Главная // Актуальные документы // ГОСТ (Государственный стандарт)СПРАВКА
Источник публикации
М.: ИПК Издательство стандартов, 1999
Примечание к документу
С 1 июля 2003 года до вступления в силу технических регламентов акты федеральных органов исполнительной власти в сфере технического регулирования носят рекомендательный характер и подлежат обязательному исполнению только в части, соответствующей целям, указанным в
пункте 1 статьи 46 Федерального закона от 27.12.2002 N 184-ФЗ.
Введен в действие с 1 июля 1990 года.
Взамен ГОСТ 16483.0-78.
Название документа
"ГОСТ 16483.0-89. Межгосударственный стандарт. Древесина. Общие требования к физико-механическим испытаниям"
(утв. и введен в действие Постановлением Госстандарта СССР от 19.07.1989 N 2405)
"ГОСТ 16483.0-89. Межгосударственный стандарт. Древесина. Общие требования к физико-механическим испытаниям"
(утв. и введен в действие Постановлением Госстандарта СССР от 19.07.1989 N 2405)
Утвержден и введен в действие
Постановлением Госстандарта СССР
от 19 июля 1989 г. N 2405
МЕЖГОСУДАРСТВЕННЫЙ СТАНДАРТ
ДРЕВЕСИНА
ОБЩИЕ ТРЕБОВАНИЯ К ФИЗИКО-МЕХАНИЧЕСКИМ ИСПЫТАНИЯМ
Wood. General requirements for physical
and mechanical tests
ГОСТ 16483.0-89
Дата введения
1 июля 1990 года
1. Разработан и внесен Министерством лесной промышленности СССР.
Разработчики: А.М. Боровиков, канд. техн. наук; Г.А. Чибисова, канд. техн. наук.
2. Утвержден и введен в действие Постановлением Государственного комитета СССР по стандартам от 19.07.1989 N 2405.
3. Взамен ГОСТ 16483.0-78.
4. Стандарт полностью соответствует СТ СЭВ 6470-88 и ИСО 3129-75.
5. Ссылочные нормативно-технические документы
─────────────────────────────────────────┬─────────────────────────────────
Обозначение НТД, на который дана ссылка │ Номер пункта
─────────────────────────────────────────┼─────────────────────────────────
6. Ограничение срока действия снято по Протоколу N 4-93 Межгосударственного совета по стандартизации, метрологии и сертификации (ИУС 4-94).
7. Переиздание. Июнь 1999 г.
Настоящий стандарт распространяется на древесину и устанавливает общие требования к отбору образцов, проведению физико-механических испытаний свойств древесины на малых чистых образцах и статистическому анализу результатов испытаний.
1.1. Отбор единиц из генеральной совокупности производят в одну или более стадий (одностадийный или многостадийный отбор) с использованием методов случайного или систематического отбора.
Примечание. Одностадийный отбор - отбор, например, деревьев из насаждения, при этом из каждого дерева изготовляют по одной заготовке для образца.
Многостадийный отбор:
- двухстадийный отбор: первая стадия - отбор, например, деревьев из насаждения; вторая стадия - отбор кряжей из каждого отобранного дерева и изготовление из каждого кряжа по одной заготовке для образца;
- трехстадийный отбор: первая стадия - отбор, например, деревьев из насаждения; вторая стадия - отбор кряжей из каждого отобранного дерева; третья стадия - отбор из каждого кряжа по нескольку заготовок для образцов.
1.2. Одностадийный отбор применяют в тех случаях, когда можно пренебречь изменчивостью свойств древесины внутри единицы отбора.
1.3. Многостадийный отбор применяют, когда суммарные затраты всех его стадий меньше, чем при одностадийном отборе. Отбор на каждой стадии может быть случайным или систематическим.
1.4. Метод случайного отбора, например, с применением таблиц случайных чисел, используют при отсутствии необходимости ограничения числа отбираемых единиц, что дает возможность с наибольшей точностью определить изменчивость исследуемого свойства.
1.5. Метод систематического отбора, применяемый при необходимости ограничения числа отбираемых единиц, заключается в упорядочении совокупности по одному из параметров (например, по диаметру деревьев), разделении ее на одинаковые группы, число которых равно количеству отбираемых единиц, и в отборе из каждой группы единицы, средней по порядковому номеру. Применение этого метода позволяет с наибольшей точностью определить среднее арифметическое исследуемого свойства.
1.6. Минимальное количество испытываемых образцов

при одностадийном (случайном и систематическом) отборе вычисляют по формуле

, (1)
где V - коэффициент вариации свойства древесины, %;

- требуемая доверительная вероятность;

- квантиль распределения Стьюдента;

- относительная точность определения выборочного среднего с доверительной вероятностью

.
1.7. При неизвестном коэффициенте вариации V можно пользоваться ориентировочными значениями коэффициента вариации свойств древесины, указанными в таблице.
─────────────────────────────────────────────────┬─────────────────────────
Свойства древесины │ Коэффициент вариации, %
─────────────────────────────────────────────────┼─────────────────────────
Число годичных слоев в 1 см │ 37
Процент поздней древесины │ 28
Плотность │ 10
Нормализованная влажность │ 5
Усушка: │
линейная │ 28
объемная │ 16
Предел прочности при сжатии вдоль волокон │ 13
Предел прочности при статическом изгибе │ 15
Предел прочности при скалывании вдоль волокон │ 20
Модуль упругости при статическом изгибе │ 20
Условный предел прочности (предел │ 20
пропорциональности при сжатии поперек волокон) │
Предел прочности при растяжении: │
вдоль волокон │ 20
поперек волокон │ 20
Ударная вязкость при изгибе │ 32
Твердость │ 17
1.8. Относительную точность определения выборочного среднего принимают 5% при доверительной вероятности 0,95. Если коэффициент вариации превышает 20%, то допускается определять выборочное среднее с относительной точностью 10%. Для ориентировочных испытаний доверительную вероятность принимают равной 0,68.
1.9. В расчетах квантиль распределения Стьюдента

принимают с учетом предполагаемого количества единиц отбора согласно
Приложению 1. При отличии расчетной величины n от предполагаемой расчет повторяют до тех пор, пока различие между ними будет не более 1.
1.10. Минимальное количество испытуемых образцов для многостадийного отбора с учетом вариации свойств древесины внутри и между единицами отбора равно произведению количества единиц отбора, вычисленных для каждой из стадий
(Приложение 2).
Результаты округляют с точностью до целого числа.
2. ПОДГОТОВКА ЗАГОТОВОК И ОБРАЗЦОВ
2.1. Изготовление и кондиционирование заготовок для образцов
2.1.1. Из отобранных единиц вырезают заготовки, размеры которых позволяют изготовить образцы нужной формы.
Если заготовка окажется непригодной для изготовления образца, берут другую. На случай частичной замены образцов количество заготовок должно быть на 20% больше расчетного количества.
2.1.2. При применении метода систематического отбора заготовку из кряжа выпиливают в виде сердцевинной доски толщиной не менее 60 мм, которая должна включать геометрический центр поперечного сечения кряжа (черт. 1).
Черт. 1
Допускается выпиливать заготовки из кряжа диаметром не более 180 мм в виде сердцевинных досок толщиной не менее 40 мм по направлению двух взаимно перпендикулярных диаметров (черт. 2). В этом случае при необходимости изготовления образцов с размерами поперечного сечения более 40 мм от кряжей перед выпиловкой сердцевинной доски должны быть отпилены отрезки длиной не менее 100 мм, которые раскраивают в соответствии с черт. 1.
Черт. 2
Если единица отбора - пиломатериал, заготовку выпиливают параллельно сбегу. Толщина заготовки должна быть не менее 35 мм. Заготовки, содержащие сердцевину, отбраковывают.
Пиломатериалы, не содержащие сердцевины, разделывают на заготовки так, чтобы не менее чем одна грань заготовки была радиальной или тангентальной.
В случае необходимости от пиломатериалов толщиной 60 мм и более перед распиловкой на заготовки отпиливают по отрезку длиной вдоль волокон 100 мм для изготовления образцов с поперечными размерами более 30 мм.
2.1.3. Для испытания образцов с нормализованной влажностью заготовки должны быть высушены при температуре ниже 60 °C до влажности, близкой к нормализованной. Торцы заготовок покрывают влагозащитным составом.
2.1.4. Для испытания образцов с влажностью, равной или больше предела насыщения клеточных стенок древесины, заготовки выдерживают в условиях, исключающих высыхание древесины.
2.2. Изготовление и кондиционирование образцов
2.2.1. После кондиционирования из каждой заготовки вырезают образцы по одному для каждого вида испытания. Форму и размеры образцов принимают по стандартам на соответствующие методы испытаний.
2.2.2. Одна из осей образца должна располагаться вдоль волокон древесины. Годичные слои на торцовых поверхностях образцов должны быть параллельны одной паре противоположных граней и перпендикулярны другой. Между смежными гранями образцов должны быть прямые углы.
2.2.3. Предельные отклонения от номинальных размеров рабочей части образцов не должны превышать +/- 0,5 мм. Любой размер в этих пределах должен быть выдержан по всему образцу с отклонением не более +/- 0,1 мм. Предельные отклонения от номинальных размеров, не входящих в расчетные формулы (например, длины образцов для испытания на статический изгиб), не должны превышать +/- 1 мм. Параметр шероховатости рабочих поверхностей образцов должен быть

не более 100 мкм по
ГОСТ 7016.
2.2.4. На каждый образец должна быть нанесена маркировка, отражающая стадийность отбора.
2.2.5. Образцы, изготовленные из заготовок, кондиционированных по
п. 2.1.3, кондиционируют при температуре (20 +/- 2) °C и относительной влажности воздуха (65 +/- 5)% до приобретения древесиной нормализованной влажности.
2.2.6. Образцы, изготовленные из заготовок, кондиционированных по
п. 2.1.4, должны иметь влажность, равную или превышающую предел насыщения клеточных стенок древесины. Если образцы изготовлены из материала с влажностью ниже предела насыщения клеточных стенок древесины, перед испытанием они должны быть вымочены до прекращения изменения размеров.
2.2.7. Образцы для испытаний после кондиционирования хранят в герметичной упаковке или сосудах так, чтобы их влажность не изменялась.
3.1. В помещении, где проводят испытания, должна поддерживаться температура (20 +/- 2) °C и влажность воздуха (65 +/- 5)%. Допускается проводить испытания в помещении с другой температурой и влажностью воздуха при условии их проведения сразу после кондиционирования или извлечения образцов из герметичной упаковки.
3.2. Испытания проводят согласно стандартам на соответствующие методы испытаний.
3.3. После испытаний определяют влажность и, в случае необходимости, плотность образцов. Рекомендуется определять влажность на пробах, вырезанных из испытанных образцов.
Минимальное количество образцов

для определения их средней влажности должно быть не менее трех и вычисляется по формуле

, (2)
где

- количество испытанных образцов для определения свойств древесины с коэффициентом вариации V;

- коэффициент вариации влажности образцов (если нет других данных, допускается принимать равным 5%).
4. ОБРАБОТКА РЕЗУЛЬТАТОВ ИСПЫТАНИЙ
4.1. Показатели свойств древесины рассчитывают по формулам, приведенным в стандартах на соответствующие методы испытаний.
Предварительно определяют согласие опытного распределения с теоретическим (нормальным) и оценивают анормальность результатов наблюдений.
4.2. По результатам испытаний вычисляют следующие статистические характеристики: выборочное среднее арифметическое, выборочное среднее квадратическое отклонение, среднюю ошибку выборочного среднего арифметического, выборочный коэффициент вариации, относительную точность определения выборочного среднего (см.
Приложение 3).
4.3. В случае необходимости результаты испытаний приводят к влажности 12%. Если средняя влажность испытанных образцов определена по влажности нескольких образцов, то допускается вносить поправку на влажность в среднее арифметическое результатов испытаний.
Результаты испытаний и расчетов заносят в протокол. В протоколе также указывают вид испытания, направление приложения нагрузки, температуру и влажность воздуха в лаборатории, породу древесины и сведения об отборе образцов.
Обязательное
ЗНАЧЕНИЯ КВАНТИЛЕЙ РАСПРЕДЕЛЕНИЯ СТЬЮДЕНТА
──────────┬────────────────────────────────────────────────────────────────
Объем │ Значение t при доверительной вероятности гамма
выборки │ гамма
│ для двусторонних интервалов
├────────────┬────────────┬────────────┬────────────┬────────────
│ 0,70 │ 0,80 │ 0,90 │ 0,95 │ 0,99
──────────┼────────────┼────────────┼────────────┼────────────┼────────────
2 │ 1,963 │ 3,078 │ 6,314 │ 12,706 │ 63,657
3 │ 1,336 │ 1,886 │ 2,920 │ 4,303 │ 9,925
4 │ 1,250 │ 1,638 │ 2,353 │ 3,182 │ 5,841
5 │ 1,190 │ 1,533 │ 2,132 │ 2,776 │ 4,604
6 │ 1,156 │ 1,476 │ 2,015 │ 2,571 │ 4,032
7 │ 1,134 │ 1,440 │ 1,943 │ 2,447 │ 3,707
8 │ 1,119 │ 1,415 │ 1,895 │ 2,365 │ 3,499
9 │ 1,108 │ 1,397 │ 1,860 │ 2,306 │ 3,355
10 │ 1,100 │ 1,383 │ 1,833 │ 2,262 │ 3,250
11 │ 1,093 │ 1,372 │ 1,812 │ 2,228 │ 3,169
12 │ 1,088 │ 1,363 │ 1,796 │ 2,201 │ 3,106
13 │ 1,083 │ 1,356 │ 1,782 │ 2,179 │ 3,055
14 │ 1,079 │ 1,350 │ 1,771 │ 2,160 │ 3,012
15 │ 1,076 │ 1,345 │ 1,761 │ 2,145 │ 2,977
16 │ 1,074 │ 1,341 │ 1,753 │ 2,131 │ 2,947
17 │ 1,071 │ 1,337 │ 1,746 │ 2,120 │ 2,921
18 │ 1,069 │ 1,333 │ 1,740 │ 2,110 │ 2,898
19 │ 1,067 │ 1,330 │ 1,734 │ 2,103 │ 2,878
20 │ 1,066 │ 1,328 │ 1,729 │ 2,093 │ 2,861
21 │ 1,064 │ 1,325 │ 1,725 │ 2,086 │ 2,845
22 │ 1,063 │ 1,323 │ 1,721 │ 2,080 │ 2,831
23 │ 1,061 │ 1,321 │ 1,717 │ 2,074 │ 2,819
24 │ 1,060 │ 1,319 │ 1,714 │ 2,069 │ 2,807
25 │ 1,059 │ 1,318 │ 1,711 │ 2,064 │ 2,797
26 │ 1,058 │ 1,316 │ 1,708 │ 2,060 │ 2,787
27 │ 1,058 │ 1,315 │ 1,706 │ 2,056 │ 2,779
28 │ 1,057 │ 1,314 │ 1,703 │ 2,052 │ 2,771
29 │ 1,056 │ 1,313 │ 1,701 │ 2,048 │ 2,763
30 │ 1,055 │ 1,311 │ 1,699 │ 2,045 │ 2,756
31 │ 1,055 │ 1,310 │ 1,697 │ 2,042 │ 2,750
> 31 │ 1,036 │ 1,282 │ 1,645 │ 1,960 │ 2,576
Рекомендуемое
ОПРЕДЕЛЕНИЕ МИНИМАЛЬНОГО КОЛИЧЕСТВА ОБРАЗЦОВ
ПРИ МНОГОСТАДИЙНОМ ОТБОРЕ
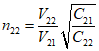
1. Двухстадийный отбор
Количество единиц второй стадии отбора

, отбираемых из каждой единицы первой стадии отбора, вычисляют по формуле

. (3)
Количество единиц первой стадии отбора

вычисляют по формуле

, (4)
где

- коэффициент вариации единиц первой стадии отбора;

- коэффициент вариации единиц второй стадии отбора;

- затраты на одну единицу первой стадии отбора;

- затраты на одну единицу второй стадии отбора.
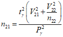
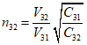
2. Трехстадийный отбор
Количество единиц третьей стадии отбора

, отбираемых из каждой единицы второй стадии отбора, вычисляют по формуле

. (5)
Количество единиц второй стадии отбора

, отбираемых из каждой единицы первой стадии отбора, вычисляют по формуле

. (6)
Количество единиц первой стадии отбора

вычисляют по формуле

, (7)
где

- коэффициент вариации единиц первой стадии отбора;

- коэффициент вариации единиц второй стадии отбора;

- коэффициент вариации единиц третьей стадии отбора;

- затраты на одну единицу первой стадии отбора;

- затраты на одну единицу второй стадии отбора;

- затраты на одну единицу третьей стадии отбора.
3. Для определения неизвестных коэффициентов вариации проводят предварительные испытания на произвольно взятом количестве образцов.
Результаты округляют с точностью до целого числа.
Рекомендуемое
ОПРЕДЕЛЕНИЕ СТАТИСТИЧЕСКИХ ХАРАКТЕРИСТИК
ПО РЕЗУЛЬТАТАМ ИСПЫТАНИЙ
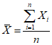
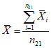
1. При одностадийном отборе вычисляют:
выборочное среднее арифметическое

по формуле

, (8)
где

- значение испытываемого свойства;
n - количество образцов;
выборочное среднее квадратическое отклонение (S) по формуле

; (9)
среднюю ошибку

выборочного среднего арифметического по формуле

; (10)
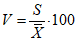
выборочный коэффициент вариации (V) в процентах по формуле

; (11)
относительную точность

определения выборочного среднего по формуле

. (12)
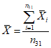
2. При двухстадийном отборе вычисляют:
выборочное среднее арифметическое

для единиц первой стадии отбора по формуле

, (13)
где

- значение испытываемого свойства для j-го образца из i-й единицы первой стадии отбора;
общее выборочное среднее арифметическое

по формуле

; (14)
выборочное среднее квадратическое отклонение

между единицами первой стадии отбора по формуле

; (15)
выборочное среднее квадратическое отклонение

внутри единиц первой стадии отбора по формуле

; (16)
среднюю ошибку

выборочного среднего арифметического по формуле

; (17)
выборочный коэффициент вариации

в процентах между единицами первой стадии отбора по формуле

; (18)
выборочный коэффициент вариации

в процентах внутри единиц первой стадии отбора по формуле

; (19)
относительную точность

определения выборочного среднего арифметического по формуле

. (20)
3. При трехстадийном отборе вычисляют:
выборочное среднее арифметическое

для единиц второй стадии отбора по формуле

, (21)
где

- значение испытываемого свойства для v-го образца из j-й единицы второй стадии отбора, взятой из i-й единицы первой стадии отбора;
выборочное среднее арифметическое

для единиц первой стадии отбора по формуле

; (22)
| | ИС МЕГАНОРМ: примечание. Обозначение дано в соответствии с официальным текстом документа. | |
общее выборочное среднее арифметическое (X) по формуле

; (23)
выборочное среднее квадратическое отклонение

между единицами первой стадии отбора по формуле

; (24)
выборочное среднее квадратическое отклонение

между единицами второй стадии отбора по формуле

; (25)
выборочное среднее квадратическое отклонение

внутри единиц второй стадии отбора по формуле

; (26)
среднюю ошибку

выборочного среднего арифметического по формуле

; (27)
выборочный коэффициент вариации

в процентах между единицами первой стадии отбора по формуле

; (28)
выборочный коэффициент вариации

в процентах между единицами второй стадии отбора по формуле

; (29)
выборочный коэффициент вариации

в процентах внутри единиц второй стадии отбора по формуле

; (30)
относительную точность

определения выборочного среднего арифметического по формуле

. (31)