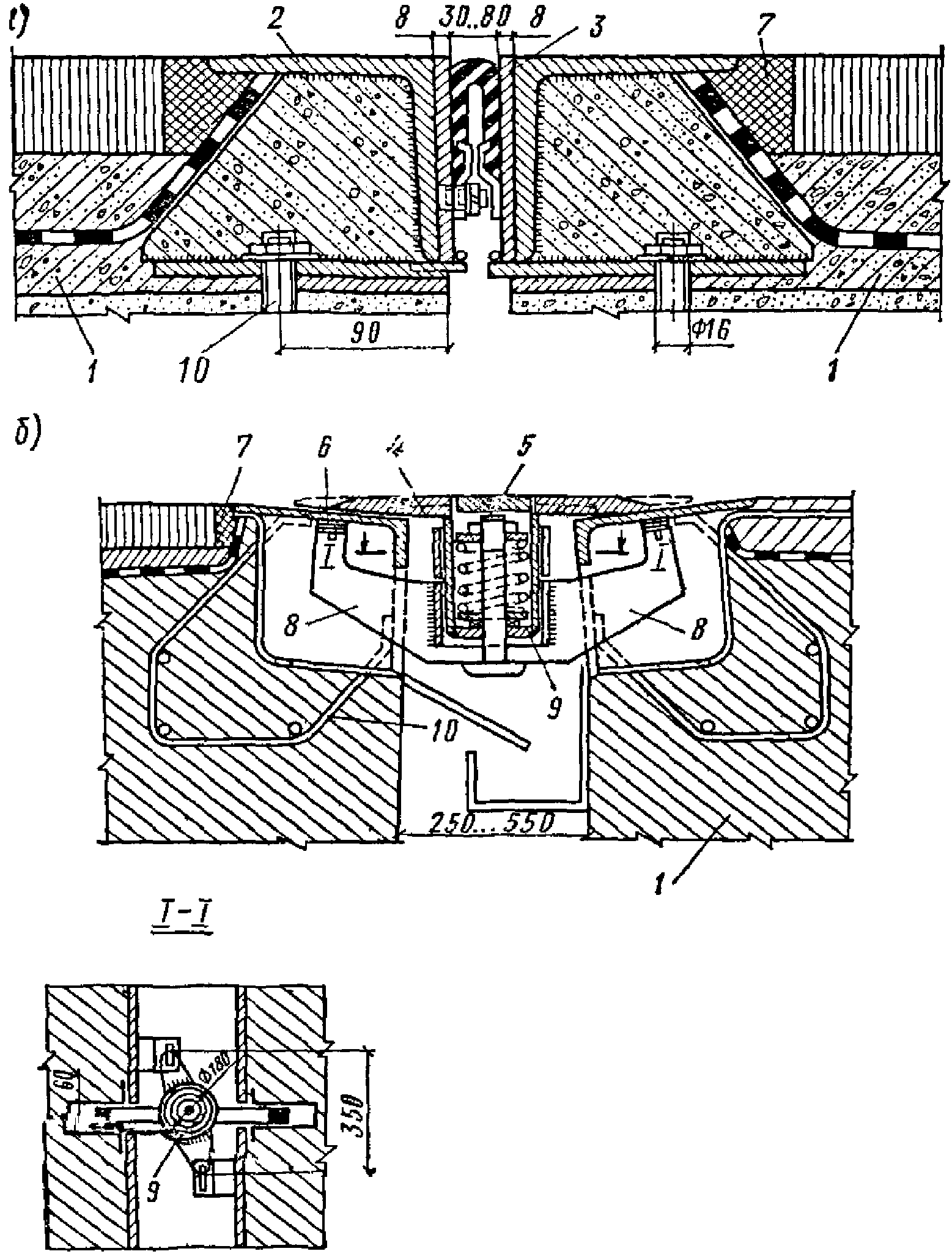
(рис. 26), увеличение толщины фундаментной плиты, стен.
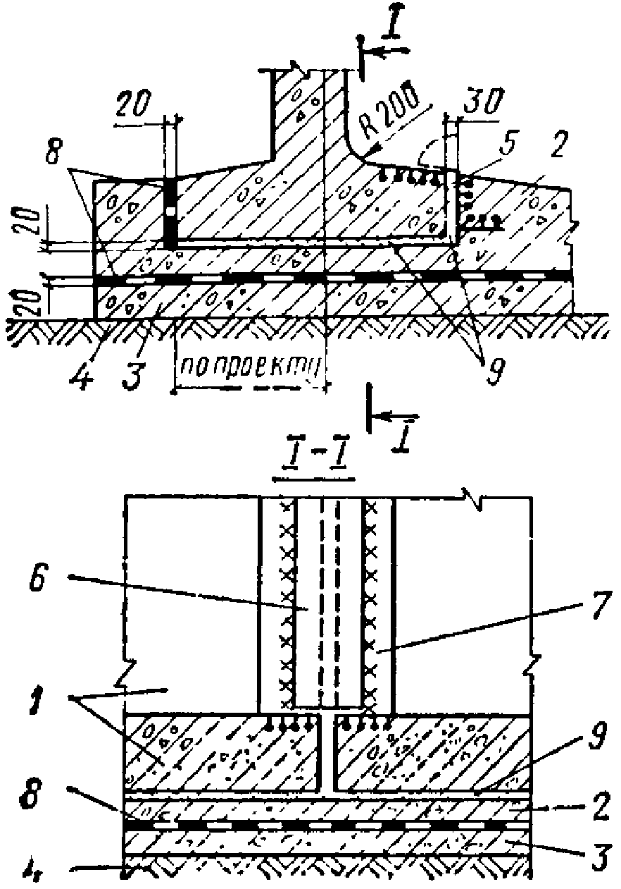
Рис. 25. Схема устройства деформационного шва
в силосных корпусах
1 - фундаментная плита; 2 - подсилосное перекрытие;
3 - надсилосное перекрытие; 4 - вставка, перекрывающая
деформационный шов; 5 - пилястра; 6 - стенка силоса;
7 - колонна подсилосного этажа; 8 - стакан;
9 - деформационный шов
Рис. 26. Схема замены колонн на несущие стены
1 - фундаментная плита; 2 - несущая стена; 3 - воронка
силоса; 4 - шов скольжения; 5 - бетонная подготовка
Угольные башни
5.69. Для подрабатываемых территорий угольные башни рекомендуется проектировать с монолитными железобетонными стенами на общем плитном фундаменте под несущие стены и колонны.
5.70. На дополнительные воздействия, обусловленные влиянием горных выработок, рекомендуется выполнить расчеты следующих конструкций угольной башни: фундаментной плиты, подземных участков наружных стен, внутренней поперечной стены нижней зоны, продольных несущих стен в зоне проезда загрузочного вагона.
5.71. Фундаментную плиту рассчитывают в двух направлениях на действие нагрузки
Nт и отпора грунта под подошвой
p, определяемых по
пп. 5.4 -
5.6 и
5.8 -
5.10,
5.16,
5.20.
5.72. Горизонтальные сечения подземных участков наружных стен рассчитывают на внецентренное сжатие, вызываемое одновременным действием вертикальных и горизонтальных нагрузок.
5.73. Максимальные вертикальные нагрузки на подземные участки наружных стен определяют исходя из величины расчетных значений отпора грунта при деформациях вогнутости. При этом равнодействующая вертикальной нагрузки вычисляется в соответствии с размерами грузовой площади, с которой отпор грунта через фундаментную плиту воспринимается рассчитываемым участком стены.
5.74. При определении изгибающих моментов в подземной части стены от горизонтальных нагрузок

, вызванных горизонтальными деформациями сжатия основания (
пп. 7.8 -
7.11), принимают расчетную схему стены в виде неразрезной балки, защемленной в фундаментной плите и шарнирно опираемой в уровне перекрытия над подвалом.
5.75. Вертикальные сечения подземных участков наружных стен рассчитывают на действие нагрузок, вызванных горизонтальными деформациями растяжения основания и действующих в плоскости стены (см.
п. 7.13).
5.76. Внутреннюю поперечную стену нижней зоны угольной башни рассчитывают как балку-стенку на нагрузку, передаваемую на нее фундаментной плитой и вычисляемую исходя из величин максимальных расчетных значений отпора грунта при деформациях выпуклости.
5.77. Продольные несущие стены угольной башни в зоне проезда загрузочного вагона рассчитывают как стойки рамы с абсолютно жестким ригелем. При определении нагрузок на раму необходимо учитывать дополнительные величины момента и горизонтальной силы, прикладываемые в уровне ригеля и вычисляемые по формулам:

(170)

(171)
где Nп - равнодействующая расчетных вертикальных нагрузок, расположенных над зоной проезда загрузочного вагона;
hп - расстояние по вертикали от точки приложения равнодействующей вертикальных нагрузок, расположенных над зоной проезда загрузочного вагона, до ригеля рамы;

- максимальный расчетный крен угольной башни в направлении меньшей стороны, определяемый по
формуле (148) или
(151).
6. ТРАНСПОРТНЫЕ СООРУЖЕНИЯ
Общие указания
6.1. Транспортные сооружения, предназначенные для строительства на подрабатываемых территориях, рекомендуется проектировать по податливым конструктивным схемам.
6.2. Расчетные вертикальные

, горизонтальные

перемещения и углы поворота

фундаментов транспортных сооружений, вызванные действием горизонтальных деформаций растяжения-сжатия, кривизны или сосредоточенных деформаций земной поверхности в виде уступа, определяют по формулам:

(172)

(173)

(174)
где xj - расстояние от условного начала отсчета до рассматриваемого фундамента;
k - коэффициент, принимаемый равным целому числу n = 1, 2, 3, ..., удовлетворяющему условию
(n - 1)Lу < xj < nLу; (175)
Lу - расстояние между уступами на земной поверхности, принимаемое равным 25 м;
lф - размер подошвы рассматриваемого фундамента в плоскости его поворота;
mK и

- коэффициенты условий работы, принимаемые для путепроводов разрезных балочных систем в зависимости от длины пролета между рассматриваемой
j-й опорой и смежной опорой (в сторону условного начала отсчета).
Примечания: 1. За условное начало отсчета при определении вертикальных и горизонтальных перемещений и углов поворота фундаментов принимают: для путепроводов - их середину, для конвейерных галерей - оси анкерных опор в отсеках между деформационными швами.
2. В
формулах (172) и
(174) принимают: при плавных деформациях земной поверхности
h = 0, при ступенчатых
.
3. Значение угла поворота, определяемое по
формуле (174), является нулевым приближением. Последующие приближения

определяют по
формуле (148) или
(151), в которых эксцентриситет равнодействующей вертикальных нагрузок на основание вычисляют с учетом дополнительного момента, определяемого для путепроводов по
формуле (177) с подстановкой значения

из предыдущего приближения. Кроме того, в
формуле (148) вместо значения
i принимают

.
6.3. Ширина зазора деформационного шва в пролетном строении транспортного сооружения определяется по формуле

(176)
где L0 - расстояние между опорами в путепроводах разрезных балочных систем (в пролете, где опирание пролетного строения на опору, над которой проектируют деформационный шов, является шарнирно-подвижным) и расстояние между анкерными опорами или между анкерной опорой и центральной осью примыкающего сооружения в конвейерных галереях;

- расчетный крен опоры (в галереях - анкерной опоры или примыкающего сооружения), определяемый по
формуле (174) с заменой
xj величиной
L0;
H - величина, принимаемая равной: для путепроводов - расстоянию от подошвы фундамента до верха опоры (учитывается более высокая из двух опор: над которой проектируют деформационный шов или смежная в пролете L0); для галерей - расстоянию от подошвы фундамента анкерной опоры до ее верха (учитывается более высокая анкерная опора в смежных отсеках, между которыми проектируют деформационный шов) или расстоянию от подошвы фундамента примыкающего сооружения до уровня деформационного шва, если шов между пролетным строением и примыкающим сооружением расположен выше анкерной опоры.
6.4. При расчете усилий в конструкциях транспортных сооружений от влияния горных выработок рекомендуется:
жесткость элементов железобетонных конструкций определять с учетом ползучести бетона (длительная жесткость) в соответствии с методикой, изложенной в
прил. 2;
жесткость элементов металлических конструкций определять с учетом их работы в упругой стадии.
6.5. В проектах транспортных сооружений рекомендуется предусматривать возможность выправления и рихтовки конструкций после подработки для обеспечения дальнейшей нормальной эксплуатации сооружений.
Путепроводы
6.6. Для строительства на подрабатываемых территориях рекомендуется проектировать путепроводы разрезных балочных систем.
6.7. Промежуточные опоры рекомендуется сопрягать с одним из примыкающих пролетных строений шарнирно-неподвижными опорными частями, а с другим - шарнирно-подвижными.
6.8. При расчете оснований, фундаментов, опор и устоев необходимо учитывать дополнительные моменты, обусловленные неравномерными вертикальными и горизонтальными деформациями земной поверхности при подработке.
6.9. Величину дополнительного момента, действующего в плоскости оси путепровода
(рис. 27), определяют по формуле

(177)
где Pпj - расчетная опорная реакция шарнирно-подвижной опорной части;
Pнj - то же, шарнирно-неподвижной опорной части;
Qj - расчетная нагрузка от собственной массы опоры;

и

- горизонтальные перемещения
j-й и смежной с ней опоры, расположенной со стороны пролета, в котором опирание пролетного строения на рассматриваемую
j-ю опору является шарнирно-подвижным, определяемые по
формуле (173);

и

- углы поворота
j-й и смежной с ней опоры, определяемые по
формуле (174);
Hj и Hс - расстояние от подошвы фундаментов соответственно j-й и смежной с ней опоры до их верха;
zpj и zqj - расстояние по вертикали между точками приложения соответственно нагрузок Pj и Qj и рассматриваемым сечением опоры или подошвы фундамента;

- коэффициент, зависящий от типа опорной части.
Рис. 27. К расчету дополнительных усилий
в плоскости оси путепровода
j - рассматриваемая опора; c - смежная опора;
А-А - произвольное сечение; 1 - пролетное строение;
2 - шарнирно-неподвижная опорная часть пролетного
строения; 3 - то же, шарнирно-подвижная часть
Величину дополнительного момента, действующего в плоскости, перпендикулярной к оси путепровода, определяют по формуле

(178)
где

- расчетный угол наклона опоры в плоскости, перпендикулярной к продольной оси путепровода (допускается принимать равным расчетной величине наклона земной поверхности).
Примечание. При вычислении дополнительного момента по
формуле (177) необходимо соблюдать следующее правило знаков: значения

и

принимаются положительными при перемещении опор слева направо, отрицательными - справа налево; значения

и

принимаются положительными при повороте опоры по часовой стрелке, отрицательными - против часовой стрелки.
Положительные значения дополнительного момента направлены по часовой стрелке, отрицательные - против часовой стрелки.
6.10. Максимальное давление на грунт фундаментов промежуточных опор и устоев, вычисляемое с учетом дополнительных моментов Mxj и Myj, не должно превышать 1,4Rгр.
Ординаты эпюры давления на грунт фундаментов промежуточных опор и устоев определяют в соответствии с рекомендациями
пп. 5.8 -
5.10,
5.16 и
5.20.
6.11. При проектировании промежуточных опор и устоев дополнительные моменты Mxj и Myj должны быть учтены в расчетах указанных конструкций на прочность и устойчивость.
6.12. Поперечные рамы промежуточных опор и устоев должны быть рассчитаны на совместное воздействие неравномерных вертикальных, горизонтальных деформаций и наклонов земной поверхности.
Величины расчетных перемещений фундаментов опор в плоскости, перпендикулярной к продольной оси путепровода, определяются по
формулам (172) -
(174).
6.13. Для снижения усилий в поперечных рамах промежуточных опор и устоев рекомендуется их разрезка деформационными швами на отсеки и устройство связей-распорок между фундаментами.
6.14. Минимальное сечение связей-распорок рекомендуется принимать из условия размещения арматуры, но не менее 20 x 20 см. Увеличение поперечного сечения связей-распорок должно осуществляться, как правило, за счет их ширины. Высоту сечения связей-распорок рекомендуется назначать в пределах 1/20 - 1/50 их расчетного пролета.
6.15. Расчетный пролет связи-распорки принимается равным длине участка в свету между фундаментами. Соединение связей-распорок с фундаментами осуществляется шарнирно.
6.16. Связи-распорки рассчитывают на восприятие нагрузок от воздействия горизонтальных деформаций основания на фундаменты в соответствии с рекомендациями "Руководства по проектированию зданий и сооружений на подрабатываемых территориях", ч. II.
6.17. При проектировании пролетных строений, опорных частей и деформационных швов рекомендуется учитывать следующие расчетные перемещения элементов путепровода:
неравномерное оседание смежных опор, обусловленное кривизной или сосредоточенными деформациями земной поверхности в виде уступов, вычисляемое по
формуле (172) с заменой
xj величиной
l, равной расстоянию между смежными опорами;
неравномерное оседание рамных опор и устоев в плоскости, перпендикулярной к продольной оси путепровода, обусловленное кривизной или сосредоточенными деформациями земной поверхности в виде уступов, определяемое по
формуле (172) с заменой
xj величиной
B, равной расстоянию между крайними стойками рамы опоры или устоя;
взаимное перемещение смежных опор в плоскости продольной оси путепровода, обусловленное горизонтальными деформациями растяжения-сжатия земной поверхности, вычисляемое по
формуле (173) с заменой
xj величиной
l, равной расстоянию между смежными опорами;
взаимное перемещение верха смежных опор в двух направлениях (в плоскости продольной оси путепровода и в плоскости, перпендикулярной к продольной оси), обусловленное неравномерными вертикальными деформациями земной поверхности (кривизна или сосредоточенные деформации в виде уступов), определяемое по формуле

(179)
где H - расстояние от подошвы фундамента до верха опоры;
перемещение верха массивной опоры или устоя в двух направлениях (в плоскости продольной оси путепровода и в плоскости, перпендикулярной к продольной оси), обусловленное неравномерными вертикальными деформациями земной поверхности, вычисляемое по формуле

(180)
В
формулах (179) и
(180) принимают: при плавных деформациях земной поверхности
h = 0, при ступенчатых

.
6.18. Пролетные строения рекомендуется проектировать без учета дополнительных усилий от неравномерных перемещений промежуточных опор и устоев. При этом конструкции опорных частей должны обеспечивать возможность свободных перемещений элементов пролетных строений, а также их рихтовки при неравномерных оседаниях опор и устоев.
6.19. Рекомендуется разрезка путепроводов с пролетными строениями для двух направлений движения габаритом более 8 м продольным деформационным швом.
| | ИС МЕГАНОРМ: примечание. При публикации в издании М.: Стройиздат, 1986 допущен типографский брак. Текст, не пропечатанный в официальном тексте документа, в электронной версии данного документа выделен треугольными скобками. | |
6.20. Опорные части пролетных строений необходимо проектировать с учетом обеспечения требуемых расчетных величин взаимных перемещений промежуточных опор и устоев (см.
п. 6<...>)
Для последующей рихтовки пролетных строений рекомендуется предусматривать возможность установки гидравлических домкратов. Рекомендуется также рассматривать целесообразность выравнивания пролетных строений при помощи нестационарных инвентарных устройств.
6.21. Конструкции деформационных швов пролетных строений должны обеспечивать эксплуатационную пригодность путепроводов при их подработке с учетом возможности закрытия и раскрытия швов на величину
aп, определяемую по
формуле (176). Рекомендуемые конструкции деформационных швов показаны на
рис. 28 и
29.
Рис. 28. Конструкции деформационных швов в пролете
а - с резиновым компенсатором; б - со скользящим листом;
1 - пролетное строение; 2 - окаймление; 3 - компенсатор;
4 - скользящий лист; 5 - крышка обоймы; 6 - фторопласт;
7 - мастика; 8 - прижимное ребро; 9 - пружина; 10 - анкер
Рис. 29. Конструкция деформационного шва на устое
1 - пролетное строение; 2 - устой; 3 - покрытие;
4 - скользящий лист; 5 - изоляция; 6 - компенсатор
из оцинкованного железа; 7 - мастика; 8 - прижим;
9 - пружина; 10 - анкер
6.22. При проектировании путепровода над железной дорогой железнодорожный габарит принимается с учетом расчетного оседания земной поверхности и подъема пути с обеспечением максимально допустимых уклонов.
6.23. Крепление коммуникаций (трубы, кабели, провода и др.) в местах расположения деформационных швов рекомендуется проектировать с учетом их возможного закрытия или раскрытия на величину
aп, определяемую по
формуле (176).
Конвейерные галереи
6.24 (8.4). Конвейерные галереи, возводимые на подрабатываемых территориях, следует проектировать по податливым схемам. Для подрабатываемых территорий I, I, к и II, II, к групп основные несущие конструкции конвейерных галерей следует, как правило, проектировать металлическими. 6.25. (8.5). Конвейерные галереи следует проектировать разрезной конструкции со швами на опорах, при этом должна обеспечиваться возможность рихтовки галереи на опорах в горизонтальной плоскости по нормали к продольной оси галереи. Опирание конвейерной галереи на здание должно быть подвижным. Деформационные швы следует перекрывать нащельниками. |
6.26. Общая устойчивость отсеков конвейерной галереи обеспечивается шарнирно-неподвижным сопряжением одного из концов пролетного строения с анкерной (пространственной) опорой.
6.27. Фундаменты под опоры конвейерных галерей рекомендуется проектировать в виде жестких балок (для плоских опор) и плит (для пространственных опор).
6.28. Деформационные швы должны разделять конвейерные галереи по всему периметру поперечного сечения.
6.29. В местах примыкания галерей к зданиям или сооружениям деформационные швы рекомендуется выполнять путем установки плоских опор у зданий или сооружений и консольного решения пролетных строений.
6.30. Допускается устройство деформационных швов с подвижным опиранием одного из концов пролетного строения на примыкающее сооружение или пространственную опору. При стесненных условиях строительства допускается использование примыкающего здания или сооружения в качестве анкерной опоры. Для уменьшения величины воздействия на здания (сооружения) в этом случае предпочтение следует отдавать схемам с минимальным количеством пролетов в примыкающих к зданиям (сооружениям) отсеках галерей.
6.31. Расчетная схема галереи принимается на основании ее конструктивной схемы с учетом допущений строительной механики.
Рекомендуемые статические схемы конвейерных галерей с промежуточными опорами, жестко и шарнирно связанными с фундаментами, показаны на
рис. 30 и
31. Предпочтение следует отдавать схемам с шарнирно опирающимися промежуточными опорами - "качающимися стойками".
Рис. 30. Статические схемы конвейерных галерей
с промежуточными опорами, жестко связанными с фундаментами
а - без анкерных опор с деформационным швом в пролете;
б - с анкерной опорой и деформационными швами в пролете
и у примыкающего сооружения; в - с анкерной опорой
и деформационными швами в пролете; 1 - примыкающее
сооружение; 2 - пролетное строение; 3 - промежуточная
опора; 4 - анкерная опора; 5 - "качающаяся" стойка;
6 - жесткий узел; 7 - шарнирный узел;
8 - шарнирно-неподвижный узел;
9 - деформационный шов
Рис. 31. Статические схемы конвейерных галерей
с промежуточными опорами, шарнирно связанными с фундаментами
а - с одной анкерной опорой; б - с шарнирно-неподвижным
опиранием на примыкающее сооружение; в - с несколькими
анкерными опорами; 1 - примыкающее сооружение; 2 - пролетное
строение; 3 - промежуточная опора ("качающаяся" стойка);
4 - анкерная опора; 5 - шарнирный узел;
6 - шарнирно-неподвижный узел
6.32. Расчетные дополнительные усилия в опорах, пролетных строениях и узлах их сопряжений для статических схем, показанных на
рис. 30 и
31, а также дополнительные усилия, действующие на фундаменты, определяются в зависимости от расчетных значений горизонтальных перемещений фундаментов, обусловленных горизонтальными деформациями растяжения (сжатия) земной поверхности, и расчетных величин поворотов фундаментов, вызванных кривизной или сосредоточенными деформациями оснований в виде уступов.
6.33. В галереях с промежуточными опорами, жестко связанными с фундаментами (см.
рис. 30), величину расчетного усилия, передаваемого пролетному строению промежуточными опорами, определяют по
пп. 6.34 -
6.41.
6.34. Величину расчетного усилия

, передаваемого пролетному строению промежуточной опорой при горизонтальном перемещении фундамента рассматриваемой опоры, определяют по формуле

(181)
где

- расчетное горизонтальное перемещение опоры, определяемое по
формуле (173);

- величина, определяемая по формуле

(182)
Hj - расстояние от подошвы фундамента до верха опоры;
hj - высота рассматриваемой опоры от уровня обреза фундамента;
Iфj - момент инерции подошвы фундамента относительно ее центральной оси, перпендикулярной к продольной оси галереи;
Bj - жесткость поперечного сечения опоры при изгибе в плоскости продольной оси галереи.
6.35. Величину расчетного усилия TK,j, передаваемого пролетному строению промежуточной опорой при наклоне фундамента рассматриваемой опоры под влиянием кривизны земной поверхности, определяют по формуле

(183)
где

- угол поворота фундамента рассматриваемой опоры, вычисляемый по формуле

(184)
6.36. Величину усилия
Thj, которое передается пролетному строению промежуточной опорой при образовании уступа под фундаментом рассматриваемой опоры, определяют в зависимости от схемы опирания фундамента на ступенчатое основание (
рис. 32 и
33) в соответствии с рекомендациями
пп. 6.37 -
6.40.
Рис. 32. Схемы к расчету промежуточной опоры на воздействие
ступенчато оседающего основания при положительном значении M
а - расчетная схема; б - эпюры осадок; в - эпюры отпора
грунта; 1 - ненарушенный контакт; 2 - отрыв средней части
длиной

;
3 - отрыв крайней части на длине

Рис. 33. Схема к расчету промежуточной опоры при воздействии
ступенчато оседающего основания при отрицательном значении M
а - расчетная схема; б - эпюры осадок; в - эпюры отпора
грунта; 1а - ненарушенный контакт; 2а - отрыв крайней части
на длине

;
3а - отрыв крайней части на длине

6.37. В случае реализации схем 1 и 1а величину усилия определяют по формуле

(185)
где bфj - размер подошвы фундамента в плоскости, перпендикулярной к продольной оси галереи;
lфj - размер подошвы фундамента в плоскости продольной оси галереи;

- безразмерная величина, определяемая отношением:

(186)
xу - расстояние от уступа до края фундамента;
N1j и N2j - нагрузки на промежуточную опору от опирающихся на нее пролетных строений;
ej - эксцентриситет приложения нагрузок от пролетных строений относительно оси опоры;
tj - величина, определяемая по формуле

(187)
Bj - жесткость промежуточной опоры при изгибе в плоскости продольной оси галереи.
6.38. В случае реализации схем 3 и 3а величину усилия определяют по формуле

(188)
где Nj - равнодействующая всех вертикальных нагрузок в уровне подошвы фундамента.
6.39. Условия реализации различных схем опирания фундамента промежуточной опоры на ступенчатое основание имеют вид:
схема 1:

(189)

(190)

(191)
схема 1а:

(192)

(193)

(194)
схема 3:

(195)

(196)

(197)
схема 3а:

(198)

(199)

(200)

(201)

(202)

(203)

(204)

(205)

(206)
ej - эксцентриситет приложения нагрузок от пролетных строений относительно оси опоры.
6.40. В случае реализации схем 2 и 2а величину усилий определяют по формуле

(207)
где h1j и h3j - высоты уступов, соответствующие границам схем 1 и 3, 1а и 3а;
T1j и T3j - величины усилий, передаваемых пролетному строению промежуточной опорой при опирании фундамента на ступенчатое основание, соответствующее границам схем 1 и 3, 1а и 3а.
Значения
T1j и
h1j, соответствующие границам схем 1 и 1а, определяют методом попыток по
формулам (185) и
(208)

(208)

(209)

(210)
соответственно для схем 1 и 1а.
6.41. Если положение уступа неизвестно, то в качестве расчетных следует принимать схемы 3 и 3а. Значение

рекомендуется определять методом последовательных приближений.
В нулевом принимают

и по
формуле (188) вычисляют величину
Thj. Используя найденное значение
Thj, по
формулам (205) или
(206) находят значение

и вычисляют наиболее неблагоприятное положение уступа по формуле

(211)
Если полученное значение

отличается от нулевого приближения более чем на 20%, то необходимо определить следующее приближение.
6.42. Если промежуточные опоры выполнены по типу "качающихся" стоек (см.
рис. 31), то дополнительные усилия в элементах конвейерных галерей рекомендуется определять по формулам:

(212)

(213)
где Pj - расчетное дополнительное продольное усилие в опоре;
Tj - расчетное усилие, передаваемое опорой пролетному строению;
hj - высота опоры от уровня обреза фундамента;
uj - расчетная величина относительного смещения верхнего и нижнего узлов рассматриваемой промежуточной опоры, определяемая по формуле

(214)
где

- расчетное горизонтальное перемещение фундамента рассматриваемой опоры, определяемое по
формуле (173);

- расчетное горизонтальное перемещение верхнего узла рассматриваемой опоры, определяемое по формуле

(215)
i - ожидаемый наклон земной поверхности под анкерной опорой или примыкающим сооружением (учитывается при использовании примыкающего сооружения в качестве анкерной опоры);
H - расстояние от подошвы фундамента анкерной опоры или примыкающего сооружения до узла опирания пролетного строения.
6.43. Максимальное дополнительное усилие, которое должны воспринять нижний пояс пролетного строения и анкерная опора, определяют по формуле

(216)
где Tj - усилие, передаваемое пролетному строению промежуточной опорой j;
n - количество промежуточных опор между анкерной опорой и ближайшим деформационным швом.
6.45. В конвейерных галереях с промежуточными опорами, жестко связанными с фундаментами, при расчете этих фундаментов необходимо учитывать действующие на уровне обреза фундамента дополнительные горизонтальные усилия Tj и изгибающие моменты Mj, определяемые по формуле
Mj = Tjhj. (217)
6.46. При расчете фундаментов анкерных опор следует учитывать действующие в уровне обреза фундамента дополнительные горизонтальные усилия Tс и изгибающие моменты Mс, определяемые по формуле
где hа - высота анкерной опоры от уровня обреза фундамента.
6.47 (8.6). При проектировании конвейерных галерей, возводимых на подрабатываемых территориях I, к - III, к групп, под опоры галерей следует устраивать фундаменты, рассчитанные на воздействие уступов земной поверхности в их основании. |
6.48. Расчетные значения отпора грунта

под подошвой фундамента промежуточной опоры при образовании уступа определяют по
формулам (33) и
(34), в которых значения

и

вычисляют по
формулам (201),
(202) для схем 1, 1а и
(203), (204) для схем 2, 2а и 3, 3а.
6.49. Расчетные значения отпора грунта

под подошвой фундамента анкерной опоры при образовании уступа допускается определять как для башенного сооружения в соответствии с рекомендациями
разд. 5 без учета дополнительных горизонтальных усилий
Tс, передаваемых промежуточными опорами через пролетные строения.
6.50. Если максимальное значение отпора грунта основания

под подошвой фундамента анкерной или промежуточной опоры превышает величину 1,4
Rгр, то необходимо выполнить корректировку коэффициента жесткости согласно
пп. 5.27,
5.28.
6.51. Если в соответствии с расчетными деформациями земной поверхности в период эксплуатации требуется рихтовка галереи в плоскости ее продольной оси или из плоскости, то на металлических опорах рекомендуется предусматривать специальные консоли, используемые в дальнейшем для поддомкрачивания сооружения.
Конструкция консолей должна быть рассчитана на применение гидравлических домкратов с номинальной грузоподъемностью, не менее чем в 1,3 раза превышающей приходящуюся на них нагрузку.
Длину анкерных болтов для крепления башмака опоры к фундаменту принимают с учетом расчетных величин подъема опоры при ее рихтовке.
7. ЗАГЛУБЛЕННЫЕ СООРУЖЕНИЯ
Общие указания
7.1. Расчет нагрузок на заглубленные сооружения (тоннели, каналы, резервуары, отстойники, подвалы производственного назначения) и усилий в конструкциях от деформационных воздействий подрабатываемого основания производят раздельно для днища, стен и покрытия с учетом их взаимного влияния.
7.2. В расчете конструкций учитывают сочетания особых воздействий.
При расчете днища: горизонтальная деформация растяжения

, кривизна выпуклости +
K; кривизна вогнутости -
K; уступ в основании (высота уступа
h), горизонтальная деформация растяжения

.
При расчете стен: горизонтальная деформация растяжения

(расчет в плоскости стены), кривизна выпуклости +
K (расчет в плоскости и из плоскости стены); горизонтальная деформация сжатия

(расчет из плоскости стены), кривизна вогнутости -
K (расчет в плоскости и из плоскости стены); уступ в основании (высота уступа
h) и горизонтальная деформация растяжения

(расчет в плоскости стены); уступ в основании (высота уступа
h) и горизонтальная деформация сжатия

(расчет из плоскости стены).
При расчете покрытия: кривизна выпуклости +
K; горизонтальная деформация сжатия

, кривизна вогнутости -
K; уступ в основании (высота уступа
h) и горизонтальная деформация сжатия

.
7.3. Днище заглубленных сооружений проектируют монолитным:
для территорий I, к - IV, к группы - однослойным, для территорий I - IV группы - двухслойным.
Однослойное днище в виде железобетонной плиты рассчитывают в соответствии с
пп. 7.18,
7.19 на восприятие особого сочетания нагрузок с учетом
п. 7.2.
Двухслойное днище
(рис. 34) включает железобетонную плиту, рассчитанную на основное сочетание нагрузок и деформацию искривления, и армированную подготовку, рассчитанную по
п. 7.4 на горизонтальные деформации растяжения с учетом нелинейной работы основания и трещинообразования железобетона. При этом допускаемая ширина раскрытия трещин в армированной подготовке должна приниматься: [а
т.кр] = 0,3 мм; [а
т.дл] = 0,2 мм. Между плитой и подготовкой предусматривают слой асфальтовой гидроизоляции.
Рис. 34. Конструкция днища заглубленных сооружений
1 - утрамбованный щебнем грунт; 2 - армированная подготовка;
3 - гидроизоляция; 4 - железобетонная плита
7.4. Расчет армированной подготовки заглубленных сооружений на воздействие горизонтальных деформаций растяжения выполняют в следующем порядке.
1. Составляют перечень исходных данных, включающий: толщину подготовки

(рекомендуется назначать по типовому проекту), расчетное сопротивление бетона осевому растяжению для предельных состояний второй группы
RрII, расчетное сопротивление
Rа и модуль упругости
Eа арматуры (рекомендуется класс А-II), рабочее напряжение в арматуре

(рекомендуется

).
2. Определяют величину предельного сдвига грунта

, м, и предельное значение касательной нагрузки

, МПа, приходящейся на участок подготовки шириной
bп = 1 м с использованием
формул (13) и
(18).
3. В зависимости от соотношения значений

и

, вычисляемого по формуле

(219)
определяют длину участка подготовки, работающего без трещин, по
формулам (220) и
(221) соответственно при

и

:

(220)

(221)
где a - величина, определяемая по формуле

(222)
Если lбт >= 0,5l (l - длина подготовки в рассматриваемом направлении), то требуемую площадь сечения арматуры определяют по формуле

(223)
Если
lбт < 0,5
l, переходят к
п. 4.
4. Принимают расчетную схему подготовки по
рис. 35,
а, определяют методом попыток корень

уравнения

(224)
где n и m - величины, определяемые по формулам:

(225)

(226)
Рис. 35. Расчетные схемы армированной подготовки
а - при lу <= lтр; б - при lу >= 0,5l;
в - при lтр <= lу >= 0,5l
Определяют длину зоны реализации упругой работы грунта lУ и длину участка подготовки с трещинами lтр соответственно по формулам:

(227)

(228)
где

- величина, определяемая по формуле:

(229)
Если lу <= lтр, то требуемую площадь сечения арматуры определяют по формуле

(230)
и переходят к
п. 7, иначе переходят к
п. 5.
5. Принимают расчетную схему подготовки по
рис. 35,
б.
Определяют методом попыток корень r уравнения

(231)
для чего задают значение r, выполняя условие
и последовательно находят величины

,

,
lтр и

по формулам:

(233)

(234)

(235)
выполняя условие

(236)

(237)
Установив точное значение r, находят длину зоны реализации упругой работы грунта по формуле

(238)
Если
lу >= 0,5
l, то требуемую площадь сечения арматуры определяют по
формуле (230) и переходят к
п. 7, иначе переходят к
п. 6.
6. Принимают расчетную схему подготовки по
рис. 35,
в.
Определяют методом попыток корень r уравнения

(239)
используя значения
r, 
,

,

,
lтр и
lу, определенные в
п. 5.
7. По окончательному значению
Fа определяют ширину раскрытия трещин (в мм) в наиболее напряженном сечении подготовки по формуле

(240)
где

- коэффициент армирования сечения, принимаемый равным отношению площади сечения арматуры к площади сечения бетона, но не более 0,02;
d - диаметр стержней арматуры, мм.
При удовлетворении условия
конец расчета, иначе следует повторить расчет с новым значением напряжения в арматуре

, вычисляемым по формуле

(242)
где aт - ширина раскрытия трещин, полученная в первом расчете.
7.5. Расчетная арматура, определенная по рекомендациям
п. 7.4, укладывается на участках подготовки (0 -
l/3); на участках подготовки (
l/3 -
l/2) осуществляется обрыв арматуры площадью сечения, равной половине расчетной
(рис. 36).
Рис. 36. Раскладка рабочей арматуры
в армированной подготовке
7.6. Нагрузки на заглубленные сооружения, вызываемые воздействием кривизны земной поверхности, определяют для отдельных полос шириной
bп в плане, выделяемых параллельно рассматриваемой плоскости кривизны, при допущении жесткости сооружения: абсолютной - по
пп. 5.7 -
5.10; конечной - по
пп. 7.7,
7.8.
7.7. Расчетную схему сооружения принимают в виде балки длиной
l, характеризуемой приведенными изгибной [
EI] и сдвиговой [
GF] жесткостями и загруженной приведенной равномерно распределенной линейной нагрузкой [
q] =
G0/
l, где
G0 - равнодействующая нагрузок основного сочетания, кН.
Величины прогиба

, отпора грунта

и изгибающего момента

определяют в зависимости от значения показателя приведенной длины

, вычисляемого по формуле

(243)
При

:

(244)

(245)

(246)
При

:

(247)

(248)

(249)
Поперечную силу определяют по формуле

(250)

- безразмерная координата рассматриваемого сечения полосы относительно ее середины, равная отношению

(251)
x - расстояние от середины полосы до рассматриваемого сечения;

- безразмерный параметр, характеризующий отношение стрелы прогиба (выгиба) земной поверхности к средней осадке сооружения, вычисляемый по формуле

(252)

- безразмерный параметр, учитывающий влияние изгибной жесткости полосы, вычисляемый по формуле

(253)
C - коэффициент жесткости основания, определяемый по
прил. 1;

- безразмерный параметр, учитывающий влияние деформаций сдвига, вычисляемый по формуле (при

принимают

)

(254)
В
формулах (244) -
(250) знак "+" относится к расчету на кривизну выпуклости, знак "-" - к расчету на кривизну вогнутости.
Максимальные величины усилий определяют по формулам:

(255)

(256)
7.8. Нагрузки

, кПа, на стены закрытых заглубленных сооружений прямоугольных в плане, вызванные горизонтальными деформациями сжатия основания и действующие из плоскости конструкции (
рис. 37,
а), а также соответствующие усилия рекомендуется определять методом последовательных нагружений с учетом конечной переменной (за счет трещинообразования) жесткости сечений по программе "COMBAIN", составленной на основе программного комплекса механизированного расчета упругих систем "Прокруст" для ЭВМ.
Рис. 37. Нагрузки, вызванные горизонтальными деформациями
основания, на стены заглубленных сооружений
а - прямоугольных в плане; б - круглых в плане
Для расчета используют следующие основные исходные данные:
расчетную схему по
рис. 38 и указанные геометрические размеры -
Hс (принимается равным расстоянию от верха стены до верха фундамента),
aс (принимается равным ширине фундамента),
bс (рекомендуется назначать равным 1,5
aс);
расстояние S от верха стены до верха обратной засыпки пазух, если сооружение не обваловано полностью, в противном случае S = 0;
расстояние h3 от верха стены до верха обваловки (если сооружение не обваловано, то h3 = 0);
толщину стены, рабочую высоту ее поперечного сечения по сжатой и растянутой арматуре, количество рабочих стержней сжатой и растянутой арматуры на 1 м длины стены;
вертикальную нагрузку Pв, определяемую как полную нагрузку от покрытия (вес плит покрытия, гидроизоляционного слоя и грунтовой засыпки, снеговая нагрузка, местная нагрузка и др.) и нагрузку от веса стены (с башмаком) на участке длиной lс = 1 м; марки бетона и арматурной стали;
характеристики грунта основания и обратной засыпки -
Cн,

,
E,

,

,

,
e.
Рис. 38. Расчетная схема стены
7.9. Расчет нагрузок

выполняют с учетом ширины пазухи
a между ограждением сооружения и стенкой котлована, а также вида и структурного состояния грунта, контактирующего с ограждением. В качестве обратных засыпок рекомендуется использовать насыпные глинистые грунты, характеристики которых принимают с учетом продолжительности эксплуатации сооружения до подработки (см. Руководство по проектированию зданий и сооружений на подрабатываемых территориях, ч. II).
При использовании для обратных засыпок песчаных грунтов в расчетах

допускается принимать соответствующие характеристики грунтов ненарушенной структуры.
7.10. Ординаты

определяют в зависимости от соотношения величин перемещений конструкций и грунта для случаев:
1) a >= Hс и глинистых грунтах обратных засыпок

(257)
2) a < Hс или песчаных грунтах обратных засыпок

(258)
если

, принимать

.
u - взаимные перемещения конструкции и подрабатываемого основания с учетом прогибов

(259)
При расчете прогибов может быть учтен угол наклона основания, вызванный искривлением земной поверхности, по
формуле (5) при
x =
l/2,
l - расстояние между наружными стенами в плоскости действия деформаций земной поверхности

и
R;

- перемещения, при которых реализуются активное и часть пассивного давления грунта, вызванная горизонтальными деформациями сжатия подрабатываемого основания, определяют по формуле

(260)

- расчетное перемещение основания относительно центральной оси сооружения, определяют по
формуле (4) при
x =
l/2;
nл - коэффициент лобового давления грунта, определяют по
табл. 11 в зависимости от параметра
mл:

(261)

,

- полные перемещения, при которых реализуются соответственно активное и пассивное давления грунта.
Для случая 1

определяют по формуле

(262)

(263)

и

- соответственно активное и пассивное давление грунта, определяют по формулам:

(264)

(265)

,

- соответственно коэффициенты бокового активного и пассивного давления грунта, определяют по формулам:

(266)

(267)
Hz = Z - S + h3, (268)
mл | nл при значениях  , кН/м 3 |
16,5 | 17,5 | 18,5 | 19,5 |
0 | 0 | 0 | 0 | 0 |
0,0005 | 0,06 | 0,09 | 0,13 | 0,15 |
0,001 | 0,09 | 0,15 | 0,22 | 0,29 |
0,0015 | 0,13 | 0,21 | 0,27 | 0,35 |
0,002 | 0,16 | 0,24 | 0,31 | 0,41 |
0,0025 | 0,18 | 0,27 | 0,35 | 0,44 |
0,003 | 0,21 | 0,29 | 0,37 | 0,47 |
0,004 | 0,25 | 0,34 | 0,42 | 0,52 |
0,005 | 0,29 | 0,38 | 0,46 | 0,55 |
0,006 | 0,32 | 0,41 | 0,49 | 0,59 |
0,007 | 0,35 | 0,44 | 0,53 | 0,61 |
0,008 | 0,37 | 0,46 | 0,55 | 0,64 |
0,009 | 0,40 | 0,49 | 0,58 | 0,66 |
0,011 | 0,44 | 0,53 | 0,62 | 0,70 |
0,013 | 0,48 | 0,57 | 0,66 | 0,74 |
0,015 | 0,51 | 0,60 | 0,69 | 0,77 |
0,017 | 0,54 | 0,63 | 0,72 | 0,80 |
0,019 | 0,57 | 0,66 | 0,74 | 0,82 |
0,022 | 0,61 | 0,69 | 0,77 | 0,85 |
0,025 | 0,64 | 0,73 | 0,80 | 0,88 |
0,030 | 0,69 | 0,77 | 0,84 | 0,92 |
0,035 | 0,74 | 0,81 | 0,88 | 0,95 |
0,040 | 0,78 | 0,84 | 0,90 | 0,97 |
0,045 | 0,81 | 0,87 | 0,93 | 0,98 |
0,050 | 0,84 | 0,89 | 0,94 | 0,99 |
0,055 | 0,87 | 0,92 | 0,96 | 1,0 |
0,070 | 0,93 | 0,97 | 1,0 | |
0,085 | 0,98 | 1,0 | | |
0,10 | 1,0 | | | |
Примечание. Значения nл распространяются для насыпных глинистых грунтов оптимальной влажности.
Для случая 2

и

определяют по формулам:

(269)

(270)
где Eг - нормативный модуль горизонтальной (боковой) деформации соответствующих грунтов, Eг = nE;
E - нормативный модуль вертикальной деформации грунтов ненарушенной структуры принимают по
СНиП 2.02.01-83;
n - коэффициент, равный 0,5 для глинистых грунтов и 0,65 для песчаных грунтов.
Если в
формулах (264),
(269) величины соответственно

,

принимают нулевое или отрицательное значение, то в расчетах по этим формулам следует принимать
Cн = 0.

(271)
где

- плотность взвешенного в воде грунта;

- плотность частиц грунта;

- удельный вес воды;
e - коэффициент пористости грунта.
При этом нагрузки

, определяемые по
формулам (257) и
(258), увеличивают на дополнительное давление от подпора грунтовых вод:

(272)
где hу.г.в - высота уровня грунтовых вод от подошвы фундамента сооружения.
При определении ординат

без учета прогиба конструкции в
формуле (259) принимают
f = 0.
7.11. Нагрузки

на стены круглых в плане заглубленных сооружений (см.
рис. 37,
б), а также усилия определяют по
пп. 7.8 -
7.10. При этом правую часть
формул (257) и
(258) умножают на

, где

- текущий полярный угол в рад.
7.12. Нагрузки

на стены открытых заглубленных сооружений, прямоугольных в плане, определяют по
формулам (257),
(258) при

без дальнейших корректировок. Расчет усилий в стене выполняют по соответствующей исходной расчетной схеме, определяемой конструктивным решением заглубленного сооружения. Влияние искривления основания учитывается отдельно определением дополнительного усилия в стене от поворота фундамента на угол
iк.
7.13. Нагрузки
tб, кПа, на стены заглубленных сооружений, вызванные горизонтальными деформациями растяжения основания и действующие в плоскости конструкции, определяют в зависимости от величины предельного сдвига грунта

, м, и соответствующего ему расстояния
x0, м, от оси сооружения, при котором прекращается нарастание сопротивления грунта сдвигу.
Величину

для прямоугольных и круглых в плане сооружений определяют по
формуле (13) при

.
Величину
x0 для прямоугольных в плане сооружений определяют по
формуле (14) при

.
Величину x0 для круглых в плане сооружений определяют по формуле

(273)
На участке с координатами 0 <= x <= x0 величины нагрузок для прямоугольных и круглых в плане сооружений определяют соответственно по формулам:

(274)

(275)

(276)
где x - расстояние от оси сооружения до рассматриваемого сечения, м;
tб.пр - предельное значение нагрузок tб.
На участке с координатами
x >=
x0 величины нагрузок
tб принимают постоянное значение, равное
tб.пр. При этом для круглых в плане сооружений граничные полярные углы

и

для каждого квадранта (см.
рис. 41) определяют по формулам:
| | ИС МЕГАНОРМ: примечание. Нумерация формул дана в соответствии с официальным текстом документа. | |

(227)

(278)
где r - радиус.
7.14. Защита стен заглубленных сооружений от нагрузок, определяемых по
п. 7.13, выполняется: для круглых в плане сооружений - усилением; для прямоугольных в плане сооружений - усилением либо устройством металлических связей по внешним поверхностям стен.
7.15. Металлические связи по
п. 7.14 рекомендуется выполнять из арматуры класса А-II с начальным натяжением (например, при помощи динамометрического ключа) перед закреплением сваркой к закладным деталям на стенах, с шагом не более 3 м.
7.16. Требуемую площадь металлических связей на 1 м высоты стены определяют с учетом упругой деформативности материала связи и изменчивости нагрузки по высоте сооружения.
Расчет для сечения посередине сооружения (отсека) выполняют в следующем порядке:
1. Определяют значение
m по
формуле (226), в которой

(рабочее напряжение в металлических связях) принимается равным
Rа.
2. Определяют величину

по формуле

(279)
где l - длина сооружения (отсека) в рассматриваемом направлении.
3. Проверяют условие

(280)
где

- величина предельного сдвига грунта.
4. Определяют требуемую площадь сечения металлических связей по формуле

(281)
где hп - высота рассматриваемого участка (полосы) стены, принимаемая равной 1 м.
5. Методом попыток корень
t уравнения

(282)
где S - величина, определяемая по формуле

(283)
Затем вычисляют значение

по формуле

(284)
и по
формуле (281) определяют требуемую площадь сечения металлических связей.
7.17. Металлические связи рекомендуется проектировать в четырех уровнях по высоте стены
(рис. 39) заглубленного сооружения: парными на участке (0 -
l/3) и одинарными на участке (
l/3 -
l/2). Для сооружений из сборного железобетона оборванная связь доводится до середины ближайшей стеновой панели.
Рис. 39. Раскладка металлических связей
по стенам заглубленных сооружений
7.18. Нагрузки на заглубленные сооружения, вызываемые совместным воздействием горизонтальных деформаций растяжения (по подошве фундамента -
Nт и по стенам -
tб) и уступа в основании (отпор грунта
p) допускается определять раздельно соответственно по
пп. 5.4 -
5.6;
7.13 и
5.11 -
5.28;
7.19.
7.19. Расчетную схему заглубленного сооружения при определении отпора грунта от воздействия уступа в основании принимают в виде балки приведенного сечения шириной
bс и длиной
l, загруженной равномерно распределенной линейной нагрузкой [
q], определяемой по
п. 7.7.
Жесткость балки оценивается показателем приведенной длины

по
формуле (243) с заменой
bп на
bс.
При

расчет отпора грунта выполняют по
пп. 5.11 -
5.28, принимая сооружение в виде абсолютно жесткой балки. Статические и конструктивные расчеты стен и днища выполняют раздельно с учетом взаимного влияния на действие основного сочетания и реактивных нормальных нагрузок.
При

рекомендуется учитывать конечную жесткость сооружения. Максимальные величины изгибающих моментов
Mmax и поперечных сил
Qmax в балке приведенного сечения определяют:
при неизвестном положении уступа:

(285)

(286)
при известном положении уступа:

(287)

(288)

и

- коэффициенты, определяемые по графикам
рис. 42,
43.
Рис. 40. График для определения 
Рис. 41. График для определения 
Рис. 42. График для определения коэффициента 
Рис. 43. График для определения коэффициента 
Коммуникационные тоннели и каналы
7.20 (8.7). Коммуникационные тоннели и каналы следует проектировать сборными или монолитными железобетонными: в продольном направлении - по податливым схемам (разрезка на отдельные отсеки деформационными швами); в поперечном направлении - по жестким и податливым конструктивным схемам, при этом предпочтение следует отдавать замкнутым сводчатым конструкциям. |
7.21. В коммуникационных тоннелях из цельнозамкнутых сборных железобетонных элементов на подрабатываемых территориях I - II группы рекомендуется устраивать вместо соединительных швов деформационные с использованием полимерных материалов; на подрабатываемых территориях III - IV группы допускается устройство жестких отсеков соединением элементов между собой металлическими накладками или связями с начальным натяжением на всю длину отсека внутри, снаружи или в теле конструкции
(рис. 44).
Рис. 44. Варианты организации жестких отсеков при помощи:
а - металлических накладок; б, в - металлических связей
с начальным натяжением
7.22 (8.8). Длина отсека коммуникационного тоннеля должна определяться в зависимости от несущей способности конструкции, величин нагрузок и воздействий от деформаций основания. Деформационные швы между отсеками тоннелей необходимо защищать от проникания грунтовых и сточных вод с помощью упругих заполнений, компенсационных вставок и т.п. |
7.23. Оптимальная длина отсека устанавливается в результате технико-экономического сравнения вариантов конструктивных решений.
Предельную длину жесткого отсека коммуникационного тоннеля и канала определяют по формуле

(289)
где xm - коэффициент, принимаемый равным 35·10-3 м.
7.24. При проектировании деформационных швов между жесткими отсеками тоннелей и каналов учитывают их работу на воздействия горизонтальных деформаций растяжения-сжатия, а для тоннелей дополнительно - искривления подрабатываемого основания.
7.25. При проектировании каналов и однопролетных тоннелей допускается не учитывать воздействие кривизны земной поверхности и горизонтальных деформаций растяжения в поперечном направлении сооружения.
7.26. Металлические связи, объединяющие в жесткий отсек сборные элементы коммуникационного тоннеля (см.
п. 7.21), проектируют с учетом
пп. 7.15 -
7.17.
7.27. В пределах жестких отсеков коммуникационного тоннеля и канала рекомендуется устраивать армированную подготовку, проектирование которой на воздействие горизонтальных деформаций растяжения земной поверхности производят в соответствии с
пп. 7.3 -
7.5.
7.28 (8.9). Уклоны продольного профиля коммуникационного тоннеля и канала, предусматриваемые для обеспечения отвода аварийных вод, должны определяться с учетом ожидаемых наклонов земной поверхности и требований главы СНиП по проектированию сооружений промышленных предприятий. 7.29 (8.10). Нормальная эксплуатация коммуникаций, проложенных в тоннелях и каналах, обеспечивается за счет применения специальных податливых опор и компенсирующих устройств. |
Железобетонные резервуары и отстойники
7.30 (8.11). Емкостные сооружения, возводимые на подрабатываемых территориях, следует проектировать по податливым, комбинированным или жестким конструктивным схемам с учетом требований глав СНиП по проектированию наружных сетей и сооружений водоснабжения и канализации. |
7.31. Закрытые резервуары вместимостью более V = 6000 м3 на подрабатываемых территориях I - IV группы и более V = 500 м3 на подрабатываемых территориях I, к - IV, к группы проектировать не рекомендуется.
Если такие емкости необходимы, их заменяют несколькими допускаемого объема по
п. 7.32.
7.32. При проектировании закрытых резервуаров рекомендуется принимать:
по жестким конструктивным схемам емкости вместимостью V = 50, 100 м3 на I - IV группах, V = 250, 500 м3 на III - IV группах и V = 50 - 500 м3 на I, к - IV, к группах подрабатываемых территорий;
по податливым конструктивным схемам - емкости вместимостью V = 1000 м3 на I группе, V = 2000 - 3000 м3 на I - II группах и V = 6000 м3 на I - III группах подрабатываемых территорий;
по комбинированным конструктивным схемам емкости вместимостью V = 250, 500 м3 на I - II группах, V = 1000 м3 на II - IV группах, V = 2000, 3000 м3 на III - IV группах и V = 6000 м3 на IV группе подрабатываемых территорий.
7.33. При проектировании открытых емкостных сооружений выбор конструктивной схемы рекомендуется производить с учетом указаний
пп. 7.62 -
7.64.
7.34. Принцип податливости элементов емкостных сооружений реализуют устройством податливых (деформационных) водонепроницаемых швов, преимущественно на стыках сборных конструкций и в соединениях конструкций стен соответственно с днищем, покрытием и перегородками.
7.35. При проектировании емкостных сооружений податливых и комбинированных конструктивных схем на площадках с высоким уровнем грунтовых вод конструкции податливых швов должны обеспечивать восприятие двустороннего гидростатического давления.
7.36. Для емкостных сооружений податливых и комбинированных схем в слабофильтрующих глинистых грунтах предусматривают устройство дренажной системы.
7.37. При необходимости проектировать емкостные сооружения по комбинированной и податливой конструктивным схемам рекомендуется применять железобетонные резервуары соответственно типа
А (рис. 45) и типа
Б (рис. 46) с полимерными водоудерживающими элементами в стыках, используемых в качестве деформационных швов.
Рис. 45. Габаритно-конструктивная схема
резервуара типа А (V = 3000 м3)
Рис. 46. Габаритно-конструктивная схема
резервуара типа Б (V = 3000 м3)
Основными элементами резервуаров являются: армированная бетонная подготовка, днище, колонны и безбалочное покрытие на сетке колонн 3 x 6 м.
Подготовку и днище проектируют монолитными, остальные элементы - сборными железобетонными: стеновые панели с башмаками, безбалочное покрытие из ребристых плит.
Допускается проектировать покрытие на сетке колонн 2,4 x 6 м.
7.38. Пространственная жесткость резервуаров типов А и Б обеспечивается за счет развитых в плане башмаков под колонны и стеновые панели, а также специальным креплением ребристых плит покрытия между собой, к колоннам и стеновым панелям.
7.39. Утепление емкости и пригруз конструкций против всплытия осуществляют грунтом.
7.40. Для полимерных водоудерживающих и деформационных элементов рекомендуется применять полиэтиленовые листы с анкерными ребрами по ТУ 21-33-1-85 толщиной 2 мм, изготовленные из стабилизированного полиэтилена низкой плотности (высокого давления) по
ГОСТ 16337-77 с изм.
В резервуарах, предназначенных для эксплуатации в системах холодного хозяйственно-питьевого водоснабжения, предусматривается применение листов из полиэтилена марок 10203-003, 17602-00, 10702-020, 15303-003 при содержании 1,5 - 2% газовой канальной сажи ДГ-100.
7.41. Пропуск труб через железобетонные конструкции резервуаров рекомендуется осуществлять в кожухах с применением сальников.
7.42. При проектировании резервуаров на воздействия наклонов
i основания и с целью обеспечения проектной глубины столба воды в любом месте емкости при эксплуатации рекомендуется учесть возможность понижения отметки верха переливной трубы на величину
hт, определяемую по формуле
hт = nimiilд, (290)
где lд - расстояние в плане от переливной трубы до наиболее удаленной точки резервуара.
7.43. В резервуарах типа А и Б узлы и детали по
пп. 7.44 -
7.51 рекомендуется проектировать аналогичными.
7.44. Днище проектируют двухслойным с армированной подготовкой
(п. 7.3). Поверхности днища должен быть придан уклон 0,005 в сторону приямка за счет изменения слоя бетона марки М 100.
7.45. Опирание стеновых панелей, непосредственно ограждающих емкость, на днище производится в паз на песчаный выравнивающий слой
(рис. 47). Зазоры паза рекомендуется герметизировать: с наружной стороны - битумом, с внутренней - листовой полиэтиленовой накладкой, заанкеренной в пазе монолитного железобетонного днища и привариваемой к закладным деталям из профилированного полиэтилена в стеновых панелях.
Рис. 47. Опирание стеновой панели
резервуаров типа А и Б на днище
1 - стеновая панель; 2 - днище; 3 - армированная
подготовка; 4 - уплотненный щебнем грунт; 5 - соединительный
полиэтиленовый лист; 6, 7 - полиэтиленовые накладка
и закладная деталь; 8 - гидроизоляция;
9 - песчаный выравнивающий слой
7.46. Опирание колонн на днище осуществляется при помощи башмака
(рис. 48).
Рис. 48. Узел опирания колонн на плиту
днища резервуаров типа А и Б
1 - колонна; 2 - днище; 3 - армированная подготовка;
4 - набетонка на днище; 5 - цементно-песчаный раствор;
6 - гидроизоляция
7.47. Герметизация швов между стеновыми панелями производится с внутренней стороны при помощи листовых полиэтиленовых накладок толщиной 2 мм, привариваемых к полиэтиленовым закладным деталям в панелях
(рис. 49).
Рис. 49. Герметизация стыка между стеновыми панелями
резервуаров типа А и внутренними стеновыми панелями
резервуаров типа Б
1 - стеновые панели; 2 - закладная деталь из полиэтилена;
3 - полиэтиленовая накладка; 4 - заполнение шва
между панелями: цементно-песчаным раствором
в резервуарах типа А, упругой прокладкой
в резервуарах типа Б
Швы заполняют цементно-песчаным раствором марки М 100.
7.48. Узлы опирания плит покрытия на колонны
(рис. 50) проектируют с использованием подкладок размером 50 x 50 мм и толщиной 20 мм, на которые укладывают гладкие полиэтиленовые листы (ТУ 21-33-2-85).
Рис. 50. Опирание плит покрытия на колонну
резервуаров типа А и Б
1 - колонна; 2 - плита покрытия; 3 - металлические
соединительные элементы; 4 - металлические подкладки;
5 - полиэтиленовая прокладка; 6 - упругая прокладка
из резины; 7 - бетон марки М 300 на мелком заполнителе;
8 - слой рубероида на битумной мастике; 9 - гидроизоляция
Крепление плит между собой рекомендуется осуществлять при помощи металлических соединительных элементов из арматуры класса А-I.
7.49. Швы между плитами покрытия в уширенной части заполняют комбинированно: легкосжимаемым материалом (пороизол, гернит, резина и т.п.) и бетоном на мелком заполнителе.
7.50. Струенаправляющие перегородки рекомендуется крепить к стенам, колоннам и между собой при помощи металлических деталей таким образом, чтобы была обеспечена возможность перемещения перегородок по вертикали
(рис. 51).
Рис. 51. Узлы крепления струенаправляющих
перегородок резервуаров типа А и Б
а - между собой; б - к стеновым панелям; в - к колоннам;
1 - панель перегородки; 2 - закладная деталь;
3 и 7 - металлические соединительные элементы;
4 - деформационный шов; 5 - стеновая панель;
6 - колонна
7.51. Приямок с целью предотвращения лобового давления грунта при горизонтальных деформациях сжатия земной поверхности рекомендуется выполнять отсеченным от днища
(рис. 52).
Рис. 52. Схема приямка резервуаров типа А и Б
1 - днище; 2 - гидроизоляция; 3 - приямок; 4 - подготовка;
5 - шов скольжения; 6 - защитный железобетонный кожух
7.52. Стеновые панели резервуара типа А с внешней стороны соединяют между собой в нескольких уровнях параллельными металлическими связями, которые приваривают к закладным деталям
(рис. 53). Рекомендуется начальное натяжение связей перед их закреплением.
Рис. 53. Соединение стеновых панелей резервуара
типа А металлическими связями
1 - стеновая панель; 2 - закладная металлическая деталь;
3 - металлические связи
Защиту связен от коррозии производят эластичными гидроизоляционными материалами (гидроизол, полимербитумные мастики и т.п.).
7.53. По верху стеновых панелей резервуаров типа А предусматривают монолитный железобетонный пояс, который проектируют разрезным в местах сопряжения стеновых панелей швов не менее 20 мм. Узлы опирания плит покрытия на стеновые панели проектируют с учетом
п. 7.48. Соединение плит покрытия с поясом осуществляют при помощи металлических соединительных элементов из арматуры класса А-I
(рис. 54).
Рис. 54. Опирание плит покрытия на стеновые панели
резервуаров типа А
1 - плита покрытия; 2 - закладная деталь в плите покрытия;
3 - стеновая панель; 4 - монолитный железобетонный пояс;
5 - шов между плитами покрытия и монолитным железобетонным
поясом; 6 - металлические соединительные элементы;
7 - металлические подкладки; 8 - полиэтиленовая прокладка;
9 - упругая прокладка из резины; 10 - бетон марки М 300
на мелком заполнителе; 11 - слой рубероида
на битумной мастике; 12 - гидроизоляция
7.54. Стеновые панели резервуаров типа Б опирают на периметральные колонны (
рис. 55 и
56), при этом внутренние стеновые панели крепят по верху при помощи металлических соединительных элементов из арматуры класса А-I, а наружные устанавливают свободно в просвет между периметральными колоннами и опирают на них через опоры разрешающей прочности.
Рис. 55. Фрагмент конструктивного решения резервуара типа Б
1 - наружная стеновая панель; 2 - периметральная колонна;
3 - внутренняя стеновая панель; 4, 5 - металлические
соединительные элементы; 6, 7 - верхняя и нижняя опоры
разрешающей прочности; 8 - режущий элемент наружной стеновой
панели; 9 - армированная подготовка; 10 - асфальтовая
гидроизоляция; 11 - плита днища; 12 - песчаная подсыпка
Рис. 56. Узлы опирания наружных стеновых панелей на верхние
(а) и нижние (б) опоры разрешающей прочности
1 - наружная стеновая панель; 2 - периметральная колонна;
3 - внутренняя стеновая панель; 4, 5 - металлические
соединительные элементы; 6, 7 - верхняя и нижняя опоры
разрешающей прочности; 8 - режущий элемент
наружной стеновой панели
Периметральные колонны опирают на днище при помощи башмака, который фиксируется сваркой металлических соединительных элементов.
Связь периметральных колонн по верху осуществляется сборными железобетонными связями-распорками. Наружные стеновые панели устанавливают на монолитное днище по выравнивающему слою толщиной 20 - 30 мм.
7.55. Опоры разрешающей прочности резервуаров типа Б рекомендуется проектировать гребенчатыми с анкерами из горячекатаной арматуры
(рис. 57).
Рис. 57. Гребенчатая опора разрешающей прочности
1 - пластина; 2 - анкеры
Под действием сжимающего давления грунта, превосходящего заданную величину, определяемую по
п. 7.61, срезается по одному анкеру в каждой из четырех опор, вследствие чего они укорачиваются, что ведет к перемещению наружных стеновых панелей и временному уменьшению давления грунта на них. По мере роста горизонтальных деформаций сжатия основания цикл работы опор повторяется вплоть до компенсации максимальной величины

.
7.56. Расчет на особое сочетание нагрузок выполняют с использованием расчетных и нагрузочных схем: для резервуаров типа А - по
рис. 58, типа Б - по
рис. 59.
Рис. 58. Расчетная и нагрузочная схемы
поперечника резервуаров типа А
qвр - временная нагрузка на покрытие; qп - нагрузка
от покрытия;

- ординаты эпюры горизонтальных
нагрузок на стеновую панель; qг.в - максимальная ордината
эпюры подпора грунтовых вод на стеновую панель;
qв - гидростатическое давление воды в резервуаре;

- угол поворота башмака колонны от искривления основания;
iк - угол поворота стеновой панели от искривления основания
Рис. 59. Расчетная и нагрузочная схемы
поперечника резервуаров типа Б
qвр - временная нагрузка на покрытие; qп - нагрузка
от покрытия; N1 и N2 - усилия от горизонтального сдвижения
грунта на стеновую панель, передаваемые на колонну
через опоры разрешающей прочности; Nг - усилие
от гидростатического давления воды, передаваемое
через стеновые панели на колонну;

и
iк - углы
поворота башмака колонны от искривления основания
7.57. Расчету подлежат следующие элементы резервуаров типа А и типа Б: стеновые панели; колонны; плиты покрытия; опоры разрешающей прочности; днище, в том числе армированная бетонная подготовка; соединительные металлические связи и элементы.
Конструкции резервуаров допускается рассчитывать поэлементно с учетом рекомендаций
пп. 7.1 -
7.17.
7.58. Периметральные колонны резервуаров типа Б рассчитывают по балочной схеме, нагруженной реакциями внутренних стеновых панелей (
рис. 60,
а), опор разрешающей прочности (
рис. 60,
б), а также нагрузкой от покрытия.
Рис. 60. Расчетные схемы периметральных колонн резервуаров
типа Б с нагрузками от внутренних (а) и наружных (б) стен
aп.в - расстояние от оси металлической опорной подкладки
до верха колонны; aр.в - расстояние от центра верхней опоры
разрешающей прочности до верха колонны; Hк - высота
колонны; Rп.в - верхняя реакция внутренних стеновых
панелей при расчете на гидростатическое давление воды
в резервуаре; Rр.в - реакция верхней опоры разрешающей
прочности (предельная нагрузка на опору);
Qп - полная нагрузка от покрытия
7.59. Внутренние стеновые панели резервуаров типа Б рассчитывают из плоскости на гидростатическое давление воды в резервуаре по схеме плиты, опертой шарнирно на четыре угловые точки.
7.60. Наружные стеновые панели резервуаров типа Б из плоскости рассчитывают по схеме плиты, опертой шарнирно на четыре угловые точки, на активное давление грунта, определяемое по
п. 7.61.
7.61. Опоры разрешающей прочности в резервуарах типа Б рассчитывают на нагрузки, по величине равные реакциям
Rр.в,
Rр.н (рис. 61), возникающим от активного давления грунта, определяемого по формуле

(291)
где 1,05 - коэффициент качества опор разрешающей прочности;
qа - принимает значения

и

.
Рис. 61. Расчетные схемы наружной (а) и внутренней (б)
стеновых панелей резервуаров типа Б
bр.в - расстояние от верхней опоры разрешающей прочности
до верха наружной стеновой панели; aр.н - расстояние от оси
металлической опорной прокладки до верха стеновой панели;
aп.н - расстояние, равное 1/4 высоты башмака стеновой
панели; Rр.н, Rр.в - реакции верхней и нижней опор
разрешающей прочности;

,

- ординаты эпюры лобового
давления грунта; qв - ордината эпюры гидростатического
давления воды в резервуаре в уровне днища
Величину компенсационной способности опор следует принимать равной величине

, определяемой по
формуле (260).
Расстояние в свету между анкерами принимается равным d/2, где d - диаметр анкера, величина которого определяется по формуле

(292)
где
R - опорные реакции наружных стеновых панелей - принимают значения
Rр.в,
Rр.н (см.
рис. 61);
Rср - расчетное сопротивление на срез материала анкера.
7.62. Отстойники систем очистных сооружений круглые или прямоугольные в плане проектируют преимущественно по жестким и комбинированным конструктивным схемам.
7.63. Отстойники, имеющие стационарное оборудование, проектируют по жестким конструктивным схемам.
7.64. Отстойники, не имеющие стационарного оборудования, рекомендуется проектировать:
прямоугольные в плане - по жесткой конструктивной схеме, при этом размеры жестких отсеков определяют в зависимости от величин деформаций земной поверхности и компенсационной способности деформационных швов;
круглые в плане - по жесткой конструктивной схеме при наличии грунтовых вод; по комбинированной конструктивной схеме с днищем, отсеченным от стен деформационным швом, при отсутствии грунтовых вод.
Грунтовые резервуары и отстойники
7.65. Грунтовый резервуар или отстойник представляет собой емкость в грунте, выполненную в виде усеченной пирамиды с облицованными откосными стенами и днищем.
7.66. Применение закрытых и открытых грунтовых емкостей рекомендуется преимущественно на площадках, сложенных связными необводненными грунтами ненарушенной структуры при
cн >= 25 кПа и

. При этом угол наклона откосов к горизонту должен составлять

.
7.67. Облицовку грунтовых емкостей выполняют полимерными листовыми материалами непосредственно по основанию в соответствии с
пп. 7.79 -
7.81.
В открытых емкостях допускается выполнять облицовку железобетонными плитами с устройством между ними деформационных швов.
7.68. Грунтовые резервуары и отстойники проектируют с учетом
п. 7.2 по комбинированной конструктивной схеме - закрытыми для подрабатываемых территорий I - IV группы;
по податливой конструктивной схеме - открытыми для подрабатываемых территорий I - IV, Iк - IVк группы.
7.69. При необходимости устройства покрытия над грунтовыми емкостями соответствующие конструкции опирают на фундаменты по бровке откоса и промежуточные колонны (
рис. 62 и
63). Отстойники, как правило, проектируют без покрытия.
Рис. 62. Схема грунтового резервуара объемом 250 м3
Рис. 63. Схема грунтового резервуара объемом 3000 м3
1 - струенаправляющие перегородки
7.70. Покрытия резервуаров рекомендуется предусматривать для емкостей до 500 м3 включительно - из крупноразмерных сборных железобетонных ребристых плит длиной 6 или 12 м, для емкостей 1000 м3 и более - балочными многопролетными.
7.71. При устройстве покрытия в грунтовых емкостях на бровке откоса устраивают контурный опорный элемент в виде монолитного железобетонного пояса, подстилаемого до отметки промерзания или залегания материкового грунта сборными элементами (
рис. 64 и
65). Пояс во избежание замерзания воды проектируют из легкого бетона (например, шлакопемзобетона) марки: по прочности сжатию - М 200, по морозостойкости - М
рз 100. Бетон плотностью не более 1,8 т/м
3 должен быть плотного строения на пористом заполнителе крупностью не более 10 мм и водопоглощением не более 10%.
Рис. 64. Контурный опорный элемент под балками покрытия
1 - монолитный железобетонный пояс; 2 - балка покрытия;
3 - сборная железобетонная фундаментная плита; 4 - сборные
бетонные блоки; 5 - бетонная подготовка; 6 - шов скольжения;
7 - полиэтиленовая облицовка; 8 - максимальный уровень
наполнения резервуара; 9 - контурный компенсатор; 10 - бетон
марки М 100; 11 - утепленная кровля; 12 - отмостка;
13 - забивка шлакопемзобетоном или закладка
кирпичом; 14 - плита покрытия
Рис. 65. Контурный опорный элемент под плитами покрытия
а - общий вид; б - деталь опирания плиты покрытия;
1 - монолитный железобетонный пояс; 2 - плита покрытия;
3 - сборная железобетонная фундаментная плита; 4 - сборный
бетонный блок; 5 - бетонная подготовка; 6 - шов скольжения;
7 - полиэтиленовая облицовка; 8 - максимальный уровень
наполнения резервуара; 9 - контурный компенсатор;
10 - бетон марки М 100; 11 - утепленная кровля;
12 - отмостка; 13 - забивка шлакопемзобетоном
или закладка кирпичом; 14 - закладная
металлическая деталь
Под поясом рекомендуется предусматривать шов скольжения из трех-четырех слоев гладкого полиэтилена толщиной 1,5 мм.
7.72. Крепление балок покрытия к колоннам и контурному опорному элементу, а также плит покрытия к балкам рекомендуется осуществлять типовым по соответствующим сериям.
Опирание наклонных плит на балки осуществляют при помощи подкладок из обрезков уголков
(рис. 66).
Рис. 66. Узел опирания плит на балки покрытия
1 - балка покрытия; 2 - закладная металлическая деталь;
3 - плиты покрытия; 4 - подкладка из обрезка уголка;
5 - раствор
7.73. Заполнение швов между плитами покрытия для резервуаров вместимостью 1000 м3 и более на подрабатываемых территориях I группы и вместимостью 6000 м3 на подрабатываемых территориях I - II группы предусматривают легкосжимаемыми материалами (пороизол, гернит, резина и т.п.).
7.74. Кровлю резервуара проектируют облегченной с применением эффективных утеплителей плотностью не более 0,5 т/м3 и гидроизоляционного ковра.
7.75. Фундаменты колонн в средней части резервуара
(рис. 67) проектируют из башмака стаканного типа и фундаментной плиты, между которыми прокладывают облицовку днища и устраивают шов скольжения, аналогичный рекомендуемому в
п. 7.71.
Рис. 67. Узел опирания колонны на днище
1 - колонна; 2 - башмак со стаканом; 3 - раствор;
4 - бетонная подготовка; 5 - подфундаментная плита; 6 - шов
скольжения; 7 - песчаный слой; 8 - полиэтиленовая облицовка
Установка башмака на требуемой отметке при наклонном днище достигается при помощи бетонной подготовки, устраиваемой по шву скольжения.
7.76. На период интенсивных сдвижений пород и земной поверхности рекомендуется между колоннами устанавливать инвентарные металлические связи-распорки: по низу - в двух направлениях, по верху - в продольном направлении
(рис. 68).
Рис. 68. Схема инвентарных связей-распорок между колоннами
а - в поперечном направлении (вдоль балок покрытия);
б - в продольном направлении (вдоль главных ребер плит
покрытия); 1 - колонны; 2 - фундаменты; 3 - связи-распорки;
4 - балки покрытия; 5 - плиты покрытия
7.77. Инвентарные связи-распорки рекомендуется проектировать из труб, внутреннюю полость которых герметизируют путем приварки к торцам металлических листов.
Для крепления связей-распорок к колоннам используют металлические листы, уголки и болты
(рис. 69).
Рис. 69. Узел крепления инвентарных
связей-распорок к колонне
1 - колонна; 2 - уголки; 3 - болты; 4 - листы; 5 - трубы
7.78. В резервуарах систем питьевого водоснабжения вместимостью 3000 м
3 и более предусматривают струенаправляющие перегородки из полиэтиленовых листов толщиной 2 мм (см.
рис. 63).
7.79. Для облицовки грунтовых емкостей рекомендуется применять гладкие листы из стабилизированного полиэтилена низкой плотности (см.
п. 7.40).
7.80. Для крепления облицовки к контурному опорному элементу в шов скольжения закладывают гладкие полиэтиленовые листы.
В отстойниках для этой цели предусматривают ребристые полиэтиленовые листы, анкеруемые по верхней горизонтальной поверхности контурного опорного элемента.
7.81. По верхнему периметру емкости выше уровня ее максимального наполнения для компенсации деформаций облицовки при наполнении и опорожнении резервуара выполняют контурный подпружиненный компенсатор из полиэтиленового листа с анкерными ребрами толщиной 2 мм и резиновых полос сечением 15 x 3 мм и длиной 300 - 400 мм
(рис. 70). При этом срезают все ребра, за исключением двух, к которым крепят резиновые полосы, соединяемые заклепками из цветного металла или скрутками из медной проволоки диаметром 2 мм.
Рис.
70.
Контурный подпружиненный компенсатор
облицовки резервуара
а - общий вид; б - узел сопряжения элементов компенсатора;
1 - полиэтиленовый лист; 2 - резиновая полоса; 3 - заклепка
из цветного металла или скрутка из медной проволоки;
4 - анкерное ребро
7.82. Дренаж по всей площади днища для сбора утечек из грунтового резервуара рекомендуется выполнять слоем крупнозернистого песка толщиной 100 - 120 мм, являющегося одновременно основанием под облицовку. Дренаж и облицовка днища должны иметь уклон в сторону приямка не менее 0,5%. Сбор дренажных вод производится в заполненное гравием пространство вокруг приямка, откуда они отводятся в контрольный колодец при помощи асбестоцементной трубы, перфорированной на длине 3 м.
7.83. Примыкающие к резервуару трубопроводы рекомендуется прокладывать в металлических трубах-кожухах.
Ввод коммуникаций в резервуар производят через приямок или облицовку на откосах.
7.84. Проектная глубина столба воды в грунтовых резервуарах обеспечивается проектированием переливной трубы по
п. 7.42.
7.85. Систему трубопроводов в грунтовых отстойниках крепят к контурному опорному элементу или устанавливают на железобетонные плиты, уложенные по днищу на три-четыре слоя полиэтиленовых листов толщиной 2 мм.
7.86. В местах опирания на облицовку металлических конструкций, например лестниц, укладывают железобетонные плиты толщиной 100 - 150 мм с прокладкой под ними 3 - 4 слоев полиэтилена толщиной 2 мм.
7.87. В грунтовых емкостях не допускается использование механических средств для опорожнения и очистки.
7.88. Расчетная и нагрузочная схема системы железобетонных и металлических элементов грунтового резервуара на подрабатываемых территориях I - IV группы показана на
рис. 71, где
q - распределенная линейная нагрузка на ригель;
qв - гидростатическое давление воды на стаканный башмак колонны;
T1 и
T2 - усилия, возникающие при горизонтальных деформациях земной поверхности в швах скольжения соответственно контурного опорного элемента и составных фундаментов колонн;

- угол наклона основания под фундаментами колонн при искривлении земной поверхности.
Рис. 71. Расчетная и нагрузочная схема системы
железобетонных и металлических элементов грунтового
резервуара в продольном и поперечном направлениях
1 - контурный опорный элемент; 2 - ригель; 3 - колонны;
4, 5 - металлические связи-распорки соответственно по верху
(только в продольном направлении) и низу колонн;
6 - фундаменты колонн; 7 - швы скольжения
В конструктивной и расчетной схеме поперечной рамы (в плоскости балок покрытия резервуара) связи-распорки по верху колонн отсутствуют.
7.89. Расчет колонн в поперечном и продольном направлениях выполняют на внецентренное сжатие, обусловленное центрально-приложенной вертикальной нагрузкой

в уровне верхнего обреза башмака и изгибающим моментом
Mj, определяемым по формуле

(293)
где aп - размер стороны квадратной подошвы фундаментной плиты;
hк - высота колонны от верхнего обреза башмака до низа балок покрытия или центра верхних связей-распорок соответственно в поперечном и продольном направлениях;
hФ - высота составного фундамента от подошвы фундаментной плиты до верхнего обреза башмака;
E - модуль вертикальной деформации грунта;
B(
t) - жесткость колонны, вычисляемая с учетом ползучести бетона (длительная жесткость) в соответствии с
прил. 2;

- расчетный угол наклона основания под фундаментом колонны, определяемый по формуле

(294)
xj - расстояние от середины резервуара до рассматриваемой колонны в плоскости рамы.
7.90. Нижние и верхние связи-распорки между колоннами рассматривают как внецентренно сжатые или внецентренно растянутые элементы, шарнирно закрепленные по концам, имеющие длину lсв, равную расстоянию в свету между колоннами.
Изгибающий момент определяют от веса связи-распорки, а продольную центрально-приложенную нагрузку - от усилий в швах скольжения составных фундаментов колонн для нижних связей и искривления основания под фундаментами колонн для верхних связей.
7.91. Продольное усилие, действующее в нижней связи-распорке, определяют по формуле

(295)
где n - количество колонн между рассчитываемой связью и ближайшим краем резервуара в плоскости рассматриваемой рамы;
Pш - вертикальная нагрузка на шов скольжения под башмаком колонны, определяемая по формуле

(296)

- вертикальная нагрузка в уровне верхнего обреза башмака;
Gj - вес башмака;

и
Hв - удельный вес и высота столба воды в резервуаре;
aб и aк - размеры стороны квадратного сечения башмака и колонны;
f - коэффициент трения в шве скольжения, принимаемый при устройстве шва из полиэтиленовых листов равным 0,3.
7.92. Продольное усилие, действующее в верхней связи-распорке, определяют по формуле

(297)
где rj - реакции в уровне верха колонн, находящихся в плоскости рассматриваемой продольной рамы между рассчитываемой связью-распоркой и ближайшим краем резервуара, вычисляются по формуле
Mj - изгибающий момент в уровне верхнего обреза башмака колонны, определяемый по
формуле (293).
7.93. Монолитный железобетонный пояс контурного опорного элемента рекомендуется рассчитывать на каждую из двух систем нагрузок, включающих кроме нагрузок основного сочетания, горизонтальные деформации земной поверхности в поперечном (первая система) или в продольном (вторая система) направлениях пояса.
от первой системы нагрузок - изгибающий момент

и поперечная сила

в вертикальной плоскости, изгибающий момент

и поперечная сила

в горизонтальной плоскости, крутящий момент

;
от второй системы нагрузок - изгибающий момент

и поперечная сила

в вертикальной плоскости, центральная продольная сжимающая или растягивающая сила
N2п

(299)

(300)

(301)

(302)

(303)

(304)
от первой системы нагрузок - изгибающий момент

и поперечная сила

в вертикальной плоскости, изгибающий момент

и поперечная сила

в горизонтальной плоскости, крутящий момент

;
от второй системы нагрузок - изгибающий момент

и поперечная сила

в вертикальной плоскости, изгибающий момент

в горизонтальной плоскости, крутящий момент

; центральная продольная сжимающая или растягивающая сила
N2б:

(306)

(307)

(308)

(309)

(310)

(311)

(312)

(313)

(314)
Pп, Pб - сосредоточенные нагрузки от покрытия в местах опирания соответственно главных ребер плит и балок;
lп, lб - ширина плит и шаг балок покрытия;
Lп, Lб - длина на стороне опирания соответственно плит и балок покрытия;
hп - высота пояса под плитами покрытия;
Rп, Rб - горизонтальные реакции соответственно в главных ребрах плит и балок покрытия, определяемые по формулам:
где qп, qб - равномерно распределенная линейная нагрузка от веса пояса соответственно под плитами и балками покрытия;
bр - расстояние по горизонтали в поперечном сечении пояса от его центра тяжести до точки приложения нагрузки;
h0 - расстояние по вертикали в поперечном сечении пояса от его центра тяжести до шва скольжения;
hр - высота нижней части пояса (расстояние от шва скольжения до низа балок покрытия).
7.95. Расчет плит покрытия производят с учетом нагрузок, численно равных горизонтальным реакциям
Rп, определяемым по
формуле (315).
7.96. Расчет балок покрытия производят с учетом горизонтальной продольной нагрузки Tбj, определяемой по формуле

(317)
rj - реакции в уровне верха колонн, расположенных между рассчитываемой балкой и ближайшим краем рассматриваемой поперечной рамы, определяется по
формуле (298);
n - количество колонн между рассчитываемой балкой и ближайшим краем рамы.
7.97. Фундаменты под колонны рассчитывают на следующую систему нагрузок: вертикальная нагрузка

в уровне верхнего обреза башмака, изгибающий момент
Mj в уровне верхнего обреза башмака, определяемый по
формуле (293), и горизонтальная нагрузка, передаваемая через шов скольжения, вычисляемая по формуле

(318)
где
Pш - вертикальная нагрузка на шов скольжения, определяемая по
формуле (296).
7.98. Грунтовый откос при воздействии горизонтальных деформаций основания рекомендуется рассчитывать на местную устойчивость исходя из расчетной схемы по
рис. 72. Размеры
b и
c принимают равными соответствующим расстояниям от краев фундаментной плиты до центра тяжести контурного опорного элемента. Размеры
d,
a,
H принимают с учетом затухания в грунте напряжений и деформаций:
d = a = 2(b + c); H = G(b + c). (319)
Рис. 72. Расчетная и нагрузочная схемы откоса
грунтового резервуара
в направлении балок покрытия

(320)
в направлении главных ребер плит покрытия

(321)
где L1, L2 - длины резервуара в плане по крайним осям в направлениях соответственно балок и главных ребер плит покрытия;
lг = 100 мм - минимальная величина приближения фундаментной плиты к краю откоса.
7.99. Для выполнения расчета местной устойчивости грунтового откоса задают следующие исходные данные:
геометрические характеристики вводимого в расчет грунтового массива и фундаментной конструкции;
вертикальную P и горизонтальную T нагрузки на фундаментную конструкцию;
прочностные (удельное сцепление
cн и угол внутреннего трения

) характеристики грунта естественного сложения и нарушенной структуры;
деформативные (модуль деформации
E и коэффициент Пуассона

) характеристики грунта естественного сложения;
удельный вес грунта

;
модуль деформации фундаментной конструкции Eм = 3·106 кПа;
коэффициент трения в шве скольжения f.
7.100. При определении вертикальной нагрузки P, кН, учитывают вес конструкций покрытия, контурного опорного элемента и фундамента.
Горизонтальную нагрузку
T, реализующуюся в шве скольжения контурного опорного элемента, рекомендуется независимо от величины

принимать максимальной по формуле
7.101. Методика расчета местной устойчивости откоса предусматривает определение положения линий возможного обрушения частей откоса с соответствующими коэффициентами запаса устойчивости Kз.у и проверку кинематической возможности реализации линий обрушения.
7.102. Определение коэффициентов запаса устойчивости
Kз.у рекомендуется производить по программному комплексу механизированного расчета упругих систем "Прокруст" в следующем порядке:
1. В точках (элементах) массива последовательно вычисляют перемещения, деформации и напряжения при прочностных характеристиках грунта естественного сложения и системе нагрузок, включающих P, T и геостатическое давление.
2. На участках
b и
c под подошвой фундамента в вертикальных сечениях (продольном или поперечном) резервуара (см.
рис. 72) назначается ряд расположенных через равные промежутки точек, являющихся исходными для линий скольжения. Положение линий скольжения определяется из условия: угол наклона касательной в каждой точке скольжения равен углу наклона наиболее слабой элементарной площадки, на которой алгебраическая разность
достигает своего максимального значения.
3. По линиям скольжения определяют Kз.у, численно равные отношению удерживающих касательных напряжений к сдвигающим напряжениям, вызванным действующими нагрузками:

(323)
где

,

- соответственно нормальные и касательные напряжения по элементарным площадкам линии обрушения;
S - длина линии обрушения.
7.103. Проверку кинематической возможности реализации линий обрушения, определенных по
п. 7.102, рекомендуется производить в табличной форме
(табл. 12) по условиям (см.
рис. 72):
для участков b и c
для участка b

(325)
где [Kз.у] - допускаемый коэффициент запаса устойчивости, принимается равным 1,2;
Kз.у - коэффициент запаса устойчивости, определяемый по
формуле (323) при действии только геостатического давления; прочностные характеристики грунта принимают соответствующими нарушенной структуре.
Участки по подошве штампа | N точек по подошве штампа | Kз.у | [Kз.у] | Kз.у - [Kз.у] | | |
>= 0 | < 0 | >= 0 | < 0 |
b | 1 | 1,2 | | | | | | |
2 |
3 |
... |
... |
c | 1 | 1,2 | | | | | | |
2 |
3 |
... |
... |
Примечание. Местная устойчивость откоса не обеспечена при
Kз.у - [
Kз.у] < 0 для участка
c и

для участка
b.
Откос считается устойчивым при выполнении для всех точек участков
b и
c под подошвой фундамента
условия (324).
Если это условие выполняется на участке
c, но не выполняется хотя бы в одной точке участка
b, необходима проверка
условия (325), при выполнении которого линия обрушения кинематически невозможна и откос устойчив под всей подошвой фундамента.
Если не выполняется
условие (324) для участка
c либо
(325) для участка
b, откос считается неустойчивым. В этом случае изменяют величину угла откоса, положение контурного опорного элемента на его бровке, тип утеплителя. При неэффективности принятых мер изменяют площадку строительства или принимают резервуар другого типа.
Подвалы производственного назначения
7.104. Подвалы производственного назначения проектируют сборными или монолитными железобетонными:
в продольном направлении - по податливой конструктивной схеме с разрезкой деформационными швами на отдельные жесткие отсеки;
в поперечном направлении - по жесткой или комбинированной конструктивным схемам.
7.105. Длину жесткого отсека подвала и размеры деформационных швов определяют аналогично коммуникационным тоннелям с учетом
пп. 7.22 и
7.23.
7.106. Для восприятия касательных нагрузок, вызванных горизонтальными деформациями основания, а также для исключения поворотов стеновых панелей, вызванных искривлением земной поверхности, в подвалах из сборных железобетонных элементов, не имеющих железобетонного днища, в поперечном направлении рекомендуется устраивать фундаментные связи-распорки. Расчет и конструирование связей-распорок выполняют в соответствии с рекомендациями "Руководства по проектированию зданий и сооружений на подрабатываемых территориях", ч. II.
Общие указания
8.1 (9.1). При проектировании трубопроводов водоснабжения, канализации, газоснабжения, тепловых сетей, внутреннего водопровода, канализации и отопления, сооружаемых на подрабатываемых территориях, следует выполнять требования глав СНиП по проектированию наружных сетей и сооружений водоснабжения, канализации, газоснабжения, тепловых сетей, а также внутреннего водопровода, канализации и отопления зданий. 8.2 (9.2). При проектировании трубопроводов, сооружаемых на подрабатываемых территориях, следует принимать: максимальные ожидаемые величины сдвижений и деформаций земной поверхности от горных работ, планируемых на ближайшие 20 лет; при этом должны быть известны границы зон влияния горных работ; ожидаемые величины сдвижений и деформаций от каждой из очистных выработок, календарные планы ведения которых известны к началу проектирования; при этом должны быть известны положение и длины полумульд сдвижения от каждой выработки. |
8.3. Горно-геологическое обоснование строительства трубопровода дополнительно должно содержать:
сведения о границах участков по трассе трубопровода, подработка которых планируется в перспективе более 20 лет;
границы участков трубопровода, пересекающих выходы пластов на поверхность (под наносы);
места пересечений трубопроводом границ охранных и барьерных целиков, а также крупных тектонических нарушений;
зоны возможных образований на земной поверхности в результате ведения горных выработок провалов и крупных трещин с уступами;
основные параметры подработки: глубина выработки
H, мощность пласта
m, длина очистного забоя лавы
D, угол падения пласта

, длины полумульд
L1,
L2 и
L3, коэффициенты подработанности
N1 и
N2, параметр
B, характеризующий влияние наносов.
8.4. Воздействия от подработки, учитываемые при проектировании трубопровода, должны быть заданы в различных точках по его трассе.
8.5 (9.3). Проектами трассы стальных трубопроводов на участках, выполнение горных работ под которыми планируется на перспективу, а календарные планы ведения выработок отсутствуют, следует предусматривать только мероприятия, осуществление которых позволит обеспечить защиту трубопроводов от разрушения непосредственно перед подработками. |
Для участков трассы трубопроводов, для которых имеются календарные планы ведения горных работ, конструктивные мероприятия по защите трубопроводов должны быть предусмотрены в проекте.
Конструктивные меры защиты трубопроводов в зависимости от сроков и условий подработки приведены в
табл. 13 (8).
Трубопроводы | Срок подработки с начала ввода в эксплуатацию трубопровода, лет | Группа территорий |
I; Iк | II; IIк | III; IIIк | IV; IVк |
Стальные напорные | t < 5 | Равнопрочность сварных стыков металлу труб, компенсаторы | Малозащемляющие засыпки | - |
5 <= t <= 15 | Равнопрочность сварных стыков металлу труб. Малозащемляющие засыпки, компенсаторы, устанавливаемые непосредственно перед подработкой |
t > 15 | Компенсаторы, устанавливаемые перед подработкой |
Чугунные, асбестоцементные, железобетонные, керамические безнапорные | t <= 15 | Завышение строительных уклонов |
t > 15 | Станции перекачки, устраиваемые перед подработкой |
8.6. В качестве конструктивных мер защиты подземных трубопроводов рекомендуются следующие:
изоляция трубы, обеспечивающая снижение силового воздействия деформирующейся грунтовой среды на трубопровод;
обсыпка труб малозащемляющими материалами;
увеличение толщины стенки труб; применение для труб прочных материалов; установка компенсаторов. 8.7 (9.4). Возможность применения мер защиты для сооружения, возводимого на подрабатываемых территориях, и необходимые меры защиты секционных трубопроводов (из чугунных, железобетонных, асбестоцементных и керамических и тому подобных труб) следует устанавливать, принимая деформации земной поверхности, рассчитанные от горных работ на 20-летний период. |
8.8. Выбор наиболее рациональных технических решений по защите производится на основании результатов технико-экономического сравнения вариантов.
8.9. Вводы (выпуски) всех подземных коммуникаций в здания и сооружения на подрабатываемых территориях должны быть защищены от проникания по ним газа в подвалы и подполья этих зданий.
Защиту вводов (выпусков) следует выполнять путем устройства сальников или заделкой проходов труб через фундаменты эластичными материалами (асфальтовые мастики, герметики, мятая глина и т.п.).
Перед вводом коммуникаций в здание необходимо устраивать вентиляционные колодцы для выхода проникающего вдоль труб газа. Технические решения вводов показаны на
рис. 73 -
75.
Рис. 73. Защита здания от проникания газа
при надземном вводе газопровода
1 - плита покрытия канала; 2 - решетка; 3 - вентиляционный
канал; 4 - уголок; 5 - покрытие битумом по штукатурке
Рис. 74. Защита ввода водопровода, канализации
и электрокабеля в здание от проникания газа
1 - плита покрытия канала 570 x 300 x 50; 2 - решетка Р-1;
3 - вентиляционный канал; 4 - уголок 50 x 50 x 5;
5 - защитный патрон; 6 - набивка; 7 - покрытие битумом
по штукатурке в пределах канала; 8 - заделка жестким бетоном
Рис. 75. Защита здания от проникания газа
по вводу теплопровода
1 - теплопровод; 2 - сальник; 3 - теплофикационный канал;
4 - вытяжная труба; 5 - покрытие битумом по штукатурке
8.10. Проекты должны содержать требования о сроках строительства трубопроводов по отношению к периоду опасных деформаций земной поверхности при подработке.
В период опасных деформаций земной поверхности, вызванных проходящей горной выработкой, допускается строительство только напорных трубопроводов.
Сооружение безнапорных трубопроводов в период опасных деформаций земной поверхности не допускается.
8.11. Необходимость применения мер защиты, а также объем защитных мероприятий при проектировании трубопроводов на подрабатываемых территориях определяют по результатам проверочных расчетов.
8.12 (9.5). Прочность стальных трубопроводов, подверженных центральному растяжению, следует проверять по формуле где Rр - расчетное сопротивление растяжению трубопровода, МПа; m - коэффициент условий работы, равный 0,9;  - сумма продольных растягивающих напряжений в рассчитываемом сечении трубопроводов от воздействия внутреннего давления, температурных воздействий и воздействий от подработки, МПа. |
8.13. Продольные напряжения

в трубопроводе, вызываемые кривизной земной поверхности при подработке выработками в полого и наклонно залегающих пластах, определяют по формуле

(327)
где E - модуль упругости стали;
Dн - наружный диаметр трубы, см;
R - радиус кривизны земной поверхности, см.
8.14. Продольные напряжения, возникающие в трубопроводе в зоне образования уступа при подработке выработками в крутопадающих пластах, определяют по формуле

(328)
где

- коэффициент, учитывающий соотношение жесткостных характеристик грунтов основания траншеи и засыпки в зоне уступа, определяемый по формуле:

(329)
W - осевой момент сопротивления поперечного сечения трубы;
EI - жесткость поперечного сечения трубы;
nh - коэффициент перегрузки, принимаемый по
табл. 3 (3);
h - высота уступа;
Kж - коэффициент жесткости засыпки при врезании трубопровода в засыпку траншеи, определяемый при изысканиях методом пробных нагрузок; в предварительных расчетах допускается определять по формуле
Eгр - модуль деформации грунта;

- величина критического сдвига грунта, соответствующая предельному значению поперечной нагрузки, принимаемая для связных грунтов и сыпучих неконсолидируемых грунтов соответственно равной 5 и 10 см;
g0 - предельное значение поперечной нагрузки на трубу, определяемое по формуле

(331)
где
Kн - коэффициент концентрации нагрузок при перемещениях грунта нормально оси трубопровода, принимаемый по
табл. 14;
B - ширина траншеи, см;

и
cн - соответственно удельный вес и удельное сцепление грунта на трассе трубопровода.
Вид грунта | Значения коэффициентов Kн при отношении Hз/B |
0,0 | 1,0 | 1,5 | 2,0 | 2,5 | 3,0 |
Песчаный | 0,5 | 1,1 | 1,93 | 3,0 | 4,3 | 3,75 |
Глинистый | 0,5 | 1,0 | 1,74 | 2,6 | 3,6 | 4,60 |
Примечание.
Hз - глубина укладки трубопровода; при укладке труб на глубине более 150 см в расчетах следует принимать
Hз = 150 см.
Допускается предельное значение поперечной нагрузки определять по графикам
(рис. 76).
Рис. 76. Графики определения вертикальных нагрузок
при врезании трубопровода в глинистый и песчаный
грунт засыпки
8.15. Продольные напряжения

для подрабатываемых участков подземного стального трубопровода от воздействия горизонтальных сдвижений грунта определяют в соответствии с расчетными схемами и формулами, приведенными в
табл. 14, в зависимости от положения участка трубопровода в мульде и наличия на трубопроводе компенсирующих устройств.
Знаки напряжений

соответствуют знакам деформаций земной поверхности на расчетном участке трубопровода.
Длины участков однозначных сдвижений земной поверхности в полумульдах определяются по графикам сдвижений или по
формулам (332) и
(333) соответственно со стороны падения и восстания пласта и
(334) - по простиранию пласта
(рис. 77):
где
z - коэффициент, принимаемый по
табл. 16 в зависимости от коэффициента подработанности
N и параметра
B, задаваемых маркшейдерским расчетом.
Рис. 77. Параметры сдвижения земной поверхности
при разработке угольного пласта (полная подработка)
и напряжения прямого газопровода, пересекающего мульду
а - вкрест простирания пласта; б - по простиранию пласта;
L1, L2 - длины полумульд вкрест простирания соответственно
по падению и восстанию пласта; L3 - длина полумульд
по простиранию пласта;

- оседание;

- горизонтальные
сдвижения;

- горизонтальные деформации;
H - глубина
горных работ; D1 - длина лавы; m - мощность пласта;

- угол падения пласта;

,

,

- граничные углы;

,

,

- углы полных сдвижений
N п.п. | Положение участка в мульде | Расчетные схемы | Исходные данные | Расчетные формулы |
1 | 2 | 3 | 4 | 5 |
| Полностью пересекает мульду | |  - максимальное сдвижение в полумульде; l1 = 0,5(L1 + ZL2); l2 = 0,5(L2 - ZL2) | |
2 | Полностью пересекает мульду при полной подработке | |  - максимальное сдвижение в полумульде; l1 = 0,5L1; l2 = 0,5L2 | То же |
3 | Пересекает полумульду по простиранию | |  - максимальное сдвижение в полумульде; l3 = 0,5L3 | " |
| Ограничен с обеих сторон поворотами | |  - максимальная деформация на участке; l1 = 0,5l | |
| Ограничение с обеих сторон компенсаторами | |  ; l = 0,5Lк; | |
6 | Ограничен с одной стороны компенсатором, с другой - границей мульды | |  ; l = 0,5lт | |
7 | Ограничен с одной стороны компенсатором, с другой - точкой с максимальным сдвижением | |  ; l = 0,5l1; l1 - определяется из графика сдвижений | |
8 | Ограничен компенсаторами, но пересекает точку мульды со сдвижением, равным нулю | |  ; l = 0,5Lк | |
Коэффициент подработанности N | Значения коэффициента z при параметре B |
0 | 1 | 2 | 3 | 4 | 5 | 6 | 7 |
1 | 0 | 0,45 | 0,50 | 0,60 | 0,70 | 0,80 | 0,80 | 0,9 |
0,9 | 0 | 0,45 | 0,50 | 0,60 | 0,70 | 0,80 | 0,80 | 0,9 |
0,8 | 0 | 0,30 | 0,45 | 0,60 | 0,70 | 0,80 | 0,85 | 0,9 |
0,7 | 0 | 0,25 | 0,45 | 0,60 | 0,70 | 0,80 | 0,90 | 1,0 |
0,6 | 0 | 0,20 | 0,40 | 0,60 | 0,75 | 0,80 | 1,0 | 1,0 |
Длина lт участка деформаций трубопровода с учетом его работы за пределами полумульды определяется:
для разрезанных компенсаторами трубопроводов по
табл. 17 в зависимости от длины участка
l и коэффициента упругого сдвига грунта
Kс, вычисляемого по формуле

(335)
где

- величина критического сдвига грунта вдоль трубопровода, соответствующая предельному значению продольной нагрузки, принимаемая для глин, суглинков и песков соответственно равной 3; 2 и 1 см, или принимаемого по
табл. 18 в зависимости от толщины стенки трубы и величины
Q0, определяемой по
формуле (337);
для неразрезных трубопроводов по формуле
lт = l + f, (336)
где
f - величина, принимаемая по
табл. 19 в зависимости от значения коэффициента
f, вычисляемого по
формуле (335).
l | Значения lт при коэффициенте Kс, равном |
0,1 | 0,15 | 0,2 | 0,3 | 0,4 | 0,5 | 0,6 | 0,7 |
10 | 50 | 42 | 36 | 30 | 26 | 24 | 22 | 21 |
20 | 72 | 60 | 53 | 45 | 40 | 36 | 34 | 32 |
30 | 90 | 75 | 67 | 57 | 51 | 48 | 45 | 48 |
40 | 106 | 89 | 79 | 68 | 62 | 58 | 55 | 53 |
50 | 120 | 102 | 91 | 79 | 73 | 68 | 66 | 63 |
60 | 134 | 114 | 102 | 90 | 83 | 79 | 76 | 74 |
70 | 146 | 125 | 114 | 100 | 93 | 89 | 86 | 84 |
80 | 159 | 137 | 124 | 111 | 104 | 99 | 96 | 94 |
90 | 171 | 148 | 135 | 121 | 113 | 109 | 106 | 104 |
100 | 183 | 159 | 145 | 132 | 124 | 119 | 116 | 114 |
110 | 194 | 170 | 156 | 149 | 134 | 129 | 126 | 124 |
120 | 205 | 180 | 166 | 152 | 144 | 139 | 136 | 134 |
130 | 216 | 191 | 177 | 162 | 154 | 149 | 146 | 144 |
140 | 228 | 201 | 187 | 172 | 164 | 160 | 156 | 154 |
150 | 238 | 212 | 197 | 182 | 174 | 170 | 166 | 164 |
160 | 249 | 222 | 207 | 192 | 184 | 180 | 176 | 174 |
170 | 260 | 232 | 218 | 202 | 194 | 190 | 186 | 184 |
180 | 271 | 243 | 228 | 213 | 204 | 200 | 196 | 194 |
190 | 281 | 253 | 233 | 223 | 214 | 210 | 206 | 204 |
200 | 292 | 263 | 248 | 233 | 224 | 220 | 216 | 214 |
400 | 497 | 465 | 449 | 433 | 425 | 419 | 416 | 414 |
600 | 698 | 666 | 649 | 633 | 625 | 620 | 616 | 614 |
800 | 899 | 866 | 849 | 833 | 825 | 820 | 816 | 814 |
1000 | 1099 | 1066 | 1049 | 1033 | 1025 | 1020 | 1016 | 1014 |
 , мм | Значения коэффициента Kс при величине Qс, равной |
0,01 | 0,015 | 0,020 | 0,025 | 0,030 | 0,035 | 0,040 | 0,045 | 0,050 |
 (пески) |
0,4 | 0,345 | 0,422 | 0,488 | 0,545 | 0,598 | 0,646 | 0,690 | 0,792 | 0,770 |
0,6 | 0,282 | 0,345 | 0,398 | 0,445 | 0,487 | 0,526 | 0,563 | 0,598 | 0,630 |
0,8 | 0,244 | 0,299 | 0,345 | 0,386 | 0,422 | 0,456 | 0,488 | 0,517 | 0,540 |
1,0 | 0,218 | 0,267 | 0,309 | 0,345 | 0,378 | 0,408 | 0,437 | 0,463 | 0,480 |
1,2 | 0,199 | 0,244 | 0,282 | 0,315 | 0,345 | 0,373 | 0,398 | 0,423 | 0,440 |
 (суглинки) |
0,4 | 0,244 | 0,299 | 0,346 | 0,386 | 0,423 | 0,458 | 0,488 | 0,517 | 0,540 |
0,6 | 0,199 | 0,244 | 0,282 | 0,315 | 0,346 | 0,372 | 0,398 | 0,423 | 0,440 |
0,8 | 0,172 | 0,212 | 0,244 | 0,273 | 0,299 | 0,324 | 0,346 | 0,366 | 0,386 |
1,0 | 0,154 | 0,189 | 0,218 | 0,244 | 0,267 | 0,288 | 0,309 | 0,328 | 0,346 |
1,2 | 0,141 | 0,173 | 0,199 | 0,223 | 0,244 | 0,264 | 0,282 | 0,299 | 0,316 |
 (глины) |
0,4 | 0,199 | 0,244 | 0,281 | 0,315 | 0,345 | 0,372 | 0,398 | 0,423 | 0,445 |
0,6 | 0,162 | 0,199 | 0,230 | 0,257 | 0,282 | 0,304 | 0,325 | 0,345 | 0,365 |
0,8 | 0,141 | 0,173 | 0,199 | 0,223 | 0,244 | 0,264 | 0,282 | 0,299 | 0,316 |
1,0 | 0,126 | 0,154 | 0,178 | 0,199 | 0,215 | 0,236 | 0,252 | 0,267 | 0,282 |
1,2 | 0,115 | 0,141 | 0,162 | 0,182 | 0,199 | 0,215 | 0,230 | 0,244 | 0,267 |
K | 0,1 | 0,2 | 0,3 | 0,4 | 0,5 | 0,6 |
f | 100 | 70 | 60 | 50 | 40 | 30 |
Предельная величина силового воздействия грунта на трубу при их взаимных перемещениях вдоль оси трубопровода Q0 определяется по формуле

(337)
где

- коэффициент, принимаемый равным 1 при битумной изоляции трубопровода и 0,7 при изоляции трубопровода полимерными пленками;
Km - коэффициент концентрации нагрузок, принимаемый по
табл. 20 в зависимости от вида грунта, глубины укладки трубопровода и ширины траншеи
B;

и
cн - угол внутреннего трения и удельное сцепление грунта на трассе трубопровода;
Q0 допускается принимать по графикам на
рис. 78.
Вид грунта | Значения коэффициента Km при отношении Hз/B, равном |
0,5 | 1,0 | 1,5 | 2,0 | 2,5 | 3,0 |
Песчаный | 0,80 | 0,72 | 0,65 | 0,60 | 0,57 | 0,57 |
Глинистый | 0,87 | 0,78 | 0,72 | 0,67 | 0,65 | 0,65 |
Рис. 78. Графики для определения силового воздействия
глинистых, суглинистых и песчаных грунтов
при горизонтальных перемещениях
Коэффициент

определяют по формуле

(338)

и

- коэффициенты, определяемые по графикам на
рис. 80;
S - коэффициент податливости трубопровода в месте поворота, определяемый по графикам
(рис. 81) в зависимости от диаметра трубы и коэффициента жесткости засыпки, вычисляемого по
формуле (330).
Рис. 79. График для определения коэффициента 
Рис. 80. Графики для определения коэффициентов 
и

Рис. 81. Графики для определения коэффициента податливости
трубопроводов в месте поворота
8.16. Устойчивость подземных стальных трубопроводов диаметром до 500 мм в зоне сжатия проверяют по условию

(339)
где

- абсолютная величина суммы сжимающих напряжений от положительного перепада температуры и горизонтального сдвижения в сжатой зоне;
A0 и
lу - стрела выгиба и длина участка выпучивания трубопровода при потере устойчивости, определяемые по графикам на
рис. 82 в зависимости от наружного диаметра труб
Dн и поперечной нагрузки
g0.
Рис. 82. Графики для определения параметров
устойчивости трубопроводов
Трубопроводы диаметром 500 мм и более на устойчивость не проверяются.
8.17. Необходимую компенсационную способность компенсаторов, предусматриваемых на подземных стальных трубопроводах в качестве конструктивных мер защиты от влияния горных выработок, следует определять с учетом величины

(см.
табл. 15, п. 5).
8.18. Прочность отдельного звена секционных труб проверяется с учетом продольной силы и изгибающего момента. Максимальное продольное усилие определяется по формуле

(340)
где E - модуль деформации материала трубопровода;
F - площадь поперечного сечения трубопровода;
ch
kln - косинус гиперболический произведения
kn, принимаемый по математическим таблицам или приближенно по
табл. 21;
ln - половина длины звена трубопровода;
k - коэффициент, определяемый по формуле

(341)
где Птр - периметр трубопровода. Для трубопровода, уложенного на железобетонную постель, принимается с учетом постели.
kln | 0,5 | 1,0 | 1,5 | 2,0 | 2,5 | 3,0 | 3,5 | 4,0 | 5,0 | 6,0 |
chkln | 1,12 | 1,54 | 2,35 | 3,76 | 6,13 | 10,07 | 16,57 | 27,31 | 74,21 | 202 |
Примечание. Промежуточные значения определяют интерполяцией.
Максимальный изгибающий момент M в отдельном звене или секции трубопровода определяется при ступенчатом оседании основания по формуле
M = 0,15q0l2, (342)
где l - длина звена (секции) трубопровода.
8.19. Безнапорный режим работы канализационного трубопровода в условиях подработок сохраняется при условии
где iс - необходимый строительный уклон трубопровода, при котором не нарушается безнапорный режим стоков в условии подработок;
iр - минимальный расчетный уклон трубопровода при расчетном наполнении, необходимый для нормальной работы трубопровода;
i - ожидаемый наклон земной поверхности на расчетном участке после прохождения выработок.
8.20. При проверке прочности стальных трубопроводов с тепловой изоляцией, прокладываемых в грунте (теплопроводы бесканальной прокладки), продольные напряжения в трубопроводе определяют с учетом продольных напряжений, возникающих в трубопроводе при одновременных или разновременных воздействиях температуры и горизонтальных сдвижений грунта, определяемых по формуле

(344)

- меньшее из двух значений предельных деформаций трубопровода, определяемых по
формулам (345) и
(346) соответственно на контакте грунт-изоляция и изоляция-труба:

(345)

(346)

- величина критического сдвига грунта вдоль трубопровода, принимаемая по
п. 8.15;

- величина критического сдвига изоляции относительно трубопровода, принимаемая для тепловых изоляций на битумном вяжущем, равная 0,3 и 0,15 см при температуре теплоносителя, соответственно равной 20 и 50° C. Для других видов теплоизоляции величину

определяют экспериментально;

- коэффициент упругого сдвига трубопровода, принимаемый в соответствии с используемым в расчете значением

по
формулам (345) или
(346), равным

или

, вычисляемым по формулам:

(347)

(348)
где

- предельная величина силового воздействия грунта при его продольных смещениях относительно изолированного трубопровода или смещениях трубопровода относительно грунта при температурных деформациях, определяемая по формуле

(349)
где
S - коэффициент, учитывающий период уплотнения засыпки, принимаемый по
табл. 22;
Km - коэффициент, принимаемый по
табл. 20;

- предельная величина силового воздействия изоляции на трубопровод при горизонтальных деформациях грунта или температурных деформациях трубопровода, принимаемая для тепловых изоляций на битумном вяжущем равной 0,06 и 0,03 кН/м
3 при температуре теплоносителя соответственно равной 20 и 50 °C; для других видов теплоизоляции величину

определяют экспериментально;
q - масса трубопровода с водой и изоляцией, Н.
Вид грунта | Значения коэффициентов S при сроках подработки с начала ввода в эксплуатацию трубопровода t, лет |
2 | 4 | 6 | 8 | 10 | 12 |
Песчаный | 0,37 | 0,55 | 0,73 | 0,90 | 0,97 | 0,98 |
Глинистый | 0,45 | 0,67 | 0,78 | 0,88 | 0,93 | 0,94 |
Примечание. При бесканальной прокладке тепловых сетей в теплогидроизоляции, не допускающей перемещения трубопровода внутри нее, значения S принимают при t = 2 годам.
Максимальное продольное усилие в зоне упругих деформаций трубопровода
Nlу, принимаемое в соответствии с используемым в расчете значением

[по
формулам (345) или
(346)], равным

или

, вычисляемым по формулам:

(350)

(351)
где Пиз - периметр тепловой изоляции;
Птр - периметр трубопровода;
Nк - сила упругого отпора компенсатора;
lп - длина расчетного участка в зоне, где нагрузка постоянна и не зависит от деформаций, определяемая по
формулам (352) и
(353) соответственно для трубопровода в нерабочем и рабочем состоянии:

(352)

(353)
8.21. Необходимую компенсационную способность компенсаторов, предусматриваемых на теплопроводах, определяют по формуле

(354)
где L - длина расчетного участка между двумя смежными компенсаторами, определяемая по формуле
L = 6lп, (355)

- коэффициент условий работы, принимаемый по
табл. 23;
k - коэффициент, учитывающий релаксацию компенсационных напряжений и предварительную растяжку компенсатора в размере 50% полного теплового удлинения

при температуре теплоносителя
t <= 400 °C и в размере 100% - при температуре теплоносителя более 400 °C, принимаемый по
табл. 24.
Длина трассы трубопровода L', м | Менее 15 | 15 - 30 | 31 - 50 | 51 - 70 | 71 - 100 | Более 100 |
Коэффициент  | 1 | 0,85 | 0,7 | 0,6 | 0,5 | 0,4 |
Температура теплоносителя t, °C | Значения коэффициента k при состоянии трубопровода |
нерабочем | рабочем |
До 250 | 0,5 | 0,5 |
251 - 300 | 0,6 | 0,5 |
301 - 400 | 0,7 | 0,5 |
401 - 450 | 1 | 0,35 |
При бесканальной прокладке тепловых сетей в теплогидроизоляции, допускающей перемещение трубопровода внутри нее, необходимую компенсационную способность компенсаторов определяют без учета горизонтальных деформаций земной поверхности, т.е. в
формуле (354) принимают

.
8.22. Требуемую длину деформационного шва-зазора, необходимую для защиты тепловых изоляций без применения битумных вяжущих, определяют по формуле

(356)
Магистральные трубопроводы
8.23. Углы поворота трассы трубопровода более 30° рекомендуется использовать как компенсаторы путем прокладки труб в непроходных каналах, включающих защемление трубы грунтом. Длина свободных плеч должна быть не менее 10 диаметров принятой трубы.
8.24. В местах отводов от магистральных трубопроводов, попадающих в зону влияния подработок, необходимо предусматривать меры, обеспечивающие их свободные перемещения, например обсыпку отвода в месте примыкания сжимаемым материалом или прокладку его в канале.
Длину канальной части на отводе (от места примыкания к магистрали) следует принимать, как для поворотов, но не менее 5 м. При необходимости компенсации осевых перемещений отвода, на отводе должен быть дополнительно установлен гнутый компенсатор, монтируемый в нише.
8.25. При прокладке трубопровода в компенсаторных нишах и каналах (на углах поворота и отводах) его следует располагать на скользящих опорах, исключающих нарушение изоляции трубы при перемещениях.
Конструкции опор должны допускать перемещения трубы как по оси трубопровода, так и по ширине ниши или канала
(рис. 83).
Рис. 83. Скользящая опора под трубопровод
на углу самокомпенсаций
1 - канал типа теплофикационного; 2 - трубопровод;
3 - скользящая опора; 4 - закладной элемент;
5 - уголок по всей ширине канала
8.26. При проектировании магистральных трубопроводов на подрабатываемых территориях, где ожидается образование уступов на земной поверхности, рекомендуется:
предусматривать надземную прокладку трубопровода или в легких непроходных каналах
(рис. 84), исключающих силовое воздействие вертикально деформирующегося грунта на трубу, если линии уступов отмечены при изысканиях трассы;
определять предельно допустимую величину уступа для принятых труб и занести ее в специальный паспорт, прикладываемый к проекту согласно требованиям
п. 1.16 (1.9), для осуществления мер защиты в период эксплуатации, если линии уступов на земной поверхности неизвестны.
Рис. 84. Схемы легких непроходных каналов, исключающих
силовое воздействие грунта на трубу
а - вариант в кирпиче; б - вариант из железобетонных
скорлуп; 1 - плиты перекрытия; 2 - кирпичный канал;
3 - трубопровод; 4 - железобетонная скорлупа
8.27. Для магистральных трубопроводов, требующих обеспечения повышенной безопасности при проектировании на подрабатываемых территориях, где ожидается образование уступов на земной поверхности, при специальном технико-экономическом обосновании допускается прокладка трубопровода в непроходных каналах по всей зоне возможного образования уступов. Зазор между верхом трубы и перекрытием канала должен быть не меньше величины расчетного значения ожидаемого уступа.
8.28. Крепление элементов электрохимической защиты к подземному магистральному трубопроводу на подрабатываемых территориях должно быть податливым, исключающим отрыв элемента от трубы сдвигающимся грунтом. Техническое решение такого крепления показано на
рис. 85.
Рис. 85. Гибкое крепление выводов для замеров
блуждающих токов
1 - ковер большой сварной; 2 - контактор; 3 - железобетонная
подушка; 4 - песок; 5 - кирпич; 6 - гибкий провод,
приваренный к трубе
Наружные и внутренние устройства газоснабжения
8.29. Разводящие и распределительные сети газоснабжения населенных мест и промплощадок, как правило, должны быть закольцованы.
8.30. Запорную арматуру на стальных газопроводах рекомендуется предусматривать стальную.
8.31. Углы поворотов и места подключений отводов на распределительных и разводящих сетях газоснабжения следует предусматривать в непроходных каналах
(рис. 86).
Рис. 86. Компенсатор по углу поворота
1 - трубопровод; 2 - кирпичный канал;
3 - железобетонное перекрытие
Длина канальной части от угла поворота или места подключения отвода должна быть не менее 10 диаметров трубопровода.
При необходимости установки на повороте или отводе запорной арматуры, она монтируется в смотровом колодце, совмещаемом с каналом.
8.32. Проверочный расчет участков трубопроводов разводящей и распределительной сети для определения необходимости дополнительных конструктивных мер защиты, на которых отводы выполнены податливыми в каналах, следует производить без учета влияния отводов.
8.33. Прокладка разводящих газопроводов транзитом по техническим подпольям или подвалам зданий, а также прокладка газопроводов среднего и высокого давления по стенам зданий не допускается.
8.34. Внутриквартальные разводящие сети газопроводов следует, как правило, проектировать надземными на опорах и по дворовым фасадам зданий. Крепление таких трубопроводов на опорах должно допускать свободные осевые и вертикальные перемещения трубы.
8.35. Вводы в здания от распределительных газопроводов, прокладываемых по стенам зданий, должны обеспечивать компенсацию перемещений трубопровода, вызываемых раскрытием деформационных швов здания.
8.36. На пересечениях подземных газопроводов с другими коммуникациями следует предусматривать защитные устройства, исключающие попадание газа в эти коммуникации.
Конструктивные решения таких устройств показаны на
рис. 87 и
88.
Рис. 87. Защита теплофикационного канала от проникания
в него газа при пересечении газопроводом
1 - футляр на ближайшем сварном стыке газопровода;
2 - кожух; 3 - перемычки из мятой глины; 4 - прокладки
центровки кожуха на трубе;
5 - свеча;
6 - труба

Рис. 88. Защита безнапорных коммуникаций от проникания
газа при пересечении газопроводов
1 - свеча;
2 - труба

;
3 - футляр дренажный
на ближайшем стыке трубы газопровода; 4 - мятая глина;
5 - канализация (ливневая, телефонная, хозяйственная)
8.37. На подземных подводящих и разводящих газопроводах при проектировании на подрабатываемых территориях следует предусматривать контрольные трубки с расстоянием не более 50 м одной от другой. Контрольные трубки устанавливают на углах поворотов газопроводов и у компенсаторов бесколодезной установки.
Наружные и внутренние сети водоснабжения
8.38. Водоводы на подрабатываемых территориях I; II; Iк; IIк рекомендуется проектировать из стальных труб на сварке.
8.39. При прокладке водоводов в две или более линии их рекомендуется прокладывать на площадях с разными сроками подработки.
8.40. Разводящие сети водоснабжения необходимо проектировать закольцованными.
8.41. Углы поворота, отводы типа тройников и крестообразные на сети системы водоснабжения выполняют в непроходных каналах аналогично сети газоснабжения.
Зазор между стенкой канала и изоляцией трубы принимают не менее 200 мм.
8.42. Расчет на прочность участков кольцевой сети одного направления производят как сплошного трубопровода без учета влияния отводов, если они выполнены в каналах.
8.43. При прокладке внутриквартальных сетей водоснабжения транзитом по техническим подпольям или подвалам зданий предусматриваются меры, исключающие силовое взаимодействие трубопроводов с конструкциями зданий. Компенсаторы на таких трубопроводах располагают в местах, доступных для осмотров и ремонта. Отводы от транзитного трубопровода к стоякам внутренней сети здания необходимо снабдить гнутыми компенсаторами или гибкими вставками из высоконапорного шланга.
8.44. Внутри подполья или подвала зданий трубопроводы водоснабжения допускается прокладывать как на самостоятельных опорах, так и на кронштейнах, прикрепляемых к стенам. Крепление трубопроводов к опорам должно допускать осевые перемещения труб.
8.45. Вводы от наружной сети в здания, состоящие из нескольких отсеков, рекомендуется предусматривать самостоятельными на каждый отсек. При необходимости устройства перемычек между отсеками здания в местах пересечения трубопроводами деформационных швов предусматриваются компенсаторы с компенсационной способностью, соответствующей расчетной величине раскрытия деформационного шва.
8.46. Для трубопроводов внутренней водопроводной сети зданий и сооружений, защищенных от воздействия подработок по жесткой конструктивной схеме, дополнительной защиты не требуется.
В зданиях, защищенных по податливой схеме, крепление трубопроводов к элементам зданий должно обеспечивать осевые и вертикальные перемещения трубопровода. Скрытая прокладка трубопроводов в таких зданиях не допускается.
Наружные и внутренние сети канализации
8.47. Наружные сети канализации на подрабатываемых территориях рекомендуется проектировать из керамических, асбестоцементных, железобетонных раструбных, чугунных и пластмассовых труб, а также в виде лотков и каналов.
8.48. Мероприятия по обеспечению надежной работы трубопроводов канализации на подрабатываемых территориях должны обеспечивать:
сохранение безнапорного режима стоков в трубопроводе при сдвижениях и деформациях земной поверхности;
сохранение герметичности стыковых соединений трубопровода при обеспечении их податливости;
прочность отдельных секций трубопровода.
8.49. Сохранение безнапорного режима стоков в трубопроводе канализации обеспечивается завышением строительных уклонов на величину, определяемую по
формуле (343).
8.50. На участках канализационного коллектора, на которых возможно образование значительных необратимых обратных уклонов, рекомендуется предусматривать напорные участки со станциями перекачки. Защиту напорных участков канализации осуществляют аналогично защите стальных подземных трубопроводов.
8.51. Для обеспечения герметичности трубопровода канализации стыковые соединения отдельных секций должны быть податливыми, работающими как компенсаторы.
Податливость стыкового соединения обеспечивается эластичностью заделок. Для раструбных стыков следует предусматривать заделку мастиками при уплотнителе из битумизированной пряди или специальными герметиками. Для муфтовых соединений следует применять резиновые кольца с заделкой мятой глиной.
8.52. Если герметичность принятых труб по расчету не обеспечивается, то следует принять трубы с меньшей длиной секции или с большей допустимой компенсационной способностью стыка.
8.53. Расстояние между канализационными колодцами на подрабатываемых территориях следует принимать не более 50 м.
8.54. Расчет дюкеров на канализационных коллекторах производится в соответствии с требованиями, предъявляемыми к стальным трубопроводам.
Перепады высот между входным и выходным колодцами дюкера, уклоны аварийных выпусков, обеспечивающие опорожнение дюкера, должны проектироваться с учетом ожидаемых наклонов земной поверхности.
8.55. Пересечение трубопроводами внутренней канализации деформационных швов зданий не допускается.
Тепловые сети
8.56. Прокладка тепловых сетей надземная или подземная в непроходных каналах, тоннелях, коллекторах, а также бесканальная допускается на подрабатываемых территориях всех групп при обеспечении надежности их эксплуатации.
8.57. Надежность эксплуатации тепловых сетей на подрабатываемых территориях обеспечивается:
устройством деформационных швов в каналах, тоннелях и коллекторах;
установкой компенсаторов, обеспечивающих компенсацию тепловых удлинений и перемещений от сдвижения земной поверхности.
8.58. При ожидаемых деформациях земной поверхности

, а также при бесканальной прокладке тепловых сетей с теплоизоляцией, допускающей перемещение трубы внутри нее, проектирование выполняется без учета влияния горных выработок.
8.59. На подрабатываемых территориях, где ожидается образование уступов на земной поверхности, следует предусматривать надземную прокладку тепловых сетей или в каналах.
8.60. При прокладке тепловых сетей в подвалах и подпольях зданий усилия от неподвижных опор не должны передаваться на конструкции зданий.
8.61. Для компенсации тепловых удлинений трубопровода и его перемещений, вызванных деформациями земной поверхности, должны приниматься гибкие компенсаторы из труб и углы поворотов. Размеры гибких компенсаторов определяют в рабочем состоянии трубопровода.
Сальниковые компенсаторы допускается применять только в тех случаях, если на земной поверхности не ожидается образования уступов.
8.62. При бесканальной прокладке тепловых сетей неподвижные опоры между компенсаторами должны предусматриваться только в камерах для защиты запорной арматуры. Устройство неподвижных опор на трассе не рекомендуется.
8.63. При бесканальной прокладке тепловых сетей в теплогидроизоляции, допускающей перемещение трубопроводов внутри нее, должны предусматриваться деформационные швы.
В теплогидроизоляции с применением битумного вяжущего деформационные швы не предусматриваются.
8.64. Уклоны тепловых сетей и труб дренажа должны приниматься с учетом ожидаемых наклонов земной поверхности от влияния горных выработок.
8.65. При выборе теплоизоляции предпочтение следует отдавать той, при которой значение предельной деформации трубопровода, вычисленное по
формуле (346), было бы меньше соответствующего значения, найденного по
формуле (345).
Рекомендуется применять теплоизоляцию на основе органических вяжущих (битумоперлит, асфальтошлакопемзобетон, асфальтокерамзитобетон).
8.66. Рекомендуется следующий порядок проектирования бесканальных теплопроводов на подрабатываемых территориях:
в соответствии с заданием и исходными данными составляется план трасс;
на основании нормативных документов по проектированию тепловых сетей выполняется теплотехнический расчет и расчет на прочность;
на плане трассы намечается установка компенсаторов и неподвижных опор;
проверяется несущая способность труб по длине расчетных участков по
условию (326);
определяется длина участка между смежными компенсаторами и необходимая компенсационная способность компенсатора.
8.67. При проектировании тепловых сетей рекомендуется применять следующие меры защиты: увеличение несущей способности конструкций, увеличение подвижности теплопроводной системы, снижение деформационных воздействий.
Снижение деформационных воздействий достигается применением изоляционных материалов с низкими коэффициентами трения по грунту и трубе, использованием малозащемляющих засыпок и прогревом теплосети.
Для конструкций с теплоизоляцией из битумных вяжущих снижение деформационных воздействий достигается прогревом теплосети в период подработок.
ОПРЕДЕЛЕНИЕ КОЭФФИЦИЕНТОВ ЖЕСТКОСТИ ОСНОВАНИЯ СООРУЖЕНИЙ
Коэффициенты жесткости линейно-деформируемого основания при сжатии
| | ИС МЕГАНОРМ: примечание. В официальном тексте документа, видимо, допущена опечатка: имеется в виду пункт 2.40 СНиП 2.02.01-83, а не пункт 3.49. | |
| | ИС МЕГАНОРМ: примечание. В официальном тексте документа, видимо, допущена опечатка: имеется в виду приложение 2 СНиП 2.02.01-83, а не приложение 3. | |
1 (1). Коэффициенты жесткости основания, расчетная схема которого принимается в виде линейно-деформируемого полупространства или слоя конечной толщины, определяются исходя из осадок основания от действия среднего распределенного давления под подошвой фундамента. Выбор расчетной схемы основания производится в зависимости от размеров фундамента в плане и деформируемости грунтов, расположенных в пределах сжимаемой толщи, в соответствии с указаниями, изложенными в п. 3.49 СНиП 2.02.01-83. Осадки основания определяются методом послойного суммирования осадок отдельных слоев в пределах сжимаемой толщи в соответствии с указаниями, приведенными в прил. 3 главы СНиП 2.02.01-83, и с учетом дополнительных указаний, содержащихся в настоящем приложении. 2 (2). При определении коэффициентов жесткости основания следует учитывать неоднородность геологического строения основания и распределительные свойства (связность) грунта. Неоднородность геологического строения основания учитывается путем определения значений коэффициента жесткости в ряде точек под подошвой фундамента, выбираемых в зависимости от характера залегания слоев, наличия отдельных линз грунта и различных включений ( рис. 1 прил. 1). По вертикальной линии, проходящей через выбранные точки, назначаются расчетные слои. |

Рис. 1 (1). Геологический разрез неоднородного основания
Распределительные свойства грунта учитываются путем определения значений коэффициента жесткости исходя из раздельного учета остаточных и упругих осадок основания. 3 (3). Остаточные осадки следует определять, если соблюдается условие |
где p - среднее фактическое давление на грунт под подошвой фундамента; pб - природное (бытовое) давление в грунте на уровне подошвы фундамента от веса вышележащих грунтов (до отметки природного рельефа). Если p <= pб, остаточные осадки не определяются. При определении остаточных осадок основания по всем расчетным вертикалям принимается одинаковое распределение дополнительного давления по глубине, вычисляемое для вертикали, проходящей через центр подошвы фундамента. Остаточная осадка Sо основания с применением расчетной схемы в виде линейно-деформируемого полупространства определяется по формуле |
где n - число слоев, на которое разделена по глубине сжимаемая толща основания на рассматриваемой вертикали геологического разреза (глубина сжимаемой толщи определяется согласно указаниям, приведенным в прил. 2 СНиП 2.02 01-83); hi - толщина i-го слоя грунта; Eоi - модуль остаточных деформаций i-го слоя грунта; pдi - среднее дополнительное (к природному) давление в i-м слое грунта, равное полусумме дополнительных давлений pдi на верхней и нижней границах этого слоя, определяемых по вертикали, проходящей через центр подошвы фундамента, в соответствии с указаниями прил. 3 СНиП 2.02.01-83;  - безразмерный коэффициент, равный 0,8. 4 (4). Упругие осадки основания по расчетным вертикалям определяются с учетом неравномерности распределения нормальных давлений по горизонтальным сечениям сжимаемой толщи основания. Распределение по глубине нормальных давлений в любой точке в пределах подошвы находится с применением метода угловых точек в соответствии со СНиП 2.02.01-83 (прил. 2). Упругая осадка Sу основания по рассматриваемой вертикали определяется по формуле |
где pi - среднее давление в i-м слое грунта, равное полусумме давлений pz на верхней и нижней границах этого слоя, определяемых от действия среднего фактического давления p на грунт под подошвой фундамента в зависимости от расположения рассматриваемой вертикали; Eуi - модуль упругих деформаций i-го слоя грунта. 5 (5). Модули остаточных Eо и упругих Eу деформаций слоев грунта, из которых состоит сжимаемая толща основания, определяются по результатам полевых испытаний грунтов штампами в шурфах (скважинах) или лабораторных компрессионных испытаний образцов грунтов. В случае штамповых испытаний модули деформаций Eо и Eу определяют по графику зависимости осадки штампа от нагрузки на него ( рис. 2 прил. 1) по формулам: |
где  - коэффициент формы подошвы штампа, равный 0,88 для квадрата и 0,79 для круга; F - площадь подошвы штампа;  - коэффициент Пуассона грунта. |
Рис. 2 (2). Зависимость осадки от давления
при штамповых испытаниях
В случае компрессионных испытаний модуль остаточных деформаций грунта допускается определять по формуле |
Eо =
EEу/(
Eу -
E), (6)
[6]
где E - модуль полной деформации, определяемый с учетом коэффициента перехода от компрессионного модуля полных деформаций к штамповому модулю полных деформаций; Eу - модуль упругой деформации, определяемый по ветви разгрузки компрессионной кривой на рассматриваемом диапазоне изменения давления. Для модуля упругой деформации Eу в формуле (6) прил. 1 переходный коэффициент допускается не вводить, поскольку модули упругой деформации грунта, определенные по результатам вдавливания штампа и по результатам компрессионных испытаний, мало отличаются друг от друга. 6 (6). При использовании расчетной схемы основания в виде линейно-деформируемого слоя конечной толщины расчетная величина толщины слоя Hрасч принимается согласно указаниям, приведенным в прил. 2 СНиП 2.02.01-83. Остаточные и упругие осадки основания допускается определять по формулам (2) и (3) прил. 1, в которых глубина сжимаемой толщи принимается равной Hрасч. 7 (7). Коэффициент жесткости основания C по рассматриваемой вертикали геологического разреза определяется по формуле |
где S - полная осадка основания по рассматриваемой вертикали, определяемая по формуле |
Промежуточные значения коэффициента жесткости определяются линейной интерполяцией. 8 (8). При определении коэффициентов жесткости основания допускается не учитывать распределительные свойства грунта, если соблюдается условие |
В этом случае при определении упругих осадок по формуле (3) прил. 1 величины давлений pi по всем рассматриваемым вертикалям принимаются одинаковыми и равными давлениям по вертикали, проходящей через центр подошвы фундамента. Остаточные осадки определяются по формуле (2) прил. 1 без изменений. |
9. В предварительных расчетах коэффициенты жесткости основания при сжатии рекомендуется определять по формуле

(10)
где E - модуль деформации грунта;

- коэффициент формы подошвы фундамента, принимаемый равным 0,85 для круга и по
табл. 2 прил. 1 для прямоугольника в зависимости от отношения сторон
n =
l/
b;
F - площадь подошвы фундамента (при F > 10 м2 принимается F = 10 м2);

- коэффициент Пуассона грунта, принимаемый по
табл. 1.
|
| Наименование грунта | Консистенция грунта | Коэффициент Пуассона |
Глины и суглинки | Твердые и полутвердые | 0,10 - 0,15 |
Тугопластичные | 0,20 - 0,25 |
Пластичные и текучепластичные | 0,30 - 0,40 |
Текучие | 0,45 - 0,50 |
Супеси | Твердые и полутвердые | 0,15 - 0,20 |
Тугопластичные | 0,25 - 0,30 |
Пески | - | 0,20 - 0,25 |
|
| N | 1,0 | 1,5 | 2,0 | 3,0 | 4,0 | 5,0 | 10,0 |
| 0,94 | 0,93 | 0,92 | 0,88 | 0,85 | 0,82 | 0,71 |
Коэффициенты жесткости нелинейно-деформируемого основания при сжатии 10 (9). Если давления на основание превышают величины, ограничивающие возможность использования линейной зависимости осадки от давления, необходимо учитывать нелинейность этой зависимости. При определении нелинейного коэффициента жесткости принимается, что осадка S' определяется по формуле |
где p - среднее фактическое давление на грунт под подошвой фундамента; p' - переменная величина давления на грунт под подошвой фундамента на рассматриваемой вертикали, которая может изменяться в пределах от 0 до  ; давление p' определяется на основе решения контактной задачи;  - несущая способность основания при вертикальной нагрузке, определяемая согласно указаниям, приведенным в СНиП 2.02.01-83; S - полная осадка основания на рассматриваемой вертикали, определяемая по формуле (8) прил. 1. |
Рис. 3 (3). Расчетная кривая сжатия
нелинейно-деформируемого основания
11 (10). Коэффициент жесткости нелинейно-деформируемого основания при возрастании давления на грунт под подошвой фундамента определяется по формуле |
где C - коэффициент жесткости основания, вычисляемый согласно указаниям п. 7 прил. 1. 12 (11). Коэффициент жесткости Cу нелинейно-деформируемого основания при уменьшении давления на грунт под подошвой фундамента (разгрузке) определяется по формуле |
где Sу - упругая осадка, определяемая согласно п. 4 прил. 1. Принимается, что величина коэффициента жесткости Cу не зависит от давления p' или осадки S', при которых началась разгрузка основания, и численно равна коэффициенту жесткости линейно-деформируемого основания. Для рассматриваемой вертикали геологического разреза Cу - величина постоянная. Коэффициенты жесткости основания, обладающего реологическими свойствами при сжатии 13 (12). При определении коэффициентов жесткости оснований, характеризуемых невысокими скоростями протекания осадок во времени (глинистые, водонасыщенные грунты), допускается учитывать зависимость величины коэффициента жесткости от времени. Коэффициент жесткости основания Ct для момента времени t определяется по формуле |
где pt - величина давления на грунт под подошвой фундамента на рассматриваемой вертикали в момент времени t; St - величина осадки основания на рассматриваемой вертикали в момент времени t. Определение давления pt и осадки St производится на основе решения контактной задачи теории консолидации и ползучести грунтов, если известны характеристики длительного деформирования грунтов, слагающих основание, и величины деформаций земной поверхности от подработки во времени. 14 (13). Для предварительных расчетов по оценке влияния длительного деформирования грунтов на напряженно-деформированное состояние сооружений, подвергающихся воздействиям от подработки, коэффициент жесткости Ct для момента времени t допускается определять по формуле |
Ct =
C/(1 +
Sп.сut/
S), (15)
[14]
где C - коэффициент жесткости линейно-деформируемого основания, определяемый по формуле (7) прил. 1; Sп.с - полностью стабилизированная осадка на рассматриваемой вертикали, определяемая по формуле (2) прил. 1, где вместо модуля остаточных деформаций необходимо принять модуль полных стабилизированных деформаций Eп.с,i i-го слоя; S - полная осадка основания, определяемая по формуле (2) с учетом модулей деформации грунта, вычисляемых по результатам стандартных лабораторных или полевых испытаний грунта статическими нагрузками в условиях условной стабилизации осадок; ut - функция, характеризующая длительность деформирования основания, значения которой принимаются в зависимости от величины коэффициента сжимаемости a грунта по табл. 3 прил. 1. |
|
| a | Значения функции ut при длительности деформирования t, лет |
0,08 | 0,125 | 0,25 | 0,5 | 1 | 2 | 3 | 5 | 7 | 10 |
10 | 0,18 | 0,27 | 0,46 | 0,71 | 0,91 | 0,99 | 1 | 1 | 1 | 1 |
1,0 | 0,08 | 0,12 | 0,22 | 0,40 | 0,63 | 0,86 | 0,95 | 0,99 | 1 | 1 |
0,1 | 0,04 | 0,06 | 0,12 | 0,22 | 0,40 | 0,63 | 0,78 | 0,92 | 0,97 | 1 |
Примечание. При значениях коэффициента сжимаемости a, приближенно равных 10, 1,0 и 0,1 см2/кН, грунт следует считать соответственно сильно-, средне- и малосжимаемым. |
Модуль полностью стабилизированной деформации Eп.с грунта определяется для каждого выделенного на площадке литологически однородного слоя на основании специальных исследований грунтов при длительном действии нагрузок. В случае если имеются данные наблюдений за осадками сооружений во времени, определение значений ut может производиться по эмпирическим формулам, составленным по данным этих наблюдений. Полученные таким образом значения ut могут использоваться при проектировании сооружений, возводимых в аналогичных грунтовых условиях. 15 (14). В случаях, оговоренных в п. 2.16 СНиП 2.02.01-83, для глинистых грунтов допускается определять значения коэффициента жесткости длительно деформируемого основания, используя табличные данные о нормативных и длительных модулях деформации грунтов. При этом в формуле (15) прил. 1: ut - принимается равным единице; S - определяется с учетом модулей деформации грунта, принимаемых по табл. 3 прил. 1 СНиП 2.02.01-83; Sп.с - определяется с учетом модулей длительных деформаций грунта Eдл, принимаемых по табл. 4 прил. 1. |
Пределы нормативных значений консистенции глинистых грунтов | Модули длительной деформации грунтов Eдл, МПа, при коэффициенте пористости, равном |
0,55 | 0,65 | 0,75 | 0,85 | 0,95 |
JL < 0 | 25 | 18,5 | 13 | 8,5 | 7 |
0 <= JL < 0,25 | 18 | 14 | 8,5 | 5,5 | 4,5 |
0,25 <= JL < 0,5 | 14 | 8,5 | 5 | 3,5 | 3 |
16. При использовании результатов полевых или лабораторных испытаний коэффициент жесткости Ct определяется по формуле

(16)
где

- коэффициент, зависящий от жесткости фундамента или сооружения в целом; рекомендуется принимать для жестких фундаментов и сооружений башенного типа

; для сооружений и конструкций, рассчитываемых как балка конечной жесткости,

;

- характеристика длительного деформирования основания, определяемая по формуле

(17)

- максимальное значение характеристики длительного деформирования основания, определяемое по формуле

(18)

- полная осадка грунта, соответствующая условной стабилизации при длительности испытаний, принимаемой равной 7 - 10, 15 и 20 - 25 сут соответственно для сильно-, средне- и малосжимаемых грунтов;
S0 - условно-мгновенная осадка грунта, принимаемая через 5 сут после приложения нагрузки.
17. Осадки

и
S0 рекомендуется определять в полевых условиях загружением штампа статическими нагрузками.
При наличии исследований и опыта строительства в аналогичных условиях допускается определение осадок лабораторными компрессионными методами.
Величина нагрузки, при которой испытывают грунт, должна соответствовать средней распределенной нагрузке на основание от проектируемого сооружения.
Коэффициенты жесткости основания при сдвиге
18 (15). Коэффициенты жесткости линейно-деформируемого основания при сдвиге определяются исходя из горизонтальных перемещений поверхности основания от действия среднего равномерно распределенного касательного напряжения под подошвой фундамента. Расчетная схема основания принимается в виде упругого линейно-деформируемого полупространства. 19 (16). Коэффициент жесткости нелинейно-деформируемого основания при сдвиге Cсд.нл допускается определять по формуле |
где  - несущая способность основания при действии касательной (горизонтальной) нагрузки, определяемая согласно указаниям, приведенным в СНиП 2.02.01-83; Cсд - коэффициент жесткости основания, определяемый в соответствии с указаниями, приведенными в п. 15 ( п. 18 прил. 1); u' - переменная величина горизонтального перемещения основания, определяемая из решения контактной задачи в соответствии с указаниями, приведенными в п. 5.10 ( п. 3.10 Руководства). |
ОПРЕДЕЛЕНИЕ ДЛИТЕЛЬНОЙ ЖЕСТКОСТИ
ЖЕЛЕЗОБЕТОННЫХ СТЕРЖНЕВЫХ ЭЛЕМЕНТОВ
1. Жесткость железобетонного стержневого элемента в произвольный момент времени определяется по формуле
B(t) = EбIпрmt, (1)
где
Eб - начальный модуль упругости бетона при сжатии и растяжении, принимаемый по
табл. 18 СНиП 2.03.01-84;
Iпр - приведенный момент инерции сечения элемента, определяемый по
формулам (2) и
(5) прил. 2;
mt - коэффициент изменения жесткости, определяемый согласно
пп. 4 и
5 настоящего приложения соответственно для изгибаемых и сжато-изогнутых железобетонных элементов.
2. Приведенный момент инерции сечения элемента на участках, где трещины отсутствуют, определяется как для сплошного тела с учетом растянутой зоны бетона по формуле
| | ИС МЕГАНОРМ: примечание. Формула дана в соответствии с официальным текстом документа. | |

(2)
где Iб - момент инерции бетонного сечения;
nа и nн - величины, определяемые по формулам:
nа = Eа/Eб; (3)
nн = Eн/Eб, (4)
Eа и
Eн - модули упругости соответственно ненапрягаемой и напрягаемой арматуры, принимаемые по
табл. 29 СНиП 2.03.01-84.
3. Приведенный момент инерции сечения элемента на участках с трещинами определяется с учетом неупругих деформаций бетона и растянутой арматуры по формуле

(5)
| | ИС МЕГАНОРМ: примечание. Обозначение дано в соответствии с официальным текстом документа. | |
где

- момент инерции сжатой зоны бетона;

- коэффициент, учитывающий неравномерность распределения деформаций крайнего сжатого волокна бетона по длине участка с трещинами;

- коэффициент, учитывающий работу растянутого бетона на участке с трещинами.
4. Коэффициенты изменения жесткости изгибаемых элементов для сечений без трещин и сечений с трещинами определяются соответственно по формулам:

(6)
| | ИС МЕГАНОРМ: примечание. Формула дана в соответствии с официальным текстом документа. | |

(7)

(8)
где

- коэффициент, учитывающий работу растянутого бетона на участке с трещинами, определяемый при длительном действии нагрузки;

- относительная высота сжатой зоны сечения изгибаемого элемента, определяемая согласно
пп. 6 и
7 прил. 2;

- характеристика ползучести бетона, определяемая по
п. 12 прил. 2.
5. Коэффициенты изменения жесткости сжато-изогнутых (внецентренно сжатых) элементов для сечений без трещин и сечений с трещинами определяются соответственно по формулам:

(9)

(10)
где

- величина, определяемая по формуле

(11)
x - высота сжатой зоны, вычисляемая по формуле

(12)

- относительная высота сжатой зоны сечения сжато-изогнутого (внецентренно сжатого) элемента, определяемая согласно
пп. 8 -
10 прил. 2.
6. Относительная высота сжатой зоны сечения предварительно напряженного изгибаемого элемента, работающего без трещин, определяется по формуле

(13)
где

определяется по формуле

(14)
M - изгибающий момент в рассматриваемом сечении элемента, определяемый статическим расчетом с учетом неравномерных вертикальных деформаций основания, вызванных подработкой;
A, B, C - величины, определяемые по формулам:

(15)

(16)

(17)

- величина, определяемая по формуле

(18)

и

определяются по формулам

(19)

(20)
| | ИС МЕГАНОРМ: примечание. Обозначение дано в соответствии с официальным текстом документа. | |

и

- коэффициенты армирования сечения ненапрягаемой арматурой, определяемые по формулам:

(21)

(22)

и

- коэффициенты армирования сечения напрягаемой арматурой, определяемые по формулам:

(23)

(24)
7. Относительная высота сжатой зоны сечения предварительно напряженного изгибаемого элемента, работающего с трещинами, определяется уравнением

(25)
где A, B и C - величины, определяемые по формулам:

(26)

(27)

(28)
где nас и nнс - величины, определяемые по формулам:

(29)

(30)
8. Относительная высота сжатой зоны сечения сжато-изогнутого элемента, работающего без трещин, определяется по формуле

(31)
P - продольная сжимающая нагрузка;

- величина, равная отношению

(32)

- величина, определяемая по формуле

(33)
Mп - изгибающий момент в рассматриваемом сечении элемента, обусловленный неравномерными деформациями основания при подработке.
9. Относительная высота сжатой зоны сечения сжато-изогнутого элемента, работающего с трещинами в растянутой зоне, определяется из уравнения
| | ИС МЕГАНОРМ: примечание. Формула дана в соответствии с официальным текстом документа. | |

(34)
10. Относительная высота сжатой зоны сечения внецентренно сжатого элемента, работающего без трещин и с трещинами в растянутой зоне, определяется соответственно из
выражений (31) и
(34) прил. 2 при

.
11. При расчете элементов железобетонных конструкций без предварительного напряжения во всех формулах принимают
N =
N' = 0 и

.
12. Характеристика ползучести бетона определяется по формуле

(35)
где
k - коэффициент, принимаемый по
табл. 1 прил. 2;
Ct - конечное значение меры ползучести бетона, определяемое по формуле

(36)
Cн - нормативное значение меры ползучести, принимаемое по
табл. 2 прил. 2;

- коэффициент, зависящий от отношения кубиковой прочности бетона в момент загружения

к проектной (марке бетона)

, принимаемый по
табл. 3 прил. 2;

- коэффициент, зависящий от возраста бетона в момент загружения, принимаемый по
табл. 4 прил. 2;

- коэффициент, зависящий от отношения открытого периметра
Пс поперечного сечения к его площади
Fс, принимаемый по
табл. 5 прил. 2;

- коэффициент, зависящий от относительной влажности среды (воздуха), принимаемый по
табл. 6.
Значения коэффициента k при продолжительности эксплуатации сооружения после увеличения нагрузки, сут |
10 | 20 | 30 | 45 | 60 | 90 | 180 | 360 | 1000 |
0,2 | 0,25 | 0,3 | 0,35 | 0,4 | 0,5 | 0,6 | 0,8 | 1 |
Характеристика подвижности бетонной смеси по ГОСТ 10181.1-81 | Значения Cн·105 для бетона проектной марки |
осадка стандартного конуса, см | жесткость по техническому вискозиметру, с | М 200 | М 250 | М 300 | М 400 |
- | 35 - 30 | 10,8 | 9,1 | 7,7 | 6,2 |
1 - 2 | 15 - 10 | 12,4 | 10,5 | 8,9 | 7,2 |
5 - 6 | - | 14 | 11,7 | 10,1 | 8,1 |
9 - 10 | - | 14,8 | 12,4 | 10,7 | 8,5 |
/ | 0,6 | 0,7 | 0,8 | 0,9 | 1 и более |
| 1,5 | 1,4 | 1,25 | 1,15 | 1 |
t, сут | 28 и менее | 45 | 60 | 90 | 180 | 350 и более |
| 1 | 0,9 | 0,85 | 0,75 | 0,65 | 0,6 |
| 0 | 0,2 | 0,4 | 0,6 | 0,8 | 1 и более |
| 0,65 | 0,8 | 1 | 1,15 | 1,35 | 1,55 |
Относительная влажность, % | 40 | 50 | 60 | 70 | 80 и более |
| 1,4 | 1,8 | 1,15 | 1 | 0,65 |
Примечание: 1. Характеристику подвижности (удобоукладываемости) бетонной смеси устанавливают в зависимости от конструктивных особенностей и технологии изготовления элементов с учетом требований главы СНиП "Бетон на неорганических вяжущих и заполнителях".
2. Для бетонов, подвергнутых тепловлажностной обработке по полному режиму (прочность после пропаривания не менее 80% проектной), значения Cн снижают на 10%.
13. При определении
Ct по
формуле (36) один из коэффициентов

или

принимают равным 1.
Если прочность бетона в момент загружения меньше проектной (марки бетона), т.е.

, используют значение коэффициента

, принимая

.
При загружении бетона в возрасте более 28 сут используют значение коэффициента

, принимая

.
14. Относительную влажность воздуха устанавливают в зависимости от климатического района (как среднюю летнюю за многолетний период), а среды - по фактическим данным.
При расчете конструкций, предназначенных для эксплуатации в воде или насыщенном водой грунте, принимают соответственно

и

.
ДЛЯ ОПРЕДЕЛЕНИЯ НАИБОЛЕЕ НЕБЛАГОПРИЯТНОГО РАСПОЛОЖЕНИЯ
УСТУПА (ЗОНЫ СОСРЕДОТОЧЕННЫХ ДЕФОРМАЦИЙ)
Рис. 1. Расположение уступа при
и 
а - при

;
б - при

;
в - при

;
1 - 5 - области соответствующих схем опирания сооружения
на основание;
6 - график определения значения

в зависимости от величины

при максимальном крене;
7 - то же, при максимальных обобщенных усилиях
Рис. 2. Расположение уступа при
и 
а - при

;
б - при

;
в - при

;
1 - 6 - области соответствующих схем опирания сооружения
на основание;
7 - график определения значения

в зависимости от величины

при максимальном крене;
8 - то же, при максимальных обобщенных усилиях
Рис. 3. Расположение уступа при
и 
а - при

;
б - при

;
в - при

;
1, 2, 3, 5, 6 - области соответствующих схем опирания
сооружения на основание;
7 - график определения значения

в зависимости от величины

при максимальном крене;
8 - то же, при максимальных обобщенных усилиях
Рис. 4. Расположение уступа при
и 
а - при

;
б - при

;
в - при

;
1, 1а, 2, 2а, 3, 4, 5 - области соответствующих схем
опирания сооружения на основание; 6 - график определения
значения

в зависимости от величины

при максимальном
крене; 7 - то же, при максимальных обобщенных усилиях
Рис. 5. Расположение уступа при
и 
а - при

;
б - при

;
в - при

;
1, 1а, 2, 2а, 3, 4, 5 - области соответствующих схем
опирания сооружения на основание; 6 - график определения
значения

в зависимости от величины

при максимальном
крене; 7 - то же, при максимальных обобщенных усилиях
Рис. 6. Расположение зоны сосредоточенных деформаций
при
и 
а - при

;
б - при

;
в - при

;
1, 1', 2, 3, 6, 6' - области соответствующих схем опирания
сооружения на основание; 7 - график определения значения

в зависимости от величины

при максимальном крене;
8 - то же, при максимальных обобщенных усилиях
Рис. 7. Расположение зоны сосредоточенных деформаций
при
и 
а - при

;
б - при

;
в - при

;
1, 1', 3, 6, 6' - области соответствующих схем опирания
сооружения на основание; 7 - график определения значения

в зависимости от величины

при максимальном крене;
8 - то же, при максимальных обобщенных усилиях
Рис. 8. Расположение зоны сосредоточенных деформаций
при
и 
а - при

;
б - при

;
в - при

;
1, 1', 3, 6, 6' - области соответствующих схем опирания
сооружения на основание; 7 - график определения значения

в зависимости от величины

при максимальном крене;
8 - то же, при максимальных обобщенных усилиях
Рис. 9. Расположение зоны сосредоточенных деформаций
при
и 
а - при

;
б - при

;
в - при

;
1', 1'а, 1, 1а, 2, 3, 6, 6' - области соответствующих схем
опирания сооружения на основание; 7 - график определения
значения

в зависимости от величины

при максимальном
крене; 8 - то же, при максимальных обобщенных усилиях
Рис. 10. Расположение зоны сосредоточенных деформаций
при
и 
а - при

;
б - при

;
в - при

;
1, 1а, 2, 1', 1'а, 3, 4, 5 - области соответствующих схем
опирания сооружения на основание; 7 - график определения
значения

в зависимости от величины

при максимальном
крене; 8 - то же, при максимальных обобщенных усилиях
Рис. 11. Расположение зоны сосредоточенных деформаций
при
и 
а - при

;
б - при

;
в - при

;
1', 2, 3, 6' - области соответствующих схем опирания
сооружения на основание; 7 - график определения значения

в зависимости от величины

при максимальных
обобщенных усилиях
Рис. 12. Расположение зоны сосредоточенных деформаций
при
и 
а - при

;
б - при

;
в - при

;
1', 2, 3, 6' - области соответствующих схем опирания
сооружения на основание; 7 - график определения значения

в зависимости от величины

при максимальных
обобщенных усилиях
Рис. 13. Расположение зоны сосредоточенных деформаций
при
и 
а - при

;
б - при

;
в - при

;
1', 2, 3, 6' - области соответствующих схем опирания
сооружения на основание; 7 - график определения значения

в зависимости от величины

при максимальных
обобщенных усилиях
Рис. 14. Расположение зоны сосредоточенных деформаций
при
и 
а - при

;
б - при

;
в - при

;
1', 1'а, 2, 3, 6' - области соответствующих схем опирания
сооружения на основание; 7 - график определения значения

в зависимости от величины

при максимальных
обобщенных усилиях
| | ИС МЕГАНОРМ: примечание. Текст дан в соответствии с официальным текстом документа. | |
Рис. 15. Расположение зоны сосредоточенных деформаций
при
и 
а - при

;
б - при

;
в - при

;
1', 1'а, 2, 3 - области соответствующих схем опирания
сооружения на основание; 4 - график определения значения

в зависимости от величины

при максимальных
обобщенных усилиях
ТАБЛИЦЫ ДЛЯ ОПРЕДЕЛЕНИЯ БЕЗРАЗМЕРНЫХ ПАРАМЕТРОВ

и

| Параметры  (над чертой) и  (под чертой) при  и  |
| | |
|
0,4 | 0,5 | 0,6 | 0,7 | 0,5 | 0,6 | 0,7 | 0,8 | 0,5 | 0,6 | 0,7 | 0,8 |
0 | 1 ------ 0 | 1 ------ 0 | 1 ------ 0 | 1 ------ 0 | 1 ------ 0 | 1 ------ 0 | 1 ------ 0 | 1 ------ 0 | 1 ------ 0 | 1 ------ 0 | 1 ------ 0 | 1 ------ 0 |
2 | 0,76 ------ 2,88 | 0,50 ------ 3,00 | 0,36 ------ 2,88 | 0,34 ------ 2,52 | 0,49 ------ 3,03 | 0,35 ------ 2,91 | 0,33 ------ 2,55 | 0,43 ------ 1,94 | 0,47 ------ 3,06 | 0,33 ------ 2,94 | 0,31 ------ 2,57 | 0,42 ------ 1,96 |
4 | 0,34 ------ 5,81 | -0,07 ------ 5,93 | -0,33 ------ 5,68 | -0,31 ------ 4,81 | -0,10 ------ 5,99 | -0,36 ------ 5,75 | -0,34 ------ 4,88 | 0,29 ------ 2,39 | -0,13 ------ 6,06 | -0,40 ------ 5,83 | -0,38 ------ 4,96 | 0,27 ------ 2,44 |
6 | -0,14 ------ 8,64 | -0,78 ------ 8,88 | -1,23 ------ 8,58 | -0,57 ------ 5,58 | -0,84 ------ 8,99 | -1,31 ------ 8,73 | -0,67 ------ 5,84 | 0,29 ------ 2,39 | -0,91 ------ 9,13 | -1,40 ------ 8,90 | -0,81 ------ 6,18 | 0,27 ------ 2,44 |
8 | -0,70 ------ 11,5 | -1,65 ------ 11,9 | -2,30 ------ 11,6 | -0,57 ------ 5,58 | -1,75 ------ 12,1 | -2,45 ------ 11,9 | -0,67 ------ 5,84 | 0,29 ------ 2,39 | -1,87 ------ 12,3 | -2,63 ------ 12,2 | -0,81 ------ 6,18 | 0,27 ------ 2,44 |
10 | -1,34 ------ 14,4 | -2,62 ------ 15,1 | -3,48 ------ 14,6 | -0,57 ------ 5,58 | -2,77 ------ 15,4 | -3,74 ------ 15,1 | -0,67 ------ 5,84 | 0,29 ------ 2,39 | -2,96 ------ 15,7 | -4,04 ------ 15,7 | -0,81 ------ 6,18 | 0,27 ------ 2,44 |
12 | -2,04 ------ 17,3 | -3,67 ------ 18,3 | -4,73 ------ 17,7 | -0,57 ------ 5,58 | -3,89 ------ 18,7 | -5,14 ------ 18,6 | -0,67 ------ 5,84 | 0,29 ------ 2,39 | -4,15 ------ 19,1 | -5,61 ------ 19,3 | -0,81 ------ 6,18 | 0,27 ------ 2,44 |
14 | -2,78 ------ 20,3 | -4,78 ------ 21,5 | -5,99 ------ 20,6 | -0,57 ------ 5,58 | -5,07 ------ 22,0 | -6,64 ------ 21,9 | -0,67 ------ 5,84 | 0,29 ------ 2,39 | -5,43 ------ 22,7 | -7,32 ------ 23,1 | -0,81 ------ 6,18 | 0,27 ------ 2,44 |
16 | -3,57 ------ 23,3 | -5,94 ------ 24,8 | -7,06 ------ 23,1 | -0,57 ------ 5,58 | -6,32 ------ 25,4 | -8,22 ------ 25,4 | -0,67 ------ 5,84 | 0,29 ------ 2,39 | -6,79 ------ 26,3 | -9,17 ------ 27,1 | -0,81 ------ 6,18 | 0,27 ------ 2,44 |
18 | -4,38 ------ 26,3 | -7,15 ------ 28,1 | -7,06 ------ 23,1 | -0,57 ------ 5,58 | -7,63 ------ 28,9 | -9,89 ------ 29,0 | -0,67 ------ 5,84 | 0,29 ------ 2,39 | -8,21 ------ 30,0 | -11,2 ------ 31,3 | -0,81 ------ 6,18 | 0,27 ------ 2,44 |
20 | -5,22 ------ 29,3 | -8,40 ------ 31,4 | -7,06 ------ 23,1 | -0,57 ------ 5,58 | -8,98 ------ 32,5 | -11,6 ------ 32,7 | -0,67 ------ 5,84 | 0,29 ------ 2,39 | -9,69 ------ 33,7 | -13,3 ------ 35,6 | -0,81 ------ 6,18 | 0,27 ------ 2,44 |
22 | -6,09 ------ 32,3 | -9,68 ------ 34,8 | -7,06 ------ 23,1 | -0,57 ------ 5,58 | -10,4 ------ 36,1 | -13,4 ------ 36,6 | -0,67 ------ 5,84 | 0,29 ------ 2,39 | -11,2 ------ 37,5 | -15,5 ------ 40,1 | -0,81 ------ 6,18 | 0,27 ------ 2,44 |
24 | -6,97 ------ 35,4 | -11,0 ------ 38,2 | -7,06 ------ 23,1 | -0,57 ------ 5,58 | -11,8 ------ 39,7 | -15,4 ------ 40,6 | -0,67 ------ 5,84 | 0,29 ------ 2,39 | -12,8 ------ 41,4 | -17,8 ------ 44,7 | -0,81 ------ 6,18 | 0,27 ------ 2,44 |
26 | -7,87 ------ 38,4 | -12,3 ------ 41,6 | -7,06 ------ 23,1 | -0,57 ------ 5,58 | -13,3 ------ 43,3 | -17,4 ------ 44,5 | -0,67 ------ 5,84 | 0,29 ------ 2,39 | -14,5 ------ 45,3 | -20,3 ------ 49,5 | -0,81 ------ 6,18 | 0,27 ------ 2,44 |
28 | -8,79 ------ 41,5 | -13,7 ------ 45,1 | -7,06 ------ 23,1 | -0,57 ------ 5,58 | -14,8 ------ 47,0 | -19,4 ------ 48,7 | -0,67 ------ 5,84 | 0,29 ------ 2,39 | -16,1 ------ 49,3 | -22,8 ------ 54,4 | -0,81 ------ 6,18 | 0,27 ------ 2,44 |
30 | -9,72 ------ 44,6 | -15,0 ------ 48,5 | -7,06 ------ 23,1 | -0,57 ------ 5,58 | -16,3 ------ 50,7 | -21,6 ------ 53,0 | -0,67 ------ 5,84 | 0,29 ------ 2,39 | -17,9 ------ 53,3 | 25,4 ------ 59,4 | -0,81 ------ 6,18 | 0,27 ------ 2,44 |
32 | -10,7 ------ 47,7 | -16,4 ------ 52,0 | -7,06 ------ 23,1 | -0,57 ------ 5,58 | -17,9 ------ 54,5 | -23,8 ------ 57,4 | -0,67 ------ 5,84 | 0,29 ------ 2,39 | -19,6 ------ 57,3 | -28,2 ------ 64,5 | -0,81 ------ 6,18 | 0,27 ------ 2,44 |
34 | -11,6 ------ 50,7 | -17,9 ------ 55,5 | -7,06 ------ 23,1 | -0,57 ------ 5,58 | -19,4 ------ 58,2 | -26,1 ------ 61,8 | -0,67 ------ 5,84 | 0,29 ------ 2,39 | -21,4 ------ 61,4 | -31,0 ------ 69,7 | -0,81 ------ 6,18 | 0,27 ------ 2,44 |
36 | -12,6 ------ 53,9 | -19,3 ------ 59,0 | -7,06 ------ 23,1 | -0,57 ------ 5,58 | -21,1 ------ 62,0 | -28,5 ------ 66,4 | -0,67 ------ 5,84 | 0,29 ------ 2,39 | -23,2 ------ 65,6 | -33,9 ------ 75,0 | -0,81 ------ 6,18 | 0,27 ------ 2,44 |
38 | -13,6 ------ 57,0 | -20,7 ------ 62,5 | -7,06 ------ 23,1 | -0,57 ------ 5,58 | -22,7 ------ 65,9 | -30,9 ------ 71,0 | -0,67 ------ 5,84 | 0,29 ------ 2,39 | -25,1 ------ 69,8 | -36,8 ------ 80,4 | -0,81 ------ 6,18 | 0,27 ------ 2,44 |
40 | -14,6 ------ 60,0 | -22,2 ------ 66,1 | -7,06 ------ 23,1 | -0,57 ------ 5,58 | -24,3 ------ 69,7 | -33,3 ------ 75,7 | -0,67 ------ 5,84 | 0,29 ------ 2,39 | -27,0 ------ 74,0 | -39,9 ------ 85,9 | -0,81 ------ 6,18 | 0,27 ------ 2,44 |
42 | -15,6 ------ 63,2 | -23,7 ------ 69,6 | -7,06 ------ 23,1 | -0,57 ------ 5,58 | -26,0 ------ 73,6 | -35,9 ------ 80,5 | -0,67 ------ 5,84 | 0,29 ------ 2,39 | -28,9 ------ 78,2 | -43,0 ------ 91,4 | -0,81 ------ 6,18 | 0,27 ------ 2,44 |
44 | -16,6 ------ 66,3 | -25,2 ------ 73,1 | -7,06 ------ 23,1 | -0,57 ------ 5,58 | -27,7 ------ 77,4 | -38,4 ------ 85,3 | -0,67 ------ 5,84 | 0,29 ------ 2,39 | -30,9 ------ 82,5 | -46,2 ------ 97,1 | -0,81 ------ 6,18 | 0,27 ------ 2,44 |
46 | -17,6 ------ 69,5 | -26,7 ------ 76,7 | -7,06 ------ 23,1 | -0,57 ------ 5,58 | -29,4 ------ 81,4 | -41,0 ------ 90,1 | -0,67 ------ 5,84 | 0,29 ------ 2,39 | -32,9 ------ 86,8 | -49,4 ------ 102,9 | -0,81 ------ 6,18 | 0,27 ------ 2,44 |
48 | -18,6 ------ 72,6 | -28,2 ------ 80,3 | -7,06 ------ 23,1 | -0,57 ------ 5,58 | -31,1 ------ 85,3 | -43,6 ------ 95,0 | -0,67 ------ 5,84 | 0,29 ------ 2,39 | -34,9 ------ 91,2 | -52,8 ------ 108,7 | -0,81 ------ 6,18 | 0,27 ------ 2,44 |
Таблица 2
| Параметры  (над чертой) и  (под чертой) при  и  |
|
| | |
0,5 | 0,6 | 0,7 | 0,8 | 0,5 | 0,6 | 0,7 | 0,8 | 0,5 | 0,6 | 0,7 | 0,8 |
0 | 0,6 ------ 0,8 | 0,6 ------ 0,8 | 0,6 ------ 0,8 | 0,6 ------ 0,8 | 0,6 ------ 0,81 | 0,6 ------ 0,81 | 0,6 ------ 0,81 | 0,6 ------ 0,81 | 0,59 ------ 0,82 | 0,59 ------ 0,82 | 0,59 ------ 0,82 | 0,59 ------ 0,82 |
2 | 0,09 ------ 3,80 | -0,04 ------ 3,69 | -0,06 ------ 3,33 | 0,04 ------ 2,72 | 0,08 ------ 3,84 | -0,06 ------ 3,72 | -0,08 ------ 3,36 | 0,03 ------ 2,75 | 0,06 ------ 3,88 | -0,08 ------ 3,76 | -0,10 ------ 3,40 | 0,012 ------ 2,78 |
4 | -0,55 ------ 6,87 | -0,93 ------ 6,82 | -1,01 ------ 6,18 | -0,41 ------ 4,09 | -0,59 ------ 6,96 | -0,98 ------ 6,92 | -1,07 ------ 6,29 | -0,47 ------ 4,21 | -0,64 ------ 7,05 | -1,05 ------ 7,04 | -1,14 ------ 6,41 | -0,53 ------ 4,35 |
6 | -1,43 ------ 10,1 | -2,11 ------ 10,2 | -2,23 ------ 9,16 | -0,41 ------ 4,09 | -1,52 ------ 10,2 | -2,23 ------ 10,4 | -2,38 ------ 9,42 | -0,47 ------ 4,21 | -1,62 ------ 10,4 | -2,37 ------ 10,6 | -2,56 ------ 9,73 | -0,53 ------ 4,35 |
8 | -2,45 ------ 13,4 | -3,48 ------ 13,7 | -3,49 ------ 11,9 | -0,41 ------ 4,09 | -2,59 ------ 13,7 | -3,69 ------ 14,1 | -3,84 ------ 12,6 | -0,47 ------ 4,21 | -2,76 ------ 13,9 | -3,94 ------ 14,5 | -4,23 ------ 13,2 | -0,53 ------ 4,35 |
10 | -3,57 ------ 16,8 | -4,99 ------ 17,3 | -3,85 ------ 12,7 | -0,41 ------ 4,09 | -3,78 ------ 17,1 | -5,31 ------ 17,9 | -5,15 ------ 15,2 | -0,47 ------ 4,21 | -4,02 ------ 17,6 | -5,70 ------ 18,5 | -6,10 ------ 16,9 | -0,53 ------ 4,35 |
12 | -4,76 ------ 20,2 | -6,60 ------ 21,0 | -3,85 ------ 12,7 | -0,41 ------ 4,09 | -5,05 ------ 20,7 | -7,06 ------ 21,8 | -5,17 ------ 15,3 | -0,47 ------ 4,21 | -5,39 ------ 21,3 | -7,63 ------ 22,7 | -8,15 ------ 20,8 | -0,53 ------ 4,35 |
14 | -6,02 ------ 23,7 | -8,29 ------ 24,8 | -3,85 ------ 12,7 | -0,41 ------ 4,09 | -6,39 ------ 24,3 | -8,92 ------ 25,8 | -5,17 ------ 15,3 | -0,47 ------ 4,21 | -6,84 ------ 25,1 | -9,71 ------ 27,1 | -10,4 ------ 25,0 | -0,53 ------ 4,35 |
16 | -7,32 ------ 27,2 | -10,0 ------ 28,6 | -3,85 ------ 12,7 | -0,41 ------ 4,09 | -7,78 ------ 28,0 | -10,9 ------ 30,0 | -5,17 ------ 15,3 | -0,47 ------ 4,21 | -8,36 ------ 28,9 | -11,9 ------ 31,6 | -13,1 ------ 29,8 | -0,53 ------ 4,35 |
18 | -8,66 ------ 30,7 | -11,9 ------ 32,5 | -3,85 ------ 12,7 | -0,41 ------ 4,09 | -9,23 ------ 31,7 | -12,9 ------ 34,2 | -5,17 ------ 15,3 | -0,47 ------ 4,21 | -9,94 ------ 32,8 | -14,3 ------ 36,3 | -16,3 ------ 35,2 | -0,53 ------ 4,35 |
20 | 10,0 ------ 34,3 | -13,7 ------ 36,4 | -3,85 ------ 12,7 | -0,41 ------ 4,09 | -10,7 ------ 35,4 | -15,0 ------ 38,5 | -5,17 ------ 15,3 | -0,47 ------ 4,21 | -11,6 ------ 36,8 | -16,7 ------ 41,1 | -19,9 ------ 41,2 | -0,53 ------ 4,35 |
22 | -11,4 ------ 37,8 | -15,6 ------ 40,4 | -3,85 ------ 12,7 | -0,41 ------ 4,09 | -12,2 ------ 39,2 | -17,2 ------ 42,9 | -5,17 ------ 15,3 | -0,47 ------ 4,21 | -13,3 ------ 40,8 | -19,2 ------ 46,0 | -23,8 ------ 47,7 | -0,53 ------ 4,35 |
24 | -12,9 ------ 41,4 | -17,6 ------ 44,4 | -3,85 ------ 12,7 | -0,41 ------ 4,09 | -13,8 ------ 43,0 | -19,5 ------ 47,4 | -5,17 ------ 15,3 | -0,47 ------ 4,21 | -15,0 ------ 44,9 | -21,9 ------ 51,0 | -28,0 ------ 54,4 | -0,53 ------ 4,35 |
26 | -14,3 ------ 45,0 | -19,6 ------ 48,4 | -3,85 ------ 12,7 | -0,41 ------ 4,09 | -15,4 ------ 46,8 | -21,8 ------ 51,9 | -5,17 ------ 15,3 | -0,47 ------ 4,21 | -16,8 ------ 49,0 | -24,6 ------ 56,2 | -32,4 ------ 61,6 | -0,53 ------ 4,35 |
28 | -15,8 ------ 48,7 | -21,6 ------ 52,4 | -3,85 ------ 12,7 | -0,41 ------ 4,09 | -17,0 ------ 50,7 | -24,2 ------ 56,5 | -5,17 ------ 15,3 | -0,47 ------ 4,21 | -18,6 ------ 53,2 | -27,5 ------ 61,4 | -37,2 ------ 69,0 | -0,53 ------ 4,35 |
30 | -17,3 ------ 52,3 | -23,7 ------ 56,5 | -3,85 ------ 12,7 | -0,41 ------ 4,09 | -18,7 ------ 54,6 | -26,6 ------ 61,2 | -5,17 ------ 15,3 | -0,47 ------ 4,21 | -20,5 ------ 57,4 | -30,4 ------ 66,8 | -42,2 ------ 76,8 | -0,53 ------ 4,35 |
32 | -18,8 ------ 56,0 | -25,7 ------ 60,6 | -3,85 ------ 12,7 | -0,41 ------ 4,09 | -20,3 ------ 58,5 | -29,1 ------ 65,9 | -5,17 ------ 15,3 | -0,47 ------ 4,21 | -22,4 ------ 61,6 | -33,4 ------ 72,2 | -47,5 ------ 84,9 | -0,53 ------ 4,35 |
34 | -20,3 ------ 59,6 | -27,8 ------ 64,7 | -3,85 ------ 12,7 | -0,41 ------ 4,09 | -22,0 ------ 62,4 | -31,6 ------ 70,6 | -5,17 ------ 15,3 | -0,47 ------ 4,21 | -24,3 ------ 65,9 | -36,5 ------ 77,8 | -53,1 ------ 93,3 | -0,53 ------ 4,35 |
36 | -21,2 ------ 63,3 | -30,0 ------ 68,9 | -3,85 ------ 12,7 | -0,41 ------ 4,09 | -23,7 ------ 66,4 | -34,2 ------ 75,5 | -5,17 ------ 15,3 | -0,47 ------ 4,21 | -26,3 ------ 70,2 | -39,7 ------ 83,5 | -59,0 ------ 102 | -0,53 ------ 4,35 |
38 | -23,4 ------ 67,0 | -32,1 ------ 73,1 | -3,85 ------ 12,7 | -0,41 ------ 4,09 | -25,5 ------ 70,3 | -36,8 ------ 80,3 | -5,17 ------ 15,3 | -0,47 ------ 4,21 | -28,3 ------ 74,6 | -43,0 ------ 89,2 | -65,3 ------ 111 | -0,53 ------ 4,35 |
40 | -24,9 ------ 70,7 | -34,3 ------ 77,3 | -3,85 ------ 12,7 | -0,41 ------ 4,09 | -27,2 ------ 74,3 | -39,5 ------ 85,3 | -5,17 ------ 15,3 | -0,47 ------ 4,21 | -30,4 ------ 79,0 | -46,4 ------ 95,1 | -71,9 ------ 121 | -0,53 ------ 4,35 |
42 | -26,5 ------ 74,4 | -36,5 ------ 81,5 | -3,85 ------ 12,7 | -0,41 ------ 4,09 | -29,0 ------ 78,3 | -42,1 ------ 90,2 | -5,17 ------ 15,3 | -0,47 ------ 4,21 | -32,4 ------ 83,4 | -49,8 ------ 101 | -78,9 ------ 131 | -0,53 ------ 4,35 |
44 | -28,1 ------ 78,1 | -38,7 ------ 85,7 | -3,85 ------ 12,7 | -0,41 ------ 4,09 | -30,8 ------ 82,4 | -44,9 ------ 95,2 | -5,17 ------ 15,3 | -0,47 ------ 4,21 | -34,6 ------ 87,9 | -53,3 ------ 107 | -36,5 ------ 142 | -0,53 ------ 4,35 |
46 | -29,7 ------ 81,8 | -40,9 ------ 90,0 | -3,85 ------ 12,7 | -0,41 ------ 4,09 | -32,6 ------ 86,4 | -47,6 ------ 100 | -5,17 ------ 15,3 | -0,47 ------ 4,21 | -36,7 ------ 92,4 | -57,0 ------ 113 | -94,6 ------ 153 | -0,53 ------ 4,35 |
48 | -31,3 ------ 85,5 | -43,2 ------ 94,2 | -3,85 ------ 12,7 | -0,41 ------ 4,09 | -34,4 ------ 90,5 | -50,5 ------ 105 | -5,17 ------ 15,3 | -0,47 ------ 4,21 | -38,9 ------ 97,0 | -60,7 ------ 111 | -104 ------ 165 | -0,53 ------ 4,35 |
| Параметры  (над чертой) и  (под чертой) при  и  |
| | |
|
0,6 | 0,7 | 0,8 | 0,9 | 0,6 | 0,7 | 0,8 | 0,9 | 0,6 | 0,7 | 0,8 | 0,9 |
0 | 0,20 ------ 1,60 | 0,20 ------ 1,60 | 0,20 ------ 1,60 | 0,20 ------ 1,60 | 0,19 ------ 1,62 | 0,19 ------ 1,62 | 0,19 ------ 1,62 | 0,19 ------ 1,62 | 0,18 ------ 1,63 | 0,18 ------ 1,63 | 0,18 ------ 1,63 | 0,18 ------ 1,63 |
2 | -0,58 ------ 4,40 | -0,63 ------ 4,70 | -0,48 ------ 2,70 | -0,16 ------ 2,30 | -0,61 ------ 4,74 | -0,67 ------ 4,44 | -0,51 ------ 3,74 | -0,18 ------ 2,74 | -0,65 ------ 4,82 | -0,71 ------ 4,51 | -0,54 ------ 3,81 | -0,23 ------ 2,80 |
4 | -1,76 ------ 8,28 | -2,02 ------ 7,90 | -1,60 ------ 6,40 | -0,32 ------ 3,13 | -1,86 ------ 8,43 | -2,14 ------ 8,08 | -1,72 ------ 6,56 | -0,34 ------ 3,19 | -1,98 ------ 8,63 | -2,28 ------ 8,30 | -1,84 ------ 6,75 | -0,38 ------ 3,26 |
6 | -3,25 ------ 12,1 | -3,78 ------ 11,7 | -1,62 ------ 6,40 | -0,32 ------ 3,13 | -3,49 ------ 12,4 | -4,03 ------ 12,1 | -2,82 ------ 8,75 | -0,34 ------ 3,19 | -3,66 ------ 12,8 | -4,34 ------ 12,6 | -3,29 ------ 9,57 | -0,38 ------ 3,26 |
8 | -4,91 ------ 16,0 | -5,77 ------ 15,7 | -2,44 ------ 8,07 | -0,32 ------ 3,13 | -5,22 ------ 16,5 | -6,22 ------ 16,4 | -2,82 ------ 8,75 | -0,34 ------ 3,19 | -5,60 ------ 17,1 | -6,80 ------ 17,3 | -3,44 ------ 9,84 | -0,38 ------ 3,26 |
10 | -6,70 ------ 20,1 | -7,92 ------ 19,9 | -2,44 ------ 8,07 | -0,32 ------ 3,13 | -7,15 ------ 20,8 | -8,65 ------ 21,0 | -2,82 ------ 8,75 | -0,34 ------ 3,19 | -7,72 ------ 21,7 | -9,61 ------ 22,4 | -3,44 ------ 9,84 | -0,38 ------ 3,26 |
12 | -8,59 ------ 24,2 | -10,2 ------ 24,1 | -2,44 ------ 8,07 | -0,32 ------ 3,13 | -9,21 ------ 25,2 | -11,3 ------ 25,8 | -2,82 ------ 8,75 | -0,34 ------ 3,19 | -10,0 ------ 26,4 | -12,7 ------ 27,9 | -3,44 ------ 9,84 | -0,38 ------ 3,26 |
14 | -10,5 ------ 24,8 | -12,6 ------ 28,4 | -2,44 ------ 8,07 | -0,32 ------ 3,13 | -11,4 ------ 29,6 | -14,1 ------ 30,7 | -2,82 ------ 8,75 | -0,34 ------ 3,19 | -12,5 ------ 31,2 | -16,2 ------ 33,8 | -3,44 ------ 9,84 | -0,38 ------ 3,26 |
16 | -12,6 ------ 32,6 | -15,0 ------ 32,7 | -2,44 ------ 8,07 | -0,32 ------ 3,13 | -13,6 ------ 34,2 | -17,1 ------ 35,9 | -2,82 ------ 8,75 | -0,34 ------ 3,19 | -15,0 ------ 36,2 | -20,0 ------ 40,0 | -3,44 ------ 9,84 | -0,38 ------ 3,26 |
18 | -14,6 ------ 38,9 | -17,5 ------ 37,1 | -2,44 ------ 8,07 | -0,32 ------ 3,13 | -16,0 ------ 38,8 | -20,4 ------ 41,3 | -2,82 ------ 8,75 | -0,34 ------ 3,19 | -17,7 ------ 41,4 | -24,1 ------ 46,6 | -3,44 ------ 9,84 | -0,38 ------ 3,26 |
20 | -16,8 ------ 41,2 | -20,1 ------ 41,5 | -2,44 ------ 8,07 | -0,32 ------ 3,13 | -18,3 ------ 43,5 | -23,7 ------ 46,9 | -2,82 ------ 8,75 | -0,34 ------ 3,19 | -20,5 ------ 46,6 | -28,5 ------ 53,6 | -3,44 ------ 9,84 | -0,38 ------ 3,26 |
22 | -18,9 ------ 45,6 | -22,6 ------ 45,9 | -2,44 ------ 8,07 | -0,32 ------ 3,13 | -20,8 ------ 48,3 | -27,2 ------ 52,6 | -2,82 ------ 8,75 | -0,34 ------ 3,19 | -23,4 ------ 52,0 | -33,3 ------ 61,0 | -3,44 ------ 9,84 | -0,38 ------ 3,26 |
24 | -21,1 ------ 49,9 | -25,2 ------ 50,2 | -2,44 ------ 8,07 | -0,32 ------ 3,13 | -23,3 ------ 53,1 | -30,8 ------ 58,6 | -2,82 ------ 8,75 | -0,34 ------ 3,19 | -26,4 ------ 57,5 | -38,4 ------ 68,8 | -3,44 ------ 9,84 | -0,38 ------ 3,26 |
26 | -23,4 ------ 54,3 | -27,6 ------ 54,4 | -2,44 ------ 8,07 | -0,32 ------ 3,13 | -25,9 ------ 58,0 | -34,6 ------ 64,7 | -2,82 ------ 8,75 | -0,34 ------ 3,19 | -29,5 ------ 63,1 | -43,2 ------ 77,0 | -3,44 ------ 9,84 | -0,38 ------ 3,26 |
28 | -25,6 ------ 58,7 | -29,8 ------ 58,0 | -2,44 ------ 8,07 | -0,32 ------ 3,13 | -28,5 ------ 62,9 | -38,6 ------ 70,9 | -2,82 ------ 8,75 | -0,34 ------ 3,19 | -32,7 ------ 68,8 | -49,6 ------ 85,6 | -3,44 ------ 9,84 | -0,38 ------ 3,26 |
30 | -27,9 ------ 63,1 | -29,9 ------ 58,1 | -2,44 ------ 8,07 | -0,32 ------ 3,13 | -31,2 ------ 67,9 | -42,6 ------ 77,4 | -2,82 ------ 8,75 | -0,34 ------ 3,19 | -36,0 ------ 74,6 | -55,8 ------ 94,8 | -3,44 ------ 9,84 | -0,38 ------ 3,26 |
32 | -30,2 ------ 67,6 | -29,9 ------ 58,1 | -2,44 ------ 8,07 | -0,32 ------ 3,13 | -33,9 ------ 72,9 | -46,8 ------ 83,9 | -2,82 ------ 8,75 | -0,34 ------ 3,19 | -39,4 ------ 80,5 | -62,5 ------ 104 | -3,44 ------ 9,84 | -0,38 ------ 3,26 |
34 | -32,6 ------ 72,0 | -29,9 ------ 58,1 | -2,44 ------ 8,07 | -0,32 ------ 3,13 | -36,7 ------ 78,0 | -51,2 ------ 90,7 | -2,82 ------ 8,75 | -0,34 ------ 3,19 | -43,0 ------ 86,6 | -69,8 ------ 115 | -3,44 ------ 9,84 | -0,38 ------ 3,26 |
36 | -34,9 ------ 76,5 | -29,9 ------ 58,1 | -2,44 ------ 8,07 | -0,32 ------ 3,13 | -39,5 ------ 83,1 | -55,6 ------ 97,5 | -2,82 ------ 8,75 | -0,34 ------ 3,19 | -46,6 ------ 92,7 | -77,7 ------ 126 | -3,44 ------ 9,84 | -0,38 ------ 3,26 |
38 | -37,3 ------ 81,0 | -29,9 ------ 58,1 | -2,44 ------ 8,07 | -0,32 ------ 3,13 | -42,3 ------ 88,3 | -60,2 ------ 105,5 | -2,82 ------ 8,75 | -0,34 ------ 3,19 | -50,3 ------ 99,0 | -86,5 ------ 138 | -3,44 ------ 9,84 | -0,38 ------ 3,26 |
40 | -39,7 ------ 85,6 | -29,9 ------ 58,1 | -2,44 ------ 8,07 | -0,32 ------ 3,13 | -45,2 ------ 93,5 | -64,8 ------ 112,6 | -2,82 ------ 8,75 | -0,34 ------ 3,19 | -54,1 ------ 105 | -96,8 ------ 152 | -3,44 ------ 9,84 | -0,38 ------ 3,26 |
42 | -42,1 ------ 90,1 | -29,9 ------ 58,1 | -2,44 ------ 8,07 | -0,32 ------ 3,13 | -48,1 ------ 98,7 | -69,6 ------ 119 | -2,82 ------ 8,75 | -0,34 ------ 3,19 | -58,1 ------ 112 | -107 ------ 167 | -3,44 ------ 9,84 | -0,38 ------ 3,26 |
44 | -44,5 ------ 94,6 | -29,9 ------ 58,1 | -2,44 ------ 8,07 | -0,32 ------ 3,13 | -51,1 ------ 104 | -74,5 ------ 126 | -2,82 ------ 8,75 | -0,34 ------ 3,19 | -62,2 ------ 119 | -117 ------ 182 | -3,44 ------ 9,84 | -0,38 ------ 3,26 |
46 | -46,9 ------ 99,2 | -29,9 ------ 58,1 | -2,44 ------ 8,07 | -0,32 ------ 3,13 | -54,1 ------ 109 | -79,5 ------ 134 | -2,82 ------ 8,75 | -0,34 ------ 3,19 | -66,4 ------ 126 | -129 ------ 200 | -3,44 ------ 9,84 | -0,38 ------ 3,26 |
48 | -49,4 ------ 104 | -29,9 ------ 58,1 | -2,44 ------ 8,07 | -0,32 ------ 3,13 | -57,1 ------ 115 | -84,6 ------ 141 | -2,82 ------ 8,75 | -0,34 ------ 3,19 | -70,8 ------ 133 | -142 ------ 218 | -3,44 ------ 9,84 | -0,38 ------ 3,26 |
Таблица 4
| Параметры  (над чертой) и  (под чертой) при  и  |
|
| | |
0,4 | 0,5 | 0,6 | 0,7 | 0,4 | 0,5 | 0,6 | 0,7 | 0,4 | 0,5 | 0,6 | 0,7 |
0 | 1,4 ------ -0,8 | 1,4 ------ -0,8 | 1,4 ------ -0,8 | 1,4 ------ -0,8 | 1,4 ------ -0,79 | 1,4 ------ -0,79 | 1,4 ------ -0,79 | 1,4 ------ -0,79 | 1,39 ------ -0,78 | 1,39 ------ -0,78 | 1,39 ------ -0,78 | 1,39 ------ -0,78 |
2 | 1,16 ------ 2,08 | 0,9 ------ 2,2 | 0,76 ------ 2,08 | 0,74 ------ 1,72 | 1,15 ------ 2,10 | 0,89 ------ 2,22 | 0,75 ------ 2,10 | 0,73 ------ 1,74 | 1,14 ------ 2,12 | 0,88 ------ 2,25 | 0,74 ------ 2,12 | 0,72 ------ 1,75 |
4 | 0,74 ------ 5 | 0,33 ------ 5,1 | 0,12 ------ 4,73 | 0,41 ------ 2,92 | 0,72 ------ 5,04 | 0,31 ------ 5,15 | 0,10 ------ 4,78 | 0,38 ------ 3,00 | 0,70 ------ 5,09 | 0,28 ------ 5,12 | 0,07 ------ 4,83 | 0,35 ------ 3,10 |
6 | 0,27 ------ 7,78 | -0,26 ------ 7,8 | -0,5 ------ 7,0 | 0,41 ------ 2,92 | 0,28 ------ 7,86 | -0,30 ------ 7,89 | -0,55 ------ 7,15 | 0,38 ------ 3 | 0,19 ------ 7,95 | -0,35 ------ 8,00 | -0,62 ------ 7,3 | 0,35 ------ 3,10 |
8 | -0,22 ------ 10,5 | -0,97 ------ 10,6 | -0,82 ------ 8,07 | 0,41 ------ 2,92 | -0,27 ------ 10,6 | -1,05 ------ 10,7 | -1,07 ------ 8,75 | 0,38 ------ 3 | -0,33 ------ 10,7 | -1,14 ------ 10,9 | -1,38 ------ 9,6 | 0,35 ------ 3,10 |
10 | -0,77 ------ 13,2 | -1,78 ------ 13,4 | -0,82 ------ 8,07 | 0,41 ------ 2,92 | -0,85 ------ 13,4 | -1,91 ------ 13,7 | -1,07 ------ 8,75 | 0,38 ------ 3 | -0,94 ------ 13,6 | -2,05 ------ 14 | -1,47 ------ 9,84 | 0,35 ------ 3,10 |
12 | -1,39 ------ 16 | -2,67 ------ 16,3 | -0,82 ------ 8,07 | 0,41 ------ 2,92 | -1,5 ------ 16,2 | -2,86 ------ 16,7 | -1,07 ------ 8,75 | 0,38 ------ 3 | -1,63 ------ 16,5 | -3,07 ------ 17,1 | -1,47 ------ 9,84 | 0,35 ------ 3,10 |
14 | -2,05 ------ 18,9 | -3,63 ------ 19,2 | -0,82 ------ 8,07 | 0,41 ------ 2,92 | -2,2 ------ 19,1 | -3,88 ------ 19,8 | -1,07 ------ 8,75 | 0,38 ------ 3 | -2,38 ------ 19,5 | -4,18 ------ 20,4 | -1,47 ------ 9,84 | 0,35 ------ 3,10 |
16 | -2,76 ------ 21,7 | -4,63 ------ 22,2 | -0,82 ------ 8,07 | 0,41 ------ 2,92 | -2,95 ------ 22,1 | -4,98 ------ 22,9 | -1,07 ------ 8,75 | 0,38 ------ 3 | -3,18 ------ 22,5 | -5,37 ------ 23,7 | -1,47 ------ 9,84 | 0,35 ------ 3,10 |
18 | -3,50 ------ 24,5 | -5,68 ------ 25,2 | -0,82 ------ 8,07 | 0,41 ------ 2,92 | -3,74 ------ 25,0 | -6,13 ------ 26,1 | -1,07 ------ 8,75 | 0,38 ------ 3 | -4,03 ------ 25,6 | -6,64 ------ 27,1 | -1,47 ------ 9,84 | 0,35 ------ 3,10 |
20 | -4,27 ------ 27,4 | -6,76 ------ 28,3 | -0,82 ------ 8,07 | 0,41 ------ 2,92 | -4,57 ------ 28 | -7,33 ------ 29,4 | -1,07 ------ 8,75 | 0,38 ------ 3 | -4,91 ------ 28,7 | -7,96 ------ 30,6 | -1,47 ------ 9,84 | 0,35 ------ 3,10 |
22 | -5,07 ------ 30,3 | -7,88 ------ 31,3 | -0,82 ------ 8,07 | 0,41 ------ 2,92 | -5,42 ------ 31 | -8,58 ------ 32,7 | -1,07 ------ 8,75 | 0,38 ------ 3 | -5,83 ------ 31,8 | -9,35 ------ 34,2 | -1,47 ------ 9,84 | 0,35 ------ 3,10 |
24 | -5,89 ------ 33,3 | -9,01 ------ 34,4 | -0,82 ------ 8,07 | 0,41 ------ 2,92 | -6,30 ------ 34,1 | -9,87 ------ 36,1 | -1,07 ------ 8,75 | 0,38 ------ 3,00 | -6,78 ------ 35,0 | -10,8 ------ 37,9 | -1,47 ------ 9,84 | 0,35 ------ 3,10 |
26 | -6,72 ------ 36,2 | -10,2 ------ 37,5 | -0,82 ------ 8,07 | 0,41 ------ 2,92 | -7,20 ------ 37,1 | -11,2 ------ 39,5 | -1,07 ------ 8,75 | 0,38 ------ 3,00 | -7,76 ------ 38,2 | -12,3 ------ 41,6 | -1,47 ------ 9,84 | 0,35 ------ 3,10 |
28 | -7,59 ------ 39,2 | -11,4 ------ 40,6 | -0,82 ------ 8,07 | 0,41 ------ 2,92 | -8,12 ------ 40,2 | -12,6 ------ 42,0 | -1,07 ------ 8,75 | 0,38 ------ 3,00 | -8,77 ------ 41,5 | -13,8 ------ 45,4 | -1,47 ------ 9,84 | 0,35 ------ 3,10 |
30 | -8,46 ------ 42,2 | -12,5 ------ 43,6 | -0,82 ------ 8,07 | 0,41 ------ 2,92 | -9,07 ------ 43,3 | -14,0 ------ 46,5 | -1,07 ------ 8,75 | 0,38 ------ 3,00 | -9,80 ------ 44,7 | -15,4 ------ 49,2 | -1,47 ------ 9,84 | 0,35 ------ 3,10 |
32 | -9,34 ------ 45,1 | -13,8 ------ 46,7 | -0,82 ------ 8,07 | 0,41 ------ 2,92 | -10,0 ------ 46,5 | -15,4 ------ 50,1 | -1,07 ------ 8,75 | 0,38 ------ 3,00 | -10,9 ------ 48,0 | -17,0 ------ 53,1 | -1,47 ------ 9,84 | 9,35 ------ 3,10 |
34 | -10,2 ------ 48,1 | -15,0 ------ 49,8 | -0,82 ------ 8,07 | 0,41 ------ 2,92 | -11,0 ------ 49,6 | -16,9 ------ 53,7 | -1,07 ------ 8,75 | 0,38 ------ 3,00 | -11,9 ------ 51,3 | -18,7 ------ 57,0 | -1,47 ------ 9,84 | 0,35 ------ 3,10 |
36 | -11,2 ------ 51,1 | -16,2 ------ 52,8 | -0,82 ------ 8,07 | 0,41 ------ 2,92 | -12,0 ------ 52,8 | -18,4 ------ 57,3 | -1,07 ------ 8,75 | 0,38 ------ 3,00 | -13,0 ------ 54,6 | -20,4 ------ 61,0 | -1,47 ------ 9,84 | 0,35 ------ 3,10 |
38 | -12,1 ------ 54,1 | -17,3 ------ 55,8 | -0,82 ------ 8,07 | 0,41 ------ 2,92 | -13,0 ------ 55,9 | -19,9 ------ 61,0 | -1,07 ------ 8,75 | 0,38 ------ 3,00 | -14,2 ------ 58,0 | -22,2 ------ 65,0 | -1,47 ------ 9,84 | 0,35 ------ 3,10 |
40 | -13,0 ------ 57,2 | -18,3 ------ 58,1 | -0,82 ------ 8,07 | 0,41 ------ 2,92 | -14,0 ------ 59,1 | -21,4 ------ 64,6 | -1,07 ------ 8,75 | 0,38 ------ 3,00 | -15,3 ------ 61,4 | -23,9 ------ 69,1 | -1,47 ------ 9,84 | 0,35 ------ 3,10 |
42 | 14,0 ------ 60,2 | -18,3 ------ 58,1 | -0,82 ------ 8,07 | 0,41 ------ 2,92 | -15,1 ------ 62,3 | -23,0 ------ 68,4 | -1,07 ------ 8,75 | 0,38 ------ 3,00 | -16,4 ------ 64,8 | -25,8 ------ 73,2 | -1,47 ------ 9,84 | 0,35 ------ 3,10 |
44 | -14,9 ------ 63,2 | -18,3 ------ 58,1 | -0,82 ------ 8,07 | 0,41 ------ 2,92 | -16,1 ------ 65,5 | -24,6 ------ 72,1 | -1,07 ------ 8,75 | 0,38 ------ 3,00 | -17,6 ------ 68,2 | -27,6 ------ 77,3 | -1,47 ------ 9,84 | 0,35 ------ 3,10 |
46 | -15,9 ------ 66,3 | -18,3 ------ 58,1 | -0,82 ------ 8,07 | 0,41 ------ 2,92 | -17,2 ------ 68,8 | -26,2 ------ 75,9 | -1,07 ------ 8,75 | 0,38 ------ 3,00 | -18,8 ------ 71,6 | -29,5 ------ 81,5 | -1,47 ------ 9,84 | 0,35 ------ 3,10 |
48 | -16,8 ------ 69,3 | -18,3 ------ 58,1 | -0,82 ------ 8,07 | 0,41 ------ 2,92 | -18,3 ------ 72,0 | -27,8 ------ 79,7 | -1,07 ------ 8,75 | 0,38 ------ 3,00 | -20,0 ------ 75,0 | -31,4 ------ 85,7 | -1,47 ------ 9,84 | 0,35 ------ 3,10 |
Таблица 5
| Параметры  (над чертой) и  (под чертой) при  и  |
| | |
|
0,3 | 0,4 | 0,5 | 0,6 | 0,3 | 0,4 | 0,5 | 0,6 | 0,3 | 0,4 | 0,5 | 0,6 |
0 | 1,80 ------ -1,60 | 1,80 ------ -1,60 | 1,80 ------ -1,60 | 1,80 ------ -1,60 | 1,79 ------ -1,58 | 1,79 ------ -1,58 | 1,79 ------ -1,58 | 1,79 ------ -1,58 | 1,78 ------ -1,57 | 1,78 ------ -1,57 | 1,78 ------ -1,57 | 1,78 ------ -1,57 |
2 | 1,94 ------ 0,92 | 1,56 ------ 1,22 | 1,30 ------ 1,40 | 1,16 ------ 1,28 | 1,94 ------ 0,93 | 1,55 ------ 1,29 | 1,29 ------ 1,41 | 1,15 ------ 1,29 | 1,93 ------ 0,94 | 1,55 ------ 1,31 | 1,29 ------ 1,43 | 1,15 ------ 1,30 |
4 | 1,82 ------ 3,64 | 1,14 ------ 4,18 | 0,73 ------ 4,23 | 0,59 ------ 3,58 | 1,80 ------ 3,68 | 1,13 ------ 4,21 | 0,71 ------ 4,27 | 0,56 ------ 3,65 | 1,78 ------ 3,71 | 1,10 ------ 4,26 | 0,69 ------ 4,32 | 0,54 ------ 3,72 |
6 | 1,48 ------ 6,37 | 0,67 ------ 6,91 | 0,174 ------ 6,774 | 0,55 ------ 3,72 | 1,45 ------ 6,44 | 0,64 ------ 6,98 | 0,14 ------ 6,86 | 0,50 ------ 3,88 | 1,41 ------ 6,51 | 0,60 ------ 7,06 | 0,10 ------ 6,95 | 0,44 ------ 4,08 |
8 | 1,13 ------ 9,02 | 0,20 ------ 9,54 | -0,37 ------ 9,15 | 0,55 ------ 3,72 | 1,08 ------ 9,11 | 0,15 ------ 9,64 | -0,43 ------ 9,31 | 0,50 ------ 3,88 | 1,04 ------ 9,22 | 0,10 ------ 9,76 | -0,50 ------ 9,49 | 0,44 ------ 4,08 |
10 | 0,78 ------ 11,6 | -0,28 ------ 12,1 | -0,96 ------ 11,4 | 0,55 ------ 3,72 | 0,72 ------ 11,7 | -0,34 ------ 12,3 | -1,08 ------ 11,8 | 0,50 ------ 3,88 | 0,66 ------ 11,9 | -0,41 ------ 12,4 | 1,22 ------ 12,1 | 0,44 ------ 4,08 |
12 | 0,42 ------ 14,2 | -0,81 ------ 14,7 | -1,31 ------ 12,7 | 0,55 ------ 3,72 | 0,36 ------ 14,3 | -0,90 ------ 14,9 | -1,78 ------ 14,2 | 0,50 ------ 3,88 | 0,28 ------ 14,5 | -1,01 ------ 15,2 | -2,02 ------ 14,8 | 0,44 ------ 4,08 |
14 | 0,08 ------ 16,7 | -1,39 ------ 17,4 | -1,31 ------ 12,7 | 0,55 ------ 3,72 | -0,01 ------ 16,9 | -1,52 ------ 17,7 | -2,11 ------ 15,3 | 0,50 ------ 3,88 | -0,10 ------ 17,1 | -1,67 ------ 18,0 | -2,89 ------ 17,6 | 0,44 ------ 4,08 |
16 | -0,28 ------ 19,2 | -2,02 ------ 20,0 | -1,31 ------ 12,7 | 0,55 ------ 3,72 | -0,39 ------ 19,4 | -2,19 ------ 20,4 | -2,11 ------ 15,3 | 0,50 ------ 3,88 | -0,51 ------ 19,7 | -2,38 ------ 20,9 | -3,84 ------ 20,4 | 0,44 ------ 4,08 |
18 | -0,67 ------ 21,7 | -2,68 ------ 22,8 | -1,31 ------ 12,7 | 0,55 ------ 3,72 | -0,80 ------ 22,0 | -2,89 ------ 23,2 | -2,11 ------ 15,3 | 0,50 ------ 3,88 | -0,95 ------ 22,3 | -3,14 ------ 23,8 | -4,85 ------ 23,3 | 0,44 ------ 4,08 |
20 | -1,08 ------ 24,2 | -3,38 ------ 25,5 | -1,31 ------ 12,7 | 0,55 ------ 3,72 | -1,23 ------ 24,6 | -3,64 ------ 26,1 | -2,11 ------ 15,3 | 0,50 ------ 3,88 | -1,41 ------ 25,0 | -3,94 ------ 26,7 | -5,95 ------ 26,4 | 0,44 ------ 4,08 |
22 | -1,50 ------ 26,8 | -4,10 ------ 28,2 | -1,31 ------ 12,7 | 0,55 ------ 3,72 | -1,69 ------ 27,2 | -4,42 ------ 29,0 | -2,11 ------ 15,3 | 0,50 ------ 3,88 | -1,91 ------ 27,7 | -4,78 ------ 29,8 | -7,14 ------ 29,6 | 0,44 ------ 4,08 |
24 | -1,95 ------ 29,4 | -4,84 ------ 31,0 | -1,31 ------ 12,7 | 0,55 ------ 3,72 | -2,17 ------ 29,9 | -5,22 ------ 31,9 | -2,11 ------ 15,3 | 0,5 ------ 3,88 | -2,48 ------ 30,4 | -5,66 ------ 32,8 | -8,42 ------ 33,1 | 0,44 ------ 4,08 |
26 | -2,41 ------ 31,9 | -5,61 ------ 33,8 | -1,31 ------ 12,7 | 0,55 ------ 3,72 | -2,66 ------ 32,5 | -6,05 ------ 34,8 | -2,11 ------ 15,3 | 0,5 ------ 3,88 | -2,96 ------ 33,1 | -6,56 ------ 35,9 | -9,79 ------ 36,6 | 0,44 ------ 4,08 |
28 | -2,89 ------ 34,5 | -6,34 ------ 36,8 | -1,31 ------ 12,7 | 0,55 ------ 3,72 | -3,18 ------ 35,2 | -6,91 ------ 37,8 | -2,11 ------ 15,3 | 0,5 ------ 3,88 | -3,51 ------ 35,9 | -7,50 ------ 39,0 | -11,2 ------ 40,3 | 0,44 ------ 4,08 |
30 | -3,38 ------ 37,1 | -7,19 ------ 39,5 | -1,31 ------ 12,7 | 0,55 ------ 3,72 | -3,70 ------ 37,8 | -7,78 ------ 40,8 | -2,11 ------ 15,3 | 0,5 ------ 3,88 | -4,08 ------ 38,7 | -8,46 ------ 42,2 | -12,7 ------ 44,0 | 0,44 ------ 4,08 |
32 | -3,88 ------ 39,7 | -8,01 ------ 42,3 | -1,31 ------ 12,7 | 0,55 ------ 3,72 | -4,24 ------ 40,5 | -8,68 ------ 43,8 | -2,11 ------ 15,3 | 0,5 ------ 3,88 | -4,67 ------ 41,4 | -9,44 ------ 45,3 | -14,2 ------ 47,8 | 0,44 ------ 4,08 |
34 | -4,40 ------ 42,4 | -8,84 ------ 45,2 | -1,31 ------ 12,7 | 0,55 ------ 3,72 | -4,80 ------ 43,2 | -9,60 ------ 46,8 | -2,11 ------ 15,3 | 0,5 ------ 3,88 | -5,28 ------ 44,2 | -10,5 ------ 48,5 | -15,8 ------ 51,6 | 0,44 ------ 4,08 |
36 | -4,92 ------ 45,0 | -9,69 ------ 48,0 | -1,31 ------ 12,7 | 0,55 ------ 3,72 | -5,36 ------ 45,9 | -10,5 ------ 49,9 | -2,11 ------ 15,3 | 0,5 ------ 3,88 | -5,89 ------ 47,0 | -11,5 ------ 51,8 | -17,4 ------ 55,5 | 0,44 ------ 4,08 |
38 | -5,45 ------ 47,6 | -10,5 ------ 50,9 | -1,31 ------ 12,7 | 0,55 ------ 3,72 | -5,94 ------ 48,7 | -11,5 ------ 52,9 | -2,11 ------ 15,3 | 0,5 ------ 3,88 | -6,52 ------ 49,9 | -12,5 ------ 55,0 | -19,1 ------ 59,4 | 0,44 ------ 4,08 |
40 | -5,99 ------ 50,2 | -11,4 ------ 53,8 | -1,31 ------ 12,7 | 0,55 ------ 3,72 | -6,52 ------ 51,4 | -12,4 ------ 56,0 | -2,11 ------ 15,3 | 0,5 ------ 3,88 | -7,16 ------ 52,7 | -13,6 ------ 58,3 | -20,7 ------ 63,4 | 0,44 ------ 4,08 |
42 | -6,54 ------ 52,9 | -12,3 ------ 56,7 | -1,31 ------ 12,7 | 0,55 ------ 3,72 | -7,12 ------ 54,1 | -13,4 ------ 59,1 | -2,11 ------ 15,3 | 0,5 ------ 3,88 | -7,82 ------ 55,5 | -14,7 ------ 61,6 | -22,5 ------ 67,4 | 0,44 ------ 4,08 |
44 | -7,09 ------ 55,5 | -13,2 ------ 59,6 | -1,31 ------ 12,7 | 0,55 ------ 3,72 | -7,72 ------ 56,9 | -14,4 ------ 62,2 | -2,11 ------ 15,3 | 0,5 ------ 3,88 | -8,48 ------ 58,4 | -15,8 ------ 64,9 | -24,2 ------ 71,5 | 0,44 ------ 4,08 |
46 | -7,65 ------ 58,2 | -14,1 ------ 62,5 | -1,31 ------ 12,7 | 0,55 ------ 3,72 | -8,33 ------ 59,6 | -15,4 ------ 65,4 | -2,11 ------ 15,3 | 0,5 ------ 3,88 | -9,16 ------ 61,3 | -16,9 ------ 68,3 | -26 ------ 75,5 | 0,44 ------ 4,08 |
48 | -8,22 ------ 60,8 | -15,0 ------ 65,4 | -1,31 ------ 12,7 | 0,55 ------ 3,72 | -8,95 ------ 62,4 | -16,4 ------ 68,5 | -2,11 ------ 15,3 | 0,5 ------ 3,88 | -9,84 ------ 64,2 | -18,1 ------ 71,6 | -27,8 ------ 79,7 | 0,44 ------ 4,08 |
Таблица 6
| Параметры  (над чертой) и  (под чертой) при  и  |
| | |
|
0,10 | 0,20 | 0,40 | 0,55 | 0,10 | 0,20 | 0,40 | 0,55 | 0,10 | 0,20 | 0,40 | 0,55 |
0 | 1,0 ----- 0,0 | 1,0 ----- 0,0 | 1 ----- 0 | 1 ----- 0 | 1 ----- 0 | 1 ----- 0 | 1 ----- 0 | 1 ----- 0 | 1 ----- 0 | 1 ----- 0 | 1 ----- 0 | 1 ----- 0 |
2 | 0,82 ----- 2,36 | 0,68 ----- 2,24 | 0,64 ----- 1,62 | 0,72 ----- 1,06 | 0,81 ----- 2,38 | 0,67 ----- 2,26 | 0,63 ----- 1,64 | 0,72 ----- 1,07 | 0,80 ----- 2,41 | 0,66 ----- 2,29 | 0,62 ----- 1,65 | 0,68 ----- 1,28 |
4 | 0,64 ----- 4,72 | 0,36 ----- 4,48 | 0,28 ----- 3,24 | 0,44 ----- 2,13 | 0,62 ----- 4,77 | 0,34 ----- 4,53 | 0,26 ----- 3,27 | 0,43 ----- 2,15 | 0,59 ----- 4,82 | 0,31 ----- 4,57 | 0,25 ----- 3,31 | 0,35 ----- 2,55 |
6 | 0,46 ----- 7,09 | 0,04 ----- 6,73 | -0,09 ----- 4,87 | 0,16 ----- 3,19 | 0,42 ----- 7,15 | 0,01 ----- 6,79 | -0,11 ------ 4,92 | 0,15 ----- 3,22 | 0,39 ----- 7,22 | -0,03 ----- 6,86 | -0,14 ----- 4,97 | 0,13 ----- 3,25 |
8 | 0,28 ------ 9,45 | -0,31 ------ 9,00 | -0,52 ------ 6,60 | -0,09 ------ 4,18 | 0,23 ------ 9,54 | -0,35 ------ 9,09 | -0,57 ------ 6,68 | -0,12 ------ 4,23 | 0,18 ------ 9,63 | -0,41 ------ 9,20 | -0,61 ------ 6,77 | -0,34 ------ 5,14 |
10 | 0,09 ------ 11,8 | -0,69 ------ 11,3 | -1,04 ------ 8,46 | -0,35 ------ 5,11 | 0,04 ------ 11,9 | -0,75 ------ 11,5 | -1,11 ------ 8,58 | -0,39 ------ 5,19 | -0,02 ------ 12,0 | -0,83 ------ 11,6 | -1,19 ------ 8,72 | -0,75 ------ 6,50 |
12 | -0,09 ------ 14,2 | -1,09 ------ 13,7 | -1,62 ------ 10,4 | -0,62 ------ 6,01 | -0,16 ------ 14,3 | -1,18 ------ 13,9 | -1,72 ------ 10,6 | -0,68 ------ 6,14 | -0,23 ------ 14,5 | -1,28 ------ 14,1 | -1,84 ------ 10,8 | -1,22 ------ 7,90 |
14 | -0,28 ------ 16,6 | -1,52 ------ 16,1 | -2,23 ------ 12,3 | -0,89 ------ 6,88 | -0,36 ------ 16,7 | -1,63 ------ 16,3 | -2,38 ------ 12,6 | -0,99 ------ 7,07 | -0,45 ------ 16,9 | -1,76 ------ 16,5 | -2,56 ------ 12,9 | -1,73 ------ 9,35 |
16 | -0,47 ------ 18,9 | -1,96 ------ 18,5 | -2,88 ------ 14,3 | -1,17 ------ 7,72 | -0,57 ------ 19,1 | -2,10 ------ 18,8 | -3,09 ------ 14,7 | -1,29 ------ 7,99 | -0,68 ------ 19,3 | -2,25 ------ 19 | -3,32 ------ 15,1 | -2,28 ------ 10,9 |
18 | -0,67 ------ 21,3 | -2,42 ------ 21,0 | -3,56 ------ 16,4 | -1,44 ------ 8,54 | -0,78 ------ 21,5 | -2,57 ------ 21,2 | - 3,83 ------ 16,8 | -1,61 ------ 8,89 | -0,91 ------ 21,8 | -2,75 ------ 21,6 | -4,14 ------ 17,4 | -2,87 ------ 12,4 |
20 | -0,88 ------ 23,7 | -2,87 ------ 23,4 | -4,26 ------ 18,4 | -1,72 ------ 9,34 | -1,00 ------ 24,0 | -3,06 ------ 23,7 | -4,61 ------ 19,0 | -1,93 ------ 9,79 | -1,15 ------ 24,2 | -3,27 ------ 24,1 | -4,99 ------ 19,7 | -3,51 ------ 14,0 |
22 | -1,08 ------ 26,1 | -3,34 ------ 25,8 | -4,98 ------ 20,5 | -1,99 ------ 10,2 | -1,22 ------ 26,4 | -3,55 ------ 26,2 | -5,41 ------ 21,3 | -2,26 ------ 10,7 | -1,39 ------ 26,7 | -3,79 ------ 26,6 | -5,88 ------ 22,1 | -4,20 ------ 15,7 |
24 | -1,29 ------ 28,5 | -3,81 ------ 28,3 | -5,72 ------ 22,6 | -2,26 ------ 10,9 | -1,45 ------ 28,8 | -4,04 ------ 28,7 | -6,24 ------ 23,6 | -2,60 ------ 11,6 | -1,63 ------ 29,2 | -4,31 ------ 29,2 | -6,80 ------ 24,5 | -4,93 ------ 17,5 |
26 | -1,50 ------ 30,9 | -4,29 ------ 30,8 | -6,48 ------ 24,8 | -2,53 ------ 11,6 | -1,67 ------ 31,3 | -4,54 ------ 31,2 | -7,10 ------ 25,9 | -2,94 ------ 12,5 | -1,87 ------ 31,6 | -4,84 ------ 31,7 | -7,75 ------ 27,0 | -5,72 ------ 19,4 |
28 | -1,71 ------ 33,3 | -4,76 ------ 33,2 | -7,26 ------ 27,0 | -2,80 ------ 12,4 | -1,90 ------ 33,7 | -5,04 ------ 33,7 | -7,98 ------ 28,2 | -3,28 ------ 13,4 | -2,12 ------ 34,1 | -5,38 ------ 34,3 | -8,73 ------ 29,5 | -6,57 ------ 21,3 |
30 | -1,92 ------ 35,7 | -5,25 ------ 35,7 | -8,05 ------ 29,1 | -3,06 ------ 13,1 | -2,12 ------ 36,1 | -5,55 ------ 36,3 | -8,88 ------ 30,6 | -3,63 ------ 14,2 | -2,36 ------ 36,6 | -5,91 ------ 36,9 | -9,72 ------ 32,0 | -7,47 ------ 23,3 |
32 | -2,13 ------ 38,1 | -5,73 ------ 38,2 | -8,85 ------ 31,3 | -3,32 ------ 13,8 | -2,35 ------ 38,6 | -6,06 ------ 38,8 | -9,80 ------ 33,0 | -3,99 ------ 15,1 | -2,61 ------ 39,0 | -6,45 ------ 39,5 | -10,7 ------ 34,5 | -8,44 ------ 25,5 |
34 | -2,34 ------ 40,6 | -6,21 ------ 40,7 | -9,67 ------ 33,6 | -3,58 ------ 14,5 | -2,58 ------ 41,0 | -6,57 ------ 41,3 | -10,7 ------ 35,4 | -4,35 ------ 16,0 | -2,85 ------ 41,5 | -6,99 ------ 42,1 | -11,8 ------ 37,1 | -9,47 ------ 27,7 |
36 | -2,56 ------ 43,0 | -6,70 ------ 43,2 | -10,5 ------ 35,8 | -3,84 ------ 15,1 | -2,81 ------ 43,4 | -7,08 ------ 43,8 | -11,7 ------ 37,9 | -4,72 ------ 16,9 | -3,10 ------ 44,0 | -7,54 ------ 44,6 | -12,8 ------ 39,7 | -10,6 ------ 30,1 |
38 | -2,77 ------ 45,4 | -7,19 ------ 45,7 | -11,3 ------ 38,1 | -4,09 ------ 15,8 | -3,04 ------ 45,9 | -7,59 ------ 46,3 | -12,7 ------ 40,3 | -5,09 ------ 17,8 | -3,35 ------ 46,5 | -8,08 ------ 47,2 | -13,9 ------ 42,3 | -11,7 ------ 32,5 |
40 | -2,99 ------ 47,8 | -7,68 ------ 48,1 | -12,2 ------ 40,3 | -4,34 ------ 16,4 | -3,27 ------ 48,3 | -8,12 ------ 48,9 | -13,6 ------ 42,8 | -5,48 ------ 18,8 | -3,60 ------ 49,8 | -8,63 ------ 49,8 | -14,9 ------ 44,9 | -12,9 ------ 35,0 |
42 | -3,21 ------ 50,2 | -8,17 ------ 50,6 | -13,0 ------ 42,6 | -4,59 ------ 17,1 | -3,50 ------ 50,8 | -8,64 ------ 51,5 | -14,6 ------ 45,3 | -5,87 ------ 19,7 | -3,85 ------ 51,4 | -9,18 ------ 52,4 | -16,0 ------ 47,5 | -14,2 ------ 37,7 |
44 | -3,42 ------ 52,6 | -8,66 ------ 53,1 | -13,9 ------ 44,9 | -4,83 ------ 17,7 | -3,73 ------ 53,2 | -9,15 ------ 54,0 | -15,6 ------ 17,8 | -6,27 ------ 20,6 | -4,10 ------ 53,9 | -9,73 ------ 54,9 | -17,1 ------ 50,1 | -15,5 ------ 40,4 |
46 | -3,63 ------ 55,5 | -9,15 ------ 55,6 | -14,8 ------ 47,2 | -5,07 ------ 18,3 | -3,96 ------ 55,6 | -9,66 ------ 56,5 | -16,6 ------ 50,4 | -6,68 ------ 21,6 | -4,35 ------ 56,4 | -10,3 ------ 57,5 | -18,1 ------ 52,7 | -16,9 ------ 43,1 |
48 | -3,84 ------ 57,4 | -9,65 ------ 58,1 | -15,6 ------ 49,5 | -5,31 ------ 18,9 | -4,19 ------ 58,1 | -10,2 ------ 59,0 | -17,6 ------ 52,9 | -7,10 ------ 22,5 | -4,60 ------ 58,8 | -10,8 ------ 60,1 | -19,2 ------ 55,5 | -18,4 ------ 46,0 |
Таблица 7
| Параметры  (над чертой) и  (под чертой) при  и  |
| | |
|
0,1 | 0,3 | 0,5 | 0,7 | 0,1 | 0,3 | 0,5 | 0,7 | 0,1 | 0,3 | 0,5 | 0,7 |
0 | 0,60 ------ 0,80 | 0,6 ------ 0,8 | 0,60 ------ 0,80 | 0,60 ------ 0,80 | 0,60 ------ 0,81 | 0,6 ------ 0,21 | 0,60 ------ 0,81 | 0,60 ------ 0,81 | 0,59 ------ 0,82 | 0,59 ------ 0,82 | 0,59 ------ 0,82 | 0,59 ------ 0,82 |
2 | 0,42 ------ 3,16 | 0,23 ------ 2,76 | 0,29 ------ 2,05 | 0,44 ------ 1,34 | 0,40 ------ 3,19 | 0,22 ------ 2,79 | 0,28 ------ 2,07 | 0,44 ------ 1,35 | 0,39 ------ 3,22 | 0,20 ------ 2,82 | 0,27 ------ 2,09 | 0,43 ------ 1,37 |
4 | 0,24 ------ 5,53 | -0,15 ------ 4,74 | -0,03 ------ 3,30 | 0,28 ------ 1,88 | 0,21 ------ 5,58 | -0,17 ------ 4,79 | -0,04 ------ 3,33 | 0,28 ------ 1,90 | 0,18 ------ 5,63 | -0,20 ------ 4,84 | -0,06 ------ 3,37 | 0,27 ------ 1,92 |
6 | 0,06 ------ 7,89 | -0,61 ------ 6,84 | -0,41 ------ 4,66 | 0,13 ------ 2,42 | 0,02 ------ 7,96 | -0,66 ------ 6,92 | -0,44 ------ 4,71 | 0,12 ------ 2,44 | -0,24 ------ 10,5 | -0,71 ------ 7,02 | -0,48 ------ 4,78 | 0,10 ------ 2,47 |
8 | -0,13 ------ 10,3 | -1,15 ------ 9,05 | -0,89 ------ 6,16 | -0,03 ------ 2,96 | -0,18 ------ 10,4 | -1,22 ------ 9,17 | -0,95 ------ 6,25 | -0,05 ------ 2,99 | -0,46 ------ 12,9 | - 1,30 ------ 9,32 | -1,01 ------ 6,36 | -0,06 ------ 3,02 |
10 | -0,32 ------ 12,6 | -1,73 ------ 11,3 | -1,47 ------ 7,78 | -0,18 ------ 3,46 | -0,39 ------ 12,8 | -1,83 ------ 11,5 | -1,55 ------ 7,92 | -0,21 ------ 3,50 | -0,70 ------ 15,4 | -1,95 ------ 11,7 | -1,64 ------ 8,08 | -0,23 ------ 3,56 |
12 | -0,52 ------ 15,0 | -2,35 ------ 13,7 | -2,11 ------ 9,50 | -0,33 ------ 3,90 | -0,60 ------ 15,2 | -2,48 ------ 13,9 | -2,23 ------ 9,70 | -0,36 ------ 3,97 | -0,93 ------ 17,8 | -2,64 ------ 14,1 | -2,37 ------ 9,93 | -0,40 ------ 4,04 |
14 | -0,73 ------ 17,4 | -3 ------ 16,0 | -2,80 ------ 11,3 | -0,47 ------ 4,30 | -0,82 ------ 17,6 | -3,16 ------ 16,3 | -2,98 ------ 11,6 | -0,51 ------ 4,39 | -1,18 ------ 20,3 | -3,36 ------ 16,6 | -3,18 ------ 11,9 | -0,56 ------ 4,48 |
16 | -0,94 ------ 19,8 | -3,66 ------ 18,4 | -3,52 ------ 13,1 | -0,59 ------ 4,67 | -1,05 ------ 20,0 | -3,82 ------ 18,7 | -3,77 ------ 13,5 | -0,64 ------ 4,77 | -1,42 ------ 22,8 | -4,10 ------ 19,1 | -4,05 ------ 13,9 | -0,71 ------ 4,89 |
18 | -1,15 ------ 22,2 | -4,34 ------ 20,8 | -4,27 ------ 14,9 | -0,71 ------ 5 | -1,27 ------ 22,5 | -4,58 ------ 21,2 | -4,60 ------ 15,4 | -0,77 ------ 5,12 | -1,67 ------ 25,2 | -4,86 ------ 21,7 | -4,98 ------ 16,0 | -0,85 ------ 5,28 |
20 | -1,36 ------ 24,6 | -5,03 ------ 23,2 | -5,05 ------ 16,7 | -0,82 ------ 5,30 | -1,50 ------ 24,9 | -5,30 ------ 23,7 | -5,47 ------ 17,4 | -0,90 ------ 5,45 | -1,91 ------ 27,7 | -5,64 ------ 24,2 | -5,97 ------ 18,2 | -0,99 ------ 5,63 |
22 | -1,57 ------ 27,1 | -5,73 ------ 25,7 | -5,85 ------ 18,6 | -0,92 ------ 5,58 | -1,73 ------ 27,3 | -6,04 ------ 26,2 | -6,39 ------ 19,5 | -1,01 ------ 5,75 | -2,16 ------ 30,2 | -6,42 ------ 26,8 | -7,0 ------ 20,5 | -1,12 ------ 5,97 |
24 | -1,78 ------ 29,5 | -6,43 ------ 28,1 | -6,67 ------ 20,5 | -1,02 ------ 5,84 | -1,96 ------ 29,8 | -6,79 ------ 28,7 | -7,34 ------ 21,6 | -1,12 ------ 6,04 | -2,16 ------ 30,2 | -7,21 ------ 29,4 | -8,09 ------ 28,8 | -1,25 ------ 6,29 |
26 | -2,00 ------ 31,9 | -7,14 ------ 30,5 | -7,51 ------ 22,5 | -1,11 ------ 6,07 | -2,19 ------ 32,2 | -7,54 ------ 31,2 | -8,32 ------ 23,8 | -1,22 ------ 6,30 | -2,41 ------ 32,6 | -8,01 ------ 31,9 | -9,22 ------ 25,2 | -1,37 ------ 6,58 |
28 | -2,21 ------ 34,3 | -7,86 ------ 33,0 | -8,37 ------ 24,4 | -1,19 ------ 6,30 | -2,42 ------ 34,7 | -8,29 ------ 33,7 | -9,33 ------ 26,0 | -1,32 ------ 6,55 | -2,66 ------ 35,1 | -8,82 ------ 34,5 | -10,4 ------ 27,6 | -1,49 ------ 6,87 |
30 | -2,43 ------ 36,7 | -8,58 ------ 35,5 | -9,25 ------ 26,4 | -1,27 ------ 6,50 | -2,65 ------ 37,1 | -9,06 ------ 36,2 | -10,4 ------ 28,2 | -1,41 ------ 6,78 | -2,91 ------ 37,6 | -9,63 ------ 37,1 | -11,6 ------ 30,0 | -1,60 ------ 7,14 |
32 | -2,65 ------ 39,1 | -9,30 ------ 37,9 | -10,1 ------ 28,4 | -13,5 ------ 6,70 | -2,88 ------ 39,6 | -9,82 ------ 38,8 | -11,5 ------ 30,5 | -1,50 ------ 7,00 | -3,16 ------ 40,1 | -10,4 ------ 38,8 | -12,8 ------ 32,6 | -1,70 ------ 7,40 |
34 | -2,86 ------ 41,5 | -10,0 ------ 40,4 | -11,1 ------ 30,4 | -14,2 ------ 6,88 | -3,12 ------ 42,0 | -10,6 ------ 41,3 | -12,6 ------ 32,8 | -15,9 ------ 7,21 | -3,41 ------ 42,5 | -11,3 ------ 42,4 | -14,1 ------ 35,2 | -1,81 ------ 7,64 |
36 | -3,08 ------ 43,9 | -10,8 ------ 42,9 | -12,0 ------ 32,5 | -1,49 ------ 7,05 | -3,35 ------ 44,4 | -11,4 ------ 43,8 | -13,7 ------ 35,2 | -1,67 ------ 7,40 | -3,66 ------ 45,02 | -12,1 ------ 45,0 | -15,4 ------ 37,8 | -1,91 ------ 7,85 |
38 | -3,30 ------ 46,4 | -11,5 ------ 45,3 | -12,9 ------ 34,5 | -1,55 ------ 7,21 | -3,58 ------ 46,9 | -12,1 ------ 46,4 | -14,8 ------ 37,6 | -1,74 ------ 7,59 | -3,91 ------ 47,5 | -12,9 ------ 47,6 | -16,7 ------ 40,4 | -2,01 ------ 8,10 |
40 | -3,51 ------ 48,8 | -12,2 ------ 47,8 | -13,9 ------ 36,1 | -1,61 ------ 7,36 | -3,81 ------ 49,3 | -12,9 ------ 48,9 | -16,0 ------ 40,0 | -1,81 ------ 7,77 | -4,17 ------ 50,0 | -13,7 ------ 50,2 | -18,0 ------ 43,0 | -2,10 ------ 8,31 |
42 | -3,73 ------ 51,2 | -13,0 ------ 50,3 | -14,8 ------ 38,7 | -1,67 ------ 7,51 | -4,05 ------ 51,8 | -13,7 ------ 51,5 | -17,2 ------ 42,4 | -1,88 ------ 7,94 | -4,42 ------ 52,5 | -14,6 ------ 52,9 | -19,4 ------ 45,7 | -2,19 ------ 8,52 |
44 | -3,95 ------ 53,6 | -13,7 ------ 52,8 | -15,8 ------ 40,8 | -1,72 ------ 7,64 | -4,28 ------ 54,2 | -14,5 ------ 54,0 | -18,4 ------ 44,9 | -1,95 ------ 8,10 | -4,67 ------ 54,9 | -15,4 ------ 55,5 | -20,7 ------ 48,3 | -2,28 ------ 8,72 |
46 | -4,16 ------ 56,0 | -14,4 ------ 55,3 | -16,8 ------ 42,9 | -1,77 ------ 8,77 | -4,51 ------ 56,7 | -15,2 ------ 56,6 | -19,6 ------ 47,4 | -2,02 ------ 8,25 | -4,92 ------ 57,4 | -16,2 ------ 58,1 | -22,1 ------ 51,0 | -2,36 ------ 8,92 |
48 | -4,38 ------ 58,4 | -15,2 ------ 57,8 | -17,8 ------ 45,0 | -1,82 ------ 7,89 | -4,75 ------ 59,1 | -16,0 ------ 59,1 | -20,9 ------ 49,9 | -2,08 ------ 8,40 | -5,17 ------ 59,9 | -17,1 ------ 60,8 | -23,5 ------ 53,7 | -2,44 ------ 9,10 |
Таблица 8
| Параметры  (над чертой) и  (под чертой) при  и  |
| | |
|
0,10 | 0,25 | 0,55 | 0,65 | 0,75 | 0,10 | 0,25 | 0,55 | 0,65 | 0,75 | 0,10 | 0,25 | 0,55 | 0,65 | 0,75 |
0 | 0,20 ------ 1,60 | 0,20 ------ 1,60 | 0,2 ------ 1,6 | 0,2 ------ 1,6 | 0,2 ------ 1,6 | 0,19 ------ 1,62 | 0,19 ------ 1,62 | 0,19 ------ 1,62 | 0,19 ------ 0,62 | 0,19 ------ 1,62 | 0,18 ------ 1,63 | 0,18 ------ 1,63 | 0,18 ------ 1,63 | 0,18 ------ 1,63 | 0,18 ------ 1,63 |
2 | 0,02 ------ 3,96 | -0,17 ------ 3,74 | -0,09 ------ 2,67 | 0 ------ 2,31 | 0,08 ------ 1,99 | 0,01 ------ 3,98 | -0,18 ------ 3,78 | -0,1 ------ 2,70 | -0,01 ------ 2,33 | 0,07 ------ 2,01 | -0,02 ------ 4,04 | -0,21 ------ 3,82 | -0,12 ------ 2,73 | 0,02 ------ 2,35 | 0,06 ------ 2,03 |
4 | -0,17 ------ 6,34 | -0,63 ------ 6,01 | -0,46 ------ 3,88 | -0,23 ------ 3,06 | -0,04 ------ 2,39 | -0,2 ------ 6,4 | -0,67 ------ 6,09 | -0,49 ------ 3,93 | -0,25 ------ 3,1 | -0,55 ------ 2,41 | -0,24 ------ 6,48 | -0,73 ------ 6,18 | -0,52 ------ 4,00 | -0,28 ------ 3,14 | -0,06 ------ 2,43 |
6 | -0,38 ------ 8,74 | -1,16 ------ 8,37 | -0,95 ------ 5,25 | -0,54 ------ 3,92 | -0,17 ------ 2,81 | -0,42 ------ 8,83 | -1,23 ------ 8,49 | -1,00 ------ 5,34 | -0,57 ------ 3,97 | -0,19 ------ 2,84 | -0,48 ------ 8,93 | -1,31 ------ 8,63 | -1,07 ------ 5,44 | -0,61 ------ 4,04 | -0,21 ------ 2,87 |
8 | -0,59 ------ 11,1 | -1,71 ------ 10,8 | -1,54 ------ 6,75 | -0,9 ------ 4,86 | -0,34 ------ 3,26 | -0,65 ------ 11,3 | -1,81 ------ 10,9 | -1,62 ------ 6,89 | -0,95 ------ 4,95 | -0,36 ------ 3,30 | -0,72 ------ 11,4 | -1,93 ------ 11,1 | -1,72 ------ 7,05 | -1,01 ------ 5,05 | -0,39 ------ 3,35 |
10 | -0,80 ------ 13,5 | -2,29 ------ 13,2 | -2,21 ------ 8,37 | -1,33 ------ 5,9 | -0,52 ------ 3,76 | -0,88 ------ 13,7 | -2,42 ------ 13,4 | -2,33 ------ 8,56 | -1,41 ------ 6,01 | -0,56 ------ 3,81 | -0,97 ------ 13,9 | -2,57 ------ 13,7 | -2,49 ------ 8,80 | -1,49 ------ 6,16 | -0,59 ------ 3,87 |
12 | -1,01 ------ 16,0 | -2,88 ------ 15,7 | -2,95 ------ 10,1 | -1,82 ------ 7,01 | -0,73 ------ 4,27 | -1,11 ------ 16,1 | -3,04 ------ 15,9 | -3,13 ------ 10,3 | -1,93 ------ 7,17 | -0,77 ------ 4,34 | -1,22 ------ 16,3 | -3,23 ------ 16,2 | -3,34 ------ 10,7 | -2,05 ------ 7,37 | -0,82 ------ 4,43 |
14 | -1,23 ------ 18,4 | -3,47 ------ 18,1 | -3,76 ------ 11,9 | -2,33 ------ 8,13 | -0,93 ------ 4,74 | -1,34 ------ 18,6 | -3,67 ------ 18,4 | -3,99 ------ 12,2 | -2,59 ------ 8,37 | -0,98 ------ 4,84 | -1,47 ------ 18,8 | -3,69 ------ 18,8 | -4,28 ------ 12,7 | -2,67 ------ 8,66 | -1,05 ------ 4,96 |
16 | -1,44 ------ 20,8 | -4,08 ------ 20,6 | -4,62 ------ 13,7 | -2,86 ------ 9,25 | -1,11 ------ 5,17 | -1,57 ------ 21,0 | -4,30 ------ 21,0 | -4,92 ------ 14,2 | -3,07 ------ 9,59 | -1,18 ------ 5,30 | -1,72 ------ 21,3 | -4,57 ------ 21,4 | -5,30 ------ 14,7 | -3,34 ------ 10,0 | -1,27 ------ 5,46 |
18 | -1,66 ------ 23,2 | -4,69 ------ 23,1 | -5,53 ------ 15,7 | -3,39 ------ 10,4 | -1,28 ------ 5,57 | -1,80 ------ 23,5 | -4,94 ------ 23,5 | -5,9 ------ 16,2 | -3,68 ------ 10,8 | -1,38 ------ 5,73 | -1,97 ------ 23,8 | -5,25 ------ 24,0 | -6,39 ------ 16,9 | -4,01 ------ 11,4 | -1,50 ------ 5,94 |
20 | -1,88 ------ 25,6 | -5,30 ------ 25,55 | -6,47 ------ 17,6 | -3,93 ------ 11,5 | -1,45 ------ 5,94 | -2,04 ------ 25,9 | -5,59 ------ 26,0 | -6,94 ------ 18,3 | -4,31 ------ 12,1 | -1,56 ------ 6,14 | -2,22 ------ 26,3 | -5,93 ------ 26,6 | -7,54 ------ 19,2 | -4,79 ------ 12,8 | -1,70 ------ 6,37 |
22 | -2,10 ------ 28,0 | -5,91 ------ 28,0 | -7,45 ------ 19,6 | -4,48 ------ 12,6 | -1,60 ------ 6,28 | -2,27 ------ 28,4 | -6,23 ------ 28,6 | -8,01 ------ 20,5 | -4,95 ------ 13,3 | -1,73 ------ 6,52 | -2,48 ------ 28,7 | -6,62 ------ 29,2 | -8,74 ------ 21,5 | -5,59 ------ 14,3 | -1,90 ------ 6,80 |
24 | -2,31 ------ 30,5 | -6,53 ------ 30,53 | -8,44 ------ 21,7 | -5,02 ------ 13,7 | -1,75 ------ 6,61 | -2,50 ------ 30,8 | -6,88 ------ 31,1 | -9,13 ------ 22,7 | -5,62 ------ 14,6 | -1,9 ------ 6,87 | -2,73 ------ 31,2 | -7,31 ------ 31,8 | -10,0 ------ 23,9 | -6,43 ------ 15,8 | -2,10 ------ 7,21 |
26 | -2,53 ------ 32,9 | -7,14 ------ 33,0 | -9,45 ------ 23,7 | -5,57 ------ 14,7 | -1,89 ------ 6,91 | -2,74 ------ 33,3 | -7,53 ------ 33,7 | -10,3 ------ 24,9 | -6,31 ------ 15,9 | -2,06 ------ 7,21 | -2,98 ------ 33,7 | -8,0 ------ 34,4 | -11,3 ------ 26,3 | -7,34 ------ 17,5 | -2,29 ------ 7,6 |
28 | -2,75 ------ 35,3 | -7,76 ------ 35,5 | -10,5 ------ 25,8 | -6,12 ------ 15,8 | -2,02 ------ 7,20 | -2,97 ------ 35,7 | -8,19 ------ 36,2 | -11,5 ------ 27,2 | -7,03 ------ 17,2 | -2,21 ------ 7,54 | -3,23 ------ 36,2 | -8,7 ------ 37 | -12,7 ------ 28,8 | -8,30 ------ 19,2 | -2,47 ------ 7,98 |
30 | -2,97 ------ 37,7 | -8,38 ------ 38,0 | -11,5 ------ 27,9 | -6,68 ------ 16,9 | -2,14 ------ 7,46 | -3,21 ------ 38,1 | -8,84 ------ 38,8 | -12,7 ------ 29,5 | -7,77 ------ 18,6 | -2,36 ------ 7,84 | -3,49 ------ 38,7 | -9,39 ------ 39,7 | -14,0 ------ 31,4 | -9,32 ------ 21,0 | -2,65 ------ 8,34 |
32 | -3,19 ------ 40,1 | -9,00 ------ 40,5 | -12,6 ------ 30,0 | -7,23 ------ 18,0 | -2,26 ------ 7,72 | -3,44 ------ 40,6 | -9,49 ------ 41,3 | -13,9 ------ 31,9 | -8,53 ------ 20,0 | -2,50 ------ 8,13 | -3,74 ------ 41,1 | -10,1 ------ 42,3 | -15,4 ------ 34,0 | -10,4 ------ 22,8 | -2,83 ------ 8,69 |
34 | -3,40 ------ 42,5 | -9,62 ------ 43 | -13,7 ------ 32,1 | -7,8 ------ 19 | -2,37 ------ 7,95 | -3,68 ------ 43,0 | -10,2 ------ 43,9 | -15,2 ------ 34,3 | -9,32 ------ 21,4 | -2,63 ------ 8,41 | -3,99 ------ 43,6 | -10,8 ------ 44,9 | -16,9 ------ 36,6 | -11,6 ------ 24,8 | -3 ------ 9,03 |
36 | -3,62 ------ 45,0 | -10,2 ------ 45,5 | -14,8 ------ 34,3 | -8,36 ------ 20,1 | -2,48 ------ 8,18 | -3,91 ------ 45,5 | -10,8 ------ 46,4 | -16,5 ------ 36,7 | -10,1 ------ 22,9 | -2,76 ------ 8,68 | -4,25 ------ 46,1 | -11,5 ------ 47,5 | -18,4 ------ 39,3 | -12,9 ------ 26,9 | -3,17 ------ 9,36 |
38 | -3,84 ------ 47,4 | -10,9 ------ 48,0 | -15,9 ------ 36,4 | -8,92 ------ 21,2 | -2,58 ------ 8,39 | -4,15 ------ 47,9 | -11,5 ------ 49,0 | -17,8 ------ 39,1 | -11 ------ 24,4 | -2,89 ------ 8,93 | -4,50 ------ 48,6 | -12,2 ------ 50,1 | -19,9 ------ 42 | -14,2 ------ 29,1 | -3,34 ------ 9,69 |
40 | -4,06 ------ 49,8 | -11,5 ------ 50,5 | -17 ------ 38,6 | -9,5 ------ 22,2 | -2,68 ------ 8,58 | -4,38 ------ 50,4 | -12,1 ------ 51,5 | -19,1 ------ 41,6 | -11,9 ------ 25,9 | -3,01 ------ 9,18 | -4,76 ------ 51,1 | -12,9 ------ 52,7 | -21,5 ------ 44,8 | -15,6 ------ 31,5 | -3,5 ------ 10,0 |
42 | -4,28 ------ 52,2 | -12,1 ------ 53,0 | -18,2 ------ 40,8 | -10,1 ------ 23,3 | -2,77 ------ 8,79 | -4,62 ------ 52,8 | -12,8 ------ 54,1 | -20,5 ------ 44,0 | -12,8 ------ 27,5 | -3,13 ------ 9,41 | -5,00 ------ 53,5 | -13,5 ------ 55,4 | -23,1 ------ 47,6 | -17,2 ------ 33,9 | -3,66 ------ 10,3 |
44 | -4,50 ------ 54,6 | -12,7 ------ 55,5 | -19,3 ------ 43,0 | -10,6 ------ 24,4 | -2,85 ------ 8,97 | -4,85 ------ 55,3 | -13,4 ------ 56,6 | -21,9 ------ 46,5 | -13,7 ------ 29,2 | -3,24 ------ 9,64 | -5,26 ------ 56,0 | -14,3 ------ 58,0 | -24,7 ------ 50,4 | -18,8 ------ 36,5 | -3,82 ------ 10,6 |
46 | -4,72 ------ 57,0 | -13,4 ------ 58,0 | -20,5 ------ 45,2 | -11,2 ------ 25,5 | -2,93 ------ 9,14 | -5,09 ------ 57,7 | -14,1 ------ 59,2 | -23,2 ------ 49,1 | -14,7 ------ 30,8 | -3,35 ------ 9,85 | -5,52 ------ 58,5 | -15,0 ------ 60,6 | -26,3 ------ 53,2 | -20,5 ------ 39,2 | -3,97 ------ 10,9 |
48 | -4,94 ------ 59,5 | -14,0 ------ 60,5 | -21,7 ------ 47,5 | -11,8 ------ 26,5 | -3,02 ------ 9,31 | -5,32 ------ 60,2 | -14,8 ------ 61,7 | -24,5 ------ 51,7 | -15,7 ------ 32,6 | -3,45 ------ 10,1 | -5,77 ------ 61,0 | -15,7 ------ 63,2 | -27,9 ------ 56,1 | -22,3 ------ 42,1 | -4,12 ------ 11,2 |
Таблица 9
| Параметры  (над чертой) и  (под чертой) при  и  |
| | |
|
0,1 | 0,2 | 0,3 | 0,4 | 0,1 | 0,2 | 0,3 | 0,4 | 0,1 | 0,2 | 0,3 | 0,4 |
0 | 1,40 ------ -0,8 | 1,40 ------ -0,8 | 1,40 ------ -0,8 | 1,40 ------ -0,8 | 1,40 ------ -0,79 | 1,40 ------ -0,79 | 1,40 ------ -0,79 | 1,40 ------ -0,79 | 1,39 ------ -0,78 | 1,39 ------ -0,78 | 1,39 ------ -0,78 | 1,39 ------ -0,78 |
2 | 1,22 ------ 1,56 | 1,08 ------ 1,44 | 1,03 ------ 1,16 | 1,04 ------ 0,82 | 1,21 ------ 1,58 | 1,07 ------ 1,45 | 1,03 ------ 1,17 | 1,04 ------ 0,83 | 1,2 ------ 1,59 | 1,07 ------ 1,47 | 1,02 ------ 1,18 | 1,03 ------ 0,84 |
4 | 1,04 ------ 3,92 | 0,76 ------ 3,68 | 0,66 ------ 3,12 | 0,68 ------ 2,44 | 1,02 ------ 3,96 | 0,74 ------ 3,72 | 0,65 ------ 3,15 | 0,67 ------ 2,46 | 1,00 ------ 4,00 | 0,72 ------ 3,76 | 0,63 ------ 3,18 | 0,66 ------ 2,49 |
6 | 0,86 ------ 6,29 | 0,44 ------ 5,93 | 0,30 ------ 5,09 | 0,34 ------ 4,02 | 0,83 ------ 6,34 | 0,41 ------ 5,98 | 0,27 ------ 5,13 | 0,33 ------ 4,06 | 0,8 ------ 6,41 | 0,38 ------ 6,04 | 0,25 ------ 5,18 | 0,29 ------ 4,11 |
8 | 0,68 ------ 8,65 | 0,12 ------ 8,17 | -0,07 ------ 7,05 | 0,003 ------ 5,56 | 0,64 ------ 8,73 | 0,08 ------ 8,24 | -0,11 ------ 7,12 | -0,03 ------ 5,63 | 0,59 ------ 8,82 | 0,04 ------ 8,33 | -0,15 ------ 7,19 | -0,07 ------ 5,71 |
10 | 0,49 ------ 11,0 | -0,21 ------ 10,4 | -0,48 ------ 9,06 | -0,34 ------ 7,04 | 0,44 ------ 11,1 | -0,27 ------ 10,5 | -0,54 ------ 9,17 | -0,39 ------ 7,16 | 0,39 ------ 11,2 | -0,33 ------ 10,6 | -0,61 ------ 9,30 | -0,46 ------ 7,30 |
12 | 0,31 ------ 13,4 | -0,58 ------ 12,7 | -0,94 ------ 11,1 | -0,7 ------ 8,54 | 0,25 ------ 13,5 | -0,65 ------ 12,9 | -1,03 ------ 11,3 | -0,79 ------ 8,73 | 0,18 ------ 13,6 | -0,73 ------ 13,0 | -1,12 ------ 11,5 | -0,90 ------ 8,96 |
14 | 0,13 ------ 15,7 | -0,94 ------ 15,1 | -1,43 ------ 13,2 | -1,10 ------ 10,1 | 0,06 ------ 15,9 | -1,06 ------ 15,2 | -1,55 ------ 13,5 | -1,23 ------ 10,4 | -0,02 ------ 16,0 | -1,16 ------ 15,4 | -1,69 ------ 13,7 | -1,39 ------ 10,7 |
16 | -0,05 ------ 18,1 | -1,38 ------ 17,4 | -1,95 ------ 15,4 | -1,52 ------ 11,6 | -0,13 ------ 18,3 | -1,49 ------ 17,7 | -2,11 ------ 15,7 | -1,71 ------ 12,0 | -0,23 ------ 18,5 | -1,62 ------ 17,9 | 2,30 ------ 16,0 | -1,93 ------ 12,5 |
18 | -0,24 ------ 20,5 | -1,8 ------ 19,8 | -2,49 ------ 17,6 | -1,96 ------ 13,2 | -0,33 ------ 20,7 | -1,94 ------ 20,1 | -2,71 ------ 18,0 | -2,22 ------ 13,7 | -0,45 ------ 20,9 | -2,09 ------ 20,4 | -2,94 ------ 18,4 | -2,52 ------ 14,4 |
20 | -0,43 ------ 22,8 | -2,24 ------ 22,3 | -3,06 ------ 19,8 | -2,42 ------ 14,8 | -0,54 ------ 23,1 | -2,39 ------ 22,5 | -3,32 ------ 20,3 | -2,76 ------ 15,5 | -0,67 ------ 23,3 | -2,58 ------ 22,9 | -3,61 ------ 20,8 | -3,16 ------ 16,3 |
22 | -0,62 ------ 25,2 | -2,69 ------ 24,7 | -3,75 ------ 22,0 | -2,89 ------ 16,4 | -0,75 ------ 25,5 | -2,86 ------ 25,0 | -3,96 ------ 22,6 | -3,33 ------ 17,3 | -0,9 ------ 25,8 | -3,07 ------ 25,4 | -4,30 ------ 23,2 | -3,85 ------ 18,4 |
24 | -0,82 ------ 27,6 | -3,14 ------ 27,1 | -4,24 ------ 24,3 | -3,39 ------ 18,0 | -0,97 ------ 27,9 | -3,34 ------ 27,5 | -4,62 ------ 25,0 | -3,93 ------ 19,1 | -1,13 ------ 28,2 | -3,58 ------ 27,9 | -5,01 ------ 25,7 | -4,58 ------ 20,5 |
26 | -1,02 ------ 30,0 | -3,6 ------ 29,6 | -4,85 ------ 26,6 | -3,9 ------ 19,6 | -1,18 ------ 30,32 | -3,82 ------ 30,0 | -5,29 ------ 27,4 | -4,56 ------ 21,0 | -1,37 ------ 30,7 | -4,09 ------ 30,4 | -5,74 ------ 28,2 | -5,36 ------ 22,7 |
28 | -1,23 ------ 32,4 | -4,06 ------ 32,0 | -5,47 ------ 28,8 | -4,42 ------ 21,3 | -1,4 ------ 32,7 | -4,31 ------ 32,5 | -5,98 ------ 29,8 | -5,22 ------ 23,0 | -1,6 ------ 33,1 | -4,61 ------ 33,0 | -6,49 ------ 30,7 | -6,19 ------ 24,9 |
30 | -1,42 ------ 34,8 | -4,53 ------ 34,5 | -6,10 ------ 31,1 | -4,96 ------ 23,0 | -1,62 ------ 35,2 | -4,81 ------ 35,0 | -6,68 ------ 32,2 | -5,92 ------ 25,0 | -1,84 ------ 35,6 | -5,13 ------ 35,5 | -7,25 ------ 33,2 | -7,08 ------ 27,3 |
32 | -1,62 ------ 37,2 | -5,00 ------ 36,9 | -6,74 ------ 33,5 | -5,50 ------ 24,6 | -1,84 ------ 37,6 | -5,30 ------ 37,5 | -7,39 ------ 34,7 | -6,62 ------ 27,0 | -2,08 ------ 30,1 | -5,66 ------ 38,1 | -8,02 ------ 35,8 | -7,98 ------ 29,7 |
34 | -1,82 ------ 39,6 | -5,47 ------ 39,4 | -7,39 ------ 35,8 | -6,05 ------ 26,3 | -2,06 ------ 40,0 | -5,80 ------ 40,0 | -8,12 ------ 37,2 | -7,36 ------ 29,1 | -2,32 ------ 40,5 | -6,19 ------ 40,7 | -8,80 ------ 38,4 | -8,93 ------ 32,2 |
36 | -2,02 ------ 42,0 | -5,95 ------ 41,8 | -8,05 ------ 38,2 | -6,62 ------ 28,0 | -2,28 ------ 42,4 | -6,29 ------ 42,5 | -8,85 ------ 39,7 | -8,13 ------ 31,3 | -2,57 ------ 43,0 | -6,72 ------ 43,2 | -9,57 ------ 41,0 | -9,92 ------ 34,8 |
38 | -2,23 ------ 44,4 | -6,43 ------ 44,3 | -8,71 ------ 40,5 | -7,19 ------ 29,8 | -2,50 ------ 44,8 | -6,80 ------ 45,0 | -9,58 ------ 42,2 | -8,93 ------ 33,5 | -2,81 ------ 45,4 | -7,25 ------ 45,7 | -10,4 ------ 43,5 | -10,9 ------ 37,4 |
40 | -2,43 ------ 46,7 | -6,91 ------ 46,8 | -9,38 ------ 42,9 | -7,78 ------ 31,5 | -2,72 ------ 47,2 | -7,32 ------ 8,5 | -10,3 ------ 44,7 | -9,76 ------ 35,7 | -3,06 ------ 47,9 | -7,79 ------ 48,3 | -11,2 ------ 46,1 | -12,0 ------ 40,0 |
42 | -2,63 ------ 49,1 | -7,39 ------ 49,3 | -10,1 ------ 45,3 | -8,37 ------ 33,3 | -2,94 ------ 49,6 | -377 ------ 50,0 | -11,1 ------ 47,2 | -10,6 ------ 38,0 | -3,30 ------ 50,4 | -8,33 ------ 50,9 | -12,0 ------ 48,7 | -13,1 ------ 42,7 |
44 | -2,84 ------ 51,4 | -7,88 ------ 51,7 | -10,7 ------ 47,7 | -8,97 ------ 35,0 | -3,16 ------ 52,0 | -8,34 ------ 52,6 | -11,9 ------ 49,7 | -11,5 ------ 39,3 | -3,55 ------ 52,9 | - 8,88 ------ 53,5 | -12,9 ------ 51,1 | -14,2 ------ 45,4 |
46 | -3,04 ------ 53,8 | -8,37 ------ 54,2 | -11,4 ------ 50,1 | -9,57 ------ 36,7 | -3,39 ------ 54,4 | -8,85 ------ 55,1 | -12,6 ------ 52,3 | -12,4 ------ 42,7 | -3,80 ------ 55,3 | -9,42 ------ 56,1 | -13,9 ------ 53,6 | -15,3 ------ 48,1 |
48 | -3,24 ------ 56,2 | -8,85 ------ 56,7 | -12,1 ------ 52,5 | -10,2 ------ 38,6 | -3,63 ------ 57,0 | -9,36 ------ 57,6 | -13,4 ------ 54,8 | -13,3 ------ 45,1 | -4,05 ------ 57,8 | -9,96 ------ 58,6 | -14,9 ------ 56,0 | -16,4 ------ 50,9 |
Таблица 10
| Параметры  (над чертой) и  (под чертой) при  и  |
| | |
|
0,1 | 0,2 | 0,3 | 0,4 | 0,1 | 0,2 | 0,3 | 0,4 | 0,1 | 0,2 | 0,3 | 0,4 |
0 | 1,80 ------ -1,60 | 1,80 ------ -1,60 | 1,80 ------ -1,60 | 1,80 ------ -1,60 | 1,79 ------ -1,58 | 1,79 ------ -1,58 | 1,79 ------ -1,58 | 1,79 ------ -1,58 | 1,78 ------ -1,57 | 1,78 ------ -1,57 | 1,78 ------ -1,57 | 1,78 ------ -1,57 |
2 | 1,62 ------ 0,76 | 1,48 ------ 0,64 | 1,43 ------ 0,36 | 1,44 ------ 0,02 | 1,62 ------ 0,77 | 1,48 ------ 0,65 | 1,43 ------ 0,36 | 1,44 ------ 0,02 | 1,61 ------ 0,78 | 1,47 ------ 0,65 | 1,43 ------ 0,37 | 1,41 ------ 0,072 |
4 | 1,44 ------ 3,12 | 1,16 ------ 2,88 | 1,07 ------ 2,31 | 1,11 ------ 1,55 | 1,42 ------ 3,15 | 1,15 ------ 2,91 | 1,06 ------ 3,10 | 1,10 ------ 1,57 | 1,41 ------ 3,18 | 1,13 ------ 2,94 | 1,05 ------ 2,36 | 1,08 ------ 1,45 |
6 | 0,13 ------ 5,49 | 0,84 ------ 5,12 | 0,73 ------ 4,19 | 0,76 ------ 3,08 | 1,23 ------ 5,54 | 0,81 ------ 5,17 | 0,70 ------ 2,32 | 0,80 ------ 2,99 | 1,20 ------ 5,59 | 0,79 ------ 5,22 | 0,68 ------ 4,30 | 0,78 ------ 3,04 |
8 | 1,08 ------ 7,85 | 0,52 ------ 7,35 | 0,40 ------ 6,01 | 0,56 ------ 4,22 | 1,04 ------ 7,92 | 0,49 ------ 7,43 | 0,36 ------ 6,10 | 0,53 ------ 4,30 | 1,00 ------ 8,00 | 0,45 ------ 7,51 | 0,32 ------ 6,20 | 0,49 ------ 4,39 |
10 | 0,9 ------ 10,2 | 0,21 ------ 9,56 | 0,09 ------ 7,78 | 0,33 ------ 5,40 | 0,85 ------ 10,3 | 0,16 ------ 9,67 | 0,04 ------ 7,91 | 0,29 ------ 5,51 | 0,8 ------ 10,4 | 0,10 ------ 9,78 | -0,02 ------ 8,00 | 0,24 ------ 5,65 |
12 | 0,71 ------ 12,6 | -0,1 ------ 11,8 | -0,21 ------ 9,5 | 0,10 ------ 6,58 | 0,66 ------ 12,7 | -0,16 ------ 11,9 | -0,29 ------ 9,7 | 0,06 ------ 6,65 | 0,59 ------ 12,8 | -0,24 ------ 12,1 | -0,39 ------ 9,93 | 0,00 -------- -6,82 |
14 | 0,54 ------ 14,9 | -0,42 ------ 14,0 | -0,55 ------ 11,3 | -0,07 ------ 7,49 | -0,47 ------ 15,1 | -0,52 ------ 14,2 | -0,67 ------ 11,6 | -0,15 ------ 7,72 | 0,39 ------ 15,2 | -0,62 ------ 14,4 | -0,8 ------ 11,9 | -0,24 ------ 7,97 |
16 | 0,36 ------ 17,3 | -0,77 ------ 16,2 | -0,91 ------ 13,1 | -0,26 ------ 8,47 | 0,27 ------ 17,5 | -0,9 ------ 16,5 | -1,07 ------ 13,5 | -0,37 ------ 8,78 | 0,18 ------ 17,6 | -1,03 ------ 16,8 | -1,27 ------ 13,9 | -0,51 ------ 9,14 |
18 | 0,18 ------ 19,6 | -1,14 ------ 18,5 | -1,29 ------ 14,9 | -0,46 ------ 9,43 | 0,08 ------ 19,9 | -1,3 ------ 18,9 | -1,51 ------ 15,4 | -0,61 ------ 9,84 | -0,02 ------ 20,0 | -1,47 ------ 19,2 | -1,77 ------ 16,0 | -0,79 ------ 10,3 |
20 | 0,00 ------ 22,0 | -1,53 ------ 20,8 | -1,7 ------ 16,7 | -0,67 ------ 10,4 | -0,12 ------ 22,3 | -1,72 ------ 21,2 | -1,99 ------ 17,4 | -0,86 ------ 10,9 | -0,22 ------ 22,4 | -1,92 ------ 21,7 | -2,32 ------ 18,2 | -1,10 ------ 11,6 |
22 | -0,18 ------ 24,3 | -1,93 ------ 23,2 | -2,13 ------ 18,6 | -0,86 ------ 11,3 | -0,31 ------ 24,7 | -2,15 ------ 23,6 | -2,49 ------ 19,5 | -1,11 ------ 12,0 | -0,44 ------ 24,8 | -2,39 ------ 24,1 | -2,91 ------ 20,5 | -1,44 ------ 12,8 |
24 | -0,37 ------ 26,7 | -2,34 ------ 25,5 | -2,56 ------ 20,5 | -1,09 ------ 12,2 | -0,50 ------ 27 | -2,6 ------ 26,1 | -3,01 ------ 21,6 | -1,38 ------ 13,1 | -0,66 ------ 27,2 | -2,88 ------ 26,6 | -3,53 ------ 22,8 | -1,79 ------ 14,2 |
26 | -0,55 ------ 29,0 | -2,75 ------ 27,9 | -3,02 ------ 22,5 | -1,30 ------ 13,1 | -0,70 ------ 29,4 | -3,06 ------ 28,5 | -3,56 ------ 23,8 | -1,66 ------ 14,2 | -0,89 ------ 29,7 | -3,37 ------ 29,1 | -4,18 ------ 25,2 | -2,18 ------ 15,5 |
28 | -0,73 ------ 31,4 | -3,18 ------ 30,2 | -3,49 ------ 24,4 | -1,51 ------ 14 | -0,91 ------ 31,8 | -3,53 ------ 31 | -4,14 ------ 26 | -1,95 ------ 15,3 | -1,11 ------ 32,2 | -3,87 ------ 31,7 | -4,86 ------ 27,6 | -2,59 ------ 16,9 |
30 | -0,91 ------ 33,7 | -3,62 ------ 32,6 | -3,98 ------ 26,4 | -1,72 ------ 14,9 | -1,11 ------ 34,1 | -4,01 ------ 33,5 | -4,75 ------ 28,2 | -2,26 ------ 16,4 | -1,35 ------ 34,6 | -4,38 ------ 34,2 | -5,57 ------ 30,1 | -3,05 ------ 17,4 |
32 | -1,10 ------ 36,0 | -4,05 ------ 35,0 | -4,46 ------ 28,4 | -1,95 ------ 15,8 | -1,32 ------ 36,5 | -4,49 ------ 35,9 | -5,35 ------ 30,5 | -2,56 ------ 17,5 | -1,58 ------ 37,0 | -4,90 ------ 36,7 | -6,31 ------ 32,6 | -3,53 ------ 20 |
34 | -1,28 ------ 38,4 | -4,50 ------ 37,4 | -4,97 ------ 30,4 | -2,17 ------ 16,7 | -1,53 ------ 38,9 | -4,97 ------ 38,4 | -5,99 ------ 32,8 | -2,89 ------ 18,7 | -1,82 ------ 39,4 | -5,42 ------ 39,3 | -7,06 ------ 35,2 | -4,05 ------ 21,7 |
36 | -1,47 ------ 40,7 | -1,95 ------ 39,8 | -5,48 ------ 32,5 | -2,38 ------ 17,5 | -1,74 ------ 41,3 | -5,47 ------ 40,9 | -6,64 ------ 35,2 | -3,22 ------ 19,8 | -2,05 ------ 41,8 | -5,94 ------ 41,8 | -7,84 ------ 37,8 | -4,62 ------ 23,4 |
38 | -1,66 ------ 43,0 | -5,4 ------ 42,3 | -6,01 ------ 34,5 | -2,60 ------ 18,4 | -1,95 ------ 43,7 | -5,96 ------ 43,4 | -7,31 ------ 37,6 | -3,57 ------ 21,0 | -2,29 ------ 44,2 | -6,47 ------ 44,4 | -8,64 ------ 40,4 | -5,25 ------ 25,3 |
40 | -1,85 ------ 45,4 | -5,86 ------ 44,7 | -6,54 ------ 36,6 | -2,82 ------ 19,2 | -2,16 ------ 46,1 | -6,46 ------ 45,9 | -8,00 ------ 40,0 | -3,93 ------ 22,2 | -2,51 ------ 46,7 | -7,00 ------ 47 | -9,43 ------ 43,0 | -5,95 ------ 27,3 |
42 | -2,04 ------ 47,7 | -6,32 ------ 47,1 | -7,09 ------ 38,7 | -3,04 ------ 20,0 | -2,37 ------ 48,5 | -6,97 ------ 48,5 | -8,70 ------ 42,4 | -4,3 ------ 43,5 | -2,64 ------ 49,2 | -7,53 ------ 49,5 | -10,2 ------ 45,6 | -6,67 ------ 29,4 |
44 | -2,23 ------ 50 | -6,78 ------ 49,6 | -7,64 ------ 40,8 | -3,26 ------ 20,9 | -2,58 ------ 50,9 | -7,48 ------ 51,0 | -9,40 ------ 44,0 | -4,69 ------ 24,8 | -2,98 ------ 51,7 | -8,06 ------ 52 | -11,1 ------ 48,3 | -7,48 ------ 31,7 |
46 | -2,42 ------ 52,4 | -7,24 ------ 52,1 | -8,2 ------ 42,9 | -3,48 ------ 21,7 | -2,79 ------ 53,2 | -7,99 ------ 53,5 | -10,1 ------ 47,4 | -5,09 ------ 26,1 | -3,21 ------ 54,2 | -8,59 ------ 54,5 | -11,9 ------ 51 | -8,36 ------ 34,1 |
48 | -2,61 ------ 54,7 | -7,72 ------ 54,5 | -8,77 ------ 45,0 | -3,69 ------ 22,5 | -3,00 ------ 55,6 | -8,50 ------ 56,1 | -10,9 ------ 49,9 | -5,51 ------ 27,4 | -3,45 ------ 56,6 | -3,12 ------ 57 | -12,7 ------ 53,7 | -9,33 ------ 36,7 |
Таблица 11
| Параметры  (над чертой) и  (под чертой) при  и  |
| | |
|
0,3 | 0,4 | 0,5 | 0,6 | 0,3 | 0,4 | 0,5 | 0,6 | 0,3 | 0,4 | 0,5 | 0,6 |
0 | 1,0 ----- 0,0 | 1,0 ----- 0,0 | 1,0 ----- 0,0 | 1,0 ----- 0,0 | 1,0 ----- 0,0 | 1,0 ----- 0,0 | 1,0 ----- 0,0 | 1,0 ----- 0,0 | 1,0 ----- 0,0 | 1,0 ----- 0,0 | 1,0 ----- 0,0 | 1,0 ----- 0,0 |
3 | 0,85 ------ 0,78 | 0,86 ------ 0,65 | 0,88 ------ 0,50 | 0,90 ------ 0,35 | 0,85 ------ 0,79 | 0,853 ------ 0,66 | 0,87 ------ 0,51 | 0,90 ------ 0,36 | 0,85 ------ 0,80 | 0,84 ------ 0,66 | 0,87 ------ 0,51 | 0,90 ------ 0,36 |
4 | 0,71 ------ 1,57 | 0,71 ------ 1,30 | 0,75 ------ 1,00 | 0,81 ------ 0,71 | 0,70 ------ 1,58 | 0,71 ------ 1,31 | 0,75 ------ 1,01 | 0,80 ------ 0,71 | 0,69 ------ 1,60 | 0,69 ------ 1,32 | 0,74 ------ 1,02 | 0,80 ------ 0,72 |
6 | 0,56 ------ 2,35 | 0,57 ------ 1,95 | 0,62 ------ 1,50 | 0,71 ------ 1,06 | 0,55 ------ 2,38 | 0,56 ------ 1,96 | 0,62 ------ 1,52 | 0,71 ------ 1,07 | 0,54 ------ 2,4 | 0,55 ------ 1,98 | 0,61 ------ 1,53 | 0,70 ------ 1,08 |
8 | 0,41 ------ 3,14 | 0,42 ------ 2,59 | 0,50 ------ 2,00 | 0,62 ------ 1,40 | 0,40 ------ 3,17 | 0,41 ------ 2,62 | 0,49 ------ 2,02 | 0,61 ------ 1,42 | 0,38 ------ 3,2 | 0,40 ------ 2,64 | 0,48 ------ 2,04 | 0,60 ------ 1,44 |
10 | 0,26 ------ 3,92 | 0,28 ------ 3,24 | 0,37 ------ 2,50 | 0,52 ------ 1,76 | 0,25 ------ 3,96 | 0,26 ------ 3,27 | 0,36 ------ 2,53 | 0,51 ------ 1,78 | 0,23 ------ 4,00 | 0,247 ------ 3,31 | 0,350 ------ 2,55 | 0,50 ------ 1,80 |
12 | 0,12 ------ 4,71 | 0,13 ------ 3,89 | 0,25 ------ 3,00 | 0,42 ------ 2,11 | 0,09 ------ 4,75 | 0,12 ------ 3,93 | 0,24 ------ 3,03 | 0,41 ------ 2,13 | 0,07 ------ 4,80 | 0,10 ------ 3,97 | 0,29 ------ 3,06 | 0,40 ------ 2,16 |
14 | -0,03 ------ 5,49 | -0,01 ------ 4,54 | 0,12 ------ 3,50 | 0,33 ------ 2,50 | -0,06 ------ 5,55 | -0,03 ------ 4,58 | 0,11 ------ 3,54 | 0,32 ------ 2,49 | -0,09 ------ 5,60 | -0,56 ------ 4,63 | 0,09 ------ 3,57 | 0,30 ------ 2,51 |
16 | -0,19 ------ 6,30 | -0,17 ------ 5,20 | 0,00 ------ 4,00 | 0,23 ------ 2,81 | -0,22 ------ 6,36 | -0,19 ------ 5,26 | -0,02 ------ 4,04 | 0,23 ------ 2,84 | -0,26 ------ 6,43 | -0,22 ------ 5,32 | -0,04 ------ 4,08 | 0,21 ------ 2,86 |
18 | -0,36 ------ 7,12 | -0,34 ------ 5,89 | -0,13 ------ 4,51 | 0,15 ------ 3,13 | -0,40 ------ 7,19 | -0,37 ------ 5,96 | -0,16 ------ 4,55 | 0,14 ------ 3,15 | -0,45 ------ 7,28 | -0,41 ------ 6,03 | -0,18 ------ 4,61 | 0,12 ------ 3,19 |
20 | -0,55 ------ 7,96 | -0,52 ------ 6,60 | -0,27 ------ 5,01 | 0,08 ------ 3,41 | -0,60 ------ 8,05 | -0,57 ------ 6,68 | -0,30 ------ 5,07 | 0,06 ------ 3,45 | -0,65 ------ 8,19 | -0,61 ------ 6,77 | -0,34 ------ 5,14 | 0,04 ------ 3,49 |
22 | -0,74 ------ 8,81 | -0,72 ------ 7,34 | -0,41 ------ 5,51 | 0,00 ------ 3,72 | -0,80 ------ 8,91 | -0,77 ------ 7,43 | -0,45 ------ 5,59 | -0,02 ------ 3,74 | -0,87 ------ 9,04 | -0,83 ------ 7,53 | -0,50 ------ 5,68 | -0,04 ------ 3,76 |
24 | -0,94 ------ 9,68 | -0,94 ------ 8,08 | -0,56 ------ 6,01 | -0,07 ------ 3,94 | -1,01 ------ 9,80 | -1,00 ------ 8,19 | -0,61 ------ 6,11 | -0,09 ------ 3,99 | -1,09 ------ 9,94 | -1,07 ------ 8,32 | -0,67 ------ 6,23 | -0,12 ------ 4,06 |
25 | -1,16 ------ 10,6 | -1,16 ------ 8,84 | -0,71 ------ 6,51 | -0,13 ------ 4,19 | -1,23 ------ 10,7 | -1,23 ------ 8,97 | -0,77 ------ 6,64 | -0,16 ------ 4,25 | -1,32 ------ 10,9 | -1,32 ------ 9,12 | -0,84 ------ 6,78 | -0,19 ------ 4,33 |
28 | -1,37 ------ 11,4 | -1,38 ------ 9,60 | -0,862 ------ 7,02 | -0,20 ------ 4,43 | -1,46 ------ 11,6 | -1,47 ------ 9,76 | -0,94 ------ 7,17 | -0,23 ------ 4,5 | -1,56 ------ 11,8 | -1,57 ------ 9,94 | -1,03 ------ 7,34 | -0,27 ------ 4,59 |
30 | -1,60 ------ 12,3 | -1,62 ------ 10,4 | -1,02 ------ 7,52 | -0,26 ------ 4,66 | -1,70 ------ 12,5 | -1,72 ------ 10,6 | -1,11 ------ 7,70 | -0,30 ------ 4,75 | -1,81 ------ 12,7 | -1,84 ------ 10,8 | -1,22 ------ 7,91 | -0,35 ------ 4,85 |
32 | -1,83 ------ 13,2 | -1,86 ------ 11,1 | -1,18 ------ 8,02 | -0,33 ------ 4,89 | -1,94 ------ 13,4 | -1,98 ------ 11,4 | -1,29 ------ 8,23 | -0,37 ------ 5,0 | -2,07 ------ 13,7 | -2,12 ------ 11,6 | -1,42 ------ 8,48 | -0,43 ------ 5,11 |
34 | -2,06 ------ 14,1 | -2,11 ------ 11,9 | -1,35 ------ 8,53 | -0,39 ------ 5,11 | -2,19 ------ 14,3 | -2,25 ------ 12,2 | -1,47 ------ 8,77 | -0,44 ------ 5,2 | -2,33 ------ 14,6 | -2,41 ------ 12,5 | - 1,62 ------ 9,06 | -0,50 ------ 5,35 |
36 | -2,30 ------ 15,1 | -2,36 ------ 12,7 | -1,52 ------ 9,03 | -0,45 ------ 5,32 | -2,44 ------ 15,3 | -2,52 ------ 13,0 | -1,66 ------ 9,31 | -0,51 ------ 5,5 | -2,59 ------ 15,6 | -2,71 ------ 13,3 | -1,83 ------ 9,65 | -0,58 ------ 5,60 |
38 | -2,55 ------ 16,0 | -2,62 ------ 13,5 | -1,69 ------ 9,53 | -0,52 ------ 5,53 | -2,69 ------ 16,2 | -2,80 ------- 13,8 | -1,85 ------ 9,86 | -0,58 ------ 5,7 | -2,86 ------ 16,5 | -3,01 ------ 14,2 | -2,05 ------ 10,2 | -0,66 ------ 5,84 |
40 | -2,80 ------ 16,9 | -2,88 ------ 14,3 | -1,86 ------ 10 | -0,58 ------ 5,73 | -2,95 ------ 17,2 | -3,09 ------ 14,7 | -2,05 ------ 10,4 | -0,65 ------ 5,89 | -3,14 ------ 17,5 | -3,32 ------ 15,1 | -2,28 ------ 10,9 | -0,74 ------ 6,08 |
42 | -3,05 ------ 17,9 | -3,15 ------ 15,1 | -2,03 ------ 10,5 | -0,64 ------ 5,93 | -3,21 ------ 18,1 | -3,38 ------ 15,6 | -2,25 ------ 11 | -0,72 ------ 6,10 | -3,42 ------ 18,5 | -3,64 ------ 16 | -2,51 ------ 11,5 | -0,82 ------ 6,31 |
44 | -3,30 ------ 18,8 | -3,42 ------ 16 | -2,21 ------ 11,1 | -0,70 ------ 6,12 | -3,48 ------ 19,1 | -3,68 ------ 16,4 | -2,45 ------ 11,5 | -0,79 ------ 6,31 | -3,70 ------ 19,5 | -3,97 ------ 16,9 | -2,75 ------ 12,1 | -0,89 ------ 6,54 |
46 | -3,56 ------ 19,7 | -3,69 ------ 16,8 | -2,39 ------ 11,6 | -0,76 ------ 6,31 | -3,75 ------ 20,0 | -3,98 ------ 17,3 | -2,66 ------ 12,1 | -0,85 ------ 6,51 | -3,99 ------ 20,5 | -4,30 ------ 17,8 | -3,00 ------ 12,7 | -0,97 ------ 6,77 |
48 | -3,82 ------ 20,7 | -3,97 ------ 17,6 | -2,57 ------ 12,1 | -0,82 ------ 6,49 | -4,03 ------ 21 | -4,29 ------ 18,2 | -2,87 ------ 12,7 | -0,92 ------ 6,72 | -4,28 ------ 21,5 | -4,64 ------ 18,8 | -3,25 ------ 13,4 | -1,05 ------ 6,99 |
Таблица 12
| Параметры  (над чертой) и  (под чертой) при  и  |
| | |
|
0,30 | 0,45 | 0,60 | 0,75 | 0,30 | 0,45 | 0,60 | 0,75 | 0,30 | 0,45 | 0,60 | 0,75 |
0 | 0,60 ------ 0,80 | 0,60 ------ 0,80 | 0,60 ------ 0,80 | 0,60 ------ 0,80 | 0,60 ------ 0,81 | 0,60 ------ 0,81 | 0,60 ------ 0,81 | 0,60 ------ 0,81 | 0,59 ------ 0,82 | 0,59 ------ 0,82 | 0,59 ------ 0,82 | 0,59 ------ 0,82 |
2 | 0,45 ------ 1,59 | 0,46 ------ 1,38 | 0,50 ------ 1,15 | 0,55 ------ 0,96 | 0,45 ------ 1,60 | 0,46 ------ 1,39 | 0,50 ------ 1,16 | 0,55 ------ 0,97 | 0,44 ------ 1,62 | 0,45 ------ 1,40 | 0,49 ------ 1,18 | 0,54 ------ 0,98 |
4 | 0,30 ------ 2,37 | 0,33 ------ 1,95 | 0,41 ------ 1,51 | 0,51 ------ 1,11 | 0,29 ------ 2,39 | 0,32 ------ 1,97 | 0,40 ------ 1,52 | 0,50 ------ 1,12 | 0,28 ------ 2,42 | 0,31 ------ 1,99 | 0,39 ------ 1,53 | 0,50 ------ 1,14 |
5 | 0,166 ------ 3,16 | 0,19 ------ 2,53 | 0,31 ------ 1,86 | 0,46 ------ 1,27 | 0,14 ------ 3,18 | 0,18 ------ 2,55 | 0,30 ------ 1,87 | 0,45 ------ 1,28 | 0,13 ------ 3,22 | 0,17 ------ 2,58 | 0,29 ------ 1,89 | 0,45 ------ 1,29 |
8 | 0,01 ------ 3,94 | 0,05 ------ 3,10 | 0,22 ------ 2,21 | 0,41 ------ 1,43 | -0,01 ------ 3,98 | 0,04 ------ 3,13 | 0,21 ------ 2,23 | 0,40 ------ 1,44 | -0,03 ------ 4,02 | 0,02 ------ 3,16 | 0,19 ------ 2,25 | 0,40 ------ 1,45 |
10 | -0,15 ------ 4,74 | -0,09 ------ 3,68 | 0,12 ------ 2,56 | 0,37 ------ 1,58 | -0,17 ------ 4,79 | -0,11 ------ 3,72 | 0,11 ------ 2,59 | 0,36 ------ 1,60 | -0,20 ------ 4,84 | -0,13 ------ 3,76 | 0,09 ------ 2,61 | 0,35 ------ 1,61 |
12 | -0,32 ------ 5,56 | -0,25 ------ 4,29 | 0,02 ------ 2,91 | 0,32 ------ 1,74 | -0,35 ------ 5,62 | -0,27 ------ 4,34 | 0,01 ------ 2,94 | 0,31 ------ 1,76 | -0,39 ------ 5,69 | -0,30 ------ 4,40 | -0,01 ------ 2,97 | 0,30 ------ 1,77 |
14 | -0,51 ------ 6,41 | -0,43 ------ 4,93 | -0,08 ------ 3,27 | 0,27 ------ 1,90 | -0,55 ------ 6,49 | -0,46 ------ 4,99 | -0,09 ------ 3,30 | 0,26 ------ 1,91 | -0,60 ------ 6,57 | -0,50 ------ 5,06 | -0,11 ------ 3,34 | 0,25 ------ 1,93 |
16 | -0,71 ------ 7,27 | -0,62 ------ 5,60 | -0,19 ------ 3,65 | 0,22 ------ 2,05 | -0,76 ------ 7,37 | -0,66 ------ 5,67 | -0,21 ------ 3,69 | 0,22 ------ 2,07 | -0,82 ------ 7,47 | -0,71 ------ 5,76 | -0,23 ------ 3,73 | 0,20 ------ 2,09 |
18 | -0,93 ------ 8,16 | -0,84 ------ 6,28 | -0,31 ------ 4,04 | 0,18 ------ 2,21 | -0,99 ------ 8,26 | -0,89 ------ 5,37 | -0,34 ------ 4,09 | 0,17 ------ 2,23 | -1,06 ------ 8,39 | -0,95 ------ 6,48 | -0,37 ------ 4,14 | 0,17 ------ 2,25 |
20 | -1,15 ------ 9,05 | -1,06 ------ 6,99 | -0,45 ------ 4,48 | 0,13 ------ 2,36 | -1,22 ------ 9,17 | -1,13 ------ 7,10 | -0,48 ------ 4,51 | 0,12 ------ 2,39 | -1,30 ------ 9,32 | -1,20 ------ 7,22 | -0,52 ------ 4,50 | 0,11 ------ 2,41 |
22 | -1,38 ------ 9,95 | -1,31 ------ 7,72 | -0,59 ------ 4,87 | 0,09 ------ 2,50 | -1,46 ------ 10,2 | -1,38 ------ 7,84 | -0,63 ------ 4,94 | 0,08 ------ 2,52 | -1,56 ------ 10,3 | -1,47 ------ 7,99 | -0,68 ------ 5,02 | 0,06 ------ 2,55 |
24 | -1,61 ------ 10,9 | -1,56 ------ 8,46 | -0,74 ------ 5,28 | 0,05 ------ 2,65 | -1,71 ------ 11,0 | -1,65 ------ 8,61 | -0,79 ------ 5,37 | 0,04 ------ 2,67 | -1,82 ------ 11,2 | -1,75 ------ 8,78 | -0,84 ------ 5,47 | 0,02 ------ 2,71 |
25 | -1,85 ------ 11,8 | -1,83 ------ 9,22 | -0,88 ------ 5,69 | 0,01 ------ 2,76 | -1,96 ------ 12,0 | -1,93 ------ 9,39 | -0,94 ------ 5,80 | 0,00 ------ 2,78 | -2,09 ------ 12,2 | -2,04 ------ 9,59 | -1,01 ------ 5,92 | -0,02 ------ 2,80 |
28 | -2,10 ------ 12,7 | -2,10 ------ 10 | -1,03 ------ 6,10 | -0,02 ------ 2,89 | -2,22 ------ 12,9 | -2,22 ------ 10,2 | -1,10 ------ 6,22 | -0,04 ------ 2,92 | -2,36 ------ 13,2 | -2,35 ------ 10,4 | -1,19 ------ 6,37 | -0,06 ------ 2,96 |
30 | -2,35 ------ 13,7 | -2,39 ------ 10,8 | -1,9 ------ 6,50 | -0,06 ------ 2,99 | 2,48 ------ 13,9 | -2,52 ------ 11,0 | -1,27 ------ 6,65 | -0,07 ------ 3,03 | -2,64 ------ 14,1 | -2,68 ------ 11,3 | -1,37 ------ 6,83 | -0,09 ------ 3,07 |
32 | -2,61 ------ 14,6 | -2,69 ------ 11,6 | -1,34 ------ 6,90 | -0,09 ------ 3,09 | -2,75 ------ 14,8 | -2,83 ------ 11,8 | -1,44 ------ 7,07 | -0,11 ------ 3,13 | -2,92 ------ 15,1 | -3,01 ------ 12,1 | -1,55 ------ 7,28 | -0,13 ------ 3,18 |
34 | -2,87 ------ 15,5 | -2,99 ------ 12,4 | -1,49 ------ 7,30 | -0,12 ------ 3,19 | -3,02 ------ 15,8 | -3,15 ------ 12,6 | -1,60 ------ 7,50 | -0,14 ------ 3,23 | -3,20 ------ 16,1 | -3,34 ------ 12,9 | -1,74 ------ 7,74 | -0,16 ------ 3,28 |
36 | -3,13 ------ 16,5 | -3,30 ------ 13,2 | -1,65 ------ 7,69 | -0,14 ------ 3,28 | -3,30 ------ 16,8 | -3,48 ------ 13,5 | -1,78 ------ 7,93 | -0,17 ------ 3,32 | -3,51 ------ 17,1 | -3,68 ------ 13,8 | -1,94 ------ 8,21 | -0,19 ------ 3,38 |
38 | -3,39 ------ 17,4 | -3,61 ------ 14,0 | -1,80 ------ 8,08 | -0,17 ------ 3,36 | -3,58 ------ 17,7 | -3,81 ------ 14,4 | -1,95 ------ 8,35 | -0,19 ------ 3,41 | -3,81 ------ 18,1 | -4,02 ------ 14,6 | -2,13 ------ 8,67 | -0,22 ------ 3,47 |
40 | -3,66 ------ 18,4 | -3,94 ------ 14,9 | -1,96 ------ 8,47 | -0,20 ------ 3,44 | -3,86 ------ 18,7 | -4,16 ------ 15,2 | -2,13 ------ 8,78 | -0,22 ------ 3,50 | -4,11 ------ 19,1 | -4,43 ------ 15,7 | -2,34 ------ 9,14 | -0,25 ------ 3,56 |
42 | -3,93 ------ 19,3 | -4,26 ------ 15,7 | -2,15 ------ 8,86 | -0,22 ------ 3,52 | -4,14 ------ 19,7 | -4,51 ------ 16,1 | -2,31 ------ 9,20 | -0,25 ------ 3,58 | -4,41 ------ 20,1 | -4,82 ------ 16,6 | -2,54 ------ 9,62 | -0,25 ------ 3,65 |
44 | -4,20 ------ 20,3 | -4,60 ------ 16,6 | -2,28 ------ 9,24 | -0,25 ------ 3,59 | -4,43 ------ 20,7 | -4,87 ------ 17,0 | -2,48 ------ 9,63 | -0,27 ------ 3,66 | -4,72 ------ 21,2 | -5,20 ------ 17,5 | -2,75 ------ 10,1 | -0,31 ------ 3,73 |
46 | -4,47 ------ 21,2 | -4,93 ------ 17,4 | -2,43 ------ 9,62 | -0,27 ------ 3,66 | -4,62 ------ 21,7 | 5,23 ------- 17,9 | -2,67 ------ 10,1 | -0,30 ------ 3,72 | -5,02 ------ 22,2 | -5,59 ------ 18,4 | -2,97 ------ 10,6 | -0,33 ------ 3,84 |
48 | -4,75 ------ 22,2 | -5,27 ------ 18,3 | -2,59 ------ 10 | -0,29 ------ 3,73 | -5,01 ------ 22,7 | -5,60 ------ 18,8 | -2,85 ------ 10,5 | -0,32 ------ 3,80 | -5,32 ------ 23,2 | -5,99 ------ 19,4 | -3,19 ------ 11,1 | -0,36 ------ 3,88 |
Таблица 13
| Параметры  (над чертой) и  (под чертой) при  и  |
| | |
|
0,5 | 0,6 | 0,7 | 0,9 | 0,5 | 0,6 | 0,7 | 0,9 | 0,5 | 0,6 | 0,7 | 0,9 |
0 | 0,20 ------ 1,60 | 0,20 ------ 1,60 | 0,20 ------ 1,60 | 0,20 ------ 1,60 | 0,19 ------ 1,62 | 0,19 ------ 1,62 | 0,19 ------ 1,62 | 0,19 ------ 1,62 | 0,18 ------ 1,63 | 0,18 ------ 1,63 | 0,18 ------ 1,63 | 0,18 ------ 1,63 |
2 | 0,07 ------ 2,10 | 0,10 ------ 1,95 | 0,14 ------ 1,82 | 0,19 ------ 1,63 | 0,06 ------ 2,12 | 0,06 ------ 1,97 | 0,13 ------ 1,83 | 0,18 ------ 1,64 | 0,05 ------ 2,14 | 0,08 ------ 1,99 | 0,12 ------ 1,85 | 0,17 ------ 1,66 |
4 | -0,05 ------ 2,61 | 0,01 ------ 2,31 | 0,07 ------ 2,03 | 0,18 ------ 1,66 | -0,07 ------ 2,63 | 0,00 ------ 2,33 | 0,06 ------ 2,05 | 0,17 ------ 1,67 | -0,08 ------ 2,66 | -0,02 ------ 2,35 | 0,05 ------ 2,07 | 0,17 ------ 1,69 |
6 | -0,21 ------ 3,14 | -0,09 ------ 2,67 | 0,01 ------ 2,25 | 0,17 ------ 1,69 | -0,22 ------ 3,18 | -0,11 ------ 2,70 | 0,00 ------ 2,27 | -0,16 ------ 1,70 | -0,24 ------ 3,22 | -0,13 ------ 2,73 | -0,01 ------ 2,29 | 0,16 ------ 1,72 |
8 | -0,37 ------ 3,71 | -0,215 ------ 3,05 | -0,06 ------ 2,47 | 0,16 ------ 1,71 | -0,40 ------ 3,76 | -0,23 ------ 3,09 | -0,07 ------ 2,49 | 0,16 ------ 1,73 | -0,43 ------ 3,81 | -0,26 ------ 3,13 | -0,08 ------ 2,52 | 0,15 ------ 1,75 |
10 | -0,57 ------ 4,31 | -0,348 ------ 3,46 | -0,13 ------ 2,70 | 0,15 ------ 1,74 | -0,60 ------ 4,37 | -0,37 ------ 3,51 | -0,14 ------ 2,73 | 0,15 ------ 1,76 | -0,64 ------ 4,44 | -0,40 ------ 3,56 | -0,16 ------ 2,76 | 0,14 ------ 1,78 |
12 | -0,78 ------ 4,94 | -0,50 ------ 3,89 | -0,21 ------ 2,94 | 0,15 ------ 1,77 | -0,82 ------ 5,01 | -0,53 ------ 3,94 | -0,23 ------ 2,97 | 0,14 ------ 1,79 | -0,88 ------ 5,10 | -0,56 ------ 4,01 | -0,25 ------ 3,01 | 0,13 ------ 1,80 |
14 | -1,01 ------ 5,59 | -0,66 ------ 4,34 | -0,29 ------ 3,19 | 0,14 ------ 2,03 | -1,07 ------ 5,68 | -0,70 ------ 4,40 | -0,32 ------ 3,23 | 0,13 ------ 1,81 | -1,13 ------ 5,79 | -0,74 ------ 4,48 | -0,34 ------ 3,28 | 0,12 ------ 1,83 |
16 | -1,26 ------ 6,26 | -0,84 ------ 4,81 | -0,39 ------ 3,45 | 0,13 ------ 1,83 | -1,33 ------ 6,38 | -0,88 ------ 4,89 | -0,41 ------ 3,50 | 0,12 ------ 1,84 | -1,41 ------ 6,51 | -0,94 ------ 4,98 | -0,44 ------ 3,55 | 0,11 ------ 1,86 |
18 | -1,52 ------ 6,96 | -1,03 ------ 5,29 | -0,49 ------ 3,72 | 0,12 ------ 1,85 | -1,60 ------ 7,09 | -1,08 ------ 5,39 | -0,52 ------ 3,78 | 0,11 ------ 1,87 | -1,70 ------ 7,26 | -1,15 ------ 5,50 | -0,55 ------ 3,84 | 0,10 ------ 1,89 |
20 | -1,89 ------ 7,67 | -1,23 ------ 5,80 | -0,60 ------ 4,00 | 0,11 ------ 1,88 | -1,90 ------ 7,83 | -1,30 ------ 5,91 | -0,63 ------ 4,06 | 0,10 ------ 1,90 | -2,02 ------ 8,02 | -1,38 ------ 6,04 | -0,67 ------ 4,13 | 0,09 ------ 1,92 |
22 | -2,09 ------ 8,41 | -1,44 ------ 6,32 | -0,71 ------ 4,29 | 0,10 ------ 1,91 | -2,20 ------ 8,59 | -1,52 ------ 6,45 | -0,75 ------ 4,36 | 0,09 ------ 1,93 | -2,34 ------ 8,81 | -1,62 ------ 6,60 | -0,80 ------ 4,44 | 0,08 ------ 1,95 |
24 | -2,39 ------ 9,15 | -1,67 ------ 6,85 | -0,83 ------ 4,59 | 0,09 ------ 1,94 | -2,52 ------ 9,37 | -1,76 ------ 7,00 | -0,88 ------ 4,67 | 0,08 ------ 1,96 | -2,69 ------ 9,63 | -1,88 ------ 7,18 | -0,93 ------ 4,76 | 0,07 ------ 1,98 |
26 | -2,70 ------ 9,92 | -1,91 ------ 7,41 | -0,96 ------ 4,90 | 0,08 ------ 1,97 | -2,86 ------ 10,2 | -2,02 ------ 7,58 | -1,01 ------ 4,99 | 0,07 ------ 1,98 | -3,05 ------ 10,5 | -2,15 ------ 6,39 | -1,08 ------ 5,10 | 0,06 ------ 2,00 |
28 | -3,02 ------ 10,7 | -2,16 ------ 7,97 | -1,09 ------ 5,22 | 0,07 ------ 1,99 | -3,20 ------ 11,0 | -2,28 ------ 8,17 | -1,6 ------ 5,32 | 0,06 ------ 2,01 | -3,42 ------ 11,3 | -2,43 ------ 8,40 | -1,23 ------ 5,44 | 0,05 ------ 2,03 |
30 | -3,36 ------ 11,5 | -2,42 ------ 8,55 | -1,23 ------ 5,53 | 0,06 ------ 2,02 | -3,55 ------ 11,8 | -2,56 ------ 8,77 | -1,30 ------ 5,65 | 0,05 ------ 2,04 | -3,80 ------ 12,2 | -2,73 ------ 9,04 | -1,39 ------ 5,79 | 0,04 ------ 2,06 |
32 | -3,70 ------ 12,3 | -2,69 ------ 9,15 | -1,36 ------ 5,84 | 0,06 ------ 2,05 | -3,92 ------ 12,6 | -2,85 ------ 9,39 | -1,45 ------ 5,97 | 0,05 ------ 2,07 | -4,20 ------ 13,0 | -3,05 ------ 9,70 | -1,55 ------ 6,14 | 0,03 ------ 2,09 |
34 | -4,05 ------ 13,1 | -2,99 ------ 9,78 | -1,50 ------ 6,14 | 0,05 ------ 2,08 | -4,29 ------ 13,5 | -3,15 ------ 10,0 | -1,57 ------ 6,30 | 0,04 ------ 2,10 | -4,60 ------ 13,9 | -4,59 ------ 10,4 | -1,71 ------ 6,48 | 0,02 ------ 2,12 |
36 | -4,40 ------ 13,9 | -3,27 ------ 10,4 | -1,63 ------ 6,43 | 0,04 ------ 2,11 | -4,68 ------ 14,3 | -3,46 ------ 10,7 | -1,74 ------ 6,61 | 0,03 ------ 2,13 | -5,02 ------ 14,8 | -3,71 ------ 11,1 | -1,87 ------ 6,83 | 0,02 ------ 2,15 |
38 | -4,77 ------ 14,7 | -3,55 ------ 11,0 | -1,76 ------ 6,72 | 0,03 ------ 2,13 | -5,07 ------ 15,2 | -3,78 ------ 11,3 | -1,88 ------ 6,93 | 0,02 ------ 2,15 | -5,45 ------ 15,8 | -4,07 ------ 11,8 | -2,03 ------ 7,17 | 0,01 ------ 2,18 |
40 | -5,14 ------ 15,6 | -3,84 ------ 11,6 | -1,89 ------ 7,01 | 0,01 ------ 2,16 | -5,47 ------ 16,1 | -4,11 ------ 12,0 | -2,03 ------ 7,24 | 0,01 ------ 2,18 | -5,88 ------ 16,7 | -4,43 ------ 12,5 | -2,20 ------ 7,51 | -0,002 ------ 2,20 |
42 | -5,51 ------ 16,4 | -4,14 ------ 12,2 | -2,02 ------ 7,29 | 0,01 ------ 2,19 | -5,87 ------ 17,0 | -4,45 ------ 12,7 | -2,17 ------ 7,54 | 0,00 ------ 2,21 | -6,33 ------ 17,6 | -4,81 ------ 13,2 | -2,36 ------ 7,85 | -0,01 ------ 2,23 |
44 | -5,89 ------ 17,3 | -4,44 ------ 12,9 | -2,15 ------ 7,57 | 0,00 ------ 2,22 | -6,28 ------ 17,9 | -4,79 ------ 13,4 | -2,32 ------ 7,85 | -0,01 ------ 2,24 | -6,78 ------ 18,6 | -5,20 ------ 14,0 | -2,53 ------ 8,20 | -0,02 ------ 2,26 |
46 | -6,28 ------ 18,1 | -4,75 ------ 13,5 | -2,27 ------ 7,84 | -0,01 ------ 2,25 | -6,70 ------ 18,8 | -5,14 ------ 14,1 | -2,46 ------ 8,15 | -0,02 ------ 2,27 | -7,24 ------ 19,6 | -5,60 ------ 14,7 | -2,70 ------ 8,54 | -0,03 ------ 2,29 |
48 | -6,67 ------ 19,0 | -5,06 ------ 14,1 | - 2,40 ------ 8,11 | -0,02 ------ 2,27 | -7,13 ------ 19,7 | -5,49 ------ 14,8 | -2,61 ------ 8,45 | -0,03 ------ 2,29 | -7,71 ------ 20,5 | -6,01 ------ 15,5 | -2,87 ------ 8,88 | -0,04 ------ 2,32 |
Таблица 14
| Параметры  (над чертой) и  (под чертой) при  и  |
| | |
|
0,1 | 0,2 | 0,3 | 0,4 | 0,1 | 0,2 | 0,3 | 0,4 | 0,1 | 0,2 | 0,3 | 0,4 |
0 | 1,40 ------ -0,80 | 1,40 ------ -0,80 | 1,40 ------ -0,80 | 1,40 ------ -0,80 | 1,40 ------ -0,79 | 1,40 ------ -0,79 | 1,40 ------ -0,70 | 1,40 ------ -0,79 | 1,39 ------ -0,78 | 1,39 ------ -0,78 | 1,39 ------ -0,78 | 1,39 ------ -0,78 |
2 | 1,32 ------ 0,17 | 1,27 ------ 0,10 | 1,25 ------ -0,02 | 1,26 ------ -0,15 | 1,32 ------ 0,17 | 1,27 ------ 0,10 | 1,25 ------ -0,02 | 1,26 ------ -0,15 | 1,32 ------ 0,18 | 1,27 ------ 0,10 | 1,25 ------ -0,02 | 1,27 ------ -0,75 |
5 | 1,24 ------ 1,15 | 1,14 ------ 0,99 | 1,11 ------ 0,77 | 1,11 ------ 0,50 | 1,23 ------ 1,16 | 1,14 ------ 1,00 | 1,10 ------ 0,78 | 1,11 ------ 0,50 | 1,23 ------ 1,17 | 1,13 ------ 1,01 | 1,10 ------ 0,78 | 1,11 ------ 0,51 |
6 | 1,16 ------ 2,12 | 1,02 ------ 1,89 | 0,96 ------ 1,55 | 0,97 ------ 1,15 | 1,15 ------ 2,14 | 1,01 ------ 1,91 | 0,95 ------ 1,57 | 0,96 ------ 1,16 | 1,14 ------ 2,16 | 1,00 ------ 1,93 | 0,94 ------ 1,58 | 0,96 ------ 1,17 |
8 | 1,07 ------ 3,09 | 0,89 ------ 2,79 | 0,81 ------ 2,34 | 0,823 ------ 1,79 | 1,06 ------ 3,12 | 0,87 ------ 2,81 | 0,80 ------ 2,36 | 0,82 ------ 1,81 | 1,04 ------ 3,15 | 0,86 ------ 2,84 | 0,79 ------ 2,38 | 0,81 ------ 1,83 |
10 | 0,99 ------ 4,06 | 0,76 ------ 3,68 | 0,66 ------ 3,12 | 0,68 ------ 2,44 | 0,97 ------ 4,10 | 0,74 ------ 3,72 | 0,65 ------ 3,15 | 0,67 ------ 2,46 | 0,95 ------ 4,14 | 0,72 ------ 3,76 | 0,63 ------ 3,18 | 0,66 ------ 2,49 |
12 | 0,91 ------ 5,04 | 0,63 ------ 4,58 | 0,52 ------ 3,91 | 0,53 ------ 3,09 | 0,89 ------ 5,08 | 0,61 ------ 4,62 | 0,50 ------ 3,94 | 0,52 ------ 3,12 | 0,86 ------ 5,13 | 0,59 ------ 4,67 | 0,48 ------ 3,98 | 0,50 ------ 3,15 |
14 | 0,83 ------ 6,01 | 0,50 ------ 4,58 | 0,37 ------ 4,69 | 0,39 ------ 3,72 | 0,80 ------ 6,06 | 0,48 ------ 5,53 | 0,35 ------ 4,74 | 0,38 ------ 3,75 | 0,77 ------ 6,13 | 0,45 ------ 5,58 | 0,32 ------ 4,78 | 0,36 ------ 3,78 |
16 | 0,75 ------ 6,98 | 0,37 ------ 6,37 | 0,22 ------ 5,48 | 0,25 ------ 4,36 | 0,72 ------ 7,05 | 0,34 ------ 6,43 | 0,20 ------ 5,53 | 0,23 ------ 4,41 | 0,68 ------ 7,12 | 0,31 ------ 6,50 | 0,17 ------ 5,58 | 0,21 ------ 4,46 |
18 | 0,67 ------ 7,96 | 0,24 ------ 7,27 | 0,07 ------ 6,26 | 0,11 ------ 4,96 | 0,63 ------ 8,03 | 0,21 ------ 7,34 | 0,05 ------ 6,32 | 0,10 ------ 5,00 | 0,59 ------ 8,11 | 0,17 ------ 7,41 | 0,01 ------ 6,38 | 0,06 ------ 5,07 |
20 | 0,59 ------ 8,93 | 0,12 ------ 8,17 | -0,08 ------ 7,05 | -0,03 ------ 5,56 | 0,55 ------ 9,01 | 0,08 ------ 8,24 | -0,11 ------ 7,08 | -0,03 ------ 5,63 | 0,50 ------ 9,10 | 0,05 ------ 8,33 | -0,15 ------ 7,19 | -0,07 ------ 5,71 |
22 | 0,50 ------ 9,90 | -0,01 ------ 9,07 | -0,23 ------ 7,84 | -0,131 ------ 6,15 | 0,46 ------ 9,99 | -0,05 ------ 9,15 | -0,28 ------ 7,93 | -0,17 ------ 6,24 | 0,41 ------ 10,1 | -0,10 ------ 9,24 | -0,32 ------ 8,02 | -0,22 ------ 6,34 |
24 | 0,42 ------ 10,9 | -0,15 ------ 9,97 | -0,40 ------ 8,65 | -0,27 ------ 6,74 | 0,37 ------ 11,0 | -0,19 ------ 10,1 | -0,45 ------ 8,75 | -0,32 ------ 6,85 | 0,32 ------ 11,1 | -0,25 ------ 10,2 | -0,51 ------ 8,87 | -0,37 ------ 6,98 |
26 | 0,34 ------ 11,8 | -0,28 ------ 10,9 | -0,57 ------ 9,47 | -0,41 ------ 7,34 | 0,29 ------ 12,0 | -0,34 ------ 11,0 | -0,63 ------ 9,59 | -0,47 ------ 7,47 | 0,23 ------ 12,1 | -0,40 ------ 11,1 | -0,71 ------ 9,73 | -0,54 ------ 7,63 |
28 | 0,26 ------ 12,8 | -0,43 ------ 11,8 | -0,75 ------ 10,3 | -0,55 ------ 7,94 | 0,20 ------ 12,9 | -0,49 ------ 11,9 | -0,83 ------ 10,4 | -0,63 ------ 8,10 | 0,14 ------ 13,1 | -0,56 ------ 12,1 | -0,91 ------ 10,6 | -0,71 ------ 8,29 |
30 | 0,18 ------ 13,8 | -0,58 ------ 12,7 | -0,94 ------ 11,1 | -0,70 ------ 8,54 | 0,12 ------ 13,9 | -0,65 ------ 12,9 | -1,04 ------ 11,3 | -0,79 ------ 8,73 | 0,04 ------ 14,1 | -0,73 ------ 13,0 | -1,12 ------ 11,5 | -0,90 ------ 8,96 |
32 | 0,10 ------ 14,8 | -0,73 ------ 13,7 | -1,13 ------ 12,0 | -0,86 ------ 9,15 | 0,03 ------ 14,9 | -0,81 ------ 13,8 | -1,23 ------ 12,2 | -0,96 ------ 9,38 | -0,05 ------ 15,1 | -0,90 ------ 14,0 | -1,34 ------ 12,4 | -1,09 ------ 9,64 |
34 | 0,01 ------ 15,8 | -0,89 ------ 14,6 | -1,33 ------ 12,8 | -1,02 ------ 9,76 | -0,06 ------ 15,9 | -0,97 ------ 14,7 | -1,44 ------ 13,0 | -1,14 ------ 10,0 | -0,15 ------ 16,1 | -1,07 ------ 15,0 | -1,57 ------ 13,3 | -1,29 ------ 10,3 |
36 | -0,07 ------ 16,7 | -1,05 ------ 15,5 | -1,53 ------ 13,7 | -1,18 ------ 10,4 | -0,15 ------ 16,9 | -1,14 ------ 15,7 | -1,66 ------ 13,9 | -1,32 ------ 10,7 | -0,24 ------ 17,0 | -1,25 ------ 15,9 | -1,81 ------ 14,2 | -1,49 ------ 11,0 |
38 | -0,16 ------ 17,7 | -1,21 ------ 16,5 | -1,74 ------ 14,5 | -1,35 ------ 11,0 | -0,24 ------ 17,9 | -1,31 ------ 16,7 | -1,89 ------ 14,8 | -1,51 ------ 11,3 | -0,33 ------ 18,0 | -1,43 ------ 16,9 | -2,05 ------ 15,1 | -1,71 ------ 18,8 |
40 | -0,24 ------ 18,7 | -1,38 ------ 17,4 | -1,95 ------ 15,4 | -1,52 ------ 11,6 | -0,33 ------ 18,8 | -1,49 ------ 17,7 | -2,11 ------ 15,7 | -1,71 ------ 12,0 | -0,43 ------ 19,0 | -1,62 ------ 17,9 | -2,30 ------ 16 | -1,93 ------ 12,5 |
42 | -0,33 ------ 19,7 | -1,55 ------ 18,4 | -2,16 ------ 16,3 | -1,70 ------ 12,2 | -0,42 ------ 19,8 | -1,67 ------ 18,7 | -2,35 ------ 16,6 | -1,91 ------ 12,7 | -0,53 ------ 20,0 | -1,81 ------ 18,9 | -2,55 ------ 17 | -2,16 ------ 13,2 |
44 | -0,41 ------ 20,6 | -1,72 ------ 19,4 | -2,38 ------ 17,1 | -1,87 ------ 12,9 | -0,51 ------ 20,8 | -1,85 ------ 19,6 | -2,58 ------ 17,5 | -2,11 ------ 13,4 | -0,63 ------ 21,1 | -2,00 ------ 19,9 | -2,81 ------ 17,9 | -2,40 ------ 14 |
46 | -0,50 ------ 21,6 | -1,89 ------ 20,3 | -2,60 ------ 18,0 | -2,05 ------ 13,5 | -0,60 ------ 21,8 | -2,03 ------ 20,6 | -2,83 ------ 18,4 | -2,32 ------ 14,1 | -0,73 ------ 22,1 | -2,19 ------ 20,9 | -3,07 ------ 18,8 | -2,65 ------ 14,7 |
48 | -0,59 ------ 22,6 | -2,06 ------ 21,3 | -2,83 ------ 18,9 | -2,24 ------ 14,1 | -0,70 ------ 22,8 | -2,21 ------ 21,6 | -3,07 ------ 19,4 | -2,54 ------ 14,8 | -0,83 ------ 23,1 | -2,38 ------ 21,9 | -3,33 ------ 19,8 | -2,90 ------ 15,5 |
Таблица 15
| Параметры  (над чертой) и  (под чертой) при  и  |
| | |
|
0,05 | 0,15 | 0,25 | 0,35 | 0,05 | 0,15 | 0,25 | 0,35 | 0,05 | 0,15 | 0,25 | 0,35 |
0 | 1,8 ------ -1,6 | 1,8 ------ -1,6 | 1,8 ------ -1,6 | 1,8 ------ -1,6 | 1,79 ------ -1,58 | 1,79 ------ -1,58 | 1,79 ------ -1,58 | 1,79 ------ -1,58 | 1,78 ------ -1,57 | 1,78 ------ -1,57 | 1,78 ------ -1,57 | 1,78 ------ -1,57 |
2 | 1,75 ------ -0,61 | 1,69 ------ -0,66 | 1,66 ------ -0,76 | 1,65 ------ -0,88 | 1,75 ------ -0,60 | 1,69 ------ -0,65 | 1,66 ------ -0,75 | 1,65 ------ -0,87 | 1,75 ------ -0,60 | 1,69 ------ -0,65 | 1,65 ------ -0,741 | 1,64 ------ -0,86 |
4 | 1,71 ------ 0,39 | 1,58 ------ 0,28 | 1,52 ------ 0,09 | 1,50 ------ -0,16 | 1,71 ------ 0,39 | 1,58 ------ 0,28 | 1,52 ------ 0,09 | 1,50 ------ -0,16 | 2,71 ------ 0,39 | 1,58 ------ 0,28 | 1,52 ------ 0,09 | 1,50 ------ -0,16 |
6 | 1,66 ------ 1,38 | 1,47 ------ 1,22 | 1,38 ------ 0,93 | 1,36 ------ 0,55 | 1,66 ------ 1,39 | 1,47 ------ 1,23 | 1,37 ------ 0,94 | 1,35 ------ 0,56 | 1,65 ------ 1,41 | 1,46 ------ 1,24 | 1,37 ------ 0,95 | 1,35 ------ 0,56 |
8 | 1,62 ------ 2,37 | 1,37 ------ 2,16 | 1,24 ------ 1,78 | 1,22 ------ 1,25 | 1,61 ------ 2,39 | 1,36 ------ 2,18 | 1,23 ------ 1,79 | 1,21 ------ 1,27 | 1,60 ------ 2,42 | 1,34 ------ 2,20 | 1,22 ------ 1,81 | 1,20 ------ 1,28 |
10 | 1,57 ------ 3,37 | 1,26 ------ 3,10 | 1,10 ------ 2,62 | 1,08 ------ 1,94 | 1,56 ------ 3,4 | 1,24 ------ 3,13 | 1,08 ------ 2,64 | 1,07 ------ 1,97 | 1,54 ------ 3,43 | 1,23 ------ 3,16 | 1,07 ------ 2,67 | 1,05 ------ 1,99 |
12 | 1,53 ------ 4,36 | 1,15 ------ 4,04 | 0,96 ------ 3,46 | 0,94 ------ 2,61 | 1,51 ------ 4,40 | 1,13 ------ 4,08 | 0,94 ------ 3,49 | 0,93 ------ 2,66 | 1,48 ------ 4,45 | 1,11 ------ 4,12 | 0,92 ------ 3,53 | 0,91 ------ 2,69 |
14 | 1,48 ------ 5,35 | 1,04 ------ 4,98 | 0,82 ------ 4,29 | 0,81 ------ 3,27 | 1,46 ------ 5,41 | 1,02 ------ 5,03 | 0,80 ------ 4,33 | 0,79 ------ 3,32 | 1,43 ------ 5,46 | 0,99 ------ 5,08 | 0,77 ------ 4,38 | 0,77 ------ 3,37 |
16 | 1,44 ------ 6,35 | 0,93 ------ 5,92 | 0,68 ------ 5,12 | 0,68 ------ 3,91 | 1,41 ------ 6,41 | 0,90 ------ 5,97 | 0,66 ------ 5,17 | 0,66 ------ 3,97 | 1,37 ------ 6,47 | 0,87 ------ 6,03 | 0,62 ------ 5,23 | 0,64 ------ 4,03 |
18 | 1,39 ------ 7,34 | 0,82 ------ 6,86 | 0,55 ------ 5,94 | 0,57 ------ 4,54 | 1,36 ------ 7,41 | 0,79 ------ 6,92 | 0,52 ------ 6,01 | 0,54 ------ 4,61 | 1,32 ------ 7,48 | 0,76 ------ 6,99 | 0,48 ------ 6,08 | 0,51 ------ 4,69 |
20 | 1,34 ------ 8,34 | 0,71 ------ 7,80 | 0,42 ------ 6,75 | 0,46 ------ 5,16 | 1,31 ------ 8,41 | 0,68 ------ 7,87 | 0,38 ------ 6,84 | 0,42 ------ 5,24 | 1,26 ------ 8,5 | 0,64 ------ 7,95 | 0,34 ------ 6,93 | 0,38 ------ 5,33 |
22 | 1,30 ------ 9,33 | 0,60 ------ 8,74 | 0,290 ------ 7,56 | 0,34 ------ 5,76 | 1,26 ------ 9,41 | 0,56 ------ 8,82 | 0,25 ------ 7,66 | 0,30 ------ 5,86 | 1,21 ------ 9,51 | 0,52 ------ 8,91 | 0,20 ------ 7,76 | 0,25 ------ 5,97 |
24 | 1,25 ------ 10,3 | 0,50 ------ 9,68 | 0,16 ------ 8,36 | 0,23 ------ 6,35 | 1,21 ------ 10,4 | 0,45 ------ 9,77 | 0,11 ------ 8,48 | 0,18 ------ 6,46 | 1,15 ------ 10,5 | 0,40 ------ 9,87 | 0,06 ------ 8,60 | 0,13 ------ 6,60 |
26 | 1,21 ------ 11,3 | 0,39 ------ 10,6 | 0,04 ------ 9,16 | 0,12 ------ 6,92 | 1,16 ------ 11,4 | 0,34 ------ 10,7 | -0,03 ------ 9,30 | 0,07 ------ 7,05 | 1,10 ------ 11,5 | 0,28 ------ 10,8 | -0,09 ------ 9,43 | 0,01 ------ 7,21 |
28 | 1,16 ------ 12,3 | 0,28 ------ 11,5 | -0,09 ------ 9,96 | 0,02 ------ 7,48 | 1,11 ------ 12,4 | 0,23 ------ 11,6 | -0,16 ------ 10,1 | -0,04 ------ 7,64 | 1,04 ------ 12,5 | 0,17 ------ 11,8 | -0,23 ------ 10,3 | -0,12 ------ 7,83 |
30 | 1,12 ------ 13,3 | 0,17 ------ 12,5 | -0,12 ------ 10,8 | -0,09 ------ 8,04 | 1,06 ------ 13,4 | 0,11 ------ 12,6 | -0,30 ------ 10,9 | -0,15 ------ 8,23 | 0,99 ------ 13,6 | 0,05 ------ 12,7 | -0,38 ------ 11,1 | -0,24 ------ 8,45 |
32 | 1,07 ------ 14,3 | 0,06 ------ 13,4 | -0,36 ------ 11,6 | -0,19 ------ 8,59 | 1,01 ------ 14,4 | -0,01 ------ 13,6 | -0,45 ------ 11,8 | -0,27 ------ 8,81 | 0,93 ------ 14,6 | -0,07 ------ 13,7 | -0,56 ------ 12,0 | -0,37 ------ 9,07 |
34 | 1,02 ------ 15,3 | -0,04 ------ 14,4 | -0,51 ------ 12,4 | -0,29 ------ 9,15 | 0,96 ------ 15,4 | -0,12 ------ 14,5 | -0,61 ------ 12,6 | -0,39 ------ 9,41 | 0,87 ------ 15,6 | -0,19 ------ 14,7 | -0,73 ------ 12,9 | -0,51 ------ 9,71 |
36 | 0,98 ------ 16,3 | -0,15 ------ 15,3 | -0,65 ------ 13,2 | -0,41 ------ 9,71 | 0,91 ------ 16,4 | -0,23 ------ 15,5 | -0,77 ------ 13,5 | -0,52 ------ 10,0 | 0,82 ------ 16,6 | -0,32 ------ 15,6 | -0,91 ------ 13,8 | -0,16 ------ 10,4 |
38 | 0,93 ------ 17,3 | -0,26 ------ 16,2 | -0,81 ------ 14,0 | -0,52 ------ 10,3 | 0,86 ------ 17,4 | -0,35 ------ 16,4 | -0,94 ------ 14,4 | -0,65 ------ 10,6 | 0,76 ------ 17,6 | -0,45 ------ 16,6 | -1,09 ------ 14,7 | -0,81 ------ 11,0 |
40 | 0,89 ------ 18,3 | -0,38 ------ 17,2 | -0,96 ------ 14,9 | -0,64 ------ 10,8 | 0,81 ------ 18,4 | -0,48 ------ 17,4 | -1,11 ------ 15,3 | -0,79 ------ 11,2 | 0,71 ------ 18,6 | -0,58 ------ 17,6 | -1,28 ------ 15,6 | -0,97 ------ 11,7 |
42 | 0,85 ------ 19,3 | -0,50 ------ 18,1 | -1,12 ------ 15,7 | -0,76 ------ 11,4 | 0,76 ------ 19,4 | -0,60 ------ 18,4 | -1,29 ------ 16,1 | -0,93 ------ 11,8 | 0,66 ------ 19,6 | -0,71 ------ 18,6 | -1,48 ------ 16,5 | -1,14 ------ 12,4 |
44 | 0,80 ------ 20,3 | -0,62 ------ 19,1 | -1,28 ------ 16,6 | -0,88 ------ 12,0 | 0,71 ------ 20,4 | -0,73 ------ 19,3 | -1,47 ------ 17,0 | -1,08 ------ 12,5 | 0,60 ------ 20,7 | -0,85 ------ 19,5 | -1,68 ------ 17,5 | -1,32 ------ 13,1 |
46 | 0,75 ------ 21,3 | -0,74 ------ 20,0 | -1,45 ------ 17,4 | -1,01 ------ 12,5 | 0,66 ------ 21,4 | -0,86 ------ 20,3 | -1,66 ------ 17,9 | -1,23 ------ 13,1 | 0,55 ------ 21,7 | -0,99 ------ 20,5 | -1,89 ------ 18,4 | -1,50 ------ 13,8 |
48 | 0,71 ------ 22,2 | -0,86 ------ 21,0 | -1,62 ------ 18,3 | -1,14 ------ 13,1 | 0,60 ------ 22,5 | -0,99 ------ 21,3 | -1,85 ------ 18,8 | -1,38 ------ 13,7 | 0,49 ------ 22,7 | -1,13 ------ 21,5 | -2,10 ------ 19,3 | -1,68 ------ 14,5 |
ПРИМЕРЫ РАСЧЕТА И ПРОЕКТИРОВАНИЯ СООРУЖЕНИЙ И ТРУБОПРОВОДОВ
Пример 1. Выполнить расчет перемещений и определить расчетные значения отпора грунта под подошвой фундамента кирпичной дымовой трубы при воздействиях ступенчато оседающего основания.
Исходные данные: ожидаемая высота уступа
h = 0,09 м, расположение уступа по отношению к сооружению не известно; диаметр подошвы фундамента 8,5 м; высота массива грунта между подошвой фундамента и коренными породами
d = 0,866 м; его физико-механические характеристики:
E = 34 МПа,

,
cн = 80 кПа,

,

; коэффициент жесткости основания
C = 46 770 кН/м
3; нормативные нагрузки на уровне подошвы фундамента
Nн = 7188,6 кН,
Wн = 100,7 кН; расчетные нагрузки
Nр = 7907,5 кН;
Wр = 141 кН; координата приложения равнодействующей вертикальных нагрузок
hN = 18,772 м; координата приложения равнодействующей ветровой нагрузки
hw = 25,175 м.
Решение. 1
. Заменяем круглую форму подошвы фундамента равновеликой квадратной (см.
п. 5.25). Сторона квадрата будет равна

.
2. Определяем ширину зоны сосредоточенных деформаций по
формуле (31)
lз = 2·0,866/tg(45° + 14°30') = 1,02 м.
Так как значение
lз = 1,02 < 0,15·7,531 = 1,13 м, то принимаем, что в основании дымовой трубы образуется уступ, т.е.

.
3. Производим расчет крена дымовой трубы, вызванный образованием уступа в ее основании.
Используя полученные значения

,

,

и

, определяем по графикам
прил. 3 значение

, при котором крен сооружения будет максимальным (см.
п. 5.26).
Так как полученные значения

и

не совпадают с приведенными на графиках (
рис. 1 -
3 прил. 3), величину

определяем по интерполяции, используя данные, приведенные в
табл. 1 прил. 5.
| | | |
39,85 | 0,0 | 0,0005 | 0,535 |
0,005 | 0,580 |
0,01 | 0,605 |
0,4 | 0,0005 | 0,595 |
0,005 | 0,610 |
0,01 | 0,615 |
0,8 | 0,0005 | 0,675 |
0,005 | 0,005 |
0,01 | 0,725 |
По этим данным строим графики зависимости

при

; 0,4 и 0,8 (
рис. 1 прил. 5). Используя приведенные на
рис. 1 значения

(при

и всех значениях

), строим график зависимости

при

(
рис. 2 прил. 5). На рисунке видно, что при

,

и

крен сооружения достигает максимальной величины при

.
Рис. 1. Графики зависимости
от 
1 - при

;
2 - при

;
3 - при

Рис. 2. График зависимости
от
при 
Используя полученные значения

,

,

,

и

определяем величины

и

.
Так как полученные значения

и

не совпадают с приведенными в
табл. 1 -
3 прил. 4, то необходимо с помощью этих таблиц подготовить исходные данные, приведенные в
табл. 2 прил. 5
| | | | |
39,85 | 0,0 | 0,0005 | -7,1 | 23,1 |
0,005 | -33,3 | 75,5 |
0,01 | -39,9 | 85,9 |
0,4 | 0,0005 | -34,3 | 77,3 |
0,005 | -39,5 | 85,3 |
0,01 | -46,4 | 95,1 |
0,8 | 0,0005 | -39,7 | 85,6 |
0,005 | -45,2 | 93,5 |
0,01 | -54,1 | 105,0 |
По этим данным строим графики зависимости

и

при

; 0,4 и 0,8
(рис. 3). Используя приведенные на
рис. 3 прил. 5 значения

и

(при

и всех значениях

), строим графики зависимости

и

при

(
рис. 4 прил. 5). Из
рис. 4 прил. 5 видно, что при

;

;

и

имеем

;

. Так как

,

, то сооружение будет опираться на ступенчатое основание, схема 5.
1 - при

;
2 - при

;
3 - при

Используя полученные значения

,

и

, определяем расчетное значение отпора грунта в месте образования уступа по
формуле (33):
Так как

, то полученное значение

можно использовать при определении крена сооружения (см.
5.27).
4. Производим расчет отпора грунта под подошвой фундаментной плиты.
Используя полученные значения

,

,

и

, определяем с помощью графиков
прил. 3 значение

, при котором значения изгибающих моментов и поперечных сил будут максимальными.
Так как полученные значения

и

не совпадают с приведенными на графиках (
рис. 1 -
3 прил. 3), величину

определяем по интерполяции, используя данные, аналогичные приведенным в
табл. 1 прил. 5. По этим данным строим графики зависимости

при

;

; 0,4; 0,8. Используя полученные значения

(при

и всех значениях

), строим график зависимости

при

, из которого видно, что при

,

и

значения изгибающих моментов и поперечных сил, действующих на фундаментную плиту, будут максимальными при

.
Используя полученные значения

,

,

,

и

, определяем величины

и

.
Так как полученные значения

и

не совпадают с приведенными в
табл. 1 -
3 прил. 4, то необходимо с помощью этих таблиц подготовить исходные данные, аналогичные приведенным в
табл. 2.
По этим данным строим графики зависимости

и

при

; 0,4 и 0,8. Используя полученные значения

и

(при

и всех значениях

), строим графики зависимости

и

при

, из которых видно, что при

,

;

и

имеем

;

.
Так как

и

, то сооружение будет опираться на ступенчатое основание, схема 3.
Используя полученные значения

,

и

, определяем расчетное значение отпора грунта в месте образования уступа по
формуле (33):
Так как

, то полученные значения

и

можно использовать при построении эпюры отпора грунта (
рис. 5 прил. 5).
Рис. 5. Эпюра отпора грунта основания при образовании уступа
Используя значение

и условие

, строим эпюру отпора грунта (
рис. 1,
5 прил. 5).
5. При проектировании дымовой трубы следует предусмотреть возможность выправления ее крена (см.
5.43), а фундамент должен быть рассчитан с учетом полученных значений отпора грунта.
Пример 2. Выполнить расчет перемещений и определить расчетные значения отпора грунта под подошвой фундамента кирпичной дымовой трубы при воздействиях ступенчато оседающего основания.
Исходные данные: ожидаемая высота уступа
h = 0,20 м, расположение уступа по отношению к сооружению не известно; диаметр подошвы фундамента 8,5 м, высота массива грунта между подошвой фундамента и коренными породами
d = 4,639 м, его физико-механические характеристики:
E = 22 МПа,

,
cн = 23 кПа,

,

; коэффициент жесткости основания
C = 7237 кН/м
3. Остальные данные приведены в
примере 1.
Решение. 1. Заменяем круглую форму подошвы фундамента равновеликой квадратной (см.
п. 5.25). Сторона квадрата будет равна
lф =
bф = 7,531 м.
2. Определяем ширину зоны сосредоточенных деформаций по
формуле (31):
lз = 2·4·639/tg(45° + 12°) = 6,025 м.
Так как значение
lз = 6,025 м > 0,15·7,531 = 1,13 м, принимаем, что в основании сооружения образуется зона сосредоточенных деформаций шириной 6,025 м, т.е.

.
3. Производим расчет крена дымовой трубы, вызванный образованием зоны сосредоточенных деформаций в ее основании.
Используя полученные значения

,

,

и

, определяем величину

, при которой крен сооружения

будет максимальным (см.
п. 5.26). На графиках (
рис. 6 -
8 прил. 3) видно, что при полученных значениях

,

,

и

можно принять, что

и

.
Используя полученные значения

,

,

и

, определяем величины

и

.
Так как при

сооружение будет опираться на основание, схема 6 (
рис. 6 -
8 прил. 3), то значения

и

определяем, решая систему
уравнений (65):
b = 2 + 13,7(2 - 0,2 - 1) = 12,96;
c = 3 + 0,2095 - 13,7(0,04 + 0,2 + 1 - 3) = 27,32;
2c - 3b = 2·27,32 - 3·12,96 = 15,763;
Решая уравнение третьей степени, получим:
2q = -2·27,323/27·12,963 + 27,32·15,763/3·12,96 -
- 1,852/12,96 = 0,0178;
q = 0,0089;
3p = (3·12,96·15,763 - 27,32)/3·12,96 = -0,265;
p = -0,0884; q2 + p3 < 0;
y1 = -2·0,297·0,9176 = -0,545;
Используя полученные значения

,

и

, определяем расчетное значение отпора грунта в месте образования зоны сосредоточенных деформаций по
формуле (33):
Так как

, полученное значение

можно использовать при определении крена сооружения (см.
п. 5.27).
4. Производим расчет отпора грунта под подошвой фундаментной плиты.
Используя полученные значения

,

,

и

, определяем величину

, при которой изгибающие моменты и поперечные силы, действующие на фундаментную плиту, будут максимальными. На графиках (
рис. 6 -
8 прил. 3) видно, что при полученных значениях

,

,

и

можно принять

.
Используя полученные значения

,

,

и

определяем величины

и

.
При полученных значениях

,

,

,

и

сооружение будет опираться на основание, схема 3 (
рис. 6 -
8 прил. 3). Следовательно, значения

и

определяем решением системы
уравнений (62):
a = 12,46·1,25 = 15,575;
b = 3 + 0,293 - 6·0,65 = -0,607;
c = 0,0383·15,575 = 0,596;
x4 + 0,00555x3 + 0,390x - 0,0169 = 0;
8y13 + 0,132y1 - 0,001512 = 0; y1 = 0,00114;
x2 + 0,154x - 0,118 = 0; x = 0,275;
y = -2/15,575·0,275 = -0,467;
Используя полученные значения

,

и

, определяем расчетное значение отпора грунта в месте образования зоны сосредоточенных деформаций по
формуле (33):
Так как

, полученные значения

и

можно использовать при построении эпюры отпора грунта (см.
п. 5.27).
Используя значения

,

,

,

и

, строим эпюру отпора грунта (
рис. 6 прил. 5):
x1 = 7,531·0,925 = 6,963 м;
x2 = 7,531·0,183 = 1,373 м;
xу1 = 7,531·0,65 = 4,895.
Рис. 6. Эпюра отпора грунта основания
при образовании зоны сосредоточенных деформаций
5. При проектировании дымовой трубы следует предусмотреть возможность выправления ее крена (см.
п. 5.43), а фундамент должен быть рассчитан с учетом полученных значений интенсивности отпора грунта основания.
Пример 3. Определить перемещения конструкций и дополнительные усилия в опорах автодорожного путепровода.
Исходные данные: ожидаемые деформации земной поверхности на участке строительства: относительные горизонтальные деформации растяжения

, наклон
i = 9·10
-3, радиус кривизны выпуклости
R = 4 км; образование уступов на участке не ожидается (
h = 0); геометрическая схема путепровода показана на
рис. 7 прил. 5
Рис. 7. Геометрическая схема путепровода
(1 - катковая опорная часть; 2 - шарнирно-неподвижная опорная часть); габарит путепровода 8 м; Pп1 = Pн2 = Pп4 = Pн5 = 1400 кН; Pп2 = Pн3 = Pп3 = Pн4 = 1800 кН; Q1 = Q5 = 600 кН; Q2 = Q3 = Q4 = 700 кН; путепровод проектируется на продольном уклоне 25%.
Решение. 1
. Определяем расчетные вертикальные перемещения фундаментов опор по
формуле (172):
для опор N 1 и 5
для опор N 2 и 4
Максимальная разность оседаний смежных опор будет равна 0,14 м, что при длине пролета
l = 17,725 м вызовет дополнительный уклон

. При этом суммарный уклон

не превысит величину

, допускаемую главой СНиП по проектированию автомобильных дорог. Следовательно, применения устройств для рихтовки пролетного строения в продольном направлении не требуется.
2. Определяем расчетные горизонтальные перемещения фундаментов опор по
формуле (173):
для опор N 1 и 5
для опор N 2 и 4
3. Определяем расчетные углы поворота фундаментов опор (нулевое приближение) по
формуле (174):
для опор N 1 и 5
для опор N 2 и 4
4. Определяем расчетный наклон путепровода в поперечном направлении:
Значение

не превышает допускаемую величину поперечного уклона путепровода

, регламентируемую нормами, следовательно, применения устройств для рихтовки пролетного строения в поперечном направлении не требуется.
5. Определяем ширину деформационного шва в пролетных строениях путепровода по
формуле (176):
на опоре 1
aп = 1,2·0,85·8·10-3·17,725 +
+ 1,4·0,7·17,725·8/4000 = 0,18 м;
на опоре 2
aп = 1,2·0,85·8·10-3·24,05 +
+ 1,4·0,7·24,05·8/4000 = 0,24 м;
на опоре 3
aп = 1,2·0,85·8·10-3·24,05 +
+ 1,4·0,7·24,05·8/4000 = 0,24 м;
на опоре 4
aп = 1,2·0,85·8·10-3·17,725 +
+ 1,4·0,7·17,725·8/4000 = 0,18 м.
Конструкции опорных частей и заполнения деформационных швов устанавливают по найденным величинам перемещений опор и ширины деформационных швов.
6. Определяем дополнительные моменты, действующие в плоскости оси путепровода, в опорах по обрезу фундаментов по
формуле (177):
Mx1 = 1400{0,5[(-0,2) - (-0,34) + 8,0(-5,89·10-3) -
- 7,5(-10,23·10-3)] + 6,1(-10,23·10-3)} +
+ 600·3,05(-10,23·10-3) = 13,5 кН·м;
Mx2 = 1800{0,5{0 - (0,2) + 8,0·0 - 8,0(-5,89· 10-3)] +
+ 6,6(-5,89·10-3)} + (1400·6,6 + 700·3,3)(-5,89·10-3) =
= 84,1 кН·м;
Mx3 = 1800(0,5(0,20 - 0 + 8,0·5,89·10-3 - 0] + 6,6·0 +
+ (1800·6,6 + 700·3,3)0 = 222,4 кН·м;
Mx4 = 1400[0,5(0,34 - 0,20 + 7,5·10,23·10-3 -
- 8,0·5,89·10-3) + 6,6·5,89·10-3] +
+ (1800·6,6 + 700·3,3)5,89·10-3 = 256,8 кН·м;
Mx5 = (1400·6,1 + 600·3,05)10,23·10-3 = 106,1 кН·м.
7. Определяем дополнительные моменты, действующие в плоскости, перпендикулярной к оси путепровода, в опорах по обрезу фундаментов по
формуле (178):
My,1,5 = (1400·6,1 + 600·3,05)10,8·10-3 = 112 кН·м;
My,2,4 = [(1400+1800)6,6 + 700·3,3]10,8·10-3 = 253 кН·м;
My,3 = [(1800 + 1800)6,6 + 700·3,3]10,8·10-3 = 282 кН·м.
При неизвестном направлении воздействия армирование сечений на дополнительные усилия должно быть симметричным.
Пример 4. Определить дополнительные усилия в конструкциях конвейерной галереи с промежуточными опорами, жестко связанными с фундаментами.
Исходные данные: ожидаемые деформации земной поверхности на участке строительства:

;
R = 12 км; геометрическая схема галереи с расчетными вертикальными нагрузками показана на
рис. 8 прил. 5; максимальное расчетное усилие в нижнем поясе фермы пролетного строения от эксплуатационных нагрузок 410 кН; расчетный изгибающий момент в опоре 5 от эксплуатационных нагрузок 145 кН·м; жесткость поперечного сечения опоры при изгибе в плоскости продольной оси галереи
B = 110 560 кПа·м
2; высота фундамента опоры 1,2 м; момент инерции подошвы фундамента
Iф = 1,33 м
4; коэффициент жесткости основания
C = 9060 кН/м
3.
Рис. 8. Схема конвейерной галереи с промежуточными опорами,
жестко связанными с фундаментами
Решение. 1
. Определяем расчетные горизонтальные перемещения и углы поворота фундаментов опор по
формулам (173) и
(184). Результаты приведены в
табл. 3 прил. 5.
Номера опор, j | 1 | 2 | 3 | 4 | 5 | 6 | 7 | 8 |
 , см | 5,3 | 9,8 | 14,4 | 18,9 | 19,7 | 15,1 | 10,6 | 6,0 |
 ·10 -3, рад | 1,3 | 2,5 | 3,7 | 4,8 | 5,0 | 3,9 | 3,0 | 1,5 |
2. Определяем дополнительные усилия в промежуточных опорах и нижних поясах пролетных строений.
Опора 1.
Определяем величину расчетного усилия, передаваемого пролетному строению опорой 1 при горизонтальных перемещениях фундамента этой опоры по
формуле (181):
Определяем величину расчетного усилия, передаваемого пролетному строению опорой 1 под влиянием кривизны земной поверхности по
формуле (183):
Tк,1 = 0,0013(1,2 + 2,9)/0,00147 = 3,6 кН.
Суммарное дополнительное усилие, передаваемое пролетному строению опорой 1 с учетом требований
п. 3.5 равно
Дополнительный изгибающий момент в опоре будет равен
Mс,1 = 36,3·2,9 = 105,3 кН·м.
Аналогично определяем дополнительные усилия в остальных опорах. Результаты приведены в
табл. 4 прил. 5.
Номера опор, j | 1 | 2 | 3 | 4 | 5 | 6 | 7 | 8 |
 , кН | 36,1 | 43,9 | 45,0 | 43,3 | 45,1 | 20,3 | 14,4 | 6,5 |
Tк, j, кН | 3,6 | 5,6 | 6,8 | 7,5 | 7,8 | 5,2 | 3,5 | 1,5 |
Tс, j, кН | 36,3 | 44,3 | 45,5 | 43,9 | 45,8 | 26,8 | 14,8 | 6,7 |
Mс, j, кН·м | 105 | 168 | 214 | 246 | 256 | 174 | 110 | 56 |
3. Определяем максимальное дополнительное усилие, которое должен воспринять нижний пояс пролетного строения, по
формуле (216)
Tс, А-1 = 36,3 + 44,3 + 45,5 + 43,9 = 170 кН.
4. Определяем максимальное расчетное усилие в нижнем поясе фермы пролетного строения
TА-1 = 410 + 170 = 580 кН.
5. Определяем максимальные дополнительные усилия в узлах опирания пролетного строения:
а) на анкерную опору
TА = 36,3 + 44,3 + 45,5 + 43,9 = 170 кН;
б) на промежуточную опору 1
T1 = 44,3 + 45,5 + 43,9 = 133,7 кН.
Конструкция узлов опирания должна обеспечить восприятие суммарных усилий от эксплуатационных воздействий и подработки.
6. Определяем расчетный изгибающий момент в опоре 5
M5 = 145 + 256 = 401 кН·м.
Аналогично определяются расчетные усилия в остальных опорах галереи.
Пример 5. Определить дополнительные усилия в конструкциях конвейерной галереи с промежуточными опорами, шарнирно связанными с фундаментами.
Исходные данные: ожидаемые деформации земной поверхности на участке строительства:

,
i = 7·10
-3,
R = 7 км; геометрическая схема галереи с расчетными вертикальными нагрузками показана на
рис. 9 прил. 5; максимальное расчетное усилие в нижнем поясе фермы пролетного строения от эксплуатационных нагрузок 410 кН; несущая способность нижнего пояса фермы, рассчитанной на эксплуатацию галереи в обычных условиях, [
N] = 447 кН
Рис. 9. Схема конвейерной галереи с промежуточными опорами,
шарнирно связанными с фундаментами
Решение. 1
. Определяем расчетные величины относительных смещений верхнего и нижнего узлов промежуточных опор по
формуле (214). Результаты приведены в
табл. 5 прил. 5.
Номера опор, j | 1 | 2 | 3 | 4 | 5 | 6 | 7 | 8 |
uj, см | 30,5 | 23,0 | 15,6 | 8,5 | 8,5 | 15,6 | 23,0 | 30,5 |
2. Определяем расчетные дополнительные продольные усилия в промежуточных опорах по
формуле (212):
Величинами дополнительных продольных усилий в остальных опорах можно пренебречь.
3. Определяем дополнительные горизонтальные усилия, передаваемые промежуточными опорами пролетному строению, по
формуле (213):
T1 = 850·0,305/3 = 86,4 кН.
Аналогично вычисляем: T2 = 82,6 кН; T3 = 45,5 кН; T4 = 20,9 кН; T5 = 15,9 кН; T6 = 26,0 кН; T7 = 34,6 кН; T8 = 25,4 кН.
4. Определяем максимальное дополнительное усилие, которое должны воспринять нижний пояс пролетного строения и анкерная опора, по
формуле (216):
Tс, А-4 = 86,4 + 82,6 + 45,5 + 20,9 = 235,4 кН.
5. Определяем максимальное расчетное усилие в нижнем поясе фермы пролетного строения:
TА-4 = 410 + 235,4/2 = 527,7 кН > 447 кН.
Несущая способность нижнего пояса фермы не обеспечена.
В качестве меры защиты принимаем разрезку галереи деформационным швом (
рис. 10 прил. 5).
Рис. 10. Схема конвейерной галереи с деформационным швом
6. Определяем ширину зазора деформационного шва в пролетном строении галереи по
формуле (176):
7. Определяем расчетные величины относительных смещений верхнего и нижнего узлов промежуточных опор для отсека с анкерной опорой
А' (
табл. 6 прил. 5).
Номера опор, j | 1 | 2 | 3 | 4 |
uj, см | 15,4 | 8,1 | 8,1 | 15,4 |
8. Определяем дополнительные горизонтальные усилия, передаваемые промежуточными опорами пролетному строению, по
формуле (213):
Аналогично вычисляем

;

и

.
9. Определяем максимальное дополнительное усилие, которое должны воспринять нижний пояс пролетного строения и анкерная опора, по
формуле (216):
10. Определяем максимальное расчетное усилие в нижнем поясе фермы:
TА-2 = 410 + 72,7/2 = 446,7 кН < 447 кН.
Несущая способность нижнего пояса фермы в период подработки обеспечена.
11. Расчетные усилия для узлов опирания пролетного строения будут равны:
на промежуточной опоре 2: T2 = 43,6 кН;
на анкерной опоре
А: 
.
12. Определяем дополнительный момент в уровне обреза фундамента анкерной опоры
А' по
формуле (218):
Mс = 72,7·4,8 = 349 кН·м.
Пример 6. Рассчитать площадь сечения арматуры Fа армированной подготовки железобетонного заглубленного сооружения.
Исходные данные: толщина подготовки

; длина
l = 29,8 м; бетон марки М 100 (
RрII = 0,72 МПа); арматура класса А-II (
Rа = 270 МПа;
Eа = 2,1·10
5 МПа;

); характеристики грунта основания -

;

;
cн = 25 кПа; расчетная горизонтальная деформация земной поверхности

; нормативная распределенная поверхностная нагрузка по подошве армированной подготовки
qн = 31,3 кПа.
Расчет проводится для 1 м ширины армированной подготовки в середине отсека.
Решение. 1
. Определяем величину предельного сдвига грунта и предельное значение касательной нагрузки с использованием
формул (13) и
(18):
a = 720·0,1·0,0247/39,6 = 0,0449 м2.
lб.т = 1,6·0,0449/2,244·10-3 = 5,66 м < 0,5l = 14,90 м,
поэтому принимаем расчетную схему по
рис. 35,
а.
n = 2,244·10-3/0,0247(14,90 - 0,28·0,0449/0,0247) = 1,307;
m = 1 - 200/2,244·10-3·2,1·105 = 0,576.
Значение корня

находим с точностью до четвертого знака,

.
lтр = 14,90 - 0,8·0,0449/0,0247 = 13,45 м;
проверим условия lу <= lтр.
Так как
lу = 15,14;
lтр = 13,45, то условие не выполнено - переходим к расчетной схеме по
рис. 35,
б.
lтр = ln 2,618/0,0852 = 11,3 м.
lбт = 14,90 - 11,3 = 3,6 м
0,0182 + 2,244·10-3·3,6/2 - 0,8·0,0449/3,6 = 1,221 > 0.
Принимаем
r = 1,6, находим новые значения:

,

;
lтр = 16,35 м. При проверке
условия (236) получаем
lтб = 14,90 - 16,35 = -1,45 м < 0,
поэтому принимаем новое значение
r = 1,55 с последующим перерасчетом:

;

;
lтр = 13,39 м;

;

;

;
lу = 13,39 + (0,0247 - 0,0215)/2,244·10
-3 = 14,82 м.
Так как
lтр = 13,39 <
lу = 14,82 м < 0,5
l = 14,9 м, переходим к расчетной схеме по
рис. 35,
в.
5. Определяем корень
уравнения (239), используя найденные значения
r, 
,

,
lтр,

. Получаем

.
Принимаем
r = 1,54, тогда:

;

;
lтр = 12,91 м;
lбт = 14,90 - 12,91 = 1,99 м, что больше предыдущего значения
lбт = 1,455 м;

;

.
С точностью до четвертого знака значение корня r = 1,5480.
Окончательно:
Fа = 39,6·1/0,0247·2,1·108·0,07562 =
= 1,336·10-3 м2 = 13,36 см2.
Принято

АII (
Fа = 14,07 см
2),
Конструирование армированной подготовки производится в соответствии с
п. 7.5.
Пример 7. Рассчитать площадь сечения металлических связей для восприятия нагрузок при воздействии горизонтальных деформаций растяжения в плоскости стены железобетонного заглубленного сооружения.
Расчет выполняется для первого метра высоты стены (отсчет от нижнего защемленного узла) в середине отсека.
Исходные данные: высота стены
Hс = 4,67 м; длина отсека сооружения по выбранному направлению
l = 30 м; металлические связи из арматуры класса
А-I (
Rа = 210 МПа;
Eа = 2,1·10
5 МПа); характеристики грунта обратной засыпки -

,
cн = 22 кПа; верхняя

и нижняя

ординаты нормального бокового давления грунта; расчетные горизонтальные деформации подрабатываемого основания (растяжения)

.
Решение. 1. Определяем осредненное активное давление грунта на рассматриваемом участке:
tб.пр = 62,1·tg 20° + 22 = 44,6 кПа.
m = 1 - 210/3,16·10-3·2,1·105 = 0,684.
S = 3,10·10-3·30·0,684/2·0,0293 = 1,106.
Методом попыток находим корень
t уравнения (288) -

.
7. По
формуле (281) определяем требуемую площадь сечения металлических связей:
F1 = 44,6·1/0,0293·0,06312·2,1·108 = 0,00182 м2 = 18,20 см2.
Конструирование связей производится в соответствии с
п. 7.17.
Пример 8. Определить эпюры нормальных нагрузок и изгибающих моментов в стене железобетонного заглубленного сооружения.
Исходные данные: резервуар вместимостью
V = 3000 м
3 (
L1 x
L2 = 30 x 24 м);
Hс = 4,8 м; сечения элементов - по типовому проекту; характеристики суглинистого грунта основания:

;
cн = 34 кПа;

;
E = 20 МПа; характеристики суглинистого грунта обратной засыпки:

;
cн = 10 кПа;

;
E = 7 МПа; расчетные деформации земной поверхности

;
nкmкR = -7,76 км.
Расчет произведен согласно
пп. 7.8 -
7.10 настоящего Руководства.
Результаты расчета приведены на
рис. 11 прил. 5.
Рис. 11. Результаты расчета стеновой панели резервуара
вместимостью V = 3000 м3
а - по нормальным давлениям грунта; б - по изгибающим
моментам; 1 - первая итерация; 2 - последняя итерация
Учет конечной переменной жесткости конструкции позволил снизить нормальное давление на 35%, а также выровнять по высоте стены эпюру изгибающих моментов, уменьшив максимальные по абсолютной величине ординаты в 4 раза.
Пример 9. Выполнить расчет местной устойчивости откоса грунтового резервуара.
Исходные данные: грунтовый резервуар вместимостью
V = 3000 м
3 со следующими геометрическими характеристиками откоса и фундамента на нем
(рис. 72):
b =
c = 0,8 м;
H1 = 3 м;
H2 = 3,65 м;

; характеристики суглинистого грунта основания естественного сложения:
E = 40 МПа;

;

;

;
cн = 17 кПа; характеристики грунта нарушенной структуры -

,
cн = 5,8 кПа; допускаемый коэффициент устойчивости грунтового откоса [
Kз.у] = 1,2; вертикальная нагрузка
P = 90 кН; коэффициент трения в шве скольжения
f = 0,17; расчетные горизонтальные деформации земной поверхности

.
Коэффициенты устойчивости
Kз.у и
Kз.у для точек
1 - 4 приведены в
табл. 7 прил. 5.
Участки по подошве штампа | N точек по подошве штампа | Kз.у | [Kз.у] | Kз.у - [Kз.у] | | |
> 0 | < 0 | > 0 | < 0 |
b | 1 | 0,85 | 1,2 | - | 0,35 | 4,20 | 3,0 | - |
2 | 1,05 | - |
c | 3 | 1,65 | 1,2 | 0,45 | 0,15 | 2,55 | 1,35 | - |
4 | 1,35 | 0,15 |
Пример 10. Определить максимальные продольные напряжения в трубопроводе от воздействия горизонтальных сдвижений грунта.
Исходные данные. Горно-геологические условия подработки заданы длинами полумульд по падению пласта L1 = 460 м и по восстанию пласта L2 = 408 м, коэффициентом подработанности n = 0,8, параметром влияния наносов B = 2. Экстремальные значения сдвижений: в полумульде по падению - 20 см, в полумульде по восстанию - 10 см. Минимальный радиус кривизны R = 10 км.
Условия прокладки трубопровода в грунте и характеристики грунтов: глубина укладки
H3 = 1,5 м; ширина траншеи
B = 1 м; грунт - суглинок с характеристиками:

;

;
Cн = 0,020 МПа. Характеристика принятых проектом труб и данные по трубопроводу: диаметр трубопровода
Dн = 21,9 см; толщина стенки трубы

; трубопровод предназначен для транспортировки газа, изоляция трубопровода - битумная.
Решение. 1
. Определяем величину предельного значения силового воздействия сдвигающегося грунта на трубопровод по
формуле (337): коэффициент
Km по
табл. 20 Руководства при
H3/
B = 1,5/1,0 = 1,5;
Km = 0,72;
Q0 = 0,72·0,019·1,50·0,425 + 0,020 = 0,03 МПа.
2. Оценим напряженное состояние трубы на участке влияния горной выработки. Трубопровод не разрезан, полностью пересекает мульду.
Расчетную схему N 1 принимаем по
табл. 15 Руководства.
Определяем длину зоны однозначных сдвижений в полумульде пласта.
При
n = 0,8 и
B = 2 (
табл. 16)
z = 0,45;
l(1) = 460 + 0,45·408 = 644 м.
Длина растянутой части полумульды по падению пласта равна l = 0,5l(1) = 0,5·644 = 322 м = 32,2·103 см.
Определим зону деформаций трубопровода lт с учетом его работы за пределами мульды.
Коэффициент упругого сдвига по
табл. 18 при
Q0 = 0,030 МПа, толщине стенки трубы

, предельном перемещении суглинистого грунта

равен
Kс = 0,299 ~= 0,3.
По
табл. 19 Руководства при
K = 0,30 длина зоны работы трубопровода за пределами мульды
f = 60 м = 6·10
3 см.
Отношение l/lт = 32,2·103/38,2·103 = 0,84.
Коэффициент Ф
1 определим по графику на
рис. 80; Ф
1 = 0,3.
Определяем максимальные перемещения трубопровода в зоне его деформации по формулам
схемы 1 табл. 15.
Максимальные напряжения на расчетном участке
Пример 11. Определить продольные напряжения от горизонтальных сдвижений грунта для трубопровода с отводами.
Исходные данные: глубина укладки
H = 70 см, диаметр трубы
Dн = 37,8 см; толщина стенки

; грунт засыпки - глина; на границе участка имеются повороты, защемленные грунтом; расстояние от середины участка до поворота -
lп = 200 м = 2·10
4 см; деформации земной поверхности на участке между поворотами -

; величина силового воздействия деформирующегося грунта -
Q0 = 0,01 МПа.
Решение.
1. Коэффициент жесткости при врезании трубопровода в стенки траншеи определяется по
формуле (330) Km = 50 Н/см
3.
2. По графику
(рис. 81) при диаметре труб
Dн = 38 см и коэффициенте постели
K = 50 Н/см
3 коэффициент податливости трубопровода в месте поворота будет равен
S = 7·10
4 см.
S/lп = 7·104/2·104 = 3,5
коэффициенты Ф2 = 0,39; Ф3 = 0,49.
Определим напряжения
Максимальное напряжение при x/lп = 0
Пример 12. Проверить трубопровод на устойчивость в зоне сжатия мульды сдвижений.
Исходные данные: диаметр трубопровода 426 мм: суммарные сжимающие напряжения

; силовое воздействие грунта
Qп = 0,031 МПа; поперечная нагрузка
q0 = 840 Н/см.
Решение.
По графику на
рис. 82 при
q0 = 840 Н/см находим
A0 = 44 см.
l3 = 1080 см = 1,08·10
3 см.
Устойчивость обеспечивается.
Пример 13. Определить максимальные напряжения от изгиба газопровода в зоне уступа.
Исходные данные: наружный диаметр газопровода
Dн = 27,3 см; осевой момент инерции
I = 5863 см
4; осевой момент сопротивления
W = 429 см
3; глубина укладки газопровода
Hп = 100 см; грунт засыпки - суглинок; критический сдвиг грунта при вертикальных перемещениях

; коэффициент жесткости основания
Km = 30 Н/см
3; ожидаемая высота уступа
h = 10 см.
Решение. 1
. По графику
(рис. 76) при
Hп = 1 м и
Dн = 27,3 см предельная величина поперечной нагрузки
q0 = 300 Н/см.