Главная // Актуальные документы // ГОСТ (Государственный стандарт)СПРАВКА
Источник публикации
М.: ИПК Издательство стандартов, 2003
Примечание к документу
По сведениям, размещенным на Информационном портале Росстандарта по адресу http://standard.gost.ru/, "со сроком действия до 01.10.2022" исключены Приказом Росстандарта от 06.09.2022 N 879-ст.
Действие данного документа восстановлено на территории Российской Федерации исключительно в отношении продукции, изготавливаемой и поставляемой по нормативной документации, разработанной до 01.10.2019, со сроком действия до 01.10.2022 (
Приказ Росстандарта от 24.09.2020 N 676-ст).
Документ утратил силу на территории Российской Федерации с 01.10.2019, за исключением продукции, изготавливаемой и поставляемой по Государственному оборонному заказу, в связи с изданием
Приказа Росстандарта от 22.05.2019 N 214-ст. Взамен введен в действие
ГОСТ Р 58416-2019.
С 1 июля 2003 года до вступления в силу технических регламентов акты федеральных органов исполнительной власти в сфере технического регулирования носят рекомендательный характер и подлежат обязательному исполнению только в части, соответствующей целям, указанным в
пункте 1 статьи 46 Федерального закона от 27.12.2002 N 184-ФЗ.
Документ
введен в действие с 01.01.1981.
Взамен ГОСТ 11326.0-71.
Название документа
"ГОСТ 11326.0-78. Межгосударственный стандарт. Кабели радиочастотные. Общие технические условия"
(утв. и введен в действие Постановлением Госстандарта СССР от 09.08.1978 N 2148)
(ред. от 01.07.1988)
"ГОСТ 11326.0-78. Межгосударственный стандарт. Кабели радиочастотные. Общие технические условия"
(утв. и введен в действие Постановлением Госстандарта СССР от 09.08.1978 N 2148)
(ред. от 01.07.1988)
Утвержден и введен в действие
Постановлением Государственного
комитета по стандартам
от 9 августа 1978 г. N 2148
МЕЖГОСУДАРСТВЕННЫЙ СТАНДАРТ
КАБЕЛИ РАДИОЧАСТОТНЫЕ
ОБЩИЕ ТЕХНИЧЕСКИЕ УСЛОВИЯ
Radio-frequency cables. General specifications
ГОСТ 11326.0-78
| | Список изменяющих документов (в ред. Изменения N 1, утв. в мае 1985 г., Изменения N 2, утв. в июле 1988 г.) | |
Дата введения
1 января 1981 года
1. РАЗРАБОТАН И ВНЕСЕН Министерством электротехнической промышленности СССР
2. УТВЕРЖДЕН И ВВЕДЕН В ДЕЙСТВИЕ Постановлением Государственного комитета по стандартам от 09.08.78 N 2148
3. Стандарт полностью соответствует СТ СЭВ 1100-78
4. В стандарт введены международные стандарты МЭК 78-67, МЭК 96-0-70, МЭК 96-1-86, МЭК 96-3-82
5. ВЗАМЕН ГОСТ 11326.0-71
6. ССЫЛОЧНЫЕ НОРМАТИВНО-ТЕХНИЧЕСКИЕ ДОКУМЕНТЫ
Обозначение НТД, на который дана ссылка | Номер пункта |
| |
| |
| |
| |
| |
| |
| |
| |
| |
| |
| |
| |
| |
| |
| |
| | ИС МЕГАНОРМ: примечание. ГОСТ 8325-93 утратил силу с 1 июня 2016 года в связи с введением в действие ГОСТ 8325-2015 (Приказ Росстандарта от 21.07.2015 N 958-ст). | |
|
ГОСТ 8325-93 | |
| |
| |
| |
| |
| |
| |
| | ИС МЕГАНОРМ: примечание. ГОСТ 16336-77 утратил силу с 1 января 2015 года в связи с введением в действие ГОСТ 16336-2013 (Приказ Росстандарта от 22.11.2013 N 1835-ст). Приказом Росстандарта от 01.03.2016 N 101-ст срок действия ГОСТ 16336-77 восстановлен для добровольного применения на территории Российской Федерации с 1 марта 2016 года в отношении продукции, поставляемой по Государственному оборонному заказу. | |
|
ГОСТ 16336-77 | |
| |
| |
| |
| |
ТУ 16.1271-087-90 | |
ТУ 16.1271-088-90 | |
7. Ограничение срока действия снято по протоколу N 7-95 Межгосударственного совета по стандартизации, метрологии и сертификации (ИУС 11-95)
8. ИЗДАНИЕ (октябрь 2003 г.) с Изменениями N 1, 2, утвержденными в мае 1985 г., июле 1988 г. (ИУС 8-85, 12-88)
1. ТИПЫ, ОСНОВНЫЕ ПАРАМЕТРЫ И РАЗМЕРЫ
1.1. Кабели должны изготовляться следующих типов:
РК - радиочастотные коаксиальные кабели;
РД - радиочастотные двухпроводные кабели без экрана, в отдельных экранах или общем экране;
РС - радиочастотные кабели со спиральными проводниками коаксиальные и двухпроводные;
РИ - радиочастотные излучающие кабели со специальными отверстиями во внешнем проводнике.
(Измененная редакция, Изм. N 1, 2).
1.2. Кабели по конструктивному выполнению изоляции разделяются на три группы:
- кабели со сплошной изоляцией, у которых все пространство между внутренним и внешним проводниками (коаксиальные кабели) или между проводниками или их экраном (двухпроводные кабели) заполнено монолитной изоляцией или обмоткой из изоляционных лент;
- кабели с воздушной изоляцией, у которых на внутреннем проводнике (коаксиальные кабели) или проводниках (двухпроводные кабели) через определенные интервалы имеются выполненные из изоляционного материала опорные элементы или кордель, наложенный спирально, образующие изоляционный каркас между проводниками;
- кабели с полувоздушной изоляцией - то же, что и с воздушной, но у которых имеется дополнительная трубка в виде изоляционного материала монолитная или в виде обмотки из лент, расположенная поверх или (и) под изоляционным каркасом.
К полувоздушной изоляции относится также пористая пластмассовая, баллонная и изоляция в виде шлицованной трубки.
(Измененная редакция, Изм. N 2).
1.3. Номинальные значения волнового сопротивления для кабелей устанавливают из следующих параметрических рядов:
- типа РК - 50, 75, 100, 150 и 200 Ом;
- типа РС - 50, 75, 100, 150, 200, 400, 800, 1600 и 3200 Ом;
- типа РД - 50, 75, 100, 150, 200 и 300 Ом;
- типа РИ - 50 и 75 Ом.
Допускается в технически обоснованных случаях устанавливать волновое сопротивление менее 50 Ом. Значения выбирают из ряда: 6; 9,5; 12,5; 19; 25; 37,5 Ом.
1.4. Номинальный диаметр по изоляции коаксиального кабеля, двухпроводного кабеля в отдельных экранах и наибольший размер по заполнению или скрутке двухпроводного кабеля без отдельных экранов или в общем экране должен быть равен одной из величин следующего ряда: 0,15; 0,30; 0,60; 0,87; 1,0; 1,5; 2,2; 2,95; 3,7; 4,6; 4,8; 5,6; 7,25; 9,0; 11,5; 13,0; 17,3; 24,0; 33,0; 44,0; 60,0; 75,0 мм. Допускается разработка и изготовление кабелей диаметром менее 0,15 и более 75 мм.
Допускается выбирать номинальное значение диаметра по изоляции с отклонением от значений размерного ряда не более чем на +/- 0,3 мм для среднегабаритных кабелей и не более чем на +/- 0,15 мм для субминиатюрных и миниатюрных кабелей. Конкретные значения диаметра по изоляции указывают в стандартах или технических условиях на кабели определенных марок.
Для кабелей с трубчатым и сварным гофрированным внешним проводником диаметр по изоляции принимают равным наименьшему внутреннему диаметру внешнего проводника.
Номинальный диаметр сердечника кабеля со спиральным внутренним проводником должен быть равен одному из следующих значений 3 и 7 мм. Допускаются другие значения диаметров, которые должны быть указаны в стандартах или технических условиях на кабели определенных марок.
1.3, 1.4. (Измененная редакция, Изм. N 1, 2).
1.5. Кабели в зависимости от номинального диаметра по изоляции разделяют на четыре группы:
- субминиатюрные диаметром до 1 мм;
- миниатюрные диаметром от 1,5 до 2,95 мм;
- среднегабаритные диаметром от 3,7 до 11,5 мм;
- крупногабаритные диаметром более 11,5 мм.
(Измененная редакция, Изм. N 2).
1.6. По максимальной рабочей температуре при эксплуатации (теплостойкости) кабели разделяют на три категории:
- обычной теплостойкости - для температур до 125 °C включительно;
- повышенной теплостойкости - для температур свыше 125 °C до 250 °C включительно;
- высокой теплостойкости - для температур свыше 250 °C.
(Измененная редакция, Изм. N 1).
1.7. Марки кабелей должны состоять из букв, означающих тип кабеля, и трех чисел (разделительных тире).
Первое число означает значение номинального волнового сопротивления.
Второе число означает:
- для коаксиальных кабелей - значение номинального диаметра по изоляции, округленное до ближайшего меньшего целого числа для диаметров более 2 мм (за исключением диаметра 2,95 мм, который должен быть округлен до 3, и диаметра 3,7 мм, который округлять не следует);
- для кабелей со спиральными внутренними проводниками - значение номинального диаметра сердечника;
- для двухпроводных кабелей с проводниками в отдельных экранах - значение диаметра по изоляции, округленное так же как и для коаксиальных кабелей;
- для двухпроводных кабелей с проводниками в общей изоляции или скрученных из отдельно изолированных проводников - значение наибольшего размера по заполнению или диаметра по скрутке.
Третье - двух- или трехзначное число - означает: первая цифра - группу изоляции и категорию теплостойкости кабеля, а последующие цифры означают порядковый номер разработки.
Кабелям соответствующей теплостойкости присвоено следующее цифровое обозначение:
1 - обычной теплостойкости со сплошной изоляцией;
2 - повышенной теплостойкости со сплошной изоляцией;
3 - обычной теплостойкости с полувоздушной изоляцией;
4 - повышенной теплостойкости с полувоздушной изоляцией;
5 - обычной теплостойкости с воздушной изоляцией;
6 - повышенной теплостойкости с воздушной изоляцией;
7 - высокой теплостойкости.
К марке кабелей повышенной однородности или повышенной стабильности параметров в конце через тире добавляют букву С.
В марках кабелей, защитный покров которых относится к типам, предусмотренным
ГОСТ 7006, в конце марки через тире должно быть указано буквенное обозначение типа брони. В технически обоснованных случаях допускается введение дополнительных буквенных обозначений, что должно быть оговорено в стандарте или технических условиях на кабель определенной марки.
Условное обозначение при заказе должно состоять из марки кабеля, обозначения стандарта или технических условий на кабели определенных марок.
Пример условного обозначения радиочастотного коаксиального кабеля с номинальным волновым сопротивлением 50 Ом, со сплошной изоляцией обычной теплостойкости, номинальным диаметром по изоляции 4,6 мм и номером разработки 1:
Кабель РК 50-4-11 ГОСТ (ТУ) <*>
То же, коаксиального кабеля повышенной однородности с номинальным волновым сопротивлением 50 Ом, со сплошной изоляцией обычной теплостойкости, номинальным диаметром по изоляции 4,6 мм и номером разработки 1:
Кабель РК 50-4-11-С ГОСТ (ТУ) <*>
То же, коаксиального кабеля с номинальным волновым сопротивлением 75 Ом, со сплошной изоляцией обычной теплостойкости, номинальным диаметром по изоляции 44 мм, номером разработки 5, защитным покровом типа Б по
ГОСТ 7006:
Кабель РК 75-44-15-Б ГОСТ (ТУ) <*>
То же кабель, со спиральным проводником (проводниками) с номинальным волновым сопротивлением 400 Ом, со сплошной изоляцией обычной теплостойкости, номинальным диаметром сердечника 7,0 мм, номером разработки 1:
Кабель РС 400-7-11 ГОСТ (ТУ) <*>
То же, коаксиального кабеля с номинальным волновым сопротивлением 50 Ом, со сплошной изоляцией повышенной теплостойкости, номинальным диаметром по изоляции 3 мм и номером разработки 6:
Кабель РК 50-3-26 ГОСТ (ТУ) <*>
--------------------------------
<*> Номер НТД на определенную марку кабеля.
(Измененная редакция, Изм. N 1, 2).
2. ТЕХНИЧЕСКИЕ ТРЕБОВАНИЯ
2.1.1. Кабели должны изготовляться в соответствии с требованиями настоящего стандарта и стандартов или технических условий на кабели определенных марок по конструкторской и технологической документации, утвержденной в установленном порядке.
Конкретный состав требований из числа приведенных в настоящем стандарте, которым должны соответствовать кабели определенных марок, устанавливают в соответствующих стандартах или технических условиях. В технически обоснованных случаях в стандартах или технических условиях на кабели определенных марок могут быть установлены и другие требования, не предусмотренные настоящим стандартом.
(Измененная редакция, Изм. N 1, 2).
2.1.2. В стандартах или технических условиях на кабели определенных марок для требований по пониженной рабочей температуре (холодостойкости) допуску на волновое сопротивление, коэффициенту затухания должны быть установлены два уровня норм параметров:
а) при приемке и поставке;
б) на период эксплуатации и хранения.
В технически обоснованных случаях, в зависимости от конструкции и применения кабеля, могут устанавливаться два уровня норм для других параметров, что должно быть указано в стандарте или технических условиях на кабель определенной марки.
(Измененная редакция, Изм. N 1).
2.2. Требования к конструкции
2.2.1. Конструктивные элементы и основные размеры кабелей должны соответствовать указанным в соответствующем стандарте или технических условиях на кабели определенных марок.
2.2.2. Соединение многопроволочных проводников производится способом пайки или сварки.
Пайка должна выполняться серебряным припоем марки не ниже ПСр-45 по
ГОСТ 19738.
Сварка или пайка многопроволочных проводников производится вразгон. Расстояние между местами сварки или пайки отдельных проволок должно быть не менее 100 мм. В местах пайки или сварки не должно быть заусенцев и наплывов.
При пайке посеребренных проволок в многопроволочном проводнике в местах паек допускаются местные оголения меди.
Допускается сварка или пайка однопроволочных проводников, что должно быть указано в стандартах или технических условиях на кабели определенных марок.
Применение при пайке кислот не допускается.
(Измененная редакция, Изм. N 1, 2).
2.2.3. Изоляция коаксиальных кабелей и отдельно изолированных проводников двухпроводных кабелей должна быть наложена концентрично.
Эксцентричность сплошной или пористой изоляции допускается не более 10%.
Для миниатюрных и субминиатюрных кабелей допускается другое значение эксцентричности, которое должно быть указано в стандартах или технических условиях на кабели определенных марок. Для изоляции, выполненной в виде обмотки из изоляционных лент, корделей, эксцентричность не нормируется.
2.2.4. Изоляция отдельно изолированных скрученных проводников двухпроводных кабелей может отличаться цветом или другим признаком.
2.2.5. Отклонения от номинального значения диаметра по изоляции должны быть не более указанных в табл. 1. Отклонения от номинального значения диаметра по изоляции, или от наибольшего размера по заполнению или диаметра по скрутке должны быть указаны в соответствующем стандарте или технических условиях на кабели определенных марок.
Таблица 1
В миллиметрах
Номинальный диаметр изоляции | Отклонение от номинального диаметра изоляции |
Сплошная изоляция | Полувоздушная или воздушная изоляция | Для кабелей повышенной однородности |
Сплошная изоляция | Полувоздушная или воздушная изоляция |
0,6 | +/- 0,07 | - | - | - |
0,87 |
1,0 | +/- 0,10 | +/- 0,05 |
1,5 |
2,2 | +/- 0,10 |
2,95 | +/- 0,13 | +/- 0,15 |
3,7 |
4,6 | +/- 0,20 | +/- 0,30 | +/- 0,15 |
4,8 | - | - |
5,6 | +/- 0,10 | +/- 0,15 |
7,25 | +/- 0,25 |
9,0 |
11,5 | +/- 0,30 | +/- 0,50 | +/- 0,15 | +/- 0,25 |
13,0 | +/- 0,40 |
17,3 | +/- 0,60 | +/- 0,20 | +/- 0,30 |
24,0 | +/- 0,70 | +/- 0,80 | +/- 0,30 | +/- 0,35 |
33,0 | +/- 0,80 | +/- 1,00 | +/- 0,40 | +/- 0,40 |
44,0 | +/- 1,00 | +/- 1,20 | +/- 0,50 | +/- 0,50 |
60,0 | - | +/- 1,40 | - | +/- 0,60 |
75,0 | +/- 1,60 | +/- 0,70 |
2.2.3 - 2.2.5. (Измененная редакция, Изм. N 2).
2.2.6. Плотность оплетки, являющейся внешним проводником или экраном или входящей в состав защитного покрова, должна удовлетворять требованию соответствующего стандарта или технических условий на кабели определенных марок.
Плотность оплетки должна быть нормирована для номинального размера оплетаемого элемента кабеля.
В оплетке допускается отсутствие пряди на длине не более трех шагов при условии сохранения на этом участке прядей другого направления.
Расстояние между местами заправок отдельных прядей должно быть не менее 50 мм.
Сращивание оплетки или отдельных прядей не допускается.
2.2.7. На поверхности оболочки не должно быть пор и трещин, видимых без применения увеличительных приборов, раковин, вмятин, вздутий и наплывов, выводящих толщину оболочки за предельные отклонения.
В оболочках из пластичных материалов допускается наличие включений, если это указано в стандартах или технических условиях на этих материалы.
Толщина оболочки должна быть не менее указанной в табл. 2.
В миллиметрах
Диаметр под оболочкой или обмоткой | Толщина оболочки из алюминия или свинца, не менее | Толщина оболочки, не менее | Толщина обмотки из пленки фторопласта (расчетная), не менее |
из поливинилхлоридного пластиката или полиэтилена | из фторопласта или его сополимеров | из резины |
До 3 включ. | - | 0,25 | 0,15 | - | 0,10 |
Св. 3 до 6 | 0,35 | 0,20 | 0,5 |
Св. 6 до 9 | 0,70 | 0,50 | 0,30 | 0,7 |
Св. 9 до 13 | 0,80 | 0,60 | 0,40 | 0,9 | 0,18 |
Св. 13 до 18 | 1,05 | 0,80 | 0,50 | 1,0 |
Св. 18 до 24 | 1,15 | 1,00 | 1,2 |
Св. 24 до 33 | 1,20 | - | 1,5 | - |
Св. 33 до 44 | 1,35 | 1,40 | - |
Св. 44 до 75 | 1,60 |
Св. 75 | - | 2,00 |
Минимальная толщина оболочки кабелей типа РД, состоящих из двух параллельно расположенных коаксиалов, должна соответствовать значениям, установленным для оболочек кабелей типа РК с теми же диаметрами по изоляции.
На поверхности гладких или гофрированных металлических трубок, являющихся внешним проводником, не должно быть сквозных трещин, расслоений и раковин, видимых невооруженным глазом. Допускаются цвета побежалости и темные пятна, следы контрольных зачисток, царапины, риски, вмятины, не выводящие размеры внешнего проводника или оболочки кабеля за предельные отклонения.
2.2.6, 2.2.7. (Измененная редакция, Изм. N 1, 2).
2.2.8. Свинцовая оболочка должна изготавливаться из свинца с присадкой сурьмы 0,3 - 0,8% или из сурьмянистого свинца марки ССуМ или ССуМТ.
Примечание. В олово-сурьмянистых сплавах допускается присадка меди до 0,05%.
(Измененная редакция, Изм. N 1).
2.2.9. Толщина обмотки из пленки фторопласта, входящей в состав защитного покрова, должна быть не менее указанной в
табл. 2.
2.2.9а. Номинальный наружный диаметр кабеля по оболочке и допустимые отклонения должны быть указаны в стандартах или технических условиях на кабели определенных марок.
(Введен дополнительно, Изм. N 2).
2.2.10. Строительные длины кабеля и минимальная длина его маломерных отрезков должны быть указаны в соответствующем стандарте или технических условиях на кабели определенных марок.
Общая длина маломерных отрезков не должна быть более 20% от общей длины сдаваемой партии кабеля.
2.2.11. Расчетная масса кабеля на единицу длины должна быть указана в приложении к соответствующему стандарту или техническим условиям на кабели определенных марок.
(Измененная редакция, Изм. N 1).
2.2.12. Материалы, применяемые для изготовления кабелей, должны соответствовать:
- алюминиевая проволока - марке АМ или АМТ по ТУ 16.1271-088;
- медная проволока номинальным диаметром до 0,15 мм включительно - марке ММ или МТ, номинальным диаметром более 0,15 мм - марке ММ по ТУ 16.1271-087;
- медная проволока прямоугольного сечения и медная лента - маркам ПММ и ЛММ по
ГОСТ 434;
- эмалированная проволока;
- свинец - маркам С2, С3 и С3Су по
ГОСТ 3778;
- сурьма - маркам Су0, Су1э, Су2 по
ГОСТ 1089;
- сурьмянистый свинец - маркам ССуМ и ССуМТ по
ГОСТ 1292;
- стальная оцинкованная проволока -
ГОСТ 1526;
| | ИС МЕГАНОРМ: примечание. ГОСТ 16336-77 утратил силу с 1 января 2015 года в связи с введением в действие ГОСТ 16336-2013 (Приказ Росстандарта от 22.11.2013 N 1835-ст). Приказом Росстандарта от 01.03.2016 N 101-ст срок действия ГОСТ 16336-77 восстановлен для добровольного применения на территории Российской Федерации с 1 марта 2016 года в отношении продукции, поставляемой по Государственному оборонному заказу. | |
- композиция полиэтилена - ГОСТ 16336;
- электроизоляционная пленка из фторопласта-4 -
ГОСТ 24222;
- конденсаторная пленка из фторопласта-4 -
ГОСТ 24222;
| | ИС МЕГАНОРМ: примечание. ГОСТ 8325-93 утратил силу с 1 июня 2016 года в связи с введением в действие ГОСТ 8325-2015 (Приказ Росстандарта от 21.07.2015 N 958-ст). | |
- стеклянная нить - ГОСТ 8325;
- профилированная, прямоугольная и посеребренная медная проволока, медная лента, биметаллическая и биметаллическая посеребренная проволока, проволока из сплавов сопротивления, металлические трубки для проводников, фторопласт, полистирол, колпачки из полистирола, резина для изоляции и оболочек, кремнийорганическая резина и кремнийорганические лаки и другие - требованиям нормативно-технической документации, утвержденной в установленном порядке.
Конкретные марки и рецептуры применяемых материалов должны быть указаны в технологической документации. Изменение применяемых марок и рецептур материалов допускается только при согласовании с разработчиком.
2.3. Требования к электрическим параметрам
Нормы электрических параметров кабелей должны быть указаны в стандартах или технических условиях на кабели определенных марок.
2.3.1. Волновое сопротивление, Ом
Предельные отклонения от номинальных значений волнового сопротивления коаксиальных кабелей в диапазоне 50 - 150 Ом включительно на период приемки и поставки должны соответствовать указанным в табл. 3.
Таблица 3
Номинальный диаметр изоляции, мм | Предельное отклонение от номинального волнового сопротивления, Ом |
50 | 75 | 100 | 150 |
Сплошная изоляция | Полувоздушная или воздушная изоляция | Для кабелей повышенной однородности | Сплошная изоляция | Полувоздушная или воздушная изоляция | Для кабелей повышенной однородности | Сплошная изоляция | Полувоздушная изоляция | Полувоздушная изоляция |
Сплошная изоляция | Полувоздушная или воздушная изоляция | Сплошная изоляция | Полувоздушная или воздушная изоляция |
0,60 | +/- 5,0 | - | +/- 3,5 | - | +/- 10 | - | - | - | - | - | - |
0,87 | +/- 3,5 | +/- 2,5 |
1,00 | +/- 2,0 | +/- 7 | +/- 10 |
| +/- 5 |
2,20 | +/- 3,0 |
| +/- 2,5 | +/- 2,5 | +/- 1,5 | +/- 3 | +/- 5,0 | +/- 10 |
3,70 | +/- 2,0 | +/- 3,5 | +/- 1,5 | +/- 2 | - | - | +/- 10 |
4,60 | +/- 1,0 | +/- 1,5 | +/- 5 | +/- 5 |
4,80 | - | - | +/- 5,0 | - | - |
5,60 | +/- 1,0 | +/- 1,5 | +/- 3,5 | +/- 1,5 | +/- 5 |
7,25 | +/- 3,0 |
9,00 | - | - | - |
11,50 | +/- 1,5 | +/- 2,0 | +/- 2,0 |
13,00 |
17,30 |
24,00 | - | - | - | - |
33,00 | +/- 1,0 |
44,00 | - |
60,00 | - | - | +/- 1,5 |
75,00 |
--------------------------------
<*> Для кабелей с изоляцией из полиэтилена +/- 2.
2.2.12 - 2.3.1. (Измененная редакция, Изм. N 1, 2).
2.3.2. Неоднородность волнового сопротивления по длине.
(Измененная редакция, Изм. N 2).
2.3.3. Неравномерность волнового сопротивления.
2.3.4. Температурный коэффициент фазы, 1/10
6·град.
2.3.5. Коэффициент затухания, дБ/м.
2.3.5а. Стабильность коэффициента затухания дБ/м.
(Введен дополнительно, Изм. N 2).
2.3.6. Температурный коэффициент затухания, 1/10
3·град.
2.3.7. Электрическая емкость, пФ/м.
2.3.8. Температурный коэффициент емкости, 1/10
3·град.
2.3.9. Коэффициент укорочения длины волны.
2.3.10. Электрическое сопротивление изоляции постоянному току, МОм·м. (Измененная редакция, Изм. N 2).
2.3.11. Электрическое сопротивление проводников постоянному току, Ом/м.
2.3.12. Сопротивление связи, мОм/м.
2.3.12а. Потери на связь, дБ.
(Введен дополнительно, Изм. N 1).
2.3.13. Напряжение начала внутренних разрядов в изоляции, кВ.
2.3.14. Испытательное напряжение частоты 50 Гц изоляции, кВ.
2.3.15. Испытательное напряжение частоты 50 Гц оболочки, кВ.
2.3.16. Испытательное напряжение высокой частоты изоляции, кВ.
2.3.17. Длительно допускаемая предельная мощность высокой частоты на входе кабеля при определенных температуре окружающего воздуха и КСВн, кВт, или длительно допускаемый ток высокой частоты в узле напряжения, А, или (и) длительно допускаемое напряжение высокой частоты в узле тока, кВ.
2.3.18. Емкостная асимметрия, которая для двухпроводных экранированных кабелей не должна быть более 10%.
В технически обоснованных случаях допускается другое значение, что должно быть предусмотрено стандартом или техническими условиями на кабель определенной марки.
2.3.19. Значения электрических параметров устанавливаются в одном (или нескольких) из видов: предельного значения (не более, не менее); среднего значения, номинального значения; среднеквадратичного или предельного отклонений (относительно среднего или номинального значений).
Номинальные значения параметров, характеризующих свойства конструкции кабеля (без учета технологического разброса и погрешностей метода измерений), рассчитывают по номинальным размерам кабелей.
Формулы для расчета и сравнительного пересчета номинальных значений волнового сопротивления, электрической емкости и коэффициента затухания радиочастотных коаксиальных кабелей разных размеров и различных по конструкции проводников и изоляции, указаны в
приложении.
2.3.20. Электрические параметры по
пп. 2.3.4,
2.3.5,
2.3.12,
2.3.12а,
2.3.16 должны быть нормированы при одной или нескольких из следующих частот: 1,76; 2; 10; 15; 30; 45; 60 МГц; 0,15; 0,2; 0,45; 0,6; 1; 1,5; 2,375; 3; 10; 15; 18; 26 ГГц, по
п. 2.3.3 - в полосе частот, которая должна быть указана в соответствующих стандартах или технических условиях на кабели определенных марок, электрические параметры по
пп. 2.3.7 и
2.3.8 - при частоте 0,8 - 10 кГц.
Формулы для пересчета допускаемых токов, напряжений и мощностей указаны в
приложении.
2.3.18 - 2.3.20. (Измененная редакция, Изм. N 2).
2.4. Требования стойкости к внешним воздействующим факторам
2.4.1. Кабели должны быть стойкими к внешним воздействующим факторам (ВВФ), указанным в табл. 4.
Вид ВВФ | Характеристика ВВФ | Значение | |
Синусоидальная вибрация (вибрационные нагрузки) | Диапазон частот, Гц | 1 - 500 | X |
1 - 2000 | XII |
1 - 5000 | XIV |
Амплитуда ускорения, м/с2 (g) | 100 (10) | X |
200 (20) | XII |
400 (40) | XIV |
Механический удар (ударные нагрузки): - одиночного действия | Пиковое ударное ускорение, м/с2 (g) | 200 (20) | I |
1500 (150) | III |
5000 (500) | V |
10000 (1000) | VI |
Длительного действия ударного ускорения, мс | 2 - 50 | I |
1 - 5 | III |
0,1 - 2,0 | V, VI |
- многократного действия | Пиковое ударное ускорение, м/с2 (g) | 150 (15) | I |
400 (40) | II |
| III |
1500 (150) | IV |
Длительность действия ударного ускорения, мс | 2 - 20 | I |
2 - 10 | II |
2 - 6 | III |
1 - 5 | IV |
Линейное ускорение (линейные нагрузки) | Значение линейного ускорения, м/с2 (g) | 200 (20) | II |
| III |
1000 (100) | IV |
5000 (500) | VI |
--------------------------------
<*> В новых разработках не применять.
2.4, 2.4.1. (Измененная редакция, Изм. N 1).
2.4.2. Кабели, предназначенные для работы в условиях воздействия акустического шума, должны быть стойкими к его воздействию. Значения параметров акустического шума должны быть указаны в соответствующем стандарте или технических условиях на кабели определенных марок в соответствии с табл. 5.
Таблица 5
Вид ВВФ | Характеристика ВВФ | Значение | |
Акустический шум | Диапазон частот, Гц | 50 - 10000 | - |
Уровень звукового давления (относительно 2·10-5 Па), дБ | 130 | I |
140 | II |
150 | III |
160 | IV |
170 | V |
2.4.3. Кабели, предназначенные для эксплуатации с перегибами, должны быть стойкими к воздействию перегибов.
2.4.4. Кабели, предназначенные для эксплуатации с перемотками, должны быть стойкими к перемоткам.
(Измененная редакция, Изм. N 1).
2.4.5. Текучесть полиэтиленовой изоляции (текучесть) для кабелей со сплошной изоляцией диаметром 13 мм, характеризующаяся смещением внутреннего проводника в коаксиальном кабеле или любого из проводников в двухпроводном кабеле относительно центра или оси симметрии изоляции после воздействия испытательной температуры, не должна превышать значений, указанных в стандартах или технических условиях на кабели определенных марок.
2.4.6. Стабильность размеров (только для кабелей диаметром по изоляции, равным или менее 7,25 мм), характеризующаяся величиной перемещения диэлектрика (изоляции) относительно внутреннего проводника, должна быть не более установленной в стандартах или технических условиях на кабели определенных марок.
2.4.5, 2.4.6. (Введены дополнительно, Изм. N 2).
2.5. Требования стойкости к климатическим и биологическим факторам
2.5.1. Кабели должны быть стойкими к воздействию климатических факторов, значения которых должны быть указаны в стандартах или технических условиях на кабели определенных марок, в соответствии с табл. 6.
Вид ВВФ | Характеристика ВВФ | Значение |
Повышенная температура | Максимальная рабочая температура при эксплуатации (теплостойкость), °C | 50 <*>, 55 <*>, 70, 85, 100, 125, 155, 200, 250, 315, 400, 500 |
Пониженная температура среды | Повышенная предельная температура, °C | 70 |
Пониженная рабочая температура (холодостойкость), °C | |
Пониженная предельная температура, °C | |
Пониженное атмосферное давление | Пониженное рабочее давление, кПа (мм рт. ст.) | 53,3 (400); 26,66 (200); 2,0 (15); 0,67 (5); 0,133·103 - (10-3); 0,133·10-6 (10-6); 0,133·10-9 (10-9) |
Пониженное предельное давление, кПа (мм рт. ст.) | 12,0 (90) |
Повышенное атмосферное давление | Повышенное рабочее давление, кПа (кгс/см2) | 300 (3) |
Повышенная влажность воздуха | Относительная влажность воздуха, %, при температуре 25 °C и ниже без конденсации влаги | 80 |
| 1 |
Относительная влажность воздуха, %, при температуре 35 °C и ниже без конденсации влаги | 98 |
| X |
Относительная влажность воздуха, %, при температуре 35 °C и ниже с конденсацией влаги | 100 |
| IX |
--------------------------------
<*> В новых разработках не применять.
<**> Применяется для нормирования температуры при изгибах.
<***> Для кабелей с оболочками из поливинилхлоридного пластиката - минус 40 °C, из резины - минус 50 °C.
Максимальной рабочей температурой кабеля при эксплуатации считают максимальную допустимую температуру наименее нагревостойкого его элемента, устанавливающуюся вследствие нагрева окружающей средой и передаваемой по кабелю мощностью.
Температура, при которой начинается выделение токсичных газов из кабелей с изоляцией, оболочкой фторполимеров, должна быть указана в соответствующем стандарте или технических условиях на кабель определенной марки.
2.5, 2.5.1. (Измененная редакция, Изм. N 1, 2).
2.5.2. Минимальная температура, при которой допускается изгибать кабель, должна быть указана в соответствующем стандарте или технических условиях, на кабель определенной марки.
2.5.3. Кабели должны быть стойкими к воздействию изменения температуры среды от максимальной рабочей температуры при эксплуатации до предельной пониженной температуры окружающей среды.
(Измененная редакция, Изм. N 1, 2).
2.5.4. Кабели, предназначенные для эксплуатации на открытом воздухе или под навесом, должны быть стойкими к воздействию инея с последующим оттаиванием.
2.5.5. Кабели, которые могут при эксплуатации подвергаться непосредственному облучению солнцем, должны быть устойчивы к воздействию солнечного излучения (солнечной радиации), характеризующейся верхними значениями интегральной плотности теплового потока 1125 Вт/м
2, в том числе плотности потока ультрафиолетовой части спектра (длина волн 280 - 400 нм) 68 Вт/м
2.
(Измененная редакция, Изм. N 1).
2.5.6. Кабели, предназначенные для эксплуатации на побережье и на морских судах, должны быть стойкими к воздействию соляного тумана.
(Измененная редакция, Изм. N 2).
2.5.7. Кабели, предназначенные для эксплуатации в условиях влажного тропического климата, должны быть стойкими к поражению плесневыми грибами и иметь степень биологического обрастания не более 2 баллов. Допускается по согласованию с потребителем устанавливать показатели не более 3 баллов.
(Измененная редакция, Изм. N 1, 2).
2.5.8. Кабели, предназначенные для эксплуатации при воздействии минерального масла, соленой воды и бензина, должны быть стойкими к воздействию этих жидкостей.
2.5.9. Кабели должны быть озоностойкими, если они предназначены для эксплуатации при повышенной концентрации озона.
2.5.10. Кабели, предназначенные для эксплуатации при динамическом воздействии пыли, должны быть стойкими к этому виду воздействия.
2.6. Требования надежности
2.6.1а. В качестве показателей надежности кабелей устанавливают минимальную наработку (наработку), минимальный срок сохраняемости (срок сохраняемости), минимальный срок службы (срок службы) и 95-процентный ресурс. При этом срок сохраняемости устанавливают равным сроку службы. Суммарную календарную продолжительность хранения и эксплуатации кабелей отсчитывают от даты их приемки, и она не должна превышать заданного значения срока службы.
(Введен дополнительно, Изм. N 2).
2.6.1. Минимальная наработка (наработка) кабелей в режимах и условиях, установленных в настоящем стандарте или стандартах и технических условиях на кабели определенных марок должна быть равна одному из значений следующего ряда: 10000, 15000, 20000, 25000, 30000, 40000, 50000, 80000, 100000, 150000 ч и более.
В зависимости от назначения кабелей и их физических свойств допускается по согласованию с потребителем устанавливать значение минимальной наработки менее 10000 ч.
Для кабеля допускается устанавливать несколько значений минимальной наработки в зависимости от условий эксплуатации.
2.6.2. Минимальный срок сохраняемости (срок сохраняемости) кабелей при хранении в условиях отапливаемого хранилища, а также вмонтированных в защищенную аппаратуру или находящихся в защищенном комплекте ЗИП должен быть равен одному из значений следующего ряда: 15, 20, 25, 30 и 35 лет.
Для кабелей с ограниченным сроком сохраняемости значения минимального срока сохраняемости: 5, 8, 10 или 12 лет, а для кабелей повышенной теплостойкости - и 15 лет.
При хранении кабелей в упаковке предприятия-изготовителя в неотапливаемом хранилище или под навесом, а также вмонтированных в незащищенную аппаратуру и (или) находящихся в незащищенном комплекте ЗИП в неотапливаемом хранилище или под навесом, минимальный срок сохраняемости сокращается в соответствии с коэффициентом сокращения минимального срока, равным 1,5. При хранении кабелей в указанных условиях в течение части срока сохраняемости оставшееся время срока сохраняемости для хранения кабелей в отапливаемом хранилище определяют как разность между сроком сохраняемости в условиях отапливаемого хранилища и произведением коэффициента сокращения на фактическое время хранения в неотапливаемом хранилище или под навесом.
Для кабелей с ограниченным сроком сохраняемости допускается не применять коэффициент сокращения, а в стандартах или технических условиях на кабели определенных марок должен быть указан общий срок сохраняемости кабелей в упаковке предприятия-изготовителя в условиях отапливаемого хранилища, а также вмонтированных в защищенную аппаратуру или находящихся в защищенном комплекте ЗИП и, в том числе из этого срока (указывают в скобках), срок сохраняемости при хранении кабелей в упаковке предприятия-изготовителя в неотапливаемом хранилище или под навесом, а также вмонтированных в незащищенную аппаратуру и (или) находящихся в незащищенном комплекте ЗИП и в неотапливаемом хранилище или под навесом.
Не допускается хранение кабелей в составе незащищенной аппаратуры при их наружном монтаже, а также кабелей без защитных оболочек в составе незащищенной аппаратуры и ЗИП на открытой площадке.
2.6.3. Минимальный срок службы (срок службы) кабелей, в пределах которого обеспечивается минимальная наработка
(п. 2.6.1) и минимальный срок сохраняемости
(п. 2.6.2) при соблюдении требований к условиям эксплуатации, должен быть равен одному из значений следующего ряда: 15, 20, 25, 30 и 35 лет.
Для кабелей с ограниченным сроком службы значения минимального срока службы: 5, 8, 10 или 12 годам, а для кабелей повышенной теплостойкости - и 15 лет.
2.6.1 - 2.6.3. (Измененная редакция, Изм. N 1, 2).
2.6.4. Значение 95-процентного ресурса кабелей не менее удвоенного значения минимальной наработки в режимах и условиях, указанных в настоящем стандарте или стандартах и технических условиях на кабели определенных марок, устанавливают в справочном приложении стандартов или технических условиях на кабели определенных марок.
По согласованию с потребителем допускается устанавливать значение 95-процентного ресурса не менее полуторного значения минимальной наработки.
(Измененная редакция, Изм. N 1).
3.1. Для проверки соответствия кабелей требованиям настоящего стандарта или технических условий на кабели определенных марок устанавливают следующие категории испытаний:
- для кабелей, осваиваемых в производстве, - квалификационные;
- для кабелей установившегося производства - приемосдаточные, периодические, типовые.
(Измененная редакция, Изм. N 2).
3.2. Квалификационные испытания
3.2.1. Испытание проводит комиссия, назначенная для приемки установочной серии, по отдельной программе, согласованной с предприятием-разработчиком, с целью установления готовности предприятия-изготовителя к серийному производству.
3.2.2. Испытания на соответствие требованиям по воздействию механических факторов, динамическому воздействию пыли, плесневым грибам, надежности в состав квалификационных испытаний не включают. Соответствие этим требованиям обеспечивается конструкцией кабелей и применяемыми материалами.
3.2.1, 3.2.2. (Измененная редакция, Изм. N 2).
3.2.3. Кабели, отобранные для проведения испытаний, подвергают проверке по программе испытаний. Комиссия, назначенная для приемки установочной серии кабелей, имеет право проводить испытания с зачетом отдельных видов испытаний на основании протоколов испытаний, проведенных предприятием - изготовителем кабелей установочной серии перед предъявлением их комиссии.
Допускается засчитывать результаты испытаний аналогичных (по материалам и конструкциям изоляции оболочек или защитных покровов и технологии их изготовления) кабелей по требованиям
пп. 2.4.1,
2.4.2,
2.5.4 -
2.5.10.
(Измененная редакция, Изм. N 1, 2).
3.2.4. В начале испытаний проводят проверку кабелей в объеме приемосдаточных испытаний. Если при проверке будут обнаружены дефектные образцы, их заменяют годными. Допустимое число заменяемых дефектных образцов устанавливает комиссия по проведению испытаний.
Если дефектных образцов, обнаруженных при проверке, будет больше установленного количества, то новые испытания проводят с учетом
пп. 3.2.5 и
3.2.6 на образцах, отобранных от доработанных и (или) вновь изготовленных кабелей.
(Измененная редакция, Изм. N 2).
3.2.4а. Испытания проводят по плану выборочного одноступенчатого контроля при объеме выборки по каждой испытательной группе 10 образцов, отобранных от разных барабанов или бухт, при приемочном числе, равном нулю.
Допускается устанавливать двухступенчатый контроль с приемочным числом, равным нулю, по второй ступени для каждой испытательной группы при объеме выборки в каждой группе n1 = 3 или 5 образцов, n2 = 6 или 10 образцов, отобранных от разных барабанов или бухт. Проверку образцов второй ступени проводят при обнаружении хотя бы одного дефектного образца в результате проверки образцов первой ступени.
(Введен дополнительно, Изм. N 2).
3.2.5. При получении неудовлетворительных результатов испытаний изготовитель и разработчик проводят анализ причин выявленных недостатков и разрабатывают необходимые мероприятия по приведению качества кабелей в соответствие с требованиями настоящего стандарта и соответствующего стандарта или технических условий на кабели определенных марок. После внедрения этих мероприятий испытания повторяют в полном объеме. По решению комиссии допускается проводить повторные испытания только по тем пунктам требований, по которым были получены неудовлетворительные результаты.
3.2.6. Если при повторных испытаниях будет также выявлено несоответствие требованиям настоящего стандарта и соответствующего стандарта или технических условий на кабели определенных марок, то после рассмотрения и анализа результатов испытаний решение о дальнейшем производстве кабелей принимают заказчик и организация, назначившая комиссию.
(Измененная редакция, Изм. N 2).
3.2.7. Результаты проведения испытаний оформляют протоколами и актом. Акт подписывает комиссия, проводившая испытания, и утверждает организация, назначившая комиссию.
3.3. Приемосдаточные испытания
3.3.1. Готовые кабели предъявляют к приемке партиями. За партию следует принимать количество кабеля одной марки, произведенного в одних и тех же условиях и одновременно предъявляемого к приемке. Максимальный размер партии - 10 км, минимальный - 1 км.
В технически обоснованных случаях размер партии может быть менее 1 км.
(Измененная редакция, Изм. N 2).
3.3.2. Приемосдаточные испытания должны быть проведены по тем пунктам требований, которые указаны в стандарте или технических условиях на кабели определенных марок.
Проверку по
пп. 2.2.2,
2.2.3,
2.2.5 (для кабелей с внешними проводниками в виде цельнотянутой и сварной трубок) и
2.2.6 проводят в процессе производства.
Проверку кабелей на соответствие требованию
п. 2.2.6 в части плотности оплетки проводят путем контроля соответствия фактических режимов изготовления режимам, установленным в технологической документации.
(Измененная редакция, Изм. N 1, 2).
3.3.3. Испытания по остальным пунктам требований, указанным в стандарте или технических условиях на кабели определенных марок, должны быть проведены на образцах (в качестве которых могут быть и отдельные длины). Минимальное количество образцов должно быть: от партий до 5 км включительно - по одному образцу от каждого километра, но не менее трех образцов, от партий более 5 км - по одному образцу от каждого километра из первых пяти и от последующих 3 км.
При неудовлетворительных результатах испытания, полученных хотя бы на одном образце, должно быть проведено испытание на соответствие этому требованию всех длин сдаваемой партии. Длины, образцы от которых не выдержали испытаний, должны быть забракованы.
(Измененная редакция, Изм. N 1, 2).
3.3.4. Порядок проведения испытаний при применении автоматизированной и частично автоматизированной систем контроля должен соответствовать нормативно-технической документации.
(Измененная редакция, Изм. N 2).
3.4. Периодические испытания
3.4.1. Периодические испытания должны проводиться предприятием-изготовителем один раз в 6 мес.
Допускается при небольшом объеме производства, в технически обоснованных случаях, проводить периодические испытания один раз в 12 мес.
При установившемся производстве кабелей допускается осуществлять переход на увеличенную периодичность испытаний один раз в 12 мес при выполнении следующих условий:
- непрерывность производства;
- серийное производство превышает два года;
- удовлетворительные результаты на четырех последовательно проведенных периодических испытаниях;
- отсутствие в течение последнего года рекламаций, связанных с ухудшением параметров и характеристик;
- уровень сдачи кабелей с первого предъявления установился не менее 0,9.
При нарушении хотя бы одного из этих условий, переходят на первоначальную периодичность.
(Измененная редакция, Изм. N 1, 2).
3.4.2. Приемку и поставку кабелей до получения результатов первых периодических испытаний осуществляют на основе положительных результатов приемосдаточных испытаний и испытаний, проведенных при освоении изделия.
3.4.3. Периодические испытания должны проводиться по тем пунктам требований, которые указаны в стандарте или технических условиях на кабели определенных марок. Испытания проводят на образцах, отобранных из партий за период между испытаниями, выдержавших приемосдаточные испытания.
В состав периодических могут входить проверки и испытания, указанные в табл. 7.
Таблица 7
Наименование проверок и испытаний | Пункт |
технических требований | методов испытаний |
| | |
Определение коэффициента затухания | | |
Определение емкостной асимметрии | | |
Определение электрического сопротивления изоляции | | |
Группа 2 | | |
Испытание на теплостойкость при кратковременном воздействии | | |
Группа 3 | | |
Испытание напряжением переменного тока оболочки | | |
Группа 4 | | |
Испытание на холодостойкость | | |
Группа 5 | | |
Испытание длительно допускаемой предельной мощностью, током или напряжением высокой частоты | | |
Группа 6 | | |
Определение неоднородности волнового сопротивления или КСВн | | |
Группа 7 | | |
Стойкость к воздействию смены температур | | |
Группа 8 | | |
Определение температурного коэффициента затухания | | |
Определение температурного коэффициента емкости | | |
--------------------------------
<*> К каждой группе относятся показатели, по которым проводят проверки и испытания на одних и тех же образцах.
Испытания проводят по плану двухступенчатого выборочного контроля при выборках n1 = 5, n2 = 10 образцов, отобранных от разных барабанов или бухт по каждой испытательной группе и приемочном числе для каждой группы, равном нулю; испытания по второй выборке групп n2 проводят в случае, если при испытании выборки n1 получен отказ.
Если необходимый для проведения испытания всех групп и категорий суммарный объем выборки превышает 5% годового выпуска кабелей, то допускается сокращать выборки для периодических испытаний до n1 = 3, n2 = 6.
Испытание по группе 5 проводят на одном образце.
(Измененная редакция, Изм. N 1, 2).
3.4.4. Испытания, входящие в состав нескольких групп, допускается проводить на одних и тех же образцах. Результаты испытаний должны оцениваться по каждому показателю отдельно.
Образцы, подвергнутые периодическим испытаниям, в сдаваемую продукцию не включают за исключением случаев, когда испытания проведены на больших длинах без ухудшения их качества.
3.4.5. При получении неопределенных результатов периодических испытаний на выборке n1 проводят повторные испытания на выборке n2.
При получении неудовлетворительных результатов периодических испытаний по выборке n2 приемка и поставка кабелей должна быть приостановлена.
После устранения причин дефектов и получения удовлетворительных результатов повторных периодических испытаний по той группе проверок и испытаний, по которой первоначально были получены неудовлетворительные результаты, приемка и поставка кабелей должна быть возобновлена.
До получения результатов повторных испытаний допускается проводить техническую приемку кабелей, изготовленных после устранения причин дефектов.
Если при анализе дефектов, выявленных при первичных испытаниях, будет установлено, что характер дефектов не связан с технологией изготовления кабелей, а является результатом нарушения режима испытаний, небрежного обращения с испытуемыми кабелями и т.п., то результаты испытаний считают недействительными. Если срок действия предыдущих периодических испытаний истек, то проводят техническую приемку кабелей до окончания новых периодических испытаний.
Если при повторных испытаниях получены неудовлетворительные результаты, техническую приемку кабелей прекращают.
Руководство предприятия-изготовителя анализирует результаты и причины неудовлетворительных повторных испытаний и принимает решение о мероприятиях по приведению качества кабелей в соответствие с требованиями стандарта или технических условий на кабели определенных марок. После проведения мероприятий проводят новые испытания. До окончания этих испытаний приемку и поставку кабелей допускается проводить на основании совместного решения заказчика и вышестоящей организации-изготовителя.
3.4.4, 3.4.5. (Измененная редакция, Изм. N 2).
3.5. Типовые испытания
3.5.1. Типовые испытания проводит предприятие-изготовитель с целью проверки соответствия кабелей требованиям стандарта или технических условий на них при изменении конструкции, технологии или применяемых материалов.
Необходимость проведения испытаний определяется согласованным решением разработчика и изготовителя.
Испытания проводят по программе, составленной изготовителем и согласованной с разработчиком.
Состав испытаний должен определяться в зависимости от степени возможного влияния предлагаемых изменений на качество выпускаемых кабелей.
3.5.2. По результатам испытаний принимают решение о возможности и целесообразности внесения изменений в техническую документацию и изготовления кабелей по измененной документации.
3.5.3. Результаты испытаний оформляют протоколом, в котором должны быть даны заключение о результатах испытаний и рекомендации по внедрению проверяемого изменения. Протокол подписывают лица, проводившие испытания, и утверждает руководство изготовителя после согласования его с разработчиком.
(Измененная редакция, Изм. N 1).
3.6. Испытания на надежность
3.6.1. Соответствие кабелей требованиям к надежности проверяют путем проведения соответствующих испытаний при разработке, а также при проведении типовых испытаний (при необходимости) в процессе производства.
Соответствие кабелей требованиям по надежности в процессе установившегося производства гарантируется без проведения испытаний и обеспечивается конструкцией и технологией изготовления, положительными результатами входного контроля материалов, производственного контроля, приемосдаточных и периодических испытаний.
3.6.2. Испытания на надежность включают в себя следующие виды испытаний:
- испытания по подтверждению минимальной наработки (испытания на долговечность);
- испытания по подтверждению срока сохраняемости (испытание на сохраняемость);
- испытания по подтверждению 95-процентного ресурса.
Соответствие кабелей требованиям по сроку службы подтверждается испытаниями на долговечность и сохраняемость.
3.6.3. При разработке кабелей проводят испытания на надежность, указанные в
п. 3.6.2.
Испытания на сохраняемость и долговечность проводят последовательно на одних и тех же образцах кабелей.
Испытания по подтверждению 95-процентного ресурса являются продолжением испытаний на долговечность.
Испытания на сохраняемость проводят в форсированных режимах. Для кабелей с изоляцией (оболочкой) из фторопластов, неорганических материалов, кремнийорганической резины, лавсанового или фенилонового волокна испытания на сохраняемость не проводят, а соответствие кабелей требованиям по сохраняемости гарантируется без проведения испытаний.
3.6.4. До предъявления разработки приемочной комиссии должна быть подтверждена минимальная наработка не менее 1000 ч. Испытания до полного подтверждения минимальной наработки и 95-процентного ресурса разработчик завершает после приемки работы.
3.6.5. Испытания на надежность проводят по плану выборочного одноступенчатого контроля при объеме выборки 23 образца и приемочном числе, равном нулю (для испытаний на долговечность и сохраняемость) и единице (при испытаниях на 95-процентный ресурс).
По согласованию с потребителями допускается устанавливать другой объем выборки и другое приемочное число, которое указывают в программах испытаний, в стандартах или технических условиях на кабели определенных марок.
3.6.6. При обнаружении отказов проводят анализ отказавших образцов и по результатам анализа принимают решение о проведении мероприятий по повышению надежности кабелей.
3.6.7. Испытания на надежность группы кабелей аналогичных конструкций (идентичных по применяемым материалам, близким по габаритам, конструктивному исполнению и технологии) могут быть проведены на образцах кабеля одной марки, которая в этом случае будет являться типовой для указанной группы кабелей.
При наличии данных испытаний аналогичных кабелей для вновь разрабатываемого кабеля испытания на надежность не проводят, а сразу устанавливают показатели надежности в стандарте или технических условиях на кабель определенной марки.
3.6.8. Если в составе типовых испытаний предусмотрены испытания на надежность, то в число последних включают только испытания на долговечность.
3.6 - 3.6.8. (Измененная редакция, Изм. N 2).
3.7. При оценке соответствия кабелей требованиям стандартов или технических условий на кабели определенных марок следует руководствоваться:
а) при входном контроле (в течение 12 мес со времени приемки) - нормами при приемке и поставке;
б) в процессе эксплуатации и хранения - нормами на период эксплуатации и хранения.
4.1. Испытания должны быть проведены при нормальных климатических условиях, если другие условия не указаны в стандартах или технических условиях на кабели определенных марок.
Нормальные климатические условия испытаний характеризуются следующими значениями климатических факторов:
а) температурный воздух (25 +/- 10) °C;
б) относительной влажностью воздуха 45% - 80%;
в) атмосферным давлением 84 - 106 кПа.
До начала испытаний кабели не менее 3 ч должны находиться в этих условиях.
Примечание. При температурах свыше 30 °C относительная влажность должна быть не более 70%.
(Измененная редакция, Изм. N 1).
4.2. Проверка конструкций
4.2.1. Конструктивные размеры (
п. 2.2.) должны быть проверены по
ГОСТ 12177. Проверка внешнего вида (состояние поверхности) и элементов конструкции должна проводиться внешним осмотром без применения увеличительных приборов.
В готовых кабелях допускаются отклонения диаметров однопроволочных жил или отдельных проволок многопроволочных жил (или внутренних проводников) за предельные отклонения, указанные в соответствующем стандарте или технических условиях на проволоку, при условии, что все электрические параметры кабелей удовлетворяют требованиям соответствующего стандарта или технических условий на кабели определенных марок.
Наименьший внутренний диаметр внешнего проводника
Dв определяют путем измерения наружного диаметра внешнего проводника по гофру
Dн и глубины гофра

и расчета по формуле

,
где

- номинальная толщина ленты или трубки внешнего проводника.
Наружный диаметр внешнего проводника и глубину гофра измеряют микрометром со вставками или на измерительном микроскопе.
(Измененная редакция, Изм. N 1, 2).
4.2.2. Проверку внешнего вида кабеля на соответствие требованиям
пп. 2.2.4,
2.2.6,
2.2.7 проводят без применения увеличительных приборов.
(Измененная редакция, Изм. N 2).
4.3. Проверка электрических параметров
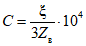
4.3.1. Волновое сопротивление (
zс), Ом,
(п. 2.3.1) должно быть подсчитано по результатам измерений емкости и коэффициента укорочения длины волны в кабеле по формуле

,
где

- коэффициент укорочения длины волны в кабеле;
C - емкость кабеля, пФ/м.
Коэффициент укорочения длины волны в кабеле
(п. 2.3.9) может быть определен любым методом на частоте от 0,01 до 0,2 ГГц, если частота не указана в соответствующем стандарте или технических условиях на кабели определенных марок.
Волновое сопротивление может быть определено другим методом, если при его определении погрешность измерения составляет 2%.
4.3.2. Неоднородность волнового сопротивления по длине кабеля
(п. 2.3.2) выражается в значениях местных коэффициентов отражения и измеряется импульсным методом с помощью временных рефлектометров.
Длительность и форма зондирующих импульсов, значения нормируемых местных коэффициентов отражения должны быть указаны в соответствующих стандартах или технических условиях на кабели определенных марок. Измерения проводят последовательно с двух концов кабеля.
Значения измеренных с любого конца кабеля местных коэффициентов отражения не должны превышать нормируемые значения.
4.3.3. Неравномерность волнового сопротивления
(п. 2.3.3) является мерой измерения в полосе частот нормированного входного сопротивления кабеля, нагруженного на согласованную нагрузку, и выражается величиной КСВн или 20-кратным значением десятичного логарифма обратного значения модуля входного коэффициента отражения (

, дБ). Неравномерность волнового сопротивления измеряют с двух концов кабеля панорамными методами с применением частотных рефлектометров или измерителей
s-параметров четырехполюсников.
Среднюю неравномерность волнового сопротивления определяют при измерениях в режиме интегрирования.
Диапазон частот, длина образца и величина средней и (или) максимальной неравномерности волнового сопротивления (КСВн или дБ) должны быть указаны в соответствующих стандартах или технических условиях на кабели определенных марок, при этом в необходимых случаях также должны быть указаны конкретные частоты и (или) интервалы частот внутри указанного диапазона частот, в которых не нормируется значение неравномерности волнового сопротивления.
(Измененная редакция, Изм. N 2).
4.3.4. Под температурным коэффициентом фазы (ТКФ) 1/10
6·град понимают относительное изменение коэффициента фазы (электрической длины кабеля) при изменении температуры на 1 °C. ТКФ
(п. 2.3.4) должен быть измерен в температурных диапазонах, указанных в стандартах или технических условиях на кабели определенных марок и вычислен по формуле

,
где

- абсолютное изменение электрической длины кабеля, электрические градусы;
c - скорость света в свободном пространстве, равная 29978000 м/с;
f - частота измерений, МГц;

- коэффициент укорочения длины волны в кабеле;
l - физическая длина кабеля, м;

- диапазон температур, в котором проводят измерение, °C.
Для определения ТКФ рекомендуется метод измерения изменения фазы коэффициента передачи исследуемого кабеля по двухканальной схеме с эталонным кабелем в опорном канале, равным по электрической длине исследуемому. Погрешность измерения фазы коэффициента передачи не должна превышать 10%.
Допускается применение других методов, обеспечивающих требуемую точность.
ТКФ определяют как среднеарифметическое значение результатов измерений трех температурных циклов, при которых фиксируются данные измерений в крайних точках температурного диапазона. Допускается вводить дополнительную разбивку диапазонов температур с определением значений ТКФ для каждого поддиапазона. Измерение можно проводить на любой стандартной частоте свыше 30 МГц.
4.3.5. Коэффициент затухания
(п. 2.3.5) должен быть измерен на частоте, указанной в соответствующем стандарте или технических условиях на кабели определенных марок, и выражен в децибелах на метр; для кабелей со спиральными проводниками - в децибелах на микросекунду. Погрешность измерений при квалификационных и типовых испытаниях при частоте 200 МГц - не более 5%; при других частотах и других испытаниях - не более 10%.
Рекомендуется использовать панорамные методы измерения коэффициента затухания. Длина образца при измерении коэффициента затухания должна быть выбрана исходя из наименьшей погрешности измерения применяемой аппаратуры. Рекомендуется выбирать длину образца с затуханием в интервале 2 - 20 дБ на частоте измерения. В технически обоснованных случаях допускается измерение проводить на 2 и более соединенных длинах (образцах). На частотах ниже 0,2 ГГц допускаются резонансные методы измерения на резонансной частоте
fизм, ближайшей к той, на которой затухание нормировано; пересчет от измеренного значения коэффициента затухания

, дБ/м, на частоту
f, указанную в стандарте или технических условиях на кабель, вычисляют по формуле

.
Измерение коэффициента затухания должно быть проведено при достаточно малой мощности для того, чтобы можно было пренебречь нагревом кабеля, либо тепловым методом при мощности, близкой к номинальной (к рабочему режиму), или при эквивалентных значениях тока и напряжения в отдельности. Измерение тепловым методом должно проводиться на коротком горизонтально подвешенном образце. Результаты могут быть пересчитаны для определения коэффициента затухания ненагретого кабеля или коэффициента затухания в рабочем режиме.
(Измененная редакция, Изм. N 1, 2).
4.3.5а. Испытание на стабильность коэффициента затухания
(п. 2.3.5а) проводят при частоте, указанной в соответствующем стандарте или технических условиях на кабели определенных марок. Длину образца выбирают исходя из требований методики измерений коэффициента затухания
(п. 4.3.5).
Измеряют коэффициент затухания образца в исходном состоянии и трижды подвергают воздействию следующего температурного цикла:
4 ч при максимальной рабочей температуре эксплуатации;
4 ч при температуре (25 +/- 10) °C;
4 ч при пониженной рабочей температуре;
4 ч при температуре (25 +/- 10) °C.
После указанного воздействия измеряют коэффициент затухания. Затем образец сматывают и разматывают 20 раз на цилиндр, диаметр которого должен соответствовать указанному в
табл. 8, и после воздействия измеряют коэффициент затухания образца.
Кабель считают выдержавшим испытания, если измеренные значения коэффициента затухания образцов не превосходят значения, указанного в соответствующем стандарте или технических условиях на кабели определенных марок.
Если не требуется испытание с циклами наматывания и разматывания образцов, то это должно быть указано в соответствующем стандарте или технических условиях на кабели определенных марок.
(Введен дополнительно, Изм. N 2).
4.3.6. Под температурным коэффициентом затухания (ТКЗ)
(п. 2.3.6) понимают относительное изменение коэффициента затухания при изменении температуры кабеля на 1 °C. Температурный диапазон (или поддиапазоны), частота, на которой производят оценку (измерение), нормируемая или справочная величина ТКЗ должны быть указаны в стандартах или технических условиях на кабели определенных марок. Для измерения рекомендуется использовать двухканальные схемы с опорными измерительными каналами.
Два образца кабеля одинаковой длины включают в канал схемы. При этом измеряемый образец кабеля помещают в термостат, подвергая его воздействию температуры в заданном диапазоне, измеряют изменение коэффициента затухания по отношению к опорному образцу. Значение ТКЗ вычисляют по формуле

,
где

- коэффициент затухания кабеля при нормальных условиях на заданной частоте, измеренный согласно
п. 2.3.5, дБ/м;

- изменение коэффициента затухания при воздействии температуры, дБ/м;

- температурный интервал, °C.
(Измененная редакция, Изм. N 1, 2).
4.3.7. Электрическая емкость кабеля
(п. 2.3.7) и емкостная асимметрия
(п. 2.3.18) должны быть измерены на частотах 800 Гц или более. Измерения должны быть проведены с помощью моста переменного тока или другого прибора, который может быть применен для измерения емкости на указанных частотах с погрешностью 1%.
Электрическую емкость (
C), мкФ/м, и емкостную асимметрию (
e) в процентах
(п. 2.3.18) двухпроводных кабелей с общим экраном для обоих изолированных проводников вычисляют по формулам:

;

,
где C1 - электрическая емкость между первым проводником и вторым проводником, соединенным с экраном, пФ;
C2 - электрическая емкость между вторым проводником и первым проводником, соединенным экраном, пФ;
C12 - электрическая емкость между соединенным вместе первым и вторым проводниками и экраном, пФ.
Длина образца должна быть не менее 1 м и не более числа, величина которого (в метрах) равна

,
где f - частота измерения, МГц;

- коэффициент укорочения длины волны в кабеле.
4.3.8. Под температурным коэффициентом емкости (ТКЕ) понимают относительное изменение емкости кабеля при изменении его температуры на 1 °C. Емкость должна быть измерена при температурах, указанных в стандартах или технических условиях на кабели определенных марок.
Измерения должны быть проведены согласно
п. 4.3.7 с погрешностью 0,5%.
ТКЕ, 1/град, должен быть рассчитан по формуле

,
где

- изменение емкости кабеля при воздействии температуры, пФ;
C - значение электрической емкости при нормальной температуре, пФ;

- температурный интервал, °C.
4.3.7, 4.3.8. (Измененная редакция, Изм. N 2).
4.3.10. Электрическое сопротивление проводников постоянному току
(п. 2.3.11) должно быть измерено по
ГОСТ 7229.
4.3.11. Сопротивление связи
(п. 2.3.12) должно быть измерено с помощью триаксиальной линии на частоте 30 МГц по схеме, указанной на черт. 1.
1 - генератор сигналов; 2 - тройник; 3 - индикатор;
4 - согласованный тройник; 5 - измеряемый кабель;
6 - триаксиальная линия; 7 - нагрузка
Черт. 1
Образец должен быть заделан в коаксиальные соединители, помещен внутрь трубы триаксиальной линии, после того как к нему подключена нагрузка, равная волновому сопротивлению кабеля, закреплен и натянут внутри трубы с помощью оконечных устройств.
К внешней коаксиальной системе (система 1) со стороны нагрузки через тройник подключают генератор сигналов соответствующей частоты. Внутреннюю коаксиальную систему (система 2) соединяют с согласованным тройником, имеющим нагрузку, равную волновому сопротивлению кабеля.
Выходное напряжение генератора должно быть установлено таким, чтобы микровольтметр, подключенный к тройнику, дал отклонение, близкое к максимальному. После переключения микровольтметра на согласованный тройник должен быть произведен отсчет показаний. Допускается применять два микровольтметра без переключения.
Модуль сопротивления связи (z12), мОм/м, должен быть определен из соотношения

,
где D - внутренний диаметр триаксиальной линии;
d - наружный диаметр внешнего проводника испытуемого кабеля;
V1 - входное напряжение, мВ;
V2 - выходное напряжение, мкВ;
F" - коэффициент поправки частотной характеристики, равный 1 при длине триаксиальной линии 0,5 м и частоте 30 МГц.
(Измененная редакция, Изм. N 1, 2).
4.3.12. Напряжение начала внутренних разрядов в изоляции кабеля
(п. 2.3.13) должно быть определено с помощью установки, позволяющей отделять импульсы внутренних разрядов в изоляции от приложенного к образцу напряжения переменного тока частоты 50 Гц.
Порог чувствительности установки должен обеспечить обнаружение в изоляции образцов внутренних разрядов интенсивностью 1 пКл или менее.
Длина образца (без концевых разделок) должна быть равна 1 м, если в соответствующем стандарте или технических условиях на кабели определенных марок не указана другая длина.
Разделка и подключение образца должны быть выполнены так, чтобы были исключены разряды на концах образца и в высоковольтной цепи установки.
Напряжение начала внутренних разрядов должно быть определено с помощью индикатора при плавном снижении напряжения до интенсивности разрядов, равном 1 пКл, если другое значение не указано в соответствующем стандарте или технических условиях на кабели определенных марок.
Время приложения напряжения к изоляции образца не должно превышать 5 мин.
4.3.13. Испытание изоляции кабеля напряжением частоты 50 Гц
(п. 2.3.14) должно быть проведено по
ГОСТ 2990. Длительность приложения испытательного напряжения - 1 мин.
4.3.14. Испытание оболочки напряжением
(п. 2.3.15) должно быть проведено по
ГОСТ 2990 в воде после пребывания в ней кабеля в течение 1 ч. Длительность приложения испытательного напряжения - 1 мин.
Допускается проводить испытания на аппарате сухого испытания при такой скорости прохождения кабеля, при которой время нахождения его под полным напряжением испытания было бы не менее 0,1 с.
4.3.15. Испытание изоляции образца напряжением высокой частоты
(п. 2.3.16) должно быть проверено путем плавного (со скоростью не более 1 кВ/с) подъема напряжения от значения не более 0,5 испытательного до испытательного.
Длина образца (без концевых разделок) должна быть не менее 15 см; образец должен быть разделен так, чтобы на его концах не возникали поверхностные пробои и факелы.
Длительность приложения испытательного напряжения - 1 мин.
4.3.16. Испытание на допускаемую мощность или ток (напряжение) высокой частоты
(п. 2.3.17) должно проводиться в установившемся тепловом режиме на образце, горизонтально подвешенном в камере без принудительной циркуляции воздуха, в котором установлены необходимые значения мощности и коэффициента стоячей волны или необходимое значение тока или напряжения (в пучности). При испытании на ток кабель замыкают накоротко. При испытании на напряжение кабель подключают к высокочастотному генератору обоими концами.
Измеряют температуру внутреннего проводника в месте наибольшего нагрева в точке, отстоящей не менее чем на 1 м от любого конца образца.
Допускается проводить испытания на специальном образце, имеющем во внутреннем проводнике канал. При этом наружные слои внутреннего проводника должны быть сохранены.
Разность температур между внутренним проводником и окружающим воздухом не должна превышать значений, указанных в соответствующем стандарте или технических условиях на кабели определенных марок.
(Измененная редакция, Изм. N 2).
4.3.17. Потери на связь являются мерой излучения кабелей и определяются 10-кратным значением десятичного логарифма отношения мощности, передаваемой по кабелю, к мощности, принимаемой дипольной антенной. При расчете принимают значения мощности, передаваемой по кабелю, в сечении, плоскость которого проходит через центр дипольной антенны перпендикулярно оси кабеля. Мощность, передаваемую по кабелю, и мощность, принимаемую дипольной антенной, измеряют любым способом с погрешностью не более 15%. Конкретный способ измерения мощности устанавливают в методах или программах испытаний, утвержденных в установленном порядке.
Способ прокладки кабеля при измерениях, испытательная частота, длина кабеля, расстояние до дипольной антенны и ее ориентация должны быть указаны в соответствующих стандартах или технических условиях на кабели определенных марок или в программах испытаний.
(Введен дополнительно, Изм. N 1).
4.4. Проверка на стойкость при механических воздействиях
4.4.1. Испытание на стойкость к воздействию вибрационных нагрузок
(п. 2.4.1) должно быть проведено методом 103-1 по
ГОСТ 20.57.406.
Образцы кабеля длиной не менее 1 м распрямляют или свертывают в плоские бухты, образцы кабелей овальной формы свертывают в бухты так, чтобы их малая ось была параллельна плоскости свернутой бухты.
Кратность внутренних диаметров бухт наружному диаметру кабеля или малой оси для кабеля овальной формы указана в табл. 8.
Кабель | Кратность |
Типы РК, РС или РИ: | |
- со сплошной изоляцией, наружным диаметром кабеля до 13 мм | 10 |
- со сплошной изоляцией, наружным диаметром кабеля 13 мм и более и с полувоздушной или воздушной изоляцией | 20 |
- в свинцовой оболочке | 30 |
- в сварной гофрированной трубке | 20 |
- в гладкой металлической трубке | 30 |
- с внешним проводником в виде продольно наложенной гофрированной ленты, фольги или фольгированной пленки | 30 |
Тип РД: | |
- округлой формы | 20 |
- овальной формы | 30 |
Подготовленные вышеуказанным способом образцы для испытаний на вибростенде должны быть испытаны напряжением частоты 50 Гц в соответствии с требованием
п. 2.3.14, оболочки их должны быть осмотрены, на них не должно быть трещин, видимых без применения увеличительного прибора.
Затем каждый образец должен быть жестко прикреплен в горизонтальном положении к столу вибростенда тремя металлическими хомутами с резиновыми прокладками или другим способом, обеспечивающим жесткость крепления и исключающим механические повреждения.
Допускается применять метод 103-2 по
ГОСТ 20.57.406 (испытание методом фиксированных частот).
Образец кабеля считают выдержавшим испытание на воздействие вибрационных нагрузок, если после испытания на вибростенде он выдержит то же испытание напряжением, что и до начала испытаний, и на оболочке не будет обнаружено трещин, видимых без применения увеличительных приборов.
(Измененная редакция, Изм. N 2).
4.4.2. Испытание на стойкость к воздействию многократных ударов
(п. 2.4.1) должно быть проведено методом 104-1 по
ГОСТ 20.57.406.
Значение ускорения и длительность ударов указаны в стандарте или технических условиях на кабель в соответствии с
табл. 4.
Подготовка, крепление образцов и оценка результатов испытания аналогичны указанным в
п. 4.4.1.
4.4.3. Испытание на стойкость к воздействию одиночных ударов
(п. 2.4.1) должно быть проведено методом 106-1 по
ГОСТ 20.57.406.
Значения ускорения и длительность ударов должны соответствовать указанным в стандарте или технических условиях на кабель в соответствии с
табл. 4.
Подготовка, крепление образцов и оценка результатов испытания аналогичны указанным в
п. 4.4.1.
4.4.4. Испытание на стойкость к воздействию линейных нагрузок
(п. 2.4.1) должно быть проведено методом 107-1 по
ГОСТ 20.57.406.
Значение ускорения должно соответствовать указанному в стандарте или технических условиях на кабель в соответствии с
табл. 4.
Время испытания устанавливают равным 3 мин в каждом из двух взаимно перпендикулярных положений платформы центрифуги. Подготовка, крепление образцов и оценка результатов испытаний аналогичны указанным в
п. 4.4.1.
4.4.2 - 4.4.4. (Измененная редакция, Изм. N 1, 2).
4.4.5. Испытание на стойкость к воздействию акустических шумов
(п. 2.4.2) должно быть проведено методом 108-1 по
ГОСТ 20.57.406.
Образцы кабелей длиной 5 м, если другая длина не указана в стандартах или технических условиях на кабели определенных марок, свернутые в бухты, укрепляют в камере путем подвешивания на пружинах или растяжках.
До начала испытаний должен быть произведен осмотр образцов; на них не должно быть трещин, видимых без применения увеличительного прибора; испытание напряжением и измерение электрической емкости - в соответствии с требованиями
пп. 2.3.7 и
2.3.14.
Продолжительность испытания устанавливают равной 5 мин.
Образец кабеля считают выдержавшим испытание на воздействие акустического шума, если после воздействия звукового давления он выдержит испытание напряжением и величина электрической емкости, измеренная после выдержки в камере, отличается от измеренной до испытания не более чем на 5%.
(Измененная редакция, Изм. N 1).
4.4.6. Испытание на стойкость к перегибам
(п. 2.4.3) должно быть проведено в соответствии с
ГОСТ 12182.8 на установке, принципиальная схема которой приведена на
черт. 3 <*>.
--------------------------------
<*> Черт. 2. (Исключен, Изм. N 1).
Один конец образца длиной не менее 0,75 м должен быть закреплен в зажиме K, к другому концу образца подвешивают груз. Образец должен быть подвергнут изгибам на +/- 90° (один перегиб) вокруг пары одинаковых круговых цилиндров с параллельными осями в плоскости, перпендикулярной осям цилиндров. Масса груза, диаметр цилиндров D и число перегибов должны быть указаны в соответствующем стандарте или технических условиях на кабели определенных марок.
Если масса груза не указана, т.е. испытание проводят без натяжения, образец закрепляют между цилиндрами или под ними, а зажим K делают скользящим.
Допускается проводить испытание другим методом, если это указано в соответствующем стандарте или технических условиях на кабели определенных марок.
Образец считают выдержавшим испытание на стойкость к перегибам, если на его оболочке не будет обнаружено трещин, видимых без применения увеличительного прибора, если другие критерии не предусмотрены стандартами или техническими условиями на кабели определенных марок.
4.4.7. Испытание на стойкость к перемоткам
(п. 2.4.4) должно быть проведено в соответствии с
ГОСТ 12182.4 на установке, принципиальная схема которой приведена на черт. 4.
1, 2 - барабаны; 3 - крепление
Черт. 4
Образец кабеля перематывают с барабана 1 на барабан 2 (первая перемотка) и обратно (вторая перемотка) и т.д. Концы образца должны быть жестко закреплены на барабанах. Диаметр барабанов и число перемоток должны быть указаны в соответствующем стандарте или технических условиях на кабели определенных марок.
Образец считают выдержавшим испытание на стойкость к перемоткам, если на его оболочке не будет обнаружено трещин, видимых без применения увеличительного прибора, если другие критерии не предусмотрены в стандартах или технических условиях на кабели определенных марок.
Допускается испытание другими методами, которые должны быть указаны в соответствующем стандарте или технических условиях на кабели определенных марок.
(Измененная редакция, Изм. N 1).
4.5. Проверка на стойкость к климатическим воздействиям
4.5.1. Испытание на теплостойкость
(п. 2.5.1) должно быть проведено методом 201-1 по
ГОСТ 20.57.406 на образцах кабеля длиной не менее 0,6 м.
Если под защитным покровом имеется оболочка, то защитный покров должен быть удален.
Образцы, выпрямленные или свернутые в бухты диаметром не менее указанных в
табл. 8, помещают в камеру тепла на 96 ч с заранее установленной температурой.
Температура в камере должна быть равна максимальной рабочей температуре при эксплуатации кабеля, указанной в соответствующем стандарте или технических условиях на кабели определенных марок, со следующими предельными отклонениями: +/- 3 °C при температуре до 100 °C; +/- 5 °C - при температуре свыше 100 до 200 °C и +/- 10 °C при температуре свыше 200 °C.
Вынутые из камеры образцы должны быть выдержаны не менее 1 ч при нормальных климатических условиях, после чего проводят 10 циклов наматывания и разматывания на цилиндр, диаметр которого должен соответствовать указанному в
табл. 8. Образцы с сечением овальной формы должны быть намотаны или изогнуты на цилиндре так, чтобы большая ось сечения кабеля была параллельна оси цилиндра.
Образец считают выдержавшим испытание на теплостойкость, если на его оболочке не будет трещин, видимых без применения увеличительного прибора.
Если не требуется испытание с циклами наматывания и разматывания (изгиба) образцов или намотка (изгиб) должна быть произведена на цилиндр другого диаметра, то это должно быть указано в соответствующем стандарте или технических условиях на кабели определенных марок.
В случае технической необходимости допускаются перерывы в испытаниях не более 2 сут, при этом время перерыва не включают в продолжительность испытания.
В технически обоснованных случаях производят разборку образцов кабеля с целью определения состояния элементов его конструкции. Необходимость разборки и критерии оценки оговаривают в стандартах или технических условиях на кабели определенных марок.
Если значение повышенной предельной температуры превышает значение максимальной рабочей температуры при эксплуатации, испытание проводят методом 202-1.
4.5.2. Испытание на холодостойкость проводят методом 203-1 по
ГОСТ 20.57.406 на образцах длиной не менее 0,6 м.
Если под защитным покровом имеется оболочка, то защитный покров должен быть удален.
Испытание должно быть проведено на предварительно изогнутых образцах (в фиксированном состоянии)
(п. 2.5.1) или с последующим изгибом образцов
(п. 2.5.2). Допускается проводить испытания на выпрямленном образце, если это указано в стандарте или технических условиях на кабель определенной марки.
При испытании на предварительно изогнутых образцах они при нормальных климатических условиях, указанных в
п. 4.1, должны быть намотаны на цилиндр или свернуты в бухты.
Образцы с сечением овальной формы должны быть намотаны как указано в
п. 4.5.1.
Намотанные или свернутые в бухту образцы должны быть помещены на 3 ч в камеру холода с заранее установленной температурой, которая должна быть равна минимальной температуре эксплуатации кабеля, указанной в соответствующем стандарте или технических условиях на кабели определенных марок.
Предельные отклонения температуры - +/- 3 °C.
После того как образцы будут вынуты из камеры, они должны быть выдержаны не менее 1 ч при нормальных климатических условиях, указанных в
п. 4.1.
При испытании с последующим изгибом образцы, выпрямленные или изогнутые по радиусу, равному не менее 20 диаметров кабеля, должны быть помещены на 3 ч в камеру.
Температура в камере должна быть равна минимальной температуре, при которой допускается изгибать кабель
(п. 2.5.2), указанной в соответствующем стандарте или технических условиях на кабели определенных марок.
Предельные отклонения температуры +/- 3 °C.
После выдержки образцы при этой же температуре должны быть плавно изогнуты на 180° вокруг цилиндра.
Диаметры цилиндров для намотки или изгиба образцов или диаметры бухт должны соответствовать указанным в
табл. 8.
Образец считают выдержавшим испытание на холодостойкость, если на его оболочке не будет обнаружено трещин, видимых без применения увеличительного прибора.
В технически обоснованных случаях производят разборку образцов кабеля с целью определения состояния элементов конструкции кабеля. Необходимость разборки и критерии оценки указывают в стандартах или технических условиях на кабели определенных марок.
Если пониженная предельная температура среды ниже, чем пониженная рабочая температура, испытание проводят методом 204-1.
4.5.1, 4.5.2. (Измененная редакция, Изм. N 1, 2).
4.5.3. Испытание на воздействие изменений температуры среды
(п. 2.5.3) должно проводиться методом 205-1 по
ГОСТ 20.57.406 на образцах длиной не менее 1 м, изогнутых в соответствии с
табл. 8 или выпрямленных.
Образцы должны быть трижды подвергнуты воздействию следующего температурного цикла: выдержка не менее 3 ч при пониженной предельной температуре эксплуатации кабеля и не менее 3 ч при максимальной температуре эксплуатации кабеля, указанных в соответствующем стандарте или технических условиях на кабели определенных марок.
Время переноса образцов из камеры холода в камеру тепла и обратно не должно превышать 5 мин.
После третьего цикла образцы должны быть охлаждены при нормальных климатических условиях. Образец считают выдержавшим испытание на стойкость к воздействию изменений температуры среды, если на его оболочке не будет обнаружено трещин, видимых без применения увеличительного прибора.
(Измененная редакция, Изм. N 2).
4.5.4. Испытание на воздействие пониженного атмосферного давления
(п. 2.5.1) должно быть проведено методом 209-1 по
ГОСТ 20.57.406, если другой метод не указан в стандартах и программе испытаний на кабели определенных марок.
Образцы кабеля длиной не менее 1,5 м должны быть выдержаны в барокамере в течение 30 мин при давлении, указанном в стандарте или технических условиях на кабели определенных марок в соответствии с
табл. 6.
Образец считают выдержавшим испытание на воздействие пониженного атмосферного давления, если он выдержит в барокамере в течение 1 мин испытание напряжением переменного тока частоты 50 Гц. Значение напряжения должно быть равно 50% значения напряжения, которым проводят испытание изоляции кабеля, указанного в соответствующем стандарте или технических условиях на кабели определенных марок.
4.5.5. Испытание на воздействие повышенного атмосферного давления
(п. 2.5.1) должно быть проведено методом 210-1 по
ГОСТ 20.57.406. Образцы кабелей должны быть выдержаны в барокамере.
Величина давления, время выдержки в камере, длина образцов и контролируемые параметры должны быть указаны в стандартах, технических условиях или программе испытаний на кабели определенных марок.
4.5.6. Испытание на влагостойкость
(п. 2.5.1) должно быть проведено методом 207-2 по
ГОСТ 20.57.406 на образцах длиной не менее 1,5 м.
При нормальных климатических условиях, указанных в
п. 4.1, должна быть измерена электрическая емкость образцов, после чего они должны быть помещены в камеру с заранее установленными относительной влажностью воздуха (93 +/- 3)% и температурой (40 +/- 2) °C для степеней жесткости IX и X или (25 +/- 2) °C для степени жесткости 1 (если другие требования не указаны в соответствующем стандарте или технических условиях на кабели определенных марок) и концы их должны быть выведены наружу или защищены от проникновения влаги внутрь кабеля.
Для образцов, не стойких к воздействию росы, допускается до помещения в камеру влаги их предварительный нагрев до температур на 2 - 3 °C выше, чем в камере.
В этих условиях образцы должны быть выдержаны 2 сут - для степени жесткости 1 и 56 сут - для степеней жесткости IX и X.
Допускается проведение кратковременных испытаний методом 208-2 по
ГОСТ 20.57.406 в течение 4 сут для степеней жесткости IX и X.
Образец считают выдержавшим испытание на стойкость к воздействию повышенной влажности, если его емкость, измеренная после выдержки в камере, отличается от измерений до помещения в камеру не более чем на 5%.
Если измерение емкости проводят после извлечения образцов из камеры, оно должно быть проведено не позднее чем через 1 ч.
4.5.7. Испытание на воздействие инея с последующим его оттаиванием
(п. 2.5.4) должно быть проведено методом 206-1 по
ГОСТ 20.57.406.
У образцов кабелей длиной не менее 1 м до помещения в камеру должна быть измерена электрическая емкость. Затем с загерметизированными концами образцы должны быть помещены в камеру холода и выдержаны в ней 2 ч при температуре минус (20 +/- 5) °C, если иные условия не указаны в стандартах или технических условиях на кабели определенных марок.
Вынутые из камеры образцы должны быть выдержаны в нормальных климатических условиях не менее 1 ч, после чего должна быть измерена вторично электрическая емкость.
Образец кабеля считают выдержавшим испытание к воздействию инея с последующим оттаиванием, если емкость, измеренная после испытания, отличается от начальной не более чем на 5%.
Допускается совмещать испытание на воздействие инея и росы с испытанием на воздействие пониженной рабочей температуры среды или с испытанием на воздействие изменения температуры среды.
4.5.8. Испытание на стойкость к воздействию солнечного излучения
(п. 2.5.5) должно быть проведено методом 211-1 по
ГОСТ 20.57.406 на образцах, каждый длиной не менее 0,6 м, выдержавших испытание на холодостойкость
(п. 4.5.2).
Образец считают выдержавшим испытания на воздействие солнечного излучения, если после облучения он выдержит испытание на холодостойкость в фиксированном состоянии в соответствии с
п. 4.5.2.
4.5.9. Испытание на стойкость к воздействию соляного тумана
(п. 2.5.6) должно быть проведено методом 215-1 по
ГОСТ 20.57.406 на образцах длиной не менее 1 м.
До помещения в камеру должна быть измерена электрическая емкость образцов при нормальных климатических условиях. Концы образцов защищают от проникновения влаги внутрь образцов, после чего образцы помещают в камеру.
Общее время испытания в камере - 2 сут. Образец считают выдержавшим испытание к воздействию соляного тумана, если емкость, измеренная после его воздействия, отличается от измеренной до помещения в камеру не более чем на 5%.
4.5.10. Испытание на воздействие плесневых грибов
(п. 2.5.7) проводят методом 214-1 или методом 214-2 (если допустимый рост грибов 3 балла) по
ГОСТ 20.57.406 на образцах длиной не менее 0,6 м.
4.5.11. Испытание кабелей на стойкость к воздействию соленой воды, минерального масла и бензина
(п. 2.5.8) должно быть проведено на образцах кабеля, каждый длиной не менее 0,6 м. Если под защитным покровом имеется оболочка, то защитный покров должен быть удален.
Испытание должно быть проведено на разных для каждой жидкости образцах. Образцы предварительно могут быть изогнуты: помещаемые в соленую воду или минеральное масло по радиусу, равному не менее 10 диаметрам кабеля, помещаемые в бензин - не менее 15 диаметрам кабеля. Для кабелей овальной формы за диаметр кабеля принимают размер малой оси овала, которая при изгибе должна быть параллельна плоскости изгиба кабеля.
При испытании в соленой воде или в минеральном масле (типа машинного или автола) температура жидкости должна быть (50 +/- 2) °C, при испытании в бензине (марки "Галоша") температура должна быть (20 +/- 2) °C.
Соленая вода должна быть приготовлена путем растворения в 1 дм3 дистиллированной воды в граммах:
- хлористый натрий - 27,2;
- хлористый магний - 3,8;
- сернокислый магний - 1,7;
- сернокислый кальций - 1,2;
- сернокислый калий - 0,9;
- углекислый кальций - 0,1;
- бромистый магний - 0,1.
Допускается раствор приведенного выше набора солей заменить раствором хлористого натрия по
ГОСТ 4233, ч.д.а., в количестве 35 г/л.
Концы погруженных в жидкость образцов должны выступать над ее поверхностью на 8 - 10 см.
Образцы должны быть выдержаны в соответствующей жидкости 20 ч.
Вынутые из жидкости образцы должны быть выдержаны не менее 1 ч в нормальных климатических условиях, после чего погружены в воду, и их оболочка должна быть испытана согласно
п. 4.3.14 напряжением частоты 50 Гц, величина которого должна быть указана в соответствующем стандарте или технических условиях на кабели определенных марок.
Образец считают стойким к воздействию соответствующей жидкости, если его оболочка выдержала испытание напряжением.
4.5.5 - 4.5.11. (Измененная редакция, Изм. N 1, 2).
4.5.12. Испытание на стойкость к воздействию озона повышенной концентрации
(п. 2.5.9) должно быть проведено на образцах, каждый длиной не менее 0,6 м.
Установка для испытаний должна быть герметичной и должна обеспечивать воздействие на образцы потока воздуха, содержащего озон определенной концентрации.
Устройство камеры для испытания должно обеспечивать одинаковое воздействие озонированного воздуха на все образцы, непрерывное наблюдение за ними и исключать действие на образцы прямого интенсивного света.
Значение объема камеры для испытания (см3) численно должно превышать значение поверхности образцов (см2) не менее чем в 10 раз.
Скорость потока озонированного воздуха должна поддерживаться постоянной и равной (2 +/- 0,1) дм3/мин. Полный обмен воздуха в камере должен происходить не реже чем через каждые 30 мин. За это время должна быть достигнута постоянная концентрация озона. Предельные отклонения концентрации озона в камере не должны превышать +/- 10% от номинального значения.
Установка должна позволять контролировать концентрацию озона в воздухе перед входом его в камеру и после выхода из нее. При отборе проб поступающего в камеру воздуха поток озонированного воздуха, проходящий через камеру, не должен прерываться.
Воздух, поступающий на озонирование, не должен содержать влаги, масла, пыли и других загрязняющих веществ.
Озон отработавшего озонированного воздуха должен поглощаться или подвергаться разложению.
Образцы перед помещением в камеру изгибают по радиусу, равному пяти диаметрам кабеля; их концы покрывают парафином или другим озоностойким материалом. Для кабелей овальной формы за диаметр кабеля принимают размер малой оси овала, которая при изгибе должна быть параллельна плоскости изгиба кабеля.
Испытания должны проводиться при температуре (25 +/- 3) °C.
Концентрация озона в камере и время выдержки в ней образцов должны быть указаны в программе испытаний:
Отсчет времени должен проводиться с момента подачи озонированного воздуха в камеру с образцами.
Образцы считают стойкими к воздействию повышенной концентрации озона, если на его оболочке не будет обнаружено трещин, видимых без применения увеличительного прибора.
(Измененная редакция, Изм. N 1).
4.5.13. Испытание на стойкость к динамическому воздействию пыли
(п. 2.5.10) должно быть проведено методом 212-1 по
ГОСТ 20.57.406 на образцах, каждый длиной не менее 0,6 м.
Образец считают выдержавшим испытание на стойкость к динамическому воздействию пыли, если на его оболочке не будет обнаружено сквозных повреждений, видимых без применения увеличительного прибора.
4.5.14. Испытание на текучесть
(п. 2.4.5) определяет стойкость кабеля к механической нагрузке при испытательной температуре. Смещение внутреннего проводника (проводников), происходящее при этом, условно принято в качестве меры текучести материала изоляции кабеля.
Испытания на текучесть проводят на образцах кабелей с полиэтиленовой изоляцией длиной не менее 30 наружных диаметров кабеля. К каждому концу образца, непосредственно к зачищенным концам внутреннего проводника коаксиального (или скрученным вместе концам проводников двухпроводного) кабеля прикрепляют грузы, масса которых должна быть указана в стандартах или технических условиях на кабели определенных марок. Образец кабеля с грузами симметрично подвешивают на горизонтально расположенную цилиндрическую оправку (стержень), диаметр которой соответствует указанному в
табл. 8, помещают в камеру тепла и выдерживают при температуре (100 +/- 2) °C в течение 7,5 ч. После этого образец вынимают из камеры, отсоединяют грузы, выдерживают при нормальных климатических условиях не менее 1 ч, а затем разрезают его в середине изогнутого по оправке участка и определяют относительное значение смещения внутреннего проводника от центра в процентах от номинального диаметра изоляции, которое не должно превышать 15%, если другое значение не указано в стандартах или технических условиях на кабели определенных марок.
4.5.15. Стабильность размеров
(п. 2.4.6) определяют при воздействии на кабель максимальной рабочей температуры при эксплуатации.
| | ИС МЕГАНОРМ: примечание. В официальном тексте документа, видимо, допущена опечатка: чертеж 5 отсутствует. | |
Три образца, каждый длиной по 1,5 м, обрезают на концах так, чтобы срез был перпендикулярен оси кабеля. Образцы без каких-либо креплений помещают в открытый цилиндрический контейнер с диаметром, равным не менее чем 30-кратному наружному диаметру кабеля. Образцы располагают без пересечения витков, как указано на черт. 5. Контейнер с образцами помещают в камеру тепла с температурой, указанной в стандарте или технических условиях на кабель определенной марки, и выдерживают при этой температуре в течение 20 ч. Затем контейнер с образцами вынимают из камеры, выдерживают в нормальных климатических условиях не менее 1 ч и, не вынимая образцов, измеряют на каждом конце смещения изоляции относительно внутреннего проводника. Подсчитывают среднее значение проведенных измерений, которые должны быть не более указанного в стандартах или технических условиях на кабели определенных марок.
4.5.14, 4.5.15. (Введены дополнительно, Изм. N 2).
4.6. Методы испытаний на надежность
4.6.1. Испытания на долговечность (подтверждение минимальной наработки) проводят на образцах длиной, достаточной для контроля с необходимой точностью электрических параметров.
Для проверки холодоустойчивости с изгибом, при наличии такого требования в стандартах или технических условиях на кабели определенных марок, дополнительно отбирают 46 образцов, каждый длиной не менее 0,6 м. Образцы свертывают в бухты, внутренний диаметр которых должен быть не менее удвоенного значения, указанного в
табл. 8.
До начала испытаний проверяют по нормам при приемке и поставке параметры - критерии годности:
- коэффициент затухания при максимальной частоте и волновое сопротивление, если иные параметры не указаны в стандартах или технических условиях (программах испытаний) на кабели определенных марок;
- холодоустойчивость с изгибом на половине дополнительно отобранных образцов, при этом испытанные на холодоустойчивость образцы исключают из дальнейших испытаний.
Параметры - критерии годности до начала испытаний на долговечность не проверяют, если указанным испытаниям предшествовали испытания на сохраняемость.
Образцы подвергают воздействию повторяющихся испытательных циклов, каждый из которых состоит из:
- повышенной испытательной температуры - в течение времени, указанного в
табл. 15;
- нормальных климатических условий - не менее 3 ч;
- пониженной рабочей температуры среды - не менее 3 ч;
- нормальных климатических условий - не менее 3 ч.
Значение повышенной испытательной температуры и длительность ее воздействия в каждом цикле выбирают из табл. 15 в зависимости от материалов изоляции и оболочек кабеля определенных марок.
| | ИС МЕГАНОРМ: примечание. Нумерация таблиц дана в соответствии с официальным текстом документа. | |
Группа кабелей | Максимальная рабочая температура, °C | Испытательная температура, °C | Продолжительность испытаний в циклах, ч |
1. С изоляцией и оболочкой из полиэтилена | 85 | 85 | |
2. С изоляцией из полиэтилена и оболочкой из поливинилхлоридного пластиката | а) 70 | 85 | а) | 300 | б) | 475 (1-й цикл) |
600 | 950 (2-й цикл) |
600 | 950 (3-й цикл) |
1500 | 2375 (4-й цикл) |
3. С изоляцией из фторопластов: 4, 4Д, 4МБ, оболочкой из фторопласта 4МБ кремнийорганической резины | 200 | 230 | 330 (1-й цикл) 660 (2-й цикл) 660 (3-й цикл) 1650 (4-й цикл) |
4. С изоляцией из фторопласта-4 и оболочкой из фторопласта-4 и (или) стеклооплетки, пропитанной кремнийорганическим лаком | 200 | 250 | 170 (1-й цикл) 340 (2-й цикл) 340 (3-й цикл) 850 (4-й цикл) |
5. С фторопластовой изоляцией в медной трубке без защитной оболочки | 100 125 155 | 100 125 155 | |
--------------------------------
<*> Для марок поливинилхлоридного пластиката повышенной теплостойкости.
Для групп кабелей, не указанных в
табл. 15, значение повышенной температуры и длительность ее воздействия в каждом цикле устанавливают в стандартах, технических условиях на кабели определенных марок или в программах испытаний.
Число циклов выбирают из табл. 16, исходя из значений минимальной наработки, подтверждаемой при испытаниях.
Минимальная наработка, ч | Количество циклов | Минимальная наработка, подтверждаемая в каждом цикле испытаний, ч |
10000 | 4 | 1000 (1-й цикл) 2000 (2-й цикл) 2000 (3-й цикл) 5000 (4-й цикл) |
5000 | 3 | 1000 (1-й цикл) 2000 (2-й цикл) 2000 (3-й цикл) |
3000 | 2 | 1000 (1-й цикл) 2000 (2-й цикл) |
Если в программе испытаний, в стандартах или технических условиях на кабели определенных марок установлено несколько значений минимальной наработки, испытания проводят в одном испытательном режиме, соответствующем наиболее жесткому эксплуатационному режиму.
Для значений минимальной наработки, не указанной в
табл. 16, число циклов испытаний и их продолжительность устанавливают в стандартах, технических условиях или в программах испытаний на кабели определенных марок.
После каждого цикла проводят осмотр образцов без применения увеличительных приборов и контроль параметров - критериев годности. При этом контроль холодоустойчивости с изгибом, если он предусмотрен, проводят только после последнего цикла испытаний. Допускается также проводить контроль отдельных электрических параметров только после последнего цикла испытаний.
Кабели считают выдержавшими испытания, если после каждого цикла на поверхности образцов не обнаружены трещины, а контролируемые параметры - критерии годности соответствуют нормам на период эксплуатации и хранения, установленным в стандартах, технических условиях на кабели определенных марок или в программах испытаний.
Испытания по подтверждению минимальной наработки мощных радиочастотных кабелей прямым способом допускается проводить путем одновременного воздействия повышенной температуры окружающей среды и электрической нагрузки по нормам на период эксплуатации и хранения, указанным в стандартах или технических условиях на кабель определенной марки. Нагрузку током высокой частоты или импульсами тока сложной формы допускается заменять эквивалентным током промышленной частоты, который определяют из условия, чтобы при пропускании его по внутреннему проводнику коаксиального кабеля (или по обоим проводникам двухпроводного кабеля) температура нагрева этого проводника была такой же, как при электрической нагрузке, указанной в стандартах или технических условиях на кабель определенной марки.
В случаях, когда работоспособность изделий определяется состоянием оболочки, допускается проводить испытания изделий без электрической нагрузки при температуре, достигаемой на оболочке при одновременном воздействии повышенной температуры окружающей среды и электрической нагрузки.
Для отдельных специфических групп и марок кабелей испытания проводят по методикам, утвержденным в установленном порядке.
4.6.2. Испытания на сохраняемость в форсированных режимах проводят при повышенной испытательной температуре (70 +/- 3) °C и относительной влажности воздуха 60% - 80%. Продолжительность испытаний, имитирующих один год хранения в отапливаемых хранилищах, устанавливают равной 67 ч для кабелей с полиэтиленовой изоляцией и оболочкой, 52 ч для кабелей с полиэтиленовой изоляцией и оболочкой из поливинилхлоридного пластиката. Для других материалов, а также для специфических групп кабелей продолжительность испытаний устанавливают в программах испытаний на основе экспериментальных данных.
Общая продолжительность воздействия повышенной температуры и влажности определяется сроком сохраняемости в годах, подтверждаемым при этих испытаниях.
Подготовка образцов, контролируемые параметры и оценка результатов испытаний - согласно
п. 4.6.1.
Периодичность контроля параметров - критериев годности - до испытаний, после подтверждения половины и всего минимального срока сохраняемости. До контроля параметров образцы должны быть выдержаны в нормальных климатических условиях не менее 3 ч.
4.6.3. Испытания по подтверждению 95-процентного ресурса проводят аналогично по
п. 4.6.1. Число испытательных циклов и их продолжительность устанавливают в программах испытаний кабелей определенных марок.
4.6 - 4.6.3. (Измененная редакция, Изм. N 2).
(Введен дополнительно, Изм. N 1).
5. МАРКИРОВКА, УПАКОВКА, ТРАНСПОРТИРОВАНИЕ И ХРАНЕНИЕ
5.1. На полиэтиленовой оболочке или на оболочке из поливинилхлоридного пластиката по всей длине кабеля наружным диаметром более 4 мм на расстоянии не более 1 м друг от друга должны быть нанесены:
- марка кабеля;
- товарный знак предприятия-изготовителя или его условное обозначение;
- год выпуска кабеля.
Для кабелей меньших размеров, кабелей, в изоляции которых имеется кордель, кабелей с гофрированным внешним проводником, а также для кабелей, имеющих другие оболочки, способы нанесения маркировочных знаков, по мере разработки этих способов, должны быть введены в соответствующие стандарты или технические условия на кабели определенных марок.
5.2. Маркировка, упаковка, транспортирование и хранение кабелей должны соответствовать
ГОСТ 18690.
Допускается намотка на барабан более трех длин кабеля одной марки при условии обеспечения возможности проведения их контроля.
Дополнительные требования к упаковке должны быть указаны в стандартах или технических условиях на кабели определенных марок.
(Измененная редакция, Изм. N 1, 2).
5.3. На каждом барабане или ярлыке, прикрепленном к бухте, должно быть указано:
а) товарный знак предприятия-изготовителя;
б) марка кабеля;
в) число отрезков на барабане;
г) длина кабеля в метрах;
д) масса брутто в килограммах;
е) номер барабана (номер испытаний) предприятия-изготовителя;
ж) дата изготовления (год, месяц);
и) обозначение стандарта или технических условий на кабели определенных марок.
5.4. При хранении в складских условиях и под навесом кабели должны быть защищены от воздействия солнечного излучения, атмосферных осадков, агрессивных сред и механических воздействий.
В воздухе должны отсутствовать пары кислот и другие агрессивные примеси, вредно действующие на кабели и тару.
(Измененная редакция, Изм. N 1).
6. УКАЗАНИЯ ПО ЭКСПЛУАТАЦИИ
6.1. Минимальные радиусы изгиба кабелей при транспортировании, хранении и монтаже должны соответствовать указанным в стандартах или технических условиях на кабели определенных марок.
Минимальные температуры, при которых допускается изгибать кабели в процессе монтажа и эксплуатации, должны соответствовать указанным в стандартах или технических условиях на кабели определенных марок.
6.2. При хранении кабелей с полувоздушной и воздушной изоляцией их концы должны быть защищены от проникновения влаги внутрь кабеля.
6.3. При эксплуатации кабелей в условиях атмосферных конденсированных осадков (инея, росы) должны быть приняты меры по защите концов кабеля от поверхностных утечек и перекрытий.
При эксплуатации кабелей с полувоздушной и воздушной изоляцией вне герметичных блоков должны применяться герметичные соединители.
(Измененная редакция, Изм. N 1).
6.4. При нагреве кабелей, содержащих фторопласты, свыше температуры, указанной в стандартах или технических условиях на кабели определенных марок, а также при сжигании отходов кабелей из фторопластов выделяются токсичные газы.
Должны быть приняты меры, исключающие их воздействие.
6.5. В стандартах или технических условиях на кабели определенных марок в случае технической необходимости могут быть приведены другие или дополнительные указания по эксплуатации, связанные с особенностями конструкций кабелей и условиями их применения.
7.1. Изготовитель гарантирует соответствие кабелей требованиям настоящего стандарта и стандартов или технических условий на кабели определенных марок при соблюдении условий хранения, транспортирования, монтажа и эксплуатации.
(Измененная редакция, Изм. N 1).
7.2. Гарантийный срок эксплуатации - 24 мес со дня ввода кабелей в эксплуатацию, но не более 36 мес со дня получения потребителем.
(Измененная редакция, Изм. N 2).
Справочное
1. ФОРМУЛЫ ДЛЯ ПЕРЕСЧЕТА ДОПУСКАЕМЫХ ТОКОВ,
НАПРЯЖЕНИЙ И МОЩНОСТЕЙ
1.1. Значение предельного длительно допускаемого тока If, А, при частоте, отличающейся от указанной в стандарте или технических условиях на кабели определенных марок, вычисляют по формуле

,
где
f0 - частота, при которой в стандарте или технических условиях указан предельный длительно допускаемый ток

(обычно
f0 = 1,76 МГц);
f - частота, для которой производят пересчет, выражается в тех же единицах, что и f0.
Частота f должна быть не более предельной частоты для данного кабеля и ее величина в мегагерцах численно должна быть не менее 0,1d-2, где d - диаметр внутреннего проводника, мм.
1.2. Значение предельного длительно допускаемого напряжения U, В, при частоте, отличающейся от указанной в стандарте или технических условиях на кабели определенных марок, вычисляют по формуле

,
где
f0 - частота, при которой в стандарте или технических условиях указано предельное длительное допускаемое напряжение

(обычно
f0 = 1,76 МГц);
f - частота, для которой производят пересчет; выражается в тех же единицах, что и f0.
Значение напряжения U не должно превосходить указанного в стандарте или технических условиях на кабели определенных марок напряжения начала внутренних разрядов в изоляции.
1.3. Значение длительно допускаемых предельных мощностей Pt, Вт, тока It, А, и напряжения Ut, В, высокой частоты при температуре окружающего воздуха, отличающиеся от указанной в стандарте или технических условиях на кабели определенных марок, вычисляют по формулам:

,
где t0 - температура окружающего воздуха, при которой в стандарте или технических условиях указана предельная длительно допускаемая мощность (обычно t0 = 40 °C);
t - наибольшая температура окружающего воздуха, для которой производят пересчет, °C;
tдоп - наибольшая длительно допускаемая температура наименее теплостойкого элемента кабеля, °C;
1.4. Значение предельной длительно допускаемой передаваемой мощности Pк, Вт, при коэффициенте стоячей волны напряжения (КСВн), отличающемся от указанного в стандарте или технических условиях на кабели определенных марок, вычисляют по формуле

,
где K0 - КСВн, при котором в стандарте или технических условиях указана предельная длительно допускаемая передаваемая мощность (обычно K0 = 1);
K - КСВн, для которого производят пересчет.
2. Формулы для расчета и сравнительного пересчета номинальных значений волнового сопротивления, электрической емкости и коэффициента затухания радиочастотных коаксиальных кабелей разных размеров и различных по конструкции проводников или изоляции
2.1. Волновое сопротивление Zв, Ом, рассчитывают по формуле

,
где

- относительная эквивалентная диэлектрическая проницаемость изоляции (в случае сплошной изоляции);

- относительная диэлектрическая проницаемость материала изоляции;
D1 - наружный диаметр внутреннего проводника, мм;
D3 - внутренний диаметр внешнего проводника, мм;
W1 - коэффициент, учитывающий влияние конструкции внутреннего проводника на волновое сопротивление кабеля:
- для однопроволочного проводника W1 = 1,
- для семипроволочных проводников W1 = 0,939,
- для 19-проволочных проводников W1 = 0,970,
- для 37-проволочных проводников W1 = 0,980;
W3 - коэффициент, учитывающий влияние конструкции внешнего проводника на волновое сопротивление:
- для внешнего проводника в виде гладкой трубки W3 = 1,
- для внешнего проводника в виде оплетки W3 вычисляют по формуле

,
где d0 - диаметр проволок оплетки, мм.
2.2. Электрическую емкость C, пФ/м, вычисляют по формуле

,
где Zв - волновое сопротивление кабеля, Ом;

- коэффициент укорочения длины волны, рассчитывают по формуле

.
Как следует из формулы, волновое сопротивление и электрическая емкость однозначно определяют друг друга.
2.3. Коэффициент затухания коаксиального кабеля

, дБ/м, вычисляют (или пересчитывают при сравнении кабелей) по формуле

,
где

- составляющая коэффициента затухания от потерь во внутреннем проводнике, дБ/м;

- составляющая коэффициента затухания от потерь в изоляции, дБ/м;

- составляющая коэффициента затухания от потерь во внешнем проводнике, дБ/м.
Составляющие коэффициента затухания

,

, дБ/м, вычисляют по формулам:

;

,
где f - частота, Гц;

,

- удельные электрические сопротивления проводников, Ом·м;
K11, K13 - коэффициенты, учитывающие влияние формы проводников на коэффициент затухания.
Для однопроволочного внутреннего проводника K11 = 1; для семи- и девятнадцатипроволочного внутренних проводников K11 = 1,25; для внешнего проводника в виде гладкой трубки K13 = 1; для внешнего проводника в виде оплетки K13 = 2. Данные значения рекомендуется использовать в расчетах для частот до 3 ГГц;
K21,
K23 - коэффициенты, учитывающие влияние покрытия проволок внутреннего и внешнего проводников. Для медных и медных посеребренных проводников
K21 и
K23 = 1. Для меди луженой и стали, покрытой медью, значения коэффициентов в зависимости от толщины покрытия и рабочей частоты кабеля (зависимость вычисляют по формуле:

, где
h - толщина покрытия, мм;
f - рабочая частота кабеля, Гц) указаны в табл. 1.
Таблица 1
 , мм·Гц | Коэффициенты K21 и K23 для проводников |
из медной проволоки, покрытой оловом | из стальной проволоки, покрытой медью |
0,01 | 1,00 | 6,05 |
0,02 | 1,03 | 3,17 |
0,03 | 1,06 | 2,16 |
0,04 | 1,11 | 1,65 |
0,05 | - | 1,35 |
0,06 | 1,25 | 1,16 |
0,07 | - | - |
0,08 | 1,44 | - |
0,21 | 2,64 | - |

,
где

- тангенс угла диэлектрических потерь изоляции.
Значения свойств наиболее применяемых материалов приведены в табл. 2.
Таблица 2
Материал изоляции | | | Материал проводника |  , Ом·м |
Полиэтилен | 2,28 | 2 - 4 | Медь мягкая | 1,73 |
Полиэтилен вспененный | 1,50 | 6 | Серебро | 1,60 |
Фторопласт-4 | 2,05 | 2 | Алюминий | 2,75 |
Фторопласт-4МБ | 2,10 | 8 | Олово | 11,40 |
2.4. Температурное изменение коэффициента затухания

, дБ/м, вычисляют по формуле

,
где

,

,

- рассчитаны для температуры 20 °C;
t - температура кабеля, °C.
| | ИС МЕГАНОРМ: примечание. Нумерация пунктов дана в соответствии с официальным текстом документа. | |
5. Критическую частоту fкр, МГц, до которой коаксиальный кабель может устойчиво работать на основной волне T, вычисляют по формуле

.
Расчет значений волнового сопротивления и коэффициента затухания проводят по номинальным значениям размеров кабелей и свойств материалов.
Расчетные значения коэффициента затухания приводят в виде графиков или таблиц частотной зависимости в стандартах и технических условиях на кабели определенных марок и используют при определении сдаточных норм, учитывающих точность измерения и технологии, и при сравнении кабелей с аналогами.
ПРИЛОЖЕНИЕ. (Измененная редакция, Изм. N 2).