Главная // Актуальные документы // ГОСТ (Государственный стандарт)СПРАВКА
Источник публикации
М.: ИПК Издательство стандартов, 2003
Примечание к документу
С 1 июля 2003 года до вступления в силу технических регламентов акты федеральных органов исполнительной власти в сфере технического регулирования носят рекомендательный характер и подлежат обязательному исполнению только в части, соответствующей целям, указанным в
пункте 1 статьи 46 Федерального закона от 27.12.2002 N 184-ФЗ.
Ограничение срока действия снято по Протоколу N 7-95 Межгосударственного совета по стандартизации, метрологии и сертификации ("ИУС", N 11, 1995).
Введен в действие с 1 января 1981 года.
Название документа
"ГОСТ 23862.31-79. Межгосударственный стандарт. Редкоземельные металлы и их окиси. Методы определения тория и празеодима"
(введен в действие Постановлением Госстандарта СССР от 19.10.1979 N 3989)
(ред. от 01.05.1990)
"ГОСТ 23862.31-79. Межгосударственный стандарт. Редкоземельные металлы и их окиси. Методы определения тория и празеодима"
(введен в действие Постановлением Госстандарта СССР от 19.10.1979 N 3989)
(ред. от 01.05.1990)
Введен в действие
Постановлением Госстандарта СССР
от 19 октября 1979 г. N 3989
МЕЖГОСУДАРСТВЕННЫЙ СТАНДАРТ
РЕДКОЗЕМЕЛЬНЫЕ МЕТАЛЛЫ И ИХ ОКИСИ
МЕТОДЫ ОПРЕДЕЛЕНИЯ ТОРИЯ И ПРАЗЕОДИМА
Rare-earth metals and their oxides.
Methods of determination of thorium and praseodymium
ГОСТ 23862.31-79
| | Список изменяющих документов (в ред. Изменения N 1, утв. в апреле 1985 г., Изменения N 2, утв. в мае 1990 г.) | |
Постановлением Государственного комитета СССР по стандартам от 19 октября 1979 г. N 3989 дата введения установлена 01.01.1981.
Ограничение срока действия снято по Протоколу N 7-95 Межгосударственного совета по стандартизации, метрологии и сертификации (ИУС 11-95).
Издание с изменениями N 1, 2, утвержденными в апреле 1985 г., мае 1990 г. (ИУС 7-85, 8-90).
Настоящий стандарт устанавливает фотометрический метод определения тория (от

до

) в редкоземельных металлах и их окисях (
метод I) и спектрофотометрический метод определения празеодима (от

до

) в неодиме и его окиси (
метод II).
Метод I основан на экстракционном концентрировании примеси тория 0,1 моль/дм3 раствором триизоамилфосфиноксида в четыреххлористом углероде и последующем фотометрическом определении тория по реакции с арсеназо-III. Массовую долю тория находят по градуировочному графику.
Метод II основан на измерении оптической плотности полосы поглощения празеодима.
(Измененная редакция, Изм. N 2).
2. АППАРАТУРА, РЕАКТИВЫ И РАСТВОРЫ
Фотоэлектроколориметр ФЭК-60 или спектрофотометр или аналогичный прибор.
Плитка электрическая.
Стаканы химические вместимостью 100 см3.
Колбы мерные вместимостью 25 и 100 см3.
Стекла часовые.
Воронки делительные вместимостью 50 см3.
Кислота соляная по
ГОСТ 14261-77, х.ч. или ч.д.а., разбавленная 1:1.
Триизоамилфосфиноксид.
Экстрагент - 0,1 моль/дм3 (1:39) раствор триизоамилфосфиноксида в четыреххлористом углероде.
Кислота азотная особой чистоты по
ГОСТ 11125-84, разбавленная 1:1, прокипяченный раствор, 0,1 моль/дм3 раствор.
Кислота щавелевая по
ГОСТ 22180-76, раствор с концентрацией 100 г/дм3.
Арсеназо-III, раствор с концентрацией 1 г/дм3.
Торий азотнокислый.
Раствор тория (запасной): навеску азотнокислого тория массой 0,0238 г растворяют в 0,1 моль/дм3 азотной кислоте, раствор переносят в мерную колбу вместимостью 100 см3 и доводят водой до метки.
Раствор тория (рабочий), содержащий 1 мкг/см3 тория, готовят разбавлением запасного раствора тория 0,1 моль/дм3 азотной кислотой в 100 раз, готовят в день употребления.
Разд. 2. (Измененная редакция, Изм. N 1, 2).
3.1. Навеску анализируемой пробы (кроме двуокиси церия) массой 1 г помещают в стакан вместимостью 100 см3, приливают 10 см3 соляной кислоты, разбавленной 1:1, добавляют несколько капель пероксида водорода и растворяют при нагревании. Раствор упаривают досуха, остаток растворяют в 10 см3 соляной кислоты, разбавленной 1:1, раствор переводят в делительную воронку вместимостью ~50 см3, приливают 10 см3 экстрагента и энергично встряхивают в течение 2 мин. После расслаивания водную фазу отбрасывают, а органическую переводят в чистую сухую делительную воронку вместимостью 50 см3 и промывают энергичным встряхиванием с 10 см3 соляной кислоты, разбавленной 1:1 в течение 2 мин. Реэкстракцию тория проводят встряхиванием органического слоя с 10 см3 0,15 моль/дм3 серной кислоты в течение 2 мин. Реэкстракт переводят в мерную колбу вместимостью 25 см3, приливают 2 см3 раствора щавелевой кислоты, 7 см3 азотной кислоты, разбавленной 1:1, 1 см3 раствора арсеназо-III, доводят водой до метки и тщательно перемешивают.
Навеску анализируемой пробы двуокиси церия массой 1 г помещают в стакан вместимостью 100 см3, смачивают несколькими каплями воды, приливают 10 см3 концентрированной азотной кислоты, 20 см3 пероксида водорода, перемешивают, закрывают стакан часовым стеклом и растворяют при нагревании. Раствор упаривают досуха, остаток растворяют в 10 см3 соляной кислоты, приливают 6 - 8 капель пероксида водорода и переводят раствор в делительную воронку вместимостью 50 см3. Далее приливают 10 см3 экстрагента и энергично встряхивают воронку в течение 2 мин. После расслаивания смеси водную фазу отбрасывают, а органическую переводят в чистую сухую делительную воронку вместимостью 50 см3 и промывают энергичным встряхиванием с 10 см3 соляной кислоты, разбавленной 1:1 в течение 2 мин. Реэкстракцию тория проводят встряхиванием органического слоя с 10 см3 0,15 моль/дм3 серной кислоты в течение 2 мин. Реэкстракт переводят в мерную колбу вместимостью 25 см3, приливают 2 см3 раствора щавелевой кислоты, 7 см3 азотной кислоты, разбавленной 1:1, 1 см3 раствора арсеназо-III, доводят объем до метки водой и тщательно перемешивают.
Оптическую плотность раствора измеряют на фотоэлектроколориметре или спектрофотометре при

нм в кювете с толщиной поглощающего свет слоя 50 мм. В качестве раствора сравнения используют раствор, содержащий те же количества щавелевой и азотной кислот и арсеназо-III.
Количество тория определяют по градуировочному графику.
(Измененная редакция, Изм. N 2).
3.2. Построение градуировочного графика
В мерные колбы вместимостью 25 см3 вводят 0,20; 0,50; 0,80; 1,2; 2,0; 5,0; 8,0; 10,0 см3 рабочего раствора тория (содержащего 1 мкг/см3 тория), приливают 7 см3 азотной кислоты (1:1), 2 см3 раствора щавелевой кислоты, 1 см3 раствора арсеназо-III, доливают водой до метки и тщательно перемешивают.
Оптическую плотность растворов измеряют на фотоэлектроколориметре или спектрофотометре при

нм в кювете с толщиной поглощающего свет слоя 50 мм. В качестве раствора сравнения используют раствор, содержащий те же количества щавелевой и азотной кислот и арсеназо-III.
По полученным значениям оптической плотности строят градуировочный график, нанося на оси ординат значение оптической плотности раствора, а на оси абсцисс - массу тория.
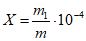
4.1. Массовую долю тория (Х) в процентах вычисляют по формуле

,
где

- масса тория, найденная по градуировочному графику, мкг;
m - масса навески анализируемой пробы, г.
За результат анализа принимают среднеарифметическое значение результатов двух параллельных определений.
4.2. Расхождения результатов двух параллельных определений или результатов двух анализов не должны превышать значений допускаемых расхождений, указанных в таблице.
───────────────────────────────┬──────────────────────────────────
Массовая доля тория, % │ Допускаемое расхождение, %
───────────────────────────────┼──────────────────────────────────
-5 │ -5
2 х 10 │ 2 х 10
│
-4 │ -5
1 х 10 │ 8 х 10
│
-4 │ -4
3 х 10 │ 2 х 10
│
-4 │ -4
5 х 10 │ 3 х 10
│
-3 │ -4
1 х 10 │ 5 х 10
5. АППАРАТУРА, РЕАКТИВЫ И РАСТВОРЫ
Спектрофотометр РИ-8800 (Англия) или аналогичный прибор.
Плитка электрическая.
Печь муфельная с терморегулятором, обеспечивающим температуру до 800 °С.
Колбы мерные вместимостью 10, 50, 100 см3.
Цилиндры мерные с притертой пробкой вместимостью 10 см3.
Стекла часовые.
Пипетки с делениями вместимостью 1, 2, 5, 10 см3.
Стаканы стеклянные вместимостью 25, 50 и 100 см3.
Фильтры беззольные "синяя лента".
Празеодима окись чистоты

99,99%.
Кислота хлорная, концентрированная и раствор концентрации 0,01 моль/дм3.
Раствор празеодима запасной, содержащий 10 мг/см3 (в расчете на окись празеодима):
500 мг окиси празеодима (предварительно прокаленной при 800 °С) помещают в стакан вместимостью 50 см3, смачивают водой и растворяют в 5 см3 концентрированной хлорной кислоты при умеренном нагревании. Раствор переводят в мерную колбу вместимостью 50 см3, доводят водой до метки.
Раствор празеодима рабочий готовят разбавлением в 10 раз запасного раствора празеодима раствором хлорной кислоты концентрации 0,01 моль/дм3.
Навеску окиси неодима массой 3 г помещают в стакан вместимостью 50 см3, добавляют пипеткой 2 см3 воды, 6,5 см3 концентрированной хлорной кислоты, стакан накрывают часовым стеклом и растворяют сначала при комнатной температуре, перемешивая стеклянной палочкой, а затем при нагревании до 50 - 60 °С.
Раствор переводят в мерную колбу (цилиндр) вместимостью 10 см3 и доводят водой до 10 см3.
Раствор фильтруют через сухой фильтр "синяя лента" в сухой стакан. Фильтрат переводят в кювету с длиной оптического пути 40 мм и проводят регистрацию спектра при фиксированных длинах волн: 448, 443, 438 нм; щель 2 нм; время усреднения сигнала 5 с; количество циклов 10.
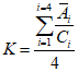
5.2. Вычисление коэффициента наклона градуировочной прямой К
В мерные колбы (цилиндры) вместимостью 10 см3 вводят 0,1; 0,5; 2 и 10 см3 рабочего раствора, содержащего 1 мг/см3 окиси празеодима, т.е. 0,1; 0,5; 2 и 10 мг окиси празеодима, доводят до 10 см3 раствором хлорной кислоты концентрации 0,01 моль/дм3. Регистрацию спектров проводят по
п. 5.1.
Коэффициент наклона градуировочной прямой вычисляют по формуле

,
где

- среднее значение оптической плотности раствора в i-той точке;

- масса окиси празеодима в i-той точке, мг;
4 - число точек градуировочной прямой.
5.3. Обработка результатов
Массовую долю окиси празеодима (Х) в процентах вычисляют по формуле

,
где

- среднее значение оптической плотности раствора пробы;

- коэффициент наклона градуировочной прямой;
m - масса навески анализируемой пробы, г.
Расхождения результатов двух параллельных определений или результатов двух анализов не должны превышать значений допускаемых расхождений, приведенных в табл. 2.
Таблица 2
────────────────────────────────┬─────────────────────────────────
Массовая доля празеодима, % │ Допускаемое расхождение, %
────────────────────────────────┼─────────────────────────────────
-3 │ -3
1 х 10 │ 0,7 х 10
│
-3 │ -3
2 х 10 │ 0,8 х 10
│
-2 │ -2
1 х 10 │ 0,25 х 10
│
-2 │ -2
5 х 10 │ 1 х 10
│
-1 │ -1
1 х 10 │ 0,15 х 10
│
-1 │ -1
5 х 10 │ 0,5 х 10
Разд. 5. (Введен дополнительно, Изм. N 2).