Главная // Актуальные документы // ГОСТ (Государственный стандарт)СПРАВКА
Источник публикации
М.: Издательство стандартов, 1988
Примечание к документу
С 1 июля 2003 года до вступления в силу технических регламентов акты федеральных органов исполнительной власти в сфере технического регулирования носят рекомендательный характер и подлежат обязательному исполнению только в части, соответствующей целям, указанным в
пункте 1 статьи 46 Федерального закона от 27.12.2002 N 184-ФЗ.
Ограничение срока действия снято по Протоколу N 3-93 Межгосударственного совета по стандартизации, метрологии и сертификации ("ИУС", N 5 - 6, 1993).
Введен в действие с 1 января 1979 года.
Взамен ГОСТ 15027.10-69.
Название документа
"ГОСТ 15027.10-77. Бронзы безоловянные. Методы определения олова"
(утв. Постановлением Госстандарта от 28.06.1977 N 1614)
(ред. от 01.03.1988)
"ГОСТ 15027.10-77. Бронзы безоловянные. Методы определения олова"
(утв. Постановлением Госстандарта от 28.06.1977 N 1614)
(ред. от 01.03.1988)
Утвержден и введен в действие
Постановлением Госстандарта СССР
от 28 июня 1977 г. N 1614
ГОСУДАРСТВЕННЫЙ СТАНДАРТ СОЮЗА ССР
БРОНЗЫ БЕЗОЛОВЯННЫЕ
МЕТОДЫ ОПРЕДЕЛЕНИЯ ОЛОВА
Non-tin bronze.
Methods for the determination of tin
ГОСТ 15027.10-77
(СТ СЭВ 1528-79)
| | Список изменяющих документов (в ред. Изменения N 1, утв. в феврале 1983 г., Изменения N 2, утв. в марте 1988 г.) | |
Взамен ГОСТ 15027.10-69
Срок действия
с 1 января 1979 года
до 1 января 1994 года
1. Разработан и внесен Министерством цветной металлургии СССР.
Исполнители: Ю.Ф. Шевакин, д-р. техн. наук; Н.В. Егиазарова; И.А. Воробьева.
2. Утвержден и введен в действие Постановлением Государственного комитета стандартов Совета Министров СССР от 28.06.77 N 1614.
3. Взамен ГОСТ 15027.10-69.
4. Стандарт полностью соответствует СТ СЭВ 1528-79.
Стандарт соответствует ИСО 4751-84 в части бронз безоловянных.
5. Ссылочные нормативно-технические документы
───────────────────────────────────────┬──────────────────────────
Обозначение НТД, на который дана ссылка│ Номер пункта, подпункта
───────────────────────────────────────┼──────────────────────────
ИС МЕГАНОРМ: примечание.
Взамен ГОСТ 859-78 Постановлением Госстандарта РФ от
30.07.2001 N 301-ст с 1 марта 2002 года введен в действие
ИС МЕГАНОРМ: примечание.
Взамен ГОСТ 11293-78 Постановлением Госстандарта СССР
от 26.12.1989 N 4152 с 01.07.1991 введен в действие ГОСТ 11293-89.
6. Срок действия продлен до 01.01.94 Постановлением Госстандарта СССР от 25.03.88 N 758.
7. Переиздание (май 1988 г.) с Изменениями N 1, 2, утвержденными в феврале 1983 г., марте 1988 г. (ИУС 6-83, 6-88).
Настоящий стандарт устанавливает экстракционно-фотометрический метод определения олова с применением кверцетина, фотометрический метод определения олова с применением фенилфлуорона (при массовой доле олова от 0,01 до 0,5%), полярографический метод определения олова (при массовой доле олова от 0,001 до 0,5%) и атомно-абсорбционный метод определения олова (при массовой доле олова от 0,01 до 0,25% и от 0,25 до 0,5%) в бронзах безоловянных по
ГОСТ 18175-78, ГОСТ 17328-78 и
ГОСТ 493-79.
(Измененная редакция, Изм. N 1, 2).
1.1. Общие требования к методам анализа - по
ГОСТ 25086-87 с дополнением по
разд. 1 ГОСТ 15027.1-77.
(Измененная редакция, Изм. N 1, 2).
2. ФОТОМЕТРИЧЕСКИЙ МЕТОД ОПРЕДЕЛЕНИЯ ОЛОВА
С ПРИМЕНЕНИЕМ КВЕРЦЕТИНА
Метод основан на образовании окрашенного комплексного соединения олова с кверцетином, экстрагируемого н-бутиловым спиртом из солянокислого раствора. Мешающее влияние железа устраняют прибавлением тиомочевины.
2.2. Аппаратура, реактивы и растворы
Фотоэлектроколориметр или спектрофотометр.
Кверцетин, раствор 0,4 г/дм3 в н-бутиловом спирте.
| | ИС МЕГАНОРМ: примечание. Взамен ГОСТ 859-78 Постановлением Госстандарта РФ от 30.07.2001 N 301-ст с 1 марта 2002 года введен в действие ГОСТ 859-2001. | |
Медь по ГОСТ 859-78 марки МО.
Стандартный раствор меди; готовят следующим образом: 2,5 г меди растворяют в 30 см3 концентрированной соляной кислоты, добавляя по каплям перекись водорода. Избыток перекиси водорода разлагают кипячением, раствор переносят в мерную колбу вместимостью 250 см3, доливают до метки водой и перемешивают.
1 см3 раствора содержит 0,01 г меди.
Стандартные растворы олова.
Раствор А; готовят следующим образом: 0,1 г олова помещают в коническую колбу вместимостью 100 см3, прибавляют 1 г хлористого натрия, 20 см3 концентрированной соляной кислоты, 1 см3 перекиси водорода (постепенно, по каплям) и нагревают при 60 - 70 °С. К концу растворения температуру поднимают до 80 °С. Раствор охлаждают, переводят в мерную колбу вместимостью 1 дм3, доливая соляной кислотой, разбавленной 1:10, до метки, и перемешивают.
1 см3 раствора А содержит 0,0001 г олова.
Раствор Б; готовят следующим образом: 25 см3 раствора А переносят в мерную колбу вместимостью 250 см3, доливают до метки соляной кислотой, разбавленной 1:10, и перемешивают.
1 см3 раствора Б содержит 0,00001 г олова. Раствор Б готовят в день применения.
2.3.1. Навеску пробы массой 1 г помещают в стакан вместимостью 250 см3, добавляют 5 г хлористого натрия, 20 см3 концентрированной соляной кислоты и нагревают. В процессе нагревания вводят 7 - 10 см3 перекиси водорода небольшими порциями до растворения навески. После полного растворения раствор выпаривают до объема 3 - 4 см3, переводят в мерную колбу вместимостью 250 см3, доводят до метки водой и перемешивают. Аликвотную часть полученного раствора объемом 25 см3 (при массовой доле олова от 0,01 до 0,1%) или 5 см3 (при массовой доле олова от 0,1 до 0,5%) помещают в делительную воронку вместимостью 150 см3.
При определении содержания олова в кремнистых или свинцовистых бронзах, при наличии осадка, аликвотную часть отбирают из предварительно отфильтрованного раствора.
Раствор в делительной воронке нейтрализуют аммиаком по каплям до слабощелочной реакции по бумаге конго и затем приливают 5 см3 соляной кислоты, разбавленной 1:4, 20 см3 раствора тиомочевины, разбавляют водой до 50 см3, вводят 25 см3 раствора кверцетина в н-бутиловом спирте и энергично встряхивают в течение 5 мин. После раздела фаз нижний водный слой отбрасывают, не допуская остатка водной фазы, а органический слой переливают в сухой стакан вместимостью 50 см3, содержащий 0,2 г безводного сернокислого натрия, и через 5 мин измеряют оптическую плотность в кювете длиной 10 мм на фотоэлектроколориметре с синим или фиолетовым светофильтром (

= 420 - 450 нм) или на спектрофотометре при длине волны 440 нм. Раствором сравнения служит раствор кверцетина в н-бутиловом спирте.
2.3.2. Построение градуировочного графика
В делительные воронки вместимостью по 150 см3 отбирают по 10 см3 стандартного раствора меди (для бронз с массовой долей олова от 0,01 до 0,1%, с аликвотной частью 25 см3) или по 2 см3 стандартного раствора меди (для бронз с массовой долей олова от 0,1 до 0,5%, с аликвотной частью 5 см3, последовательно вводят 0, 1, 3, 5, 7 и 10 см3 стандартного раствора Б олова. Растворы нейтрализуют аммиаком до слабощелочной среды по бумаге конго, приливают 5 см3 соляной кислоты, разбавленной 1:4, и далее анализ проводят, как указано в п. 2.3.1.
По найденным величинам оптических плотностей строят градуировочный график.
2.4. Обработка результатов
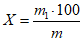
2.4.1. Массовую долю олова (X) в процентах вычисляют по формуле

,
где

- масса олова, найденная по градуировочному графику, г;
m - масса навески, соответствующая аликвотной части, г.
2.4.2. Абсолютные расхождения результатов параллельных определений (d - показатель сходимости) не должны превышать допускаемых значений, приведенных в табл. 1.
───────────────────────────┬────────────────────┬─────────────────
Массовая доля олова, % │ d, % │ D, %
───────────────────────────┼────────────────────┼─────────────────
От 0,01 до 0,03 │0,003 │0,007
Св. 0,03 " 0,06 │0,006 │0,01
" 0,06 " 0,12 │0,012 │0,03
" 0,12 " 0,25 │0,02 │0,05
" 0,25 " 0,50 │0,03 │0,07
2.4.3. Абсолютные расхождения результатов анализа, полученных в двух лабораториях, или двух результатов анализа, полученных в одной лаборатории, но при различных условиях (D - показатель воспроизводимости), не должны превышать значений, приведенных в табл. 1.
2.4.4. Контроль точности результатов анализа
Контроль точности результатов анализа проводят по Государственным стандартным образцам безоловянных бронз, аттестованным в установленном порядке, сопоставлением результатов анализа, полученных фотометрическим и атомно-абсорбционными методами или методом добавок в соответствии с
ГОСТ 25086-87.
2.4. (Введен дополнительно, Изм. N 2).
3. ФОТОМЕТРИЧЕСКИЙ МЕТОД ОПРЕДЕЛЕНИЯ ОЛОВА
С ПРИМЕНЕНИЕМ ФЕНИЛФЛУОРОНА ПОСЛЕ ОТДЕЛЕНИЯ НА АНИОНИТЕ
Метод основан на измерении оптической плотности окрашенного комплексного соединения олова (IV) с фенилфлуороном после предварительного отделения олова от сопутствующих элементов на анионите.
3.2. Аппаратура, реактивы и растворы
Фотоэлектроколориметр или спектрофотометр.
Колонка ионообменная, представляющая собой бюретку вместимостью 20 - 25 см3 с внутренним диаметром 10 - 15 см3; верхняя часть бюретки заканчивается капельной воронкой. В нижний конец бюретки закладывают тампон из стеклянной ваты высотой 5 мм, которую предварительно кипятят с соляной кислотой.
Кислота соляная по
ГОСТ 3118-77 и разбавленная 1:9, 1:20, растворы 5 и 0,1 моль/дм3.
Фенолфталеин (индикатор), спиртовой раствор 1 г/дм3.
Раствор буферный с рН 4,3; готовят следующим образом: 100 г уксуснокислого натрия растворяют в 300 см3 воды, переводят в мерную колбу вместимостью 1 дм3, приливают 168 см3 уксусной кислоты и доливают водой до метки.
Фенилфлуорон, спиртовой раствор 0,25 г/дм3; готовят следующим образом: 0,025 г фенилфлуорона растворяют в 30 см3 этилового спирта с добавлением 8 - 10 капель концентрированной серной кислоты при перемешивании. После растворения навески раствор переводят в мерную колбу вместимостью 100 см3 и доливают до метки этиловым спиртом.
| | ИС МЕГАНОРМ: примечание. Взамен ГОСТ 11293-78 Постановлением Госстандарта СССР от 26.12.1989 N 4152 с 01.07.1991 введен в действие ГОСТ 11293-89. | |
Желатин пищевой по ГОСТ 11293-78, раствор 5 г/дм3; готовят следующим образом: 0,5 г желатина замачивают в 20 см3 холодной воды и через 20 мин добавляют 80 см3 воды, нагретой до 70 °С, перемешивая раствор до полного растворения навески. Следует пользоваться свежеприготовленным раствором.
Стандартные растворы олова.
Раствор А; готовят следующим образом: 0,1 г олова растворяют при нагревании в 10 см3 концентрированной серной кислоты, добавив пять капель азотной кислоты, выпаривают до появления белого дыма серной кислоты, охлаждают, переводят в мерную колбу вместимостью 1 дм3 и доливают до метки серной кислотой, разбавленной 1:4.
1 см3 раствора А содержит 0,0001 г олова.
Раствор Б; готовят в день применения следующим образом: 25 см3 раствора А помещают в мерную колбу вместимостью 250 см3 и разбавляют до метки серной кислотой, разбавленной 1:9.
1 см3 раствора Б содержит 0,00001 г олова.
Анионит АН-1 или ЭДЭ-10П.
3.3. Подготовка к анализу
3.3.1. Подготовка анионита
50 г ионообменной смолы фракцией 0,25 - 0,5 мм замачивают в насыщенном растворе хлористого натрия на 24 ч для набухания. Затем раствор хлористого натрия смывают декантацией и промывают анионит соляной кислотой, разбавленной 1:20, до бесцветного промывного раствора и отрицательной реакции на железо роданистым калием. Смолу последовательно промывают раствором едкого натрия 50 г/дм3, а затем раствором 100 г/дм3 до полного удаления хлорид-ионов (реакции с азотнокислым серебром), смолу промывают водой до слабощелочной реакции промывной, жидкости. После этого анионит заливают водой, взмучивают и переводят в колонку. Слой смолы в колонке должен быть ровным, без пузырьков воздуха.
Для перевода анионита в хлорформу перед пропусканием анализируемого раствора через анионит пропускают раствор 5 моль/дм3 соляной кислоты со скоростью 3 см3/мин в количестве 100 - 150 см3.
3.4.1. Навеску бронзы массой 0,5 г (при массовой доле олова 0,01 - 0,1%) или 0,1 г (при массовой доле олова 0,1 - 0,5%) помещают в стакан вместимостью 150 см3, добавляют 5 г хлористого натрия и растворяют в 15 см3 раствора 5 моль/дм3 соляной кислоты, периодически прибавляя перекись водорода до полного растворения навески. Раствор кипятят 1 - 2 мин до полного разрушения избытка перекиси водорода. Затем нагревание прекращают, раствор охлаждают, приливают 25 см3 раствора 5 моль/дм3 соляной кислоты, обмывают стенки стакана водой (5 - 7 см3), прибавляют две капли азотной кислоты, смесь нагревают и кипятят 2 - 3 мин для удаления окислов азота. Затем нагревание прекращают, раствор охлаждают и пропускают через колонку, заполненную анионитом в хлороформе, со скоростью 3 см3/мин. Для вымывания сорбированной меди колонку и стакан промывают 200 см3 раствора 5 моль/дм3 соляной кислоты со скоростью 3 см3/мин.
Десорбцию олова проводят 250 см3 раствора 0,1 моль/дм3 соляной кислоты с той же скоростью в мерную колбу вместимостью 250 см3 и той же кислотой разбавляют до метки. Аликвотную часть раствора, равную 10 см3, помещают в стакан, приливают 3 см3 концентрированной серной кислоты и выпаривают до появления белого дыма серной кислоты.
Соли растворяют в 5 см3 воды, раствор переводят в мерную колбу вместимостью 50 см3 (на ополаскивание стакана используют не более 10 см3 воды), нейтрализуют аммиаком, разбавленным 1:1, в присутствии фенолфталеина, затем прибавляют по каплям серную кислоту, разбавленную 1:9, до исчезновения окраски индикатора и еще 10 см3 в избыток. Раствор перемешивают, приливают 2 см3 раствора желатина, 5 см3 раствора фенилфлуорона, 10 см3 буферного раствора и оставляют на 5 мин. После этого добавляют воду до метки (рН раствора должно быть 1,1 - 1,2). После добавления каждого реактива раствор перемешивают и по истечении 30 мин измеряют оптическую плотность раствора на спектрофотометре или фотоэлектроколориметре с желто-зеленым светофильтром при длине волны 508 нм в кювете длиной 1 см. Раствором сравнения служит раствор контрольного опыта.
3.4.2. Построение градуировочного графика
В мерные колбы вместимостью по 50 см3 последовательно помещают 0, 1, 2, 3, 4 и 5 см3 стандартного раствора Б олова и доливают до объема 10 см3 серной кислотой, разбавленной 1:9. Нейтрализуют аммиаком в присутствии фенолфталеина, затем прибавляют по каплям серную кислоту, разбавленную 1:9, до исчезновения окраски индикатора и еще 10 см3 в избыток и продолжают далее анализ, как указано в п. 3.4.1.
По найденным величинам оптических плотностей строят градуировочный график.
3.5. Обработка результатов
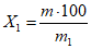
3.5.1. Массовую долю олова (

) в процентах вычисляют по формуле

,
где m - масса олова, найденная по градуировочному графику, г;

- масса навески, соответствующая аликвотной части, г.
3.5.2. Абсолютные расхождения результатов параллельных определений (d - показатель сходимости) не должны превышать допускаемых значений, приведенных в табл. 1.
(Измененная редакция, Изм. N 2).
3.5.3. Абсолютные расхождения результатов анализа, полученных в двух лабораториях, или двух результатов анализа, полученных в одной лаборатории, но при различных условиях (D - показатель воспроизводимости), не должны превышать значений, приведенных в
табл. 1.
3.5.4. Контроль точности результатов анализа
Контроль точности результатов анализа олова проводят по
п. 2.4.4.
3.5.3, 3.5.4. (Введены дополнительно, Изм. N 2).
4. ПОЛЯРОГРАФИЧЕСКИЙ МЕТОД ОПРЕДЕЛЕНИЯ ОЛОВА
Метод основан на отделении олова соосаждением с гидроокисью бериллия в аммиачно-хлоридном буферном растворе, содержащем трилон Б, с последующим полярографическим определением олова на солянокислом фоне. Потенциал полуволны (пика) восстановления олова около минус 0,5 В (насыщенный каломельный элемент).
4.2. Аппаратура, реактивы и растворы
Полярограф переменного тока типа ППТ-1.
Полярограф осциллографический типа ПО-5122 или другой подходящий полярограф переменного тока со всеми принадлежностями.
Ячейка полярографическая, выполненная из стекла, вместимостью 40 см3, с выносным анодом (насыщенный каломельный электрод) и ртутным капающим катодом.
Кислота соляная по
ГОСТ 3117-78, концентрированная, разбавленная 1:1 и 1:3.
Бериллий азотнокислый, водный раствор 100 г/дм3.
Соль динатриевая этилендиамин-N,N,N',N'-тетрауксусной кислоты, 2-водная (трилон Б) по
ГОСТ 10652-73, раствор 0,1 моль/дм3.
Стандартные растворы олова.
Раствор А; готовят следующим образом: навеску олова 0,1 г помещают в коническую колбу вместимостью 250 см3 и растворяют в 10 - 15 см3 серной кислоты. После растворения олова и охлаждения раствора приливают 100 см3 воды и 50 см3 концентрированной соляной кислоты, переводят раствор в мерную колбу вместимостью 1 дм3, доливают до метки водой и перемешивают.
1 см3 раствора А содержит 0,1 мг олова.
Раствор Б; готовят следующим образом: отбирают пипеткой 10 см3 раствора А в мерную колбу вместимостью 100 см3, доливают до метки соляной кислотой, разбавленной 1:3, и перемешивают.
1 см3 раствора Б содержит 0,01 мг олова.
Раствор Б готовят перед применением.
Навеску сплава (табл. 2) помещают в стакан вместимостью 250 см3, накрывают часовым стеклом и растворяют в 20 см3 азотной кислоты, разбавленной 1:1, и 5 см3 концентрированной соляной кислоты при слабом нагревании. После растворения сплава раствор охлаждают, добавляют 5 см3 раствора нитрата бериллия, обмывают стекло и стенки стакана водой, нагревают до 70 - 80 °С и к горячему раствору добавляют 20 см3 раствора трилона Б. Раствор вновь нагревают до 80 °С, разбавляют водой до общего объема 150 см3 и добавляют аммиак до образования растворимого темно-синего аммиачного комплекса меди и еще 5 см3 аммиака в избыток. Раствор оставляют на горячей бане 30 - 40 мин, после этого горячим фильтруют через плотный фильтр "синяя лента" и промывают осадок на фильтре 5 - 7 раз 2%-ным горячим раствором аммиака.
Таблица 2
──────────────────────┬─────────────────────┬─────────────────────
Массовая доля олова, %│ Масса навески, г │ Полярографируемый
│ │ объем раствора, см3
──────────────────────┼─────────────────────┼─────────────────────
От 0,001 до 0,003 │1 │40
Св. 0,003 " 0,01 │1 │20
" 0,01 " 0,025 │1 │10
" 0,025 " 0,05 │0,5 │5
" 0,05 " 0,1 │0,5 │2
" 0,1 " 0,5 │0,1 │10
Воронку с осадком помещают над стаканом, в котором проводили осаждение, растворяют осадок в 20 см3 горячей соляной кислоты, разбавленной 1:3, добавляя несколько капель перекиси водорода при наличии в бронзе марганца.
Фильтр промывают 20 см3 горячей воды, разбавляют раствор до 150 см3 водой, добавляют 15 см3 трилона Б и повторяют осаждение.
После трехкратного переосаждения осадок на фильтре растворяют в 25 см3 соляной кислоты, разбавленной 1:3, переносят в мерную колбу вместимостью 50 см3, доводят раствор до метки тем же раствором соляной кислоты и перемешивают.
Одновременно проводят контрольный опыт.
Аликвотную часть полученного раствора (см. табл. 2) переносят в полярографическую ячейку, предварительно промытую соляной кислотой, разбавленной 1:3. Раствор в ячейке деаэрируют, пропуская азот в течение 5 - 7 мин, затем прекращают перемешивание и снимают катодную поляризационную кривую в интервале напряжений от минус 0,25 до минус 0,7 В. Пик восстановления олова регистрируется при минус 0,5 В. Чувствительность регистрирующего прибора выбирают таким образом, чтобы высота пика олова была не менее 15 мм.
Содержание олова находят методом стандартных добавок. Аликвотную часть раствора А или Б, в зависимости от содержания олова, вводят в полярографируемый раствор, пропускают азот в течение 3 мин и далее ведут анализ так же, как при определении олова в анализируемом растворе. Величину стандартной добавки выбирают таким образом, чтобы высота пика олова после введения добавки увеличилась в 1,5 - 2 раза. Объем стандартной добавки не должен превышать 0,5 см3.
4.4. Обработка результатов
4.4.1. Массовую долю олова (

) в процентах вычисляют по формуле

,
где

- высота пика олова при полярографировании раствора контрольного опыта, мм;
h - высота пика олова при полярографировании анализируемого раствора, мм;

- высота пика олова при полярографировании раствора после введения стандартной добавки, мм;
V - объем стандартной добавки, см3;
С - концентрация стандартного раствора, г/см3;
m - масса сплава, взятая на полярографирование, г.
4.4.2. Абсолютные расхождения результатов параллельных определений (d - показатель сходимости) не должны превышать допускаемых значений, приведенных в табл. 3.
Таблица 3
────────────────────────┬─────────────────────┬───────────────────
Массовая доля олова, % │ d, % │ D, %
────────────────────────┼─────────────────────┼───────────────────
От 0,001 до 0,003 │0,0002 │0,0005
Св. 0,003 " 0,006 │0,0005 │0,001
" 0,006 " 0,010 │0,001 │0,002
" 0,01 " 0,025 │0,002 │0,005
" 0,025 " 0,05 │0,005 │0,01
" 0,05 " 0,1 │0,01 │0,02
" 0,1 " 0,5 │0,02 │0,05
(Измененная редакция, Изм. N 2).
4.4.2а. Абсолютные расхождения результатов анализа, полученных в двух различных лабораториях, или двух результатов анализа, полученных в одной лаборатории, но при различных условиях (D - показатель воспроизводимости), не должны превышать значений, приведенных в табл. 3.
4.4.2б. Контроль точности результатов анализа
Контроль точности результатов анализа проводят по Государственным стандартным образцам безоловянных бронз, аттестованным в установленном порядке, или методом добавок в соответствии с
ГОСТ 25086-87.
4.4.2а, 4.4.2б. (Введены дополнительно, Изм. N 2).
4.4.3. При разногласиях в оценке качества бронз применяют полярографический метод.
5. ФОТОМЕТРИЧЕСКИЙ МЕТОД ОПРЕДЕЛЕНИЯ ОЛОВА С ФЕНИЛФЛУОРОНОМ
ПОСЛЕ ОТДЕЛЕНИЯ СООСАЖДЕНИЕМ С ДВУОКИСЬЮ МАРГАНЦА
Метод основан на измерении оптической плотности окрашенного комплексного соединения олова с фенилфтолуолом в присутствии аскорбиновой и лимонной кислот, маскирующих железо и сурьму, соответственно, после предварительного отделения олова соосаждением с двуокисью марганца.
5.2. Аппаратура, реактивы и растворы
Фотоэлектроколориметр или спектрофотометр.
Кислота азотная по
ГОСТ 4461-77, разбавленная 1:1 и раствор 2 моль/дм3.
Кислота серная по
ГОСТ 4204-77 и разбавленная 1:1, и 1:4 и раствор 2 моль/дм3.
Кислота аскорбиновая по нормативно-технической документации, раствор 20 г/дм3, свежеприготовленный.
Кислота лимонная по
ГОСТ 3652-69, раствор 200 г/дм3, свежеприготовленный.
Марганец азотнокислый по ТУ 6-09-4011-75, раствор 50 г/дм3.
| | ИС МЕГАНОРМ: примечание. Взамен ГОСТ 11293-78 Постановлением Госстандарта СССР от 26.12.1989 N 4152 с 01.07.1991 введен в действие ГОСТ 11293-89. | |
Желатин пищевой по ГОСТ 11293-78, раствор 10 г/дм3, свежеприготовленный.
Фенилфлуорон, спиртовой раствор 0,5 г/дм3; готовят следующим образом: 0,05 г фенилфлуорона растворяют при нагревании в 50 см3 этилового спирта с добавлением 1 см3 серной кислоты, разбавленной 1:1. Раствор охлаждают, переносят в мерную колбу вместимостью 100 см3, доливают до метки этиловым спиртом и сохраняют в темном месте.
Олово по
ГОСТ 860-75 с массовой долей олова не менее 99,9%.
Стандартные растворы олова
Раствор А; готовят следующим образом: 0,1 г олова растворяют в 10 см3 концентрированной серной кислоты, раствор охлаждают, переносят в мерную колбу вместимостью 1000 см3, доливают до метки раствором 2 моль/дм3 серной кислоты и перемешивают.
1 см3 раствора А содержит 0,0001 г олова.
Раствор Б; готовят следующим образом: 25 см3 раствора А помещают в мерную колбу вместимостью 250 см3, доливают до метки раствором 2 моль/дм3 серной кислоты и перемешивают.
1 см3 раствора Б содержит 0,00001 г олова.
5.3.1. Для бронз с массовой долей кремния до 0,05%
Навеску сплава в зависимости от массовой доли олова (см. табл. 4) помещают в стакан вместимостью 250 см3 и растворяют в 10 см3 азотной кислоты, разбавленной 1:1, при нагревании. Окислы азота удаляют кипячением и раствор разбавляют водой до объема 50 см3. Добавляют 5 см3 раствора азотнокислого марганца (при массовой доле марганца в сплаве более 2% раствор азотнокислого марганца не добавляют), раствор нейтрализуют аммиаком до появления осадка гидроокиси меди, добавляют 24 см3 азотной кислоты, разбавленной 1:1, и воды до объема 90 см3. Раствор нагревают до кипения, добавляют 10 см3 раствора марганцовокислого калия и кипятят в течение 2 мин. Через 30 мин осадок отфильтровывают на плотный фильтр и промывают стакан и осадок 8 - 10 раз горячим раствором 1 моль/дм3 азотной кислоты до исчезновения синей окраски образовавшейся азотнокислой меди. Осадок с развернутого фильтра смывают водой в стакан, в котором проводили осаждение, фильтр промывают 10 см3 горячего раствора серной кислоты, разбавленной 1:4, содержащего несколько капель раствора перекиси водорода, а затем водой.
Таблица 4
────────────────┬────────┬────────┬──────────────┬────────────────
Массовая доля │ Масса │ Объем │Объем аликвот-│Объем 2 моль/дм3
олова, % │навески,│раствора│ной части │раствора серной
│ г │ пробы, │раствора, см3 │ кислоты, см3
│ │ см3 │ │
────────────────┼────────┼────────┼──────────────┼────────────────
От 0,01 до 0,06│1 │100 │10 │0,5
Св. 0,06 " 0,12│1 │100 │ 5 │1,5
" 0,12 " 0,25│0,5 │250 │10 │0,5
" 0,25 " 0,50│0,5 │250 │ 5 │1,5
Промытый фильтр отбрасывают, а фильтрат выпаривают до выделения белого дыма серной кислоты. К охлажденному остатку добавляют, при массовой доле олова от 0,01 до 0,12% - 20 см3, а при массовой доле олова свыше 0,12% - 50 см3 раствора 2 моль/дм3 серной кислоты и раствор переносят в соответствующую мерную колбу (см. табл. 4), доливают до метки водой и перемешивают.
Аликвотную часть раствора (см. табл. 4) помещают в мерную колбу вместимостью 25 см3, добавляют указанный в табл. 4 объем раствора 2 моль/дм3 серной кислоты и поочередно, перемешивая после добавки каждого реактива, добавляют 2 см3 раствора аскорбиновой кислоты, 5 см3 раствора лимонной кислоты, 1 см3 раствора желатина, 3 см3 ацетона, 2 см3 раствора фенилфлуорона, доливают водой до метки и перемешивают. По истечении 30 мин измеряют оптическую плотность раствора на фотоэлектроколориметре с желто-зеленым светофильтром или на спектрофотометре при длине волны 510 нм в кювете длиной 1 см. Раствором сравнения служит раствор контрольного опыта.
(Измененная редакция, Изм. N 2).
5.3.2. Для бронз с массовой долей кремния свыше 0,05%
Навеску сплава (см. табл. 4) помещают в платиновую чашку и растворяют в 10 см3 азотной кислоты, разбавленной 1:1, и 2 - 3 см3 фтористоводородной кислоты при нагревании.
После растворения добавляют 10 см3 серной кислоты, разбавленной 1:1, и раствор выпаривают до появления белого дыма серной кислоты. Остаток охлаждают, ополаскивают стенки чашки водой и вновь выпаривают до появления белого дыма серной кислоты. Остаток охлаждают, стенки чашки ополаскивают 20 см3 воды, нагревают раствор, переносят в стакан вместимостью 250 см3, доливают водой до объема 50 см3, добавляют 5 см3 раствора азотнокислого марганца и далее анализ проводят, как указано в
п. 5.3.1.
5.3.3. Построение градуировочного графика
В семь из восьми стаканов вместимостью по 50 см3 помещают 1,0; 2,0; 3,0; 4,0; 5,0; 6,0 и 7,0 см3 стандартного раствора Б олова, растворы выпаривают досуха и охлаждают. Во все стаканы добавляют по 2,5 см3 раствора 2 моль/дм3 серной кислоты, нагревают раствор, добавляют по 2 см3 раствора аскорбиновой кислоты, охлаждают и далее анализ проводят, как указано в
п. 5.3.1.
Раствором сравнения служит раствор, не содержащий олова.
По полученным данным строят градуировочный график.
5.4. Обработка результатов
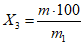
5.4.1. Массовую долю олова (

) в процентах вычисляют по формуле

,
где m - масса олова, найденная по градуировочному графику, г;

- масса навески, соответствующая аликвотной части раствора, г.
5.4.2. Абсолютные расхождения результатов параллельных определений (d - показатель сходимости) не должны превышать допускаемых значений, приведенных в
табл. 1.
(Измененная редакция, Изм. N 2).
5.4.3. Абсолютные расхождения результатов анализа, полученных в двух различных лабораториях, или двух результатов анализа, полученных в одной лаборатории, но при различных условиях (D - показатель воспроизводимости), не должны превышать значений, приведенных в
табл. 1.
5.4.4. Контроль точности результатов анализа
Контроль точности результатов анализа проводят по
п. 2.4.4.
5.4.3, 5.4.4. (Введены дополнительно, Изм. N 2).
6. АТОМНО-АБСОРБЦИОННЫЙ МЕТОД ОПРЕДЕЛЕНИЯ ОЛОВА
(ПРИ МАССОВОЙ ДОЛЕ ОЛОВА ОТ 0,01 ДО 0,25%)
Метод основан на измерении абсорбции света атомами олова, образующимися при введении анализируемого раствора в пламя ацетилен-воздух или ацетилен-закись азота, после предварительного отделения олова соосаждением с двуокисью марганца.
6.2. Аппаратура, реактивы и растворы
Атомно-абсорбционный спектрометр с источником излучения для олова.
Кислота азотная по
ГОСТ 4461-77, разбавленная 1:1 и раствор 1,5 моль/дм3.
Кислота серная по
ГОСТ 4204-77, разбавленная 1:1, 1:4 и раствор 2,5 моль/дм3.
Марганец азотнокислый по ТУ 6-09-4011-75, раствор 20 г/дм3.
Олово по
ГОСТ 860-75 с массовой долей олова не менее 99,9%.
Стандартный раствор олова; готовят следующим образом: 0,25 г олова растворяют при нагревании в 20 см3 концентрированной серной кислоты, раствор охлаждают, переносят в мерную колбу вместимостью 500 см3 и доливают до метки раствором 2 моль/дм3 серной кислоты и перемешивают.
1 см3 раствора содержит 0,0005 г олова.
6.3.1. Для бронз с массовой долей кремния до 0,05%
Навеску сплава в зависимости от массовой доли олова (см. табл. 5) помещают в стакан вместимостью 250 см3 и растворяют при нагревании в азотной кислоте, разбавленной 1:1, объем которой берут в соответствии с указанным в табл. 5.
Таблица 5
──────────────────────┬───────────┬───────────────────────────────
Массовая доля олова, %│ Масса │Объем раствора азотной кислоты,
│навески, г │ разбавленной 1:1, см3
──────────────────────┼───────────┼───────────────────────────────
От 0,01 до 0,10 │2 │20
Св. 0,10 до 0,25 │1 │10
Окислы азота удаляют кипячением и раствор разбавляют водой до объема 50 см3. Доливают 5 см3 раствора азотнокислого марганца, раствор нейтрализуют аммиаком до появления осадка гидроокиси меди, добавляют 18 см3 азотной кислоты, разбавленной 1:1, и воды до объема 90 см3. Раствор нагревают до кипения, добавляют 10 см3 раствора марганцовокислого калия и кипятят в течение 2 мин. Через 30 мин осадок отфильтровывают на плотный фильтр и промывают стакан и осадок 4 - 5 раз горячим раствором 1,5 моль/дм3 азотной кислоты. Осадок с развернутого фильтра смывают водой в стакан, в котором проводили осаждение, фильтр промывают 10 см3 горячего раствора серной кислоты, разбавленной 1:4, содержащего несколько капель раствора перекиси водорода, а затем водой. Промытый фильтр отбрасывают, а раствор выпаривают до влажных солей. После охлаждения добавляют 8 см3 раствора 1 моль/дм3 соляной кислоты, переносят в мерную колбу или градуировочную пробирку вместимостью 10 см3 и доливают до метки раствором 1 моль/дм3 соляной кислоты.
Измеряют атомную абсорбцию олова в пламени ацетилен-воздух или ацетилен-закись азота при длине волны 224,6 или 286,3 нм параллельно с градуировочными растворами.
6.3.2. Для бронз с массовой долей кремния свыше 0,05%
Навеску сплава (см. табл. 5) помещают в платиновую чашку и растворяют при нагревании в азотной кислоте, разбавленной 1:1, объем которой берут в соответствии с указанным в табл. 5, и 2 см3 фтористоводородной кислоты. После растворения добавляют 10 см3 серной кислоты, разбавленной 1:1, и раствор выпаривают до появления белого дыма серной кислоты. Остаток охлаждают, ополаскивают стенки чашки водой и вновь выпаривают до появления белого дыма серной кислоты. Остаток охлаждают, стенки чашки ополаскивают 20 см3 воды, нагревают раствор, переносят в стакан вместимостью 250 см3, доливают водой до объема 50 см3, добавляют 5 см3 раствора азотнокислого марганца и далее анализ проводят, как указано в
п. 6.3.1.
6.3.3. Построение градуировочного графика
В семь из восьми стаканов вместимостью по 250 см3 помещают 0,4; 1,0; 2,0; 3,0; 4,0; 5,0 и 6,0 см3 стандартного раствора олова. Во все стаканы добавляют воду до объема 50 см3, добавляют по 5 см3 раствора азотнокислого марганца и далее анализ проводят как указано в
п. 6.3.1.
По полученным данным строят градуировочный график.
6.4. Обработка результатов
6.4.1. Массовую долю олова (

) в процентах вычисляют по формуле

,
где С - концентрация олова, найденная по градуировочному графику, г/см3;
V - объем конечного раствора пробы, см3;
m - масса навески, г.
6.4.2. Абсолютные расхождения результатов параллельных определений (d - показатель сходимости) не должны превышать допускаемых значений, приведенных в табл. 1.
(Измененная редакция, Изм. N 2).
6.4.3. Абсолютные расхождения результатов анализа, полученных в двух различных лабораториях, или двух результатов анализа, полученных в одной лаборатории, но при различных условиях (D - показатель воспроизводимости), не должны превышать значений, приведенных в
табл. 1.
6.4.4. Контроль точности результатов анализа
Контроль точности результатов анализа по Государственным стандартным образцам проводят по
п. 2.4.4.
6.4.3, 6.4.4. (Введены дополнительно, Изм. N 2).
7. АТОМНО-АБСОРБЦИОННЫЙ МЕТОД ОПРЕДЕЛЕНИЯ ОЛОВА
(ПРИ МАССОВОЙ ДОЛЕ ОЛОВА ОТ 0,25 ДО 0,5%)
Метод основан на измерении абсорбции света атомами олова, образующимися при введении анализируемого раствора в пламя ацетилен-воздух или ацетилен-закись азота.
7.2. Аппаратура, реактивы и растворы
Атомно-абсорбционный спектрометр с источником излучения для олова.
Смесь кислот; готовят следующим образом: объем азотной кислоты смешивают с тремя объемами соляной кислоты.
Олово по
ГОСТ 860-75 с массовой долей олова не менее 99,9%.
Стандартные растворы олова
Раствор А; готовят следующим образом: 0,5 г олова растворяют на водяной бане в 10 см3 смеси кислот, раствор охлаждают, переносят в мерную колбу вместимостью 100 см3 и доливают до метки раствором 2 моль/дм3 соляной кислоты.
1 см3 раствора А содержит 0,005 г олова.
Раствор Б; готовят следующим образом: 10 см3 раствора А переносят в мерную колбу вместимостью 100 см3 и доливают до метки раствором 2 моль/дм3 соляной кислоты.
1 см3 раствора Б содержит 0,0005 г олова.
7.3.1. Навеску бронзы массой 1 г помещают в стакан вместимостью 250 см3 и растворяют при нагревании в 10 см3 смеси кислот.
Раствор охлаждают, переносят в мерную колбу вместимостью 100 см3, ополаскивают стенки стакана раствором 1 моль/дм3 соляной кислоты и доливают до метки той же кислотой.
Измеряют атомную абсорбцию олова в пламени ацетилен-воздух или ацетилен-закись азота при длине волны 224,6 или 286,3 нм параллельно с градуировочными растворами.
7.3.2. Построение градуировочного графика
В десять из одиннадцати мерных колб вместимостью по 100 см3 помещают 4,0; 10,0 см3 стандартного раствора Б и 2,0; 3,0; 4,0; 6,0; 8,0; 10,0; 12,0 и 14,0 см3 стандартного раствора А олова. Все колбы доливают до метки раствором 2 моль/дм3 соляной кислоты.
Измеряют атомную абсорбцию олова, как указано в п. 7.3.1. По полученным данным строят градуировочный график.
7.4. Обработка результатов
7.4.1. Массовую долю олова (

) в процентах вычисляют по формуле

,
где С - концентрация олова, найденная по градуировочному графику, г/см3;
V - объем раствора пробы, см3;
m - масса навески, г.
7.4.2. Абсолютные расхождения результатов параллельных определений (d - показатель сходимости) не должны превышать допускаемых значений, приведенных в табл. 1.
(Измененная редакция, Изм. N 2).
7.4.3. Абсолютные расхождения результатов анализа, полученных в двух различных лабораториях, или двух результатов анализа, проведенных в одной лаборатории, но при различных условиях (D - показатель воспроизводимости), не должны превышать значений, приведенных в
табл. 1.
7.4.4. Контроль точности результатов анализа
Контроль точности результатов анализа олова проводят по
п. 2.4.4.
7.4.3, 7.4.4. (Введены дополнительно, Изм. N 2).