Главная // Актуальные документы // ГОСТ (Государственный стандарт)СПРАВКА
Источник публикации
М.: Стандартинформ, 2015
Примечание к документу
Документ утратил силу с 01.09.2022 в связи с изданием
Приказа Росстандарта от 16.12.2021 N 1790-ст. Взамен введен в действие
ГОСТ 33124-2021.
Документ
введен в действие с 01.07.2015.
Название документа
"ГОСТ 33124-2014. Межгосударственный стандарт. Брус многослойный клееный из шпона. Технические условия"
(введен в действие Приказом Росстандарта от 12.12.2014 N 2026-ст)
"ГОСТ 33124-2014. Межгосударственный стандарт. Брус многослойный клееный из шпона. Технические условия"
(введен в действие Приказом Росстандарта от 12.12.2014 N 2026-ст)
агентства по техническому
регулированию и метрологии
от 12 декабря 2014 г. N 2026-ст
МЕЖГОСУДАРСТВЕННЫЙ СТАНДАРТ
БРУС МНОГОСЛОЙНЫЙ КЛЕЕНЫЙ ИЗ ШПОНА
ТЕХНИЧЕСКИЕ УСЛОВИЯ
Laminated veneer lumber. Specifications
(EN 314-1:2005, NEQ)
(EN 408:2003, NEQ)
(EN 14374:2004, NEQ)
ГОСТ 33124-2014
ОКПО 5360
Дата введения
1 июля 2015 года
Цели, основные принципы и основной порядок проведения работ по межгосударственной стандартизации установлены в
ГОСТ 1.0-92 "Межгосударственная система стандартизации. Основные положения" и
ГОСТ 1.2-2009 "Межгосударственная система стандартизации. Стандарты межгосударственные, правила и рекомендации по межгосударственной стандартизации. Правила разработки, принятия, применения, обновления и отмены".
1 РАЗРАБОТАН Центральным научно-исследовательским, проектно-конструкторским и технологическим институтом им. В.А. Кучеренко (ЦНИИСК им. В.А. Кучеренко), отделением ОАО "НИЦ "Строительство"
2 ВНЕСЕН Техническим комитетом по стандартизации ТК 465 "Строительство"
3 ПРИНЯТ Межгосударственным советом по стандартизации, метрологии и сертификации (протокол от 5 декабря 2014 г. N 46-2014)
За принятие проголосовали:
Краткое наименование страны по МК (ИСО 3166) 004-97 | Код страны по МК (ИСО 3166) 004-97 | Сокращенное наименование национального органа по стандартизации |
Азербайджан | AZ | Азстандарт |
Казахстан | KZ | Госстандарт Республики Казахстан |
Киргизия | KG | Кыргызстандарт |
Россия | RU | Росстандарт |
Узбекистан | UZ | Узстандарт |
4
Приказом Федерального агентства по техническому регулированию и метрологии от 12 декабря 2014 г. N 2026-ст межгосударственный стандарт ГОСТ 33124-2014 введен в действие в качестве государственного стандарта Российской Федерации с 01 июля 2015 г.
5 Настоящий стандарт в части терминологии, технических требований и методов испытаний соответствует следующим европейским региональным стандартам:
EN 314-1:2005 Plywood - Bonding quality - Part 1: Test methods (Фанера. Качество склеивания. Часть 1. Методы испытаний);
EN 408:2003 Timber structures - Structural timber and glued laminated timber - Determination of some physical and mechanical properties (Деревянные конструкции. Древесина конструкционная цельная и клееная многослойная. Определение некоторых физических и механических свойств);
EN 14374:2004 Timber structures - Structural laminated veneer lumber - Requirements (Деревянные конструкции - Конструкционный клееный брус из шпона - Требования).
Степень соответствия - неэквивалентная (NEQ)
6 ВВЕДЕН ВПЕРВЫЕ
Информация об изменениях к настоящему стандарту публикуется в ежегодном информационном указателе "Национальные стандарты", а текст изменений и поправок - в ежемесячном информационном указателе "Национальные стандарты". В случае пересмотра (замены) или отмены настоящего стандарта соответствующее уведомление будет опубликовано в ежемесячном информационном указателе "Национальные стандарты". Соответствующая информация, уведомление и тексты размещаются также в информационной системе общего пользования - на официальном сайте Федерального агентства по техническому регулированию и метрологии в сети Интернет
Настоящий стандарт распространяется на применяемый в несущих и ограждающих строительных конструкциях брус многослойный клееный из лущеного шпона хвойных пород и устанавливает технические требования, правила приемки, методы испытаний к брусу многослойному клееному из шпона (далее - ЛВЛ).
Конструкции с использованием бруса многослойного клееного из шпона (ЛВЛ) могут применяться в жилищном, общественном, промышленном и других отраслях строительства в качестве самостоятельных несущих конструкций (например, балки, прогоны и т.п.) или элементов более сложных конструкций (например, пояса и решетки ферм, ригели и стойки рам, каркасы панелей и т.п.).
В настоящем стандарте использованы нормативные ссылки на следующие межгосударственные стандарты:
ГОСТ 12.1.004-91 Система стандартов безопасности труда. Пожарная безопасность. Общие требования
ГОСТ 166-89 (ИСО 3599-76) Штангенциркули. Технические условия
ГОСТ 427-75 Линейки измерительные металлические. Технические условия
ГОСТ 577-68 Индикаторы часового типа с ценой деления 0,01 мм. Технические условия
ГОСТ 2140-81 Видимые пороки древесины. Классификация, термины и определения, способы измерения
ГОСТ 7470-92 Глубиномеры микрометрические. Технические условия
ГОСТ 7502-98 Рулетки измерительные металлические. Технические условия
ГОСТ 9463-88 Лесоматериалы круглые хвойных пород. Технические условия
ГОСТ 9621-72 Древесина слоистая клееная. Методы определения физических свойств
ГОСТ 15846-2002 Продукция, отправляемая в районы Крайнего Севера и приравненные к ним местности. Упаковка, маркировка, транспортирование и хранение
| | ИС МЕГАНОРМ: примечание. ГОСТ 20907-75 утратил силу с 1 ноября 2017 года в связи с введением в действие ГОСТ 20907-2016 (Приказ Росстандарта от 02.03.2017 N 94-ст). | |
ГОСТ 20907-75 Смолы фенолоформальдегидные жидкие. Технические условия
ГОСТ 25706-83 Лупы. Типы, основные параметры. Общие технические требования
ГОСТ 27678-88 Плиты древесностружечные и фанера. Перфораторный метод определения содержания формальдегида
ГОСТ 28840-90 Машины для испытания материалов на растяжение, сжатие и изгиб. Общие технические требования
ГОСТ 32155-2013 Плиты древесные и фанера. Определение выделения формальдегида методом газового анализа
Примечание - При пользовании настоящим стандартом целесообразно проверить действие ссылочных стандартов в информационной системе общего пользования - на официальном сайте Федерального агентства по техническому регулированию и метрологии в сети Интернет или по ежегодному информационному указателю "Национальные стандарты", который опубликован по состоянию на 1 января текущего года, и по выпускам ежемесячного информационного указателя "Национальные стандарты" за текущий год. Если ссылочный стандарт заменен (изменен), то при пользовании настоящим стандартом следует руководствоваться заменяющим (измененным) стандартом. Если ссылочный стандарт отменен без замены, то положение, в котором дана ссылка на него, применяется в части, не затрагивающей эту ссылку.
В настоящем стандарте применены следующие термины с соответствующими определениями:
3.1 брус многослойный клееный из шпона; ЛВЛ: Композиционный материал из древесного шпона, волокна которого в основном ориентированы в одном и том же направлении.
Примечание - Это определение не исключает возможности производства бруса многослойного клееного из шпона (ЛВЛ), часть волокон которого имеет взаимно перпендикулярное направление.
3.2 композиционный материал: Искусственно созданный неоднородный сплошной слоистый материал, состоящий из двух компонентов с четкой границей раздела между ними.
3.3 шпон: Тонкий лист древесины заданной толщины, полученный при лущении.
3.4 толщина, t: Размер бруса многослойного клееного из шпона в направлении, перпендикулярном плоскости шпона.
3.5 кромка: Любая из двух противоположных более узких продольных опиленных поверхностей ЛВЛ.
3.6 пласть: Любая из двух противоположных более широких продольных поверхностей ЛВЛ.
4. Типы, основные параметры и размеры
4.1 В зависимости от взаимного расположения волокон древесины ЛВЛ подразделяется на несколько типов, в соответствии с таблицей 1.
Таблица 1
Тип ЛВЛ | Характеристика | Область применения |
I | Все слои шпона имеют параллельное направление волокон древесины | Несущие конструкции |
II | Отдельные смежные слои шпона имеют взаимно перпендикулярное направление волокон древесины | Несущие и ограждающие конструкции |
III | Слои шпона могут иметь как параллельное, так и взаимно перпендикулярное направление волокон древесины | Ограждающие конструкции, в том числе заготовки для дверного и мебельного производства и т.д. |
Примечания: 1 Процентное соотношение и качество различных слоев шпона определяются условиями производства и должны быть отражены в технологической документации завода-изготовителя. 2 В рамках каждого типа ЛВЛ завод-изготовитель может присваивать торговые марки. Наименование торговой марки ЛВЛ должно быть отражено в сопроводительной документации завода-изготовителя. |
4.2 Количество слоев шпона для различных типов ЛВЛ зависит от толщины используемого шпона и физико-механических показателей ЛВЛ. Количество поперечных слоев шпона для типов II и III, имеющих взаимно перпендикулярное направление волокон древесины, указано в таблице 2.
Таблица 2
Толщина ЛВЛ, мм | Количество поперечных слоев, шт., не менее |
19, 21, 24, 27, 30, 33, 36, 39 | 2 |
45, 51 | 3 |
57, 60 | 4 |
63, 69, 75 | 5 |
90 | 4 |
100 | 5 |
4.3 ЛВЛ изготовляют нешлифованным длиной от 2500 до 20500 мм с градацией 500 мм, шириной (высотой) от 40 до 1250 мм, толщиной от 19 до 100 мм.
Допускается изготовлять ЛВЛ других размеров в соответствии с договором (контрактом).
4.4 Условное обозначение ЛВЛ должно включать в себя: наименование продукции, обозначение типа ЛВЛ, обозначение торговой марки, номинальные длину, ширину и толщину в миллиметрах, обозначение настоящего стандарта.
Пример условного обозначения бруса многослойного клееного из шпона:
Брус клееный из шпона (ЛВЛ), тип I, торговая марка, 6500*450*45, ГОСТ...
5. Технические требования
5.1 Для изготовления шпона используются круглые лесоматериалы хвойных пород (сосна, ель, лиственница) по
ГОСТ 9463. Допускается использовать лесоматериалы хвойных пород с иными требованиями, в соответствии с техническими условиями завода-изготовителя, при обеспечении требований к ЛВЛ, указанных в данном стандарте.
Минимальное количество слоев шпона в поперечном сечении ЛВЛ должно быть не менее пяти, а максимальная толщина каждого слоя шпона не должна превышать 6 мм.
| | ИС МЕГАНОРМ: примечание. ГОСТ 20907-75 утратил силу с 1 ноября 2017 года в связи с введением в действие ГОСТ 20907-2016 (Приказ Росстандарта от 02.03.2017 N 94-ст). | |
5.2 Для склеивания шпона должны использоваться жидкие фенолоформальдегидные смолы по ГОСТ 20907, обеспечивающие выделение из ЛВЛ вредных веществ, допускаемых для класса эмиссии Е1. Возможно использование аналогичных смол отечественного и зарубежного производства, отвечающих указанным требованиям.
5.3 Предельные отклонения ЛВЛ по длине, ширине и толщине не должны превышать значений, указанных в таблице 3.
Таблица 3
В миллиметрах
Длина | Ширина | Толщина |
Номинальное значение | Предельное отклонение | Номинальное значение | Предельное отклонение | Номинальное значение | Предельное отклонение |
| +/- 5,0 | До 400 | +/- 2,0 мм | 19 | (+1,4) (-0,9) |
2500 | Свыше 400 | +/- 0,5% | 21 | (+1,5) (-1,0) |
3000 | 24 | (+1,5) (-1,1) |
3500 | 27 | (+1,6) (-1,2) |
4000 | 30 | (+1,7) (-1,3) |
4500 | 33 | (+1,8) (м1,4) |
5000 | 36 | (+1,9) (-1,5) |
5500 | 39 | (+2,0) (-1,6) |
6000 | 45 | (+2,2) (-1,8) |
... | 51 | (+2,3) (-1,9) |
12000 | 57 | (+2,5) (-2,1) |
... | 60 | (+2,6) (-2,2) |
15000 | 63 | (+2,7) (-2,3) |
... | 69 | (+2,9) (-2,5) |
20500 | 75 | (+3,1) (-2,7) |
| 90 | (+3,5) (-3,1) |
100 | (+3,8) (-3,4) |
Примечание - Допускается изготовлять ЛВЛ других толщин в соответствии с договором (контрактом). При этом предельные отклонения по толщине рассчитывают по формуле - от +(0,8 + 0,03t) до -(0,4 + 0,03t), где t - толщина ЛВЛ |
5.4 ЛВЛ должен быть обрезан под прямым углом к пласти. Рез должен быть ровным и чистым. Отклонение от перпендикулярности кромок не должно быть более 2 мм на 1 м длины ЛВЛ.
5.5 ЛВЛ выпускается и поставляется нешлифованным.
5.6 Влажность ЛВЛ должна находиться в пределах 5% - 12%.
5.7 В наружных и внутренних слоях ЛВЛ допускаются все пороки, присущие древесине, за исключением гнили. Качество поверхности наружных слоев ЛВЛ по дефектам обработки должно соответствовать нормам, указанным в таблице 4.
Таблица 4
Дефекты обработки | Значение дефекта обработки |
1 Вырыв волокон | Допускается не более 10% поверхности бруса |
2 Просачивание смолы | Допускается |
3 Нахлестка внутренних и наружных слоев шпона | Допускается |
4 Непроклей при нахлестке наружных слоев | Допускается до 20 мм |
5 Недостача шпона по краям бруса, дефекты кромок бруса | Допускается по длине ЛВЛ глубиной от кромки до 10 мм |
6 Вмятины, отпечатки, царапины | Допускаются глубиной в пределах значений предельных отклонений по толщине |
7 Небольшое расслоение между листами шпона или непроклей, образовавшийся из-за наличия на шпоне смоляного кармашка, засмолка, сучка или прорости | Допускается размером до 10 мм в глубину |
8 Расслоение, расклей | Не допускается |
9 Покоробленность: поперечная | Допускается со стрелой прогиба не более 3 мм. При соотношении толщины ЛВЛ к ширине более чем 1:8 - допускается со стрелой прогиба до 10 мм |
продольная | Допускается |
Примечание - Нормы по ограничению дефектов обработки могут быть изменены в сторону ужесточения требований, по согласованию с потребителем. |
5.8 Показатели предела прочности различных типов ЛВЛ должны быть не менее значений, указанных в таблице 5.
Таблица 5
Напряженное состояние | Показатель предела прочности, МПа, для типов ЛВЛ |
I | II | III |
Изгиб | Вдоль волокон по кромке | 48 | 34 | 25 |
Вдоль волокон по пласти | 50 | 36 | 30 |
Сжатие | Вдоль волокон | 36 | 27 | 32 |
Поперек волокон | 6 | 8 | 5 |
Перпендикулярно плоскости листа шпона | 3,5 | 3,5 | 3 |
Растяжение | Вдоль волокон | 36 | 24 | 23 |
5.9 Показатели модуля упругости различных типов ЛВЛ при статическом изгибе должны быть не менее значений, равных: 12 000 МПа для I типа и 7 000 МПа для II и III типов.
5.10 При определении качества склеивания ЛВЛ процент видимого когезионного разрушения древесины испытуемого клеевого шва ЛВЛ должен составлять не менее 70%.
5.11 Плотность ЛВЛ при изготовлении должна находиться в пределах от 400 до 700 кг/м
3.
Примечание - Значение плотности для каждого типа ЛВЛ указывается производителем в сопроводительной документации.
5.12 Допускается защитная и декоративная обработка ЛВЛ, необходимая для предохранения его от увлажнения, возгорания, а также придания ему необходимого эстетического вида. Вид и характеристика защитных покрытий определяются по согласованию с потребителем.
6. Требования безопасности
6.1 Содержание формальдегида в ЛВЛ и выделение формальдегида из ЛВЛ в воздух помещения не должно превышать 8 мг на 100 г абсолютно сухой массы ЛВЛ или 3,5 мг/м
2, или 5 мг/м
2 в течение трех дней с момента изготовления.
6.2 Гигиенические требования к организации технологического процесса, производственному оборудованию и рабочему инструменту должны соответствовать санитарно-эпидемиологическим правилам.
6.3 Предельно допустимые концентрации (ПДК) вредных веществ в воздухе рабочей зоны не должны превышать величин, указанных в таблице 7.
Таблица 7
Наименование вещества | ПДК, мг/м3 | Класс опасности |
Пыль древесная | -/6 | 4 |
Пары фенолоформальдегидных смол: | | |
а) фенол | 0,1 | 2 |
б) формальдегид | 0,05 | 2 |
Примечание - Если в графе "ПДК" приведено два норматива, то это означает, что в числителе максимальная разовая, а в знаменателе - среднесменная ПДК, прочерк в числителе означает, что норматив установлен в виде средней сменной ПДК. Если приведен один норматив, то это означает, что он установлен как максимальная разовая ПДК. |
6.4 Требования пожарной безопасности при изготовлении ЛВЛ должны соответствовать
ГОСТ 12.1.004.
7.1 ЛВЛ принимают партиями. За партию принимают объем ЛВЛ одного типа, однородного по своим показателям, изготовленного за один технологический цикл. Партия, в зависимости от объема ЛВЛ, единовременно отгруженного потребителю, должна быть оформлена одним или несколькими документами о качестве. Документ о качестве должен содержать следующие данные:
- наименование страны-изготовителя;
- наименование предприятия-изготовителя;
- юридический адрес предприятия-изготовителя;
- товарный знак предприятия-изготовителя;
- номер документа о качестве и дата отгрузки;
- тип продукции;
- торговая марка продукции;
- обозначение настоящего стандарта;
- количество ЛВЛ при отгрузке;
- объем отгружаемого ЛВЛ в кубических метрах.
7.2 При приемке ЛВЛ подвергается приемо-сдаточным и периодическим испытаниям.
7.3 Приемо-сдаточные испытания каждой партии ЛВЛ проводят по следующим показателям: качество поверхности ЛВЛ, размеры ЛВЛ, качество склеивания, плотность, влажность, предел прочности и модуль упругости при статическом изгибе.
7.3.1 Для проведения приемо-сдаточных испытаний количество образцов должно составлять не менее трех от партии ЛВЛ за каждый рабочий день по каждой породе древесины или сочетанию пород, типу ЛВЛ.
Примечание - Частота проведения приемо-сдаточных испытаний по таким показателям, как предел прочности и модуль упругости при статическом изгибе, плотность, может быть снижена до двух раз в неделю при условии, что результаты испытаний в течение не менее одного года проведения испытаний отвечают критериям соответствия.
7.4 Периодические испытания проводят по следующим показателям: предел прочности при растяжении вдоль волокон, предел прочности при сжатии, содержание формальдегида.
7.4.1 Испытания по физико-механическим показателям (предел прочности при растяжении и сжатии для каждой толщины и типа ЛВЛ) проводят не реже одного раза в квартал. Допускается контроль для каждой партии ЛВЛ по согласованию с потребителем, для этого отбирают не менее 0,1% бруса от партии.
7.4.2 Показатель "Содержание формальдегида" контролируют не реже одного раза в месяц. Допускается использовать образцы ЛВЛ, отобранные для проведения физико-механических испытаний.
7.5 Партию считают соответствующей требованиям настоящего стандарта, если:
- качество поверхности обработки и размеры соответствуют требованиям настоящего стандарта;
- влажность ЛВЛ соответствует нормам, указанным в
5.6;
- плотность ЛВЛ соответствует нормам, указанным в
5.11;
- качество склеивания соответствует нормам, указанным в
5.10;
- физико-механические свойства соответствуют требованиям, указанным в
5.8 -
5.9;
- содержание формальдегида соответствует нормам, установленным в
6.1 (в случае проведения периодических испытаний).
7.6 При получении результатов, не соответствующих требованиям настоящего стандарта хотя бы по одному из показателей, проводят повторные испытания на удвоенной пробе, отобранной из той же партии. Результаты повторных испытаний распространяются на всю партию и являются окончательными.
7.7 В случае, если партия ЛВЛ признана не соответствующей настоящему стандарту, то, в зависимости от показателя, по которому партия признана не соответствующей, может быть принято решение о индивидуальной механической доработке ЛВЛ. ЛВЛ, не подлежащий механической доработке, приемке не подлежит и может использоваться для собственных нужд при упаковке продукции и т.п.
8.1 Качество поверхности ЛВЛ определяют визуально, а также измерением дефектов обработки.
8.1.1 Вырыв волокон измеряется металлической линейкой по
ГОСТ 427 или другим средством измерения погрешностью измерения не более 1 мм и оценивается из расчета на 1 м
2 поверхности или на всю площадь ЛВЛ.
8.1.2 Непроклей при нахлесте наружных слоев, небольшое расслоение между листами шпона измеряют металлической линейкой по
ГОСТ 427 с погрешностью измерения не более 1 мм.
8.1.3 Недостачу шпона по краям, дефекты кромок измеряют по наибольшему расстоянию от края дефекта до кромки ЛВЛ металлической линейкой по
ГОСТ 427 или другим средством измерения погрешностью измерения не более 1 мм.
8.1.4 Вмятины, отпечатки, царапины измеряют глубиномером по
ГОСТ 7661 или
ГОСТ 7470. Допускается проводить измерения с помощью штангенциркуля по
ГОСТ 166.
8.1.5 Поперечную покоробленность определяют по
ГОСТ 2140 путем измерения металлической линейкой максимальной стрелы прогиба ЛВЛ, уложенного на ровную горизонтальную поверхность.
8.2 Длину и ширину ЛВЛ измеряют параллельно кромкам на расстоянии 100 мм от кромок. Длину ЛВЛ определяют вдоль волокон древесины наружных слоев. Ширину ЛВЛ определяют поперек волокон древесины наружных слоев. Измерения проводят металлической рулеткой по
ГОСТ 7502 с погрешностью 1 мм.
Для измерения ширины допускается использование металлической линейки по
ГОСТ 427 или другого средства измерения погрешностью измерения не более 1 мм. За фактическую длину или ширину принимают среднее значение двух измерений.
8.3 Толщину ЛВЛ измеряют по углам и посредине каждой стороны на расстоянии не менее 25 мм от кромки. Толщину ЛВЛ измеряют штангенциркулем по
ГОСТ 166. За фактическую толщину принимают среднее арифметическое значение четырех измерений.
8.4 Отклонение от перпендикулярности определяют измерением наибольшего отклонения кромки ЛВЛ от поверхности поверочного угольника по
ГОСТ 3749 с помощью металлической линейки по
ГОСТ 427. Допускается определение показателя по разности длины ЛВЛ, измеряемой металлической рулеткой по
ГОСТ 7502.
8.7 Предел прочности и модуль упругости при статическом изгибе, а также пределы прочности при растяжении и сжатии определяют в соответствии с
приложением А.
8.8 Качество склеивания ЛВЛ определяют в соответствии с
приложением Б.
8.9 Содержание формальдегида определяют по
ГОСТ 32155.
9.1 На ЛВЛ несмываемой краской наносят маркировку, содержащую:
- торговую марку продукции;
- номер смены;
- сокращенное наименование предприятия-изготовителя;
- дату изготовления продукции.
Допускается при поставке на экспорт наносить дополнительную маркировку.
9.2 На пакет ЛВЛ наносится маркировка, содержащая:
- наименование страны-изготовителя;
- наименование предприятия-изготовителя (юридический адрес);
- тип ЛВЛ;
- торговую марку продукции;
- дату упаковки ЛВЛ;
- номер смены;
- количество ЛВЛ в пакете;
- размеры ЛВЛ;
- массу;
- объем.
Примечание - По согласованию с потребителем, допускается поставлять ЛВЛ без маркировки.
9.3 Ширина и длина упакованной пачки ЛВЛ соответствует длине и ширине ЛВЛ, высота пачки должна быть не более 1200 мм. По согласованию с потребителем, допускается упаковывать ЛВЛ в пачки других размеров.
9.4 Пакет ЛВЛ оборачивают упаковочной пленкой не менее чем с пяти сторон. По согласованию с потребителем, ЛВЛ может быть упакован другими упаковочными материалами, обеспечивающими его влагозащиту.
9.5 Обвязку сформированных пакетов ЛВЛ осуществляют пластиковой или металлической лентой. При обвязке под ленту укладывается защитный картонный уголок.
9.6 Упаковка и пакетирование ЛВЛ, отправляемого в районы Крайнего Севера и труднодоступные районы, - по
ГОСТ 15846.
10. Транспортирование и хранение
10.1 ЛВЛ транспортируют всеми видами транспорта в соответствии с правилами перевозки грузов, действующими на данном виде транспорта.
10.2 Транспортная маркировка должна производиться в соответствии с требованиями
ГОСТ 14192.
10.3 Транспортирование и хранение ЛВЛ, отправляемого в районы Крайнего Севера и труднодоступные районы, должны выполняться по
ГОСТ 15846.
10.4 ЛВЛ может храниться в помещениях при температуре от минус 40 °C до плюс 50 °C и относительной влажности воздуха в пределах 40% - 80%. ЛВЛ допускается храниться на открытой площадке при условии сохранения упаковки, защищающей его от прямого попадания атмосферных осадков.
10.5 Во время хранения ЛВЛ не должен подвергаться длительному прямому воздействию солнечных лучей.
11. Гарантии изготовителя
Изготовитель гарантирует соответствие качества ЛВЛ требованиям настоящего стандарта в течение одного года при соблюдении требований по хранению и транспортированию.
(обязательное)
МЕТОДЫ ИСПЫТАНИЙ БРУСА МНОГОСЛОЙНОГО КЛЕЕНОГО ИЗ ШПОНА
(ЛВЛ) ПО ОПРЕДЕЛЕНИЮ ПРЕДЕЛОВ ПРОЧНОСТИ И МОДУЛЯ УПРУГОСТИ
(ПО EN 408:2003)
А.1 Общие положения
А.1.1 Методы испытаний предусматривают определение основных нормируемых показателей ЛВЛ (см.
8.7) таких, как прочность (R
и) и модуль упругости (E
loc) при изгибе, а также дополнительных физико-механических свойств таких, как прочность при растяжении вдоль волокон, сжатие вдоль и поперек волокон древесины.
А.1.2 Результаты испытаний используют для подтверждения определенного типа ЛВЛ.
А.2 Образцы для испытаний
А.2.1 Стандартные образцы для испытаний выпиливают из ЛВЛ с размерами, обозначенными на рисунке А.1.
Обозначение размеров образцов ЛВЛ:
а) для определения прочности при растяжении вдоль волокон; б) для определения прочности при сжатии перпендикулярно к плоскости слоев шпона; в) для определения прочности при сжатии вдоль и поперек волокон; г) для определения прочности и модуля упругости при изгибе вдоль волокон по пласти; д) для определения прочности и модуля упругости при изгибе вдоль волокон по кромке;

- толщина испытуемого ЛВЛ.
А.2.2 Для определения плотности из ЛВЛ выпиливают образец толщиной, равной толщине ЛВЛ и сечением 50*50 мм. Образцы для определения плотности могут быть выпилены из образцов по рисункам А.1а, А.1д, А.1е после их испытаний на прочность в зоне, удаленной от места разрушения.
А.2.3 Допускается определять модуль упругости при изгибе и прочность при изгибе на одном и том же образце.
А.2.4 Перед проведением испытаний образцы кондиционируют при температуре окружающей среды (20 +/- 2) °C и относительной влажности (65 +/- 5)% до приобретения образцами нормальной (или равновесной) влажности.
А.2.5 Количество образцов определяют в зависимости от целей проводимых испытаний.
А.3 Аппаратура, приспособления и инструмент для испытаний
А.3.1 Для проведения испытаний необходимы следующие оборудование и инструмент:
- испытательная машина по
ГОСТ 28840 погрешностью измерения нагрузки не более 1%, позволяющая проводить испытания со скоростью перемещения нагружающей головки от 2 до 10 мм/мин, или другие испытательные машины, обеспечивающие требуемую точность измерений;
- приспособления для зажима образцов и передачи на них нагрузки;
- датчики или автоматизированная система измерения и записи деформаций образцов (или индикаторы часового типа по
ГОСТ 577), позволяющие производить замеры деформаций с точностью не менее 0,01 мм;
- секундомер с точностью замера не более 1 с;
- приборы для измерения температуры и влажности воздуха;
- штангенциркуль по
ГОСТ 166 погрешностью измерения не более 0,1 мм;
- измерительная линейка с точностью измерения до 1 мм.
А.3.2 Все используемое оборудование и инструмент должны быть поверены в соответствующих метрологических центрах.
А.4 Проведение и обработка результатов испытаний
А.4.1 Прочность при изгибе
А.4.1.1 Образец испытывают по схеме согласно
рисунку А.2, свободно установив его на опоры, одна из которых должна быть подвижной в горизонтальной плоскости, а между нижней гранью образца и опорами должны быть установлены металлические пластины, исключающие местное смятие древесины поперек волокон. Должно также быть ограничено перемещение образца из плоскости, не препятствуя его деформированию в направлении действия нагрузки.
Примечание - При испытании по пласти, если оборудование или контрольный образец не соответствуют данным условиям, расстояние между точками приложения нагрузки и опорами следует изменить, но не более чем в 1,5 раза, а длину пролета и контрольного образца не более чем в 3 раза, при этом регулируя симметричность испытаний.
а) при испытании по кромке; б) при испытании по пласти
Рисунок А.2 - Схема испытаний образцов ЛВЛ при определении
прочности на изгиб
А.4.1.2 Нагружение осуществляют до разрушения образца непрерывно действующей или ступенчатой (при необходимости снятия показаний измерительных приборов) нагрузкой со скоростью перемещения нагружающего приспособления от 2 до 10 мм/мин, при этом образец должен разрушиться через (300 +/- 120) с после начала нагружения.
По результатам испытаний фиксируют максимальную величину разрушающей нагрузки Fmax с точностью до 50 Н. Если продолжительность испытания образца более 420 с, то в протоколе фиксируют фактическую продолжительность испытаний.
А.4.1.3 Прочность при изгибе по пласти R
и определяют по формуле

(А.1)
с точностью до 1%, регистрируя при этом характер разрушения каждого образца.
Прочность при изгибе по кромке Rи кр определяют по формуле

(А.2)
где b - ширина испытуемого образца, мм
s - параметр размерного эффекта, получаемый по следующей формуле:
s = 2·v - 0,05, (А.3)
где v - коэффициент вариации результатов испытаний, который может быть меньше 0,10, только если он подтверждается проведенными достоверными испытаниями на протяжении не менее двух лет.
А.4.2 Модуль упругости при изгибе
А.4.2.1 Размеры образца и порядок его установки принимают согласно
А.2.1 и
А.4.1.1, а схему испытаний и установку измерителя деформаций - согласно рисунку А.3, где L
1 = 5h, а L = 18h.
а) локального модуля упругости при испытании по кромке;
б) глобального модуля упругости при испытании по пласти
Рисунок А.3 - Схема испытаний образцов ЛВЛ при определении
модуля упругости при изгибе
А.4.2.2 Нагружение образца осуществляют до нагрузки, не превышающей 0,6F
max, значение которой определяется пробными испытаниями или расчетом.
Нагрузку прикладывают непрерывно при автоматической записи деформаций или ступенями величиной не более 0,1Fmax при ручном снятии показаний измерительных приборов.
Скорость перемещения нагружающего приспособления должна быть в пределах от 2 до 10 мм/мин.
В результате испытаний по диаграмме "нагрузка - деформация" на участке 0,1Fmax - 0,4Fmax фиксируют значения нагрузок F1 и F2 с точностью не более 50 Н и соответствующие им деформации f1 и f2 с точностью до 0,01 мм.
А.4.2.3 Модуль упругости при изгибе по кромке (локальный) Eloc определяют по формуле

(А.4)
с точностью до 1%.
Модуль упругости при изгибе по пласти и по кромке для ЛВЛ толщиной менее 42 мм (глобальный) Egl определяют по формуле:

(А.5)
А.4.3 Прочность при растяжении вдоль волокон
А.4.3.1 Испытуемый образец на растяжение вдоль волокон древесины должен иметь общую длину, чтобы рабочая его часть между захватами испытательной машины составляла не менее 8-кратной ширины, а длина в захватах исключала смятие древесины поперек волокон и преждевременное разрушение образца в захватах.
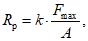
А.4.3.3 Прочность при растяжении вдоль волокон древесины Rр определяют по формуле

(А.6)
с точностью до 1%, регистрируя при этом характер разрушения каждого образца, где A - площадь поперечного сечения образца.

(А.7)
где L0 - длина образца между захватами испытательной машины, мм;
s - параметр размерного эффекта, определяемый по
А.4.1.3.
А.4.4 Прочность при сжатии вдоль и поперек волокон
А.4.4.1 Образцы с размерами согласно
рисунку А.1 и схемой нагружения согласно рисунку А.4 испытывают согласно
А.4.2.2.
Схемы испытаний образцов ЛВЛ:
а) при определении прочности на сжатие вдоль волокон;
б) при определении прочности на сжатие поперек волокон;
в) при определении прочности на сжатие перпендикулярно к плоскости слоев шпона.
Рисунок А.4
А.4.4.2 Прочность при сжатии вдоль и поперек волокон Rc(0,90) определяют по формуле

(А.7)
с точностью до 1%, регистрируя при этом характер разрушения каждого образца, где A - площадь поперечного сечения образца.
(обязательное)
МЕТОД ИСПЫТАНИЯ ПО ОПРЕДЕЛЕНИЮ КАЧЕСТВА СКЛЕИВАНИЯ
(ПО EN 314-1:2004)
Б.1 Общие положения
Настоящий метод устанавливает порядок определения качества склеивания ЛВЛ путем определения процента видимого когезионного разрушения древесины.
Б.2 Отбор образцов
Б.2.1 Образцы не должны иметь производственных дефектов или характерных дефектов древесины на испытуемой поверхности.
Б.2.2 Минимальный размер образца для проведения испытания по определению качества склеивания ЛВЛ должен составлять 75 мм по ширине и 100 мм по длине. Толщина должна равняться толщине ЛВЛ.
Б.2.3 Каждый образец следует вырезать таким образом, чтобы направление волокон древесины в проверяемом слое между клеевыми швами было взаимно перпендикулярно длине образца.
Б.2.4 Образец необходимо подготовить и разрезать таким образом, чтобы было возможно определить качество склеивания каждого клеевого шва ЛВЛ.
Б.3 Средства измерений и вспомогательное оборудование
Для проведения испытаний необходимы следующие оборудование и инструмент:
- ванна для воды с приспособлением для размещения образцов и возможностью термостатического контроля при температуре (20 +/- 3) °C;
- ванна для горячей воды с приспособлением для размещения образцов;
- лабораторный сушильный шкаф с принудительной равномерной вентиляцией воздуха температурой (60 +/- 3) °C;
- измерительное оборудование погрешностью измерения не более 0,1 мм;
Б.4 Предварительная обработка образцов
Б.4.1 Образцы выдерживают в кипящей воде в течение 4 ч. Расстояние между их сторонами, а также от стенок и дна ванны должно быть не менее 15 мм. Верхняя кромка образцов должна находиться ниже уровня воды на расстоянии (25 +/- 5) мм.
Б.4.2 Удаленные из ванны образцы помещают в сушильный шкаф и устанавливают на расстоянии друг от друга не менее 15 мм. Заполнение объема шкафа образцами не должно превышать 10%. Продолжительность периода сушки при температуре (60 +/- 3) °C составляет 16 - 20 ч.
Б.4.3 Вынутые из сушильного шкафа испытываемые образцы выдерживают в кипящей воде в течение 4 ч.
Б.4.4 После кипячения образцы извлекают из ванны и охлаждают в воде с температурой (20 +/- 3) °C в течение не менее 2 ч. Образцы размещают лицевой стороной в вертикальном положении на расстоянии друг от друга и от стенок ванны не менее 15 мм.
Б.5 Проведение испытаний
После предварительной обработки образец подвергают расщеплению с помощью специального ножа и определяют видимое когезионное разрушение древесины в процентах.
Б.6 Определение процента когезионного разрушения древесины
Б.6.1 Определение процента когезионного разрушения древесины производят путем сравнения конкретного образца с образцами, данными на
рисунках Б.1,
Б.2,
Б.3 (выбирают ближайшее значение в пределах 10%). Процесс определения состоит из оценки поверхности и определения текстуры поверхности разрушения.
Б.6.2 Для определения повреждений текстуры поверхности необходимо иметь в виду следующее:
- для выявления отличий правильной текстуры от поврежденной необходимы достаточное освещение и лупа десятикратного увеличения;
- проявлениями когезионного разрушения древесины считаются участки поврежденной поверхности, лежащие полностью на поверхности шпона, приклеенного к испытуемому клеевому шву или участки испытуемых клеевых швов, покрытые не пропускающими свет пучками волокон;
- поврежденные участки, имеющие шероховатую поверхность, которую необходимо покрыть клеевым слоем, с утонченными волокнами следует считать проявлением когезионного разрушения древесины;
- тонкий светопроницаемый слой тонких волокон на поверхности клея следует также считать проявлением когезионного разрушения древесины, когда по внешнему виду она выглядит покрытой волокнами;
- клеевое соединение, видимое через покрывающие волокна, следует вносить в отчет как недостатки клеевого соединения, в случае если клеевое соединение обнаруживается в виде отдельных участков в общем покрытии;
- участки клеевого слоя, в которых отсутствует клей в процессе склеивания бруса, следует считать повреждением клеевого слоя.
Рисунок Б.1 - Иллюстрации повреждения древесного волокна
от 0% до 30%
Рисунок Б.2 - Иллюстрации повреждения древесного волокна
от 40% до 60%
Рисунок Б.3 - Иллюстрации повреждения древесного волокна
от 70% до 100%