Главная // Актуальные документы // ГОСТ (Государственный стандарт)СПРАВКА
Источник публикации
В данном виде документ опубликован не был.
Первоначальный текст документа опубликован в издании
М.: Издательство стандартов, 1986.
Информацию о публикации документов, создающих данную редакцию, см. в справке к этим документам.
Примечание к документу
Документ включен в
Перечень документов в области стандартизации, содержащих правила и методы исследований (испытаний) и измерений, в том числе правила отбора образцов, необходимых для применения и исполнения Федерального
закона от 27.12.2009 N 347-ФЗ и осуществления оценки соответствия (
Распоряжение Правительства РФ от 29.07.2010 N 1284-р).
С 1 июля 2003 года до вступления в силу технических регламентов акты федеральных органов исполнительной власти в сфере технического регулирования носят рекомендательный характер и подлежат обязательному исполнению только в части, соответствующей целям, указанным в
пункте 1 статьи 46 Федерального закона от 27.12.2002 N 184-ФЗ.
Изменение N 2 введено в действие с 1 июля 2003 года Постановлением Госстандарта РФ от 08.08.08.2002 N 294-ст.
Взамен ГОСТ 11828-75 (кроме раздела 6), ГОСТ 25000-81.
Название документа
"ГОСТ 11828-86. Машины электрические вращающиеся. Общие методы испытаний"
(утв. Постановлением Госстандарта СССР от 15.08.1986 N 2403)
(ред. от 08.08.2002)
"ГОСТ 11828-86. Машины электрические вращающиеся. Общие методы испытаний"
(утв. Постановлением Госстандарта СССР от 15.08.1986 N 2403)
(ред. от 08.08.2002)
Утвержден и введен в действие
Постановлением Госстандарта СССР
от 15 августа 1986 г. N 2403
ГОСУДАРСТВЕННЫЙ СТАНДАРТ СОЮЗА ССР
МАШИНЫ ЭЛЕКТРИЧЕСКИЕ ВРАЩАЮЩИЕСЯ
ОБЩИЕ МЕТОДЫ ИСПЫТАНИЙ
Rotating electrical machines.
General test methods
ГОСТ 11828-86
| | Список изменяющих документов Постановлением Госстандарта РФ от 28.12.1999 N 723-ст, Постановлением Госстандарта РФ от 08.08.2002 N 294-ст) | |
Взамен
ГОСТ 11828-75
(кроме разд. 6),
ГОСТ 25000-81.
Постановлением Государственного комитета СССР по стандартам от 15 августа 1986 г. N 2403 срок введения установлен с 01.07.1987.
Разработан Министерством электротехнической промышленности.
Исполнители: Л.В. Курилович, Г.К. Жерве, М.Ф. Графов, Н.И. Ибрагимова.
Внесен Министерством электротехнической промышленности.
Начальник технического управления Ю.С. Шустицкий.
Утвержден и введен в действие Постановлением Государственного комитета СССР по стандартам от 15 августа 1986 г. N 2403.
Настоящий стандарт распространяется на вращающиеся электрические машины постоянного и переменного тока без ограничения мощности, напряжения, частоты и устанавливает методы испытаний, общие для электрических машин всех видов; специальные требования по испытаниям электрических машин отдельных видов должны устанавливаться стандартами на методы испытаний электрических машин этих видов, а также техническими условиями на конкретные виды электрических машин.
Стандарт не распространяется на электрические машины, предназначенные для применения в бортовых системах подвижных средств наземного водного и воздушного транспорта, и на электрические машины, на которые установлены специальные требования, утвержденные в установленном порядке.
(в ред.
Изменения N 2, введенного в действие Постановлением Госстандарта РФ от 08.08.2002 N 294-ст)
В стандарте учтены требования международных стандартов МЭК 60034-1 в части, касающейся испытаний, и МЭК 60279.
Стандарт пригоден для целей проведения сертификационных испытаний.
(в ред.
Изменения N 1, введенного в действие Постановлением Госстандарта РФ от 28.12.1999 N 723-ст,
Изменения N 2, введенного в действие Постановлением Госстандарта РФ от 08.08.2002 N 294-ст)
Стандарт устанавливает общие правила проведения испытаний (
разд. 1), требования к измерительным приборам и измерениям (
разд. 2) и методы следующих испытаний:
измерение сопротивлений обмоток при постоянном токе в практически холодном и нагретом состоянии и сопротивлений термометров сопротивления при температуре окружающей среды (
разд. 3);
испытание машины при повышенной частоте вращения (
разд. 4);
испытание при кратковременной перегрузке по току или по вращающему моменту (
разд. 5);
измерение сопротивления изоляции обмоток относительно корпуса машины и между обмотками, сопротивления изоляции термометров сопротивления и сопротивления изоляции подшипников (
разд. 6);
испытание изоляции обмоток на электрическую прочность относительно корпуса машины и между обмотками (
разд. 7);
испытание междувитковой изоляции обмоток на электрическую прочность (
разд. 8);
измерение температуры частей электрических машин (
разд. 9);
испытание электрических машин на нагревание (
разд. 10);
определение вращающих моментов и пусковых токов двигателей переменного тока и синхронных компенсаторов (
разд. 11);
измерение электрического напряжения между концами вала и проверка состояния изоляции опор (
разд. 12);
испытание масло-, газо- и воздухоохладителей (
разд. 13);
определение момента инерции вращающейся части (
разд. 14).
(абзац введен
Изменением N 1, введенным в действие Постановлением Госстандарта РФ от 28.12.1999 N 723-ст)
Абзац исключен с 1 июля 2000 года. -
Изменение N 1, введенное в действие Постановлением Госстандарта РФ от 28.12.1999 N 723-ст.
В справочном
Приложении А приведен перечень государственных стандартов на общие методы других видов испытаний электрических машин.
(абзац введен
Изменением N 2, введенным в действие Постановлением Госстандарта РФ от 08.08.2002 N 294-ст)
1. ОБЩИЕ ПРАВИЛА ПРОВЕДЕНИЯ ИСПЫТАНИЙ
1.1. При наличии нескольких методов испытаний одного и того же назначения проводящий испытание вправе выбирать, сообразуясь с конкретными возможностями на месте его проведения, наиболее подходящий метод, если иное не оговорено в стандартах или технических условиях на конкретные виды электрических машин.
При прочих равных условиях предпочтение должно отдаваться методу, обеспечивающему получение результатов с наибольшей точностью.
| | ИС МЕГАНОРМ: примечание. С 1 июля 2001 года Приказом Минэнерго от 27.12.2000 N 163 введены в действие "Межотраслевые правила по охране труда (правила безопасности) при эксплуатации электроустановок. ПОТ Р М-016-2001. РД 153-34.0-03.150-00". | |
1.2. При проведении испытаний электрических машин должны соблюдаться требования безопасности, в том числе пожарной, установленные в
ГОСТ 12.1.004-91,
ГОСТ 12.3.019-80, в действующих "Правилах техники безопасности при эксплуатации электроустановок у потребителей", утвержденных в установленном порядке.
(в ред.
Изменения N 2, введенного в действие Постановлением Госстандарта РФ от 08.08.2002 N 294-ст)
2. ИЗМЕРИТЕЛЬНЫЕ ПРИБОРЫ И СПОСОБЫ ИЗМЕРЕНИЙ
2.1. Классы точности электроизмерительных приборов
2.1.1. Измерения электрических величин при испытании машин для частот до 400 Гц, кроме оговоренных ниже, следует производить электроизмерительными приборами, в том числе мостами, класса точности не хуже 0,5, если иное не установлено в стандартах или технических условиях на конкретные виды машин.
(в ред.
Изменения N 2, введенного в действие Постановлением Госстандарта РФ от 08.08.2002 N 294-ст)
При измерении мощности в цепях переменного тока с низкими значениями коэффициента мощности рекомендуется применение однофазных ваттметров, специально предназначенных для таких измерений, класса точности не хуже 1,0.
Измерение мощности трехфазного тока при приемосдаточных испытаниях машин мощностью до 100 кВт (кВ x А), в цепях вспомогательных машин всех мощностей, а также при испытаниях на месте установки машин всех мощностей, допускается производить трехфазным многосистемным ваттметром класса точности не хуже 1,0.
Класс точности всех электроизмерительных приборов для частот выше 400 Гц должен быть не хуже 2,5.
Класс точности приборов, предназначенных для измерения сопротивления изоляции обмоток, не хуже 2,5.
2.1.2. Применяемые шунты, добавочные сопротивления, измерительные трансформаторы тока и напряжения должны иметь класс точности, по крайней мере, на один класс выше класса точности присоединяемых к ним показывающих приборов. Допускается в порядке исключения, а также при испытаниях на месте установки применение шунтов с пределом измерения по току свыше 300 А и трансформаторов тока и напряжения, в частности при измерениях на пониженной частоте, класса 0,5 с показывающими приборами класса 0,5.
2.1.3. Измерения и обработка их результатов при испытании электрических машин могут осуществляться с помощью информационно-измерительных систем, измерительно-вычислительных комплексов или специальных измерительных электронно-вычислительных систем. При этом допускаемые погрешности указанных комплексов и систем вместе с измерительными преобразователями сигналов должны быть не выше соответствующих классам электроизмерительных приборов, указанных в
пп. 2.1.1 и
2.1.2.
2.2. Выполнение электрических измерений
2.2.1. Электроизмерительные приборы следует подбирать так, чтобы измеряемые значения находились в пределах от 30 до 95% шкалы. При измерении мощности трехфазного тока способом двух ваттметров измеряемые токи и напряжения должны быть не ниже 30% от пределов измерения применяемых ваттметров по току и напряжению.
2.2.2. При проведении измерений более чем на одном приборе отсчеты по всем приборам для каждого измерения рекомендуется производить одновременно. Это обязательно при измерении сопротивлений при постоянном токе методом вольтметра и амперметра, измерении мощности трехфазного тока методами двух или трех ваттметров, измерении фазных токов двумя или тремя амперметрами и линейных напряжений двумя или тремя вольтметрами.
(в ред.
Изменения N 2, введенного в действие Постановлением Госстандарта РФ от 08.08.2002 N 294-ст)
2.2.3. Сопротивление подводящих проводов от шунтов к присоединенным к ним измерительным приборам - по ГОСТ 1609-76. Сопротивление подводящих проводов от шунтов к приборам зарубежного изготовления должно соответствовать данным фирмы, изготовившей эти приборы.
Сопротивление проводов от измерительных трансформаторов тока к присоединенным к ним приборам в сумме с внутренним сопротивлением этих приборов не должно превосходить значение допускаемой нагрузки для этих трансформаторов.
Сумма мощностей, потребляемых приборами, присоединенными к измерительным трансформаторам напряжения, при номинальном значении напряжения их измерительных обмоток не должна превосходить значение допускаемой нагрузки для этих трансформаторов.
2.2.4. Цепи напряжения измерительных приборов при испытаниях электрических машин рекомендуется подключать непосредственно к выводам соответствующих обмоток с целью исключения падения напряжения на подводящих проводах. Если это почему-либо невозможно, то рекомендуется принимать меры к учету этого падения напряжения расчетным путем или посредством дополнительных опытов.
2.3. Измерение частоты вращения и вращающего момента
2.3.1. Измерение частоты вращения электрических машин следует производить стробоскопическим способом или тахометром (механическим или электрическим) или другими средствами, обеспечивающими точность измерения не ниже соответствующей классу 0,5.
Для измерения скольжения следует применять способы непосредственного его измерения, если номинальное значение скольжения не превосходит 6%. При более высоких значениях скольжения допускается косвенное измерение скольжения посредством измерения частоты вращения.
При измерении частоты вращения и скольжения следует обращать внимание на то, чтобы средства измерения не изменяли частоту вращения испытуемой электрической машины.
2.3.2. Измерители вращающего момента, применяемые для измерения механической мощности электрических машин мощностью свыше 1 кВт с номинальной частотой вращения до 600 об/мин, должны обеспечивать точность измерения не ниже соответствующей классу точности 1,0.
Измерение вращающего момента электрических машин мощностью до 1 кВт следует производить с точностью, указанной в технических условиях на конкретные виды машин.
(п. 2.3.2 в ред.
Изменения N 2, введенного в действие Постановлением Госстандарта РФ от 08.08.2002 N 294-ст)
2.4. Измерения при механизированных и автоматизированных испытательных устройствах
2.4.1. При приемосдаточных испытаниях машин массового выпуска на механизированных и автоматизированных испытательных устройствах должны максимально использоваться автоматические схемы измерения; при этом отдельные электроизмерительные приборы должны иметь класс точности не хуже 1,5, а максимальная погрешность измерения не должна превышать 8% от значения допускаемого отклонения на контролируемый параметр. При этом условии допускается производить измерение частоты до 60 Гц включительно частотомерами класса точности не хуже 1,5, а более высоких частот - класса точности не хуже 2,5; приборы для измерения частоты вращения должны быть при этом класса точности не хуже 2,5.
Регистрация измеренных значений не является обязательной, если испытательное устройство имеет приспособление для автоматической отбраковки изделий, у которых контролируемый параметр выходит за пределы допускаемого отклонения.
2.4.2. Механизированные и автоматизированные испытательные устройства, информационно-измерительные системы, измерительно-вычислительные комплексы, специализированные измерительные электронно-вычислительные системы и измерительные пульты с переключающими и коммутирующими устройствами, смонтированные для расположения электроизмерительных приборов на местах испытания электрических машин, подлежат метрологической аттестации (поверке) согласно ГОСТ 8.326-78 <*> или ГОСТ 8.438-81 <**>.
(в ред.
Изменения N 2, введенного в действие Постановлением Госстандарта РФ от 08.08.2002 N 294-ст)
--------------------------------
(сноска введена
Изменением N 2, введенным в действие Постановлением Госстандарта РФ от 08.08.2002 N 294-ст)
(сноска введена
Изменением N 2, введенным в действие Постановлением Госстандарта РФ от 08.08.2002 N 294-ст)
2.5. Измерители температуры
2.5.1. Лабораторные стеклянные термометры, применяемые для измерения температуры активных и конструктивных частей электрических машин в процессе испытания, а также смазочного масла и охлаждающих сред, газообразных и жидких, должны иметь цену деления не более 1 К, за исключением тех случаев, когда они применяются для целей калориметрии и к ним предъявляются соответствующими документами более высокие требования.
2.5.2. Термопреобразователи различного устройства, как заложенные в электрическую машину в процессе ее изготовления, так и встраиваемые в нее только на время проведения испытаний, в комплекте со вторичными измерительными приборами должны обеспечивать на всем диапазоне измерения его погрешность не более 1,5 К.
2.5.3. В процессе испытания электрических машин допускается применение нестандартизованных средств измерения температуры, прошедших метрологическую аттестацию в соответствии с ГОСТ 8.326-78 <*>.
(в ред.
Изменения N 2, введенного в действие Постановлением Госстандарта РФ от 08.08.2002 N 294-ст)
--------------------------------
(сноска введена
Изменением N 2, введенным в действие Постановлением Госстандарта РФ от 08.08.2002 N 294-ст)
3. ИЗМЕРЕНИЕ СОПРОТИВЛЕНИЯ ОБМОТОК
ПРИ ПОСТОЯННОМ ТОКЕ
В ПРАКТИЧЕСКИ ХОЛОДНОМ И НАГРЕТОМ СОСТОЯНИИ
И СОПРОТИВЛЕНИЙ ТЕРМОМЕТРОВ СОПРОТИВЛЕНИЯ
ПРИ ТЕМПЕРАТУРЕ ОКРУЖАЮЩЕЙ СРЕДЫ
3.1. Измерение сопротивлений обмоток при постоянном токе надлежит производить одним из следующих методов:
вольтметра и амперметра;
двойного моста;
одинарного моста;
омметра.
При измерении сопротивлений, меньших 1 Ом, применение одинарного моста или омметра не допускается.
3.2. Если предположено производить измерение температуры какой-либо обмотки методом сопротивления, то измерение ее сопротивления в практически холодном состоянии рекомендуется производить теми приборами, на тех пределах измерения и примерно при тех значениях измерительного тока, при которых может производиться измерение в нагретом состоянии.
3.3. Измерение сопротивлений обмоток следует производить непосредственно на выводах этих обмоток, а для замкнутых обмоток, не имеющих начала и конца, например, обмоток якорей коллекторных машин постоянного и переменного тока - между точками, доступными для присоединения измерительного устройства и выбираемыми в соответствии с типом обмотки.
В качестве источника тока питания измерительной схемы применяют батареи аккумуляторов или гальванических элементов, отдельный генератор постоянного тока, сеть постоянного тока неизменного напряжения или статический выпрямитель, управляемый или неуправляемый, питаемый от сети переменного тока неизменного напряжения.
3.4. Значение постоянного тока при измерении сопротивлений обмоток методами вольтметра и амперметра или двойного моста должно быть таким, чтобы адиабатное повышение температуры измеряемой обмотки за время измерения не превышало 1 К. Скорость адиабатного повышения температуры медной обмотки

, К/с, следует определять по формуле

, (1)
где J - плотность тока в обмотке при измерении, А/мм2.
Для алюминиевых обмоток в знаменателе вместо 200 следует подставить 86. Если сечение проводника обмотки неизвестно, то значение измерительного тока для медной обмотки не должно превосходить 15 - 20% номинального тока данной обмотки, а продолжительность его протекания - 1 мин.
3.5. При измерении сопротивлений обмоток в практически холодном состоянии следует измерять температуру обмоток, которая не должна отличаться от температуры окружающей среды более чем на +/- 3 °C. Для измерения температуры следует применять заложенные термопреобразователи, а в случае их отсутствия - встраивать измерители температуры в полость машины не позднее чем за 15 мин до начала измерения и защищать их от воздействия возможных потоков воздуха.
(в ред.
Изменения N 2, введенного в действие Постановлением Госстандарта РФ от 08.08.2002 N 294-ст)
Для измерения температуры обмоток машин мощностью до 10 кВт (кВ x А) достаточно устанавливать один измеритель температуры, для машин мощностью от 10 до 100 кВт (кВ x А) - не менее двух, для машин мощностью от 100 до 1000 кВт (кВ x А) - не менее трех, для машин мощностью свыше 1000 кВт (кВ x А) - не менее четырех. При числе измерителей более одного их следует размещать по возможности более равномерно внутри машины. За температуру обмоток следует принимать среднее арифметическое измеренных значений.
В случае невозможности непосредственного измерения температуры обмоток машина должна находиться в окружающей среде в неработающем состоянии до измерения сопротивлений обмоток в течение времени, достаточного для того, чтобы все части машины практически приняли температуру окружающей среды. Изменение температуры окружающей среды за это время не должно быть больше +/- 5 К. За температуру обмоток при этом следует принимать температуру окружающей среды в момент измерения сопротивлений.
В случае обмоток с непосредственным жидкостным охлаждением допускается производить измерение их сопротивлений в практически холодном состоянии при циркуляции охлаждающей жидкости в течение времени, необходимого для того, чтобы разность температуры жидкости при выходе из обмотки и при входе в нее не превосходила 1 К. За температуру обмотки следует принимать среднюю температуру охлаждающей жидкости при входе и выходе из обмотки.
3.6. При измерении сопротивлений обмоток методами вольтметра и амперметра или двойного моста проводники цепей тока и падения напряжения на измеряемом сопротивлении следует присоединять к обмотке раздельно, чтобы к падению напряжения на измеряемом сопротивлении не прибавлялось падение напряжения в переходных контактах цепи тока (черт. 1).
Черт. 1
Если сопротивление вольтметра отличается от измеряемого сопротивления менее чем в 100 раз, то истинное значение измеренного сопротивления R, Ом, подсчитывают по формуле

, (2)
где U - измеренное падение напряжения, В;
I - измеренный ток, А;

- сопротивление вольтметра, Ом.
Во избежание повреждения вольтметр следует подключать только после достижения установившегося значения тока в обмотке и отключать перед каждым изменением тока. При измерении сопротивления обмоток возбуждения ток перед отключением следует снижать до значения, не превосходящего 5% номинального тока данной обмотки.
(в ред.
Изменения N 2, введенного в действие Постановлением Госстандарта РФ от 08.08.2002 N 294-ст)
3.7. При измерении сопротивлений обмоток в практически холодном состоянии каждое сопротивление должно быть измерено не менее трех раз: при измерении методом вольтметра и амперметра - при различных значениях тока, а при измерении мостом (двойным или одинарным) - каждый раз после нарушения равновесия моста. За действительное результирующее значение измеряемого сопротивления следует принимать среднее арифметическое всех измеренных значений. Результаты измерения одного и того же сопротивления не должны отличаться от среднего значения более чем на +/- 0,5%.
При приемосдаточных испытаниях на предприятии-изготовителе машин мощностью до 100 кВт (кВ x А) допускается однократное измерение сопротивления каждой обмотки; если измерение сопротивлений обмоток допускается производить выборочным порядком, то результаты отдельных измерений не должны отличаться от среднего значения более чем на +/- 1%.
Измерение сопротивлений обмоток допускается производить на несобранной машине, если в обмотке, сопротивление которой измеряют, не будут выполняться производственные операции, которые могут вызвать изменение сопротивления.
3.8. Измерение сопротивления многофазных обмоток при наличии выводов начала и конца каждой фазы следует производить пофазно, а при наличии отдельных выводов от частей фаз - отдельно для каждой части. При наличии промежуточных отводов какой-либо обмотки следует производить измерение между каждыми двумя соседними отводами, однако сумма измеренных при этом сопротивлений частей обмотки может отличаться от сопротивления всей обмотки в целом.
Если сопряжение фаз произведено внутри обмотки наглухо, то сопротивление следует измерять между каждой парой линейных выводов. При сопряжении фаз в звезду без вывода нейтрали сопротивление

, Ом, фазы, прилегающей к выводу 1, следует определять по формуле

, (3)
где

,

и

- сопротивления, измеренные соответственно между выводами 3 и 1, 1 и 2, 2 и 3, Ом.
При сопряжении фаз в треугольник сопротивление

, Ом, фазы между выводами 1 и 3 следует определять по формуле

. (4)
По аналогичным формулам с круговой перестановкой соответствующих индексов следует определить сопротивления прочих фаз.
Если расхождения в измеренных значениях сопротивлений

,

и

не превосходят +/- 2% при сопряжении фаз в звезду или +/- 1,5% при сопряжении фаз в треугольник, то сопротивление одной фазы следует определять по упрощенным формулам:
при сопряжении фаз в звезду

; (5)
при сопряжении фаз в треугольник

, (6)
где

- среднее арифметическое трех сопротивлений, измеренных между линейными выводами, Ом.
В асинхронных двигателях с двумя или более частотами вращения должны быть измерены сопротивления обмоток статора для каждой номинальной частоты вращения.
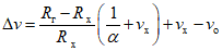
3.9. Если измерение сопротивления какой-либо обмотки в практически холодном и в нагретом состоянии производится с целью определения превышения ее температуры над температурой соответствующей охлаждающей среды, то это превышение

, К, следует определять по формуле

, (7)
где

- сопротивление обмотки в нагретом состоянии, Ом;

- сопротивление обмотки в практически холодном состоянии, Ом;

- температура обмотки в практически холодном состоянии, °C;

- температура охлаждающей среды, °C;

- температурный коэффициент сопротивления материала обмотки в диапазоне температур от 0 до 100 °C. Для медных обмоток величина дроби

принимается равной 235. При применении обмоток из других материалов величина дроби

определяется подстановкой температурного коэффициента сопротивления для данного материала.
(в ред.
Изменения N 2, введенного в действие Постановлением Госстандарта РФ от 08.08.2002 N 294-ст)
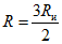
3.10. Приведение сопротивления обмотки, измеренного в практически холодном состоянии, к какому-либо иному значению ее температуры следует производить по формуле

, (8)
Постановлением Госстандарта РФ
от 08.08.2002 N 294-ст)
где

- искомое значение сопротивления обмотки, Ом;
(в ред.
Изменения N 2, введенного в действие Постановлением Госстандарта РФ от 08.08.2002 N 294-ст)

- сопротивление обмотки при измерении в практически холодном состоянии, Ом;

- температура, к которой должно быть приведено измеренное сопротивление обмотки, °C;
(в ред.
Изменения N 2, введенного в действие Постановлением Госстандарта РФ от 08.08.2002 N 294-ст)

- температура обмотки при измерении в практически холодном состоянии, °C;

- температурный коэффициент сопротивления материала обмотки в диапазоне температур от 0 до 100 °C.
(в ред.
Изменения N 2, введенного в действие Постановлением Госстандарта РФ от 08.08.2002 N 294-ст)
3.11. При невозможности достижения практически холодного состояния обмоток допускается производить измерение сопротивления обмоток в состоянии практически теплового равновесия обмотки с охлаждающей средой.
Температуру обмотки с непосредственным жидкостным охлаждением в состоянии практически теплового равновесия следует принимать равной средней температуре охлаждающей жидкости при выходе и входе в обмотку; при этом разность температуры жидкости на входе и выходе не должна быть более 1 °C.
Если непосредственное измерение температуры обмотки невозможно, то в электрической машине устанавливают измерители температуры. За температуру обмотки в состоянии практически теплового равновесия принимают среднее арифметическое значение показаний этих измерителей, если оно изменяется не более чем на 1 °C за 4 ч, а изменение сопротивления обмотки за это время составляет не более 0,5%; при этом показания измерителей температуры не должны отличаться от среднего значения более чем на 2 °C, а знаки изменения температуры и сопротивления обмотки должны совпадать.
Если в электрической машине измерителей температуры нет и они не могут быть установлены, за температуру обмотки в состоянии практически теплового равновесия принимают температуру поверхности машины, если эта температура изменяется не более чем на 1 °C за 4 ч, а изменение сопротивления обмотки за это время составляет не более 0,5%; при этом знаки изменения температуры и сопротивления должны совпадать.
3.12. Измерение сопротивления обмоток переменного тока в нагретом состоянии на вращающейся машине без отключения от сети производят по ГОСТ 27222-91. Измерение сопротивления обмоток после отключения и гашения поля и под нагрузкой допускается производить с применением специальных схем, обеспечивающих подавление в цепи измерительной схемы рабочего и остаточного переменного тока.
(в ред.
Изменения N 1, введенного в действие Постановлением Госстандарта РФ от 28.12.1999 N 723-ст)
3.13. Измерение сопротивления обмоток электрических машин малой мощности до 1 кВт следует производить по
ГОСТ 16264.0-85.
3.14. Измерение сопротивлений термопреобразователей сопротивления при температуре окружающей среды следует производить одинарным мостом класса 0,5; при этом измерительный ток не должен превышать допустимого значения для данного вида термопреобразователя сопротивления. Значение сопротивления определяется как разность между измеренной величиной и сопротивлением соединительных проводников до выводов термопреобразователей сопротивления.
4. ИСПЫТАНИЕ МАШИНЫ ПРИ ПОВЫШЕННОЙ ЧАСТОТЕ ВРАЩЕНИЯ
4.1. Испытание при повышенной частоте вращения следует проводить либо в режиме генератора путем соответствующего повышения частоты вращения приводного двигателя, либо в режиме двигателя, причем для бесколлекторных машин переменного тока - путем соответствующего повышения частоты питания, а для коллекторных машин постоянного и переменного тока - путем соответствующего регулирования самой испытуемой машины. Допускается проводить испытание вращающейся части машины вне ее неподвижной части.
Для машин с несколькими номинальными частотами вращения испытание при повышенной частоте вращения следует проводить для наибольшей частоты вращения.
Допускается одновременное испытание при повышенной частоте вращения двух или более электрических машин, соединенных в агрегат, при работе одной из них в режиме двигателя.
4.2. При испытании частоту вращения следует плавно повышать до значения, установленного в
ГОСТ 183-74 или в стандартах или технических условиях на конкретные виды электрических машин, выдерживать при этом значении в течение 2 мин и плавно понижать до полной остановки машины, после чего следует произвести тщательный осмотр вращающейся части. Для машин с коллекторами или контактными кольцами надлежит измерять биение этих узлов до и после испытания, если такое измерение предусматривается в стандартах или технических условиях на конкретные виды электрических машин.
4.3. Испытание при повышенной частоте вращения следует проводить по возможности непосредственно после испытания на нагревание, если оно проводится.
Испытание при повышенной частоте вращения неявнополюсных роторов синхронных машин следует проводить в нагретом состоянии при температуре обмотки, близкой к рабочей.
Частоту вращения при испытании при повышенной частоте вращения рекомендуется измерять дистанционными методами.
5. ИСПЫТАНИЕ ПРИ КРАТКОВРЕМЕННОЙ ПЕРЕГРУЗКЕ
ПО ТОКУ ИЛИ ПО ВРАЩАЮЩЕМУ МОМЕНТУ
5.1. Испытание при кратковременной перегрузке по току обмотки якоря следует проводить при температуре обмотки и активной стали, по возможности близкой к температуре, соответствующей номинальному режиму работы данной электрической машины. Испытание может проводиться как в режиме короткого замыкания, так и при работе машины под нагрузкой, соответствующей ее виду; в последнем случае следует ограничивать напряжение на выводах испытуемой машины таким пределом, при котором еще не наступают недопустимые перегрузки других ее обмоток, связанные с перегрузкой обмотки якоря.
Для испытания следует увеличить ток обмотки якоря до требуемого значения повышением нагрузки на валу или повышением тока возбуждения, выдержать это значение в течение времени, установленного
ГОСТ 183-74 или в стандартах или технических условиях на конкретные виды электрических машин, и затем разгрузить машину или понизить ее возбуждение так, чтобы значение тока стало не больше номинального.
5.2. Испытание при кратковременной перегрузке двигателя по вращающему моменту следует проводить при температуре всех его частей, по возможности близкой к температуре, соответствующей номинальному режиму работы данного двигателя.
Для испытания следует увеличить приложенный к валу двигателя тормозящий момент до значения, устанавливаемого в стандартах или технических условиях на конкретные виды двигателей, и выдержать такое его значение в течение времени, установленного в этих же документах. При этом напряжение должно иметь номинальное значение, а ток возбуждения синхронных двигателей или двигателей постоянного тока - соответствовать номинальному режиму работы двигателя. По истечении указанного времени двигатель следует разгрузить так, чтобы значение вращающего момента стало не больше номинального.
5.3. До и после испытания при кратковременной перегрузке по току или по вращающему моменту следует тщательно осмотреть испытуемую машину, проверить состояние креплений обмотки якоря и состояние ее изоляции измерением сопротивления последней. После испытания при перегрузке следует проводить испытания изоляции на электрическую прочность по
пп. 7.5 и
7.6 настоящего стандарта.
(в ред.
Изменения N 2, введенного в действие Постановлением Госстандарта РФ от 08.08.2002 N 294-ст)
При испытании электрических машин мощностью 5000 кВт (кВ x А) и выше или с длиной сердечника якоря 1 м и более следует контролировать температуру обмоток якоря и возбуждения нормально применяемыми для этого методами.
6. ИЗМЕРЕНИЕ СОПРОТИВЛЕНИЯ ИЗОЛЯЦИИ ОБМОТОК
ОТНОСИТЕЛЬНО КОРПУСА МАШИНЫ И МЕЖДУ ОБМОТКАМИ,
СОПРОТИВЛЕНИЯ ИЗОЛЯЦИИ ТЕРМОМЕТРОВ СОПРОТИВЛЕНИЯ
И СОПРОТИВЛЕНИЯ ИЗОЛЯЦИИ ПОДШИПНИКОВ
6.1. Измерение сопротивления изоляции обмоток относительно корпуса машины и между обмотками производится в целях проверки состояния изоляции и пригодности машины к проведению последующих испытаний. Рекомендуется производить его:
в практически холодном состоянии испытуемой машины - до начала ее испытания по соответствующей программе;
в нагретом состоянии - при температуре обмоток, близкой к температуре режима работы, в котором проводилось испытание на нагревание;
независимо от температуры обмоток - до и после испытаний изоляции обмоток на электрическую прочность относительно корпуса машины и между обмотками переменным напряжением, до и после испытания при перегрузке по току или по вращающему моменту, до и после испытания при повышенной частоте вращения, а также до и после некоторых специальных видов испытания, как, например, испытания синхронных машин на механическую прочность при ударном токе короткого замыкания.
6.2. Измерение сопротивления изоляции обмоток следует производить: при номинальном напряжении обмотки до 500 В включительно - мегаомметром на 500 В; при номинальном напряжении обмотки свыше 500 В - мегаомметром не менее чем на 1000 В. При измерении сопротивления изоляции обмоток с номинальным напряжением свыше 6000 В, имеющих значительную емкость по отношению к корпусу, рекомендуется применять мегаомметр на 2500 В с моторным приводом или со статической схемой выпрямления переменного напряжения.
6.3. Измерение сопротивления изоляции относительно корпуса машины и между обмотками следует производить поочередно для каждой цепи, имеющей отдельные выводы, при электрическом соединении всех прочих цепей с корпусом машины.
Измерение сопротивления изоляции обмоток трехфазного тока, наглухо сопряженных в звезду или треугольник, производится для всей обмотки по отношению к корпусу.
Изолированные обмотки и защитные конденсаторы, а также иные устройства, постоянно соединенные с корпусом машины, на время измерения сопротивления их изоляции должны быть отсоединены от корпуса машины.
Измерение сопротивления изоляции обмоток, имеющих непосредственное водяное охлаждение, должно производиться мегаомметром, имеющим внутреннее экранирование; при этом зажим мегаомметра, соединенный с экраном, следует присоединять к водосборным коллекторам, которые при этом не должны иметь металлической связи с внешней системой питания обмоток дистиллятом.
По окончании измерения сопротивления изоляции каждой цепи следует разрядить ее электрическим соединением с заземленным корпусом машины. Для обмоток на номинальное напряжение 3000 В и выше продолжительность соединения с корпусом должна быть:
для машин мощностью до 1000 кВт (кВ x А) - не менее 15 с;
для машин мощностью более 1000 кВт (кВ x А) - не менее 1 мин.
При пользовании мегаомметром на 2500 В продолжительность соединения с корпусом должна быть не менее 3 мин независимо от мощности машины.
6.4. Измерение сопротивления изоляции заложенных термопреобразователей сопротивления следует проводить мегаомметром напряжением 500 В.
6.5. Измерение сопротивления изоляции изолированных подшипников и масляных уплотнений вала относительно корпуса следует проводить при температуре окружающей среды мегаомметром напряжением не менее 1000 В.
7. ИСПЫТАНИЕ ИЗОЛЯЦИИ ОБМОТОК НА ЭЛЕКТРИЧЕСКУЮ ПРОЧНОСТЬ
ОТНОСИТЕЛЬНО КОРПУСА МАШИНЫ И МЕЖДУ ОБМОТКАМИ
7.1. Испытание изоляции обмоток на электрическую прочность относительно корпуса машины и между обмотками следует производить практически синусоидальным напряжением промышленной частоты (50 или 60 Гц). Испытание рекомендуется проводить от испытательного трансформатора мощностью не менее 1 кВ x А на каждые 1000 В трансформированного напряжения, если значительная емкость испытуемой обмотки по отношению к корпусу не потребует большей мощности.
Испытательный трансформатор должен быть слабо насыщен: при номинальном значении его напряжения отклонение намагничивающего тока от пропорциональности напряжению не должно превосходить 10%. Во избежание искажения синусоидальности трансформированного напряжения к испытательному трансформатору следует подводить линейное напряжение трехфазной системы. Допускается питание испытательного трансформатора от специально предназначенного для этой цели синхронного генератора, в котором должны быть приняты меры для практически полного подавления обратносинхронного поля.
7.2. Измерение испытательного напряжения следует производить на стороне трансформированного напряжения при помощи электростатического вольтметра, измерительного трансформатора напряжения или специальной измерительной обмотки испытательного трансформатора. Измерение испытательного напряжения до 3000 В допускается производить при помощи вольтметра с добавочным сопротивлением.
При испытании изоляции обмоток с номинальным напряжением 6000 В и выше для машин мощностью более 2000 кВ x А рекомендуется подключать параллельно объекту испытания шаровой разрядник, установленный на пробивное напряжение, превышающее испытательное напряжение не более чем на 10%. В цепь этого разрядника должно быть включено защитное сопротивление для ограничения тока короткого замыкания при пробое разрядника.
7.3. Регулирование испытательного напряжения следует производить плавно или ступенями, не превышающими 5% его окончательного значения, путем регулирования напряжения, подводимого к первичной обмотке.
Испытание следует начинать с напряжения, не превышающего половины окончательного. Время, допускаемое для подъема напряжения от половинного значения до полного, должно быть не менее 10 с.
Полное испытательное напряжение следует выдерживать в течение 1 мин, после чего плавно снизить до половинного значения и отключить питание трансформатора.
При испытании обмоток с номинальным напряжением до 660 В машин мощностью до 15 кВт при массовом выпуске полным испытательным напряжением по
ГОСТ 183-74 в течение 5 с или напряжением, повышенным на 20% сверх полного, в течение 1 с, испытательное напряжение следует прикладывать автоматическим приспособлением, обеспечивающим отсутствие недопустимых коммутационных перенапряжений.
(в ред.
Изменения N 2, введенного в действие Постановлением Госстандарта РФ от 08.08.2002 N 294-ст)
7.4. Испытание изоляции обмоток относительно корпуса машины и между обмотками следует проводить при неподвижном состоянии машины, кроме обмоток неявнополюсных роторов синхронных машин, испытание изоляции которых следует проводить при вращении ротора с номинальной частотой.
Если машину подвергают испытанию на нагревание, то испытание изоляции следует проводить по возможности непосредственно по окончании этого испытания.
Заводские испытания изоляции синхронных машин с неявнополюсным ротором следует проводить после завершения остальных испытаний при снятых щитах и вынутом роторе.
При испытании обмоток с непосредственным жидкостным охлаждением система охлаждения и испытуемые обмотки должны быть заполнены циркулирующей охлаждающей жидкостью. Испытание изоляции без заполнения охлаждающей жидкостью может быть допущено только при условии, что до него испытуемая обмотка (или часть обмотки) не подвергалась заполнению жидкостью.
7.5. Испытанию изоляции обмоток на электрическую прочность должны предшествовать следующие испытания:
измерение сопротивления изоляции обмоток;
испытание при повышенной частоте вращения;
испытание при кратковременной перегрузке по току или по вращающему моменту;
испытание изоляции обмоток на электрическую прочность выпрямленным напряжением (если оно проводится на данной машине);
испытание синхронной машины при внезапном коротком замыкании (если оно проводится на данной машине);
другие испытания, выполнение которых до испытания изоляции обмоток предусмотрено в стандартах или технических условиях на конкретные виды электрических машин.
Указанный порядок чередования испытаний является необязательным для неявнополюсных роторов синхронных машин, для машин, сборка которых впервые производится лишь на месте установки, и для машин постоянного тока на номинальное напряжение до 100 В.
7.6. Испытанию изоляции обмоток на электрическую прочность следует подвергать поочередно каждую цепь, имеющую отдельные выводы начала и конца или вовсе не имеющую выводов, как обмотки якорей, соединенные с коллекторами. При этом один вывод источника испытательного напряжения следует подключать к любой доступной точке испытуемой обмотки, а другой надежно заземлять и подключать к заземленному корпусу машины, с которым на время испытания данной обмотки электрически соединяют все прочие, не участвующие в данном испытании, обмотки.
Если фазы многофазной обмотки сопряжены наглухо, то всю многофазную обмотку следует испытывать относительно корпуса машины целиком. При наличии выводов от начал и концов фаз или частей фаз испытание должно быть проведено поочередно для каждой фазы или части фазы при соединении всех прочих фаз или частей фаз с корпусом машины.
Если какая-нибудь изолированная обмотка при нормальной работе соединена с корпусом машины, то на время испытания изоляции такой обмотки относительно корпуса она должна быть отсоединена от корпуса машины.
Если с испытуемой обмоткой соединены устройства возбуждения, регулирования или защиты, то необходимость их отключения на время испытания изоляции этой обмотки должна быть указана в стандартах или технических условиях на конкретные виды электрических машин.
Результаты испытания изоляции обмотки относительно корпуса машины и между обмотками следует считать удовлетворительными, если во время испытания не произошло пробоя изоляции или перекрытия ее скользящими разрядами.
7.7. Допускается проводить испытание изоляции обмоток на электрическую прочность относительно корпуса машины и между обмотками отдельно на неподвижной и вращающейся частях машины, если при последующей сборке ее может быть обеспечено отсутствие повреждений обмоток и в собранной машине не возникает опасность перекрытия с обмоток неподвижной части на обмотки вращающейся или обратно, или с тех и других на заземленные части корпуса.
7.8. Испытание изоляции обмотки статора (якоря) выпрямленным напряжением машин с номинальным напряжением 3000 В и выше мощностью 1000 кВ x А и более, за исключением обмоток с непосредственным жидкостным охлаждением, следует проводить с одновременным измерением тока утечки. В качестве источника выпрямленного напряжения может быть использовано устройство, имеющее одно- или двухполупериодную схему выпрямления.
Подъем испытательного напряжения следует производить не менее чем тремя ступенями, первая из которых должна соответствовать половине испытательного напряжения, а последняя - полному испытательному напряжению, установленному для данного испытания. На каждой ступени напряжение следует выдерживать в течение 1 мин, ток утечки измерять через каждые 15 с. Подъем напряжения от ступени к ступени следует производить плавно примерно за 10 с. Время снятия напряжения не нормируют.
Изменение тока утечки, измеренного на каждой ступени испытательного напряжения по истечении 1 мин, в зависимости от приложенного напряжения данной ступени, характеризует качество изоляции.
После каждого отключения испытательного устройства со стороны низкого напряжения обмотку следует разряжать электрическим соединением ее с корпусом машины в течение не менее 5 мин.
7.9. Для обмоток статоров с номинальным напряжением 17000 В и выше по согласованию с потребителем допускается испытание изоляции относительно корпуса машины и между обмотками комбинированным напряжением, представляющим выпрямленное напряжение, полярность которого регулярно изменяется с низкой частотой.
8. ИСПЫТАНИЕ МЕЖДУВИТКОВОЙ ИЗОЛЯЦИИ ОБМОТОК
НА ЭЛЕКТРИЧЕСКУЮ ПРОЧНОСТЬ
8.1. Испытание обмотки якоря на электрическую прочность междувитковой изоляции надлежит проводить при холостом ходе испытуемой электрической машины повышением подводимого (при испытании в режиме двигателя) или генерируемого самой испытуемой машиной (при испытании в режиме генератора) напряжения на выводах обмотки якоря сверх номинального (или наибольшего из номинальных) значения до установленного предела и выдерживанием его в течение установленного времени. Рекомендуется, чтобы непосредственно за этим испытанием проводилось определение характеристики холостого хода; тогда отсчеты, выполненные при данном испытании, будут являться верхней точкой характеристики холостого хода.
8.2. Одновременно с повышением напряжения допускается повышение частоты вращения испытуемой машины, однако не более чем на 75% предписываемого для испытания данной машины при повышенной частоте вращения.
Для машин, имеющих обмотки типа якорных на обеих частях машины (и неподвижной, и вращающейся) как, например, асинхронные двигатели с фазным ротором, испытание междувитковой изоляции на электрическую прочность следует проводить сразу для обеих обмоток при неподвижной машине и при разомкнутой вторичной обмотке.
8.3. Испытание междувитковой изоляции обмоток возбуждения на электрическую прочность должно проводиться методами и по нормам предприятия-изготовителя.
9. ИЗМЕРЕНИЕ ТЕМПЕРАТУРЫ ЧАСТЕЙ ЭЛЕКТРИЧЕСКИХ МАШИН
9.1. В процессе испытания электрической машины могут производиться измерения температуры как ее активных частей, в первую очередь изолированных обмоток, так и неактивных - опор (подшипников и подпятников, а также масляных уплотнений машин с водородным охлаждением), деталей конструкции, главным образом подвергающихся действию магнитных полей, и охлаждающих сред, газообразных и жидких.
9.2. Измерение температуры частей электрической машины и охлаждающих сред в процессе испытания может производиться следующими методами:
термометра;
сопротивления;
заложенных термопреобразователей;
встраиваемых термопреобразователей.
9.3. Метод термометра является наиболее общим методом измерения температуры в электрических машинах, которым можно измерять температуру любой доступной части машины прикладыванием к поверхности этой части воспринимающих теплоту элементов любых измерителей температуры - жидкостных термометров, термопреобразователей сопротивления, термопар, полупроводниковых терморезисторов и других средств измерения, обеспечивающих ту же точность измерения.
Для измерения методом термометра температуры неподвижных частей рекомендуется предварительная установка измерительных элементов, не нарушаемая во все время испытания. Воспринимающие теплоту элементы, в том числе резервуары с расширяющейся жидкостью (ртутью, толуолом, спиртом и т.п.) жидкостных термометров, следует защищать от обдувания струями воздуха, от излучателей теплоты и т.д. теплоизолирующими материалами. Если измерение температуры методом термометра применяется в таких местах электрической машины, в которых могут быть переменные магнитные поля, то ртутные термометры применять не следует.
При измерении методом термометра температуры вращающихся частей после остановки машины воспринимающий теплоту элемент измерителя температуры прикладывают к намеченному для измерения месту немедленно после прекращения вращения и прикрывают теплоизолирующим материалом. Отсчет температуры следует производить только после полного установления показаний измерителя.
При измерении методом термометра температуры охлаждающих сред, газообразных или жидких, воспринимающие теплоту элементы, в том числе резервуары с расширяющейся жидкостью (ртутью, толуолом, спиртом и т.п.) жидкостных термометров должны быть полностью погружены в среду, температуру которой они измеряют. Если производится измерение температуры сред, протекающих по закрытым трубопроводам, то термометры следует помещать в карманы, врезанные в трубопроводы и заполненные маслом; глубина этих карманов должна быть порядка 0,6 - 0,8 диаметра трубопровода, а стенки их - по возможности более тонкими и изготовленными из материала с большой теплопроводностью. В случае, если в качестве такого термометра применяется какое-либо электрическое устройство, то провода от него должны быть плотно приложены к поверхности трубопровода на протяжении не менее 250 мм и прикрыты теплоизолирующим материалом.
9.4. Метод сопротивления предназначается для измерения средней температуры изолированных обмоток, к которым может быть подключено измерительное устройство, путем измерения сопротивления этих обмоток в практически холодном и нагретом состоянии согласно
разд. 3 настоящего стандарта.
(в ред.
Изменения N 2, введенного в действие Постановлением Госстандарта РФ от 08.08.2002 N 294-ст)
Измерение температуры обмоток, питаемых постоянным током, может производиться методами вольтметра и амперметра или двойного моста непрерывно в течение всего времени испытания. Падение напряжения на неподвижных обмотках измеряется непосредственно на их выводах, а на вращающихся обмотках - непосредственно на контактных кольцах, но не через щеточный аппарат, установленный на машине; при этом следует принимать меры к понижению переходного сопротивления в скользящем контакте.
Измерение температуры обмоток, питаемых переменным током и находящихся как на неподвижных, так и на вращающихся частях машины, в том числе обмоток якорей коллекторных машин постоянного и переменного тока, производится как правило после отключения питания. При этом, если не приняты специальные меры для подавления ЭДС от остаточного намагничивания, то измерение следует производить после полной остановки машины.
В тех случаях, когда это представляется возможным, должно быть осуществлено искусственное механическое торможение агрегата для сокращения времени его выбега и интервала времени до начала выполнения измерений.
При останове машины с принудительной вентиляцией или с жидкостным охлаждением следует одновременно прекратить поступление охлаждающего газа или жидкости.
Для безопасного проведения измерений должны быть приняты все необходимые организационные и технические меры, связанные с особенностями выполнения измерений.
Первое измерение температуры обмотки или какой-либо части машины, выполняемое после ее останова, должно быть зафиксировано во времени и проведено не позднее, чем через 30 с после отключения для машин мощностью до 50 кВт (кВ x А), 90 с - для машин мощностью более 50 до 200 кВт (кВ x А) и 120 с - для машин мощностью более 200 до 5000 кВт (кВ x А), а для машин мощностью свыше 5000 кВт (кВ x А) - по согласованию между изготовителем и потребителем.
Последующие измерения следует проводить после останова машины, по общим командам, через определенные промежутки времени (15 с, 30 с, 60 с). Измерения должны проводиться более часто в начальный период измерений и реже - по мере стабилизации показаний приборов.
Температуру обмотки до отключения машины следует определять по величине ее сопротивления путем экстраполяции кривой остывания на момент отключения машины. С этой целью строят кривую остывания (черт. 2), откладывая на оси абсцисс время

,

,

и т.д., истекшее от момента отключения машины до выполнения отсчета, а на оси ординат - логарифмы соответствующих численных значений температур

,

,

и т.д. Экстраполируя кривую остывания до пересечения с осью ординат, находят логарифм искомой температуры

, а по нему определяют температуру обмотки до отключения машины.
(в ред.
Изменения N 2, введенного в действие Постановлением Госстандарта РФ от 08.08.2002 N 294-ст)
Черт. 2
Постановлением Госстандарта РФ
от 08.08.2002 N 294-ст)
В случае, если измеренные таким образам значения превышения температуры сначала возрастают перед тем как начать убывать, то за значение в момент отключения надлежит принять наибольшее значение.
Допускается измерение сопротивлений обмоток переменного тока на неподвижных частях машины без перерыва их питания при условии применения защитных устройств, предохраняющих измерительную схему от перегрузки ее элементов переменным током; кратковременное выделение потерь в них (не более 1 мин) не должно превосходить допускаемые потери больше чем на 100%.
9.5. Метод заложенных термопреобразователей предназначается для измерения температуры обмоток и активной стали на неподвижной части машины как в процессе ее испытания, так и на протяжении всего срока ее службы; с этой целью термопреобразователи закладываются при постройке машины в места, которые могут стать недоступными после сборки машины, и в которых ожидаются наибольшие температуры.
Термопреобразователи различного рода применяются также для измерения температуры неактивных частей электрической машины и охлаждающих сред, а также смазочного масла.
Основным видом заложенных термопреобразователей являются термопреобразователи сопротивления, которые могут различаться по материалу обмотки, стандартному сопротивлению при некоторой условной температуре (обычно 0 °C), по форме и размерам и по числу выводов. Совместно с этими термопреобразователями могут применяться любые устройства для измерения сопротивления, в том числе автоматически действующие с линейной, точечной или цифровой записью.
В случае термопреобразователей сопротивления с двумя выводами должно быть заранее известно сопротивление всей проводки от каждого термопреобразователя до измерительного устройства и сопротивления всех цепей должны быть доведены до установленного значения добавочными подгоночными сопротивлениями.
В случае термопреобразователей сопротивления с тремя выводами сопротивление проводки в оба конца может быть измерено между парными выводами и учтено при измерении температуры.
В случае термопреобразователей сопротивления с четырьмя выводами сопротивления проводников, подводящих измерительный ток, исключаются из измерения.
В зависимости от числа активных сторон секций в каждом пазу заложенные термопреобразователи должны быть расположены следующим образом: при двух или более сторонах секций - между их изолированными активными сторонами в местах внутри паза, где ожидаются наибольшие превышения температуры; при одной стороне секции в пазу - под клином, закрывающим паз, однако, в этом случае получаемые значения могут более или менее сильно отличаться от действительных. Термопреобразователи, заложенные на дно паза, измеряют температуру сердечника якоря.
Допускается закладывание термопреобразователей сопротивления между лобовыми частями обмотки якоря, если их изоляция по своей электрической прочности не уступает изоляции пазовых частей обмотки.
В машинах с непосредственным жидкостным охлаждением обмоток, термопреобразователи сопротивления должны быть установлены в конце каждой гидравлической цепи.
Во всех случаях закладываемые термопреобразователи должны быть защищены теплоизоляцией от обдувания охлаждающим газом.
Температуру по термопреобразователям сопротивления в месте их установки определяют по градуировочным характеристикам в зависимости от их вида.
9.6. Помимо заложенных термопреобразователей допускается применение термопреобразователей, встраиваемых в различные места электрической машины только на время ее испытания, по окончании которого они должны быть удалены из нее. В качестве таких термопреобразователей применяются главным образом термопары как имеющие стандартную градуировку, например, хромель-алюмель или хромель-копель, так и нестандартные, например, медь-константан; в последнем случае они должны проходить метрологическую аттестацию в установленном порядке.
Совместно с термопарами могут применяться любые устройства для измерения малых ЭДС, в том числе автоматически действующие с линейной, точечной или цифровой записью. Предпочтительным способом измерения является потенциометрический, при котором термопара в момент отсчета не нагружена током и потому сопротивление соединительных проводников между нею и измерительным устройством не влияет на результат измерения.
Если проводники из материалов термопар доходят до измерительного устройства, то у последнего должен быть помещен термометр, защищенный от обдувания струями воздуха и от лучеиспускания и измеряющий температуру холодных спаев термопар; если же проводники из материалов термопар не доходят до измерительного устройства, то такой термометр должен быть помещен в то место, где они заканчиваются. Рекомендуется в это место устанавливать компенсирующую термопару, включенную в измерительную цепь встречно прочим термопарам, при этом термометр, измеряющий холодный спай компенсирующей термопары, располагается у измерительного устройства.
Если для измерения ЭДС термопары применяется милливольтметр, внутреннее сопротивление которого превосходит сопротивление термопары не менее чем в 100 раз, то никаких поправок на сопротивление термопар вводить не требуется; если же такое условие не соблюдено, то показания милливольтметра необходимо корректировать на сопротивление термопары по формуле

, (9)
где U - действительное значение ЭДС термопары, мВ;

- измеренное значение ЭДС, мВ;

- внутреннее сопротивление милливольтметра, Ом;

- сопротивление термопары, Ом.
Сопротивление термопары следует измерять мостом дважды, изменяя полярность источника питания моста, или другими методами, исключающими влияние ЭДС термопары на результат измерения.
Температуру по термопарам в месте их установки определяют по градуировочным характеристикам с добавлением температуры холодного спая.
9.7. Измерение температуры опор (подшипников и подпятников), если оно производится, должно выполняться на неподвижных частях этих опор - наружных обоймах подшипников качения, нижних вкладышах подшипников скольжения и опорных частях подпятников измерителями температуры - термометрами, термопреобразователями сопротивления или термопарами, предусмотренными конструкцией машины или встраиваемыми на время испытания, если это указано в стандартах или технических условиях на конкретные виды электрических машин. При отсутствии такого указания для подшипников и подпятников скольжения достаточным является измерение температуры масла в камере опоры, а в случае проточной смазки - при выходе из нее. Для опор качения и нижних вкладышей опор скольжения точка измерения температуры должна отстоять от рабочей поверхности опоры не более чем на 10 мм. При отсутствии возможности доступа к наружной обойме подшипников качения измерение температуры наружной обоймы может быть заменено измерением температуры гнезда опоры.
В последнем случае допускается температуру подшипника определять также по результатам измерения на крышке подшипника с добавлением поправки, равной величине перепада температур между наружной обоймой и крышкой подшипника. Конкретное место измерения температуры на крышке подшипника и величина поправки должны быть указаны заводами-изготовителями в Инструкции по эксплуатации конкретных видов машин.
(абзац введен
Изменением N 2, введенным в действие Постановлением Госстандарта РФ от 08.08.2002 N 294-ст)
9.8. Измерение температуры охлаждающих сред, жидких и газообразных, в том числе температуры окружающей среды, может производиться методами термометра, заложенных термопреобразователей или посредством встраиваемых термопреобразователей.
При охлаждении машины окружающим воздухом для измерения температуры окружающей среды следует расположить вокруг испытуемой машины на расстоянии от 1 до 2 м от нее и на высоте, равной половине высоты машины, несколько термометров, защищенных от обдувания струями воздуха и от лучеиспускания. За температуру окружающей среды принимается среднее арифметическое показаний этих термометров через равные промежутки времени в течение последнего часа испытания.
У машин с горизонтальным валом половиной высоты машины следует считать уровень вала машины, у машин с вертикальным валом - середину ее активной длины. Если на общем вертикальном валу находится несколько машин, измерение температуры окружающего воздуха производят применительно к главной машине.
При испытаниях машин малой мощности (до 1 кВт) в камерах ограниченного объема при измерении температуры окружающей среды чувствительный элемент измерителя температуры должен находиться в горизонтальной плоскости, проходящей через центр активной части машины и на таком расстоянии от корпуса машины и стенок камеры, где температурный градиент минимален.
(в ред.
Изменения N 2, введенного в действие Постановлением Госстандарта РФ от 08.08.2002 N 294-ст)
При охлаждении электрической машины воздухом, подводимым по трубам, или воздухом по замкнутому циклу с внешними охладителями, за температуру охлаждающей среды следует принимать температуру воздуха в месте его входа в машину. Для этого следует поместить один измеритель температуры в центре входа воздуха или несколько измерителей, равномерно распределенных в плоскости поперечного сечения входа; в последнем случае за температуру входящего воздуха принимается среднее арифметическое их показаний.
(в ред.
Изменения N 2, введенного в действие Постановлением Госстандарта РФ от 08.08.2002 N 294-ст)
При охлаждении электрической машины воздухом или водородом по замкнутому циклу с встроенными газоохладителями за температуру охлаждающей среды следует принимать температуру газа при выходе из газоохладителей. При нескольких газоохладителях за температуру охлаждающей среды следует принимать среднюю из измеренных при выходе из каждого из них.
При замкнутом цикле вентиляции или при разомкнутом с охлаждением выходящего в окружающую среду воздуха охладителями температуру выходящего из машины нагретого газа следует измерять при входе в охладители.
При жидкостном охлаждении электрической машины, как косвенном, так и непосредственном, за температуру жидкой охлаждающей среды следует принимать ее температуру при входе в машину, а за температуру нагретой жидкости - ее температуру при выходе из машины.
9.9. При измерении температуры методом заложенных или встроенных термопреобразователей рекомендуется применять вторичные приборы, имеющие температурные шкалы. При измерениях холодные спаи термоэлектрических преобразователей следует помещать в термостатирующее устройство, обеспечивающее точность поддержания температуры в нем +/- 0,5 °C в час.
9.10. Для измерения местной температуры во вращающихся частях машины допускается применять нестандартизованные термоэлектрические преобразователи, прошедшие метрологическую аттестацию в соответствии с ГОСТ 8.326-78 <*>. Для передачи измерительного сигнала от вращающихся деталей рекомендуется применять токосъемники с контактной парой щетка-кольцо. Допускается бесконтактная передача измерительных сигналов. Дополнительная погрешность при передаче измерительного сигнала от вращающихся деталей не должна превышать 2 °C.
(в ред.
Изменения N 2, введенного в действие Постановлением Госстандарта РФ от 08.08.2002 N 294-ст)
--------------------------------
(сноска введена
Изменением N 2, введенным в действие Постановлением Госстандарта РФ от 08.08.2002 N 294-ст)
10. ИСПЫТАНИЕ ЭЛЕКТРИЧЕСКИХ МАШИН НА НАГРЕВАНИЕ
10.1. Испытание электрической машины на нагревание следует проводить по возможности непосредственно в ее номинальном режиме, а при наличии нескольких номинальных режимов - в том из них, при котором превышение температуры частей машины являются заведомо наибольшими; если же такой режим неизвестен, то испытания должны быть проведены во всех номинальных режимах.
При невозможности осуществления номинального режима испытание на нагревание следует проводить в таком режиме или в нескольких режимах, по результатам которых можно с практически достаточной точностью предопределить результаты испытания в номинальном режиме.
10.2. При испытании электрической машины на нагревание надлежит измерять:
все электрические величины, определяющие режим работы машины, - напряжение и ток якоря, их частоту в случае машин переменного тока, подводимую мощность в случае двигателя переменного тока или отдаваемую мощность в случае генератора переменного тока, ток возбуждения в случае машин, возбуждаемых постоянным током, и различные другие электрические величины в зависимости от рода машины;
частоту вращения машин постоянного тока или скольжения асинхронных двигателей;
температуру частей машины по всем применяемым измерителям;
температуру и давление охлаждающих сред, в том числе окружающей среды в случае машин открытого исполнения;
чистоту водорода в случае машин с водородным охлаждением;
расход дистиллята в случае машин с водяным охлаждением;
всякие иные величины, могущие оказывать влияние на нагревание испытуемой машины, или измерение которых предусматривается в стандартах или технических условиях на конкретные виды электрических машин.
10.3. Испытание электрических машин на нагревание следует проводить при температуре охлаждающих сред, реально достижимой на месте испытания, однако, по возможности более близкой к установленной в стандартах или технических условиях на конкретные виды электрических машин. Температура газообразной охлаждающей среды должна быть не ниже 10 °C, а температура жидкой охлаждающей среды, применяемой как для непосредственного, так и для косвенного охлаждения, - не ниже точки росы при данном давлении газообразной охлаждающей среды.
При нескольких видах охлаждающих сред разность их температуры на входе в машину должна быть не более 10 °C.
10.4. Испытание на нагревание электрической машины в продолжительном номинальном режиме S1, а также в любом другом продолжительном режиме работы, в том числе в частичных режимах холостого хода или короткого замыкания, следует проводить при практически неизменных параметрах режима до практически установившейся температуры всех частей машины.
Отклонение параметров номинального режима S1 от установленных значений в течение опыта не должно быть более:
по току, % . . . . . . . . . . . . . . . . . . . +/- 3,0
по напряжению, % . . . . . . . . . . . . . . . . +/- 2,0
по току возбуждения, % . . . . . . . . . . . . . +/- 1,5
по частоте вращения, % . . . . . . . . . . . . . +/- 1,0
по частоте тока, % . . . . . . . . . . . . . . . +/- 1,0
по температуре охлаждающей жидкости, °C . . . . +/- 1,0
по температуре охлаждающего газа, °C . . . . . . +/- 1,0
по давлению газа, МПа . . . . . . . . . . . . . +/- 0,01
по расходу охлаждающей жидкости, % . . . . . . . +/- 10,0
Допускается для крупных машин при длительности опыта 3 ч и более установленные значения параметров режима с отклонениями не более указанных поддерживать не менее последних 2 ч опыта.
Испытание может быть начато как с практически холодного, так и с нагретого состояния машины. Для сокращения продолжительности испытания машину допускается перегрузить в начале испытания, насколько это допустимо из соображений ее механической и электрической прочности, а в случае коллекторных машин - если степень искрения не выше соответствующей номинальному режиму.
Отсчеты по всем видам измерений рекомендуется производить для нормально охлаждаемых машин через каждые 30 мин, а для полностью закрытых машин с охлаждением только через наружную поверхность и для крупных энергетических машин с косвенным воздушным охлаждением по замкнутому циклу - через 60 мин.
10.5. Испытание на нагревание электрической машины в кратковременном режиме S2 следует проводить с практически холодного состояния машины. Если продолжительность кратковременного режима менее 60 мин, то рекомендуется предварительно установить параметры нагрузки и элементы регулирования режима работы соответственно требуемым данным, после чего охладить машину до практически холодного состояния, с тем, чтобы в начале испытания не имела места потеря времени на установление режима.
Отсчеты по всем видам измерений рекомендуется производить при продолжительности режима 30 мин и менее - в начале и в конце испытания, а при большей продолжительности - в начале, в середине и в конце испытания, если только продолжительность не настолько велика, что в отношении отсчетов его следует приравнять к испытанию в продолжительном режиме.
10.6. Испытание на нагревание электрической машины в повторно-кратковременных или перемежающихся режимах может быть начато как с практически холодного, так и с нагретого состояния машины. Для сокращения продолжительности испытания допускается в начале испытания работа машины в течение некоторого времени без перерыва нагрузки.
Продолжительность одного рабочего цикла в режимах S3 и S6 при отсутствии иных указаний следует принимать равной 10 мин, а в прочих режимах (S4, S5, S7 и S8) - в соответствии с номинальным числом рабочих циклов в час; при этом продолжительность включения (ПВ) или продолжительность нагрузки (ПН), а также коэффициент инерции для режимов S4, S5, S7 и S8 должны соответствовать номинальным значениям. Управление режимом испытания должно быть автоматизировано.
Отсчеты по измерительным приборам рекомендуется производить в концах рабочих периодов; испытание может быть закончено, когда температура всех частей машины, измеряемая в процессе испытания, достигнет практически повторяющихся значений. Окончательное измерение температуры, в том числе выполняемое после отключения питания, следует производить по истечении половины последнего рабочего периода.
Если электрическая машина имеет несколько номинальных повторно-кратковременных или перемежающихся режимов, то и испытание на нагревание следует проводить в каждом из них. Допускается проводить испытание на нагревание в продолжительном режиме S1 при эквивалентном токе нагрузки, равном среднеквадратическому значению тока. Для повторно-кратковременных режимов порядок определения влияния пауз на значение среднеквадратического тока устанавливается по согласованию между изготовителем и потребителем.
В машинах постоянного тока, работающих в повторно-кратковременных режимах, обмотка параллельного (или независимого) возбуждения во время пауз может оставаться включенной, если это предусмотрено в стандартах или технических условиях на конкретные виды машин постоянного тока.
10.7. Испытание электрических машин на нагревание может проводиться следующими методами:
непосредственной нагрузкой в номинальном или ином заданном режиме с применением схем возвратной работы или взаимной нагрузки, а на месте установки - также промышленной нагрузкой;
косвенным методом - путем проведения ряда испытаний на нагревание в режимах холостого хода и короткого замыкания с последующим расчетным предопределением превышений температуры различных частей машины на основании полученных результатов испытаний. Испытание синхронных машин допускается проводить в режиме синхронного компенсатора;
искусственной нагрузки, при которой испытуемая машина нагружается суммой потерь, по возможности соответствующей номинальному режиму, без отдачи энергии вовне.
10.8. Испытание электрических машин на нагревание непосредственной нагрузкой может проводиться для машин любого вида. Предпочтительным является испытание в продолжительном номинальном (или эквивалентном) режиме S1.
Для электрических машин более крупных мощностей (например, более 10000 кВт (кВ x А) рекомендуется по возможности испытание на нагревание в нескольких режимах при напряжении, отличающемся от номинального в пределах не более +/- 5%, и коэффициенте мощности (для синхронных машин), близком к номинальному, от 0,6 номинальной мощности до максимально возможной по условиям испытания, в том числе и перегрузки сверх номинальной мощности в допустимых для данной машины пределах. По результатам этих испытаний должна быть построена зависимость превышения температуры данной части машины от параметров нагрузки, например, для обмоток - от квадрата тока в данной обмотке или от соответствующих потерь в ней. Превышения температуры, соответствующие номинальной нагрузке, следует определять интерполяцией по полученной кривой, а если нагрузка не могла быть доведена до номинальной, то ее экстраполяцией.
Для удобства экстраполяции рекомендуется выбирать значения нагрузки так, чтобы интервалы между квадратами токов нагрузки были примерно одинаковыми, например, 0,60; 0,75; 0,87 номинального тока.
Испытание на нагревание методом непосредственной нагрузки возможно для электрических машин всех видов. Для машин, возбуждаемых постоянным током, особенно для синхронных машин, испытание может проводиться в режиме как генератора, так и двигателя, независимо от того, для какого именно режима работы предназначается данная машина.
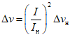
Испытание на нагревание трехфазных асинхронных двигателей допускается проводить при номинальном токе, при этом полезная мощность может отличаться от номинальной мощности не более чем на 5%. Превышение температуры обмоток (

) °C при номинальной полезной мощности вычисляют по формуле

, (10)
где

- номинальный ток двигателя, А;
I - ток двигателя, измеренный при номинальной полезной мощности, А;

- превышение температуры обмотки при номинальном токе, °C.
10.9. Испытание электрических машин на нагревание косвенным методом может проводиться только для машин, возбуждаемых постоянным током, - машин постоянного тока и синхронных машин. Испытуемую машину следует вращать с номинальной частотой соответствующим приводным двигателем.
Для определения превышений температуры различных частей испытуемой машины при номинальном режиме следует проводить испытание на нагревание в следующих режимах:
а - короткое замыкание при номинальном токе якоря. Из испытания определяется превышение температуры обмотки якоря, обусловленное основными потерями в обмотке, добавочными потерями при нагрузке, механическими потерями и пониженными потерями на возбуждение;
б - холостой ход при номинальном напряжении. Из испытания определяется превышение температуры обмотки якоря, обусловленное потерями в стали, механическими потерями и пониженными потерями на возбуждение;
в - холостой ход без возбуждения. Из испытания определяется превышение температуры обмотки якоря, обусловленное только механическими потерями;
г - холостой ход при напряжении, повышенном не более чем до 1,25 номинального (для синхронных машин с номинальным напряжением до 6,3 кВ). Из испытания определяется превышение температуры обмотки якоря, обусловленное повышенными потерями в стали, механическими потерями на возбуждение, близкими к соответствующим номинальному режиму.
Примечания. 1. Испытание в режиме "в" обязательно только для быстроходных машин, в которых механические потери могут обусловить заметное нагревание частей машины.
2. Испытание в режиме "г" обязательно только для синхронных машин и при номинальном напряжении 3 кВ и выше должно проводиться при разомкнутой нейтрали трехфазной обмотки якоря.
Превышение температуры обмотки якоря при номинальном режиме

следует определять по формуле

, (11)
где

,

и

- соответственно превышения температуры в режимах а, б и в, К.
Превышение температуры стали якоря следует определять по такой же формуле, где

,

и

- превышения температуры стали якоря в соответствующих режимах, К.
Превышение температуры обмотки индуктора следует определять экстраполяцией зависимости превышений температуры этой обмотки во всех четырех режимах от потерь в обмотке.
При непосредственном жидкостном или газовом охлаждении обмотки якоря взамен испытания в режиме "г" надлежит проводить следующее:
д - короткое замыкание при токе возбуждения, соответствующем его значению при холостом ходе и номинальном напряжении. Из испытания определяется превышение температуры обмотки якоря (или стали якоря), обусловленное пониженными основными потерями в обмотке якоря, пониженными добавочными потерями при нагрузке и пониженными потерями на возбуждение.
Превышения температуры обмотки якоря и стали якоря (кроме торцевых зон последней) определяются по
формуле (11), а превышение температуры обмотки индуктора - экстраполяцией зависимости превышений температуры этой обмотки во всех четырех режимах ("а", "б", "в" и "д") от потерь в обмотке индуктора.
Испытание на нагревание синхронных генераторов и двигателей в режиме синхронного компенсатора может быть осуществлено двумя способами:
при номинальном напряжении и номинальном токе якоря. Если при этом ток возбуждения будет больше допускаемого, то проводят три - четыре опыта при номинальном напряжении и токе якоря меньше номинального, в том числе один опыт при токе якоря, соответствующим номинальному току возбуждения. Превышение температуры обмотки якоря, соответствующее ее номинальному току, следует определить экстраполяцией опытной зависимости;
при пониженном напряжении и номинальных токах якоря и возбуждения. Если потери в стали (по опыту или расчету) равны или меньше суммы основных и добавочных потерь в обмотке якоря, то превышение температуры обмоток якоря и возбуждения определяют непосредственно из опыта без учета уменьшения нагрева вследствие снижения потерь в стали. Если потери в стали больше потерь в обмотках, проводят дополнительно два опыта холостого хода;
при пониженном напряжении, равном напряжению в опыте с номинальными токами якоря и возбуждения;
при номинальном напряжении.
Разность превышений температуры обмотки якоря (статора) в указанных опытах представляет поправку, учитывающую разность потерь в стали при номинальном и пониженном напряжении.
Для определения поправки к превышению температуры обмотки возбуждения строят зависимость превышения ее температуры от потерь в ней. Поправка равна разности ординат точек, одна из которых получена при холостом ходе с номинальным напряжением, а другая соответствует тому же току возбуждения на зависимости, полученной при пониженном напряжении.
Испытание на нагревание асинхронных двигателей косвенным методом настоящим стандартом не предусматривается.
10.10. Испытание электрических машин на нагревание искусственной нагрузкой проводится методами, специфическими для каждого вида машин и рассматриваемыми в стандартах на методы испытаний этих машин. К таким методам относятся испытание синхронных генераторов и двигателей при питании двумя частотами и т.п.
11. ОПРЕДЕЛЕНИЕ ВРАЩАЮЩИХ МОМЕНТОВ
И ПУСКОВЫХ ТОКОВ ДВИГАТЕЛЕЙ ПЕРЕМЕННОГО ТОКА
И СИНХРОННЫХ КОМПЕНСАТОРОВ
11.1. Начальный пусковой момент и начальный пусковой ток двигателей переменного тока и синхронных компенсаторов следует определять для номинальных значений напряжения и частоты из опыта трехфазного питания неподвижной заторможенной машины или из опыта пуска. Обмотка ротора асинхронных двигателей с фазным ротором и обмотка возбуждения синхронных двигателей и компенсаторов должны быть замкнуты накоротко или на резистор, входящий в состав двигателя или синхронного компенсатора.
(в ред.
Изменения N 2, введенного в действие Постановлением Госстандарта РФ от 08.08.2002 N 294-ст)
11.1.1. Опыты для определения начального пускового момента и начального пускового тока на неподвижной машине должны проводиться при питании обмотки якоря двигателя или синхронного компенсатора от источника практически симметричного напряжения номинальной частоты. Предварительно при пониженном напряжении необходимо установить положения ротора, соответствующие наибольшему значению начального пускового тока и наименьшему значению начального пускового момента, и затормозить ротор в этих положениях.
При проведении опытов следует измерять по приборам линейные напряжения и токи якоря в трех фазах, подводимую мощность (по схеме двух ваттметров или трехфазным ваттметром) и вращающий момент (для двигателей мощностью до 100 кВт). В расчетах необходимо принимать среднеарифметические значения токов и напряжений якоря.
Испытание должно проводиться для нескольких значений подводимого напряжения, начиная с наибольшей его величины. Напряжение может подаваться плавно или толчком. Отсчеты по приборам необходимо производить не более чем за 10 с. После снятия отсчетов по приборам следует немедленно отключить источник напряжения. Для двигателей мощностью 100 кВт и ниже наибольшее подводимое напряжение не должно отличаться от номинального более чем на +/- 10%. Для синхронных двигателей большей мощности и для синхронных компенсаторов наибольшее подводимое напряжение должно быть не ниже 0,5 номинального. Для асинхронных двигателей мощностью свыше 100 кВт подводимое напряжение должно находиться в пределах от 0,4 до 0,9 номинального.
Если непосредственное измерение вращающего момента М, Н x м, невозможно, то его следует вычислять по формуле

, (12)
Постановлением Госстандарта РФ
от 08.08.2002 N 294-ст)
где

- подводимая мощность, кВт;

- потери в стали, соответствующие приложенному напряжению, полученные из опыта холостого хода, кВт;

- потери в обмотке якоря (статора), вычисляемые по потребляемому току и сопротивлению фазы обмотки, измеренному непосредственно по окончании опыта трехфазного питания неподвижной машины, кВт;

- синхронная частота вращения, об/мин;
(в ред.
Изменения N 2, введенного в действие Постановлением Госстандарта РФ от 08.08.2002 N 294-ст)
k - коэффициент, меньший единицы, учитывающий ослабляющее влияние высших гармонических и несимметрии токов якоря, принимаемый равным 0,9, если в стандартах или технических условиях не установлено другое его значение.
По результатам измерений и расчетов следует строить зависимости тока и вращающего момента от напряжения.
При проведении испытания с наибольшим значением подводимого напряжения, близким к номинальному, начальный пусковой ток и начальный пусковой момент следует определять для номинального напряжения экстраполяцией или интерполяцией полученных зависимостей.
Если испытание при номинальном напряжении или близком к нему не проводилось, то начальный пусковой ток

и начальный пусковой момент

, Н x м, определяют приведением к номинальному напряжению

по формулам:

;

, (13)
где

- наибольшее напряжение при испытаниях, В;

- напряжение, соответствующее отрезку, отсекаемому на оси абсцисс касательной к кривой, изображающей зависимость тока от напряжения (черт. 3), В;

- наибольший ток при испытании, А;

- вращающий момент, измеренный или рассчитанный при напряжении

, Н x м.
Черт. 3
| | Изменением N 2, введенным в действие Постановлением Госстандарта РФ от 08.08.2002 N 294-ст, в пункте 11.1.2 слова "динамический момент" заменены на "вращающий момент" (4 раза). | |
11.1.2. Для определения пускового тока и пускового момента из опыта пуска ненагруженного двигателя испытуемую машину приводят во вращение в противоположном направлении с частотой 0,2 - 0,3 номинальной, включают ее в сеть и регистрируют с помощью осциллографа процессы разгона. Полученная из этого опыта характеристика вращающего момента является динамической моментной характеристикой двигателя.
(в ред.
Изменения N 2, введенного в действие Постановлением Госстандарта РФ от 08.08.2002 N 294-ст)
При невозможности выполнения пуска с изменением направления вращения для двигателей мощностью свыше 100 кВт и синхронных компенсаторов допускается осуществлять пуск из неподвижного состояния.
Для приближения получаемой из испытания динамической моментной характеристики к статической, соответствующей условию, что угловое ускорение равно нулю, длительность разгона может быть увеличена за счет присоединения к двигателю дополнительной маховой массы с возможно большим моментом инерции, допускаемым по условию нагрева ротора за время пуска. При этом наличие дополнительной маховой массы должно быть учтено при определении механических потерь двигателя. С целью уменьшения ускорений при пуске допускается также проводить пуск при пониженном напряжении, но по возможности не ниже 0,8 номинального.
(в ред.
Изменения N 2, введенного в действие Постановлением Госстандарта РФ от 08.08.2002 N 294-ст)
При пуске следует осциллографировать напряжение и ток якоря, подводимую мощность, частоту вращения n, динамический момент М или угловое ускорение ротора при наличии специальных устройств.
(в ред.
Изменения N 2, введенного в действие Постановлением Госстандарта РФ от 08.08.2002 N 294-ст)
Верхняя граничная частота пропускания

, Гц, измерительных цепей устройств для осциллографирования углового ускорения и частоты вращения должна удовлетворять условию

, (14)
где

- граничная частота пропускания, Гц;

- длительность пуска, с.
При невозможности осуществления прямой тарировки записи динамического момента или углового ускорения допускается определить его масштаб по изменению частоты вращения.
(в ред.
Изменения N 2, введенного в действие Постановлением Госстандарта РФ от 08.08.2002 N 294-ст)
Для определения масштаба записи динамического момента по изменению частоты вращения без учета электромагнитных переходных процессов в момент включения необходимо выбрать на осциллограмме пуска (
черт. 4) близкий к прямолинейному участок кривой M так, чтобы за соответствующий ему отрезок времени

, с, приращение частоты вращения

, об/мин, составило не менее 20% синхронной частоты вращения, и вычислить на этом участке среднее значение динамического момента,

, Н x м, по формуле
(в ред.
Изменения N 2, введенного в действие Постановлением Госстандарта РФ от 08.08.2002 N 294-ст)

, (15)
где J - момент инерции ротора и дополнительных масс, Н x м2, определяемый по п. 14 настоящего стандарта.
(в ред.
Изменения N 1, введенного в действие Постановлением Госстандарта РФ от 28.12.1999 N 723-ст)
Постановлением Госстандарта РФ
от 08.08.2002 N 294-ст)
Затем следует найти ординату кривой M (

), соответствующую среднему моменту

на участке

(по равенству площадей фигур

) и определить масштаб кривой динамического момента

, Н x м/мм, по формуле
(в ред.
Изменения N 2, введенного в действие Постановлением Госстандарта РФ от 08.08.2002 N 294-ст)

. (16)
Постановлением Госстандарта РФ
от 08.08.2002 N 294-ст)
Если не осциллографировалось угловое ускорение ротора, то допускается производить его определение путем дифференцирования кривой частоты вращения графическим либо численным методом с последующим расчетом динамического момента (M) по формуле
(в ред.
Изменения N 2, введенного в действие Постановлением Госстандарта РФ от 08.08.2002 N 294-ст)

. (17)
Постановлением Госстандарта РФ
от 08.08.2002 N 294-ст)
При обработке осциллограммы пуска необходимо определить для различных моментов времени в процессе разгона значения (средние - при наличии колебаний) напряжения и тока якоря, динамического момента, подводимой мощности и частоты вращения.
Полученные значения динамического момента и тока якоря следует привести к номинальному напряжению путем пересчета момента и пропорционально квадрату напряжения, тока - пропорционально напряжению, и построить в виде зависимостей от частоты вращения либо от скольжения.
(в ред.
Изменения N 2, введенного в действие Постановлением Госстандарта РФ от 08.08.2002 N 294-ст)
Начальный пусковой ток и начальный пусковой момент следует определять интерполяцией (или экстраполяцией) соответствующих зависимостей на частоту вращения, равную нулю.
Допускается определять зависимость вращающего момента от частоты вращения или скольжения при номинальном напряжении также по характеристикам изменения подводимой мощности и тока якоря при пуске расчетом по формуле
(в ред.
Изменения N 2, введенного в действие Постановлением Госстандарта РФ от 08.08.2002 N 294-ст)

, (18)
введенного в действие Постановлением
Госстандарта РФ от 08.08.2002 N 294-ст)
где

- вращающий момент двигателя при номинальном напряжении и данной частоте вращения (скольжении s), Н x м;

- синхронная частота вращения, об/мин;

- подводимая мощность при данной частоте вращения (скольжении s), кВт;

- потери в обмотке якоря, кВт;

- сопротивление фазы обмотки якоря, измеренное непосредственно после пуска, Ом;

- ток статора при данной частоте вращения (скольжении s), А;

- потери в стали, соответствующие напряжению U при данной частоте вращения (скольжении s), кВт;

- механические потери при синхронной частоте вращения, кВт;

и

определяются по ГОСТ 7217-87;
s - скольжение при данной частоте вращения;

- номинальное напряжение, В;
U - напряжение при данной частоте вращения (скольжении s), В.
(экспликация в ред.
Изменения N 2, введенного в действие Постановлением Госстандарта РФ от 08.08.2002 N 294-ст)
При этом начальный пусковой момент

, Н x м, следует определять как
(в ред.
Изменения N 2, введенного в действие Постановлением Госстандарта РФ от 08.08.2002 N 294-ст)

, (19)
введенного в действие
Постановлением Госстандарта РФ
от 08.08.2002 N 294-ст)
где

- значение пускового вращающего момента, получаемое интерполяцией или экстраполяцией на частоту вращения, равную нулю, его характеристики, рассчитанной по подводимой мощности;
(в ред.
Изменения N 2, введенного в действие Постановлением Госстандарта РФ от 08.08.2002 N 294-ст)
11.2. Минимальный вращающий момент, развиваемый двигателем в процессе асинхронного пуска между нулевой частотой вращения и частотой вращения, соответствующей наибольшему моменту в конце пуска, необходимо определять для условий, когда напряжение и частота тока якоря в процессе пуска остаются неизменными и равными их номинальным значениям, а обмотка ротора асинхронных двигателей с фазным ротором или обмотка возбуждения синхронных двигателей замкнута накоротко или на резистор, входящий в комплект двигателя.
Минимальный вращающий момент двигателя следует определять одним из следующих способов:
при непосредственной нагрузке генератором постоянного тока с независимым возбуждением, работающим на сеть с регулируемым напряжением или балансирной машиной, причем в первом случае вращающий момент определяют непосредственно или с помощью тарированного генератора;
при непосредственной нагрузке тарированной асинхронной машиной, работающей в режиме противовключения и включенной в сеть с регулируемым напряжением;
из кривой динамической моментной характеристики, полученной в процессе пуска двигателей мощностью свыше 100 кВт.
(в ред.
Изменения N 2, введенного в действие Постановлением Госстандарта РФ от 08.08.2002 N 294-ст)
11.2.1. Для определения минимального вращающего момента с помощью тарированного генератора постоянного тока проводят следующие испытания.
Испытываемый двигатель механически соединяют с генератором постоянного тока с независимым возбуждением, работающим на сеть с регулируемым напряжением; изменение нагрузки двигателя производят регулированием напряжения сети, на которую работает нагрузочный генератор.
Отсчеты производят при установившихся показаниях приборов.
Предварительно должны быть сняты две характеристики машины постоянного тока:
1) характеристика холостого хода

(

) при постоянной частоте вращения в генераторном режиме;
2) зависимость тока холостого хода от частоты вращения

при постоянном значении силы тока возбуждения (это значение силы тока возбуждения остается неизменным при определении максимального вращающего момента) в двигательном режиме без испытываемого двигателя.
Для определения искомой кривой зависимости вращающихся моментов испытываемого двигателя от частоты вращения при испытании должны быть измерены сила тока якоря генератора постоянного тока

и частота вращения испытываемого двигателя n.
Величину вращающего момента М, Н x м, определяют по формуле

, (20)
где

- ЭДС холостого хода, В.
По полученной кривой M = f(n) определяют минимальный вращающий момент.
11.2.2. Для определения минимального момента с помощью тарированной асинхронной машины испытания проводят по схеме, приведенной на черт. 5.
Черт. 5
Нагрузочная асинхронная машина (НАМ) работает в режиме электромагнитного тормоза, т.е. магнитное поле ее вращается в сторону, противоположную вращению ротора, что создает соответствующий тормозной момент для испытываемого двигателя. Тормозной момент регулируют подводимым к нагрузочной машине напряжением при помощи источника регулируемого напряжения (ИР).
Мощность нагрузочной асинхронной машины должна быть в 1,5 - 2 раза больше мощности испытываемого двигателя. Кривая зависимости М = f(n) нагрузочной машины в режиме электромагнитного тормоза не должна иметь провалов; для этого, в частности, в нагрузочной короткозамкнутой машине рекомендуется увеличить воздушный зазор между статором и ротором путем дополнительной обработки ротора по наружному диаметру, в цепь фазного ротора рекомендуется включить дополнительные омические сопротивления, в цепь статора - дополнительные индуктивные сопротивления.
Нагрузочную асинхронную машину следует заранее протарировать, т.е. определить зависимость вращающего момента на валу от подводимого к машине напряжения при работе ее в режиме электромагнитного тормоза. При этом необходимо убедиться в отсутствии значительных колебаний величины тормозного момента нагрузочной машины в диапазоне скольжения от 1 до 2.
Одну и ту же протарированную нагрузочную асинхронную машину используют для испытания двигателей, имеющих разные номинальные частоты вращения.
Определение минимального вращающего момента методом непосредственной нагрузки проводят следующим образом. На нагрузочную машину подают пониженное напряжение, соответствующее определенному значению тормозного вращающего момента. Одновременно с нагрузочной машиной включают на номинальное напряжение испытываемый двигатель.
Если минимальный вращающий момент испытываемого двигателя меньше тормозного вращающего момента нагрузочной машины, то агрегат задержится на промежуточной частоте вращения.
Если минимальный вращающий момент испытываемого двигателя выше тормозного, то агрегат достигает полной частоты вращения испытываемого двигателя.
Пуск испытываемого двигателя производят при разных тормозных моментах на валу, значения которых регулируются подводимым к нагрузочной машине напряжением.
При испытании следует определять наибольшее значение тормозного момента, при котором агрегат достигает полной частоты вращения испытываемого двигателя. Это значение принимают равным определенному значению минимального вращающего момента в процессе пуска испытываемого двигателя.
| | Изменением N 2, введенным в действие Постановлением Госстандарта РФ от 08.08.2002 N 294-ст, в первом абзаце пункта 11.2.3 слова "В зависимости вращающего момента от частоты вращения или скольжения" заменены на "по динамической моментной характеристике, полученной". | |
11.2.3. Определение минимального вращающего момента в зависимости от частоты вращения или скольжения в процессе пуска двигателей свыше 100 кВт следует производить по
п. 11.1.2.
Допускается определять минимальный вращающий момент двигателей мощностью 100 кВт и ниже по кривой зависимости вращающего момента от частоты вращения или скольжения получаемой из опыта пуска по ускорению ротора в процессе пуска (
п. 11.1.2).
(в ред.
Изменения N 2, введенного в действие Постановлением Госстандарта РФ от 08.08.2002 N 294-ст)
11.3. Номинальный входной момент синхронного двигателя должен определяться при частоте вращения, равной 0,95 синхронной (s = 0,05), для номинальных значений напряжения и частоты тока якоря в процессе пуска при замкнутой накоротко обмотке возбуждения.
Номинальный входной момент двигателей следует определять одним из следующих способов:
из кривой зависимости вращающего момента, полученной при нагрузке испытуемого двигателя на генератор постоянного тока с независимым возбуждением, работающий на сеть с регулируемым напряжением (
п. 11.2.1);
из кривой зависимости динамического момента от частоты вращения или скольжения в процессе пуска двигателей мощностью более 100 кВт (
п. 11.1.2).
11.4. Максимальный вращающий момент асинхронных двигателей следует определять одним из следующих способов:
а) построением кривой вращающего момента из опыта пуска (
п. 11.1.2);
б) путем нагрузки и непосредственного измерения вращающего момента;
в) путем нагрузки и вычислением вращающего момента по мощности на валу и частоте вращения, определив мощность на валу при помощи тарированной нагрузочной машины (
пп. 11.2.1 и
11.2.2) или методом отдельных потерь по
ГОСТ 25941-83;
г) по круговой диаграмме по ГОСТ 7217-87.
(в ред.
Изменения N 1, введенного в действие Постановлением Госстандарта РФ от 28.12.1999 N 723-ст)
Напряжение при определении максимального момента способами а), б) и в) должно быть по возможности близким к номинальному значению. Величина максимального момента, полученная экспериментальным путем, приводится к номинальному напряжению пропорционально квадрату напряжения.
(абзац введен
Изменением N 2, введенным в действие Постановлением Госстандарта РФ от 08.08.2002 N 294-ст)
| | ИС МЕГАНОРМ: примечание. ГОСТ 533-2000 утратил силу с 1 марта 2017 года в связи с введением в действие ГОСТ IEC 60034-3-2015 (Приказ Росстандарта от 26.05.2016 N 421-ст). | |
11.5. Максимальный вращающий момент явнополюсных и неявнополюсных синхронных машин следует определять для номинальных значений напряжения якоря, частоты и тока возбуждения расчетом по
ГОСТ 5616-81 и ГОСТ 533-2000 соответственно (

- статическая перегружаемость).
(в ред.
Изменения N 2, введенного в действие Постановлением Госстандарта РФ от 08.08.2002 N 294-ст)
12. ИЗМЕРЕНИЕ ЭЛЕКТРИЧЕСКОГО НАПРЯЖЕНИЯ
МЕЖДУ КОНЦАМИ ВАЛА И ПРОВЕРКА СОСТОЯНИЯ ИЗОЛЯЦИИ ОПОР
12.1. Для измерения электрического напряжения между концами вала одиночной электрической машины необходимо, чтобы по крайней мере один из ее подшипников был надежно изолирован от остальных металлических частей машины. Если данная электрическая машина входит в состав многомашинного агрегата, отдельные машины которого сопряжены жесткими муфтами, то необходимо, чтобы были изолированы все подшипники этого агрегата, кроме одного какого-либо, который должен оставаться неизолированным. Если электрическая машина сопрягается жесткой муфтой с каким-либо иным механизмом, имеющим неизолированные подшипники, то неизолированный подшипник этой электрической машины должен находиться со стороны сопряжения, либо все подшипники машины могут быть изолированы.
12.2. Для измерения напряжения в валах электрических машин следует применять вольтметры таких систем, которые могут измерять как переменное, так и постоянное напряжение, например, электромагнитной или электродинамической систем. В тех случаях, когда требуется разделение измеряемого напряжения на переменную и постоянную составляющие, параллельно с такими вольтметрами могут применяться вольтметры магнитоэлектрической системы для выделения постоянной составляющей, включаемые на предел измерения, не меньший, чем суммарное измеряемое напряжение, во избежание их повреждения переменной составляющей напряжения.
12.3. Присоединение вольтметров производится при помощи щеток, медно-сетчатых или пластинчатых из меди или ее сплавов, укрепленных на изолирующих рукоятках и прижимаемых к участкам вала, зачищенным от краски, ржавчины и т.п. Обе щетки должны быть из одного и того же материала.
12.4. Для измерения напряжения в вале вольтметр присоединяют к валу так, чтобы места присоединения находились по обе стороны от вращающейся части машины (черт. 6).
Черт. 6
В случае многомашинных агрегатов между местами присоединения вольтметра могут находиться вращающиеся части двух или более машин, однако постоянные составляющие, создаваемые различными машинами, могут быть встречными, а переменные составляющие - различаться не только по фазе, но и по частоте.
12.5. Измерение электрического напряжения в вале предпочтительно производить при работе машины в номинальном режиме; если же осуществить последний не представляется возможным, то следует произвести измерения при холостом ходе с номинальным напряжением и при коротком замыкании с номинальным током. Для асинхронных двигателей при невозможности нагрузки измерение производится только при холостом ходе с номинальным напряжением.
12.6. В случае крупных машин, особенно с проточной смазкой опор или с водяным охлаждением их смазочного масла, следует эпизодически проверять состояние изоляции изолированных опор измерением напряжения между корпусом опоры и фундаментной плитой при шунтировании масляных пленок в опорах малым сопротивлением (черт. 7) и сопоставлять результаты измерения с измерением электрического напряжения между концами вала. В случае нарушения изоляции опоры следует ожидать, что напряжение между данной опорой и корпусом машины будет заметно меньше напряжения в вале. Оба измерения следует производить при работе машины в одном и том же режиме.
Черт. 7
Шунтирование масляных пленок следует производить гибкими проводниками сечением не менее 25 мм2, снабженными с одного конца наконечником для присоединения к корпусу опоры под болт, а с другого конца щеткой медно-сетчатой или пластинчатой.
13. ИСПЫТАНИЕ ВОДО-ВОДЯНЫХ ТЕПЛООБМЕННИКОВ,
МАСЛО-, ГАЗО- И ВОЗДУХООХЛАДИТЕЛЕЙ
введенного в действие Постановлением
Госстандарта РФ от 08.08.2002 N 294-ст)
13.1. Испытание водо-водяных теплообменников, масло-, газо- и воздухоохладителей следует проводить в течение 30 мин гидравлическим давлением, значения которого в зависимости от рабочего давления Р представлены в таблице.
(в ред.
Изменения N 2, введенного в действие Постановлением Госстандарта РФ от 08.08.2002 N 294-ст)
МПа
───────────────────────────────┬──────────────────────────────────
Рабочее давление │ Испытательное давление
───────────────────────────────┼──────────────────────────────────
Менее 0,5 │ 1,5 Р, но не менее 0,3
0,5 и выше │ 1,25 Р, но не менее Р + 0,3
Охладители считают выдержавшими испытания, если не будут обнаружены протечки.
Если водоснабжение охладителей осуществляется от системы или насосов, обеспечивающих повышенное давление воды против ее рабочего давления в охладителях, а рабочее давление в охладителях регулируется с помощью вентилей или других понижающих давление устройств, то испытание следует проводить давлением соответственно в 1,5 или 1,25 раза большим этого повышенного давления в системе (на насосах).
(абзац введен
Изменением N 2, введенным в действие Постановлением Госстандарта РФ от 08.08.2002 N 294-ст)
14. ОПРЕДЕЛЕНИЕ МОМЕНТА ИНЕРЦИИ ВРАЩАЮЩЕЙСЯ ЧАСТИ
введенным в действие Постановлением
Госстандарта РФ от 28.12.1999 N 723-ст)
14.1. Для определения момента инерции применяют следующие методы:
крутильных колебаний,
вспомогательного маятника,
самоторможения.
14.1.1. Метод крутильных колебаний
Метод крутильных колебаний следует предпочтительно применять для определения момента инерции вращающихся частей электрических машин мощностью до 100 кВт.
Вращающуюся часть следует подвесить на металлической струне или из иного высокопрочного материала с изотропной структурой согласно черт. 8. Диаметр и длину струны выбирают так, чтобы период крутильных колебаний Т был не менее 1 с. Механическая прочность струны должна соответствовать массе вращающейся части. Точка подвеса должна находиться точно на ее оси вращения.
Черт. 8
Вращающуюся часть следует подвергнуть крутильным колебаниям и определить их период T. При этом одностороннее угловое отклонение должно составлять не более 25°.
Таким же образом и на той же струне следует определить период крутильных колебаний

эталона, момент инерции которого определяют расчетным путем.
Момент инерции исследуемой вращающейся части I, Н x м2, вычисляют по формуле

, (21)
где

- момент инерции эталона, Н x м;
Т - период колебаний исследуемой вращающейся части, с;

- период колебаний эталона, с.
Эталон, момент инерции которого определен расчетным путем, может быть также закреплен на валу исследуемой вращающейся части, как показано на черт. 9. В этом случае момент инерции исследуемой вращающейся части I, Н x м2, следует вычислять по формуле

, (22)
где

- период колебаний исследуемой вращающейся части с эталоном, с.
Черт. 9
Более тяжелые вращающиеся части могут быть подвешены на двух параллельных струнах, прикрепленных к вращающейся части симметрично относительно ее оси, в соответствии с черт. 10. Длину струн l и расстояния от струн до оси вращающейся части r следует выбирать таким образом, чтобы период крутильных колебаний T составлял не менее 1 с.
Черт. 10
Вращающуюся часть необходимо подвергнуть крутильным колебаниям и измерить их период Т. Кроме того, надлежит определить массу вращающейся части m. Момент инерции исследуемой вращающейся части I, Н x м2, вычисляют по формуле

, (23)
где m - масса исследуемой вращающейся части, кг;
r - расстояние от струн до оси вращающейся части, м;
l - длина струн, м;
Т - период крутильных колебаний вращающейся части, с;
g = 9,81 м/с2 - ускорение земного тяготения.
14.1.2. Метод вспомогательного маятника
Метод вспомогательного маятника может применяться для определения момента инерции вращающихся частей машин мощностью от 10 до 1000 кВт. Для вращающихся частей, для которых также применим метод крутильных колебаний, последний является предпочтительным.
Вращающуюся часть следует установить на подшипниках балансировочного станка. Вращающиеся части с подшипниками качения могут быть установлены также на собственных подшипниках. Если испытание проводится в собранной машине, то в случае двигателей с фазным ротором и коллекторных машин следует поднять щетки.
Для определения момента инерции методом вспомогательного маятника следует прикрепить к валу исследуемой вращающейся части дополнительную массу

посредством рычага, как показано на черт. 11. Эту массу следует выбрать таким образом, чтобы масса рычага была пренебрежимо малой по сравнению с дополнительной массой

.
Черт. 11
Дополнительная масса может быть закреплена также на наружной поверхности самой вращающейся части, на шкиве или на полумуфте. Вспомогательный маятник должен быть рассчитан таким образом, чтобы период колебаний T составлял от 3 до 8 с.
Вращающуюся часть совместно с прикрепленным к ней вспомогательным маятником приводят в колебание. При этом одностороннее угловое отклонение не должно быть более 15°.
Период колебаний Т следует определить как средний из нескольких колебаний. Для обеспечения точности измерения периода колебаний его следует проводить между моментами прохождения маятника через положение статического равновесия.
Момент инерции испытуемой вращающейся части I вычисляют по формуле

, (24)
где

- масса вспомогательного маятника, кг;

- расстояние от центра тяжести вспомогательного маятника до оси вала вращающейся части, м;
T - период колебаний маятника, с;
g = 9,81 м/с2 - ускорение земного тяготения.
Для проверки полученного значения момента инерции опыт необходимо повторить с дополнительной массой другой величины.
14.1.3. Метод самоторможения
Метод самоторможения может применяться для определения момента инерции вращающихся частей электрических машин мощностью свыше 100 кВт. Согласно этому методу машина с испытуемой вращающейся частью приводится во вращение с частотой n выше номинальной при номинальном возбуждении или без него и затем отключается от источника питания. Для машин с фазным ротором и коллекторных машин испытание проводится с минимально необходимым количеством щеток, а остальные щетки надлежит поднять. После отключения определяется кривая самоторможения n = f(t) в диапазоне частоты вращения от 1,2

до 0,8

. Для достижения возможной точности при определении этой кривой снижение частоты вращения следует осциллографировать.
В соответствии с черт. 12 момент инерции I, Н x м2, исследуемой вращающейся части для невозбужденной машины вычисляют по формуле

, (25)
а для возбужденной машины по формуле

, (26)
где

- механические потери при номинальной частоте вращения, Вт;

- потери в стали при номинальной частоте вращения, Вт;

- номинальная частота вращения, об/мин;

- разность между верхним и нижним значениями частоты вращения в опыте, об/мин;

- время, в течение которого частота вращения машины изменяется на

, с;

- номинальная угловая частота вращения, с

;

- разность между верхним и нижним значениями угловой частоты вращения, с

.
Черт. 12
За верхнюю точку частоты вращения принимают наивысшую возможную точку в опыте, но не менее 1,1

. Нижняя точка должна отличаться от номинальной на такую же величину частоты вращения.
В случае невозможности повышения частоты вращения сверх номинального значения вместо номинальной частоты вращения принимается частота вращения, лежащая на участке примерно от 0,9 до 0,8 номинальной частоты вращения. В этом случае потери должны быть измерены на данной частоте вращения.
Если для повышения частоты вращения машина должна быть соединена с приводным двигателем, который невозможно отсоединить на ходу, то в
формулах (25) и
(26) под потерями следует понимать потери всего агрегата. Из полученного таким образом момента инерции I следует вычесть момент инерции вращающейся части приводного двигателя и соединительной муфты, подлежащей отдельному определению.
Справочное
СТАНДАРТОВ НА ОБЩИЕ МЕТОДЫ ДРУГИХ ВИДОВ ИСПЫТАНИЙ
введенным в действие Постановлением
Госстандарта РФ от 08.08.2002 N 294-ст)
ГОСТ 11929-87. Машины электрические вращающиеся. Общие методы испытаний. Определение уровня шума
ГОСТ 12259-75. Машины электрические. Методы определения расхода охлаждающего газа
ГОСТ 14254-96. Степени защиты, обеспечиваемые оболочками (Код IP)
ГОСТ 16842-82*. Радиопомехи индустриальные. Методы испытаний источников индустриальных радиопомех
--------------------------------
ГОСТ 16962.1-89. Изделия электротехнические. Методы испытаний на устойчивость к климатическим внешним воздействующим факторам
ГОСТ 16962.2-90. Изделия электротехнические. Методы испытаний на стойкость к механическим внешним воздействующим факторам
ГОСТ 20815-93. Машины электрические вращающиеся. Механическая вибрация некоторых видов машин с высотой оси вращения 56 мм и более. Измерение, оценка и допустимые значения
ГОСТ 25941-83. Машины электрические вращающиеся. Методы определения потерь и коэффициента полезного действия
ГОСТ 27222-91. Машины электрические вращающиеся. Измерение сопротивления обмоток машин переменного тока без отключения от сети".