Главная // Актуальные документы // ГОСТ (Государственный стандарт)СПРАВКА
Источник публикации
М.: Издательство стандартов, 1990
Примечание к документу
Документ включен в
Перечень документов в области стандартизации, содержащих правила и методы исследований (испытаний) и измерений, в том числе правила отбора образцов, необходимых для применения и исполнения Федерального
закона от 27.12.2009 N 347-ФЗ и осуществления оценки соответствия (
Распоряжение Правительства РФ от 29.07.2010 N 1284-р).
С 1 июля 2003 года до вступления в силу технических регламентов акты федеральных органов исполнительной власти в сфере технического регулирования носят рекомендательный характер и подлежат обязательному исполнению только в части, соответствующей целям, указанным в
пункте 1 статьи 46 Федерального закона от 27.12.2002 N 184-ФЗ.
Ограничение срока действия снято по Протоколу N 3-93 Межгосударственного Совета по стандартизации, метрологии и сертификации ("ИУС", N 5 - 6, 1993).
Срок действия продлен до 1 января 1994 года Постановлением Госстандарта СССР от 24.06.1988 N 2276.
Введен в действие с 1 января 1984 года.
Взамен ГОСТ 4677-74.
Название документа
"ГОСТ 4677-82. Фонари. Общие технические условия"
(утв. Постановлением Госстандарта СССР от 09.11.1982 N 4221)
(ред. от 01.04.1990)
"ГОСТ 4677-82. Фонари. Общие технические условия"
(утв. Постановлением Госстандарта СССР от 09.11.1982 N 4221)
(ред. от 01.04.1990)
Утвержден и введен в действие
Постановлением Госстандарта СССР
от 9 ноября 1982 г. N 4221
ГОСУДАРСТВЕННЫЙ СТАНДАРТ СОЮЗА ССР
ФОНАРИ
ОБЩИЕ ТЕХНИЧЕСКИЕ УСЛОВИЯ
Pocket lamps. General specifications
ГОСТ 4677-82
| | Список изменяющих документов (в ред. Изменения N 1, утв. в июне 1988 г., Изменения N 2, утв. в январе 1990 г.) | |
Срок действия
с 1 января 1984 года
до 1 января 1994 года
1. Разработан и внесен Министерством электротехнической промышленности и приборостроения СССР.
Разработчики: А.И. Запенин (руководитель темы); В.В. Белов; Б.Н. Орлов; А.В. Очкин; Г.Г. Котик, канд. техн. наук; Г.В. Куликов.
2. Утвержден и введен в действие Постановлением Государственного комитета СССР по стандартам от 09.11.82 N 4221.
3. Взамен ГОСТ 4677-74.
4. Периодичность проверки - 5 лет.
5. Ссылочные нормативно-технические документы
────────────────────────────────┬─────────────────────────────────
Обозначение НТД, на который дана│ Номер пункта, подпункта,
ссылка │ перечисления, приложения
────────────────────────────────┼─────────────────────────────────
ИС МЕГАНОРМ: примечание.
Взамен ГОСТ 14254-80 Постановлением Госстандарта РФ от
18.10.1996 N 601 с 1 января 1997 года введен в действие
6. Срок действия продлен до 01.01.94 Постановлением Госстандарта СССР от 24.06.88 N 2276.
7. Переиздание (август 1990 г.) с Изменениями N 1, 2, утвержденными в июне 1988 г., январе 1990 г. (ИУС 10-88, 4-90).
Настоящий стандарт распространяется на электрические фонари культурно-бытового и хозяйственного назначения с лампами накаливания и с источниками тока в виде сухих электрохимических элементов или аккумуляторов, напряжением не более 42 В постоянного тока, предназначенные в качестве переносного светового прибора местного освещения и (или) светосигнального устройства индивидуального пользования, изготовляемые для нужд народного хозяйства и для поставки на экспорт.
Стандарт не распространяется на фонари:
электродинамические;
брелки;
миниатюрные для кратковременной подсветки циферблата часов, замочной скважины и др.
(Измененная редакция, Изм. N 1).
1.1. Фонари классифицируют и обозначают по следующим признакам:
1.1.1. По виду источника тока:
с сухими электрохимическими элементами - Б;
с аккумуляторами со встроенными зарядными устройствами - А;
с аккумуляторами емкостью свыше 3 А х ч без зарядных устройств - АБЗ;
с аккумуляторами с выносными зарядными устройствами - АЗ;
с универсальным источником тока (с аккумуляторами или сухими электрохимическими элементами) - У.
(Измененная редакция, Изм. N 1, 2).
| | ИС МЕГАНОРМ: примечание. Взамен ГОСТ 14254-80 Постановлением Госстандарта РФ от 18.10.1996 N 601 с 1 января 1997 года введен в действие ГОСТ 14254-96. | |
1.1.2. По степени защиты от попадания воды по ГОСТ 14254-80:
защита отсутствует - Н;
" от брызг - С;
" при погружении в воду - В.
1.1.3. По конструктивному исполнению:
без светосигнального устройства - 0,
со светосигнальным устройством - 1.
1.1.4. По способу крепления или переноски (не обозначаются):
без крепления;
с магнитным креплением;
с ремнем, шнуром, тросом;
со скобой, зажимом;
с ручкой;
с креплением на голове (налобные).
(Измененная редакция, Изм. N 1).
1.2. Условное обозначение фонарей.
X X X X
│ │ │ │
└──┼──┼──┼───── Буква (буквы), означающая источник света
│ │ │
└──┼──┼───── Буква, означающая степень защиты от попадания воды
│ │
└──┼───── Цифра, означающая конструктивное исполнение
│
└───── Трехзначная цифра, означающая номер модификации
Примечания. 1. Номер модификации при разработке фонарей присваивается головной организацией по виду продукции.
2. Условные обозначения устанавливаются на вновь разрабатываемые фонари.
Допускается дополнительно с условным обозначением присваивать фонарям условное наименование, которое должно размещаться после условного обозначения фонаря.
Примеры условных обозначений фонарей:
фонарь с сухими электрохимическими элементами с защитой при погружении в воду со светосигнальным устройством модификации 015:
БВ-1-015
фонарь с аккумулятором без защиты от попадания воды без светосигнального устройства модификации 001:
АН-0-001 "Проминь"
(Измененная редакция, Изм. N 1, 2).
| | Применение на добровольной основе раздела 2 обеспечивает соблюдение требований Федерального закона от 27.12.2009 N 347-ФЗ "Технический регламент о безопасности низковольтного оборудования (Приказ Росстандарта от 14.09.2010 N 3546). | |
2. ТЕХНИЧЕСКИЕ ТРЕБОВАНИЯ
2.1. Фонари должны изготовляться в соответствии с требованиями настоящего стандарта, технического описания образца по ГОСТ 15.009-86 (в дальнейшем техническое описание) на отдельные типы или группы фонарей по технической документации и образцу-эталону, утвержденными в установленном порядке.
Допускается изготовлять фонари, разработанные до 01.01.89, в соответствии с техническими условиями взамен технического описания.
2.2. Освещенность рабочей поверхности, создаваемая фонарем в пределах круга диаметром 0,15 м, расположенном на плоскости, перпендикулярной оптической оси фонаря, на расстоянии 1 м от его светового центра, должна быть не менее среднего арифметического ее значения, указанного в табл. 1а. Коэффициент неравномерности освещенности при этом должен быть не более +/- 50% от среднего арифметического значения, а освещенность в центре круга - не менее указанной в табл. 1а.
──────────────────────────┬───────────────────────────────────────
Номинальная мощность лампы│ Среднее арифметическое значение
фонаря, Вт │ освещенности рабочей поверхности, лк
──────────────────────────┼───────────────────────────────────────
До 0,40 включ. │50
Св. 0,40 " 0,75 " │75
" 0,75 " 1,50 " │90
" 1,50 │120
Примечание. Номинальная мощность лампы определяется как произведение номинального тока на номинальное напряжение, указанные в нормативно-технической документации на лампу.
2.3. Рабочая поверхность отражателя не должна иметь инородных включений, вмятин, царапин, пузырей, пятен и обнажений, влияющих на внешний вид и освещенность рабочей поверхности.
2.1 - 2.3. (Измененная редакция, Изм. N 1).
2.4. Защитное стекло должно быть прозрачным, не иметь на рабочей поверхности свилей, пузырей, трещин, царапин и других дефектов.
2.5. (Исключен, Изм. N 1).
2.6. Фонари со светосигнальным устройством должны иметь красный или красный и зеленый светофильтры. Коэффициент пропускания красного светофильтра должен быть не менее 0,1, зеленого не менее 0,2.
По согласованию с потребителем допускается изготовление светофильтров других цветов. Количество, цветность, минимальный коэффициент пропускания этих светофильтров должны быть указаны в техническом описании (технических условиях) на отдельные типы или группы фонарей.
(Измененная редакция, Изм. N 1).
2.7. Светофильтр должен полностью перекрывать выходное отверстие фонаря.
2.8. Фонари должны изготовляться класса защиты III от поражения электрическим током по
ГОСТ 12.2.007.0-75; при этом зарядные устройства должны соответствовать классу защиты II.
2.9. Фонари должны изготовляться климатического исполнения У, УХЛ (ХЛ), или Т, категории размещения 1.1 по
ГОСТ 15150-69, но для работы при температуре окружающей среды, указанной в нормативно-технической документации на источники тока.
Конкретное климатическое исполнение и предельные значения температуры эксплуатации фонарей должны быть указаны в техническом описании (технических условиях).
2.10. Фонари должны нормально работать после пребывания их в окружающей среде, соответствующей степени жесткости по влажности воздуха II по ГОСТ 16962-71 для климатического исполнения У, УХЛ (ХЛ) и степени жесткости по влажности воздуха VI по ГОСТ 16962-71 для климатического исполнения Т.
2.9, 2.10. (Измененная редакция, Изм. N 1).
2.11. Сопротивление изоляции зарядных устройств фонарей после пребывания их в окружающей среде, соответствующей п. 2.10, должно быть не менее значений, указанных в табл. 1. Места измерения сопротивления изоляции должны соответствовать указанным в табл. 1.
───────────────────────┬────────────────────┬─────────────────────
Место измерения │Сопротивление изоля-│ Испытательное
│ции, МОм, не менее │ напряжение, кВ
───────────────────────┼────────────────────┼─────────────────────
Между находящимися под│2 │2 U + 3,5
напряжением частями и │ │
доступными для при- │ │
косновения металличес- │ │
кими частями, метал- │ │
лическими крепежными │ │
частями или металли- │ │
ческой фольгой, нахо- │ │
дящейся на доступных │ │
для прикосновения │ │
изоляционных частях │ │
Примечание. U - номинальное напряжение зарядного устройства фонаря.
При нормальных климатических условиях испытаний сопротивление изоляции зарядных устройств должно быть не ниже 20 МОм.
2.12. Изоляция зарядных устройств фонарей после пребывания их в окружающей среде, соответствующей
п. 2.10, должна выдерживать испытательное напряжение, равное 0,6 от значения, указанного в
табл. 1, а при нормальных климатических условиях испытаний - в соответствии с
табл. 1.
Места приложения испытательного напряжения должны соответствовать
табл. 1.
| | ИС МЕГАНОРМ: примечание. Взамен ГОСТ 14254-80 Постановлением Госстандарта РФ от 18.10.1996 N 601 с 1 января 1997 года введен в действие ГОСТ 14254-96. | |
2.13. Степень защиты оболочек по ГОСТ 14254-80 должна быть не ниже:
IP20 - для фонарей без защиты от попадания воды;
IP24 - " с защитой от брызг;
IP27 - " с защитой при погружении в воду.
Конкретная степень защиты оболочек фонарей должна быть указана в техническом описании (технических условиях) на отдельные типы или группы фонарей.
2.14. Фонари с защитой при погружении в воду должны быть водонепроницаемыми и должны после пребывания их в воде в течение 1 ч сохранять свои параметры в пределах значений, установленных в техническом описании (технических условиях) на отдельные типы или группы фонарей.
2.11 - 2.14. (Измененная редакция, Изм. N 1).
2.15. Фонари с защитой от брызг должны быть устойчивыми к воздействию дождя, верхнее значение интенсивности которого 5 мм/мин.
2.16. Фонари должны быть виброустойчивы в процессе воздействия механических факторов, соответствующих 1 степени жесткости по ГОСТ 16962-71.
(Измененная редакция, Изм. N 1).
2.17. Все наружные металлические части фонарей должны быть защищены от коррозии в соответствии с условиями эксплуатации, для которых они предназначены.
2.18. На наружной видимой поверхности корпуса фонаря не должно быть видимых мест сварки, спая, следов от толкателя, утяжин, превышающих глубину 0,3 мм на площади размером 5 х 5 мм, инородных включений, разнородности цвета на одной детали, царапин, вмятин, облоя.
2.19. Корпус фонаря с сухими электрохимическими элементами должен обеспечивать свободную установку и извлечение сухих электрохимических элементов, не допуская их осевого перемещения после сборки фонаря.
2.18, 2.19. (Измененная редакция, Изм. N 1).
2.20. Светотехническая арматура фонаря должна обеспечивать надежный электрический контакт установленного источника света.
2.21. Выключатель фонаря должен фиксировать положения "Включено" и "Отключено", обеспечивая надежный электрический контакт. У фонарей, имеющих несколько родов работ (мигающий свет, импульсное выключение и др.), на выключателе или рядом с ним любым способом должны быть четко обозначены положения выключателя.
Допускается не наносить обозначения положений выключателя для фонарей, имеющих только два положения - "включено", "отключено", при этом положения выключателя должны быть указаны в эксплуатационном документе по ГОСТ 2.606-68.
2.22. Выключатель должен выдерживать не менее 15000 циклов включения-отключения.
2.21, 2.22. (Измененная редакция, Изм. N 1).
2.23. Затвор крышки и оптической системы должен выдерживать не менее 500 циклов "закрыто" и "открыто".
2.24. Встроенное или выносное зарядное устройство фонарей с аккумуляторами должно обеспечивать зарядку фонарей от сети переменного тока частоты 50 Гц номинальным напряжением 220 и (или) 127 В.
Зарядное устройство должно иметь контакты с размерами для штепсельной двухполюсной вилки с цилиндрическими контактами на ток 6,3 А по ГОСТ 7396-85.
Фонари без зарядного устройства должны заряжаться режимами в соответствии с эксплуатационным документом на фонарь.
(Измененная редакция, Изм. N 1, 2).
2.25. Электрические соединения, обеспечивающие контакт за счет упругих деформаций, должны быть изготовлены из материалов, обладающих пружинящими свойствами, надежной токопроводностью и стойких к коррозии.
2.26. Фонари с аккумуляторами должны обеспечивать непрерывное горение лампы в нормальных климатических условиях по
ГОСТ 15150-69, не менее:
1 ч - для фонарей с аккумуляторами емкостью до 3 А х ч вклю-чительно;
3 ч - для фонарей с аккумуляторами емкостью свыше 3 А х ч.
(Измененная редакция, Изм. N 2).
2.27. Срок службы фонарей должен быть не менее:
7 лет - для фонарей с сухими электрохимическими элементами;
5 лет - для фонарей с аккумуляторами и с универсальным источником тока.
Срок службы источника тока и средняя продолжительность горения лампы - по нормативно-технической документации на них.
2.28. Основные параметры, габаритные размеры, масса фонарей, типы источников тока и света, а также справочные данные (напряжение на аккумуляторах в конце заряда и разряда, время заряда аккумуляторов, ресурс фонарей с аккумулятором - емкость в ампер-часах и количество циклов "заряд-разряд", нормативно-техническая документация на источники тока и света) должны быть указаны в техническом описании (технических условиях) на конкретные типы или группы фонарей.
2.27, 2.28. (Измененная редакция, Изм. N 1).
2.29. Срок сохраняемости фонарей до ввода в эксплуатацию должен быть:
1 год - для фонарей с аккумуляторами и универсальным источником тока;
1,5 года - для фонарей с сухими электрохимическими элементами.
(Введен дополнительно, Изм. N 1).
2.30. (Исключен, Изм. N 2).
фонарь с лампой;
выносное зарядное устройство - для фонарей с аккумуляторами с выносным зарядным устройством;
запасные детали в соответствии с техническим описанием (техническими условиями) на конкретные типы или группы фонарей;
эксплуатационный документ по ГОСТ 2.606-68 в количестве 1 шт.
В эксплуатационном документе должен быть указан адрес предприятия-изготовителя и гарантии изготовителя. Вид эксплуатационного документа определяется изготовителем.
Допускается данные эксплуатационного документа наносить на потребительскую тару;
потребительская тара.
3.2. Предприятия-изготовители по согласованию с потребителем должны поставлять фонари в комплекте с сухими электрохимическими элементами, при этом сухие электрохимические элементы должны быть упакованы отдельно.
3.1, 3.2. (Измененная редакция, Изм. N 1).
3.3. Фонари с аккумуляторами и с универсальным источником тока должны комплектоваться аккумуляторами, установленными в фонари.
(Введен дополнительно, Изм. N 1).
4.1. Правила приемки фонарей - по
ГОСТ 17677-82, при этом объем и последовательность испытаний должны соответствовать указанным в табл. 2.
Таблица 2
──────────────────┬───────────────────┬───────────────┬───────────
Наименование про- │ Испытания │ Раздел, пункт │Контроль
верки или испыта- ├──────┬──────┬─────┼──────┬────────┤приемосда-
ния │прие- │пери- │типо-│техни-│методов │точных
│мосда-│оди- │вые │ческих│испыта- │испытаний
│точные│ческие│ │требо-│ний │
│ │ │ │ваний │ │
──────────────────┼──────┼──────┼─────┼──────┼────────┼───────────
1. Проверка со- │
+* │
- │
+ │
2.1 │ГОСТ │Выборочный
и сборочных единиц│ │ │ │ │ │
рабочей документа-│ │ │ │ │ │
ции │ │ │ │ │ │
2. Проверка защи-│
+* │
- │
+ │
2.17 │ГОСТ │То же
качества декора- │ │ │ │ │ │
тивных покрытий │ │ │ │ │ │
сации выключателя │ │ │ │ │ │
варного вида фона-│ │ │ │
2.4; │
5.5 │
5. Проверка нали-│
+ │
- │
+ │
6.1; │ГОСТ │Сплошной
6. Проверка комп-│
+ │
- │
+ │
2.6; │ГОСТ │Выборочный
7. Измерение ос- │
- │П12 │
+ │
2.2 │
5.4 │-
вещенности │ │ │ │ │ │
8. Измерение ко- │
- │П12 │
+ │
2.6 │ГОСТ │-
пускания свето- │ │ │ │ │ │
фильтров │ │ │ │ │ │
9. Проверка уста-│
- │П12 │
+ │
2.7 │
5.6 │-
новки светофильт- │ │ │ │ │ │
ров │ │ │ │ │ │
10. Проверка со- │
- │П12 │
+ │
2.1; │ГОСТ │-
ритных размеров │ │ │ │ │ │
чертежам │ │ │ │ │ │
тановки сухих │ │ │ │ │ │
электрохимических │ │ │ │ │ │
элементов │ │ │ │ │ │
дежности электри- │ │ │ │ │ │
ческого контакта │ │ │ │ │ │
установленного │ │ │ │ │ │
источника света │ │ │ │ │ │
меров контактного │ │ │ │ │ │
устройства │ │ │ │ │ │
жинящего действия │ │ │ │ │ │
контактных деталей│ │ │ │ │ │
мени непрерывного │ │ │ │ │ │
горения лампы │ │ │ │ │ │
фонарей с аккуму- │ │ │ │ │ │
ляторами │ │ │ │ │ │
16. Проверка мас-│
- │П12 │
+ │
2.28 │ГОСТ │-
17. Измерение │
- │П6 │
+ │
2.11; │ГОСТ │-
изоляции зарядных │ │ │ │ │ │
устройств при │ │ │ │ │ │
нормальных клима- │ │ │ │ │ │
тических условиях │ │ │ │ │ │
испытаний │ │ │ │ │ │
18. Испытание │
- │П6 │
+ │
2.12; │ГОСТ │-
прочности изоляции│ │ │ │ │ │
зарядных устройств│ │ │ │ │ │
при нормальных │ │ │ │ │ │
климатических ус- │ │ │ │ │ │
ловиях испытаний │ │ │ │ │ │
прочности марки- │ │ │ │ │ │
ровки, нанесенной │ │ │ │ │ │
краской │ │ │ │ │ │
виброустойчивость │ │ │ │ │ │
затвора крышки и │ │ │ │ │ │
оптической системы│ │ │ │ │ │
выключателя на │ │ │ │ │ │
ресурс │ │ │ │ │ │
теплоустойчивость │ │ │ │ │ │
при эксплуатации │ │ │ │ │ │
теплоустойчивость │ │ │ │
6.8 │ │
при транспортиро- │ │ │ │ │ │
вании и хранении │ │ │ │ │ │
25. Испытание на │
- │П6 │
+ │
2.10; │ГОСТ │-
26. Проверка сте-│
- │
- │
+ │
2.14; │ГОСТ │-
чек │ │ │ │ │ │
холодоустойчивость│ │ │ │ │ │
при эксплуатации │ │ │ │ │ │
холодоустойчивость│ │ │ │
6.8 │ │
при транспортиро- │ │ │ │ │ │
вании и хранении │ │ │ │ │ │
ковки │ │ │ │ │ │
дивидуальной упа- │ │ │ │ │ │
ковки │ │ │ │ │ │
транспортной мар- │ │ │ │ │ │
кировки │ │ │ │ │ │
прочность при │ │ │ │ │ │
транспортировании │ │ │ │ │ │
Примечания. 1. Условные обозначения, принятые в таблице:
"+" - испытания проводят;
"-" - испытания не проводят;
* - рекомендуется проводить в процессе производства до сборочных операций;
** - испытания проводят на фонарях, комплектуемых нестандартным выключателем;
П6 - испытания проводят один раз в 6 мес;
П12 - испытания проводят один раз в 12 мес.
2. Объем испытаний конкретного типа фонаря определяется в зависимости от объема технических требований, установленных в техническом описании (технических условиях) на данный тип или группу фонарей.
5.1. Испытания фонарей проводятся методами, изложенными в настоящем стандарте, а также в
ГОСТ 17677-82.
Испытания фонарей с аккумуляторами должны проводиться при полностью заряженных аккумуляторах, а фонарей с сухими электрохимическими элементами - при напряжении не менее указанного в маркировке элемента.
Допускается при испытаниях использовать посторонний источник постоянного тока.
Выход из строя лампы или источников тока при испытаниях оценивать по нормативно-технической документации на них.
(Измененная редакция, Изм. N 1).
5.2. Проверку фиксации выключателей фонарей проводят 5-кратным переводом органов управления во включенное и отключенное положения. При этом должна наблюдаться четкая фиксация органов управления и коммутирующих контактов в отключенном и включенном положениях, а фонарь должен включаться и отключаться, что фиксируется по загоранию и отключению лампы.
5.3. Внешний вид (отсутствие механических повреждений и состояние защитных и защитно-декоративных покрытий) проверяют внешним осмотром.
5.4. Измерение освещенности рабочей поверхности, создаваемой фонарем, проводят с лампой, электрические и светотехнические параметры, а также размеры которой соответствуют нормативно-технической документации на нее.
Освещенность измеряют люксметром.
Световой поток фонаря направляют на плоскость, перпендикулярную его оптической оси. Измерения освещенности проводят:
в центре круга, указанного в
п. 2.2, при этом центр светочувствительной поверхности фотоэлемента люксметра должен совпадать с центром круга;
в четырех точках, находящихся на взаимно перпендикулярных диаметрах круга, указанного в
п. 2.2. Фотоэлемент люксметра должен располагаться внутри круга, а наружный край его светочувствительной поверхности примыкать к точке пересечения взаимно перпендикулярных диаметров с границей круга.
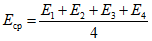
Среднее арифметическое значение (

) результатов измерений в четырех точках вычисляют по формуле

,
где

,

,

,

- значения освещенности, измеренные в точках, находящихся на взаимно перпендикулярных диаметрах круга, лк.
Коэффициент неравномерности освещенности (К) в процентах вычисляют по формуле

,
Перед началом измерения освещенности допускается подфокусировка оптической системы фонаря для создания равномерной освещенности в круге.
Результаты измерений считают удовлетворительными, если освещенность в центре круга и среднее арифметическое значение освещенности, измеренной в четырех точках, не менее значений, указанных в
табл. 1а, а коэффициент неравномерности освещенности соответствует
п. 2.2.
5.5. Наличие на наружной видимой поверхности корпуса фонаря видимых мест сварки, спая, следов от толкателя, утяжин и других дефектов проверяют внешним осмотром, а размеры этих дефектов - с помощью измерительного инструмента с требуемой чертежами точностью.
5.4, 5.5. (Измененная редакция, Изм. N 1).
5.6. Проверку на соответствие требованиям
п. 2.7 проводят следующим образом:
рукоятку приспособления, служащего для перекрытия светофильтром выходного отверстия фонаря, переводят в крайнее положение.
Результаты проверки считают удовлетворительными, если при помощи внешнего осмотра устанавливают отсутствие излучения белого света из выходного отверстия фонаря.
При наличии нескольких светофильтров проверку проводят для каждого светофильтра в отдельности.
5.7. Проверку на соответствие требованиям
пп. 2.19 и
2.20 проводят пробным монтажом.
Результаты проверки считают удовлетворительными, если не обнаружено осевого перемещения сухих электрохимических элементов, 3 мм и фонарь выдерживает испытание по
п. 5.2.
(Измененная редакция, Изм. N 1).
5.8. Размеры контактного устройства для зарядки фонаря проверяют с помощью измерительного инструмента, обеспечивающего требуемую чертежами точность.
5.9. Пружинящее действие контактных деталей проверяют опробованием вручную.
Результаты проверки считают удовлетворительными, если не наблюдается остаточной деформации.
5.10. Проверку по
п. 2.26 проводят при включенном фонаре с источником света, указанным в техническом описании (технических условиях) на отдельные типы или группы фонарей, по истечении времени работы фонаря, указанного в
п. 2.26.
(Измененная редакция, Изм. N 1, 2).
5.11. Испытание затвора крышки и оптической системы проводят с частотой не более 5 циклов закрывания-открывания в минуту.
Результаты испытаний считают удовлетворительными, если после испытаний не наблюдается самопроизвольного открывания затвора крышки и оптической системы фонаря.
5.12. Испытание выключателя на ресурс проводят под электрической нагрузкой с частотой 30 циклов в минуту. За цикл принимается перемещение привода кинематического механизма из одного крайнего фиксированного положения в другое.
Результаты испытаний считают удовлетворительными, если после испытаний выключатель обеспечивает коммутацию электрической цепи лампы.
Стандартные выключатели испытанию не подлежат.
(Измененная редакция, Изм. N 1, 2).
5.13. Упаковку фонарей проверяют внешним осмотром, путем сравнений с конструкторской документацией.
5.14. Индивидуальную упаковку фонарей и транспортную маркировку тары проверяют внешним осмотром.
5.15. Испытание фонарей на прочность при транспортировании проводят по
ГОСТ 23216-78. Результаты испытаний считают удовлетворительными, если после испытаний фонари соответствуют требованиям
п. 2.21.
5.16. Испытание на виброустойчивость фонарей проводят методом 102-1 по ГОСТ 16962-71.
Фонарь должен быть укомплектован источником тока. Испытание проводят при включенном фонаре в горизонтальном положении.
Параметры режима при испытании на виброустойчивость устанавливают в контрольной точке, расположенной на краю крепежного приспособления, при помощи которого фонарь закрепляют на платформе испытательного стенда.
Результаты испытаний считают удовлетворительными, если во время испытаний не наблюдалось погасание лампы и при внешнем осмотре не обнаружено механических повреждений фонаря.
5.17. Испытания на теплоустойчивость фонарей при эксплуатации проводят методом 201-1 по ГОСТ 16962-71.
Фонарь должен быть укомплектован источником тока. Время выдержки фонаря в камере тепла - 2 ч.
После окончания испытания фонарь извлекают из камеры и не более чем через 3 мин испытывают согласно
п. 5.2, затем выдерживают в нормальных климатических условиях испытаний в течение 2 ч и проводят внешний осмотр.
Результаты испытания считают удовлетворительными, если фонарь выдержал испытание по
п. 5.2 и при внешнем осмотре не обнаружено трещин, отслаиваний, вздутий и других механических разрушений.
5.18. Испытание фонарей на теплоустойчивость при температуре транспортирования и хранения проводят методом 202-1 по ГОСТ 16962-71 в том случае, если верхняя температура при транспортировании и хранении выше температуры при эксплуатации.
Время выдержки фонарей в камере тепла - 2 ч.
Время выдержки фонарей при нормальных климатических условиях испытаний после извлечения их из камеры тепла - 2 ч.
Затем проводят испытание по
п. 5.2 и внешний осмотр.
Результаты испытаний считают удовлетворительными, если при внешнем осмотре не обнаружено трещин, отслаиваний, вздутий и других механических разрушений, а также фонари выдержали испытание по
п. 5.2.
5.19. Испытание фонарей на холодоустойчивость при эксплуатации проводят методом 203-1 по ГОСТ 16962-71.
Фонарь должен быть укомплектован источником тока.
Время выдержки в камере холода - 2 ч.
После окончания испытания фонарь извлекают из камеры и не более чем через 3 мин испытывают согласно
п. 5.2, затем выдерживают в нормальных климатических условиях испытаний в течение 2 ч и проводят внешний осмотр.
Результаты испытания считают удовлетворительными, если фонарь выдержал испытание по
п. 5.2 и при внешнем осмотре не обнаружено трещин, отслаиваний, вздутий и других механических разрушений.
5.20. Испытание фонарей на холодоустойчивость при температуре транспортирования и хранения проводят методом 204-1 по ГОСТ 16962-71 в том случае, если нижняя температура при транспортировании и хранении ниже, чем нижняя температура при эксплуатации.
Время выдержки фонарей в камере холода - 2 ч.
Время выдержки фонарей при нормальных климатических условиях испытаний после извлечения их из камеры холода - 2 ч.
Затем проводят испытание по
п. 5.2 и внешний осмотр.
Результаты испытаний считают удовлетворительными, если при внешнем осмотре не обнаружено трещин, отслаиваний, вздутий и других механических разрушений, а также фонари выдержали испытание по
п. 5.2.
5.21. Проверку прочности нанесения маркировки, в случае нанесения ее краской при помощи штемпелей или печатью, проводят путем 15-кратного протирания места нанесения маркировки поочередно двумя тампонами из хлопчатобумажной ткани, один из которых смочен бензином, а другой питьевой водой.
Результаты проверки считают удовлетворительными, если маркировка остается четкой и легко читаемой с расстояния не менее 25 см.
5.16 - 5.21. (Введен дополнительно, Изм. N 1).
| | Применение на добровольной основе раздела 6 обеспечивает соблюдение требований Федерального закона от 27.12.2009 N 347-ФЗ "Технический регламент о безопасности низковольтного оборудования (Приказ Росстандарта от 14.09.2010 N 3546). | |
6. МАРКИРОВКА, УПАКОВКА, ТРАНСПОРТИРОВАНИЕ И ХРАНЕНИЕ
6.1. На корпусе фонаря должна быть нанесена несмываемая отчетливая маркировка по
ГОСТ 18620-86, содержащая:
условное обозначение и условное название (при его наличии);
товарный знак предприятия-изготовителя;
розничную цену для изделий, продаваемых через розничную торговую сеть;
надпись "Сделано в СССР" на русском языке или языке, указанном в заказ-наряде внешнеторгового объединения - на продукцию для экспорта.
6.3. Упаковка, транспортирование, хранение и консервация фонарей должны соответствовать
ГОСТ 23216-78, при этом основным видом транспортной тары должны быть грузовые контейнеры.
При использовании в качестве транспортной тары ящиков или обрешеток масса брутто грузового места должна быть не более 15 кг.
Конкретный вид потребительской и транспортной тары должен быть указан в конструкторской документации на фонари.
6.4. Потребительская тара должна иметь художественное оформление, содержащее данные, указанные в
п. 6.1.
6.5. Транспортирование фонарей может производиться пакетами по
ГОСТ 21929-76.
Масса и габаритные размеры транспортных пакетов, а также средства и способы пакетирования должны быть указаны в конструкторской документации на фонари.
6.6. На транспортную тару должна быть нанесена маркировка, характеризующая транспортную тару, и транспортная маркировка груза по
ГОСТ 14192-77 со следующими манипуляционными знаками: "Осторожно, хрупкое!", "Боится сырости".
При необходимости на транспортной таре должны быть указаны другие манипуляционные знаки по
ГОСТ 14192-77.
6.7. Условия транспортирования фонарей в части воздействия климатических факторов внешней среды должны соответствовать условиям хранения 5 по
ГОСТ 15150-69, а в части воздействия механических факторов - группе Л по
ГОСТ 23216-78.
Фонари могут транспортироваться любым видом транспорта.
Транспортирование фонарей железнодорожным транспортом осуществляется в крытых вагонах согласно правилам перевозок грузов, действующим на железнодорожном транспорте.
6.8. Условия хранения фонарей на складах изготовителя, потребителя - 2 по
ГОСТ 15150-69.
6.1 - 6.8. (Измененная редакция, Изм. N 1).
6.9. Упаковка, маркировка, хранение и транспортирование фонарей, поставляемых в районы Крайнего Севера и труднодоступные районы, - по
ГОСТ 15846-79.
(Введен дополнительно, Изм. N 1).
7.1. Изготовитель гарантирует соответствие фонарей требованиям настоящего стандарта при соблюдении условий эксплуатации, транспортирования и хранения.
Гарантийный срок эксплуатации фонарей - 30 мес со дня продажи через розничную торговую сеть.
Гарантийный срок эксплуатации источников тока и ламп - по нормативно-технической документации на них.
(Измененная редакция, Изм. N 1).
7.2. Для фонарей, поставляемых на экспорт, гарантийный срок эксплуатации - 18 мес со дня ввода фонарей в эксплуатацию, но не более 30 мес с момента их проследования через Государственную границу СССР.