Главная // Актуальные документы // ГОСТ (Государственный стандарт)СПРАВКА
Источник публикации
М.: Издательство стандартов, 1995
Примечание к документу
С 1 июля 2003 года до вступления в силу технических регламентов акты федеральных органов исполнительной власти в сфере технического регулирования носят рекомендательный характер и подлежат обязательному исполнению только в части, соответствующей целям, указанным в
пункте 1 статьи 46 Федерального закона от 27.12.2002 N 184-ФЗ.
Документ
введен в действие с 1 января 1995 года.
Взамен ГОСТ 21523.3-87 в части определения теплопроводности.
Название документа
"ГОСТ 21523.3.2-93. Межгосударственный стандарт. Древесина модифицированная. Метод определения теплопроводности"
(введен в действие Постановлением Госстандарта России от 02.06.1994 N 160)
"ГОСТ 21523.3.2-93. Межгосударственный стандарт. Древесина модифицированная. Метод определения теплопроводности"
(введен в действие Постановлением Госстандарта России от 02.06.1994 N 160)
Постановлением Комитета Российской
Федерации по стандартизации,
метрологии и сертификации
от 2 июня 1994 г. N 160
МЕЖГОСУДАРСТВЕННЫЙ СТАНДАРТ
ДРЕВЕСИНА МОДИФИЦИРОВАННАЯ
МЕТОД ОПРЕДЕЛЕНИЯ ТЕПЛОПРОВОДНОСТИ
Modified wood.
Method for determination of heat conductivity
ГОСТ 21523.3.2-93
Дата введения
1 января 1995 года
1. Разработан Госстандартом России.
Внесен Техническим секретариатом Межгосударственного совета по стандартизации, метрологии и сертификации.
2. Принят Межгосударственным советом по стандартизации, метрологии и сертификации 21 октября 1993 г.
За принятие проголосовали:
Наименование государства | Наименование национального органа стандартизации |
Республика Беларусь | Белстандарт |
Кыргызская Республика | Кыргызстандарт |
Республика Молдова | Госдепартамент Молдовастандарт |
Российская Федерация | Госстандарт России |
Республика Таджикистан | Таджикгосстандарт |
Туркменистан | Туркменглавгосинспекция |
Украина | Госстандарт Украины |
3. Постановлением Комитета Российской Федерации по стандартизации, метрологии и сертификации от 02.06.94 N 160 межгосударственный стандарт ГОСТ 21523.3.2-93 введен в действие непосредственно в качестве государственного стандарта Российской Федерации с 01.01.95.
4. Взамен ГОСТ 21523.3-87 в части определения теплопроводности.
Ссылочные нормативно-технические документы
Обозначение НТД, на который дана ссылка | Номер пункта, раздела |
| | ИС МЕГАНОРМ: примечание. Взамен ГОСТ 8.001-80 на территории Российской Федерации с 1 декабря 2001 года введены в действие ПР 50.2.009-94 "ГСИ. Порядок проведения испытаний и утверждения типа средств измерений" (Постановление Госстандарта России от 27.09.2001 N 394-ст). | |
|
ГОСТ 8.001-80 | |
| |
| | ИС МЕГАНОРМ: примечание. Взамен ГОСТ 859-78 Постановлением Госстандарта России от 30.07.2001 N 301-ст с 1 марта 2002 года введен в действие ГОСТ 859-2001. | |
|
ГОСТ 859-78 | |
| |
| |
| |
ГОСТ 15130-86 | |
| |
| |
| |
| |
Настоящий стандарт распространяется на марки модифицированной древесины по
ГОСТ 24588, размеры заготовок которых позволяют изготовлять образцы требуемых размеров, и устанавливает метод определения теплопроводности.
Сущность метода заключается в измерении перепадов температур на образце и рабочем слое тепломера (в микровольтах, мкВ) в режиме монотонного нагрева.
2.1. Образцы для испытаний изготовляют диаметром 15 мм и высотой 3 мм. Отклонения размеров образцов не должны превышать +/- 0,3 мм. Форма, размеры образцов и направление теплового потока показаны на черт. 1 -
3.

- теплопроводность вдоль волокон
Черт. 1

- теплопроводность в радиальном направлении
Черт. 2

- теплопроводность в тангентальном направлении
Черт. 3
2.2. Количество образцов - по
ГОСТ 16483.0. Коэффициент вариации - 15%.
2.3. Значение параметра шероховатости поверхности образцов для испытания (Rz) не должно превышать 20 мкм по
ГОСТ 7016. На поверхности образцов для испытаний не должно быть сучков.
2.4. Образцы для испытаний должны быть высушены до постоянной массы при температуре (103 +/- 2) °C по
ГОСТ 21523.4.
3. АППАРАТУРА И МАТЕРИАЛЫ
| | ИС МЕГАНОРМ: примечание. Взамен ГОСТ 8.001-80 на территории Российской Федерации с 1 декабря 2001 года введены в действие ПР 50.2.009-94 "ГСИ. Порядок проведения испытаний и утверждения типа средств измерений" (Постановление Госстандарта России от 27.09.2001 N 394-ст). | |
Прибор

с измерительным блоком ПУ2.999.067 по ГОСТ 8.001.
Штангенциркуль по
ГОСТ 166 с погрешностью измерения не более 0,1 мм.
Весы аналитические с погрешностью взвешивания не более 0,001 г.
| | ИС МЕГАНОРМ: примечание. Взамен ГОСТ 859-78 Постановлением Госстандарта России от 30.07.2001 N 301-ст с 1 марта 2002 года введен в действие ГОСТ 859-2001. | |
Образцы из плавленого кварца марки КВ по ГОСТ 15130 и медь М1 по ГОСТ 859.
4. ПОДГОТОВКА К ИСПЫТАНИЮ
4.2. Образец помещают между медным стержнем и контактной пластиной измерителя теплопроводности

, как показано на черт. 4.
1 - медный стержень; 2 - образец испытуемый;
3 - пластина контактная; 4 - пластина; 5 - основание
Черт. 4
4.3. Микровольтнаноамперметр Ф136 включают в сеть и проводят подготовку его к работе согласно инструкции по эксплуатации.
4.4. Теплопроводность образца определяют в диапазоне температур от 173 до 473 K (от -100 до +200 °C) с интервалом 25 K (25 °C).
Допускаемое отклонение +/- 1 K (+/- 1 °C).
4.5. Включают измеритель теплопроводности

и нагревают в нем испытуемый образец до заданной температуры в диапазоне по п. 4.4.
5.1. На измерителе теплопроводности

переключатель "ИЗМЕРЕНИЕ" устанавливают в положение

.
5.2. При прохождении светового указателя микровольтнаноамперметра Ф136 через ноль шкалы переводят рукоятку переключателя "ИЗМЕРЕНИЕ" в положение

и

.
5.4. Измерения

и

проводят при всех значениях температур, определенных в
п. 4.4.
5.5. После определения

и

в заданном диапазоне температур отключают измеритель теплопроводности

и из измерительной ячейки
(черт. 4) вынимают испытуемый образец.
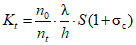
6.1. Теплопроводность

, вычисляют по формуле

, (1)
где h - высота образца, м;

- тепловое сопротивление образца,

, которое вычисляют по формуле
| | ИС МЕГАНОРМ: примечание. Формулы и подписи к ним даны в соответствии с официальным текстом документа. | |

, (2)
где

- перепад температуры на образце, мВ;

- перепад температуры на пластине
(черт. 4), мВ;
S - площадь поперечного сечения испытуемого образца, м2;

- поправка, учитывающая теплоемкость образца, которую определяют по формуле

, (3)
где

- полная теплоемкость испытуемого образца,

, которую определяют по формуле

, (4)
где

- ориентировочное значение удельной теплоемкости образца при заданной температуре (t),

;

- масса образца, кг;

- полная теплоемкость медного стержня,

, которую определяют по формуле

, (5)
где

- удельная теплоемкость меди при заданной температуре (t),

;

- масса медного стержня, кг;

- тепловая проводимость пластины,

, которую определяют серией из пяти экспериментов, где в качестве образца используют образцовую массу теплопроводности из плавленого кварца, рассчитывают по формуле

, (6)
где

- тепловое сопротивление контакта, неидентичность и тепловое сопротивление заделки термопар,

, которое определяют серией из пяти экспериментов, где в качестве образца используют образцовую меру теплопроводности из меди, рассчитывают по формуле

, (7)
где

- теплопроводность медного образца,

;

- высота медного образца, м.
| | ИС МЕГАНОРМ: примечание. Нумерация пунктов дана в соответствии с официальным текстом документа. | |
6.1. Вычисленные значения

и

в результате градуировки измерителя теплопроводности

заносят в приложение и используют при последующих измерениях.
6.2. Вычисленные значения теплопроводности образца следует относить к средней температуре образца, которую определяют по формуле

, (8)
где

- средняя температура образца, °C;

- температура, при которой проводят измерение теплопроводности, °C;

- чувствительность термопары хромель-алюмель,

;

- перепад температуры на образце, мВ.
Рекомендуемое
определения теплопроводности образцов из модифицированной древесины:
h = м,
d = м,
S = м2,
m = кг.
| | | | | | | | | | |
-100 | | | | | | | | | | |
-75 | | | | | | | | | | |
-50 | | | | | | | | | | |
-25 | | | | | | | | | | |
0 | | | | | | | | | | |
25 | | | | | | | | | | |
50 | | | | | | | | | | |
75 | | | | | | | | | | |
100 | | | | | | | | | | |
125 | | | | | | | | | | |
150 | | | | | | | | | | |
175 | | | | | | | | | | |
200 | | | | | | | | | | |
Измерения проводил __________________________
должность, ф.и.о., подпись
Дата "____" _________ г.